TIME DOMAIN ANALYSIS
Email: hasansaeedcontrol@gmail.com
URL: http://shasansaeed.yolasite.com/
1SYED HASAN SAEED
BOOKS
1. AUTOMATIC CONTROL SYSTEM KUO & GOLNARAGHI
2. CONTROL SYSTEM ANAND KUMAR
3. AUTOMATIC CONTROL SYSTEM S.HASAN SAEED
SYED HASAN SAEED 2
DEFINITIONS
TIME RESPONSE: The time response of a system is the
output (response) which is function of the time, when
input (excitation) is applied.
Time response of a control system consists of two parts
1. Transient Response 2. Steady State Response
Mathematically,
Where, = transient response
= steady state response
SYED HASAN SAEED 3
)()()( tctctc sst 
)(tct
)(tcss
TRANSIENT RESPONSE: The transient response is the
part of response which goes to zero as time
increases. Mathematically
The transient response may be exponential or
oscillatory in nature.
STEADY STATE: The steady state response is the part of
the total response after transient has died.
STEADY STATE ERROR: If the steady state response of
the output does not match with the input then the
system has steady state error, denoted by .
SYED HASAN SAEED 4
0)( 

tcLimit t
t
sse
TEST SIGNALS FOR TIME RESPONSE:
For analysis of time response of a control system,
following input signals are used
1. STEP FUNCTION:
Consider an independent voltage source in series with
a switch ‘s’. When switch open the voltage at
terminal 1-2 is zero.
SYED HASAN SAEED 5
Mathematically,
;
When the switch is closed at t=0
;
Combining above two equations
;
;
A unit step function is denoted by u(t) and defined as
;
;
SYED HASAN SAEED 6
0)( tv 0 t
Ktv )( t0
Ktv
tv


)(
0)( 0 t
t0
1)(
0)(


tu
tu 0t
t0
Laplace transform:
£f(t)=
2. RAMP FUNCTION:
Ramp function starts from origin and increases or
decreases linearly with time. Let r(t) be the ramp
function then,
r(t)=0 ; t<0
=Kt ; t>0
SYED HASAN SAEED 7
ss
e
dtedtetu
st
stst 1
.1)(
000













K>0
t
r(t)
LAPLACE TRANSFORM:
£r(t)
For unit ramp K=1
SYED HASAN SAEED 8
2
00
)(
s
K
dtKtedtetr stst
 




2
)(
s
K
sR 
t
r(t)
K<0
0
3. PARABOLIC FUNCTION:
The value of r(t) is zero for t<0 and is quadratic function
of time for t>0. The parabolic function represents a
signal that is one order faster than the ramp function.
The parabolic function is defined as
For unit parabolic function K=1
SYED HASAN SAEED 9
2
)(
0)(
2
Kt
tr
tr


0
0


t
t
2
)(
0)(
2
t
tr
tr


0
0


t
t
LAPLACE TRANSFORM:
£r(t)
SYED HASAN SAEED 10
3
3
0 0
2
)(
2
)(
s
K
sR
s
K
dte
Kt
dtetr stst

 
 

 
IMPULSE RESPONSE: Consider the following fig.
The first pulse has a width T and height 1/T, area of the
pulse will be 1. If we halve the duration and double
the amplitude we get second pulse. The area under
the second pulse is also unity.
SYED HASAN SAEED 11
We can say that as the duration of the pulse
approaches zero, the amplitude approaches infinity
but area of the pulse is unity.
The pulse for which the duration tends to zero and
amplitude tends to infinity is called impulse. Impulse
function also known as delta function.
Mathematically
δ(t)= 0 ; t ≠ 0
=∞ ; t = 0
Thus the impulse function has zero value
everywhere except at t=0, where the amplitude
is infinite.
SYED HASAN SAEED 12
An impulse function is the derivative of a step function
δ(t) = u(t)
£δ(t) = £
SYED HASAN SAEED 13
  1
1
.)( 
s
stu
dt
d
INPUT r(t) SYMBOL R(S)
UNIT STEP U(t) 1/s
UNIT RAMP r(t) 1/s2
UNIT PARABOLIC - 1/s3
UNIT IMPULSE δ(t) 1
THANK YOU
FOR
ATTENTION
SYED HASAN SAEED 14
TIME RESPONSE
OF
FIRST ORDER SYSTEM
Email : hasansaeedcontrol@gmail.com
URL: http://shasansaeed.yolasite.com/
1SYED HASAN SAEED
BOOKS
1. AUTOMATIC CONTROL SYSTEM KUO &
GOLNARAGHI
2. CONTROL SYSTEM ANAND KUMAR
3. AUTOMATIC CONTROL SYSTEM S.HASAN SAEED
SYED HASAN SAEED 2
RESPONSE OF FIRST ORDER SYSTEM WITH UNIT STEP
INPUT:
For first order system
SYED HASAN SAEED 3
sT
T
s
sC
sTs
sC
s
sR
sR
sT
sC
sTsR
sC









1
1
)(
)1(
1
)(
1
)(
)(
1
1
)(
1
1
)(
)(
Input is unit step
After partial fraction
Take inverse Laplace
Where ‘T’ is known as ‘time constant’ and defined as
the time required for the signal to attain 63.2% of
final or steady state value.
Time constant indicates how fast the system reaches
the final value.
Smaller the time constant, faster is the system
response.
SYED HASAN SAEED 4
632.011)(
1)(
1/
/




eetc
etc
TT
Tt
When t=T
RESPONSE OF FIRST ORDER SYSTEM WITH UNIT RAMP
FUNCTION:
SYED HASAN SAEED 5
T
s
T
s
T
s
sC
sTs
sC
s
sR
sR
sT
sC
sTsR
sC
1
11
)(
)1(
1
)(
1
)(
)(
1
1
)(
1
1
)(
)(
2
2
2









Input is unit Ramp
After partial fraction
We know that
Take inverse Laplace, we get
The steady state error is equal to ‘T’, where ‘T’ is the
time constant of the system.
For smaller time constant steady state error will be
small and speed of the response will increase.
SYED HASAN SAEED 6
 
TTeTLimit
eTte
TeTttte
tctrte
TeTttc
Tt
t
Tt
Tt
Tt










)(
)1()(
)(
)()()(
)(
/
/
/
/
Error signal
Steady state error
RESPONSE OF THE FIRST ORDER SYSTEM WITH UNIT
IMPULSE FUNCTION:
Input is unit impulse function R(s)=1
SYED HASAN SAEED 7
Tt
e
T
tc
TsT
sC
sT
sC
sR
sT
sC
/1
)(
/1
11
)(
1.
1
1
)(
)(
1
1
)(








Inverse Laplace transform
SYED HASAN SAEED 8
SYED HASAN SAEED 9
1)(
1
)(
1
)( 2



sR
s
sR
s
sRFor unit Ramp Input
For Unit Step Input
For Unit Impulse Input
Tt
TeTttc /
)( 

Tt
etc /
1)( 

Tt
e
T
tc /1
)( 

It is clear that, unit step input is the derivative of unit
ramp input and unit impulse input is the derivative of
unit step input. This is the property of LTI system.
Compare all three responses:
THANK YOU
SYED HASAN SAEED 10
TIME RESPONSE
OF
SECOND ORDER SYSTEM
Email : hasansaeedcontrol@gmail.com
URL: http://shasansaeed.yolasite.com/
1SYED HASAN SAEED
REFERENCE BOOKS:
1. AUTOMATIC CONTROL SYSTEM KUO & GOLNARAGHI
2. CONTROL SYSTEM ANAND KUMAR
3. AUTOMATIC CONTROL SYSTEM S.HASAN SAEED
SYED HASAN SAEED 2
SYED HASAN SAEED 3
Block diagram of second order system is shown in fig.
R(s) C(s)
_
+
)2(
2
n
n
ss 


s
sR
sR
sssR
sC
A
sssR
sC
nn
n
nn
n
1
)(
)(
2)(
)(
)(
2)(
)(
22
2
22
2










For unit step input
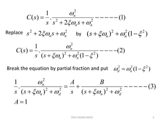
SYED HASAN SAEED 4
22
22
2
2
)1(
2
.
1
)(
nn
nn
n
ss
sss
sC







Replace by )1()( 222
  nns
Break the equation by partial fraction and put )1( 222
  nd
1
)3(
)()(
.
1
2222
2





A
s
B
s
A
ss dndn
n


)2(
)1()(
.
1
)( 222
2





nn
n
ss
sC
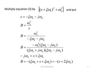
SYED HASAN SAEED 5
 22
)( dns  Multiply equation (3) by and put
)2()(
))((
)(2
2
2
nnn
nd
dndn
dnn
dn
n
n
dn
ssB
sj
jj
j
B
j
B
s
B
js

















Equation (1) can be written as
SYED HASAN SAEED 6
)4(
)(
.
)(
1
)(
)(
1
)(
2222
22














dn
d
d
n
dn
n
dn
nn
ss
s
s
sC
s
s
s
sC








Laplace Inverse of equation (4)
)5(sin.cos.1)( 





 
tetetc d
t
d
n
d
t nn



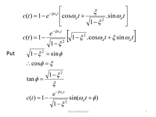
 
2
1   nd
Put
SYED HASAN SAEED 7
 tt
e
tc
ttetc
dd
t
dd
t
n
n








sincos.1
1
1)(
sin.
1
cos1)(
2
2
2















)sin(
1
1)(
1
tan
cos
sin1
2
2
2
















t
e
tc d
tn
Put
SYED HASAN SAEED 8
)6(
1
tan)1(sin
1
1)(
2
12
2








 


 






t
e
tc n
tn
Put the values of d &
)7(
1
tan)1(sin
1
)(
)()()(
2
12
2








 











t
e
te
tctrte
n
tn
Error signal for the system
The steady state value of c(t)
1)( 

tcLimite
t
ss
Therefore at steady state there is no error between
input and output.
= natural frequency of oscillation or undamped
natural frequency.
= damped frequency of oscillation.
= damping factor or actual damping or
damping coefficient.
For equation (A) two poles (for ) are
SYED HASAN SAEED 9
n
d
n
2
2
1
1




nn
nn
j
j
10  
Depending upon the value of , there are four cases
UNDERDAMPED ( ): When the system has two
complex conjugate poles.
SYED HASAN SAEED 10

10  
From equation (6):
 Time constant is
 Response having damped oscillation with overshoot and
under shoot. This response is known as under-damped
response.
SYED HASAN SAEED 11
n/1
UNDAMPED ( ): when the system has two
imaginary poles.
SYED HASAN SAEED 12
0
From equation (6)
Thus at the system will oscillate.
The damped frequency always less than the undamped
frequency ( ) because of . The response is shown in
fig.
SYED HASAN SAEED 13
ttc
ttc
n
n



cos1)(
)2/sin(1)(
0


For
n
n 
SYED HASAN SAEED 14
CRITICALLY DAMPED ( ): When the system has
two real and equal poles. Location of poles for
critically damped is shown in fig.
1
SYED HASAN SAEED 15
)(
11
)(
)(
)(
2
.
1
)(
1
2
2
2
2
22
2
n
n
nn
n
n
n
nn
n
ssssss
ss
sC
sss
sC


















For
After partial
fraction
Take the inverse Laplace
)8()1(1)(
1)(




tetc
etetc
n
t
t
n
t
n
nn




SYED HASAN SAEED 16
From equation (6) it is clear that is the actual
damping. For , actual damping = . This actual
damping is known as CRITICAL DAMPING.
The ratio of actual damping to the critical damping is
known as damping ratio . From equation (8) time
constant = . Response is shown in fig.
n
1 n

n/1
OVERDAMPED ( ): when the system has two real
and distinct poles.
SYED HASAN SAEED 17
1
Response of the
system
From equation (2)
SYED HASAN SAEED 18
)9(
)1()(
.
1
)( 222
2





nn
n
ss
sC
)1( 222
  ndPut
)10(
)(
.
1
)( 22
2



dn
n
ss
sC


We get
Equation (10) can be written as
)11(
))((
)(
2



dndn
n
sss
sC


After partial fraction of equation (11) we get
SYED HASAN SAEED 19
Put the value of d
  
  
)12(
112
1
112
11
)(
22
22





dn
dn
s
ss
sC


  
   )13(
)1(112
1
)1(112
11
)(
222
222







nn
nn
s
ss
sC
Inverse Laplace of equation (13)
From equation (14) we get two time constants
SYED HASAN SAEED 20
)14(
)1(12)1(12
1)(
22
)1(
22
)1( 22







 tt nn
ee
tc
n
n
T
T


)1(
1
)1(
1
22
21




SYED HASAN SAEED 21
)15(
)1(12
1)(
22
)1( 2





 tn
e
tc
From equation (14) it is clear that when is greater than
one there are two exponential terms, first term has time
constant T1 and second term has a time constant T2 . T1 <
T2 . In other words we can say that first exponential term
decaying much faster than the other exponential term.
So for time response we neglect it, then
)16(
)1(
1
22 


n
T


THANK YOU
SYED HASAN SAEED 22
TIME DOMAIN SPECIFICATIONS OF
SECOND ORDER SYSTEM
Email : hasansaeedcontrol@gmail.com
URL: http://shasansaeed.yolasite.com/
1SYED HASAN SAEED
SYED HASAN SAEED 2
BOOKS
1. AUTOMATIC CONTROL SYSTEM KUO &
GOLNARAGHI
2. CONTROL SYSTEM ANAND KUMAR
3. AUTOMATIC CONTROL SYSTEM S.HASAN SAEED
SYED HASAN SAEED 3
Consider a second order system with unit step input and
all initial conditions are zero. The response is shown in fig.
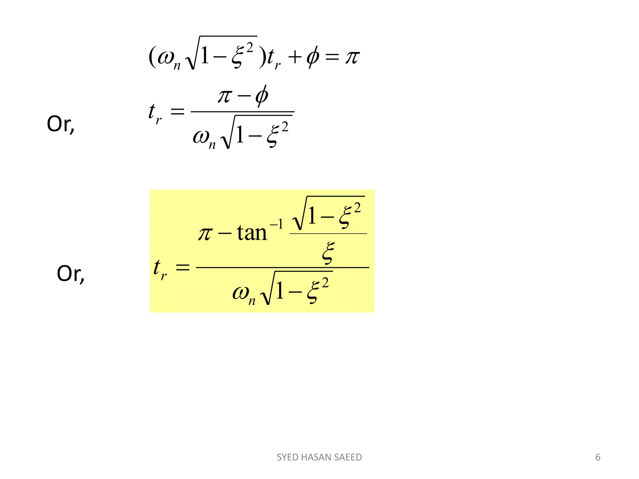
1. DELAY TIME (td): The delay time is the time required
for the response to reach 50% of the final value in
first time.
2. RISE TIME (tr): It is time required for the response to
rise from 10% to 90% of its final value for over-
damped systems and 0 to 100% for under-damped
systems.
We know that:
SYED HASAN SAEED 4
  






2
1
2
2
1
tan
1sin
1
1)(







t
e
tc n
tn
Where,
Let response reaches 100% of desired value. Put c(t)=1
SYED HASAN SAEED 5
  
   01sin
1
1sin
1
11
2
2
2
2













t
e
t
e
n
t
n
t
n
n
0 tn
e 
Since,
)sin())1sin((
0))1sin((
2
2


nt
t
n
n


Or,
Put n=1
SYED HASAN SAEED 6
2
2
1
)1(







n
r
rn
t
t
2
2
1
1
1
tan









n
rt
Or,
Or,
3. PEAK TIME (tp): The peak time is the time required
for the response to reach the first peak of the time
response or first peak overshoot.
For maximum
SYED HASAN SAEED 7
  






t
e
tc n
tn
2
2
1sin
1
1)(Since
  
   )1(0
1
1sin
11cos
1
)(
0
)(
2
2
22
2










tn
n
nn
t
n
n
et
t
e
dt
tdc
dt
tdc







Since,
Equation can be written as
Equation (2) becomes
SYED HASAN SAEED 8
0 tn
e 
     


sin1
1sin11cos
2
222

 tt nn
Put  cosand
       cos1sinsin1cos 22
 tt nn




cos
sin
))1cos((
))1sin((
2
2



t
t
n
n
SYED HASAN SAEED 9


nt
nt
pn
n


)1(
))1tan((
2
2
The time to various
peak
Where n=1,2,3,…….
Peak time to first overshoot, put n=1
2
1 



n
pt
First minimum (undershoot) occurs at n=2
2min
1
2


n
t
4. MAXIMUM OVERSHOOT (MP):
Maximum overshoot occur at peak time, t=tp
in above equation
SYED HASAN SAEED 10
  






t
e
tc n
tn
2
2
1sin
1
1)(
2
1 



n
ptPut,























2
2
2
1
1
.1sin
1
1)(
2
n
n
n
n
e
tc
SYED HASAN SAEED 11
2
2
1
2
2
1
2
1
1
1
1)(
1sin
sin
1
1)(
)sin(
1
1)(
2
2
2




























e
tc
e
tc
e
tc
Put,
 sin)sin( 
SYED HASAN SAEED 12
2
2
2
1
1
1
11
1)(
1)(
















eM
eM
tcM
etc
p
p
p
100*%
2
1 



 eM p
5. SETTLING TIME (ts):
The settling time is defined as the time required for the
transient response to reach and stay within the
prescribed percentage error.
SYED HASAN SAEED 13
SYED HASAN SAEED 14
Time consumed in exponential decay up to 98% of the
input. The settling time for a second order system is
approximately four times the time constant ‘T’.
6. STEADY STATE ERROR (ess): It is difference between
actual output and desired output as time ‘t’ tends to
infinity.
n
s Tt

4
4 
 )()( tctrLimite
t
ss 

EXAMPLE 1: The open loop transfer function of a servo
system with unity feedback is given by
Determine the damping ratio, undamped natural frequency
of oscillation. What is the percentage overshoot of the
response to a unit step input.
SOLUTION: Given that
Characteristic equation
SYED HASAN SAEED 15
)5)(2(
10
)(


ss
sG
1)(
)5)(2(
10
)(



sH
ss
sG
0)()(1  sHsG
SYED HASAN SAEED 16
0207
0
)5)(2(
10
1
2




ss
ss
Compare with 02 22
 nnss  We get
%92.1100*
7826.0
7472.4**2
sec/472.420
72
20
22
)7826.0(1
7826.0*
1
2


















eeM
rad
p
n
n
n
%92.1
7826.0
sec/472.4


p
n
M
rad


EXAMPLE 2: A feedback system is described by the
following transfer function
The damping factor of the system is 0.8. determine the
overshoot of the system and value of ‘K’.
SOLUTION: We know that
SYED HASAN SAEED 17
KssH
ss
sG



)(
164
12
)( 2
016)164(
16)164(
16
)(
)(
)()(1
)(
)(
)(
2
2





sKs
sKssR
sC
sHsG
sG
sR
sC
is the characteristic eqn.
Compare with
SYED HASAN SAEED 18
K
ss
n
n
nn
1642
16
02
2
22






.sec/4radn 
K1644*8.0*2  15.0K
%5.1
100*100*
22
)8.0(1
8.0
1

 



p
p
M
eeM



EXAMPLE 3: The open loop transfer function of a unity
feedback control system is given by
By what factor the amplifier gain ‘K’ should be multiplied so
that the damping ratio is increased from 0.3 to 0.9.
SOLUTION:
SYED HASAN SAEED 19
)1(
)(
sTs
K
sG


0
/
)(
)(
1.
)1(
1
)1(
)()(1
)(
)(
)(
2
2









T
K
T
s
s
T
K
T
s
s
TK
sR
sC
sTs
K
sTs
K
sHsG
sG
sR
sC
Characteristic Eq.
Compare the characteristic eq. with
Given that:
SYED HASAN SAEED 20
02 22
 nnss 
T
K
T
n
n


2
1
2

We get
TT
K 1
2 
T
K
n 
KT2
1
Or,
9.0
3.0
2
1




TK
TK
2
2
1
1
2
1
2
1




SYED HASAN SAEED 21
21
2
1
2
1
2
2
1
9
9
1
9.0
3.0
KK
K
K
K
K











Hence, the gain K1 at which 3.0 Should be multiplied
By 1/9 to increase the damping ratio from 0.3 to 0.9
ERROR
ANALYSIS
Email : hasansaeedcontrol@gmail.com
URL: http://shasansaeed.yolasite.com/
1SYED HASAN SAEED
BOOKS
1. AUTOMATIC CONTROL SYSTEM KUO &
GOLNARAGHI
2. CONTROL SYSTEM ANAND KUMAR
3. AUTOMATIC CONTROL SYSTEM S.HASAN SAEED
SYED HASAN SAEED 2
STEADY STATE ERROR:
The steady state error is the difference between the
input and output of the system during steady state.
For accuracy steady state error should be minimum.
We know that
The steady state error of the system is obtained by final
value theorem
SYED HASAN SAEED 3
)()(1
)(
)(
)()(1
1
)(
)(
sHsG
sR
sE
sHsGsR
sE




)(.lim)(lim
0
sEstee
st
ss


SYED HASAN SAEED 4
)(1
)(
.lim
1)(
)()(1
)(
.lim
0
0
sG
sR
se
sH
sHsG
sR
se
s
ss
s
ss







For unity feedback
Thus, the steady state error depends on the input and
open loop transfer function.
STATIC ERROR COEFFICIENTS
STATIC POSITION ERROR CONSTAN Kp: For unit step
input R(s)=1/s
SYED HASAN SAEED 5
)()(lim
1
1
)()(lim1
1
)()(1
1
.
1
.lim
0
0
0
sHsGK
KsHsG
e
sHsGs
se
s
p
p
s
ss
s
ss










Where is the Static position error constantpK
Steady state error
STATIC VELOCITY ERROR CONSTANT (Kv):
Steady state error with a unit ramp input is given by
R(s)=1/s2
SYED HASAN SAEED 6
)()(1
1
).(.
0 sHsG
sRsLime
s
ss



v
s
ss
ss
ss
KsHssG
e
sHssGssHsGs
se
1
)()(
1
lim
)()(
1
lim
)()(1
1
.
1
.lim
0
020







Where )()(lim
0
sHssGK
s
v

 Static velocity error
coefficient
STATIC ACCELERATION ERROR CONSTANT (Ka):
The steady state error of the system with unit parabolic
input is given by
where,
SYED HASAN SAEED 7
a
s
ss
ss
ss
KsHsGs
e
sHsGsssHsGs
se
s
sR
1
)()(
1
lim
)()(
1
lim
)()(1
1
.
1
.lim
1
)(
20
22030
3








)()(lim 2
0
sHsGsK
s
a

 Static acceleration constant.
STEADY STATE ERROR FOR DIFFERENT TYPE OF
SYSTEMS
TYPE ZERO SYSTEM WITH UNIT STEP INPUT:
Consider open loop transfer function
SYED HASAN SAEED 8
)1(
).........1)(1(
.).........1)(1(
)()( 21




ba
m
sTsTs
sTsTK
sHsG
K
e
KK
e
KsHsGK
s
sR
ss
p
ss
s
p









1
1
1
1
1
1
)()(lim
1
)(
0 Hence , for type zero
system the static position
error constant Kp is finite.
TYPE ZERO SYSTEM WITH UNIT RAMP INPUT:
TYPE ZERO SYSTEM WITH UNIT PARABOLIC INPUT:
For type ‘zero system’ the steady state error is infinite for
ramp and parabolic inputs. Hence, the ramp and parabolic
inputs are not acceptable.
SYED HASAN SAEED 9






v
ss
ba
ss
v
K
e
sTsT
sTsTK
ssHssGK
1
0
)....1)(1(
)...1)(1(
.lim)()(lim 21
00
 sse
a
ss
ba
ss
a
K
e
sTsT
sTsTK
ssHsGsK
1
0
)....1)(1(
)...1)(1(
.lim)()(lim 212
0
2
0






 sse
TYPE ‘ONE’ SYSTEM WITH UNIT STEP INPUT:
Put the value of G(s)H(s) from eqn.1
TYPE ‘ONE’ SYSTEM WITH UNIT RAMP INPUT:
Put the value of G(s)H(s) from eqn.1
SYED HASAN SAEED 10
)()(lim
0
sHsGK
s
p


0
1
1




p
ss
p
K
e
K
0 sse
)()(.lim
0
sHsGsK
s
v


KK
e
KK
v
ss
v
11


K
ess
1

SYED HASAN SAEED 11
TYPE ‘ONE’ SYSTEM WITH UNIT PARABOLIC INPUT:
Put the value of G(s)H(s) from eqn.1
Hence, it is clear that for type ‘one’ system step input
and ramp inputs are acceptable and parabolic input is
not acceptable.
)()(lim 2
0
sHsGsK
s
a




a
ss
a
K
e
K
1
0
 sse
Similarly we can find for type ‘TWO’ system.
For type two system all three inputs (step, Ramp,
Parabolic) are acceptable.
SYED HASAN SAEED 12
INPUT
SIGNALS
TYPE ‘0’
SYSTEM
TYPE ‘1’
SYSTEM
TYPE ‘2’
SYSTEM
UNIT STEP
INPUT 0 0
UNIT RAMP
INPUT 0
UNIT
PARABOLIC
INPUT
K1
1

 
K
1
K
1
DYNAMIC ERROR COEFFICIENT:
For the steady-state error, the static error coefficients
gives the limited information.
The error function is given by
For unity feedback system
The eqn.(2) can be expressed in polynomial form
(ascending power of ‘s’)
SYED HASAN SAEED 13
)1(
)()(1
1
)(
)(



sHsGsR
sE
)2(
)(1
1
)(
)(



sGsR
sE
SYED HASAN SAEED 14
)3(........
111
)(
)( 2
321
 s
K
s
KKsR
sE
)4().......(
1
)(
1
)(
1
)( 2
321
 sRs
K
ssR
K
sR
K
sEOr,
Take inverse Laplace of eqn.(4), the error is given by
)5(.......)(
1
)(
1
)(
1
)(
321


tr
K
tr
K
tr
K
te
Steady state error is given by
)(lim
0
ssEe
s
ss


Let s
sR
1
)( 
SYED HASAN SAEED 15
1
2
321
0
1
.......
1
.
11
..
11
.
1
.lim
K
e
s
s
Ks
s
KsK
se
ss
s
ss









Similarly, for other test signal we can find steady state
error.
.......,, 321 KKK are known as “Dynamic error
coefficients”
EXAMPLE 1: The open loop transfer function of unity
feedback system is given by
Determine the static error coefficients
SOLUTION:
SYED HASAN SAEED 16
)10)(1.01(
50
)(


ss
sG
avp KKK ,,
0
)10)(1.01(
50
lim
)()(
0
)10)(1.01(
50
.lim
)()(.lim
5
)10)(1.01(
50
lim
)()(lim
2
0
2
0
0
0
0

















ss
s
sHsGsK
ss
s
sHsGsK
ss
sHsGK
s
a
s
s
v
s
s
p
EXAMPLE 2: The block diagram of electronic pacemaker is
shown in fig. determine the steady state error for unit
ramp input when K=400. Also, determine the value of K
for which the steady state error to a unit ramp will be
0.02.
Given that: K=400,
SYED HASAN SAEED 17
,
1
)( 2
s
sR  1)( sH
)20(
)()(


ss
K
sHsG
SYED HASAN SAEED 18
05.0
)20(
1
1
.
1
.lim
)()(1
)(
.lim 200







ss
Ks
s
sHsG
sR
se
ss
ss
Now, 02.0sse Given
1000
)20(
20
lim02.0
)20(
1
1
.
1
.lim
0
20









K
Kss
s
ss
Ks
se
s
s
ss
THANK YOU
SYED HASAN SAEED 19
BASIC CONTROL ACTION AND
CONTROLLER CHARACTERISTICS
Email : hasansaeedcontrol@gmail.com
URL: http://shasansaeed.yolasite.com/
1SYED HASAN SAEED
SYED HASAN SAEED 2
BOOKS
1. AUTOMATIC CONTROL SYSTEM KUO &
GOLNARAGHI
2. CONTROL SYSTEM ANAND KUMAR
3. AUTOMATIC CONTROL SYSTEM S.HASAN SAEED
INTRODUCTION:
The automatic controller determines the value of
controlled variable, compare the actual value to the
desired value, determines the deviations and
produces a control signal that will reduce the
deviation to zero or to a smallest possible value.
The method by which the automatic controller
produces the control signal is called control action.
The control action may operate through either
mechanical, hydraulic, pneumatic or electro-
mechanical means.
SYED HASAN SAEED 3
SYED HASAN SAEED 4
ELEMENTS OF INDUSTRIAL AUTOMATIC CONTROLLER:
The controller consists of :
 Error Detector
 Amplifier
 The measuring element, which converts the
output variable to another suitable variable such
as displacement, pressure or electrical signals,
which can be used for comparing the output to
the reference input signal.
 Deviation is the difference between controlled
variable and set point (reference input).
e=r-b
SYED HASAN SAEED 5
CLASSIFICATION OF CONTROLLERS:
Controllers can be classified on the basis of type of
controlling action used. They are classified as
i. Two position or ON-OFF controllers
ii. Proportional controllers
iii. Integral controllers
iv. Proportional-plus-integral controllers
v. Proportional-plus-derivative controllers
vi. Proportional-plus-integral-plus-derivative
controllers
SYED HASAN SAEED 6
Controllers can also be classified according to the power
source used for actuating mechanism, such as
electrical, electronics, pneumatic and hydraulic
controllers.
TWO POSITION CONTROL: This is also known as ON-OFF
or bang-bang control.
In this type of control the output of the controller is
quickly changed to either a maximum or minimum
value depending upon whether the controlled
variable (b) is greater or less than the set point.
Let m= output of the controller
M1=Maximum value of controller’s output
SYED HASAN SAEED 7
M2=Minimum value of controller’s output
E= Actuating error signal or deviation
The equations for two-position control will be
m=M1 when e>0
m=M2 when e<0
The minimum value M2 is usually either zero or –M1
SYED HASAN SAEED 8
BLOCK DIAGRAM OF ON-OFF
CONTROLLER
Block diagram of two position controller is shown in
previous slide. In such type of controller there is an
overlap as the error increases through zero or
decreases through zero. This overlap creates a span
of error. During this span of error, there is no change
in controller output. This span of error is known as
dead zone or dead band.
Two position control mode are used in room air
conditioners, heaters, liquid level control in large
volume tank.
SYED HASAN SAEED 9
PROPORTIONAL CONTROL ACTION: In this type of
control action there is a continuous linear relation
between the output of the controller ‘m’ and
actuating signal ‘e’. Mathematically
Where, Kp is known as proportional gain or
proportional sensitivity.
SYED HASAN SAEED 10
)(
)(
)()(
)()(
sE
sM
K
sEKsM
teKtm
p
p
p



In terms of Laplace Transform
SYED HASAN SAEED 11
INTEGRAL CONTROL ACTION:
In a controller with integral control action, the output
of the controller is changed at a rate which is
proportional to the actuating error signal e(t).
Mathematically,
Where, Ki is constant
Equation (1) can also be written as
Where m(0)=control output at t=0
SYED HASAN SAEED 12
)1()()(  teKtm
dt
d
i
  )2()0()()( mteKtm i
Laplace Transform of eqn. (1)
The block diagram and step response is shown in fig.
SYED HASAN SAEED 13
)3(
)(
)(
)()(


s
K
sE
sM
sEKssM
i
i
The inverse of Ki is called integral time Ti and is defined
as time of change of output caused by a unit change
of actuating error signal. The step response is shown
in fig.
For positive error, the output of the controller is
ramp.
 For zero error there is no change in the output of the
controller.
For negative error the output of the controller is
negative ramp.
SYED HASAN SAEED 14
DERIVATIVE CONTROL ACTION:
In a controller with derivative control action the output
of the controller depends on the rate of change of
actuating error signal e(t). Mathematically,
Where is known as derivative gain constant.
Laplace Transform of eqn. (1)
SYED HASAN SAEED 15
)1()()(  te
dt
d
Ktm d
dK
)2(
)(
)(
)()(


d
d
sK
sE
sM
ssEKsM
Eqn. (2) is the transfer function of the controller.
From eqn.(1) it is clear that when the error is zero or
constant, the output of the controller will be zero.
Therefore, this type of controller cannot be used
alone.
SYED HASAN SAEED 16
BLOCK DIAGRAM OF DERIVATIVE CONTROLLER
PROPORTIONAL-PLUS-INTEGRAL CONTROL ACTION:
This is the combination of proportional and integral
control action. Mathematically,
Laplace Transform of both eqns.
SYED HASAN SAEED 17
)2()(
1
)()(
)1()()()(
0
0




t
i
pp
t
ipp
dtte
T
KteKtm
dtteKKteKtm
)3(
1
1
)(
)(
)()()(








i
p
i
p
p
sT
K
sE
sM
sE
sT
K
sEKsM
SYED HASAN SAEED 18
Block diagram shown below
In eqn (3) both and are adjustable. Is called
integral time. The inverse of integral time is called
reset rate. Reset rate is defined as the number of
times per minute that the proportional part of the
response is duplicate.
Consider the fig.(2a), the error varies at
pK iT iT
1tt 
Fig. (1)
SYED HASAN SAEED 19
Fig. (2a)
Fig. (2b)
Consider the diagram the output of the controller
suddenly changes to due to proportional action,
after that controller output changes linearly with
respect to time at rate
For unit step (t1=0), the response shown in fig.(2b).
From equation (2) it is clear that the proportional
sensitivity affects both the proportional and
integral parts of the action.
SYED HASAN SAEED 20
i
p
T
K
pm
pK
PROPORTIONAL-PLUS- DERIVATIVE CONTROL ACTION:
When a derivative control action is added in series with
proportional control action, then this combination is
known as proportional-derivative control action.
Block diagram is shown in fig.
Mathematically,
SYED HASAN SAEED 21
)1()()()(  te
dt
d
TKteKtm ppp
Laplace Transform of equation(1)
This is the transfer function. is known as derivative
time. Derivative time is defined as the time interval
by which the rate action advances the effect of the
proportional control action.
PD control action reduces the rise time, faster
response, improves the bandwidth and improves the
damping.
SYED HASAN SAEED 22
)2()1(
)(
)(
)()()(


dp
dpp
sTK
sE
sM
ssETKsEKsM
dT
Consider the diagram, if the actuating error signal e(t) is a
ramp function at t=t1. the derivative mode causes a step
md at t1 and proportional mode causes a rise of mp equal
to md at t2. this is for direct action PD control.
SYED HASAN SAEED 23
For unit ramp input, the output of the controller is
shown below.
SYED HASAN SAEED 24
PROPORTIONAL-PLUS-INTEGRAL-PLUS-DERIVATIVE
CONTROL ACTION:
The combination of proportional, integral and
derivative control action is called PID control action
and the controller is called three action controller.
Block diagram is shown below.
SYED HASAN SAEED 25
SYED HASAN SAEED 26
)2(
1
1
)(
)(
)()()()(
)1()()(
1
)()(
0








 
d
i
p
dp
i
p
p
dp
t
i
pp
sT
sT
K
sE
sM
ssETKsE
sT
K
sEKsM
te
dt
d
TKdtte
T
KteKtm
Laplace
transform
Equation (2) is the transfer function.
THANK YOU
FOR
ATTENTION
SYED HASAN SAEED 27

TIME DOMAIN ANALYSIS

  • 1.
    TIME DOMAIN ANALYSIS Email:hasansaeedcontrol@gmail.com URL: http://shasansaeed.yolasite.com/ 1SYED HASAN SAEED
  • 2.
    BOOKS 1. AUTOMATIC CONTROLSYSTEM KUO & GOLNARAGHI 2. CONTROL SYSTEM ANAND KUMAR 3. AUTOMATIC CONTROL SYSTEM S.HASAN SAEED SYED HASAN SAEED 2
  • 3.
    DEFINITIONS TIME RESPONSE: Thetime response of a system is the output (response) which is function of the time, when input (excitation) is applied. Time response of a control system consists of two parts 1. Transient Response 2. Steady State Response Mathematically, Where, = transient response = steady state response SYED HASAN SAEED 3 )()()( tctctc sst  )(tct )(tcss
  • 4.
    TRANSIENT RESPONSE: Thetransient response is the part of response which goes to zero as time increases. Mathematically The transient response may be exponential or oscillatory in nature. STEADY STATE: The steady state response is the part of the total response after transient has died. STEADY STATE ERROR: If the steady state response of the output does not match with the input then the system has steady state error, denoted by . SYED HASAN SAEED 4 0)(   tcLimit t t sse
  • 5.
    TEST SIGNALS FORTIME RESPONSE: For analysis of time response of a control system, following input signals are used 1. STEP FUNCTION: Consider an independent voltage source in series with a switch ‘s’. When switch open the voltage at terminal 1-2 is zero. SYED HASAN SAEED 5
  • 6.
    Mathematically, ; When the switchis closed at t=0 ; Combining above two equations ; ; A unit step function is denoted by u(t) and defined as ; ; SYED HASAN SAEED 6 0)( tv 0 t Ktv )( t0 Ktv tv   )( 0)( 0 t t0 1)( 0)(   tu tu 0t t0
  • 7.
    Laplace transform: £f(t)= 2. RAMPFUNCTION: Ramp function starts from origin and increases or decreases linearly with time. Let r(t) be the ramp function then, r(t)=0 ; t<0 =Kt ; t>0 SYED HASAN SAEED 7 ss e dtedtetu st stst 1 .1)( 000              K>0 t r(t)
  • 8.
    LAPLACE TRANSFORM: £r(t) For unitramp K=1 SYED HASAN SAEED 8 2 00 )( s K dtKtedtetr stst       2 )( s K sR  t r(t) K<0 0
  • 9.
    3. PARABOLIC FUNCTION: Thevalue of r(t) is zero for t<0 and is quadratic function of time for t>0. The parabolic function represents a signal that is one order faster than the ramp function. The parabolic function is defined as For unit parabolic function K=1 SYED HASAN SAEED 9 2 )( 0)( 2 Kt tr tr   0 0   t t 2 )( 0)( 2 t tr tr   0 0   t t
  • 10.
    LAPLACE TRANSFORM: £r(t) SYED HASANSAEED 10 3 3 0 0 2 )( 2 )( s K sR s K dte Kt dtetr stst        
  • 11.
    IMPULSE RESPONSE: Considerthe following fig. The first pulse has a width T and height 1/T, area of the pulse will be 1. If we halve the duration and double the amplitude we get second pulse. The area under the second pulse is also unity. SYED HASAN SAEED 11
  • 12.
    We can saythat as the duration of the pulse approaches zero, the amplitude approaches infinity but area of the pulse is unity. The pulse for which the duration tends to zero and amplitude tends to infinity is called impulse. Impulse function also known as delta function. Mathematically δ(t)= 0 ; t ≠ 0 =∞ ; t = 0 Thus the impulse function has zero value everywhere except at t=0, where the amplitude is infinite. SYED HASAN SAEED 12
  • 13.
    An impulse functionis the derivative of a step function δ(t) = u(t) £δ(t) = £ SYED HASAN SAEED 13   1 1 .)(  s stu dt d INPUT r(t) SYMBOL R(S) UNIT STEP U(t) 1/s UNIT RAMP r(t) 1/s2 UNIT PARABOLIC - 1/s3 UNIT IMPULSE δ(t) 1
  • 14.
  • 15.
    TIME RESPONSE OF FIRST ORDERSYSTEM Email : hasansaeedcontrol@gmail.com URL: http://shasansaeed.yolasite.com/ 1SYED HASAN SAEED
  • 16.
    BOOKS 1. AUTOMATIC CONTROLSYSTEM KUO & GOLNARAGHI 2. CONTROL SYSTEM ANAND KUMAR 3. AUTOMATIC CONTROL SYSTEM S.HASAN SAEED SYED HASAN SAEED 2
  • 17.
    RESPONSE OF FIRSTORDER SYSTEM WITH UNIT STEP INPUT: For first order system SYED HASAN SAEED 3 sT T s sC sTs sC s sR sR sT sC sTsR sC          1 1 )( )1( 1 )( 1 )( )( 1 1 )( 1 1 )( )( Input is unit step After partial fraction
  • 18.
    Take inverse Laplace Where‘T’ is known as ‘time constant’ and defined as the time required for the signal to attain 63.2% of final or steady state value. Time constant indicates how fast the system reaches the final value. Smaller the time constant, faster is the system response. SYED HASAN SAEED 4 632.011)( 1)( 1/ /     eetc etc TT Tt When t=T
  • 19.
    RESPONSE OF FIRSTORDER SYSTEM WITH UNIT RAMP FUNCTION: SYED HASAN SAEED 5 T s T s T s sC sTs sC s sR sR sT sC sTsR sC 1 11 )( )1( 1 )( 1 )( )( 1 1 )( 1 1 )( )( 2 2 2          Input is unit Ramp After partial fraction We know that
  • 20.
    Take inverse Laplace,we get The steady state error is equal to ‘T’, where ‘T’ is the time constant of the system. For smaller time constant steady state error will be small and speed of the response will increase. SYED HASAN SAEED 6   TTeTLimit eTte TeTttte tctrte TeTttc Tt t Tt Tt Tt           )( )1()( )( )()()( )( / / / / Error signal Steady state error
  • 21.
    RESPONSE OF THEFIRST ORDER SYSTEM WITH UNIT IMPULSE FUNCTION: Input is unit impulse function R(s)=1 SYED HASAN SAEED 7 Tt e T tc TsT sC sT sC sR sT sC /1 )( /1 11 )( 1. 1 1 )( )( 1 1 )(         Inverse Laplace transform
  • 22.
  • 23.
    SYED HASAN SAEED9 1)( 1 )( 1 )( 2    sR s sR s sRFor unit Ramp Input For Unit Step Input For Unit Impulse Input Tt TeTttc / )(   Tt etc / 1)(   Tt e T tc /1 )(   It is clear that, unit step input is the derivative of unit ramp input and unit impulse input is the derivative of unit step input. This is the property of LTI system. Compare all three responses:
  • 24.
  • 25.
    TIME RESPONSE OF SECOND ORDERSYSTEM Email : hasansaeedcontrol@gmail.com URL: http://shasansaeed.yolasite.com/ 1SYED HASAN SAEED
  • 26.
    REFERENCE BOOKS: 1. AUTOMATICCONTROL SYSTEM KUO & GOLNARAGHI 2. CONTROL SYSTEM ANAND KUMAR 3. AUTOMATIC CONTROL SYSTEM S.HASAN SAEED SYED HASAN SAEED 2
  • 27.
    SYED HASAN SAEED3 Block diagram of second order system is shown in fig. R(s) C(s) _ + )2( 2 n n ss    s sR sR sssR sC A sssR sC nn n nn n 1 )( )( 2)( )( )( 2)( )( 22 2 22 2           For unit step input
  • 28.
    SYED HASAN SAEED4 22 22 2 2 )1( 2 . 1 )( nn nn n ss sss sC        Replace by )1()( 222   nns Break the equation by partial fraction and put )1( 222   nd 1 )3( )()( . 1 2222 2      A s B s A ss dndn n   )2( )1()( . 1 )( 222 2      nn n ss sC
  • 29.
    SYED HASAN SAEED5  22 )( dns  Multiply equation (3) by and put )2()( ))(( )(2 2 2 nnn nd dndn dnn dn n n dn ssB sj jj j B j B s B js                 
  • 30.
    Equation (1) canbe written as SYED HASAN SAEED 6 )4( )( . )( 1 )( )( 1 )( 2222 22               dn d d n dn n dn nn ss s s sC s s s sC         Laplace Inverse of equation (4) )5(sin.cos.1)(         tetetc d t d n d t nn      2 1   nd Put
  • 31.
    SYED HASAN SAEED7  tt e tc ttetc dd t dd t n n         sincos.1 1 1)( sin. 1 cos1)( 2 2 2                )sin( 1 1)( 1 tan cos sin1 2 2 2                 t e tc d tn Put
  • 32.
    SYED HASAN SAEED8 )6( 1 tan)1(sin 1 1)( 2 12 2                     t e tc n tn Put the values of d & )7( 1 tan)1(sin 1 )( )()()( 2 12 2                      t e te tctrte n tn Error signal for the system The steady state value of c(t) 1)(   tcLimite t ss
  • 33.
    Therefore at steadystate there is no error between input and output. = natural frequency of oscillation or undamped natural frequency. = damped frequency of oscillation. = damping factor or actual damping or damping coefficient. For equation (A) two poles (for ) are SYED HASAN SAEED 9 n d n 2 2 1 1     nn nn j j 10  
  • 34.
    Depending upon thevalue of , there are four cases UNDERDAMPED ( ): When the system has two complex conjugate poles. SYED HASAN SAEED 10  10  
  • 35.
    From equation (6): Time constant is  Response having damped oscillation with overshoot and under shoot. This response is known as under-damped response. SYED HASAN SAEED 11 n/1
  • 36.
    UNDAMPED ( ):when the system has two imaginary poles. SYED HASAN SAEED 12 0
  • 37.
    From equation (6) Thusat the system will oscillate. The damped frequency always less than the undamped frequency ( ) because of . The response is shown in fig. SYED HASAN SAEED 13 ttc ttc n n    cos1)( )2/sin(1)( 0   For n n 
  • 38.
    SYED HASAN SAEED14 CRITICALLY DAMPED ( ): When the system has two real and equal poles. Location of poles for critically damped is shown in fig. 1
  • 39.
    SYED HASAN SAEED15 )( 11 )( )( )( 2 . 1 )( 1 2 2 2 2 22 2 n n nn n n n nn n ssssss ss sC sss sC                   For After partial fraction Take the inverse Laplace )8()1(1)( 1)(     tetc etetc n t t n t n nn    
  • 40.
    SYED HASAN SAEED16 From equation (6) it is clear that is the actual damping. For , actual damping = . This actual damping is known as CRITICAL DAMPING. The ratio of actual damping to the critical damping is known as damping ratio . From equation (8) time constant = . Response is shown in fig. n 1 n  n/1
  • 41.
    OVERDAMPED ( ):when the system has two real and distinct poles. SYED HASAN SAEED 17 1 Response of the system
  • 42.
    From equation (2) SYEDHASAN SAEED 18 )9( )1()( . 1 )( 222 2      nn n ss sC )1( 222   ndPut )10( )( . 1 )( 22 2    dn n ss sC   We get Equation (10) can be written as )11( ))(( )( 2    dndn n sss sC  
  • 43.
    After partial fractionof equation (11) we get SYED HASAN SAEED 19 Put the value of d       )12( 112 1 112 11 )( 22 22      dn dn s ss sC         )13( )1(112 1 )1(112 11 )( 222 222        nn nn s ss sC
  • 44.
    Inverse Laplace ofequation (13) From equation (14) we get two time constants SYED HASAN SAEED 20 )14( )1(12)1(12 1)( 22 )1( 22 )1( 22         tt nn ee tc n n T T   )1( 1 )1( 1 22 21    
  • 45.
    SYED HASAN SAEED21 )15( )1(12 1)( 22 )1( 2       tn e tc From equation (14) it is clear that when is greater than one there are two exponential terms, first term has time constant T1 and second term has a time constant T2 . T1 < T2 . In other words we can say that first exponential term decaying much faster than the other exponential term. So for time response we neglect it, then )16( )1( 1 22    n T  
  • 46.
  • 47.
    TIME DOMAIN SPECIFICATIONSOF SECOND ORDER SYSTEM Email : hasansaeedcontrol@gmail.com URL: http://shasansaeed.yolasite.com/ 1SYED HASAN SAEED
  • 48.
    SYED HASAN SAEED2 BOOKS 1. AUTOMATIC CONTROL SYSTEM KUO & GOLNARAGHI 2. CONTROL SYSTEM ANAND KUMAR 3. AUTOMATIC CONTROL SYSTEM S.HASAN SAEED
  • 49.
    SYED HASAN SAEED3 Consider a second order system with unit step input and all initial conditions are zero. The response is shown in fig.
  • 50.
    1. DELAY TIME(td): The delay time is the time required for the response to reach 50% of the final value in first time. 2. RISE TIME (tr): It is time required for the response to rise from 10% to 90% of its final value for over- damped systems and 0 to 100% for under-damped systems. We know that: SYED HASAN SAEED 4          2 1 2 2 1 tan 1sin 1 1)(        t e tc n tn Where,
  • 51.
    Let response reaches100% of desired value. Put c(t)=1 SYED HASAN SAEED 5       01sin 1 1sin 1 11 2 2 2 2              t e t e n t n t n n 0 tn e  Since, )sin())1sin(( 0))1sin(( 2 2   nt t n n   Or, Put n=1
  • 52.
    SYED HASAN SAEED6 2 2 1 )1(        n r rn t t 2 2 1 1 1 tan          n rt Or, Or,
  • 53.
    3. PEAK TIME(tp): The peak time is the time required for the response to reach the first peak of the time response or first peak overshoot. For maximum SYED HASAN SAEED 7          t e tc n tn 2 2 1sin 1 1)(Since       )1(0 1 1sin 11cos 1 )( 0 )( 2 2 22 2           tn n nn t n n et t e dt tdc dt tdc       
  • 54.
    Since, Equation can bewritten as Equation (2) becomes SYED HASAN SAEED 8 0 tn e          sin1 1sin11cos 2 222   tt nn Put  cosand        cos1sinsin1cos 22  tt nn     cos sin ))1cos(( ))1sin(( 2 2    t t n n
  • 55.
    SYED HASAN SAEED9   nt nt pn n   )1( ))1tan(( 2 2 The time to various peak Where n=1,2,3,……. Peak time to first overshoot, put n=1 2 1     n pt First minimum (undershoot) occurs at n=2 2min 1 2   n t
  • 56.
    4. MAXIMUM OVERSHOOT(MP): Maximum overshoot occur at peak time, t=tp in above equation SYED HASAN SAEED 10          t e tc n tn 2 2 1sin 1 1)( 2 1     n ptPut,                        2 2 2 1 1 .1sin 1 1)( 2 n n n n e tc
  • 57.
    SYED HASAN SAEED11 2 2 1 2 2 1 2 1 1 1 1)( 1sin sin 1 1)( )sin( 1 1)( 2 2 2                             e tc e tc e tc Put,  sin)sin( 
  • 58.
    SYED HASAN SAEED12 2 2 2 1 1 1 11 1)( 1)(                 eM eM tcM etc p p p 100*% 2 1      eM p
  • 59.
    5. SETTLING TIME(ts): The settling time is defined as the time required for the transient response to reach and stay within the prescribed percentage error. SYED HASAN SAEED 13
  • 60.
    SYED HASAN SAEED14 Time consumed in exponential decay up to 98% of the input. The settling time for a second order system is approximately four times the time constant ‘T’. 6. STEADY STATE ERROR (ess): It is difference between actual output and desired output as time ‘t’ tends to infinity. n s Tt  4 4   )()( tctrLimite t ss  
  • 61.
    EXAMPLE 1: Theopen loop transfer function of a servo system with unity feedback is given by Determine the damping ratio, undamped natural frequency of oscillation. What is the percentage overshoot of the response to a unit step input. SOLUTION: Given that Characteristic equation SYED HASAN SAEED 15 )5)(2( 10 )(   ss sG 1)( )5)(2( 10 )(    sH ss sG 0)()(1  sHsG
  • 62.
    SYED HASAN SAEED16 0207 0 )5)(2( 10 1 2     ss ss Compare with 02 22  nnss  We get %92.1100* 7826.0 7472.4**2 sec/472.420 72 20 22 )7826.0(1 7826.0* 1 2                   eeM rad p n n n %92.1 7826.0 sec/472.4   p n M rad  
  • 63.
    EXAMPLE 2: Afeedback system is described by the following transfer function The damping factor of the system is 0.8. determine the overshoot of the system and value of ‘K’. SOLUTION: We know that SYED HASAN SAEED 17 KssH ss sG    )( 164 12 )( 2 016)164( 16)164( 16 )( )( )()(1 )( )( )( 2 2      sKs sKssR sC sHsG sG sR sC is the characteristic eqn.
  • 64.
    Compare with SYED HASANSAEED 18 K ss n n nn 1642 16 02 2 22       .sec/4radn  K1644*8.0*2  15.0K %5.1 100*100* 22 )8.0(1 8.0 1       p p M eeM   
  • 65.
    EXAMPLE 3: Theopen loop transfer function of a unity feedback control system is given by By what factor the amplifier gain ‘K’ should be multiplied so that the damping ratio is increased from 0.3 to 0.9. SOLUTION: SYED HASAN SAEED 19 )1( )( sTs K sG   0 / )( )( 1. )1( 1 )1( )()(1 )( )( )( 2 2          T K T s s T K T s s TK sR sC sTs K sTs K sHsG sG sR sC Characteristic Eq.
  • 66.
    Compare the characteristiceq. with Given that: SYED HASAN SAEED 20 02 22  nnss  T K T n n   2 1 2  We get TT K 1 2  T K n  KT2 1 Or, 9.0 3.0 2 1     TK TK 2 2 1 1 2 1 2 1    
  • 67.
    SYED HASAN SAEED21 21 2 1 2 1 2 2 1 9 9 1 9.0 3.0 KK K K K K            Hence, the gain K1 at which 3.0 Should be multiplied By 1/9 to increase the damping ratio from 0.3 to 0.9
  • 68.
    ERROR ANALYSIS Email : hasansaeedcontrol@gmail.com URL:http://shasansaeed.yolasite.com/ 1SYED HASAN SAEED
  • 69.
    BOOKS 1. AUTOMATIC CONTROLSYSTEM KUO & GOLNARAGHI 2. CONTROL SYSTEM ANAND KUMAR 3. AUTOMATIC CONTROL SYSTEM S.HASAN SAEED SYED HASAN SAEED 2
  • 70.
    STEADY STATE ERROR: Thesteady state error is the difference between the input and output of the system during steady state. For accuracy steady state error should be minimum. We know that The steady state error of the system is obtained by final value theorem SYED HASAN SAEED 3 )()(1 )( )( )()(1 1 )( )( sHsG sR sE sHsGsR sE     )(.lim)(lim 0 sEstee st ss  
  • 71.
    SYED HASAN SAEED4 )(1 )( .lim 1)( )()(1 )( .lim 0 0 sG sR se sH sHsG sR se s ss s ss        For unity feedback Thus, the steady state error depends on the input and open loop transfer function.
  • 72.
    STATIC ERROR COEFFICIENTS STATICPOSITION ERROR CONSTAN Kp: For unit step input R(s)=1/s SYED HASAN SAEED 5 )()(lim 1 1 )()(lim1 1 )()(1 1 . 1 .lim 0 0 0 sHsGK KsHsG e sHsGs se s p p s ss s ss           Where is the Static position error constantpK Steady state error
  • 73.
    STATIC VELOCITY ERRORCONSTANT (Kv): Steady state error with a unit ramp input is given by R(s)=1/s2 SYED HASAN SAEED 6 )()(1 1 ).(. 0 sHsG sRsLime s ss    v s ss ss ss KsHssG e sHssGssHsGs se 1 )()( 1 lim )()( 1 lim )()(1 1 . 1 .lim 0 020        Where )()(lim 0 sHssGK s v   Static velocity error coefficient
  • 74.
    STATIC ACCELERATION ERRORCONSTANT (Ka): The steady state error of the system with unit parabolic input is given by where, SYED HASAN SAEED 7 a s ss ss ss KsHsGs e sHsGsssHsGs se s sR 1 )()( 1 lim )()( 1 lim )()(1 1 . 1 .lim 1 )( 20 22030 3         )()(lim 2 0 sHsGsK s a   Static acceleration constant.
  • 75.
    STEADY STATE ERRORFOR DIFFERENT TYPE OF SYSTEMS TYPE ZERO SYSTEM WITH UNIT STEP INPUT: Consider open loop transfer function SYED HASAN SAEED 8 )1( ).........1)(1( .).........1)(1( )()( 21     ba m sTsTs sTsTK sHsG K e KK e KsHsGK s sR ss p ss s p          1 1 1 1 1 1 )()(lim 1 )( 0 Hence , for type zero system the static position error constant Kp is finite.
  • 76.
    TYPE ZERO SYSTEMWITH UNIT RAMP INPUT: TYPE ZERO SYSTEM WITH UNIT PARABOLIC INPUT: For type ‘zero system’ the steady state error is infinite for ramp and parabolic inputs. Hence, the ramp and parabolic inputs are not acceptable. SYED HASAN SAEED 9       v ss ba ss v K e sTsT sTsTK ssHssGK 1 0 )....1)(1( )...1)(1( .lim)()(lim 21 00  sse a ss ba ss a K e sTsT sTsTK ssHsGsK 1 0 )....1)(1( )...1)(1( .lim)()(lim 212 0 2 0        sse
  • 77.
    TYPE ‘ONE’ SYSTEMWITH UNIT STEP INPUT: Put the value of G(s)H(s) from eqn.1 TYPE ‘ONE’ SYSTEM WITH UNIT RAMP INPUT: Put the value of G(s)H(s) from eqn.1 SYED HASAN SAEED 10 )()(lim 0 sHsGK s p   0 1 1     p ss p K e K 0 sse )()(.lim 0 sHsGsK s v   KK e KK v ss v 11   K ess 1 
  • 78.
    SYED HASAN SAEED11 TYPE ‘ONE’ SYSTEM WITH UNIT PARABOLIC INPUT: Put the value of G(s)H(s) from eqn.1 Hence, it is clear that for type ‘one’ system step input and ramp inputs are acceptable and parabolic input is not acceptable. )()(lim 2 0 sHsGsK s a     a ss a K e K 1 0  sse
  • 79.
    Similarly we canfind for type ‘TWO’ system. For type two system all three inputs (step, Ramp, Parabolic) are acceptable. SYED HASAN SAEED 12 INPUT SIGNALS TYPE ‘0’ SYSTEM TYPE ‘1’ SYSTEM TYPE ‘2’ SYSTEM UNIT STEP INPUT 0 0 UNIT RAMP INPUT 0 UNIT PARABOLIC INPUT K1 1    K 1 K 1
  • 80.
    DYNAMIC ERROR COEFFICIENT: Forthe steady-state error, the static error coefficients gives the limited information. The error function is given by For unity feedback system The eqn.(2) can be expressed in polynomial form (ascending power of ‘s’) SYED HASAN SAEED 13 )1( )()(1 1 )( )(    sHsGsR sE )2( )(1 1 )( )(    sGsR sE
  • 81.
    SYED HASAN SAEED14 )3(........ 111 )( )( 2 321  s K s KKsR sE )4().......( 1 )( 1 )( 1 )( 2 321  sRs K ssR K sR K sEOr, Take inverse Laplace of eqn.(4), the error is given by )5(.......)( 1 )( 1 )( 1 )( 321   tr K tr K tr K te Steady state error is given by )(lim 0 ssEe s ss   Let s sR 1 )( 
  • 82.
    SYED HASAN SAEED15 1 2 321 0 1 ....... 1 . 11 .. 11 . 1 .lim K e s s Ks s KsK se ss s ss          Similarly, for other test signal we can find steady state error. .......,, 321 KKK are known as “Dynamic error coefficients”
  • 83.
    EXAMPLE 1: Theopen loop transfer function of unity feedback system is given by Determine the static error coefficients SOLUTION: SYED HASAN SAEED 16 )10)(1.01( 50 )(   ss sG avp KKK ,, 0 )10)(1.01( 50 lim )()( 0 )10)(1.01( 50 .lim )()(.lim 5 )10)(1.01( 50 lim )()(lim 2 0 2 0 0 0 0                  ss s sHsGsK ss s sHsGsK ss sHsGK s a s s v s s p
  • 84.
    EXAMPLE 2: Theblock diagram of electronic pacemaker is shown in fig. determine the steady state error for unit ramp input when K=400. Also, determine the value of K for which the steady state error to a unit ramp will be 0.02. Given that: K=400, SYED HASAN SAEED 17 , 1 )( 2 s sR  1)( sH )20( )()(   ss K sHsG
  • 85.
    SYED HASAN SAEED18 05.0 )20( 1 1 . 1 .lim )()(1 )( .lim 200        ss Ks s sHsG sR se ss ss Now, 02.0sse Given 1000 )20( 20 lim02.0 )20( 1 1 . 1 .lim 0 20          K Kss s ss Ks se s s ss
  • 86.
  • 87.
    BASIC CONTROL ACTIONAND CONTROLLER CHARACTERISTICS Email : hasansaeedcontrol@gmail.com URL: http://shasansaeed.yolasite.com/ 1SYED HASAN SAEED
  • 88.
    SYED HASAN SAEED2 BOOKS 1. AUTOMATIC CONTROL SYSTEM KUO & GOLNARAGHI 2. CONTROL SYSTEM ANAND KUMAR 3. AUTOMATIC CONTROL SYSTEM S.HASAN SAEED
  • 89.
    INTRODUCTION: The automatic controllerdetermines the value of controlled variable, compare the actual value to the desired value, determines the deviations and produces a control signal that will reduce the deviation to zero or to a smallest possible value. The method by which the automatic controller produces the control signal is called control action. The control action may operate through either mechanical, hydraulic, pneumatic or electro- mechanical means. SYED HASAN SAEED 3
  • 90.
    SYED HASAN SAEED4 ELEMENTS OF INDUSTRIAL AUTOMATIC CONTROLLER: The controller consists of :  Error Detector  Amplifier
  • 91.
     The measuringelement, which converts the output variable to another suitable variable such as displacement, pressure or electrical signals, which can be used for comparing the output to the reference input signal.  Deviation is the difference between controlled variable and set point (reference input). e=r-b SYED HASAN SAEED 5
  • 92.
    CLASSIFICATION OF CONTROLLERS: Controllerscan be classified on the basis of type of controlling action used. They are classified as i. Two position or ON-OFF controllers ii. Proportional controllers iii. Integral controllers iv. Proportional-plus-integral controllers v. Proportional-plus-derivative controllers vi. Proportional-plus-integral-plus-derivative controllers SYED HASAN SAEED 6
  • 93.
    Controllers can alsobe classified according to the power source used for actuating mechanism, such as electrical, electronics, pneumatic and hydraulic controllers. TWO POSITION CONTROL: This is also known as ON-OFF or bang-bang control. In this type of control the output of the controller is quickly changed to either a maximum or minimum value depending upon whether the controlled variable (b) is greater or less than the set point. Let m= output of the controller M1=Maximum value of controller’s output SYED HASAN SAEED 7
  • 94.
    M2=Minimum value ofcontroller’s output E= Actuating error signal or deviation The equations for two-position control will be m=M1 when e>0 m=M2 when e<0 The minimum value M2 is usually either zero or –M1 SYED HASAN SAEED 8 BLOCK DIAGRAM OF ON-OFF CONTROLLER
  • 95.
    Block diagram oftwo position controller is shown in previous slide. In such type of controller there is an overlap as the error increases through zero or decreases through zero. This overlap creates a span of error. During this span of error, there is no change in controller output. This span of error is known as dead zone or dead band. Two position control mode are used in room air conditioners, heaters, liquid level control in large volume tank. SYED HASAN SAEED 9
  • 96.
    PROPORTIONAL CONTROL ACTION:In this type of control action there is a continuous linear relation between the output of the controller ‘m’ and actuating signal ‘e’. Mathematically Where, Kp is known as proportional gain or proportional sensitivity. SYED HASAN SAEED 10 )( )( )()( )()( sE sM K sEKsM teKtm p p p    In terms of Laplace Transform
  • 97.
  • 98.
    INTEGRAL CONTROL ACTION: Ina controller with integral control action, the output of the controller is changed at a rate which is proportional to the actuating error signal e(t). Mathematically, Where, Ki is constant Equation (1) can also be written as Where m(0)=control output at t=0 SYED HASAN SAEED 12 )1()()(  teKtm dt d i   )2()0()()( mteKtm i
  • 99.
    Laplace Transform ofeqn. (1) The block diagram and step response is shown in fig. SYED HASAN SAEED 13 )3( )( )( )()(   s K sE sM sEKssM i i
  • 100.
    The inverse ofKi is called integral time Ti and is defined as time of change of output caused by a unit change of actuating error signal. The step response is shown in fig. For positive error, the output of the controller is ramp.  For zero error there is no change in the output of the controller. For negative error the output of the controller is negative ramp. SYED HASAN SAEED 14
  • 101.
    DERIVATIVE CONTROL ACTION: Ina controller with derivative control action the output of the controller depends on the rate of change of actuating error signal e(t). Mathematically, Where is known as derivative gain constant. Laplace Transform of eqn. (1) SYED HASAN SAEED 15 )1()()(  te dt d Ktm d dK )2( )( )( )()(   d d sK sE sM ssEKsM
  • 102.
    Eqn. (2) isthe transfer function of the controller. From eqn.(1) it is clear that when the error is zero or constant, the output of the controller will be zero. Therefore, this type of controller cannot be used alone. SYED HASAN SAEED 16 BLOCK DIAGRAM OF DERIVATIVE CONTROLLER
  • 103.
    PROPORTIONAL-PLUS-INTEGRAL CONTROL ACTION: Thisis the combination of proportional and integral control action. Mathematically, Laplace Transform of both eqns. SYED HASAN SAEED 17 )2()( 1 )()( )1()()()( 0 0     t i pp t ipp dtte T KteKtm dtteKKteKtm )3( 1 1 )( )( )()()(         i p i p p sT K sE sM sE sT K sEKsM
  • 104.
    SYED HASAN SAEED18 Block diagram shown below In eqn (3) both and are adjustable. Is called integral time. The inverse of integral time is called reset rate. Reset rate is defined as the number of times per minute that the proportional part of the response is duplicate. Consider the fig.(2a), the error varies at pK iT iT 1tt  Fig. (1)
  • 105.
    SYED HASAN SAEED19 Fig. (2a) Fig. (2b)
  • 106.
    Consider the diagramthe output of the controller suddenly changes to due to proportional action, after that controller output changes linearly with respect to time at rate For unit step (t1=0), the response shown in fig.(2b). From equation (2) it is clear that the proportional sensitivity affects both the proportional and integral parts of the action. SYED HASAN SAEED 20 i p T K pm pK
  • 107.
    PROPORTIONAL-PLUS- DERIVATIVE CONTROLACTION: When a derivative control action is added in series with proportional control action, then this combination is known as proportional-derivative control action. Block diagram is shown in fig. Mathematically, SYED HASAN SAEED 21 )1()()()(  te dt d TKteKtm ppp
  • 108.
    Laplace Transform ofequation(1) This is the transfer function. is known as derivative time. Derivative time is defined as the time interval by which the rate action advances the effect of the proportional control action. PD control action reduces the rise time, faster response, improves the bandwidth and improves the damping. SYED HASAN SAEED 22 )2()1( )( )( )()()(   dp dpp sTK sE sM ssETKsEKsM dT
  • 109.
    Consider the diagram,if the actuating error signal e(t) is a ramp function at t=t1. the derivative mode causes a step md at t1 and proportional mode causes a rise of mp equal to md at t2. this is for direct action PD control. SYED HASAN SAEED 23
  • 110.
    For unit rampinput, the output of the controller is shown below. SYED HASAN SAEED 24
  • 111.
    PROPORTIONAL-PLUS-INTEGRAL-PLUS-DERIVATIVE CONTROL ACTION: The combinationof proportional, integral and derivative control action is called PID control action and the controller is called three action controller. Block diagram is shown below. SYED HASAN SAEED 25
  • 112.
    SYED HASAN SAEED26 )2( 1 1 )( )( )()()()( )1()()( 1 )()( 0           d i p dp i p p dp t i pp sT sT K sE sM ssETKsE sT K sEKsM te dt d TKdtte T KteKtm Laplace transform Equation (2) is the transfer function.
  • 113.