6. TRANSFORMASI
LAPLACE
1KPB-6-firda
Definisi Transformasi Laplace
Misal fungsi f(t) terdefinisi untuk t >0, maka
Transformasi Laplace dari f(t) didefinisikan
sebagai:
0 0
[ ( )] ( ) lim ( )
b
st s t
b
L f t e f t dt e f t dt
∞
− −
→∞
= =∫ ∫
Agar diperoleh TL dari fungsi f(t) maka Integral Tak
Wajar harus konvergen (Nilai limit ada dan berhingga).
I / 2KPB-6-firda
• Transformasi Laplace (TL) merupakan klas dari
Transformasi Integral
• Penggunaan Transformasi Laplace :
– Merubah bentuk PDB menjadi persamaan aljabar
Notasi: L[f(t)]=F(s)
I / 3KPB-6-firda
Akan ditentukan Transformasi Laplace dari fungsi
berikut :
1. f(t) = 1
2. f(t) = t
3. f(t) = t2
4. f(t) = t3
5. f(t) = tn
4KPB-6-firda
1. Transformasi Laplace dari fungsi f(t) = 1
1
lim
0
s t
b
b
e
s
−
→∞
 −
=  
 
0 0
[1] .1 lim
b
st st
b
L e dt e dt
∞
− −
→ ∞
= =∫ ∫
( )1
lim 1sb
b
e
s
−
→∞
= −
−
( )
1 1
0 1
s s
= − =
−
[ ]
1
( ) 1 ( ) [1] 0f t F s L s
s
= ⇔ = = >
Bila s > 0 maka limit akan ada dan berhingga
I / 5KPB-6-firda
2. TL dari Fungsi (t) = t
0 0
[ ] lim
b
st st
b
L t e t dt e t dt
∞
− −
→∞
= =∫ ∫
0
1 1
lim
0
b
st st
b
b
t e e dt
s s
− −
→∞
 
= + 
−  
∫
0
1 1
lim . lim
b
st
sbb b
b
e dt
s se
−
→∞ →∞
= +
− ∫
[ ]2
1
( ) ( ) [ ] 0f t t F s L t s
s
= ⇔ = = >
1
s
I / 6KPB-6-firda
3. TL dari Fungsi f(t) = t2
2 2 2
0 0
[ ] lim
b
st st
b
L t e t dt e t dt
∞
− −
→∞
= =∫ ∫
2
0
1 2
lim
0
b
st st
b
b
t e e t dt
s s
− −
→∞
 
= + 
−  
∫
2
0
1 2
lim lim
b
st
sbb b
b
e t dt
s se
−
→∞ →∞
= +
− ∫
[ ]2 2
3
2
( ) ( ) [ ] 0f t t F s L t s
s
= ⇔ = = >
2
1
s
I / 7
4. Transformasi Laplace dari Fungsi
[ ]
1
( ) 1 ( ) [1] 0f t F s L s
s
= ⇔ = = >
[ ]2
1
( ) ( ) [ ] 0f t t F s L t s
s
= ⇔ = = >
[ ]2 2
3
2
( ) ( ) [ ] 0f t t F s L t s
s
= ⇔ = = >
[ ]3 3
4
6
( ) ( ) [ ] 0f t t F s L t s
s
= ⇔ = = >
[ ]1
!
( ) ( ) [ ] 0n n
n
n
f t t F s L t s
s +
= ⇔ = = >
2 1
2.1
( )F s
s +
=
3 1
3.2.1
( )F s
s +
=
( ) n
f t t=
I / 8
KPB-6-firda
5. TL dari Fungsi ( ) at
f t e=
0
[ ]at st at
L e e e dt
∞
−
= ∫
( )
0
lim
b
s a t
b
e dt
− −
→∞
= ∫
( )1
lim
0
s a t
b
b
e
s a
− −
→∞
 
= − ÷
− 
( ) 01
lim s a b
b
e e
s a
− −
→∞
   = − − ÷  − 
( )
1 1
lim 1s a bbs a e −→∞
  
= − − ÷  −   
Bila s – a > 0
maka limit
ada dan
berhingga
I / 9KPB-6-firda
1
[ ] .at
L e
s a
=
−
1
( ) ( ) [ ]at at
f t e F s L e
s a
= ⇔ = =
−
I / 10KPB-6-firda
( ) sinf t at=
0 0
[sin ] sin lim sin
b
st st
b
L at e at dt at e dt
∞
− −
→∞
= =∫ ∫
6. TL dari fungsi
0
1 1
limsin lim cos
0
b
st st
b b
b
at e e a at dt
s s
− −
→∞ →∞
 
= − + ÷
 
∫
0
lim cos .
b
st
b
a
at e dt
s
−
→∞
= ∫
0
1
lim cos lim sin .
0
b
st st
b b
ba a
at e at e dt
s s s
− −
→∞ →∞
   
= − −  ÷ 
   
∫
2
2 2
0
lim sin .
b
st
b
a a
at e dt
s s
−
→∞
= − ∫
bentuk
udv∫
I / 11KPB-6-firda
2
2 2
0
sin . sta a
at e dt
s s
∞
−
= − ∫
0
[sin ] sin st
L at at e dt
∞
−
= ∫
2
2 2
0 0
sin . sin .st sta a
at e dt at e dt
s s
∞ ∞
− −
+ =∫ ∫
2
2 2
0
1 sin . sta a
at e dt
s s
∞
− 
+ = ÷
 
∫
2
2 2 2 2 2
0
sin . .st a s a
at e dt
s s a s a
∞
−
= =
+ +∫
2 2
( ) sin ( ) [sin ]
a
f t at F s L at
s a
= ⇔ = =
+
I / 12
KPB-6-firda
Tabel Transformasi Laplace
1
!
n
n
s +
1
s a−
2 2
a
s a+
2 2
s
s a+
2 2
a
s a−
2 2
s
s a−
at
e
n
t
sin at
cos at
sinh at
cosh at
s a>
0s >
( )f t [ ( )] ( )L f t F s=
1
1
s
13
Sifat Transformasi Laplace
• Keberadaan :Transformasi Laplace dari f(t) dengan t ≥
0 ada bila f(t) kontinu bagian demi bagian dan terbatas
eksponensial untuk t ≥ 0
• Ketunggalan : Transformasi Laplace dari suatu fungsi
adalah tunggal yaitu bila F1(s) dan F2(s) merupakan
transformasi Laplace dari f(t) maka F1(s) = F2(s)
I / 14KPB-6-firda
Fungsi Kontinu Bagian demi Bagian dan
Fungsi Terbatas Eksponensial
Fungsi f(t) disebut kontinu bagian demi bagian pada
interval [ a,b ] bila
1. Interval [ a,b ] dapat dibagi menjadi sub-sub interval
yang berhingga banyaknya yang menyebabkan f(t)
kontinu pada sub-sub interval tersebut
2. Limit dari f(t) pada setiap ujung sub interval bernilai
hingga
Fungsi f(t) disebut terbatas eksponensial pada interval
[a,b ] bila terdapat bilangan real M dan r sehingga
berlaku| ( ) | [ , ]rt
f t Me t a b≤ ∀ ∈
2
x
y e=Fungsi tidak terbatas eksponensial
15KPB-6-firda
Contoh Grafik
Fungsi Kontinu Bagian demi Bagian dan
Fungsi Terbatas Eksponensial
a b
16KPB-6-firda
Tidak kontinu bagian demi bagian Tidak terbatas eksponensial
17KPB-6-firda
( ) ( )( ) ( ) ( )L a f t b g t a F s bG s+ = +
Sifat Linear Transformasi Laplace:
Bukti:
( ) ( )( )
0
( ( ) ( ))st
L a f t b g t e af t bg t dt
∞
−
+ = +∫
0 0
. ( ) . ( )st st
e af t dt e bg t dt
∞ ∞
− −
= +∫ ∫
0 0
. ( ) . ( )st st
a e f t dt b e g t dt
∞ ∞
− −
= +∫ ∫
( ) ( )a F s bG s= + terbukti
18KPB-6-firda
5
( ) 3 t
f t e−
=
1 3
( ) 3. .
5 5
F s
s s
= =
+ +
Contoh :
1. Tentukan TL dari
Jawab :
5
( ) 3 t
F s L e−
 =  
5
3. t
L e−
 =  
I / 19KPB-6-firda
( )
2
( ) 2f t t= +
( )
2 2
( ) 2 4 4f t t t t= + = + +
2
3 2 3
2 4 42 4 4
( ) .
s s
F s
ss s s
+ +
= + + =
2. Tentukan TL dari
Jawab :
2
( ) ( 4 4)F s L t t= + +
2
( ) 4 ( ) 4 (1)L t L t L= + +
I / 20KPB-6-firda
4 3
cos5t
L e t t + − = 3.
4 2
1 6
4 25
s
s s s
= + −
− +
4
4. 3sinh 4 4L t t − = 
2 5
12 48
16s s
= −
−
4 2
1 3!
4 25
s
s s s
+ −
− +
2 5
4 4!
3. 4.
16s s
−
−
I / 21KPB-6-firda
1 1 at
L e
s a
−  
= ÷
− 
( )1
( ) ( )f t L F s−
=
Invers Transformasi Laplace
( ) ( ) ( )1 1 1
( ) ( ) ( ) ( )L c F s dG s cL F s dL G s− − −
+ = +
I / 22KPB-6-firda
( )
4s3s
1
sF 2
−−
=
( )
( ) ( )2
1 1
3 4 4 1
F s
s s s s
= =
− − − +
1 1
5 5
( )
4 1
F s
s s
−
= +
− +
4
1 1/ 5 1/ 5
( ) .
4 1 5 5
t t
e e
f t L
s s
−
−  
= − = − − + 
4 1
A B
s s
= +
− +
1 1 at
L e
s a
−  
= ÷
− 
2. Tentukan f(t) dari
Jawab :
Maka
diperoleh A=1/5, B=-1/5.
Contoh:
1 41
1.
4
t
L e
s
− − 
= ÷
+ 
I / 23KPB-6-firda
Soal Latihan
1. Tentukan Transformasi Laplace dari fungsi
a) f(t) = sinh at
b) f(t) = cosh at
2. Tentukan invers dari
2
. ( )
3 2
s
a F s
s s
=
+ +
2
. ( )
9
s
b F s
s
=
−
2
3 12
. ( )
( 8)( 1)
s
c F s
s s
−
=
+ −
2
2
4 2 1
. ( )
( 2)( 3)
s s
d F s
s s
+ −
=
+ −
2
1 2 1
. ( )
2 5 36
s
e F s
s s
−
= +
+ +
I / 24KPB-6-firda
Misal fungsi f(t) mempunyai transformasi Laplace,
F(s) = L ( f(t) ), maka transformasi Laplace dari fungsi
g(t) = eat
f(t) adalah
( ) ( )
0
( ) ( )at st at
L e f t e e f t dt
∞
−
= ∫
( )
0
( )
s a t
e f t dt
∞
− −
= ∫ ( )F s a= −
Invers Transformasi Laplace :
( )( ) )t(feasFL
at1
=−
−
Pergeseran terhadap sumbu s
25KPB-6-firda
( ) sin 3f t t=
2
( ) ( )t
g t e f t=
2
3
( )
9
F s
s
=
+
Tentukan TL dari
2
( ) sin 3t
g t e t=


( )
2
3
( ) ( 2)
2 9
G s F s
s
= − =
− +
( ) ( )( )at
L e f t F s a= −
Contoh:
Jawab :
26KPB-6-firda
( )
2
1 1
s
s
=
+ + ( ) ( )
2 2
1 1
1 1 1 1
s
s s
+
= −
+ + + +
1 2
( )
1
s
F s
s
=
+
2 2
1
( )
1
F s
s
−
=
+
2
( )
2 2
s
G s
s s
=
+ +
Contoh
Tentukan Invers dari :
Jawab :
2
( )
2 2
s
G s
s s
=
+ +
1( ) cosf t t→ =
2 ( ) sinf t t→ = −
Maka
1 2( ) ( 1) ( 1) ( ) (cos sin ).t
G s F s F s g t e t t−
= + + + → = −
1 1 2 2( ) ( 1), ( ) ( 1)G s F s G s F s= + = +
1( )G s
2 ( )G s
27KPB-6-firda
Soal Latihan
1. Tentukan Transformasi Laplace dari fungsi :
a)
b)
2. Cari f(t) untuk F(s) berikut :
a)
b)
2 2
( ) t
f t t e−
=
( ) t
f t e Cos t−
=
2
2
4 5
s
s s
−
− +
( )
2
2 1
1 4
s
s
+
+ +
28KPB-6-firda
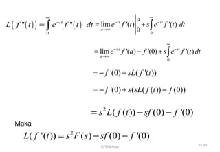
• Misal fungsi f(t) dan turunannya kontinu dan terbatas
eksponensial, maka f(t) dan f ’(t) mempunyai transformasi
Laplace
• Transformasi Laplace dari turunan orde n fungsi f(t) ditentukan
sebagai berikut :
0
lim ( ) ( )
0
st st
a
a
e f t s e f t dt
∞
− −
→∞
= + ∫
[ '( )] ( ( )) (0)L f t sL f t f= −
TL dari turunan fungsi tingkat-n
( )( ) ( )
0
' 'st
L f t e f t dt
∞
−
= ∫
0
lim ( ) (0) ( )sa st
a
e f a f s e f t dt
∞
− −
→∞
= − + ∫
(0) ( ( ))f sL f t= − +
[ '( )] ( ) (0)L f t sF s f= −atau
I / 29KPB-6-firda
( )( ) ( )
0
'' ''st
L f t e f t dt
∞
−
= ∫
2
( ( )) (0) '(0)s L f t sf f= − −
0
lim '( ) '( )
0
st st
a
a
e f t s e f t dt
∞
− −
→∞
= + ∫
0
lim '( ) '(0) '( )sa st
a
e f a f s e f t dt
∞
− −
→∞
= − + ∫
'(0) ( '( ))f sL f t= − +
'(0) ( ( ( )) (0))f s sL f t f= − + −
2
( ''( )) ( ) (0) '(0)L f t s F s sf f= − −
Maka
I / 30KPB-6-firda
( )( ) 3 2
"' ( ) (0) '(0) ''(0)L f t s F s s f sf f= − − −
( )
( )( ) ( )11 2
( ) (0) '(0) ... (0)n nn n n
L f t s F s s f s f f −− −
= − − − −
Sehingga kita peroleh:
[ '( )] ( ) (0)L f t sF s f= −
2
( ''( )) ( ) (0) '(0)L f t s F s sf f= − −
I / 31KPB-6-firda
Tentukan dulu turunan fungsi sampai tingkat ke –2 , dan evaluasi di 0;
 f(t) = sin at  f( 0 ) = 0
 f ‘ (t) = a cos at  f ‘ ( 0 ) = a
 f “ (t) = - a2
sin at
Contoh : Tentukan TL dari f(t) = sin at
( )( ) 2
" ( ( )) (0) '(0)L f t s L f t sf f= − −
( ) ( )2 2
sin sin (0) '(0)L a at s L at sf f− = − −
( ) 2 2
sin
a
L at
s a
=
+
Invers Transformasi : 1
2 2
1 sin at
L
s a a
−  
= ÷
+ 
( )2 2
sin (sin )s L at a L at a+ =
I / 32
( ) 2 2
sin ( )L at s a a+ =
KPB-6-firda
Tentukan TL dari fungsi berikut :
1. f(t) = sin 2t
2. f(t) = cos at
3. f(t) = sin ( t – ½ π)
4. f(t) = cos ( t + π )
5. f(t) = sin2
t
6. f(t) = cos2
t
Soal Latihan
I / 33KPB-6-firda
• Bentuk persamaan diferensial koefisien konstan dengan
nilai awal dinamakan masalah nilai awal.
• Contoh :
• Dengan mengasumsikan y(t) = f(t) maka didapatkan :
Masalah Nilai Awal
" ' ( )
(0) , '(0)
a y b y c y r t
y k y m
+ + =
= =
( ) ( )' (0)L y sL y y= −
( ) ( )2
" (0) '(0)L y s L y sy y= − −
I / 34KPB-6-firda
Contoh : Tentukan Solusi Masalah Nilai Awal
" 3 ' 2 ; (0) 1, '(0) 0y y y t y y+ + = = − =
( )" 3 ' 2 ( )L y y y L t+ + =
( ) ( )2
2
1
3 2 ( ) 3 ,s s L y s
s
+ + = − + ( )
( ) ( )
3 2
2
3 1
2 1
s s
L y
s s s
− − +
→ =
+ +
( )
( )2
3 1 3 1
4 2 4 2 1
L y
s s s s
−
= + + −
+ +
( ) 23 3
4 2 4
t tt
y t e e− −−
= + + −
Jawab ;
selesaikan dengan pecahan parsial, diperoleh
Maka
I / 35KPB-6-firda
Soal Latihan
Tentukan solusi dari masalah nilai awal berikut dengan Laplace:
1. y ”+ 2 y ’- 8y = 0, y(0) = 0, y ‘(0) = 6
2. y “ + 4y = 1 – 2 t, y(0) = y ‘(0) = 0
3. y “ – 2 y ‘ – 3y = 1, y(0) = 1 , y ‘(0) = 0
4. y “ + 4y = 0, y(0) = -1 , y ‘(0) = 0
5. y “ - 4y = e2t
, y(0)= 0, y ‘(0) =1
6. y “ – 4 y ‘ = sin t, y(0) = y ‘ (0) = 0
36KPB-6-firda

Transformasi Laplace

  • 1.
  • 2.
    Definisi Transformasi Laplace Misalfungsi f(t) terdefinisi untuk t >0, maka Transformasi Laplace dari f(t) didefinisikan sebagai: 0 0 [ ( )] ( ) lim ( ) b st s t b L f t e f t dt e f t dt ∞ − − →∞ = =∫ ∫ Agar diperoleh TL dari fungsi f(t) maka Integral Tak Wajar harus konvergen (Nilai limit ada dan berhingga). I / 2KPB-6-firda
  • 3.
    • Transformasi Laplace(TL) merupakan klas dari Transformasi Integral • Penggunaan Transformasi Laplace : – Merubah bentuk PDB menjadi persamaan aljabar Notasi: L[f(t)]=F(s) I / 3KPB-6-firda
  • 4.
    Akan ditentukan TransformasiLaplace dari fungsi berikut : 1. f(t) = 1 2. f(t) = t 3. f(t) = t2 4. f(t) = t3 5. f(t) = tn 4KPB-6-firda
  • 5.
    1. Transformasi Laplacedari fungsi f(t) = 1 1 lim 0 s t b b e s − →∞  − =     0 0 [1] .1 lim b st st b L e dt e dt ∞ − − → ∞ = =∫ ∫ ( )1 lim 1sb b e s − →∞ = − − ( ) 1 1 0 1 s s = − = − [ ] 1 ( ) 1 ( ) [1] 0f t F s L s s = ⇔ = = > Bila s > 0 maka limit akan ada dan berhingga I / 5KPB-6-firda
  • 6.
    2. TL dariFungsi (t) = t 0 0 [ ] lim b st st b L t e t dt e t dt ∞ − − →∞ = =∫ ∫ 0 1 1 lim 0 b st st b b t e e dt s s − − →∞   = +  −   ∫ 0 1 1 lim . lim b st sbb b b e dt s se − →∞ →∞ = + − ∫ [ ]2 1 ( ) ( ) [ ] 0f t t F s L t s s = ⇔ = = > 1 s I / 6KPB-6-firda
  • 7.
    3. TL dariFungsi f(t) = t2 2 2 2 0 0 [ ] lim b st st b L t e t dt e t dt ∞ − − →∞ = =∫ ∫ 2 0 1 2 lim 0 b st st b b t e e t dt s s − − →∞   = +  −   ∫ 2 0 1 2 lim lim b st sbb b b e t dt s se − →∞ →∞ = + − ∫ [ ]2 2 3 2 ( ) ( ) [ ] 0f t t F s L t s s = ⇔ = = > 2 1 s I / 7
  • 8.
    4. Transformasi Laplacedari Fungsi [ ] 1 ( ) 1 ( ) [1] 0f t F s L s s = ⇔ = = > [ ]2 1 ( ) ( ) [ ] 0f t t F s L t s s = ⇔ = = > [ ]2 2 3 2 ( ) ( ) [ ] 0f t t F s L t s s = ⇔ = = > [ ]3 3 4 6 ( ) ( ) [ ] 0f t t F s L t s s = ⇔ = = > [ ]1 ! ( ) ( ) [ ] 0n n n n f t t F s L t s s + = ⇔ = = > 2 1 2.1 ( )F s s + = 3 1 3.2.1 ( )F s s + = ( ) n f t t= I / 8 KPB-6-firda
  • 9.
    5. TL dariFungsi ( ) at f t e= 0 [ ]at st at L e e e dt ∞ − = ∫ ( ) 0 lim b s a t b e dt − − →∞ = ∫ ( )1 lim 0 s a t b b e s a − − →∞   = − ÷ −  ( ) 01 lim s a b b e e s a − − →∞    = − − ÷  −  ( ) 1 1 lim 1s a bbs a e −→∞    = − − ÷  −    Bila s – a > 0 maka limit ada dan berhingga I / 9KPB-6-firda
  • 10.
    1 [ ] .at Le s a = − 1 ( ) ( ) [ ]at at f t e F s L e s a = ⇔ = = − I / 10KPB-6-firda
  • 11.
    ( ) sinft at= 0 0 [sin ] sin lim sin b st st b L at e at dt at e dt ∞ − − →∞ = =∫ ∫ 6. TL dari fungsi 0 1 1 limsin lim cos 0 b st st b b b at e e a at dt s s − − →∞ →∞   = − + ÷   ∫ 0 lim cos . b st b a at e dt s − →∞ = ∫ 0 1 lim cos lim sin . 0 b st st b b ba a at e at e dt s s s − − →∞ →∞     = − −  ÷      ∫ 2 2 2 0 lim sin . b st b a a at e dt s s − →∞ = − ∫ bentuk udv∫ I / 11KPB-6-firda
  • 12.
    2 2 2 0 sin .sta a at e dt s s ∞ − = − ∫ 0 [sin ] sin st L at at e dt ∞ − = ∫ 2 2 2 0 0 sin . sin .st sta a at e dt at e dt s s ∞ ∞ − − + =∫ ∫ 2 2 2 0 1 sin . sta a at e dt s s ∞ −  + = ÷   ∫ 2 2 2 2 2 2 0 sin . .st a s a at e dt s s a s a ∞ − = = + +∫ 2 2 ( ) sin ( ) [sin ] a f t at F s L at s a = ⇔ = = + I / 12 KPB-6-firda
  • 13.
    Tabel Transformasi Laplace 1 ! n n s+ 1 s a− 2 2 a s a+ 2 2 s s a+ 2 2 a s a− 2 2 s s a− at e n t sin at cos at sinh at cosh at s a> 0s > ( )f t [ ( )] ( )L f t F s= 1 1 s 13
  • 14.
    Sifat Transformasi Laplace •Keberadaan :Transformasi Laplace dari f(t) dengan t ≥ 0 ada bila f(t) kontinu bagian demi bagian dan terbatas eksponensial untuk t ≥ 0 • Ketunggalan : Transformasi Laplace dari suatu fungsi adalah tunggal yaitu bila F1(s) dan F2(s) merupakan transformasi Laplace dari f(t) maka F1(s) = F2(s) I / 14KPB-6-firda
  • 15.
    Fungsi Kontinu Bagiandemi Bagian dan Fungsi Terbatas Eksponensial Fungsi f(t) disebut kontinu bagian demi bagian pada interval [ a,b ] bila 1. Interval [ a,b ] dapat dibagi menjadi sub-sub interval yang berhingga banyaknya yang menyebabkan f(t) kontinu pada sub-sub interval tersebut 2. Limit dari f(t) pada setiap ujung sub interval bernilai hingga Fungsi f(t) disebut terbatas eksponensial pada interval [a,b ] bila terdapat bilangan real M dan r sehingga berlaku| ( ) | [ , ]rt f t Me t a b≤ ∀ ∈ 2 x y e=Fungsi tidak terbatas eksponensial 15KPB-6-firda
  • 16.
    Contoh Grafik Fungsi KontinuBagian demi Bagian dan Fungsi Terbatas Eksponensial a b 16KPB-6-firda
  • 17.
    Tidak kontinu bagiandemi bagian Tidak terbatas eksponensial 17KPB-6-firda
  • 18.
    ( ) ()( ) ( ) ( )L a f t b g t a F s bG s+ = + Sifat Linear Transformasi Laplace: Bukti: ( ) ( )( ) 0 ( ( ) ( ))st L a f t b g t e af t bg t dt ∞ − + = +∫ 0 0 . ( ) . ( )st st e af t dt e bg t dt ∞ ∞ − − = +∫ ∫ 0 0 . ( ) . ( )st st a e f t dt b e g t dt ∞ ∞ − − = +∫ ∫ ( ) ( )a F s bG s= + terbukti 18KPB-6-firda
  • 19.
    5 ( ) 3t f t e− = 1 3 ( ) 3. . 5 5 F s s s = = + + Contoh : 1. Tentukan TL dari Jawab : 5 ( ) 3 t F s L e−  =   5 3. t L e−  =   I / 19KPB-6-firda
  • 20.
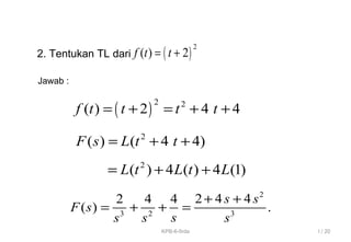
    ( ) 2 ( )2f t t= + ( ) 2 2 ( ) 2 4 4f t t t t= + = + + 2 3 2 3 2 4 42 4 4 ( ) . s s F s ss s s + + = + + = 2. Tentukan TL dari Jawab : 2 ( ) ( 4 4)F s L t t= + + 2 ( ) 4 ( ) 4 (1)L t L t L= + + I / 20KPB-6-firda
  • 21.
    4 3 cos5t L et t + − = 3. 4 2 1 6 4 25 s s s s = + − − + 4 4. 3sinh 4 4L t t − =  2 5 12 48 16s s = − − 4 2 1 3! 4 25 s s s s + − − + 2 5 4 4! 3. 4. 16s s − − I / 21KPB-6-firda
  • 22.
    1 1 at Le s a −   = ÷ −  ( )1 ( ) ( )f t L F s− = Invers Transformasi Laplace ( ) ( ) ( )1 1 1 ( ) ( ) ( ) ( )L c F s dG s cL F s dL G s− − − + = + I / 22KPB-6-firda
  • 23.
    ( ) 4s3s 1 sF 2 −− = () ( ) ( )2 1 1 3 4 4 1 F s s s s s = = − − − + 1 1 5 5 ( ) 4 1 F s s s − = + − + 4 1 1/ 5 1/ 5 ( ) . 4 1 5 5 t t e e f t L s s − −   = − = − − +  4 1 A B s s = + − + 1 1 at L e s a −   = ÷ −  2. Tentukan f(t) dari Jawab : Maka diperoleh A=1/5, B=-1/5. Contoh: 1 41 1. 4 t L e s − −  = ÷ +  I / 23KPB-6-firda
  • 24.
    Soal Latihan 1. TentukanTransformasi Laplace dari fungsi a) f(t) = sinh at b) f(t) = cosh at 2. Tentukan invers dari 2 . ( ) 3 2 s a F s s s = + + 2 . ( ) 9 s b F s s = − 2 3 12 . ( ) ( 8)( 1) s c F s s s − = + − 2 2 4 2 1 . ( ) ( 2)( 3) s s d F s s s + − = + − 2 1 2 1 . ( ) 2 5 36 s e F s s s − = + + + I / 24KPB-6-firda
  • 25.
    Misal fungsi f(t)mempunyai transformasi Laplace, F(s) = L ( f(t) ), maka transformasi Laplace dari fungsi g(t) = eat f(t) adalah ( ) ( ) 0 ( ) ( )at st at L e f t e e f t dt ∞ − = ∫ ( ) 0 ( ) s a t e f t dt ∞ − − = ∫ ( )F s a= − Invers Transformasi Laplace : ( )( ) )t(feasFL at1 =− − Pergeseran terhadap sumbu s 25KPB-6-firda
  • 26.
    ( ) sin3f t t= 2 ( ) ( )t g t e f t= 2 3 ( ) 9 F s s = + Tentukan TL dari 2 ( ) sin 3t g t e t=   ( ) 2 3 ( ) ( 2) 2 9 G s F s s = − = − + ( ) ( )( )at L e f t F s a= − Contoh: Jawab : 26KPB-6-firda
  • 27.
    ( ) 2 1 1 s s = ++ ( ) ( ) 2 2 1 1 1 1 1 1 s s s + = − + + + + 1 2 ( ) 1 s F s s = + 2 2 1 ( ) 1 F s s − = + 2 ( ) 2 2 s G s s s = + + Contoh Tentukan Invers dari : Jawab : 2 ( ) 2 2 s G s s s = + + 1( ) cosf t t→ = 2 ( ) sinf t t→ = − Maka 1 2( ) ( 1) ( 1) ( ) (cos sin ).t G s F s F s g t e t t− = + + + → = − 1 1 2 2( ) ( 1), ( ) ( 1)G s F s G s F s= + = + 1( )G s 2 ( )G s 27KPB-6-firda
  • 28.
    Soal Latihan 1. TentukanTransformasi Laplace dari fungsi : a) b) 2. Cari f(t) untuk F(s) berikut : a) b) 2 2 ( ) t f t t e− = ( ) t f t e Cos t− = 2 2 4 5 s s s − − + ( ) 2 2 1 1 4 s s + + + 28KPB-6-firda
  • 29.
    • Misal fungsif(t) dan turunannya kontinu dan terbatas eksponensial, maka f(t) dan f ’(t) mempunyai transformasi Laplace • Transformasi Laplace dari turunan orde n fungsi f(t) ditentukan sebagai berikut : 0 lim ( ) ( ) 0 st st a a e f t s e f t dt ∞ − − →∞ = + ∫ [ '( )] ( ( )) (0)L f t sL f t f= − TL dari turunan fungsi tingkat-n ( )( ) ( ) 0 ' 'st L f t e f t dt ∞ − = ∫ 0 lim ( ) (0) ( )sa st a e f a f s e f t dt ∞ − − →∞ = − + ∫ (0) ( ( ))f sL f t= − + [ '( )] ( ) (0)L f t sF s f= −atau I / 29KPB-6-firda
  • 30.
    ( )( )( ) 0 '' ''st L f t e f t dt ∞ − = ∫ 2 ( ( )) (0) '(0)s L f t sf f= − − 0 lim '( ) '( ) 0 st st a a e f t s e f t dt ∞ − − →∞ = + ∫ 0 lim '( ) '(0) '( )sa st a e f a f s e f t dt ∞ − − →∞ = − + ∫ '(0) ( '( ))f sL f t= − + '(0) ( ( ( )) (0))f s sL f t f= − + − 2 ( ''( )) ( ) (0) '(0)L f t s F s sf f= − − Maka I / 30KPB-6-firda
  • 31.
    ( )( )3 2 "' ( ) (0) '(0) ''(0)L f t s F s s f sf f= − − − ( ) ( )( ) ( )11 2 ( ) (0) '(0) ... (0)n nn n n L f t s F s s f s f f −− − = − − − − Sehingga kita peroleh: [ '( )] ( ) (0)L f t sF s f= − 2 ( ''( )) ( ) (0) '(0)L f t s F s sf f= − − I / 31KPB-6-firda
  • 32.
    Tentukan dulu turunanfungsi sampai tingkat ke –2 , dan evaluasi di 0;  f(t) = sin at  f( 0 ) = 0  f ‘ (t) = a cos at  f ‘ ( 0 ) = a  f “ (t) = - a2 sin at Contoh : Tentukan TL dari f(t) = sin at ( )( ) 2 " ( ( )) (0) '(0)L f t s L f t sf f= − − ( ) ( )2 2 sin sin (0) '(0)L a at s L at sf f− = − − ( ) 2 2 sin a L at s a = + Invers Transformasi : 1 2 2 1 sin at L s a a −   = ÷ +  ( )2 2 sin (sin )s L at a L at a+ = I / 32 ( ) 2 2 sin ( )L at s a a+ = KPB-6-firda
  • 33.
    Tentukan TL darifungsi berikut : 1. f(t) = sin 2t 2. f(t) = cos at 3. f(t) = sin ( t – ½ π) 4. f(t) = cos ( t + π ) 5. f(t) = sin2 t 6. f(t) = cos2 t Soal Latihan I / 33KPB-6-firda
  • 34.
    • Bentuk persamaandiferensial koefisien konstan dengan nilai awal dinamakan masalah nilai awal. • Contoh : • Dengan mengasumsikan y(t) = f(t) maka didapatkan : Masalah Nilai Awal " ' ( ) (0) , '(0) a y b y c y r t y k y m + + = = = ( ) ( )' (0)L y sL y y= − ( ) ( )2 " (0) '(0)L y s L y sy y= − − I / 34KPB-6-firda
  • 35.
    Contoh : TentukanSolusi Masalah Nilai Awal " 3 ' 2 ; (0) 1, '(0) 0y y y t y y+ + = = − = ( )" 3 ' 2 ( )L y y y L t+ + = ( ) ( )2 2 1 3 2 ( ) 3 ,s s L y s s + + = − + ( ) ( ) ( ) 3 2 2 3 1 2 1 s s L y s s s − − + → = + + ( ) ( )2 3 1 3 1 4 2 4 2 1 L y s s s s − = + + − + + ( ) 23 3 4 2 4 t tt y t e e− −− = + + − Jawab ; selesaikan dengan pecahan parsial, diperoleh Maka I / 35KPB-6-firda
  • 36.
    Soal Latihan Tentukan solusidari masalah nilai awal berikut dengan Laplace: 1. y ”+ 2 y ’- 8y = 0, y(0) = 0, y ‘(0) = 6 2. y “ + 4y = 1 – 2 t, y(0) = y ‘(0) = 0 3. y “ – 2 y ‘ – 3y = 1, y(0) = 1 , y ‘(0) = 0 4. y “ + 4y = 0, y(0) = -1 , y ‘(0) = 0 5. y “ - 4y = e2t , y(0)= 0, y ‘(0) =1 6. y “ – 4 y ‘ = sin t, y(0) = y ‘ (0) = 0 36KPB-6-firda