NUMERICAL DIFFERENTIATION
The derivative of f (x) at x0 is:

f ′( x 0 ) =

Limit
h→ 0

f ( x0 + h) − f ( x0 )
h

An approximation to this is:

f ( x0 + h) − f ( x0 )
f ′( x 0 ) ≈
h

for small values of h.

Forward Difference
Formula
Let f ( x ) = ln x and x0 = 1.8
Find an approximate value for f ′(1.8)

h

f (1.8)

f (1.8 + h)

0.1 0.5877867 0.6418539

f (1.8 + h) − f (1.8)
h
0.5406720

0.01 0.5877867 0.5933268

0.5540100

0.001 0.5877867 0.5883421

0.5554000

The exact value of

f ′(1.8) = 0.55 5
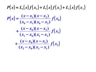
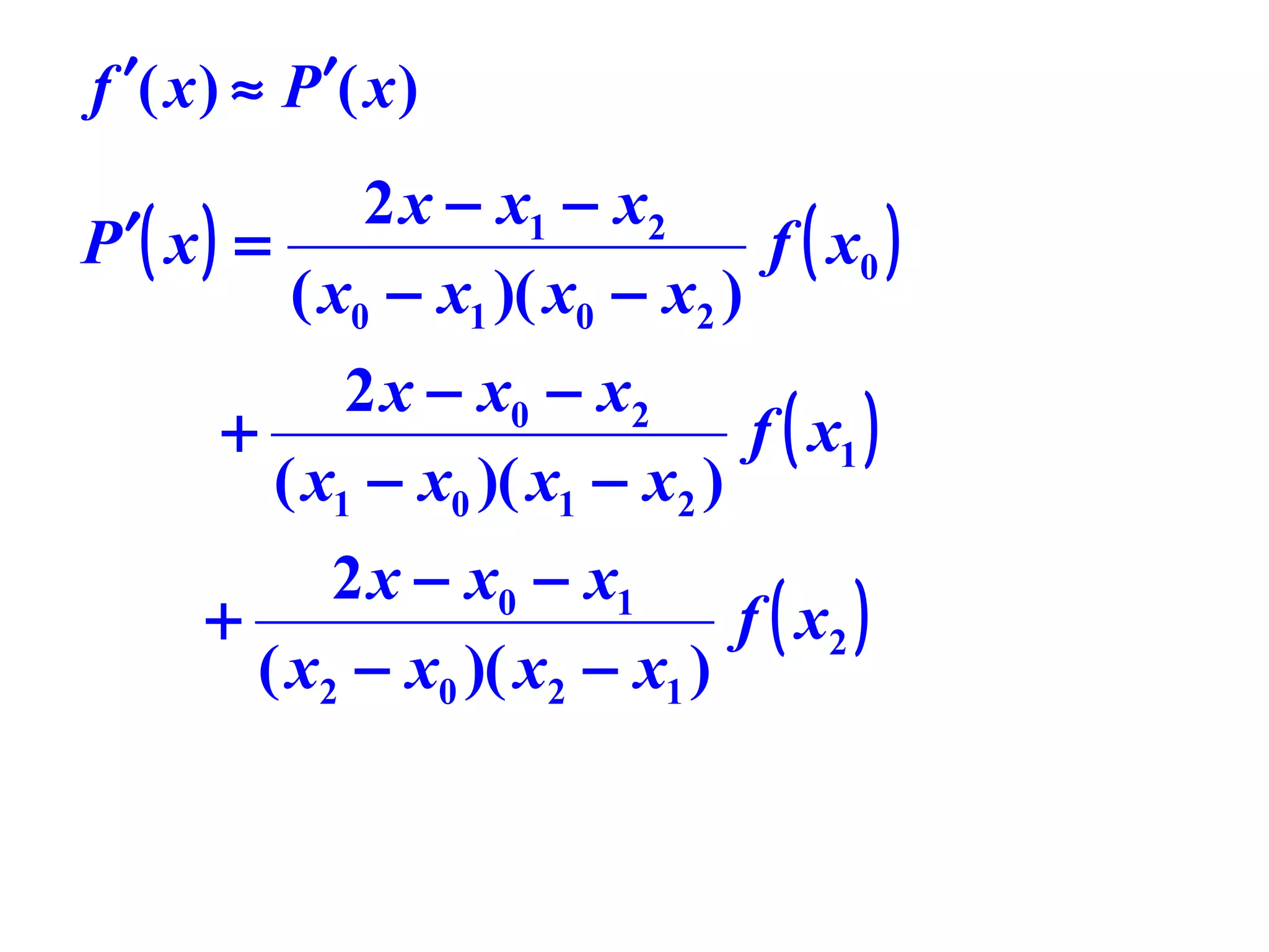
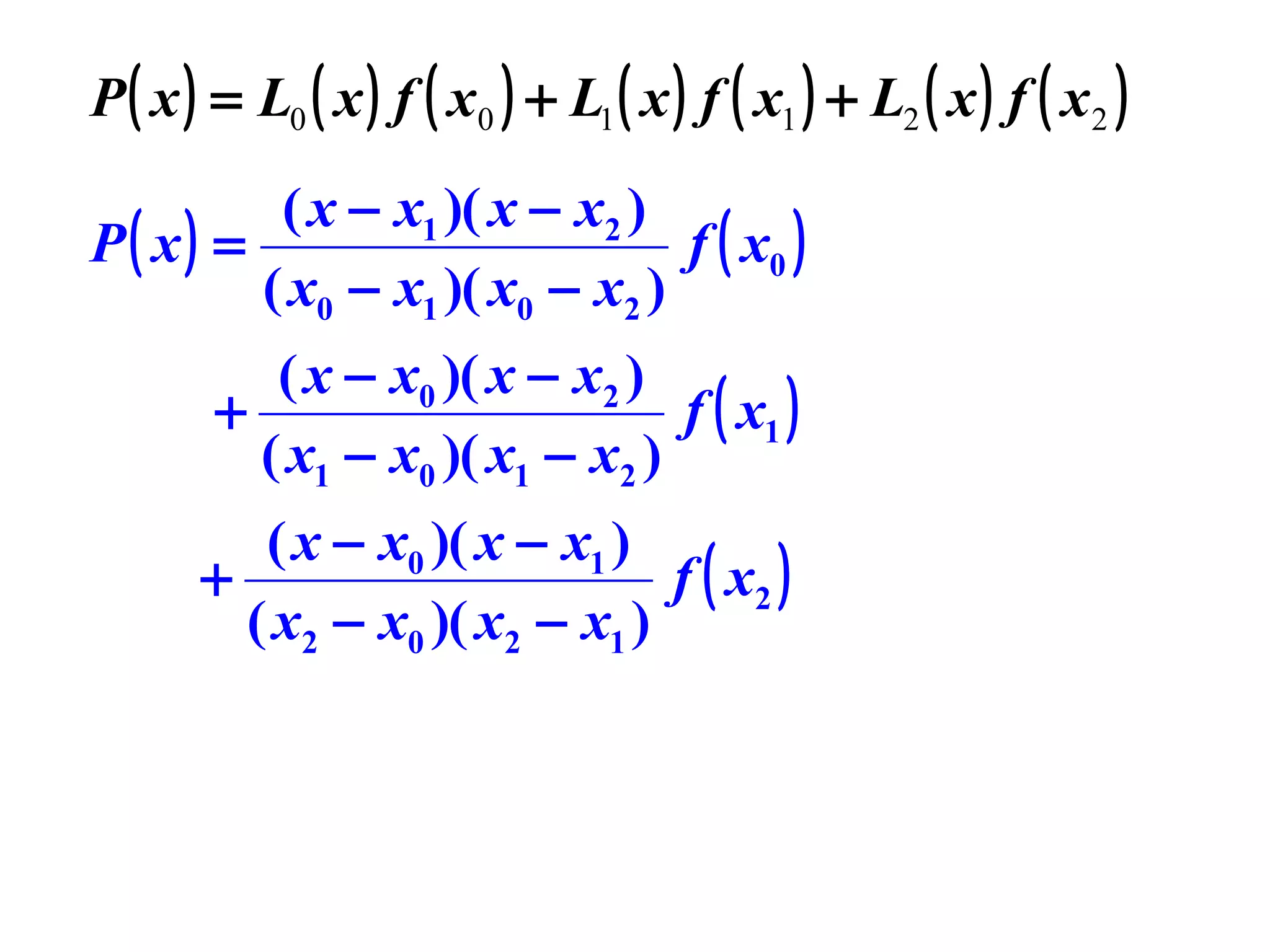
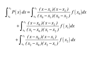
Assume that a function goes through three points:

( x0 , f ( x0 ) ) , ( x1 , f ( x1 ) ) and ( x2 , f ( x2 ) ) .
f ( x) ≈ P( x)
P ( x ) = L0 ( x ) f ( x0 ) + L1 ( x ) f ( x1 ) + L2 ( x ) f ( x2 )
Lagrange Interpolating Polynomial
P ( x ) = L0 ( x ) f ( x0 ) + L1 ( x ) f ( x1 ) + L2 ( x ) f ( x 2 )

( x − x1 )( x − x2 )
P( x) =
f ( x0 )
( x0 − x1 )( x0 − x2 )
( x − x0 )( x − x2 )
+
f ( x1 )
( x1 − x0 )( x1 − x2 )
( x − x0 )( x − x1 )
+
f ( x2 )
( x2 − x0 )( x2 − x1 )
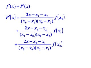
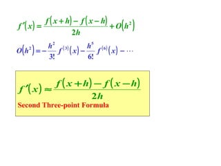
f ′( x ) ≈ P ′( x )

2 x − x1 − x2
P ′( x ) =
f ( x0 )
( x0 − x1 )( x0 − x2 )
2 x − x0 − x2
+
f ( x1 )
( x1 − x0 )( x1 − x2 )
2 x − x0 − x1
+
f ( x2 )
( x2 − x0 )( x2 − x1 )
If the points are equally spaced, i.e.,

x1 = x0 + h and x 2 = x0 + 2h
2 x0 − ( x0 + h) − ( x0 + 2h)
P ′( x0 ) =
f ( x0 )
{ x0 − ( x0 + h)}{ x0 − ( x0 + 2h)}
2 x0 − x0 − ( x0 + 2h)
+
f ( x1 )
{ ( x0 + h) − x0 }{ ( x0 + h) − ( x0 + 2h)}
2 x0 − x0 − ( x0 + h)
+
f ( x2 )
{ ( x0 + 2h) − x0 }{ ( x0 + 2h) − ( x0 + h)}
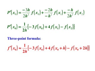
− 3h
− 2h
−h
P ′( x 0 ) =
f ( x0 ) +
f ( x1 ) + 2 f ( x 2 )
2
2
2h
−h
2h
1
{ − 3 f ( x0 ) + 4 f ( x1 ) − f ( x2 ) }
P ′( x0 ) =
2h
Three-point formula:

1
{ − 3 f ( x0 ) + 4 f ( x0 + h) − f ( x0 + 2h) }
f ′( x0 ) ≈
2h
If the points are equally spaced with x0 in the middle:

x1 = x0 − h and x 2 = x0 + h

2 x0 − ( x0 − h) − ( x0 + h)
P ′( x0 ) =
f ( x0 )
{ x0 − ( x0 − h)}{ ( x0 − ( x0 + h)}
2 x0 − x0 − ( x0 + h)
+
f ( x1 )
{ ( x0 − h) − x0 }{ ( x0 − h) − ( x0 + h)}
2 x0 − x0 − ( x0 − h)
+
f ( x2 )
{ ( x0 + h) − x0 }{ ( x0 + h) − ( x0 − h)}
0
−h
h
P ′( x 0 ) =
f ( x0 ) + 2 f ( x1 ) + 2 f ( x 2 )
2
−h
2h
2h
Another Three-point formula:

1
{ f ( x0 + h) − f ( x0 − h) }
f ′( x0 ) ≈
2h
Alternate approach (Error estimate)
Take Taylor series expansion of f(x+h) about x:
2

3

h ( 2)
h ( 3)
f ( x + h) = f ( x ) + hf ′( x ) +
f ( x) +
f ( x) + 
2
3!
h2 ( 2 )
h3 ( 3 )
f ( x + h) − f ( x ) = hf ′( x ) +
f ( x) +
f ( x) + 
2
3!
f ( x + h) − f ( x )
h ( 2)
h2 ( 3 )
= f ′( x ) + f ( x ) +
f ( x) + 
h
2
3!
.............. (1)
f ( x + h) − f ( x )
= f ′( x ) + O ( h)
h
f ( x + h) − f ( x )
f ′( x ) =
− O ( h)
h
f ( x + h) − f ( x )
f ′( x ) ≈
h

Forward Difference
Formula

h ( 2)
h2 ( 3 )
O ( h) = f ( x ) +
f ( x) +
2
3!
4h 2 ( 2 )
8h 3 ( 3 )
f ( x + 2h) = f ( x ) + 2hf ′( x ) +
f ( x) +
f ( x) + 
2
3!
4h 2 ( 2 )
8h 3 ( 3 )
f ( x + 2h) − f ( x ) = 2hf ′( x ) +
f ( x) +
f ( x) + 
2
3!
f ( x + 2h ) − f ( x )
2h ( 2 )
4h 2 ( 3 )
= f ′( x ) +
f ( x) +
f ( x) + 
2h
2
3!
................. (2)
f ( x + h) − f ( x )
h ( 2)
h ( 3)
= f ′( x ) + f ( x ) +
f ( x) + 
h
2
3!
.............. (1)
2

f ( x + 2h ) − f ( x )
2h ( 2 )
4h 2 ( 3 )
= f ′( x ) +
f ( x) +
f ( x) + 
2h
2
3!
................. (2)

2 X Eqn. (1) – Eqn. (2)
f ( x + h) − f ( x ) f ( x + 2h) − f ( x )
2
−
h
2h
2 h2 ( 3 )
6 h3 ( 4 )
= f ′( x ) −
f ( x) −
f ( x) − 
3!
4!
− f ( x + 2 h) + 4 f ( x + h) − 3 f ( x )
2h
2
3
2h ( 3 )
6h ( 4 )
′( x ) −
= f
f ( x) −
f ( x) − 
3!
4!
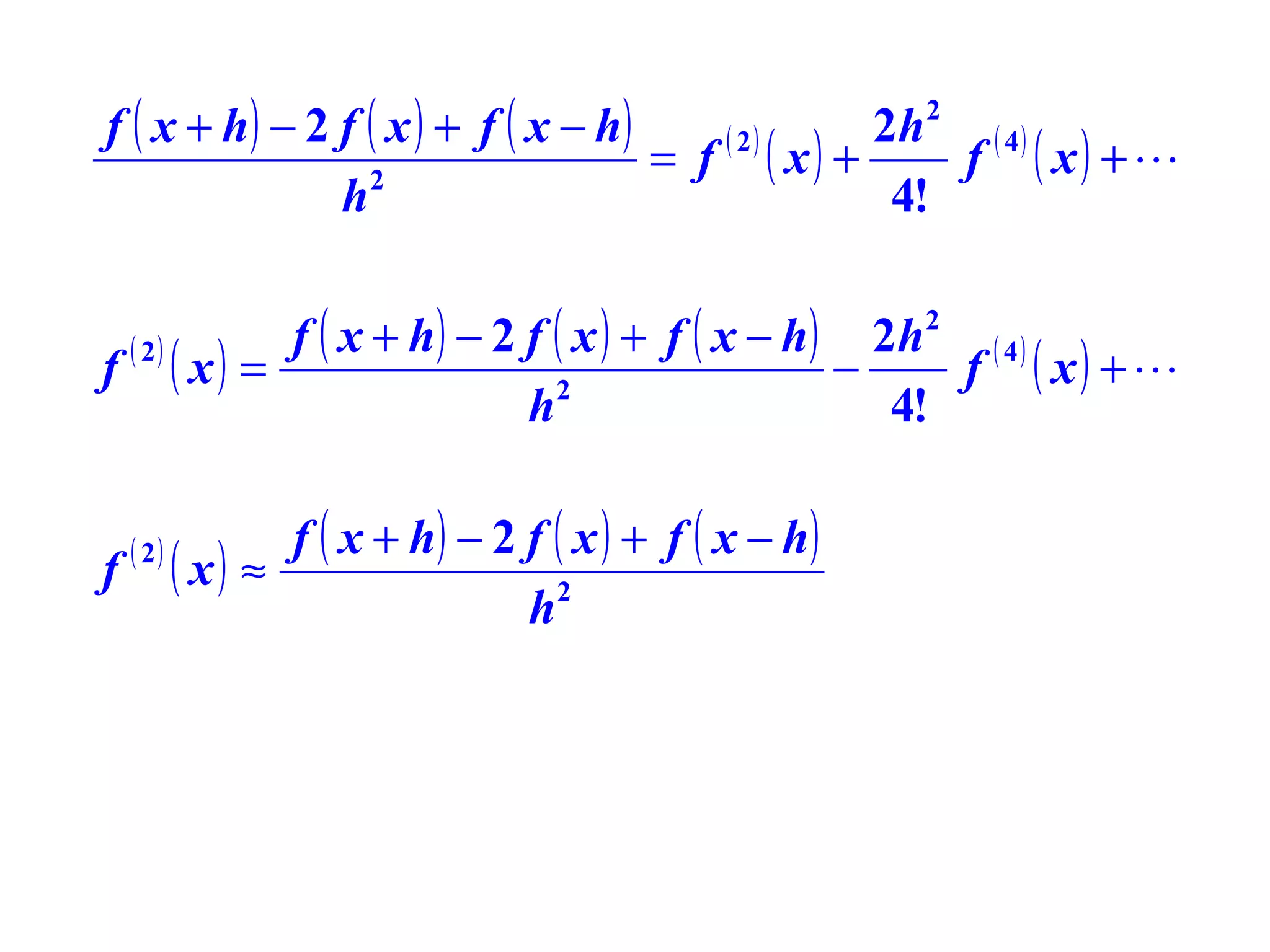
= f ′ ( x ) + O h2

( )
− f ( x + 2h ) + 4 f ( x + h ) − 3 f ( x )
= f ′( x ) + O h2
2h

( )

− f ( x + 2h ) + 4 f ( x + h ) − 3 f ( x )
f ′( x ) =
− O h2
2h

( )

− f ( x + 2h ) + 4 f ( x + h ) − 3 f ( x )
f ′( x ) ≈
2h
Three-point Formula

( )

2 h2 ( 3 )
6 h3 ( 4 )
O h2 = −
f ( x) −
f ( x) − 
3!
4!
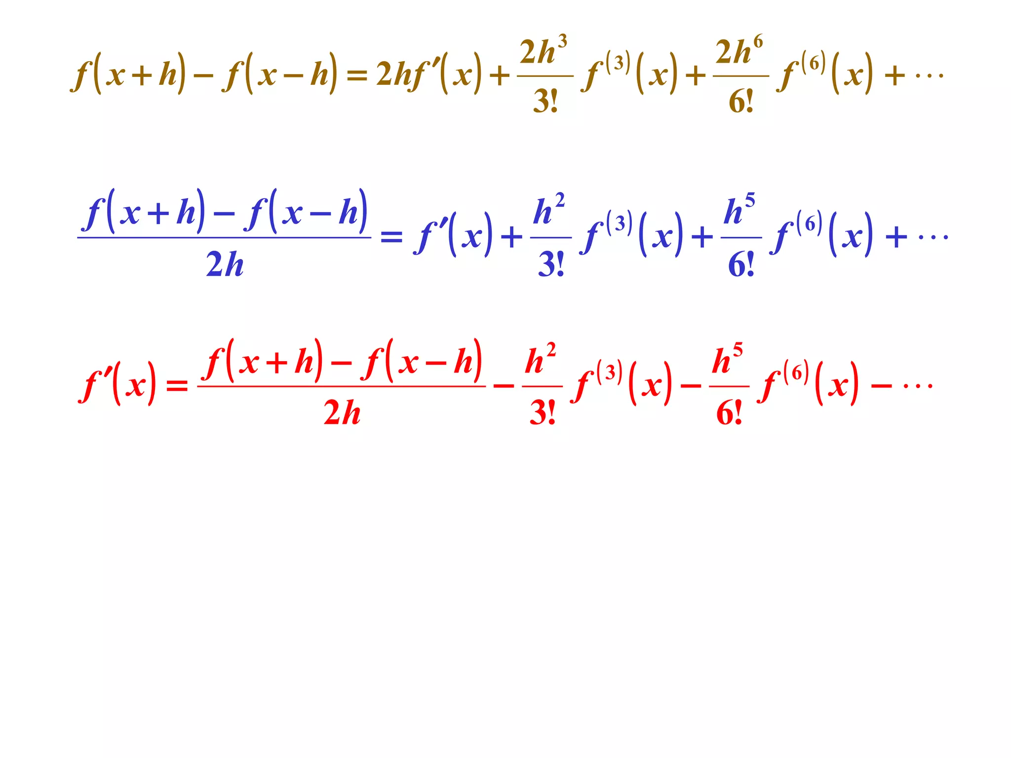
The Second Three-point Formula
Take Taylor series expansion of f(x+h) about x:

h2 ( 2 )
h3 ( 3 )
f ( x + h) = f ( x ) + hf ′( x ) +
f ( x) +
f ( x) +
2
3!
Take Taylor series expansion of f(x-h) about x:
2

3

h ( 2)
h ( 3)
f ( x − h) = f ( x ) − hf ′( x ) +
f ( x) −
f ( x) + 
2
3!
Subtract one expression from another

2h 3 ( 3 )
2h 6 ( 6 )
f ( x + h) − f ( x − h) = 2hf ′( x ) +
f ( x) +
f ( x) + 
3!
6!
2h 3 ( 3 )
2h 6 ( 6 )
f ( x + h) − f ( x − h) = 2hf ′( x ) +
f ( x) +
f ( x) + 
3!
6!

f ( x + h) − f ( x − h)
h2 ( 3)
h5 ( 6 )
= f ′( x ) +
f ( x) +
f ( x) + 
2h
3!
6!
f ( x + h) − f ( x − h) h 2 ( 3 )
h5 ( 6 )
f ′( x ) =
−
f ( x) −
f ( x) − 
2h
3!
6!
f ′( x ) =

f ( x + h ) − f ( x − h)
+ O h2
2h

( )

( )

h2 ( 3)
h5 ( 6 )
O h2 = −
f ( x) −
f ( x) − 
3!
6!

f ( x + h) − f ( x − h )
f ′( x ) ≈
2h

Second Three-point Formula
Summary of Errors

f ( x + h) − f ( x )
f ′( x ) ≈
h
Error term

Forward Difference
Formula

h ( 2)
h2 ( 3 )
O ( h) = f ( x ) +
f ( x) +
2
3!
Summary of Errors continued
First Three-point Formula

− f ( x + 2h ) + 4 f ( x + h ) − 3 f ( x )
f ′( x ) ≈
2h

( )

2 h2 ( 3 )
6 h3 ( 4 )
Error term O h2 = −
f ( x) −
f ( x) − 
3!
4!
Summary of Errors continued
Second Three-point Formula

f ( x + h) − f ( x − h )
f ′( x ) ≈
2h

( )

h2 ( 3)
h5 ( 6 )
O h2 = −
f ( x) −
f ( x) − 
Error term
3!
6!
Example:

f ( x ) = xe

x

Find the approximate value of

x

f ( x)

1.9

12.703199

2.0

14.778112

2.1
2.2

17.148957
19.855030

f ′( 2 )

with

h = 0.1
Using the Forward Difference formula:

1
f ′ ( x0 ) ≈ { f ( x0 + h ) − f ( x0 ) }
h

1
f ′ ( 2) ≈
{ f ( 2.1) − f ( 2 ) }
0.1
1
=
{ 17.148957 − 14.778112}
0.1
= 23.708450
Using the 1st Three-point formula:

1
{ − 3 f ( x0 ) + 4 f ( x0 + h) − f ( x0 + 2h) }
f ′( x0 ) ≈
2h

1
[ − 3 f ( 2) + 4 f ( 2.1) − f ( 2.2)]
f ′( 2 ) ≈
2 × 0.1
1
[ − 3 × 14.778112 + 4 × 17.148957
=
0.2
− 19.855030 ]
= 22.032310
Using the 2nd Three-point formula:

1
{ f ( x0 + h) − f ( x0 − h) }
f ′( x0 ) ≈
2h

1
[ f ( 2.1) − f (1.9)]
f ′( 2 ) ≈
2 × 0.1
1
[ 17.148957 − 12.703199
=
0.2
= 22.228790
The exact value of

f ′( 2 ) is : 22.167168

]
Comparison of the results with h = 0.1
The exact value of f ′ ( 2 ) is 22.167168
Formula

f ′ ( 2)

Error

Forward Difference

23.708450

1.541282

1st Three-point

22.032310

0.134858

2nd Three-point

22.228790

0.061622
Second-order Derivative

h2 ( 2 )
h3 ( 3 )
f ( x + h) = f ( x ) + hf ′( x ) +
f ( x) +
f ( x) + 
2
3!
2

3

h ( 2)
h ( 3)
f ( x − h) = f ( x ) − hf ′( x ) +
f ( x) −
f ( x) + 
2
3!
Add these two equations.

2h 2 ( 2 )
2h4 ( 4 )
f ( x + h) + f ( x − h) = 2 f ( x ) +
f ( x) +
f ( x) + 
2
4!
2h2 ( 2 )
2 h4 ( 4 )
f ( x + h) − 2 f ( x ) + f ( x − h) =
f ( x) +
f ( x) +
2
4!
f ( x + h) − 2 f ( x ) + f ( x − h)
2h ( 4 )
( 2)
= f ( x) +
f ( x) + 
2
h
4!
2

f ( x + h ) − 2 f ( x ) + f ( x − h ) 2h 2 ( 4 )
f ( 2) ( x ) =
−
f ( x) + 
2
h
4!
f

( 2)

f ( x + h) − 2 f ( x ) + f ( x − h)
( x) ≈
h2
NUMERICAL INTEGRATION
b

∫ f ( x )dx =
a

area under the curve f(x) between

x = a to x = b.

In many cases a mathematical expression for f(x) is
unknown and in some cases even if f(x) is known its
complex form makes it difficult to perform the integration.
y
f(b)

f(x)

f(a)

x 0 =a

x 0 =b

x
y

f(b)
f(x)
f(a)

x 0 =a

x 0 =b

x
Area of the trapezoid
The length of the two parallel sides of the trapezoid
are: f(a) and f(b)
The height is b-a
b

∫
a

b−a
[ f ( a ) + f ( b )]
f ( x )dx ≈
2
h
= [ f ( a ) + f ( b )]
2
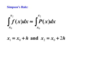
Simpson’s Rule:

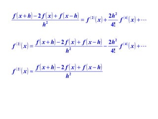
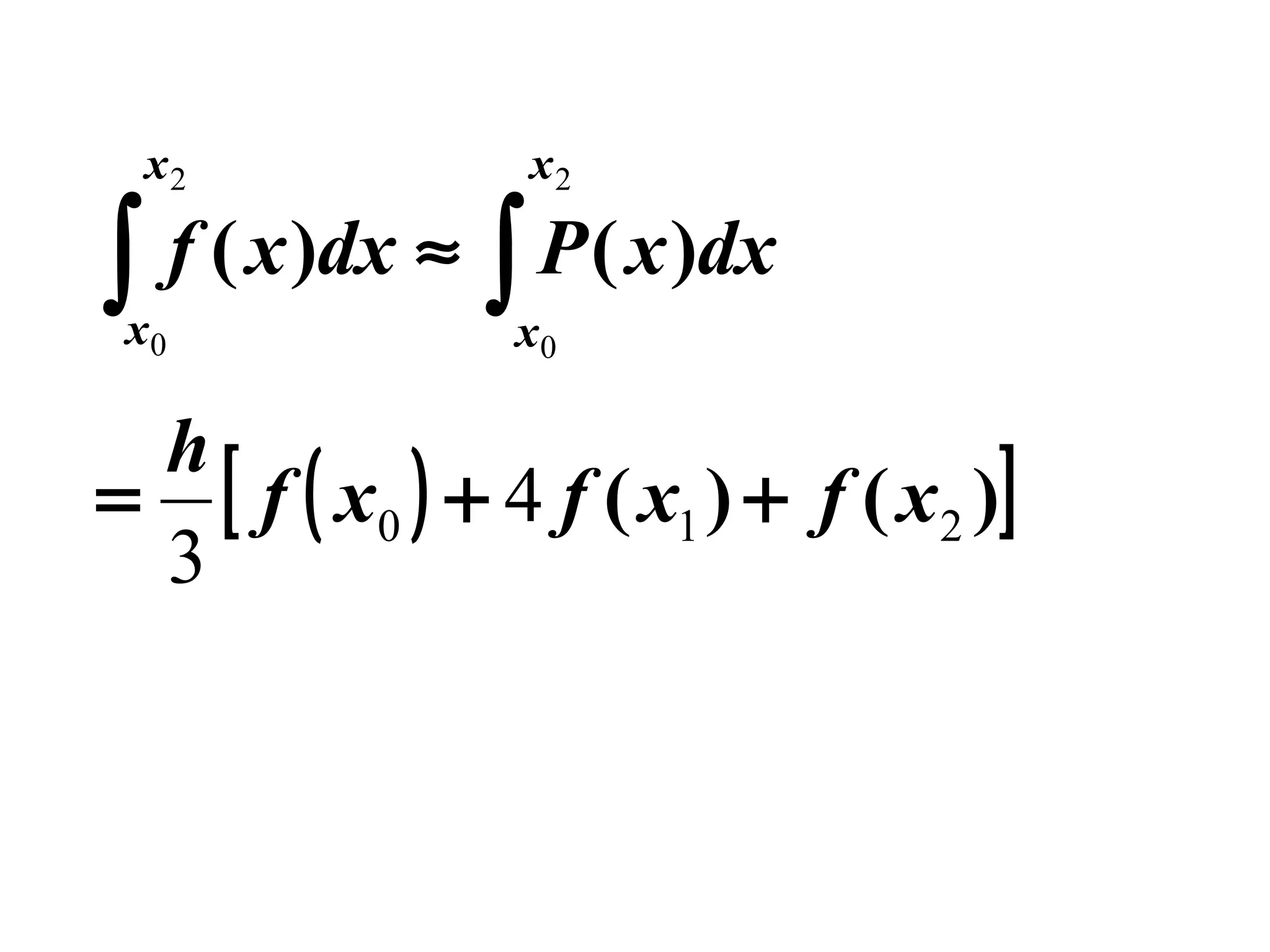
∫

x2

x0

x2

f ( x )dx ≈ ∫ P ( x )dx
x0

x1 = x0 + h and x 2 = x0 + 2h
∫

x2
x0

P ( x ) dx =

∫
+
∫
+

x2
x0

x2

x0

∫

x2
x0

( x − x1 )( x − x2 )
f ( x0 ) dx
( x0 − x1 )( x0 − x2 )

( x − x0 )( x − x2 )
f ( x1 ) dx
( x1 − x0 )( x1 − x2 )

( x − x0 )( x − x1 )
f ( x2 ) dx
( x2 − x0 )( x2 − x1 )
∫

x2

x0

x2

f ( x )dx ≈ ∫ P ( x )dx
x0

h
= [ f ( x0 ) + 4 f ( x1 ) + f ( x 2 )]
3
y

f(b)
f(x)
f(a)

x 0 =a

x 0 =b

x
y

f(b)
f(x)
f(a)

x 0 =a

x 0 =b

x
y

f(b)
f(x)
f(a)

x 0 =a

x 0 =b

x
y

f(b)
f(x)
f(a)

x 0 =a

x 0 =b

x
Composite Numerical Integration
Riemann Sum
The area under the curve is subdivided into n
subintervals. Each subinterval is treated as a
rectangle. The area of all subintervals are added
to determine the area under the curve.
There are several variations of Riemann sum as
applied to composite integration.
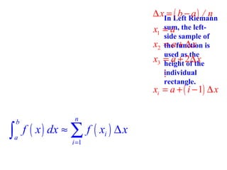
∆ xIn Left Riemann
= ( b − a) / n
sum,
x1 = a the left-

x2
x3

side sample of
= afunction is
the + ∆ x
used as the
= a + 2∆the
x
height of
individual
M
rectangle.

xi = a + ( i − 1) ∆ x

∫

b
a

n

f ( x ) dx ≈ ∑ f ( xi ) ∆ x
i =1
∆x = ( b − a) / n

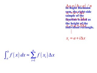
In Right Riemann
sum, the right-side
x1 = a + ∆ x
sample of the
x2 = a is used
function+ 2∆ x as
the height of the
x3 = a + 3∆ x
individual rectangle.

M
xi = a + i∆ x
n

∫ f ( x ) dx ≈ ∑ f ( x ) ∆ x
b

a

i =1

i
In the ) / n
∆ x = ( b − aMidpoint
Rule, the sample at
x1 = the (middle1of ∆ x / 2 )
a + 2 ×1 − ) ( the
x2 =subinterval1is( used 2 )
a + ( 2× 2 − ) ∆x /
as the height of the
x3 = individual 1) ( ∆ x / 2 )
a + ( 2×3−
M rectangle.

xi = a + ( 2 × i − 1) ( ∆ x / 2 )
n

∫ f ( x ) dx ≈ ∑ f ( x ) ∆ x
b

a

i =1

i
Composite Trapezoidal Rule:
Divide the interval into n subintervals and apply
Trapezoidal Rule in each subinterval.
b

∫
a


h
f ( x )dx ≈  f ( a ) + 2∑ f ( x k ) + f (b )
2
k =1

n −1

where

b−a
h=
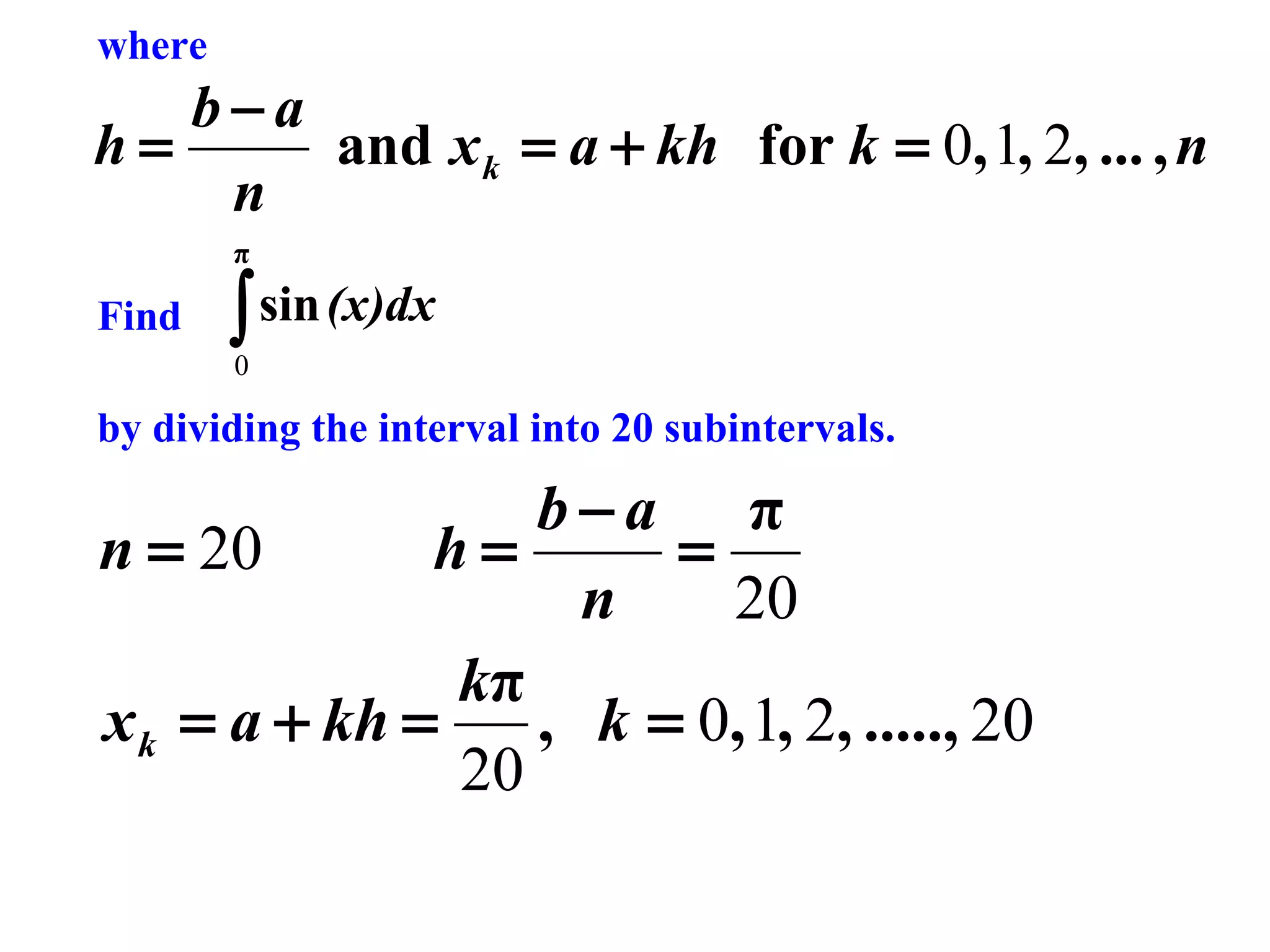
and x k = a + kh for k = 0, 1, 2, ... , n
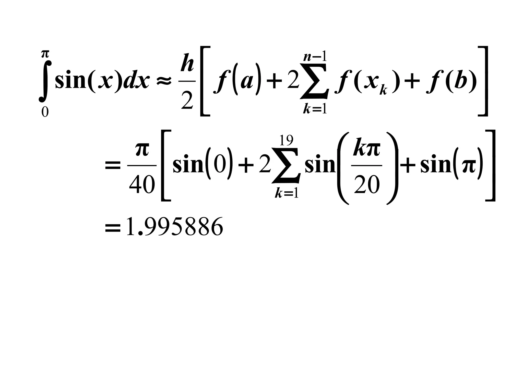
n
π

Find

∫ sin (x)dx
0

by dividing the interval into 20 subintervals.

n = 20
b−a π
h=
=
n
20
kπ
x k = a + kh =
, k = 0, 1, 2, ....., 20
20
π


h
∫ sin( x )dx ≈ 2  f ( a ) + 2∑ f ( xk ) + f (b)
k =1


0
n −1

19

π 
 kπ 
=
sin( 0 ) + 2∑ sin 20  + sin( π ) 
40 
 
k =1


= 1.995886
Composite Simpson’s Rule:
Divide the interval into n subintervals and apply
Simpson’s Rule on each consecutive pair of subinterval.
Note that n must be even.

b

∫
a

h
f ( x )dx ≈  f ( a ) + 2
3
n/ 2

+ 4∑
k =1

( n / 2 ) −1

∑ f (x
k =1

2k

)


f ( x 2 k −1 ) + f (b )

where

b−a
h=
and x k = a + kh for k = 0, 1, 2, ... , n
n
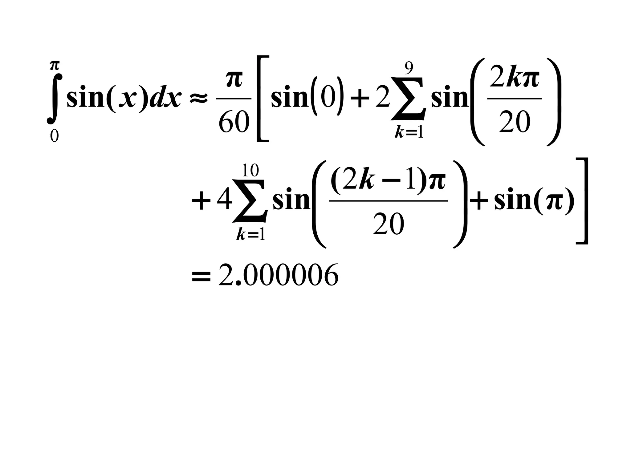
π

Find

∫ sin (x)dx
0

by dividing the interval into 20 subintervals.

b−a π
n = 20
h=
=
n
20
kπ
x k = a + kh =
, k = 0, 1, 2, ....., 20
20
π

9
π 
 2kπ 
∫ sin( x )dx ≈ 60 sin( 0) + 2∑ sin 20 


k =1

0


 ( 2k − 1)π 
+ 4∑ sin
 + sin( π)
20 

k =1

= 2.000006
10

Numerical differentiation integration

  • 2.
    NUMERICAL DIFFERENTIATION The derivativeof f (x) at x0 is: f ′( x 0 ) = Limit h→ 0 f ( x0 + h) − f ( x0 ) h An approximation to this is: f ( x0 + h) − f ( x0 ) f ′( x 0 ) ≈ h for small values of h. Forward Difference Formula
  • 3.
    Let f (x ) = ln x and x0 = 1.8 Find an approximate value for f ′(1.8) h f (1.8) f (1.8 + h) 0.1 0.5877867 0.6418539 f (1.8 + h) − f (1.8) h 0.5406720 0.01 0.5877867 0.5933268 0.5540100 0.001 0.5877867 0.5883421 0.5554000 The exact value of f ′(1.8) = 0.55 5
  • 4.
    Assume that afunction goes through three points: ( x0 , f ( x0 ) ) , ( x1 , f ( x1 ) ) and ( x2 , f ( x2 ) ) . f ( x) ≈ P( x) P ( x ) = L0 ( x ) f ( x0 ) + L1 ( x ) f ( x1 ) + L2 ( x ) f ( x2 ) Lagrange Interpolating Polynomial
  • 5.
    P ( x) = L0 ( x ) f ( x0 ) + L1 ( x ) f ( x1 ) + L2 ( x ) f ( x 2 ) ( x − x1 )( x − x2 ) P( x) = f ( x0 ) ( x0 − x1 )( x0 − x2 ) ( x − x0 )( x − x2 ) + f ( x1 ) ( x1 − x0 )( x1 − x2 ) ( x − x0 )( x − x1 ) + f ( x2 ) ( x2 − x0 )( x2 − x1 )
  • 6.
    f ′( x) ≈ P ′( x ) 2 x − x1 − x2 P ′( x ) = f ( x0 ) ( x0 − x1 )( x0 − x2 ) 2 x − x0 − x2 + f ( x1 ) ( x1 − x0 )( x1 − x2 ) 2 x − x0 − x1 + f ( x2 ) ( x2 − x0 )( x2 − x1 )
  • 7.
    If the pointsare equally spaced, i.e., x1 = x0 + h and x 2 = x0 + 2h 2 x0 − ( x0 + h) − ( x0 + 2h) P ′( x0 ) = f ( x0 ) { x0 − ( x0 + h)}{ x0 − ( x0 + 2h)} 2 x0 − x0 − ( x0 + 2h) + f ( x1 ) { ( x0 + h) − x0 }{ ( x0 + h) − ( x0 + 2h)} 2 x0 − x0 − ( x0 + h) + f ( x2 ) { ( x0 + 2h) − x0 }{ ( x0 + 2h) − ( x0 + h)}
  • 8.
    − 3h − 2h −h P′( x 0 ) = f ( x0 ) + f ( x1 ) + 2 f ( x 2 ) 2 2 2h −h 2h 1 { − 3 f ( x0 ) + 4 f ( x1 ) − f ( x2 ) } P ′( x0 ) = 2h Three-point formula: 1 { − 3 f ( x0 ) + 4 f ( x0 + h) − f ( x0 + 2h) } f ′( x0 ) ≈ 2h
  • 9.
    If the pointsare equally spaced with x0 in the middle: x1 = x0 − h and x 2 = x0 + h 2 x0 − ( x0 − h) − ( x0 + h) P ′( x0 ) = f ( x0 ) { x0 − ( x0 − h)}{ ( x0 − ( x0 + h)} 2 x0 − x0 − ( x0 + h) + f ( x1 ) { ( x0 − h) − x0 }{ ( x0 − h) − ( x0 + h)} 2 x0 − x0 − ( x0 − h) + f ( x2 ) { ( x0 + h) − x0 }{ ( x0 + h) − ( x0 − h)}
  • 10.
    0 −h h P ′( x0 ) = f ( x0 ) + 2 f ( x1 ) + 2 f ( x 2 ) 2 −h 2h 2h Another Three-point formula: 1 { f ( x0 + h) − f ( x0 − h) } f ′( x0 ) ≈ 2h
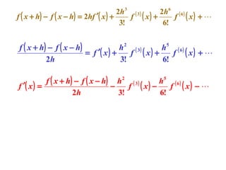
  • 11.
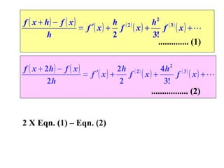
    Alternate approach (Errorestimate) Take Taylor series expansion of f(x+h) about x: 2 3 h ( 2) h ( 3) f ( x + h) = f ( x ) + hf ′( x ) + f ( x) + f ( x) +  2 3! h2 ( 2 ) h3 ( 3 ) f ( x + h) − f ( x ) = hf ′( x ) + f ( x) + f ( x) +  2 3! f ( x + h) − f ( x ) h ( 2) h2 ( 3 ) = f ′( x ) + f ( x ) + f ( x) +  h 2 3! .............. (1)
  • 12.
    f ( x+ h) − f ( x ) = f ′( x ) + O ( h) h f ( x + h) − f ( x ) f ′( x ) = − O ( h) h f ( x + h) − f ( x ) f ′( x ) ≈ h Forward Difference Formula h ( 2) h2 ( 3 ) O ( h) = f ( x ) + f ( x) + 2 3!
  • 13.
    4h 2 (2 ) 8h 3 ( 3 ) f ( x + 2h) = f ( x ) + 2hf ′( x ) + f ( x) + f ( x) +  2 3! 4h 2 ( 2 ) 8h 3 ( 3 ) f ( x + 2h) − f ( x ) = 2hf ′( x ) + f ( x) + f ( x) +  2 3! f ( x + 2h ) − f ( x ) 2h ( 2 ) 4h 2 ( 3 ) = f ′( x ) + f ( x) + f ( x) +  2h 2 3! ................. (2)
  • 14.
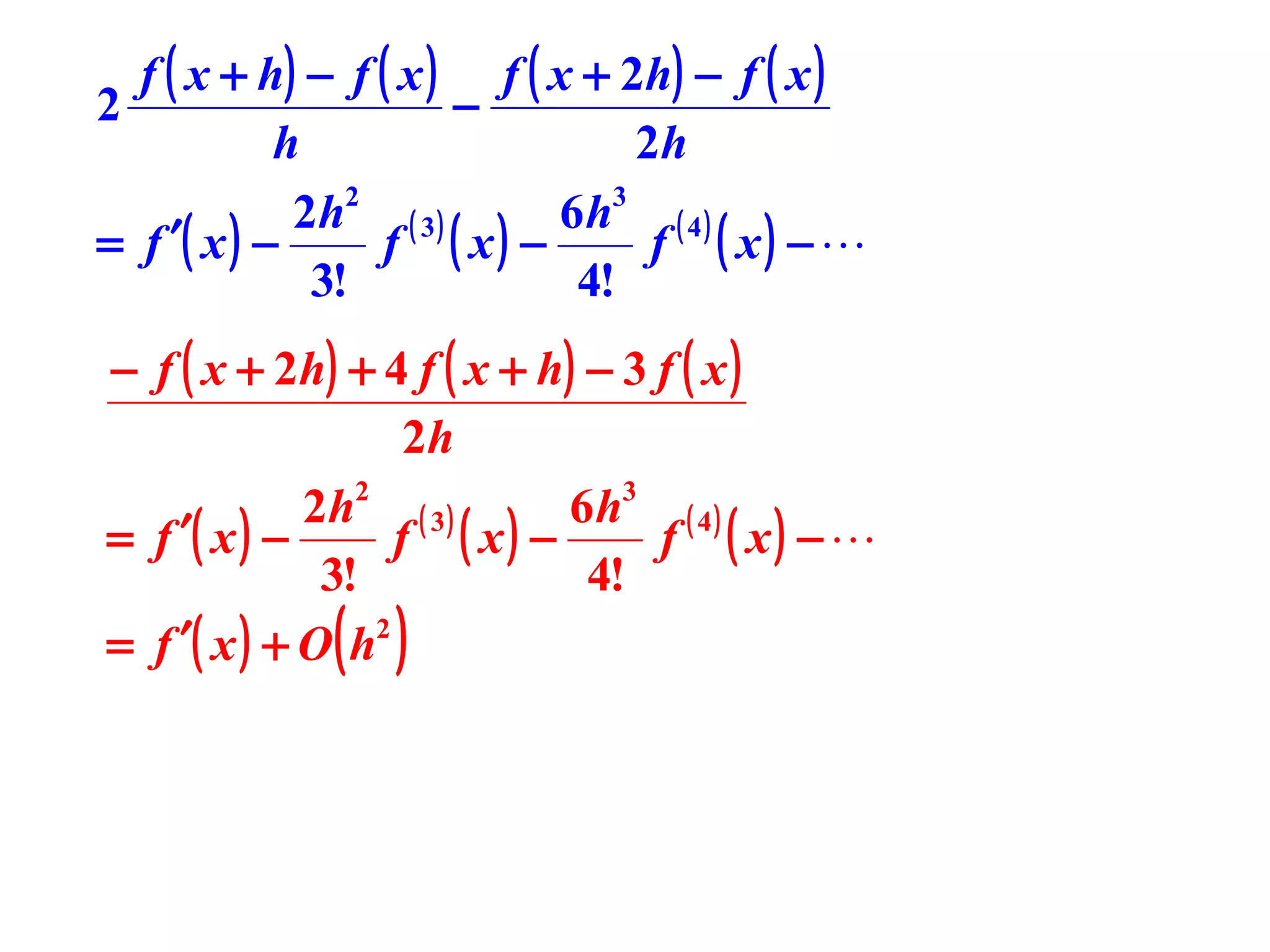
    f ( x+ h) − f ( x ) h ( 2) h ( 3) = f ′( x ) + f ( x ) + f ( x) +  h 2 3! .............. (1) 2 f ( x + 2h ) − f ( x ) 2h ( 2 ) 4h 2 ( 3 ) = f ′( x ) + f ( x) + f ( x) +  2h 2 3! ................. (2) 2 X Eqn. (1) – Eqn. (2)
  • 15.
    f ( x+ h) − f ( x ) f ( x + 2h) − f ( x ) 2 − h 2h 2 h2 ( 3 ) 6 h3 ( 4 ) = f ′( x ) − f ( x) − f ( x) −  3! 4! − f ( x + 2 h) + 4 f ( x + h) − 3 f ( x ) 2h 2 3 2h ( 3 ) 6h ( 4 ) ′( x ) − = f f ( x) − f ( x) −  3! 4! = f ′ ( x ) + O h2 ( )
  • 16.
    − f (x + 2h ) + 4 f ( x + h ) − 3 f ( x ) = f ′( x ) + O h2 2h ( ) − f ( x + 2h ) + 4 f ( x + h ) − 3 f ( x ) f ′( x ) = − O h2 2h ( ) − f ( x + 2h ) + 4 f ( x + h ) − 3 f ( x ) f ′( x ) ≈ 2h Three-point Formula ( ) 2 h2 ( 3 ) 6 h3 ( 4 ) O h2 = − f ( x) − f ( x) −  3! 4!
  • 17.
    The Second Three-pointFormula Take Taylor series expansion of f(x+h) about x: h2 ( 2 ) h3 ( 3 ) f ( x + h) = f ( x ) + hf ′( x ) + f ( x) + f ( x) + 2 3! Take Taylor series expansion of f(x-h) about x: 2 3 h ( 2) h ( 3) f ( x − h) = f ( x ) − hf ′( x ) + f ( x) − f ( x) +  2 3! Subtract one expression from another 2h 3 ( 3 ) 2h 6 ( 6 ) f ( x + h) − f ( x − h) = 2hf ′( x ) + f ( x) + f ( x) +  3! 6!
  • 18.
    2h 3 (3 ) 2h 6 ( 6 ) f ( x + h) − f ( x − h) = 2hf ′( x ) + f ( x) + f ( x) +  3! 6! f ( x + h) − f ( x − h) h2 ( 3) h5 ( 6 ) = f ′( x ) + f ( x) + f ( x) +  2h 3! 6! f ( x + h) − f ( x − h) h 2 ( 3 ) h5 ( 6 ) f ′( x ) = − f ( x) − f ( x) −  2h 3! 6!
  • 19.
    f ′( x) = f ( x + h ) − f ( x − h) + O h2 2h ( ) ( ) h2 ( 3) h5 ( 6 ) O h2 = − f ( x) − f ( x) −  3! 6! f ( x + h) − f ( x − h ) f ′( x ) ≈ 2h Second Three-point Formula
  • 20.
    Summary of Errors f( x + h) − f ( x ) f ′( x ) ≈ h Error term Forward Difference Formula h ( 2) h2 ( 3 ) O ( h) = f ( x ) + f ( x) + 2 3!
  • 21.
    Summary of Errorscontinued First Three-point Formula − f ( x + 2h ) + 4 f ( x + h ) − 3 f ( x ) f ′( x ) ≈ 2h ( ) 2 h2 ( 3 ) 6 h3 ( 4 ) Error term O h2 = − f ( x) − f ( x) −  3! 4!
  • 22.
    Summary of Errorscontinued Second Three-point Formula f ( x + h) − f ( x − h ) f ′( x ) ≈ 2h ( ) h2 ( 3) h5 ( 6 ) O h2 = − f ( x) − f ( x) −  Error term 3! 6!
  • 23.
    Example: f ( x) = xe x Find the approximate value of x f ( x) 1.9 12.703199 2.0 14.778112 2.1 2.2 17.148957 19.855030 f ′( 2 ) with h = 0.1
  • 24.
    Using the ForwardDifference formula: 1 f ′ ( x0 ) ≈ { f ( x0 + h ) − f ( x0 ) } h 1 f ′ ( 2) ≈ { f ( 2.1) − f ( 2 ) } 0.1 1 = { 17.148957 − 14.778112} 0.1 = 23.708450
  • 25.
    Using the 1stThree-point formula: 1 { − 3 f ( x0 ) + 4 f ( x0 + h) − f ( x0 + 2h) } f ′( x0 ) ≈ 2h 1 [ − 3 f ( 2) + 4 f ( 2.1) − f ( 2.2)] f ′( 2 ) ≈ 2 × 0.1 1 [ − 3 × 14.778112 + 4 × 17.148957 = 0.2 − 19.855030 ] = 22.032310
  • 26.
    Using the 2ndThree-point formula: 1 { f ( x0 + h) − f ( x0 − h) } f ′( x0 ) ≈ 2h 1 [ f ( 2.1) − f (1.9)] f ′( 2 ) ≈ 2 × 0.1 1 [ 17.148957 − 12.703199 = 0.2 = 22.228790 The exact value of f ′( 2 ) is : 22.167168 ]
  • 27.
    Comparison of theresults with h = 0.1 The exact value of f ′ ( 2 ) is 22.167168 Formula f ′ ( 2) Error Forward Difference 23.708450 1.541282 1st Three-point 22.032310 0.134858 2nd Three-point 22.228790 0.061622
  • 28.
    Second-order Derivative h2 (2 ) h3 ( 3 ) f ( x + h) = f ( x ) + hf ′( x ) + f ( x) + f ( x) +  2 3! 2 3 h ( 2) h ( 3) f ( x − h) = f ( x ) − hf ′( x ) + f ( x) − f ( x) +  2 3! Add these two equations. 2h 2 ( 2 ) 2h4 ( 4 ) f ( x + h) + f ( x − h) = 2 f ( x ) + f ( x) + f ( x) +  2 4! 2h2 ( 2 ) 2 h4 ( 4 ) f ( x + h) − 2 f ( x ) + f ( x − h) = f ( x) + f ( x) + 2 4!
  • 29.
    f ( x+ h) − 2 f ( x ) + f ( x − h) 2h ( 4 ) ( 2) = f ( x) + f ( x) +  2 h 4! 2 f ( x + h ) − 2 f ( x ) + f ( x − h ) 2h 2 ( 4 ) f ( 2) ( x ) = − f ( x) +  2 h 4! f ( 2) f ( x + h) − 2 f ( x ) + f ( x − h) ( x) ≈ h2
  • 30.
    NUMERICAL INTEGRATION b ∫ f( x )dx = a area under the curve f(x) between x = a to x = b. In many cases a mathematical expression for f(x) is unknown and in some cases even if f(x) is known its complex form makes it difficult to perform the integration.
  • 31.
  • 32.
  • 33.
    Area of thetrapezoid The length of the two parallel sides of the trapezoid are: f(a) and f(b) The height is b-a b ∫ a b−a [ f ( a ) + f ( b )] f ( x )dx ≈ 2 h = [ f ( a ) + f ( b )] 2
  • 34.
    Simpson’s Rule: ∫ x2 x0 x2 f (x )dx ≈ ∫ P ( x )dx x0 x1 = x0 + h and x 2 = x0 + 2h
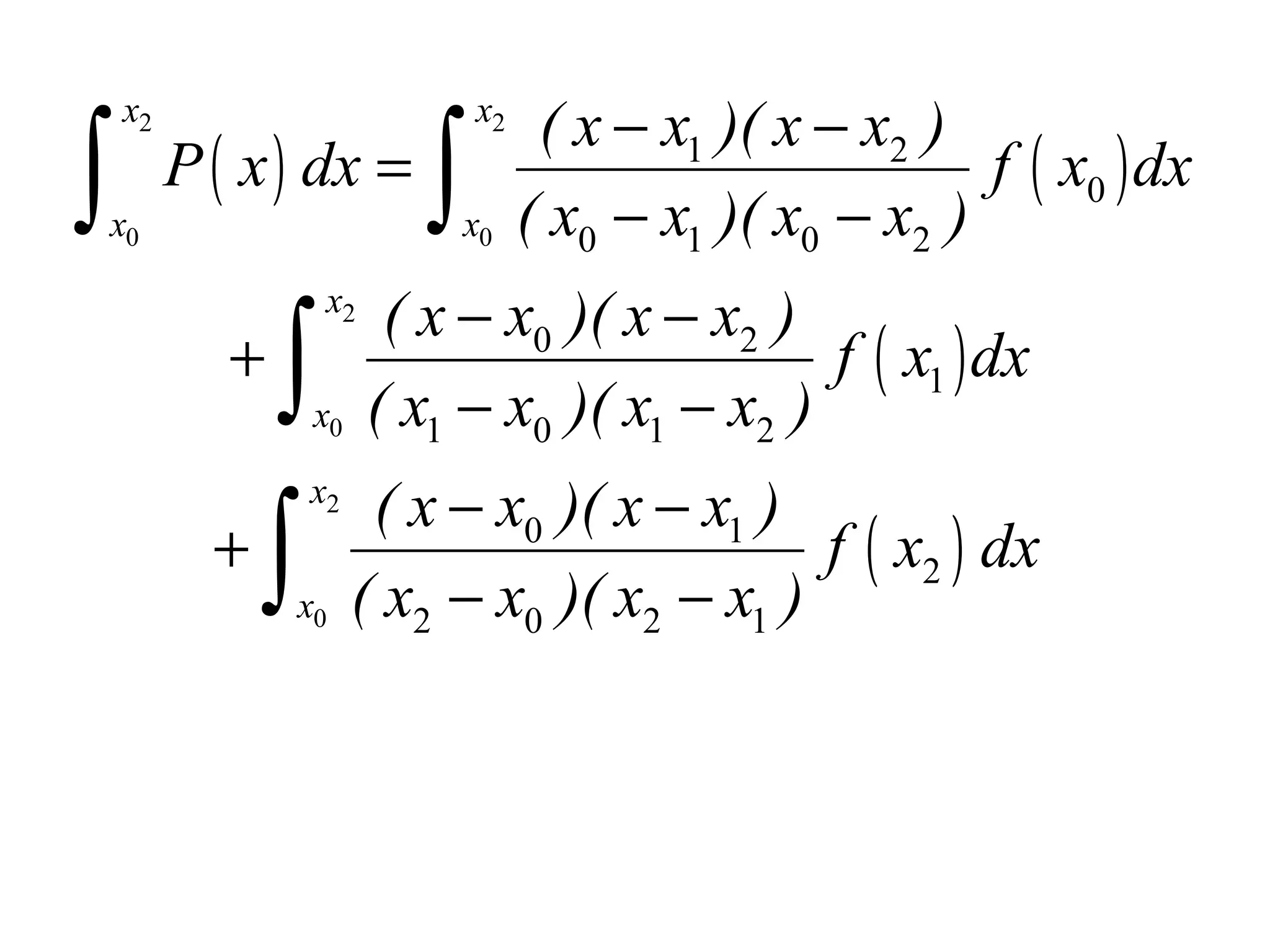
  • 35.
    ∫ x2 x0 P ( x) dx = ∫ + ∫ + x2 x0 x2 x0 ∫ x2 x0 ( x − x1 )( x − x2 ) f ( x0 ) dx ( x0 − x1 )( x0 − x2 ) ( x − x0 )( x − x2 ) f ( x1 ) dx ( x1 − x0 )( x1 − x2 ) ( x − x0 )( x − x1 ) f ( x2 ) dx ( x2 − x0 )( x2 − x1 )
  • 36.
    ∫ x2 x0 x2 f ( x)dx ≈ ∫ P ( x )dx x0 h = [ f ( x0 ) + 4 f ( x1 ) + f ( x 2 )] 3
  • 37.
  • 38.
  • 39.
  • 40.
  • 41.
  • 42.
    Riemann Sum The areaunder the curve is subdivided into n subintervals. Each subinterval is treated as a rectangle. The area of all subintervals are added to determine the area under the curve. There are several variations of Riemann sum as applied to composite integration.
  • 43.
    ∆ xIn LeftRiemann = ( b − a) / n sum, x1 = a the left- x2 x3 side sample of = afunction is the + ∆ x used as the = a + 2∆the x height of individual M rectangle. xi = a + ( i − 1) ∆ x ∫ b a n f ( x ) dx ≈ ∑ f ( xi ) ∆ x i =1
  • 44.
    ∆x = (b − a) / n In Right Riemann sum, the right-side x1 = a + ∆ x sample of the x2 = a is used function+ 2∆ x as the height of the x3 = a + 3∆ x individual rectangle. M xi = a + i∆ x n ∫ f ( x ) dx ≈ ∑ f ( x ) ∆ x b a i =1 i
  • 45.
    In the )/ n ∆ x = ( b − aMidpoint Rule, the sample at x1 = the (middle1of ∆ x / 2 ) a + 2 ×1 − ) ( the x2 =subinterval1is( used 2 ) a + ( 2× 2 − ) ∆x / as the height of the x3 = individual 1) ( ∆ x / 2 ) a + ( 2×3− M rectangle. xi = a + ( 2 × i − 1) ( ∆ x / 2 ) n ∫ f ( x ) dx ≈ ∑ f ( x ) ∆ x b a i =1 i
  • 46.
    Composite Trapezoidal Rule: Dividethe interval into n subintervals and apply Trapezoidal Rule in each subinterval. b ∫ a  h f ( x )dx ≈  f ( a ) + 2∑ f ( x k ) + f (b ) 2 k =1  n −1 where b−a h= and x k = a + kh for k = 0, 1, 2, ... , n n
  • 47.
    π Find ∫ sin (x)dx 0 bydividing the interval into 20 subintervals. n = 20 b−a π h= = n 20 kπ x k = a + kh = , k = 0, 1, 2, ....., 20 20
  • 48.
    π  h ∫ sin( x)dx ≈ 2  f ( a ) + 2∑ f ( xk ) + f (b) k =1   0 n −1 19  π   kπ  = sin( 0 ) + 2∑ sin 20  + sin( π )  40    k =1  = 1.995886
  • 49.
    Composite Simpson’s Rule: Dividethe interval into n subintervals and apply Simpson’s Rule on each consecutive pair of subinterval. Note that n must be even. b ∫ a h f ( x )dx ≈  f ( a ) + 2 3 n/ 2 + 4∑ k =1 ( n / 2 ) −1 ∑ f (x k =1 2k )  f ( x 2 k −1 ) + f (b ) 
  • 50.
    where b−a h= and x k= a + kh for k = 0, 1, 2, ... , n n π Find ∫ sin (x)dx 0 by dividing the interval into 20 subintervals. b−a π n = 20 h= = n 20 kπ x k = a + kh = , k = 0, 1, 2, ....., 20 20
  • 51.
    π 9 π   2kπ ∫ sin( x )dx ≈ 60 sin( 0) + 2∑ sin 20    k =1  0   ( 2k − 1)π  + 4∑ sin  + sin( π) 20   k =1  = 2.000006 10