Government engineering
college.
CALCULUS (2110014)
TOPIC: MULTIPLE INTEGRALS : CHANGE THE ORDER OF INEGRATION
1
Change of Order of Integration
 To evaluating a double integral we integratefirst with respect
to one variable andconsidering the other variable as
constant,and then integrate with respect to theremaining
variable. In the former case, limitsof integration are
determined in the givenregion by drawing stripes parallel to y-
axiswhile in second case by drawing strips parallel to x-axis.
2
Double Integrals over Rectangles
Remark:-
)取樣點(point.sample
acalledisx1,2,...n,i],x,[xxChoose4.
Pofnorm}Thex,,x,xmax{|P|3.
n,1,2,i,x-xxDefine2.
b],[aofpartitionacalledisPThen
bxxxaand}x,,x,{xPLet1.
ii1-ii
n21
1-iii
n10n10







3
 


n
1i
ii
b
a 0P||
SofareaThex)xf(limf(x)dx
b],[aonfofintegraldefiniteThe5.
f(x)}y0b,xa|y){(x,S 
4
[2,3][1,2]2.
4}y21,x0|Ry){(x,[2,4][0,1]1.
Rectangle:Example
d}ycb,xa|Ry){(x,d][c,b][a,R
RrectangleclosedA6.
2
2



5
V(S)-SofvolumethefindTo
y)}f(x,zR,0y)(x,|Rz)y,{(x,Sd],[c,b][a,RLet 3

lssubintervaintoRrectangletheDivide
f(x)dxdefinetoSimilarly
b
a
6


 
 






n
1j
m
1i
ij
*
ij
*
ij
n
1j
m
1i
ij
*
ij
*
ij
ij
*
ij
*
ij
jiijij
j1-ji1-iij
1-jjjj1-j
1-iii
i1-i
A)y,f(xV(S)i.e
A)y,f(xeapproximatcanSofvolumeThe
Reachin)y,(xpointsampleachoose
yxAisRofareaThe
n1,j;m1,i]y,[y]x,[xRDefine
n1,2,j,y-yy],y,[ylsubintervaninto
dividedisd][c,and,x-xxm,1,2,i
]x,[xlsubintervamintodividedisb][a,



7
n1,2j;m1,2i,R
diagonallongesttheoflengththedenote|P|Let
ij  
8


 


m
1i
n
1j
ij
*
ij
*
ij
0P||
R
R
A)y,f(xlimy)dAf(x,
y)dAf(x,isRrectangleover thefofintegraldoubleThe
:Definition
9
 
  
 




R R
R R R
R R
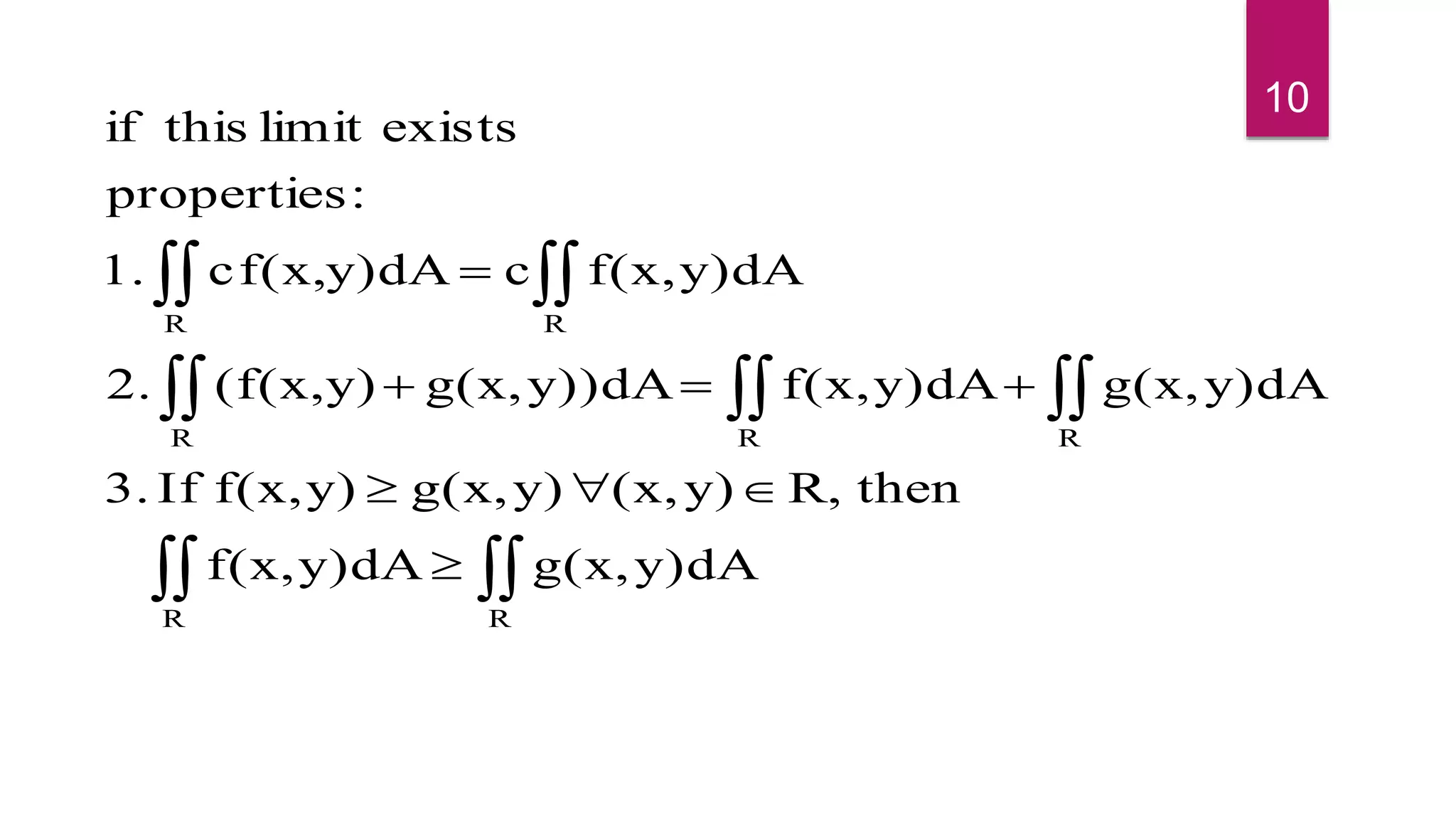
y)dAg(x,y)dAf(x,
thenR,y)(x,y)g(x,y)f(x,If3.
y)dAg(x,y)dAf(x,y))dAg(x,y)(f(x,2.
y)dAf(x,cy)dAcf(x,1.
:properties
existslimitthisif
10
Ronintegrableisfthencurves,smooth
ofnumberfiniteaonexceptRoncontinuousisfIf(ii)
RonintegrableisfthenR,oncontinuousisfIf(i)
Rrectabgleclosedon theboundedbefLet
1Theorem
Roverfofintegraldoublethecalledisy)dAf(x,2.
existA)y,f(xlimifR,onintegrableisf1.
:Definition
R
m
1i
n
1j
ij
*
ij
*
ij
0P||

 


11
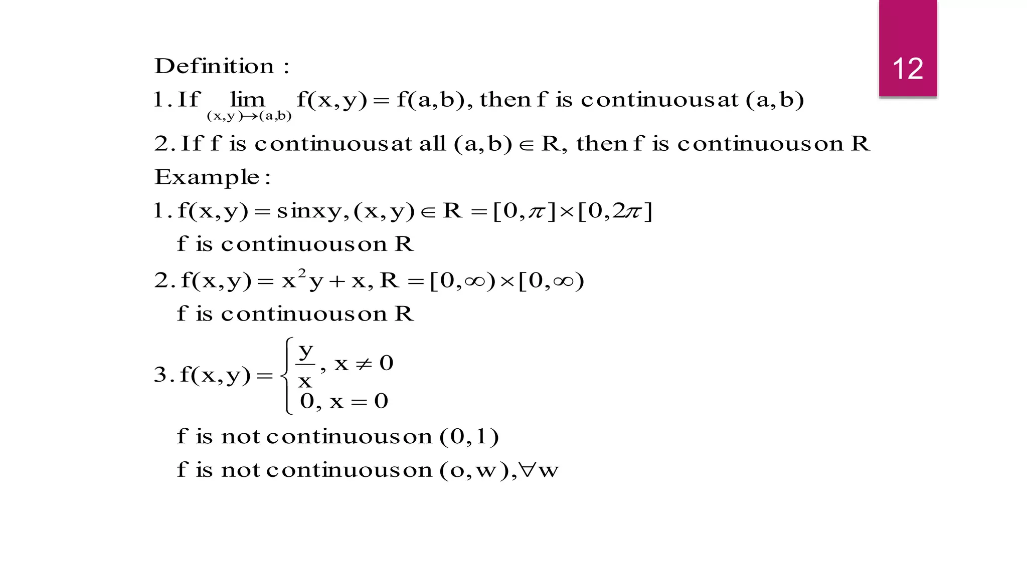
ww),(o,oncontinuousnotisf
(0,1)oncontinuousnotisf
0x0,
0x,
x
y
y)f(x,3.
Roncontinuousisf
)[0,)[0,Rx,yxy)f(x,2.
Roncontinuousisf
][0,2][0,Ry)(x,sinxy,y)f(x,1.
:Example
RoncontinuousisfthenR,b)(a,allatcontinuousisfIf2.
b)(a,atcontinuousisfthenb),f(a,y)f(x,limIf1.
:Definition
2
b)(a,y )(x,














12
-Thank you.
13

Change of order in integration