Numerical Integration
Gaussian integration one point, two point and three point method.
What is Integration?
 The process of measuring the area under a curve.
Where: f(x) is the integrand
a= lower limit of integration
b= upper limit of integration

b
a
dxxfI )(
Gaussian quadrature
 In numerical analysis, a quadrature rule is an approximation of the definite
integral of a function, usually stated as a weighted sum of function values at
specified points within the domain of integration.
 An n-point Gaussian quadrature rule is a quadrature rule constructed to yield an
exact result for polynomials of degree 2n − 1 or less by a suitable choice of the
points xi and weights wi for i = 1, ..., n. The domain of integration for such a rule is
conventionally taken as [−1, 1], so the rule is stated as
 


n
i
ii xfwdxxf
0
1
1
)()(
One-Point Gaussian Quadrature Rule
 Consider a function f(x) over interval [-1,1] with sampling point The point
one formula is
 The formula of one point Gaussian quadrature rule,


1
1
11 )()( xfwdxxf


1
1
)0(2)( fdxxf
11, wx
Two-Point Gaussian Quadrature Rule
 Consider a function f(x) over interval [-1,1] with sampling point and
The two point formula is,
 The formula of one point Gaussian quadrature rule,
)()()( 22
1
1
11 xfwxfwdxxf 














1
1 3
1
3
1
)( ffdxxf
21, xx
21,ww
Three-Point Gaussian Quadrature Rule
 Consider a function f(x) over interval [-1,1] with sampling point and
The two point formula is,
 The formula of Three point Gaussian quadrature rule,
)()()()( 3322
1
1
11 xfwxfwxfwdxxf 

















5
3
9
5
)0(
9
8
5
3
-
9
5
)(
1
1
fffdxxf
321 ,, xxx
321 ,, www
Example 1
 Evaluate by one point , two point & Three point Gaussian
quadrature.
 Here,
 Using one point method
 Using Two point Method
dx
x

1
1
2
1
1
2
1
1
)(
x
xf


 
2
01
12
)0(2



 fdxxf
1
1
)(














1
1 3
1
3
1
)( ffdxxf
22
3
11
1
3
11
1














   3
1
3
1 1
1
1
1




5.14
6 
 Three point method

















5
3
9
5
)0(
9
8
5
3
-
9
5
)(
1
1
fffdxxf
   
5833.1
36
57
36
3225
9
8
8
5
9
2*5
9
8
1
1
1
1
9
5
2
5
3
2
5
3








































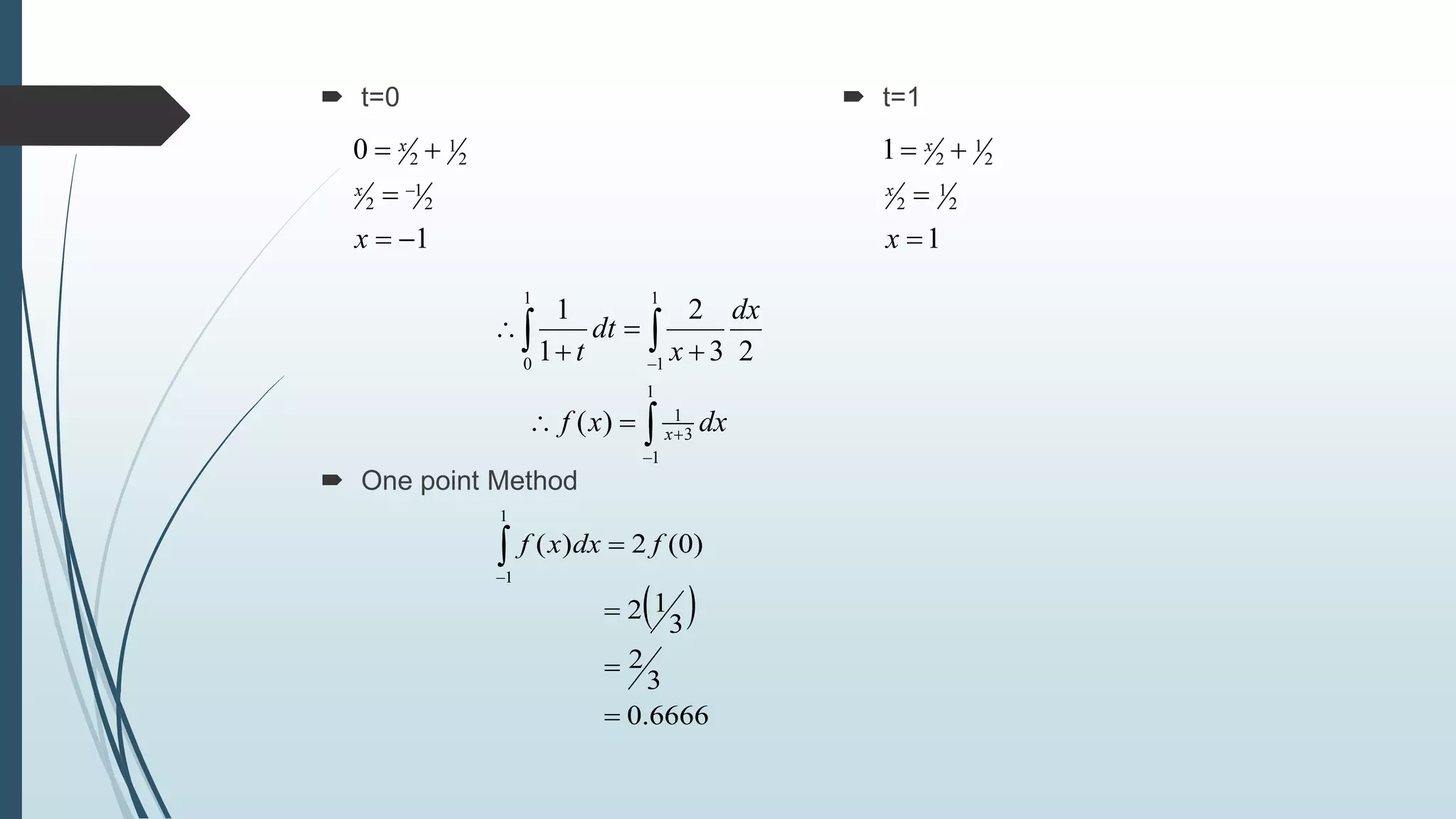
Example 2
 Evaluate by one point ,two point ,three point Gaussian formula.
Let
where a=0,b=1
now
 dt
t 
1
0
1
1





 





 

22
ab
x
ab
t
2
1
2
 xt dxdt 2
1
3
2
)(
1
)(
1
1
)(
1
1
)(
2
3
2
2
1
2








x
xf
xf
xf
t
tf
x
x
 t=0
 One point Method
 t=1
1
0
2
1
2
2
1
2




x
x
x
1
1
2
1
2
2
1
2



x
x
x
 




1
0
1
1
23
2
1
1 dx
x
dt
t


1
1
3
1
)( dxxf x


1
1
)0(2)( fdxxf
 
6666.0
3
2
3
12



 Two point method
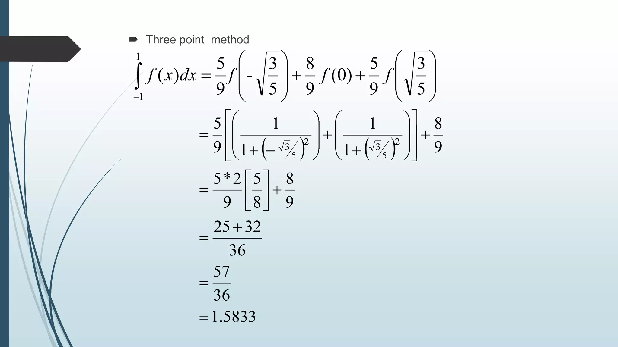
 Three point method














1
1 3
1
3
1
)( ffdxxf
   
6923.0
331
3
331
3
3
1
3
1
3
1
3
1


























 
5
3
9
5
)0(
9
8
5
3
-
9
5
)(
1
1
fffdxxf
67167.0
3
5
3
1
9
5
27
8
3
5
3
1
9
5















Numerical integration;Gaussian integration one point, two point and three point method.

Numerical integration;Gaussian integration one point, two point and three point method.

  • 1.
    Numerical Integration Gaussian integrationone point, two point and three point method.
  • 2.
    What is Integration? The process of measuring the area under a curve. Where: f(x) is the integrand a= lower limit of integration b= upper limit of integration  b a dxxfI )(
  • 3.
    Gaussian quadrature  Innumerical analysis, a quadrature rule is an approximation of the definite integral of a function, usually stated as a weighted sum of function values at specified points within the domain of integration.  An n-point Gaussian quadrature rule is a quadrature rule constructed to yield an exact result for polynomials of degree 2n − 1 or less by a suitable choice of the points xi and weights wi for i = 1, ..., n. The domain of integration for such a rule is conventionally taken as [−1, 1], so the rule is stated as     n i ii xfwdxxf 0 1 1 )()(
  • 4.
    One-Point Gaussian QuadratureRule  Consider a function f(x) over interval [-1,1] with sampling point The point one formula is  The formula of one point Gaussian quadrature rule,   1 1 11 )()( xfwdxxf   1 1 )0(2)( fdxxf 11, wx
  • 5.
    Two-Point Gaussian QuadratureRule  Consider a function f(x) over interval [-1,1] with sampling point and The two point formula is,  The formula of one point Gaussian quadrature rule, )()()( 22 1 1 11 xfwxfwdxxf                1 1 3 1 3 1 )( ffdxxf 21, xx 21,ww
  • 6.
    Three-Point Gaussian QuadratureRule  Consider a function f(x) over interval [-1,1] with sampling point and The two point formula is,  The formula of Three point Gaussian quadrature rule, )()()()( 3322 1 1 11 xfwxfwxfwdxxf                   5 3 9 5 )0( 9 8 5 3 - 9 5 )( 1 1 fffdxxf 321 ,, xxx 321 ,, www
  • 7.
    Example 1  Evaluateby one point , two point & Three point Gaussian quadrature.  Here,  Using one point method  Using Two point Method dx x  1 1 2 1 1 2 1 1 )( x xf     2 01 12 )0(2     fdxxf 1 1 )(               1 1 3 1 3 1 )( ffdxxf 22 3 11 1 3 11 1                  3 1 3 1 1 1 1 1     5.14 6 
  • 8.
     Three pointmethod                  5 3 9 5 )0( 9 8 5 3 - 9 5 )( 1 1 fffdxxf     5833.1 36 57 36 3225 9 8 8 5 9 2*5 9 8 1 1 1 1 9 5 2 5 3 2 5 3                                        
  • 9.
    Example 2  Evaluateby one point ,two point ,three point Gaussian formula. Let where a=0,b=1 now  dt t  1 0 1 1                22 ab x ab t 2 1 2  xt dxdt 2 1 3 2 )( 1 )( 1 1 )( 1 1 )( 2 3 2 2 1 2         x xf xf xf t tf x x
  • 10.
     t=0  Onepoint Method  t=1 1 0 2 1 2 2 1 2     x x x 1 1 2 1 2 2 1 2    x x x       1 0 1 1 23 2 1 1 dx x dt t   1 1 3 1 )( dxxf x   1 1 )0(2)( fdxxf   6666.0 3 2 3 12   
  • 11.
     Two pointmethod  Three point method               1 1 3 1 3 1 )( ffdxxf     6923.0 331 3 331 3 3 1 3 1 3 1 3 1                             5 3 9 5 )0( 9 8 5 3 - 9 5 )( 1 1 fffdxxf 67167.0 3 5 3 1 9 5 27 8 3 5 3 1 9 5               