Interpolation produces a
function that matches the given
data exactly. The function then
can be utilized to approximate
the data values at intermediate
points.
Interpolation may also be used
to produce a smooth graph of a
function for which values are
known only at discrete points,
either from measurements or
calculations.
Given data points
Obtain a function, P(x)
P(x) goes through the data points
Use P(x)
To estimate values at intermediate
points
Given data points:
At x0 = 2, y0 = 3 and at x1 = 5, y1 = 8
Find the following:
At x = 4, y = ?
P(x) should satisfy the following conditions:
P(x = 2) = 3 and P(x = 5) = 8

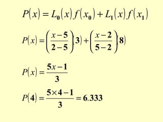
P( x ) = 3 L0 ( x ) + 8 L1 ( x )
P(x) can satisfy the above conditions if
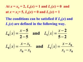
at x = x0 = 2, L0(x) = 1 and L1(x) = 0 and
at x = x1= 5, L0(x) = 0 and L1(x) = 1
At x = x0 = 2, L0(x) = 1 and L1(x) = 0 and
at x = x1= 5, L0(x) = 0 and L1(x) = 1
The conditions can be satisfied if L0(x) and
L1(x) are defined in the following way.

x−5
L0 ( x ) =
and
2−5

x − x1
L0 ( x ) =
x0 − x1

x−2
L1 ( x ) =
5−2

x − x0
and L1 ( x ) =
x1 − x0
P( x ) = 3 L0 ( x ) + 8 L1 ( x )

P( x ) = L0 ( x ) y0 + L1 ( x ) y1
Lagrange Interpolating Polynomial

P( x ) = L0 ( x ) f ( x0 ) + L1 ( x ) f ( x1 )
P( x ) = L0 ( x ) f ( x0 ) + L1 ( x ) f ( x1 )
 x−5
 x−2
P( x ) = 
( 3 ) + 
( 8 )
 2−5
5−2
5x − 1
P( x ) =
3
5× 4 −1
P( 4) =
= 6.333
3
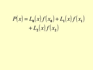
The Lagrange interpolating polynomial
passing through three given points; (x0, y0),
(x1, y1) and (x2, y2) is:

P( x ) = L0 ( x ) y0 + L1 ( x ) y1 + L2 ( x ) y2
P( x ) = L0 ( x ) f ( x0 ) + L1 ( x ) f ( x1 )
+ L2 ( x ) f ( x2 )
( x − x1 )( x − x2 )
L0 ( x ) =
( x0 − x1 )( x0 − x2 )
At x0, L0(x) becomes 1. At all
other given data points L0(x) is 0.
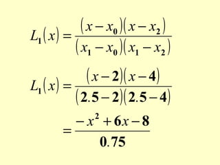
( x − x0 )( x − x2 )
L1 ( x ) =
( x1 − x0 )( x1 − x2 )
At x1, L1(x) becomes 1. At all
other given data points L1(x) is 0.
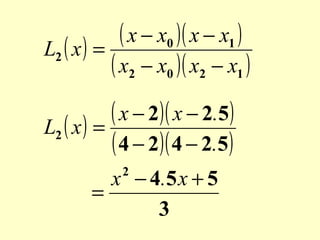
( x − x0 )( x − x1 )
L2 ( x ) =
( x2 − x0 )( x2 − x1 )
At x2, L2(x) becomes 1. At all
other given data points L2(x) is 0.
General form of the Lagrange Interpolating
Polynomial

P( x ) = L0 ( x ) y0 + L1 ( x ) y1 + L2 ( x ) y2
+ ........... + Ln ( x ) yn

P( x ) = L0 ( x ) f ( x0 ) + L1 ( x ) f ( x1 )

+ L2 ( x ) f ( x2 ) + ........... + Ln ( x ) f ( xn )
( x − x0 )( x − x1 )...( x − xk −1 )( x − xk +1 )...( x − xn )
Lk ( x ) =
( xk − x0 )( xk − x1 )...( xk − xk −1 )( x k − x k +1 )...( xk − xn )

( x − xi )
Lk ( x ) = ∏
i =0 ( x k − xi )
n

i ≠k
Numerator of

Lk ( x )

( x − x0 ) ( x − x1 ) ( x − x2 ) ×LL
× ( x − xk −1 ) ( x − xk +1 ) × LL
× ( x − xn −1 ) ( x − xn )
Denominator of

Lk ( x )

( xk − x0 ) ( xk − x1 ) ( xk − x2 ) ×LL
× ( xk − xk −1 ) ( xk − xk +1 ) × LL
× ( xk − xn −1 ) ( xk − xn )
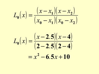
Find the Lagrange Interpolating
Polynomial using the three given points.

( x0 , y0 ) = ( 2, 0.5)
( x1 , y1 ) = ( 2.5, 0.4)
( x2 , y2 ) = ( 4, 0.25)
( x − x1 )( x − x2 )
L0 ( x ) =
( x0 − x1 )( x0 − x2 )
( x − 2.5)( x − 4)
L0 ( x ) =
( 2 − 2.5)( 2 − 4)
= x − 6.5 x + 10
2
( x − x0 )( x − x2 )
L1 ( x ) =
( x1 − x0 )( x1 − x2 )
( x − 2)( x − 4)
L1 ( x ) =
( 2.5 − 2)( 2.5 − 4)
− x + 6x − 8
=
0.75
2
( x − x0 )( x − x1 )
L2 ( x ) =
( x2 − x0 )( x2 − x1 )
( x − 2)( x − 2.5)
L2 ( x ) =
( 4 − 2)( 4 − 2.5)
x − 4. 5 x + 5
=
3
2
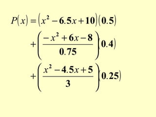
P( x ) = L0 ( x ) f ( x0 ) + L1 ( x ) f ( x1 )
+ L2 ( x ) f ( x2 )
(

)

P( x ) = x − 6.5 x + 10 ( 0.5 )
2

 − x + 6x − 8 
( 0.4 )
+


0.75


2

 x − 4 .5 x + 5 
( 0.25 )
+


3


2
P( x ) = 0.05 x − 0.425 x + 1.15
2

The three given points were taken from
the function

1
f ( x) =
x
1
f ( 3) = = 0.333
3
An approximation can be obtained
from the Lagrange Interpolating
Polynomial as:

P( 3) = 0.05( 3) − 0.425( 3) + 1.15
= 0.325
2
Newton’s Interpolating Polynomials
Newton’s equation of a function that
passes through two points

( x0 , y 0 )

and

( x1 , y1 )

is

P( x ) = a 0 + a1 ( x − x0 )
P( x ) = a 0 + a1 ( x − x0 )
Set x = x
0
P ( x0 ) = y0 = a0
Set

x = x1

P ( x1 ) = y1 = a0 + a1 ( x1 − x0 )
y1 − y 0
a1 =
x1 − x0
Newton’s equation of a function that passes
through three points

( x0 , y 0 ) ( x1 , y1 )
is

and

( x2 , y2 )
P ( x ) = a0 + a1 ( x − x0 )

+ a2 ( x − x0 ) ( x − x1 )

a 2 , set x = x 2
P ( x2 ) = a0 + a1 ( x2 − x0 )
+ a2 ( x2 − x0 ) ( x2 − x1 )
To find
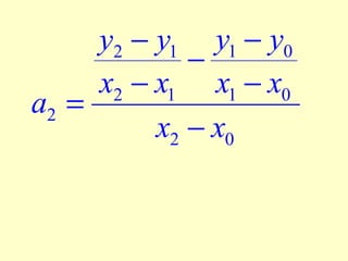
y2 − y1 y1 − y0
−
x2 − x1 x1 − x0
a2 =
x2 − x0
Newton’s equation of a function that passes
through four points can be written by adding
a fourth term .

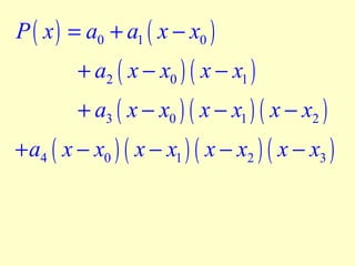
P ( x ) = a0 + a1 ( x − x0 )

+ a2 ( x − x0 ) ( x − x1 )
+ a3 ( x − x0 ) ( x − x1 ) ( x − x2 )
P ( x ) = a0 + a1 ( x − x0 )

+ a2 ( x − x0 ) ( x − x1 )

+ a3 ( x − x0 ) ( x − x1 ) ( x − x2 )
The fourth term will vanish at all three
previous points and, therefore, leaving all
three previous coefficients intact.
Divided differences and the coefficients
The divided difference of a function, f
with respect to

xi

is denoted as

f [ xi ]

It is called as zeroth divided difference and is
simply the value of the function, f
at xi

f [ xi ] = f ( xi )
The divided difference of a function, f
with respect to xi and
i +1
called as the first divided difference, is denoted

x

f [ xi , xi +1 ]
f [ xi , xi +1 ]

f [ xi +1 ] − f [ xi ]
=
xi +1 − xi
The divided difference of a function, f
with respect to xi , i +1 and
i +2
called as the second divided difference, is
denoted as

x

x

f [ xi , xi +1 , xi + 2 ]
f [ xi , xi +1 , xi +2 ]

f [ xi +1 , xi +2 ] − f [ xi , xi +1 ]
=
xi + 2 − xi
The third divided difference with respect to
,
,
xi + 2 and i + 3
i
i +1

x

x

f [ xi , xi +1 , xi +2 , xi +3 ]

x

f [ xi +1 , xi + 2 , xi +3 ] − f [ xi , xi +1 , xi + 2 ]
=
xi +3 − xi
The coefficients of Newton’s interpolating
polynomial are:
a0 = f [ x0 ]

a1 = f [ x0 , x1 ]

a 2 = f [ x0 , x1 , x 2 ]
a3 = f [ x0 , x1 , x 2 , x3 ]
a 4 = f [ x0 , x1 , x 2 , x3 , x 4 ]

and so on.
First
divided differences

Second
divided differences

Third
divided differences
Example
Find Newton’s interpolating polynomial to
approximate a function whose 5 data points are
given below.

x

f ( x)

2.0

0.85467

2.3

0.75682

2.6

0.43126

2.9

0.22364

3.2

0.08567
i
0

xi

f [ xi ]

2.0

f [ xi −1 , xi ] f [ xi − 2 , xi −1 , xi ]

f [ xi −3 , , xi ]

f [ xi −4 , , xi ]

0.85467
-0.32617

1

2.3

0.75682

-1.26505
-1.08520

2

2.6

0.43126

2.13363
0.65522

-0.69207
3

2.9

0.22364

4

3.2

0.08567

-0.29808
0.38695

-0.45990

-2.02642
The 5 coefficients of the Newton’s interpolating
polynomial are:

a0 = f [ x0 ] = 0.85467

a1 = f [ x0 , x1 ] = −0.32617

a2 = f [ x0 , x1 , x2 ] = −1.26505
a3 = f [ x0 , x1 , x2 , x3 ] = 2.13363
a4 = f [ x0 , x1 , x2 , x3 , x4 ] = −2.02642
P ( x ) = a0 + a1 ( x − x0 )

+ a2 ( x − x0 ) ( x − x1 )

+ a3 ( x − x0 ) ( x − x1 ) ( x − x2 )

+ a4 ( x − x0 ) ( x − x1 ) ( x − x2 ) ( x − x3 )
P ( x ) = 0.85467 − 0.32617 ( x − 2.0 )
-1.26505 ( x − 2.0 ) ( x − 2.3 )

+ 2.13363 ( x − 2.0 ) ( x − 2.3) ( x − 2.6 )

−2.02642 ( x − 2.0 ) ( x − 2.3) ( x − 2.6 ) ( x − 2.9 )
P(x) can now be used to estimate the value of the
function f(x) say at x = 2.8.
P ( 2.8 ) = 0.85467 − 0.32617 ( 2.8 − 2.0 )
-1.26505 ( 2.8 − 2.0 ) ( 2.8 − 2.3 )

+ 2.13363 ( 2.8 − 2.0 ) ( 2.8 − 2.3 ) ( 2.8 − 2.6 )

−2.02642 ( 2.8 − 2.0 ) ( 2.8 − 2.3) ( 2.8 − 2.6 ) ( 2.8 − 2.9 )

f ( 2.8 ) ≈ P ( 2.8 ) = 0.275

Interpolation functions

  • 1.
    Interpolation produces a functionthat matches the given data exactly. The function then can be utilized to approximate the data values at intermediate points.
  • 2.
    Interpolation may alsobe used to produce a smooth graph of a function for which values are known only at discrete points, either from measurements or calculations.
  • 3.
    Given data points Obtaina function, P(x) P(x) goes through the data points Use P(x) To estimate values at intermediate points
  • 4.
    Given data points: Atx0 = 2, y0 = 3 and at x1 = 5, y1 = 8 Find the following: At x = 4, y = ?
  • 6.
    P(x) should satisfythe following conditions: P(x = 2) = 3 and P(x = 5) = 8 P( x ) = 3 L0 ( x ) + 8 L1 ( x ) P(x) can satisfy the above conditions if at x = x0 = 2, L0(x) = 1 and L1(x) = 0 and at x = x1= 5, L0(x) = 0 and L1(x) = 1
  • 7.
    At x =x0 = 2, L0(x) = 1 and L1(x) = 0 and at x = x1= 5, L0(x) = 0 and L1(x) = 1 The conditions can be satisfied if L0(x) and L1(x) are defined in the following way. x−5 L0 ( x ) = and 2−5 x − x1 L0 ( x ) = x0 − x1 x−2 L1 ( x ) = 5−2 x − x0 and L1 ( x ) = x1 − x0
  • 8.
    P( x )= 3 L0 ( x ) + 8 L1 ( x ) P( x ) = L0 ( x ) y0 + L1 ( x ) y1 Lagrange Interpolating Polynomial P( x ) = L0 ( x ) f ( x0 ) + L1 ( x ) f ( x1 )
  • 9.
    P( x )= L0 ( x ) f ( x0 ) + L1 ( x ) f ( x1 )  x−5  x−2 P( x ) =  ( 3 ) +  ( 8 )  2−5 5−2 5x − 1 P( x ) = 3 5× 4 −1 P( 4) = = 6.333 3
  • 10.
    The Lagrange interpolatingpolynomial passing through three given points; (x0, y0), (x1, y1) and (x2, y2) is: P( x ) = L0 ( x ) y0 + L1 ( x ) y1 + L2 ( x ) y2 P( x ) = L0 ( x ) f ( x0 ) + L1 ( x ) f ( x1 ) + L2 ( x ) f ( x2 )
  • 11.
    ( x −x1 )( x − x2 ) L0 ( x ) = ( x0 − x1 )( x0 − x2 ) At x0, L0(x) becomes 1. At all other given data points L0(x) is 0.
  • 12.
    ( x −x0 )( x − x2 ) L1 ( x ) = ( x1 − x0 )( x1 − x2 ) At x1, L1(x) becomes 1. At all other given data points L1(x) is 0.
  • 13.
    ( x −x0 )( x − x1 ) L2 ( x ) = ( x2 − x0 )( x2 − x1 ) At x2, L2(x) becomes 1. At all other given data points L2(x) is 0.
  • 14.
    General form ofthe Lagrange Interpolating Polynomial P( x ) = L0 ( x ) y0 + L1 ( x ) y1 + L2 ( x ) y2 + ........... + Ln ( x ) yn P( x ) = L0 ( x ) f ( x0 ) + L1 ( x ) f ( x1 ) + L2 ( x ) f ( x2 ) + ........... + Ln ( x ) f ( xn )
  • 15.
    ( x −x0 )( x − x1 )...( x − xk −1 )( x − xk +1 )...( x − xn ) Lk ( x ) = ( xk − x0 )( xk − x1 )...( xk − xk −1 )( x k − x k +1 )...( xk − xn ) ( x − xi ) Lk ( x ) = ∏ i =0 ( x k − xi ) n i ≠k
  • 16.
    Numerator of Lk (x ) ( x − x0 ) ( x − x1 ) ( x − x2 ) ×LL × ( x − xk −1 ) ( x − xk +1 ) × LL × ( x − xn −1 ) ( x − xn )
  • 17.
    Denominator of Lk (x ) ( xk − x0 ) ( xk − x1 ) ( xk − x2 ) ×LL × ( xk − xk −1 ) ( xk − xk +1 ) × LL × ( xk − xn −1 ) ( xk − xn )
  • 18.
    Find the LagrangeInterpolating Polynomial using the three given points. ( x0 , y0 ) = ( 2, 0.5) ( x1 , y1 ) = ( 2.5, 0.4) ( x2 , y2 ) = ( 4, 0.25)
  • 19.
    ( x −x1 )( x − x2 ) L0 ( x ) = ( x0 − x1 )( x0 − x2 ) ( x − 2.5)( x − 4) L0 ( x ) = ( 2 − 2.5)( 2 − 4) = x − 6.5 x + 10 2
  • 20.
    ( x −x0 )( x − x2 ) L1 ( x ) = ( x1 − x0 )( x1 − x2 ) ( x − 2)( x − 4) L1 ( x ) = ( 2.5 − 2)( 2.5 − 4) − x + 6x − 8 = 0.75 2
  • 21.
    ( x −x0 )( x − x1 ) L2 ( x ) = ( x2 − x0 )( x2 − x1 ) ( x − 2)( x − 2.5) L2 ( x ) = ( 4 − 2)( 4 − 2.5) x − 4. 5 x + 5 = 3 2
  • 22.
    P( x )= L0 ( x ) f ( x0 ) + L1 ( x ) f ( x1 ) + L2 ( x ) f ( x2 )
  • 23.
    ( ) P( x )= x − 6.5 x + 10 ( 0.5 ) 2  − x + 6x − 8  ( 0.4 ) +   0.75   2  x − 4 .5 x + 5  ( 0.25 ) +   3   2
  • 24.
    P( x )= 0.05 x − 0.425 x + 1.15 2 The three given points were taken from the function 1 f ( x) = x
  • 25.
    1 f ( 3)= = 0.333 3 An approximation can be obtained from the Lagrange Interpolating Polynomial as: P( 3) = 0.05( 3) − 0.425( 3) + 1.15 = 0.325 2
  • 26.
    Newton’s Interpolating Polynomials Newton’sequation of a function that passes through two points ( x0 , y 0 ) and ( x1 , y1 ) is P( x ) = a 0 + a1 ( x − x0 )
  • 27.
    P( x )= a 0 + a1 ( x − x0 ) Set x = x 0 P ( x0 ) = y0 = a0 Set x = x1 P ( x1 ) = y1 = a0 + a1 ( x1 − x0 )
  • 28.
    y1 − y0 a1 = x1 − x0 Newton’s equation of a function that passes through three points ( x0 , y 0 ) ( x1 , y1 ) is and ( x2 , y2 )
  • 29.
    P ( x) = a0 + a1 ( x − x0 ) + a2 ( x − x0 ) ( x − x1 ) a 2 , set x = x 2 P ( x2 ) = a0 + a1 ( x2 − x0 ) + a2 ( x2 − x0 ) ( x2 − x1 ) To find
  • 30.
    y2 − y1y1 − y0 − x2 − x1 x1 − x0 a2 = x2 − x0
  • 31.
    Newton’s equation ofa function that passes through four points can be written by adding a fourth term . P ( x ) = a0 + a1 ( x − x0 ) + a2 ( x − x0 ) ( x − x1 ) + a3 ( x − x0 ) ( x − x1 ) ( x − x2 )
  • 32.
    P ( x) = a0 + a1 ( x − x0 ) + a2 ( x − x0 ) ( x − x1 ) + a3 ( x − x0 ) ( x − x1 ) ( x − x2 ) The fourth term will vanish at all three previous points and, therefore, leaving all three previous coefficients intact.
  • 33.
    Divided differences andthe coefficients The divided difference of a function, f with respect to xi is denoted as f [ xi ] It is called as zeroth divided difference and is simply the value of the function, f at xi f [ xi ] = f ( xi )
  • 34.
    The divided differenceof a function, f with respect to xi and i +1 called as the first divided difference, is denoted x f [ xi , xi +1 ] f [ xi , xi +1 ] f [ xi +1 ] − f [ xi ] = xi +1 − xi
  • 35.
    The divided differenceof a function, f with respect to xi , i +1 and i +2 called as the second divided difference, is denoted as x x f [ xi , xi +1 , xi + 2 ] f [ xi , xi +1 , xi +2 ] f [ xi +1 , xi +2 ] − f [ xi , xi +1 ] = xi + 2 − xi
  • 36.
    The third divideddifference with respect to , , xi + 2 and i + 3 i i +1 x x f [ xi , xi +1 , xi +2 , xi +3 ] x f [ xi +1 , xi + 2 , xi +3 ] − f [ xi , xi +1 , xi + 2 ] = xi +3 − xi
  • 37.
    The coefficients ofNewton’s interpolating polynomial are: a0 = f [ x0 ] a1 = f [ x0 , x1 ] a 2 = f [ x0 , x1 , x 2 ] a3 = f [ x0 , x1 , x 2 , x3 ] a 4 = f [ x0 , x1 , x 2 , x3 , x 4 ] and so on.
  • 38.
  • 39.
    Example Find Newton’s interpolatingpolynomial to approximate a function whose 5 data points are given below. x f ( x) 2.0 0.85467 2.3 0.75682 2.6 0.43126 2.9 0.22364 3.2 0.08567
  • 40.
    i 0 xi f [ xi] 2.0 f [ xi −1 , xi ] f [ xi − 2 , xi −1 , xi ] f [ xi −3 , , xi ] f [ xi −4 , , xi ] 0.85467 -0.32617 1 2.3 0.75682 -1.26505 -1.08520 2 2.6 0.43126 2.13363 0.65522 -0.69207 3 2.9 0.22364 4 3.2 0.08567 -0.29808 0.38695 -0.45990 -2.02642
  • 41.
    The 5 coefficientsof the Newton’s interpolating polynomial are: a0 = f [ x0 ] = 0.85467 a1 = f [ x0 , x1 ] = −0.32617 a2 = f [ x0 , x1 , x2 ] = −1.26505 a3 = f [ x0 , x1 , x2 , x3 ] = 2.13363 a4 = f [ x0 , x1 , x2 , x3 , x4 ] = −2.02642
  • 42.
    P ( x) = a0 + a1 ( x − x0 ) + a2 ( x − x0 ) ( x − x1 ) + a3 ( x − x0 ) ( x − x1 ) ( x − x2 ) + a4 ( x − x0 ) ( x − x1 ) ( x − x2 ) ( x − x3 )
  • 43.
    P ( x) = 0.85467 − 0.32617 ( x − 2.0 ) -1.26505 ( x − 2.0 ) ( x − 2.3 ) + 2.13363 ( x − 2.0 ) ( x − 2.3) ( x − 2.6 ) −2.02642 ( x − 2.0 ) ( x − 2.3) ( x − 2.6 ) ( x − 2.9 ) P(x) can now be used to estimate the value of the function f(x) say at x = 2.8.
  • 44.
    P ( 2.8) = 0.85467 − 0.32617 ( 2.8 − 2.0 ) -1.26505 ( 2.8 − 2.0 ) ( 2.8 − 2.3 ) + 2.13363 ( 2.8 − 2.0 ) ( 2.8 − 2.3 ) ( 2.8 − 2.6 ) −2.02642 ( 2.8 − 2.0 ) ( 2.8 − 2.3) ( 2.8 − 2.6 ) ( 2.8 − 2.9 ) f ( 2.8 ) ≈ P ( 2.8 ) = 0.275