μικρές προσπάθειες ενασχόλησης
με αγαπημένες μας συνήθειες
γιατι ... εχουμε μερακι
... Μας τίμησαν με τη συμμετοχή τους
Ασημακόπουλος Γιώργος
Βιώνης Παναγιώτης
Γκριμπαβιώτης Παναγιώτης
Δεββές Κώστας
Ελευθερίου Νίκος
Μόσιος Κωνσταντίνος
Μπεληγιάννης Αθανάσιος
Παγώνης Θεόδωρος
Τρύφων Παύλος
Χαλικιόπουλος Σπύρος
Ψαθά Ντίνα
1η Α σ κ η σ η
Μαθηματικά Γ Λυκείου προσ/σμού
1ο κεφ – όριο/συνέχεια συνάρτησης
Προτείνουν οι
Θεόδωρος Παγώνης – Παύλος Τρύφων (17/9/2017)
___________________________________________________________________________
1η ΑΣΚΗΣΗ η άσκηση της ημέρας από το http://lisari.blogspot.gr σχ. έτος 2018-΄19
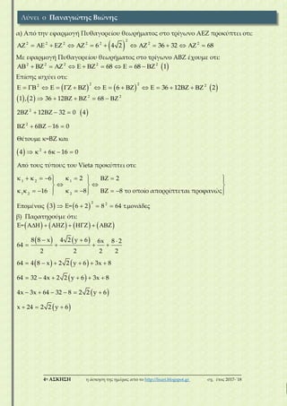
α) Το 2 και το 1 δεν ανήκουν στο πεδίο ορισμού της f άρα θα πρέπει να μηδενίζουν τον
παρονομαστή 2
x x   
Οπότε
 
4 2 0 2 4
1, 2
1 0 1
                
         
               
Το πεδίο ορισμού της
1
f
είναι το
   A x :x 2,x 1,x k 0 2,1, k          
Δίνεται ότι
2 A 2 k k 2      
Άρα πράγματι
  2
x 2
f x
x x 2


 
β) Πρόσημο τριωνύμου 2
x x 2 : 
Άρα
       2 2x 1 x 1 x 1
x 2 1
lim f x lim lim x 2 1
x x 2 x x 2
  
  
 
        
    
       2 2x 2 x 2 x 2
x 2 1
lim f x lim lim x 2 4
x x 2 x x 2
  
  
 
        
    
γ) Για το όριο
x 0
x
K limf
x
 
  
 
κάνουμε την αντικατάσταση
x
w
x


Τότε
x 0 x 0
x
w 1
x
lim lim
 

 
και για x κοντά στο 0ισχύει
x 0
x 0
x
x x 1 w 1
x
x x x x x
x
x x 1 w 1
x
 
 
 
     

       

     

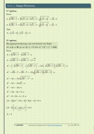
Λύνει ο Θεόδωρος Παγώνης- Παύλος Τρύφων
___________________________________________________________________________
1η ΑΣΚΗΣΗ η άσκηση της ημέρας από το http://lisari.blogspot.gr σχ. έτος 2018-΄19
Άρα
 
 
x 0 w 1
x
limf lim f w
x


 
 
      
 
Για το όριο 4 2x
4
1
lim
2x x
f
1 x

 
 
 
 
κάνουμε την αντικατάσταση
4 2
4
2x x
w
1 x



Τότε
x x x
4 2 4
4 4
2x x 2x
w 2
1 x x
lim lim lim
  

   
 
και για x 2018 ισχύει
4 2
4
2x x
w 2
1 x

  

αφού
 
4 2
4 2 4 2
4
2x x
2 2x x 2 1 x x 2, ύ
1 x

           

Άρα
   
 
4 2x w 2
w 2
4
1 1 1 1
lim lim 0
2x x f w lim f w
f
1 x



 

     
  
 
 
___________________________________________________________________________
1η ΑΣΚΗΣΗ η άσκηση της ημέρας από το http://lisari.blogspot.gr σχ. έτος 2018-΄19
α) Αφού το -2 και το 1 δεν ανήκουν στο πεδίο ορισμού της συνάρτησης πρέπει να
μηδενίζουν τον παρονομαστή.
Οπότε
-2λ + μ = -4
λ + μ = -1
Και λύνοντας το σύστημα βρίσκουμε λ=1 και μ=-2.
Επίσης το 2 μηδενίζει τον αριθμητή, άρα κ=-2 και η συνάρτηση γίνεται:
2
x - 2
f(x) =
x + x - 2
β)
x 1 x 1 x 1
x 2 1 x 2 1
lim f(x) lim lim ( )( )
(x 2)(x 1) x 1 x 2 3
  
  
 
      
   
x 2 x 2 x 2
x 2 1 x 2 4
lim f(x) lim lim ( )( )
(x 2)(x 1) x 2 x 1 3
  
  
 
      
   
γ) Θέτουμε
x
u
x

 και
x 0 x 0
x
lim u lim 1
x 

  οπότε
2u 1 u 1 u 1 u 1
u 2 u 2 1 u 2 1
limf(u) lim lim lim ( )( )
u u 2 (u 2)(u 1) (u 1) u 2 3   
  
       
     
Αφού 1 u 1 1 u 1 2 u 1 0

               

άρα το
u 1
1
lim
u 1
 

. Δηλαδή το Κ=+∞
4 2x u 2 u 2
4
1 1 (u 2)(u 1)
lim lim lim 0
2x x f(u) u 2f( )
1 x
  
 
    
 

όπου
4 2
4
2x x
u
1 x



και
4 2
4x x
2x x
limu lim 2
1 x 

  

Λύνει ο Γιώργος Ασημακόπουλος
___________________________________________________________________________
1η ΑΣΚΗΣΗ η άσκηση της ημέρας από το http://lisari.blogspot.gr σχ. έτος 2018-΄19
α)
Οι 2 και 1 είναι ρίζες της 2
x x 0     , άρα S 1 1       και P 2    .
Ο 2 είναι ρίζα της f άρα 2 0 2       .
Τελικά   2
x 2
f x
x x 2


 
.
β)
  x 1
x 2
lim
x 2 x 1



 
 
επειδή
x 1
x 2 1
lim
x 2 3



 

και
x 1
1
lim
x 1


 

.
Επίσης
  x 2
x 2
lim
x 2 x 1



 
 
επειδή
x 2
x 2 4
lim
x 1 3





και
x 2
1
lim
x 2


 

.
γ)
i) Για x κοντά στο 0 έχω:
x x
1
x x
 
  αφού *
x x ,x   R .
Αν
x
u
x

 είναι
x 0
limu 1

 και  u 1
lim f u

  από το β), άρα
x 0
x
lim f
x


 
  
 
.
ii) Για x κοντά στο  έχω:
44 2 x 1
4 2 4 2
4
2x x
2 2x x 2 2x x 2
1 x


         

.
Αν
4 2
4
2x x
u
1 x



είναι
x
lim u 2

  και  u 2
lim f u

  από το β),
άρα
4 2
4x
2x x
lim f 0
1 x
 
     
 
.
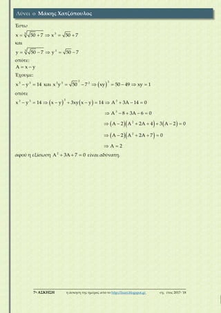
Λύνει ο Κώστας Δεββές
___________________________________________________________________________
1η ΑΣΚΗΣΗ η άσκηση της ημέρας από το http://lisari.blogspot.gr σχ. έτος 2018-΄19
α)
Η f έχει πεδίο ορισμού το  2,1  , οπότε 2
x x 0     για 1
x 2  και 2
x 1 .
Από τους τύπους του Vieta είναι: 1 2
x x 1      και 1 2
x x 2       .
Η
1
f
έχει πεδίο ορισμού το  2 , οπότε x k 0  για x 2 .
Επομένως, k 2  .
Άρα,   2
x 2
f x
x x 2


 
για κάθε  x 2,1   .
β)
Για το πρώτο όριο έχουμε:
       2 2x 1 x 1 x 1
x 2 1
imf x im im x 2 1
x x 2 x x 2
  
  
 
         
    
, αφού:
  x 1
im x 2 1

  

2x 1
1
im
x x 2


 
 
, επειδή  2
x 1
im x x 2 0

   και 2
x x 2 0   κοντά στο 1
Για το δεύτερο όριο έχουμε:
       2 2x 2 x 2 x 2
x 2 1
im f x im im x 2 4
x x 2 x x 2
  
  
 
         
    
, αφού:
  x 2
im x 2 4

  

2x 2
1
im
x x 2


 
 
, επειδή  2
x 2
im x x 2 0

   και 2
x x 2 0   κοντά στο 2
 .
γ)
Για το πρώτο όριο θέτουμε
x
u
x

 . Είναι
x 0
imu 1

 . Για x κοντά στο 0 έχουμε:

x 0 x 0
x
x x x x x x x 1
x
 

           και

x 0 x 0
x
x x x x x x x 1
x
 

          
Οπότε είναι:  x 0 x 1
x
imf imf x K
x
 
 
    
 
.
Για το δεύτερο όριο έχουμε:
4 2 4
4 4x x
2x x 2x
im im 2
1 x x 

  
 
και
Λύνει ο Νίκος Ελευθερίου
___________________________________________________________________________
1η ΑΣΚΗΣΗ η άσκηση της ημέρας από το http://lisari.blogspot.gr σχ. έτος 2018-΄19
 
4 2
4
2x x
v
1 x
4 2x v 2
4
1 1
M im im
2x x f v
f
1 x



 
 
 
 
 
.
Είναι:
  
 v 2 v 2
1
im f v im 0
f v
 
 
    και
 όπως στο προηγούμενο ερώτημα βρίσκουμε:  
 v 2 v 2
1
im f v im 0
f v
 
 
   
Άρα,
     v 2 v 2v 2
1 1 1
im im im 0
f v f v f v
  
     .
___________________________________________________________________________
1η ΑΣΚΗΣΗ η άσκηση της ημέρας από το http://lisari.blogspot.gr σχ. έτος 2018-΄19
Α)
Αφού το (μη μηδενικό) πολυώνυμο x2+λx+μ είναι 2oυ βαθμού και από την υπόθεση το
-2 και το 1 δεν ανήκουν στο πεδίο ορισμού της f, προφανώς αυτές είναι οι δύο ρίζες του.
Άρα:
S = - 2 + 1 ⟹ λ = 1 και P = - 2 ⟹ μ = - 2
Επειδή το 2 δεν ανήκει στο πεδίο ορισμού της 1/f, αυτό σημαίνει ότι το 2 είναι ρίζα του
x+κ, έτσι: 2 + κ = 0 ⟹ κ = - 2.
Από τα παραπάνω προκύπτει ότι:
2
x 2
f(x)
x x 2


 
με πεδίο ορισμού το  f
2,1   R
Β)
2x 1 x 1 x 1 x 1
x 2 x 2 1 x 2 1 ( 1)
limf(x) lim lim lim
x x 2 (x 1)(x 2) x 1 x 2 0 3
       
    
        
      
2x 2 x 2 x 2 x 2
x 2 x 2 1 x 2 1 ( 4)
lim f(x) lim lim lim
x x 2 (x 1)(x 2) x 2 x 1 0 ( 3)
       
    
        
       
Γ)
x 0 u 1
x
limf lim f(u)
x
 
 
   
 
γιατί: θέτω
x
u
x
 
 
 
και όταν x 0, u 1  με u<1, αφού
x x
x x 1 1 1, x
x x
 
          
4 2
4x u 2
2x x
lim f lim f(u)
1 x
 
 
   
 
γιατί: θέτω
4 2
4
2x x
u
1 x
 
 
 
και όταν το x  , u 2 
με u 2  , γιατί
4 2 4
4 4x x
4 2
4 2 4 2
4
2x x 2x
lim lim 2
1 x x
2x x
και αν x 2018 είναι -2 2x x -2 2x x -2 ισχύει.
1 x
 
  
    
   

        

Άρα
4 2x
4
1 1
lim 0
2x x
f
1 x

   
  
 
 
Λύνει ο Σπύρος Χαλικιόπουλος
___________________________________________________________________________
1η ΑΣΚΗΣΗ η άσκηση της ημέρας από το http://lisari.blogspot.gr σχ. έτος 2018-΄19
Α)
2
x + κ
f(x) = , (κ,λ,μ )
x + λx + μ
 R )
 -2Αf  (-2)2+λ(-2)+μ=02λ-μ=4 (1)
 1Αf  12+λ·1+μ=0λ+μ=-1 (1)
(1)+(2)  3λ=3 λ=1μ=-2
Άρα,
2
x + κ
f(x) =
x + x - 2
) και
 -2 1
f
A , ενώ 2Αf γιατί 22+ 2-2≠0f(2)=02+κ=4=0κ=-2
Άρα,
2
x - 2
f(x) =
x + x - 2
), x(-∞, -2)∪(-2, 1)∪(1, +∞)
B)
x 2
f(x) =
(x 1)(x 2)

 
)

x 1 x 1
1 x 2 1
limf(x) lim ( )
x 1 x 2 3
 
 
  
         
    

x 2 x 2
1 x 2 4
lim f(x) lim ( )
x 1 x 2 3
 
 
 
       
  
Γ)
x 0
x
K limf
x
 
  
 
Για κάθε x≠0:
x x
x x 1 1 1
x x
 
       
άρα, αν
x
u
x

 , τότε είναι u<1 και και
x 0 x 0
x
lim u lim 1
x 

  Έτσι,
u 1
lim f(u)

   
Δ) 4 2x
4
1
lim
2x x
f
1 x

 
 
 
 
Έστω,
4 2
4
2x x
t
1 x



, άρα
4 2 4
4 4x x x
2x x 2x
lim t lim lim 2
1 x x  

   
 
Έτσι,
t 2 t 2
4 4
lim f(t) ( ) , lim f(t) ( ) 
 
         
 
Κατά συνέπεια,
t 2t 2 t 2
1 1 1
lim 0, lim 0, άρα Μ = lim 0
f(t) f(t) f(t)
   
  
Λύνει η Ντίνα Ψαθά
___________________________________________________________________________
1η ΑΣΚΗΣΗ η άσκηση της ημέρας από το http://lisari.blogspot.gr σχ. έτος 2018-΄19
α) Έχουμε την συνάρτηση
2
x k
f(x) , ( , , )
x x

    
   
 Επειδή το 2 και το 1 δεν ανήκουν στο πεδίο ορισμού της f θα μηδενίζουν
τον παρονομαστή δηλ. θα ισχύει:
      
2
2 2 0 2 4 1            και
  2
1 1 0 1 2           
Λύνοντας το σύστημα των σχέσεων (1) και (2) προκύπτουν ότι: λ=1 και μ=-2
 Επειδή το 2 δεν ανήκει στο πεδίο ορισμού της
1
f
θα μηδενίζει τον αριθμητή
της f δηλ. 2 k 0 k 2    
Έτσι τελικά έχουμε ότι:
2
x 2
f(x)
x x 2


 
β) Αρχικά μελετάμε το πρόσημο της παράστασης 2
x x 2 
Έτσι έχουμε ότι:
  2
2x 1 x 1
1 1
lim x x 2 0 lim , ή :
x x 2 0
 

 
 
          
   
οπότε
     2x 1 x 1
1
limf(x) lim x 2 1 ,
x x 2
 
 
 
         
  
  2
2x 2 x 2
1 1
lim x x 2 0 lim , ή :
x x 2 0
 

 
 
          
   
οπότε
     2x 2 x 2
1
lim f(x) lim x 2 4 ,
x x 2
 
 
 
         
  
γ) Έχουμε ότι
x 0
x
K limf
x
 
  
 
, επειδή
x 0
x
lim 1
x



 , αν θέσουμε
x
t
x

 , τότε
t 1 x 1
K limf(t) limf(x) 
 
    , διότι για x κοντά στο 0 ισχύει x x 
x
1
x

  ,
όμως x x  είναι ομόσημα κοντά στο μηδέν, οπότε
x
0
x

 έτσι
x
t 1
x

 
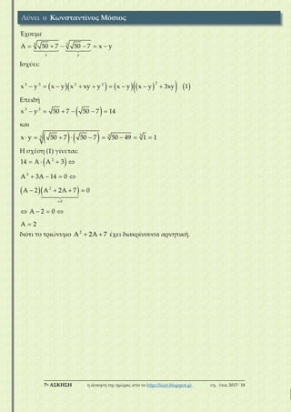
Λύνει ο Κωνσταντίνος Μόσιος
___________________________________________________________________________
1η ΑΣΚΗΣΗ η άσκηση της ημέρας από το http://lisari.blogspot.gr σχ. έτος 2018-΄19
o Έχουμε ότι 4 2x
4
1
M lim
2x x
f
1 x


 
 
 
, επειδή
4 2 4 2 2
4 4x x x
4
1
2
2x x 2x x xlim lim lim 2
11 x x 1 1
x
  

 
   
    
, τότε αν θέσουμε
4 2
4
2x x
t
1 x



t 2 x 2
1 1 1
M lim lim 0, ή : 0
f(t) f(x) 
 
      
 
, διότι ,βάσει του παραπάνω πίνακα
έχουμε ότι:
     2x 2 x 2
1
lim f(x) lim x 2 4
x x 2
 
 
 
         
  
και
     2x 2 x 2
1
lim f(x) lim x 2 4
x x 2
 
 
 
         
  
, όμως
1
0

και
1
0

___________________________________________________________________________
1η ΑΣΚΗΣΗ η άσκηση της ημέρας από το http://lisari.blogspot.gr σχ. έτος 2018-΄19
α)
Αφού -2,1 είναι ρίζες του τριωνύμου, σύμφωνα με τους τύπους του Vieta έχουμε οτι:
1 2
x x S
2 1 S
S 1
 
  
 
και
1 2
x x P
2 1 P
P 2
 
  
 
Επομένως,
2 2
2 2
x x x Sx P
x x x x 2
      
      
Επίσης,
2 2
1 x x x x 2
f(x) x x
     
 
   
Aπό την υπόθεση λοιπόν πρέπει για x 2 :
x 0
2 0
2
  
  
  
Επομένως:
2
x 2
f(x)
x x 2


 
β)

2x 1 x 1 x 1 x 1 x 1
x 2 x 2 1 x 2 1 2
lim f(x) lim lim lim lim ( )
x x 2 (x 1)(x 2) x 1 x 2 1 2
    
    
   
      
      
1
( ) ( )
3
     

2x 2 x 2 x 2 x 2 x 2
x 2 x 2 1 x 2 2 2
lim f(x) lim lim lim lim ( )
x x 2 (x 1)(x 2) x 2 x 1 2 1
    
    
    
      
       
4
( )
3
    
γ)
2x 0 u 1 u 1 u 1
u 2 u 2
K limf limf(u) lim lim
u u 2 (u 1)(u 2)   
   
          
,
αφού θέσαμε u ,ό 0 : u 1
    

*
(u 1 επειδή λόγω της ανισότητας ημχ<χ 1, x )

    

 Για u 1 :
x 1 x 1
1 u 2 1
lim lim ( )
u 1 u 2 3
 
 
 
       
   
Λύνει ο Παναγιωτης Βιωνης
___________________________________________________________________________
1η ΑΣΚΗΣΗ η άσκηση της ημέρας από το http://lisari.blogspot.gr σχ. έτος 2018-΄19
Άρα   
 
2
2
4 2x t 2 t 2
4
2 2 21 1 t t 2 0
lim lim lim 0
2x x f(t) t 2 2 2 4
f
1 x
  
   
      
     
 
 
αφού
4 2 4
4 4x x
2x x 2 x
lim lim 2
1 x x 

  
 
και θέτοντας
4 2
4
2x x
t ,ό x + : t -2
1 x

    

Θεωρούμε τις συναρτήσεις με τύπους
για τις οποίες γνωρίζουμε ότι:
 ορίζεται ο αριθμός
 για το πεδίο ορισμού της συνάρτησης ισχύει
α) Αποδείξτε ότι
β) Να εξετάσετε αν ο αριθμός ανήκει στο σύνολο τιμών της
γ) Να αποδείξετε ότι η εξίσωση
έχει μοναδική ρίζα στο διάστημα
2η Α σ κ η σ η
Μαθηματικά Γ Λυκείου προσ/σμού
1ο κεφ – όριο/συνέχεια συνάρτησης
Προτείνει ο Παύλος Τρύφων (24/9/2017)
___________________________________________________________________________
2η ΑΣΚΗΣΗ η άσκηση της ημέρας από το http://lisari.blogspot.gr σχ. έτος 2018-΄19
α) Ορίζεται ο αριθμός   f 2 όταν το  2 ανήκει στο πεδίο ορισμού της συνάρτησης f,
δηλαδή όταν
      2 1 1 1
Επίσης
  
   
   
 
  
   
              
      
 
      
                
    
  
        
2 2
f g g f
2
2
ό, ύ
1 4 0
x x
D x D :g x D x : 1 x : 1 0
x x
x x
x : 0 x : x x x 0
x
x :x 0 ,
Δίνεται όμως ότι       , ,1 , άρα    1 2
Από τις σχέσεις    1 , 2 προκύπτει ότι   1
β) Ο αριθμός    0,4 ανήκει στο σύνολο τιμών της g αν και μόνο αν η εξίσωση    g x
έχει λύση ως προς x στο   1
Έχουμε
            

2
2x
g x x x 0
x 1
και η εξίσωση     2
x x 0 έχει λύση αν και μόνο αν
           2
0 4 0 0 ή 4, άτοπο
Άρα ο αριθμός    0,4 δεν ανήκει στο σύνολο τιμών της g
γ) Αρχικά θα υπολογίσουμε το     
x 1
f x g xlim
Είναι
       

   

  
  
  
   

x 1 x 1 x 1 x 1
x 1
2 2 2
2
2
x 1 x x 1 x x 1 x
f x g x
x 1 1 x 1 x
1
x
1 x
lim lim lim lim
lim
(διότι 

 
x 1
1 x 0lim και
 1 x 0 κοντά στο 
1 )
Οπότε θέλουμε να αποδείξουμε ότι η εξίσωση
Λύνει ο Παύλος Τρύφων
___________________________________________________________________________
2η ΑΣΚΗΣΗ η άσκηση της ημέρας από το http://lisari.blogspot.gr σχ. έτος 2018-΄19
    
         
 
   
2 2
3
6
1 x 1 x 1 x 1
f x g x 0 0 x 1 x
x x 1 x 1 x x
x x 1 0
έχει μοναδική ρίζα στο διάστημα  0,1
Η συνάρτηση
        
6
m x x x 1 , x 0,1
είναι συνεχής και επιπλέον
      m 0 m 1 1 0
Οπότε από το θεώρημα Bolzano, η εξίσωση   m x 0 έχει τουλάχιστον μια ρίζα στο
διάστημα  0,1
Επιπλέον η συνάρτηση m είναι γνησίως αύξουσα στο  
  
*
0,1 , άρα η εξίσωση
     
1
f x g x 0
x
έχει μοναδική ρίζα στο διάστημα  0,1
 * Μονοτονία της συνάρτησης m:
Αν    1 2
x ,x 0,1 με 1 2
x x τότε
 
   
 
            
   
6 6
1 2 6 6
1 1 2 2 1 2
1 2
x x
x x 1 x x 1 m x m x m 0,1
x 1 x 1
<
___________________________________________________________________________
2η ΑΣΚΗΣΗ η άσκηση της ημέρας από το http://lisari.blogspot.gr σχ. έτος 2018-΄19
α)
           f g
D ,1 ,D , , και    f
2 D άρα      2 1 1 (1)
  
    
   
               
      
   
                
  
2 2
f g
2
2
x x
D x ,g x 1 x , 1 x , 1 0
x x
x x
x , 0 x , x x (x ) 0 ,
x
επειδή το τριώνυμο είναι θετικό  x αφού έχει       1 4 3 0 λόγω της (1).
Επειδή   f g
D ,1 θα είναι   1 (2).
Από τις (1), (2) έχω   1.
β)
   

2
x
g x ,x 1
x 1
i) Xωρίς παραγώγους
Το σύνολο τιμών της g αποτελείται από τα  y ώστε η εξίσωση  y g x να έχει λύση
ως προς x και αυτή να ανήκει στο g
D .
    

2
2x
y x yx y 0
x 1
με      0 y 0 y 4.
Οι λύσεις
 
     
2
2y y 4y
1 y 4y 2 y
2
.
Με    y 0 2 y 2 αν ήταν   2
y 4y 2 y η εξίσωση αδύνατη, και με
    y 4 2 y 2 αν ήταν        2 2
y 4y 2 y y 4y y 2 η εξίσωση αδύνατη.
Άρα οι λύσεις διάφορες του 1 και το σύνολο τιμών της g είναι το        g
,0 4, .
ii) Με παραγώγους
 
 

     

2
2
x 2x
g x 0 x 0 2
x 1
και              g x 0 x 0 x 2 g ,0 , 2, ,
              g x 0 0 x 1 1 x 2 g 0,1 , 1,2 . Επίσης
              
       
x xx 1 x 1
lim g x limg x , lim g x limg x ,g 0 0,g 2 4 και το σύνολο τιμών
της g είναι το        g
,0 4, . Άρα ο   g
.
γ)
Για x 1 είναι    
  
 
2 2
x 1 x x
fg x
x 1 1 x
με 

 
   
 
2
x 1
x
lim
1 x
και πρέπει να δ.ο. η
εξίσωση   

2
x 1
0
1 x x
έχει μοναδική ρίζα στο  0,1 , αφού είναι
    


x 1
1
0
lim f x g x
,
Λύνει ο Κώστας Δεββές
___________________________________________________________________________
2η ΑΣΚΗΣΗ η άσκηση της ημέρας από το http://lisari.blogspot.gr σχ. έτος 2018-΄19
δηλαδή ισοδύναμα ότι η εξίσωση  3
x 1 x έχει μοναδική ρίζα στο  0,1 .
Θέτοντας     3
x x 1 x στο   0,1 ισχύει το θ. Βolzano κι επειδή
    

2 1
x 3x 0
2 1 x
η  είναι στο   0,1 και η ρίζα είναι μοναδική.
___________________________________________________________________________
2η ΑΣΚΗΣΗ η άσκηση της ημέρας από το http://lisari.blogspot.gr σχ. έτος 2018-΄19

 
     
     
 
            
      
 
 

f
2
g
f
2
fog g f
2
)
f(x) 1 x.
Η f ορίζεται, αν 1 x 0 x 1, άρα D ( ,1]
x
g(x) ,x , άρα D { }
x
Ορίζεται ο αριθμός f(2 ) 2 D 2 1 1 (1)
x
D {x D / g(x) D } {x / 1}
x
x
x και
x

  
            
    
 
                        

            
        
  

2 2
2
1
2
fog
x x x
1 1 0 0 (x )(x x ) 0
x x
και x
1 4 . Για 1 4 4 1 4 3 0 0 x x 0,
για κάθε x .
Ά x 0 x x , ό x< .
Έ , D ( , ) ( ,1) 1 (2)
(1),(2) 1
) 

   
   
  

  

2
2 2
2 2 2
x
Για λ=1, g(x)= ,x 1.
x 1
2x(x 1) x x 2x x(x 2)
Για κάθε x 1, g'(x) .
(x 1) (x 1) (x 1)
Είναι g(0) 0
Για κάθε x 0,g'(x) 0, άρα η g είναι γνησίως αύξουσα στο διάστημα (- ,0],
άρα g(x)<g(0) g(x)<0
κα
 
 
ι για κάθε 0<x<1, g'(x)<0, άρα η είναι γνησίως φθίνουσα στο [0,1),
άρα g(x)<g(0) g(x) 0
ηλαδή για κάθε x<1, g(x) 0.
Είναι g(2)=4
Για κάθε 1<x<2, g'(x)<0, άρα η g είναι γνησίως φθίνουσα στο (1,2], άρ



   

g
α
g(x)>g(2) g(x)>4
και για κάθε x>2, g'(x)>0, άρα η g είναι γνησίως αύξουσα στο [2,+ ), άρα
g(x)>g(2) g(x)>4
Δηλαδή για κάθε x>1, g(x) 4. Έτσι, για κάθε x D , g(x) 0, ή g(x) 4.
Άρα δεν υπάρχει μ (0,4), που να ανήκει στο σύνολο τιμών της g .
Λύνει η Ντίνα Ψαθά
___________________________________________________________________________
2η ΑΣΚΗΣΗ η άσκηση της ημέρας από το http://lisari.blogspot.gr σχ. έτος 2018-΄19
  

  

         
   
        

   
2 2 2
2
2
x 1 x 1 x 1
x 1
x x x
γ) ια x<1, είναι f(x)g(x) 1 x 1 x
x 1 ( 1 x) 1 x
1 1
lim[f(x)g(x)] lim[ ( x )] ( )( 1) lim 0
1 x f(x)g(x)
( γιατί lim 1 x 0 και 1 x 0, κοντά στο 1, x<1 ) .
Άρα Α=(0,1) .
       


 
          
    

             
 
2
2
2
2 2 2
1 x 1
Έστω h(x) f(x)g(x) , x (0,1) A. Για κάθε x A,
x 1 x x
1
2x 1 x x
1 4x(1 x) x 1 x(3x 4) 12 1 xh'(x) 0,
1 x x 2(1 x) 1 x x 2(1 x) 1 x x
γιατί
x(3x 4)
0 x 1 0 3x 3 4 3x 4 1 0 0.
2(1 x) 1 x
Άρα η h είναι γνησίως φθίνουσα και συνεχής στο Α=(0,1) .
 
 
      

 
x 1 x 0
0 0
Είναι lim h(x) ( ) 1 ,lim h(x) .
Άρα h(A)= .
0 h(A) και η h είναι γνησίως φθίνουσα στο Α και συνεχής, άρα υπάρχει
μοναδικό x Α, τέτοιο ώστε h(x ) 0
___________________________________________________________________________
2η ΑΣΚΗΣΗ η άσκηση της ημέρας από το http://lisari.blogspot.gr σχ. έτος 2018-΄19
α) Το πεδίο ορισμού της f είναι   ( ,1] και της g είναι το   
Πρέπει
   
 
     
 
            
  
  
              
   
             
      
        

2
f g
2 2
2
f g
2
2 1 1 (1)
x
D x B : g(x) A x , 1 x ,x ,
x
x x x
ύ 1 0 0 x x 0 1 4 0 .
x x
Ά x 0 x ύ D ( ,1) ά 1 (2)
ό (1) (2) έ 1
x
) g(x) έ g(x) έ :
x 1
  
  
    

                   
            
           
          

2
2
2 2
2 2
x 1 x 1 x 1
x
x (x 1)
x 1
x x 0 έ : 0 4 0 ( 4) 0
ά ύ ώ g ί ( ,0] [4, ).
Ά (0,4) ή ύ ώ g.
x x
) ί ώ lim f(x)g(x) lim( 1 x ) lim( 1 x
x 1






            

              
                   
 
2
2
x 1
x 1
3
3
)
(1 x)
x 1
lim( ) ά 0 ή ά ί (0,1).
lim f(x)g(x)(1 x)
ί ί ί : xf(x)g(x) 1 0 .... x 1 x 0.
έ H(x) x 1 x έ : (0) 1 0 (1) 1 0 . (0) (1) 0
          
 
  
      
        
             
     
0 0
1 2
3 3 3 3
1 2 1 2 1 2
1 2 1 2 1 2
1 2
ή ή [0,1] . Bolzano ά x (0,1) : (x ) 0
ό :
x ,x (0,1) έ :
x x x x x x (1)
x x x x 1 x 1 x (2)
(1) (2)έ : (x ) (x ) ά ί ί ί ,
ά ύ ί  ή
Λύνει ο Γιώργος Ασημακόπουλος
___________________________________________________________________________
2η ΑΣΚΗΣΗ η άσκηση της ημέρας από το http://lisari.blogspot.gr σχ. έτος 2018-΄19
α)
Είναι    f
D ,1 και         g
D , ,
Αφού ορίζεται το   f 2 πρέπει      2 1 1 (1)
Επίσης       f g
D x g x 1
      
           
   
2 2
2x x x
g x 1 1 0 x x x 0
x x
(2)
Για   1 το τριώνυμο   2
x x έχει αρνητική διακρίνουσα , άρα    2
x x 0
για κάθε x .
Άρα η (2) δίνει      x 0 x , δηλ.    f g
D , .
Επειδή            f g
D ,1 , ,1 , άρα   1 (3)
Από (1) , (3) προκύπτει   1.
β)
Για   1 :   

2
x
g x
x 1
, x 1.
   
        
   
2 2
x x 1 1 1 1
g x x 1 x 1 2
x 1 x 1 x 1 x 1
Για    x 1 x 1 0 , άρα      

1
x 1 2 g x 4
x 1
Για    x 1 x 1 0, άρα        

1
x 1 2 g x 4
x 1
Άρα το    0,4 δεν μπορεί να ανήκει στο σύνολο τιμών της g .
γ)
Είναι         
 
2 2
x x
f x g x 1 x
x 1 1 x
, για κάθε x 1 και επειδή
     
 
 
     
 
2
x 1 x 1
x
lim f x g x lim
1 x
, ψάχνουμε μοναδική ρίζα για την εξίσωση
 

2
1 x
0
x 1 x
στο διάστημα  0,1 . Για κάθε  x 0,1 η εξίσωση γίνεται :
          

2
3 6 61 x
x 1 x x 1 x x x 1 0
x 1 x
Έστω συνάρτηση     6
h x x x 1 με    x 0,1 . Θα δείξουμε ότι η h έχει μοναδική
ρίζα στο  0,1 . Η h είναι συνεχής στο   0,1 ως πολυωνυμική και
      h 0 h 1 1 0, άρα από το Θ. Bolzano υπάρχει μία τουλάχιστον ρίζα της
εξίσωσης   h x 0 στο  0,1 .
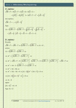
Λύνει ο Αθανάσιος Μπεληγιάννης
___________________________________________________________________________
2η ΑΣΚΗΣΗ η άσκηση της ημέρας από το http://lisari.blogspot.gr σχ. έτος 2018-΄19
Για οποιαδήποτε    1 2
x ,x 0,1 με 1 2
x x έχουμε :
   

    
6 6
1 2 1 2
1 2 1 2
x x x x
x x x 1 x 1
άρα
         6 6
1 1 2 2 1 2
x x 1 x x 1 h x h x , άρα η h είναι γνησίως αύξουσα στο   0,1 ,
άρα και «1-1» , δηλ. έχει μοναδική ρίζα στο  0,1 .
___________________________________________________________________________
2η ΑΣΚΗΣΗ η άσκηση της ημέρας από το http://lisari.blogspot.gr σχ. έτος 2018-΄19
α) Εφόσον ορίζεται το      f 2 1 τότε θα πρέπει   1.
Το πεδίο ορισμού της f g είναι:
  
       
   
      

 
      
 
    
   
           
2 2
f g g f
2
x x
D
x
D x / g x x xD / 1 1
x
x 0 0
/
x
x / x x x / x ,
διότι το   2
x x 0 έχει     1 4 0 αφού   1.
Αν   1 τότε το   , δεν είναι υποσύνολο του  ,1 . Οπότε αναγκαστικά
  1.
β) Έστω ότι ο αριθμός    0,4 ανήκει στο σύνολο τιμών της g.
Τότε θα υπάρχει 0 g
x D τέτοιο ώστε:
            

0 0
2
0
20
0
x
g x x x 0
x 1
Όμως η παραπάνω εξίσωση έχει       2
μ=μ 44 0 διότι   0 και   4 .
Άρα ο αριθμός    0,4 δεν ανήκει στο σύνολο τιμών της g.
γ) Αρχικά θα υπολογίσουμε το όριο
   
 
    
   

 
  
      
   x 1 x 1 x 1 x 1
22
2
x1 x 1 xx 1
lim f x g x lim lim lim x
1 xx 1 x 1 x1
Οπότε θα είναι και:
   


x 1
1
lim 0
f x g x
Αρκεί λοιπόν να αποδείξουμε ότι η εξίσωση      
1
f x g x 0
x
έχει ακριβώς μια
ρίζα στο  0,1 .
Η παραπάνω εξίσωση ισοδύναμα γίνεται:
  
      

  
 


2 2 3
31 x 1 xx 1 x 1
0 0 x , x
x 1 x x
x
1 x 0 0,1
1 x x 1 x
Θεωρούμε την συνάρτηση        
3
1 x, x 0,1h x x και αρκεί να αποδείξουμε
ότι η h έχει ακριβώς μια ρίζα στο  0,1 .
Η h είναι συνεχής στο   0,1
   h 0 1
  h 1 1
Οπότε από το θεώρημα του Bolzano η εξίσωση   h x 0 έχει τουλάχιστον μια
ρίζα στο  0,1 .
Λύνει ο Παναγιώτης Γκριμπαβιώτης
___________________________________________________________________________
2η ΑΣΚΗΣΗ η άσκηση της ημέρας από το http://lisari.blogspot.gr σχ. έτος 2018-΄19
Η ρίζα αυτή είναι και μοναδική αφού η h είναι γνησίως αύξουσα στο  0,1 το
οποίο προκύπτει είτε με το ορισμό ή και με παραγώγους. Διαφορετικά θα
μπορούσαμε να πούμε το εξής:
Έστω ότι η h έχει 2 ρίζες τις   , 0,1 με    τότε:
 
 
 
  
  
       
  
   
      
    
   
  
      
       

 
3
3 3
3
2 2 2 2
h 0
h 0
1
1 1
1
1
αβ+β
1 1 1 1
Η τελευταί όμως είναι αδύνατη αφού το 1ο μέλος είναι θετικό και το δεύτερο
αρνητικό. Οπότε η h έχει μοναδική ρίζα στο  0,1 .
μικρές προσπάθειες ενασχόλησης
με αγαπημένες μας συνήθειες
γιατί ... έχουμε μεράκι
... Μας τίμησαν με τη συμμετοχή τους
Ασημακόπουλος Γιώργος
Βιώνης Παναγιώτης
Γεωργίου Κωνσταντίνος
Γκριμπαβιώτης Παναγιώτης
Δεββές Κώστας
Ελευθερίου Νίκος
Καραγιάννης Θανάσης
Κουσίδης Σταύρος
Μόσιος Κωνσταντίνος
Μπεληγιάννης Αθανάσιος
Νάννος Μιχάλης
Πετρόπουλος Θωμάς
Πλάτανος Χάρης
Τρύφων Παύλος
Χατζόπουλος Μάκης
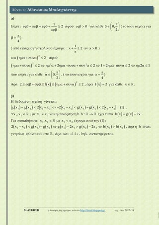
α) Να βρείτε τον αριθμό ώστε οι συναρτήσεις με τύπους
να είναι ίσες στο
β) Για να βρείτε (αν υπάρχει) το
3η Α σ κ η σ η
Μαθηματικά Γ Λυκείου προσ/σμού
1ο κεφ – όριο/συνέχεια συνάρτησης
Προτείνει ο Μάκης Χατζόπουλος (1/10/2017)
___________________________________________________________________________
3η ΑΣΚΗΣΗ η άσκηση της ημέρας από το http://lisari.blogspot.gr σχ. έτος 2017-΄18
α)
Αν οι συναρτήσεις f ,g είναι ίσες στο *
, τότε
   f x g x για κάθε *
x 
Άρα και
   
 2 2 2 2
k k k 1
f g 0 1
k k
     
          
  
 Για k 1 παίρνουμε
   
2 2
x 1 x
f x g x
x x
  
   για κάθε *
x 
Άρα η τιμή k 1 είναι δεκτή
 Για k 1  παίρνουμε
 
 
 
2 2 2 2
x x 1 x x
f x , g x
x x x x
     
    

για κάθε *
x 
Οπότε
2 2
f , g
2 2
    
     
    
Άρα η τιμή k 1  απορρίπτεται
Οπότε δεκτή είναι μόνο η τιμή k 1
β)
Για x κοντά στο 0έχουμε
   
f g
2 2 2
x xx x x
xg x x f x x x x
x
x

 
   

Γνωρίζουμε όμως ότι
x x  για κάθε *
x 
(με την ισότητα να ισχύει μόνο για x 0 )
Άρα για x 0
2 2
0 x x x x 0      
Οπότε
 Για x 0 είναι
2
22 2 2 22 2
x x x x x 1
x x x x xx x 0 1
x
 
  
           
 
Λύνει ο Μάκης Χατζόπουλος
___________________________________________________________________________
3η ΑΣΚΗΣΗ η άσκηση της ημέρας από το http://lisari.blogspot.gr σχ. έτος 2017-΄18
 x 0 x 0
2
x 1
g x x x
1
x
lim lim 
 
   
  
  
 
 Για x 0 είναι
2
22 2 2 22 2
x x x x x 1
x x x x xx x 0 1
x
  
    
           
 
 x 0 x 0
2
x 1
g x x x
1
x
lim lim 
 

   
  
  
 
Άρα δεν υπάρχει το
 x 0
x
g x x
lim


___________________________________________________________________________
3η ΑΣΚΗΣΗ η άσκηση της ημέρας από το http://lisari.blogspot.gr σχ. έτος 2017-΄18
α)
Για 1  έχω:  
2
x
f x
x

 και    
2 2
1 x x
g x f x
x x
  
   στο *
.
*
, 1    είναι  
 2
f 0
 
  

και  
2
1
g 0
 
  

για 1   ,
ενώ για 1   είναι    
2 2
x x
f x g x
x x
 
    .
Άρα f g στο *
μόνο για 1  .
β)
Αν  
2
2
2 2
2
2 2 2 2
22 2
2
1
,x 0
x x,x 0 1
x x xx xx
h x
x x x 1xx ,x 0,x 0
x xx x 1
x

   
   
    
            

τότε
2
2x 0
x
lim 1 0
x

  με
2
2
x
1 0
x

  κοντά στο 0, αφού είναι
2
2 2
2
x
x x x 0 1
x

      . Άρα  x 0
lim h x

  και  x 0
lim h x

 , δηλαδή το ζητούμενο
όριο δεν υπάρχει.
Λύνει ο Κώστας Δεββές
___________________________________________________________________________
3η ΑΣΚΗΣΗ η άσκηση της ημέρας από το http://lisari.blogspot.gr σχ. έτος 2017-΄18
α)
Αφού οι δύο συναρτήσεις είναι ίσες θα παίρνουν την ίδια τιμή για κάθε τιμή που ανήκει
στο πεδίο ορισμού τους, που είναι το σύνολο των πραγματικών χωρίς το 0.
Αφού λοιπόν το
2

ανήκει στο πεδίο ορισμού τους, θέτουμε όπου x το
2

και έχουμε:
2 k
k
2
 
  
 
Όμως
2 1 2
2
  
  
και αντικαθιστώντας έχουμε
   
k
k 1 2k 1 1 2k       
 Αν ο k είναι άρτιος, τότε k 0 , άτοπο
 Αν ο k είναι περιττός, τότε k 1 . Αντικαθιστώντας στην αρχική έχω
2 2
x 1 x,    που ισχύει
Άρα k 1
β)
Αφού βρήκαμε την τιμή του k και γνωρίζουμε ότι f g , θα αντικαταστήσουμε στο
ζητούμενο όριο (έστω L ) την g με την f ώστε να το υπολογίσουμε ευκολότερα.
Είναι λοιπόν:
 x 0 x 0 x 02 2 2
x xx x
L
xf x x x x
x
x
lim lim lim
  
  
  

Ο παρονομαστής είναι προφανώς αρνητικός ( x x  ), άρα
2 2 2 2
x x x x    
Θα διακρίνουμε δυο περιπτώσεις, ώστε να «φύγει» το απόλυτο από τον αριθμητή
 αν x 0 έχουμε  2
u x :
x 0 x 0 x 0
2
22 2 2
x u 1
L
x x u u u
1
u
lim lim lim  
  
    
     
   
 
 όμοια αν x 0 παίρνουμε L  
Οπότε το ζητούμενο όριο δεν υπάρχει
Λύνει ο Χάρης Πλάτανος - ΜΑΘΗΤΗΣ Α ΛΥΚΕΙΟΥ!!
___________________________________________________________________________
3η ΑΣΚΗΣΗ η άσκηση της ημέρας από το http://lisari.blogspot.gr σχ. έτος 2017-΄18
2 2 2
2 2 2
2 2
2 2
) έ f(x) g(x) ά .
ό :
( )
( ) (1)
έ : ( ) 0 1 0 1.
ί ί : 0 4 .
έ ί έ ύ έ ί έ

        
 
     
        
 
                  
                
                  
1,2
1,2
0 1.Ό 1 ύ (1). Ά 1
1,2 1 ό
1
0
2
1,2 1 ό 1 ή 0
ά .
. 4 ή 1 ή 0
4 ό έ :
2
2
1, ό έ :
1
2
0, ό

            
    
    
      
  
      
     
 
 
     
 
 
    
1,2
2 2x 0 x 0
2
2 2 2 2x 0 x 0
2
x 0
2
2
2 2 2 2x 0 x 0
έ :
2
Ά 1
x x
)Έ : lim ... lim
g(x) x (x) x
x x x
0 ό lim lim
(x) x (x) x
1 (x)
lim ύ 1
(x) x1
x
x x x
0 ό lim lim
(x) x (x) x




 
 

 
 

   
  

   
  
       
   

   


         
   
2
x 0
2
x 0
1
lim
(x)
1
x
Ά ά lim
g(x) x



 



    

Λύνει ο Γιώργος Ασημακόπουλος
4η Α σ κ η σ η
Γεωμετρία Β Λυκείου
Προτείνουν οι
Μιχάλης Νάννος – Παύλος Τρύφων (8/10/2017)
___________________________________________________________________________
4η ΑΣΚΗΣΗ η άσκηση της ημέρας από το http://lisari.blogspot.gr σχ. έτος 2017-΄18
α) Φέρνουμε το ευθύγραμμο τμήμα 
Εφαρμόζοντας το πυθαγόρειο θεώρημα σε
καθένα από τα ορθογώνια τρίγωνα  και
 έχουμε αντίστοιχα:
 
2
2 2 2 2 2 2
6 4 2 68            
 
 
22 2 2 2
22
2
68 6
68 6
6 16 0
           
     
     
Προκύπτει τριώνυμο με διακρίνουσα
   
2
6 4 1 16 100       
Άρα
0
6 100
8
2


  
Οπότε το εμβαδόν του τετραγώνου είναι
2
64   
β) Φέρνουμε το ευθύγραμμο τμήμα  και έχουμε:
         
   
 
 
2
2 2 2 2
y 6 4 2 8 8 x8 2 6x
64
2 2 2 2
2 2 y 6 64 8 3x 32 4x
2 2 y 6 x 24
          
            
      
 
   
     
 
 
      
   
Λύνει οι Μιχάλης Νάννος – Παύλος Τρύφων
___________________________________________________________________________
4η ΑΣΚΗΣΗ η άσκηση της ημέρας από το http://lisari.blogspot.gr σχ. έτος 2017-΄18
α) Από την εφαρμογή Πυθαγορείου θεωρήματος στο τρίγωνο ΑΕΖ προκύπτει οτι:
 
2
2 2 2 2 2 2 2
6 4 2 36 32 68               
Με εφαρμογή Πυθαγορείου θεωρήματος στο τρίγωνο ΑΒΖ έχουμε οτι:
 2 2 2 2 2
68 68 1              
Επίσης ισχύει οτι:
     
2 22 2
6 36 12 2                    
   
 
 
2 2
2
2
2
1 2 1
1 2 2
1 , 2 36 12 68
2 12 32 0 4
6 16 0
έ κ=ΒΖ και
4 6 16 0
ό τους τύπους του Vieta προκύπτει οτι:
κ 6 2 2
16 8 8 το οποίο απορρίπτεται προφανώς
       
    
    
 
     

          
   
            
   
2 2
έ 3 Ε= 6 2 8 64 . ά

        
β) Παρατηρούμε ότι:
       
   
   
 
 
 
Ε=
8 8 x 4 2 y 6 6x 8 2
64
2 2 2 2
64 4 8 x 2 2 y 6 3x 8
64 32 4x 2 2 y 6 3x 8
4x 3x 64 32 8 2 2 y 6
x 24 2 2 y 6
      
  
   
     
     
     
  
Λύνει ο Παναγιώτης Βιώνης
___________________________________________________________________________
4η ΑΣΚΗΣΗ η άσκηση της ημέρας από το http://lisari.blogspot.gr σχ. έτος 2017-΄18
α)
• Από ΠΘ στο ορθογώνιο τρίγωνο ΕΑΖ έχουμε:
68 
• Από ΠΘ στο ορθογώνιο τρίγωνο ΑΖΒ έχουμε (α η πλευρά του τετραγώνου):
0
2 2
( 6) 68 ( 8)( 2) 0 8

            
Συνεπώς
2
( )
64
   
β)
Είναι:
( )
2 2(y 6)
2

  
   
Είναι επίσης:
(ΗΓΑΒ) (ΑΖΒ) (ΗΓΖ)
Ε = 4x + 32, Ε = 8 και Ε = 3x
Ομως
(ΗΖΑ) (ΗΓΑΒ) (ΑΖΒ) (ΗΓΖ)
Ε = Ε Ε Ε x 24 ο.ε.δ.   
Λύνει ο Χάρης Πλάτανος
___________________________________________________________________________
4η ΑΣΚΗΣΗ η άσκηση της ημέρας από το http://lisari.blogspot.gr σχ. έτος 2017-΄18
α)
Θεωρούμε ότι η πλευρά του τετραγώνου είναι α μονάδες μήκους τότε 6    και
x    .
Στη συνέχεια φέρουμε το τμήμα ΑΖ και εφαρμόζοντας το Πυθαγόρειο Θεώρημα στο
τρίγωνο ΑΕΖ έχουμε:
         
22 2 2 2 2
6 4 2        
   
2
36 32 68 68 2 17       
Επίσης εφαρμόζουμε του Π.Θ. και στο τρίγωνο ΑΒΖ
οπότε προκύπτει:
       
2 2 2 22
6 68          
2 2
2 12 32 0 6 16 0           
Η δευτεροβάθμια εξίσωση έχει διακρίνουσα 36 64 100    και ρίζες
1,2
8, ή6 10
2, ί .2
 
   
  
, άρα 8  , οπότε   2
64 .    
β)
Είναι επίσης   1 2 3 4 5
           , όπου
 1
1
8 8 x 32 4x, .
2
        ,
2
1
8 2 8 . .
2
      ,
 3
1
6 4 2 12 2
2
    ,
 4
1
y 4 2 2 2 y
2
    και
5
1
6 x 3x
2
   
Έτσι καταλήγουμε στη σχέση:
 32 4x 8 12 2 2 2 y 3x 64 2 2 y 6 x 24          
Λύνει ο Κωνσταντίνος Μόσιος
___________________________________________________________________________
4η ΑΣΚΗΣΗ η άσκηση της ημέρας από το http://lisari.blogspot.gr σχ. έτος 2017-΄18
 
2
2 2 2 2
2 2 2
)
έ . ώ ί
ί 2 17. Έ ά ώ .
ώ ό . . έ :
2 17 ( 6) 68
12 36 68 6 16 0 ό ό ί

            
           
          
         
                
2
2 ( ί ) ή 8 ( ή).
Ά 8 64
)
έ .
έ έ 4( 8)
2
ύ : ( ) ( ) ( ) ( ) 3 8 2 2 12 2
ή 4( 8) 3 8 2 2 12 2 24 2 2( 6)



       
   

    
  
           
                
              
Λύνει ο Γιώργος Ασημακόπουλος
___________________________________________________________________________
4η ΑΣΚΗΣΗ η άσκηση της ημέρας από το http://lisari.blogspot.gr σχ. έτος 2017-΄18
α)
Από Π.Θ. στο ΑΕΖ έχω 2
68  και από Π.Θ. στο ΑΒΖ ισχύει:
 
2 2
6 68 2        . Άρα   64  .
β)
Τα τρίγωνα  και  είναι όμοια γιατί είναι ορθογώνια και έχουν τη

 κοινή.
Άρα
3
24
4 8

   
 
.
Το τετράπλευρο  είναι εγγράψιμο γιατί 0
90
 
    .
Τα τρίγωνα  και  είναι όμοια γιατί έχουν:
  
     και
 
   από
το  και τις εντός εναλλάξ

 και

 .
Άρα  2 4 2
2 2 y 6 24 x
6 y 24 x
    
 
.
Λύνει ο Κώστας Δεββές
___________________________________________________________________________
4η ΑΣΚΗΣΗ η άσκηση της ημέρας από το http://lisari.blogspot.gr σχ. έτος 2017-΄18
α)
Από Πυθαγόρειο θεώρημα στο τρίγωνο ΑΖΒ :  
22 2
AZ 6    
Από Πυθαγόρειο θεώρημα στο τρίγωνο ΑΕΖ :  
2
2 2
6 4 2 68    .
Άρα  
22 2 2 2
6 68 12 36 68 6 16                  
 
6
2
3 25 3 5 8

         
Οπότε   2
64 . .    
β)
       
   8 x 8 6 y 4 28 2 6 x
2 2 2 2
    
           
   32 4x 8 2 2 y 6 3x x 24 2 2 y 6          .
Λύνει ο Αθανάσιος Μπεληγιάννης
5η Α σ κ η σ η
Μαθηματικά Γ Λυκείου προσ/σμού
1ο κεφ – όριο/συνέχεια συνάρτησης
Προτείνει ο Χάρης Πλάτανος (15/10/2017)
Μαθητής Α Λυκείου
___________________________________________________________________________
5η ΑΣΚΗΣΗ η άσκηση της ημέρας από το http://lisari.blogspot.gr σχ. έτος 2017-΄18
α)
Υπενθυμίζουμε αρχικά δύο γνωστές ανισότητες:
(i)
1
x 2 για x > 0
x
 
(ii) 2 2 2
2(a b ) (a b)   για πραγματικούς a,b
Είναι
1 π
f(x) b b b 2, αφού εφb > 0 γιατι b 0,
b 2
 
          
  
άρα f(x) ≥ 2
Επιπλέον είναι
2 2 2
( a a) 2( a b) 2       
( 𝜂𝜇𝑎 + 𝜎𝜐𝜈𝑎)2
≤ 2( 𝜂𝜇2
𝑎 + 𝜎𝜐𝜈2
𝑏) = 2
άρα f(x) ≤ 2
Συνεπώς:
f(x) ≤ 2 και το ζητούμενο αποδείχθηκε.
β)
Αν αποδείξουμε ότι η ℎ είναι γνησίως φθίνουσα στο R τότε θα είναι και “1-1” άρα θα
είναι αντιστρέψιμη.
Eστω 1 2 1 2
x ,x με x x R
Αρκεί:
           
   1 2
1 2 1 2 1 2 1 2
1 2
g x -g x
h x > h x ή g x -g x 2 x - x 0 ή x - x 2 0
x - x
 
    
  
που ισχύει αφού:
       
1 2
1 2 1 2
1 2 1 2
x - x 0
g x -g x g x -g x
2 από υπόθεση
x - x x - x

 
Άρα
 
   1 2
1 2
1 2
g x -g x
x - x 2 0
x - x
 
  
  
και το ζητούμενο εδείχθη.
Λύνει ο Χάρης Πλάτανος
___________________________________________________________________________
5η ΑΣΚΗΣΗ η άσκηση της ημέρας από το http://lisari.blogspot.gr σχ. έτος 2017-΄18
α)
0  ισχύει
1
2  

άρα αφού 0  θα είναι
  1
f x 2   

(1) x  R και 0,
2
 
   
 
.
Επίσης θα είναι  f x 1 2 2     (2) x  R και 0,
2
 
   
 
.
Από (1) και (2) ισχύει  f x 2 .
β)
Αν 1 2
x x η δεδομένη ανισότητα γίνεται:
            1 2 1 2 2 1 1 1 2 2
2 x x g x g x 2 x x 0 g x 2x g x 2x          
   1 2
h x h x h  στο R άρα και 1-1.
Λύνει ο Κώστας Δεββές
___________________________________________________________________________
5η ΑΣΚΗΣΗ η άσκηση της ημέρας από το http://lisari.blogspot.gr σχ. έτος 2017-΄18
α)
Θεωρούμε την συνάρτηση
 
 
   
 
2 2
2 2 2 2 2 2
παρ/μη στο 0, με
2
1 1
φ'
' 0
0 ή ημβ+συνβ=0 το οποίο απορρίπτεται αφού ημβ+συνβ>0 στο 0,
2
1
4
'
     
 
  
 
          
    
             
  
 
     
 
  
 

 
    0 φ' 0
εφβ>1 εφβ<1
, β 0,
4 2 4
   
     
     
   
Άρα η φ παρουσιάζει ελάχιστο για
4

 
Δηλαδή
 
 
   
   
4
2
Ό f x
f x 2 1
 
    
 
  
   

Eπίσης, θεωρώ την παράσταση:
Λύνει ο Παναγιώτης Βιώνης
___________________________________________________________________________
5η ΑΣΚΗΣΗ η άσκηση της ημέρας από το http://lisari.blogspot.gr σχ. έτος 2017-΄18
   
 
 
2
2 2
2
1 2
     
           
     
Όμως γνωρίζουμε οτι!
 
1 2 1
1 1 1 2 1 1
0 2
    
       
   
και επειδή    f x    προκύπτει οτι:    f x 2 2
Από (1),(2) έχουμε το συμπέρασμα οτι  f x 2
Δηλαδή οτι η f είναι σταθερή συνάρτηση.
β)
Εστω οτι η συνάρτηση h δεν είναι «1-1» , δηλαδή
1 2
x x  τέτοια ώστε
   
       
       
     
1 2
1 1 1 2 2 2
1 2 1 2 1 2
1 2 1 2
h x h x
g x f x x g x f x x
g x g x 2 x 2 x αφού f x f x =2 από το α) ερώτημα
g x g x 2 x x

    
     
   
Το οποίο είναι άτοπο αφού από την υπόθεση γνωρίζουμε οτι:
     
   
 
 
   
 
   
     
     
1 2 1 2
1 2
1 2
1 2
1 2
1 2
1 2
1 2 1 2 1 2
1 2 1 2 1 2
g x g x f x x x
g x g x
f x
x x
g x g x
f x f x
x x
g x g x
2 2
x x
x x ό g x g x 2 x x
x x τότε g x g x 2 x x
   




  


  

       
     
Επομένως η συνάρτηση h είναι «1-1», οπότε και αντιστρέφεται.
___________________________________________________________________________
5η ΑΣΚΗΣΗ η άσκηση της ημέρας από το http://lisari.blogspot.gr σχ. έτος 2017-΄18
Έχουμε την συνάρτηση f :  με την ιδιότητα
   
2
f(x) , x 1          , όπου , 0,
2
 
       
 
.
α)
Επειδή  
2 2 2
1
2 1 2 1 1 2                    , έπεται ότι:
 f(x) 2, 2
Επίσης , επειδή
2 2
1 2
2
      
        
          
2
2,
2
    
 
διότι
1 2
0 0 2 0 2 1 1 2
2 2 2

                
   
προκύπτει ακόμη ότι:  f(x) 2, 3
Έτσι τελικά έχουμε: 2 f(x) 2 f(x) 2, x     
β)
Έχουμε: g :  με την ιδιότητα  1 2 1 2
g(x ) g(x ) 2 x x 4  
με 1 2 1 2
x ,x x x  
ακόμη είναι h :  με h(x) g(x) 2x 
   1 2 1 2
1 2 1 2
g(x ) g(x ) g(x ) g(x )
4 2 2 2 5
x x x x
 
     
 
Για την h έχουμε:
 1 2 1 1 2 2 1 2 1 2
h(x ) h(x ) g(x ) 2x g(x ) 2x g(x ) g(x ) 2 x x         
   5
1 21 2 1 2 1 2
1 2 1 2 1 2 1 2
2 x xh(x ) h(x ) g(x ) g(x ) g(x ) g(x )
2 0
x x x x x x x x
  
    
   
,
οπότε η h είναι γνησίως φθίνουσα συνάρτηση και άρα είναι 1-1 , οπότε αντιστρέφεται.
Λύνει ο Κωνσταντίνος Μόσιος
___________________________________________________________________________
5η ΑΣΚΗΣΗ η άσκηση της ημέρας από το http://lisari.blogspot.gr σχ. έτος 2017-΄18
α) Είναι:
 
0
2 2 2
x 0,
2
1
0 2 1 0 1 21 2 2

 
 
 
                       

Επίσης:
 
2 2 2
22 1 2              
διότι 1 12 2 2     
Οπότε από την δοθείσα σχέση προκύπτει ότι:
   
2
f x 22          
Επομένως:  f x 2
β) Α΄ τρόπος
Από την υπόθεση έχουμε ότι:
     
       
1 2 1 2
1 2 1 2
1 2 1 2
g x
x
x g x f x x
g x g x g x g x
2
x
2 2
x x
  
 
  





Για κάθε 1 2
x ,x  R με 1 2
x x έχουμε:
1 2
x x 0  και
       1 2 1 2
1 2 1 2
g x g x g x g x
2 0
x x
2
x x 
 
 
Πολλαπλασιάζοντας κατα μέλη έχουμε:
   
     
       
1 2
1 2 1 2 2
1 2
1 1 2 2 1 2
1
g x g x
2 x 0 g x g xx 2x 0
x
g x 2x
2x
x
h x hg xx 2x
 
  

     
 


 
   
Οπότε η h είναι γνησίως φθίνουσα στο R άρα και 1 – 1.
Β΄ τρόπος
Έστω ότι η h δεν είναι 1 – 1. Τότε θα υπάρχουν 1 2
x ,x  R με 1 2
x x τέτοια ώστε:
       
     
   
1 2 1 1 2
1 2
1 2 1 2
1 2
2
h x h x g x 2x g x 2x
g x g x
g x g x
x
x 2 x 2
x
   

  

 

το οποίο είναι άτοπο διότι από την υπόθεση έχουμε ότι:
   1 2
1 2
g x g x
2
x x


Λύνει ο Παναγιώτης Γκριμπαβιώτης
___________________________________________________________________________
5η ΑΣΚΗΣΗ η άσκηση της ημέρας από το http://lisari.blogspot.gr σχ. έτος 2017-΄18
2 2
2
1
)
2 2
2 2
ή (0, ) έ 2 (0, ) ά
2
2 1 2
0 2 1 2 (1)
2 2 2
Ά f(x) ( ) ( (1))
2 f(x) 1 2 2 ό f(x) 2 ή
)
g(x )

      
       
     

         
 
       
 
          
         


 
2 1 2 1 2 1 2
1 2 1 2 1 2
1 2 1 2 1 2
1 2 1 2 1 1 2 2 1 2
g(x ) f(x) x x g(x ) g(x ) 2 x x
2 x x g(x ) g(x ) 2 x x (2)
x x ό x x x x 2 έ :
g(x ) g(x ) 2x 2x g(x ) 2x g(x ) 2x h(x ) h(x ).
Ά h ί ί
ώ έ
      
     
          
        
    
     
Λύνει ο Γιώργος Ασημακόπουλος
___________________________________________________________________________
5η ΑΣΚΗΣΗ η άσκηση της ημέρας από το http://lisari.blogspot.gr σχ. έτος 2017-΄18
α)
Ισχύει
1
2      

αφού 0  για κάθε 0,
2
 
   
 
( το ίσον ισχύει για
4

  )
( από εφαρμογή σχολικού έχουμε :
1
x 2
x
  αν x 0 )
και  
2
2    αφού
 
2 2 2
2 2 2 1 2 2 2 1                        
που ισχύει για κάθε 0,
2
 
   
 
, ( το ίσον ισχύει για
4

  )
Άρα    
2
2 f x 2          , άρα  f x 2 για κάθε x  .
β)
Η δεδομένη σχέση γίνεται :
       1 2 1 2 1 2 1 2 1 2
g x g x 2 x x 2 x x g x g x 2 x x          (1) ,
1 2
x ,x  , με 1 2
x x και η συνάρτηση h h :  έχει τύπο    h x g x 2x  .
Για οποιαδήποτε 1 2
x ,x  με 1 2
x x έχουμε από την (1) :
             1 2 1 2 1 1 2 2 1 2
2 x x g x g x g x 2x g x 2x h x h x         , άρα η h είναι
γνησίως φθίνουσα στο  , άρα και «1-1» , δηλ. αντιστρέφεται.
Λύνει ο Αθανάσιος Μπεληγιάννης
6η Α σ κ η σ η (Α)
Άλγεβρα Β Λυκείου Προτείνει ο Κωνσταντίνος Γεωργίου (22/10/2017)
6η Α σ κ η σ η (B)
Μαθηματικά Γ Λυκείου προσ/σμού
1ο κεφ – όριο/συνέχεια συνάρτησης
Προτείνει ο Παύλος Τρύφων (22/10/2017)
___________________________________________________________________________
6η ΑΣΚΗΣΗ η άσκηση της ημέρας από το http://lisari.blogspot.gr σχ. έτος 2017-΄18
α)
Η γραφική παράσταση της f διέρχεται από το σημείο  A 3,1 και τέμνει τον κατακόρυφο
άξονα y'y στο σημείο με τεταγμένη 3, οπότε   f 3 1 και   f 0 3.
Ας υποθέσουμε πως η συνάρτηση f είναι γνησίως αύξουσα. Τότε, σύμφωνα με τον
ορισμό, για οποιαδήποτε 1 2
x ,x R με      1 2 1 2
x x f x f x .
Επομένως,        0 3 f 0 f 3 3 1, άτοπο.
Άρα η συνάρτηση f είναι γνησίως φθίνουσα.
β)
i) Έχουμε
     

                     
f
f 1 x 1 f 1 x f 3 1 x 3 3 1 x 3 4 x 2 2 x 4
β)
ii) Έχουμε
               


           
       
f
2 2 2 2 2
f
2
f f x 1 3 f f x 1 f 0 f x 1 0 f x 1 f x f 3
x 3 x 3 3 x 3
γ)
Πρέπει
     
2
0 3 4 
1
4
         

         
  
f
f 2017 0 3 f 2017 0 f 2017 3 f 2017 f 0
2017 0, ή .
Λύνει ο Κωνσταντίνος Γεωργίου
Άσκηση Α
___________________________________________________________________________
6η ΑΣΚΗΣΗ η άσκηση της ημέρας από το http://lisari.blogspot.gr σχ. έτος 2017-΄18
α) Η γραφική παράσταση της f διέρχεται από τα σημεία  A ,1 και    , ,άρα
  f 1 και    f
Γνωρίζουμε ότι για κάθε x ισχύει
  x x 1
με την ισότητα να ισχύει μόνο για x 0
Άρα για τον αριθμό   0 θα έχουμε
   

               
f 0
f f 1 0 1
β) Η g είναι συνεχής στο   0, ως πράξεις συνεχών συναρτήσεων.
Οπότε ικανοποιούνται οι υποθέσεις του θεωρήματος Bolzano για την συνάρτηση g στο
διάστημα   0, αν και μόνο αν
        

                
0 1
2 2 2 2 2
g 0 g 0 1 0 0 2
Για   x 0 η σχέση  1 δίνει
              2 2 2 2
0 3
Οπότε από τις σχέσεις    2 , 3 προκύπτει ότι δεν υπάρχουν τιμές του    0,1 για τις
οποίες ικανοποιούνται οι υποθέσεις του θεωρήματος Bolzano για την συνάρτηση g στο
διάστημα   0,
Λύνει ο Παύλος Τρύφων
Άσκηση Β
___________________________________________________________________________
6η ΑΣΚΗΣΗ η άσκηση της ημέρας από το http://lisari.blogspot.gr σχ. έτος 2017-΄18
α) Είναι   f 3 1 και   f 0 3.
Άρα υπάρχουν αριθμοί x,y με x y και    f x f y , δηλαδή η f είναι γνησίως φθίνουσα
στο R
β) i) Έχουμε
     

       
            
f
f 1 x 1 f 1 x f 3 1 x 3
3 1 x 3 4 x 2 2 x 4
ii) Έχουμε
         
     


       
           
f
2 2 2
f
2 2 2
f f x 1 3 f f x 1 f 0 f x 1 0
f x 1 f x f 3 x 3 x 3 3 x 3
γ) Είναι
       

          
f
0 3 f 2017 0 f 2017 3 f 2017 f 0 2017 0, που ισχύει αφού
2017 0 και η f είναι γνησίως φθίνουσα στο R
α) Από την υπόθεση προκύπτει άμεσα ότι   f 1 και    f
Για τον αριθμό   0 ισχύει:    
 
           
f 0
f f 1 0 1
β) Η g είναι συνεχής στο   0, ως πράξεις συνεχών συναρτήσεων. Οπότε αρκεί
    g 0 g 0
Όμως ,       2
g 0 1 και αφού     2 2
0 0
Επίσης
        1 1 0 g 0 0 και       2 2
g
Για να ικανοποιεί η g τις υποθέσεις του θεωρήματος Bolzano, πρέπει   g 0 , δηλαδή
       2 2
, το οποίο είναι άτοπο, αφού    για κάθε   R
Άρα δεν υπάρχουν τιμές του    0,1 για τις οποίες ικανοποιούνται οι υποθέσεις του
θεωρήματος Bolzano για την συνάρτηση g στο διάστημα   0,
Λύνει ο Χάρης Πλάτανος
Άσκηση Α
Άσκηση Β
___________________________________________________________________________
6η ΑΣΚΗΣΗ η άσκηση της ημέρας από το http://lisari.blogspot.gr σχ. έτος 2017-΄18
α) Έχουμε: f(3) 1 και f(0) 3
Επειδή 0 3 ενώ   f(0) 3 1 f(3) και η f είναι γνησίως μονότονη, θα είναι γνησίως
φθίνουσα.
β)
i)  

                   
f
f 1 x 1 f(3) 1 x 3 3 1 x 3 4 x 2 2 x 4
ii)  
 
            
f f
2 2 2 2
f f(x ) 1 3 f(0) f(x ) 1 0 f(x ) 1 f(3) x 3 x 3
   3 x 3.
γ) Η δευτεροβάθμια εξίσωση έχει διακρίνουσα:
        
2 1
3 4 f(2017) 3 f(2017) f(0) f(2017) 0
4
,διότι

     
f
0 2017 f(0) f(2017) f(0) f(2017) 0
Αφού η διακρίνουσα είναι Δ>0 η εξίσωση θα έχει δύο ρίζες πραγματικές και άνισες.
α) Έχουμε:  f( ) 1 και     f( ) , 0
Επειδή   0 ισχύει            και η f είναι γνησίως φθίνουσα θα
έχουμε

          
f
f( ) f( ) 1 , άρα   0 1
β) Η συνάρτηση g είναι συνεχής στο   0, ως σύνθεση και πράξεις συνεχών
συναρτήσεων με:
        2 2
g(0) (1 ) ( 1) και
       2 2
g( ) 0 διότι        2 2
Για να ικανοποιείται το θεώρημα Bolzano πρέπει:
 
  
 


                  2 2 2
g(0) g( ) 0 1 0 1 0 1
Λύνει ο Κωνσταντίνος Μόσιος
Άσκηση Α
Άσκηση Β
___________________________________________________________________________
6η ΑΣΚΗΣΗ η άσκηση της ημέρας από το http://lisari.blogspot.gr σχ. έτος 2017-΄18
α) Η γραφική παράσταση της συνάρτησης f διέρχεται από τα σημεία:
Α(3,1) και Β(0,3)
Έστω ,
   
   
 
 
  
 
1 2
1 2
1 2 1 2
x 0 και x 3
f x 3 και f x 1
ή για x x ισχύει οτι f x f x
και αφού γνωρίζουμε από την υπόθεση οτι είναι γνησίως μονότονη,
προκύπτει το συμπέρασμα οτι είναι γνησίως φθίνουσα x
β)
     
 

                    
  
  
f
f 1 x 1 f 1 x f 3 1 x 3 3 1 x 3 4 x 2 4 x 2
2 x 4
Ά x 2,4
και
               
 
 
            
       
  
f f
2 2 2 2 2
222
f f x 1 3 f f x 1 f 0 f x 1 0 f x 1 f x f 3
x 3 x 3 x 3 3 x 3
Ά x 3, 3
γ)
     
       

       
     
2
f
1
3 4 f 2017 3 f 2017
4
f 0 f 2017 0 αφού 0 < 2017 f 0 f 2017
Άρα η δοθείσα εξίσωση έχει δύο ρίζες άνισες.
α)
   
 

        

f
ύ οτι ημθ < θ , για κάθε θ > 0 f f 1
και αφού θ > 0 από την υπόθεση προκύπτει οτι θ 0,1
Λύνει ο Παναγιώτης Βιώνης
Άσκηση Α
Άσκηση Β
___________________________________________________________________________
6η ΑΣΚΗΣΗ η άσκηση της ημέρας από το http://lisari.blogspot.gr σχ. έτος 2017-΄18
β)
     
     
  
       
             
    
    

2
2 2
g συνεχής στο 0, ως γινόμενο συνεχών
g 0 1 0 θ 0,1
g το οποίο πρέπει να είναι θετικό
για να ισχύει το θεώρημα του Bolzano
Ό 0
Ά πρέπει και 0
οποίο όμως δ
 
  
     
      
  
   

εν ισχύει αφού
επειδή 0,1
0
Ά δεν υπάρχουν τιμές του θ ώστε να ικανοποιούνται οι
υποθέσεις του θεωρήματος του Bolzano.
___________________________________________________________________________
6η ΑΣΚΗΣΗ η άσκηση της ημέρας από το http://lisari.blogspot.gr σχ. έτος 2017-΄18
α) To    f
0,3 C κι επειδή
   
  
 
  
f . .
f
0 3 f 0 f 3
R.
β) i) Iσοδύναμα έχω λόγω μονοτονίας      1 x 3 2 x 4 και
                 2 2 2
f x 1 0 f x f 3 x 3 x 3 3 x 3 ή x 3 .
γ)           3 f 2017 f 0 f 2017 0
α)          
f
0 1 .
β)        2
g 0 1 0 και        2 2
g 0 γιατί    0,1 ισχύει   .
Άρα η g δεν ικανοποιεί το Bolzano στο   0, για κανένα    0,1 .
Λύνει ο Κώστας Δεββές
Άσκηση Α
Άσκηση Β
___________________________________________________________________________
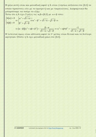
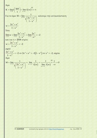
6η ΑΣΚΗΣΗ η άσκηση της ημέρας από το http://lisari.blogspot.gr σχ. έτος 2017-΄18
α)Ισχύει ότι:
 
 
    
     
f
f
C f 1
C f
Γνωρίζουμε ότι :
   για κάθε   Rκαι το  ισχύει μόνο για   0
Επειδή   0έχουμε:
    
         
f
,
f f 1
R
R
Επειδή   0τελικά έχουμε :
  0 1
β) Για να ικανοποιεί τις υποθέσεις του θεωρήματος Bolzano στο   0, πρέπει:
 Η g να είναι συνεχής στο   0,
     g 0 g 0
Όμως
       2
g 0 1 0αφού   0 1
       2 2
g 0αφού για κάθε   0ισχύει:
           2 2
g 0
Συνεπώς δεν ικανοποιούνται οι υποθέσεις του θεωρήματος Bolzano
Λύνει ο Πετρόπουλος Θωμάς
Άσκηση Β
___________________________________________________________________________
6η ΑΣΚΗΣΗ η άσκηση της ημέρας από το http://lisari.blogspot.gr σχ. έτος 2017-΄18
        
            
             
            
     
f( )
f(
2 2
) Έ f(3) 1 f(0) 3 ό ύ :
3 0 f(3) f(0) ά f ί ί ύ
ύ ί ί ό ί ί ί
) i) f(1 x ) 1 f(1 x ) f(3) 1 x 3 2 x 4
ii) f(f(x ) 1) 3 f(f(x ) 1) f(0)     
      
         
        
            
)
2 2
f( )
2 2
f( )
f(x ) 1 0 f(x ) 1
f(x ) f(3) x 3 3 x 3
) ί ί 3 f(2017) 0
ύ 0 2017 f(0) f(2017) 3 f(2017) 3 f(2017) 0
ά ί έ ύ ί έ ά .
   
   
          
          
   
              
                 
    
     
f( )
2 2 2 2 2
) Έ f( ) 1 f( ) 0
ή f( ) f( ) 1
Ά 0 1
) g ί ή [0, ] ά ύ g 0 g 0 ύ
g 0 g (1 )( ) 0 (1 0, 0)
ή ά
ώ ύ  έ Bolzano
Λύνει ο Γιώργος Ασημακόπουλος
Άσκηση Α
Άσκηση Β
___________________________________________________________________________
6η ΑΣΚΗΣΗ η άσκηση της ημέρας από το http://lisari.blogspot.gr σχ. έτος 2017-΄18
α) Αφού η γραφική παράσταση της f διέρχεται από τα σημεία  A 3,1 και  B 0,3
έχουμε :   f 3 1 και   f 0 3 .
Οπότε η f γνησίως μονότονη , 0 3 και    f 0 f 3 , άρα η f δεν μπορεί να είναι γνησίως
αύξουσα , άρα είναι γνησίως φθίνουσα στο  .
β) (i)      

                
f
f 1 x 1 f x 1 f 3 x 1 3 3 x 1 3 2 x 4
(ii)          

        
f
2 2 2
f f x 1 3 f f x 1 f 0 f x 1 0
     

         
f
2 2 2
f x 1 f x f 3 x 3 3 x 3
γ) Η δευτεροβάθμια εξίσωση έχει διακρίνουσα           3 f 2017 f 0 f 2017 0 ,
αφού η f είναι γνησίως φθίνουσα στο  , άρα έχει δύο ρίζες πραγματικές και άνισες.
β΄ τρόπος :              2 21
x 3 x f 2017 0 x 4 3 x 4f 2017 0
4
                
2
2
x 4 3 x 12 12 4f 2017 x 2 3 4 3 f 2017 0 (1) ,
αφού η f γν. φθίνουσα και           0 2017 f 0 f 2017 3 f 2017 0 , οπότε
η (1) έχει δύο ρίζες πραγματικές και άνισες.
α) Αφού η γραφική παράσταση της f διέρχεται από τα σημεία  A ,1 και   B ,
έχουμε :
  f 1 και    f . Επειδή η f γνησίως φθίνουσα στο  , αν
   

        
f
f f 1 , δηλ.     1 (άτοπο) .
Άρα ισχύει    

        
f
f f 1 , δηλ.   0 1.
β) Η g είναι συνεχής στο   0, ως γινόμενο συνεχών και         2
g 0 1 0 ,
                   2 2
g 0 καθώς    ,   0 και   0 .
Λύνει ο Αθανάσιος Μπεληγιάννης
Άσκηση Α
Άσκηση Β
___________________________________________________________________________
6η ΑΣΚΗΣΗ η άσκηση της ημέρας από το http://lisari.blogspot.gr σχ. έτος 2017-΄18
Άρα δεν υπάρχουν τιμές του θ για τις οποίες ικανοποιούνται οι προϋποθέσεις του Θ.
Bolzano για τη συνάρτηση g στο   0, .
β΄ τρόπος για το (α)
Αφού   0 έχουμε          , άρα    

        
f
f f 1 , δηλ.
ισχύει   0 1.
___________________________________________________________________________
6η ΑΣΚΗΣΗ η άσκηση της ημέρας από το http://lisari.blogspot.gr σχ. έτος 2017-΄18
α) Η f
C διέρχεται από τα σημεία   3,1 και   0,3 . Παρατηρούμε ότι    f 0 f 3 , οπότε
η f δεν είναι γνησίως αύξουσα. Όμως, είναι γνησίως μονότονη.
Άρα, είναι γνησίως φθίνουσα.
β) i) Έχουμε:      

                  
f
f 1 x 1 f 3 1 x 3 3 1 x 3 4 x 2 x 2,4 .
ii) Έχουμε:
            
 
             
f f
2 2 2 2
f f x 1 3 f 0 f x 1 0 f x 1 f 3 x 3 x 3, 3 .
γ) Η δεδομένη εξίσωση έχει διακρίνουσα:    3 f 2017 .
Έχουμε:      

         
f
2017 0 f 2017 f 0 3 3 f 2017 0 0 .
Άρα, η εξίσωση έχει δύο ρίζες πραγματικές και άνισες.
α) Για κάθε   0 έχουμε:    

        
f
f f 1 . Άρα,   0 1.
β) Η g είναι συνεχής ως αποτέλεσμα πράξεων μεταξύ συνεχών συναρτήσεων.
Για να ικανοποιούνται οι προϋποθέσεις του θεωρήματος Bolzano για τη g στο   0, ,
πρέπει     g 0 g 0 .
Είναι:
                  2 2 2
g 0 0 0 1 1 0 , για κάθε    0,1 και
                             2 2 2 2
g 1 . Ακόμη, για κάθε

   0 1
2
έχουμε:
       

   
0
0
. Οπότε,   g 0 .
Επομένως,     g 0 g 0 . Άρα, δεν υπάρχουν τιμές του    0,1 , ώστε να ικανοποιούνται
οι προϋποθέσεις του θεωρήματος του Bolzano για τη συνάρτηση g στο διάστημα   0, .
Λύνει ο Νίκος Ελευθερίου
Άσκηση Α
Άσκηση Β
___________________________________________________________________________
6η ΑΣΚΗΣΗ η άσκηση της ημέρας από το http://lisari.blogspot.gr σχ. έτος 2017-΄18
α) Από την υπόθεση γνωρίζουμε ότι   f 3 1 και εφόσον η f
C τέμνει τον y y στο σημείο
με τεταγμένη 3, τότε   f 0 3. Οπότε για την συνάρτηση f έχουμε:
   



 

  
0 3
f 0 f 3
f . ό
Οπότε η f είναι γνησίως φθίνουσα στο R
β) i)
     

            
        
f
f 1 x 1 f 1 x f 3 1 x 3 3 1 x 3
4 x 2 2 x 4
ii)
           
   

         
      
f
f
2 2 2 2
2 2
f f x 1 3 f f x 1 f 0 f x 1 0 f
3
x 1
3f f 3 x x 3x
γ) Η εξίσωση έχει διακρίνουσα:
       
2 1
3 f 2017 3 f 2017
4
4 0 διότι:
       

       
f
2017 0 f 2017 f 0 f 2017 3 3 f 2017 0
Οπότε η εξίσωση έχει δυο ρίζες πραγματικές και άνισες.
α) Γνωρίζουμε ότι:
   για κάθε   R με την ισότητα να ισχύει μόνο αν   0. Οπότε αφού   0
έχουμε:
       
Όμως η f είναι γνησίως φθίνουσα στο R, οπότε:
        f f 1
Τελικά είναι:   0 1
β) Η g είναι συνεχής στο R άρα και στο   0, ως πράξεις συνεχών. Επίσης:
Λύνει ο Παναγιώτης Γκριμπαβιώτης
Άσκηση Α
Άσκηση Β
___________________________________________________________________________
6η ΑΣΚΗΣΗ η άσκηση της ημέρας από το http://lisari.blogspot.gr σχ. έτος 2017-΄18
       2
g 0 1 0 διότι   0 1
                 2 2
g 0 διότι     
Επομένως δεν υπάρχουν τιμές του θ για τις οποίες να ικανοποιούνται οι υποθέσεις του
θεωρήματος Bolzano για την συνάρτηση g.
                            2 2 2 2
g 1 . Ακόμη, για κάθε

   0 1
2
έχουμε:
       

   
0
0
.
Οπότε,   g 0 .
Επομένως,     g 0 g 0 .
Άρα, δεν υπάρχουν τιμές του    0,1 , ώστε να ικανοποιούνται οι προϋποθέσεις του
θεωρήματος του Bolzano για τη συνάρτηση g στο διάστημα   0, .
Να υπολογίσετε την αριθμητική τιμή της παράστασης:
7η Α σ κ η σ η
Άλγεβρα Α΄ Λυκείου Προτείνει ο Σταύρος Κουσίδης (29/10/2017)
___________________________________________________________________________
7η ΑΣΚΗΣΗ η άσκηση της ημέρας από το http://lisari.blogspot.gr σχ. έτος 2017-΄18
Έστω
x 50 7 
και
y 50 7 
οπότε:
3 3x y  
Έχουμε:
x y 14  και
2
2
xy 50 7 xy 50 49 xy 1      
οπότε
       
    
  
         
   
    
      
    
 
3 3 3
3 3 3 33 3 3 3
3
3
2
2
x y 14 x y 14 x y 3 x y x y 14
A 3A 14 0
A 8 3A 6 0
A 2 A 2A 4 3 A 2 0
A 2 A 2A 7 0
A 2
αφού η εξίσωση     2
2 7 0 είναι αδύνατη.
Λύνει ο Σταύρος Κουσίδης
___________________________________________________________________________
7η ΑΣΚΗΣΗ η άσκηση της ημέρας από το http://lisari.blogspot.gr σχ. έτος 2017-΄18
Έστω
3 3
x 50 7 x 50 7    
και
3 3
y 50 7 y 50 7    
οπότε:
x y  
Έχουμε:
3 3
x y 14  και  
2 33 3 2
x y 50 7 xy 50 49 xy 1      
οπότε
   
    
  
33 3 3
3
2
2
x y 14 x y 3xy x y 14 A 3A 14 0
A 8 3A 6 0
A 2 A 2A 4 3 A 2 0
A 2 A 2A 7 0
A 2
          
    
      
    
 
αφού η εξίσωση 2
3 7 0     είναι αδύνατη.
Λύνει ο Μάκης Χατζόπουλος
___________________________________________________________________________
7η ΑΣΚΗΣΗ η άσκηση της ημέρας από το http://lisari.blogspot.gr σχ. έτος 2017-΄18
     
3
3 33
3 32 23 3
3 3
3 3
50 7 50 7
50 7 3 ( 50 7) 50 7 3 50 7 ( 50 7) 50 7
14 3 50 7 99 14 50 3 50 7 99 14 50
14 3 5 2 7 3 5 2 7
14 3
      
 
         
      
    
  
απ’ όπου με Ηorner παίρνω ως μόνη ρίζα το 2.
Λύνει ο Κώστας Δεββές
___________________________________________________________________________
7η ΑΣΚΗΣΗ η άσκηση της ημέρας από το http://lisari.blogspot.gr σχ. έτος 2017-΄18
1ος τρόπος :
50 7 5 2 7 2 2 6 3 2 1       
     
3 2 3
2 3
2 3 2 1 3 2 1 1 2 1       
και ομοίως
 
3
50 7 ... 2 1   
Άρα
   
3 3
3 3 3 3A 50 7 50 7 2 1 2 1        
2 1 2 1 2 1 2 1 2         .
2ος τρόπος :
Επειδή
3 3
50 7 50 7 50 7 50 7 A 0         ,
οπότε
3 3
3
3 33
A 50 7 50 7
A 50 7 50 7
    
       
 
2 2
3 3 3 33
A 50 7 3 50 7 50 7 3 50 7 50 7 50 7                     
   
3 33
3
A 14 3 50 7 3 50 7
A 14 3A
        
   
  
   
3 2
2
A 3A 14 0 A 2 A 2A 7 0
A 2 A 1 6 0
A 2
         
        
 
,
αφού
 
2
A 1 6 0  
Άρα A 2
Λύνει ο Αθανάσιος Μπεληγιάννης
___________________________________________________________________________
7η ΑΣΚΗΣΗ η άσκηση της ημέρας από το http://lisari.blogspot.gr σχ. έτος 2017-΄18
Έχουμε
3 3
x y
A 50 7 50 7 x y     
Ισχύει:
         
23 3 2 2
x y x y x xy y x y x y 3xy 1        
Επειδή
 3 3
x y 50 7 50 7 14     
και
    333x y 50 7 50 7 50 49 1 1        
Η σχέση (1) γίνεται:
 
  
2
3
2
0
14 A A 3
A 3A 14 0
A 2 A 2A 7 0
A 2 0
A 2

   
   
   
   

διότι το τριώνυμο 2
A 2A 7  έχει διακρίνουσα αρνητική.
Λύνει ο Κωνσταντίνος Μόσιος
___________________________________________________________________________
7η ΑΣΚΗΣΗ η άσκηση της ημέρας από το http://lisari.blogspot.gr σχ. έτος 2017-΄18
1η ΛΥΣΗ
3 33 3
3 33 3
3 3
50 7 50 7 5 2 7 5 2 7
( 2 1) ( 2 1) 2 1 2 1 2
ύ ( 2 1) 5 2 7 ( 2 1) 5 2 7
        
        
       
2η ΛΥΣΗ
  
3
3 33
2 2
3 3 3 3
3 3
3 2
2
ώ ύ έ ύ έ :
50 7 50 7
50 7 3 50 7 50 7 3 50 7 50 7 50 7
14 3 50 7 50 7
14 3
ά 3 14 0 2 2 7 0 ύ
2 7 0 ( 2
            
      
 
               
   
      
 
  
               
        4 0) ά 2   
3η ΛΥΣΗ - ΓΕΝΙΚΗ
2 23 3
3
3
2 23 3
3
3
) ί ύ 1
ό ί 3 2 ύ ί
3 2 0
) ί ύ 1
ό ί 3 2 ύ ί
3 2 0
έ ά
                    
               
     
                    
               
     
   
3
ά ( ) ί ό
ί έ ί 3 14 0
        
              
Λύνει ο Γιώργος Ασημακόπουλος
___________________________________________________________________________
7η ΑΣΚΗΣΗ η άσκηση της ημέρας από το http://lisari.blogspot.gr σχ. έτος 2017-΄18
1ος τρόπος
Είναι
 
3
33 350 7 2 2 6 3 2 1 2 1 2 1         
 
3
33 350 7 2 2 6 3 2 1 2 1 2 1         
Άρα
   2 1 2 1 2     
2ος τρόπος
Θα χρησιμοποιήσουμε την ταυτότητα του Euler:
Aν , ,    R με 0      τότε 3 3 3
3      
Είναι
  
    
 
     
      
                      
      
         
     
    
   
    
    
      

3 3
Euler
3 3
3 3
3 3 3 33
3 3
233 2
3 3
3
3
3
2
50 7 50 7
50 7 50 7 0
A 50 7 50 7 3 50 7 50 7
A 50 7 50 7 3 50 7 50 7
A 14 3 50 7
A 14 3 1
A 14 3
A 3 14 0
A 8 3A 6 0
A 2 A 2A 4 3 A 2 0
A 2
 
 
    
 
 

2
A 2A 7 0
A 2
Λύνει ο Χάρης Πλάτανος
___________________________________________________________________________
7η ΑΣΚΗΣΗ η άσκηση της ημέρας από το http://lisari.blogspot.gr σχ. έτος 2017-΄18
Θέτουμε x = 3 3
50 7 50 7   (1) .
Τότε ο x είναι θετικός αριθμός.
Υψώνουμε στον κύβο κι έχουμε:
3
x = 3
3
3
50 7 50 7    
 
(√√50 + 7
3
-√√50-7
3
)
3
=
3
3
2 2 3
3 3 3 3 3
50 7 3 50 7 50 7 3 50 7 50 7 50 7                     
       
=          3 350 7 3 50 7 50 7 50 7 3 50 7 50 7 50 7 50 7          
=      3 314 3 50 7 50 49 3 50 49 50 7+    
=    3314 3 50 7 3 50 7   
= 3 3
14 3 50 7 50 7     
 
(1)
 14 3x .
Δηλαδή ο αριθμός x είναι ρίζα της εξίσωσης: 3
x =14 3x  3
x 3x 14=0  (2) .
Λύνουμε την (2) με παραγοντοποίηση του πολυωνύμου x3
+ 3x-14 3
x 3x 14  (μέθοδος
διάσπασης) και έχουμε:
3
x 3x 14  = 3 3
x 2 3x 6   =    2
x 2 x 2x 4 3 x 2     =
  2
x 2 x 2x 4 3    =  2
x 2 x 2x 7   ,
οπότε
(2)  ⇔ (x-2)(x2
+ 2x + 7) = 0   2
x 2 x 2x 7 =0    x = 2 , διότι το τριώνυμο
2
x 2x 7  x2
+ 2x + 7 έχει
διακρίνουσα Δ = 2
2 4 1 7=4 28= 24     < 0 , επομένως δεν έχει ρίζες στο .
Η μοναδική ρίζα x = 2 είναι δεκτή, άρα 3 3
50 7 50 7   √√50 + 7
3
-√√50-7
3
= 2 .
Λύνει ο Θανάσης Καραγιάννης
___________________________________________________________________________
7η ΑΣΚΗΣΗ η άσκηση της ημέρας από το http://lisari.blogspot.gr σχ. έτος 2017-΄18
   
3 3
3 3
3 3
A 50 7 50 7
A 2 1 2 1
A 2 1 2 1
A 2
   
   
   

Λύνει ο Παναγιώτης Βιώνης
___________________________________________________________________________
7η ΑΣΚΗΣΗ η άσκηση της ημέρας από το http://lisari.blogspot.gr σχ. έτος 2017-΄18
Έχουμε: 3 3
50 7 50 7     
3
3 33
50 7 50 7       
 
50    
2 2
3 33 37 3 50 7 50 7 3 50 7 50 7 50          7 
       3 314 3 50 7 50 7 50 7 3 50 7 50 7 50 7         
   
2 2
2 2
3 314 3 50 7 50 7 3 50 7 50 7             
   
     3 314 3 50 7 50 49 3 50 49 50 7       
3 3
14 3 50 7 3 50 7     
3 3
14 3 50 7 50 7       
 
3
14 3 3 14 0        
       3 2
4 7 14 0 2 2 7 2 0 2 2 7 0                          .
Άρα, 2  .
Λύνει ο Νίκος Ελευθερίου
___________________________________________________________________________
7η ΑΣΚΗΣΗ η άσκηση της ημέρας από το http://lisari.blogspot.gr σχ. έτος 2017-΄18
Α τρόπος
Παρατηρώ (!;) ότι:
 
3 3 2
2 1 2 3 2 3 2 1 5 2 7       και  
3 3 2
2 1 2 3 2 3 2 1 5 2 7      
Οπότε η παράσταση γίνεται:
   
3 33 3
3
3 3
3
50 7 50 7 5 2 7 5 2 7
2 1 2 1 2 1 2 1 2
        
        
Για τους μαθητές:
Η ταυτότητα  
3
2 1 δεν ήρθε ουρανοκατέβατη. Μια σκέψη είναι η εξής:
Υποψιαζόμαστε ότι το υπόριζο 5 2 7 θα είναι της μορφής  
3
2   ώστε να
απλοποιηθεί με την τρίτη ρίζα. Όμως:
   
3
3 2 2 3 3 2 2 3
2 2 6 β3 2 62 3 2 2                  
Οπότε θέλουμε να ισχύει:
 3 2 2 3
65 2 7 3 2 2         δηλαδή ψάχνουμε α, β τέτοιους ώστε:
 
 
3 322
3 2 2 2
5 35 3 2
7 α
2
6 6β 7
          
 
      

  
Το γεγονός ότι οι αριθμοί 5 και 7 είναι πρώτοι μας οδηγεί στο συμπέρασμα ότι πιθανόν
το 7  και 5  . Μια επαλήθευση όντως επιβεβαιώνει τους ισχυρισμούς μας.
Β τρόπος
Υψώνοντας την παράσταση στον κύβο έχουμε:
      
     
3
3 3
3 3 3 3 3 3
3 3
3
3 2 2 3
2 2
5 2 7 5 2 7
5 2 7 3 5 2 7 5 2 7 3 5 2 7 5 2 7 5 2 7
5 2 7 3 5 2 7 5 2 7 3 5 2 7 5 2 7 5 2 7
14 3 50 49 5 2 7 3 50 49 5 2 7
14 3 5 2 7 5 2 7
      
 
         
         
      
       
 
Λύνει ο Παναγιώτης Γκριμπαβιώτης
___________________________________________________________________________
7η ΑΣΚΗΣΗ η άσκηση της ημέρας από το http://lisari.blogspot.gr σχ. έτος 2017-΄18
    
  
3 3 3
2
0
2
14 3 3 14 0 6 0
2 4 3 2 0
2 Α+7 0
3
2
8
2
2

 

              
         
    


 

Η άσκηση της ημέρας Σεπτέμβριος και Οκτώβριος 2017

  • 1.
    μικρές προσπάθειες ενασχόλησης μεαγαπημένες μας συνήθειες γιατι ... εχουμε μερακι
  • 2.
    ... Μας τίμησανμε τη συμμετοχή τους Ασημακόπουλος Γιώργος Βιώνης Παναγιώτης Γκριμπαβιώτης Παναγιώτης Δεββές Κώστας Ελευθερίου Νίκος Μόσιος Κωνσταντίνος Μπεληγιάννης Αθανάσιος Παγώνης Θεόδωρος Τρύφων Παύλος Χαλικιόπουλος Σπύρος Ψαθά Ντίνα
  • 3.
    1η Α σκ η σ η Μαθηματικά Γ Λυκείου προσ/σμού 1ο κεφ – όριο/συνέχεια συνάρτησης Προτείνουν οι Θεόδωρος Παγώνης – Παύλος Τρύφων (17/9/2017)
  • 4.
    ___________________________________________________________________________ 1η ΑΣΚΗΣΗ ηάσκηση της ημέρας από το http://lisari.blogspot.gr σχ. έτος 2018-΄19 α) Το 2 και το 1 δεν ανήκουν στο πεδίο ορισμού της f άρα θα πρέπει να μηδενίζουν τον παρονομαστή 2 x x    Οπότε   4 2 0 2 4 1, 2 1 0 1                                            Το πεδίο ορισμού της 1 f είναι το    A x :x 2,x 1,x k 0 2,1, k           Δίνεται ότι 2 A 2 k k 2       Άρα πράγματι   2 x 2 f x x x 2     β) Πρόσημο τριωνύμου 2 x x 2 :  Άρα        2 2x 1 x 1 x 1 x 2 1 lim f x lim lim x 2 1 x x 2 x x 2                              2 2x 2 x 2 x 2 x 2 1 lim f x lim lim x 2 4 x x 2 x x 2                       γ) Για το όριο x 0 x K limf x        κάνουμε την αντικατάσταση x w x   Τότε x 0 x 0 x w 1 x lim lim      και για x κοντά στο 0ισχύει x 0 x 0 x x x 1 w 1 x x x x x x x x x 1 w 1 x                              Λύνει ο Θεόδωρος Παγώνης- Παύλος Τρύφων
  • 5.
    ___________________________________________________________________________ 1η ΑΣΚΗΣΗ ηάσκηση της ημέρας από το http://lisari.blogspot.gr σχ. έτος 2018-΄19 Άρα     x 0 w 1 x limf lim f w x                Για το όριο 4 2x 4 1 lim 2x x f 1 x          κάνουμε την αντικατάσταση 4 2 4 2x x w 1 x    Τότε x x x 4 2 4 4 4 2x x 2x w 2 1 x x lim lim lim           και για x 2018 ισχύει 4 2 4 2x x w 2 1 x      αφού   4 2 4 2 4 2 4 2x x 2 2x x 2 1 x x 2, ύ 1 x               Άρα       4 2x w 2 w 2 4 1 1 1 1 lim lim 0 2x x f w lim f w f 1 x                   
  • 6.
    ___________________________________________________________________________ 1η ΑΣΚΗΣΗ ηάσκηση της ημέρας από το http://lisari.blogspot.gr σχ. έτος 2018-΄19 α) Αφού το -2 και το 1 δεν ανήκουν στο πεδίο ορισμού της συνάρτησης πρέπει να μηδενίζουν τον παρονομαστή. Οπότε -2λ + μ = -4 λ + μ = -1 Και λύνοντας το σύστημα βρίσκουμε λ=1 και μ=-2. Επίσης το 2 μηδενίζει τον αριθμητή, άρα κ=-2 και η συνάρτηση γίνεται: 2 x - 2 f(x) = x + x - 2 β) x 1 x 1 x 1 x 2 1 x 2 1 lim f(x) lim lim ( )( ) (x 2)(x 1) x 1 x 2 3                    x 2 x 2 x 2 x 2 1 x 2 4 lim f(x) lim lim ( )( ) (x 2)(x 1) x 2 x 1 3                    γ) Θέτουμε x u x   και x 0 x 0 x lim u lim 1 x     οπότε 2u 1 u 1 u 1 u 1 u 2 u 2 1 u 2 1 limf(u) lim lim lim ( )( ) u u 2 (u 2)(u 1) (u 1) u 2 3                     Αφού 1 u 1 1 u 1 2 u 1 0                   άρα το u 1 1 lim u 1    . Δηλαδή το Κ=+∞ 4 2x u 2 u 2 4 1 1 (u 2)(u 1) lim lim lim 0 2x x f(u) u 2f( ) 1 x              όπου 4 2 4 2x x u 1 x    και 4 2 4x x 2x x limu lim 2 1 x       Λύνει ο Γιώργος Ασημακόπουλος
  • 7.
    ___________________________________________________________________________ 1η ΑΣΚΗΣΗ ηάσκηση της ημέρας από το http://lisari.blogspot.gr σχ. έτος 2018-΄19 α) Οι 2 και 1 είναι ρίζες της 2 x x 0     , άρα S 1 1       και P 2    . Ο 2 είναι ρίζα της f άρα 2 0 2       . Τελικά   2 x 2 f x x x 2     . β)   x 1 x 2 lim x 2 x 1        επειδή x 1 x 2 1 lim x 2 3       και x 1 1 lim x 1      . Επίσης   x 2 x 2 lim x 2 x 1        επειδή x 2 x 2 4 lim x 1 3      και x 2 1 lim x 2      . γ) i) Για x κοντά στο 0 έχω: x x 1 x x     αφού * x x ,x   R . Αν x u x   είναι x 0 limu 1   και  u 1 lim f u    από το β), άρα x 0 x lim f x          . ii) Για x κοντά στο  έχω: 44 2 x 1 4 2 4 2 4 2x x 2 2x x 2 2x x 2 1 x              . Αν 4 2 4 2x x u 1 x    είναι x lim u 2    και  u 2 lim f u    από το β), άρα 4 2 4x 2x x lim f 0 1 x           . Λύνει ο Κώστας Δεββές
  • 8.
    ___________________________________________________________________________ 1η ΑΣΚΗΣΗ ηάσκηση της ημέρας από το http://lisari.blogspot.gr σχ. έτος 2018-΄19 α) Η f έχει πεδίο ορισμού το  2,1  , οπότε 2 x x 0     για 1 x 2  και 2 x 1 . Από τους τύπους του Vieta είναι: 1 2 x x 1      και 1 2 x x 2       . Η 1 f έχει πεδίο ορισμού το  2 , οπότε x k 0  για x 2 . Επομένως, k 2  . Άρα,   2 x 2 f x x x 2     για κάθε  x 2,1   . β) Για το πρώτο όριο έχουμε:        2 2x 1 x 1 x 1 x 2 1 imf x im im x 2 1 x x 2 x x 2                        , αφού:   x 1 im x 2 1      2x 1 1 im x x 2       , επειδή  2 x 1 im x x 2 0     και 2 x x 2 0   κοντά στο 1 Για το δεύτερο όριο έχουμε:        2 2x 2 x 2 x 2 x 2 1 im f x im im x 2 4 x x 2 x x 2                        , αφού:   x 2 im x 2 4      2x 2 1 im x x 2       , επειδή  2 x 2 im x x 2 0     και 2 x x 2 0   κοντά στο 2  . γ) Για το πρώτο όριο θέτουμε x u x   . Είναι x 0 imu 1   . Για x κοντά στο 0 έχουμε:  x 0 x 0 x x x x x x x x 1 x               και  x 0 x 0 x x x x x x x x 1 x               Οπότε είναι:  x 0 x 1 x imf imf x K x            . Για το δεύτερο όριο έχουμε: 4 2 4 4 4x x 2x x 2x im im 2 1 x x        και Λύνει ο Νίκος Ελευθερίου
  • 9.
    ___________________________________________________________________________ 1η ΑΣΚΗΣΗ ηάσκηση της ημέρας από το http://lisari.blogspot.gr σχ. έτος 2018-΄19   4 2 4 2x x v 1 x 4 2x v 2 4 1 1 M im im 2x x f v f 1 x              . Είναι:     v 2 v 2 1 im f v im 0 f v         και  όπως στο προηγούμενο ερώτημα βρίσκουμε:    v 2 v 2 1 im f v im 0 f v         Άρα,      v 2 v 2v 2 1 1 1 im im im 0 f v f v f v         .
  • 10.
    ___________________________________________________________________________ 1η ΑΣΚΗΣΗ ηάσκηση της ημέρας από το http://lisari.blogspot.gr σχ. έτος 2018-΄19 Α) Αφού το (μη μηδενικό) πολυώνυμο x2+λx+μ είναι 2oυ βαθμού και από την υπόθεση το -2 και το 1 δεν ανήκουν στο πεδίο ορισμού της f, προφανώς αυτές είναι οι δύο ρίζες του. Άρα: S = - 2 + 1 ⟹ λ = 1 και P = - 2 ⟹ μ = - 2 Επειδή το 2 δεν ανήκει στο πεδίο ορισμού της 1/f, αυτό σημαίνει ότι το 2 είναι ρίζα του x+κ, έτσι: 2 + κ = 0 ⟹ κ = - 2. Από τα παραπάνω προκύπτει ότι: 2 x 2 f(x) x x 2     με πεδίο ορισμού το  f 2,1   R Β) 2x 1 x 1 x 1 x 1 x 2 x 2 1 x 2 1 ( 1) limf(x) lim lim lim x x 2 (x 1)(x 2) x 1 x 2 0 3                              2x 2 x 2 x 2 x 2 x 2 x 2 1 x 2 1 ( 4) lim f(x) lim lim lim x x 2 (x 1)(x 2) x 2 x 1 0 ( 3)                               Γ) x 0 u 1 x limf lim f(u) x           γιατί: θέτω x u x       και όταν x 0, u 1  με u<1, αφού x x x x 1 1 1, x x x              4 2 4x u 2 2x x lim f lim f(u) 1 x           γιατί: θέτω 4 2 4 2x x u 1 x       και όταν το x  , u 2  με u 2  , γιατί 4 2 4 4 4x x 4 2 4 2 4 2 4 2x x 2x lim lim 2 1 x x 2x x και αν x 2018 είναι -2 2x x -2 2x x -2 ισχύει. 1 x                          Άρα 4 2x 4 1 1 lim 0 2x x f 1 x             Λύνει ο Σπύρος Χαλικιόπουλος
  • 11.
    ___________________________________________________________________________ 1η ΑΣΚΗΣΗ ηάσκηση της ημέρας από το http://lisari.blogspot.gr σχ. έτος 2018-΄19 Α) 2 x + κ f(x) = , (κ,λ,μ ) x + λx + μ  R )  -2Αf  (-2)2+λ(-2)+μ=02λ-μ=4 (1)  1Αf  12+λ·1+μ=0λ+μ=-1 (1) (1)+(2)  3λ=3 λ=1μ=-2 Άρα, 2 x + κ f(x) = x + x - 2 ) και  -2 1 f A , ενώ 2Αf γιατί 22+ 2-2≠0f(2)=02+κ=4=0κ=-2 Άρα, 2 x - 2 f(x) = x + x - 2 ), x(-∞, -2)∪(-2, 1)∪(1, +∞) B) x 2 f(x) = (x 1)(x 2)    )  x 1 x 1 1 x 2 1 limf(x) lim ( ) x 1 x 2 3                        x 2 x 2 1 x 2 4 lim f(x) lim ( ) x 1 x 2 3                  Γ) x 0 x K limf x        Για κάθε x≠0: x x x x 1 1 1 x x           άρα, αν x u x   , τότε είναι u<1 και και x 0 x 0 x lim u lim 1 x     Έτσι, u 1 lim f(u)      Δ) 4 2x 4 1 lim 2x x f 1 x          Έστω, 4 2 4 2x x t 1 x    , άρα 4 2 4 4 4x x x 2x x 2x lim t lim lim 2 1 x x          Έτσι, t 2 t 2 4 4 lim f(t) ( ) , lim f(t) ( )                Κατά συνέπεια, t 2t 2 t 2 1 1 1 lim 0, lim 0, άρα Μ = lim 0 f(t) f(t) f(t)        Λύνει η Ντίνα Ψαθά
  • 12.
    ___________________________________________________________________________ 1η ΑΣΚΗΣΗ ηάσκηση της ημέρας από το http://lisari.blogspot.gr σχ. έτος 2018-΄19 α) Έχουμε την συνάρτηση 2 x k f(x) , ( , , ) x x            Επειδή το 2 και το 1 δεν ανήκουν στο πεδίο ορισμού της f θα μηδενίζουν τον παρονομαστή δηλ. θα ισχύει:        2 2 2 0 2 4 1            και   2 1 1 0 1 2            Λύνοντας το σύστημα των σχέσεων (1) και (2) προκύπτουν ότι: λ=1 και μ=-2  Επειδή το 2 δεν ανήκει στο πεδίο ορισμού της 1 f θα μηδενίζει τον αριθμητή της f δηλ. 2 k 0 k 2     Έτσι τελικά έχουμε ότι: 2 x 2 f(x) x x 2     β) Αρχικά μελετάμε το πρόσημο της παράστασης 2 x x 2  Έτσι έχουμε ότι:   2 2x 1 x 1 1 1 lim x x 2 0 lim , ή : x x 2 0                       οπότε      2x 1 x 1 1 limf(x) lim x 2 1 , x x 2                      2 2x 2 x 2 1 1 lim x x 2 0 lim , ή : x x 2 0                       οπότε      2x 2 x 2 1 lim f(x) lim x 2 4 , x x 2                    γ) Έχουμε ότι x 0 x K limf x        , επειδή x 0 x lim 1 x     , αν θέσουμε x t x   , τότε t 1 x 1 K limf(t) limf(x)        , διότι για x κοντά στο 0 ισχύει x x  x 1 x    , όμως x x  είναι ομόσημα κοντά στο μηδέν, οπότε x 0 x   έτσι x t 1 x    Λύνει ο Κωνσταντίνος Μόσιος
  • 13.
    ___________________________________________________________________________ 1η ΑΣΚΗΣΗ ηάσκηση της ημέρας από το http://lisari.blogspot.gr σχ. έτος 2018-΄19 o Έχουμε ότι 4 2x 4 1 M lim 2x x f 1 x         , επειδή 4 2 4 2 2 4 4x x x 4 1 2 2x x 2x x xlim lim lim 2 11 x x 1 1 x                , τότε αν θέσουμε 4 2 4 2x x t 1 x    t 2 x 2 1 1 1 M lim lim 0, ή : 0 f(t) f(x)             , διότι ,βάσει του παραπάνω πίνακα έχουμε ότι:      2x 2 x 2 1 lim f(x) lim x 2 4 x x 2                    και      2x 2 x 2 1 lim f(x) lim x 2 4 x x 2                    , όμως 1 0  και 1 0 
  • 14.
    ___________________________________________________________________________ 1η ΑΣΚΗΣΗ ηάσκηση της ημέρας από το http://lisari.blogspot.gr σχ. έτος 2018-΄19 α) Αφού -2,1 είναι ρίζες του τριωνύμου, σύμφωνα με τους τύπους του Vieta έχουμε οτι: 1 2 x x S 2 1 S S 1        και 1 2 x x P 2 1 P P 2        Επομένως, 2 2 2 2 x x x Sx P x x x x 2               Επίσης, 2 2 1 x x x x 2 f(x) x x             Aπό την υπόθεση λοιπόν πρέπει για x 2 : x 0 2 0 2          Επομένως: 2 x 2 f(x) x x 2     β)  2x 1 x 1 x 1 x 1 x 1 x 2 x 2 1 x 2 1 2 lim f(x) lim lim lim lim ( ) x x 2 (x 1)(x 2) x 1 x 2 1 2                             1 ( ) ( ) 3        2x 2 x 2 x 2 x 2 x 2 x 2 x 2 1 x 2 2 2 lim f(x) lim lim lim lim ( ) x x 2 (x 1)(x 2) x 2 x 1 2 1                               4 ( ) 3      γ) 2x 0 u 1 u 1 u 1 u 2 u 2 K limf limf(u) lim lim u u 2 (u 1)(u 2)                   , αφού θέσαμε u ,ό 0 : u 1       * (u 1 επειδή λόγω της ανισότητας ημχ<χ 1, x )         Για u 1 : x 1 x 1 1 u 2 1 lim lim ( ) u 1 u 2 3                   Λύνει ο Παναγιωτης Βιωνης
  • 15.
    ___________________________________________________________________________ 1η ΑΣΚΗΣΗ ηάσκηση της ημέρας από το http://lisari.blogspot.gr σχ. έτος 2018-΄19 Άρα      2 2 4 2x t 2 t 2 4 2 2 21 1 t t 2 0 lim lim lim 0 2x x f(t) t 2 2 2 4 f 1 x                         αφού 4 2 4 4 4x x 2x x 2 x lim lim 2 1 x x        και θέτοντας 4 2 4 2x x t ,ό x + : t -2 1 x       
  • 16.
    Θεωρούμε τις συναρτήσειςμε τύπους για τις οποίες γνωρίζουμε ότι:  ορίζεται ο αριθμός  για το πεδίο ορισμού της συνάρτησης ισχύει α) Αποδείξτε ότι β) Να εξετάσετε αν ο αριθμός ανήκει στο σύνολο τιμών της γ) Να αποδείξετε ότι η εξίσωση έχει μοναδική ρίζα στο διάστημα 2η Α σ κ η σ η Μαθηματικά Γ Λυκείου προσ/σμού 1ο κεφ – όριο/συνέχεια συνάρτησης Προτείνει ο Παύλος Τρύφων (24/9/2017)
  • 17.
    ___________________________________________________________________________ 2η ΑΣΚΗΣΗ ηάσκηση της ημέρας από το http://lisari.blogspot.gr σχ. έτος 2018-΄19 α) Ορίζεται ο αριθμός   f 2 όταν το  2 ανήκει στο πεδίο ορισμού της συνάρτησης f, δηλαδή όταν       2 1 1 1 Επίσης                                                                                      2 2 f g g f 2 2 ό, ύ 1 4 0 x x D x D :g x D x : 1 x : 1 0 x x x x x : 0 x : x x x 0 x x :x 0 , Δίνεται όμως ότι       , ,1 , άρα    1 2 Από τις σχέσεις    1 , 2 προκύπτει ότι   1 β) Ο αριθμός    0,4 ανήκει στο σύνολο τιμών της g αν και μόνο αν η εξίσωση    g x έχει λύση ως προς x στο   1 Έχουμε               2 2x g x x x 0 x 1 και η εξίσωση     2 x x 0 έχει λύση αν και μόνο αν            2 0 4 0 0 ή 4, άτοπο Άρα ο αριθμός    0,4 δεν ανήκει στο σύνολο τιμών της g γ) Αρχικά θα υπολογίσουμε το      x 1 f x g xlim Είναι                             x 1 x 1 x 1 x 1 x 1 2 2 2 2 2 x 1 x x 1 x x 1 x f x g x x 1 1 x 1 x 1 x 1 x lim lim lim lim lim (διότι     x 1 1 x 0lim και  1 x 0 κοντά στο  1 ) Οπότε θέλουμε να αποδείξουμε ότι η εξίσωση Λύνει ο Παύλος Τρύφων
  • 18.
    ___________________________________________________________________________ 2η ΑΣΚΗΣΗ ηάσκηση της ημέρας από το http://lisari.blogspot.gr σχ. έτος 2018-΄19                      2 2 3 6 1 x 1 x 1 x 1 f x g x 0 0 x 1 x x x 1 x 1 x x x x 1 0 έχει μοναδική ρίζα στο διάστημα  0,1 Η συνάρτηση          6 m x x x 1 , x 0,1 είναι συνεχής και επιπλέον       m 0 m 1 1 0 Οπότε από το θεώρημα Bolzano, η εξίσωση   m x 0 έχει τουλάχιστον μια ρίζα στο διάστημα  0,1 Επιπλέον η συνάρτηση m είναι γνησίως αύξουσα στο      * 0,1 , άρα η εξίσωση       1 f x g x 0 x έχει μοναδική ρίζα στο διάστημα  0,1  * Μονοτονία της συνάρτησης m: Αν    1 2 x ,x 0,1 με 1 2 x x τότε                          6 6 1 2 6 6 1 1 2 2 1 2 1 2 x x x x 1 x x 1 m x m x m 0,1 x 1 x 1 <
  • 19.
    ___________________________________________________________________________ 2η ΑΣΚΗΣΗ ηάσκηση της ημέρας από το http://lisari.blogspot.gr σχ. έτος 2018-΄19 α)            f g D ,1 ,D , , και    f 2 D άρα      2 1 1 (1)                                                            2 2 f g 2 2 x x D x ,g x 1 x , 1 x , 1 0 x x x x x , 0 x , x x (x ) 0 , x επειδή το τριώνυμο είναι θετικό  x αφού έχει       1 4 3 0 λόγω της (1). Επειδή   f g D ,1 θα είναι   1 (2). Από τις (1), (2) έχω   1. β)      2 x g x ,x 1 x 1 i) Xωρίς παραγώγους Το σύνολο τιμών της g αποτελείται από τα  y ώστε η εξίσωση  y g x να έχει λύση ως προς x και αυτή να ανήκει στο g D .       2 2x y x yx y 0 x 1 με      0 y 0 y 4. Οι λύσεις         2 2y y 4y 1 y 4y 2 y 2 . Με    y 0 2 y 2 αν ήταν   2 y 4y 2 y η εξίσωση αδύνατη, και με     y 4 2 y 2 αν ήταν        2 2 y 4y 2 y y 4y y 2 η εξίσωση αδύνατη. Άρα οι λύσεις διάφορες του 1 και το σύνολο τιμών της g είναι το        g ,0 4, . ii) Με παραγώγους             2 2 x 2x g x 0 x 0 2 x 1 και              g x 0 x 0 x 2 g ,0 , 2, ,               g x 0 0 x 1 1 x 2 g 0,1 , 1,2 . Επίσης                        x xx 1 x 1 lim g x limg x , lim g x limg x ,g 0 0,g 2 4 και το σύνολο τιμών της g είναι το        g ,0 4, . Άρα ο   g . γ) Για x 1 είναι          2 2 x 1 x x fg x x 1 1 x με           2 x 1 x lim 1 x και πρέπει να δ.ο. η εξίσωση     2 x 1 0 1 x x έχει μοναδική ρίζα στο  0,1 , αφού είναι        x 1 1 0 lim f x g x , Λύνει ο Κώστας Δεββές
  • 20.
    ___________________________________________________________________________ 2η ΑΣΚΗΣΗ ηάσκηση της ημέρας από το http://lisari.blogspot.gr σχ. έτος 2018-΄19 δηλαδή ισοδύναμα ότι η εξίσωση  3 x 1 x έχει μοναδική ρίζα στο  0,1 . Θέτοντας     3 x x 1 x στο   0,1 ισχύει το θ. Βolzano κι επειδή       2 1 x 3x 0 2 1 x η  είναι στο   0,1 και η ρίζα είναι μοναδική.
  • 21.
    ___________________________________________________________________________ 2η ΑΣΚΗΣΗ ηάσκηση της ημέρας από το http://lisari.blogspot.gr σχ. έτος 2018-΄19                                           f 2 g f 2 fog g f 2 ) f(x) 1 x. Η f ορίζεται, αν 1 x 0 x 1, άρα D ( ,1] x g(x) ,x , άρα D { } x Ορίζεται ο αριθμός f(2 ) 2 D 2 1 1 (1) x D {x D / g(x) D } {x / 1} x x x και x                                                                             2 2 2 1 2 fog x x x 1 1 0 0 (x )(x x ) 0 x x και x 1 4 . Για 1 4 4 1 4 3 0 0 x x 0, για κάθε x . Ά x 0 x x , ό x< . Έ , D ( , ) ( ,1) 1 (2) (1),(2) 1 )                   2 2 2 2 2 2 x Για λ=1, g(x)= ,x 1. x 1 2x(x 1) x x 2x x(x 2) Για κάθε x 1, g'(x) . (x 1) (x 1) (x 1) Είναι g(0) 0 Για κάθε x 0,g'(x) 0, άρα η g είναι γνησίως αύξουσα στο διάστημα (- ,0], άρα g(x)<g(0) g(x)<0 κα     ι για κάθε 0<x<1, g'(x)<0, άρα η είναι γνησίως φθίνουσα στο [0,1), άρα g(x)<g(0) g(x) 0 ηλαδή για κάθε x<1, g(x) 0. Είναι g(2)=4 Για κάθε 1<x<2, g'(x)<0, άρα η g είναι γνησίως φθίνουσα στο (1,2], άρ         g α g(x)>g(2) g(x)>4 και για κάθε x>2, g'(x)>0, άρα η g είναι γνησίως αύξουσα στο [2,+ ), άρα g(x)>g(2) g(x)>4 Δηλαδή για κάθε x>1, g(x) 4. Έτσι, για κάθε x D , g(x) 0, ή g(x) 4. Άρα δεν υπάρχει μ (0,4), που να ανήκει στο σύνολο τιμών της g . Λύνει η Ντίνα Ψαθά
  • 22.
    ___________________________________________________________________________ 2η ΑΣΚΗΣΗ ηάσκηση της ημέρας από το http://lisari.blogspot.gr σχ. έτος 2018-΄19                                     2 2 2 2 2 x 1 x 1 x 1 x 1 x x x γ) ια x<1, είναι f(x)g(x) 1 x 1 x x 1 ( 1 x) 1 x 1 1 lim[f(x)g(x)] lim[ ( x )] ( )( 1) lim 0 1 x f(x)g(x) ( γιατί lim 1 x 0 και 1 x 0, κοντά στο 1, x<1 ) . Άρα Α=(0,1) .                                              2 2 2 2 2 2 1 x 1 Έστω h(x) f(x)g(x) , x (0,1) A. Για κάθε x A, x 1 x x 1 2x 1 x x 1 4x(1 x) x 1 x(3x 4) 12 1 xh'(x) 0, 1 x x 2(1 x) 1 x x 2(1 x) 1 x x γιατί x(3x 4) 0 x 1 0 3x 3 4 3x 4 1 0 0. 2(1 x) 1 x Άρα η h είναι γνησίως φθίνουσα και συνεχής στο Α=(0,1) .               x 1 x 0 0 0 Είναι lim h(x) ( ) 1 ,lim h(x) . Άρα h(A)= . 0 h(A) και η h είναι γνησίως φθίνουσα στο Α και συνεχής, άρα υπάρχει μοναδικό x Α, τέτοιο ώστε h(x ) 0
  • 23.
    ___________________________________________________________________________ 2η ΑΣΚΗΣΗ ηάσκηση της ημέρας από το http://lisari.blogspot.gr σχ. έτος 2018-΄19 α) Το πεδίο ορισμού της f είναι   ( ,1] και της g είναι το    Πρέπει                                                                                    2 f g 2 2 2 f g 2 2 1 1 (1) x D x B : g(x) A x , 1 x ,x , x x x x ύ 1 0 0 x x 0 1 4 0 . x x Ά x 0 x ύ D ( ,1) ά 1 (2) ό (1) (2) έ 1 x ) g(x) έ g(x) έ : x 1                                                                      2 2 2 2 2 2 x 1 x 1 x 1 x x (x 1) x 1 x x 0 έ : 0 4 0 ( 4) 0 ά ύ ώ g ί ( ,0] [4, ). Ά (0,4) ή ύ ώ g. x x ) ί ώ lim f(x)g(x) lim( 1 x ) lim( 1 x x 1                                                          2 2 x 1 x 1 3 3 ) (1 x) x 1 lim( ) ά 0 ή ά ί (0,1). lim f(x)g(x)(1 x) ί ί ί : xf(x)g(x) 1 0 .... x 1 x 0. έ H(x) x 1 x έ : (0) 1 0 (1) 1 0 . (0) (1) 0                                                     0 0 1 2 3 3 3 3 1 2 1 2 1 2 1 2 1 2 1 2 1 2 ή ή [0,1] . Bolzano ά x (0,1) : (x ) 0 ό : x ,x (0,1) έ : x x x x x x (1) x x x x 1 x 1 x (2) (1) (2)έ : (x ) (x ) ά ί ί ί , ά ύ ί  ή Λύνει ο Γιώργος Ασημακόπουλος
  • 24.
    ___________________________________________________________________________ 2η ΑΣΚΗΣΗ ηάσκηση της ημέρας από το http://lisari.blogspot.gr σχ. έτος 2018-΄19 α) Είναι    f D ,1 και         g D , , Αφού ορίζεται το   f 2 πρέπει      2 1 1 (1) Επίσης       f g D x g x 1                        2 2 2x x x g x 1 1 0 x x x 0 x x (2) Για   1 το τριώνυμο   2 x x έχει αρνητική διακρίνουσα , άρα    2 x x 0 για κάθε x . Άρα η (2) δίνει      x 0 x , δηλ.    f g D , . Επειδή            f g D ,1 , ,1 , άρα   1 (3) Από (1) , (3) προκύπτει   1. β) Για   1 :     2 x g x x 1 , x 1.                  2 2 x x 1 1 1 1 g x x 1 x 1 2 x 1 x 1 x 1 x 1 Για    x 1 x 1 0 , άρα        1 x 1 2 g x 4 x 1 Για    x 1 x 1 0, άρα          1 x 1 2 g x 4 x 1 Άρα το    0,4 δεν μπορεί να ανήκει στο σύνολο τιμών της g . γ) Είναι            2 2 x x f x g x 1 x x 1 1 x , για κάθε x 1 και επειδή                   2 x 1 x 1 x lim f x g x lim 1 x , ψάχνουμε μοναδική ρίζα για την εξίσωση    2 1 x 0 x 1 x στο διάστημα  0,1 . Για κάθε  x 0,1 η εξίσωση γίνεται :             2 3 6 61 x x 1 x x 1 x x x 1 0 x 1 x Έστω συνάρτηση     6 h x x x 1 με    x 0,1 . Θα δείξουμε ότι η h έχει μοναδική ρίζα στο  0,1 . Η h είναι συνεχής στο   0,1 ως πολυωνυμική και       h 0 h 1 1 0, άρα από το Θ. Bolzano υπάρχει μία τουλάχιστον ρίζα της εξίσωσης   h x 0 στο  0,1 . Λύνει ο Αθανάσιος Μπεληγιάννης
  • 25.
    ___________________________________________________________________________ 2η ΑΣΚΗΣΗ ηάσκηση της ημέρας από το http://lisari.blogspot.gr σχ. έτος 2018-΄19 Για οποιαδήποτε    1 2 x ,x 0,1 με 1 2 x x έχουμε :           6 6 1 2 1 2 1 2 1 2 x x x x x x x 1 x 1 άρα          6 6 1 1 2 2 1 2 x x 1 x x 1 h x h x , άρα η h είναι γνησίως αύξουσα στο   0,1 , άρα και «1-1» , δηλ. έχει μοναδική ρίζα στο  0,1 .
  • 26.
    ___________________________________________________________________________ 2η ΑΣΚΗΣΗ ηάσκηση της ημέρας από το http://lisari.blogspot.gr σχ. έτος 2018-΄19 α) Εφόσον ορίζεται το      f 2 1 τότε θα πρέπει   1. Το πεδίο ορισμού της f g είναι:                                                        2 2 f g g f 2 x x D x D x / g x x xD / 1 1 x x 0 0 / x x / x x x / x , διότι το   2 x x 0 έχει     1 4 0 αφού   1. Αν   1 τότε το   , δεν είναι υποσύνολο του  ,1 . Οπότε αναγκαστικά   1. β) Έστω ότι ο αριθμός    0,4 ανήκει στο σύνολο τιμών της g. Τότε θα υπάρχει 0 g x D τέτοιο ώστε:               0 0 2 0 20 0 x g x x x 0 x 1 Όμως η παραπάνω εξίσωση έχει       2 μ=μ 44 0 διότι   0 και   4 . Άρα ο αριθμός    0,4 δεν ανήκει στο σύνολο τιμών της g. γ) Αρχικά θα υπολογίσουμε το όριο                                x 1 x 1 x 1 x 1 22 2 x1 x 1 xx 1 lim f x g x lim lim lim x 1 xx 1 x 1 x1 Οπότε θα είναι και:       x 1 1 lim 0 f x g x Αρκεί λοιπόν να αποδείξουμε ότι η εξίσωση       1 f x g x 0 x έχει ακριβώς μια ρίζα στο  0,1 . Η παραπάνω εξίσωση ισοδύναμα γίνεται:                   2 2 3 31 x 1 xx 1 x 1 0 0 x , x x 1 x x x 1 x 0 0,1 1 x x 1 x Θεωρούμε την συνάρτηση         3 1 x, x 0,1h x x και αρκεί να αποδείξουμε ότι η h έχει ακριβώς μια ρίζα στο  0,1 . Η h είναι συνεχής στο   0,1    h 0 1   h 1 1 Οπότε από το θεώρημα του Bolzano η εξίσωση   h x 0 έχει τουλάχιστον μια ρίζα στο  0,1 . Λύνει ο Παναγιώτης Γκριμπαβιώτης
  • 27.
    ___________________________________________________________________________ 2η ΑΣΚΗΣΗ ηάσκηση της ημέρας από το http://lisari.blogspot.gr σχ. έτος 2018-΄19 Η ρίζα αυτή είναι και μοναδική αφού η h είναι γνησίως αύξουσα στο  0,1 το οποίο προκύπτει είτε με το ορισμό ή και με παραγώγους. Διαφορετικά θα μπορούσαμε να πούμε το εξής: Έστω ότι η h έχει 2 ρίζες τις   , 0,1 με    τότε:                                                                 3 3 3 3 2 2 2 2 h 0 h 0 1 1 1 1 1 αβ+β 1 1 1 1 Η τελευταί όμως είναι αδύνατη αφού το 1ο μέλος είναι θετικό και το δεύτερο αρνητικό. Οπότε η h έχει μοναδική ρίζα στο  0,1 .
  • 28.
    μικρές προσπάθειες ενασχόλησης μεαγαπημένες μας συνήθειες γιατί ... έχουμε μεράκι
  • 29.
    ... Μας τίμησανμε τη συμμετοχή τους Ασημακόπουλος Γιώργος Βιώνης Παναγιώτης Γεωργίου Κωνσταντίνος Γκριμπαβιώτης Παναγιώτης Δεββές Κώστας Ελευθερίου Νίκος Καραγιάννης Θανάσης Κουσίδης Σταύρος Μόσιος Κωνσταντίνος Μπεληγιάννης Αθανάσιος Νάννος Μιχάλης Πετρόπουλος Θωμάς Πλάτανος Χάρης Τρύφων Παύλος Χατζόπουλος Μάκης
  • 30.
    α) Να βρείτετον αριθμό ώστε οι συναρτήσεις με τύπους να είναι ίσες στο β) Για να βρείτε (αν υπάρχει) το 3η Α σ κ η σ η Μαθηματικά Γ Λυκείου προσ/σμού 1ο κεφ – όριο/συνέχεια συνάρτησης Προτείνει ο Μάκης Χατζόπουλος (1/10/2017)
  • 31.
    ___________________________________________________________________________ 3η ΑΣΚΗΣΗ ηάσκηση της ημέρας από το http://lisari.blogspot.gr σχ. έτος 2017-΄18 α) Αν οι συναρτήσεις f ,g είναι ίσες στο * , τότε    f x g x για κάθε * x  Άρα και      2 2 2 2 k k k 1 f g 0 1 k k                      Για k 1 παίρνουμε     2 2 x 1 x f x g x x x       για κάθε * x  Άρα η τιμή k 1 είναι δεκτή  Για k 1  παίρνουμε       2 2 2 2 x x 1 x x f x , g x x x x x             για κάθε * x  Οπότε 2 2 f , g 2 2                 Άρα η τιμή k 1  απορρίπτεται Οπότε δεκτή είναι μόνο η τιμή k 1 β) Για x κοντά στο 0έχουμε     f g 2 2 2 x xx x x xg x x f x x x x x x         Γνωρίζουμε όμως ότι x x  για κάθε * x  (με την ισότητα να ισχύει μόνο για x 0 ) Άρα για x 0 2 2 0 x x x x 0       Οπότε  Για x 0 είναι 2 22 2 2 22 2 x x x x x 1 x x x x xx x 0 1 x                    Λύνει ο Μάκης Χατζόπουλος
  • 32.
    ___________________________________________________________________________ 3η ΑΣΚΗΣΗ ηάσκηση της ημέρας από το http://lisari.blogspot.gr σχ. έτος 2017-΄18  x 0 x 0 2 x 1 g x x x 1 x lim lim                 Για x 0 είναι 2 22 2 2 22 2 x x x x x 1 x x x x xx x 0 1 x                        x 0 x 0 2 x 1 g x x x 1 x lim lim                 Άρα δεν υπάρχει το  x 0 x g x x lim  
  • 33.
    ___________________________________________________________________________ 3η ΑΣΚΗΣΗ ηάσκηση της ημέρας από το http://lisari.blogspot.gr σχ. έτος 2017-΄18 α) Για 1  έχω:   2 x f x x   και     2 2 1 x x g x f x x x       στο * . * , 1    είναι    2 f 0       και   2 1 g 0       για 1   , ενώ για 1   είναι     2 2 x x f x g x x x       . Άρα f g στο * μόνο για 1  . β) Αν   2 2 2 2 2 2 2 2 2 22 2 2 1 ,x 0 x x,x 0 1 x x xx xx h x x x x 1xx ,x 0,x 0 x xx x 1 x                             τότε 2 2x 0 x lim 1 0 x    με 2 2 x 1 0 x    κοντά στο 0, αφού είναι 2 2 2 2 x x x x 0 1 x        . Άρα  x 0 lim h x    και  x 0 lim h x   , δηλαδή το ζητούμενο όριο δεν υπάρχει. Λύνει ο Κώστας Δεββές
  • 34.
    ___________________________________________________________________________ 3η ΑΣΚΗΣΗ ηάσκηση της ημέρας από το http://lisari.blogspot.gr σχ. έτος 2017-΄18 α) Αφού οι δύο συναρτήσεις είναι ίσες θα παίρνουν την ίδια τιμή για κάθε τιμή που ανήκει στο πεδίο ορισμού τους, που είναι το σύνολο των πραγματικών χωρίς το 0. Αφού λοιπόν το 2  ανήκει στο πεδίο ορισμού τους, θέτουμε όπου x το 2  και έχουμε: 2 k k 2        Όμως 2 1 2 2       και αντικαθιστώντας έχουμε     k k 1 2k 1 1 2k         Αν ο k είναι άρτιος, τότε k 0 , άτοπο  Αν ο k είναι περιττός, τότε k 1 . Αντικαθιστώντας στην αρχική έχω 2 2 x 1 x,    που ισχύει Άρα k 1 β) Αφού βρήκαμε την τιμή του k και γνωρίζουμε ότι f g , θα αντικαταστήσουμε στο ζητούμενο όριο (έστω L ) την g με την f ώστε να το υπολογίσουμε ευκολότερα. Είναι λοιπόν:  x 0 x 0 x 02 2 2 x xx x L xf x x x x x x lim lim lim           Ο παρονομαστής είναι προφανώς αρνητικός ( x x  ), άρα 2 2 2 2 x x x x     Θα διακρίνουμε δυο περιπτώσεις, ώστε να «φύγει» το απόλυτο από τον αριθμητή  αν x 0 έχουμε  2 u x : x 0 x 0 x 0 2 22 2 2 x u 1 L x x u u u 1 u lim lim lim                        όμοια αν x 0 παίρνουμε L   Οπότε το ζητούμενο όριο δεν υπάρχει Λύνει ο Χάρης Πλάτανος - ΜΑΘΗΤΗΣ Α ΛΥΚΕΙΟΥ!!
  • 35.
    ___________________________________________________________________________ 3η ΑΣΚΗΣΗ ηάσκηση της ημέρας από το http://lisari.blogspot.gr σχ. έτος 2017-΄18 2 2 2 2 2 2 2 2 2 2 ) έ f(x) g(x) ά . ό : ( ) ( ) (1) έ : ( ) 0 1 0 1. ί ί : 0 4 . έ ί έ ύ έ ί έ                                                                                     1,2 1,2 0 1.Ό 1 ύ (1). Ά 1 1,2 1 ό 1 0 2 1,2 1 ό 1 ή 0 ά . . 4 ή 1 ή 0 4 ό έ : 2 2 1, ό έ : 1 2 0, ό                                                                   1,2 2 2x 0 x 0 2 2 2 2 2x 0 x 0 2 x 0 2 2 2 2 2 2x 0 x 0 έ : 2 Ά 1 x x )Έ : lim ... lim g(x) x (x) x x x x 0 ό lim lim (x) x (x) x 1 (x) lim ύ 1 (x) x1 x x x x 0 ό lim lim (x) x (x) x                                                               2 x 0 2 x 0 1 lim (x) 1 x Ά ά lim g(x) x               Λύνει ο Γιώργος Ασημακόπουλος
  • 36.
    4η Α σκ η σ η Γεωμετρία Β Λυκείου Προτείνουν οι Μιχάλης Νάννος – Παύλος Τρύφων (8/10/2017)
  • 37.
    ___________________________________________________________________________ 4η ΑΣΚΗΣΗ ηάσκηση της ημέρας από το http://lisari.blogspot.gr σχ. έτος 2017-΄18 α) Φέρνουμε το ευθύγραμμο τμήμα  Εφαρμόζοντας το πυθαγόρειο θεώρημα σε καθένα από τα ορθογώνια τρίγωνα  και  έχουμε αντίστοιχα:   2 2 2 2 2 2 2 6 4 2 68                 22 2 2 2 22 2 68 6 68 6 6 16 0                         Προκύπτει τριώνυμο με διακρίνουσα     2 6 4 1 16 100        Άρα 0 6 100 8 2      Οπότε το εμβαδόν του τετραγώνου είναι 2 64    β) Φέρνουμε το ευθύγραμμο τμήμα  και έχουμε:                   2 2 2 2 2 y 6 4 2 8 8 x8 2 6x 64 2 2 2 2 2 2 y 6 64 8 3x 32 4x 2 2 y 6 x 24                                                           Λύνει οι Μιχάλης Νάννος – Παύλος Τρύφων
  • 38.
    ___________________________________________________________________________ 4η ΑΣΚΗΣΗ ηάσκηση της ημέρας από το http://lisari.blogspot.gr σχ. έτος 2017-΄18 α) Από την εφαρμογή Πυθαγορείου θεωρήματος στο τρίγωνο ΑΕΖ προκύπτει οτι:   2 2 2 2 2 2 2 2 6 4 2 36 32 68                Με εφαρμογή Πυθαγορείου θεωρήματος στο τρίγωνο ΑΒΖ έχουμε οτι:  2 2 2 2 2 68 68 1               Επίσης ισχύει οτι:       2 22 2 6 36 12 2                             2 2 2 2 2 1 2 1 1 2 2 1 , 2 36 12 68 2 12 32 0 4 6 16 0 έ κ=ΒΖ και 4 6 16 0 ό τους τύπους του Vieta προκύπτει οτι: κ 6 2 2 16 8 8 το οποίο απορρίπτεται προφανώς                                                            2 2 έ 3 Ε= 6 2 8 64 . ά           β) Παρατηρούμε ότι:                       Ε= 8 8 x 4 2 y 6 6x 8 2 64 2 2 2 2 64 4 8 x 2 2 y 6 3x 8 64 32 4x 2 2 y 6 3x 8 4x 3x 64 32 8 2 2 y 6 x 24 2 2 y 6                                    Λύνει ο Παναγιώτης Βιώνης
  • 39.
    ___________________________________________________________________________ 4η ΑΣΚΗΣΗ ηάσκηση της ημέρας από το http://lisari.blogspot.gr σχ. έτος 2017-΄18 α) • Από ΠΘ στο ορθογώνιο τρίγωνο ΕΑΖ έχουμε: 68  • Από ΠΘ στο ορθογώνιο τρίγωνο ΑΖΒ έχουμε (α η πλευρά του τετραγώνου): 0 2 2 ( 6) 68 ( 8)( 2) 0 8               Συνεπώς 2 ( ) 64     β) Είναι: ( ) 2 2(y 6) 2         Είναι επίσης: (ΗΓΑΒ) (ΑΖΒ) (ΗΓΖ) Ε = 4x + 32, Ε = 8 και Ε = 3x Ομως (ΗΖΑ) (ΗΓΑΒ) (ΑΖΒ) (ΗΓΖ) Ε = Ε Ε Ε x 24 ο.ε.δ.    Λύνει ο Χάρης Πλάτανος
  • 40.
    ___________________________________________________________________________ 4η ΑΣΚΗΣΗ ηάσκηση της ημέρας από το http://lisari.blogspot.gr σχ. έτος 2017-΄18 α) Θεωρούμε ότι η πλευρά του τετραγώνου είναι α μονάδες μήκους τότε 6    και x    . Στη συνέχεια φέρουμε το τμήμα ΑΖ και εφαρμόζοντας το Πυθαγόρειο Θεώρημα στο τρίγωνο ΑΕΖ έχουμε:           22 2 2 2 2 6 4 2             2 36 32 68 68 2 17        Επίσης εφαρμόζουμε του Π.Θ. και στο τρίγωνο ΑΒΖ οπότε προκύπτει:         2 2 2 22 6 68           2 2 2 12 32 0 6 16 0            Η δευτεροβάθμια εξίσωση έχει διακρίνουσα 36 64 100    και ρίζες 1,2 8, ή6 10 2, ί .2          , άρα 8  , οπότε   2 64 .     β) Είναι επίσης   1 2 3 4 5            , όπου  1 1 8 8 x 32 4x, . 2         , 2 1 8 2 8 . . 2       ,  3 1 6 4 2 12 2 2     ,  4 1 y 4 2 2 2 y 2     και 5 1 6 x 3x 2     Έτσι καταλήγουμε στη σχέση:  32 4x 8 12 2 2 2 y 3x 64 2 2 y 6 x 24           Λύνει ο Κωνσταντίνος Μόσιος
  • 41.
    ___________________________________________________________________________ 4η ΑΣΚΗΣΗ ηάσκηση της ημέρας από το http://lisari.blogspot.gr σχ. έτος 2017-΄18   2 2 2 2 2 2 2 2 ) έ . ώ ί ί 2 17. Έ ά ώ . ώ ό . . έ : 2 17 ( 6) 68 12 36 68 6 16 0 ό ό ί                                                                 2 2 ( ί ) ή 8 ( ή). Ά 8 64 ) έ . έ έ 4( 8) 2 ύ : ( ) ( ) ( ) ( ) 3 8 2 2 12 2 ή 4( 8) 3 8 2 2 12 2 24 2 2( 6)                                                                     Λύνει ο Γιώργος Ασημακόπουλος
  • 42.
    ___________________________________________________________________________ 4η ΑΣΚΗΣΗ ηάσκηση της ημέρας από το http://lisari.blogspot.gr σχ. έτος 2017-΄18 α) Από Π.Θ. στο ΑΕΖ έχω 2 68  και από Π.Θ. στο ΑΒΖ ισχύει:   2 2 6 68 2        . Άρα   64  . β) Τα τρίγωνα  και  είναι όμοια γιατί είναι ορθογώνια και έχουν τη   κοινή. Άρα 3 24 4 8        . Το τετράπλευρο  είναι εγγράψιμο γιατί 0 90       . Τα τρίγωνα  και  είναι όμοια γιατί έχουν:         και      από το  και τις εντός εναλλάξ   και   . Άρα  2 4 2 2 2 y 6 24 x 6 y 24 x        . Λύνει ο Κώστας Δεββές
  • 43.
    ___________________________________________________________________________ 4η ΑΣΚΗΣΗ ηάσκηση της ημέρας από το http://lisari.blogspot.gr σχ. έτος 2017-΄18 α) Από Πυθαγόρειο θεώρημα στο τρίγωνο ΑΖΒ :   22 2 AZ 6     Από Πυθαγόρειο θεώρημα στο τρίγωνο ΑΕΖ :   2 2 2 6 4 2 68    . Άρα   22 2 2 2 6 68 12 36 68 6 16                     6 2 3 25 3 5 8            Οπότε   2 64 . .     β)            8 x 8 6 y 4 28 2 6 x 2 2 2 2                     32 4x 8 2 2 y 6 3x x 24 2 2 y 6          . Λύνει ο Αθανάσιος Μπεληγιάννης
  • 44.
    5η Α σκ η σ η Μαθηματικά Γ Λυκείου προσ/σμού 1ο κεφ – όριο/συνέχεια συνάρτησης Προτείνει ο Χάρης Πλάτανος (15/10/2017) Μαθητής Α Λυκείου
  • 45.
    ___________________________________________________________________________ 5η ΑΣΚΗΣΗ ηάσκηση της ημέρας από το http://lisari.blogspot.gr σχ. έτος 2017-΄18 α) Υπενθυμίζουμε αρχικά δύο γνωστές ανισότητες: (i) 1 x 2 για x > 0 x   (ii) 2 2 2 2(a b ) (a b)   για πραγματικούς a,b Είναι 1 π f(x) b b b 2, αφού εφb > 0 γιατι b 0, b 2                 άρα f(x) ≥ 2 Επιπλέον είναι 2 2 2 ( a a) 2( a b) 2        ( 𝜂𝜇𝑎 + 𝜎𝜐𝜈𝑎)2 ≤ 2( 𝜂𝜇2 𝑎 + 𝜎𝜐𝜈2 𝑏) = 2 άρα f(x) ≤ 2 Συνεπώς: f(x) ≤ 2 και το ζητούμενο αποδείχθηκε. β) Αν αποδείξουμε ότι η ℎ είναι γνησίως φθίνουσα στο R τότε θα είναι και “1-1” άρα θα είναι αντιστρέψιμη. Eστω 1 2 1 2 x ,x με x x R Αρκεί:                1 2 1 2 1 2 1 2 1 2 1 2 g x -g x h x > h x ή g x -g x 2 x - x 0 ή x - x 2 0 x - x           που ισχύει αφού:         1 2 1 2 1 2 1 2 1 2 x - x 0 g x -g x g x -g x 2 από υπόθεση x - x x - x    Άρα      1 2 1 2 1 2 g x -g x x - x 2 0 x - x         και το ζητούμενο εδείχθη. Λύνει ο Χάρης Πλάτανος
  • 46.
    ___________________________________________________________________________ 5η ΑΣΚΗΣΗ ηάσκηση της ημέρας από το http://lisari.blogspot.gr σχ. έτος 2017-΄18 α) 0  ισχύει 1 2    άρα αφού 0  θα είναι   1 f x 2     (1) x  R και 0, 2         . Επίσης θα είναι  f x 1 2 2     (2) x  R και 0, 2         . Από (1) και (2) ισχύει  f x 2 . β) Αν 1 2 x x η δεδομένη ανισότητα γίνεται:             1 2 1 2 2 1 1 1 2 2 2 x x g x g x 2 x x 0 g x 2x g x 2x              1 2 h x h x h  στο R άρα και 1-1. Λύνει ο Κώστας Δεββές
  • 47.
    ___________________________________________________________________________ 5η ΑΣΚΗΣΗ ηάσκηση της ημέρας από το http://lisari.blogspot.gr σχ. έτος 2017-΄18 α) Θεωρούμε την συνάρτηση           2 2 2 2 2 2 2 2 παρ/μη στο 0, με 2 1 1 φ' ' 0 0 ή ημβ+συνβ=0 το οποίο απορρίπτεται αφού ημβ+συνβ>0 στο 0, 2 1 4 '                                                                     0 φ' 0 εφβ>1 εφβ<1 , β 0, 4 2 4                     Άρα η φ παρουσιάζει ελάχιστο για 4    Δηλαδή             4 2 Ό f x f x 2 1                  Eπίσης, θεωρώ την παράσταση: Λύνει ο Παναγιώτης Βιώνης
  • 48.
    ___________________________________________________________________________ 5η ΑΣΚΗΣΗ ηάσκηση της ημέρας από το http://lisari.blogspot.gr σχ. έτος 2017-΄18         2 2 2 2 1 2                         Όμως γνωρίζουμε οτι!   1 2 1 1 1 1 2 1 1 0 2                  και επειδή    f x    προκύπτει οτι:    f x 2 2 Από (1),(2) έχουμε το συμπέρασμα οτι  f x 2 Δηλαδή οτι η f είναι σταθερή συνάρτηση. β) Εστω οτι η συνάρτηση h δεν είναι «1-1» , δηλαδή 1 2 x x  τέτοια ώστε                           1 2 1 1 1 2 2 2 1 2 1 2 1 2 1 2 1 2 h x h x g x f x x g x f x x g x g x 2 x 2 x αφού f x f x =2 από το α) ερώτημα g x g x 2 x x                 Το οποίο είναι άτοπο αφού από την υπόθεση γνωρίζουμε οτι:                                     1 2 1 2 1 2 1 2 1 2 1 2 1 2 1 2 1 2 1 2 1 2 1 2 1 2 1 2 g x g x f x x x g x g x f x x x g x g x f x f x x x g x g x 2 2 x x x x ό g x g x 2 x x x x τότε g x g x 2 x x                                Επομένως η συνάρτηση h είναι «1-1», οπότε και αντιστρέφεται.
  • 49.
    ___________________________________________________________________________ 5η ΑΣΚΗΣΗ ηάσκηση της ημέρας από το http://lisari.blogspot.gr σχ. έτος 2017-΄18 Έχουμε την συνάρτηση f :  με την ιδιότητα     2 f(x) , x 1          , όπου , 0, 2             . α) Επειδή   2 2 2 1 2 1 2 1 1 2                    , έπεται ότι:  f(x) 2, 2 Επίσης , επειδή 2 2 1 2 2                            2 2, 2        διότι 1 2 0 0 2 0 2 1 1 2 2 2 2                       προκύπτει ακόμη ότι:  f(x) 2, 3 Έτσι τελικά έχουμε: 2 f(x) 2 f(x) 2, x      β) Έχουμε: g :  με την ιδιότητα  1 2 1 2 g(x ) g(x ) 2 x x 4   με 1 2 1 2 x ,x x x   ακόμη είναι h :  με h(x) g(x) 2x     1 2 1 2 1 2 1 2 g(x ) g(x ) g(x ) g(x ) 4 2 2 2 5 x x x x           Για την h έχουμε:  1 2 1 1 2 2 1 2 1 2 h(x ) h(x ) g(x ) 2x g(x ) 2x g(x ) g(x ) 2 x x             5 1 21 2 1 2 1 2 1 2 1 2 1 2 1 2 2 x xh(x ) h(x ) g(x ) g(x ) g(x ) g(x ) 2 0 x x x x x x x x             , οπότε η h είναι γνησίως φθίνουσα συνάρτηση και άρα είναι 1-1 , οπότε αντιστρέφεται. Λύνει ο Κωνσταντίνος Μόσιος
  • 50.
    ___________________________________________________________________________ 5η ΑΣΚΗΣΗ ηάσκηση της ημέρας από το http://lisari.blogspot.gr σχ. έτος 2017-΄18 α) Είναι:   0 2 2 2 x 0, 2 1 0 2 1 0 1 21 2 2                                 Επίσης:   2 2 2 22 1 2               διότι 1 12 2 2      Οπότε από την δοθείσα σχέση προκύπτει ότι:     2 f x 22           Επομένως:  f x 2 β) Α΄ τρόπος Από την υπόθεση έχουμε ότι:               1 2 1 2 1 2 1 2 1 2 1 2 g x x x g x f x x g x g x g x g x 2 x 2 2 x x              Για κάθε 1 2 x ,x  R με 1 2 x x έχουμε: 1 2 x x 0  και        1 2 1 2 1 2 1 2 g x g x g x g x 2 0 x x 2 x x      Πολλαπλασιάζοντας κατα μέλη έχουμε:                   1 2 1 2 1 2 2 1 2 1 1 2 2 1 2 1 g x g x 2 x 0 g x g xx 2x 0 x g x 2x 2x x h x hg xx 2x                       Οπότε η h είναι γνησίως φθίνουσα στο R άρα και 1 – 1. Β΄ τρόπος Έστω ότι η h δεν είναι 1 – 1. Τότε θα υπάρχουν 1 2 x ,x  R με 1 2 x x τέτοια ώστε:                   1 2 1 1 2 1 2 1 2 1 2 1 2 2 h x h x g x 2x g x 2x g x g x g x g x x x 2 x 2 x             το οποίο είναι άτοπο διότι από την υπόθεση έχουμε ότι:    1 2 1 2 g x g x 2 x x   Λύνει ο Παναγιώτης Γκριμπαβιώτης
  • 51.
    ___________________________________________________________________________ 5η ΑΣΚΗΣΗ ηάσκηση της ημέρας από το http://lisari.blogspot.gr σχ. έτος 2017-΄18 2 2 2 1 ) 2 2 2 2 ή (0, ) έ 2 (0, ) ά 2 2 1 2 0 2 1 2 (1) 2 2 2 Ά f(x) ( ) ( (1)) 2 f(x) 1 2 2 ό f(x) 2 ή ) g(x )                                                                       2 1 2 1 2 1 2 1 2 1 2 1 2 1 2 1 2 1 2 1 2 1 2 1 1 2 2 1 2 g(x ) f(x) x x g(x ) g(x ) 2 x x 2 x x g(x ) g(x ) 2 x x (2) x x ό x x x x 2 έ : g(x ) g(x ) 2x 2x g(x ) 2x g(x ) 2x h(x ) h(x ). Ά h ί ί ώ έ                                             Λύνει ο Γιώργος Ασημακόπουλος
  • 52.
    ___________________________________________________________________________ 5η ΑΣΚΗΣΗ ηάσκηση της ημέρας από το http://lisari.blogspot.gr σχ. έτος 2017-΄18 α) Ισχύει 1 2        αφού 0  για κάθε 0, 2         ( το ίσον ισχύει για 4    ) ( από εφαρμογή σχολικού έχουμε : 1 x 2 x   αν x 0 ) και   2 2    αφού   2 2 2 2 2 2 1 2 2 2 1                         που ισχύει για κάθε 0, 2         , ( το ίσον ισχύει για 4    ) Άρα     2 2 f x 2          , άρα  f x 2 για κάθε x  . β) Η δεδομένη σχέση γίνεται :        1 2 1 2 1 2 1 2 1 2 g x g x 2 x x 2 x x g x g x 2 x x          (1) , 1 2 x ,x  , με 1 2 x x και η συνάρτηση h h :  έχει τύπο    h x g x 2x  . Για οποιαδήποτε 1 2 x ,x  με 1 2 x x έχουμε από την (1) :              1 2 1 2 1 1 2 2 1 2 2 x x g x g x g x 2x g x 2x h x h x         , άρα η h είναι γνησίως φθίνουσα στο  , άρα και «1-1» , δηλ. αντιστρέφεται. Λύνει ο Αθανάσιος Μπεληγιάννης
  • 53.
    6η Α σκ η σ η (Α) Άλγεβρα Β Λυκείου Προτείνει ο Κωνσταντίνος Γεωργίου (22/10/2017) 6η Α σ κ η σ η (B) Μαθηματικά Γ Λυκείου προσ/σμού 1ο κεφ – όριο/συνέχεια συνάρτησης Προτείνει ο Παύλος Τρύφων (22/10/2017)
  • 54.
    ___________________________________________________________________________ 6η ΑΣΚΗΣΗ ηάσκηση της ημέρας από το http://lisari.blogspot.gr σχ. έτος 2017-΄18 α) Η γραφική παράσταση της f διέρχεται από το σημείο  A 3,1 και τέμνει τον κατακόρυφο άξονα y'y στο σημείο με τεταγμένη 3, οπότε   f 3 1 και   f 0 3. Ας υποθέσουμε πως η συνάρτηση f είναι γνησίως αύξουσα. Τότε, σύμφωνα με τον ορισμό, για οποιαδήποτε 1 2 x ,x R με      1 2 1 2 x x f x f x . Επομένως,        0 3 f 0 f 3 3 1, άτοπο. Άρα η συνάρτηση f είναι γνησίως φθίνουσα. β) i) Έχουμε                              f f 1 x 1 f 1 x f 3 1 x 3 3 1 x 3 4 x 2 2 x 4 β) ii) Έχουμε                                       f 2 2 2 2 2 f 2 f f x 1 3 f f x 1 f 0 f x 1 0 f x 1 f x f 3 x 3 x 3 3 x 3 γ) Πρέπει       2 0 3 4  1 4                         f f 2017 0 3 f 2017 0 f 2017 3 f 2017 f 0 2017 0, ή . Λύνει ο Κωνσταντίνος Γεωργίου Άσκηση Α
  • 55.
    ___________________________________________________________________________ 6η ΑΣΚΗΣΗ ηάσκηση της ημέρας από το http://lisari.blogspot.gr σχ. έτος 2017-΄18 α) Η γραφική παράσταση της f διέρχεται από τα σημεία  A ,1 και    , ,άρα   f 1 και    f Γνωρίζουμε ότι για κάθε x ισχύει   x x 1 με την ισότητα να ισχύει μόνο για x 0 Άρα για τον αριθμό   0 θα έχουμε                      f 0 f f 1 0 1 β) Η g είναι συνεχής στο   0, ως πράξεις συνεχών συναρτήσεων. Οπότε ικανοποιούνται οι υποθέσεις του θεωρήματος Bolzano για την συνάρτηση g στο διάστημα   0, αν και μόνο αν                            0 1 2 2 2 2 2 g 0 g 0 1 0 0 2 Για   x 0 η σχέση  1 δίνει               2 2 2 2 0 3 Οπότε από τις σχέσεις    2 , 3 προκύπτει ότι δεν υπάρχουν τιμές του    0,1 για τις οποίες ικανοποιούνται οι υποθέσεις του θεωρήματος Bolzano για την συνάρτηση g στο διάστημα   0, Λύνει ο Παύλος Τρύφων Άσκηση Β
  • 56.
    ___________________________________________________________________________ 6η ΑΣΚΗΣΗ ηάσκηση της ημέρας από το http://lisari.blogspot.gr σχ. έτος 2017-΄18 α) Είναι   f 3 1 και   f 0 3. Άρα υπάρχουν αριθμοί x,y με x y και    f x f y , δηλαδή η f είναι γνησίως φθίνουσα στο R β) i) Έχουμε                             f f 1 x 1 f 1 x f 3 1 x 3 3 1 x 3 4 x 2 2 x 4 ii) Έχουμε                                       f 2 2 2 f 2 2 2 f f x 1 3 f f x 1 f 0 f x 1 0 f x 1 f x f 3 x 3 x 3 3 x 3 γ) Είναι                     f 0 3 f 2017 0 f 2017 3 f 2017 f 0 2017 0, που ισχύει αφού 2017 0 και η f είναι γνησίως φθίνουσα στο R α) Από την υπόθεση προκύπτει άμεσα ότι   f 1 και    f Για τον αριθμό   0 ισχύει:                   f 0 f f 1 0 1 β) Η g είναι συνεχής στο   0, ως πράξεις συνεχών συναρτήσεων. Οπότε αρκεί     g 0 g 0 Όμως ,       2 g 0 1 και αφού     2 2 0 0 Επίσης         1 1 0 g 0 0 και       2 2 g Για να ικανοποιεί η g τις υποθέσεις του θεωρήματος Bolzano, πρέπει   g 0 , δηλαδή        2 2 , το οποίο είναι άτοπο, αφού    για κάθε   R Άρα δεν υπάρχουν τιμές του    0,1 για τις οποίες ικανοποιούνται οι υποθέσεις του θεωρήματος Bolzano για την συνάρτηση g στο διάστημα   0, Λύνει ο Χάρης Πλάτανος Άσκηση Α Άσκηση Β
  • 57.
    ___________________________________________________________________________ 6η ΑΣΚΗΣΗ ηάσκηση της ημέρας από το http://lisari.blogspot.gr σχ. έτος 2017-΄18 α) Έχουμε: f(3) 1 και f(0) 3 Επειδή 0 3 ενώ   f(0) 3 1 f(3) και η f είναι γνησίως μονότονη, θα είναι γνησίως φθίνουσα. β) i)                        f f 1 x 1 f(3) 1 x 3 3 1 x 3 4 x 2 2 x 4 ii)                  f f 2 2 2 2 f f(x ) 1 3 f(0) f(x ) 1 0 f(x ) 1 f(3) x 3 x 3    3 x 3. γ) Η δευτεροβάθμια εξίσωση έχει διακρίνουσα:          2 1 3 4 f(2017) 3 f(2017) f(0) f(2017) 0 4 ,διότι        f 0 2017 f(0) f(2017) f(0) f(2017) 0 Αφού η διακρίνουσα είναι Δ>0 η εξίσωση θα έχει δύο ρίζες πραγματικές και άνισες. α) Έχουμε:  f( ) 1 και     f( ) , 0 Επειδή   0 ισχύει            και η f είναι γνησίως φθίνουσα θα έχουμε             f f( ) f( ) 1 , άρα   0 1 β) Η συνάρτηση g είναι συνεχής στο   0, ως σύνθεση και πράξεις συνεχών συναρτήσεων με:         2 2 g(0) (1 ) ( 1) και        2 2 g( ) 0 διότι        2 2 Για να ικανοποιείται το θεώρημα Bolzano πρέπει:                            2 2 2 g(0) g( ) 0 1 0 1 0 1 Λύνει ο Κωνσταντίνος Μόσιος Άσκηση Α Άσκηση Β
  • 58.
    ___________________________________________________________________________ 6η ΑΣΚΗΣΗ ηάσκηση της ημέρας από το http://lisari.blogspot.gr σχ. έτος 2017-΄18 α) Η γραφική παράσταση της συνάρτησης f διέρχεται από τα σημεία: Α(3,1) και Β(0,3) Έστω ,                  1 2 1 2 1 2 1 2 x 0 και x 3 f x 3 και f x 1 ή για x x ισχύει οτι f x f x και αφού γνωρίζουμε από την υπόθεση οτι είναι γνησίως μονότονη, προκύπτει το συμπέρασμα οτι είναι γνησίως φθίνουσα x β)                                     f f 1 x 1 f 1 x f 3 1 x 3 3 1 x 3 4 x 2 4 x 2 2 x 4 Ά x 2,4 και                                             f f 2 2 2 2 2 222 f f x 1 3 f f x 1 f 0 f x 1 0 f x 1 f x f 3 x 3 x 3 x 3 3 x 3 Ά x 3, 3 γ)                              2 f 1 3 4 f 2017 3 f 2017 4 f 0 f 2017 0 αφού 0 < 2017 f 0 f 2017 Άρα η δοθείσα εξίσωση έχει δύο ρίζες άνισες. α)                  f ύ οτι ημθ < θ , για κάθε θ > 0 f f 1 και αφού θ > 0 από την υπόθεση προκύπτει οτι θ 0,1 Λύνει ο Παναγιώτης Βιώνης Άσκηση Α Άσκηση Β
  • 59.
    ___________________________________________________________________________ 6η ΑΣΚΗΣΗ ηάσκηση της ημέρας από το http://lisari.blogspot.gr σχ. έτος 2017-΄18 β)                                                 2 2 2 g συνεχής στο 0, ως γινόμενο συνεχών g 0 1 0 θ 0,1 g το οποίο πρέπει να είναι θετικό για να ισχύει το θεώρημα του Bolzano Ό 0 Ά πρέπει και 0 οποίο όμως δ                           εν ισχύει αφού επειδή 0,1 0 Ά δεν υπάρχουν τιμές του θ ώστε να ικανοποιούνται οι υποθέσεις του θεωρήματος του Bolzano.
  • 60.
    ___________________________________________________________________________ 6η ΑΣΚΗΣΗ ηάσκηση της ημέρας από το http://lisari.blogspot.gr σχ. έτος 2017-΄18 α) To    f 0,3 C κι επειδή             f . . f 0 3 f 0 f 3 R. β) i) Iσοδύναμα έχω λόγω μονοτονίας      1 x 3 2 x 4 και                  2 2 2 f x 1 0 f x f 3 x 3 x 3 3 x 3 ή x 3 . γ)           3 f 2017 f 0 f 2017 0 α)           f 0 1 . β)        2 g 0 1 0 και        2 2 g 0 γιατί    0,1 ισχύει   . Άρα η g δεν ικανοποιεί το Bolzano στο   0, για κανένα    0,1 . Λύνει ο Κώστας Δεββές Άσκηση Α Άσκηση Β
  • 61.
    ___________________________________________________________________________ 6η ΑΣΚΗΣΗ ηάσκηση της ημέρας από το http://lisari.blogspot.gr σχ. έτος 2017-΄18 α)Ισχύει ότι:                f f C f 1 C f Γνωρίζουμε ότι :    για κάθε   Rκαι το  ισχύει μόνο για   0 Επειδή   0έχουμε:                f , f f 1 R R Επειδή   0τελικά έχουμε :   0 1 β) Για να ικανοποιεί τις υποθέσεις του θεωρήματος Bolzano στο   0, πρέπει:  Η g να είναι συνεχής στο   0,      g 0 g 0 Όμως        2 g 0 1 0αφού   0 1        2 2 g 0αφού για κάθε   0ισχύει:            2 2 g 0 Συνεπώς δεν ικανοποιούνται οι υποθέσεις του θεωρήματος Bolzano Λύνει ο Πετρόπουλος Θωμάς Άσκηση Β
  • 62.
    ___________________________________________________________________________ 6η ΑΣΚΗΣΗ ηάσκηση της ημέρας από το http://lisari.blogspot.gr σχ. έτος 2017-΄18                                                        f( ) f( 2 2 ) Έ f(3) 1 f(0) 3 ό ύ : 3 0 f(3) f(0) ά f ί ί ύ ύ ί ί ό ί ί ί ) i) f(1 x ) 1 f(1 x ) f(3) 1 x 3 2 x 4 ii) f(f(x ) 1) 3 f(f(x ) 1) f(0)                                             ) 2 2 f( ) 2 2 f( ) f(x ) 1 0 f(x ) 1 f(x ) f(3) x 3 3 x 3 ) ί ί 3 f(2017) 0 ύ 0 2017 f(0) f(2017) 3 f(2017) 3 f(2017) 0 ά ί έ ύ ί έ ά .                                                                               f( ) 2 2 2 2 2 ) Έ f( ) 1 f( ) 0 ή f( ) f( ) 1 Ά 0 1 ) g ί ή [0, ] ά ύ g 0 g 0 ύ g 0 g (1 )( ) 0 (1 0, 0) ή ά ώ ύ  έ Bolzano Λύνει ο Γιώργος Ασημακόπουλος Άσκηση Α Άσκηση Β
  • 63.
    ___________________________________________________________________________ 6η ΑΣΚΗΣΗ ηάσκηση της ημέρας από το http://lisari.blogspot.gr σχ. έτος 2017-΄18 α) Αφού η γραφική παράσταση της f διέρχεται από τα σημεία  A 3,1 και  B 0,3 έχουμε :   f 3 1 και   f 0 3 . Οπότε η f γνησίως μονότονη , 0 3 και    f 0 f 3 , άρα η f δεν μπορεί να είναι γνησίως αύξουσα , άρα είναι γνησίως φθίνουσα στο  . β) (i)                         f f 1 x 1 f x 1 f 3 x 1 3 3 x 1 3 2 x 4 (ii)                     f 2 2 2 f f x 1 3 f f x 1 f 0 f x 1 0                  f 2 2 2 f x 1 f x f 3 x 3 3 x 3 γ) Η δευτεροβάθμια εξίσωση έχει διακρίνουσα           3 f 2017 f 0 f 2017 0 , αφού η f είναι γνησίως φθίνουσα στο  , άρα έχει δύο ρίζες πραγματικές και άνισες. β΄ τρόπος :              2 21 x 3 x f 2017 0 x 4 3 x 4f 2017 0 4                  2 2 x 4 3 x 12 12 4f 2017 x 2 3 4 3 f 2017 0 (1) , αφού η f γν. φθίνουσα και           0 2017 f 0 f 2017 3 f 2017 0 , οπότε η (1) έχει δύο ρίζες πραγματικές και άνισες. α) Αφού η γραφική παράσταση της f διέρχεται από τα σημεία  A ,1 και   B , έχουμε :   f 1 και    f . Επειδή η f γνησίως φθίνουσα στο  , αν               f f f 1 , δηλ.     1 (άτοπο) . Άρα ισχύει               f f f 1 , δηλ.   0 1. β) Η g είναι συνεχής στο   0, ως γινόμενο συνεχών και         2 g 0 1 0 ,                    2 2 g 0 καθώς    ,   0 και   0 . Λύνει ο Αθανάσιος Μπεληγιάννης Άσκηση Α Άσκηση Β
  • 64.
    ___________________________________________________________________________ 6η ΑΣΚΗΣΗ ηάσκηση της ημέρας από το http://lisari.blogspot.gr σχ. έτος 2017-΄18 Άρα δεν υπάρχουν τιμές του θ για τις οποίες ικανοποιούνται οι προϋποθέσεις του Θ. Bolzano για τη συνάρτηση g στο   0, . β΄ τρόπος για το (α) Αφού   0 έχουμε          , άρα               f f f 1 , δηλ. ισχύει   0 1.
  • 65.
    ___________________________________________________________________________ 6η ΑΣΚΗΣΗ ηάσκηση της ημέρας από το http://lisari.blogspot.gr σχ. έτος 2017-΄18 α) Η f C διέρχεται από τα σημεία   3,1 και   0,3 . Παρατηρούμε ότι    f 0 f 3 , οπότε η f δεν είναι γνησίως αύξουσα. Όμως, είναι γνησίως μονότονη. Άρα, είναι γνησίως φθίνουσα. β) i) Έχουμε:                           f f 1 x 1 f 3 1 x 3 3 1 x 3 4 x 2 x 2,4 . ii) Έχουμε:                              f f 2 2 2 2 f f x 1 3 f 0 f x 1 0 f x 1 f 3 x 3 x 3, 3 . γ) Η δεδομένη εξίσωση έχει διακρίνουσα:    3 f 2017 . Έχουμε:                  f 2017 0 f 2017 f 0 3 3 f 2017 0 0 . Άρα, η εξίσωση έχει δύο ρίζες πραγματικές και άνισες. α) Για κάθε   0 έχουμε:               f f f 1 . Άρα,   0 1. β) Η g είναι συνεχής ως αποτέλεσμα πράξεων μεταξύ συνεχών συναρτήσεων. Για να ικανοποιούνται οι προϋποθέσεις του θεωρήματος Bolzano για τη g στο   0, , πρέπει     g 0 g 0 . Είναι:                   2 2 2 g 0 0 0 1 1 0 , για κάθε    0,1 και                              2 2 2 2 g 1 . Ακόμη, για κάθε     0 1 2 έχουμε:              0 0 . Οπότε,   g 0 . Επομένως,     g 0 g 0 . Άρα, δεν υπάρχουν τιμές του    0,1 , ώστε να ικανοποιούνται οι προϋποθέσεις του θεωρήματος του Bolzano για τη συνάρτηση g στο διάστημα   0, . Λύνει ο Νίκος Ελευθερίου Άσκηση Α Άσκηση Β
  • 66.
    ___________________________________________________________________________ 6η ΑΣΚΗΣΗ ηάσκηση της ημέρας από το http://lisari.blogspot.gr σχ. έτος 2017-΄18 α) Από την υπόθεση γνωρίζουμε ότι   f 3 1 και εφόσον η f C τέμνει τον y y στο σημείο με τεταγμένη 3, τότε   f 0 3. Οπότε για την συνάρτηση f έχουμε:              0 3 f 0 f 3 f . ό Οπότε η f είναι γνησίως φθίνουσα στο R β) i)                              f f 1 x 1 f 1 x f 3 1 x 3 3 1 x 3 4 x 2 2 x 4 ii)                                   f f 2 2 2 2 2 2 f f x 1 3 f f x 1 f 0 f x 1 0 f 3 x 1 3f f 3 x x 3x γ) Η εξίσωση έχει διακρίνουσα:         2 1 3 f 2017 3 f 2017 4 4 0 διότι:                  f 2017 0 f 2017 f 0 f 2017 3 3 f 2017 0 Οπότε η εξίσωση έχει δυο ρίζες πραγματικές και άνισες. α) Γνωρίζουμε ότι:    για κάθε   R με την ισότητα να ισχύει μόνο αν   0. Οπότε αφού   0 έχουμε:         Όμως η f είναι γνησίως φθίνουσα στο R, οπότε:         f f 1 Τελικά είναι:   0 1 β) Η g είναι συνεχής στο R άρα και στο   0, ως πράξεις συνεχών. Επίσης: Λύνει ο Παναγιώτης Γκριμπαβιώτης Άσκηση Α Άσκηση Β
  • 67.
    ___________________________________________________________________________ 6η ΑΣΚΗΣΗ ηάσκηση της ημέρας από το http://lisari.blogspot.gr σχ. έτος 2017-΄18        2 g 0 1 0 διότι   0 1                  2 2 g 0 διότι      Επομένως δεν υπάρχουν τιμές του θ για τις οποίες να ικανοποιούνται οι υποθέσεις του θεωρήματος Bolzano για την συνάρτηση g.                             2 2 2 2 g 1 . Ακόμη, για κάθε     0 1 2 έχουμε:              0 0 . Οπότε,   g 0 . Επομένως,     g 0 g 0 . Άρα, δεν υπάρχουν τιμές του    0,1 , ώστε να ικανοποιούνται οι προϋποθέσεις του θεωρήματος του Bolzano για τη συνάρτηση g στο διάστημα   0, .
  • 68.
    Να υπολογίσετε τηναριθμητική τιμή της παράστασης: 7η Α σ κ η σ η Άλγεβρα Α΄ Λυκείου Προτείνει ο Σταύρος Κουσίδης (29/10/2017)
  • 69.
    ___________________________________________________________________________ 7η ΑΣΚΗΣΗ ηάσκηση της ημέρας από το http://lisari.blogspot.gr σχ. έτος 2017-΄18 Έστω x 50 7  και y 50 7  οπότε: 3 3x y   Έχουμε: x y 14  και 2 2 xy 50 7 xy 50 49 xy 1       οπότε                                                  3 3 3 3 3 3 33 3 3 3 3 3 2 2 x y 14 x y 14 x y 3 x y x y 14 A 3A 14 0 A 8 3A 6 0 A 2 A 2A 4 3 A 2 0 A 2 A 2A 7 0 A 2 αφού η εξίσωση     2 2 7 0 είναι αδύνατη. Λύνει ο Σταύρος Κουσίδης
  • 70.
    ___________________________________________________________________________ 7η ΑΣΚΗΣΗ ηάσκηση της ημέρας από το http://lisari.blogspot.gr σχ. έτος 2017-΄18 Έστω 3 3 x 50 7 x 50 7     και 3 3 y 50 7 y 50 7     οπότε: x y   Έχουμε: 3 3 x y 14  και   2 33 3 2 x y 50 7 xy 50 49 xy 1       οπότε             33 3 3 3 2 2 x y 14 x y 3xy x y 14 A 3A 14 0 A 8 3A 6 0 A 2 A 2A 4 3 A 2 0 A 2 A 2A 7 0 A 2                               αφού η εξίσωση 2 3 7 0     είναι αδύνατη. Λύνει ο Μάκης Χατζόπουλος
  • 71.
    ___________________________________________________________________________ 7η ΑΣΚΗΣΗ ηάσκηση της ημέρας από το http://lisari.blogspot.gr σχ. έτος 2017-΄18       3 3 33 3 32 23 3 3 3 3 3 50 7 50 7 50 7 3 ( 50 7) 50 7 3 50 7 ( 50 7) 50 7 14 3 50 7 99 14 50 3 50 7 99 14 50 14 3 5 2 7 3 5 2 7 14 3                                   απ’ όπου με Ηorner παίρνω ως μόνη ρίζα το 2. Λύνει ο Κώστας Δεββές
  • 72.
    ___________________________________________________________________________ 7η ΑΣΚΗΣΗ ηάσκηση της ημέρας από το http://lisari.blogspot.gr σχ. έτος 2017-΄18 1ος τρόπος : 50 7 5 2 7 2 2 6 3 2 1              3 2 3 2 3 2 3 2 1 3 2 1 1 2 1        και ομοίως   3 50 7 ... 2 1    Άρα     3 3 3 3 3 3A 50 7 50 7 2 1 2 1         2 1 2 1 2 1 2 1 2         . 2ος τρόπος : Επειδή 3 3 50 7 50 7 50 7 50 7 A 0         , οπότε 3 3 3 3 33 A 50 7 50 7 A 50 7 50 7                2 2 3 3 3 33 A 50 7 3 50 7 50 7 3 50 7 50 7 50 7                          3 33 3 A 14 3 50 7 3 50 7 A 14 3A                     3 2 2 A 3A 14 0 A 2 A 2A 7 0 A 2 A 1 6 0 A 2                      , αφού   2 A 1 6 0   Άρα A 2 Λύνει ο Αθανάσιος Μπεληγιάννης
  • 73.
    ___________________________________________________________________________ 7η ΑΣΚΗΣΗ ηάσκηση της ημέρας από το http://lisari.blogspot.gr σχ. έτος 2017-΄18 Έχουμε 3 3 x y A 50 7 50 7 x y      Ισχύει:           23 3 2 2 x y x y x xy y x y x y 3xy 1         Επειδή  3 3 x y 50 7 50 7 14      και     333x y 50 7 50 7 50 49 1 1         Η σχέση (1) γίνεται:      2 3 2 0 14 A A 3 A 3A 14 0 A 2 A 2A 7 0 A 2 0 A 2                   διότι το τριώνυμο 2 A 2A 7  έχει διακρίνουσα αρνητική. Λύνει ο Κωνσταντίνος Μόσιος
  • 74.
    ___________________________________________________________________________ 7η ΑΣΚΗΣΗ ηάσκηση της ημέρας από το http://lisari.blogspot.gr σχ. έτος 2017-΄18 1η ΛΥΣΗ 3 33 3 3 33 3 3 3 50 7 50 7 5 2 7 5 2 7 ( 2 1) ( 2 1) 2 1 2 1 2 ύ ( 2 1) 5 2 7 ( 2 1) 5 2 7                           2η ΛΥΣΗ    3 3 33 2 2 3 3 3 3 3 3 3 2 2 ώ ύ έ ύ έ : 50 7 50 7 50 7 3 50 7 50 7 3 50 7 50 7 50 7 14 3 50 7 50 7 14 3 ά 3 14 0 2 2 7 0 ύ 2 7 0 ( 2                                                                               4 0) ά 2    3η ΛΥΣΗ - ΓΕΝΙΚΗ 2 23 3 3 3 2 23 3 3 3 ) ί ύ 1 ό ί 3 2 ύ ί 3 2 0 ) ί ύ 1 ό ί 3 2 ύ ί 3 2 0 έ ά                                                                                           3 ά ( ) ί ό ί έ ί 3 14 0                         Λύνει ο Γιώργος Ασημακόπουλος
  • 75.
    ___________________________________________________________________________ 7η ΑΣΚΗΣΗ ηάσκηση της ημέρας από το http://lisari.blogspot.gr σχ. έτος 2017-΄18 1ος τρόπος Είναι   3 33 350 7 2 2 6 3 2 1 2 1 2 1            3 33 350 7 2 2 6 3 2 1 2 1 2 1          Άρα    2 1 2 1 2      2ος τρόπος Θα χρησιμοποιήσουμε την ταυτότητα του Euler: Aν , ,    R με 0      τότε 3 3 3 3       Είναι                                                                                                 3 3 Euler 3 3 3 3 3 3 3 33 3 3 233 2 3 3 3 3 3 2 50 7 50 7 50 7 50 7 0 A 50 7 50 7 3 50 7 50 7 A 50 7 50 7 3 50 7 50 7 A 14 3 50 7 A 14 3 1 A 14 3 A 3 14 0 A 8 3A 6 0 A 2 A 2A 4 3 A 2 0 A 2               2 A 2A 7 0 A 2 Λύνει ο Χάρης Πλάτανος
  • 76.
    ___________________________________________________________________________ 7η ΑΣΚΗΣΗ ηάσκηση της ημέρας από το http://lisari.blogspot.gr σχ. έτος 2017-΄18 Θέτουμε x = 3 3 50 7 50 7   (1) . Τότε ο x είναι θετικός αριθμός. Υψώνουμε στον κύβο κι έχουμε: 3 x = 3 3 3 50 7 50 7       (√√50 + 7 3 -√√50-7 3 ) 3 = 3 3 2 2 3 3 3 3 3 3 50 7 3 50 7 50 7 3 50 7 50 7 50 7                              =          3 350 7 3 50 7 50 7 50 7 3 50 7 50 7 50 7 50 7           =      3 314 3 50 7 50 49 3 50 49 50 7+     =    3314 3 50 7 3 50 7    = 3 3 14 3 50 7 50 7        (1)  14 3x . Δηλαδή ο αριθμός x είναι ρίζα της εξίσωσης: 3 x =14 3x  3 x 3x 14=0  (2) . Λύνουμε την (2) με παραγοντοποίηση του πολυωνύμου x3 + 3x-14 3 x 3x 14  (μέθοδος διάσπασης) και έχουμε: 3 x 3x 14  = 3 3 x 2 3x 6   =    2 x 2 x 2x 4 3 x 2     =   2 x 2 x 2x 4 3    =  2 x 2 x 2x 7   , οπότε (2)  ⇔ (x-2)(x2 + 2x + 7) = 0   2 x 2 x 2x 7 =0    x = 2 , διότι το τριώνυμο 2 x 2x 7  x2 + 2x + 7 έχει διακρίνουσα Δ = 2 2 4 1 7=4 28= 24     < 0 , επομένως δεν έχει ρίζες στο . Η μοναδική ρίζα x = 2 είναι δεκτή, άρα 3 3 50 7 50 7   √√50 + 7 3 -√√50-7 3 = 2 . Λύνει ο Θανάσης Καραγιάννης
  • 77.
    ___________________________________________________________________________ 7η ΑΣΚΗΣΗ ηάσκηση της ημέρας από το http://lisari.blogspot.gr σχ. έτος 2017-΄18     3 3 3 3 3 3 A 50 7 50 7 A 2 1 2 1 A 2 1 2 1 A 2              Λύνει ο Παναγιώτης Βιώνης
  • 78.
    ___________________________________________________________________________ 7η ΑΣΚΗΣΗ ηάσκηση της ημέρας από το http://lisari.blogspot.gr σχ. έτος 2017-΄18 Έχουμε: 3 3 50 7 50 7      3 3 33 50 7 50 7          50     2 2 3 33 37 3 50 7 50 7 3 50 7 50 7 50          7         3 314 3 50 7 50 7 50 7 3 50 7 50 7 50 7              2 2 2 2 3 314 3 50 7 50 7 3 50 7 50 7                       3 314 3 50 7 50 49 3 50 49 50 7        3 3 14 3 50 7 3 50 7      3 3 14 3 50 7 50 7          3 14 3 3 14 0                3 2 4 7 14 0 2 2 7 2 0 2 2 7 0                          . Άρα, 2  . Λύνει ο Νίκος Ελευθερίου
  • 79.
    ___________________________________________________________________________ 7η ΑΣΚΗΣΗ ηάσκηση της ημέρας από το http://lisari.blogspot.gr σχ. έτος 2017-΄18 Α τρόπος Παρατηρώ (!;) ότι:   3 3 2 2 1 2 3 2 3 2 1 5 2 7       και   3 3 2 2 1 2 3 2 3 2 1 5 2 7       Οπότε η παράσταση γίνεται:     3 33 3 3 3 3 3 50 7 50 7 5 2 7 5 2 7 2 1 2 1 2 1 2 1 2                   Για τους μαθητές: Η ταυτότητα   3 2 1 δεν ήρθε ουρανοκατέβατη. Μια σκέψη είναι η εξής: Υποψιαζόμαστε ότι το υπόριζο 5 2 7 θα είναι της μορφής   3 2   ώστε να απλοποιηθεί με την τρίτη ρίζα. Όμως:     3 3 2 2 3 3 2 2 3 2 2 6 β3 2 62 3 2 2                   Οπότε θέλουμε να ισχύει:  3 2 2 3 65 2 7 3 2 2         δηλαδή ψάχνουμε α, β τέτοιους ώστε:     3 322 3 2 2 2 5 35 3 2 7 α 2 6 6β 7                         Το γεγονός ότι οι αριθμοί 5 και 7 είναι πρώτοι μας οδηγεί στο συμπέρασμα ότι πιθανόν το 7  και 5  . Μια επαλήθευση όντως επιβεβαιώνει τους ισχυρισμούς μας. Β τρόπος Υψώνοντας την παράσταση στον κύβο έχουμε:              3 3 3 3 3 3 3 3 3 3 3 3 3 2 2 3 2 2 5 2 7 5 2 7 5 2 7 3 5 2 7 5 2 7 3 5 2 7 5 2 7 5 2 7 5 2 7 3 5 2 7 5 2 7 3 5 2 7 5 2 7 5 2 7 14 3 50 49 5 2 7 3 50 49 5 2 7 14 3 5 2 7 5 2 7                                               Λύνει ο Παναγιώτης Γκριμπαβιώτης
  • 80.
    ___________________________________________________________________________ 7η ΑΣΚΗΣΗ ηάσκηση της ημέρας από το http://lisari.blogspot.gr σχ. έτος 2017-΄18         3 3 3 2 0 2 14 3 3 14 0 6 0 2 4 3 2 0 2 Α+7 0 3 2 8 2 2                                      