Numerical Methods and Analysis
Faruque Abdullah
Lecturer
Dept. of Civil Engineering
Dhaka International University
Roots of a equation
Roots of a equation is calculated by the following methods:
 Bi-section method
 Iteration method
 Method of false position/ Interpolation method
 Newton Raphson method, etc.
Bi-section/ Interval Halving Method(IVT)
IVT: If a function f(x) is continuous between a and b and f(a) and
f(b) is opposite sign, then there exists at least one root between a
and b.
f(x) = 𝑥4
- 2x;
f(2) = -ve
f(3) = +ve
 x =
𝑎+𝑏
2
=
2+3
2
= 2.5
Procedure:
Step-1: Choose a real two numbers a and b such that f(a)f(b)<0
Step-2: Set, 𝑥 𝑟 =
𝑎+ 𝑏
2
Step-3: a) If f(a) f(𝑥 𝑟) < 0, the root lies in the interval (a,𝑥 𝑟), Then
set b = 𝑥 𝑟 and go to step 2.
b) If f(a) f(𝑥 𝑟) > 0, the root lies in the interval (𝑥 𝑟,b), Then
set a = 𝑥 𝑟 and go to step 2.
c) If f(a) f(𝑥 𝑟) = 0, it means that 𝑥 𝑟 is a root of the
equation f(x) = 0 and the computation may be terminated.
Problem-1: Find a real root of the equation 𝑥3- 2x-5 = 0 by bi-section method
up to an accuracy of 10−4.
Solution: Let, f(x) = 𝑥3 - 2x -5
f(2) = 23 - 2.2 – 5 = -1
f(3) = 33
- 2.3 – 5 = 16
As f(2) is –ve and f(3) is +ve .
So f(2) f(3) < 0.
 Root lies between 2 and 3.
n a b 𝑥 𝑟 f(x)
(sign)
f(x)
1 2 3 2.5 +ve +5.63
2 2 2.5 2.25 +ve +1.89
3 2 2.25 2.125 +ve +0.34
4 2 2.125 2.0625 -ve -0.35
5 2.0625 2.125 2.09375 -ve -8.94 x10−3
6 2.09375 2.125 2.109375 +ve +0.17
7 2.09375 2.109375 2.1015625 +ve +0.08
8 2.09375 2.1015625 2.09765625 +ve +0.03
9 2.09375 2.09765625 2.095703125 +ve +0.01
10 2.09375 2.095703125 2.094726563 +ve +1.95 x 10−3
11 2.09375 2.094726563 2.094238282 -ve -3.5 x 10−3
12 2.094238282 2.094726563 2.094482423 -ve -7.7 x 10−4
Problem-2: Figure shows a uniform subject to a linearly increasing distributed load.
The equation of the resulting elastic curve , y =
𝑤0
120𝐸𝐼𝐿
(-𝑥5
+ 2𝐿2
𝑥3
-𝐿4
𝑥). Use bi-
section method to determine point of maximum deflection up to an accuracy of 10−10
.
Use the following parameter. E = 50000 KN/𝑐𝑚2, I = 30000 𝑐𝑚4, 𝑤0 = 2.5 KN/cm, L
= 3 m.
3 m
𝑤0
Solution: For maximum deflection,
𝑑𝑦
𝑑𝑥
= 0

𝑑𝑦
𝑑𝑥
=
𝑤0
120𝐸𝐼𝐿
x
𝑑𝑦
𝑑𝑥
(-𝑥5 + 2 𝐿2 𝑥3-𝐿4 𝑥)
=
𝑤0
120𝐸𝐼𝐿
x (-5𝑥4 + 6 𝐿2 𝑥2-𝐿4)
=
2.5
120 X 50000 X 30000 X 300
x (-5𝑥4 + 6. 3002 𝑥2-3004)
= 4.63 x 10−14 x (- 5𝑥4 + 540000 𝑥2- 3004)
Let, f(x) = 4.63 x 10−14
x (- 5𝑥4
+ 540000 𝑥2
- 3004
)
f(134) = -7.34 x 10−7
f(135) = 3.73 x 10−6
As f(134) is –ve and f(135) is +ve .
So f(134) f(135) < 0.
 Root lies between 134 and 135.
n a b 𝑥 𝑟 f(x)
(sign)
f(x)
1 134 135 134.5 +ve +1.5 x 10−6
2 134 134.5 134.25 +ve +3.84 10−7
3 134 134.25 134.125 -ve -1.75 x 10−7
4 134.125 134.25 134.1875 +ve +1.05 x 10−7
5 134.125 134.1875 134.15625 -ve -3.5 x 10−8
6 134.15625 134.1875 134.171875 +ve +3.5 x 10−8
7 134.15625 134.171875 134.1640625 -ve -7.22 x 10−11
Method of False Position
(0,0)
X
Y
[a, f(a)]
[b, f(b)]
f(x) 𝑦−𝑓(𝑎)
𝑥−𝑎
=
𝑓 𝑏 − 𝑓(𝑎)
𝑏−𝑎
Let, y = 0,
−𝑓(𝑎)
𝑥−𝑎
=
𝑓 𝑏 − 𝑓(𝑎)
𝑏−𝑎
 x-a = -
(𝑏−𝑎)𝑓(𝑎)
𝑓 𝑏 −𝑓(𝑎)
 x = a -
(𝑏−𝑎)𝑓(𝑎)
𝑓 𝑏 −𝑓(𝑎)
Derive the root of a curve f(x) by False Position method.
Newton Raphson Method
Let, 𝑥0 be a root of the function f(𝑥0) = 0 and assume that 𝑥1 = 𝑥0 + h be the correct
root of the function f(𝑥1) = 0.
𝑥1 = 𝑥0 + h -----------------(1)
f(𝑥1) = 0
f(𝑥0 + h) = 0-----------------(2)
Expanding eq (2) by Tailor’s series we get,
f(𝑥0) + h𝑓′(𝑥0) +
ℎ2
2!
𝑓′′(𝑥0) + ----- = 0
Neglecting 2nd and higher order derivatives,
f(𝑥0) + h𝑓′
(𝑥0) = 0
Or, h = -
f( 𝑥0)
𝑓′( 𝑥0)
From eq (1),
𝑥1 = 𝑥0 -
f( 𝑥0)
𝑓′( 𝑥0)
Similar approximation for 𝑥2, 𝑥3, ----, 𝑥 𝑛+1 we get,
𝑥2 = 𝑥1 -
f( 𝑥1)
𝑓′( 𝑥1)
𝑥3 = 𝑥2 -
f( 𝑥2)
𝑓′( 𝑥2)
-------------
𝑥 𝑛+1 = 𝑥 𝑛 -
f( 𝑥 𝑛)
𝑓′( 𝑥 𝑛)
This is Newton Raphson Formula.
Problem-3: Find a real root of the equation 𝑥3- 2x-5 = 0 by Newton Raphson
method.
Solution: Let, f(x) = 𝑥3 - 2x -5
f(𝑥 𝑛) = 𝑥 𝑛
3 - 2𝑥 𝑛 -5
𝑓′(𝑥 𝑛) = 3𝑥 𝑛
2
- 2
From Newton Raphson Formula,
𝑥 𝑛+1 = 𝑥 𝑛 -
f( 𝑥 𝑛)
𝑓′( 𝑥 𝑛)
= 𝑥 𝑛 -
𝑥 𝑛
3 − 2 𝑥 𝑛 −5
3𝑥 𝑛
2 − 2
Putting n=0,
𝑥1 = 𝑥0 -
𝑥0
3 − 2 𝑥0 −5
3𝑥0
2 − 2
Assume, 𝑥0 = 2
𝑥1 = 2 -
23 − 2(2) −5
3(22) − 2
= 2.1
𝑥2 = 2.1 -
2.13 − 2(2.1) −5
3(2.1)2 − 2
= 2.0946
𝑥3 = 2.0946 -
2.09463 − 2(2.0946) −5
3(2.0946)2 − 2
= 2.0946
Problem-4: You are designing a spherical tank to hold water for a small village in a
developing country. The volume of liquid can be calculated as V = πℎ2 [3𝑅−ℎ]
3
. If R = 3
m, to what depth must the tank be filled so that it holds 30 𝑚3 water?
Solution: V = πℎ2 [3𝑅−ℎ]
3
=> 30 = πℎ2 [3.3−ℎ]
3
=> 90 = πℎ2(9-h)
=>
90
𝜋
= 9ℎ2 - ℎ3
=> ℎ3
- 9ℎ2
+ 28.65 = 0
Let, f(h) = ℎ3 - 9ℎ2 + 28.65
f(ℎ 𝑛) = ℎ 𝑛
3
- 9ℎ 𝑛
2
+ 28.65
𝑓′(ℎ 𝑛) = 3ℎ 𝑛
2
- 18ℎ 𝑛
From Newton Raphson Formula,
ℎ 𝑛+1 = ℎ 𝑛 -
f(ℎ 𝑛)
𝑓′(ℎ 𝑛)
= ℎ 𝑛 -
ℎ 𝑛
3
− 9ℎ 𝑛
2
+ 28.65
3ℎ 𝑛
2
−18ℎ 𝑛
Putting n=0,
ℎ1 = ℎ0 -
ℎ0
3
− 9ℎ0
2
+ 28.65
3ℎ0
2
− 18ℎ0
Assume, ℎ0 = 2
ℎ1 = 2 -
23 − 9(2)2+28.65
3(22) −18(2)
= 2.027
ℎ2 = 2.027 -
2.0273 − 9(2.027)2+28.65
3(2.0272) −18(2.027)
= 2.02699
ℎ3 = 2.02699 -
2.026993 − 9(2.02699)2+28.65
3(2.026992) −18(2.02699)
= 2.02699
Required depth is 2.02699 m to hold 30 𝑚3 volume of water in the tank.
Interpolation
Interpolation Method
Forward difference table:
x y ∆ ∆2 ∆3 ∆4
∆5 ∆6
x0 y0
∆y0
x1 y1 ∆2y0
∆y1 ∆3y0
x2 y2 ∆2
y1 ∆4
y0
∆y2 ∆3
y1 ∆5
y0
x3 y3 ∆2
y2 ∆4
y1 ∆6
y0
∆y3 ∆3y2 ∆5y1
x4 y4 ∆2
y3 ∆4
y2
∆y4 ∆3y3
x5 y5 ∆2
y4
∆y5
x6 y6
∆y0 = y1 - y0
∆2
y0 = ∆y1 - ∆y0 = y2 - y1- y1 + y0 = y2 - 2y1 + y0
∆3
y0 = ∆2
y1 - ∆2
y0 = y3 - 2 y2 + y1 - y2 + 2 y1 - y0 = y3 - 3 y2 + 3 y1 - y0
--------------------------------------------Continue--------------------------------------------
Newton’s Formula for Forward Interpolation
Let, y = f(x) denote a function which takes the values from y0, y1, y2,
y3,……….., yn for the equidistance values x0, 𝑥1, 𝑥2, 𝑥3,……….., xn. Φ(x)
denote a function of polygonal for nth degree. As x is equidistance xi = x0 +
ih. Where, i = 1,2,3,…….,n.
x1 = x0 + h
=> (x1 - x0) = h
x2 = x0 + 2h
=> (x2 - x0) = 2h
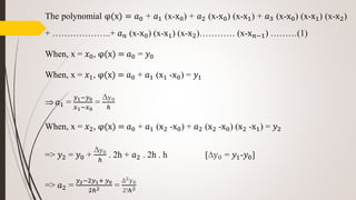
The polynomial φ(x) = 𝑎0 + 𝑎1 (x-x0) + 𝑎2 (x-x0) (x-x1) + 𝑎3 (x-x0) (x-x1) (x-x2)
+ ………………..+ 𝑎 𝑛 (x-x0) (x-x1) (x-x2)………… (x-x 𝑛−1) ………(1)
When, x = 𝑥0, φ(x) = 𝑎0 = 𝑦0
When, x = 𝑥1, φ(x) = 𝑎0 + 𝑎1 (x1 -x0) = 𝑦1
 𝑎1 =
𝑦1−𝑦0
𝑥1−𝑥0
=
∆y0
ℎ
When, x = 𝑥2, φ(x) = 𝑎0 + 𝑎1 (x2 -x0) + 𝑎2 (x2 -x0) (x2 -x1) = 𝑦2
=> 𝑦2 = 𝑦0 +
∆y0
ℎ
. 2h + 𝑎2 . 2h . h [∆y0 = 𝑦1-𝑦0]
=> 𝑎2 =
𝑦2−2𝑦1+ 𝑦0
2ℎ2 =
∆2y0
2!ℎ2
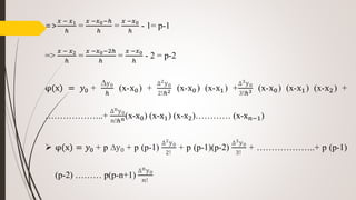
Similarly we can write,
𝑎3 =
∆3y0
3!ℎ3 ; 𝑎4 =
∆4y0
4!ℎ4 ; ……., 𝑎 𝑛 =
∆ny0
𝑛!ℎ 𝑛
Putting this value in eq (1), we get,
φ(x) = 𝑦0 +
∆y0
ℎ
(x-x0) +
∆2y0
2!ℎ2 (x-x0) (x-x1) +
∆3y0
3!ℎ3 (x-x0) (x-x1) (x-x2) +
………………..+
∆ny0
𝑛!ℎ 𝑛(x-x0) (x-x1) (x-x2)………… (x-x 𝑛−1)
Let us assume, x = x0 + ph
=> p =
𝑥 − 𝑥0
ℎ
=>
𝑥 − 𝑥1
ℎ
=
𝑥 −𝑥0−ℎ
ℎ
=
𝑥 −𝑥0
ℎ
- 1= p-1
=>
𝑥 − 𝑥2
ℎ
=
𝑥 −𝑥0−2ℎ
ℎ
=
𝑥 −𝑥0
ℎ
- 2 = p-2
φ(x) = 𝑦0 +
∆y0
ℎ
(x-x0) +
∆2y0
2!ℎ2 (x-x0) (x-x1) +
∆3y0
3!ℎ3 (x-x0) (x-x1) (x-x2) +
………………..+
∆ny0
𝑛!ℎ 𝑛(x-x0) (x-x1) (x-x2)………… (x-x 𝑛−1)
 φ(x) = 𝑦0 + p ∆y0 + p (p-1)
∆2y0
2!
+ p (p-1)(p-2)
∆3y0
3!
+ ………………..+ p (p-1)
(p-2) ……… p(p-n+1)
∆ny0
𝑛!
Problem-5: Find the cubic polynomial which takes the following values
y(1) = 24
y(3) = 120
y(5) = 336
y(7) = 720
Hence, obtain the values of y(8) by Newton’s Forward Interpolation method.
Solution: We make the forward difference table,
h = (x1 - x0) = 3 – 1 = 2
x = 𝑥0 + ph => p =
𝑥 − 𝑥0
ℎ
=> p =
8 −1
2
= 3.5
x y ∆ ∆2 ∆3
1 24
96
3 120 120
216 48
5 336 168
384
7 720
From Newton’s formula for forward interpolation,
y(x) = 𝑦0 + p∆ 𝑦0 + p (p-1)
∆2 𝑦0
2!
+ p (p-1) (p-2)
∆3 𝑦0
3!
=> y(8)= 24 + 3.5 x 96 + 3.5 (3.5-1) x
120
2!
+ 3.5 (3.5-1) (3.5-2) x
48
3!
= 990.
Problem-6: Find the cubic polynomial which takes the following values
y(1) = 24
y(3) = 120
y(5) = 336
y(7) = 720
Hence, obtain the values of y(6) by Newton’s Backward Interpolation method.
Newton’s Formula for Backward Interpolation
Solution: We make the backward difference table,
h = (x1 - x0) = 3 – 1 = 2
x = 𝑥 𝑛 + ph => p =
𝑥 − 𝑥 𝑛
ℎ
=> p =
6 −7
2
= -0.5
x y ∇ ∇ 2
∇ 3
1 24
96
3 120 120
216 48
5 336 168
384
7 720
From Newton’s formula for backward interpolation,
y(x) = 𝑦𝑛 + p∆ 𝑦𝑛 + p (p+1)
∆2 𝑦 𝑛
2!
+ p (p+1)(p+2)
∆3 𝑦 𝑛
3!
=> y(6)= 720 + (-0.5) x 384 + (-0.5) (-0.5+1) x
168
2!
+ (-0.5) (-0.5+1) (-0.5+2) x
48
3!
= 576.
Problem-6: The table shows the value of tanx for 0.1 ≤ x ≤ 0.3
Find, (a) tan(0.12) by Forward Interpolation Method
(b) tan(0.26) by Backward Interpolation Method.
x Y = tanx
0.10 0.1745
0.15 0.2618
0.20 0.3491
0.25 0.4363
0.30 0.5236
Solution: We make the forward difference table,
x y ∆ ∆2
∆3
∆4
0.10 0.1745
0.0873
0.15 0.2618 0
0.0873 0
0.20 0.3491 0 0
0.0873 0
0.25 0.4364 0
0.0873
0.30 0.5237
(a) h = (x1 - x0) = 0.15 – 0.10 = 0.05
x = 𝑥0 + ph => p =
𝑥 − 𝑥0
ℎ
=> p =
0.12 −0.10
0.05
= 0.4
For Newton’s Forward formula,
tan(0.12) = 𝑦0 + p∆ 𝑦0 + p (p-1)
∆2 𝑦0
2!
+ p (p-1) (p-2)
∆3 𝑦0
3!
+ p (p-1) (p-2) (p-3)
∆4 𝑦0
4!
= 0.1745 + 0.4 x 0.0873 + 0.4 (0.4-1)
0
2!
+ 0.4 (0.4-1) (0.4-2)
0
3!
+
0.4 (0.4-1) (0.4-2)
0
4!
= 0.2094
(b) h = (x1 - x0) = 0.15 – 0.10 = 0.05
x = 𝑥 𝑛 + ph => p =
𝑥 − 𝑥 𝑛
ℎ
=> p =
0.26 −0.30
0.05
= -0.8
For Newton’s Backward formula,
tan(0.26) = 𝑦𝑛 + p∆ 𝑦𝑛 + p (p+1)
∆2 𝑦 𝑛
2!
+ p (p+1) (p+2)
∆3 𝑦 𝑛
3!
+ p (p+1) (p+2) (p+3)
∆4 𝑦 𝑛
4!
= 0.5237 + -0.8 x 0.0873 + -0.8 (-0.8+1)
0
2!
- 0.8 (-0.8+1) (-0.8+2)
0
3!
-
0.8 (-0.8+1) (-0.8+2)
0
4!
= 0.4538
Problem-7: The discharge through a hydraulic structure for different values of
head (H) is shown in table.
Calculate discharge, Q for H=3 ft using Lagrange formula.
H (ft) 1.2 2.1 2.7 4.0
Q (cusec) 25 60 90 155
Solution: From Lagrange formula,
Q (cusec) =
(𝑥−𝑥1)(𝑥−𝑥2)(𝑥−𝑥3)
(𝑥0−𝑥1)(𝑥0−𝑥2)(𝑥0−𝑥3)
𝑦0 +
(𝑥−𝑥0)(𝑥−𝑥2)(𝑥−𝑥3)
(𝑥1−𝑥0)(𝑥1−𝑥2)(𝑥1−𝑥3)
𝑦1 +
(𝑥−𝑥0)(𝑥−𝑥1)(𝑥−𝑥3)
(𝑥2−𝑥0)(𝑥2−𝑥1)(𝑥2−𝑥3)
𝑦2 +
(𝑥−𝑥0)(𝑥−𝑥1)(𝑥−𝑥2)
(𝑥3−𝑥0)(𝑥3−𝑥1)(𝑥3−𝑥2)
𝑦3
=
(3−2.1)(3−2.7)(3−4)
(1.2−2.1)(1.2−2.7)(1.2−4)
25 +
(3−1.2)(3−2.7)(3−4)
(2.1−1.2)(2.1−2.7)(2.1−4)
60 +
(3−1.2)(3−2.1)(3−4)
2.7−1.2 2.7−2.1 (2.7−4)
90 +
(3−1.2)(3−2.1)(3−2.7)
(4−1.2)(4−2.1)(4−2.7)
155
= 1.78 – 31.58 + 124.62 + 10.89 = 105.71 cusec.
Exercise: The load bearing capacity on different penetration level is given
below.
Calculate Load for D = 3.00 cm using Lagrange formula.
D (cm) 2.35 2.75 3.30 3.60
Load (KN) 25 43 66 70
Solution: From Lagrange formula,
Q (cusec) =
(𝑥−𝑥1)(𝑥−𝑥2)(𝑥−𝑥3)
(𝑥0−𝑥1)(𝑥0−𝑥2)(𝑥0−𝑥3)
𝑦0 +
(𝑥−𝑥0)(𝑥−𝑥2)(𝑥−𝑥3)
(𝑥1−𝑥0)(𝑥1−𝑥2)(𝑥1−𝑥3)
𝑦1 +
(𝑥−𝑥0)(𝑥−𝑥1)(𝑥−𝑥3)
(𝑥2−𝑥0)(𝑥2−𝑥1)(𝑥2−𝑥3)
𝑦2 +
(𝑥−𝑥0)(𝑥−𝑥1)(𝑥−𝑥2)
(𝑥3−𝑥0)(𝑥3−𝑥1)(𝑥3−𝑥2)
𝑦3
=
(3−2.75)(3−3.30)(3−3.60)
(2.35−2.75)(2.35−3.30)(2.35−3.60)
25 +
(3−2.35)(3−3.30)(3−3.60)
(2.75−2.35)(2.75−3.30)(2.75−3.60)
43 +
(3−2.35)(3−2.75)(3−3.60)
3.30−2.35 3.30−2.75 (3.30−3.60)
66 +
(3−2.35)(3−2.75)(3−3.30)
(3.60−2.35)(3.60−2.75)(3.60−3.30)
70
= −2.37 + 26.90 + 41.05 −10.71
= 54.87 KN
Matrix
Problem-8: Solve the following equations by Gauss-Jordan Elimination method.
x + y + z = 5
2x + 3y +5z = 8
4x +5z = 2
Solution: The augmented matrix =
=
=
1 1 1 5
2 3 5 8
4 0 5 2
1 1 1 5
0 1 3 -2
4 0 5 2
𝑅2
′
= 𝑅2- 2𝑅1
1 1 1 5
0 1 3 -2
0 4 -1 18
𝑅3
′
= 4𝑅1- 𝑅3
1 1 1 5
0 1 3 -2
0 4 -1 18
𝑅3
′
= 4𝑅1- 𝑅3
1 1 1 5
0 1 3 -2
0 0 13 -26
𝑅3
′
= 4𝑅2- 𝑅3
1 1 1 5
0 1 3 -2
0 0 1 -2
13z = -26
=> Z = -2
𝑅2
′
= 𝑅2- 3𝑅3
=
1 1 1 5
0 1 0 4
0 0 1 -2
=
=
=
𝑅1
′
= 𝑅1 - 𝑅2- 𝑅3
1 0 0 3
0 1 0 4
0 0 1 -2
=
Example: Solve the following equations by Gauss-Jordan Elimination method.
5x + 2y + 3z = 1
2x + 2y = 7
8y + 7z = 14
Solution: The augmented matrix =
=
=
5 2 3 1
2 2 0 7
0 8 7 14
1 -2 3 -13
2 2 0 7
0 8 7 14
𝑅1
′
= 𝑅1- 2𝑅2
𝑅2
′
= 𝑅2- 2𝑅1
1 -2 3 -13
0 6 -6 33
0 8 7 14
𝑅2
′
= 1/6𝑅2
𝑅3
′
= 𝑅3- 8𝑅2
15z = -30
=> Z = -2
=
=
=
=
𝑅1
′
= 𝑅1 + 2𝑅2 -3𝑅3
1 -2 3 -13
0 6 -6 33
0 8 7 14
1 -2 3 -13
0 1 -1 5.5
0 8 7 14
1 -2 3 -13
0 1 -1 5.5
0 0 15 -30
1 -2 3 -13
0 1 -1 5.5
0 0 1 -2
=
1 -2 3 -13
0 1 0 3.5
0 0 1 -2
=
1 0 0 0
0 1 0 3.5
0 0 1 -2
𝑅2
′
= 𝑅2+ 𝑅3
Example: Solve the following equations by Gauss-Jordan Elimination method.
x + 3y + 6z = 12
2x + 3y = 16
x + 9z = 14
Solution: x = 8, y = 0, z = 2/3
Problem-9: Find whether the following system is consistent or not.
x - 4y + 5z = 8
3x + 7y - z = 3
x + 15y -11z = -14
Solution: Forming the matrix, A=
Now, A = 0 and ≠ 0.
r (A) = 2
1 -4 5
3 7 -1
1 15 -11
1 -4
3 7

Forming the augmented matrix, (A,b)=
Determinant of = 31≠ 0.
r (A,b) = 3
When, r (A,b) ≥ r(A), the equation will be inconsistence (No solution).
As, r(A) < r (A,b) ;
Hence the system is inconsistence.
1 -4 5 8
3 7 -1 3
1 15 -11 -14
-4 5 8
7 -1 3
15 -11 -14
Curve Fitting
Problem-10: In a laboratory the data of water demand with respect to population
is shown in the following table .
Population (thousand) 2.10 6.22 7.17 10.52 13.68
Water Demand (cumec) 2.90 3.83 5.98 5.71 7.74
Fit a straight line from this data to find the discharge for any corresponding area
using least square method.
Linear Curve Fitting
Solution:
i x y 𝑥2
xy
1 2.10 2.90 4.41 6.09
2 6.22 3.83 38.69 23.83
3 7.17 5.98 51.40 42.90
4 10.52 5.71 110.67 60.10
5 13.68 7.74 187.14 105.88
∑ 39.69 26.16 392.30 238.74
m𝑎0 + 𝑎1∑𝑥𝑖 = ∑𝑦𝑖 ………..(1)
𝑎0∑𝑥𝑖 + 𝑎1 ∑𝑥𝑖
2
= ∑𝑥𝑖 𝑦𝑖 ………..(2)
From eq (1), 5 𝑎0 + 39.69 𝑎1 = 26.16
From eq (2), 39.69 𝑎0 + 392.30 𝑎1 = 238.74
Solving the equation, 𝑎0 = 2.04 & 𝑎1 = 0.402
⸫ y = 𝑎0 + 𝑎1x = 2.04 + 0.402x
Non-Linear Curve Fitting
Problem-11: In a laboratory the deformation (mm) of a pre-stressed cantilever
beam with respect to distance (m) from the fixed support is shown below:
Fit a parabolic curve line from this data to find the deflection for any point from
the fixed support.
2
12
10
8
6
4
0.01
0.36
0.29
0.22
0.18
0.09
Solution:
i x y 𝑥2 𝑥3 𝑥4 xy 𝑥2y
1 2 0.01 4 8 16 0.02 0.04
2 4 0.09 16 64 256 0.36 1.44
3 6 0.18 36 216 1296 1.08 6.48
4 8 0.22 64 512 4096 1.76 14.08
5 10 0.29 100 1000 10000 2.90 29.00
6 12 0.36 144 1728 20736 4.32 51.84
∑ 42 1.15 364 3528 36400 10.44 102.88
m𝑎0 + 𝑎1∑𝑥𝑖 + 𝑎2 ∑𝑥𝑖
2 = ∑𝑦𝑖 ………..(1)
𝑎0∑𝑥𝑖 + 𝑎1 ∑𝑥𝑖
2
+ 𝑎2 ∑𝑥𝑖
3
= ∑𝑥𝑖 𝑦𝑖 ………..(2)
𝑎0∑ 𝑥𝑖
2
+ 𝑎1 ∑𝑥𝑖
3
+ 𝑎2 ∑𝑥𝑖
4
= ∑𝑥𝑖
2
𝑦𝑖 ………..(3)
From eq (1), 6 𝑎0 + 42 𝑎1 + 364 𝑎2 = 1.15
From eq (2), 42 𝑎0 + 364 𝑎1 + 3528 𝑎2 = 10.44
From eq (3), 364 𝑎0 + 3528 𝑎1 + 36400 𝑎2 = 102.88
Solving the equation, 𝑎0 = -0.069, 𝑎1 = 0.042 & 𝑎2 = -5.803 x 10−4
⸫ y = 𝑎0 + 𝑎1x + 𝑎2 𝑥2 = -0.069 + 0.042 x + -5.803 x 10−4 𝑥2
Distance (m) 2 4 6 8 10 12
Deflection (mm)
y = -0.069 + 0.042 x + -5.803 x 10−4
𝑥2
0.01 0.10 0.18 0.27 0.35 0.43
Original Value(mm) 0.01 0.09 0.18 0.22 0.29 0.36
Problem-12: Use 4 segment to calculate the are of a function f(x) = 0.2 + 25 x +
3𝑥2 + 2𝑥4 from a = 0 to b = 2 by using Trapezoidal rule and Simpson's rule and
determine percentage of error.
Solution: For four segment n = 4. So, the value of x will be 0.5, 1.0, 1.5, 2.0.
Using Trapezoidal rules,
0
2
𝑦𝑑𝑥 =
ℎ
2
[𝑦0+ 𝑦𝑛 + 2 (𝑦1 +……..+ 𝑦(𝑛−1))]
=
0.5
2
[ 0.2 + 94.2 + 2(13.575 + 30.2 + 54.575)] = 72.775 unit
x 0 0.5 1.0 1.5 2.0
y 0.2 13.575 30.2 54.575 94.2
Using Simpson’s rules,
0
2
𝑦𝑑𝑥 =
ℎ
3
[𝑦0+ 𝑦𝑛 + 4 (𝑦1 + 𝑦3 + 𝑦5 +……..+ 𝑦(𝑛−1)) + 2 (𝑦2 + 𝑦4 + 𝑦6 +
……..+ 𝑦(𝑛−2))]
=
0.5
3
[ 0.2 + 94.2 + 4(13.575 + 54.575) + 2 (30.2)] = 71.23 unit
Actual area by integration method,
0
2
𝑦𝑑𝑥 = 0
2
(0.2 + 25 x + 3𝑥2 + 2𝑥4)𝑑𝑥
= 0.2x + 25
𝑥2
2
+ 3
𝑥3
3
+ 2
𝑥5
5 0
2
= 71.2 unit
Percentage of error for Trapezoidal rule =
72.775 −71.2
71.2
x 100% = 2.21%
Percentage of error for Simpson’s rule =
721.23 −71.2
71.2
x 100% = 0.042%
Problem-13: A irrigation reservoir discharging through sluice at a depth h, below the
water surface as a surface area A, for various value of h as given below:
If t denotes the time in min & the rate of fall of the surface is given by
𝑑ℎ
𝑑𝑡
= -
48
𝐴
ℎ , estimate the time taken for the water level to fall from 14 ft to 10 ft above
the sluice.
Solution: Area of the water reservoir, A =
ℎ
2
[ 950 + 1530 + 2 (1070 + 1200 + 1350)]
= 4860 𝑓𝑡2
h (ft) 10 11 12 13 14
A (𝑓𝑡2
) 950 1070 1200 1350 1530
𝑑ℎ
𝑑𝑡
= -
48
𝐴
ℎ

𝑑ℎ
ℎ
1
2
= -
48
𝐴
dt
 10
14
ℎ−1
2 𝑑ℎ = -
48
𝐴 0
𝑡
𝑑𝑡
 [
ℎ
1
2
1
2
]
10
14
= -
48
4860
t
 t =
4860
48
x
0.58
1
2
= 117.45 min.

Numerical Methods and Analysis

  • 1.
    Numerical Methods andAnalysis Faruque Abdullah Lecturer Dept. of Civil Engineering Dhaka International University
  • 2.
    Roots of aequation Roots of a equation is calculated by the following methods:  Bi-section method  Iteration method  Method of false position/ Interpolation method  Newton Raphson method, etc.
  • 3.
    Bi-section/ Interval HalvingMethod(IVT) IVT: If a function f(x) is continuous between a and b and f(a) and f(b) is opposite sign, then there exists at least one root between a and b. f(x) = 𝑥4 - 2x; f(2) = -ve f(3) = +ve  x = 𝑎+𝑏 2 = 2+3 2 = 2.5
  • 4.
    Procedure: Step-1: Choose areal two numbers a and b such that f(a)f(b)<0 Step-2: Set, 𝑥 𝑟 = 𝑎+ 𝑏 2 Step-3: a) If f(a) f(𝑥 𝑟) < 0, the root lies in the interval (a,𝑥 𝑟), Then set b = 𝑥 𝑟 and go to step 2. b) If f(a) f(𝑥 𝑟) > 0, the root lies in the interval (𝑥 𝑟,b), Then set a = 𝑥 𝑟 and go to step 2. c) If f(a) f(𝑥 𝑟) = 0, it means that 𝑥 𝑟 is a root of the equation f(x) = 0 and the computation may be terminated.
  • 5.
    Problem-1: Find areal root of the equation 𝑥3- 2x-5 = 0 by bi-section method up to an accuracy of 10−4. Solution: Let, f(x) = 𝑥3 - 2x -5 f(2) = 23 - 2.2 – 5 = -1 f(3) = 33 - 2.3 – 5 = 16 As f(2) is –ve and f(3) is +ve . So f(2) f(3) < 0.  Root lies between 2 and 3.
  • 6.
    n a b𝑥 𝑟 f(x) (sign) f(x) 1 2 3 2.5 +ve +5.63 2 2 2.5 2.25 +ve +1.89 3 2 2.25 2.125 +ve +0.34 4 2 2.125 2.0625 -ve -0.35 5 2.0625 2.125 2.09375 -ve -8.94 x10−3 6 2.09375 2.125 2.109375 +ve +0.17 7 2.09375 2.109375 2.1015625 +ve +0.08 8 2.09375 2.1015625 2.09765625 +ve +0.03 9 2.09375 2.09765625 2.095703125 +ve +0.01 10 2.09375 2.095703125 2.094726563 +ve +1.95 x 10−3 11 2.09375 2.094726563 2.094238282 -ve -3.5 x 10−3 12 2.094238282 2.094726563 2.094482423 -ve -7.7 x 10−4
  • 7.
    Problem-2: Figure showsa uniform subject to a linearly increasing distributed load. The equation of the resulting elastic curve , y = 𝑤0 120𝐸𝐼𝐿 (-𝑥5 + 2𝐿2 𝑥3 -𝐿4 𝑥). Use bi- section method to determine point of maximum deflection up to an accuracy of 10−10 . Use the following parameter. E = 50000 KN/𝑐𝑚2, I = 30000 𝑐𝑚4, 𝑤0 = 2.5 KN/cm, L = 3 m. 3 m 𝑤0
  • 8.
    Solution: For maximumdeflection, 𝑑𝑦 𝑑𝑥 = 0  𝑑𝑦 𝑑𝑥 = 𝑤0 120𝐸𝐼𝐿 x 𝑑𝑦 𝑑𝑥 (-𝑥5 + 2 𝐿2 𝑥3-𝐿4 𝑥) = 𝑤0 120𝐸𝐼𝐿 x (-5𝑥4 + 6 𝐿2 𝑥2-𝐿4) = 2.5 120 X 50000 X 30000 X 300 x (-5𝑥4 + 6. 3002 𝑥2-3004) = 4.63 x 10−14 x (- 5𝑥4 + 540000 𝑥2- 3004)
  • 9.
    Let, f(x) =4.63 x 10−14 x (- 5𝑥4 + 540000 𝑥2 - 3004 ) f(134) = -7.34 x 10−7 f(135) = 3.73 x 10−6 As f(134) is –ve and f(135) is +ve . So f(134) f(135) < 0.  Root lies between 134 and 135.
  • 10.
    n a b𝑥 𝑟 f(x) (sign) f(x) 1 134 135 134.5 +ve +1.5 x 10−6 2 134 134.5 134.25 +ve +3.84 10−7 3 134 134.25 134.125 -ve -1.75 x 10−7 4 134.125 134.25 134.1875 +ve +1.05 x 10−7 5 134.125 134.1875 134.15625 -ve -3.5 x 10−8 6 134.15625 134.1875 134.171875 +ve +3.5 x 10−8 7 134.15625 134.171875 134.1640625 -ve -7.22 x 10−11
  • 11.
    Method of FalsePosition (0,0) X Y [a, f(a)] [b, f(b)] f(x) 𝑦−𝑓(𝑎) 𝑥−𝑎 = 𝑓 𝑏 − 𝑓(𝑎) 𝑏−𝑎 Let, y = 0, −𝑓(𝑎) 𝑥−𝑎 = 𝑓 𝑏 − 𝑓(𝑎) 𝑏−𝑎  x-a = - (𝑏−𝑎)𝑓(𝑎) 𝑓 𝑏 −𝑓(𝑎)  x = a - (𝑏−𝑎)𝑓(𝑎) 𝑓 𝑏 −𝑓(𝑎) Derive the root of a curve f(x) by False Position method.
  • 12.
    Newton Raphson Method Let,𝑥0 be a root of the function f(𝑥0) = 0 and assume that 𝑥1 = 𝑥0 + h be the correct root of the function f(𝑥1) = 0. 𝑥1 = 𝑥0 + h -----------------(1) f(𝑥1) = 0 f(𝑥0 + h) = 0-----------------(2) Expanding eq (2) by Tailor’s series we get, f(𝑥0) + h𝑓′(𝑥0) + ℎ2 2! 𝑓′′(𝑥0) + ----- = 0
  • 13.
    Neglecting 2nd andhigher order derivatives, f(𝑥0) + h𝑓′ (𝑥0) = 0 Or, h = - f( 𝑥0) 𝑓′( 𝑥0) From eq (1), 𝑥1 = 𝑥0 - f( 𝑥0) 𝑓′( 𝑥0) Similar approximation for 𝑥2, 𝑥3, ----, 𝑥 𝑛+1 we get, 𝑥2 = 𝑥1 - f( 𝑥1) 𝑓′( 𝑥1)
  • 14.
    𝑥3 = 𝑥2- f( 𝑥2) 𝑓′( 𝑥2) ------------- 𝑥 𝑛+1 = 𝑥 𝑛 - f( 𝑥 𝑛) 𝑓′( 𝑥 𝑛) This is Newton Raphson Formula.
  • 15.
    Problem-3: Find areal root of the equation 𝑥3- 2x-5 = 0 by Newton Raphson method. Solution: Let, f(x) = 𝑥3 - 2x -5 f(𝑥 𝑛) = 𝑥 𝑛 3 - 2𝑥 𝑛 -5 𝑓′(𝑥 𝑛) = 3𝑥 𝑛 2 - 2 From Newton Raphson Formula, 𝑥 𝑛+1 = 𝑥 𝑛 - f( 𝑥 𝑛) 𝑓′( 𝑥 𝑛) = 𝑥 𝑛 - 𝑥 𝑛 3 − 2 𝑥 𝑛 −5 3𝑥 𝑛 2 − 2
  • 16.
    Putting n=0, 𝑥1 =𝑥0 - 𝑥0 3 − 2 𝑥0 −5 3𝑥0 2 − 2 Assume, 𝑥0 = 2 𝑥1 = 2 - 23 − 2(2) −5 3(22) − 2 = 2.1 𝑥2 = 2.1 - 2.13 − 2(2.1) −5 3(2.1)2 − 2 = 2.0946 𝑥3 = 2.0946 - 2.09463 − 2(2.0946) −5 3(2.0946)2 − 2 = 2.0946
  • 17.
    Problem-4: You aredesigning a spherical tank to hold water for a small village in a developing country. The volume of liquid can be calculated as V = πℎ2 [3𝑅−ℎ] 3 . If R = 3 m, to what depth must the tank be filled so that it holds 30 𝑚3 water? Solution: V = πℎ2 [3𝑅−ℎ] 3 => 30 = πℎ2 [3.3−ℎ] 3 => 90 = πℎ2(9-h) => 90 𝜋 = 9ℎ2 - ℎ3 => ℎ3 - 9ℎ2 + 28.65 = 0
  • 18.
    Let, f(h) =ℎ3 - 9ℎ2 + 28.65 f(ℎ 𝑛) = ℎ 𝑛 3 - 9ℎ 𝑛 2 + 28.65 𝑓′(ℎ 𝑛) = 3ℎ 𝑛 2 - 18ℎ 𝑛 From Newton Raphson Formula, ℎ 𝑛+1 = ℎ 𝑛 - f(ℎ 𝑛) 𝑓′(ℎ 𝑛) = ℎ 𝑛 - ℎ 𝑛 3 − 9ℎ 𝑛 2 + 28.65 3ℎ 𝑛 2 −18ℎ 𝑛
  • 19.
    Putting n=0, ℎ1 =ℎ0 - ℎ0 3 − 9ℎ0 2 + 28.65 3ℎ0 2 − 18ℎ0 Assume, ℎ0 = 2 ℎ1 = 2 - 23 − 9(2)2+28.65 3(22) −18(2) = 2.027 ℎ2 = 2.027 - 2.0273 − 9(2.027)2+28.65 3(2.0272) −18(2.027) = 2.02699 ℎ3 = 2.02699 - 2.026993 − 9(2.02699)2+28.65 3(2.026992) −18(2.02699) = 2.02699 Required depth is 2.02699 m to hold 30 𝑚3 volume of water in the tank.
  • 20.
  • 21.
    Interpolation Method Forward differencetable: x y ∆ ∆2 ∆3 ∆4 ∆5 ∆6 x0 y0 ∆y0 x1 y1 ∆2y0 ∆y1 ∆3y0 x2 y2 ∆2 y1 ∆4 y0 ∆y2 ∆3 y1 ∆5 y0 x3 y3 ∆2 y2 ∆4 y1 ∆6 y0 ∆y3 ∆3y2 ∆5y1 x4 y4 ∆2 y3 ∆4 y2 ∆y4 ∆3y3 x5 y5 ∆2 y4 ∆y5 x6 y6
  • 22.
    ∆y0 = y1- y0 ∆2 y0 = ∆y1 - ∆y0 = y2 - y1- y1 + y0 = y2 - 2y1 + y0 ∆3 y0 = ∆2 y1 - ∆2 y0 = y3 - 2 y2 + y1 - y2 + 2 y1 - y0 = y3 - 3 y2 + 3 y1 - y0 --------------------------------------------Continue--------------------------------------------
  • 23.
    Newton’s Formula forForward Interpolation Let, y = f(x) denote a function which takes the values from y0, y1, y2, y3,……….., yn for the equidistance values x0, 𝑥1, 𝑥2, 𝑥3,……….., xn. Φ(x) denote a function of polygonal for nth degree. As x is equidistance xi = x0 + ih. Where, i = 1,2,3,…….,n. x1 = x0 + h => (x1 - x0) = h x2 = x0 + 2h => (x2 - x0) = 2h
  • 24.
    The polynomial φ(x)= 𝑎0 + 𝑎1 (x-x0) + 𝑎2 (x-x0) (x-x1) + 𝑎3 (x-x0) (x-x1) (x-x2) + ………………..+ 𝑎 𝑛 (x-x0) (x-x1) (x-x2)………… (x-x 𝑛−1) ………(1) When, x = 𝑥0, φ(x) = 𝑎0 = 𝑦0 When, x = 𝑥1, φ(x) = 𝑎0 + 𝑎1 (x1 -x0) = 𝑦1  𝑎1 = 𝑦1−𝑦0 𝑥1−𝑥0 = ∆y0 ℎ When, x = 𝑥2, φ(x) = 𝑎0 + 𝑎1 (x2 -x0) + 𝑎2 (x2 -x0) (x2 -x1) = 𝑦2 => 𝑦2 = 𝑦0 + ∆y0 ℎ . 2h + 𝑎2 . 2h . h [∆y0 = 𝑦1-𝑦0] => 𝑎2 = 𝑦2−2𝑦1+ 𝑦0 2ℎ2 = ∆2y0 2!ℎ2
  • 25.
    Similarly we canwrite, 𝑎3 = ∆3y0 3!ℎ3 ; 𝑎4 = ∆4y0 4!ℎ4 ; ……., 𝑎 𝑛 = ∆ny0 𝑛!ℎ 𝑛 Putting this value in eq (1), we get, φ(x) = 𝑦0 + ∆y0 ℎ (x-x0) + ∆2y0 2!ℎ2 (x-x0) (x-x1) + ∆3y0 3!ℎ3 (x-x0) (x-x1) (x-x2) + ………………..+ ∆ny0 𝑛!ℎ 𝑛(x-x0) (x-x1) (x-x2)………… (x-x 𝑛−1) Let us assume, x = x0 + ph => p = 𝑥 − 𝑥0 ℎ
  • 26.
    => 𝑥 − 𝑥1 ℎ = 𝑥−𝑥0−ℎ ℎ = 𝑥 −𝑥0 ℎ - 1= p-1 => 𝑥 − 𝑥2 ℎ = 𝑥 −𝑥0−2ℎ ℎ = 𝑥 −𝑥0 ℎ - 2 = p-2 φ(x) = 𝑦0 + ∆y0 ℎ (x-x0) + ∆2y0 2!ℎ2 (x-x0) (x-x1) + ∆3y0 3!ℎ3 (x-x0) (x-x1) (x-x2) + ………………..+ ∆ny0 𝑛!ℎ 𝑛(x-x0) (x-x1) (x-x2)………… (x-x 𝑛−1)  φ(x) = 𝑦0 + p ∆y0 + p (p-1) ∆2y0 2! + p (p-1)(p-2) ∆3y0 3! + ………………..+ p (p-1) (p-2) ……… p(p-n+1) ∆ny0 𝑛!
  • 27.
    Problem-5: Find thecubic polynomial which takes the following values y(1) = 24 y(3) = 120 y(5) = 336 y(7) = 720 Hence, obtain the values of y(8) by Newton’s Forward Interpolation method.
  • 28.
    Solution: We makethe forward difference table, h = (x1 - x0) = 3 – 1 = 2 x = 𝑥0 + ph => p = 𝑥 − 𝑥0 ℎ => p = 8 −1 2 = 3.5 x y ∆ ∆2 ∆3 1 24 96 3 120 120 216 48 5 336 168 384 7 720
  • 29.
    From Newton’s formulafor forward interpolation, y(x) = 𝑦0 + p∆ 𝑦0 + p (p-1) ∆2 𝑦0 2! + p (p-1) (p-2) ∆3 𝑦0 3! => y(8)= 24 + 3.5 x 96 + 3.5 (3.5-1) x 120 2! + 3.5 (3.5-1) (3.5-2) x 48 3! = 990.
  • 30.
    Problem-6: Find thecubic polynomial which takes the following values y(1) = 24 y(3) = 120 y(5) = 336 y(7) = 720 Hence, obtain the values of y(6) by Newton’s Backward Interpolation method. Newton’s Formula for Backward Interpolation
  • 31.
    Solution: We makethe backward difference table, h = (x1 - x0) = 3 – 1 = 2 x = 𝑥 𝑛 + ph => p = 𝑥 − 𝑥 𝑛 ℎ => p = 6 −7 2 = -0.5 x y ∇ ∇ 2 ∇ 3 1 24 96 3 120 120 216 48 5 336 168 384 7 720
  • 32.
    From Newton’s formulafor backward interpolation, y(x) = 𝑦𝑛 + p∆ 𝑦𝑛 + p (p+1) ∆2 𝑦 𝑛 2! + p (p+1)(p+2) ∆3 𝑦 𝑛 3! => y(6)= 720 + (-0.5) x 384 + (-0.5) (-0.5+1) x 168 2! + (-0.5) (-0.5+1) (-0.5+2) x 48 3! = 576.
  • 33.
    Problem-6: The tableshows the value of tanx for 0.1 ≤ x ≤ 0.3 Find, (a) tan(0.12) by Forward Interpolation Method (b) tan(0.26) by Backward Interpolation Method. x Y = tanx 0.10 0.1745 0.15 0.2618 0.20 0.3491 0.25 0.4363 0.30 0.5236
  • 34.
    Solution: We makethe forward difference table, x y ∆ ∆2 ∆3 ∆4 0.10 0.1745 0.0873 0.15 0.2618 0 0.0873 0 0.20 0.3491 0 0 0.0873 0 0.25 0.4364 0 0.0873 0.30 0.5237
  • 35.
    (a) h =(x1 - x0) = 0.15 – 0.10 = 0.05 x = 𝑥0 + ph => p = 𝑥 − 𝑥0 ℎ => p = 0.12 −0.10 0.05 = 0.4 For Newton’s Forward formula, tan(0.12) = 𝑦0 + p∆ 𝑦0 + p (p-1) ∆2 𝑦0 2! + p (p-1) (p-2) ∆3 𝑦0 3! + p (p-1) (p-2) (p-3) ∆4 𝑦0 4! = 0.1745 + 0.4 x 0.0873 + 0.4 (0.4-1) 0 2! + 0.4 (0.4-1) (0.4-2) 0 3! + 0.4 (0.4-1) (0.4-2) 0 4! = 0.2094
  • 36.
    (b) h =(x1 - x0) = 0.15 – 0.10 = 0.05 x = 𝑥 𝑛 + ph => p = 𝑥 − 𝑥 𝑛 ℎ => p = 0.26 −0.30 0.05 = -0.8 For Newton’s Backward formula, tan(0.26) = 𝑦𝑛 + p∆ 𝑦𝑛 + p (p+1) ∆2 𝑦 𝑛 2! + p (p+1) (p+2) ∆3 𝑦 𝑛 3! + p (p+1) (p+2) (p+3) ∆4 𝑦 𝑛 4! = 0.5237 + -0.8 x 0.0873 + -0.8 (-0.8+1) 0 2! - 0.8 (-0.8+1) (-0.8+2) 0 3! - 0.8 (-0.8+1) (-0.8+2) 0 4! = 0.4538
  • 37.
    Problem-7: The dischargethrough a hydraulic structure for different values of head (H) is shown in table. Calculate discharge, Q for H=3 ft using Lagrange formula. H (ft) 1.2 2.1 2.7 4.0 Q (cusec) 25 60 90 155
  • 38.
    Solution: From Lagrangeformula, Q (cusec) = (𝑥−𝑥1)(𝑥−𝑥2)(𝑥−𝑥3) (𝑥0−𝑥1)(𝑥0−𝑥2)(𝑥0−𝑥3) 𝑦0 + (𝑥−𝑥0)(𝑥−𝑥2)(𝑥−𝑥3) (𝑥1−𝑥0)(𝑥1−𝑥2)(𝑥1−𝑥3) 𝑦1 + (𝑥−𝑥0)(𝑥−𝑥1)(𝑥−𝑥3) (𝑥2−𝑥0)(𝑥2−𝑥1)(𝑥2−𝑥3) 𝑦2 + (𝑥−𝑥0)(𝑥−𝑥1)(𝑥−𝑥2) (𝑥3−𝑥0)(𝑥3−𝑥1)(𝑥3−𝑥2) 𝑦3 = (3−2.1)(3−2.7)(3−4) (1.2−2.1)(1.2−2.7)(1.2−4) 25 + (3−1.2)(3−2.7)(3−4) (2.1−1.2)(2.1−2.7)(2.1−4) 60 + (3−1.2)(3−2.1)(3−4) 2.7−1.2 2.7−2.1 (2.7−4) 90 + (3−1.2)(3−2.1)(3−2.7) (4−1.2)(4−2.1)(4−2.7) 155 = 1.78 – 31.58 + 124.62 + 10.89 = 105.71 cusec.
  • 39.
    Exercise: The loadbearing capacity on different penetration level is given below. Calculate Load for D = 3.00 cm using Lagrange formula. D (cm) 2.35 2.75 3.30 3.60 Load (KN) 25 43 66 70
  • 40.
    Solution: From Lagrangeformula, Q (cusec) = (𝑥−𝑥1)(𝑥−𝑥2)(𝑥−𝑥3) (𝑥0−𝑥1)(𝑥0−𝑥2)(𝑥0−𝑥3) 𝑦0 + (𝑥−𝑥0)(𝑥−𝑥2)(𝑥−𝑥3) (𝑥1−𝑥0)(𝑥1−𝑥2)(𝑥1−𝑥3) 𝑦1 + (𝑥−𝑥0)(𝑥−𝑥1)(𝑥−𝑥3) (𝑥2−𝑥0)(𝑥2−𝑥1)(𝑥2−𝑥3) 𝑦2 + (𝑥−𝑥0)(𝑥−𝑥1)(𝑥−𝑥2) (𝑥3−𝑥0)(𝑥3−𝑥1)(𝑥3−𝑥2) 𝑦3 = (3−2.75)(3−3.30)(3−3.60) (2.35−2.75)(2.35−3.30)(2.35−3.60) 25 + (3−2.35)(3−3.30)(3−3.60) (2.75−2.35)(2.75−3.30)(2.75−3.60) 43 + (3−2.35)(3−2.75)(3−3.60) 3.30−2.35 3.30−2.75 (3.30−3.60) 66 + (3−2.35)(3−2.75)(3−3.30) (3.60−2.35)(3.60−2.75)(3.60−3.30) 70 = −2.37 + 26.90 + 41.05 −10.71 = 54.87 KN
  • 41.
  • 42.
    Problem-8: Solve thefollowing equations by Gauss-Jordan Elimination method. x + y + z = 5 2x + 3y +5z = 8 4x +5z = 2 Solution: The augmented matrix = = = 1 1 1 5 2 3 5 8 4 0 5 2 1 1 1 5 0 1 3 -2 4 0 5 2 𝑅2 ′ = 𝑅2- 2𝑅1 1 1 1 5 0 1 3 -2 0 4 -1 18 𝑅3 ′ = 4𝑅1- 𝑅3
  • 43.
    1 1 15 0 1 3 -2 0 4 -1 18 𝑅3 ′ = 4𝑅1- 𝑅3 1 1 1 5 0 1 3 -2 0 0 13 -26 𝑅3 ′ = 4𝑅2- 𝑅3 1 1 1 5 0 1 3 -2 0 0 1 -2 13z = -26 => Z = -2 𝑅2 ′ = 𝑅2- 3𝑅3 = 1 1 1 5 0 1 0 4 0 0 1 -2 = = = 𝑅1 ′ = 𝑅1 - 𝑅2- 𝑅3 1 0 0 3 0 1 0 4 0 0 1 -2 =
  • 44.
    Example: Solve thefollowing equations by Gauss-Jordan Elimination method. 5x + 2y + 3z = 1 2x + 2y = 7 8y + 7z = 14 Solution: The augmented matrix = = = 5 2 3 1 2 2 0 7 0 8 7 14 1 -2 3 -13 2 2 0 7 0 8 7 14 𝑅1 ′ = 𝑅1- 2𝑅2 𝑅2 ′ = 𝑅2- 2𝑅1 1 -2 3 -13 0 6 -6 33 0 8 7 14
  • 45.
    𝑅2 ′ = 1/6𝑅2 𝑅3 ′ = 𝑅3-8𝑅2 15z = -30 => Z = -2 = = = = 𝑅1 ′ = 𝑅1 + 2𝑅2 -3𝑅3 1 -2 3 -13 0 6 -6 33 0 8 7 14 1 -2 3 -13 0 1 -1 5.5 0 8 7 14 1 -2 3 -13 0 1 -1 5.5 0 0 15 -30 1 -2 3 -13 0 1 -1 5.5 0 0 1 -2 = 1 -2 3 -13 0 1 0 3.5 0 0 1 -2 = 1 0 0 0 0 1 0 3.5 0 0 1 -2 𝑅2 ′ = 𝑅2+ 𝑅3
  • 46.
    Example: Solve thefollowing equations by Gauss-Jordan Elimination method. x + 3y + 6z = 12 2x + 3y = 16 x + 9z = 14 Solution: x = 8, y = 0, z = 2/3
  • 47.
    Problem-9: Find whetherthe following system is consistent or not. x - 4y + 5z = 8 3x + 7y - z = 3 x + 15y -11z = -14 Solution: Forming the matrix, A= Now, A = 0 and ≠ 0. r (A) = 2 1 -4 5 3 7 -1 1 15 -11 1 -4 3 7 
  • 48.
    Forming the augmentedmatrix, (A,b)= Determinant of = 31≠ 0. r (A,b) = 3 When, r (A,b) ≥ r(A), the equation will be inconsistence (No solution). As, r(A) < r (A,b) ; Hence the system is inconsistence. 1 -4 5 8 3 7 -1 3 1 15 -11 -14 -4 5 8 7 -1 3 15 -11 -14
  • 49.
  • 50.
    Problem-10: In alaboratory the data of water demand with respect to population is shown in the following table . Population (thousand) 2.10 6.22 7.17 10.52 13.68 Water Demand (cumec) 2.90 3.83 5.98 5.71 7.74 Fit a straight line from this data to find the discharge for any corresponding area using least square method. Linear Curve Fitting
  • 51.
    Solution: i x y𝑥2 xy 1 2.10 2.90 4.41 6.09 2 6.22 3.83 38.69 23.83 3 7.17 5.98 51.40 42.90 4 10.52 5.71 110.67 60.10 5 13.68 7.74 187.14 105.88 ∑ 39.69 26.16 392.30 238.74 m𝑎0 + 𝑎1∑𝑥𝑖 = ∑𝑦𝑖 ………..(1) 𝑎0∑𝑥𝑖 + 𝑎1 ∑𝑥𝑖 2 = ∑𝑥𝑖 𝑦𝑖 ………..(2) From eq (1), 5 𝑎0 + 39.69 𝑎1 = 26.16 From eq (2), 39.69 𝑎0 + 392.30 𝑎1 = 238.74 Solving the equation, 𝑎0 = 2.04 & 𝑎1 = 0.402 ⸫ y = 𝑎0 + 𝑎1x = 2.04 + 0.402x
  • 52.
    Non-Linear Curve Fitting Problem-11:In a laboratory the deformation (mm) of a pre-stressed cantilever beam with respect to distance (m) from the fixed support is shown below: Fit a parabolic curve line from this data to find the deflection for any point from the fixed support. 2 12 10 8 6 4 0.01 0.36 0.29 0.22 0.18 0.09
  • 53.
    Solution: i x y𝑥2 𝑥3 𝑥4 xy 𝑥2y 1 2 0.01 4 8 16 0.02 0.04 2 4 0.09 16 64 256 0.36 1.44 3 6 0.18 36 216 1296 1.08 6.48 4 8 0.22 64 512 4096 1.76 14.08 5 10 0.29 100 1000 10000 2.90 29.00 6 12 0.36 144 1728 20736 4.32 51.84 ∑ 42 1.15 364 3528 36400 10.44 102.88 m𝑎0 + 𝑎1∑𝑥𝑖 + 𝑎2 ∑𝑥𝑖 2 = ∑𝑦𝑖 ………..(1) 𝑎0∑𝑥𝑖 + 𝑎1 ∑𝑥𝑖 2 + 𝑎2 ∑𝑥𝑖 3 = ∑𝑥𝑖 𝑦𝑖 ………..(2) 𝑎0∑ 𝑥𝑖 2 + 𝑎1 ∑𝑥𝑖 3 + 𝑎2 ∑𝑥𝑖 4 = ∑𝑥𝑖 2 𝑦𝑖 ………..(3)
  • 54.
    From eq (1),6 𝑎0 + 42 𝑎1 + 364 𝑎2 = 1.15 From eq (2), 42 𝑎0 + 364 𝑎1 + 3528 𝑎2 = 10.44 From eq (3), 364 𝑎0 + 3528 𝑎1 + 36400 𝑎2 = 102.88 Solving the equation, 𝑎0 = -0.069, 𝑎1 = 0.042 & 𝑎2 = -5.803 x 10−4 ⸫ y = 𝑎0 + 𝑎1x + 𝑎2 𝑥2 = -0.069 + 0.042 x + -5.803 x 10−4 𝑥2 Distance (m) 2 4 6 8 10 12 Deflection (mm) y = -0.069 + 0.042 x + -5.803 x 10−4 𝑥2 0.01 0.10 0.18 0.27 0.35 0.43 Original Value(mm) 0.01 0.09 0.18 0.22 0.29 0.36
  • 55.
    Problem-12: Use 4segment to calculate the are of a function f(x) = 0.2 + 25 x + 3𝑥2 + 2𝑥4 from a = 0 to b = 2 by using Trapezoidal rule and Simpson's rule and determine percentage of error. Solution: For four segment n = 4. So, the value of x will be 0.5, 1.0, 1.5, 2.0. Using Trapezoidal rules, 0 2 𝑦𝑑𝑥 = ℎ 2 [𝑦0+ 𝑦𝑛 + 2 (𝑦1 +……..+ 𝑦(𝑛−1))] = 0.5 2 [ 0.2 + 94.2 + 2(13.575 + 30.2 + 54.575)] = 72.775 unit x 0 0.5 1.0 1.5 2.0 y 0.2 13.575 30.2 54.575 94.2
  • 56.
    Using Simpson’s rules, 0 2 𝑦𝑑𝑥= ℎ 3 [𝑦0+ 𝑦𝑛 + 4 (𝑦1 + 𝑦3 + 𝑦5 +……..+ 𝑦(𝑛−1)) + 2 (𝑦2 + 𝑦4 + 𝑦6 + ……..+ 𝑦(𝑛−2))] = 0.5 3 [ 0.2 + 94.2 + 4(13.575 + 54.575) + 2 (30.2)] = 71.23 unit Actual area by integration method, 0 2 𝑦𝑑𝑥 = 0 2 (0.2 + 25 x + 3𝑥2 + 2𝑥4)𝑑𝑥 = 0.2x + 25 𝑥2 2 + 3 𝑥3 3 + 2 𝑥5 5 0 2 = 71.2 unit Percentage of error for Trapezoidal rule = 72.775 −71.2 71.2 x 100% = 2.21% Percentage of error for Simpson’s rule = 721.23 −71.2 71.2 x 100% = 0.042%
  • 57.
    Problem-13: A irrigationreservoir discharging through sluice at a depth h, below the water surface as a surface area A, for various value of h as given below: If t denotes the time in min & the rate of fall of the surface is given by 𝑑ℎ 𝑑𝑡 = - 48 𝐴 ℎ , estimate the time taken for the water level to fall from 14 ft to 10 ft above the sluice. Solution: Area of the water reservoir, A = ℎ 2 [ 950 + 1530 + 2 (1070 + 1200 + 1350)] = 4860 𝑓𝑡2 h (ft) 10 11 12 13 14 A (𝑓𝑡2 ) 950 1070 1200 1350 1530
  • 58.
    𝑑ℎ 𝑑𝑡 = - 48 𝐴 ℎ  𝑑ℎ ℎ 1 2 = - 48 𝐴 dt 10 14 ℎ−1 2 𝑑ℎ = - 48 𝐴 0 𝑡 𝑑𝑡  [ ℎ 1 2 1 2 ] 10 14 = - 48 4860 t  t = 4860 48 x 0.58 1 2 = 117.45 min.