‘FOURIER
SERIES’
&
‘ITS APPLICATION’
Made By :-
VENKATESH DUBEY (120150119125)
SMIT JOSHI (120150119027)
GUIDED BY: -
Prof. K.K.Pokar
* CONTENTS *
 FOURIER SERIES.
 APPLICATION OF FOURIER SERIES :-
 FORCED OSCILLATION.
 APPROXIMATION BY TRIGNOMETRIC
POLYNOMIALS.
JOSEPH FOURIER
(Founder of Fourier series)
PLAY
FOURIER SERIES, which is an infinite series representation of such
functions in terms of ‘sine’ and ‘cosine’ terms, is useful here.
Thus, FOURIER SERIES, are in certain sense, more UNIVERSAL than
TAYLOR’s SERIES as it applies to all continuous, periodic functions
and also to the functions which are discontinuous in their values
and derivatives. FOURIER SERIES a very powerful method to solve
ordinary and partial differential equation, particularly with
periodic functions appearing as non-homogenous terms.
As we know that TAYLOR SERIES representation of functions are
valid only for those functions which are continuous and
differentiable. But there are many discontinuous periodic
function which requires to express in terms of an infinite series
containing ‘sine’ and ‘cosine’ terms.
Fourier series make use of the orthogonality relationships
of the sine and cosine functions.
FOURIER SERIES can be generally written as,
Where,
……… (1.1)
……… (1.2)
……… (1.3)
BASIS FORMULAE OF FOURIER SERIES
The Fourier series of a periodic function ƒ(x) with period 2п is
defined as the trigonometric series with the coefficient a0, an
and bn, known as FOURIER COEFFICIENTS, determined by
formulae (1.1), (1.2) and (1.3).
The individual terms in Fourier Series are known as
HARMONICS.
Every function ƒ(x) of period 2п satisfying following conditions
known as DIRICHLET’S CONDITIONS, can be expressed in
the form of Fourier series.
EXAMPLE:
sin-1x, we can say that the function sin-1x cant be
expressed as Fourier series as it is not a single valued
function.
tanx, also in the interval (0,2п) cannot be
expressed as a Fourier Series because it is infinite at x=
п/2.
CONDITIONS :-
1. ƒ(x) is bounded and single value.
( A function ƒ(x) is called single valued if each point
in the domain, it has unique value in the range.)
2. ƒ(x) has at most, a finite no. of maxima and minima in
the interval.
3. ƒ(x) has at most, a finite no. of discontinuities in the
interval.
Fourier series for EVEN and ODD functions
If function ƒ(x) is an even periodic function with the period
2L (–L ≤ x ≤ L), then ƒ(x)cos(nпx/L) is even while ƒ(x)sin(nпx/L)
is odd.
Thus the Fourier series expansion of an even periodic
function ƒ(x) with period 2L (–L ≤ x ≤ L) is given by,
L
nx
a
a
xf
n
n

cos
2
)(
1
0




dxxf
L
a
L

0
0 )(
2
Where,
,2,1cos)(
2
0
  ndx
L
xn
xf
L
a
L
n

0nb
EVEN FUNCTIONS
If function ƒ(x) is an even periodic function with the period
2L (–L ≤ x ≤ L), then ƒ(x)cos(nпx/L) is even while ƒ(x)sin(nпx/L) is
odd.
Thus the Fourier series expansion of an odd periodic function
ƒ(x) with period 2L (–L ≤ x ≤ L) is given by,
)sin()(
1 L
xn
bxf
n
n





Where,
,2,1sin)(
2
0
  ndx
L
xn
xf
L
b
L
n

ODD FUNCTIONS
Examples..
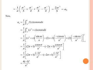
Question.: Find the fourier series of f(x) = x2+x , - ≤ x ≤.
Solution.: The fourier series of ƒ(x) is given by,
Using above,
dxxfa 



)(
1
0
dxxx



)(
1 2


 







23
1 23
xx







2323
1 22 33

 0
3
3
2
a

nxdxxfan cos)(
1




Now,
nxdxxx cos)(
1 2




2
22
22
32
2
)1(4
)1(
)12(
)1(
)12(
1
cos
)12(
cos
)12(
1
sin
)2(
cos
)12(
sin
)(
1
n
nn
n
n
n
n
n
nx
n
nx
x
n
nx
xx
n
nn







 





















 





 


















 
n
n
nn
n
nx
n
nx
x
n
nx
xx
n
n
nn
)1(2
)1(
)1(
)(
)1(
)(1
cos
)2(
sin
)12(
cos
)(
1
22
22
32
2

















































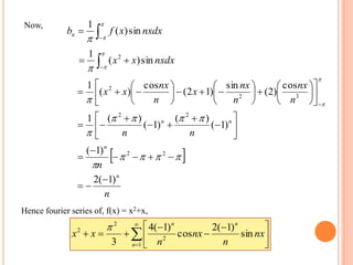
nxdxxx sin)(
1 2




nxdxxfbn sin)(
1




Now,
Hence fourier series of, f(x) = x2+x,








 



1
2
2
2
sin
)1(2
cos
)1(4
3 n
nn
nx
n
nx
n
xx

APPLICATIONS
OF
FOURIER SERIES
1. Forced Oscillation
Consider a mass-spring system as before, where we have a
mass m on a spring with spring
constant k, with damping c, and a force F(t) applied to the
mass.
Suppose the forcing function F(t) is 2L-periodic for some
L > 0.
The equation that governs this
particular setup is
The general solution consists of the
complementary solution xc, which
solves the associated
homogeneous equation mx” + cx’ + kx = 0, and a particular
solution of (1) we call xp.
mx”(t) + cx’(t) + kx(t) = F(t)
For c > 0,
the complementary solution xc will decay as time goes by.
Therefore, we are mostly interested in a
particular solution xp that does not decay and is periodic with
the same period as F(t). We call this
particular solution the steady periodic solution and we write it
as xsp as before. What will be new in
this section is that we consider an arbitrary forcing function
F(t) instead of a simple cosine.
For simplicity, let us suppose that c = 0. The problem with c >
0 is very similar. The equation
mx” + kx = 0
has the general solution,
x(t) = A cos(ωt) + B sin(ωt);
Where,
Any solution to mx”(t) + kx(t) = F(t) is of the form
A cos(ωt) + B sin(ωt) + xsp.
The steady periodic solution xsp has the same period as F(t).
In the spirit of the last section and the idea of undetermined
coecients we first write,
Then we write a proposed steady periodic solution x as,
where an and bn are unknowns. We plug x into the deferential
equation and solve for an and bn in terms of cn and dn.
2. Heat equation
Heat on an insulated wire
Let us first study the heat equation. Suppose that we have a wire
(or a thin metal rod) of length L that is insulated except at the
endpoints. Let “x” denote the position along the wire and let “t”
denote time. See Figure,
Let u(x; t) denote the temperature at point x at time t. The
equation governing this setup is the so-called one-dimensional
heat equation:
where k > 0 is a constant (the thermal conductivity of the
material). That is, the change in heat at a
specific point is proportional to the second derivative of the heat
along the wire. This makes sense; if at a fixed t the graph of the
heat distribution has a maximum (the graph is concave down),
then heat flows away from the maximum. And vice-versa.
Where,
T
x
tA
Q
k



We will generally use a more convenient notation for partial
derivatives. We will write ut instead of δu/δt , and we will write
uxx instead of δ2u/δx2 With this notation the heat equation
becomes,
ut = k.uxx
For the heat equation, we must also have some boundary
conditions. We assume that the ends of the wire are either
exposed and touching some body of constant heat, or the ends
are insulated. For example, if the ends of the wire are kept at
temperature 0, then we must have the conditions.
u(0; t) = 0 and u(X; t) = 0
The Method of Separation of Variables
Let us divide the partial differential equation shown earlier by the
positive number σ, define κ/σ ≡ α and rename α f(x, t) as f (x, t)
again. Then we have,
We begin with the homogeneous case f(x, t) ≡ 0. To implement
the method of separation of variables we write
T(x, t) = z(t) y(x), thus expressing T(x, t) as the product of a
function of t and a function of x. Using ̇z to denote dz/dt and y’,
y” to denote dy/dx, d2y/dx2, respectively, we obtain,
Assuming z(t), y(x) are non-zero, we then have,
Since the left hand side is a constant with respect to x and the
right hand side is a constant with respect to t, both sides
must, in fact, be constant. It turns out that constant should be
taken to be non-positive, so we indicate it as −ω2; thus,
and we then have two ordinary differential equations ,
We first deal with the second equation, writing it as,
The general solution of this equation takes the form ,
y(x) = c cosωx + d sinωx.
Since we want y(x) to be periodic with period L the choices for ω
are,
The choice k= 0 is only useful for the cosine; cos0 = 1. Indexing
the coefficients c, d to correspond to the indicated choices of ω,
we have solutions for the y equation in the forms,
C0 = constant.
Now, for each indicated choice ω=2πk/L the z equation takes
the form,
Which has the general solution,
Absorbing the constant c appearing here into the earlier ck, dk
we have solutions of the homogeneous partial differential
equation in the form, T (x, t) = c0
Since we are working at this point with a linear homogeneous
equation, any linear combination of these solutions will also be
a solution. This means we can represent a whole family of
solutions, involving an infinite number of parameters, in the
form,
It should be noted that this expression is a representation of T
(x, t) in the form of a Fourier series with coefficients depending
on the time, t:
Where,
The coefficients ck(t), dk(t), k= 1,2,3,···in the above representation
of T(x, t) remain undetermined, of course, to precisely the extent
that the constants ck, dk remain undetermined. In order to obtain
definite values for these coefficients it is necessary to use the
initial temperature distribution T0(x). This function has a Fourier
series representation,
Where,
To obtain agreement at t= 0 between our Fourier series
representation of T(x,0) and this Fourier series representation
of T0(x) we require, since
exp(−α4π2k2 / L2 .0)= 1,
c0=a0, ck=ak, dk=bk, k= 1,2,3,···
Thus we have, in fact, the heat equation,
Where, a0, ak, bk, k= 1,2,3,··· are Fourier coefficients of initial
temperature distribution T0 (x).
!!!…THE END…!!!
Fourier series

Fourier series

  • 1.
    ‘FOURIER SERIES’ & ‘ITS APPLICATION’ Made By:- VENKATESH DUBEY (120150119125) SMIT JOSHI (120150119027) GUIDED BY: - Prof. K.K.Pokar
  • 2.
    * CONTENTS * FOURIER SERIES.  APPLICATION OF FOURIER SERIES :-  FORCED OSCILLATION.  APPROXIMATION BY TRIGNOMETRIC POLYNOMIALS.
  • 3.
    JOSEPH FOURIER (Founder ofFourier series) PLAY
  • 4.
    FOURIER SERIES, whichis an infinite series representation of such functions in terms of ‘sine’ and ‘cosine’ terms, is useful here. Thus, FOURIER SERIES, are in certain sense, more UNIVERSAL than TAYLOR’s SERIES as it applies to all continuous, periodic functions and also to the functions which are discontinuous in their values and derivatives. FOURIER SERIES a very powerful method to solve ordinary and partial differential equation, particularly with periodic functions appearing as non-homogenous terms. As we know that TAYLOR SERIES representation of functions are valid only for those functions which are continuous and differentiable. But there are many discontinuous periodic function which requires to express in terms of an infinite series containing ‘sine’ and ‘cosine’ terms.
  • 6.
    Fourier series makeuse of the orthogonality relationships of the sine and cosine functions. FOURIER SERIES can be generally written as, Where, ……… (1.1) ……… (1.2) ……… (1.3)
  • 7.
    BASIS FORMULAE OFFOURIER SERIES The Fourier series of a periodic function ƒ(x) with period 2п is defined as the trigonometric series with the coefficient a0, an and bn, known as FOURIER COEFFICIENTS, determined by formulae (1.1), (1.2) and (1.3). The individual terms in Fourier Series are known as HARMONICS. Every function ƒ(x) of period 2п satisfying following conditions known as DIRICHLET’S CONDITIONS, can be expressed in the form of Fourier series.
  • 8.
    EXAMPLE: sin-1x, we cansay that the function sin-1x cant be expressed as Fourier series as it is not a single valued function. tanx, also in the interval (0,2п) cannot be expressed as a Fourier Series because it is infinite at x= п/2. CONDITIONS :- 1. ƒ(x) is bounded and single value. ( A function ƒ(x) is called single valued if each point in the domain, it has unique value in the range.) 2. ƒ(x) has at most, a finite no. of maxima and minima in the interval. 3. ƒ(x) has at most, a finite no. of discontinuities in the interval.
  • 9.
    Fourier series forEVEN and ODD functions If function ƒ(x) is an even periodic function with the period 2L (–L ≤ x ≤ L), then ƒ(x)cos(nпx/L) is even while ƒ(x)sin(nпx/L) is odd. Thus the Fourier series expansion of an even periodic function ƒ(x) with period 2L (–L ≤ x ≤ L) is given by, L nx a a xf n n  cos 2 )( 1 0     dxxf L a L  0 0 )( 2 Where, ,2,1cos)( 2 0   ndx L xn xf L a L n  0nb EVEN FUNCTIONS
  • 10.
    If function ƒ(x)is an even periodic function with the period 2L (–L ≤ x ≤ L), then ƒ(x)cos(nпx/L) is even while ƒ(x)sin(nпx/L) is odd. Thus the Fourier series expansion of an odd periodic function ƒ(x) with period 2L (–L ≤ x ≤ L) is given by, )sin()( 1 L xn bxf n n      Where, ,2,1sin)( 2 0   ndx L xn xf L b L n  ODD FUNCTIONS
  • 11.
    Examples.. Question.: Find thefourier series of f(x) = x2+x , - ≤ x ≤. Solution.: The fourier series of ƒ(x) is given by, Using above, dxxfa     )( 1 0 dxxx    )( 1 2            23 1 23 xx
  • 12.
           2323 1 22 33  0 3 3 2 a  nxdxxfan cos)( 1     Now, nxdxxx cos)( 1 2     2 22 22 32 2 )1(4 )1( )12( )1( )12( 1 cos )12( cos )12( 1 sin )2( cos )12( sin )( 1 n nn n n n n n nx n nx x n nx xx n nn                                                         
  • 13.
  • 14.
  • 15.
  • 16.
    Consider a mass-springsystem as before, where we have a mass m on a spring with spring constant k, with damping c, and a force F(t) applied to the mass. Suppose the forcing function F(t) is 2L-periodic for some L > 0. The equation that governs this particular setup is The general solution consists of the complementary solution xc, which solves the associated homogeneous equation mx” + cx’ + kx = 0, and a particular solution of (1) we call xp. mx”(t) + cx’(t) + kx(t) = F(t)
  • 17.
    For c >0, the complementary solution xc will decay as time goes by. Therefore, we are mostly interested in a particular solution xp that does not decay and is periodic with the same period as F(t). We call this particular solution the steady periodic solution and we write it as xsp as before. What will be new in this section is that we consider an arbitrary forcing function F(t) instead of a simple cosine. For simplicity, let us suppose that c = 0. The problem with c > 0 is very similar. The equation mx” + kx = 0 has the general solution, x(t) = A cos(ωt) + B sin(ωt); Where,
  • 18.
    Any solution tomx”(t) + kx(t) = F(t) is of the form A cos(ωt) + B sin(ωt) + xsp. The steady periodic solution xsp has the same period as F(t). In the spirit of the last section and the idea of undetermined coecients we first write, Then we write a proposed steady periodic solution x as, where an and bn are unknowns. We plug x into the deferential equation and solve for an and bn in terms of cn and dn.
  • 19.
  • 20.
    Heat on aninsulated wire Let us first study the heat equation. Suppose that we have a wire (or a thin metal rod) of length L that is insulated except at the endpoints. Let “x” denote the position along the wire and let “t” denote time. See Figure,
  • 21.
    Let u(x; t)denote the temperature at point x at time t. The equation governing this setup is the so-called one-dimensional heat equation: where k > 0 is a constant (the thermal conductivity of the material). That is, the change in heat at a specific point is proportional to the second derivative of the heat along the wire. This makes sense; if at a fixed t the graph of the heat distribution has a maximum (the graph is concave down), then heat flows away from the maximum. And vice-versa. Where, T x tA Q k   
  • 22.
    We will generallyuse a more convenient notation for partial derivatives. We will write ut instead of δu/δt , and we will write uxx instead of δ2u/δx2 With this notation the heat equation becomes, ut = k.uxx For the heat equation, we must also have some boundary conditions. We assume that the ends of the wire are either exposed and touching some body of constant heat, or the ends are insulated. For example, if the ends of the wire are kept at temperature 0, then we must have the conditions. u(0; t) = 0 and u(X; t) = 0
  • 23.
    The Method ofSeparation of Variables Let us divide the partial differential equation shown earlier by the positive number σ, define κ/σ ≡ α and rename α f(x, t) as f (x, t) again. Then we have, We begin with the homogeneous case f(x, t) ≡ 0. To implement the method of separation of variables we write T(x, t) = z(t) y(x), thus expressing T(x, t) as the product of a function of t and a function of x. Using ̇z to denote dz/dt and y’, y” to denote dy/dx, d2y/dx2, respectively, we obtain,
  • 24.
    Assuming z(t), y(x)are non-zero, we then have, Since the left hand side is a constant with respect to x and the right hand side is a constant with respect to t, both sides must, in fact, be constant. It turns out that constant should be taken to be non-positive, so we indicate it as −ω2; thus,
  • 25.
    and we thenhave two ordinary differential equations , We first deal with the second equation, writing it as, The general solution of this equation takes the form , y(x) = c cosωx + d sinωx. Since we want y(x) to be periodic with period L the choices for ω are,
  • 26.
    The choice k=0 is only useful for the cosine; cos0 = 1. Indexing the coefficients c, d to correspond to the indicated choices of ω, we have solutions for the y equation in the forms, C0 = constant. Now, for each indicated choice ω=2πk/L the z equation takes the form, Which has the general solution,
  • 27.
    Absorbing the constantc appearing here into the earlier ck, dk we have solutions of the homogeneous partial differential equation in the form, T (x, t) = c0 Since we are working at this point with a linear homogeneous equation, any linear combination of these solutions will also be a solution. This means we can represent a whole family of solutions, involving an infinite number of parameters, in the form,
  • 28.
    It should benoted that this expression is a representation of T (x, t) in the form of a Fourier series with coefficients depending on the time, t: Where, The coefficients ck(t), dk(t), k= 1,2,3,···in the above representation of T(x, t) remain undetermined, of course, to precisely the extent that the constants ck, dk remain undetermined. In order to obtain definite values for these coefficients it is necessary to use the initial temperature distribution T0(x). This function has a Fourier series representation,
  • 29.
    Where, To obtain agreementat t= 0 between our Fourier series representation of T(x,0) and this Fourier series representation of T0(x) we require, since exp(−α4π2k2 / L2 .0)= 1, c0=a0, ck=ak, dk=bk, k= 1,2,3,···
  • 30.
    Thus we have,in fact, the heat equation, Where, a0, ak, bk, k= 1,2,3,··· are Fourier coefficients of initial temperature distribution T0 (x).
  • 31.