Second Order Homogeneous Linear
Differential Equation
Linear Differential Equations of Second Order
• The general second order Linear Differential Equation is
or
where P(x) ,Q(x) and R (x) are functions of
only.
2
2
( ) ( ) ( )
d y dy
P x Q x y R x
dx dx
  
( ) ( ) ( ) (1)y P x y Q x y R x        
x
• The term R(x) in the above equation is isolated from
others and written on right side because it does not
contain the dependent variable y or any of its derivatives.
•If R(x) is Zero then,
•The solution of eq.(2) which is homogeneous linear
differential equation is given by,
( ) ( ) 0 (2)y P x y Q x y        
1 1 2 2y c y c y 
where c1 and c2 are arbitary constants
• Two solutions are linearly independent .Their linear
combination provides an infinity of new solutions.
•Wronskian test - Test whether two solutions of a
homogeneous differential equation are linearly independent.
Define: Wronskian of solutions to be the 2
by 2 determinant
1 2,y y
1 2 1 2( ) ( ) ( ) ( ) ( )W x y x y x y x y x  
1 2
1 2
( ) ( )
( ) ( )
y x y x
y x y x

 
• Example:- are solutions of
:linearly independent.
 Reduction of Order
A method for finding the second independent
homogeneous solution when given the first one .
1 2( ) cos , ( ) siny x x y x x 
0y y 
1 2
1 2
2 2
( ) ( ) cos sin
( )
( ) ( ) sin cos
cos sin 1 0
y x y x x x
W x
y x y x x x
x x
 
  
   
1 2,y y
2y 1y
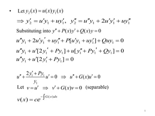
• Let
Substituting into
Let (separable)
6
2 1( ) ( ) ( )y x u x y x
2 1 1 2 1 1 1, 2y u y uy y u y u y uy            
( ) ( ) 0y P x y Q x y   
1 1 1 1 1 1
1 1 1 1 1 1
1 1 1
2 [ ] 0
[2 ] [ ] 0
[2 ] 0
u y uy P u y uy Quy
u y Py u y Py Qy
u y Py
u y
u y
u y
        
       
   



1 1
1
2
0 ( ) 0
y Py
u u u G x u
y
 
       
( ) 0v u v G x v    
( )
( )
G x dx
v x ce

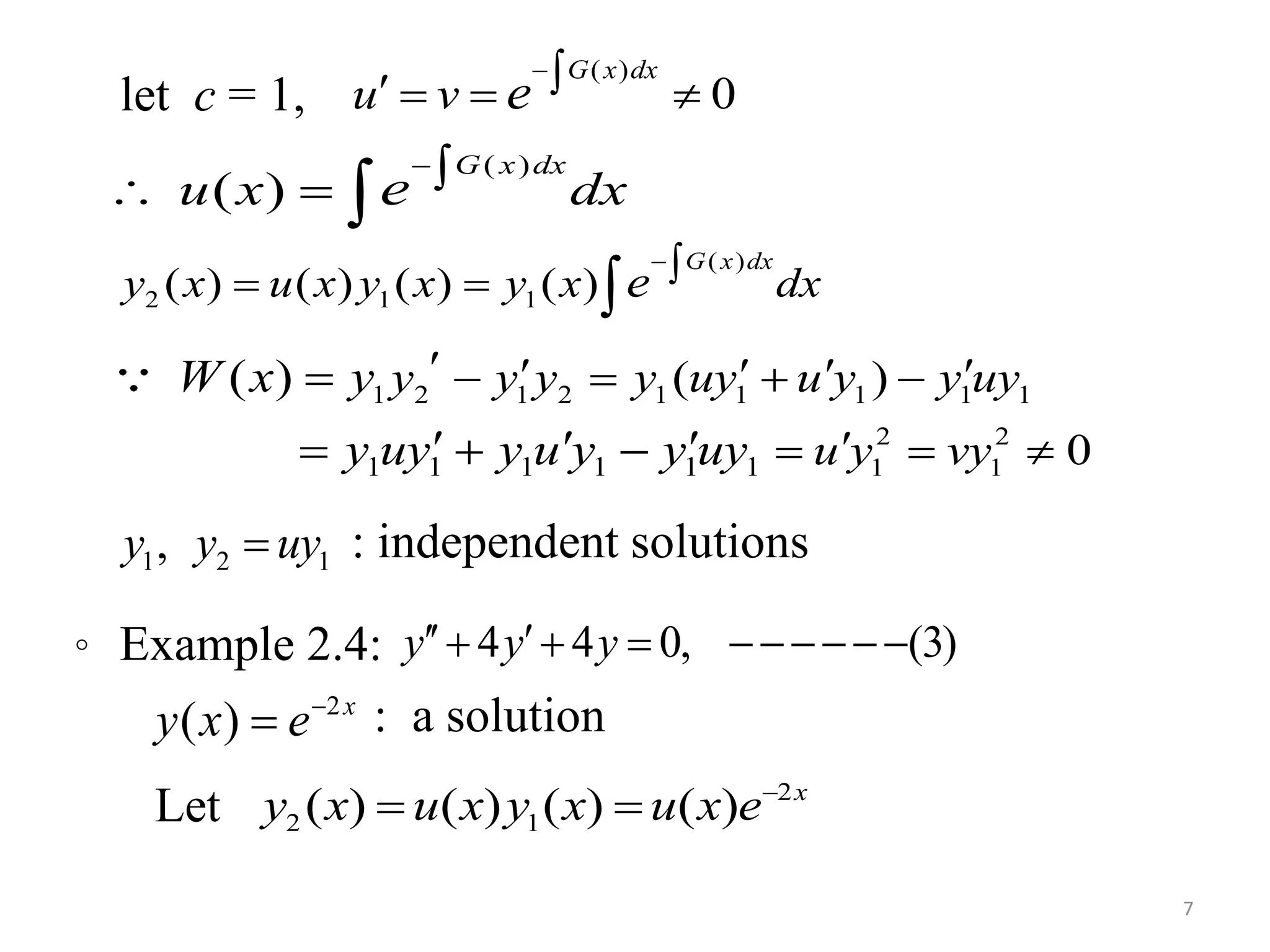
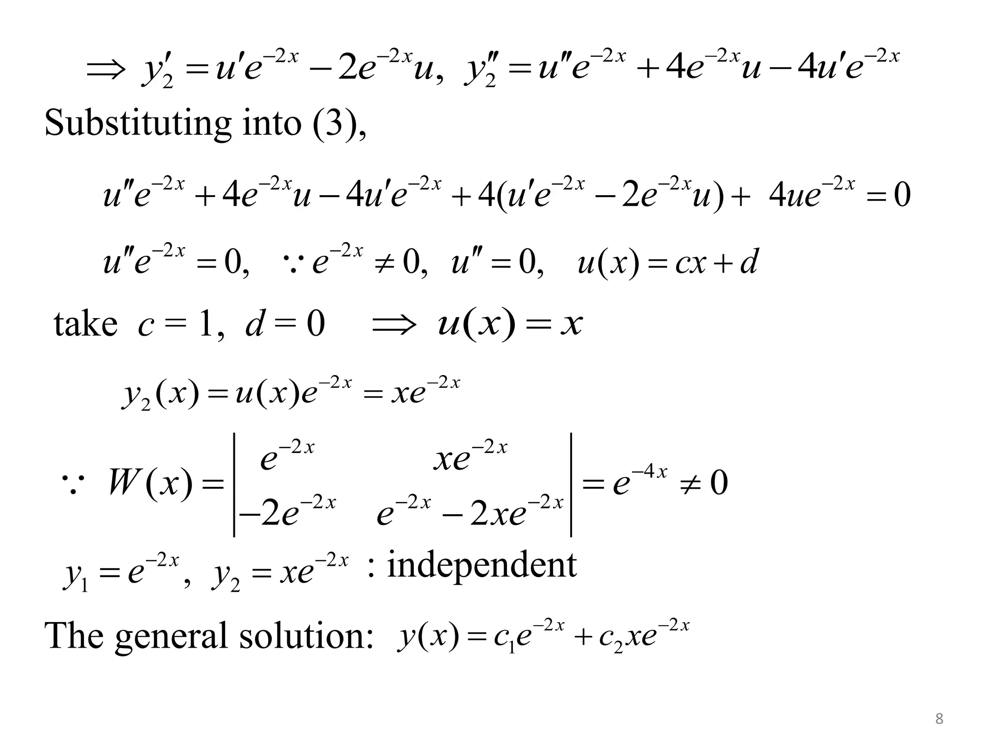
let c = 1,
: independent solutions
7
( )
0
G x dx
u v e
   
( )
( )
G x dx
u x dxe
  
( )
2 1 1( ) ( ) ( ) ( )
G x dx
y x u x y x y x dxe
  
1 2 1 2 1 1 1 1 1
2 2
1 11 1 1 1 1 1
( )
0
( ) y y y y uy u y y uy
u y vy
W x y
y uy y u y y uy
       
  

    
1 2 1,y y uy
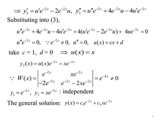
。 Example 2.4:
: a solution
Let
4 4 0, (3)y y y    
2
( ) x
y x e

2
2 1( ) ( ) ( ) ( ) x
y x u x y x u x e
 
Substituting into (3),
take c = 1, d = 0
: independent
The general solution:
8
2 2
2 2 ,x x
y u e e u 
    2 2 2
2 4 4x x x
y u e e u u e  
    
2 2 2 2 2 2
4( ) 4 04 4 2x x x x x x
uu e e u u e u e e u e     
      
2 2
0, 0, 0, ( )x x
u x cx du e e u 
     
( )u x x 
2 2
2 ( ) ( ) x x
y x u x e xe 

2 2
4
2 2 2
0
2
( )
2
x x
x
x x x
x
e xe
W x e
e e e
 

  


 

2 2
1 2( ) x x
c xy x c e e 

2 2
1 2,x x
y y xe e 

Second order Linear Homogeneous Differential
Equations with constant coefficients
a,b are numbers ------(4)
Let
Substituting into (4)
( Auxilliary Equation)
--------(5)
The general solution of homogeneous D.E. (4) is
obtained depending on the nature of the two roots of the
auxilliary equation as follows :
0y ay by   
( ) mx
y x e
2
0mx mx mx
m am be e e  
2
0m am b  
2
1 2, 4 ) / 2(m a a bm   
Case 1 : Two distinct real roots if and only if
in this case we get two solutions &
Solution is
Case 2 : Equal real roots if
Solution is
Case 3 : Distinct complex roots if and only if
In this case & can be written in the form of
Solution is
2
4 0a b 
1m x
e 2m x
e
 1 2
1 2( ) m x m x
y x c ce e 
2
4 0a b 
 1 2 1 2( ) ( )mx mx mx
y x c c x c c xe e e   
2
4 0a b 
1m 2m
p iq
 1
2( ) [ cos sin ]px
y x e c qx c qx 
Case Roots Basis of solutions General Solution
1 Distinct real m1 and
m2
em1x, em2x c1em1x+c2em2x
2 Repeated root m emx, xemx c1emx+c2xemx
3 Complex roots
m1=p+iq, m2=p–iq
e(p+iq)x, e(p–iq)x epx(c1cos qx+c2sin qx)
Example for Case 1 :
Let then,
From (6) ,
The general solution:
6 0 (6)y y y    
( ) mx
y x e 2
,mx mx
y me y m e  
2 2
6 0 6 0mx mx mx
m m m me e e       
1 2( 2)( 3) 0 2, 3m m m m      
2 3
1 2( ) x x
y x c ce e
 
Example for Case 2 :
Characteristic eq. :
The repeated root:
The general solution:
Example for Case 3 :
Characteristic equation:
Roots:
The general solution:
6 9 0y y y   
2 2
6 9 0 ( 3) 0m m m     
3m 
3
1 2( ) ( ) x
y x c c x e 
2 6 0y y y   
2
2 6 0m m  
1 21 5 , 1 5m i m i     
( 1 5 ) ( 1 5 )
1 2( ) i x i x
y x c ce e   
 

Second order homogeneous linear differential equations

  • 1.
    Second Order HomogeneousLinear Differential Equation
  • 2.
    Linear Differential Equationsof Second Order • The general second order Linear Differential Equation is or where P(x) ,Q(x) and R (x) are functions of only. 2 2 ( ) ( ) ( ) d y dy P x Q x y R x dx dx    ( ) ( ) ( ) (1)y P x y Q x y R x         x
  • 3.
    • The termR(x) in the above equation is isolated from others and written on right side because it does not contain the dependent variable y or any of its derivatives. •If R(x) is Zero then, •The solution of eq.(2) which is homogeneous linear differential equation is given by, ( ) ( ) 0 (2)y P x y Q x y         1 1 2 2y c y c y 
  • 4.
    where c1 andc2 are arbitary constants • Two solutions are linearly independent .Their linear combination provides an infinity of new solutions. •Wronskian test - Test whether two solutions of a homogeneous differential equation are linearly independent. Define: Wronskian of solutions to be the 2 by 2 determinant 1 2,y y 1 2 1 2( ) ( ) ( ) ( ) ( )W x y x y x y x y x   1 2 1 2 ( ) ( ) ( ) ( ) y x y x y x y x   
  • 5.
    • Example:- aresolutions of :linearly independent.  Reduction of Order A method for finding the second independent homogeneous solution when given the first one . 1 2( ) cos , ( ) siny x x y x x  0y y  1 2 1 2 2 2 ( ) ( ) cos sin ( ) ( ) ( ) sin cos cos sin 1 0 y x y x x x W x y x y x x x x x          1 2,y y 2y 1y
  • 6.
    • Let Substituting into Let(separable) 6 2 1( ) ( ) ( )y x u x y x 2 1 1 2 1 1 1, 2y u y uy y u y u y uy             ( ) ( ) 0y P x y Q x y    1 1 1 1 1 1 1 1 1 1 1 1 1 1 1 2 [ ] 0 [2 ] [ ] 0 [2 ] 0 u y uy P u y uy Quy u y Py u y Py Qy u y Py u y u y u y                         1 1 1 2 0 ( ) 0 y Py u u u G x u y           ( ) 0v u v G x v     ( ) ( ) G x dx v x ce 
  • 7.
    let c =1, : independent solutions 7 ( ) 0 G x dx u v e     ( ) ( ) G x dx u x dxe    ( ) 2 1 1( ) ( ) ( ) ( ) G x dx y x u x y x y x dxe    1 2 1 2 1 1 1 1 1 2 2 1 11 1 1 1 1 1 ( ) 0 ( ) y y y y uy u y y uy u y vy W x y y uy y u y y uy                  1 2 1,y y uy 。 Example 2.4: : a solution Let 4 4 0, (3)y y y     2 ( ) x y x e  2 2 1( ) ( ) ( ) ( ) x y x u x y x u x e  
  • 8.
    Substituting into (3), takec = 1, d = 0 : independent The general solution: 8 2 2 2 2 ,x x y u e e u      2 2 2 2 4 4x x x y u e e u u e        2 2 2 2 2 2 4( ) 4 04 4 2x x x x x x uu e e u u e u e e u e             2 2 0, 0, 0, ( )x x u x cx du e e u        ( )u x x  2 2 2 ( ) ( ) x x y x u x e xe   2 2 4 2 2 2 0 2 ( ) 2 x x x x x x x e xe W x e e e e            2 2 1 2( ) x x c xy x c e e   2 2 1 2,x x y y xe e  
  • 9.
    Second order LinearHomogeneous Differential Equations with constant coefficients a,b are numbers ------(4) Let Substituting into (4) ( Auxilliary Equation) --------(5) The general solution of homogeneous D.E. (4) is obtained depending on the nature of the two roots of the auxilliary equation as follows : 0y ay by    ( ) mx y x e 2 0mx mx mx m am be e e   2 0m am b   2 1 2, 4 ) / 2(m a a bm   
  • 10.
    Case 1 :Two distinct real roots if and only if in this case we get two solutions & Solution is Case 2 : Equal real roots if Solution is Case 3 : Distinct complex roots if and only if In this case & can be written in the form of Solution is 2 4 0a b  1m x e 2m x e  1 2 1 2( ) m x m x y x c ce e  2 4 0a b   1 2 1 2( ) ( )mx mx mx y x c c x c c xe e e    2 4 0a b  1m 2m p iq  1 2( ) [ cos sin ]px y x e c qx c qx 
  • 11.
    Case Roots Basisof solutions General Solution 1 Distinct real m1 and m2 em1x, em2x c1em1x+c2em2x 2 Repeated root m emx, xemx c1emx+c2xemx 3 Complex roots m1=p+iq, m2=p–iq e(p+iq)x, e(p–iq)x epx(c1cos qx+c2sin qx) Example for Case 1 : Let then, From (6) , The general solution: 6 0 (6)y y y     ( ) mx y x e 2 ,mx mx y me y m e   2 2 6 0 6 0mx mx mx m m m me e e        1 2( 2)( 3) 0 2, 3m m m m       2 3 1 2( ) x x y x c ce e  
  • 12.
    Example for Case2 : Characteristic eq. : The repeated root: The general solution: Example for Case 3 : Characteristic equation: Roots: The general solution: 6 9 0y y y    2 2 6 9 0 ( 3) 0m m m      3m  3 1 2( ) ( ) x y x c c x e  2 6 0y y y    2 2 6 0m m   1 21 5 , 1 5m i m i      ( 1 5 ) ( 1 5 ) 1 2( ) i x i x y x c ce e     