Vadodara Institute of Engineering
Active Learning Assignment
Sub :- Numerical And Statistical Methods (2140706)
Presented by:-
Maitree Patel 15CE048
Meet Patel 15CE049
Nikita Patel 15CE051
Computer Engineering - 1
Outline:
Gaussian Quadrature Formula
- One Point Gaussian Quadrature Formula
- Two Point Gaussian Quadrature Formula
- Three Point Gaussian Quadrature Formula
Gaussian Quadrature Formula
• An n point Gaussian quadrature formula is a quadrature formula
constructed to given an exact result of polynomials of degree 2n-1 or
less by a suitable of the points xᵢ and weights wᵢ for i = 1, 2, …..,n.
• Gauss quadrature formula can be expressed as
 
 

1
1 1
)()(
n
i
ii xfwdxxf
One Point Gaussian Quadrature Formula
• Consider a function f(x) over the interval [-1, 1] with sampling point x₁
and weight w₁.
• The one-point Gauss quadrature formula is
…………………..eq.(1)
This formula can be exact for polynomials of degree up to 2n-1 = 2(1)-
1=1, i.e., it is exact for f(x)=1 and x.
 11
1
1
)( xfwdxxf 
• Substituting f(x) in Eq.(1) successively,
…………..eq.(2)
…………………eq.(3)
1
1
1
)( wdxxf 
1
1
1
wx 
12 w
11
1
1
xwxdx 
11
1
1
2
2
xw
x


110 xw
This equation is known as one-point Gauss quadrature formula.
This Formula is exact for polynomial up to degree one.
12 w
10 x
 02)(........
1
1
fdxxfhence 
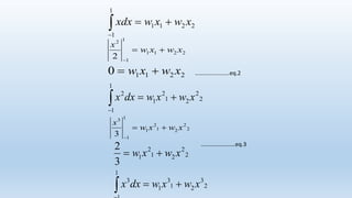
Two Point Gaussian Quadrature Formula
• Consider a function f(x) over the interval [-1, 1] with sampling points
x₁, x₂ and weights w₁, w₂ respectively.
• Two Point Gaussian Quadrature Formula is
• This formula can be exact for polynomials of degree up to 2n-1 =
2(2)-1=3, i.e., it is exact for f(x)=1,x, x²,

1
1
)( dxxf )()( 2211 xfwxfw 
3
x

1
1
1dx 21 ww 
)1.(........................... eq212 ww 
21
1
1
wwx 
……………………eq.2
……………………eq.3
2211
1
1
2
2
xwxw
x


22110 xwxw 
2
2
21
2
1
1
1
2
xwxwdxx 
2
2
21
2
1
3
2
xwxw 
2
2
21
2
1
1
1
3
3
xwxw
x


2
3
21
3
1
1
3
xwxwdxx 
2211
1
1
xwxwxdx 
……………………….eq.3
Solving eq. 1,2,3 and 4,
w₁ = w₂ = 1
This equation is known as Two Point Gaussian Quadrature Formula.
This Formula is exact for polynomial up to degree three.
2
3
21
3
1
1
1
4
4
xwxw
x


2
3
21
3
10 xwxw 
1
3
1
x

2
3
1
x

1
1
)( dxxf )
3
1
()
3
1
( ff 

Three Point Gaussian Quadrature Formula
• Consider a function f(x) over the interval [-1, 1] with sampling points x₁, x₂, x₃
and weights w₁, w₂, w₃ respectively.
• Three Point Gaussian Quadrature Formula is
• This formula can be exact for polynomials of degree up to 2n-1 = 2(2)-1=3, i.e., it
is exact for f(x)=1,x, x², , x⁴ and x⁵.

1
1
)( dxxf )()()( 332211 xfwxfwxfw 
3
x

1
1
1dx 321 www 
321
1
1
wwwx 
3210 www  )1.(................. eq
…………………….eq.2
……………………eq.3
332211
1
1
2
2
xwxwxw
x


3322110 xwxwxw 
3
3
32
2
21
2
1
1
1
2
xwxwxwdxx 
3
2
32
2
21
2
1
3
2
xwxwxw 
3
3
32
2
21
2
1
1
1
3
3
xwxwxw
x


3
3
32
3
21
3
1
1
1
3
xwxwxwdxx 
332211
1
1
xwxwxwxdx 
……………………….eq.4
......……………………eq.5
………………………….eq.6
3
3
32
3
21
3
1
1
1
4
4
xwxwxw
x


3
3
32
3
21
3
10 xwxwxw 
3
4
32
4
21
4
1
1
1
5
5
xwxwxw
x


3
4
32
4
21
4
1
1
1
4
xwxwxwdxx 
3
4
32
4
21
4
1
5
2
xwxwxw 
3
5
32
5
21
5
1
1
1
5
xwxwxwdxx 
3
5
32
5
21
5
10 xwxwxw 
Solving eq. 1,2,3 and 4,5 and 6,
• This equation is known as Two Point Gaussian Quadrature Formula.
• This Formula is exact for polynomial up to degree 5.

1
1
)( dxxf )
5
3
(
9
5
)0(
9
8
)
5
3
(
9
5
fff 
9
5
1 w
9
8
2 w
9
5
3 w
5
3
1 x 02 x
5
3
3 x
Example :
• Evaluate
Solution: f(x)=
By the one-point Gaussian formula


1
1
2
1
1
dx
x
2
1
1
x


1
1
2
1
1
dx
x
 02 f








01
1
2
2
By the two-point Gaussian formula
= 1.5
By the three-point Gaussian formula


1
1
2
1
1
dx
x
)
3
1
()
3
1
( ff 
















3
1
1
1













3
1
1
1


1
1
2
1
1
dx
x
)
5
3
(
9
5
)0(
9
8
)
5
3
(
9
5
fff 
5833.1
5
3
1
1
9
5
01
1
9
8
5
3
1
1
9
5




































References
• http://numericalmethods.eng.usf.edu/topics/gauss_quadrature.html
• Book: Numerical Methods for engineers by Author : S C Chapra and R
P Canale : Publisher : McGrow Hill International Edition
THANK YOU

Gauss Quadrature Formula

  • 1.
    Vadodara Institute ofEngineering Active Learning Assignment Sub :- Numerical And Statistical Methods (2140706) Presented by:- Maitree Patel 15CE048 Meet Patel 15CE049 Nikita Patel 15CE051 Computer Engineering - 1
  • 2.
    Outline: Gaussian Quadrature Formula -One Point Gaussian Quadrature Formula - Two Point Gaussian Quadrature Formula - Three Point Gaussian Quadrature Formula
  • 3.
    Gaussian Quadrature Formula •An n point Gaussian quadrature formula is a quadrature formula constructed to given an exact result of polynomials of degree 2n-1 or less by a suitable of the points xᵢ and weights wᵢ for i = 1, 2, …..,n. • Gauss quadrature formula can be expressed as      1 1 1 )()( n i ii xfwdxxf
  • 4.
    One Point GaussianQuadrature Formula • Consider a function f(x) over the interval [-1, 1] with sampling point x₁ and weight w₁. • The one-point Gauss quadrature formula is …………………..eq.(1) This formula can be exact for polynomials of degree up to 2n-1 = 2(1)- 1=1, i.e., it is exact for f(x)=1 and x.  11 1 1 )( xfwdxxf 
  • 5.
    • Substituting f(x)in Eq.(1) successively, …………..eq.(2) …………………eq.(3) 1 1 1 )( wdxxf  1 1 1 wx  12 w 11 1 1 xwxdx  11 1 1 2 2 xw x   110 xw
  • 6.
    This equation isknown as one-point Gauss quadrature formula. This Formula is exact for polynomial up to degree one. 12 w 10 x  02)(........ 1 1 fdxxfhence 
  • 7.
    Two Point GaussianQuadrature Formula • Consider a function f(x) over the interval [-1, 1] with sampling points x₁, x₂ and weights w₁, w₂ respectively. • Two Point Gaussian Quadrature Formula is • This formula can be exact for polynomials of degree up to 2n-1 = 2(2)-1=3, i.e., it is exact for f(x)=1,x, x²,  1 1 )( dxxf )()( 2211 xfwxfw  3 x  1 1 1dx 21 ww  )1.(........................... eq212 ww  21 1 1 wwx 
  • 8.
    ……………………eq.2 ……………………eq.3 2211 1 1 2 2 xwxw x   22110 xwxw  2 2 21 2 1 1 1 2 xwxwdxx 2 2 21 2 1 3 2 xwxw  2 2 21 2 1 1 1 3 3 xwxw x   2 3 21 3 1 1 3 xwxwdxx  2211 1 1 xwxwxdx 
  • 9.
    ……………………….eq.3 Solving eq. 1,2,3and 4, w₁ = w₂ = 1 This equation is known as Two Point Gaussian Quadrature Formula. This Formula is exact for polynomial up to degree three. 2 3 21 3 1 1 1 4 4 xwxw x   2 3 21 3 10 xwxw  1 3 1 x  2 3 1 x  1 1 )( dxxf ) 3 1 () 3 1 ( ff  
  • 10.
    Three Point GaussianQuadrature Formula • Consider a function f(x) over the interval [-1, 1] with sampling points x₁, x₂, x₃ and weights w₁, w₂, w₃ respectively. • Three Point Gaussian Quadrature Formula is • This formula can be exact for polynomials of degree up to 2n-1 = 2(2)-1=3, i.e., it is exact for f(x)=1,x, x², , x⁴ and x⁵.  1 1 )( dxxf )()()( 332211 xfwxfwxfw  3 x  1 1 1dx 321 www  321 1 1 wwwx  3210 www  )1.(................. eq
  • 11.
    …………………….eq.2 ……………………eq.3 332211 1 1 2 2 xwxwxw x   3322110 xwxwxw  3 3 32 2 21 2 1 1 1 2 xwxwxwdxx 3 2 32 2 21 2 1 3 2 xwxwxw  3 3 32 2 21 2 1 1 1 3 3 xwxwxw x   3 3 32 3 21 3 1 1 1 3 xwxwxwdxx  332211 1 1 xwxwxwxdx 
  • 12.
  • 13.
    Solving eq. 1,2,3and 4,5 and 6, • This equation is known as Two Point Gaussian Quadrature Formula. • This Formula is exact for polynomial up to degree 5.  1 1 )( dxxf ) 5 3 ( 9 5 )0( 9 8 ) 5 3 ( 9 5 fff  9 5 1 w 9 8 2 w 9 5 3 w 5 3 1 x 02 x 5 3 3 x
  • 14.
    Example : • Evaluate Solution:f(x)= By the one-point Gaussian formula   1 1 2 1 1 dx x 2 1 1 x   1 1 2 1 1 dx x  02 f         01 1 2 2
  • 15.
    By the two-pointGaussian formula = 1.5 By the three-point Gaussian formula   1 1 2 1 1 dx x ) 3 1 () 3 1 ( ff                  3 1 1 1              3 1 1 1   1 1 2 1 1 dx x ) 5 3 ( 9 5 )0( 9 8 ) 5 3 ( 9 5 fff  5833.1 5 3 1 1 9 5 01 1 9 8 5 3 1 1 9 5                                    
  • 16.
    References • http://numericalmethods.eng.usf.edu/topics/gauss_quadrature.html • Book:Numerical Methods for engineers by Author : S C Chapra and R P Canale : Publisher : McGrow Hill International Edition
  • 17.