1
Complex Variables
SOLO HERMELIN
Updated: 11.05.07
28.10.12
http://www.solohermelin.com
2
SOLO Complex Variables
Table of Contents
Set of Numbers – Examples
Fundamentals Operations with Complex Numbers z = x + i y
Axiomatic Foundations of the Complex Number System ( ) R∈= babaz ,,
History of Complex Numbers
Derivatives
Cauchy-Riemann Equations
Harmonic Functions
Orthogonal Families
Singular Points
Complex Line Integrals
Simply and Multiply Connected Regions
Green’s Theorem in the Plane
Consequences of Green’s Theorem in the Plane
Cauchy’s Theorem
Cauchy-Goursat Theorem
Consequences of Cauchy-Goursat Theorem
SOLO Complex Variables
Table of Contents (continue - 1)
Cauchy’s Integral Formulas and Related Theorems
Cauchy’s Integral Formulas
Cauchy’s Integral Formulas for the n Derivative of a Function
Morera’s Theorem (the converse of Cauchy’s theorem)
Cauchy’s Inequality
Liouville’s Theorem
Foundamental Theorem of Algebra
Gauss’ Mean Value Theorem
Maximum Modulus Theorem
Minimum Modulus Theorem
Poisson’s Integral Formulas for a Circle
Poisson’s Integral Formulas for a Half Plane
4
SOLO Complex Variables
Table of Contents (continue - 2)
Theorems of Convergence of Sequences and Series
Convergence Tests
Cauchy Root Test
D’Alembert or Cauchy Ratio Test
Maclaurin or Euler Integral Test
Kummer’s Test
Raabe’s Test
Gauss’ s Test
Infinite Series, Taylor’s and Laurent Series
Infinite Series of Functions
Absolute Convergence of Series of Functions
Uniformly Convergence of Sequences and Series
Weierstrass M (Majorant) Test
Abel’s Test
Uniformly Convergent Series of Analytic Functions
Taylor’s Series
Laurent’s Series (1843)
5
SOLO Complex Variables
Table of Contents (continue - 3)
5
The Argument Theorem
Rouché’s Theorem
Foundamental Theorem of Algebra (using Rouché’s Theorem)
Zeros of Holomorphic Functions
Theorem: f(z) Analytic and Nonzero → ln|f(z)| Harmonic
Polynomial Theorem
Jensen’s Formula
Poisson-Jensen’s Formula for a Disk
6
SOLO Complex Variables
Table of Contents (continue - 4)
Calculation of the Residues
The Residue Theorem, Evaluations of Integral and Series
The Residue Theorem
Evaluation of Integrals
Jordan’s Lemma
Integral of the Type Bromwwich-Wagner
Integral of the Type ,F (sin θ, cos θ) is a
rational function of sin θ and cos θ
( )∫
π
θθθ
2
0
cos,sin dF
Definite Integrals of the Type .( )∫
+∞
∞−
xdxF
Cauchy’s Principal Value
Differentiation Under Integral Sign, Leibnitz’s Rule
Summation of Series
Infinite Products
The Mittag-Leffler and Weierstrass , Hadamard Theorems
The Weierstrass Factorization Theorem
The Hadamard Factorization Theorem
Mittag-Leffler’s Expansion Theorem
Analytic Continuation
Conformal Mapping
7
SOLO Complex Variables
Douglas N. Arnold
Gamma Function
Bernoulli Numbers
Fourier Transform
Laplace Transform
Z Transform
Mellin Transform
Hilbert Transform
Zeta Function
Table of Contents (continue - 5)
Applications of Complex Analysis
References
8
SOLO Algebra
Set of Numbers – Examples
{ }+∞<<∞−= xnumberrealaisxx ,:R Set of real numbers
{ }+∞<<−∞−=+== yxiyixznumbercomplexaiszzC ,,1,,: Set of complex numbers
{ } ,3,2,1,0,1,2,3,,: −−−= integeranisiiZ
Set of integers
{ },3,2,1,0,0: integernaturalaisnnN ≥= Set of positive integers
or natural numbers
{ }0,,,/: ≠∈== qZqpwhereqprrQ Set of rational numbers
We have:
CZN ⊂⊂⊂ R
{ }QxxIR −∈= R: Set of irrational numbers
∅== IRQIRQ  &R
9
SOLO Complex Variables
Complex numbers can result by solving algebraic equations
a
cabb
x
2
42
1
−−−
=
a
cabb
x
2
42
2
−+−
=
042
>−=∆ cab
a
b
xx
2
21
−
==
042
=−=∆ cab
042
<−=∆ caby
x
cxbxay ++= 2
a
bcaib
x
2
4 2
2,1
−+−
=
y
x
dxcxbxay +++= 23
Three real roots for y = 0
One real & two complex
roots for y = 0
πki
ez 25
1==
y
x
5
2
2
π
i
ez =
5
2
2
2
π
i
ez =
5
2
3
3
π
i
ez =
5
2
4
4
π
i
ez =
11
=z

72

72

72

72

72
1. Quadratic equations
2. Cubic equations
3. Equation
Examples
02
=++ cxbxa
023
=+++ dxcxbxa
015
=−x
Return to Table of Contents
10
SOLO Complex Variables
Fundamentals Operations with Complex Numbers z = x + i y
( )
1
,sincos
, 2
−=



==+
==+
= i
ArgumentModulusi
partImaginaryypartRealxyix
z
θρθθρ
θ
ρ i
eyixz =+=
y
x
ρ
θ
Division
Addition ( ) ( ) ( ) ( )dbicadicbia +++=+++
Subtraction ( ) ( ) ( ) ( )dbicadicbia −+−=+−+
Multiplication ( ) ( ) ( ) ( )cbdaidbcadbicbidaicadicbia ++−=+++=++ 2
( )
( )
( )
( )
( )
( )
( ) ( )
( ) ( )dccdidc
dacbidbca
dic
dic
dic
bia
dic
bia
−++
−++
=
−
−
+
+
=
+
+
22
( )
( )
( )
( )
( )
( )
022
2222
≠+
+
−
+
+
+
=
+
+
dc
dc
dacb
i
dc
dbca
dic
bia
Conjugate ( )θθρ sincos:*
iyixz −=−=
Absolute Value ρ==+= *22
: zzyxz
θ
ρ i
eyixz −
=−=:*
θ
ρ i
eyixz =+=:
x
y
ρ
ρ
θ
θ−
11
SOLO Complex Variables
Fundamentals Operations with Complex Numbers z = x + i y
θ
ρ i
eyixz =+=
y
x
ρ
θ
Polar Form of a Complex Number
Multiplication
Division
( )2121
212121
θθθθ
ρρρρ +
=⋅=⋅ iii
eeezz
*22
zzyxz =+==ρ
( )θθρ sincos: iyixz +=+=
( )xy /tan 1−
=θ
( )2121
212121 /// θθθθ
ρρρρ −
== iii
eeezz
Euler’s Formula
( ) ( ) ( )
( )
( )
( )
( )
( )θθ
θθθθθθ
θθθ
θθ
θ
sincos
!12
1
!3!1!2
1
!4!2
1
!!2!1
1
sin
123
cos
242
2
i
k
i
k
n
iii
e
k
k
k
k
n
i
+=












+
+
−++−++−+++−=
+++++=
+
  

  


Leonhard Euler
1707- 1783
( )
1
,sincos
, 2
−=



==+
==+
= i
ArgumentModulusi
partImaginaryypartRealxyix
z
θρθθρ
12
SOLO Complex Variables
Fundamentals Operations with Complex Numbers z = x + i y
1
,
, 2
−=



==
==+
= i
ArgumentModuluse
partImaginaryypartRealxyix
z i
θρρ θ
θ
ρ i
eyixz =+=
y
x
ρ
θ
Polar Form of a Complex Number θ
ρ i
eyixz =+=:
De Moivre Theorem
( )[ ] ( )
( )θθρρ
ρθθρ
θ
θ
nine
eiz
nnin
ninn
sincos
sincos
+==
=+=
Roots of a Complex Number
[ ]
( ) ( )[ ]
1.2.1.0
2
sin
2
cos
sincos
/1
/1/12/1
−=










 +
+




 +
=
+== +
nk
n
k
i
n
k
iez
n
nnkin

πθπθ
ρ
θθρρ πθ
πki
ez 25
1==
y
x
5
2
2
π
i
ez =
5
2
2
2
π
i
ez =
5
2
3
3
π
i
ez =
5
2
4
4
π
i
ez =
11
=z

72

72

72

72

72
Abraham De Moivre
1667 - 1754
Return to Table of Contents
13
SOLO Complex Variables
Axiomatic Foundations of the Complex Number System ( ) R∈= babaz ,,
Definition of Complex System:
From those relation, for any complex numbers z1,z2,z3 ∈ C we obtain:
CzzCzzCzz ∈∀∈⋅∈+ 212121
,& Closure Law1
1221
zzzz +=+ Commutative Law of Addition2
( ) ( ) 312321
zzzzzz ++=++ Associative Law of Addition3
1221
zzzz ⋅=⋅ Commutative Law of Multiplication4
( ) ( ) 312321
zzzzzz ⋅⋅=⋅⋅ Associative Law of Multiplication5
( ) 3121321
zzzzzzz ⋅+⋅=+⋅ Distributive Law6
111
00 zzz =+=+ 111
11 zzz =⋅=⋅7
0.. 11
=+∈∃∈∀ zztsCzuniqueCz zz −=18
1..0 11
=⋅∈∃∈≠∀ zztsCzuniqueCz zzz /11
1
== −
9
Equality ( ) ( ) dbcadcba ==⇔= ,,,A
Sum ( ) ( ) ( ) ( )dbcadcba +++=+ ,,B
Product ( ) ( ) ( )cbdadbcadcba +−=⋅ ,,, ( ) ( ) R∈= mbmambam &,,C
Return to Table of Contents
14
SOLO Complex Variables
History of Complex Numbers
Brahmagupta (598-670) writes Khandakhadyaka
(665) which solves quadratic equations and allows
for the possibility of negative solutions.
Brahmagupta
598 - 670
Brahmagupta also solves quadratic equations of the type
a x2
+ c = y2
and a x2
- c = y2
. For example he solves 8x2
+ 1 = y2
obtaining the solutions (x,y) = (1,3), (6,17), (35,99), (204,577),
(1189,3363), ... For the equation 11x2
+ 1 = y2
Brahmagupta
obtained the solutions (x,y) = (3,10), (161/5,534/5), ... He also
solves 61x2
+ 1 = y2
which is particularly elegant having x =
226153980, y = 1766319049 as its smallest solution.
15
SOLO Complex Variables
History of Complex Numbers
Abraham bar Hiyya Ha-Nasi ‫הנשיא‬ ‫חייא‬ ‫בר‬ ‫אברהם‬
writes the work Hibbur ha-Meshihah ve-ha-Tishboret
‫והתשבורת‬ ‫המשיחה‬ ‫חבור‬ , translated in 1145 into Latin as Liber
embadorum, which presents the first complete solution to the
quadratic equation.
Abraham bar Hiyya Ha-Nasi (‫הנשיא‬ ‫חייא‬ ‫בר‬ ‫אברהם‬ Abraham son of
[Rabbi] Hiyya "the Prince") (1070 - 1136?) was a Spaish Jewish
Mathematician and astronomer, also known as Savasorda (from the
Arabic ‫الشرطة‬ ‫صاحب‬ Sâhib ash-Shurta "Chief of the Guard"). He
lived in Barcelona.
Abraham bar iyya ha-NasiḤ [2]
(1070 – 1136 or 1145)
16
SOLO Complex Variables
History of Complex Numbers
Nicolas Chuquet (1445 – 1488)
Chuquet wrote an important text Triparty en la science des nombres.
This is the earliest French algebra book .
The Triparty en la science des nombres (1484) covers arithmetic and
algebra. It was not printed however until 1880 so was of little
influence. The first part deals with arithmetic and includes work on
fractions, progressions, perfect numbers, proportion etc. In this work
negative numbers, used as coefficients, exponents and solutions,
appear for the first time. Zero is used and his rules for arithmetical
operations includes zero and negative numbers. He also uses x0 = 1
for any number x.
The sections on equations cover quadratic equations where he
discusses two solutions.
17
SOLO Complex Variables
History of Complex Numbers
Girolamo Cardano
1501 - 1576
Nicolo Fontana Tartaglia
1500 - 1557
Solution of cubic equation x3
+ b x2
+c x +d = 0
The first person to solve the cubic equation x3
+b x = c was
Scipione del Ferro (1465 – 1526), but he told the solution only
to few people, including his student Antonio Maria Fior.
Nicolo Fontana Tartaglia, prompted by the rumors, manage
to solve the cubic equation x3
+b x2
= -d and made no secret of
his discovery.
Fior challenged Tartaglia, in 1535, to a public contest, each one
had to solve 30 problems proposed by the other in 40 to 50 days.
Tartaglia managed to solve his problems of type x3
+m x = n in
about two hours, and won the contest.
News of Tartaglia victory reached Girolamo Cardan in Milan,
where he was preparing to publish Practica Arithmeticae (1539).
Cardan invited Tartaglia to visid him and, after much persuasion,
made him to divulge his solution of the cubic equation. Tartaglia
made Cartan promise to keep the secret until Tartaglia had
published it himself.
18
SOLO Complex Variables
History of Complex Numbers
Girolamo Cardano
1501 - 1576
Nicolo Fontana Tartaglia
1500 - 1557
Solution of cubic equation x3
+ b x2
+c x +d = 0
After Tartaglia showed Cardan how to solve cubic equations,
Cartan encouraged his student Lodovico Ferrari (1522 – 1565)
to use those result and solve quartic equations x4
+p x2
+q x +r=0.
Since Tartaglia didn’t publish his results and after hearing from
Hannibal Della Nave that Scipione del Ferro first solve cubic
equations, Cardan pubished in 1545 in Ars Magna (The Great Art)
the solutions of the cubic (credit given to Tartaglia) and quartic
equations.
This led to another competition between Tartaglia and
Cardano, for which the latter did not show up but was
represented by his student Lodovico Ferrari.
Ferrari did better than Tartaglia in the competition, and
Tartaglia lost both his prestige and income.
19
SOLO Complex Variables
History of Complex Numbers
Solution of cubic equation x3
+ b x2
+c x +d = 0
023
=+++ dxcxbx
3/bxy −=
→
0
27
2
33
393
2
273333
33
2
3
3
22
32
23
23
=−+=





+−+





−+=
+−++−+−+−=+





−+





−+





−
−
nymyb
cb
dy
b
cy
d
cb
yc
b
ybyb
b
y
b
ybyd
b
yc
b
yb
b
y
nm
  
Equivalence between x3
+ b x2
+c x +d = 0 and y3
+m y = n (depressed cubic equation)
Solutions of y3
+m y = n
Start from the identity: ( )  ( ) nymybabababa
nymy
=+→−=−+− 3333
3 
0
27273
3
3
36
3
3
333
=−−→−=−==→=
m
ana
a
m
aban
a
m
bbam
3
32
3,2,13,2,1
2742
mnn
wa +±=






















+±
−





+±=−=
3
32
3
32
3,2,13,2,1
342
3
3423
mnn
m
mnn
w
a
m
ay
2
31
,
2
31
,13
3,2,1
ii
ew ki
k
+−
===
π
20
SOLO Complex Variables
History of Complex Numbers
Solution of cubic equation x3
+ b x2
+c x +d = 0
















++





+±=






















−





−











+
−





+±=






















+±
−





+±=−=
3
32
3
32
3,2,1
3
322
3
32
3
32
3,2,1
3
32
3
32
3,2,13,2,1
342342
322
342
3342
342
3
3423
mnnmnn
w
mnn
mnn
mmnn
w
mnn
m
mnn
w
a
m
ay


2
31
,
2
31
,1
342342
3
3,2,1
3
32
3
32
3,2,13,2,1
ii
ew
mnnmnn
wy ki
k
+−
==
















+−+





++= =
π
Solutions of y3
+m y = n
Note:
Tartaglia and
Cardano knew
only the solution
w1 = 1
21
SOLO Complex Variables
History of Complex Numbers
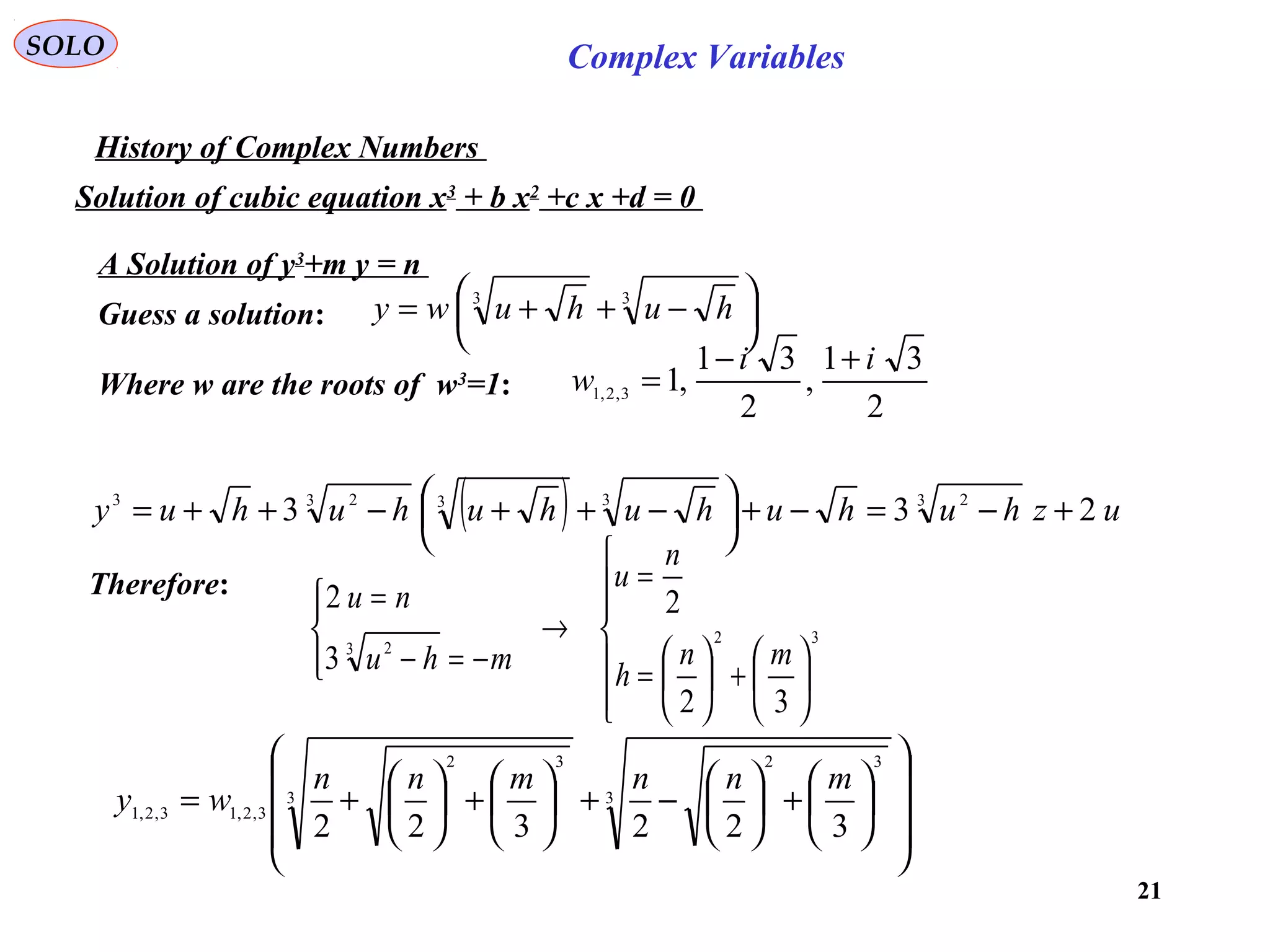
Solution of cubic equation x3
+ b x2
+c x +d = 0
A Solution of y3
+m y = n
Guess a solution: 




 −++= 33
huhuwy
( ) uzhuhuhuhuhuhuy 233 3 2333 23
+−=−+




 −++−++=
Therefore:













+





=
=
→




−=−
=
32
3 2
32
2
3
2
mn
h
n
u
mhu
nu
















+





−+





+





+= 3
32
3
32
3,2,13,2,1
322322
mnnmnn
wy
Where w are the roots of w3
=1:
2
31
,
2
31
,13,2,1
ii
w
+−
=
22
SOLO Complex Variables
History of Complex Numbers
Solution of cubic equation x3
+ b x2
+c x +d = 0
Viète Solution of y3
+m y = n
François Viète
1540 - 1603
In 1591 François Viète gave another solution to y3
+m y = n
Start with identity CC
C
34cos3cos43cos 3
cos
3
−=−=
= θ
θθθ
Substitute in y3
+m y = nC
m
y
3
2 −=
3
3
3
2
1
3
3
3
2
34
3
2
3
8
3






−=−→=−+





−






−
m
n
CCnC
m
mC
m m
Assuming we obtain
323
32
1
3
2 







≤





→≤




 mn
m
n
φθ
πφθ
cos
3
2
3cos
23
3
k
m
n +=
=





−=














−=




 +
−=−= −
3
1 3
2
cos
3
2
cos
3
2
3
2
m
nkm
C
m
y φ
πφ
23
SOLO Complex Variables
History of Complex Numbers
Solution of cubic equation x3
+ b x2
+c x +d = 0
Comparison of Cardano and Viète Solution of y3
+m y = n
François Viète
1540 - 1603Cardano solution was














−=




 +
−=+= −
3
1 3
2
cos
3
2
cos
3
2
m
nkm
ssy φ
πφ
Girolamo Cardano
1501 - 15763
32
3
32
342342






+−+





++=
mnnmnn
y
( )





























−=






−=






++=
+=
−
+
3
1
2
3
32
3
3
2
cos
3
342
33
m
n
e
m
mnn
s
ssy ki
ss
φ
πφ

or
from which we recover Viète Solution
0s
φ
2
n
3
3 



 m
3
s
3
s
0
x
3/φ
1s
2s 0
s
2s
1
s
23
23






−




 nm
3
z

120

120

120
24
SOLO Complex Variables
History of Complex Numbers
Rafael Bombelli
1526 - 1572
John Wallis
1616 - 1703
In 1572 Rafael Bombelli published three of the intended five
volumes of “L’Algebra” worked with non-real solutions of the
quadratic equation x2
+b x+c=0 by using and
where and applying addition and multiplication rules.
vu 1−+ vu 1−−
( ) 11
2
−=−
In 1673 John Wallis presented a geometric picture of the complex
numbers resulting from the equation x2
+ b x + c=0, that is close
with what we sed today.
Wallis's method has the undesirable consequence that is represented by the same
point as is
1−−
1−
( )0,b−( )0,b−
bb
c
bb
c1
P
2P
2
P
1
P
Wallis representation of real roots of
quadratics
Wallis representation of non-real roots of
quadratics
25
Vector Analysis HistorySOLO
Caspar Wessel
1745-1818
“On the Analytic Representation
of Direction; an Attempt”, 1799
bia +
Jean Robert Argand
1768-1822
1806
1−=i
3.R.S. Elliott, “Electromagnetics”,pp.564-568
http://www-groups.dcs.st-and.ac.uk/~history/index.html
Wessel's fame as a mathematician rests solely on
this paper, which was published in 1799, giving for
the first time a geometrical interpretation of
complex numbers. Today we call this geometric
interpretation the Argand diagram but Wessel's
work came first. It was rediscovered by Argandin
1806 and again by Gauss in 1831. (It is worth
noting that Gauss redid another part of Wessel's
work, for he retriangulated Oldenburg in around
1824.)
26
SOLO Complex Variables
History of Complex Numbers
Leonhard Euler
1707- 1783
In 1748 Euler published “Introductio in Analysin Infinitorum” in
which he introduced the notation and gave the formula1−=i
xixeix
sincos +=
In 1751 Euler published his full theory of logarithms and complex
numbers. Euler discovered the Cauchy-Riemann equations in 1777
although d’Alembert had discovered them in 1752 while
investigating hydrodynamics.
Johann Karl Friederich Gauss published the first correct proof
of the fundamental theorem of algebra in his doctoral thesis of
1797, but still claimed that "the true metaphysics of the square
root of -1 is elusive" as late as 1825. By 1831 Gauss overcame
some of his uncertainty about complex numbers and published
his work on the geometric representation of complex numbers as
points in the plane.
Karl Friederich Gauss
1777-1855
27
SOLO Complex Variables
History of Complex Numbers
Augustin Louis Cauchy
)1789-1857(
Cauchy is considered the founder of complex analysis after
publishing the Cauchy-Riemann equations in 1814 in his paper
“Sur les Intégrales Définies”. He created the Residue Theorem and
used it to derive a whole host of most interesting series and integral
formulas and was the first to define complex numbers as pairs of
real numbers.
Georg Friedrich Bernhard
Riemann
1826 - 1866
In 1851 Riemann give a dissertation in the theory of functions.
Return to Table of Contents
28
SOLO Complex Variables
Derivatives
If f (z) is a single-valued in some region C of the z plane, the derivative of f (z) is
defined as:
( ) ( ) ( )
z
zfzzf
zf
z ∆
−∆+
=
→∆ 0
lim'
provided that the limit exists independent of the manner in which Δ z→0.
In such case we say that f (z) is differentiable at z.
Analytic Functions
If the derivative of f (z) exists at all points of a region C of the z plane, then f (z) is
said to be analytic in C.
analytic = regular = holomorphic
A function f (z) is said to be analytic at a point z0 if there exists a neighborhood
|z-z0 | < δ in which f ’ (z) exists.
z0
δ
Analytic functions have derivatives of any order
which themselves are analytic functions.
Return to Table of Contents
29
SOLO Complex Variables
Derivatives
If f (z) is a single-valued in some region C of the z plane, the derivative of f (z) is
defined as:
( ) ( ) ( )
z
zfzzf
zf z
∆
−∆+
= →∆ 0
lim'
provided that the limit exists independent of the manner in which Δ z→0.
In such case we say that f (z) is differentiable at z.
Analytic Functions
If the derivative of f (z) exists at all points of a region C of the z plane, then f (z) is
said to be analytic in C.
analytic = regular = holomorphic
A function f (z) is said to be analytic at a point z0 if there exists a neighborhood
|z-z0 | < δ in which f ’ (z) exists.
z0
δ
Analytic functions have derivatives of any order
which themselves are analytic functions.
30
SOLO Complex Variables
Analytic, Holomorphic, MeromorphicFunctions
Return to Table of Contents
A Meromorphic Function on an open subset D of the complex plane is a
function that is Holomorphic on all D except a set of isolated points, which are
poles for the function. (The terminology comes from the Ancient Greek meros
(μέρος), meaning “part”, as opposed to holos ( λος)ὅ , meaning “whole”.)
The word “Holomorphic" was introduced by two of Cauchy's students, Briot
(1817–1882) and Bouquet (1819–1895), and derives from the Greek λοςὅ
(holos) meaning "entire", and μορφή (morphē) meaning "form" or
"appearance".[2]
Today, the term "holomorphic function" is sometimes preferred to "analytic
function", as the latter is a more general concept. This is also because an
important result in complex analysis is that every holomorphic function is
complex analytic, a fact that does not follow directly from the definitions. The
term "analytic" is however also in wide use.
The Gamma Function is Meromorphic in the
whole complex plane
Poles
31
SOLO Complex Variables
Cauchy-Riemann Equations
A necessary (but not sufficient) condition that f (z) = u (x,y) +i v (x,y) be
analytic in a region C, is that u and v satisfy the Cauchy-Riemann equations:
y
u
x
v
y
v
x
u
∂
∂
−=
∂
∂
∂
∂
=
∂
∂
&
Proof:
Augustin Louis Cauchy
)1789-1857(
Georg Friedrich Bernhard
Riemann
1826 - 1866
( ) ( ) ( )
z
zfzzf
zf z
∆
−∆+
= →∆ 0
lim'
Provided that the limit exists independent of the manner in which
Δ z→0.
Choose Δ z = Δ x → ( )
x
v
i
x
u
zf
∂
∂
+
∂
∂
='
Choose Δ z =i Δ y → ( )
y
v
y
u
izf
∂
∂
+
∂
∂
−='
Equalizing those two expressions we obtain:
( )
y
u
i
y
v
x
v
i
x
u
zf
∂
∂
−
∂
∂
=
∂
∂
+
∂
∂
='
y
u
x
v
y
v
x
u
∂
∂
−=
∂
∂
∂
∂
=
∂
∂
→ &
The functions u (x,y) and v (x,y) are called conjugate functions,
because if one is given we can find the other (with an arbitrary
additive constant). Return to Table of Contents
32
SOLO Complex Variables
Harmonic Functions
If the second partial derivatives of u (x,y) and v (x,y) with respect to x and y exist
and are continuous in a region C, then using Cauchy-Riemann equations, we obtain:
02
2
2
2
2
22
2
2
2
22
=
∂
∂
+
∂
∂
→








∂
∂
−=
∂∂
∂
→
∂
∂
−=
∂
∂
∂∂
∂
=
∂
∂
→
∂
∂
=
∂
∂
∂∂
∂
=
∂∂
∂
∂
∂
∂
∂
y
u
x
u
y
u
xy
v
y
u
x
v
yx
v
x
u
y
v
x
u
xyyx
y
x
02
2
2
2
2
2
2
2
22
22
=
∂
∂
+
∂
∂
→








∂∂
∂
−=
∂
∂
→
∂
∂
−=
∂
∂
∂
∂
=
∂∂
∂
→
∂
∂
=
∂
∂
∂∂
∂
=
∂∂
∂
∂
∂
∂
∂
y
v
x
v
yx
u
x
v
y
u
x
v
y
v
xy
u
y
v
x
u
xyyx
x
y
It follows that under those conditions the real and imaginary parts
of an analytic function satisfy Laplace’s Equation denoted by:
02
2
2
2
=
∂
Φ∂
+
∂
Φ∂
yx
or 2
2
2
2
2
:
yxx
i
xx
i
x ∂
∂
+
∂
∂
=





∂
∂
−
∂
∂
⋅





∂
∂
+
∂
∂
=∇
where02
=Φ∇
The functions satisfying Laplace’s Equation are called Harmonic Functions.
Pierre-Simon Laplace
(1749-1827)
Return to Table of Contents
33
SOLO Complex Variables
Singular Points
A point at which f (z) is not analytic is called a singular point. There are various types
of singular points:
1. Isolated Singularity
The point z0 at which f (z) is not analytic is called an isolated singular point, if we can
a neighborhood of z0 in which there are not singular points.
z0
δ
If no such a neighborhood of z0 can be found then we
call z0 a non-isolated singular point.
2. Poles
Example ( ) ( ) ( )
( ) ( ) ( ) ( )5353
1834
32
++−−
++
=
zzzz
zz
zf
has a pole of order 2 at z = 3, a pole of order 3 at z = 5, and two simple
poles at z = -3 and z = -5.
If we can find a positive integer n such that
and is analytic at z=z0
then z = z0 is called a pole of order n. If n = 1, z is called a simple pole.
( ) ( ) 0lim 0
0
≠=−→
Azfzz
n
zz
( ) ( ) ( )zfzzz
n
0−=ϕ
34
SOLO Complex Variables
Singular Points
A point at which f (z) is not analytic is called a singular point. There are various types
of singular points:
3. Branch Points
If f (z) is a multiple valued function at z0, then this is a branch point.
Examples:
( ) ( ) n
zzzf
/1
0−= has a branch point at z=z0
( ) ( ) ( )[ ]0201ln zzzzzf −−= has a branch points at z=z01 and z=z02
4. Removable Singularities
The singular point z0 is a removable singularity of f (z) if exists.( )zf
zz 0
lim
→
Examples: The singular point z = 0 of is a removable singularity
z
zsin
1
sin
lim0
=→
z
z
z
35
SOLO Complex Variables
Singular Points
A point at which f (z) is not analytic is called a singular point. There are various types
of singular points:
5. Essential Singularities
A singularity which is not a pole, branch point or a removable singularity is called
an essential singularity.
Example: has an essential singularity at z = z0.( ) ( )0/1 zz
ezf −
=
6. Singularities at Infinity
If we say that f (z) has singularities at z →∞. The type of the
singularity is the same as that of f (1/w) at w = 0.
( ) 0lim =
∞→
zf
z
Example: The function f (z) = z5
has a pole of order 5 at z = ∞, since f (1/w) = 1/w5
has a pole of order 5 at w = 0.
Return to Table of Contents
36
SOLO Complex Variables
Orthogonal Families
If f (z) = u (x,y) + i v (x,y) is analytic, then the one-parameter families of curves
( ) ( ) βα == yxvyxu ,,,
where α and β are constant are orthogonal.
Proof:
The normal to u (x,y) = α is: ( ) y
y
u
x
x
u
yxu 11,
∂
∂
+
∂
∂
=∇
The normal to v (x,y) = β is: ( ) y
y
v
x
x
v
yxv 11,
∂
∂
+
∂
∂
=∇
The scalar product between the normal to u (x,y) = α and the normal to v (x,y) = β is:
( ) ( )
y
v
y
u
x
v
x
u
yxvyxu
∂
∂
∂
∂
+
∂
∂
∂
∂
=∇⋅∇ ,,
Using the Cauchy-Riemann Equation for the analytic f (z):
y
u
x
v
y
v
x
u
∂
∂
−=
∂
∂
∂
∂
=
∂
∂
&
( ) ( ) 0,, =
∂
∂
∂
∂
+
∂
∂
∂
∂
−=∇⋅∇
y
v
y
u
y
u
y
v
yxvyxu
x
y
( ) α=yxu ,
( ) β=yxv ,
planez
u
v
planew
Return to Table of Contents
37
SOLO Complex Variables
Complex Line Integrals
Let f (z) be continuous at all points on a curve C of a finite length L.
( ) ( ) ( )∑∑ ==
− ∆=−=
n
i
ii
n
i
iiin zfzzfS
11
1 ξξ
C
1
z
nzb =
2z
0
za =
1−iz
iz
1
ξ
2
ξ
i
ξ
n
ξ
Let subdivide C into n parts by n arbitrary points
z1, z2,…,zn, and call a=z0 and b=zn. On each arc joining
zi-1 to zi choose a point ξi. Define the sum:
Let the number of subdivisions n increase in such a
way that the largest of Δzi approaches zero, then the sum approaches a limit
that is called the line integral (also Riemann-Stieltjes integral).
( ) ( ) ( )∫∫∑ ==∆=
=
→∆∞→
C
b
a
n
i
ii
z
nn
zdzfzdzfzfS
i
1
0
limlim ξ
Properties of Integrals
( ) ( )[ ] ( ) ( )∫∫∫ +=+
CCC
zdzgzdzfzdzgzf ( ) ( ) constantAzdzfAzdzfA
CC
== ∫∫
( ) ( )∫∫ −=
a
b
b
a
zdzfzdzf ( ) ( ) ( )∫∫∫ +=
b
c
c
a
b
a
zdzfzdzfzdzf
( ) ( ) ( ) CoflengthLandConMzfLMzdzfzdzf
CC
≤≤≤ ∫∫
Return to Table of Contents
38
SOLO Complex Variables
Simply and Multiply Connected Regions
A region R is called simply-connected if any simple closed curve Γ, which lies in R
can be shrunk to a point without leaving R. A region R that is not simply-connected
is called multiply-connected.
C0
x
y
R C1
Γ
C0
x
y
R
C1
C2
C3
Γ
C
x
y
R
Γ
C
x
y
R
Γsimply-connected
multiply-connected.
Return to Table of Contents
39
SOLO Complex Variables
Green’s Theorem in the Plane
C
R
Let P (x,y) and Q (x,y) be continuous and have continuous
partial derivatives in a region R and on the boundary C.
Green’s Theorem states that:
GEORGE STOCKES
1819-1903
A more general theorem was given by Stokes
( ) ∫∫∫ 





∂
∂
−
∂
∂
=+
R
dydx
y
P
x
Q
dyQdxP
C
( ) ∫∫∫∫∫∫∫ 





∂
∂
−
∂
∂
+





∂
∂
−
∂
∂
+





∂
∂
−
∂
∂
=++
yzxzxy RRR
dzdy
z
Q
y
R
dzdx
x
R
z
P
dydx
y
P
x
Q
dzRdyQdxP
C
or in vector form: ∫∫∫ ⋅×∇=⋅
S
dAFdrF
C

where:
( ) ( ) ( ) ( ) zzyxRyzyxQxzyxPzyxF 1,,1,,1,,,, ++=

zdzydyxdxdr 111 ++=
zdydxydzdxxdzdydA 111 ++=
GEORGE GREEN
1793-1841
z
z
y
y
x
x
111
∂
∂
+
∂
∂
+
∂
∂
=∇
40
SOLO Complex Variables
Proof of Green’s Theorem in the Plane C
R
P
T
S
Q
a b
x
y
( )xgy 2=
( )xgy 1=
Start with a region R and the boundary curve C, defined
by S,Q,P,T, where QP and TS are parallel with y axis.
( )
( )
∫ ∫∫∫
=
=
∂
∂
=
∂
∂
b
a
xgy
Xgy
dy
y
P
dxdydx
y
P
2
R
By the fundamental lemma
of integral calculus:
( )
( )
( )
( ) ( )
( )
( )[ ] ( )[ ]xgxPxgxPyxPdy
y
yxP xgy
xgy
xgy
Xgy
12
,,,
, 2
1
2
−==
∂
∂ =
=
=
=
∫
Therefore: ( )[ ] ( )[ ]∫∫∫∫ −=
∂
∂
b
a
b
a
dxxgxPdxxgxPdydx
y
P
12
,,
R
but: ( )[ ] ( )[ ]∫∫ =
a
bSQ
dxxgxPdxxgxP 22
,, integral along curve SQ
( )[ ] ( )[ ]∫∫ =
b
aPT
dxxgxPdxxgxP 11
,, integral along curve PT
If we add to those integrals: ( ) ( ) 00,, === ∫∫ dxsincedxyxPdxyxP
QPTS
we
obtain:
( )[ ] ( ) ( )[ ] ( ) ( )∫∫∫∫∫∫∫ −=−−−−=
∂
∂
CTSPTQPSQ
dxyxPdxyxPdxxgxPdxyxPdxxgxPdydx
y
P
,,,,, 12
R
Assume that PT is defined by the function y = g1 (x) and
SQ is defined by the function y = g2 (x), both smooth and
y
P
∂
∂
is continuous in R:
41
SOLO Complex Variables
Proof of Green’s Theorem in the Plane (continue – 1)
In the same way:
Therefore we obtain:
( )∫∫∫ −=
∂
∂
C
dxyxPdydx
y
P
,
R
( )∫∫∫ =
∂
∂
C
dyyxQdydx
x
Q
,
R
( ) ∫∫∫ 





∂
∂
−
∂
∂
=+
R
dydx
y
P
x
Q
dyQdxP
C
The line integral is evaluated by traveling C counterclockwise.
For a general single connected region, as that
described in Figure to the right, can be divided in a
finite number of sub-regions Ri, each of each are of
the type described in the Figure above. Since the
adjacent regions boundaries are traveled in opposite
directions, there sum is zero, and we obtain again:
( ) ∫∫∫ 





∂
∂
−
∂
∂
=+
R
dydx
y
P
x
Q
dyQdxP
C
C
R4
x
y
R
R3
R1
R2
C
R
P
T
S
Q
a b
x
y
( )xgy 2=
( )xgy 1=
42
SOLO Complex Variables
Proof of Green’s Theorem in the Plane (continue – 2)
The general multiply-connected regions can be transformed in a simply
connected region by infinitesimal slits
Since the slits boundaries are traveled in opposite
directions, there integral sum is zero:
C0
x
y
R C1
P0
P1
C0
x
y
R
C1
C2
C3
( ) ( ) ∫∫∑ ∫∫ 





∂
∂
−
∂
∂
=+−+
R
dydx
y
P
x
Q
dyQdxPdyQdxP
i CC i0
All line integrals are evaluated by traveling Ci i=0,1,… counterclockwise.
( ) ( ) 0
0
1
1
0
=+++ ∫∫
P
P
P
P
dyQdxPdyQdxP
We obtain:
Return to Table of Contents
43
SOLO Complex Variables
Consequences of Green’s Theorem in the Plane
Let P (x,y) and Q (x,y) be continuous and have continuous first partial
derivative at each point of a simply-connected region R. A necessary and
sufficient condition that around every closed path C in
R is that in R. This is synonym to the condition that
is path independent.
y
P
x
Q
∂
∂
=
∂
∂
( ) 0=+∫C
dyQdxP
Sufficiency:
Suppose
y
P
x
Q
∂
∂
=
∂
∂
According to Green’s Theorem ( ) 0=





∂
∂
−
∂
∂
=+ ∫∫∫ R
dydx
y
P
x
Q
dyQdxP
C
Necessity:
0<>
∂
∂
−
∂
∂
or
y
P
x
Q
Suppose along every path C in R. Assume that
at some point (x0,y0) in R. Since ∂ Q/ ∂ x and ∂ P/ ∂ y are continuous exists
a region τ around (x0,y0) and boundary Γ for which , therefore:
( ) 0=+∫C
dyQdxP
0<>
∂
∂
−
∂
∂
or
y
P
x
Q
( ) 0<>





∂
∂
−
∂
∂
=+ ∫∫∫Γ
ordydx
y
P
x
Q
dyQdxP
τ
C
x
y
R
( )∫ +
L
dyQdxP
0=
∂
∂
−
∂
∂
y
P
x
Q
This is a contradiction to the assumption, therefore q.e.d.
Return to Table of Contents
44
SOLO Complex Variables
Cauchy’s Theorem
C
x
y
R
Proof:
( ) 0=∫C
dzzf
If f (z) is analytic with derivative f ‘ (z) which is continuous at all points inside
and on a simple closed curve C, then:
( ) ( ) ( )yxviyxuzf ,, +=Since is analytic and has continuous
first order derivative
( )
y
u
i
y
v
x
v
i
x
u
zd
fd
zf
iyzxz
∂
∂
−
∂
∂
=
∂
∂
+
∂
∂
==
==
'
y
u
x
v
y
v
x
u
∂
∂
−=
∂
∂
∂
∂
=
∂
∂
& Cauchy - Riemann
( ) ( ) ( ) ( ) ( )
0
00
=





∂
∂
−
∂
∂
+





∂
∂
−
∂
∂
−=
++−=++=
∫∫∫∫
∫∫∫∫
RR
dydx
y
v
x
u
idydx
y
u
x
v
dyudxvidyvdxudyidxviudzzf
CCCC
  
q.e.d.
Augustin Louis Cauchy
)1789-1857(
Return to Table of Contents
45
SOLO Complex Variables
Cauchy-Goursat Theorem
C
x
y
R
Proof:
( ) 0=∫C
dzzf
If f (z) is analytic which is continuous at all points inside and on a simple
closed curve C, then:
Augustin Louis Cauchy
)1789-1857(
Goursat removed the Cauchy’s condition
that f ‘ (z) should be continuous in R.
C
F
DE
A
B
I
∆
IV
∆
II
∆ III
∆
Start with a triangle ABC in z in which
f (z) is analytic, Join the midpoints E,D,F
to obtain four equal triangles ΔI, ΔII, ΔIII,
ΔIV. We have:
( )
( ) ( ) ( ) ( )∫∫∫∫
∫∫∫∫
∫∫∫∫∫∫∫∫∫
∫∫∫∫
∆∆∆∆
+++=
+++=








+++








++








++








+=
++=
IVIIIIII
dzzfdzzfdzzfdzzf
dzzf
DEFDFCDFEBFEDAED
FDEFDEDFFCDFEEBFEDDAE
FCDEBFDAEABCA
Eduard Jean-Baptiste
Goursart
1858 - 1936
46
SOLO Complex Variables
Proof of Cauchy-Goursat Theorem (continue – 1)
If f (z) is analytic which is continuous at all points inside and on a simple
closed curve C, then:
C
F
DE
A
B
I
∆
IV∆
II
∆ III
∆
( ) ( ) ( ) ( ) ( )∫∫∫∫∫ ∆∆∆∆
+++=
IVIIIIII
dzzfdzzfdzzfdzzfdzzf
ABCA
then:
( ) ( ) ( ) ( ) ( )∫∫∫∫∫ ∆∆∆∆
+++≤
IVIIIIII
dzzfdzzfdzzfdzzfdzzf
ABCA
Let Δ1 be the triangle in which the absolute value of the integral is maximum.
( ) ( )∫∫ ∆∆
≤
1
4 dzzfdzzf
Continue this procedure in triangle Δ1 in which Δ2 is the triangle in which the
absolute value of the integral is maximum.
( ) ( ) ( )∫∫∫ ∆∆∆
≤≤
21
2
44 dzzfdzzfdzzf
( ) ( )∫∫ ∆∆
≤
n
dzzfdzzf n
4
47
SOLO Complex Variables
Proof of Cauchy-Goursat Theorem (continue – 2)
C
F
DE
A
B
I
∆
IV
∆
II
∆ III
∆
( ) ( )∫∫ ∆∆
≤
n
dzzfdzzf n
4
For an analytic function f (z) compute ( )
( ) ( )
( )0
0
0
0
':, zf
zz
zfzf
zz −
−
−
=η
( )
( ) ( )
( ) ( ) ( ) 0'''lim,lim 000
0
0
0
00
=−=






−
−
−
= →→
zfzfzf
zz
zfzf
zz zzzz
η
( ) ( ) ( ) ( ) ( ) ( ) ( )0000000
,'&,..,0 zzzzzzzfzfzfzzwheneverzzts −+−+=<−<∃>∀ ηδεηδε
( ) ( ) ( ) ( )[ ] ( ) ( ) ( ) ( )∫∫∫∫ ∆∆
←
∆∆
−≤−+−+≤
nnnn
dzzzzzdzzzzzdzzzzfzfdzzf
TheoremIntegralCauchy
0000
0
)00 ,,' ηη
  
n∆
0z
na
nb
nc
z 0
zz −
0
zzcbaP nnnn
−≥++=
( ) ( ) ( )
2
2
00
2
, 





==≤−≤ ∫∫∫ ∆∆∆
nnn
P
PdzPdzzzzzdzzf
nnn
εεεη
But , where Pn the perimeter
of Δn and P the perimeter of Δ are related, by construction, by
( ) δεη <≤−< n
Pzzzz 00
&,
n
n PP 2/=
q.e.d.
( ) ( ) ( ) 0
4
44
0
2
2
=→=≤≤ ∫∫∫ ∆
→
∆∆
dzzfP
P
dzzfdzzf n
nn
n
ε
εε
48
SOLO Complex Variables
Proof of Cauchy-Goursat Theorem (continue – 3)
n
z1
z
2
z
1−i
z
i
z
1−n
z
n
∆1∆
2∆
3
∆
i
∆
C
O
q.e.d.
For the general case of a simple closed curve C
we take n points on C: z1, z2,…,zn and a point
O inside C. We obtain n triangles Δ1, Δ2,.., Δn,
for each of them we proved Cauchy-Goursat Theorem.
Let define the sum: ( ) ∑= − −
∆=
n
i zz
iin
ii
zzfS
1
1
:
we have: ( ) ( ) ( ) ( ) 0
1
1
=++= ∫∫∫∫
−
−∆
i
i
i
ii
z
O
O
z
z
z
dzzfdzzfdzzfdzzf
( ) ( ) ( ) ( ) ( )[ ] ( ) ( )[ ] ( )
  
n
i
i
i
i
i
i
i
ii
S
n
i
z
z
i
n
i
z
z
i
n
i
z
z
ii
n
i
z
z
n
i
dzzfdzzfzfdzzfzfzfdzzfdzzf ∑ ∫∑∫∑ ∫∑ ∫∑ ∫ ===== ∆ −−−−
+−=+−===
11111
1111
0
( ) ( ) ( )ε
ε
NnforSdzzfdzzfS n
CC
nn
><−→= ∫∫∞→
2
lim
( ) ( )[ ] ( ) ( )[ ] ( )
221
1
111
11
εε
=−≤−≤−≤→−= ∑∑∑ ∫∑∫ =
−
===
−−
n
i
ii
n
i
i
n
i
z
z
in
n
i
z
z
in
zz
L
dzfzfdzzfzfSdzzfzfS
i
i
i
i
( ) ( ) ( ) ( ) 0
22
=→>=+<+−≤ ∫∫∫ C
nn
CC
dzzfNnforSSdzzfdzzf εε
εε
Since we proved that , we can write:( ) 0=∫∆
dzzf
Return to Table of Contents
49
SOLO Complex Variables
Consequences of Cauchy-Goursat Theorem
B
x
y
R
A
C1
C2
D1
D2
a
bIf f (z) is analytic in a simply-connected region R, then
is independent of the path in R joining any
two points a and b in R.
( )∫
b
a
dzzf
Let look at thr closed path AC1D1BD2C2A in R inside which f (z) is analytic.
According to Cauchy-Goursat Theorem
( ) ( ) ( ) ( ) ( ) ( ) ( )∫∫∫∫∫∫∫ =→−=+==
BDAcBDAcBDAcBDAcACBDBDAcACBDDAC
dzzfdzzfdzzfdzzfdzzfdzzfdzzf
2211221122111122
0
Proof:
If f (z) is analytic in a multiply-connected region R,
bounded by two simple closed curves C1 and C2, then:
1
2
C1
x
y
R C2
P0
P1
( ) ( )∫∫ =
21 CC
dzzfdzzf
The general multiply connected regions can be transformed
in a single connected region by an infinitesimal slit P0 to P1.
( ) ( ) ( ) ( ) ( ) ( )∫∫∫∫∫∫ =→+++=
212
0
1
1
01
0
0
CCC
P
P
P
PC
dzzfdzzfdzzfdzzfdzzfdzzf
  
Proof:
Return to Table of Contents
50
SOLO Complex Variables
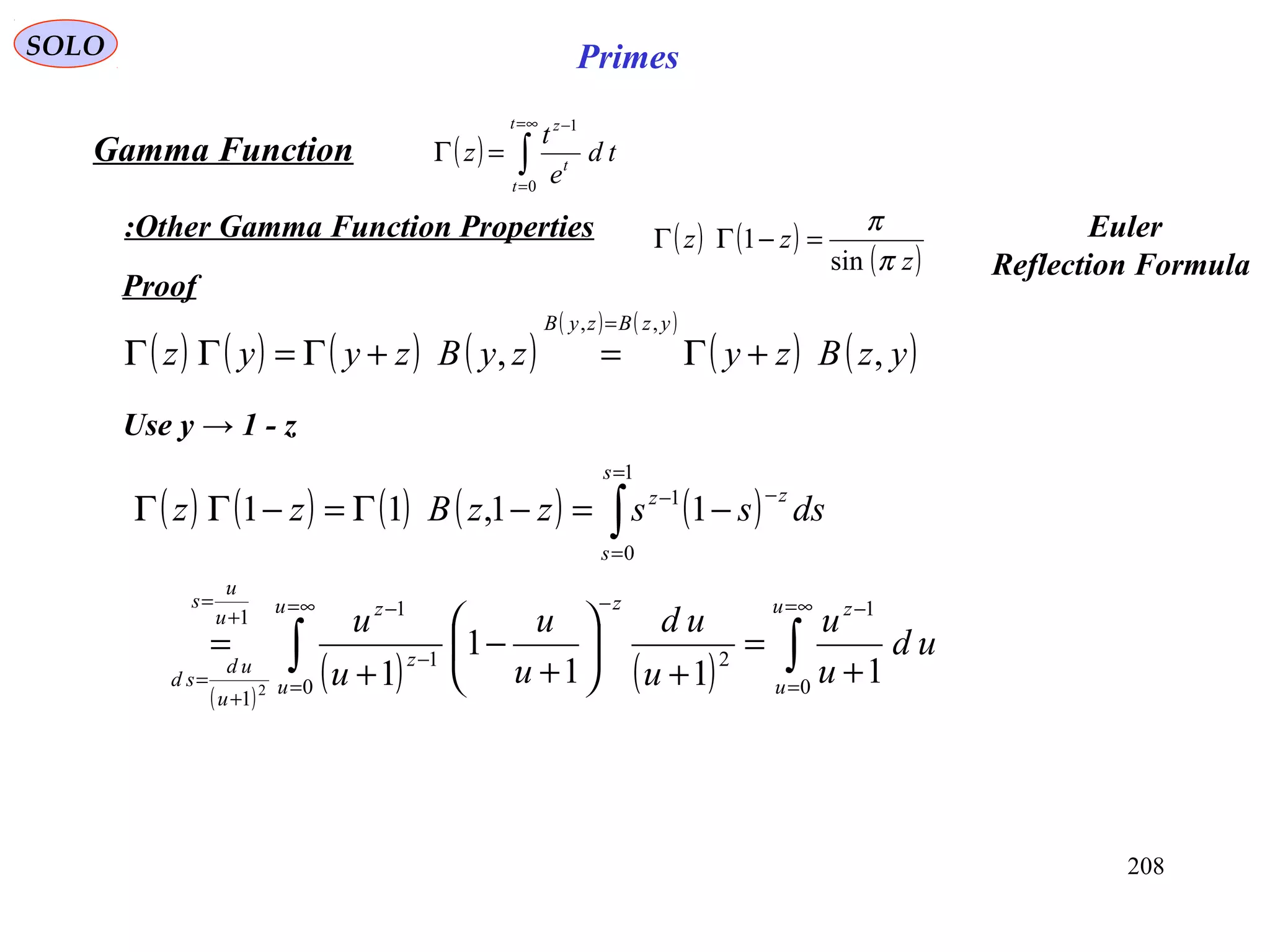
Cauchy’s Integral Formulas
Augustin Louis Cauchy
)1789-1857(
If f (z) is analytic inside and on a simple closed curve C
and a is any point inside C then
( ) ( )
∫ −
=
C
dz
az
zf
i
af
π2
1
C
x
y
R
a
Γ
Proof:
Let chose a circle Γ with center at a
[ ]{ }πθε θ
2,0,: ∈+==Γ i
eazz
Since f (z)/ (z-a) is analytic in the region defined
between C and the circle Γ we can use:
( ) ( )
∫∫ Γ
−
=
−
zd
az
zf
zd
az
zf
C
( ) ( ) ( ) ( )afidafidei
e
eaf
zd
az
zf i
i
i
πθθε
ε
ε
ππ
θ
θ
θ
ε
21lim
2
0
2
0
0
===
+
=
− ∫∫∫ →
Γ
therefore:
( ) ( )
∫ −
=
C
dz
az
zf
i
af
π2
1
q.e.d.
Cauchy’s Integral Formulas and Related Theorems
Return to Table of Contents
51
SOLO Complex Variables
Cauchy’s Integral Formulas for the n Derivative of a Function
Augustin Louis Cauchy
)1789-1857(
If f (z) is analytic inside and on a simple closed curve C
and a is any point inside C, where the n derivative exists, then
( )
( ) ( )
( )∫ +
−
=
C
n
n
dz
az
zf
i
n
af 1
2
!
π
C
x
y
R
a
Γ
Proof:
Let prove this by induction.
Assume that this is true for n-1:
Then we can differentiate under the sign of integration:
( ) ( )
∫ −
=
C
dz
az
zf
i
af
π2
1
For n = 0 we found
( )
( ) ( ) ( )
( )∫ −
−
=−
C
n
n
dz
az
zf
i
n
af
π2
!11
( )
( ) ( )
( ) ( ) ( )
( )
( ) ( )
( )∫∫ +
−
−
−
=
−
−
==
C
n
C
n
nn
dz
az
n
zf
i
n
dz
azad
d
zf
i
n
af
ad
d
af 1
1
2
!11
2
!1
ππ
q.e.d.Therefore for n we obtain: ( )
( ) ( )
( )∫ +
−
=
C
n
n
dz
az
zf
i
n
af 1
2
!
π
We can see that an analytic function has derivatives of all orders.
Return to Table of Contents
52
SOLO Complex Variables
Morera’s Theorem (the converse of Cauchy’s theorem)
If f (z) is continuous in a simply-connected region R and if
around every simple closed curve C in R then
f (z) ia analytic in R.
( ) 0=∫C
dzzf
B
x
y
R
A
C1
C2
D1
D2
a
z
Proof:
Since around every closed curve C in R( ) 0=∫C
dzzf
( ) ( ) ( ) ( ) ( ) ( ) ( )∫∫∫∫∫∫∫ =→−=+==
BDAcBDAcBDAcBDAcACBDBDAcACBDDAC
dzzfdzzfdzzfdzzfdzzfdzzfdzzf
2211221122111122
0
The integral is independent on path
between two points, if the path is in R
( ) ( )∫=
z
a
dzzfzF
Let choose a straight path between z and z+Δz
( ) ( ) ( ) ( ) ( ) ( ) ( ) ( )[ ]∫∫∫
∆+∆+
−
∆
=−








−
∆
=−
∆
−∆+
zz
z
z
a
zz
a
udzfuf
z
zfudufuduf
z
zf
z
zFzzF 11
Since f (z) is continuous ( ) ( ) δε <−≤− zuwheneverzfuf
Therefore
( ) ( ) ( ) ( ) ( ) ( ) ( )zf
zd
zFd
zudzfuf
z
zf
z
zFzzF
zz
z
=→<∆∀=−
∆
≤−
∆
−∆+
∫
∆+
δε
1
C
x
y
R z
Νδz+∆ z
Since F (z) has a derivative in R, it is analytic, and so are its derivatives, i.e. f (z)
Return to Table of Contents
Giacinto Morera
1856 - 1907
53
SOLO Complex Variables
Cauchy’s Inequality
Augustin Louis Cauchy
)1789-1857(
If f (z) is analytic inside and on a circle C of radius r and
center at z = a, then
( )
( ) ,...2,1,0
!
=
⋅
≤ n
r
nM
af n
n
where M is a constant such that | f (z) |< M is an upper bound
of | f (z) | on C.
Proof:
C
x
y
a
r
Use Cauchy Integral Formula:
( )
( )
( ) ( )
,2,1,0
!
2
1
2
!1
2
!
2
!
1
2
0
11
===≤
−
≤ ++
<
+ ∫∫ n
r
nM
r
r
Mn
dr
r
Mn
dz
az
zfn
af nnn
Mzf
C
n
n
π
π
θ
ππ
π
( )
( ) ( )
( )
,2,1,0
2
!
1
=
−
= ∫ +
ndz
az
zf
i
n
af
C
n
n
π
q.e.d.
On the circle C: .θi
eraz +=
Return to Table of Contents
54
SOLO Complex Variables
Liouville’s Theorem
Joseph Liouville
1809 - 1882
If for all z in the complex plane:
(1) f (z) is analytic
(2) f (z) is bounded, i.e. | f (z) |< M for some constant M
then f (z) must be a constant.
Proof No. 1:
Using Cauchy’s Inequality: ( )
( ) ,...2,1,0
!
=
⋅
≤ n
r
nM
af n
n
Letting n=1 we obtain: ( )
r
M
af ≤'
Since f (z) is analytic in all z plane we can take r → ∞ to obtain
( ) ( ) ( ) constantafaaf
r
M
af
r
=→∀=→=≤
∞→
,00lim ''
q.e.d.
55
SOLO Complex Variables
Liouville’s Theorem
Joseph Liouville
1809 - 1882
If for all z in the complex plane:
(1) f (z) is analytic
(2) f (z) is bounded, i.e. | f (z) |< M for some constant M
then f (z) must be a constant.
Proof No. 2:
Using Cauchy’s Integral Formula
q.e.d.
Let a and b be any two points in z plane. Draw a circle
C with center at a and radius r > 2 | a-b |
C
x
y
a
r
b
2/rba <−
( ) ( ) ( ) ( ) ( )
( ) ( )∫∫∫ −−
−
=
−
−
−
=−
CCC
dz
bzaz
zf
i
ab
dz
az
zf
i
dz
bz
zf
i
afbf
πππ 22
1
2
1
We have
raz =− ( ) ( ) 2/rbarbaazbaazbz ≤−−=−−−≥−+−=−
( ) ( ) ( )
( ) ( )
( )
( ) r
Mab
dr
rr
Mab
dz
bzaz
zfab
dz
bzaz
zfab
afbf
CC
−
=
−
≤
−−
−
≤
−−
−
=− ∫∫∫
2
2/222
2
0
π
θ
πππ
Since f (z) is analytic in all z plane we can take r → ∞ to obtain
( ) ( ) ( ) ( )afbfafbf =→=− 0 therefore f (z) is constant.
Return to Table of Contents
56
SOLO Complex Variables
Foundamental Theorem of Algebra
Every polynomial equation P (z) = a0 + a1z+a2z2
+…+anzn
=0 with degree
n ≥ 1 and an ≠ 0 (ai are complex constants) has at least one root.
From this it follows that P (z) = 0 has exactly n roots, due attention being
paid to multiplicities of roots.
Proof:
If P (z) = 0 has no root, then f (z) = 1 / P (z) is analytic for all z.
Also | f (z) |= 1 / | P (z) | is bounded. Then by Liouville’s Theorem f (z) and
then P (z) are constant. This is a contradiction to the fact that P (z) is a
polynomial in z, therefore P (z) = 0 must have at least one root (zero).
Suppose that z = a is one root of P (z) = 0. Hence P (a) = 0 and
( ) ( ) ( )
( ) ( ) ( ) ( ) ( )zQazazaazaaza
aaaaaaazazazaaaPzP
nn
n
n
n
n
n
−=−++−+−=
++++−++++=−


22
21
2
210
2
210
Since an ≠ 0, Q (s) is a polynomial of degree n-1.
Applying the same reasoning to the polynomial Q (s) of degree n-1,
we conclude that it must also have at least one root. This procedure continues
until n = 0, therefore it follows that P (z) has exactly n roots.
q.e.d.
Return to Table of Contents
57
SOLO Complex Variables
Gauss’ Mean Value Theorem
Karl Friederich Gauss
1777-1855
C
x
y
a
r
If f (z) is analytic inside and on a circle C with center at
a and radius r, then f (a) is the mean of the values of f (z)
on C, i.e.,
( ) ( ) .
2
1
2
9
∫ +=
π
θ
θ
π
derafaf i
Proof:
Use Cauchy Integral Formula:
On the circle C:
θθ ii
eridzeraz =+= .
( ) ( )
∫ −
=
C
dz
az
zf
i
af
π2
1
( ) ( ) ( ) ( )∫∫∫ +=
+
=
−
= θ
π
θ
ππ
θθ
θ
θ
derafderi
er
eraf
i
dz
az
zf
i
af ii
i
i
C
2
1
2
1
2
1
q.e.d.
Return to Table of Contents
58
SOLO Complex Variables
Maximum Modulus Theorem
If f (z) is analytic inside and on a simple closed curve C and is not identically
equal to a constant, then the maximum value of | f (z) | occurs on C.
Proof:
The proof is based on the continuity of f (z) and on the Gauss’ Mean Value Theorem.
C
x
y
a
r
C
C1
C2
C3
R
α
b
Since f (z) is analytic in C, | f (z) | has a maximum M inside or
on C. Suppose that the maximum value is achieved at the point
a inside C, i.e. | f (a) |=M =max | f (z) |. Since a is inside C we can
find a circle C1, with center at a that is inside C. Since f (z) is not
constant we can find a point b in C1 such that | f (b)|=M – ε< | f (a)|.
Using the continuity of f (z) we can find a circle around b, C2,
( ) ( ){ }δε <−<−= bzforbfzfzC 2/:2
( ) ( ) 2/2/2/ εεεε −=+−=+< MMbfzf
Now apply the Gauss’ Mean Value Theorem for point a and the circle with center at a
passing trough b, C3. Define by α the arc of C3 inside C2.( ) ( ) .
2
1
2
9
∫ +=
π
θ
θ
π
derafaf i
( ) ( ) ( ) ( ) ( ) ( )
π
εα
απ
ππ
α
εθθθ
π
π
α
θ
α
ε
θ
π
θ
4
2
22
2/.
2
1
2
9
2/
2
9
−=−+−≤+++≤+== ∫∫∫
≤−≤
M
M
MderafderafderafMaf
M
i
M
ii

59
SOLO Complex Variables
Maximum Modulus Theorem
If f (z) is analytic inside and on a simple closed curve C and is not identically
equal to a constant, then the maximum value of | f (z) | occurs on C.
Proof (continue):
( ) ( ) ( ) ( ) ( ) ( )
π
εα
απ
ππ
α
εθθθ
π
π
α
θ
α
ε
θ
π
θ
4
2
22
2/.
2
1
2
9
2/
2
9
−=−+−≤+++≤+== ∫∫∫
≤−≤
M
M
MderafderafderafMaf
M
i
M
ii

We obtained that is impossible, therefore
a for which |f (z)| is maximum cannot be inside C, but on C.
( )
π
εα
4
?
−== MMaf C
x
y
a
r
C
C1
C2
C3
R
α
b
q.e.d.
Return to Table of Contents
60
SOLO Complex Variables
Minimum Modulus Theorem
If f (z) is analytic inside and on a simple closed curve C and f (z) ≠ 0
inside C then | f (z) | assumes its minimum value on C.
Proof:
Since f (z) is analytic inside and on a simple closed curve C and f (z) ≠ 0
inside C it follows that 1/ f (z) is analytic inside and on C. Then according to
Maximum Modulus Theorem 1/| f (z) | assumes its maximum vale on C and
therefore | f (z) | assumes its minimum value on C.
q.e.d.
x
y C
R
Return to Table of Contents
61
SOLO Complex Variables
Poisson’s Integral Formulas for a Circle
Siméon Denis Poisson
1781-1840
Let f (z) be analytic inside and on the circle C defined by
|z| = R, and let z = r e iθ
be any point inside C, then:
( ) ( )
( )
( ) ( )∫ ∫
∫
−
−
=
−
−
=
+−−
−
==
π π
φ
φ
φ
θφ
π
φθ
φ
π
φ
π
φ
φθπ
2
0
2
0
2
22
2
22
2
0
22
22
2
1
2
1
cos22
1
deRf
zeR
zR
deRf
ereR
rR
deRf
rrRR
rR
erzf
i
i
i
ii
ii
C
x
y
R
R
z'
rR2/r
θ
∗
z
z
r θ−
∗
= zRz /2
1
Proof:
Since f (z) is analytic in C we can apply Cauchy’s Integral
Formula:
( ) ( ) ( )
∫ −
==
C
i
dz
zz
zf
i
erfzf '
'
'
2
1
π
θ
( )
∫ ∗
−
=
C
dz
zRz
zf
i
'
/'
'
2
1
0 2
π
If we subtract those equations we obtain:
The inverse of the point z with respect to C is and
lies outside C, therefore by Cauchy’s Theorem:
∗
= zRz /2
1
( ) ( ) ( )
( ) ( )
( )∫∫ ∗∗
−−
−
=





−
−
−
==
CC
i
dzzf
zRzzz
zRz
i
dzzf
zRzzzi
erfzf ''
/''
/
2
1
''
/'
1
'
1
2
1
2
2
2
ππ
θ
62
SOLO Complex Variables
Poisson’s Integral Formulas for a Circle
Siméon Denis Poisson
1781-1840
Proof (continue):
( ) ( ) ( ) ( ) ( )
( )
( ) ( )[ ] ( )
( ) ( )
( )( ) ( )
( )
( )( ) ( )
( )
( )
( )∫
∫
∫
∫
∫
+−−
−
=
−−
−
=
−−
−
=
−−
−
=
−−
−
==
−−
+
∗
π
φ
π
φ
θφθφ
π
φ
θφθφ
φθ
π
φφ
θφθφ
θθ
θ
φ
φθπ
φ
π
φ
π
φ
π
π
2
0
22
22
2
0
22
2
0
22
2
0
2
2
2
2
cos22
1
2
1
2
1
/
/
2
1
''
/''
/
2
1
deRf
RrRr
rR
deRf
ereRereR
rR
deRf
eRerereR
eRr
deRieRf
erReRereR
erRer
i
dzzf
zRzzz
zRz
i
erfzf
i
i
iiii
i
iiii
i
ii
iiii
ii
C
i
Writing we have:( ) ( ) ( )θθθ
,, rviruerf i
+=
( ) ( )
( )
( )∫ +−−
−
=
π
φφ
φθπ
θ
2
0
22
22
,
cos22
1
, dRu
RrRr
rR
ru
( ) ( )
( )
( )∫ +−−
−
=
π
φφ
φθπ
θ
2
0
22
22
,
cos22
1
, dRv
RrRr
rR
rv
q.e.d.
C
x
y
R
R
z'
rR2/r
θ
∗
z
z
r θ−
∗
= zRz /2
1
Return to Table of Contents
63
SOLO Complex Variables
Poisson’s Integral Formulas for a Half Plane
Siméon Denis Poisson
1781-1840
C
x
y
R
∗
z
z
R
Let f (z) be analytic in the upper half y ≥ 0 of the z plane
and let z = (x + i y) any point in this upper half plane, then:
( ) ( )
( )∫
+∞
∞−
+−
= dw
yxw
wfy
zf 22
Proof:
Let C be the boundary of a a semicircle of radius R
containing as an interior point, but does
not contain
yixz +=
yixz −=∗
Using Cauchy’s Integral Formula we have:
( ) ( )
∫ −
=
C
dw
zw
wf
i
zf
π2
1
By subtraction we obtain:
( )
∫ ∗
−
=
C
dw
zw
wf
iπ2
1
0
( ) ( )
( ) ( )
( )
( ) ( )
( ) ( )
( )
( )
( )∫∫
∫∫
+−
=
+−−−
−−+
=
−−
−
=





−
−
−
= ∗∗
CC
CC
dwwf
yxw
yi
i
dwwf
yixwyixw
yixyix
i
dwwf
zwzw
zz
i
dwwf
zwzwi
zf
22
2
2
1
2
1
2
111
2
1
ππ
ππ
64
SOLO Complex Variables
Poisson’s Integral Formulas for a Half Plane
Siméon Denis Poisson
1781-1840
Proof (continue):
Where Γ is the upper a semicircle of radius R.
( )
( )
( )
( )
( )
( )
( )∫∫
∫
Γ
+
−
+−
+
+−
=
+−
=
dwwf
yxw
y
dwwf
yxw
y
dwwf
yxw
yi
i
zf
R
R
C
2222
22
11
2
2
1
ππ
π
If we take R→∞ we obtain: ( )
( ) 0lim
1
22
=
+−∫Γ
∞→
dwwf
yxw
y
R
π
( ) ( )
( )∫
+∞
∞−
+−
= dw
yxw
wfy
zf 22
Therefore:
( ) ( )
( )∫
+∞
∞−
+−
= dw
yxw
wufy
yxu 22
0,
,
( ) ( )
( )∫
+∞
∞−
+−
= dw
yxw
wvfy
yxv 22
0,
,
Writing and since w varies on x axis
, and we have:
( ) ( ) ( )yxviyxuzf ,, +=
( ) ( ) ( )0,0, wviwuwf +=
q.e.d.
C
x
y
R
∗
z
z
R
Return to Table of Contents
65
SOLO
Infinite Series
Given a series:
Theorems of Convergence of Sequences and Series
∑=
=
n
i
in uS
1Convergence Definition:
The series Sn converges to S as n →∞ if for all ε > 0 there exists an positive integer N
such that
If no such N exists then we say that the series diverges.
NnallforSuSS
n
i
in ><−=− ∑=
ε
1
Convergence Theorem:
The series Sn converges as n →∞ if and only if there exists an positive integer M
such that
If no such M exists then we say that the series diverges.
1
1
><= ∑=
NallforMuS
N
i
iN
If S is unknown we can use the Cauchy Criterion for convergence:
for all ε > 0 there exists an positive integer N such that
NmnallforuuSS
m
j
j
n
i
imn ><−=− ∑∑ ==
,
11
ε Augustin Louis Cauchy
)1789-1857(
A necessary (but not sufficient) condition for convergence is that lim i→∞ ui = 0
Return to the Table of Content
Cauchy Convergence Criterion
66
SOLO
Infinite Series
Given a series:
Theorems of Convergence of Sequences and Series
∑=
=
n
i
in uS
1
Convergence Tests
In term by term a series of terms 0 ≤ un ≤ an, in which the an form a convergent series,
then is also convergent.∑n nu
Return to the Table of Content
67
SOLO
The Geometric Series
( ) ( )
( )
( ) ( )
( ) r
r
a
r
rrarararaa
r
rS nn
nG
−
−
=
−
−⋅+++++
=
−
− −
−
1
1
1
1
1
1 132
1 
Multiply and divide by (1 – r)
( ) ∑
−
=
−
− =+++++=
1
0
132
1
n
i
in
nG rararararaaS 
We can see that
( )





≥∞
<
−=
−
−
=
∞→
−
∞→
diverger
converger
r
a
r
r
aS
n
n
nG
n
1
1
1
1
1
limlim 1
Given a series:
Theorems of Convergence of Sequences and Series
∑=
=
n
i
in uS
1
Infinite Series
68
SOLO
Convergence Tests
Cauchy Root Test
Augustin Louis Cauchy
)1789-1857(
If (an) 1/n
≤ r < 1 for all sufficiently large n, with r
independent of n, then is convergent. If (an) 1/n
≥ 1 for
all sufficiently large n, then is divergent.
∑n na
∑n na
The first part of this test is verified easily by raising
(an) 1/n
≤ r to the nth
power. We get:
1<≤ n
n ra
∑n naSince rn
is just the nth
term in a Convergent Geometric Series, is
convergent by the Comparison Test. Conversely, if (an) 1/n
≥ 1, the an ≥ 1 and the
series diverge. This Root Test is particularly useful in establishing the properties
of Power Series.
Given a series:
Theorems of Convergence of Sequences and Series
∑=
=
n
i
in uS
1
Infinite Series
Return to the Table of Content
69
SOLO
Convergence Tests
D’Alembert or Cauchy Ratio Test
Jean Le Rond D’Alembert
1717 - 1783
If (an+1/an) ≤ r < 1 for all sufficiently large n, with r
independent of n, then is convergent. If (an+1/an) ≥ 1 for
all sufficiently large n, then is divergent.
∑n na
∑n na
Convergence is proved by direct comparison with the
geometric series (1+r+r2
+ …
)





=
>
<
+
∞→
ateindetermin,1
,1
,1
lim 1
divergence
econvergenc
a
a
n
n
n
∑=
=
n
i
n
n nS
1
2/Example: convergent
n
n
a
a n
nn
n
n
n 2
12
2
1
limlim 1
1
=
+
= +∞→
+
∞→
Given a series:
Theorems of Convergence of Sequences and Series
∑=
=
n
i
in uS
1
Infinite Series
Return to the Table of Content
Augustin Louis Cauchy
)1789-1857(
70
SOLO
Convergence Tests
Maclaurin or Euler Integral Test
Given a series:
Theorems of Convergence of Sequences and Series
∑=
=
n
i
in uS
1
Infinite Series
Return to the Table of Content
Let f (n) = an, i.e. f (x) is a monotonic decreasing function.
Then converges if is finite and diverges if the
integral is infinite.
∑n na ( )∫
∞
1
xdxf
( ) ( ) ( )1
111
fxdxfaxdxf n n +≤≤ ∫∑∫
∞∞
=
∞
Colin Maclaurin
1698 - 1746
Leonhard Euler
(1707 – 1`783)
Is geometrically obvious that:
( )xf
x
1 2 3 4
( ) 11 af =
( ) 22 af =
Comparison of Integral and Sum-Blocks
Leading
( )xf
x1 2 3 4
( ) 11 af =
Comparison of Integral and Sum-Blocks
Lagging
SOLO
Convergence Tests
Kummer’s Test
Consider a Series of positive terms ui and a sequence of positive constants ai.
If
for all n ≥ N, where N is some fixed number, then converges.
If
and diverges, then diverges.
The two tests can be written as:
Given a series:
Theorems of Convergence of Sequences and Series
∑=
=
n
i
in uS
1
Infinite Series
∑
∞
=1i iu
01
1
>≥− +
+
Ca
u
u
a n
n
n
n
01
1
≤− +
+
n
n
n
n a
u
u
a
∑
∞
=1i iu∑
∞
=
−
1
1
i ia



∞→<
>
=





− −+
+
∞→ divergea
converge
Ca
u
u
a
i
n
n
n
n
n 11
1 &0
0
lim
Ernst Eduard Kummer
(1810 – 1893)
72
SOLO
Convergence Tests
Kummer’s Test (continue – 1)
Consider a Series of positive terms ui and a sequence of positive
constants ai.
If
for all n ≥ N, where N is some fixed number, then converges.
01
1
>≥− +
+
Ca
u
u
a n
n
n
n
∑
∞
=1i iu
Ernst Eduard Kummer
(1810 – 1893)
nnnnn
NNNNN
NNNNN
uauauC
uauauC
uauauC
−≤
−≤
−≤
−−
+++++
+++
11
22112
111

Proof:
Add and divide by C
C
ua
C
ua
u nnNNn
Ni i −≤∑ += 1
C
ua
u
C
ua
C
ua
uuuuS NNN
i i
nnNNN
i i
n
Ni i
N
i i
n
i in +<−+≤+== ∑∑∑∑∑ ==+=== 11111
The partial sums Sn have an upper bound. Since the lower bound is zero
the sum must converge.∑ iu
q.e.d.
Given a series:
Theorems of Convergence of Sequences and Series
∑=
=
n
i
in uS
1
Infinite Series
73
SOLO
Convergence Tests
Kummer’s Test (continue – 2)
Given a series:
Theorems of Convergence of Sequences and Series
∑=
=
n
i
in uS
1
Infinite Series
Consider a Series of positive terms ui and a sequence of positive
constants ai.
If
and diverges, then diverges.
01
1
≤− +
+
n
n
n
n a
u
u
a
∑
∞
=1i iu∑
∞
=
−
1
1
i ia
Proof: Nnuauaua NNnnnn >≥≥≥ −− ,11 
Since an > 0
n
NN
n
a
ua
u ≥
and ∑∑
∞
+=
−
∞
+=
≥
1
1
1 Ni
iNN
Ni
i auau
If diverges, then by comparison test diverges.∑
∞
=
−
1
1
i
ia ∑
∞
=1i
iu
Return to the Table of Content
Ernst Eduard Kummer
(1810 – 1893)
74
SOLO
Convergence Tests
Raabe’s Test
If un > 0 and if
for all n ≥ N, where N is a positive integer independent on, then converges.
If
Then diverges (as diverges). The limit form of Raabe’s test is
Proof:
In Kummer’s Test choose an = n and P = C + 1.
Joseph Ludwig Raabe
(1801 – 1859)
Given a series:
Theorems of Convergence of Sequences and Series
∑=
=
n
i
in uS
1
Infinite Series
Return to the Table of Content
11
1
>≥





−
+
P
u
u
n
n
n
∑i iu
11
1
≤





−
+n
n
u
u
n
∑i iu ∑
−
i ia
1





=
∞→<
>
=





− ∑
−
+
∞→
testno
divergea
converge
P
u
u
n i i
n
n
n
1
&1
1
1lim
1
1
75
SOLO
Convergence Tests
Gauss’ s Test
Carl Friedrich Gauss
(1777 – 1855)
If un > 0 for all finite n and
in which B (n) is a bounded function of n for n → ∞, then
converges for h > 1 and diverges for h ≤ 1. There is no
indeterminate case here.
( )
2
1
1
n
nB
n
h
u
u
n
n
++=
+
∑n nu
Proof:
For h > 1 and h < 1 the proof follows directly from Raabe’s Test:
( ) ( ) h
n
nB
h
n
nB
n
h
n
u
u
n
nn
n
n
n
=



+=



−++⋅=





−⋅
∞→∞→
+
∞→
lim11lim1lim 2
1
If h = 1, Raabe’s Test fails. However if we return to Kummer’s Test and use an=n ln
n: ( ) ( ) ( )
( ) ( ) ( ) 











+−−+=



++−
+
⋅=






++−



++⋅
∞→∞→
=
∞→
n
nnnn
n
n
nn
nn
n
nB
n
h
nn
nn
h
n
1
1lnlnln1lim1ln1
1
lnlim
1ln11lnlim
1
2
Given a series:
Theorems of Convergence of Sequences and Series
∑=
=
n
i
in uS
1
Infinite Series
76
SOLO
Convergence Tests
Gauss’ s Test
Carl Friedrich Gauss
(1777 – 1855)
If un > 0 for all finite n and
in which B (n) is a bounded function of n for n → ∞, then
converges for h > 1 and diverges for h ≤ 1. There is no
indeterminate case here.
( )
2
1
1
n
nB
n
h
u
u
n
n
++=
+
∑n nu
Proof (continue – 1):
Kummer’s withan=n ln n:
( ) ( ) ( ) ( ) 











++−=






++−





++⋅
∞→
=
∞→ n
nnn
n
nB
n
h
nn
n
h
n
1
1ln1lim1ln11lnlim
1
2
( ) ( ) 01
3
1
2
11
1lim
1
1ln1lim 32
<−=





−+−⋅+−=





+⋅+−
∞→∞→

nnn
n
n
n
nn
Hence we have a divergence for h = 1. This is an example of a successful
application of Kremmer’s Test in which Raabe’s Test failed.
Given a series:
Theorems of Convergence of Sequences and Series
∑=
=
n
i
in uS
1
Infinite Series
Return to the Table of Content
77
SOLO Complex Variables
Infinite Series, Taylor’s and Laurent Series
Let {un} :=u1 (z), u2 (z),…,un (z),…, be a sequence of single-valued functions of z in
some region of z plane.
We call U (z) the limit of {un} ,if given any positive number ε we can find a number
N (ε,z) such that and we write this:( ) ( ) ( )zNnzUzun ,εε >∀<−
( ) ( ) ( ) ( )zUzuorzUzu
n
nn
n
∞→
∞→
→=lim
x
y C
R
If a sequence converges for all values z in a region R, we call R
the region of convergence of the sequence. A sequence that is
not
convergent at some point z is called divergent at z.
Infinite Series of Functions
78
SOLO Complex Variables
Infinite Series, Taylor’s and Laurent Series
Infinite Series of Functions
From the sequence of functions {un} let form a new sequence {Sn} defined by:
( ) ( )
( ) ( ) ( )
( ) ( ) ( ) ( ) ( )∑=
=+++=
+=
=
n
i
inn
zuzuzuzuzS
zuzuzS
zuzS
1
21
212
11


If , the series is called convergent and S (z) is its sum.( ) ( )zSzSnn
=∞→
lim
A necessary (but not sufficient) condition for convergence is that lim n→∞ un(z) = 0
Example: The Harmonic Series
 ++++++=∑
∞
= nnn
1
4
1
3
1
2
1
1
1
1
0
1
limlim ==
∞→∞→ n
u
n
n
n
By grouping the terms in the sum as
∞→+





+
++
+
+
+
++





++++





+++
=>>>

  

  
2
1
22
1
2
1
1
2
1
1
1
8
1
7
1
6
1
5
1
4
1
3
1
2
1
1
p
p
pppp
Return to the Table of Content
79
SOLO Complex Variables
Absolute Convergence of Series of Functions
Given a series of functions:
( ) ( )∑=
=
n
i
in
zuzS
1
If is convergent the series is called absolutely convergent.( )∑=
n
i
i zu
1
If is convergent but is not, the series is called
conditionally convergent.
( )∑=
n
i
i
zu
1
( )∑=
n
i
i zu
1
Return to the Table of Content
80
SOLO Complex Variables
Uniformly Convergence of Sequences and Series
If for the sequence of functions {un(z)} we can find for each ε>0 a number N (ε)
such that for all z∈R we say that {un} uniformly
converges to U (z). ( N is a function only of ε and not of z)
( ) ( ) ( )εε NnzUzun >∀<−
If the series of functions {Sn(z)} converges to S (z) for all z∈R
we define the remainder ( ) ( ) ( ) ( )∑
∞
+=
=−=
1
:
nz
inn zuzSzSzR
The series of functions {Sn(z)} is uniformly convergent to S (z)
if for all for all ε>0 and for all z∈R we can find a number N (ε)
such that ( ) ( ) ( )εε NnzSzSn >∀<− x
y C
R
Return to the Table of Content
81
SOLO Complex Variables
Weierstrass M (Majorant) Test
Karl Theodor Wilhelm
Weierstrass
(1815 – 11897)
The most commonly encountered test for Uniform
Convergence is the Weierstrass M Test.
Proof:
Since converges, some number N exists such that for n + 1 ≥ N,
If we can construct a series of numbers , in
which Mi ≥ |ui(x)| for all x in the interval [a,b] and
is convergent, the series ui(x) will be uniformly
convergent in [a,b].
∑
∞
1 iM
∑
∞
1 iM
∑
∞
1 iM
ε<∑
∞
+= 1ni
iM
This follows from our definition of convergence. Then, with |ui(x)| ≤ Mi for
all x in the interval a ≤ x ≤ b, ( ) ε<∑
∞
+= 1ni
i xu
Hence ( ) ( ) ( ) ε<=− ∑
∞
+= 1ni
in xuxsxS
and by definition is uniformly convergent in [a,b]. Since we
specified absolute values in the statement of the Weierstrass M Test, the
series is also Absolutely Convergent. Return to the Table of Content
∑
∞
=1i iu
∑
∞
=1i iu
SOLO Complex Variables
Abel’s Test
Niels Henrik Abel
( 1802 – 1829)
If
and the functions fn(x) are monotonic decreasing |
fn+1(x) ≤ fn(x)| and bounded, 0 ≤ fn(x) ≤ M, for all x in
[a,b], then Converges Uniformly in [a,b].
( ) ( )
convergentAa
xfaxu
n
nnn
,=
=
∑
( )∑n n xu
( ) ( ) [ ] ( ) [ ]bainconvergentuniformlyisxu
xd
d
baincontinuousarexu
xd
d
andxu n nnn ,&, 1∑
∞
=
Return to the Table of Content
Uniformly convergent series have three particular useful properties:
1.If the individual terms un(x) are continuous, the series sum
is also continuous.
2. If the individual terms un(x) are continuous, the series may be integrated term by term.
The sum of the integrals is equal to to the integral of the sum, then
3.The derivative of the series sum f (x) equals the sum of the individual term derivatives
providing the following conditions are satisfied
( ) ( )∑
∞
=
= 1n n xuxf
( ) ( )∑ ∫∫
∞
=
= 1n
b
a
n
b
a
xdxuxdxf
( ) ( )∑
∞
=
= 1n n xu
xd
d
xf
xd
d
SOLO Complex Variables
Uniformly Convergent Series of Analytic Functions
Suppose that
(i)Each number of a sequence of functions u1(z), u2(z),…,un(z),…
is Analytic inside a Region D,
(ii)The Series
is Uniformly Convergent through Every Region D’ interior to D.
Then the function
is Analytic inside D, and all its Derivatives can be calculated by term-by-term
Differentiation.
( )∑
∞
=1n n zu
( ) ( )∑
∞
=
= 1n n zuzf
Proof:
Let C be a simple closed contour entirely inside D, and
let z a Point inside D. Since un(z) is Analytic inside D, we
have:
( ) ( )
∫ −
=
C
n
n wd
zw
wu
i
zu
π2
1
for each function un(z). Hence
( ) ( ) ( )
∑ ∫∑
∞
=
∞
=
−
== 11
2
1
n
C
n
n n wd
zw
wu
i
zuzf
π
SOLO Complex Variables
Uniformly Convergent Series of Analytic Functions
Proof (continue – 1):
Since is Uniformly Convergent on C, we may multiply by 1/(w-z)
and integrate term-by-term:
and we obtain
( ) ( ) ( )
∑ ∫∑
∞
=
∞
=
−
== 11
2
1
n
C
n
n n wd
zw
wu
i
zuzf
π
( )∑
∞
=1n n zu
( ) ( )
∑ ∫∫∑
∞
=
∞
=
−
=
− 11 n
C
n
C
n
n
wd
zw
wu
wd
zw
wu
( ) ( ) ( )
∫∫∑ −
=
−
=
∞
=
CC
n
n
wd
zw
wf
i
wd
zw
wu
i
zf
ππ 2
1
2
1
1
The last integral proves that f(z) is Analytic inside C, and since C is an
arbitrary closed contour inside D, f(z) is Analytic inside D.
SOLO Complex Variables
Uniformly Convergent Series of Analytic Functions
Proof (continue – 2):
Since f(z) is Analytic in D, the same is true for f’(z),
therefore we can write
( ) ( )
( )∫ −
=
C
wd
zw
wf
i
zf 2
2
1
'
π
Therefore
q.e.d.
( ) ( )
( )
( )
( )
( )
( )
( )∑∑ ∫
∫∑∫
∞
=
∞
=
∞
=
=
−
=
−
=
−
=
11 2
1 22
'
2
1
2
1
2
1
'
n nn
C
n
eConvergenc
Uniform
C
n n
C
zuwd
zw
wu
i
zw
wd
wu
i
wd
zw
wf
i
zf
π
ππ
Hence the Series can be Differentiate term-by-term
SOLO Complex Variables
Uniformly Convergent Series of Analytic Functions
Remarks on the above Theorem
(i)The contrast between the conditions for term-by-term differentiation of Real Series,
and of Series of Analytic Functions is that
- In the case of Real Series we have to assume that the Differentiated Series is
Uniformly Convergent.
- In the case of Series of Analytic Series the Theorem proved that the Differentiated
Series is Uniformly Convergent.
(ii)If we merely assumed that the given Series is Uniformly Convergent on a certain
Closed Curve C, we could prove as before that f(z) is Analytic at all points inside C.
(iii) Even if we assume that each un(z) is Analytic on the Boundary of the Domain D, and
the Series is Uniformly Convergent on the Boundary, we can not prove that f(z) is
Analytic on the Boundary, or the Differentiated Series Converges on the Boundary.
(iv) The Theorem may be stated as a Theorem on Sequences of Functions:
If fn(z) is Analytic in D for each value of n, and tends to f(z) Uniformly in any
Region interior to D, then f(z) is Analytic inside D, and fn’(z) tends to f’(z) Uniformly in
any Region interior to D.
Return to the Table of Content
87
SOLO Complex Variables
Let f (z) be analytic at all points within a circle C0 with center at z0 and radius r0.
Then at each point z inside C0:
Taylor’s Series
( ) ( ) ( ) ( )
( )
( )
( )
( )
( )  +−++−+−+=
n
n
zz
n
zf
zz
zf
zzzfzfzf 0
02
0
0
000
!!2
''
'
Power Series
Brook Taylor
1685 - 1731
a convergent power series for some |z-z0|<R (radius of convergence).
C
x
y
R
z0
C0
C1
z
z'
r0
r1
r
Proof:
Start with the Cauchy’s Integral Formula: ( ) ( )
∫ −
=
C
zd
zz
zf
i
zf '
'
'
2
1
π
Use the identity:
α
α
ααα
α −
+++++≡
−
−
1
1
1
1 12
n
n

for: ( ) ( )




















−
−
−
−
−
+







−
−
+++
−
−
+
−
=
−
−
−
−
=
−+−
=
−
− nn
zz
zz
zz
zzzz
zz
zz
zz
zz
zz
zzzzzzzzzz
0
0
0
0
1
0
0
0
0
0
0
0000
'
'
1
1
''
1
'
1
'
1
1
'
1
'
1
'
1

Since z inside C0 |z-z0|=r < r0. For z’ is on C1 we have |z’-z0|=r1<r0
88
SOLO Complex Variables
Taylor’s Series (continue - 1)
Power Series
C
x
y
R
z0
C0
C1
z
z'
r0
r1
r
Proof (continue - 1):
Using the Cauchy’s Integral Formula:
( ) ( )
∫ −
=
C
zd
zz
zf
i
zf '
'
'
2
1
π
( ) ( )




















−
−
−
−
−
+







−
−
+++
−
−
+
−
=
−
− nn
zz
zz
zz
zzzz
zz
zz
zz
zz
zf
zz
zf
0
0
0
0
1
0
0
0
0
0
'
'
1
1
''
1
'
'
'
'

( )
( )
( )
( )
( )
( ) ( )
( )
( )
( )
( )
( ) ( )
( ) ( )
( ) ( ) ( )
( )
( )
( ) n
n
n
R
C
n
n
n
nzf
C
n
zf
C
zf
C
Rzz
n
zf
zzzfzf
zzzz
zdzf
i
zz
zz
zz
zdzf
i
zz
zz
zdzf
izz
zdzf
i
n
n
+−++−+=
−−
−
+
−








−
++−








−
+
−
=
∫
∫∫∫
−
0
0
000
0
0
1
0
!/
0
0
!1/'
2
00
!
'
''
''
2
'
''
2
1
'
''
2
1
'
''
2
1
0
0
0
0
0
0
0

  
  

    
π
πππ
We have:
( )
( )
n
i
n
n
C
n
n
n
r
r
rr
Mr
der
rrr
Mr
zzzz
zdzfzz
R 





−
=
−
≤
−−
−
≤ ∫∫ 11
1
2
0
1
110
0
2''
''
2 0
π
θ
θ
ππ
where |f (z)|<M in C0 and r/r1< 1, therefore: 0
∞→
→
n
nR q.e.d.
0100
' rrzzrzz <=−<=−
89
SOLO Complex Variables
Let f (z) be analytic at all points within a circle C0 with center at z0 and radius r0.
Then at each point z inside C0:
Taylor’s Series (continue – 2)
( ) ( ) ( ) ( )
( )
( )
( )
( )
( )  +−++−+−+=
n
n
zz
n
zf
zz
zf
zzzfzfzf 0
02
0
0
000
!!2
''
'
Power Series
Brook Taylor
1685 - 1731
a convergent power series for some |z-z0|<R (radius of convergence).
C
x
y
R
z0
C0
C1
z
z'
r0
r1
r
Proof (continue – 2):
( )
( )
( )
( )∑
∞
=
−=
0
01
0
1
!k
k
k
zz
k
zf
zfSuppose the series converges for z=z1:
( )
( )
( ) ( )
( )








−
−
−
=≤








−
−
−=−≤
<∞
=
∞
=
∞
=
∑∑∑
01
0
1
001
0
0
01
0
0
0
0
1
!!
zz
zz
M
aM
zz
zz
zz
k
zf
zz
k
zf
zf
a
k
k
k
k
k
k
k
k
k
Since the series converges all its terms are bounded
( )
( )
,2,1,0
!
01
0
=∀<− nMzz
k
zf k
k
Define:
01
0
:
zz
zz
a
−
−
=
Therefore the series f (z) converges for all 010 zzzz −<−
The region of convergence of a Taylor series of f (z) around a point z0 is a circle centered
at z and radius of convergence R that extends until f (z) stops to be analytic.
90
SOLO Complex Variables
Taylor’s Series (continue – 3)
( ) ( ) ( ) ( ) ( )
( )
 +++++= n
n
z
n
f
z
f
zffzf
!
0
!2
0''
0'0 2
Power Series
Brook Taylor
1685 - 1731
When z0 = 0 the series is called Maclaurin’s series after
Colin Maclaurin a contemporary of Brook Taylor.
Colin Maclaurin
1698 - 1746
Examples of Taylor’s Series
∞<= ∑
∞
=
z
n
z
e
n
n
z
0 !
( )
( )
∞<
−
−= ∑
∞
=
−
+
z
n
z
z
n
n
n
0
12
1
!12
1sin
( )
( )
∞<−= ∑
∞
=
z
n
z
z
n
n
n
0
2
!2
1cos
( )
∞<
−
= ∑
∞
=
−
z
n
z
z
n
n
0
12
!12
sinh
( )
∞<= ∑
∞
=
z
n
z
z
n
n
0
2
!2
cosh
( ) 11
1
1
0
<−=
+ ∑
∞
=
zz
z n
nn
Return to the Table of Content
91
SOLO Complex Variables
Laurent’s Series (1843)
Power Series
If f (z) is analytic inside and on the boundary of the ring
shaped region R bounded by two concentric circles C1 and
C2 with center at z0 and respective radii r1 and r2 (r1 > r2),
then for all z in R:
Pierre Alphonse Laurent
1813 - 1854
C1
x
y
R
C2R2
R1
z0
z
z'
r
P1
P0
z'( ) ( )
( )∑∑
∞
=
−
∞
= −
+−=
1 00
0
n
n
n
n
n
n
zz
a
zzazf
( )
( )
,2,1,0'
'
'
2
1
2
1
0
=
−
= ∫ +−−
nzd
zz
zf
i
a
C
nn
π
( )
( )
,2,1,0'
'
'
2
1
1
1
0
=
−
= ∫ +
nzd
zz
zf
i
a
C
nn
π
Proof:
Since z is inside R we have R1 <|z-z0|=r < R2 , and |z’-z0|= R1 on C1 and R2 on C2.
Start with the Cauchy’s Integral Formula:
( ) ( ) ( ) ( ) ( ) ( ) ( ) ( )
∫∫∫∫∫∫ −
−
−
=→
−
+
−
+
−
+
−
=
212
0
1
1
01
'
'
'
'
'
'
'
'
'
'
'
'
'
'
'
'
'
'
0
CCC
P
P
P
PC
dz
zz
zf
dz
zz
zf
zfdzdz
zz
zf
dz
zz
zf
dz
zz
zf
dz
zz
zf
zf
  
92
SOLO Complex Variables
Laurent’s Series (continue - 1)
Power Series
Pierre Alphonse Laurent
1813 - 1854
C1
x
y
R
C2R2
R1
z0
z z'
r
Proof (continue – 1):
Since z and z’ are inside R we have R1 >|z-z0|=r >R2, |z’-z0|=R1.
From Cauchy’s Integral Formula: ( ) ( ) ( )
∫∫ −
−
−
=
21
'
'
'
'
'
'
CC
dz
zz
zf
dz
zz
zf
zf
Use the identity:
α
α
ααα
α −
+++++≡
−
−
1
1
1
1 12
n
n

For I integral:




















−
−
−
−
−
+







−
−
++
−
−
+
−
=
−
−
−
−
=
−
− nn
zz
zz
zz
zzzz
zz
zz
zz
zz
zz
zzzzzz 0
0
0
0
1
0
0
0
0
0
0
00
'
'
1
1
''
1
'
1
'
1
1
'
1
'
1

( )
( )
( )
( )
( )
( ) ( )
( )
( )
( )
( ) ( )
( ) ( )
( ) ( ) ( ) ( ) ( ) n
n
n
R
C
n
n
n
zs
C
n
za
C
za
C
Rzzzazzzaza
zzzz
zdzf
i
zz
zz
zz
zdzf
i
zz
zz
zdzf
izz
zdzf
i
n
n
+−⋅++−⋅+=
−−
−
+
−








−
++−








−
+
−
=
∫
∫∫∫
−
0000100
0
0
1
0
0
02
00
2
0
2
01
2
00
2
''
''
2
'
''
2
1
'
''
2
1
'
''
2
1

  
  

    
π
πππ
( )
∫ −1
'
'
'
2
1
C
zd
zz
zf
iπ
We have:
( )
( )
n
n
n
C
n
n
n
R
r
rR
MR
dR
rRR
Mr
zzzz
zdzfzz
R 





−
=
−
≤
−−
−
≤ ∫∫ 11
1
2
0
1
110
0
2''
''
2 0
π
θ
ππ
where |f (z)|<M in R and r/R1< 1, therefore: 0
∞→
→
n
nR
93
SOLO Complex Variables
Laurent’s Series (continue - 2)
Power Series
Pierre Alphonse Laurent
1813 - 1854
C1
x
y
R
C2R2
R1
z0
z z'
r
Proof (continue – 1):
Since z and z’ are inside R we have R1 >|z-z0|=r > R2, |z’-z0|=R2.
From Cauchy’s Integral Formula: ( ) ( ) ( )
∫∫ −
−
−
=
21
'
'
'
'
'
'
CC
dz
zz
zf
dz
zz
zf
zf
Use the identity:
α
α
ααα
α −
+++++≡
−
−
1
1
1
1 12
n
n

For II integral:




















−
−
−
−
−
+







−
−
++
−
−
+
−
=
−
−
−
−
=
−
−
− nn
zz
zz
zz
zzzz
zz
zz
zz
zz
zz
zzzzzz 0
0
0
0
1
0
0
0
0
0
0
00
'
'
1
1''
1
1
'
1
11
'
1

( ) ( )
( )
( )
( )
( )
( )
( )
( )
( ) ( )
( ) ( )
( ) ( ) ( ) ( ) n
n
n
R
C
n
n
n
za
C
n
za
CC
Rzzzazzza
zzzz
zdzfzz
i
zzzz
zdzf
izzzz
zdzf
i
zdzf
i
n
n
−
+−
+−
−
−
+−+−−
+−++−=
−−
−
+
−







−
++
−







−
+=
−
+−−
∫
∫∫∫
1
001
1
001
0
0
1
0
1
00
2
0
0
0
01
0
01
00
'
'''
2
1
1
'
''
2
11
'
''
2
1
''
2
1

  
  

    
π
πππ
( )
∫ −C
zd
zz
zf
i
'
'
'
2
1
π
We have:
( )
( )
n
n
n
C
n
n
n
r
R
rR
RM
dR
rRr
MR
zzzz
zdzfzz
R 





−
=
−
≤
−−
−
≤ ∫∫−
2
2
2
2
0
2
2
2
0
0
2'
'''
2
1
0
π
θ
ππ
where |f (z)|<M in R and R2/r< 1, therefore: 0
∞→
− →
n
nR
Return to the Table of Content
94
SOLO Complex Variables
Zeros of Holomorphic Functions
( ) ( )
( ) ( )
( ) ( )
( ) 00 00
1
0
1
0 ≠==== −
zfandzfzfzf kk

We say that Holomorphic Function f (z) has a Zero of Order k at z = z0 if
If f (z) has a Zero of Order k at z = z0, by Taylor expansion, we can write
with Holomorphic and nonzero.
( ) ( ) ( )zfzzzf k
k
0−=
( ) ( )
( )kk
zz
zf
zf
0
:
−
=
Note:
(1) For g (z) = 1/ f (z) the Order k Zeros of f (z) are Order k Poles of g (z)
( )
( ) ( ) ( )zfzzzf
zg
k
k
111
0−
==
(2) For
( ) ( )
( )
( )
( )zf
zf
zz
k
zf
zf
zf
zd
d
k
k ''
ln
0
+
−
==
z = z0, is a Simple Pole.
Return to the Table of Content
95
SOLO Complex Variables
Theorem: f(z) Analytic and Nonzero → ln|f(z)| Harmonic
If f (z) is analytic for in an Open Set Ω, and has no zeros in Ω,
then ln |f(z)| is Harmonic in Ω.
Proof :
Since f (z) is analytic and has no zeros the logarithm of f(z) is also Analytic
g (z) := ln f (z) is Analytic
Therefore
q.e.d.
( ) ( ) ( ) ( ) ( ) ( )zgizgzgizgzg
eeeezf ImReImRe
=== +
and
( ) Harmoniczgizgzg )(Im)(Re +=
( ) ( ) ( ) ( )zgzgizg
eeezf Re
1
ImRe
=⋅=

( ) ( )
( ) Harmoniczgezf zg
Relnln Re
==
meaning
Harmonicyixgyixg
yixg
y
yixg
x
yixg
y
yixg
x
)(Re),(Re
0)(Im)(Im&0)(Re)(Re 2
2
2
2
2
2
2
2
++⇔
=+
∂
∂
++
∂
∂
=+
∂
∂
++
∂
∂
Return to the Table of Content
96
SOLO Complex Variables
Polynomial Theorem
If f (z) is analytic for all finite values of z, and as |z| → ∞, and
then f (z) is a polynomial of degree ≤ k.
Proof :
Integrating this result we obtain
q.e.d.
( ) kgivenAsomeforzforzAzf
k
&0, >∞→≤
Using Taylor Series around any analytic point z = a
( ) ( ) ( ) ( )
( ) ( ) ( )
( )  +⋅
−
++⋅−+= af
n
az
afazafzf n
n
!
1
( ) ( ) ( )
( ) ( )
( ) ( )
( ) Aafaz
z
az
n
af
z
az
k
af
z
az
z
af
z
zf nkn
k
k
k
k
k
kkk
≤+⋅−⋅
−
++⋅
−
++⋅
−
+≤
−

!
1
!
11
If |z| → ∞ , the previous equation is possible only if f(n)
(a)=0 for all n > k and all a.
Therefore f (k)
(a) = constant for all a, i.e. f (k)
(z)=ak=constant.
( ) 0
1
1 azazazf k
k
k
k +++= −
− 
Continuing to Integrate we obtain
( )
( ) 1
1
−
−
+= kk
k
azazf
Return to the Table of Content
97
SOLO Complex Variables
The Argument Theorem
If f (z) is analytic inside and on a simple closed curve C except for a
finite number of poles inside C
(this is called a Meromorphic Function), then
( )
( )
PNdz
zf
zf
i C
−=∫
'
2
1
π
where N and P are respectively the number of zeros and poles inside C.
Proof:
Let write f (z) as: ( )
( )
( )
( )zG
z
z
zf
j
p
j
k
n
k
j
k
∏
∏
−
−
=
α
β
where: ,∑∑ ==
j
j
k
k pPnN &
( ) ( ) ( ) ( )zGzpznzf jjk
k
k
lnlnlnln +−−−= ∑∑ αβ
Differentiate this equation:
( )
( ) ( ) ( )
( )
( )
Cinanalytic
j
j
k k
k
zG
zG
z
p
z
n
zf
zf
'
'
+
−
−
−
= ∑∑ αβ
( )
( ) ( ) ( )
( )
( )
PNpn
zG
zG
iz
p
iz
n
i
dz
zf
zf
i
j
k
k
C
p
C j
j
k
n
C k
k
C
jk
−=−=
+
−
−
−
=
∑∑
∫∑∫∑ ∫∫
      
0
'
2
1
2
1
2
1'
2
1
παπβππ
and G (z) ≠ 0 and analytic in C (G’ (z) exists).
( ) ( ) k
C k
k
C k
k
ndz
z
n
i
dz
z
n
i
k
=
−
=
− ∫∫ β
βπβπ 2
1
2
1
( ) ( ) j
C j
j
C j
j
pdz
z
p
i
dz
z
p
i
j
=
−
=
− ∫∫ α
απαπ 2
1
2
1
x
y C
R
1α
3
α
2α kα
1β
2β j
β
k
Cα
3αC
2αC
2βC
1βC
j
Cβ
q.e.d.
Return to the Table of Content
98
SOLO Complex Variables
Rouché’s Theorem
Eugène Rouché
1832 - 1910
If f (z) and g (z) are analytic inside and on a simple closed curve C
and if |g (z)| < |f (z)| on C, then f (z) + g (z) and f (z) have the same number
of zeros inside C.
Proof:
Let F (z):= g (z)/f (z)
If N1 and N2 are the number of zeros inside C of f (z) + g (z) and f (z) respectively, and
using the fact that those functions are analytic and C, therefore they have no poles
inside C, using the Argument Theorem we have ( )
( )∫=
C
dz
zf
zf
i
N
'
2
1
2
π
( ) ( )
( ) ( )∫ +
+
=
C
dz
zgzf
zgzf
i
N
''
2
1
1
π
( )
( )
( )
0
1'
2
1
1
'
2
1'
2
1
1
''
2
1
'
2
1
1
'1'
2
1'
2
1'''
2
1
32
21
=
+−+−=
+
=−





+
+=
−
+
++
=−
+
++
=−
∫∫∫∫
∫∫∫∫
CCCC
CCCC
dzFFFF
i
dz
F
F
i
dz
f
f
i
dz
F
F
f
f
i
dz
f
f
i
dz
Ff
FfFf
i
dz
f
f
i
dz
Fff
FfFff
i
NN

ππππ
ππππ
We used the fact that |F|=|g/f|<1 on C, so the series 1-F+F2
+…
is uniformly
convergent on C and integration term by term yields the value zero. Thus N1=N2
q.e.d.
Return to the Table of Content
99
SOLO Complex Variables
Foundamental Theorem of Algebra (using Rouché’s Theorem)
Every polynomial equation P (z) = a0 + a1z+a2z2
+…+anzn
=0 with degree
n ≥ 1 and an ≠ 0 (ai are complex constants) has at exactely n zeros.
Proof:
Define:
Take C as the circle with the center at the origin and radius r > 1.
q.e.d.
( ) n
n zazf =: ( ) 1
1
2
210
: −
−
++++= n
n
zazazaazg 
( )
( )
ra
aaaa
ra
rararara
ra
rararaa
za
zazazaa
zf
zg
n
n
n
n
n
n
nnn
n
n
n
n
n
n
n
n
1210
1
1
1
2
1
1
1
0
1
1
2
210
1
1
2
210
−
−
−
−−−
−
−
−
−
++++
=
++++
≤
++++
≤
++++
=


By choosing r large enough we can make |g (z)|/|f (z)|<1, and using Rouché’s Theorem
( ) ( ) ( ) n
n
n
n zazazazaazgzfzP +++++=+= −
−
1
1
2
210 
and (n zeros at the origin z = 0) have the same number of zeros,
i.e. P (z) has exactly n zeros.
( ) n
n zazf =:
Return to the Table of Content
100
SOLO Complex Variables
Jensen’s Formula
Johan Ludwig William Valdemar
Jensen
(1859 – 5 1925)
which is the Mean-Value Property of the Harmonic Function ln |f(z)|.
Suppose that ƒ is an Analytic Function in a region in the
complex plane which contains the closed disk D of radius r
about the origin, a1, a2, ..., an are the zeros of ƒ in the interior
of D repeated according to multiplicity, and ƒ(0) ≠ 0. Jensen's
formula states that
This formula establishes a connection between the Moduli of the
zeros of the function ƒ(z) inside the disk D and the average of
log |f(z)| on the boundary circle |z| = r, and can be seen as a
generalization of the Mean Value Property of Harmonic
Functions. Namely, if f(z) has no zeros in D, then Jensen's
formula reduces to
( ) ( )∫∑ +







=
=
π
θ
θ
π
2
01
ln
2
1
ln0ln derf
r
a
f j
n
k
k
( ) ( )∫=
π
θ
θ
π
2
0
ln
2
1
0ln derff j
101
SOLO Complex Variables
Jensen’s Formula (continue – 1)
Proof
If f has no Zeros in D, then we can use Gauss’ Main Value
Theorem to ln f(z) that is Harmonic in D
( ) ( )∫=
π
θ
θ
π
2
0
ln
2
1
0ln derff j
Since f has Zeros a1, a2,…, an inside D, ( |z| < r) let define the Holomorphic Function
F (z) without Zeros in D :
( ) ( )
( )∏= −
−
⋅=
n
k k
k
raz
rza
zfzF
1
2
/
/1
:
Apply the Gauss’ Main Value theorem for |z|=r
( ) ( ) ( ) ( )∫∫∑ ==







−=
=
π
θ
π
θ
θ
π
θ
π
2
0
2
01
ln
2
1
ln
2
1
ln0ln0ln derfderF
r
a
fF ii
n
k
k
and:


1
1
1
1
/1
1
/1
/
/1
/
/1
2
2
1
2
22
1
22
22
=
−
−
=
−
−
=
−
−
=
−
−
=
−
−
→=⋅=
r
z
a
r
z
a
r
zz
z
a
rza
z
a
rza
z
r
raz
rza
raz
rza
rzzz
k
k
k
k
k
k
k
k
k
k
The Zeros of f(z) are cancelled.
q.e.d.
We have: i.e. zk1 is outside the Disk
D.
rzarzforrza k
ra
kkkk
k
>→==−
<
1
2
1
2
1 /0/1
102
SOLO Complex Variables
Jensen’s Formula (continue – 2)
Johan Ludwig William Valdemar
Jensen
(1859 – 5 1925)
( ) ( )
( )zh
zg
zzf l
=
Jensen's formula may be generalized for functions which are
merely meromorphic on D. Namely, assume that
where g and h are analytic functions in D having zeros at
respectively, then Jensen's formula for meromorphic functions
states that
Jensen's formula can be used to estimate the number of zeros of
analytic function in a circle. Namely, if f is a function analytic in a
disk of radius R centered at z0 and if |f(z)| is bounded by M on the
boundary of that disk, then the number of zeros of f(z) in a circle of
radius r < R centered at the same point z0 does not exceed
{ } { }0,,0,, 11 DbbandDaa mn ∈∈ 
( )
( )
( )∫+= −
π
θ
π
2
01
1
ln
2
1
ln
0
0
ln i
m
nnm
erf
bb
aa
r
h
g


( ) ( )0
ln
/ln
1
zf
M
rR
103
SOLO Complex Variables
Jensen’s Formula (continue – 3)
Johan Ludwig William Valdemar
Jensen
(1859 – 5 1925)
Jensen's formula may be put in an other way. If n (r) denotes
the number of Zeros, including multiplicity, and p (r) denotes
the number of Poles, including multiplicity, for |z| < r, then
the Jensen’s Formula can be written as
( ) ( ) ( ) ( )0lnln
2
1
lnln
2
0110
fderf
b
r
a
r
dx
x
xpxn j
n
j j
m
k k
r
−=








−







=
−
∫∑∑∫ ==
π
θ
θ
π
Proof








−−−=








−







∑∑∑∑ ====
n
j
j
m
k
k
n
j j
m
k k
brnarm
b
r
a
r
1111
lnlnlnlnlnln
( ) ( ) ( ) ( )







−+−−−+−= ∑∑
−
=
+
−
=
+ n
n
j
jjm
m
k
kk brnbbjarnaak lnlnlnlnlnlnlnln
1
1
1
1
1
1








+−








+= ∫∑ ∫∫∑ ∫
−
=
−
=
++ r
r
n
j
r
r
r
r
m
k
r
r n
j
jn
k
k
x
xd
n
x
xd
j
x
xd
m
x
xd
k
1
1
1
1
11
104
SOLO Complex Variables
Jensen’s Formula (continue – 4)
Johan Ludwig William
Valdemar Jensen
(1859 – 5 1925)
Jensen's formula may be put in an other way. If n (r) denotes
the number of Zeros, including multiplicity, and p (r) denotes
the number of Poles, including multiplicity, for |z| < r, then
the Jensen’s Formula can be written as
( ) ( ) ( ) ( )0lnln
2
1
lnln
2
0110
fderf
b
r
a
r
dx
x
xpxn j
n
j j
m
k k
r
−=








−







=
−
∫∑∑∫ ==
π
θ
θ
π
Proof (continue – 1)








+−








+=








−







∫∑ ∫∫∑ ∫∑∑
−
=
−
===
++ r
r
n
j
r
r
r
r
m
k
r
r
n
j j
m
k k n
j
jn
k
k
x
xd
n
x
xd
j
x
xd
m
x
xd
k
b
r
a
r 1
1
1
111
11
lnln
But k = n (x) for rm ≤ x ≤ rm+1, m = n (x) for rn ≤ x ≤ r, and
j = p (x) for rj ≤ x ≤ rj+1, n = p (x) for rn ≤ x ≤ r Hence
( ) ( ) xd
x
xp
xd
x
xn
b
r
a
r
rrn
j j
m
k k
∫∫∑∑ −=








−







== 0011
lnln
q.e.d.
Return to the Table of Content
105
SOLO Complex Variables
Poisson-Jensen’s Formula for a Disk
Johan Ludwig William Valdemar
Jensen
(1859 – 5 1925)
Poisson Formula states:
Siméon Denis Poisson
1781-1840
Let g (z) be analytic inside and on the circle C defined by
|z| = R, and let z = r e iθ
be any point inside C, then:
( ) ( )∫ −
−
=
π
φ
θφ
θ
φ
π
2
0
2
22
2
1
deRg
ereR
rR
erg i
ii
i
In our case ƒ is an analytic function in a region in the complex
plane which contains the closed disk D of radius R about the
origin, a1, a2, ..., am are the Zeros, and b1, b2, ..., bn are the Poles
of ƒ in the interior of D repeated according to multiplicity.
Since f has Zeros a1, a2,…, an inside D, ( |z| < r)
let define the Holomorphic Function
F (z) without Zeros in D :
( ) ( )
( )
( ) Rz
Rzb
Rbz
Raz
Rza
zfzF
m
k
n
j j
j
k
k
=
−
−
⋅
−
−
⋅= ∏ ∏= =1 1
2
2
/1
/
/
/1
:
Zeros and Poles of f(z) are cancelled, and new ones are outside D.
106
SOLO Complex Variables
Poisson-Jensen’s Formula for a Disk
Johan Ludwig William Valdemar
Jensen
(1859 – 5 1925)
Let apply the Poisson Formula to g (z) = ln |F (z)|:
( ) ( ) ( )
( )
( )
∏∏ == −
−
+
−
−
+==
n
j j
j
m
k k
k
Rzb
Rbz
Raz
Rza
zfzFzg
1
2
1
2
/1
/
ln
/
/1
lnlnln:
( )
( ) 1
/1
/
/
/1
2
2 Rz
j
j
Rz
k
k
Rzb
Rbz
Raz
Rza ==
=
−
−
=
−
−
Siméon Denis Poisson
1781-1840
We proved that:
( ) ( )φφ ii
eRfeRg ln=
The Poisson Formula to g (z) = ln F (z) is:
( )
( )
( )
( ) RzdeRf
ereR
rR
Rzb
Rbz
Raz
Rza
zf
i
ii
n
j j
j
m
k k
k
<
−
−
=
−
−
+
−
−
+
∫
∏∏ ==
π
φ
θφ
φ
π
2
0
2
22
1
2
1
2
ln
2
1
/1
/
ln
/
/1
lnln
RzRzbandRzRza jjjkkk >→=−>→=− 1
2
11
2
1 0/1,0/1
107
SOLO Complex Variables
Poisson-Jensen’s Formula for a Disk
Johan Ludwig William Valdemar
Jensen
(1859 – 5 1925)
Siméon Denis Poisson
1781-1840
The Poisson-Jensen’s Formula for a Disk is:
( )
( )
( )
( ) RzdeRf
ereR
rR
Rzb
Rbz
Raz
Rza
zf
i
ii
n
j j
j
m
k k
k
<
−
−
=
−
−
+
−
−
+
∫
∑∑ ==
π
φ
θφ
φ
π
2
0
2
22
1
2
1
2
ln
2
1
/1
/
ln
/
/1
lnln
For z = r = 0 we obtain the Jensen’s Formula:
( ) ( )∫=






+ −
π
φ
φ
π
2
021
21
ln
2
1
ln0ln deRfR
aaa
bbb
f inm
m
n


If there are no Zeros or Poles in D, it reduces to
Poisson’s Formula:
( ) ( ) RzdeRf
ereR
rR
zf i
ii
<
−
−
= ∫
π
φ
θφ
φ
π
2
0
2
22
ln
2
1
ln
Return to the Table of Content
108
SOLO Complex Variables
The Residue Theorem, Evaluations of Integral and Series
If f (z) is analytic inside and on the boundary of a circle C, except it’s center z0, then
according to Laurent’s Series:
C
x
y
R
R
z0
z
z'
r
P0
( ) ( )
( )∑∑
∞
=
−
∞
= −
+−=
1 00
0
n
n
n
n
n
n
zz
a
zzazf
( )
( )
,2,1,0'
'
'
2
1
1
0
=
−
= ∫ +−− nzd
zz
zf
i
a
C
nn
π
( )
( )
,2,1,0'
'
'
2
1
1
0
=
−
= ∫ +
nzd
zz
zf
i
a
C
nn
π
Let compute
( ) ( ) ( )
( )
,2,1,0'
'
'
''''
1 00
0 =
−
+−= ∑ ∫∫ ∑ ∫
∞
=
−
∞
=
nzd
zz
zf
azdzzazdzf
n C
nn
C n C
n
n
( ) ( )
( ) 


=
≠
=
−
==− ∫∫ 12
10
'
'
'
&,2,1,00''
0
0
ni
n
zd
zz
zf
nzdzz
C
n
C
n
π

Therefore: ( ) 12'' −∫ = aizdzf
C
π
Because only a-1 is involved in the integral above, it is called the residue of
f (z) at z = z0.
Return to the Table of Content
109
SOLO Complex Variables
The Residue Theorem, Evaluations of Integral and Series
According to residue definition the residue of f (z) at z = z0 can be computed as follows:
C
x
y
R
R
z0
z
z'
r
P0
If z = z0 is a pole of order k, i.e. the Laurent series at
z0 is
Then:
( )∫=−
C
zdzf
i
a ''
2
1
1
π
Calculation of the Residues
( ) ( ) ( )
( ) ( )  +−+−++
−
++
−
+
−
= −−− 2
02010
0
2
0
2
0
1
zzazzaa
zz
a
zz
a
zz
a
k
k
( )
( ) ( )[ ]zfzz
zd
d
k
a
k
k
k
zz 01
1
1
!1
1
lim
0
−
−
= −
−
→−
( ) ( ) ( ) ( ) ( ) ( ) ( )  +−+−+−+++−+−=−
++
−
−
−
−
−
2
02
1
0100
2
02
1
010
kkk
k
kkk
zzazzazzaazzazzazfzz
and:
If z = z0 is a pole of order k=1, then:
( ) ( )[ ]zfzza
zz 01
0
lim −=
→−
( ) ( )
( )∑∑ =
−
∞
= −
+−=
k
n
n
n
n
n
n
zz
a
zzazf
1 00
0
Return to the Table of Content
110
SOLO Complex Variables
The Residue Theorem, Evaluations of Integral and Series
The Residue Theorem
If f (z) is analytic inside and on the boundary of a closed curve C, except at the singularities
z01, z02,…,z0n, which have residues Re1, Re2,…,Ren, then:
Proof:
( ) ( )n
C
izdzf ReReRe2'' 21 +++=∫ π
x
y C
R
01z
nzC
2zC
02z
1zC
nz0
Surround every singularity z0i by a small closed curve
Czi, that enclosed only this singularity. Connect those
Curves to C by a small corridor (the width of which
shrinks to zero, so that the integration along the opposite
directions will cancel out)
( ) ( ) ( ) ( ) 0''''''''
21
=−−−− ∫∫∫∫ znzz CCCC
zdzfzdzfzdzfzdzf 
We have , therefore:( ) i
C
izdzf
zi
Re2'' π∫ =
( ) ( ) ( ) ( ) ( )n
CCCC
izdzfzdzfzdzfzdzf
znzz
ReReRe2'''''''' 21
21
+++=+++= ∫∫∫∫  π
q.e.d.
Return to the Table of Content
111
SOLO Complex Variables
The Residue Theorem, Evaluations of Integral and Series
Evaluation of Integrals
Theorem 1
If |F (z)| ≤ M/Rk
for z = R e iθ
where k > 1 and M are constants, then
where Γ is the semicircle arc of radius R, center at origin, in the
upper part of z plane.
( ) 0lim =∫Γ
→∞
zdzFR
x
y
Γ
R
Proof:
( ) 1
0
1
0
==
=
ΓΓ
=≤=≤ ∫∫∫∫ kk
i
k
eRz
k
R
M
d
R
M
deRi
R
M
zd
R
M
zdzF
i
π
θθ
ππ
θ
θ
Therefore: ( ) 0limlim
1
1
0
1
>
−→∞−
Γ
→∞
==≤ ∫∫
k
kRkR
R
M
d
R
M
zdzF
π
θ
π
( ) 0lim =∫Γ
→∞
zdzFR
and: ( ) ( ) ( ) 0limlimlim0 =≤≤−= ∫∫∫ Γ
→∞
Γ
→∞
Γ
→∞
zdzFzdzFzdzF
RRR
q.e.d.Return to the Table of Content
112
SOLO Complex Variables
The Residue Theorem, Evaluations of Integral and Series
Evaluation of Integrals
Jordan’s Lemma
If |F (z)| ≤ M/Rk
for z = R e iθ
where k > 0 and M are constants, then
where Γ is the semicircle arc of radius R, center at origin, in the
upper part of z plane, and m is a positive constant.
( ) 0lim =∫Γ
→∞
zdzFe zmi
R
x
y
Γ
R
Proof:
( ) 0lim =∫Γ
→∞
zdzFe zmi
R
using:
q.e.d.
( ) ( )∫∫
=
Γ
=
π
θθ
θ
θ
θ
0
deRieRFezdzFe iieRmi
eRz
zmi i
i
( ) ( ) ( )
( ) ∫∫∫
∫∫∫
−
−
−
−
−
−
=≤=
=≤
2/
0
sin
1
0
sin
1
0
sin
0
sincos
00
2
π
θ
π
θ
π
θθ
π
θθθθ
π
θθ
π
θθ
θθθ
θθθ
θθ
dRe
R
M
dRe
R
M
dReRFe
deRieRFedeRieRFedeRieRFe
Rm
k
Rm
k
iRm
iiRmRmiiieRmiiieRmi ii
2/0/2sin πθπθθ ≤≤≥ for
π2/π
1
θsin
πθ /2 θ
( ) ( )Rm
k
Rm
k
Rm
k
iieRmi
e
R
M
de
R
M
de
R
M
deRieRFe
i
−−
−
−
−
−=≤≤ ∫∫∫ 1
222
2/
0
/2
1
2/
0
sin
1
0
π
π
π
θ
π
θθ
θθθ
θ
( ) ( ) 01
2
limlim
0
=−≤ −
→∞→∞ ∫
Rm
kR
iieRmi
R
e
R
M
deRieRFe
i
π
θθ
θ
θ
Marie Ennemond Camille Jordan
1838 - 1922
113
SOLO Complex Variables
The Residue Theorem, Evaluations of Integral and Series
Evaluation of Integrals
Jordan’s Lemma Generalization
If |F (z)| ≤ M/Rk
for z = R e iθ
where k > 0 and M are constants, then
for Γ a semicircle arc of radius R, and center at origin:
( ) 00lim >=∫Γ
→∞
mzdzFe zmi
R
x
y
Γ
R
where Γ is the semicircle, in the upper part of z plane.
1
( ) 00lim <=∫Γ
→∞
mzdzFe zmi
R
x
y
Γ
R
where Γ is the semicircle, in the down part of z plane.
2
( ) 00lim >=∫Γ
→∞
mzdzFe zm
R x
y
Γ
R
where Γ is the semicircle, in the right part of z plane.
3
( ) 00lim <=∫Γ
→∞
mzdzFe zm
R
where Γ is the semicircle, in the left part of z plane.
4
x
yΓ
R
Return to the Table of Content
114
SOLO Complex Variables
The Residue Theorem, Evaluations of Integral and Series
Evaluation of Integrals
Integral of the Type Bromwwich-Wagner ( )∫
∞+
∞−
jc
jc
ts
sdsFe
iπ2
1
The contour from c - i ∞ to c + i ∞ is called Bromwich Contour
Thomas Bromwich
1875 - 1929
x
y
0<
Γt
R
c
x
y
0>Γt
R c
( ) ( ) ( ) ( )
( )
( )
( )



<
>
==








+==
∫
∫∫∫ Γ
∞+
∞−
→∞
∞+
∞−
0
0
2
1
lim
2
1
2
1
tzFeRes
tzFeRes
zdzF
i
sdsFesdsFe
i
sdsFe
i
tf
tz
planezRight
tz
planezLeft
ts
ic
ic
ts
R
ic
ic
ts
π
ππ
where Γ is the semicircle, in the right part of z plane, for t < 0.
where Γ is the semicircle, in the left part of z plane, for t > 0.
This integral is also the Inverse Laplace Transform.
Return to the Table of Content
115
SOLO Complex Variables
The Residue Theorem, Evaluations of Integral and Series
Evaluation of Integrals
Integral of the Type ,F (sin θ, cos θ) is a rational function of
sin θ and cos θ
( )∫
π
θθθ
2
0
cos,sin dF
Let z = e iθ
22
cos,
22
sin
11 −−−−
+
=
+
=
−
=
−
=
zzee
i
zz
i
ee iiii θθθθ
θθ
zizdddzideizd i
/=→== θθθθ
( ) ∫∫ 




 +−
=
−−
C
zi
zdzz
i
zz
FdF
2
,
2
cos,sin
112
0
π
θθθ
where C is the unit circle with center at the origin.
C
x
y
R=1
Return to the Table of Content
116
SOLO Complex Variables
The Residue Theorem, Evaluations of Integral and Series
Evaluation of Integrals
Definite Integrals of the Type .( )∫
+∞
∞−
xdxF
If the conditions of Theorem 1, i.e.:
if |F (z)| ≤ M/Rk
for z = R e iθ
where k > 1 and M are constants, then
and we can write
( ) 0lim =∫Γ
→∞
zdzFR
x
y
Γ
R
( ) ( ) ( ) ( ) ( )zFResizdzFzdzFxdxFxdxF
planezUpper
R
R
R
π2lim ==








+= ∫∫∫∫ Γ
+
−
→∞
+∞
∞−
Example: Heaviside Step Function ( )
x
e
i
xF
txi
π2
1
:=
x
y
Γ
R
0>t
x
y
Γ
R
0<t
This function has a single pole at z = 0.
For t > 0 Γ is the semicircle, in the upper part of z plane.
We also include on the path x = - ∞ to x = + ∞ a small
semicircle such that the pole z = 0 is included.
For t < 0 Γ is the semicircle, in the lower part of z plane.
We also include on the path x = - ∞ to x = + ∞ a small
semicircle such that the pole z = 0 is excluded.




<=
>=
=∫
+∞
∞−
00/
01/
2
1
tzeRes
tzeRes
xd
x
e
i tzi
planezLower
tzi
planezUpper
txi
π
Return to the Table of Content
117
SOLO Complex Variables
The Residue Theorem, Evaluations of Integral and Series
Evaluation of Integrals
Cauchy’s Principal Value
Cauchy’s Principal value deals with integrals that have singularities along the
integration paths. Start with the following:
Theorem 1:
If f (z) is analytic on and inside a positive-sensed circle C of radius ε, centered at
z = z0, then ( ) ( )0
0
0
lim zfi
zz
zdzf
C
ψ
ψ
ε
=
−∫→
where Cψ is every arc on C of angle ψ.
Proof:
Since f (z) is analytic inside and on C we can use
the Taylor series expansion to write
( ) ( )
( )
( ) ( )∑
∞
=
−+=
1
0
0
0
!n
n
n
zz
n
zf
zfzf
( )
( )
( )
( )
( )
( ) ( )
( )
  
zg
n
n
n
zz
n
zf
zz
zf
zz
zf
∑
∞
=
−
−+
−
=
− 1
1
0
0
0
0
0 !
Consider the integral on Cψ defined by z=z0 + ε e iθ
θ0 ≤ θ ≤ θ0 + ψ
C
x
y ψC
0
z
0
θ
0
θψ +
ψ
ε
O
118
SOLO Complex Variables
The Residue Theorem, Evaluations of Integral and Series
Evaluation of Integrals
Cauchy’s Principal Value (continue – 1)
Proof (continue – 1):
Since g (z) is bounded inside and on C , there is a positive number M such that
|g (z)| < M for all z such that |z – z0| < ε
( ) ( ) ( )∫∫∫ +
−
=
− ψψψ CCC
zdzg
zz
zdzf
zz
zdzf
0
0
0
( ) ( ) ( ) ( )00
0
0
0
0
0
0
0
zfidizf
zz
zd
zf
zz
zdzf
i
ezz
CC
ψθ
ψθ
θ
ε θ
ψψ
==
−
=
− ∫∫∫
+
+=
( ) ( ) ( )εψ
ψψ
MLMzdzgzdzg
CC
=<≤ ∫∫ Where L = ψ ε is the length of Cψ.
( ) ( ) ( ) 0lim0limlim
000
=⇒=≤ ∫∫ →→→
ψψ
εεε
εψ
CC
zdzgMzdzg
( ) ( ) ( ) ( ) 0lim0limlimlim0 0000
=⇒=≤≤−= ∫∫∫∫ →→→→
ψψψψ
εεεε
CCCC
zdzgzdzgzdzgzdzg
Therefore ( ) ( )0
0
0
lim zfi
zz
zdzf
C
ψ
ψ
ε
=
−∫→
q.e.d.
Note: For ψ = 2 π we recover the Cauchy’s Integral result.
C
x
y ψC
0
z
0
θ
0θψ +
ψ
ε
O
119
SOLO Complex Variables
The Residue Theorem, Evaluations of Integral and Series
Evaluation of Integrals
Cauchy’s Principal Value (continue – 2)
Theorem 2:
If F (z) is analytic on and inside a positive-sensed circle C of radius ε, except at the
center of C, z = z0, that is a simple pole of F (z), then
C
x
y ψC
0
z
0
θ
0
θψ +
ψ
ε
O
( ) ( )[ ]0
0
lim zFResizdzF
C
ψ
ψ
ε
=∫→
where Cψ is every arc on C of angle ψ.
Proof:
Since f (z) is analytic inside and on C by using Theorem 1 we obtain the
desired result.
The function:
( )
( ) ( )
( )[ ] ( ) ( )[ ]



=−=
≠−
=
→
000
00
0
lim zzzFzzzFRes
zzzFzz
zf
zz
120
SOLO Complex Variables
The Residue Theorem, Evaluations of Integral and Series
Evaluation of Integrals
Cauchy’s Principal Value (continue – 3)
Theorem 3:
If F (z) is analytic on and inside a positive-sensed curve C, except at the interior poles
zint1, zint2,…, zint n and the simple poles on the curve C, zcont1, zcont2,…, zcont m,
then
Proof:
x
y
1intz
2intz
n
zint
1+scontext
z
2cz
ck
z
1c
ε
2c
ε
0
C
2+scontext
z
1in tcont
z
2intcontz
mcontext
z
scontz int
scontint
ε
mcontext
ε
2intcont
ε
2+scontext
ε
1+scontext
ε
2in tcontCz
2+scontext
Cz
1+scontext
Cz
1in tcont
Cz
mcontext
Cz
scont
Cz in t
∑=
+=
m
k
kcontCCC
1
0
( ) ( ) ( ) ( )[ ] ( )[ ]








+=++ ∑∑∑ ∫∑ ∫∫ ==+==
s
k
kcont
n
j
j
m
sk C
s
k CC
zFReszFResizdzFzdzFzdzF
kextcontkcont
1
int
1
int
11
2
int0
π
( ) ( )[ ] ( )[ ]








+= ∑∑∫ ==
m
k
kcont
n
j
j
C
zFReszFResizdzF
11
int
2
1
2π
Let encircle the simple poles zcont k on the C contour by
semicircles Ccont k of radiuses ε cont k such that,
randomly, zcont int 1,…, zcont int s, are inside the
integration contour, and zcont ext s+1,…,zcont ext m are
outside the integration contour. We have:
where
121
SOLO Complex Variables
The Residue Theorem, Evaluations of Integral and Series
Evaluation of Integrals
Cauchy’s Principal Value (continue – 4)
Proof (continue – 1):
x
y
1intz
2intz
n
zint
1+scontext
z
2cz
ck
z
1c
ε
2cε
0
C
2+scontext
z
1intcont
z
2intcontz
mcontext
z
scontz int
scontin t
ε
mcontext
ε
2in tcont
ε
2+scontext
ε
1+scontext
ε
2intcontCz
2+scontext
Cz
1+scontext
Cz
1intcont
Cz
mcontext
Cz
scont
Cz int
( ) ( )[ ]






= ∑∑ ∫ ==
→
s
k
kcont
s
k C
zFResizdzF
kcont
kcont
1
int
1
0
int
int
lim πε
The integrals along the semicircles Ccont k of the
singularities zcont ext s+1,…,zcont ext m that are
outside the integration contour, are in the negative
direction, and we have, according to Theorem 2:
( ) ( ) ( )[ ] ( )[ ]








+== ∑∑∫∫ ==
→
∑
m
k
kcont
n
j
j
CC
zFReszFResizdzFzdzF
c
11
int
0 2
1
2lim
0
π
ε
therefore:
Since the integrals along the semicircles Ccont k of the
singularities zcont int 1,…, zcont int s, that are inside the
integration contour, are in the positive direction we have,
according to Theorem 2:
( ) ( )[ ]






−= ∑∑ ∫ +=+=
→
m
sk
kextcont
m
sk C
zFResizdzF
kextcont
kcont
11
0int
lim πε
( ) ( ) ( ) ( )[ ] ( )[ ]








+=++ ∑∑∑ ∫∑ ∫∫ ==+==
s
k
kcont
n
j
j
m
sk C
s
k CC
zFReszFResizdzFzdzFzdzF
kextcontkcont
1
int
1
int
11
2
int0
π
Note: This result is independent on the way that we encircled the simple poles on
the curve C.
q.e.d.
122
SOLO Complex Variables
The Residue Theorem, Evaluations of Integral and Series
Evaluation of Integrals
Cauchy’s Principal Value (continue – 5)
If F (x) is continuous in a ≤ x ≤ b except at a point x0 such that a < x0 < b, then if
ε1 and ε2 are positive then the integral exists if and only if the limit:
( ) ( ) ( )








+= ∫∫∫ +
−
→
→
b
x
x
a
b
a
xdxFxdxFxdxF
10
10
2
1
0
0
lim
ε
ε
ε
ε
( )∫
b
a
xdxF
( ) ( )








+ ∫∫ +
−
→
→
b
x
x
a
xdxFxdxF
10
10
2
1
0
0
lim
ε
ε
ε
ε
exists. If the limit does exist, the integral is equal to the value of this limit:
For this limit to exist, it must always have the same definite value regardless of how
the quantities ε1 and ε2 approach zero.
Cauchy’s Principal Value is defined as: ( ) ( ) ( )








+= ∫∫∫ +
−
→
b
x
x
a
b
a
xdxFxdxFxdxFPV
ε
ε
ε
0
0
0
lim:
Clearly, if the integral exists, then PV exists and is equal to the integral,
but the opposite is not true.
( )∫
b
a
xdxF
123
SOLO Complex Variables
The Residue Theorem, Evaluations of Integral and Series
Evaluation of Integrals
Cauchy’s Principal Value (continue – 6)
Example:
x
y
x
1
a−
a
∫−
a
a
xd
x
1








+ ∫∫ +
−
−→
→
a
a
xd
x
xd
x 1
1
2
1
11
lim
0
0
ε
ε
ε
ε
doe’s not exists
0
11
lim
11
lim
11
lim
1
00
0
≡








−=








+=








+=
∫∫∫∫
∫∫∫
−
−
−
−
→
→
−
−
−
−
→
−=
−
−
→
−
εε
ε
ε
ε
ε
ε
ε
ε
aa
xu
a
a
vu
a
a
a
a
xd
x
xd
x
ud
u
xd
x
vd
v
xd
x
xd
x
PV
Cauchy’s PV does exist, in this case, but has no meaning.
Return to the Table of Content
124
SOLO
Example
( )
∫
∞
0
sin
dk
k
kr
Let compute:
x
y
R
ε
A
B
C
D
E
F
G
H
Rx =Rx −=
For this use the integral: 0=∫ABCDEFGHA
zi
dz
z
e
Since z = 0 is outside the region of integration
0=+++= ∫∫∫∫∫
−
− BCDEF
ziR xi
GHA
zi
R
xi
ABCDEFGHA
zi
dz
z
e
dx
x
e
dz
z
e
dx
x
e
dz
z
e
ε
ε
∫∫∫∫∫∫
∞∞
∞→
→
−
∞→
→
∞→
→
−
−∞→
→
===
−
=+
00
0000
sin
2
sin
2
sin
lim2limlimlim dk
k
rk
idx
x
x
idx
x
x
idx
x
ee
dx
x
e
dx
x
e
R
R
R xixi
R
R xi
RR
xi
R ε
ε
ε
ε
ε
ε
ε
ε
πθθθε
ε ππ
ε
ε
π
θ
θ
ε
ε
ε
ε
θ
θθ
idideidei
e
e
dz
z
e i
ii
eii
i
eiez
GHA
zi
−==== ∫∫∫∫ →→
=
→
00
1
0
0
00
limlimlim

( ) 01
2
2
0
/2
/2sin
0
sin
00
∞→
−−
≥
−
=
→−=≤=≤= ∫∫∫∫∫
R
RRReRii
i
eRieRz
BCDEF
zi
e
R
dedededeRi
eR
e
dz
z
e i
ii
π
θθθθ
π
πθ
πθθ
π
θ
ππ
θ
θ
θ
θθ
Therefore: 0
sin
2
0
=−= ∫∫
∞
πidk
k
rk
idz
z
e
ABCDEFGHA
zi ( )
2
sin
0
π
=∫
∞
dk
k
kr
Complex Variables
125
SOLO
Example 2
0,
1
21
2
1
>∫−
RRxd
x
R
R
kLet compute: for k integer and positive
x
y
R
ε
A
B
C
D
E
F
G
H
Rx =Rx −=
This integral has a singularity on the path of
integration on x = 0:
Complex Variables
( )
( ) ( )[ ]



>
≤<
=+−−+−−=
−−=








+=
−−−−
→
→
−
−
−
−
→
→
−
−→
→
−
∫∫∫
1
100
lim
lim
11
lim
1
1
2
1
2
1
1
1
1
0
0
11
0
0
0
0
2
1
2
2
1
1
2
1
2
2
1
12
1
2
1
kdefinednot
k
kRkRkk
xkxkxd
x
xd
x
xd
x
kkkk
R
k
R
k
R
k
R
k
R
R
k
εε
ε
ε
ε
ε
ε
ε
ε
ε
ε
ε
Let compute:
( )
( ) ( ) ( )
( )



>
≤<
=





−
−
−+−−+−−=








−+−=








++=
−
−
−−−−
→
−
−
−
−
→
−
−
→
−
∫∫∫∫∫
oddk
k
e
k
kRkRkk
xk
eR
deRi
xkxd
x
zd
z
xd
x
xd
x
ki
k
kkkk
R
k
kik
i
R
k
R
k
C
k
R
k
R
R
k
&10
100
1
1
lim
lim
111
lim
1
2
1
11
2
1
1
1
0
1
0
1
00
2
2
1
1
2
1
2
1
π
ε
ε
π
θ
θ
ε
ε
εε
ε
ε
ε
εε
θ
126
SOLO Complex Variables
The Residue Theorem, Evaluations of Integral and Series
Evaluation of Integrals
Differentiation Under Integral Sign, Leibnitz’s Rule
( ) ( ) constantbaxd
xF
xdxF
d
d
b
a
b
a
=
∂
∂
= ∫∫ ,
,
,
α
α
α
α
This is true if a and b is constant, α is real and α1 ≤ α ≤ α2 where
α1 and α2 are constants, and F (x,α) is continuous and has
continuous partial derivative with respect to α for a ≤ x ≤ b,
α1 ≤ α ≤ α2.
Gottfried Wilhelm
von Leibniz
(1667-1748)
( )
( )
( )
( )
( )
( )
( )
∫∫∫ ∂
∂
+=
b
a
d
bd
d
ad
b
a
xd
xF
xdxFxdxF
d
d
α
α
αα
α
α
α
α
α
α
α
,
,,
When a and/or b are functions of α, then:
Return to the Table of Content
127
SOLO Complex Variables
The Residue Theorem, Evaluations of Integral and Series
Summation of Series
Proof:
Start with the following contour of integration CN,
that is a square with vertices at (N+1/2) (±1±i): x
y
( )iN −−





+ 1
2
1
1 2 N 1+N1−−N N− 1−2−
( )iN −





+ 1
2
1
( )iN +





+ 1
2
1
( )iN +−





+ 1
2
1
N
C
We want to show that on CN: π
π
π −
−
−
+
<
e
e
z
1
1
cot
For y > 1/2
12
2
:
1
1
1
1
cot
A
e
e
e
e
ee
ee
ee
ee
ee
ee
ee
ee
z
y
y
yy
yy
yxiyxi
yxiyxi
yxiyxi
yxiyxi
zizi
zizi
=
−
+
≤
−
+
=
−
+
=
−
+
≤
−
+
=
−
+
<
−
−
−
−
−
−
+−−
+−−
+−−
+−−
−
−
π
π
π
π
ππ
ππ
ππππ
ππππ
ππππ
ππππ
ππ
ππ
π
For y < - 1/2
12
2
1
1
1
1
cot A
e
e
e
e
ee
ee
ee
ee
z y
y
yy
yy
yxiyxi
yxiyxi
=
−
+
≤
−
+
=
−
+
=
−
+
≤ −
−
−
−
−
−
+−−
+−−
π
π
π
π
ππ
ππ
ππππ
ππππ
π
( ) ( )
( ) ( ){ }zfzsnf
zfpoles
ππ cotRe∑∑ −=
+∞
∞−
128
SOLO Complex Variables
The Residue Theorem, Evaluations of Integral and Series
Summation of Series (continue – 1)
Proof (continue – 1):
Start with the following contour of integration CN,
that is a square with vertices at (N+1/2) (±1±i):
x
y
( )iN −−





+ 1
2
1
1 2 N 1+N1−−N N− 1−2−
( )iN −





+ 1
2
1
( )iN +





+ 1
2
1
( )iN +−





+ 1
2
1
N
C
We want to show that on CN: π
π
π −
−
−
+
<
e
e
z
1
1
cot
For y > ½ and y < - 1/2 1:
1
1
cot A
e
e
z =
−
+
≤ −
−
π
π
π
For - ½ ≤ y ≤ ½ consider, first, z = N +1/2 + i y
( ) ( )
( ) π
π
ππ
πππ
−
−
−
+
=<=≤=
+=++=
e
e
AAy
yiyiNz
1
1
2/tanhtanh
2/1cot2/1cotcot
12
For - ½ ≤ y ≤ ½ and z = -N -1/2 + i y
( ) ( ) 12
2/tanhtanh2/1cotcot AAyyiNz <=≤=+−−= ππππ
y
π
π
−
−
−
+
e
e
1
1
2
1
zπcot
2
1
−






2
tanh
π
129
SOLO Complex Variables
The Residue Theorem, Evaluations of Integral and Series
Summation of Series (continue -2)
Proof (continue -2) :
x
y
( )iN −−





+ 1
2
1
1 2 N 1+N1−−N N− 1−2−
( )iN −





+ 1
2
1
( )iN +





+ 1
2
1
( )iN +−





+ 1
2
1
N
C
We proved that on CN: A
e
e
z =
−
+
< −
−
π
π
π
1
1
cot
Residue of π cot (π z) f (z) at the poles of cot (π z), i.e.
z = n, n = 0, ±1, ±2, …
Case 1: f (z) has finite number of poles
( ) ( ){ } ( ) ( ) ( ){ }
( )
( )
( ) ( )
( )
( ) ( ) ( )nfnfn
z
zfz
z
nz
zfznzzfzRes
nz
HopitalL
nz
nznz
==





 −
=
−=
→→
→=
π
ππ
π
π
π
π
ππππ
cos
cos
limcos
sin
lim
cotlimcot
'
( ) ( ) ( ) ( ){ }
( )
( )
( ) ( ){ }zfzszfzResdzzfz
NN
Cin
zfpoles
n
n
nf
nz
C
ππππππ cotRecotcot ∑∑∫ +=
+∞=
−∞=
=
  
( ) ( )
( )
( ) 048limlimcotlim
48
=





+=





≤ →∞
+=
→∞→∞ ∫ N
N
MA
LM
N
A
dzzfz kN
NL
CkN
C
N
NC
N
N
π
πππ
( ) ( )
( ) ( ){ }zfzsnf
NCin
zfpoles
ππ cotRe∑∑ −=
+∞
∞−
130
SOLO Complex Variables
The Residue Theorem, Evaluations of Integral and Series
Summation of Series (continue -3)
( ) ( )
( ) ( ){ }zfzsnf
NCin
zfpoles
ππ cotRe∑∑ −=
+∞
∞−
Proof (continue -3) :
x
y
( )iN −−





+ 1
2
1
1 2 N 1+N1−−N N− 1−2−
( )iN −





+ 1
2
1
( )iN +





+ 1
2
1
( )iN +−





+ 1
2
1
N
C
We proved that on CN: A
e
e
z =
−
+
< −
−
π
π
π
1
1
cot
Case 1: f (z) has finite number of poles
( ) ( ) ( ) ( ) 0cotlimcotlim =≤ ∫∫ →∞→∞
NN C
N
C
N
dzzfzdzzfz ππππ
( ) ( ) ( ) ( )
( ) ( ){ }zfzsnfdzzfz
NN
Cin
zfpoles
n
nC
ππππ cotRecot ∑∑∫ +=
+∞=
−∞=
Therefore ( ) ( )
( ) ( ){ }zfzsnf
zfpoles
ππ cotRe∑∑ −=
+∞
∞−
q.e.d.
Case 2: f (z) has infinite number of poles
Since CN is expanding to include all s plane, when N → ∞, it will encircle, at the
limit all the poles of f (z).
Return to the Table of Content
131
SOLO Complex Variables
The Residue Theorem, Evaluations of Integral and Series
Summation of Series
Proof:
Start with the same contour of integration CN,
that is a square with vertices at (N+1/2) (±1±i): x
y
( )iN −−





+ 1
2
1
1 2 N 1+N1−−N N− 1−2−
( )iN −





+ 1
2
1
( )iN +





+ 1
2
1
( )iN +−





+ 1
2
1
N
C
On CN: 2csc Az <π
( ) ( ) ( )
( ) ( ){ }zfzsnf
zfpoles
n
ππ cscRe1 ∑∑ −=−
+∞
∞−
Residue of π csc (π z) f (z) at the poles of csc (π z), i.e.
z = n, n = 0, ±1, ±2, …
( ) ( ){ } ( ) ( ) ( ){ }
( )
( )
( )
( )
( ) ( ) ( )nfnf
z
zf
z
nz
zfznzzfzRes
n
nz
HopitalL
nz
nznz
1
cos
lim
sin
lim
csclimcsc
'
−==





 −
=
−=
→→
→=
ππ
π
π
π
ππππ
( ) ( ) ( ) ( ){ }
( ) ( )
( )
( ) ( ){ }zfzszfzResdzzfz
N
nN
Cin
zfpoles
n
n
nf
nz
C
N
ππππππ cscRecsccsclim0
1
∑∑∫ +==
+∞=
−∞=
−
=→∞
  
( ) ( ) ( )
( ) ( ){ }zfzsnf
zfpoles
n
ππ cscRe1 ∑∑ −=−
+∞
∞−
q.e.d.
Return to the Table of Content
132
SOLO Complex Variables
The Residue Theorem, Evaluations of Integral and Series
Summation of Series
Proof:
Start with the same contour of integration CN,
that is a square with vertices at (N+1/2) (±1±i): x
y
( )iN −−





+ 1
2
1
1 2 N 1+N1−−N N− 1−2−
( )iN −





+ 1
2
1
( )iN +





+ 1
2
1
( )iN +−





+ 1
2
1
N
C
On CN: 3
tan Az <π
( )
( ) ( ){ }zfzs
n
f
zfpoles
ππ tanRe
2
12
∑∑ −=




 ++∞
∞−
Residue of π tan (π z) f (z) at the poles of tan(π z), i.e.
z = (2n+1)/2, n = 0, ±1, ±2, …
( )
( ) ( ){ } ( )
( ) ( )
( ) ( )
( ) ( ) ( ) ( )





 +
=




 +
=



















 +
−
=











 +
−=
+→+→
+→+=
2
12
2
12
cos
limsin
cos
2
12
lim
tan
2
12
limtan
2/12
'
2/12
2/122/12
n
f
n
f
z
zfz
z
n
z
zfz
n
zzfzRes
nz
HopitalL
nz
nznz
ππ
π
π
π
π
ππππ
( ) ( ) ( ) ( ){ } ( )
( ) ( ){ }zfzszfzResdzzfz
NN
Cin
zfpoles
n
n
n
f
nz
C
N
ππππππ tanRetancsclim0
2
12
∑∑∫ +==
+∞=
−∞=





 +
=→∞
  
( )
( ) ( ){ }zfzs
n
f
zfpoles
ππ tanRe
2
12
∑∑ −=




 ++∞
∞−
q.e.d.
Return to the Table of Content
133
SOLO Complex Variables
The Residue Theorem, Evaluations of Integral and Series
Summation of Series
Proof:
Start with the same contour of integration CN,
that is a square with vertices at (N+1/2) (±1±i): x
y
( )iN −−





+ 1
2
1
1 2 N 1+N1−−N N− 1−2−
( )iN −





+ 1
2
1
( )iN +





+ 1
2
1
( )iN +−





+ 1
2
1
N
C
On CN: 4
sec Az <π
( ) ( )
( ) ( ){ }zfzs
n
f
zfpoles
n
ππ secRe
2
12
1 ∑∑ −=




 +
−
+∞
∞−
Residue of π sec (π z) f (z) at the poles of sec (π z), i.e.
z = (2n+1)/2, n = 0, ±1, ±2, …
( )
( ) ( ){ } ( )
( ) ( )
( ) ( )
( ) ( ) ( )
( ) 




 +
−=




 +
=



















 +
−
=











 +
−=
+→+→
+→+=
2
12
1
2
12
sin
lim
cos
2
12
lim
2
12
limsec
2/12
'
2/12
2/122/12
n
f
n
f
z
zf
z
n
z
zfzesc
n
zzfzRes
n
nz
HopitalL
nz
nznz
ππ
π
π
π
ππππ
( ) ( ) ( ) ( ){ }
( )
( )
( ) ( ){ }zfzszfzResdzzfz
N
n
N
Cin
zfpoles
n
n
n
f
nz
C
N
ππππππ secResecseclim0
2
12
1
∑∑∫ +==
+∞=
−∞=





 +
−
=→∞
  
( ) ( )
( ) ( ){ }zfzs
n
f
zfpoles
n
ππ secRe
2
12
1 ∑∑ −=




 +
−
+∞
∞−
q.e.d.
Return to the Table of Content
134
SOLO
Perron’s Formula
( ) 


>
<
=∫ =
11
10
2
1
2:Re
aif
aif
ds
s
a
i ss
s
π
Oskar Perron
( 1880 – 1975)Proof
Define the two semi-circular paths
CL (left side), CR (right side) with s=2 as
the common origin., and R → ∞.
∫∫
∫∫
==
+
≤
+
RLRL
RLRL
C
R
C
R
C
i
iRR
C
s
dadR
R
a
deRi
iRR
a
ds
s
a
,,
,,
cos
cos
sincos
sincos
ϕϕ
ϕ
ϕϕ
ϕ
ϕ
ϕ
ϕϕ






<<>>∞
<>><
=≤ ∫∫ ∞→∞→
    
    
LR
LR
RLRL
CC
CC
C
R
R
C
s
R aora
aora
dads
s
a
)0cos&1()0cos&1(
)0cos&1()0cos&1(0
limlim
,,
cos
ϕϕ
ϕϕ
ϕϕ
Complex Variables
135
SOLO
Perron’s Formula
( ) 


>
<
=∫ =
11
10
2
1
2:Re
aif
aif
ds
s
a
i ss
s
π
Proof (continue)
We can see tat






<=
>=⋅
=






<
>
+=
→
+=
+=
10Residue
11lim
1Residue
1Residue
2Re
0
2Re
2Re
a
s
a
a
s
a
s
a
s
a
a
s
a
s
Cs
s
s
s
Cs
s
Cs
RR
L
q.e.d.
( )






<
>
=







<
>
=







<
>
+=
+=
+=
+=
+=
∞+
∞−=
∫
∫
∫
∫
∫∫
1Residue
1Residue
1
1
1
1
2
1
2Re
2Re
2Re
2Re
0
2
22:Re
a
s
a
a
s
a
ads
s
a
ads
s
a
ads
s
a
ads
s
a
ds
s
a
ds
s
a
i s
Cs
s
Cs
Cs
s
Cs
s
C
s
C
s
i
i
s
ss
s
R
L
R
L
R
L
  
π
Complex Variables
Return to the Table of Content
136
SOLO
z
z
ofzerosn
n
z
z
z
n π
π
π
π sin
,2,11
sin
1
2
2
±±=





−= ∏
∞
=
( )
( )z
ofzerosn
e
n
z
ez
zte
n
n
z
z
zt
Γ
−−=






+
=Γ=
∏
∫ ∞
=
−
∞
−− 1
,2,1
1
1
1
0
1

γ
Euler’s Product
( ) ( )
( )

( )
( )
( )
( ) ( )
  

  
γγ
ς
ς
ρς
ρ
ρ
ς
ρ
ς
2/1
1
2/2/
1
1
2
0
10
1
2
11
1
1
zzz
n
n
z
zeroszTrivial
zerosztrivialNon
z
zofpole
zba
primep
z
e
n
z
e
z
z
e
pz
+Γ
=
Γ
∞
=
−
−
=
<<
+
−−
∏∏∏ 





+⋅





−⋅
−
=−=
Weierstrass Product
Hadamard Product
( ) ( ) ∏
∞
=
⋅−=





−−=
−ΓΓ 1
2
2
sin1
1
n
z
z
n
z
z
zz
π
π
( )
( )( )
( ) ( ) ( )
( )
∏
>
=
−−






−
+Γ−
=
0Im
0
2/12ln
1
2/112
ρ
ρς
ρ
γπ
ρ
ς
s
e
s
ss
e
s
Infinite Products
Complex Variables
137
SOLO
In 1735 Euler solved the problem, named “Basel Problem” , posed by Mengoli in
1650, by showing that
6
1
4
1
3
1
2
1
1
2
1
2232
π
==++++ ∑
∞
=n n

∏
∞
=






−=⋅





−⋅





−⋅





−=
1
22
2
2
2
2
2
2
2
1
9
1
4
11
sin
k k
xxxx
x
x
ππππ

He did this by developing an Infinite Product for sin x /x:
The roots of sin x are x =0, ±π, ±2π, ±3π,…. However sin x/x is not a
polynomial, but Euler assumed (and check it by numerical computation)
that it can be factorized using its roots as
We now that if p (x) and q (x) are two polynomials, then using the roots of the
two polynomials we have:
( )
( )
( )( ) ( )
( )( ) ( )m
n
qqqq
pppp
xxxxxxa
xxxxxxa
xq
xp
−−−
−−−
=


21
21
We want to show how to express a general solution for complex function f (x)
using the zeros and the poles (finite or infinite) of f (x).
Infinite Products
Complex Variables
138
SOLO
Definition 1:
We say that the Infinite Product converges, if for any N0 > iN the
limit
exists and is nonzero.
If this is satisfied then we can compute
( ) ( ) ( )∑∏∏ =∞→=∞→=∞→
===
N
Nj i
N
N
Nj i
N
N
Ni i
N
N
0000
lnlimlnlimlimlnln αααβ
We transformed the Infinite Product in an Infinite Series, and we know that a
necessary (but not sufficient) condition for an Infinite Series to converge is
( ) 1lim0lnlim =⇒=
∞→∞→
j
j
j
j
αα
For simplicity we will define
0lim1 =⇒+=
∞→
j
j
jj aaα
∏
∞
=1j jα
00
lim N
N
Nj j
N
βα =∏ =∞→
Infinite Products
Complex Variables
139
SOLO
Lemma 2:
Let aj ϵ C be such that |aj| < 1. Let . Then( )∏ =
+=
N
j jN aQ 1
1:
∏∏ ==
≤≤
N
j j
N
j j a
N
a
eQe 11
2
1
Proof:
Since 1 + |aj| ≤ e |aj| ( ) ( ) ∑
≤++ =
N
j j
N
a
Q
N eaa 1
11 1
  

On the other hand, since ex
≤ 1 + 2 x for 0 ≤ x ≤ 1,
( )( ) ( )( ) NN
aa
a
Qaaeee
N
j
jN
j
jNN
j j
=++≤≤=
∏∏∏ ==
−
=
2/212/21 1
22
2
2
1
11
1
1
 q.e.d.
Proof: Suppose . Then, by the previous Lemma, QN ≤ eM
, for
all N. Since Q1 ≤Q2 ≤ …., the sequence of “partial products” {QN} converges.
Conversely, if the Infinit Product converges to Q, then Q ≥ 1 and
for all N. Then converges.
( ) Maj j =+∏
∞
=1
1
∑
∞
=1j ja
Qa
N
j j ln21
≤∑ =
Lemma 3:
Let aj ϵ C be such that |aj| < 1. Then converges if and only if
converges.
( )∏
∞
=
+1
1j ja
∑
∞
=1j ja
q.e.d.
Infinite Products
Complex Variables
140
SOLO
Proof: Since the product converges, then |aj| → 1, so that aj ≠ 0
for j ≥ j0. Let assume j0 = 1, and define
( )∏
+∞
=
+1
1j ja
( ) ( )∏∏ ==
+=+=
N
j jN
N
j jN aQandaP 11
1:,1:
Note that for a suitable choice of indexes ajk
( ) ∑ ∏∏ = ==
+=+=
N
n
n
k j
N
j jN k
aaP 1 11
11:
Then 11 1 11 1
−=≤=− ∑ ∏∑ ∏ = == = N
N
n
n
k j
N
n
n
k jN QaaP kk
and for N, M > 1, N > M
( ) ( ) ( ) ( )
( )( ) MN
n
Mj jM
n
Mj j
M
j j
NMN
j
M
j jjMN
QQaQ
aaaaPP
−=−+≤
+−⋅+=+−+=−
∏
∏∏∏ ∏
+=
+==
<
= =
11
11111
1
111 1
Hence, {PN} is a Cauchy Sequence, since {QN} is, and it converges.
Infinite Products
Complex Variables
Lemma 4:
If the infinite product converges, then also
converges. Hence if the series converges, also
converges.
( )∏
+∞
=
+1
1j ja ( )∏
+∞
=
+1
1j ja
( )∏
+∞
=
+1
1j ja∑
+∞
=1j ja
141
SOLO
Proof (continue – 1):
We need to prove that {PN} does not converge to zero. By Lemma 2
( ) 2
3
1 ≤≤+
∑
=
=
∏
N
Mj jaN
Mj j ea
for M ≥ j0, and N > M. Then using
( ) ( ) 2
1
1
2
3
1111 =−≤−+≤+− ∏∏ ==
N
Mj j
N
Mj j aa
for M ≥ j0, and N > M. Hence ( )
2
1
1 ≥+∏ =
N
Mj ja
so that
( ) ( ) ( ) 01
2
1
11limlim 0
11
>+≥+⋅+= ∏∏∏ ===+∞→+∞→
j
j j
N
Mj j
M
j j
j
N
j
aaaP
q.e.d.
11 −≤− NN QP
Infinite Products
Complex Variables
Lemma 4:
If the infinite product converges, then also
converges. Hence if the series converges, also
converges.
( )∏
+∞
=
+1
1j ja ( )∏
+∞
=
+1
1j ja
( )∏
+∞
=
+1
1j ja∑
+∞
=1j ja
142
SOLO
The Mittag-Leffler and Weierstrass , Hadamard Theorems
Magnus Gösta Mittag-Leffler
1846 - 1927
Karl Theodor
Wilhelm
Weierstrass
(1815 – 11897)
We want to answer the following questions:
• Can we find f M (C) so that f has poles exactly aϵ
prescribed sequence {zn} that does not cluster in C, and
such that f has prescribed principal parts (residiu) at
these poles (this refers to fixing the entire portion of the
Laurent Series with negative powers at each pole)?
A positive answer to this question was given by Mittag-Leffler
• Can we find f H (C) so that f has zeros exactly at aϵ
given sequence {zn} ?
A positive answer to this question was given by Weierstrass
and improved by Hadamard
Infinite Products
Complex Variables
Jacques Salomon
Hadamard
)1865–1963(
143
SOLO Complex Variables
The Residue Theorem, Evaluations of Integral and Series
Mittag-Leffler’s Expansion Theorem
Magnus Gösta Mittag-Leffler
1846 - 1927
( ) ( ) ( )∑
∞
=








+
−
+=
1
11
0
n nn
n
aaz
afResfzf
Suppose that the only singularities of f (z) in the z-plane are the
simple poles a1, a2,…, arranged in order of increasing absolute
values. The respective residues of f are Res { f (a1)}, Res { f (a2)}, …
C
x
y
RN
1
a
n
a
CN
ξ
Proof:
Assume ξ is not a pole of f (z), then has simple poles
at a1, a2,…, and ξ.
( )
ξ−z
zf
Residue of at an, n = 1,2,… is
( )
ξ−z
zf
( ) ( ) ( )
ξξ −
=
−
−
→
n
n
naz
a
afRes
z
zf
az
n
lim
Residue of at ξ is
( )
ξ−z
zf ( ) ( ) ( )ξ
ξ
ξ f
z
zf
z
naz
=
−
−
→
lim
Let take a circle CN at the origin with a radius RN → ∞
By the Residue Theorem
( ) ( ) ( )
∑∫ −
+=
− N
N
Cinn n
n
C
a
afRes
fdz
z
zf
ξ
ξ
ξ
Assume f (z) is analytic at z = 0, then ( ) ( ) ( )
∑∫ +=
N
N
Cinn n
n
C
a
afRes
fdz
z
zf
0
144
SOLO Complex Variables
The Residue Theorem, Evaluations of Integral and Series
Mittag-Leffler’s Expansion Theorem (continue – 1)
C
x
y
RN
1
a
n
a
CN
ξ
Proof (continue – 1):
Let take a circle CN at the origin with a radius RN → ∞
( ) ( ) ( )
∑∫ −
+=
− N
N
Cinn n
n
C
a
afRes
fdz
z
zf
i ξ
ξ
ξπ2
1
( ) ( ) ( )
∑∫ +=
N
N
Cinn n
n
C
a
afRes
fdz
z
zf
i
0
2
1
π
( ) ( ) ( )
( ) ( )
( )∫∫
∑
−
=





−
−
=








−
−
+−
NN
N
CC
Cinn nn
n
dz
zz
zf
i
dz
zz
zf
i
aa
afResff
ξπ
ξ
ξπ
ξ
ξ
2
11
2
1
11
0
Since | z-ξ | ≥ | z | - | ξ |=RN - | ξ | for z on CN, we have if | f(z) | ≤ M
( )
( ) ( ) 0
2
limlim =
−
⋅
≤
− →∞→∞ ∫ ξ
π
ξ NN
N
R
C
R
RR
RM
dz
zz
zf
N
N
N
( )
( )
0lim =
−∫→∞
N
N
C
R
dz
zz
zf
ξ
( ) ( ) ( )∑
∞
=








+
−
+=
1
11
0
n nn
n
aaz
afResfzf
Therefore using this result and ξ → z, we obtain
q.e.d.
145
SOLO Complex Variables
The Residue Theorem, Evaluations of Integral and Series
Mittag-Leffler’s Expansion Theorem (continue – 1)
Example: Expand 1/sinz
Define ( )
zz
zf
1
sin
1
: −=
( )
0
cossincos
sin
lim
cossin
cos1
lim
sin
sin
lim
1
sin
1
lim0
0
'
0
'
00
=
+⋅−
=
⋅+
−
=
⋅
−
=





−=
→
→→→
zzzz
z
zzz
z
zz
zz
zz
f
z
HopitalL
z
HopitalL
zz
f (z) has Simple Poles at n π, n=±1, ±2,… with Residue
( ) ( )
( )n
nz
HopitalL
nznznz
z
z
nz
zz
nzzf
1
cos
1
lim
sin
lim
1
sin
1
limRes
'
−==
=











−=
±→
±→±→±=
π
πππ
π
π


( ) ( ) ( )
( ) ( ) ( )∑∑∑
∑
∞+
=
∞+
=
∞+
=
∞
=






−
−=





−
+
−+





+
−
−=






+
−
+=−=
1
222
11
10
1
12
11
1
11
1
11
Res0
1
sin
1
n
n
n
n
n
n
n nn
n
nz
z
nnznnz
aaz
aff
zz
zf
πππππ
146
SOLO Complex Variables
The Residue Theorem, Evaluations of Integral and Series
Generalization of Mittag-Leffler’s Expansion Theorem
q.e.d.
Suppose that the only singularities of f (z) in the z-plane are the
poles a1, a2,…, arranged in order of increasing absolute values, and
having Higher Order then One. The respective residues of f are
Res { f (a1)}, Res { f (a2)}, … Suppose that exists a Positive Integer p
such that for |z| = RN
|f (z)| < RN
p+1
and the poles a1, a2,…, an are all inside the Circle of Radius RN
around the origin (|a1|≤ |a2|≤…≤ |an | < RN). Then
( ) ( ) ( )
( )
( )
( )
( ) ( )
( )
( )
( ) ( )∑ ∑
∑
=
∞
=
+
∞
=
+
+








++++
−
+=
−
++++=
p
i j
p
j
p
jjj
j
ii
j j
p
j
p
i
p
p
a
z
a
z
aaz
af
i
zf
aza
z
aff
p
z
f
z
fzf
1 1
12
1
1
1
1
11
Res
!
0
Res0
!
0
!1
0


Proof: Start with the Integral
( )
( )
( )
( )
( )
( )
( )
( )∑∑
∫
−
+






−
+






−
=
−
=
++=+=
+
Nj
N
Cina j
p
j
j
pwpzw
C
p
zaa
af
zww
wf
zww
wf
dw
zww
wf
i
I
1101
1
Res
ResRes
2
1
π
C
x
y
RN
1
a
n
a
CN
ξ
Return to Infinite Product
147
SOLO Complex Variables
The Residue Theorem, Evaluations of Integral and Series
Generalization of Mittag-Leffler’s Expansion Theorem
Proof (continue – 1):
but
( )
( )
( ) ( )
( )
( )
111
limRes ++→+=
=






−
⋅−=






− ppzwpzw z
zf
zww
wf
zw
zww
wf
C
x
y
RN
1
a
n
a
CN
ξ
( )
( )
( )
( )
( ) ( )
( )
i
i
ip
pp
i
w
p
p
p
p
wpw
wd
wfd
zwwd
d
ipi
p
p
zww
wf
w
wd
d
pzww
wf






−−
=






−
⋅=






−
−
−
=
→
+
+
→+=
∑
∑
1
!!
!
!
1
lim
!
1
limRes
1
0
0
1
1
010
( )
( ) ( )
( ) 1
1
!11
+−
−
−
−
−
−−
=






− ip
ip
ip
p
zw
ip
zwwd
d
( )
( ) ( )
( ) ( )
( )
( )
( )
( )
∑
∑∑
=
+−
=
+−
−
→+=
−=
−
−−
−
=






−
p
i
ip
i
p
i
i
i
ip
ip
wpw
zi
f
wd
wfd
zw
ip
ipi
p
pzww
wf
0
1
0
1010
!
0
!1
!!
!
!
1
limRes
Therefore
Leibnitz Formula for Repeated
Differentiation of a Product
148
SOLO Complex Variables
The Residue Theorem, Evaluations of Integral and Series
Generalization of Mittag-Leffler’s Expansion Theorem
Proof (continue – 2):
but
( ) ( )
( ) ( )
( )∑∑ −
+−= +
=
+−+
Nj Cina j
p
j
j
p
i
ip
i
p
zaa
af
zi
f
z
zf
1
0
11
Res
!
0
C
x
y
RN
1
a
n
a
CN
ξ
Therefore
( )
( )
( )
( )
( )
( )
( )
( )∑∑
∫
−
+






−
+






−
=
−
=
++=+=
+
Nj
N
Cina j
p
j
j
pwpzw
C
p
zaa
af
zww
wf
zww
wf
dw
zww
wf
i
I
1101
1
Res
ResRes
2
1
π
( )
( ) ( )
( )
( )
0max
2
2
1
2
1
1
max
11
∞→⇔∞→
<
++ +
→
−
≤
−
= ∫
N
p
N
NC
N
N
Rn
RwfC
N
p
N
N
C
p
wf
zRR
R
dw
zww
wf
i
I
π
ππ
( ) ( )
( ) ( )
( )
0
Res
!
0
1
1
0
11
=
−
+− ∑∑
∞
=
+
=
+−+
j j
p
j
j
p
i
ip
i
p
zaa
af
zi
f
z
zf
( )
( )
( ) ( )
( )∑∑
∞
=
+
+
= −
+=
1
1
1
0
Res
!
0
j j
p
j
p
j
p
i
ii
aza
zaf
i
zf
zf
149
SOLO Complex Variables
The Residue Theorem, Evaluations of Integral and Series
Generalization of Mittag-Leffler’s Expansion Theorem
We can see that for p = 0 we get
C
x
y
RN
1
a
n
a
CN
ξ
( ) ( ) ( )
( )
( ) ( )∑∑
∞
=
∞
=






+
−
+=
−
+=
11
11
Res0
Res
0
n nn
n
n nn
n
aaz
aff
aza
zaf
fzf
We recovered the Mittag-Leffler’s Expansion Theorem
( )
( )
( ) ( )
( )∑∑
∞
=
+
+
= −
+=
1
1
1
0
Res
!
0
j j
p
j
p
j
p
i
ii
aza
zaf
i
zf
zf
( )
( )
( )∑∑
∞
=
+
∞
=
+
+








++++
−
=
− 1
12
1
1
1
11
Res
Res
j
p
j
p
jjj
j
j j
p
j
p
j
a
z
a
z
aaz
af
aza
zaf

q.e.d.
Proof (continue – 3):
150
SOLO
Start with some introductory results:
Theorem
Let f (z) be entire holomorphic (analytic for all z C) and f (z) ≠ 0ϵ
everywhere. There is an entire function g (s) for which f = eg
.
Corollary
If f (z) is entire Holomorphic (analytic) with finitely many zeros {ai≠0}(with
multiplicity) and m zeros at z=0, then there exists an entire g (z) such that
( ) ( )
( )∏ −= n
zgm
azezzf /1
Proof:
Since is entire with no zeros we can apply the previous
Theorem
( ) ( )∏ − n
m
azzzf /1/
q.e.d.
The Weierstrass Factorization Theorem
Karl Theodor Wilhelm
Weierstrass
(1815 – 11897)
Infinite Products
Complex Variables
( ) ( )
( )zf
zf
zf
zd
d '
ln =
Proof:
Since f (z) ≠ 0 and entire, f’ (s) is also entire, and so is f’(z)/ f (z), therefore
( ) ( )
( )
( ) entireiszf
zd
d
zf
zf
zg
zd
d
ln
'
: ==
and taking g (0)= 1 we obtain ( ) ( )zg
ezf = q.e.d.
151
SOLO
The Weierstrass Factorization Theorem
Definition
We define the Weierstrass Elementary Factors as ( )
( )
( )



=−
=−
= +++


,2,11
01
,
2
2
nez
nz
nzE
n
zz
z
n
Lemma
For |z| ≤ 1, |1 – E (z,n)| ≤ |z|n+1
.
Proof:
The case n = 0 is trivial. Let n ≥ 1. Let differentiate E (z,n)
( ) ( )( ) ( ) n
zz
z
nn
zz
z
nn
zz
z
n
zz
z
nn
zz
z
nnnnn
ezezeezzzenzE
zd
d ++++++++++++
−
+++
−=−+−=++−+−=

 222212
22222
111,
By developing in a Taylor series
( ) 0, 2
2
>−=−= ∑
∞+
=
+++
k
nk
k
k
n
zz
z
n
bzbeznzE
zd
d
n

( ) ( ) ( )∑∑
+∞
=
+
+∞
=
+=⇒=
0
1
0
1,,
k
k
k
k
k
k zaknzE
sd
d
zanzE
( )








=<
+
−=
====
==
+
+ 

,2,10
0
1,0
21
0
j
jn
b
a
aaa
nEa
jn
jn
n
Karl Theodor Wilhelm
Weierstrass
(1815 – 11897)
Inspired by the fact that
( ) +++=
−
=⋅− −
321
1
ln&11
32
1
1
ln zz
z
z
ez z w have the following
Infinite Products
Complex Variables
152
SOLO
The Weierstrass Factorization Theorem
Definition
We define the Weierstrass Elementary Factors as ( )
( )
( )



=−
=−
= +++


,2,11
01
,
2
2
nez
nz
nzE
n
zz
z
n
Lemma
For |z| ≤ 1, |1 – E (z,n)| ≤ |z|n+1
.
Proof (continue – 1):
( ) 01,
1
<+= ∑
+∞
+=
k
nk
k
k azanzE
So for |z| ≤ 1
( ) ( ) ( )
( ) 1
0
1
1
1
1
1
1
1
11
1
11
1
,11
,1
++
∞+
+=
+
∞+
+=
+
≤
+∞
+=
+−+
+∞
+=
+−+
+∞
+=
=








−=−=≤
≤==−
∑∑
∑∑∑
nn
nk
k
n
nk
k
n
s
nk
nk
k
n
nk
nk
k
n
nk
k
k
znEzazaz
zazzazzanzE

q.e.d.
Infinite Products
Complex Variables
153
SOLO
The Weierstrass Product
Let {zj} be a sequence of complex numbers such that limj→∞ |zj|=+∞. We may
assume that 0 < |z1| ≤ |z2| ≤… Let {pj} be integers. Then the Weierstrass Product
defined as
converges uniformly on every set {|z|≤r}, to a holomorphic entire function F. The
zeros of F are precisely the points {zj} counted with the corresponding
multiplicity.
∏∏
∞+
=








++








+
∞+
= 







−=








1
1
2
1
1
2
1, j
z
z
pz
z
z
z
j
j j
j
jp
jjjj
e
z
z
p
z
z
E

Proof:
Let r > 0 be fixed. Let j0 be such that |zj| > r for j ≥ j0. Thus,
11
1,
++








≤≤−








jj
p
j
p
j
j
j z
r
z
z
p
z
z
E
By the hypothesis on the pj’s, +∞<








≤−








∑∑
∞+
=
+
∞+
= 00
1
1, jj
p
j
jj j
j
j
z
r
p
z
z
E
By Weierstrass M (Majorant Test) it follows that
converges uniformly on {|z| ≤ r}, for any r > 0. Then exist C > 0 such that
( )∑
+∞
=
−
0
1,/jj jj pzzE
C
jj
p
z
z
Ep
z
z
E
jj j
j
eeeCp
z
z
E
j
j
jj j
j
≤=⇒≤−








∏∑
∞
=
−








∑ −








∞+
=
∞+
=
0
0
0
1,1,
1,
C
jj
p
z
z
E
jj j
j
jj j
j
jj
p
z
z
E
eep
z
z
Ep
z
z
Ee
j
j
Taylor
j
j
≤≤∑ −








+≤∑ 







= ∏∏
∞
=
−








⇐
∞+
=
⇐
∞+
=
⇐∞+
=








0
00
0
1,,
1,1,
Infinite Products
Complex Variables
154
SOLO
Genus of the Canonical Product
Infinite Products
Complex Variables
Let {zj} be a sequence of nonzero complex numbers having finite exponent of
convergence. Then the Weierstrass Product
is called Canonical Weierstrass Product, and the Smallest Integer p such that
is called the Genus of the Canonical Product..
∏∏
∞+
=








++








+
∞+
= 







−=








1
1
2
1
1
2
1, j
z
z
pz
z
z
z
j
j j
j
jp
jjjj
e
z
z
p
z
z
E

+∞<∑
∞+
= +1 1
1
min j p
j
p
z
155
SOLO
The Weierstrass Factorization Theorem
Lemma
Let {zj} be a sequence of complex numbers such that limj→∞ |zj|=+∞. Then there
exists an entire function F whose zeros are precisely the {zj}, counting multiplicity.
This function is
This is a Generalization of the Fundamental Theorem of Algebra
( ) ∏
∞+
+= 







−= 1
1,: kj
j
k
j
z
z
EssF
Infinite Products
Complex Variables
156
SOLO
The Hadamard Factorization Theorem
Examples:
(1) Polynomials have Order 0.
Let N be the degree of p (z)
for all ε > 0 and a suitable constant Cε .
( ) ∞→≤≤+++= raseCrCazazazp rNn
n
ε
ε01
(2) The exponential ex
has order 1, and more generally, have order n
and no smaller power of r would suffice.
(3) sin z, cos z, sinh z, cosh z have order 1.
(4) exp {exp z} has infinite order.
nnnn
rzzr
eeee ≤≤= Re
n
x
e
Infinite Products
Complex Variables
Jacques Salomon
Hadamard
)1865–1963(
Definition: Order of an Entire Function
An Entire (analytic for all z C) Function f is said to be of Order ρ, 0 ≤ ρ ≤ +∞, ifϵ
meaning that
( ) ( )






∞→==
=≥
rasezf r
rz
λ
λ
ρ Osupinf:
0
( ){ }CzallforeAzfBAexists
zB
∈≤>=
≥
λ
λ
ρ :0,inf:
0
157
SOLO
The Hadamard Factorization Theorem
Relation berween Order ρ and Integer Genus p of an Entire Function
Infinite Products
Complex Variables
Jacques Salomon
Hadamard
)1865–1963(
Paul Garrett, “Weirstrass and Hadamard Products”, March 17, 2012,
http://www.math.umn.edu/~garrett/
If {zj} has finite Order of Convergence ρ1, then its Genus p is such that:
- if ρ1 is not integer, p < ρ1 < p+1;
- if ρ1 is an integer, then p = ρ1 if diverges, and p=ρ1-1 if
converges.
( )∑
∞+
=1
1
/1j jz
ρ
( )∑
∞+
=1
1
/1j jz
ρ
158
SOLO Complex Variables
The Residue Theorem, Evaluations of Integral and Series
Expansion of an Integral Function as an Infinite Product
An Integral Function is a function which is Analytic for all finite values of z.
For example ez
, sin z, cos z are Integral Functions. An Integral Function may be
regarded as a generalization of a Polynomial.
Let f (z) be an Integral Function (no Poles) with Simple/Non-simple Zeros
at a1, a2,…,an,.., arranged in increasing order (|a1|≤ |a2|≤…≤|an|≤…. ).
Suppose that exists a Positive Integer p such that for |z| = RN
|f (z)| < RN
p+1
and the Zeros a1, a2,…, an are all inside the Circle of Radius RN
around the origin (|a1|≤ |a2|≤…≤ |an | < RN).
Then f (z) can be expanded as an Infinite Product (Hadamard):( ) ( )
( )
( )
pi
i
f
f
zd
d
c
e
a
z
efzf
z
i
i
i
j
a
z
pa
z
a
z
j
zczc p
j
p
jj
p
p
,,1,0
!1
:
10
0
1
1
1
1
1
2
1
1
1
2
2
1
11



=
+






=








−=
=
+
∞
=
+
+++
+
∏
+
+
+
+
C
x
y
RN
1
a
na
CN
ξ
Note:
1.The minimum p for which |f(z)|<RN
p+1
is called the Order of f(z)
2.If f(z) has no poles or zeros then the previous relation reduces to
( ) ( )
1
11
0
+
++
=
p
p zczc
efzf

The Hadamard Factorization Theorem
Return to Gamma F.
Return to Zeta F.
159
SOLO Complex Variables
The Residue Theorem, Evaluations of Integral and Series
Expansion of an Integral Function as an Infinite Product
Proof:
C
x
y
RN
1
a
n
a
CN
ξ
Let compute: ( )
( )
( )
( )zf
zf
zf
zd
d 1
ln =
( ) ( ) ( ) ( )
( ) ( )
( ) 1limlimRes 1
21'11
=







 −+
=







 −
=






→→
=
f
fazf
f
faz
f
f j
az
HopitalL
j
az
az
jj
j
Define
( )
( )
pi
i
f
f
zd
d
c z
i
i
i ,,1,0
!1
: 0
1
1 =
+






= =
+
( )
( )
( )
( ) ∑∑
∞
=
+
=
+








++++
−
++=
1
12
0
1
1
11
1
j
p
j
p
jjj
p
i
i
i
a
z
a
z
aaz
zic
zf
zf

All Zeros of f (z) (a1, a2,…,an,..) are Simple Poles of f(1)(
z)/f(z), therefore we
can apply the previous result and write:
( )
( )
( )
( )
( )
∑∑
∞
=
+
==
=








++++
−





+






=
1
12
1
0
0
1
1
11
Res
! j
p
j
p
jjjaz
p
i
i
z
i
i
a
z
a
z
aazf
f
i
z
f
f
zd
d
zf
zf
j

The Hadamard Factorization Theorem
160
SOLO Complex Variables
The Residue Theorem, Evaluations of Integral and Series
Expansion of an Integral Function as an Infinite Product
Proof (continue – 1):
C
x
y
RN
1
a
n
a
CN
ξ
Integrating from 0 to z along a path not passing through any of aj, we obtain
( )
( ) ∑∑
∞
=
+
+
=
+
+








+
++++








−
−
+=
1
1
1
2
2
0
1
1
1
1
2
1
ln
0
ln
j
p
j
p
jjj
j
p
i
i
i
a
z
pa
z
a
z
a
az
zc
f
zf

The values of the logarithms will depend on the path chosen, but when we take
exponentials all the ambiguities disappear,
( )
( )
( )
( ) ∑∑
∞
=
+
=
+








++++
−
++=
1
12
0
1
1
11
1
j
p
j
p
jjj
p
i
i
i
a
z
a
z
aaz
zic
zf
zf

( )
( ) ∏
∞
=
+
+++
∑ +
+
=
+
+








−=
1
1
1
2
1
1
1
2
2
0
1
1
1
0 j
a
z
pa
z
a
z
j
zc p
j
p
jj
p
i
i
i
e
a
z
e
f
zf 
q.e.d.
If |f(z)| < RN
p+1
it will be true for all q > p. If we choose the ρ = min p for which
the inequality holds, then we obtain the Hadamard’s Factorization .
The Hadamard Factorization Theorem
161
SOLO Complex Variables
The Residue Theorem, Evaluations of Integral and Series
Example: Expand sinz/z
Define ( )
z
z
zf
sin
:=
( ) 1
1
cos
lim
sin
lim0
0
'
0
===
→→
z
z
z
f
z
HopitalL
z
f (z) has Simple Zeros at n π, n=±1, ±2,…
Expansion of an Integral Function as an Infinite Product
( )
( ) ∏∏∏
∞
=
∞
=
∞
=






−=





+⋅





−==
1
22
2
11
111
sin
0 nnn n
z
n
z
n
z
z
z
f
zf
πππ
( ) 01
sin 0
=⇒=≤= pR
z
z
zf N
Leonhard Euler
)1707–1783(
We recovered the Euler Product Formula 1735
162
SOLO
Analytic continuation (sometimes called simply "continuation") provides a way of
extending the domain over which a complex function is defined. The most common
application is to a complex analytic function determined near a point by a power series
( ) ( )∑
∞
=
−=
0
0
k
k
k zzazf
Such a power series expansion is in general valid only within its radius of convergence. However, under
fortunate circumstances (that are very fortunately also rather common!), the function will have a power
series expansion that is valid within a larger-than-expected radius of convergence, and this power series
can be used to define the function outside its original domain of definition. This allows, for example, the
natural extension of the definition trigonometric, exponential, logarithmic, power, and hyperbolic
functions from the real line to the entire complex plane . Similarly, analytic continuation can be used to
extend the values of an analytic function across a branch cut in the complex plane.
Analytic Continuation
Analytic continuation of natural logarithm
(imaginary part)
Complex Variables
163
SOLO
Analytic Continuation
Complex Variables
164
SOLO Complex Variables
Conformal Mapping
Transformations or Mappings
x
y
u
v
r
 xd
yd
r
 ud
vd
A B
CD
'A
'B
'C
'D
The set of equations ( )
( )


=
=
yxvv
yxuu
,
,
define a general transformation or mapping
between (x,y) plane to (u,v) plane.
If for each point in (x,y) plane there corresponds one and only one point in (u,v)
plane, we say that the transformation is one to one.
vd
v
r
ud
u
r
vdy
v
y
x
v
x
udy
u
y
x
u
x
yvd
v
y
ud
u
y
xvd
v
x
ud
u
x
yydxxdrd
u
r
u
r
∂
∂
+
∂
∂
=





∂
∂
+
∂
∂
+





∂
∂
+
∂
∂
=






∂
∂
+
∂
∂
+





∂
∂
+
∂
∂
=+=
∂
∂
∂
∂

    


1111
1111
If is a vector that defines a point A in (x,y) plane, we have: ( ) ( )vuryxr ,,

=r

The area dx dy of a region A,B,C,D, in (x,y) plane is mapped in the area A’,B’,C’,D’,
du dv in the (u,v) plane. We have
 
zvdud
u
y
v
x
v
y
u
x
vdudy
v
y
x
v
x
y
u
y
x
u
x
vdud
v
r
u
r
zydxdydxd
y
r
x
r
Sd
yx
11111
1
11






∂
∂
∂
∂
−
∂
∂
∂
∂
=





∂
∂
+
∂
∂
×





∂
∂
+
∂
∂
=
∂
∂
×
∂
∂
==
∂
∂
×
∂
∂
=

If x and y are
differentiable
165
SOLO Complex Variables
Conformal Mapping
Transformations or Mappings
( )
( )


=
=
yxvv
yxuu
,
,
The transformation is one to one if and only if, for distinct points A, B, C, D, in (x,y)
we obtain distinct points A’,B’,C’,D’, in (u,v). For this a necessary (but not sufficient)
condition:
''''det1det
11
DCBA
ABCD
Sd
v
y
u
y
v
x
u
x
zvdud
v
y
u
y
v
x
u
x
zvdud
u
y
v
x
v
y
u
x
zydxdSd


∂
∂
∂
∂
∂
∂
∂
∂
=
∂
∂
∂
∂
∂
∂
∂
∂
=






∂
∂
∂
∂
−
∂
∂
∂
∂
==
Transformation is one to one 00 ''''
≠⇔≠ DCBAABCD
SdSd

( )
( )
0det:
,
,
≠
∂
∂
∂
∂
∂
∂
∂
∂
=
∂
∂
v
y
u
y
v
x
u
x
vu
yxJacobian of the
Transformation
By symmetry (change x,y to u,v) we obtain:
ABCDDCBA Sd
y
v
x
v
y
u
x
u
Sd

∂
∂
∂
∂
∂
∂
∂
∂
=det''''
1detdet =
∂
∂
∂
∂
∂
∂
∂
∂
∂
∂
∂
∂
∂
∂
∂
∂
v
y
u
y
v
x
u
x
y
v
x
v
y
u
x
u
one to one
transformation
( )
( )
( )
( )
1
,
,
,
,
=
∂
∂
∂
∂
vu
yx
yx
vu
x
y
u
v
r
 xd
yd
r
 ud
vd
A B
CD
'A
'B
'C
'D
166
SOLO Complex Variables
Conformal Mapping
Complex Mapping
In the case that the mapping is done by a complex function, i.e.
( ) ( )yixfzfviuw +==+=
we say that f is a complex mapping.
If f (z) is analytic, then according to Cauchy-Riemann equation:
( )
( )
( )
2222
det
,
,
zd
zfd
y
u
i
x
u
y
u
x
u
x
v
y
u
y
v
x
u
y
v
x
v
y
u
x
u
yx
vu
=
∂
∂
+
∂
∂
=





∂
∂
+





∂
∂
=
∂
∂
∂
∂
−
∂
∂
∂
∂
=
∂
∂
∂
∂
∂
∂
∂
∂
=
∂
∂
x
v
y
u
y
v
x
u
∂
∂
−=
∂
∂
∂
∂
=
∂
∂
&
If follows that a complex mapping f (z) is one to one in regions where df/dz ≠ 0.
Points where df/dz = 0 are called critical points.
167
SOLO Complex Variables
Conformal Mapping
Complex Mapping – Riemann’s Mapping Theorem
In the case that the mapping is done by a complex function, i.e.
( ) ( )yixfzfviuw +==+=
Georg Friedrich Bernhard
Riemann
1826 - 1866
we have:
x
y
u
vC 'C
1
R
R'Let C be the boundary of a region R in the z plane,
and C’ a unit circle, centered at the origin of the
w plane, enclosing a region R’.
The Riemann Mapping Theorem states that for each point
in R, there exists a function w = f (z) that performs a
one to one transformation to each point in R’.
Riemann’s Mapping Theorem demonstrates the existence of the
one to one transformation to region R onto R’, but it not provides
this transformation.
168
SOLO Complex Variables
Conformal Mapping
Complex Mapping (continue – 1)
( )
( )


=
=
yxvv
yxuu
,
,
x
y
u
v
r

2zd
1zd
r

2wd
1wdA
B
C
'A
'B
'C
( ) ( )yixfzfviuw +==+=
Consider a point A in (x,y) plane mapped to point
A’ in (u,v) plane
Consider a small displacement from A to B
defined as dz1, that is mapped to a displacement
from A’ to B’ defined as dw1
( ) ( ) ( )








+
===
1
1
argarg
11
arg
11
zd
zd
zfd
i
AA
wdi A
ezd
zd
zfd
zd
zd
zfd
ewdwd
Consider also a small displacement from A to C defined as dz2, that is mapped to
a displacement from A’ to C’ defined as dw2
( ) ( ) ( )








+
===
2
2
argarg
22
arg
22
zd
zd
zfd
i
AA
wdi A
ezd
zd
zfd
zd
zd
zfd
ewdwd
We can see that dw ≠ 0 if dz ≠ 0, i.e. a one-to-one transformation, if and only if
( ) 0≠
A
zd
zfd
169
SOLO Complex Variables
Conformal Mapping
Complex Mapping (continue – 2)
( )
( )


=
=
yxvv
yxuu
,
,
x
y
u
v
r

2zd
1zd
r

2wd
1wdA
B
C
'A
'B
'C
( ) ( )yixfzfviuw +==+=
Consider a point A in (x,y) plane mapped to point
A’ in (u,v) plane
( ) ( ) ( )








+
===
1
1
argarg
11
arg
11
zd
zd
zfd
i
AA
wdi A
ezd
zd
zfd
zd
zd
zfd
ewdwd
( ) ( ) ( )








+
===
2
2
argarg
22
arg
22
zd
zd
zfd
i
AA
wdi A
ezd
zd
zfd
zd
zd
zfd
ewdwd
We can see that:
( ) ( ) ( ) ( )
12
1212
argarg
argargargargargarg
zdzd
zd
zd
zfd
zd
zd
zfd
wdwd
AA
−=








+−








+=−
Consider two small displacements from A to B
And from A to C, defined as dz1 and dz2, that are
mapped to displacements from A’ to B’ and from A’ to C’, defined as dw1 and dw2
Therefore the angular magnitude and sense between dz1 to dz2 is equal to that
between dw1 to dw2. Because of this the transformation or mapping is called a
Conformal Mapping.
170
SOLO Complex Variables
Conformal Mapping
( ) ( )[ ] RzRzzzf ≤−±=
2/122
ln
( )
( )
( ) ( )( ) z
Rzz
RzzR
Rzz
Rzz
R
Rzz
w
R
w 2222
2/1222
2/122
2/122
2
2/122
2
=
+−
−
+−±=
−±
+−±=+

Define ( ) ( ) RzRzzzgw ≤−±==
2/122






+=
w
R
w
2
1
z
2
( ) ( )
( ) ( )
( ) ( ) ( ) ( )







−++=








+
++=+
w
w
R
w
w
R
wwiww
2
1
wwiww
R
wwiww
2
1
yix
argsinargcosargsinargcos
argsinargcos
argsinargcos
22
2
( ) ( ) 







−=








+=
w
R
ww
2
1
y
w
R
ww
2
1
x
22
argsin&argcos
171
SOLO Complex Variables
Conformal Mapping
( ) ( )[ ] RzRzzzf ≤−±=
2/122
ln
Define ( ) ( ) RzRzzzgw ≤−±==
2/122
( ) ( ) 







−=








+=
w
R
ww
2
1
y
w
R
ww
2
1
x
22
argsin&argcos
From those equations we have:
( ) ( )
2
2
2
2
2
22
4
1
4
1
argsinargcos
R
w
R
w
w
R
w
w
y
w
x
=








−−








+=





−





4
1
w
R
w
y
w
R
w
x
=














−
+














+
2
2
2
2
x
y
( )warg
wln
( ) ( )wiwzf argln +=
172
SOLO Complex Variables
Conformal Mapping
( ) 2/tt
eex −
+=
0122
=+− tt
exe
( ) ( ) 2/cosh tt
eet −
+=
( ) ( )[ ]2/12
1ln −±= xxxacosh
http://www.mathworks.com/company/newsletters/news_notes/clevescorner/sum98cleve.html
173
SOLO Complex Variables
Conformal Mapping
( ) ( )[ ]2/122
ln Rzzzf +±=
( )
( )
( ) ( )( ) z
Rzz
RzzR
Rzz
Rzz
R
Rzz
w
R
w 2222
2/1222
2/122
2/122
2
2/122
2
=
−−
+
−+±=
+±
−−±=−

Define ( ) ( ) 2/122
Rzzzgw +±==






−=
w
R
w
2
1
z
2
( ) ( )
( ) ( )
( ) ( ) ( ) ( )







+−+=








+
−+=+
w
w
R
w
w
R
wwiww
2
1
wwiww
R
wwiww
2
1
yix
argsinargcosargsinargcos
argsinargcos
argsinargcos
22
2
( ) ( ) 







+=








−=
w
R
ww
2
1
y
w
R
ww
2
1
x
22
argsin&argcos
174
SOLO Complex Variables
Conformal Mapping
( ) ( )[ ]2/122
ln Rzzzf +±=
Define ( ) ( ) 2/122
Rzzzgw +±==
( ) ( ) 







+=








−=
w
R
ww
2
1
y
w
R
ww
2
1
x
22
argsin&argcos
From those equations we have:
( ) ( )
2
2
2
2
2
22
4
1
4
1
argsinargcos
R
w
R
w
w
R
w
w
y
w
x
−=








+−








−=





−





4
1
w
R
w
y
w
R
w
x
=














+
+














−
2
2
2
2
x
y( )warg
wln
( ) ( )wiwzf argln +=
175
SOLO Complex Variables
Conformal Mapping
http://www.mathworks.com/company/newsletters/news_notes/clevescorner/sum98cleve.html
( ) 2/tt
eex −
−=
0122
=−− tt
exe
( ) ( ) 2/sinh tt
eet −
−=
( ) ( ) ( )[ ]2/12
1ln +±== zzzasinh:zf
176
SOLO Complex Variables
Conformal Mapping
dz
dz
kviuw
+
−
=+= ln
( )
( )
ku
e
ydx
ydx
dz
dz /2
22
222
=
++
+−
=
+
−
( ) ( )
( ) ( ) dx
dyx
ydxydx
ydxydx
e
e
k
u
ku
ku
21
1
coth
222
2222
2222
/2
/2
−
++
=
−+−+−
++++−
=
−
+
=





( )[ ] ( )[ ] ( )kudkudykudx /sinh/1/coth/coth 222222
=−=++
kvikukviku
ee
dz
dz
ee
dz
dz //// −
∗
∗
=
+
−
→=
+
−
dyi
dyx
i
dzdz
dzz
i
dz
dz
dz
dz
dz
dz
dz
dz
i
ee
ee
i
k
u
ctg kvikvi
kvikvi
2
2222
//
//
−+
=
−
−
=
+
−
−
+
−
+
−
+
+
−
=
−
+
=





∗
∗
∗
∗
∗
∗
−
−
( )[ ] ( )[ ] ( )kvdkvctgdkvctgdyx /sin/1// 222222
=+=++
kviku
ee
dz
dz //
=
+
−
177
SOLO Complex Variables
Conformal Mapping
dz
dz
kviuw
+
−
=+= ln
( )[ ] ( )kudykudx /sinh//coth 2222
=++
( )[ ] ( )kvdkvctgdyx /sin// 2222
=++
dd−
x
y
( )[ ] ( )kvdkvctgdyx /sin// 2222
=++
( )[ ] ( )kudykudx /sinh//coth 2222
=++
1v
2
v
3v
3
u
2u
1
u
We have two families of orthogonal circles.
All those circle passe through (-d,0) and (d,0)
v
u
178
SOLO Complex Variables
Conformal Mapping
http://www.mathworks.com/company/newsletters/news_notes/clevescorner/sum98cleve.html
1
1
2
2
+
−
= w
w
e
e
z ( ) zze w
+=− 112
( )
1
1
tanh 2
2
+
−
=
+
−
= −
−
w
w
ww
ww
e
e
ee
ee
w
( ) 





−
+
==
z
z
zatanhw
1
1
ln
2
1
179
SOLO Complex Variables
Conformal Mapping
The complex squaring map
(on left half square)
The complex squaring map
(on right half square)
The complex squaring map
(on entire square)
( ) 2
zzf =-3/2
-3/2
+3/2
+3/2
x
y
Transform the square under the map
Douglas N. Arnold
180
SOLO Complex Variables
Conformal Mapping
The complex exponential map
( ) z
ezf =Transform the strip ± i π under the exponential map
Douglas N. Arnold
+i π
x
y
-i π
181
SOLO Complex Variables
Conformal Mapping
The complex cosine map
Douglas N. Arnold
( ) zzf sin=
-π
-1
+π
+1
x
y
Transform the square under the maps
The complex sine map
( ) zzf cos=
182
SOLO Complex Variables
Conformal Mapping
Douglas N. Arnold
An important property of analytic functions is that they are conformal maps
everywhere they are defined, except where the derivative vanishes. A conformal map
is one that preserves angles. More precisely, if two curves meet at a point and their
tangents make a certain angle there, then the angle between the images curves under
any analytic function (with non-vanishing derivative) will be the same in both sense
and magnitude
( ) α
zzf =
183
SOLO Complex Variables
Mobius Transformation
Douglas N. Arnold
( )
( )
10
/11 4
≤≤
−++
−
= t
zit
itz
zft
ππ
August Ferdinand Möbius
1790 - 1868
184
SOLO Complex Variables
Schwarz-Christoffel Mappings
Hermann Amandus
Schwarz
1843 - 1921
Elwin Bruno Cristoffel
1829 - 1900
1α
2
α
3
α
4α
5
α
6α
1w
2
w
3
w
4w
5
w
6w
u
v
x
y
1x 2x 3
x 4x 5x 6x
A Schwarz – Christoffel transformation is an analytic mapping of
The upper half-plane (x,y) onto a polygon in (u,v) plane.
Let take n points on x axis: nxxx <<< 21
Define the derivative of the mapping as:
( ) ( ) ( ) 11
2
1
1
21
−−−
−−−== π
α
π
α
π
α n
nxzxzxzA
zd
fd
zd
wd

or
( ) ( ) ( ) ( ) BdzxzxzxzAzfw
n
n +−−−== ∫
−−− 11
2
1
1
21
π
α
π
α
π
α

where A and B are complex constants.
185
SOLO Complex Variables
Schwarz-Christoffel Mappings
1α
2α
3α
4
α
5
α
6α
1w
2
w
3w
4w
5
w
6w
u
v
x
y
1
x 2
x 3
x 4
x 5
x 6
x
( ) ( ) ( ) 11
2
1
1
21
−−−
−−−== π
α
π
α
π
α n
n
xzxzxzA
zd
fd
zd
wd

Since for xi-1 < x < xi the slope of d w/ d z is constant, i.e. the real axis is mapped in
straight lines.
We can see that for x > xn: ( )A
zd
wd
argarg =





( ) ( ) ( ) 1
1
1
1 arg1arg1argarg
−−
−





−++−





−+=





π
α
π
α
π
α
π
α ni
xzxzA
zd
wd ni
For xi-1 < x < xi:
For x > xi: ( ) ( ) ( ) 1
1
1
1
1
arg1arg1argarg
1
−−+
−





−++−





−+=




 +
π
α
π
α
π
α
π
α ni
xzxzA
zd
wd ni

(1) Any three of the points can be chosen at will.nxxx <<< 21
(2) The constants A and B determine the size, orientation and position of the polygon.
(3) If we choose xn at infinity, the last term that includes xn is not present.
(4) Infinite open polygons are limiting cases of closed polygons.
186
SOLO Complex Variables
Schwarz-Christoffel Mappings
Douglas N. Arnold
According to the Riemann mapping theorem, there exists a conformal map from the
unit disk to any simply connected planar region (except the whole plane). However,
finding such a map for a specific region is generally difficult. An important special
case where a formula is known is when the target region is polygonal. In that case we
have the Schwarz-Christoffel formula, written as
( ) ( ) ( )∫∏
=
−
−+=
z n
j
j dzcfzf j
0 1
1
0 ςς
α
Here the polygon has n vertices, the interior angles at the vertices
are , , in counterclockwise order, and c is a complex constant. The
numbers , , are the pre-images of the polygon's vertices, or prevertices,
which lie in order on the unit circle.
n
απαπ ,,1

n
zz ,,1

The first animation illustrates the effect
of the prevertices. The prevertices start
in a random configuration, and the
resulting image polygon is shown. Then
the prevertices are moved (linearly in
argument) into a configuration leading
to a symmetric "X." Notice how the
angles remain fixed, but the side lengths
vary nonlinearly into the final
configuration.
187
SOLO Complex Variables
Schwarz-Christoffel Mappings
Douglas N. Arnold
( ) ( ) ( )∫∏
=
−
−+=
z n
j
j
dzcfzf j
0 1
1
0 ςς
α
Here the polygon has n vertices, the interior angles at the vertices
are , , in counterclockwise order, and c is a complex constant. The
numbers , , are the pre-images of the polygon's vertices, or prevertices,
which lie in order on the unit circle.
n
απαπ ,,1

n
zz ,,1

A variation on the first animation is to leave the
prevertices fixed and vary the angles assigned to
them. Here we "square" the ends of the X into right
angles. The color of a (pre)vertex indicates its
distance from being a right angle.
The last sequence The color indicates the radius of a
point's image in the disk. Notice how the arms of the X
originate from points quite close to the boundary of
the disk.
188
SOLO Complex Variables
Applications of Complex Analysis
Douglas N. Arnold
Gamma Function
Bernoulli Numbers
Fourier Transform
Laplace Transform
Z Transform
Mellin Transform
Hilbert Transform
Zeta Function
189
SOLO Primes
( ) ∫
∞=
=
−
=Γ
t
t
t
z
td
e
t
z
0
1
Proof:
Gamma Function
0& >+= xyixz
∫∫∫
∞=
=
−=
+=
−∞=
+=
−
+=
t
t
t
zt
t
t
zt
t
t
z
td
e
t
td
e
t
td
e
t
1
11
0
1
0
1
For the first part:
x
t
xx
t
x
tdttd
e
t
td
e
t x
t
t
t
x
t
t
x
et
t
t
yixt
t
t
z t
1
lim
111
0
1
0
1
0
1
11
0
11
0
1
=−==≤=
+→
=
+=
=
+=
−
>=
+=
−+=
+=
−
∫∫∫
The first integral converges for any x ≥ δ > 0.
For the second integral, using integration by parts:
( ) ( )
( ) ( ) ( )( ) ∫
∫∫∫∫
∞=
=
−
∞=
=
−−
=
=
∞=
=
−
∞=
=
−−
=
=
∞=
=
−∞=
=
−+∞=
=
−
−−+−−+=
−+−===
−
−
−
−
t
t
t
x
e
t
t
tx
edv
tu
t
t
t
x
e
t
t
tx
edv
tu
t
t
t
xt
t
t
yixt
t
t
z
td
e
t
xxetx
e
td
e
t
xettd
e
t
td
e
t
td
e
t
t
x
t
x
1
3
/1
1
2
1
2
/1
1
1
1
1
1
1
1
1
211
1
1
2
1


Euler’s Second Integral
Gamma integral is defined, and
converges uniformly for x > 0.
190
SOLO Primes
( ) ∫
∞=
=
−
=Γ
t
t
t
z
td
e
t
z
0
1
Proof (continue):
Gamma Function
0& >+= xyixz
For the second integral, using integration by parts:
( ) ( )
( ) ( ) ( )( ) ∫
∫∫∫∫
∞=
=
−
∞=
=
−−
=
=
∞=
=
−
∞=
=
−−
=
=
∞=
=
−∞=
=
−+∞=
=
−
−−+−−+=
−+−===
−
−
−
−
t
t
t
x
e
t
t
tx
edv
tu
t
t
t
x
e
t
t
tx
edv
tu
t
t
t
xt
t
t
yixt
t
t
z
td
e
t
xxetx
e
td
e
t
xettd
e
t
td
e
t
td
e
t
t
x
t
x
1
3
/1
1
2
1
2
/1
1
1
1
1
1
1
1
1
211
1
1
2
1


After [x] (the integer defined such that x-[x] < 1) such integration the power of t in
the integrand becomes x-[x]-1 < 0. and we have:
( )( ) [ ]( ) [ ]( ) ( )( ) [ ]( ) ∞<−−−<−−− ∫∫
∞=
=
∞=
=
−−
t
t
t
t
t
txx
td
e
xxxxtd
et
xxxx
11
1
1
21
1
21 
Therefore the Gamma integral is defined, and converges uniformly for x > 0.
Gamma integral is defined, and
converges uniformly for x > 0.
q.e.d.
191
SOLO
( ) ∫
∞=
=
−
=Γ
t
t
t
z
td
e
t
z
0
1
Proof:
Gamma Function
0& >+= xyixz
( ) ( )zzz Γ=+Γ 1
( )  ( ) ( ) ( )zztdetztdtzeettdetz
t
t
tz
t
t ud
z
v
t
v
t
u
z
dtedvtu
partsby
t
t
tz
tz
Γ=+=−−−==+Γ ∫∫∫
∞=
=
−−
∞=
=
−−
∞
−
==∞=
=
−
−
0
1
0
1
0
,
nintegratio
0
01

Properties of Gamma Function: 1
Note that for the evaluation of Gamma Function for a Positive Real Number
we need to know only the value of Γ (x) for 0 < x < 1
( ) ( ) ( ) ( ) ( )xxxnxnxnx Γ+−+−+=+Γ 121 
( ) ( )
( ) ( ) ( )121 −+−++
+Γ
=Γ
nxnxxx
nx
x

For x < 0 with –n < x < -n+1 or 0 < x+n < 1, we define
We can see that for x = 0 or a negative integer the
denominator of the right side is zero, and so Γ (x) is
undefined (goes to infinity)
Gamma Function
( ) ,2,1,0!1 ==+Γ nnn
192
SOLO Primes
( ) ∫
∞=
=
−
=Γ
t
t
t
z
td
e
t
z
0
1
Proof:
Gamma Function
( ) ( )
( )!1
1
Residue
1
1 −
−
=Γ
−
+−→ n
z
n
nz
Residues of Gamma Function at x = 0,-1, -2,---,-n,..:
( ) ( )
( ) ( ) ( )121 −+−++
+Γ
=Γ
nxnxxx
nx
x

q.e.d.
( ) ( ) ( )
( ) ( ) ( )
( )

( )( ) ( )
( )
( )



,2,1
!1
1
121
1
121
1limResidue
1
1
11
=
−
−
=
−+−+−
Γ
=
−+−++
+Γ
−+=Γ
−
+−→+−→
n
nnn
nxnxxx
nx
nxx
n
nxnx
193
SOLO Primes
( ) ∫
∞=
=
−
=Γ
t
t
t
z
td
e
t
z
0
1
Gamma Function
Absolute value |Γ (z)|
Real value ReΓ (z)
Imaginary value ImΓ (z)
194
SOLO Primes
( ) ∫
∞=
=
−
=Γ
t
t
t
z
td
e
t
z
0
1
Gamma Function
( ) ( )zzz Γ=+Γ 1
Let compute
( ) 11
0
0
=−==Γ
∞−
∞=
=
−
∫
t
t
t
t
etde
Therefore for any n positive integer:
( ) ( ) ( ) ( )( ) ( ) ( )( ) ( ) ( )!1122112111 −=Γ−−=−Γ−−=−Γ−=Γ nnnnnnnnn 
Properties of Gamma Function : 1
2
q.e.d.
195
SOLO Primes
Second definition identical to First
( )[ ] ( ) ( ) ( ) ( ) ( )bayxallyfxfyxf ,,1,011 ∈∈−+≤−+ λλλλλ
Convex Function:
A Function f (x) is called Convex in an interval (a,b) if for every x,y (a,b) we haveϵ
A Function f (x), defined for x > 0, is called Convex, if the corresponding function
( ) ( ) ( )
y
xfyxf
y
−+
=φ
defined for all y > -x, y ≠ 0, is monotonic Increasing throughout the range of
definition.
If 0 < x1 < x < x2, are given by choosing y1 = x1 – x < 0, y2 = x2 – x > 0, we express
the condition of convexity as
( ) ( ) ( ) ( ) ( ) ( )
xx
xfxf
y
xx
xfxf
y
−
−
=≤
−
−
=
2
2
2
1
1
1 φφ
( ) ( )[ ] ( ) ( ) ( )[ ] ( )xxxfxfxxxfxf −−≥−− 1221
( ) ( ) ( )
( )
( ) ( )
( )
λλ −
−
−
+
−
−
≤
1
12
1
2
12
2
1
xx
xx
xf
xx
xx
xfxf
One other equivalent definition:
196
SOLO Primes
( )[ ] ( ) ( ) ( ) ( )1,0ln1ln1ln ∈−+≤−+ λλλλλ yfxfyxf
Logarithmic Convex Function :
A Function f (x)>0 is called logarithmic-convex or simply log-convex if ln (f (x) )
is convex or
This is equivalent to ( )[ ] ( ) ( )( )λλ
λλ
−
≤−+
1
ln1ln yfxfyxf
Since the logarithm is a momotonic increasing function we obtain
( )[ ] ( ) ( )( )
( ) yxyfxfyxf <∈≤−+
−
,1,01
1
λλλ
λλ
197
SOLO Primes
( ) ∫
∞=
=
−
=Γ
t
t
t
z
td
e
t
z
0
1
Proof :
Gamma Function
0& >+= xyixz
( )[ ] ( ) ( ) ( ) ( )1,0ln1ln1ln ∈Γ−+Γ≤−+Γ λλλλλ baba
Properties of Gamma Function :
3
Gamma is a
Log Convex
Function
( )[ ] ( )
( ) ( )
( ) ( ) λλ
λλ
λλλλ
λλ
−
−∞
−−
∞
−−
∞
−−−−−
∞
−−−+
ΓΓ=















≤
==−+Γ
∫∫
∫∫
1
1
0
1
0
1
0
111
0
11
1
badtetdtet
dtetetdtetba
tbta
InequalityHolder
tbtatba
q.e.d.
198
SOLO Primes
( ) ∫
∞=
=
−
=Γ
t
t
t
z
td
e
t
z
0
1
Proof :
Gamma Function
Other Gamma Function Definitios:
( )
( ) ( )nxxx
nn
x
x
n ++
=Γ
∞→ 1
!
limGauss’ Formula
Since the Gamma Function is monotonically increasing the logarithm of Gamma
Function is also monotonic increasing and for 0 < x < 1 and any n > 2 we have
( ) ( )
( ) nnx
nnx
−+
Γ−+Γ lnln
( )[ ] ( )[ ]
( )
( )
( ) ( )[ ] [ ] ( )[ ]
( )
    






−





−
−
−−
≤
−−+Γ
≤
−
−−−
!1
!
ln
!2
!1
ln
1
!1ln!ln!1lnln
1
!1ln!2ln
n
n
n
n
nn
x
nnxnn
( )
( )
( ) n
x
n
nx
n ln
!1
ln
1ln ≤
−
+Γ
≤−
( ) ( )
( )
1
1
ln1ln −=←
≤
−+−
Γ−+−Γ x
nn
nn ( ) ( )
( ) nn
nnx
−+
Γ−+Γ
≤
→=
1
ln1ln1
Carl Friedrich Gauss
(1777 – 1855)
199
SOLO Primes
( ) ∫
∞=
=
−
=Γ
t
t
t
z
td
e
t
z
0
1
Proof (continue - 1) :
Gamma Function
Other Gamma Function Definitios:
Since the Gamma Function is monotonically increasing the logarithm of Gamma
Function is also monotonic increasing and for 0 < x < 1 and any n > 2 we have
( )
( )
( ) n
x
n
nx
n ln
!1
ln
1ln ≤
−
+Γ
≤− ( ) ( )
( )
xx
n
n
nx
n ln
!1
ln1ln ≤
−
+Γ
≤−
10 << x
( ) ( ) ( ) ( )!1!11 −≤+Γ≤−− nnnxnn xx
Use( ) ( ) ( ) ( ) ( )xxxnxnxnx Γ+−+−+=+Γ
>
  

0
121
( ) ( )
( ) ( ) ( )
( ) ( )
( ) ( ) ( ) xxnxnx
nn
x
xxnxnx
nn xx
121
!1
121
!11
+−+−+
−
≤Γ≤
+−+−+
−−

( )
( ) ( )nxxx
nn
x
x
n ++
=Γ
∞→ 1
!
limGauss’ Formula
Euler 1729
Gauss 1811
200
SOLO Primes
( ) ∫
∞=
=
−
=Γ
t
t
t
z
td
e
t
z
0
1
Proof (continue - 2) :
Gamma Function
Other Gamma Function Definitios:
( ) ( )
( ) ( ) ( )
( ) ( )
( ) ( ) ( ) xxnxnx
nn
x
xxnxnx
nn xx
121
!1
121
!11
+−+−+
−
≤Γ≤
+−+−+
−−

( ) ( ) ( )
( ) ( )
( ) ( ) ( ) xxnxnx
nn
x
xxnxnx
nn
xx
11
!1
11
!
+−++
+
≤Γ≤
+−++ 
Take the limit n → ∞
( ) ( ) ( )
( )
( ) ( ) ( ) xxnxnx
nn
n
x
xxnxnx
nn x
n
x
n
x
n 11
!
lim
1
1lim
11
!
lim
1
+−++






+≤Γ≤
+−++ ∞→∞→∞→ 


( )
( ) ( ) ( )
( )1,0
11
!
lim ∈
+−++
=Γ
∞→
x
xxnxnx
nn
x
x
n 
Substitute n+1 for n
( )
( ) ( )nxxx
nn
x
x
n ++
=Γ
∞→ 1
!
limGauss’ Formula
201
SOLO Primes
( ) ∫
∞=
=
−
=Γ
t
t
t
z
td
e
t
z
0
1
Let substitute x + 1 for x
Gamma Function
Other Gamma Function Definitios:
( )
( ) ( ) ( )
( )
( )1,0
11
!
lim ∈
+−++
=Γ
Γ
∞→
x
xxnxnx
nn
x
x
x
n
n
  

q.e.d
( )
( ) ( )nxxx
nn
x
x
n ++
=Γ
∞→ 1
!
limGauss’ Formula
Proof (continue - 3) :
( )
( ) ( ) ( )
( ) ( ) ( ) ( )
( )
( ) ( )1,0
11
!
lim
1
lim
11
!
lim1
1
1
∈Γ=
+−++++
=
++++
=+Γ
Γ
∞→∞→
+
∞→
xxx
xxnxnx
nn
nx
n
x
xnxnx
nn
x
x
x
nn
x
n
  

  

The right side is defined for 0 < x <1. The left side extend the definition for
(1 , 2). Therefore the result is true for all x , but 0 and negative integers.
202
SOLO Primes
( ) ∫
∞=
=
−
=Γ
t
t
t
z
td
e
t
z
0
1
Gamma Function
Other Gamma Function Definitios:
Start from Gauss Formula ( ) ( )xx n
n
Γ=Γ
∞→
lim
q.e.d
( )
constantMascheroni-Euler57721566.0ln
1
2
1
1lim
11
≈





−+++=
+
=Γ
∞→
∞
=
−
∏
n
n
k
x
e
x
e
x
n
k
k
x
x
γ
γ
Weierstrass’ Factorization Formula for Gamma Function
Proof :
( )
( ) ( ) ( )






+





−
+





+
=






+





−
+





+
=
+−++
=Γ






−−−−
n
x
n
xx
x
eee
e
x
x
n
x
n
x
n
xxnxnx
nn
x
n
xxx
n
nx
xx
n
1
1
1
1
1
1
1
1
11
11
!
:
21
1
2
1
1ln





( ) ( ) ∏∏
∞
=
−
=






−−−−
∞→∞→
+
=
+
=Γ=Γ
11
1
2
1
1ln
11
1
limlim
k
k
x
xn
k
k
x
n
nx
n
n
n
k
x
e
x
e
k
x
e
x
exx
γ
Karl Theodor Wilhelm
Weierstrass
(1815 – 11897)
203
SOLO Primes
( ) ∫
∞=
=
−
=Γ
t
t
t
z
td
e
t
z
0
1
Gamma Function
Other Gamma Function Definitios:
Weierstrass’ Factorization Formula for Gamma Function (continue)
Karl Theodor Wilhelm
Weierstrass
)1815–11897(
( ) ∏
∞
=
−
−






+=
Γ 1
1
1
k
k
z
z
e
k
z
ez
z
γ
Γ (z) has Poles at zk = - k, k=0,1,2,…, and no Zeros therefore
1/ Γ (z) has Zeros at zk = - k, k=0,1,2,…, and no Poles, and
From previous development we obtain Weierestrass
Factorization
Return to ζ (z)
204
SOLO
( ) ∫
∞=
=
−
=Γ
t
t
t
z
td
e
t
z
0
1
Gamma Function Gamma integral is defined, and
converges uniformly for x > 0.
Differentiation of Gamma Function:
q.e.d
( ) ( )
( )
( ) ( ) ( ) ( )
( ) ( )
( ) ( )
( )
( ) ( )
( )
0,2
!11'
ln
0
1'''
ln
constantMascheroni-Euler57721566.0
111'
ln
1
1
1
1
22
2
2
2
1
>≥
+
−−
=
Γ
Γ
=Γ
>
+
=
Γ
Γ−ΓΓ
=Γ
≈





+
−+−−=
Γ
Γ
=Γ
∑
∑
∑
∞
=
−
−
∞
=
∞
=
xn
kx
n
x
x
xd
d
x
xd
d
kxx
xxx
x
xd
d
kxkxx
x
x
xd
d
k
n
n
n
n
n
n
k
k
γγ
Proof :
Start from Weierstrass Formula ( ) ∏
∞
=
−
+
=Γ
1
1k
k
x
x
k
x
e
x
e
x
γ
( ) ∑∑
∞
=
∞
=






+−+−−=Γ
11
1lnlnln
kk k
x
k
x
xxx γ ( ) ∑∑
∞
=
∞
=
+
−+−−=Γ
11
1
1
11
ln
kk
k
x
k
kx
x
xd
d
γ
( )
( ) ( )
0
111111
ln
0
2
1
22
1
2
2
>
+
=
+
+=











+
−+−−=Γ ∑∑∑
∞
=
∞
=
∞
= kkk kxkxxkxkxxd
d
x
xd
d
γ
( ) ( )
( )
( ) ( )
( )∑
∞
=
−
−
+
−−
=
Γ
Γ
=Γ
0
1
1
!11'
ln
k
n
n
n
n
n
n
kx
n
x
x
xd
d
x
xd
d
Gamma Function
We can see that ( ) ( )
( )
γγ −=





+
−+−−=
Γ
Γ
==Γ
+
−
=
∞→
∑
  
1
1
1
1 1
11
lim
1
1
1
1'
1ln
n
n
k
n kk
x
xd
d
205
SOLO Primes
( ) ∫
∞=
=
−
=Γ
t
t
t
z
td
e
t
z
0
1
Gamma Function
Other Gamma Function Definitios:
( ) ( ) ∏
∞
=
−
−






+=
Γ
=
+Γ 1
1
1
1
1
k
k
z
z
e
k
z
e
zzz
γ
Return to ζ (z)
Hadamard Infinite Product Expansion of Gamma Function
( ) ( ) ∏
∞
=
+
+++
+ +
+
+
+








−=
1
1
1
2
1
1
1
2
2
1
11
10
j
a
z
pa
z
a
z
j
zczc p
j
p
jj
p
p
e
a
z
efzf


Since 1/z Γ (z)=1/Γ (1+z) has Zeros at zk = - k, k=1,2,…, and no Poles we can use
the Hadamard Infinite Product Expansion
( )
( )
pi
i
f
f
zd
d
c z
i
i
i ,,1,0
!1
: 0
1
1 =
+






= =
+
Gamma Function Γ (1+z) has Order p=0, and
( )
( )
( )
γ−=
Γ
Γ
=





=
=
1
1'
:
0
1
1
z
f
f
c
( ) ( ) ( ) ( ) 1101 =Γ=⇒+Γ= fzzfDefine
We recovered the
Weierstrass Formula
using Hadamard
Expansion
206
SOLO Primes
( ) ( )∫
=
=
−−
−=
1
0
11
1,
s
s
zy
sdsszyBBeta Function
Beta Function is related to Gamma Function:
( ) ∫∫
∞=
=
−−
=
=∞=
=
−−
==Γ
u
u
uy
duudt
utt
t
ty
udeutdety
0
12
2
0
1 2
2
2
( ) ( ) ( )
( )zy
zy
zyB
+Γ
ΓΓ
=,
Proof:
In the same way:
( ) ∫
∞=
=
−−
=Γ
v
v
vz
vdevz
0
12 2
2
( ) ( ) ( )
∫ ∫
∞=
=
∞=
=
+−−−
=ΓΓ
u
u
v
v
vuuzy
vdudevuzy
0 0
1212 22
4
Use polar coordinates:
ϕϕ
ϕϕ
ϕϕ
ϕ
ϕ
ϕ
ϕ
ϕ
drdrdrd
r
r
drd
vrv
uru
vdud
rv
ru
=
−
=
∂∂∂∂
∂∂∂∂
=



=
=
cossin
sincos
//
//
sin
cos
( ) ( ) ( )
( ) ( )
( )
( )
( ) ( ) 



















=
=ΓΓ
∫∫
∫ ∫
=
=
−−
+Γ
∞=
=
−−+
∞=
=
=
=
−−−−+
2/
0
1212
0
12
0
2/
0
121212
sincos22
sincos4
2
2
πϕ
ϕ
πϕ
ϕ
ϕϕϕ
ϕϕϕ
drder
drderzy
zy
zy
r
r
rzy
r
r
rzyzy
  
Euler’s First Integral
207
SOLO Primes
( ) ( )∫
=
=
−−
−=
1
0
11
1,
s
s
zy
sdsszyBBeta Function Euler’s First Integral
Beta Function is related to Gamma Function: ( ) ( ) ( )
( )zy
zy
zyB
+Γ
ΓΓ
=,
Proof (continue):
( ) ( ) ( ) ( ) ( ) 







+Γ=ΓΓ ∫
=
=
−−
2/
0
1212
sincos2
πϕ
ϕ
ϕϕϕ dzyzy zy
Change variables in the integral using ϕϕϕϕ dsds cossin2sin2
==
( ) ( ) ( ) ( )zyBsdssd
s
s
yzzy
,1sincos2
1
0
11
2/
0
1212
=−= ∫∫
=
=
−−
=
=
−−
πϕ
ϕ
ϕϕϕ
( ) ( ) ( ) ( )zyBzyzy ,+Γ=ΓΓTherefore q.e.d.
Use z→y and y → 1 - z
( ) ( ) ( ) ( ) ( )
( )
( ) ( ) ∫∫
∫
∞=
=
−∞=
=
−
−
−+
=
+
=
=
=
−−
+
=
+






+
−
+
=
−=−Γ=−ΓΓ
u
u
zu
u
z
z
zu
u
s
u
ud
sd
s
s
zz
ud
u
u
u
ud
u
u
u
u
dssszzBzz
0
1
0
21
11
1
1
0
1
111
1
1
11,11
2
q.e.d.
208
SOLO Primes
Proof
( ) ( ) ( ) ( )
( ) ( )
( ) ( )yzBzyzyBzyyz
yzBzyB
,,
,,
+Γ=+Γ=ΓΓ
=
Use y → 1 - z
( ) ( ) ( ) ( ) ( )
( )
( ) ( ) ∫∫
∫
∞=
=
−∞=
=
−
−
−+
=
+
=
=
=
−−
+
=
+






+
−
+
=
−=−Γ=−ΓΓ
u
u
zu
u
z
z
zu
u
s
u
ud
sd
s
s
zz
ud
u
u
u
ud
u
u
u
u
dssszzBzz
0
1
0
21
11
1
1
0
1
111
1
1
11,11
2
( ) ∫
∞=
=
−
=Γ
t
t
t
z
td
e
t
z
0
1
Gamma Function
Other Gamma Function Properties: ( ) ( )
( )z
zz
π
π
sin
1 =−ΓΓ Euler
Reflection Formula
209
SOLO Primes
Proof (continue - 1)
( ) ( ) ∫
∞=
=
−
+
=−ΓΓ
u
u
x
ud
u
u
xx
0
1
1
1
( ) ∫
∞=
=
−
=Γ
t
t
t
z
td
e
t
z
0
1
Gamma Function
Other Gamma Function Properties:
Replace the path from 0 to ∞ by the Hankel contour Hε
in the Figure, described by four paths, traveled in
counterclockwise direction:
1.going counterclockwise above the real axis, (u = |u|)
2.along the circular path CR,
3.bellow the real axis, (u= |u|e -2πi
)
4.along the circular path Cε.
∫∫∫∫ +
−
+
−
+
+
+
−−
−
−−
εε
π
ε C
yR y
yi
C
yR y
ud
u
u
ud
u
u
eud
u
u
ud
u
u
R
1111
2
Define y = 1 – x, and assume x,y (0,1ϵ)
( ) ( )
( )z
zz
π
π
sin
1 =−ΓΓ Euler
Reflection Formula
210
SOLO Primes
Proof (continue - 1)
( ) ( ) ∫
∞=
=
−
+
=−ΓΓ
u
u
x
ud
u
u
xx
0
1
1
1
( ) ∫
∞=
=
−
=Γ
t
t
t
z
td
e
t
z
0
1
Gamma Function
Other Gamma Function Properties:
This path encloses the pole u=-1 of that has the residue
1+
−
u
u y
yi
eu
y
y
eu
u
u
i
π
π
−
=−=
−
−
==





+ 11
Residue
By the Residue Theorem
For z ≠ 0 we have
( ) yzyzyzyy
zeeez
−−−−−
====
lnlnReln
( ) ( )
( )z
zz
π
π
sin
1 =−ΓΓ Euler
Reflection Formula
( ) yi
y
eu
y
C
yR y
iy
C
yR y
ei
u
u
ui
u
u
izd
z
z
ud
u
u
ezd
z
z
ud
u
u
i
R
π
ε
π
ε
ππ
π
π
ε
−
−
=−→
−−−
−
−−
=











+
+=






+
=
+
−
+
−
+
+
+
−
∑∫∫∫∫
2
1
1lim2
1
Residue2
1111
1
2
211
SOLO Primes
Proof (continue - 2)
( ) ∫
∞=
=
−
=Γ
t
t
t
z
td
e
t
z
0
1
Gamma Function
Other Gamma Function Properties:
yi
C
yR y
iy
C
yR y
eizd
z
z
ud
u
u
ezd
z
z
ud
u
u
R
π
ε
π
ε
π
ε
−
−−
−
−−
=
+
−
+
−
+
+
+ ∫∫∫∫ 2
1111
2
For the second and forth integral we have
( )
0
lnlnReln
≠====
−−−−−
zzeeez
yzyzyzyy
z
z
z
z
z
z
yyy
−
≤
+
≤
+
−−−
111
Hence for small ε we have:
and for large R we have:
0
1
2
1
01 →−−
→
−
≤
+∫
ε
ε
ε
π
ε
y
C
y
zd
z
z
0
1
2
1
1 ∞→−−
→
−
≤
+∫
Ry
C
y
R
R
zd
z
z
R
π
Therefore the integrals on the circular paths are zero for ε→0 and R→∞
( ) ( )
( )z
zz
π
π
sin
1 =−ΓΓ Euler
Reflection Formula
212
SOLO Primes
Proof (continue - 3)
( ) ∫
∞=
=
−
=Γ
t
t
t
z
td
e
t
z
0
1
Gamma Function
Other Gamma Function Properties:
yi
y
iy
y
eiud
u
u
eud
u
u ππ
π −
∞ −
−
∞ −
=
+
−
+ ∫∫ 2
11 0
2
0
We obtain
Multiply both sides by yi
e π+
( ) iud
u
u
ee
y
iyiy
πππ
2
10
=
+
− ∫
∞ −
−
( ) ( )yee
i
ud
u
u
iyiy
y
π
π
π ππ
sin
2
10
=
−
=
+ −
∞ −
∫Rearranging we obtain
Since both sides of this equation are Holomorphic (analytic) in x (0,1) we canϵ
extend the result for all analytic parts of z C (complex planeϵ).
( ) ( )
( )[ ] ( )
( )1,0
sin1sin11
1
0
1
0
1
∈=
−
=
+
=
+
=−ΓΓ ∫∫
∞=
=
−−=∞=
=
−
x
xx
ud
u
u
ud
u
u
xx
u
u
yxyu
u
x
π
π
π
π
Substituting y = 1 – x we obtain
( ) ( )
( )z
zz
π
π
sin
1 =−ΓΓ Euler
Reflection Formula
213
SOLO Primes
Onother Proof
( ) ∫
∞=
=
−
=Γ
t
t
t
z
td
e
t
z
0
1
Gamma Function
Other Gamma Function Properties:
Start with Weierstrass Gamma Formula
( ) ( )
( )z
zz
π
π
sin
1 =−ΓΓ Euler
Reflection Formula
( ) ∏
∞
=
−
+
=Γ
1 1k
k
x
x
k
x
e
x
e
x
γ
( ) ( ) ∏∏
∞
=
∞
= −
−






−−=
−+
−=
−ΓΓ 1
2
2
2
1
2
1
11
1
kk k
x
k
x
xx
k
x
x
e
k
x
e
k
x
eex
xx
γγ
Use the fact that Γ (-x)=- Γ (1-x)/x to obtain
( ) ( ) ∏
∞
=






−=
−ΓΓ 1
2
2
1
1
1
k k
x
x
xx
Now use the well-known infinite product
( ) ∏
∞
=






−=
1
2
2
1sin
k k
x
xx ππ
q.e.d.
214
SOLO Primes
Proof
( ) ∫
∞=
=
−
=Γ
t
t
t
z
td
e
t
z
0
1
Gamma Function
Other Gamma Function Properties: ( )z
zz
π
π
cos2
1
2
1
=





−Γ





+Γ
Start from
Substitute ½ +z instead of z
( ) ( )
( )z
zz
π
π
sin
1 =−ΓΓ
( )z
z
zz
π
π
π
π
cos
2
1
sin
2
1
2
1
=












+
=





−Γ





+Γ
q.e.d.
215
SOLO Primes
( ) ∫
∞=
=
−
=Γ
t
t
t
z
td
e
t
z
0
1
Gamma Function
Duplication and Multiplication Formula:
( ) ( ) 0Re2
22
1
12
>Γ=





+ΓΓ −
zzzz z
π Legendre Duplication Formula
1809
Adrien-Marie Legendre
)1752–1833(
Proof:
( ) ( ) ( ) ( )
( ) ( ) ( )2/1,2sin22sin2
2sin22sincos2,
21
2/
0
1221
0
1221
2/
0
1221
2/
0
1212
zBdd
ddzzB
zzzzz
zzzz
⋅=⋅⋅==
⋅==
−−−−−
−−−−
∫∫
∫∫
ππ
ππ
ττττ
ϕϕϕϕϕ
( ) ( )
( )
( ) ( ) ( ) ( )
( )
0Re
2/1
2/1
22/1,2,
2
2121
>
+Γ
Γ⋅Γ
⋅=⋅==
Γ
Γ⋅Γ −−
z
z
z
zBzzB
z
zz zz
We have
therefore
q.e.d( )

( ) 0Re2
22
1
12
2
1
>Γ=





+ΓΓ −






Γ
zzzz z
π
216
SOLO
( ) ∫
∞=
=
−
=Γ
t
t
t
z
td
e
t
z
0
1
Gamma Function
Duplication and Multiplication Formula:
( ) ( )( )
( )znn
n
n
z
n
z
n
zz znn
Γ=




 −
+Γ





+Γ





+ΓΓ −− 2/12/1
2
121
π
Gauss
Multiplication
Formula
n
z
1
=
Carl Friedrich Gauss
)1777–1855(( )( )
nn
n
nn
n 2/1
2121
−
=




 −
Γ





Γ





Γ
π
 Euler
Multiplication
Formula
Gamma Function
217
SOLO Primes
( ) ∫
∞=
=
−
=Γ
t
t
t
z
td
e
t
z
0
1
Gamma Function
Some Special Values of Gamma Function:
q.e.d
( ) π
π
====Γ ∫∫
∞=
=
−
=
=
∞=
=
−
2
222/1
0
2
0
2
2 t
t
u
ut
duudt
t
t
t
udetd
t
e
( ) ( ) ( ) ( )( ) ( ) ( ) ( ) πn
n
nnnnn
2
12531
2/12/112/32/12/12/12/1
−⋅⋅
=Γ+−−=−Γ−=+Γ


( ) ( )
( )
( )
( )( ) ( )
( )
( )
π
12531
21
2/12/32/1
2/1
2/1
2/3
2/1
−⋅⋅
−
=
−+−+−
Γ
=
+−
+−Γ
=+−Γ
nnnn
n
n
nn

( ) π=Γ 2/1
( ) ( ) πn
n
n
2
12531
2/1
−⋅⋅
=+Γ

( ) ( )
( )
π
12531
21
2/1
−⋅⋅
−
=+−Γ
n
n
nn

Proof:
218
Jacob Bernoulli
1654-1705
The Bernoulli numbers are among the most interesting and important number
sequences in mathematics. They first appeared in the posthumous work "Ars
Conjectandi" (1713) by Jakob Bernoulli (1654-1705) in connection with sums of
powers of consecutive integers. Bernoulli numbers are particularly important in
number theory, especially in connection with Fermat's last theorem (see, e.g.,
Ribenboim (1979)). They also appear in the calculus of finite differences (Nörlund
(1924)), in combinatorics (Comtet (1970, 1974)), and in other fields.
Bernoulli Numbers
The Bernoulli numbers Bn play an important role in several topics of
mathematics. These numbers can be defined by the power series
SOLO
∑
∞
=
=
− 0 !1 n
n
nz
n
z
B
e
z
Complex Variables
219
SOLO
Bernoulli Numbers
∑
∞
=
=
− 0 !1 n
n
n
seriesTaylor
z
n
z
B
e
z
Let compute the Bernoulli number using
1
Residue2
2
!
12
!
1
1
−
=
−
=
−
=
+ ∑∫ z
n
eC
nzn
e
z
i
i
n
z
zd
e
z
i
n
B
z
π
ππ
The zeros of e z
= 1 are at z = ± 2 π i k
( ) ( ) 







−
+=
























−
+
+











−
−
=
−
=
∑ ∑
∑ ∑
∑
∞+
=
∞+
=
∞+
=
∞+
=
−→
=
−→→
=
→
−
=
1 1
1 1
2
1'
22
1'
2
1
2
1
2
1
!
1
lim
1
2
lim
1
lim
1
2
lim2
2
!
1
Residue2
2
!
k k
nn
k k
nkiz
Hopitall
zkiznkiz
Hopitall
zkiz
z
n
e
n
kiki
n
ze
kiz
ze
kiz
i
i
n
e
z
i
i
n
B
z
ππ
ππ
π
π
π
π
ππππ
    
0
1 =






−
=
x
xn
n
n
e
x
xd
d
B
Complex Variables
220
SOLO
Bernoulli Numbers
∑
∞
=
=
− 0 !1 n
n
nz
n
z
B
e
z
Let compute the Bernoulli number using
1
Residue2
2
!
12
!
1
1
−
=
−
=
−
=
+ ∑∫ z
n
eC
nzn
e
z
i
i
n
z
zd
e
z
i
n
B
z
π
ππ
The zeros of e z -1
= 1 are at z = ± 2 π i k
( ) ( ) 







−
+=
−
= ∑ ∑∑
∞+
=
∞+
=
−
= 1 11 2
1
2
1
!
1
Residue2
2
!
k k
nnz
n
e
n
kiki
n
e
z
i
i
n
B
z ππ
π
π
( ) ( )
( ) ( )





=
=−
=





=
=
=
−
+
∑∑
∑∑
+∞
=
−
+∞
=
−∞+
=
∞+
=
oddn
evennk
oddn
evennki
kiki
k
nn
k
n
k
n
k
n
0
12
0
211
1
2/
1
11
( )
( )
( )
( )
( )





=
=
−
=
−
=
∑
∞
=
oddn
evennn
n
k
n
B n
n
k
nn
n
n
0
2
!1
2
1
2
!1
2
2/
1
2/
ς
ππ
( ) ( )
( )
( )
,2,1,0
120
22
2
!21
2 2
=





+=
=
−
= m
mn
mnm
m
B m
m
n
ς
π
Complex Variables
( ) ∑
∞
=
=
1
1
k
n
k
nςwhere is the Zeta Function
SOLO
Euler Zeta Function and the Prime History
++++ 232
4
1
3
1
2
1
1
In 1650 Mengoli asked if a solution exists for
P. Mengoli
1626-1686
The problem was tackled by Wallis, Leibniz, Bernoulli family, without success.
The solution was given by the young Euler in 1735. The problem was named “Basel
Problem” for Basel the town of Bernoulli and Euler.
Euler started from Taylor series expansion of the sine function
+−+−=
!7!5!3
sin
753
xxx
xx
Dividing by x, he obtained
+−+−=
!7!5!3
1
sin 642
xxx
x
x
The roots of the left side are x =±π, ±2π, ±3π,…. However sinx/x is not a
polynomial, but Euler assumed (and check it by numerical computation)
that it can be factorized using its roots as
 ⋅





−⋅





−⋅





−=





+⋅





−⋅





+⋅





−= 2
2
2
2
2
2
9
1
4
11
2
1
2
111
sin
πππππππ
xxxxxxx
x
x
Leonhard Euler
)1707–1783(
Return to Euler
Riemann's Zeta Function
SOLO
+−+−=
!7!5!3
1
sin 642
xxx
x
x ⋅





−⋅





−⋅





−= 2
2
2
2
2
2
9
1
4
11
sin
πππ
xxx
x
x
Leonhard Euler
)1707–1783(If we formally multiply out this product and collect all the x2
terms, we
see that the x2
coefficient of sin(x)/x is
∑
∞
=
−=





+++−
1
22222
11
9
1
4
11
n nππππ

But from the original infinite series expansion of sin(x)/x, the coefficient of x2
is
−1/(3!) = −1/6. These two coefficients must be equal; thus,
∑
∞
=
−=−
1
22
11
6
1
n nπ 6
1 2
1
2
π
=∑
∞
=n n
Euler extend this to a general function, Euler Zeta Function
( )  ,4,3,2
4
1
3
1
2
1
1: =++++= nn nnn
ς
The sum diverges for n ≤ 1 and
converges for n > 1.
Euler computed the sum for n up to n = 26. Some of the values are given here
( ) ( ) ( ) ( ) ,
9450
8,
945
6,
90
4,
6
2
8642
π
ς
π
ς
π
ς
π
ς ====
Euler checked the sum
for a finite number of
terms.
EulerZeta Function and the Prime History (continue – 1)
Riemann's Zeta Function
SOLO
Euler Product Formula for the Zeta Function
Leonhard Euler proved the Euler product formula for the Riemann
zeta function in his thesis Variae observationes circa series infinitas
(Various Observations about Infinite Series), published by St
Petersburg Academy in 1737
∏∑ −
∞
= −
=
primep
x
n
x
pn 1
11
1
where the left hand side equals the Euler Zeta Function
Euler Proof of the Product Formula
( ) ++++= xxxxx
s
8
1
6
1
4
1
2
1
2
1
ς
( ) +++++++=





− xxxxxxx
x
13
1
11
1
9
1
7
1
5
1
3
1
1
2
1
1 ς
( ) ++++++=





− xxxxxxxx
x
33
1
27
1
21
1
15
1
9
1
3
1
2
1
1
3
1
ς
( ) ++++++=





−





− xxxxxxx
x
17
1
13
1
11
1
7
1
5
1
1
2
1
1
3
1
1 ς
all elements having a factor of 3 or 2 (or both) are removed
( ) +++++== ∑
∞
=
xxxx
n
x
n
x
5
1
4
1
3
1
2
1
1
1
1
ς converges for integer x > 1
all elements having a
factor of 2 are
removed
Leonhard Euler
)1707–1`783(
EulerZeta Function and the Prime History (continue – 2)
Riemann's Zeta Function
SOLO
Leonhard Euler
)1707–1`783(
Euler Product Formula for the Zeta Function
( ) ∏∑ −
∞
= −
==
primep
x
n
x
pn
x
1
11
1
ς
Euler Proof of the Product Formula (continue)
( ) ++++++=





−





− xxxxxxx
x
17
1
13
1
11
1
7
1
5
1
1
2
1
1
3
1
1 ς
Repeating infinitely, all the non-prime elements are removed, and we get:
( ) 1
2
1
1
3
1
1
5
1
1
7
1
1
11
1
1
13
1
1
17
1
1 =





−





−





−





−





−





−





− xxxxxxxx
ς
Dividing both sides by everything but the ζ(s) we obtain
( )






−





−





−





−





−





−
=
xxxxxx
x
13
1
1
11
1
1
7
1
1
5
1
1
3
1
1
2
1
1
1
ς
Therefore
( ) ∏∑ −
∞
= −
==
primep
x
n
x
pn
x
1
11
1
ς
EulerZeta Function and the Prime History (continue – 3)
Riemann's Zeta Function
225
SOLO Riemann's Zeta Function
The Riemann Zeta Function or Euler–Riemann Zeta Function,
ζ(z), is a function of a complex variable z that analytically
continues the sum of the infinite series
( ) yixz
n
z
n
z
+== ∑
∞
=1
1
ς
“On the Number of Primes Less Than a Given Magnitude”, 7 page
paper offered to the Monatsberichte der Berliner Akademie on
October 19, 1859. The exact publication date is unknown.
( ) ( ) ( )z
z
zz zz
−





−Γ= −
1
2
sin12 1
ς
π
πς
To construct the analytic Continuation of the Zeta Function,
Riemann established the relation (see proof).
where Γ(s) is the Gamma Function, which is an equality of
Meromorphic Functions valid on the whole complex plane. This
equation relates values of the Riemann Zeta Function at the points z
and 1 − z. The functional equation (owing to the properties of sin)
implies that ζ(z) has a simple zero at each even negative integer
z = −2n — these are known as the trivial zeros of ζ(z). For s an even
positive integer, the product sin(πz/2)Γ(1−z) is regular and the
functional equation relates the values of the Riemann Zeta Function
at odd negative integers and even positive integers.
Georg Friedrich Bernhard Riemann
)1826–1866(
SOLO
( ) ( )
( )
,2,1
1
1 1
=
+
−−=− +
n
n
B
n nn
ς
Bn are the Bernoulli numbers
Those roots are called the Trivial Zeros
of the Zeta Function. The remaining
zeros of ζ (z) are called Nontrivial Zeros
or Critical Roots of the Zeta Function.
The Nontrivial Zeros are located on a
Critical Strip defined by 0 < x < 1.
Since Bn+1 = 0 for n + 1 odd (n even)
we also have ( ) ,2,102 ==− mmς
( ) { } xyixz
pn
z
primep
z
n
s
=+=
−
== ∏∑ −
∞
=
Re
1
11
1
ς
Riemann Zeta Function Zeros
Since the product contains no zero factors
we see that ζ (z) ≠ 0 for Re {z} >1.
Graph showing the Trivial Zeros, the
Critical Strip and the Critical Line
of ζ (z) zeros.
We shall prove that
227
Riemann's Zeta Function
228
Re ζ (z) in the original domain, Re z > 1.
Re ζ (z) after Riemann’s extension.
Riemann's Zeta Function
229
SOLO
The position of the complex zeros can be seen
slightly more easily by plotting the contours of
zero real (red) and imaginary (blue) parts, as
illustrated above. The zeros (indicated as
black dots) occur where the curves intersect
The figures bellow highlight the zeros in
the complex plane by plotting |ζ(z)|) where
the zeros are dips) and 1/|ζ(z)) where the
zeros are peaks).
Riemann's Zeta Function
230
Riemann's Zeta Function
The Riemann Hypothesis
The Non-Trivial Zeros ρ of ζ (z) has Re ρ= ½
This Hypothesis was never proved.
( ) 1−
zς
231
SOLO
( ) ( ) ( ) 1Re
10
1
>=∞<
−
=Γ ∫
∞=
=
−
zxfordt
e
t
zz
t
t
t
z
ς
( ) ∫
∞=
=
−
=Γ
u
u
u
z
du
e
u
z
0
1
Proof:
Gamma Function
Change of variables u=nt ( ) ( )
∫∫
∞=
=
−∞=
=
−
==Γ
t
t
nt
z
z
t
t
nt
z
td
e
t
ntdn
e
nt
z
0
1
0
1
Thus for n=1,2,3,…,N
( )
( )
( ) ∫
∫
∫
∞=
=
−
∞=
=
−
∞=
=
−
=Γ
=Γ
=Γ
t
t
Nt
z
z
t
t
t
z
z
t
t
t
z
z
td
e
t
N
z
td
e
t
z
td
e
t
z
0
1
0
2
1
0
1
1
2
1
1
1

0& >+= xyixz
Summing those equations
for x > 0 ( ) ∫
∞=
=
−






+++=





+++Γ
t
t
z
Ntttzzz
tdt
eeeN
z
0
1
2
1111
2
1
1
1
_________________________________________________

Riemann's Zeta Function
232
SOLO
Proof (continue – 1): 0& >+= xyixz
Since converges only for Re (z)= x > 1, then letting N → ∞, we obtain for x > 1∑
∞
=
−
1n
z
n
Uniform convergence of
( ) ∫
∞=
=
−
∞→






+++=





++Γ
t
t
z
NtttNzz
tdt
eee
z
0
1
2
111
lim
2
1
1
1

 
01
1
1
111
1
2
2
>≥→<=
−
=++
−
δtq
eeee t
q
q
t
q
t
q
t


allows to interchange between limit and the integral:
( ) RatioGoldentd
e
t
td
e
t
td
e
t
z
t
t
t
zt
t
t
zt
t
t
z
zz
=
+
=
−
+
−
=
−
=





++Γ ∫∫∫
∞=
=
−=
+=
−∞=
=
−
2
51
1112
1
1
1
ln2
1ln2
0
1
0
1
φ
φ
φ

∫∫∫
=
+=
−
=
+=
−+==
+=
−






++=
−
=
−
φφφ ln2
0
2
1
ln2
0
1ln2
0
1
11
11
t
t
tt
x
t
t
t
xyixzt
t
t
z
td
ee
ttd
e
t
td
e
t

The first integral gives
The integral diverges for 0 < x ≤ 1, and converges only for x > 1
( ) ( ) ( ) 1Re
10
1
>=∞<
−
=Γ ∫
∞=
=
−
zxfordt
e
t
zz
t
t
t
z
ς
Riemann's Zeta Function
233
SOLO
Proof (continue – 2): 0& >+= xyixz
( ) ∫∫∫
∞=
=
−=
+=
−∞=
=
−
−
+
−
=
−
=





++Γ
t
t
t
zt
t
t
zt
t
t
z
zz
td
e
t
td
e
t
td
e
t
z
φ
φ
ln2
1ln2
0
1
0
1
1112
1
1
1

In the second integral we have
This integral converges only for x > 1, therefore we proved that
φln21 2/
≥≥− tforee tt
since RatioGoldeneforee ttt
==
+
≥≥−− φ
2
51
01 2/2/
( ) ( )( ) ∫∫∫∫
∞=
=
−
∞
=
−−
=
=
∞=
=
−∞=
=
−+=∞=
=
−
−−−−=≤
−
=
−
−
−
t
t
t
x
termfinite
t
tx
tu
dtedv
t
t
t
xt
t
t
xiyxzt
t
t
z
td
e
t
xettd
e
t
td
e
t
td
e
t
x
t
φ
φ
φφφ ln2
2/
2
ln2
2/1
ln2
2/
1
ln2
1
ln2
1
122
11
1
2/
  
( ) [ ]
( )( ) [ ]( ) [ ]( ) ∞<−−−−−= ∫∑∫
∞=
=
−−
−
∞=
=
−
  

finite
t
t
txx
xx
t
t
t
x
td
et
xxxxtermsfinitetd
e
t
φφ ln2
2/1
ln2
2/
1
1
212
( ) ( ) ( ) ( ) 1Re
12
1
1
1
0
1
>=∞<
−
=Γ=





++Γ ∫
∞=
=
−
zxfortd
e
t
zzz
t
t
t
z
zz
ς
( ) ( ) ( ) 1Re
10
1
>=∞<
−
=Γ ∫
∞=
=
−
zxfordt
e
t
zz
t
t
t
z
ς
After [x] (the integer defined such that x-[x] < 1) such integration the power of t in
the integrand becomes x-[x]-1 < 0. and we have:
q.e.d.
Riemann's Zeta Function
234
SOLO
Proof
The integral can be rewritten as
( )
( ) ( )
( )
00
1sin2
1
0
0
1
itoreturnsandzeroencirclesiatstartspaththe
d
e
i
zz
z
i
i
z
+∞−∞
−
−
Γ
= ∫
+∞=
−∞=
−λ
λ
λ
λ
λ
π
ς
εi−∞
εi+∞
y
x
εε i+
εε i−
2ε
( )
( ) ( ) ( )
      
IntegralIII
i
i
z
originaroundCircleIntegralII
i
i
z
IntegralI
i
i
z
i
i
z
d
e
d
e
d
e
d
e
∫∫∫
∫
+∞=
+=
−
→
=
+=
−=
−
→
−=
−∞=
−
→
+∞=
−∞=
−
−
−
+
−
−
+
−
−
=
−
−
ελ
εελ
λε
εελ
εελ
λε
εελ
ελ
λε
λ
λ
λ
λ
λ
λ
λ
λ
λ
λ
λ
1
lim
1
lim
1
lim
1
1
0
1
0
1
0
0
0
1
Riemann's Zeta Function
235
SOLO
Proof (continue – 1)
The first integral can be written as
εi−∞
εi+∞
y
x
εε i+
εε i−
2ε
( ) ( )[ ] ( )
∫∫∫∫
∞=
+=
−
−
−=+=
∞=
−
−−
=
∞=
−
−−
→
−=−=
−∞=
−
→ −
=
−
=
−
−
=
−
−
− t
t
t
z
zi
et
t
t
z
zi
t
t
it
ziiti
i
z
td
e
t
etd
e
t
etd
e
eit
d
e
i
0
110 1
1
1
0
0 1
0 111
lim
1
lim ππ
ε
ε
π
ε
ελεελ
ελ
λε
π
ε
λ
λ
The second integral can be written as
( ) ( )
( ) ( ) 0
1
2
lim2
1
2
lim
2
1
2
lim
1
lim
2
0
20
2
0
2
1
0
2
0
2
1
0
21
0
→
−
=
−
−
≤
−
−
=
−
−
∫∫
∫∫
=
=
→
=
=
−+
→
=
=
−+
→
=+=
−=
−
→
πθ
θ
εε
πθ
θ
θ
ε
θ
ε
πθ
θ
θ
ε
θ
ε
ελεελ
εελ
λε
θ
ε
θε
ε
θε
ε
λ
λ
θθ
θ
θ
d
e
dei
e
e
dei
e
e
d
e
ii
i
i
e
x
i
e
iyxi
i
e
iyxie
originaroundCircle
i
i
z
  
( )
( ) ( )
( )
00
1sin2
1
0
0
1
itoreturnsandzeroencirclesiatstartspaththe
d
e
i
zz
z
i
i
z
+∞−∞
−
−
Γ
= ∫
+∞=
−∞=
−λ
λ
λ
λ
λ
π
ς
Riemann's Zeta Function
236
SOLO
Proof (continue – 2)
The third integral can be written as
εi−∞
εi+∞
y
x
εε i+
εε i−
2ε
( ) ( )[ ] ( )
∫∫∫∫
∞=
+=
−−=∞=
+=
−
−
∞=
=
+
−
→
+=+∞=
+=
−
→ −
−=
−
=
−
+
=
−
−
− t
t
t
z
zi
et
t
t
z
zi
t
t
it
ziiti
i
z
td
e
t
etd
e
t
etd
e
eit
d
e
i
0
11
0
1
1
1
0
1
0 111
lim
1
lim ππ
ε
ε
π
ε
ελελ
εελ
λε
π
ε
λ
λ
Therefore
( ) ( ) ( ) ( ) ∫∫∫∫
∞=
+=
−∞=
+=
−−∞=
+=
−
−
+∞=
−∞=
−
−
−=
−
−
−=
−
−=
−
−
t
t
t
zt
t
t
zzizit
t
t
z
zizi
i
i
z
td
e
t
zitd
e
t
i
ee
itd
e
t
eed
e 0
1
0
1
0
10
0
1
1
sin2
12
2
11
πλ
λ ππ
ππ
λ
λ
λ
But we found that ( ) ( ) ( ) 1Re
10
1
>=∞<
−
=Γ ∫
∞=
=
−
zxfordt
e
t
zz
t
t
t
z
ς
( )
( ) ( )
( )
00
1sin2
1
0
0
1
itoreturnsandzeroencirclesiatstartspaththe
d
e
i
zz
z
i
i
z
+∞−∞
−
−
Γ
= ∫
+∞=
−∞=
−λ
λ
λ
λ
λ
π
ς
Therefore ( )
( ) ( )
( )
∫
+∞=
−∞=
−
−
−
Γ
=
0
0
1
1sin2
1
i
i
z
d
e
i
zz
z
λ
λ
λ
λ
λ
π
ς
The right hand is analytic for any z ≠ 1. Since it equals Zeta Function in the half
plane x > 1, it is the Analytic Continuation of Zeta to the complax plane for any z ≠ 1.
( )
( ) ( )
( )
∫
+∞=
−∞=
−
−
−
Γ
=
0
0
1
1sin2
1
i
i
z
d
e
i
zz
z
λ
λ
λ
λ
λ
π
ς q.e.d.
Riemann's Zeta Function
237
SOLO
Proof
( ) ( ) ( )∫
+∞=
−∞=
−
−





=
−
−
0
0
1
1
2
sin22
1
i
i
z
z
z
z
id
e
λ
λ
λ
ς
π
πλ
λ
Let add a circular path of radius R → ∞. On this path
( ) ( ) 0
1
lim
1
2
0
1
→
−
−
=
−
−
∫∫ ∞→
=
=
− π ϕλ
ϕλ
λ
ϕλ
λ
ϕ
ϕ
ϕ
d
e
eR
d
e
i
i
i
R
eR
zi
R
eR
deRd
C
z
Therefore we have
Since the integral is over a closed path in the complex λ plane, we can use the
Residue Theorem to calculate it. The residues are given by
,2,121 =±=→= nnie πλλ
( ) ( ) ( ) ( )∑∑∫∫
∞
=
−
∞
=
−
−+∞
−∞
−
+−=
−
−
=
−
−
1
1
1
1
10
0
1
2222
11 n
z
n
z
zi
i
z
niiniid
e
d
e
ππππλ
λ
λ
λ
λλ
( ) ( ) ( ) ( )
∫∫∫∫ −
−
=
−
−
+
−
−
=
−
−
−−+∞
−∞
−+∞
−∞
−
λ
λ
λ
λ
λ
λ
λ
λ
λλλλ
d
e
d
e
d
e
d
e
z
C
zi
i
zi
i
z
R
1111
110
0
10
0
1
Riemann's Zeta Function
238
SOLO
Proof (continue)
( ) ( ) ( )∫
+∞=
−∞=
−
−





−=
−
−
0
0
1
1
2
sin22
1
i
i
z
z
z
z
id
e
λ
λ
λ
ς
π
πλ
λ
( ) ( ) ( ) ( ) ( )[ ] ∑∑∑∫
∞
=
−
−−
∞
=
−
∞
=
−
+∞
−∞
−
+−=+−=
−
−
1
1
11
1
1
1
1
0
0
1
1
22222
1 n
z
zzz
n
z
n
z
i
i
z
n
iiiniiniid
e
πππππλ
λ
λ
( )[ ] ( ) ( ) ( )
[ ] ( ) ( )
[ ] 





−=−=−=−−=+− −−−−
2
sin22/2/lnln11 z
eeieeiiiiiii izizizizzzzz πππ
( )z
nn
z
−=∑
∞
=
−
1
1
1
1
ς
( ) ( ) ( )z
z
id
e
z
i
i
z
−





−=
−
−
∫
+∞
−∞
−
1
2
sin22
1
0
0
1
ς
π
πλ
λ
λ
q.e.d.
Riemann's Zeta Function
239
SOLO
εi−∞
εi+∞
y
x
εε i+
εε i−
2ε
( ) ( ) ( )
00
12
1
0
0
1
itoreturnsandzeroencirclesiatstartspaththe
d
ei
z
z
i
i
z
+∞−∞
−
−−Γ
−= ∫
+∞=
−∞=
−λ
λ
λ
λ
λ
π
ς
We also found
( ) ( ) ( )z
z
id
e
z
i
i
z
−





−=
−
−
∫
+∞
−∞
−
1
2
sin22
1
0
0
1
ς
π
πλ
λ
λ
Has zeros for
,...4,2,00
2
sin ==





zfor
zπ
( ) ,7,5,301 ==− zforzς
( )z−Γ 1 Has no zeros, but has simple poles for z = 1,2,3,4,….
If we return to ζ (z) equation we can see that the zeros of
are cancelled by the poles of Γ (1-z). Only the simple pole
at z = 1 remain and is the single pole of ζ (s).
( )
∫
+∞
−∞
−
−
−
0
0
1
1
i
i
z
d
e
λ
λ
λ
Let find the Residue of this pole: ( ) ( ) ( ) ( ) ( )
∫
+∞=
−∞=
−
→→→ −
−
−Γ−−=−
0
0
1
111 12
1
lim11lim1lim
i
i
z
zzz
d
ei
zzzz
λ
λ
λ
λ
λ
π
ς
( ) ( )
( ) ( )
( ) ( )
( ) ( ) ( )
1
cos
lim
sin
1
lim11lim
1
'
1
1
sin
1
1
=−=
Γ
−
−=−Γ−−
→→
=−ΓΓ
→ zzz
z
zz
z
HopitalL
z
z
zz
z ππ
π
π
ππ
π
( ) =
−
−
∫
+∞=
−∞=
−
→
0
0
1
1 12
1
lim
i
i
z
z
d
ei
λ
λ
λ
λ
λ
π
Riemann's Zeta Function
240
SOLO
Proof
( ) ( ) ( ) ( ) ( )z
z
zzz
z
−





=Γ 1
2
sin22sin2 ς
π
πςπ
( ) ( ) ( )z
z
id
e
z
i
i
z
−





−=
−
−
∫
+∞
−∞
−
1
2
sin22
1
0
0
1
ς
π
πλ
λ
λ
We found
( )
( ) ( )
( )
∫
+∞=
−∞=
−
−
−
Γ
=
0
0
1
1sin2
1
i
i
z
d
e
i
zz
z
λ
λ
λ
λ
λ
π
ς
Combining those two relations, we get
( ) ( ) ( ) ( ) ( )z
z
zzz
z
−





=Γ 1
2
sin22sin2 ς
π
πςπ
q.e.d.
Riemann's Zeta Function
241
SOLO
Proof
( ) ( ) ( ) ( )zzzz zz
−−Γ= −
112/sin2 1
ςππς
Start from
use
( ) ( ) ( ) ( ) ( )z
z
zzz
z
−





=Γ 1
2
sin22sin2 ς
π
πςπ
( ) ( )
( )z
zz
π
π
sin
1 =−ΓΓ ( ) ( )
( )z
zz
−Γ
=Γ
1
sin
π
π
or
( )
( ) ( ) ( )z
z
z
z
z
−





=
−Γ
1
2
sin2
1
ς
π
πς
π
( ) ( ) ( )z
z
zz zz
−





−Γ= −
1
2
sin12 1
ς
π
πς
q.e.d.Return to Riemann Zeta Function
Riemann's Zeta Function
242
SOLO
Proof
Start from
use
( ) ( ) ( ) ( ) ( )z
z
zzz
z
−





=Γ 1
2
sin22sin2 ς
π
πςπ
( ) ( )
( )z
zz
π
π
sin
1 =−ΓΓ
( ) ( )
( )z
zz
−Γ
=Γ
1
sin
π
π






−Γ





Γ
=





2
1
2
2
sin
zz
z π
π
z
z
→
2
( )
( ) ( )
( ) ( )
( )z
z
zz
z
z
z
−





−ΓΓ
=
−Γ
1
2
sin
2/12/
1
2
1
1
ς
π
πς
or
( ) ( ) ( )
( )
( )
( )z
z
zzz zzz
−
−Γ
−Γ=Γ −−−
1
2/1
1
122/ 2/12/12/
ςππςπ
( ) ( )
( )
( )
( )[ ] ( )
( )
    
z
z
z
z
zzzz
−
−−−
−−Γ=Γ
1
2/12/
12/12/
ηη
ςπςπ
Riemann's Zeta Function
243
SOLO
Proof (continue)
( ) ( )
( )
( )
( )[ ] ( )
( )
    
z
z
z
z
zzzz
−
−−−
−−Γ=Γ
1
2/12/
12/12/
ηη
ςπςπ
or
( ) ( ) ( )
( )
( )
( )z
z
zzz zzz
−
−Γ
−Γ=Γ −−−
1
2/1
1
122/ 2/12/12/
ςππςπ
( ) 




 +
Γ





Γ=Γ −−
2
1
2
2 12/1 zz
z z
π
( ) ( )2/1
2
1
21 2/1
z
z
z z
−Γ




 −
Γ=−Γ −−
π z
z
−
↓
1
( )
( )





 −
Γ=
−Γ
−Γ
2
1
2/1
1
122/1 z
z
zz
π
therefore
q.e.d.
( ) ( ) ( )
( )z
z
zz zz
−




 −
Γ=Γ −−−
1
2
1
2/ 2/12/
ςπςπ
Use Legendre
Duplication Formula: ( ) ( ) 0Re2
22
1
12
>Γ=





+ΓΓ −
zzzz z
π
2/z
z
↓
Riemann's Zeta Function
244
SOLO
Proof
εi−∞
εi+∞
y
x
εε i+
εε i−
2ε
( )
( ) ( )
( )
00
1sin2
1
0
0
1
itoreturnsandzeroencirclesiatstartspaththe
d
e
i
zz
z
i
i
z
+∞−∞
−
−
Γ
= ∫
+∞=
−∞=
−λ
λ
λ
λ
λ
π
ςWe found
and ( )
( ) ( )zz
z
Γ
=−Γ
π
π
sin
1( ) ( )
( )z
zz
π
π
sin
1 =−ΓΓ
( ) ( ) ( )
0
0
12
1
0
0
1
itoreturnsand
zeroencirclesiatstartspaththe
d
ei
z
z
i
i
z
+∞
−∞
−
−−Γ
−= ∫
+∞=
−∞=
−λ
λ
λ
λ
λ
π
ς
( ) ( )
∫∫
+∞
∞−∞
−−
++
−
+
=
−
+
=
0 1
21
12
!1
12
!1
i
i
n
C
nzn d
ei
n
z
zd
e
z
i
n
B λ
λ
ππ λ
εi−∞
εi+∞
y
x
εε i+
εε i−
2ε
therefore ( ) ( ) ( )
( ) 1
!1
1
1 +
+
+Γ
−−=− n
n
B
n
z
zς
( ) ( ) ( )
0
0
12
1
0
0
1
itoreturnsand
zeroencirclesiatstartspaththe
d
ei
z
z
i
i
z
+∞
−∞
−
−+Γ
−=− ∫
+∞=
−∞=
−−λ
λ
λ
λ
λ
π
ς
zz −→
nz →
( ) ( )
( )1
1 1
+
−−=− +
n
B
n nn
ς
( ) ( )
( )
,2,1,0
1
1 1
=
+
−−=− +
n
n
B
n nn
ς Bn are the Bernoulli numbers
q.e.d.
We found
Zeta-Function Values and the Bernoulli Numbers
Return to Riemann Zeta Function Zeros
Riemann's Zeta Function
245
SOLO
Zeta Function Values and the Bernoulli Numbers
( ) ( ) ( )
( )
,3,2,1
!22
21
2 2
2
=
−
= mB
m
m m
mm
π
ς
( ) ( ) ( )
( )z
z
zz zz
−




 −
Γ=Γ −−−
1
2
1
2/ 2/12/
ςπςπLet use
with z = 2 m ( ) ( ) ( )
( )m
m
mm mm
21
2
21
2 2/21
−




 −
Γ=Γ −−−
ςπςπ
( ) ( )
( )
( )
( )
( )
( )
( ) ( )
( )
( ) ( )
( ) ( ) m
mm
m
mmm
m
m
B
mm
m
B
mm
m
m
m
m
m
2
2/112
2
22/12
2/1
2/1!2
!121
!22
21
2/1
!1
2
2/1
!1
21
−Γ
−−
=
−
−Γ
−
=
−Γ
−
=−
−+−
−−
−
πππ
ς
π
π
ς
We found
( ) ( ) ( )
( ) ( )
,3,2,1
2/1!2
!121
21 2
2/112
=
−Γ
−−
=−
−
mB
mm
m
m m
mm
π
ς
Riemann's Zeta Function
246
SOLO
Zeta Function Values and the Bernoulli Numbers
We found
( ) ( )
( )
( ) ( )[ ]
( ) ( )[ ]
( ) ( )
( )
2/1
12
2/1
1
2/1
!12
!121
224212531
121221
12531
21
2/1
π
ππ
⋅
−
−⋅−
=
⋅
−⋅⋅−⋅⋅
−⋅⋅⋅−
=
−⋅⋅
−
=+−Γ
−
−
m
m
mm
m
m
m
mm
mmmmm
  

  


( ) ( ) ( )
( ) ( )
,3,2,1
2/1!2
!121
21 2
2/112
=
+−Γ
−−
=−
−
mB
mm
m
m m
mm
π
ςTherefore
Finally
( ) ( )
( )
,2,1,0
1
1 1
=
+
−−=− +
n
n
B
n nn
ς
( ) ,3,2,1
2
1
21 2 ==− mB
m
m mς
We also found The two expressions
Agree.
Riemann Zeta Function
Riemann's Zeta Function
247
SOLO
Hadamard Infinite Product Expansion of Zeta Function
Graph showing the Trivial Zeros, the
Critical Strip and the Critical Line
of ζ (z) zeros.
( ) ( ) ∏
∞
=
+
+++
+ +
+
+
+








−=
1
1
1
2
1
1
1
2
2
1
11
10
j
a
z
pa
z
a
z
j
zczc p
j
p
jj
p
p
e
a
z
efzf


Since (z-1) ζ (z) is Analytic and has only Zeros we can use the Hadamard Infinite
Product Expansion
Zeta Function ζ (z) has Order p=0, and
( )
2
1
2
1
0 1 −=−= Bς
The Zero of the Zeta Function ζ (z) are
-Trivial Zeros at z = -2n, n=1,2,…
- Nontrivial Zeros ρ on the Critical Zone 0 < Re ρ < 1
( ) ( )
( )
( )
( )
( )
( )
( )
∏∏
∞
=
−
=
<<
=






+⋅





−−=−
1
2
0
10
2/10
2
1101 1
n
n
z
zofzeros
trivial
z
zofzeros
nontrivial
zc
fzf
e
n
z
e
z
ezz


ς
ρ
ρς
ρ
ς
ρ
ςς
Hadamard Infinite Product Expansion of (z-1) ζ (z) is:
( )
( )
pi
i
f
f
zd
d
c z
i
i
i ,,1,0
!1
: 0
1
1 =
+






= =
+
( ) ( ) ( ) ( ) ( ) ( )
( )
( ) ( ) 12ln
2/1
2/2ln2/1
0
0'0
:
1
0
1
1 −=
+−
=
−
−
=





=
⋅−=
=
π
π
ς
ςςς zzzf
z
f
f
c ( ) ( ) ( )
2
1
0&
2
2ln
0' −=−= ς
π
ς
Riemann's Zeta Function
248
SOLO
Hadamard Infinite Product Expansion of Zeta Function (continue)
Graph showing the Trivial Zeros, the
Critical Strip and the Critical Line
of ζ (z) zeros.
( ) ( )
( )( )
( )
( )
( )
∏∏
∞
=
−
=
<<
−






+⋅





−=−
1
2
0
10
12ln
2
11
2
1
n
n
z
zofzeros
trivial
z
zofzeros
nontrivial
z
e
n
z
e
ze
zz

ς
ρ
ρς
ρ
ς
π
ρ
ς
( ) ∏
∞
=
−






+=
Γ 1
22
2
1
22/
1
n
n
z
z
e
n
z
e
z
z
γ
Hadamard Infinite Product Expansion of (z-1) ζ (z) is:
We found the Weierstrass Expansion for the Gamma Function:
( )
( )( )
( ) ( ) ( )
( )
∏
<<
=
−−






−
+Γ−
=
10
0
2/12ln
1
2/112
ρ
ρς
ρ
γπ
ρ
ς
Re
zz
e
z
zz
e
z






+Γ
=






Γ⋅
=





+
−−
∞
=
−
∏
2
1
22
2
1
22
1
2
z
e
zz
e
e
n
z
zz
n
n
z
γγ
Hadamard (1893) used the Weierstrass product theorem to
derive this result. The plot above shows the convergence of the
formula along the real axis using the first 100 (red), 500
(yellow), 1000 (green), and 2000 (blue) Riemann zeta function
zeros.
Riemann's Zeta Function
Fourier Transform
( ) ( ){ } ( ) ( )∫
+∞
∞−
−== dttjtftfF ωω exp:F
SOLO
Jean Baptiste Joseph
Fourier
1768 - 1830
F (ω) is known as Fourier Integral or Fourier Transform
and is in general complex
( ) ( ) ( ) ( ) ( )[ ]ωφωωωω jAFjFF expImRe =+=
Using the identities
( ) ( )t
d
tj δ
π
ω
ω =∫
+∞
∞− 2
exp
we can find the Inverse Fourier Transform ( ) ( ){ }ωFtf -1
F=
( ) ( ) ( ) ( ) ( )
( ) ( )( ) ( ) ( ) ( ) ( )[ ]00
2
1
2
exp
2
expexp
2
exp
++−=−=−=




−=
∫∫ ∫
∫ ∫∫
∞+
∞−
∞+
∞−
∞+
∞−
+∞
∞−
+∞
∞−
+∞
∞−
tftfdtfd
d
tjf
d
tjdjf
d
tjF
ττδττ
π
ω
τωτ
π
ω
ωττωτ
π
ω
ωω
( ) ( ){ } ( ) ( )∫
+∞
∞−
==
π
ω
ωωω
2
exp:
d
tjFFtf -1
F
( ) ( ) ( ) ( )[ ]00
2
1
++−=−∫
+∞
∞−
tftfdtf ττδτ
If f (t) is continuous at t, i.e. f (t-0) = f (t+0)
This is true if (sufficient not necessary)
f (t) and f ’ (t) are piecewise continue in every finite interval1
2 and converge, i.e. f (t) is absolute integrable in (-∞,∞)( )∫
+∞
∞−
dttf
Fourier TransformSOLO
( )tf
-1
F
F
( )ωFProperties of Fourier Transform
Linearity1
( ) ( ){ } ( ) ( )[ ] ( ) ( ) ( )ωαωαωαααα 221122112211 exp: FFdttjtftftftf +=−+=+ ∫
+∞
∞−
F
Symmetry2
( )tF
-1
F
F
( )ωπ −f2
( ) ( ) ( ) ( ) ( ) ( ) ( ) ( ) ( ) ( ){ }tFdttjtFf
dt
tjtFf
d
tjFtf
t
F=−=−⇒=⇒= ∫∫∫
+∞
∞−
+∞
∞−
↔
+∞
∞−
ωωπ
π
ωω
π
ω
ωω
ω
exp2
2
exp
2
exp
Proof:
Conjugate Functions3
( )tf *
-1
F
F
( )ω−*
F
Proof:
( ) ( ) ( ) ( ) ( ) ( ){ }tf
d
tjF
d
tjFtf ****
2
exp
2
exp 1-
F=−=−= ∫∫
+∞
∞−
→−
+∞
∞−
π
ω
ωω
π
ω
ωω
ωω
Fourier Transform
( ){ } ( ) ( ) ( ) 





=





−=−= ∫∫
+∞
∞−
=
+∞
∞−
a
F
aa
d
a
jfdttjtaftaf
ta
ωτ
τ
ω
τω
τ
1
expexp:F
( ) ( ){ } ( ) ( ) ( ) ( ) ( ) ( ) ( ) ( ){ }ωωωωω
ω
ωω FjdttjjtfF
d
d
dttjtftfF
nn
n
n
−=−−=→−== ∫∫
+∞
∞−
+∞
∞−
FF expexp:
SOLO
( )tf
-1
F
F
( )ωFProperties of Fourier Transform
Scaling4
Derivatives5
Proof:
( )taf
-1
F
F






a
F
a
ω1
Proof:
Corollary: for a = -1
( )tf −
-1
F
F
( )ω−F
( ) ( )tftj
n
−
-1
F
F ( )ω
ω
F
d
d
n
n
( )tf
td
d
n
n
-1
F
F
( ) ( )ωω Fj
n
( ) ( ){ } ( ) ( ) ( ) ( ) ( ) ( ) ( ) ( ){ }ωω
π
ω
ωωω
π
ω
ωωω Fj
d
tjjFtf
td
dd
tjFFtf
nn
n
n
1-1-
FF ==→== ∫∫
+∞
∞−
+∞
∞−
2
exp
2
exp
Fourier TransformSOLO
( )tf
-1
F
F
( )ωFProperties of Fourier Transform
Convolution6
Proof:
( ) ( ) ( ) ( ) ( ) ( ) ( ) ( ) ( )( )
( ) ( ) ( ) ( ) ( ) ( ) ( ) ( ) ( )ωωωττωττωτωτ
ττωττωττττωτττ
τ
212121
212121
expexpexp
expexpexp:
FFFdjfdduujufjf
ddttjtfjfdtdtfftjdtff
ut
=








−=








−−=
−−−−=








−−=








−
∫∫ ∫
∫ ∫∫ ∫∫
∞+
∞−
∞+
∞−
∞+
∞−
=−
+∞
∞−
+∞
∞−
+∞
∞−
+∞
∞−
+∞
∞−
F
( ) ( )tftf 21
-1
F
F ( ) ( )ωω 21
* FF( ) ( ) ( ) ( )∫
+∞
∞−
−= τττ dtfftftf 2121 :*
-1
F
F ( ) ( )ωω 21
FF
The animations above graphically illustrate the convolution of two rectangle functions (left) and two
Gaussians (right). In the plots, the green curve shows the convolution of the blue and red curves as a
function of t, the position indicated by the vertical green line.
The gray region indicates the product as a function of g (τ) f (t-τ) , so its area as a function of t is
precisely the convolution.
http://mathworld.wolfram.com/Convolution.html
Fourier TransformSOLO
( )tf
-1
F
F
( )ωFProperties of Fourier Transform
( ) ( ) ( ) ( )∫∫
+∞
∞−
+∞
∞−
= ωωω
π
dFFdttftf 2
*
12
*
1
2
1
Parseval’s Formula7
Proof:
( ) ( ) ( )∫
+∞
∞−
−= dttjtfF ωω exp11
( ) ( ) ( ) ( ) ( ) ( ) ( ) ( ) ( ) ( )∫∫ ∫∫ ∫∫
+∞
∞−
+∞
∞−
+∞
∞−
+∞
∞−
+∞
∞−
+∞
∞−
=−=−=
π
ω
ωω
π
ω
ωω
π
ω
ωω
22
exp
2
exp 2
*
112
*
2
*
12
*
1
d
FF
d
dttjtfFdt
d
tjFtfdttftf
( ) ( ) ( ) ( ) ( ) ( ) ( ) ( ) ( ) ( )∫∫ ∫∫ ∫∫
+∞
∞−
+∞
∞−
+∞
∞−
+∞
∞−
+∞
∞−
+∞
∞−
−===
π
ω
ωω
π
ω
ωω
π
ω
ωω
22
exp
2
exp 21122121
d
FF
d
dttjtfFdt
d
tjFtfdttftf
( ) ( ) ( )∫
+∞
∞−
−=
π
ω
ωω
2
exp
*
2
*
2
d
tjFtf
( ) ( ) ( ) ( ) ( ) ( )∫∫
+∞
∞−
+∞
∞−
=−→−= dttjtfFdttjtfF ωωωω expexp 1111
( ) ( ) ( ) ( ) ( ) ( )∫∫∫
+∞
∞−
+∞
∞−
+∞
∞−
−=−= ωωω
π
ωωω
π
dFFdFFdttftf 212121
2
1
2
1
Signal Duration and BandwidthSOLO
( )tf
-1
F
F
( )ωFRelationships from Parseval’s Formula
( ) ( ) ( ) ( )∫∫
+∞
∞−
+∞
∞−
= ωωω
π
dFFdttftf 2
*
12
*
1
2
1
Parseval’s Formula7
Choose ( ) ( ) ( ) ( )tstjtftf
m
−== 21
( ) ( ) ,2,1,0
2
1
2
22
== ∫∫
∞+
∞−
∞+
∞−
nd
d
Sd
dttst m
m
m
ω
ω
ω
π
( ) ( )tftj
n
−
-1
F
F ( )ω
ω
F
d
d
n
n
and use 5a
Choose ( ) ( ) ( )
n
n
td
tsd
tftf == 21 and use 5b
( )tf
td
d
n
n
-1
F
F
( ) ( )ωω Fj
n
( ) ( ) ,2,1,0
2
1 22
2
== ∫∫
∞+
∞−
∞+
∞−
ndSdt
td
tsd m
n
n
ωωω
π
Choosec
( ) ( ) ( ) ( ) ( ) ( )  ,2,1,0,,2,1,0
2
* ==





= ∫∫
+∞
∞−
+∞
∞−
mnd
d
Sd
S
j
dt
td
tsd
tstj m
m
n
n
n
n
mm
ω
ω
ω
ωω
π
( ) ( )
n
n
td
tsd
tf =1
( ) ( ) ( )tstjtf
m
−=2
Fourier TransformSOLO
( )tf
-1
F
F
( )ωFProperties of Fourier Transform
Modulation9
Shifting: for any a real8
Proof:
( ) ttf 0cos ω -1
F
F
( ) ( )[ ]00
2
1
ωωωω −++ FF
Proof:
( ) ( )[ ]tjtjt 000 expexp
2
1
cos ωωω −+=
( )atf −
-1
F
F ( ) ( )ωω ajF −exp ( ) ( )tajtf exp
-1
F
F ( )aF −ω
( ){ } ( ) ( ) ( ) ( )( ) ( ) ( )ωωττωτω
τ
Fajdajfdttjatfatf
at
−=+−=−−=− ∫∫
+∞
∞−
=−
+∞
∞−
expexpexp:F
( ) ( ){ } ( ) ( ) ( ) ( ) ( )( ) ( )aFdttajtfdttjtajtftajtf −=−−=−= ∫∫
+∞
∞−
+∞
∞−
ωωω expexpexp:expF
use shifting property with a=±ω0
( )atf −
-1
F
F ( ) ( )ωω ajF −exp
Fourier TransformSOLO
( )tf
-1
F
F
( )ωFProperties of Fourier Transform (Summary)
Linearity1
( ) ( ){ } ( ) ( )[ ] ( ) ( ) ( )ωαωαωαααα 221122112211 exp: FFdttjtftftftf +=−+=+ ∫
+∞
∞−
F
Symmetry2
( )tF
-1
F
F
( )ωπ −f2
Conjugate Functions3 ( )tf *
-1
F
F
( )ω−*
F
Scaling4 ( )taf
-1
F
F






a
F
a
ω1
Derivatives5 ( ) ( )tftj
n
−
-1
F
F ( )ω
ω
F
d
d
n
n
( )tf
td
d
n
n
-1
F
F
( ) ( )ωω Fj
n
Convolution6
( ) ( )tftf 21
-1
F
F ( ) ( )ωω 21
* FF( ) ( ) ( ) ( )∫
+∞
∞−
−= τττ dtfftftf 2121
:*
-1
F
F ( ) ( )ωω 21
FF
( ) ( ) ( ) ( )∫∫
+∞
∞−
+∞
∞−
= ωωω
π
dFFdttftf 2
*
12
*
1
2
1
Parseval’s Formula7
Shifting: for any a real8
( ) ( )tajtf exp
-1
F
F ( )aF −ω
Modulation9 ( ) ttf 0
cos ω -1
F
F
( ) ( )[ ]00
2
1
ωωωω −++ FF
( ) ( ) ( ) ( ) ( ) ( )∫∫∫
+∞
∞−
+∞
∞−
+∞
∞−
−=−= ωωω
π
ωωω
π
dFFdFFdttftf 212121
2
1
2
1
Laplace’s TransformSOLO
Laplace L-Transform (continue – 1)
The Inverse Laplace’s Transform (L -1
) is given by: ( ) ( )∫
∞+
∞−
=
j
j
ts
dsesF
j
tf
π2
1
Using Jordan’s Lemma (see “Complex Variables” presentation or the end of this one)
Jordan’s Lemma Generalization
If |F (z)| ≤ M/Rk
for z = R e iθ
where k > 0 and M are constants, then
for Γ a semicircle arc of radius R, and center at origin:
( ) 00lim <=∫Γ
→∞
mzdzFe zm
R
where Γ is the semicircle, in the left part of z plane.
x
yΓ
R
we can write
( ) ( ){ } ( ) ( )∫∫
∞+
∞−
+
+
===
j
j
tsts
f
f
dsesF
j
dsesF
j
sFtf
σ
σ
ππ 2
1
2
11-L
( ) ( ){ } ( ) ( ) ( )∫∫∫ =+==
∞+
∞−
dsesF
j
dsesF
j
dsesF
j
sFtf ts
C
ts
j
j
ts
πππ 2
1
2
1
2
1
0
  
1-L
If the F (s) has no poles for σ > σf+, according to Cauchy’s Theorem
we can use a closed infinite region to the left of σf+, to obtain
Laplace’s TransformSOLO
Properties of Laplace L-Transform
s - Domaint - Domain
( )tf ( ) ( ) { } +
>= ∫
∞
−
f
st
sdtetfsF σRe
0
1 ( ) { } if
M
i
ii zsFc σmaxRe
1
>∑=
Linearity ( )∑=
M
i
ii tfc
1
3 ( ) ( ) ( )
( ) ( )
( )+−+−+−
−−−− 000 1121 nnnn
ffsfssFs Differentiation
( )
n
n
td
tfd
4 ( ) ( )∫∞−
→ +
+
t
t
df
ss
sF
ξξ
0
lim
1Integration ( )∫∞−
t
df ξξ
5 ( )
s
sFReal Definite
Integration
( )∫
t
df
0
ξξ
( )∫∫
t
ddf
0 0
ξλλ
ξ ( )
2
s
sF
2 





a
s
F
a
1Scaling ( )taf
Laplace’s TransformSOLO
Properties of Laplace L-Transform (continue – 1)
s - Domaint - Domain
( )tf ( ) ( ) { } +
>= ∫
∞
−
f
st
sdtetfsF σRe
0
6 ( )
n
n
sd
sFdMuliplicity by tn
( ) ( )tftn
−
7 ( )∫
∞
0
dssFDivision by t
( )
t
tf
8 ( )sFe sλTime shifting ( ) ( )λλ ±± tutf
9 ( )asF Complex
Translations
( )tfe ta±
10 ( ) ( )sHsF ⋅
Convolution
t - plane
( ) ( ) ( ) ( )∫
∞
−⋅=∗
0
τττ dthfthtf
11 ( ) ( ) ( ) ( )∫
∞+
∞−
−=∗
j
j
dsHF
j
sHsF
j
σ
σ
τττ
ππ 2
1
2
1Convolution
s - plane
( ) ( )thtf ⋅
Laplace’s TransformSOLO
Properties of Laplace L-Transform (continue – 2)
s - Domaint - Domain
( )tf ( ) ( ) { } +
>= ∫
∞
−
f
st
sdtetfsF σRe
0
12 Initial Value Theorem ( ) ( )sFstf
st ∞→→
=+
limlim
0
13 Final Value Theorem ( ) ( )sFstf
st 0
limlim
→∞→
=
14 Parseval’s Theorem
( ) ( ) ( ) ( )
( ) ( ) ( ) ( )∫∫ ∫
∫ ∫∫
∞+
∞−
∞+
∞−
∞
∞ ∞+
∞−
∞
−=−=
−=−
j
j
j
j
ts
j
j
ts
dssGsF
j
dsdtetgsF
j
dttgdsesF
j
dttgtf
σ
σ
σ
σ
σ
σ
ππ
π
2
1
2
1
2
1
0
00
SOLO
Z- Transform and Discrete Functions
Z Transform
The Z- Transform (one-sided) of a sequence { f (nT); n=0,1,… } is defined as :
( ){ } ( ) ( )∑
∞
=
−
==
0
:
n
n
zTnfzFTnfZ
where T, the sampling time, is a positive number.
( )tf
( ) ( )∑
∞
=
−=
0n
T
Tntt δδ
( ) ( ) ( ) ( ) ( )∑
∞
=
−==
0
*
n
T TntTnfttftf δδ
( )tf *
( )tf
T t
( )tf
( ) ( )∑
∞
=
−=
0n
T Tntt δδ
( ) ( ) ( ) ( ) ( )∑
∞
=
−==
0
*
n
T
TntTnfttftf δδ
( )tf *
( )tf
T t
( ) ( ){ } ( ) σσ <== +∫
∞
−
f
ts
dtetftfsF
0
L
SOLO
Sampling and z-Transform
( ) ( ){ } ( ) σδδ <
−
==






−== −
∞
=
−
∞
=
∑∑ 0
1
1
00
sT
n
sTn
n
T
e
eTnttsS LL
( ) ( ){ }
( ) ( ) ( )
( ) ( ){ } ( ) ( )






<<
−
=
=






−
==
−
∞+
∞−
−−
∞
=
−
∞
=
+∫
∑∑
0
00
**
1
1
2
1
σσσξξ
π
δ
δ
ξ
σ
σ
ξ f
j
j
tsT
n
sTn
n
d
e
F
j
ttf
eTnfTntTnf
tfsF
L
L
L
( )
( ) ( )
( )
( )
( )
( )
( )
( )
( )
( )
( )
( )













−
=
−
−
=
−
=
∑∫
∑∫
∑
−−
−
−−
Γ
−−
−−
Γ
−−
∞
=
−
ts
e
ofPoles
tsts
F
ofPoles
tsts
n
nsT
e
F
Resd
e
F
j
e
F
Resd
e
F
j
eTnf
sF
ξ
ξξ
ξ
ξξ
ξ
ξ
ξ
π
ξ
ξ
ξ
π
1
1
0
*
112
1
112
1
2
1
Poles of
( ) Ts
e ξ−−
−1
1
Poles of
( )ξF
planes
T
nsn
π
ξ
2
+=
ωj
ωσ j+
0=s
Laplace Transforms
The signal f (t) is sampled at a time period T.
1Γ
2
Γ
∞→R
∞→R
Poles of
( ) Ts
e ξ−−
−1
1
Poles of
( )ξF
planeξ
T
nsn
π
ξ
2
+=
ωj
ωσ j+
0=s
Z Transform
( )tf
( ) ( )∑
∞
=
−=
0n
T Tntt δδ
( ) ( ) ( ) ( ) ( )∑
∞
=
−==
0
*
n
T
TntTnfttftf δδ
( )tf *
( )tf
T t
SOLO
Sampling and z-Transform (continue – 1)
( ) ( )
( )
( )
( )
( ) ( ) ∑∑
∑∑
∞+
−∞=
∞+
−∞=
−−→
∞+
−∞=
−−
+→
+=
−
−−






+=
−






+
−=






+












−
−−
−=
−
−=
−−
−−
nn
Tse
n
ts
T
n
js
T
n
js
e
ofPoles
ts
T
n
jsF
TeT
T
n
jsF
T
n
jsF
e
T
n
js
e
F
RessF
ts
n
ts
π
π
π
π
ξ
ξ
ξ
ξπ
ξ
π
ξ
ξ
ξ
ξ
21
2
lim
2
1
2
lim
1
1
2
2
1
1
*
Poles of
( )ξF
ωj
σ
0=s
T
π2
T
π2
T
π2
Poles of
( )ξ*
F plane
js ωσ +=
The signal f (t) is sampled at a time period T.
The poles of are given by( )ts
e ξ−−
−1
1
( )
( )
T
n
jsnjTsee n
njTs π
ξπξπξ 2
21 2
+=⇒=−−⇒==−−
( ) ∑
+∞
−∞=






+=
n T
n
jsF
T
sF
π21*
Z Transform
SOLO
F F-1
frequency-B/2 B/2
B
F F-1
-B/2 B/2
B
1/Ts-1/Ts frequency
Sample
Sampling a function at an interval Ts (in time domain)
Anti-aliasing filters is used to enforce band-limited assumption.
causes it to be replicated
at
1/ Ts intervals in the other (frequency) domain.
Sampling and z-Transform (continue – 2)
Z Transform
( )tf
( ) ( )∑
∞
=
−=
0n
T Tntt δδ
( ) ( ) ( ) ( ) ( )∑
∞
=
−==
0
*
n
T
TntTnfttftf δδ
( )tf *
( )tf
T t
SOLO
Sampling and z-Transform (continue – 3)
0=z
planez
Poles of
( )zF
C
The signal f (t) is sampled at a time period T.
The z-Transform is defined as:
( ){ } ( ) ( )
( )
( ) ( )
( )








−
−===
∑
∑
=
−
→
∞
=
−
=
iF
iF
i
iF
Ts
FofPoles
T
F
n
n
ze
ze
F
zTnf
zFsFtf
ξξ
ξ
ξ
ξξ
ξξξ
1
0
*
1
lim:Z
( )
( )





<
>≥
= ∫
−
00
0
2
1 1
n
RzndzzzF
jTnf
fC
C
n
π
Z Transform
SOLO
Sampling and z-Transform (continue – 4)
( ) ( ) ( )∑∑
∞
=
−
+∞
−∞=
=





+=
0
* 21
n
nsT
n
eTnf
T
n
jsF
T
sF
πWe found
The δ (t) function we have:
( ) 1=∫
+∞
∞−
dttδ ( ) ( ) ( )τδτ fdtttf =−∫
+∞
∞−
The following series is a periodic function: ( ) ( )∑ −=
n
Tnttd δ:
therefore it can be developed in a Fourier series:
( ) ( ) ∑∑ 





−=−=
n
n
n T
tn
jCTnttd πδ 2exp:
where: ( )
T
dt
T
tn
jt
T
C
T
T
n
1
2exp
1
2/
2/
=





= ∫
+
−
πδ
Therefore we obtain the following identity:
( )∑∑ −=





−
nn
TntT
T
tn
j δπ2exp
Second Way
Z Transform
( ) ( ){ } ( ) ( )∫
+∞
∞−
−== dttjtftfF νπνπ 2exp:2 F
( ) ( ) ( )∑∑
∞
=
−
+∞
−∞=
=





+=
0
* 21
n
nsT
n
eTnf
T
n
jsF
T
sF
π
( ) ( ){ } ( ) ( )∫
+∞
∞−
== ννπνπνπ dtjFFtf 2exp2:2-1
F
SOLO
Sampling and z-Transform (continue – 5)
We found
Using the definition of the Fourier Transform and it’s inverse:
we obtain ( ) ( ) ( )∫
+∞
∞−
= ννπνπ dTnjFTnf 2exp2
( ) ( ) ( ) ( ) ( ) ( )∑∫∑
∞
=
+∞
∞−
∞
=
−=−=
0
111
0
*
exp2exp2exp
nn
n
sTndTnjFsTTnfsF ννπνπ
( ) ( ) ( )[ ]∫ ∑
+∞
∞−
+∞
−∞=
−−== 111
*
2exp22 νννπνπνπ dTnjFjsF
n
( ) ( ) ∑∫ ∑
+∞
−∞=
+∞
∞−
+∞
−∞=












−=





−−==
nn T
n
F
T
d
T
n
T
FjsF νπνννδνπνπ 2
11
22 111
*
We recovered (with –n instead of n) ( ) ∑
+∞
−∞=






+=
n T
n
jsF
T
sF
π21*
Second Way (continue)
Making use of the identity: with 1/T instead of T
and ν - ν 1 instead of t we obtain: ( )[ ] ∑∑ 





−−=−−
nn T
n
T
Tnj 11
1
2exp ννδννπ
( )∑∑ −=





−
nn
TntT
T
tn
j δπ2exp
Z Transform
Z TransformSOLO
Properties of Z-Transform Functions
Z - Domaink - Domain
( )kf ( ) ( ) −+
∞
=
−
<<= ∑ ff
k
k
rzrzkfzF
0
1 ( ) −+
<<∑=
ii ff
M
i
ii rzrzFc minmax
1
Linearity ( )∑=
M
i
ii kfc
1
2 ( ) ( ) ,2,10 ==−− kkfmkf ( )zFz m−
Shifting
( )mkf − ( ) ( ) ( )
∑=
−−−
−+
m
k
kmm
zkfzFz
1
( )mkf + ( ) ( ) ( )
∑=
−
−
m
k
kmm
zkfzFz
1
( )1+kf ( ) ( )0fzFz −
3 Scaling ( )kfak ( ) ( ) ( ) −+
∞
=
−−−
<<= ∑ ff
k
k
razrazakfzaF
0
11
Z TransformSOLO
Properties of Z-Transform Functions (continue – 1)
4 Periodic Sequence ( )kf
( ) ( ) −+ <<
−
111
1
ffN
N
rzrzF
z
z
N = number of units in a period
Rf1- ,+ = radiuses of convergence in F(1) (z)
F(1) (z) = Z -Transform of the first period
5 Multiplication by k ( )kfk
( )
−+ <<− ff rzr
zd
zFd
z
6 Convolution ( ) ( ) ( ) ( )∑
∞
=
−=∗
0
:
m
mkhmfkhkf ( ) ( ) ( ) ( )−−++ <<⋅ hfhf rrzrrzHzF ,min,max
7 Initial Value ( ) ( )zFf
z ∞→
= lim0
8 Final Value ( ) ( ) ( ) ( ) existsfifzFzkf
zk
∞−=
→∞→
1limlim
1
Z - Domaink - Domain
( )kf ( ) ( ) −+
∞
=
−
<<= ∑ ff
k
k
rzrzkfzF
0
Z TransformSOLO
Properties of Z-Transform Functions (continue – 2)
9 Complex Conjugate ( )kf *
( ) −+ << ff rzrzF **
10 Product ( ) ( )khkf ⋅ ( ) ( ) −−++
−
<=<∫ hfhf
C
rrzrr
z
zd
zHzF
j
,1,
2
1 1
π
12 Correlation
( ) ( ) ( ) ( ) ( ) ( ) 1,1,
2
1 11
0
≥<=<=−⋅=⊗ −−++
−−
∞
=
∫∑ krrzrr
z
zd
zzHzF
j
kmhmfkhkf hfhf
C
k
m π
11 Parceval’s Theorem
( ) ( ) ( ) ( ) −−++
−
∞
=
<=<=⋅ ∫∑ hfhf
Ck
rrzrr
z
zd
zHzF
j
khkf ,1,
2
1 1
0 π
Z - Domaink - Domain
( )kf ( ) ( ) −+
∞
=
−
<<= ∑ ff
k
k
rzrzkfzF
0
Z TransformSOLO
Table of Z-Transform Functions
Z - Domain
k - Domain
( )kf ( ) ( ) f
k
k
RzzkfzF >= ∑
∞
=
−
0
1
( )mkf + ( ) ( ) ( ) ( )[ ]110 11
−−−−− +−−
mfzfzfzFz mm
2
( )mkf − ( )zFz m−
3
( ) ( ) ( )kfkfkf −+=∆ 1: ( ) ( ) ( )01 fzzFz −−4
( ) ( ) ( ) ( )kfkfkfkf ++−+=∆ 122:2
( ) ( ) ( ) ( ) ( )1021
2
fzfzzzFz −−−−5
( )kf3
∆ ( ) ( ) ( ) ( ) ( ) ( ) ( )2130331 23
fzfzzfzzzzFz −−−+−−−6
272
SOLO
Mellin Transform
( ){ } ( ) ( )∫
∞
−
==
0
1
xdxfxsFxf s
MM
We can get the Mellin Transform from the two side Laplace Transform
Robert Hjalmar Mellin
( 1854 – 1933)
( ){ } ( ) ( )∫
∞
∞−
−
== xdxfesFxf sx
2LL2
( ){ } ( ) ( )
( ) ( )1
0
11
0
1
+=== ∫∫
∞
−+
∞
−
sFxdxfxxdxfxxxfx ss
MM
( ){ } ( ) ( )∫
∞+
∞−
−
==
ic
ic
s
sdsFx
i
x M
1-
fsfM
π2
1
Example:
{ } ( )sxdexe xsx
Γ== ∫
∞
−−−
0
1
M
( ) x
exf −
=
273
SOLO
Mellin Transform (continue – 1)
( ){ } ( ) ( )∫
∞
−
==
0
1
xdxfxsFxf s
MM
Relation to Two-Sided Laplace Transformation
Robert Hjalmar Mellin
( 1854 – 1933)
tdexdex tt −−
−== ,
Let perform the coordinate transformation
( ) ( )
( ) ( ) ( )∫∫∫
∞
∞−
−−
−∞
∞
−−
∞
−−−−
=−=−= tdeeftdeeftdeefesF tsttstttst
0
1
M
After the change of functions ( ) ( )t
eftg −
=:
( ) ( ) ( ) ( )∫∫
∞
∞−
−
∞
∞−
−−
=== tdetgsGtdeefsF tstst
2LM
Inversion Formula
( ) ( ) ( ) ( ) ( )xfefsdxsF
i
sdesG
i
tg
xe
t
ic
ic
s
exic
ic
ts
tt
=
−
∞+
∞−
−
=∞+
∞−
−−−
==== ∫∫ ML
L
2
1
2
ππ 2
1
2
1
Mellin Transform
274
SOLO
Properties of Mellin Transform (continue – 2)
( ) ( ){ } ( ) ( )
( ) ( )
( ) ( )
( ) ( )
( ) ( ) ( )
( ) ( ) ( )
( ) ( ) ( ) ( )
( ) ( ) ( ) ( )
( ) ( ) ( ) f
kk
k
k
fk
k
k
k
f
z
fk
k
k
f
a
f
f
s
SszsFstf
td
d
t
sksksks
SkszsFkstf
td
d
SzszsFCztft
SssF
sd
d
tft
SsasFaRatf
SsFaataf
SsFtf
HolomorphyofStriptdtftsFtftf
∈+−





−+−−=−
∈−+−−
∈++∈
∈
∈≠∈
>
==>
−−
−
∞
−
∫
M
M
M
M
M
M
M
MM0t,
1
11:
1
,
ln
0,,
0,
11
1
0
1

Original Function Mellin Transform Strip of Convergence
Mellin Transform
275
SOLO
Properties of Mellin Transform (continue – 3)
( ) ( ){ } ( ) ( )
( ) ( )
( )( ) ( ) ( ) ( )
( ) ( ) ( ) ( )
( ) ( ) ( )
( ) ( ) ( )
( ) ( )
( ) ( )
( ) ( ) ( ) ( ) ( ) 21
0
21
1
0
1
0
1
//
1
1
11:
1
11:
1
ff
t
t
k
f
kk
k
k
k
k
fk
kk
k
k
f
s
SSssFsFxxdxtfxf
sFsxdxf
sFsxdxf
kssss
SssFstf
td
d
t
sksksks
SssFkstft
td
d
SsFtf
HolomorphyofStriptdtftsFtftf



∈⋅
+−
+
−++=
∈−
−+−−=−
∈−−
==>
∫
∫
∫
∫
∞
−
−
∞
∞
−
M2M1
M
M
M
M
M
MM0t,
Original Function Mellin Transform Strip of Convergence
Mellin Transform
276
Hilbert Transform
SOLO
F (u) a analytical function in the right half u plan including infinity.
According to Cauchy theorem:
( ) ( )
∫ −
=
C
dz
sz
zF
j
sF
π2
1
s
R
θ
1
C
2
C
s
*
s
*
s−
complex
plane
complex
plane
Let take the point –s* , where s* is the complex conjugate of s. Since –s* is outside the
contour C, we have
( )
( )∫ −−
=
C
dz
sz
zF
j *2
1
0
π
By adding and subtracting those two relations we obtain:
( ) ( ) ( )∫∫ 





+
−
−
=





+
+
−
=
CC
dzzF
szszj
dzzF
szszj
sF
*
11
2
1
*
11
2
1
ππ
where C = C1 + C2 is a closed curve composed by
- C1 a semicircle in the right half plane
- C2 a straight line on the imaginary axis of the
complex plane
Augustin Louis Cauchy
)1789-1857(
277
SOLO
Let compute the integrals:
s
R
θ
1C
2C
s
*
s
*
s−
complex
plane
complex
plane
along C1, assuming R → ∞ we have
( )θjRszsz exp
1
*
11
≈
+
≈
−
( ) ( ) ( )∫∫ 





+
−
−
=





+
+
−
=
CC
dzzF
szszj
dzzF
szszj
sF
*
11
2
1
*
11
2
1
ππ
( ) θθ djRjzd exp=
( ) ( )[ ] ( ) 0exp2
2
1
lim
*
11
2
1
2
2
1
1
∞
−
→∞
=∞==





+
+
−
= ∫∫
atanalyticF
R
C
FdjRFj
j
dzzF
szszj
I
π
π
θθ
ππ
( ) 0
*
11
2
1
1
3 =





+
−
−
= ∫C
dzzF
szszj
I
π
along C2, assuming R → ∞ we have
( )
( )( )
( ) ( )
( )
( )∫∫∫
∞
∞−
=
−=
+=
∞
∞−
−+
−
=
+−
+−
=





+
+
−
=
j
j
vjz
js
js
j
jC
vdvjF
v
vj
zdzF
szsz
ssz
j
dzzF
szszj
I 22
*
2
1
*
*2
2
1
*
11
2
1
2
ωσ
ω
πππ ωσ
ωσ
( )
( )( )
( )
( )
( )∫∫∫
∞
∞−
=
−=
+=
∞
∞−
−+
=
+−
+
=





+
−
−
=
j
j
vjz
js
js
j
jC
vdvjF
v
dzzF
szsz
ss
j
dzzF
szszj
I 22
*
4
1
*
*
2
1
*
11
2
1
2
ωσ
σ
πππ ωσ
ωσ
( ) ( )
( )
( )
( )
( )∫∫
∞
∞−
∞
∞−
−+
=
−+
−
=
j
j
j
j
vdvjF
v
vdvjF
v
vj
sF 2222
11
ωσ
σ
πωσ
ω
π
Hilbert Transform
278
SOLO
Let write
( ) ( )
( )
( ) ( )
( )
( )∫∫
∞
∞−
∞
∞−
−+
=∞+
−+
−
=
j
j
j
j
vdvjF
v
FvdvjF
v
vj
sF 2222
11
ωσ
σ
πωσ
ω
π
( ) ( )[ ] ( )[ ]ωσωσωσ jFjjFjF +++=+ ImRe
( ){ } ( )[ ] ( )
( )
( )[ ] ( )[ ]( )
( )
( )[ ] ( )[ ]( )∫
∫
∞
∞−
∞
∞−
+
−+
=
+
−+
−
=+++
j
j
j
j
vdjFjjF
v
vdjFjjF
v
vj
jFjjF
νν
ωσ
σ
π
νν
ωσ
ω
π
ωσωσ
ImRe
1
ImRe
1
ImRe
22
22
We obtain
By equaling the real and imaginary parts we obtain
( )[ ] ( )
( )
( )[ ]
( )
( )[ ]∫∫
∞
∞−
∞
∞−
−+
=
−+
−
=+
j
j
j
j
vdvjF
v
vdvjF
v
v
jF Re
1
Im
1
Re 2222
ωσ
σ
πωσ
ω
π
ωσ
( )[ ] ( )
( )
( )[ ]
( )
( )[ ]∫∫
∞
∞−
∞
∞−
−+
=
−+
−
=+
j
j
j
j
vdvjF
v
vdvjF
v
v
jF Im
1
Re
1
Im 2222
ωσ
σ
πωσ
ω
π
ωσ
From those relation we can see that if F (s) is analytic in the right half plane,
then it is enough to know it’s value on the imaginary axis to compute F (s) in
the entire right half plane.
Hilbert Transform
279
SOLO
We are interested in cases when σ = 0, i.e. points on the imaginary axis. In this
case:
( )[ ] ( )
( )
( )[ ]
( )
( )[ ]∫∫
∞
∞−
∞
∞−
−+
=
−+
−
=+
j
j
j
j
vdvjF
v
vdvjF
v
v
jF Re
1
Im
1
Re 2222
ωσ
σ
πωσ
ω
π
ωσ
( )[ ] ( )
( )
( )[ ]
( )
( )[ ]∫∫
∞
∞−
∞
∞−
−+
=
−+
−
=+
j
j
j
j
vdvjF
v
vdvjF
v
v
jF Im
1
Re
1
Im 2222
ωσ
σ
πωσ
ω
π
ωσ
It seams that we have a singular point ν = ω, on the path of integration, but we
will see how this can be taken care.
( )[ ] ( )[ ]
( )∫
∞
∞−
−
=
j
j
vd
v
vjF
jF
ωπ
ω
Im1
Re
( )[ ] ( )[ ]
( )∫
∞
∞−
−
=
j
j
vd
v
vjF
jF
ωπ
ω
Re1
Im
Hilbert Transform
280
SOLO
Suppose that F (z) is an analytic function
on the lower (or upper) half complex plane. ( )νRe
( )νIm
ω εω +εω −
R
RR−
'C
C
ε
We can write
( ) ( ) ( ) ( ) ( )
∫∫∫∫∫ +
−
−
−
+
−
+
−
+
−
=
−
=
R
CRC
d
jF
d
jF
d
jF
d
jF
d
jF
εω
εω
ν
νω
ν
ν
νω
ν
ν
νω
ν
ν
νω
ν
ν
νω
ν
'
0
( ) 0lim
'
=
−∫→∞
C
d
jF
ν
νω
ν
ν
Now
( ) ( ) ( ) ( ) ( ) ( )ωπθω
ε
ε
ω
νω
ν
ων
νω
ν
π
π
θ
θ
jFjdjFj
e
ed
jF
d
jFd
jF
C
j
j
CC
===
−
=
− ∫∫∫∫
2
Therefore ( ) ( ) ( )








−
+
−
= ∫∫ +
−
−
→→∞
R
R
R
d
jF
d
jFj
jF
εω
εω
ε
ν
νω
ν
ν
νω
ν
π
ω 0
limlim
Define Cauchy Principal Value( ) ( ) ( )








+= ∫∫∫ +
−
−
→
−
R
R
R
R
dqdqdqPV
εω
εω
ε
νννννν 0
lim:
( ) ( )








−
= ∫
∞
∞−
ν
νω
ν
π
ω d
jF
PV
j
jF
From the development we can see that the limit exist and are
finite, therefore we removed the singularity at ν = ω. Augustin Louis Cauchy
)1789-1857(
Hilbert Transform
281
SOLO
Suppose that F (z) is an analytic function
on the lower (or upper) half complex plane.
We can write
( ) ( )[ ] ( )[ ] ( )[ ] ( )[ ]








−
+








−
−=+= ∫∫
∞
∞−
∞
∞−
ν
νωπ
ν
νωπ
ωωω d
vjF
PV
j
d
vjF
PVjFjjFjF
ReIm1
ImRe
Comparing real and imaginary parts we obtain
( )[ ] ( )[ ] ( )[ ]{ }
( )[ ] ( )[ ] ( )[ ]{ }ων
νωπ
ω
ων
νωπ
ω
jFd
vjF
PVjF
jFd
vjF
PVjF
Re
Re1
Im
Im
Im1
Re
H
H
=








−
=
−=








−
−=
∫
∫
∞
∞−
∞
∞−
Where H stands for Hilbert Transform.
( ) ( )








−
= ∫
∞
∞−
ν
νω
ν
π
ω d
jF
PV
j
jF
( )νRe
( )νIm
ω εω +εω −
R
RR−
'C
C
ε
David Hilbert
1862 - 1943
Return to Table of Contents
Hilbert Transform
282
SOLO
References
[2] Churchill, R.V., “Complex Variables and Applications”, McGraw-Hill, Kõgakusha’
1960
[3] Spiegel, M.R., “Complex Variables with an introduction to Conformal Mapping
and its applications”, Schaum’s Outline Series, McGraw-Hill, 1964
[4] Hauser, A.A., “Complex Variables with Physical Applications”, Simon & Schuster,
1971
[5] Fisher, S.D., “Complex Variables”, Wadsworth & Brooks/Cole Mathematics Series,
1986
Complex Variables
[6] Tristan, N., “Visual Complex Analysis”, Clarendon Press, Oxford, 1997
[1] E.C. Titchmarsh, “The Theory of Functions”, Oxford University Press, 2nd
Ed., 1939
http://www.ima.umn.edu/~arnold/complex.html
SOLO
References (continue - 1)
Complex Variables
F.B. Hildebrand, “Advanced Calculus for Applications”, 2nd
Ed., Prentice Hall,
1976, Ch.10, “Functions of a Complex Variable”
http://en.wikipedia.org/wiki/
G.B. Arfken, H.J. Weber, “Mathematical Methods for Physicists”, Academic Press,
Fifth Ed., 2001
Sokolnikoff, I.S., Redheffer, R.M., “Mathematics of Physics and Modern Engineering”,
2nd
Ed., McGraw Hill, Kõgakusha, 1966
Walter Rudin, “Real and Complex Analysis”, 2nd
Ed., McGraw Hill,1974
Marco M. Peloso, “Complex Analysis”, January 21, 2011, University of Milano
http://www.math.umn.edu/~garrett/m/complex/
Wilhelm Schlag, “A Concise Course in Complex Analysis and Riemann Surfaces”,
University of Chicago
Alexander D. Poularikas, Ed., “Transforms and Applications Handbook”, 3th
Edition, CRC Press, 2010
SOLO
References (continue -2)
Complex Variables
S. Hermelin, “Fourier Transform”
S. Hermelin, “Gamma Function”
S. Hermelin, “Primes”
S. Hermelin, “Hilbert Transform”
S. Hermelin, “Z Transform”
January 5, 2015 285
SOLO
Technion
Israeli Institute of Technology
1964 – 1968 BSc EE
1968 – 1971 MSc EE
Israeli Air Force
1970 – 1974
RAFAEL
Israeli Armament Development Authority
1974 – 2013
Stanford University
1983 – 1986 PhD AA
Complex Variables
286
SOLO
Laplace Fields (general three dimensional)
Vector Analysis
A vector field is said to be a Laplace Field if( )rAA

=
( ) 0=⋅∇ rA

In this case we have
and
( ) ( ) ( ) 022
00
2






=∇→−∇=∇⋅∇−⋅∇∇=×∇×∇
∇
AAAAA
( ) 0=×∇ rA

Harmonic Functions
A continuous function φ with continuous first and second partial derivatives is said
to be harmonic if it satisfies Laplace’s Equation 02
=∇ ϕ
Properties of Harmonic Functions
Pierre-Simon Laplace
1749-1827
022
=∇=∇ ψϕ
2
1 0=
∂
∂
∫∫S
dS
n
ϕ
∫∫∫∫ ∂
∂
=
∂
∂
SS
dS
n
dS
n
ϕ
ψ
ψ
ϕ
General Three Dimensional Complex function
If φ ‘(z) is analytical inside and on C
( ) 0=∫C
dz
zd
zd ϕ
Cauchy’s Th.
C
R
If φ ,φ’, ψ, ψ’ are analytical inside and on C
( )
∫∫∫ +==
CCC
dz
zd
d
dz
zd
d
dz
zd
d ϕ
ψ
ψ
ϕ
ψϕ
0
see
Vector Analysis.ppt
287
SOLO Vector Analysis
Harmonic Functions (continue 1)
A continuous function φ with continuous first and second partial derivatives is said
to be harmonic if it satisfies Laplace’s Equation 02
=∇ ϕ
Properties of Harmonic Functions (continue – 1)
3 A function φ harmonic in a volume
V can be expressed in terms of the
function and its normal derivative
on the surface S bounding V.
( ) ∫∫ 















−∂
∂
−
∂
∂
−
=
S SFSF
F dS
rrnnrr
T
r
11
4
ϕ
ϕ
π
ϕ

where
VoutsidendSndS
SonF
VinF
T
→→→
=




= 11
2
1
1
General Three Dimensional Complex function
If φ (z) is analytic inside and on a
simple closed curve C and a is any
point inside C then
( ) ( )
∫ −
=
C
dz
az
z
i
a
ϕ
π
ϕ
2
1
Cauchy’s Integral Formula
C
x
y
R
a
Γ
see
Vector Analysis.ppt
288
SOLO Vector Analysis
Harmonic Functions (continue 2)
A continuous function φ with continuous first and second partial derivatives is said
to be harmonic if it satisfies Laplace’s Equation 02
=∇ ϕ
Properties of Harmonic Functions (continue – 2)
RS
dSn
→
1
V
Fr

Sr

F
SF
rrR

−=
4
If the surface S is a sphere SR of radius R
with center at then
( ) ∫∫=
RS
RF
dS
R
r ϕ
π
ϕ 2
4
1
Fr
 If f (z) is analytic inside and
on a circle C of radius r and
center at z = a, then
Complex functionGeneral Three Dimensional
( ) ( )
( )∫
∫
+=
−
=
=−
π
θ
θϕ
π
ϕ
π
ϕ
θ
2
0
2
1
2
1
dera
dz
az
z
i
a
i
eraz
C
i
C
x
y
a
r
see
Vector Analysis.ppt
289
SOLO Vector Analysis
Harmonic Functions (continue 3)
A continuous function φ with continuous first and second partial derivatives is said
to be harmonic if it satisfies Laplace’s Equation 02
=∇ ϕ
Properties of Harmonic Functions (continue – 3)
RS
dSn
→
1
V
Fr

Sr

F
SF
rrR

−=
5 If φ is harmonic in a volume V bounded
by the surface S and if φ = c = constant
at every point on S, then φ = c at every point
of V.
Complex functionGeneral Three Dimensional
Gauss’ Mean Value Theorem
If φ (z) is analytic inside and
on a closed curve C and
φ (z) =c =constant at every
point on C, then φ (a) = c at
every point inside C, i.e.,
( ) ( )
Cinsidezcd
c
dz
azi
c
dz
az
z
i
a
i
eraz
CC
∀==
−
=
−
=
∫
∫∫
=−
π
θ
π
π
ϕ
π
ϕ
θ
2
0
2
1
22
1
C
x
y
R
a
Γ
If φ is harmonic in a region V
bounded by a surface S and ∂ φ/∂ n = 0
at every point of S, then φ = constant at
every point of V.
6
see
Vector Analysis.ppt
290
SOLO Vector Analysis
Harmonic Functions (continue 4)
A continuous function φ with continuous first and second partial derivatives is said
to be harmonic if it satisfies Laplace’s Equation 02
=∇ ϕ
Properties of Harmonic Functions (continue – 4)
A non-constant function φ
harmonic in a region V can have
neither a maximum nor a minimum
in V. S
dSn
→
1
V
Fr

Sr

SF rrr

−= SδF
7 Maximum Modulus Theorem
If f (z) is analytic inside and on a
simple closed curve C and is not
identically equal to a constant, then
the maximum value of | f (z) | occurs
on C.
Complex functionGeneral Three Dimensional
Minimum Modulus Theorem
If f (z) is analytic inside and on a
simple closed curve C and f (z) ≠ 0
inside C then | f (z) | assumes its
minimum value on C.
see
Vector Analysis.ppt
291
SOLO Vector Analysis
Harmonic Functions (continue 5)
A continuous function φ with continuous first and second partial derivatives is said
to be harmonic if it satisfies Laplace’s Equation 02
=∇ ϕ
Properties of Harmonic Functions (continue – 5)
8 If φ1 and φ2 are two solutions of
Laplace’s equation in a volume V
whose normal derivatives take the
same value ∂ φ1/∂ n = ∂ φ2/∂ n on the
surface S bounding V, then φ1 and φ2
can differ only by a constant.
S
dSn
→
1
V
Fr

Sr

FSF rrr

−=
0=
∂
∂
S
n
ϕ
Table of Contents
Complex functionGeneral Three Dimensional
If φ1 and φ2 are two analytic functions
inside a curve C whose derivatives take
the same value ∂ φ1/∂ n = ∂ φ2/∂ n on
C, then φ1 and φ2 can differ only by a
constant.
( ) ( )
( ) ( )
∫
∫
−
=
−
=
C
C
dz
az
z
i
a
dz
az
z
i
a
'
2
1
'
'
2
1
'
2
2
1
1
ϕ
π
ϕ
ϕ
π
ϕ
( ) ( ) Cinsideaaa ∀= '' 21
ϕϕ
( ) ( ) Cinsideaconstaa ∀+= 21
ϕϕ
( ) ( )
Cona
zz
∀
= '' 21
ϕϕ
see
Vector Analysis.ppt
292
SOLO Complex Variables
Blaschke Products
Wilhelm Johann Eugen
Blaschke
(1885 - 1962,)
A sequence of points (an) inside the unit disk is said to satisfy the
Blaschke Condition when
Given a sequence obeying the Blaschke Condition, the Blaschke
Product is defined as
provided a n≠ 0. Here an
*
is the complex conjugate of an. When an = 0 take B(0,z) = z.
The Blaschke Product B(z) defines a function analytic in the open unit disc, and
zero exactly at the an (with multiplicity counted): furthermore it is in the Hardy
class H∞
.
The sequence of an satisfying the convergence criterion above is sometimes called
a Blaschke Sequence.
( ) ∞<−∑n
na1
( )
( )
∏ ⋅−
−
⋅=
n
znB
n
n
n
n
za
za
a
a
zB
  
,
*1

Mathematics and History of Complex Variables

  • 1.
    1 Complex Variables SOLO HERMELIN Updated:11.05.07 28.10.12 http://www.solohermelin.com
  • 2.
    2 SOLO Complex Variables Tableof Contents Set of Numbers – Examples Fundamentals Operations with Complex Numbers z = x + i y Axiomatic Foundations of the Complex Number System ( ) R∈= babaz ,, History of Complex Numbers Derivatives Cauchy-Riemann Equations Harmonic Functions Orthogonal Families Singular Points Complex Line Integrals Simply and Multiply Connected Regions Green’s Theorem in the Plane Consequences of Green’s Theorem in the Plane Cauchy’s Theorem Cauchy-Goursat Theorem Consequences of Cauchy-Goursat Theorem
  • 3.
    SOLO Complex Variables Tableof Contents (continue - 1) Cauchy’s Integral Formulas and Related Theorems Cauchy’s Integral Formulas Cauchy’s Integral Formulas for the n Derivative of a Function Morera’s Theorem (the converse of Cauchy’s theorem) Cauchy’s Inequality Liouville’s Theorem Foundamental Theorem of Algebra Gauss’ Mean Value Theorem Maximum Modulus Theorem Minimum Modulus Theorem Poisson’s Integral Formulas for a Circle Poisson’s Integral Formulas for a Half Plane
  • 4.
    4 SOLO Complex Variables Tableof Contents (continue - 2) Theorems of Convergence of Sequences and Series Convergence Tests Cauchy Root Test D’Alembert or Cauchy Ratio Test Maclaurin or Euler Integral Test Kummer’s Test Raabe’s Test Gauss’ s Test Infinite Series, Taylor’s and Laurent Series Infinite Series of Functions Absolute Convergence of Series of Functions Uniformly Convergence of Sequences and Series Weierstrass M (Majorant) Test Abel’s Test Uniformly Convergent Series of Analytic Functions Taylor’s Series Laurent’s Series (1843)
  • 5.
    5 SOLO Complex Variables Tableof Contents (continue - 3) 5 The Argument Theorem Rouché’s Theorem Foundamental Theorem of Algebra (using Rouché’s Theorem) Zeros of Holomorphic Functions Theorem: f(z) Analytic and Nonzero → ln|f(z)| Harmonic Polynomial Theorem Jensen’s Formula Poisson-Jensen’s Formula for a Disk
  • 6.
    6 SOLO Complex Variables Tableof Contents (continue - 4) Calculation of the Residues The Residue Theorem, Evaluations of Integral and Series The Residue Theorem Evaluation of Integrals Jordan’s Lemma Integral of the Type Bromwwich-Wagner Integral of the Type ,F (sin θ, cos θ) is a rational function of sin θ and cos θ ( )∫ π θθθ 2 0 cos,sin dF Definite Integrals of the Type .( )∫ +∞ ∞− xdxF Cauchy’s Principal Value Differentiation Under Integral Sign, Leibnitz’s Rule Summation of Series Infinite Products The Mittag-Leffler and Weierstrass , Hadamard Theorems The Weierstrass Factorization Theorem The Hadamard Factorization Theorem Mittag-Leffler’s Expansion Theorem Analytic Continuation Conformal Mapping
  • 7.
    7 SOLO Complex Variables DouglasN. Arnold Gamma Function Bernoulli Numbers Fourier Transform Laplace Transform Z Transform Mellin Transform Hilbert Transform Zeta Function Table of Contents (continue - 5) Applications of Complex Analysis References
  • 8.
    8 SOLO Algebra Set ofNumbers – Examples { }+∞<<∞−= xnumberrealaisxx ,:R Set of real numbers { }+∞<<−∞−=+== yxiyixznumbercomplexaiszzC ,,1,,: Set of complex numbers { } ,3,2,1,0,1,2,3,,: −−−= integeranisiiZ Set of integers { },3,2,1,0,0: integernaturalaisnnN ≥= Set of positive integers or natural numbers { }0,,,/: ≠∈== qZqpwhereqprrQ Set of rational numbers We have: CZN ⊂⊂⊂ R { }QxxIR −∈= R: Set of irrational numbers ∅== IRQIRQ  &R
  • 9.
    9 SOLO Complex Variables Complexnumbers can result by solving algebraic equations a cabb x 2 42 1 −−− = a cabb x 2 42 2 −+− = 042 >−=∆ cab a b xx 2 21 − == 042 =−=∆ cab 042 <−=∆ caby x cxbxay ++= 2 a bcaib x 2 4 2 2,1 −+− = y x dxcxbxay +++= 23 Three real roots for y = 0 One real & two complex roots for y = 0 πki ez 25 1== y x 5 2 2 π i ez = 5 2 2 2 π i ez = 5 2 3 3 π i ez = 5 2 4 4 π i ez = 11 =z  72  72  72  72  72 1. Quadratic equations 2. Cubic equations 3. Equation Examples 02 =++ cxbxa 023 =+++ dxcxbxa 015 =−x Return to Table of Contents
  • 10.
    10 SOLO Complex Variables FundamentalsOperations with Complex Numbers z = x + i y ( ) 1 ,sincos , 2 −=    ==+ ==+ = i ArgumentModulusi partImaginaryypartRealxyix z θρθθρ θ ρ i eyixz =+= y x ρ θ Division Addition ( ) ( ) ( ) ( )dbicadicbia +++=+++ Subtraction ( ) ( ) ( ) ( )dbicadicbia −+−=+−+ Multiplication ( ) ( ) ( ) ( )cbdaidbcadbicbidaicadicbia ++−=+++=++ 2 ( ) ( ) ( ) ( ) ( ) ( ) ( ) ( ) ( ) ( )dccdidc dacbidbca dic dic dic bia dic bia −++ −++ = − − + + = + + 22 ( ) ( ) ( ) ( ) ( ) ( ) 022 2222 ≠+ + − + + + = + + dc dc dacb i dc dbca dic bia Conjugate ( )θθρ sincos:* iyixz −=−= Absolute Value ρ==+= *22 : zzyxz θ ρ i eyixz − =−=:* θ ρ i eyixz =+=: x y ρ ρ θ θ−
  • 11.
    11 SOLO Complex Variables FundamentalsOperations with Complex Numbers z = x + i y θ ρ i eyixz =+= y x ρ θ Polar Form of a Complex Number Multiplication Division ( )2121 212121 θθθθ ρρρρ + =⋅=⋅ iii eeezz *22 zzyxz =+==ρ ( )θθρ sincos: iyixz +=+= ( )xy /tan 1− =θ ( )2121 212121 /// θθθθ ρρρρ − == iii eeezz Euler’s Formula ( ) ( ) ( ) ( ) ( ) ( ) ( ) ( )θθ θθθθθθ θθθ θθ θ sincos !12 1 !3!1!2 1 !4!2 1 !!2!1 1 sin 123 cos 242 2 i k i k n iii e k k k k n i +=             + + −++−++−+++−= +++++= +          Leonhard Euler 1707- 1783 ( ) 1 ,sincos , 2 −=    ==+ ==+ = i ArgumentModulusi partImaginaryypartRealxyix z θρθθρ
  • 12.
    12 SOLO Complex Variables FundamentalsOperations with Complex Numbers z = x + i y 1 , , 2 −=    == ==+ = i ArgumentModuluse partImaginaryypartRealxyix z i θρρ θ θ ρ i eyixz =+= y x ρ θ Polar Form of a Complex Number θ ρ i eyixz =+=: De Moivre Theorem ( )[ ] ( ) ( )θθρρ ρθθρ θ θ nine eiz nnin ninn sincos sincos +== =+= Roots of a Complex Number [ ] ( ) ( )[ ] 1.2.1.0 2 sin 2 cos sincos /1 /1/12/1 −=            + +      + = +== + nk n k i n k iez n nnkin  πθπθ ρ θθρρ πθ πki ez 25 1== y x 5 2 2 π i ez = 5 2 2 2 π i ez = 5 2 3 3 π i ez = 5 2 4 4 π i ez = 11 =z  72  72  72  72  72 Abraham De Moivre 1667 - 1754 Return to Table of Contents
  • 13.
    13 SOLO Complex Variables AxiomaticFoundations of the Complex Number System ( ) R∈= babaz ,, Definition of Complex System: From those relation, for any complex numbers z1,z2,z3 ∈ C we obtain: CzzCzzCzz ∈∀∈⋅∈+ 212121 ,& Closure Law1 1221 zzzz +=+ Commutative Law of Addition2 ( ) ( ) 312321 zzzzzz ++=++ Associative Law of Addition3 1221 zzzz ⋅=⋅ Commutative Law of Multiplication4 ( ) ( ) 312321 zzzzzz ⋅⋅=⋅⋅ Associative Law of Multiplication5 ( ) 3121321 zzzzzzz ⋅+⋅=+⋅ Distributive Law6 111 00 zzz =+=+ 111 11 zzz =⋅=⋅7 0.. 11 =+∈∃∈∀ zztsCzuniqueCz zz −=18 1..0 11 =⋅∈∃∈≠∀ zztsCzuniqueCz zzz /11 1 == − 9 Equality ( ) ( ) dbcadcba ==⇔= ,,,A Sum ( ) ( ) ( ) ( )dbcadcba +++=+ ,,B Product ( ) ( ) ( )cbdadbcadcba +−=⋅ ,,, ( ) ( ) R∈= mbmambam &,,C Return to Table of Contents
  • 14.
    14 SOLO Complex Variables Historyof Complex Numbers Brahmagupta (598-670) writes Khandakhadyaka (665) which solves quadratic equations and allows for the possibility of negative solutions. Brahmagupta 598 - 670 Brahmagupta also solves quadratic equations of the type a x2 + c = y2 and a x2 - c = y2 . For example he solves 8x2 + 1 = y2 obtaining the solutions (x,y) = (1,3), (6,17), (35,99), (204,577), (1189,3363), ... For the equation 11x2 + 1 = y2 Brahmagupta obtained the solutions (x,y) = (3,10), (161/5,534/5), ... He also solves 61x2 + 1 = y2 which is particularly elegant having x = 226153980, y = 1766319049 as its smallest solution.
  • 15.
    15 SOLO Complex Variables Historyof Complex Numbers Abraham bar Hiyya Ha-Nasi ‫הנשיא‬ ‫חייא‬ ‫בר‬ ‫אברהם‬ writes the work Hibbur ha-Meshihah ve-ha-Tishboret ‫והתשבורת‬ ‫המשיחה‬ ‫חבור‬ , translated in 1145 into Latin as Liber embadorum, which presents the first complete solution to the quadratic equation. Abraham bar Hiyya Ha-Nasi (‫הנשיא‬ ‫חייא‬ ‫בר‬ ‫אברהם‬ Abraham son of [Rabbi] Hiyya "the Prince") (1070 - 1136?) was a Spaish Jewish Mathematician and astronomer, also known as Savasorda (from the Arabic ‫الشرطة‬ ‫صاحب‬ Sâhib ash-Shurta "Chief of the Guard"). He lived in Barcelona. Abraham bar iyya ha-NasiḤ [2] (1070 – 1136 or 1145)
  • 16.
    16 SOLO Complex Variables Historyof Complex Numbers Nicolas Chuquet (1445 – 1488) Chuquet wrote an important text Triparty en la science des nombres. This is the earliest French algebra book . The Triparty en la science des nombres (1484) covers arithmetic and algebra. It was not printed however until 1880 so was of little influence. The first part deals with arithmetic and includes work on fractions, progressions, perfect numbers, proportion etc. In this work negative numbers, used as coefficients, exponents and solutions, appear for the first time. Zero is used and his rules for arithmetical operations includes zero and negative numbers. He also uses x0 = 1 for any number x. The sections on equations cover quadratic equations where he discusses two solutions.
  • 17.
    17 SOLO Complex Variables Historyof Complex Numbers Girolamo Cardano 1501 - 1576 Nicolo Fontana Tartaglia 1500 - 1557 Solution of cubic equation x3 + b x2 +c x +d = 0 The first person to solve the cubic equation x3 +b x = c was Scipione del Ferro (1465 – 1526), but he told the solution only to few people, including his student Antonio Maria Fior. Nicolo Fontana Tartaglia, prompted by the rumors, manage to solve the cubic equation x3 +b x2 = -d and made no secret of his discovery. Fior challenged Tartaglia, in 1535, to a public contest, each one had to solve 30 problems proposed by the other in 40 to 50 days. Tartaglia managed to solve his problems of type x3 +m x = n in about two hours, and won the contest. News of Tartaglia victory reached Girolamo Cardan in Milan, where he was preparing to publish Practica Arithmeticae (1539). Cardan invited Tartaglia to visid him and, after much persuasion, made him to divulge his solution of the cubic equation. Tartaglia made Cartan promise to keep the secret until Tartaglia had published it himself.
  • 18.
    18 SOLO Complex Variables Historyof Complex Numbers Girolamo Cardano 1501 - 1576 Nicolo Fontana Tartaglia 1500 - 1557 Solution of cubic equation x3 + b x2 +c x +d = 0 After Tartaglia showed Cardan how to solve cubic equations, Cartan encouraged his student Lodovico Ferrari (1522 – 1565) to use those result and solve quartic equations x4 +p x2 +q x +r=0. Since Tartaglia didn’t publish his results and after hearing from Hannibal Della Nave that Scipione del Ferro first solve cubic equations, Cardan pubished in 1545 in Ars Magna (The Great Art) the solutions of the cubic (credit given to Tartaglia) and quartic equations. This led to another competition between Tartaglia and Cardano, for which the latter did not show up but was represented by his student Lodovico Ferrari. Ferrari did better than Tartaglia in the competition, and Tartaglia lost both his prestige and income.
  • 19.
    19 SOLO Complex Variables Historyof Complex Numbers Solution of cubic equation x3 + b x2 +c x +d = 0 023 =+++ dxcxbx 3/bxy −= → 0 27 2 33 393 2 273333 33 2 3 3 22 32 23 23 =−+=      +−+      −+= +−++−+−+−=+      −+      −+      − − nymyb cb dy b cy d cb yc b ybyb b y b ybyd b yc b yb b y nm    Equivalence between x3 + b x2 +c x +d = 0 and y3 +m y = n (depressed cubic equation) Solutions of y3 +m y = n Start from the identity: ( )  ( ) nymybabababa nymy =+→−=−+− 3333 3  0 27273 3 3 36 3 3 333 =−−→−=−==→= m ana a m aban a m bbam 3 32 3,2,13,2,1 2742 mnn wa +±=                       +± −      +±=−= 3 32 3 32 3,2,13,2,1 342 3 3423 mnn m mnn w a m ay 2 31 , 2 31 ,13 3,2,1 ii ew ki k +− === π
  • 20.
    20 SOLO Complex Variables Historyof Complex Numbers Solution of cubic equation x3 + b x2 +c x +d = 0                 ++      +±=                       −      −            + −      +±=                       +± −      +±=−= 3 32 3 32 3,2,1 3 322 3 32 3 32 3,2,1 3 32 3 32 3,2,13,2,1 342342 322 342 3342 342 3 3423 mnnmnn w mnn mnn mmnn w mnn m mnn w a m ay   2 31 , 2 31 ,1 342342 3 3,2,1 3 32 3 32 3,2,13,2,1 ii ew mnnmnn wy ki k +− ==                 +−+      ++= = π Solutions of y3 +m y = n Note: Tartaglia and Cardano knew only the solution w1 = 1
  • 21.
    21 SOLO Complex Variables Historyof Complex Numbers Solution of cubic equation x3 + b x2 +c x +d = 0 A Solution of y3 +m y = n Guess a solution:       −++= 33 huhuwy ( ) uzhuhuhuhuhuhuy 233 3 2333 23 +−=−+      −++−++= Therefore:              +      = = →     −=− = 32 3 2 32 2 3 2 mn h n u mhu nu                 +      −+      +      += 3 32 3 32 3,2,13,2,1 322322 mnnmnn wy Where w are the roots of w3 =1: 2 31 , 2 31 ,13,2,1 ii w +− =
  • 22.
    22 SOLO Complex Variables Historyof Complex Numbers Solution of cubic equation x3 + b x2 +c x +d = 0 Viète Solution of y3 +m y = n François Viète 1540 - 1603 In 1591 François Viète gave another solution to y3 +m y = n Start with identity CC C 34cos3cos43cos 3 cos 3 −=−= = θ θθθ Substitute in y3 +m y = nC m y 3 2 −= 3 3 3 2 1 3 3 3 2 34 3 2 3 8 3       −=−→=−+      −       − m n CCnC m mC m m Assuming we obtain 323 32 1 3 2         ≤      →≤      mn m n φθ πφθ cos 3 2 3cos 23 3 k m n += =      −=               −=      + −=−= − 3 1 3 2 cos 3 2 cos 3 2 3 2 m nkm C m y φ πφ
  • 23.
    23 SOLO Complex Variables Historyof Complex Numbers Solution of cubic equation x3 + b x2 +c x +d = 0 Comparison of Cardano and Viète Solution of y3 +m y = n François Viète 1540 - 1603Cardano solution was               −=      + −=+= − 3 1 3 2 cos 3 2 cos 3 2 m nkm ssy φ πφ Girolamo Cardano 1501 - 15763 32 3 32 342342       +−+      ++= mnnmnn y ( )                              −=       −=       ++= += − + 3 1 2 3 32 3 3 2 cos 3 342 33 m n e m mnn s ssy ki ss φ πφ  or from which we recover Viète Solution 0s φ 2 n 3 3      m 3 s 3 s 0 x 3/φ 1s 2s 0 s 2s 1 s 23 23       −      nm 3 z  120  120  120
  • 24.
    24 SOLO Complex Variables Historyof Complex Numbers Rafael Bombelli 1526 - 1572 John Wallis 1616 - 1703 In 1572 Rafael Bombelli published three of the intended five volumes of “L’Algebra” worked with non-real solutions of the quadratic equation x2 +b x+c=0 by using and where and applying addition and multiplication rules. vu 1−+ vu 1−− ( ) 11 2 −=− In 1673 John Wallis presented a geometric picture of the complex numbers resulting from the equation x2 + b x + c=0, that is close with what we sed today. Wallis's method has the undesirable consequence that is represented by the same point as is 1−− 1− ( )0,b−( )0,b− bb c bb c1 P 2P 2 P 1 P Wallis representation of real roots of quadratics Wallis representation of non-real roots of quadratics
  • 25.
    25 Vector Analysis HistorySOLO CasparWessel 1745-1818 “On the Analytic Representation of Direction; an Attempt”, 1799 bia + Jean Robert Argand 1768-1822 1806 1−=i 3.R.S. Elliott, “Electromagnetics”,pp.564-568 http://www-groups.dcs.st-and.ac.uk/~history/index.html Wessel's fame as a mathematician rests solely on this paper, which was published in 1799, giving for the first time a geometrical interpretation of complex numbers. Today we call this geometric interpretation the Argand diagram but Wessel's work came first. It was rediscovered by Argandin 1806 and again by Gauss in 1831. (It is worth noting that Gauss redid another part of Wessel's work, for he retriangulated Oldenburg in around 1824.)
  • 26.
    26 SOLO Complex Variables Historyof Complex Numbers Leonhard Euler 1707- 1783 In 1748 Euler published “Introductio in Analysin Infinitorum” in which he introduced the notation and gave the formula1−=i xixeix sincos += In 1751 Euler published his full theory of logarithms and complex numbers. Euler discovered the Cauchy-Riemann equations in 1777 although d’Alembert had discovered them in 1752 while investigating hydrodynamics. Johann Karl Friederich Gauss published the first correct proof of the fundamental theorem of algebra in his doctoral thesis of 1797, but still claimed that "the true metaphysics of the square root of -1 is elusive" as late as 1825. By 1831 Gauss overcame some of his uncertainty about complex numbers and published his work on the geometric representation of complex numbers as points in the plane. Karl Friederich Gauss 1777-1855
  • 27.
    27 SOLO Complex Variables Historyof Complex Numbers Augustin Louis Cauchy )1789-1857( Cauchy is considered the founder of complex analysis after publishing the Cauchy-Riemann equations in 1814 in his paper “Sur les Intégrales Définies”. He created the Residue Theorem and used it to derive a whole host of most interesting series and integral formulas and was the first to define complex numbers as pairs of real numbers. Georg Friedrich Bernhard Riemann 1826 - 1866 In 1851 Riemann give a dissertation in the theory of functions. Return to Table of Contents
  • 28.
    28 SOLO Complex Variables Derivatives Iff (z) is a single-valued in some region C of the z plane, the derivative of f (z) is defined as: ( ) ( ) ( ) z zfzzf zf z ∆ −∆+ = →∆ 0 lim' provided that the limit exists independent of the manner in which Δ z→0. In such case we say that f (z) is differentiable at z. Analytic Functions If the derivative of f (z) exists at all points of a region C of the z plane, then f (z) is said to be analytic in C. analytic = regular = holomorphic A function f (z) is said to be analytic at a point z0 if there exists a neighborhood |z-z0 | < δ in which f ’ (z) exists. z0 δ Analytic functions have derivatives of any order which themselves are analytic functions. Return to Table of Contents
  • 29.
    29 SOLO Complex Variables Derivatives Iff (z) is a single-valued in some region C of the z plane, the derivative of f (z) is defined as: ( ) ( ) ( ) z zfzzf zf z ∆ −∆+ = →∆ 0 lim' provided that the limit exists independent of the manner in which Δ z→0. In such case we say that f (z) is differentiable at z. Analytic Functions If the derivative of f (z) exists at all points of a region C of the z plane, then f (z) is said to be analytic in C. analytic = regular = holomorphic A function f (z) is said to be analytic at a point z0 if there exists a neighborhood |z-z0 | < δ in which f ’ (z) exists. z0 δ Analytic functions have derivatives of any order which themselves are analytic functions.
  • 30.
    30 SOLO Complex Variables Analytic,Holomorphic, MeromorphicFunctions Return to Table of Contents A Meromorphic Function on an open subset D of the complex plane is a function that is Holomorphic on all D except a set of isolated points, which are poles for the function. (The terminology comes from the Ancient Greek meros (μέρος), meaning “part”, as opposed to holos ( λος)ὅ , meaning “whole”.) The word “Holomorphic" was introduced by two of Cauchy's students, Briot (1817–1882) and Bouquet (1819–1895), and derives from the Greek λοςὅ (holos) meaning "entire", and μορφή (morphē) meaning "form" or "appearance".[2] Today, the term "holomorphic function" is sometimes preferred to "analytic function", as the latter is a more general concept. This is also because an important result in complex analysis is that every holomorphic function is complex analytic, a fact that does not follow directly from the definitions. The term "analytic" is however also in wide use. The Gamma Function is Meromorphic in the whole complex plane Poles
  • 31.
    31 SOLO Complex Variables Cauchy-RiemannEquations A necessary (but not sufficient) condition that f (z) = u (x,y) +i v (x,y) be analytic in a region C, is that u and v satisfy the Cauchy-Riemann equations: y u x v y v x u ∂ ∂ −= ∂ ∂ ∂ ∂ = ∂ ∂ & Proof: Augustin Louis Cauchy )1789-1857( Georg Friedrich Bernhard Riemann 1826 - 1866 ( ) ( ) ( ) z zfzzf zf z ∆ −∆+ = →∆ 0 lim' Provided that the limit exists independent of the manner in which Δ z→0. Choose Δ z = Δ x → ( ) x v i x u zf ∂ ∂ + ∂ ∂ =' Choose Δ z =i Δ y → ( ) y v y u izf ∂ ∂ + ∂ ∂ −=' Equalizing those two expressions we obtain: ( ) y u i y v x v i x u zf ∂ ∂ − ∂ ∂ = ∂ ∂ + ∂ ∂ =' y u x v y v x u ∂ ∂ −= ∂ ∂ ∂ ∂ = ∂ ∂ → & The functions u (x,y) and v (x,y) are called conjugate functions, because if one is given we can find the other (with an arbitrary additive constant). Return to Table of Contents
  • 32.
    32 SOLO Complex Variables HarmonicFunctions If the second partial derivatives of u (x,y) and v (x,y) with respect to x and y exist and are continuous in a region C, then using Cauchy-Riemann equations, we obtain: 02 2 2 2 2 22 2 2 2 22 = ∂ ∂ + ∂ ∂ →         ∂ ∂ −= ∂∂ ∂ → ∂ ∂ −= ∂ ∂ ∂∂ ∂ = ∂ ∂ → ∂ ∂ = ∂ ∂ ∂∂ ∂ = ∂∂ ∂ ∂ ∂ ∂ ∂ y u x u y u xy v y u x v yx v x u y v x u xyyx y x 02 2 2 2 2 2 2 2 22 22 = ∂ ∂ + ∂ ∂ →         ∂∂ ∂ −= ∂ ∂ → ∂ ∂ −= ∂ ∂ ∂ ∂ = ∂∂ ∂ → ∂ ∂ = ∂ ∂ ∂∂ ∂ = ∂∂ ∂ ∂ ∂ ∂ ∂ y v x v yx u x v y u x v y v xy u y v x u xyyx x y It follows that under those conditions the real and imaginary parts of an analytic function satisfy Laplace’s Equation denoted by: 02 2 2 2 = ∂ Φ∂ + ∂ Φ∂ yx or 2 2 2 2 2 : yxx i xx i x ∂ ∂ + ∂ ∂ =      ∂ ∂ − ∂ ∂ ⋅      ∂ ∂ + ∂ ∂ =∇ where02 =Φ∇ The functions satisfying Laplace’s Equation are called Harmonic Functions. Pierre-Simon Laplace (1749-1827) Return to Table of Contents
  • 33.
    33 SOLO Complex Variables SingularPoints A point at which f (z) is not analytic is called a singular point. There are various types of singular points: 1. Isolated Singularity The point z0 at which f (z) is not analytic is called an isolated singular point, if we can a neighborhood of z0 in which there are not singular points. z0 δ If no such a neighborhood of z0 can be found then we call z0 a non-isolated singular point. 2. Poles Example ( ) ( ) ( ) ( ) ( ) ( ) ( )5353 1834 32 ++−− ++ = zzzz zz zf has a pole of order 2 at z = 3, a pole of order 3 at z = 5, and two simple poles at z = -3 and z = -5. If we can find a positive integer n such that and is analytic at z=z0 then z = z0 is called a pole of order n. If n = 1, z is called a simple pole. ( ) ( ) 0lim 0 0 ≠=−→ Azfzz n zz ( ) ( ) ( )zfzzz n 0−=ϕ
  • 34.
    34 SOLO Complex Variables SingularPoints A point at which f (z) is not analytic is called a singular point. There are various types of singular points: 3. Branch Points If f (z) is a multiple valued function at z0, then this is a branch point. Examples: ( ) ( ) n zzzf /1 0−= has a branch point at z=z0 ( ) ( ) ( )[ ]0201ln zzzzzf −−= has a branch points at z=z01 and z=z02 4. Removable Singularities The singular point z0 is a removable singularity of f (z) if exists.( )zf zz 0 lim → Examples: The singular point z = 0 of is a removable singularity z zsin 1 sin lim0 =→ z z z
  • 35.
    35 SOLO Complex Variables SingularPoints A point at which f (z) is not analytic is called a singular point. There are various types of singular points: 5. Essential Singularities A singularity which is not a pole, branch point or a removable singularity is called an essential singularity. Example: has an essential singularity at z = z0.( ) ( )0/1 zz ezf − = 6. Singularities at Infinity If we say that f (z) has singularities at z →∞. The type of the singularity is the same as that of f (1/w) at w = 0. ( ) 0lim = ∞→ zf z Example: The function f (z) = z5 has a pole of order 5 at z = ∞, since f (1/w) = 1/w5 has a pole of order 5 at w = 0. Return to Table of Contents
  • 36.
    36 SOLO Complex Variables OrthogonalFamilies If f (z) = u (x,y) + i v (x,y) is analytic, then the one-parameter families of curves ( ) ( ) βα == yxvyxu ,,, where α and β are constant are orthogonal. Proof: The normal to u (x,y) = α is: ( ) y y u x x u yxu 11, ∂ ∂ + ∂ ∂ =∇ The normal to v (x,y) = β is: ( ) y y v x x v yxv 11, ∂ ∂ + ∂ ∂ =∇ The scalar product between the normal to u (x,y) = α and the normal to v (x,y) = β is: ( ) ( ) y v y u x v x u yxvyxu ∂ ∂ ∂ ∂ + ∂ ∂ ∂ ∂ =∇⋅∇ ,, Using the Cauchy-Riemann Equation for the analytic f (z): y u x v y v x u ∂ ∂ −= ∂ ∂ ∂ ∂ = ∂ ∂ & ( ) ( ) 0,, = ∂ ∂ ∂ ∂ + ∂ ∂ ∂ ∂ −=∇⋅∇ y v y u y u y v yxvyxu x y ( ) α=yxu , ( ) β=yxv , planez u v planew Return to Table of Contents
  • 37.
    37 SOLO Complex Variables ComplexLine Integrals Let f (z) be continuous at all points on a curve C of a finite length L. ( ) ( ) ( )∑∑ == − ∆=−= n i ii n i iiin zfzzfS 11 1 ξξ C 1 z nzb = 2z 0 za = 1−iz iz 1 ξ 2 ξ i ξ n ξ Let subdivide C into n parts by n arbitrary points z1, z2,…,zn, and call a=z0 and b=zn. On each arc joining zi-1 to zi choose a point ξi. Define the sum: Let the number of subdivisions n increase in such a way that the largest of Δzi approaches zero, then the sum approaches a limit that is called the line integral (also Riemann-Stieltjes integral). ( ) ( ) ( )∫∫∑ ==∆= = →∆∞→ C b a n i ii z nn zdzfzdzfzfS i 1 0 limlim ξ Properties of Integrals ( ) ( )[ ] ( ) ( )∫∫∫ +=+ CCC zdzgzdzfzdzgzf ( ) ( ) constantAzdzfAzdzfA CC == ∫∫ ( ) ( )∫∫ −= a b b a zdzfzdzf ( ) ( ) ( )∫∫∫ += b c c a b a zdzfzdzfzdzf ( ) ( ) ( ) CoflengthLandConMzfLMzdzfzdzf CC ≤≤≤ ∫∫ Return to Table of Contents
  • 38.
    38 SOLO Complex Variables Simplyand Multiply Connected Regions A region R is called simply-connected if any simple closed curve Γ, which lies in R can be shrunk to a point without leaving R. A region R that is not simply-connected is called multiply-connected. C0 x y R C1 Γ C0 x y R C1 C2 C3 Γ C x y R Γ C x y R Γsimply-connected multiply-connected. Return to Table of Contents
  • 39.
    39 SOLO Complex Variables Green’sTheorem in the Plane C R Let P (x,y) and Q (x,y) be continuous and have continuous partial derivatives in a region R and on the boundary C. Green’s Theorem states that: GEORGE STOCKES 1819-1903 A more general theorem was given by Stokes ( ) ∫∫∫       ∂ ∂ − ∂ ∂ =+ R dydx y P x Q dyQdxP C ( ) ∫∫∫∫∫∫∫       ∂ ∂ − ∂ ∂ +      ∂ ∂ − ∂ ∂ +      ∂ ∂ − ∂ ∂ =++ yzxzxy RRR dzdy z Q y R dzdx x R z P dydx y P x Q dzRdyQdxP C or in vector form: ∫∫∫ ⋅×∇=⋅ S dAFdrF C  where: ( ) ( ) ( ) ( ) zzyxRyzyxQxzyxPzyxF 1,,1,,1,,,, ++=  zdzydyxdxdr 111 ++= zdydxydzdxxdzdydA 111 ++= GEORGE GREEN 1793-1841 z z y y x x 111 ∂ ∂ + ∂ ∂ + ∂ ∂ =∇
  • 40.
    40 SOLO Complex Variables Proofof Green’s Theorem in the Plane C R P T S Q a b x y ( )xgy 2= ( )xgy 1= Start with a region R and the boundary curve C, defined by S,Q,P,T, where QP and TS are parallel with y axis. ( ) ( ) ∫ ∫∫∫ = = ∂ ∂ = ∂ ∂ b a xgy Xgy dy y P dxdydx y P 2 R By the fundamental lemma of integral calculus: ( ) ( ) ( ) ( ) ( ) ( ) ( )[ ] ( )[ ]xgxPxgxPyxPdy y yxP xgy xgy xgy Xgy 12 ,,, , 2 1 2 −== ∂ ∂ = = = = ∫ Therefore: ( )[ ] ( )[ ]∫∫∫∫ −= ∂ ∂ b a b a dxxgxPdxxgxPdydx y P 12 ,, R but: ( )[ ] ( )[ ]∫∫ = a bSQ dxxgxPdxxgxP 22 ,, integral along curve SQ ( )[ ] ( )[ ]∫∫ = b aPT dxxgxPdxxgxP 11 ,, integral along curve PT If we add to those integrals: ( ) ( ) 00,, === ∫∫ dxsincedxyxPdxyxP QPTS we obtain: ( )[ ] ( ) ( )[ ] ( ) ( )∫∫∫∫∫∫∫ −=−−−−= ∂ ∂ CTSPTQPSQ dxyxPdxyxPdxxgxPdxyxPdxxgxPdydx y P ,,,,, 12 R Assume that PT is defined by the function y = g1 (x) and SQ is defined by the function y = g2 (x), both smooth and y P ∂ ∂ is continuous in R:
  • 41.
    41 SOLO Complex Variables Proofof Green’s Theorem in the Plane (continue – 1) In the same way: Therefore we obtain: ( )∫∫∫ −= ∂ ∂ C dxyxPdydx y P , R ( )∫∫∫ = ∂ ∂ C dyyxQdydx x Q , R ( ) ∫∫∫       ∂ ∂ − ∂ ∂ =+ R dydx y P x Q dyQdxP C The line integral is evaluated by traveling C counterclockwise. For a general single connected region, as that described in Figure to the right, can be divided in a finite number of sub-regions Ri, each of each are of the type described in the Figure above. Since the adjacent regions boundaries are traveled in opposite directions, there sum is zero, and we obtain again: ( ) ∫∫∫       ∂ ∂ − ∂ ∂ =+ R dydx y P x Q dyQdxP C C R4 x y R R3 R1 R2 C R P T S Q a b x y ( )xgy 2= ( )xgy 1=
  • 42.
    42 SOLO Complex Variables Proofof Green’s Theorem in the Plane (continue – 2) The general multiply-connected regions can be transformed in a simply connected region by infinitesimal slits Since the slits boundaries are traveled in opposite directions, there integral sum is zero: C0 x y R C1 P0 P1 C0 x y R C1 C2 C3 ( ) ( ) ∫∫∑ ∫∫       ∂ ∂ − ∂ ∂ =+−+ R dydx y P x Q dyQdxPdyQdxP i CC i0 All line integrals are evaluated by traveling Ci i=0,1,… counterclockwise. ( ) ( ) 0 0 1 1 0 =+++ ∫∫ P P P P dyQdxPdyQdxP We obtain: Return to Table of Contents
  • 43.
    43 SOLO Complex Variables Consequencesof Green’s Theorem in the Plane Let P (x,y) and Q (x,y) be continuous and have continuous first partial derivative at each point of a simply-connected region R. A necessary and sufficient condition that around every closed path C in R is that in R. This is synonym to the condition that is path independent. y P x Q ∂ ∂ = ∂ ∂ ( ) 0=+∫C dyQdxP Sufficiency: Suppose y P x Q ∂ ∂ = ∂ ∂ According to Green’s Theorem ( ) 0=      ∂ ∂ − ∂ ∂ =+ ∫∫∫ R dydx y P x Q dyQdxP C Necessity: 0<> ∂ ∂ − ∂ ∂ or y P x Q Suppose along every path C in R. Assume that at some point (x0,y0) in R. Since ∂ Q/ ∂ x and ∂ P/ ∂ y are continuous exists a region τ around (x0,y0) and boundary Γ for which , therefore: ( ) 0=+∫C dyQdxP 0<> ∂ ∂ − ∂ ∂ or y P x Q ( ) 0<>      ∂ ∂ − ∂ ∂ =+ ∫∫∫Γ ordydx y P x Q dyQdxP τ C x y R ( )∫ + L dyQdxP 0= ∂ ∂ − ∂ ∂ y P x Q This is a contradiction to the assumption, therefore q.e.d. Return to Table of Contents
  • 44.
    44 SOLO Complex Variables Cauchy’sTheorem C x y R Proof: ( ) 0=∫C dzzf If f (z) is analytic with derivative f ‘ (z) which is continuous at all points inside and on a simple closed curve C, then: ( ) ( ) ( )yxviyxuzf ,, +=Since is analytic and has continuous first order derivative ( ) y u i y v x v i x u zd fd zf iyzxz ∂ ∂ − ∂ ∂ = ∂ ∂ + ∂ ∂ == == ' y u x v y v x u ∂ ∂ −= ∂ ∂ ∂ ∂ = ∂ ∂ & Cauchy - Riemann ( ) ( ) ( ) ( ) ( ) 0 00 =      ∂ ∂ − ∂ ∂ +      ∂ ∂ − ∂ ∂ −= ++−=++= ∫∫∫∫ ∫∫∫∫ RR dydx y v x u idydx y u x v dyudxvidyvdxudyidxviudzzf CCCC    q.e.d. Augustin Louis Cauchy )1789-1857( Return to Table of Contents
  • 45.
    45 SOLO Complex Variables Cauchy-GoursatTheorem C x y R Proof: ( ) 0=∫C dzzf If f (z) is analytic which is continuous at all points inside and on a simple closed curve C, then: Augustin Louis Cauchy )1789-1857( Goursat removed the Cauchy’s condition that f ‘ (z) should be continuous in R. C F DE A B I ∆ IV ∆ II ∆ III ∆ Start with a triangle ABC in z in which f (z) is analytic, Join the midpoints E,D,F to obtain four equal triangles ΔI, ΔII, ΔIII, ΔIV. We have: ( ) ( ) ( ) ( ) ( )∫∫∫∫ ∫∫∫∫ ∫∫∫∫∫∫∫∫∫ ∫∫∫∫ ∆∆∆∆ +++= +++=         +++         ++         ++         += ++= IVIIIIII dzzfdzzfdzzfdzzf dzzf DEFDFCDFEBFEDAED FDEFDEDFFCDFEEBFEDDAE FCDEBFDAEABCA Eduard Jean-Baptiste Goursart 1858 - 1936
  • 46.
    46 SOLO Complex Variables Proofof Cauchy-Goursat Theorem (continue – 1) If f (z) is analytic which is continuous at all points inside and on a simple closed curve C, then: C F DE A B I ∆ IV∆ II ∆ III ∆ ( ) ( ) ( ) ( ) ( )∫∫∫∫∫ ∆∆∆∆ +++= IVIIIIII dzzfdzzfdzzfdzzfdzzf ABCA then: ( ) ( ) ( ) ( ) ( )∫∫∫∫∫ ∆∆∆∆ +++≤ IVIIIIII dzzfdzzfdzzfdzzfdzzf ABCA Let Δ1 be the triangle in which the absolute value of the integral is maximum. ( ) ( )∫∫ ∆∆ ≤ 1 4 dzzfdzzf Continue this procedure in triangle Δ1 in which Δ2 is the triangle in which the absolute value of the integral is maximum. ( ) ( ) ( )∫∫∫ ∆∆∆ ≤≤ 21 2 44 dzzfdzzfdzzf ( ) ( )∫∫ ∆∆ ≤ n dzzfdzzf n 4
  • 47.
    47 SOLO Complex Variables Proofof Cauchy-Goursat Theorem (continue – 2) C F DE A B I ∆ IV ∆ II ∆ III ∆ ( ) ( )∫∫ ∆∆ ≤ n dzzfdzzf n 4 For an analytic function f (z) compute ( ) ( ) ( ) ( )0 0 0 0 ':, zf zz zfzf zz − − − =η ( ) ( ) ( ) ( ) ( ) ( ) 0'''lim,lim 000 0 0 0 00 =−=       − − − = →→ zfzfzf zz zfzf zz zzzz η ( ) ( ) ( ) ( ) ( ) ( ) ( )0000000 ,'&,..,0 zzzzzzzfzfzfzzwheneverzzts −+−+=<−<∃>∀ ηδεηδε ( ) ( ) ( ) ( )[ ] ( ) ( ) ( ) ( )∫∫∫∫ ∆∆ ← ∆∆ −≤−+−+≤ nnnn dzzzzzdzzzzzdzzzzfzfdzzf TheoremIntegralCauchy 0000 0 )00 ,,' ηη    n∆ 0z na nb nc z 0 zz − 0 zzcbaP nnnn −≥++= ( ) ( ) ( ) 2 2 00 2 ,       ==≤−≤ ∫∫∫ ∆∆∆ nnn P PdzPdzzzzzdzzf nnn εεεη But , where Pn the perimeter of Δn and P the perimeter of Δ are related, by construction, by ( ) δεη <≤−< n Pzzzz 00 &, n n PP 2/= q.e.d. ( ) ( ) ( ) 0 4 44 0 2 2 =→=≤≤ ∫∫∫ ∆ → ∆∆ dzzfP P dzzfdzzf n nn n ε εε
  • 48.
    48 SOLO Complex Variables Proofof Cauchy-Goursat Theorem (continue – 3) n z1 z 2 z 1−i z i z 1−n z n ∆1∆ 2∆ 3 ∆ i ∆ C O q.e.d. For the general case of a simple closed curve C we take n points on C: z1, z2,…,zn and a point O inside C. We obtain n triangles Δ1, Δ2,.., Δn, for each of them we proved Cauchy-Goursat Theorem. Let define the sum: ( ) ∑= − − ∆= n i zz iin ii zzfS 1 1 : we have: ( ) ( ) ( ) ( ) 0 1 1 =++= ∫∫∫∫ − −∆ i i i ii z O O z z z dzzfdzzfdzzfdzzf ( ) ( ) ( ) ( ) ( )[ ] ( ) ( )[ ] ( )    n i i i i i i i ii S n i z z i n i z z i n i z z ii n i z z n i dzzfdzzfzfdzzfzfzfdzzfdzzf ∑ ∫∑∫∑ ∫∑ ∫∑ ∫ ===== ∆ −−−− +−=+−=== 11111 1111 0 ( ) ( ) ( )ε ε NnforSdzzfdzzfS n CC nn ><−→= ∫∫∞→ 2 lim ( ) ( )[ ] ( ) ( )[ ] ( ) 221 1 111 11 εε =−≤−≤−≤→−= ∑∑∑ ∫∑∫ = − === −− n i ii n i i n i z z in n i z z in zz L dzfzfdzzfzfSdzzfzfS i i i i ( ) ( ) ( ) ( ) 0 22 =→>=+<+−≤ ∫∫∫ C nn CC dzzfNnforSSdzzfdzzf εε εε Since we proved that , we can write:( ) 0=∫∆ dzzf Return to Table of Contents
  • 49.
    49 SOLO Complex Variables Consequencesof Cauchy-Goursat Theorem B x y R A C1 C2 D1 D2 a bIf f (z) is analytic in a simply-connected region R, then is independent of the path in R joining any two points a and b in R. ( )∫ b a dzzf Let look at thr closed path AC1D1BD2C2A in R inside which f (z) is analytic. According to Cauchy-Goursat Theorem ( ) ( ) ( ) ( ) ( ) ( ) ( )∫∫∫∫∫∫∫ =→−=+== BDAcBDAcBDAcBDAcACBDBDAcACBDDAC dzzfdzzfdzzfdzzfdzzfdzzfdzzf 2211221122111122 0 Proof: If f (z) is analytic in a multiply-connected region R, bounded by two simple closed curves C1 and C2, then: 1 2 C1 x y R C2 P0 P1 ( ) ( )∫∫ = 21 CC dzzfdzzf The general multiply connected regions can be transformed in a single connected region by an infinitesimal slit P0 to P1. ( ) ( ) ( ) ( ) ( ) ( )∫∫∫∫∫∫ =→+++= 212 0 1 1 01 0 0 CCC P P P PC dzzfdzzfdzzfdzzfdzzfdzzf    Proof: Return to Table of Contents
  • 50.
    50 SOLO Complex Variables Cauchy’sIntegral Formulas Augustin Louis Cauchy )1789-1857( If f (z) is analytic inside and on a simple closed curve C and a is any point inside C then ( ) ( ) ∫ − = C dz az zf i af π2 1 C x y R a Γ Proof: Let chose a circle Γ with center at a [ ]{ }πθε θ 2,0,: ∈+==Γ i eazz Since f (z)/ (z-a) is analytic in the region defined between C and the circle Γ we can use: ( ) ( ) ∫∫ Γ − = − zd az zf zd az zf C ( ) ( ) ( ) ( )afidafidei e eaf zd az zf i i i πθθε ε ε ππ θ θ θ ε 21lim 2 0 2 0 0 === + = − ∫∫∫ → Γ therefore: ( ) ( ) ∫ − = C dz az zf i af π2 1 q.e.d. Cauchy’s Integral Formulas and Related Theorems Return to Table of Contents
  • 51.
    51 SOLO Complex Variables Cauchy’sIntegral Formulas for the n Derivative of a Function Augustin Louis Cauchy )1789-1857( If f (z) is analytic inside and on a simple closed curve C and a is any point inside C, where the n derivative exists, then ( ) ( ) ( ) ( )∫ + − = C n n dz az zf i n af 1 2 ! π C x y R a Γ Proof: Let prove this by induction. Assume that this is true for n-1: Then we can differentiate under the sign of integration: ( ) ( ) ∫ − = C dz az zf i af π2 1 For n = 0 we found ( ) ( ) ( ) ( ) ( )∫ − − =− C n n dz az zf i n af π2 !11 ( ) ( ) ( ) ( ) ( ) ( ) ( ) ( ) ( ) ( )∫∫ + − − − = − − == C n C n nn dz az n zf i n dz azad d zf i n af ad d af 1 1 2 !11 2 !1 ππ q.e.d.Therefore for n we obtain: ( ) ( ) ( ) ( )∫ + − = C n n dz az zf i n af 1 2 ! π We can see that an analytic function has derivatives of all orders. Return to Table of Contents
  • 52.
    52 SOLO Complex Variables Morera’sTheorem (the converse of Cauchy’s theorem) If f (z) is continuous in a simply-connected region R and if around every simple closed curve C in R then f (z) ia analytic in R. ( ) 0=∫C dzzf B x y R A C1 C2 D1 D2 a z Proof: Since around every closed curve C in R( ) 0=∫C dzzf ( ) ( ) ( ) ( ) ( ) ( ) ( )∫∫∫∫∫∫∫ =→−=+== BDAcBDAcBDAcBDAcACBDBDAcACBDDAC dzzfdzzfdzzfdzzfdzzfdzzfdzzf 2211221122111122 0 The integral is independent on path between two points, if the path is in R ( ) ( )∫= z a dzzfzF Let choose a straight path between z and z+Δz ( ) ( ) ( ) ( ) ( ) ( ) ( ) ( )[ ]∫∫∫ ∆+∆+ − ∆ =−         − ∆ =− ∆ −∆+ zz z z a zz a udzfuf z zfudufuduf z zf z zFzzF 11 Since f (z) is continuous ( ) ( ) δε <−≤− zuwheneverzfuf Therefore ( ) ( ) ( ) ( ) ( ) ( ) ( )zf zd zFd zudzfuf z zf z zFzzF zz z =→<∆∀=− ∆ ≤− ∆ −∆+ ∫ ∆+ δε 1 C x y R z Νδz+∆ z Since F (z) has a derivative in R, it is analytic, and so are its derivatives, i.e. f (z) Return to Table of Contents Giacinto Morera 1856 - 1907
  • 53.
    53 SOLO Complex Variables Cauchy’sInequality Augustin Louis Cauchy )1789-1857( If f (z) is analytic inside and on a circle C of radius r and center at z = a, then ( ) ( ) ,...2,1,0 ! = ⋅ ≤ n r nM af n n where M is a constant such that | f (z) |< M is an upper bound of | f (z) | on C. Proof: C x y a r Use Cauchy Integral Formula: ( ) ( ) ( ) ( ) ,2,1,0 ! 2 1 2 !1 2 ! 2 ! 1 2 0 11 ===≤ − ≤ ++ < + ∫∫ n r nM r r Mn dr r Mn dz az zfn af nnn Mzf C n n π π θ ππ π ( ) ( ) ( ) ( ) ,2,1,0 2 ! 1 = − = ∫ + ndz az zf i n af C n n π q.e.d. On the circle C: .θi eraz += Return to Table of Contents
  • 54.
    54 SOLO Complex Variables Liouville’sTheorem Joseph Liouville 1809 - 1882 If for all z in the complex plane: (1) f (z) is analytic (2) f (z) is bounded, i.e. | f (z) |< M for some constant M then f (z) must be a constant. Proof No. 1: Using Cauchy’s Inequality: ( ) ( ) ,...2,1,0 ! = ⋅ ≤ n r nM af n n Letting n=1 we obtain: ( ) r M af ≤' Since f (z) is analytic in all z plane we can take r → ∞ to obtain ( ) ( ) ( ) constantafaaf r M af r =→∀=→=≤ ∞→ ,00lim '' q.e.d.
  • 55.
    55 SOLO Complex Variables Liouville’sTheorem Joseph Liouville 1809 - 1882 If for all z in the complex plane: (1) f (z) is analytic (2) f (z) is bounded, i.e. | f (z) |< M for some constant M then f (z) must be a constant. Proof No. 2: Using Cauchy’s Integral Formula q.e.d. Let a and b be any two points in z plane. Draw a circle C with center at a and radius r > 2 | a-b | C x y a r b 2/rba <− ( ) ( ) ( ) ( ) ( ) ( ) ( )∫∫∫ −− − = − − − =− CCC dz bzaz zf i ab dz az zf i dz bz zf i afbf πππ 22 1 2 1 We have raz =− ( ) ( ) 2/rbarbaazbaazbz ≤−−=−−−≥−+−=− ( ) ( ) ( ) ( ) ( ) ( ) ( ) r Mab dr rr Mab dz bzaz zfab dz bzaz zfab afbf CC − = − ≤ −− − ≤ −− − =− ∫∫∫ 2 2/222 2 0 π θ πππ Since f (z) is analytic in all z plane we can take r → ∞ to obtain ( ) ( ) ( ) ( )afbfafbf =→=− 0 therefore f (z) is constant. Return to Table of Contents
  • 56.
    56 SOLO Complex Variables FoundamentalTheorem of Algebra Every polynomial equation P (z) = a0 + a1z+a2z2 +…+anzn =0 with degree n ≥ 1 and an ≠ 0 (ai are complex constants) has at least one root. From this it follows that P (z) = 0 has exactly n roots, due attention being paid to multiplicities of roots. Proof: If P (z) = 0 has no root, then f (z) = 1 / P (z) is analytic for all z. Also | f (z) |= 1 / | P (z) | is bounded. Then by Liouville’s Theorem f (z) and then P (z) are constant. This is a contradiction to the fact that P (z) is a polynomial in z, therefore P (z) = 0 must have at least one root (zero). Suppose that z = a is one root of P (z) = 0. Hence P (a) = 0 and ( ) ( ) ( ) ( ) ( ) ( ) ( ) ( )zQazazaazaaza aaaaaaazazazaaaPzP nn n n n n n −=−++−+−= ++++−++++=−   22 21 2 210 2 210 Since an ≠ 0, Q (s) is a polynomial of degree n-1. Applying the same reasoning to the polynomial Q (s) of degree n-1, we conclude that it must also have at least one root. This procedure continues until n = 0, therefore it follows that P (z) has exactly n roots. q.e.d. Return to Table of Contents
  • 57.
    57 SOLO Complex Variables Gauss’Mean Value Theorem Karl Friederich Gauss 1777-1855 C x y a r If f (z) is analytic inside and on a circle C with center at a and radius r, then f (a) is the mean of the values of f (z) on C, i.e., ( ) ( ) . 2 1 2 9 ∫ += π θ θ π derafaf i Proof: Use Cauchy Integral Formula: On the circle C: θθ ii eridzeraz =+= . ( ) ( ) ∫ − = C dz az zf i af π2 1 ( ) ( ) ( ) ( )∫∫∫ += + = − = θ π θ ππ θθ θ θ derafderi er eraf i dz az zf i af ii i i C 2 1 2 1 2 1 q.e.d. Return to Table of Contents
  • 58.
    58 SOLO Complex Variables MaximumModulus Theorem If f (z) is analytic inside and on a simple closed curve C and is not identically equal to a constant, then the maximum value of | f (z) | occurs on C. Proof: The proof is based on the continuity of f (z) and on the Gauss’ Mean Value Theorem. C x y a r C C1 C2 C3 R α b Since f (z) is analytic in C, | f (z) | has a maximum M inside or on C. Suppose that the maximum value is achieved at the point a inside C, i.e. | f (a) |=M =max | f (z) |. Since a is inside C we can find a circle C1, with center at a that is inside C. Since f (z) is not constant we can find a point b in C1 such that | f (b)|=M – ε< | f (a)|. Using the continuity of f (z) we can find a circle around b, C2, ( ) ( ){ }δε <−<−= bzforbfzfzC 2/:2 ( ) ( ) 2/2/2/ εεεε −=+−=+< MMbfzf Now apply the Gauss’ Mean Value Theorem for point a and the circle with center at a passing trough b, C3. Define by α the arc of C3 inside C2.( ) ( ) . 2 1 2 9 ∫ += π θ θ π derafaf i ( ) ( ) ( ) ( ) ( ) ( ) π εα απ ππ α εθθθ π π α θ α ε θ π θ 4 2 22 2/. 2 1 2 9 2/ 2 9 −=−+−≤+++≤+== ∫∫∫ ≤−≤ M M MderafderafderafMaf M i M ii 
  • 59.
    59 SOLO Complex Variables MaximumModulus Theorem If f (z) is analytic inside and on a simple closed curve C and is not identically equal to a constant, then the maximum value of | f (z) | occurs on C. Proof (continue): ( ) ( ) ( ) ( ) ( ) ( ) π εα απ ππ α εθθθ π π α θ α ε θ π θ 4 2 22 2/. 2 1 2 9 2/ 2 9 −=−+−≤+++≤+== ∫∫∫ ≤−≤ M M MderafderafderafMaf M i M ii  We obtained that is impossible, therefore a for which |f (z)| is maximum cannot be inside C, but on C. ( ) π εα 4 ? −== MMaf C x y a r C C1 C2 C3 R α b q.e.d. Return to Table of Contents
  • 60.
    60 SOLO Complex Variables MinimumModulus Theorem If f (z) is analytic inside and on a simple closed curve C and f (z) ≠ 0 inside C then | f (z) | assumes its minimum value on C. Proof: Since f (z) is analytic inside and on a simple closed curve C and f (z) ≠ 0 inside C it follows that 1/ f (z) is analytic inside and on C. Then according to Maximum Modulus Theorem 1/| f (z) | assumes its maximum vale on C and therefore | f (z) | assumes its minimum value on C. q.e.d. x y C R Return to Table of Contents
  • 61.
    61 SOLO Complex Variables Poisson’sIntegral Formulas for a Circle Siméon Denis Poisson 1781-1840 Let f (z) be analytic inside and on the circle C defined by |z| = R, and let z = r e iθ be any point inside C, then: ( ) ( ) ( ) ( ) ( )∫ ∫ ∫ − − = − − = +−− − == π π φ φ φ θφ π φθ φ π φ π φ φθπ 2 0 2 0 2 22 2 22 2 0 22 22 2 1 2 1 cos22 1 deRf zeR zR deRf ereR rR deRf rrRR rR erzf i i i ii ii C x y R R z' rR2/r θ ∗ z z r θ− ∗ = zRz /2 1 Proof: Since f (z) is analytic in C we can apply Cauchy’s Integral Formula: ( ) ( ) ( ) ∫ − == C i dz zz zf i erfzf ' ' ' 2 1 π θ ( ) ∫ ∗ − = C dz zRz zf i ' /' ' 2 1 0 2 π If we subtract those equations we obtain: The inverse of the point z with respect to C is and lies outside C, therefore by Cauchy’s Theorem: ∗ = zRz /2 1 ( ) ( ) ( ) ( ) ( ) ( )∫∫ ∗∗ −− − =      − − − == CC i dzzf zRzzz zRz i dzzf zRzzzi erfzf '' /'' / 2 1 '' /' 1 ' 1 2 1 2 2 2 ππ θ
  • 62.
    62 SOLO Complex Variables Poisson’sIntegral Formulas for a Circle Siméon Denis Poisson 1781-1840 Proof (continue): ( ) ( ) ( ) ( ) ( ) ( ) ( ) ( )[ ] ( ) ( ) ( ) ( )( ) ( ) ( ) ( )( ) ( ) ( ) ( ) ( )∫ ∫ ∫ ∫ ∫ +−− − = −− − = −− − = −− − = −− − == −− + ∗ π φ π φ θφθφ π φ θφθφ φθ π φφ θφθφ θθ θ φ φθπ φ π φ π φ π π 2 0 22 22 2 0 22 2 0 22 2 0 2 2 2 2 cos22 1 2 1 2 1 / / 2 1 '' /'' / 2 1 deRf RrRr rR deRf ereRereR rR deRf eRerereR eRr deRieRf erReRereR erRer i dzzf zRzzz zRz i erfzf i i iiii i iiii i ii iiii ii C i Writing we have:( ) ( ) ( )θθθ ,, rviruerf i += ( ) ( ) ( ) ( )∫ +−− − = π φφ φθπ θ 2 0 22 22 , cos22 1 , dRu RrRr rR ru ( ) ( ) ( ) ( )∫ +−− − = π φφ φθπ θ 2 0 22 22 , cos22 1 , dRv RrRr rR rv q.e.d. C x y R R z' rR2/r θ ∗ z z r θ− ∗ = zRz /2 1 Return to Table of Contents
  • 63.
    63 SOLO Complex Variables Poisson’sIntegral Formulas for a Half Plane Siméon Denis Poisson 1781-1840 C x y R ∗ z z R Let f (z) be analytic in the upper half y ≥ 0 of the z plane and let z = (x + i y) any point in this upper half plane, then: ( ) ( ) ( )∫ +∞ ∞− +− = dw yxw wfy zf 22 Proof: Let C be the boundary of a a semicircle of radius R containing as an interior point, but does not contain yixz += yixz −=∗ Using Cauchy’s Integral Formula we have: ( ) ( ) ∫ − = C dw zw wf i zf π2 1 By subtraction we obtain: ( ) ∫ ∗ − = C dw zw wf iπ2 1 0 ( ) ( ) ( ) ( ) ( ) ( ) ( ) ( ) ( ) ( ) ( ) ( )∫∫ ∫∫ +− = +−−− −−+ = −− − =      − − − = ∗∗ CC CC dwwf yxw yi i dwwf yixwyixw yixyix i dwwf zwzw zz i dwwf zwzwi zf 22 2 2 1 2 1 2 111 2 1 ππ ππ
  • 64.
    64 SOLO Complex Variables Poisson’sIntegral Formulas for a Half Plane Siméon Denis Poisson 1781-1840 Proof (continue): Where Γ is the upper a semicircle of radius R. ( ) ( ) ( ) ( ) ( ) ( ) ( )∫∫ ∫ Γ + − +− + +− = +− = dwwf yxw y dwwf yxw y dwwf yxw yi i zf R R C 2222 22 11 2 2 1 ππ π If we take R→∞ we obtain: ( ) ( ) 0lim 1 22 = +−∫Γ ∞→ dwwf yxw y R π ( ) ( ) ( )∫ +∞ ∞− +− = dw yxw wfy zf 22 Therefore: ( ) ( ) ( )∫ +∞ ∞− +− = dw yxw wufy yxu 22 0, , ( ) ( ) ( )∫ +∞ ∞− +− = dw yxw wvfy yxv 22 0, , Writing and since w varies on x axis , and we have: ( ) ( ) ( )yxviyxuzf ,, += ( ) ( ) ( )0,0, wviwuwf += q.e.d. C x y R ∗ z z R Return to Table of Contents
  • 65.
    65 SOLO Infinite Series Given aseries: Theorems of Convergence of Sequences and Series ∑= = n i in uS 1Convergence Definition: The series Sn converges to S as n →∞ if for all ε > 0 there exists an positive integer N such that If no such N exists then we say that the series diverges. NnallforSuSS n i in ><−=− ∑= ε 1 Convergence Theorem: The series Sn converges as n →∞ if and only if there exists an positive integer M such that If no such M exists then we say that the series diverges. 1 1 ><= ∑= NallforMuS N i iN If S is unknown we can use the Cauchy Criterion for convergence: for all ε > 0 there exists an positive integer N such that NmnallforuuSS m j j n i imn ><−=− ∑∑ == , 11 ε Augustin Louis Cauchy )1789-1857( A necessary (but not sufficient) condition for convergence is that lim i→∞ ui = 0 Return to the Table of Content Cauchy Convergence Criterion
  • 66.
    66 SOLO Infinite Series Given aseries: Theorems of Convergence of Sequences and Series ∑= = n i in uS 1 Convergence Tests In term by term a series of terms 0 ≤ un ≤ an, in which the an form a convergent series, then is also convergent.∑n nu Return to the Table of Content
  • 67.
    67 SOLO The Geometric Series () ( ) ( ) ( ) ( ) ( ) r r a r rrarararaa r rS nn nG − − = − −⋅+++++ = − − − − 1 1 1 1 1 1 132 1  Multiply and divide by (1 – r) ( ) ∑ − = − − =+++++= 1 0 132 1 n i in nG rararararaaS  We can see that ( )      ≥∞ < −= − − = ∞→ − ∞→ diverger converger r a r r aS n n nG n 1 1 1 1 1 limlim 1 Given a series: Theorems of Convergence of Sequences and Series ∑= = n i in uS 1 Infinite Series
  • 68.
    68 SOLO Convergence Tests Cauchy RootTest Augustin Louis Cauchy )1789-1857( If (an) 1/n ≤ r < 1 for all sufficiently large n, with r independent of n, then is convergent. If (an) 1/n ≥ 1 for all sufficiently large n, then is divergent. ∑n na ∑n na The first part of this test is verified easily by raising (an) 1/n ≤ r to the nth power. We get: 1<≤ n n ra ∑n naSince rn is just the nth term in a Convergent Geometric Series, is convergent by the Comparison Test. Conversely, if (an) 1/n ≥ 1, the an ≥ 1 and the series diverge. This Root Test is particularly useful in establishing the properties of Power Series. Given a series: Theorems of Convergence of Sequences and Series ∑= = n i in uS 1 Infinite Series Return to the Table of Content
  • 69.
    69 SOLO Convergence Tests D’Alembert orCauchy Ratio Test Jean Le Rond D’Alembert 1717 - 1783 If (an+1/an) ≤ r < 1 for all sufficiently large n, with r independent of n, then is convergent. If (an+1/an) ≥ 1 for all sufficiently large n, then is divergent. ∑n na ∑n na Convergence is proved by direct comparison with the geometric series (1+r+r2 + … )      = > < + ∞→ ateindetermin,1 ,1 ,1 lim 1 divergence econvergenc a a n n n ∑= = n i n n nS 1 2/Example: convergent n n a a n nn n n n 2 12 2 1 limlim 1 1 = + = +∞→ + ∞→ Given a series: Theorems of Convergence of Sequences and Series ∑= = n i in uS 1 Infinite Series Return to the Table of Content Augustin Louis Cauchy )1789-1857(
  • 70.
    70 SOLO Convergence Tests Maclaurin orEuler Integral Test Given a series: Theorems of Convergence of Sequences and Series ∑= = n i in uS 1 Infinite Series Return to the Table of Content Let f (n) = an, i.e. f (x) is a monotonic decreasing function. Then converges if is finite and diverges if the integral is infinite. ∑n na ( )∫ ∞ 1 xdxf ( ) ( ) ( )1 111 fxdxfaxdxf n n +≤≤ ∫∑∫ ∞∞ = ∞ Colin Maclaurin 1698 - 1746 Leonhard Euler (1707 – 1`783) Is geometrically obvious that: ( )xf x 1 2 3 4 ( ) 11 af = ( ) 22 af = Comparison of Integral and Sum-Blocks Leading ( )xf x1 2 3 4 ( ) 11 af = Comparison of Integral and Sum-Blocks Lagging
  • 71.
    SOLO Convergence Tests Kummer’s Test Considera Series of positive terms ui and a sequence of positive constants ai. If for all n ≥ N, where N is some fixed number, then converges. If and diverges, then diverges. The two tests can be written as: Given a series: Theorems of Convergence of Sequences and Series ∑= = n i in uS 1 Infinite Series ∑ ∞ =1i iu 01 1 >≥− + + Ca u u a n n n n 01 1 ≤− + + n n n n a u u a ∑ ∞ =1i iu∑ ∞ = − 1 1 i ia    ∞→< > =      − −+ + ∞→ divergea converge Ca u u a i n n n n n 11 1 &0 0 lim Ernst Eduard Kummer (1810 – 1893)
  • 72.
    72 SOLO Convergence Tests Kummer’s Test(continue – 1) Consider a Series of positive terms ui and a sequence of positive constants ai. If for all n ≥ N, where N is some fixed number, then converges. 01 1 >≥− + + Ca u u a n n n n ∑ ∞ =1i iu Ernst Eduard Kummer (1810 – 1893) nnnnn NNNNN NNNNN uauauC uauauC uauauC −≤ −≤ −≤ −− +++++ +++ 11 22112 111  Proof: Add and divide by C C ua C ua u nnNNn Ni i −≤∑ += 1 C ua u C ua C ua uuuuS NNN i i nnNNN i i n Ni i N i i n i in +<−+≤+== ∑∑∑∑∑ ==+=== 11111 The partial sums Sn have an upper bound. Since the lower bound is zero the sum must converge.∑ iu q.e.d. Given a series: Theorems of Convergence of Sequences and Series ∑= = n i in uS 1 Infinite Series
  • 73.
    73 SOLO Convergence Tests Kummer’s Test(continue – 2) Given a series: Theorems of Convergence of Sequences and Series ∑= = n i in uS 1 Infinite Series Consider a Series of positive terms ui and a sequence of positive constants ai. If and diverges, then diverges. 01 1 ≤− + + n n n n a u u a ∑ ∞ =1i iu∑ ∞ = − 1 1 i ia Proof: Nnuauaua NNnnnn >≥≥≥ −− ,11  Since an > 0 n NN n a ua u ≥ and ∑∑ ∞ += − ∞ += ≥ 1 1 1 Ni iNN Ni i auau If diverges, then by comparison test diverges.∑ ∞ = − 1 1 i ia ∑ ∞ =1i iu Return to the Table of Content Ernst Eduard Kummer (1810 – 1893)
  • 74.
    74 SOLO Convergence Tests Raabe’s Test Ifun > 0 and if for all n ≥ N, where N is a positive integer independent on, then converges. If Then diverges (as diverges). The limit form of Raabe’s test is Proof: In Kummer’s Test choose an = n and P = C + 1. Joseph Ludwig Raabe (1801 – 1859) Given a series: Theorems of Convergence of Sequences and Series ∑= = n i in uS 1 Infinite Series Return to the Table of Content 11 1 >≥      − + P u u n n n ∑i iu 11 1 ≤      − +n n u u n ∑i iu ∑ − i ia 1      = ∞→< > =      − ∑ − + ∞→ testno divergea converge P u u n i i n n n 1 &1 1 1lim 1 1
  • 75.
    75 SOLO Convergence Tests Gauss’ sTest Carl Friedrich Gauss (1777 – 1855) If un > 0 for all finite n and in which B (n) is a bounded function of n for n → ∞, then converges for h > 1 and diverges for h ≤ 1. There is no indeterminate case here. ( ) 2 1 1 n nB n h u u n n ++= + ∑n nu Proof: For h > 1 and h < 1 the proof follows directly from Raabe’s Test: ( ) ( ) h n nB h n nB n h n u u n nn n n n =    +=    −++⋅=      −⋅ ∞→∞→ + ∞→ lim11lim1lim 2 1 If h = 1, Raabe’s Test fails. However if we return to Kummer’s Test and use an=n ln n: ( ) ( ) ( ) ( ) ( ) ( )             +−−+=    ++− + ⋅=       ++−    ++⋅ ∞→∞→ = ∞→ n nnnn n n nn nn n nB n h nn nn h n 1 1lnlnln1lim1ln1 1 lnlim 1ln11lnlim 1 2 Given a series: Theorems of Convergence of Sequences and Series ∑= = n i in uS 1 Infinite Series
  • 76.
    76 SOLO Convergence Tests Gauss’ sTest Carl Friedrich Gauss (1777 – 1855) If un > 0 for all finite n and in which B (n) is a bounded function of n for n → ∞, then converges for h > 1 and diverges for h ≤ 1. There is no indeterminate case here. ( ) 2 1 1 n nB n h u u n n ++= + ∑n nu Proof (continue – 1): Kummer’s withan=n ln n: ( ) ( ) ( ) ( )             ++−=       ++−      ++⋅ ∞→ = ∞→ n nnn n nB n h nn n h n 1 1ln1lim1ln11lnlim 1 2 ( ) ( ) 01 3 1 2 11 1lim 1 1ln1lim 32 <−=      −+−⋅+−=      +⋅+− ∞→∞→  nnn n n n nn Hence we have a divergence for h = 1. This is an example of a successful application of Kremmer’s Test in which Raabe’s Test failed. Given a series: Theorems of Convergence of Sequences and Series ∑= = n i in uS 1 Infinite Series Return to the Table of Content
  • 77.
    77 SOLO Complex Variables InfiniteSeries, Taylor’s and Laurent Series Let {un} :=u1 (z), u2 (z),…,un (z),…, be a sequence of single-valued functions of z in some region of z plane. We call U (z) the limit of {un} ,if given any positive number ε we can find a number N (ε,z) such that and we write this:( ) ( ) ( )zNnzUzun ,εε >∀<− ( ) ( ) ( ) ( )zUzuorzUzu n nn n ∞→ ∞→ →=lim x y C R If a sequence converges for all values z in a region R, we call R the region of convergence of the sequence. A sequence that is not convergent at some point z is called divergent at z. Infinite Series of Functions
  • 78.
    78 SOLO Complex Variables InfiniteSeries, Taylor’s and Laurent Series Infinite Series of Functions From the sequence of functions {un} let form a new sequence {Sn} defined by: ( ) ( ) ( ) ( ) ( ) ( ) ( ) ( ) ( ) ( )∑= =+++= += = n i inn zuzuzuzuzS zuzuzS zuzS 1 21 212 11   If , the series is called convergent and S (z) is its sum.( ) ( )zSzSnn =∞→ lim A necessary (but not sufficient) condition for convergence is that lim n→∞ un(z) = 0 Example: The Harmonic Series  ++++++=∑ ∞ = nnn 1 4 1 3 1 2 1 1 1 1 0 1 limlim == ∞→∞→ n u n n n By grouping the terms in the sum as ∞→+      + ++ + + + ++      ++++      +++ =>>>         2 1 22 1 2 1 1 2 1 1 1 8 1 7 1 6 1 5 1 4 1 3 1 2 1 1 p p pppp Return to the Table of Content
  • 79.
    79 SOLO Complex Variables AbsoluteConvergence of Series of Functions Given a series of functions: ( ) ( )∑= = n i in zuzS 1 If is convergent the series is called absolutely convergent.( )∑= n i i zu 1 If is convergent but is not, the series is called conditionally convergent. ( )∑= n i i zu 1 ( )∑= n i i zu 1 Return to the Table of Content
  • 80.
    80 SOLO Complex Variables UniformlyConvergence of Sequences and Series If for the sequence of functions {un(z)} we can find for each ε>0 a number N (ε) such that for all z∈R we say that {un} uniformly converges to U (z). ( N is a function only of ε and not of z) ( ) ( ) ( )εε NnzUzun >∀<− If the series of functions {Sn(z)} converges to S (z) for all z∈R we define the remainder ( ) ( ) ( ) ( )∑ ∞ += =−= 1 : nz inn zuzSzSzR The series of functions {Sn(z)} is uniformly convergent to S (z) if for all for all ε>0 and for all z∈R we can find a number N (ε) such that ( ) ( ) ( )εε NnzSzSn >∀<− x y C R Return to the Table of Content
  • 81.
    81 SOLO Complex Variables WeierstrassM (Majorant) Test Karl Theodor Wilhelm Weierstrass (1815 – 11897) The most commonly encountered test for Uniform Convergence is the Weierstrass M Test. Proof: Since converges, some number N exists such that for n + 1 ≥ N, If we can construct a series of numbers , in which Mi ≥ |ui(x)| for all x in the interval [a,b] and is convergent, the series ui(x) will be uniformly convergent in [a,b]. ∑ ∞ 1 iM ∑ ∞ 1 iM ∑ ∞ 1 iM ε<∑ ∞ += 1ni iM This follows from our definition of convergence. Then, with |ui(x)| ≤ Mi for all x in the interval a ≤ x ≤ b, ( ) ε<∑ ∞ += 1ni i xu Hence ( ) ( ) ( ) ε<=− ∑ ∞ += 1ni in xuxsxS and by definition is uniformly convergent in [a,b]. Since we specified absolute values in the statement of the Weierstrass M Test, the series is also Absolutely Convergent. Return to the Table of Content ∑ ∞ =1i iu ∑ ∞ =1i iu
  • 82.
    SOLO Complex Variables Abel’sTest Niels Henrik Abel ( 1802 – 1829) If and the functions fn(x) are monotonic decreasing | fn+1(x) ≤ fn(x)| and bounded, 0 ≤ fn(x) ≤ M, for all x in [a,b], then Converges Uniformly in [a,b]. ( ) ( ) convergentAa xfaxu n nnn ,= = ∑ ( )∑n n xu ( ) ( ) [ ] ( ) [ ]bainconvergentuniformlyisxu xd d baincontinuousarexu xd d andxu n nnn ,&, 1∑ ∞ = Return to the Table of Content Uniformly convergent series have three particular useful properties: 1.If the individual terms un(x) are continuous, the series sum is also continuous. 2. If the individual terms un(x) are continuous, the series may be integrated term by term. The sum of the integrals is equal to to the integral of the sum, then 3.The derivative of the series sum f (x) equals the sum of the individual term derivatives providing the following conditions are satisfied ( ) ( )∑ ∞ = = 1n n xuxf ( ) ( )∑ ∫∫ ∞ = = 1n b a n b a xdxuxdxf ( ) ( )∑ ∞ = = 1n n xu xd d xf xd d
  • 83.
    SOLO Complex Variables UniformlyConvergent Series of Analytic Functions Suppose that (i)Each number of a sequence of functions u1(z), u2(z),…,un(z),… is Analytic inside a Region D, (ii)The Series is Uniformly Convergent through Every Region D’ interior to D. Then the function is Analytic inside D, and all its Derivatives can be calculated by term-by-term Differentiation. ( )∑ ∞ =1n n zu ( ) ( )∑ ∞ = = 1n n zuzf Proof: Let C be a simple closed contour entirely inside D, and let z a Point inside D. Since un(z) is Analytic inside D, we have: ( ) ( ) ∫ − = C n n wd zw wu i zu π2 1 for each function un(z). Hence ( ) ( ) ( ) ∑ ∫∑ ∞ = ∞ = − == 11 2 1 n C n n n wd zw wu i zuzf π
  • 84.
    SOLO Complex Variables UniformlyConvergent Series of Analytic Functions Proof (continue – 1): Since is Uniformly Convergent on C, we may multiply by 1/(w-z) and integrate term-by-term: and we obtain ( ) ( ) ( ) ∑ ∫∑ ∞ = ∞ = − == 11 2 1 n C n n n wd zw wu i zuzf π ( )∑ ∞ =1n n zu ( ) ( ) ∑ ∫∫∑ ∞ = ∞ = − = − 11 n C n C n n wd zw wu wd zw wu ( ) ( ) ( ) ∫∫∑ − = − = ∞ = CC n n wd zw wf i wd zw wu i zf ππ 2 1 2 1 1 The last integral proves that f(z) is Analytic inside C, and since C is an arbitrary closed contour inside D, f(z) is Analytic inside D.
  • 85.
    SOLO Complex Variables UniformlyConvergent Series of Analytic Functions Proof (continue – 2): Since f(z) is Analytic in D, the same is true for f’(z), therefore we can write ( ) ( ) ( )∫ − = C wd zw wf i zf 2 2 1 ' π Therefore q.e.d. ( ) ( ) ( ) ( ) ( ) ( ) ( ) ( )∑∑ ∫ ∫∑∫ ∞ = ∞ = ∞ = = − = − = − = 11 2 1 22 ' 2 1 2 1 2 1 ' n nn C n eConvergenc Uniform C n n C zuwd zw wu i zw wd wu i wd zw wf i zf π ππ Hence the Series can be Differentiate term-by-term
  • 86.
    SOLO Complex Variables UniformlyConvergent Series of Analytic Functions Remarks on the above Theorem (i)The contrast between the conditions for term-by-term differentiation of Real Series, and of Series of Analytic Functions is that - In the case of Real Series we have to assume that the Differentiated Series is Uniformly Convergent. - In the case of Series of Analytic Series the Theorem proved that the Differentiated Series is Uniformly Convergent. (ii)If we merely assumed that the given Series is Uniformly Convergent on a certain Closed Curve C, we could prove as before that f(z) is Analytic at all points inside C. (iii) Even if we assume that each un(z) is Analytic on the Boundary of the Domain D, and the Series is Uniformly Convergent on the Boundary, we can not prove that f(z) is Analytic on the Boundary, or the Differentiated Series Converges on the Boundary. (iv) The Theorem may be stated as a Theorem on Sequences of Functions: If fn(z) is Analytic in D for each value of n, and tends to f(z) Uniformly in any Region interior to D, then f(z) is Analytic inside D, and fn’(z) tends to f’(z) Uniformly in any Region interior to D. Return to the Table of Content
  • 87.
    87 SOLO Complex Variables Letf (z) be analytic at all points within a circle C0 with center at z0 and radius r0. Then at each point z inside C0: Taylor’s Series ( ) ( ) ( ) ( ) ( ) ( ) ( ) ( ) ( )  +−++−+−+= n n zz n zf zz zf zzzfzfzf 0 02 0 0 000 !!2 '' ' Power Series Brook Taylor 1685 - 1731 a convergent power series for some |z-z0|<R (radius of convergence). C x y R z0 C0 C1 z z' r0 r1 r Proof: Start with the Cauchy’s Integral Formula: ( ) ( ) ∫ − = C zd zz zf i zf ' ' ' 2 1 π Use the identity: α α ααα α − +++++≡ − − 1 1 1 1 12 n n  for: ( ) ( )                     − − − − − +        − − +++ − − + − = − − − − = −+− = − − nn zz zz zz zzzz zz zz zz zz zz zzzzzzzzzz 0 0 0 0 1 0 0 0 0 0 0 0000 ' ' 1 1 '' 1 ' 1 ' 1 1 ' 1 ' 1 ' 1  Since z inside C0 |z-z0|=r < r0. For z’ is on C1 we have |z’-z0|=r1<r0
  • 88.
    88 SOLO Complex Variables Taylor’sSeries (continue - 1) Power Series C x y R z0 C0 C1 z z' r0 r1 r Proof (continue - 1): Using the Cauchy’s Integral Formula: ( ) ( ) ∫ − = C zd zz zf i zf ' ' ' 2 1 π ( ) ( )                     − − − − − +        − − +++ − − + − = − − nn zz zz zz zzzz zz zz zz zz zf zz zf 0 0 0 0 1 0 0 0 0 0 ' ' 1 1 '' 1 ' ' ' '  ( ) ( ) ( ) ( ) ( ) ( ) ( ) ( ) ( ) ( ) ( ) ( ) ( ) ( ) ( ) ( ) ( ) ( ) ( ) ( ) ( ) n n n R C n n n nzf C n zf C zf C Rzz n zf zzzfzf zzzz zdzf i zz zz zz zdzf i zz zz zdzf izz zdzf i n n +−++−+= −− − + −         − ++−         − + − = ∫ ∫∫∫ − 0 0 000 0 0 1 0 !/ 0 0 !1/' 2 00 ! ' '' '' 2 ' '' 2 1 ' '' 2 1 ' '' 2 1 0 0 0 0 0 0 0              π πππ We have: ( ) ( ) n i n n C n n n r r rr Mr der rrr Mr zzzz zdzfzz R       − = − ≤ −− − ≤ ∫∫ 11 1 2 0 1 110 0 2'' '' 2 0 π θ θ ππ where |f (z)|<M in C0 and r/r1< 1, therefore: 0 ∞→ → n nR q.e.d. 0100 ' rrzzrzz <=−<=−
  • 89.
    89 SOLO Complex Variables Letf (z) be analytic at all points within a circle C0 with center at z0 and radius r0. Then at each point z inside C0: Taylor’s Series (continue – 2) ( ) ( ) ( ) ( ) ( ) ( ) ( ) ( ) ( )  +−++−+−+= n n zz n zf zz zf zzzfzfzf 0 02 0 0 000 !!2 '' ' Power Series Brook Taylor 1685 - 1731 a convergent power series for some |z-z0|<R (radius of convergence). C x y R z0 C0 C1 z z' r0 r1 r Proof (continue – 2): ( ) ( ) ( ) ( )∑ ∞ = −= 0 01 0 1 !k k k zz k zf zfSuppose the series converges for z=z1: ( ) ( ) ( ) ( ) ( )         − − − =≤         − − −=−≤ <∞ = ∞ = ∞ = ∑∑∑ 01 0 1 001 0 0 01 0 0 0 0 1 !! zz zz M aM zz zz zz k zf zz k zf zf a k k k k k k k k k Since the series converges all its terms are bounded ( ) ( ) ,2,1,0 ! 01 0 =∀<− nMzz k zf k k Define: 01 0 : zz zz a − − = Therefore the series f (z) converges for all 010 zzzz −<− The region of convergence of a Taylor series of f (z) around a point z0 is a circle centered at z and radius of convergence R that extends until f (z) stops to be analytic.
  • 90.
    90 SOLO Complex Variables Taylor’sSeries (continue – 3) ( ) ( ) ( ) ( ) ( ) ( )  +++++= n n z n f z f zffzf ! 0 !2 0'' 0'0 2 Power Series Brook Taylor 1685 - 1731 When z0 = 0 the series is called Maclaurin’s series after Colin Maclaurin a contemporary of Brook Taylor. Colin Maclaurin 1698 - 1746 Examples of Taylor’s Series ∞<= ∑ ∞ = z n z e n n z 0 ! ( ) ( ) ∞< − −= ∑ ∞ = − + z n z z n n n 0 12 1 !12 1sin ( ) ( ) ∞<−= ∑ ∞ = z n z z n n n 0 2 !2 1cos ( ) ∞< − = ∑ ∞ = − z n z z n n 0 12 !12 sinh ( ) ∞<= ∑ ∞ = z n z z n n 0 2 !2 cosh ( ) 11 1 1 0 <−= + ∑ ∞ = zz z n nn Return to the Table of Content
  • 91.
    91 SOLO Complex Variables Laurent’sSeries (1843) Power Series If f (z) is analytic inside and on the boundary of the ring shaped region R bounded by two concentric circles C1 and C2 with center at z0 and respective radii r1 and r2 (r1 > r2), then for all z in R: Pierre Alphonse Laurent 1813 - 1854 C1 x y R C2R2 R1 z0 z z' r P1 P0 z'( ) ( ) ( )∑∑ ∞ = − ∞ = − +−= 1 00 0 n n n n n n zz a zzazf ( ) ( ) ,2,1,0' ' ' 2 1 2 1 0 = − = ∫ +−− nzd zz zf i a C nn π ( ) ( ) ,2,1,0' ' ' 2 1 1 1 0 = − = ∫ + nzd zz zf i a C nn π Proof: Since z is inside R we have R1 <|z-z0|=r < R2 , and |z’-z0|= R1 on C1 and R2 on C2. Start with the Cauchy’s Integral Formula: ( ) ( ) ( ) ( ) ( ) ( ) ( ) ( ) ∫∫∫∫∫∫ − − − =→ − + − + − + − = 212 0 1 1 01 ' ' ' ' ' ' ' ' ' ' ' ' ' ' ' ' ' ' 0 CCC P P P PC dz zz zf dz zz zf zfdzdz zz zf dz zz zf dz zz zf dz zz zf zf   
  • 92.
    92 SOLO Complex Variables Laurent’sSeries (continue - 1) Power Series Pierre Alphonse Laurent 1813 - 1854 C1 x y R C2R2 R1 z0 z z' r Proof (continue – 1): Since z and z’ are inside R we have R1 >|z-z0|=r >R2, |z’-z0|=R1. From Cauchy’s Integral Formula: ( ) ( ) ( ) ∫∫ − − − = 21 ' ' ' ' ' ' CC dz zz zf dz zz zf zf Use the identity: α α ααα α − +++++≡ − − 1 1 1 1 12 n n  For I integral:                     − − − − − +        − − ++ − − + − = − − − − = − − nn zz zz zz zzzz zz zz zz zz zz zzzzzz 0 0 0 0 1 0 0 0 0 0 0 00 ' ' 1 1 '' 1 ' 1 ' 1 1 ' 1 ' 1  ( ) ( ) ( ) ( ) ( ) ( ) ( ) ( ) ( ) ( ) ( ) ( ) ( ) ( ) ( ) ( ) ( ) ( ) ( ) n n n R C n n n zs C n za C za C Rzzzazzzaza zzzz zdzf i zz zz zz zdzf i zz zz zdzf izz zdzf i n n +−⋅++−⋅+= −− − + −         − ++−         − + − = ∫ ∫∫∫ − 0000100 0 0 1 0 0 02 00 2 0 2 01 2 00 2 '' '' 2 ' '' 2 1 ' '' 2 1 ' '' 2 1              π πππ ( ) ∫ −1 ' ' ' 2 1 C zd zz zf iπ We have: ( ) ( ) n n n C n n n R r rR MR dR rRR Mr zzzz zdzfzz R       − = − ≤ −− − ≤ ∫∫ 11 1 2 0 1 110 0 2'' '' 2 0 π θ ππ where |f (z)|<M in R and r/R1< 1, therefore: 0 ∞→ → n nR
  • 93.
    93 SOLO Complex Variables Laurent’sSeries (continue - 2) Power Series Pierre Alphonse Laurent 1813 - 1854 C1 x y R C2R2 R1 z0 z z' r Proof (continue – 1): Since z and z’ are inside R we have R1 >|z-z0|=r > R2, |z’-z0|=R2. From Cauchy’s Integral Formula: ( ) ( ) ( ) ∫∫ − − − = 21 ' ' ' ' ' ' CC dz zz zf dz zz zf zf Use the identity: α α ααα α − +++++≡ − − 1 1 1 1 12 n n  For II integral:                     − − − − − +        − − ++ − − + − = − − − − = − − − nn zz zz zz zzzz zz zz zz zz zz zzzzzz 0 0 0 0 1 0 0 0 0 0 0 00 ' ' 1 1'' 1 1 ' 1 11 ' 1  ( ) ( ) ( ) ( ) ( ) ( ) ( ) ( ) ( ) ( ) ( ) ( ) ( ) ( ) ( ) ( ) ( ) n n n R C n n n za C n za CC Rzzzazzza zzzz zdzfzz i zzzz zdzf izzzz zdzf i zdzf i n n − +− +− − − +−+−− +−++−= −− − + −        − ++ −        − += − +−− ∫ ∫∫∫ 1 001 1 001 0 0 1 0 1 00 2 0 0 0 01 0 01 00 ' ''' 2 1 1 ' '' 2 11 ' '' 2 1 '' 2 1              π πππ ( ) ∫ −C zd zz zf i ' ' ' 2 1 π We have: ( ) ( ) n n n C n n n r R rR RM dR rRr MR zzzz zdzfzz R       − = − ≤ −− − ≤ ∫∫− 2 2 2 2 0 2 2 2 0 0 2' ''' 2 1 0 π θ ππ where |f (z)|<M in R and R2/r< 1, therefore: 0 ∞→ − → n nR Return to the Table of Content
  • 94.
    94 SOLO Complex Variables Zerosof Holomorphic Functions ( ) ( ) ( ) ( ) ( ) ( ) ( ) 00 00 1 0 1 0 ≠==== − zfandzfzfzf kk  We say that Holomorphic Function f (z) has a Zero of Order k at z = z0 if If f (z) has a Zero of Order k at z = z0, by Taylor expansion, we can write with Holomorphic and nonzero. ( ) ( ) ( )zfzzzf k k 0−= ( ) ( ) ( )kk zz zf zf 0 : − = Note: (1) For g (z) = 1/ f (z) the Order k Zeros of f (z) are Order k Poles of g (z) ( ) ( ) ( ) ( )zfzzzf zg k k 111 0− == (2) For ( ) ( ) ( ) ( ) ( )zf zf zz k zf zf zf zd d k k '' ln 0 + − == z = z0, is a Simple Pole. Return to the Table of Content
  • 95.
    95 SOLO Complex Variables Theorem:f(z) Analytic and Nonzero → ln|f(z)| Harmonic If f (z) is analytic for in an Open Set Ω, and has no zeros in Ω, then ln |f(z)| is Harmonic in Ω. Proof : Since f (z) is analytic and has no zeros the logarithm of f(z) is also Analytic g (z) := ln f (z) is Analytic Therefore q.e.d. ( ) ( ) ( ) ( ) ( ) ( )zgizgzgizgzg eeeezf ImReImRe === + and ( ) Harmoniczgizgzg )(Im)(Re += ( ) ( ) ( ) ( )zgzgizg eeezf Re 1 ImRe =⋅=  ( ) ( ) ( ) Harmoniczgezf zg Relnln Re == meaning Harmonicyixgyixg yixg y yixg x yixg y yixg x )(Re),(Re 0)(Im)(Im&0)(Re)(Re 2 2 2 2 2 2 2 2 ++⇔ =+ ∂ ∂ ++ ∂ ∂ =+ ∂ ∂ ++ ∂ ∂ Return to the Table of Content
  • 96.
    96 SOLO Complex Variables PolynomialTheorem If f (z) is analytic for all finite values of z, and as |z| → ∞, and then f (z) is a polynomial of degree ≤ k. Proof : Integrating this result we obtain q.e.d. ( ) kgivenAsomeforzforzAzf k &0, >∞→≤ Using Taylor Series around any analytic point z = a ( ) ( ) ( ) ( ) ( ) ( ) ( ) ( )  +⋅ − ++⋅−+= af n az afazafzf n n ! 1 ( ) ( ) ( ) ( ) ( ) ( ) ( ) ( ) Aafaz z az n af z az k af z az z af z zf nkn k k k k k kkk ≤+⋅−⋅ − ++⋅ − ++⋅ − +≤ −  ! 1 ! 11 If |z| → ∞ , the previous equation is possible only if f(n) (a)=0 for all n > k and all a. Therefore f (k) (a) = constant for all a, i.e. f (k) (z)=ak=constant. ( ) 0 1 1 azazazf k k k k +++= − −  Continuing to Integrate we obtain ( ) ( ) 1 1 − − += kk k azazf Return to the Table of Content
  • 97.
    97 SOLO Complex Variables TheArgument Theorem If f (z) is analytic inside and on a simple closed curve C except for a finite number of poles inside C (this is called a Meromorphic Function), then ( ) ( ) PNdz zf zf i C −=∫ ' 2 1 π where N and P are respectively the number of zeros and poles inside C. Proof: Let write f (z) as: ( ) ( ) ( ) ( )zG z z zf j p j k n k j k ∏ ∏ − − = α β where: ,∑∑ == j j k k pPnN & ( ) ( ) ( ) ( )zGzpznzf jjk k k lnlnlnln +−−−= ∑∑ αβ Differentiate this equation: ( ) ( ) ( ) ( ) ( ) ( ) Cinanalytic j j k k k zG zG z p z n zf zf ' ' + − − − = ∑∑ αβ ( ) ( ) ( ) ( ) ( ) ( ) PNpn zG zG iz p iz n i dz zf zf i j k k C p C j j k n C k k C jk −=−= + − − − = ∑∑ ∫∑∫∑ ∫∫        0 ' 2 1 2 1 2 1' 2 1 παπβππ and G (z) ≠ 0 and analytic in C (G’ (z) exists). ( ) ( ) k C k k C k k ndz z n i dz z n i k = − = − ∫∫ β βπβπ 2 1 2 1 ( ) ( ) j C j j C j j pdz z p i dz z p i j = − = − ∫∫ α απαπ 2 1 2 1 x y C R 1α 3 α 2α kα 1β 2β j β k Cα 3αC 2αC 2βC 1βC j Cβ q.e.d. Return to the Table of Content
  • 98.
    98 SOLO Complex Variables Rouché’sTheorem Eugène Rouché 1832 - 1910 If f (z) and g (z) are analytic inside and on a simple closed curve C and if |g (z)| < |f (z)| on C, then f (z) + g (z) and f (z) have the same number of zeros inside C. Proof: Let F (z):= g (z)/f (z) If N1 and N2 are the number of zeros inside C of f (z) + g (z) and f (z) respectively, and using the fact that those functions are analytic and C, therefore they have no poles inside C, using the Argument Theorem we have ( ) ( )∫= C dz zf zf i N ' 2 1 2 π ( ) ( ) ( ) ( )∫ + + = C dz zgzf zgzf i N '' 2 1 1 π ( ) ( ) ( ) 0 1' 2 1 1 ' 2 1' 2 1 1 '' 2 1 ' 2 1 1 '1' 2 1' 2 1''' 2 1 32 21 = +−+−= + =−      + += − + ++ =− + ++ =− ∫∫∫∫ ∫∫∫∫ CCCC CCCC dzFFFF i dz F F i dz f f i dz F F f f i dz f f i dz Ff FfFf i dz f f i dz Fff FfFff i NN  ππππ ππππ We used the fact that |F|=|g/f|<1 on C, so the series 1-F+F2 +… is uniformly convergent on C and integration term by term yields the value zero. Thus N1=N2 q.e.d. Return to the Table of Content
  • 99.
    99 SOLO Complex Variables FoundamentalTheorem of Algebra (using Rouché’s Theorem) Every polynomial equation P (z) = a0 + a1z+a2z2 +…+anzn =0 with degree n ≥ 1 and an ≠ 0 (ai are complex constants) has at exactely n zeros. Proof: Define: Take C as the circle with the center at the origin and radius r > 1. q.e.d. ( ) n n zazf =: ( ) 1 1 2 210 : − − ++++= n n zazazaazg  ( ) ( ) ra aaaa ra rararara ra rararaa za zazazaa zf zg n n n n n n nnn n n n n n n n n 1210 1 1 1 2 1 1 1 0 1 1 2 210 1 1 2 210 − − − −−− − − − − ++++ = ++++ ≤ ++++ ≤ ++++ =   By choosing r large enough we can make |g (z)|/|f (z)|<1, and using Rouché’s Theorem ( ) ( ) ( ) n n n n zazazazaazgzfzP +++++=+= − − 1 1 2 210  and (n zeros at the origin z = 0) have the same number of zeros, i.e. P (z) has exactly n zeros. ( ) n n zazf =: Return to the Table of Content
  • 100.
    100 SOLO Complex Variables Jensen’sFormula Johan Ludwig William Valdemar Jensen (1859 – 5 1925) which is the Mean-Value Property of the Harmonic Function ln |f(z)|. Suppose that ƒ is an Analytic Function in a region in the complex plane which contains the closed disk D of radius r about the origin, a1, a2, ..., an are the zeros of ƒ in the interior of D repeated according to multiplicity, and ƒ(0) ≠ 0. Jensen's formula states that This formula establishes a connection between the Moduli of the zeros of the function ƒ(z) inside the disk D and the average of log |f(z)| on the boundary circle |z| = r, and can be seen as a generalization of the Mean Value Property of Harmonic Functions. Namely, if f(z) has no zeros in D, then Jensen's formula reduces to ( ) ( )∫∑ +        = = π θ θ π 2 01 ln 2 1 ln0ln derf r a f j n k k ( ) ( )∫= π θ θ π 2 0 ln 2 1 0ln derff j
  • 101.
    101 SOLO Complex Variables Jensen’sFormula (continue – 1) Proof If f has no Zeros in D, then we can use Gauss’ Main Value Theorem to ln f(z) that is Harmonic in D ( ) ( )∫= π θ θ π 2 0 ln 2 1 0ln derff j Since f has Zeros a1, a2,…, an inside D, ( |z| < r) let define the Holomorphic Function F (z) without Zeros in D : ( ) ( ) ( )∏= − − ⋅= n k k k raz rza zfzF 1 2 / /1 : Apply the Gauss’ Main Value theorem for |z|=r ( ) ( ) ( ) ( )∫∫∑ ==        −= = π θ π θ θ π θ π 2 0 2 01 ln 2 1 ln 2 1 ln0ln0ln derfderF r a fF ii n k k and:   1 1 1 1 /1 1 /1 / /1 / /1 2 2 1 2 22 1 22 22 = − − = − − = − − = − − = − − →=⋅= r z a r z a r zz z a rza z a rza z r raz rza raz rza rzzz k k k k k k k k k k The Zeros of f(z) are cancelled. q.e.d. We have: i.e. zk1 is outside the Disk D. rzarzforrza k ra kkkk k >→==− < 1 2 1 2 1 /0/1
  • 102.
    102 SOLO Complex Variables Jensen’sFormula (continue – 2) Johan Ludwig William Valdemar Jensen (1859 – 5 1925) ( ) ( ) ( )zh zg zzf l = Jensen's formula may be generalized for functions which are merely meromorphic on D. Namely, assume that where g and h are analytic functions in D having zeros at respectively, then Jensen's formula for meromorphic functions states that Jensen's formula can be used to estimate the number of zeros of analytic function in a circle. Namely, if f is a function analytic in a disk of radius R centered at z0 and if |f(z)| is bounded by M on the boundary of that disk, then the number of zeros of f(z) in a circle of radius r < R centered at the same point z0 does not exceed { } { }0,,0,, 11 DbbandDaa mn ∈∈  ( ) ( ) ( )∫+= − π θ π 2 01 1 ln 2 1 ln 0 0 ln i m nnm erf bb aa r h g   ( ) ( )0 ln /ln 1 zf M rR
  • 103.
    103 SOLO Complex Variables Jensen’sFormula (continue – 3) Johan Ludwig William Valdemar Jensen (1859 – 5 1925) Jensen's formula may be put in an other way. If n (r) denotes the number of Zeros, including multiplicity, and p (r) denotes the number of Poles, including multiplicity, for |z| < r, then the Jensen’s Formula can be written as ( ) ( ) ( ) ( )0lnln 2 1 lnln 2 0110 fderf b r a r dx x xpxn j n j j m k k r −=         −        = − ∫∑∑∫ == π θ θ π Proof         −−−=         −        ∑∑∑∑ ==== n j j m k k n j j m k k brnarm b r a r 1111 lnlnlnlnlnln ( ) ( ) ( ) ( )        −+−−−+−= ∑∑ − = + − = + n n j jjm m k kk brnbbjarnaak lnlnlnlnlnlnlnln 1 1 1 1 1 1         +−         += ∫∑ ∫∫∑ ∫ − = − = ++ r r n j r r r r m k r r n j jn k k x xd n x xd j x xd m x xd k 1 1 1 1 11
  • 104.
    104 SOLO Complex Variables Jensen’sFormula (continue – 4) Johan Ludwig William Valdemar Jensen (1859 – 5 1925) Jensen's formula may be put in an other way. If n (r) denotes the number of Zeros, including multiplicity, and p (r) denotes the number of Poles, including multiplicity, for |z| < r, then the Jensen’s Formula can be written as ( ) ( ) ( ) ( )0lnln 2 1 lnln 2 0110 fderf b r a r dx x xpxn j n j j m k k r −=         −        = − ∫∑∑∫ == π θ θ π Proof (continue – 1)         +−         +=         −        ∫∑ ∫∫∑ ∫∑∑ − = − === ++ r r n j r r r r m k r r n j j m k k n j jn k k x xd n x xd j x xd m x xd k b r a r 1 1 1 111 11 lnln But k = n (x) for rm ≤ x ≤ rm+1, m = n (x) for rn ≤ x ≤ r, and j = p (x) for rj ≤ x ≤ rj+1, n = p (x) for rn ≤ x ≤ r Hence ( ) ( ) xd x xp xd x xn b r a r rrn j j m k k ∫∫∑∑ −=         −        == 0011 lnln q.e.d. Return to the Table of Content
  • 105.
    105 SOLO Complex Variables Poisson-Jensen’sFormula for a Disk Johan Ludwig William Valdemar Jensen (1859 – 5 1925) Poisson Formula states: Siméon Denis Poisson 1781-1840 Let g (z) be analytic inside and on the circle C defined by |z| = R, and let z = r e iθ be any point inside C, then: ( ) ( )∫ − − = π φ θφ θ φ π 2 0 2 22 2 1 deRg ereR rR erg i ii i In our case ƒ is an analytic function in a region in the complex plane which contains the closed disk D of radius R about the origin, a1, a2, ..., am are the Zeros, and b1, b2, ..., bn are the Poles of ƒ in the interior of D repeated according to multiplicity. Since f has Zeros a1, a2,…, an inside D, ( |z| < r) let define the Holomorphic Function F (z) without Zeros in D : ( ) ( ) ( ) ( ) Rz Rzb Rbz Raz Rza zfzF m k n j j j k k = − − ⋅ − − ⋅= ∏ ∏= =1 1 2 2 /1 / / /1 : Zeros and Poles of f(z) are cancelled, and new ones are outside D.
  • 106.
    106 SOLO Complex Variables Poisson-Jensen’sFormula for a Disk Johan Ludwig William Valdemar Jensen (1859 – 5 1925) Let apply the Poisson Formula to g (z) = ln |F (z)|: ( ) ( ) ( ) ( ) ( ) ∏∏ == − − + − − +== n j j j m k k k Rzb Rbz Raz Rza zfzFzg 1 2 1 2 /1 / ln / /1 lnlnln: ( ) ( ) 1 /1 / / /1 2 2 Rz j j Rz k k Rzb Rbz Raz Rza == = − − = − − Siméon Denis Poisson 1781-1840 We proved that: ( ) ( )φφ ii eRfeRg ln= The Poisson Formula to g (z) = ln F (z) is: ( ) ( ) ( ) ( ) RzdeRf ereR rR Rzb Rbz Raz Rza zf i ii n j j j m k k k < − − = − − + − − + ∫ ∏∏ == π φ θφ φ π 2 0 2 22 1 2 1 2 ln 2 1 /1 / ln / /1 lnln RzRzbandRzRza jjjkkk >→=−>→=− 1 2 11 2 1 0/1,0/1
  • 107.
    107 SOLO Complex Variables Poisson-Jensen’sFormula for a Disk Johan Ludwig William Valdemar Jensen (1859 – 5 1925) Siméon Denis Poisson 1781-1840 The Poisson-Jensen’s Formula for a Disk is: ( ) ( ) ( ) ( ) RzdeRf ereR rR Rzb Rbz Raz Rza zf i ii n j j j m k k k < − − = − − + − − + ∫ ∑∑ == π φ θφ φ π 2 0 2 22 1 2 1 2 ln 2 1 /1 / ln / /1 lnln For z = r = 0 we obtain the Jensen’s Formula: ( ) ( )∫=       + − π φ φ π 2 021 21 ln 2 1 ln0ln deRfR aaa bbb f inm m n   If there are no Zeros or Poles in D, it reduces to Poisson’s Formula: ( ) ( ) RzdeRf ereR rR zf i ii < − − = ∫ π φ θφ φ π 2 0 2 22 ln 2 1 ln Return to the Table of Content
  • 108.
    108 SOLO Complex Variables TheResidue Theorem, Evaluations of Integral and Series If f (z) is analytic inside and on the boundary of a circle C, except it’s center z0, then according to Laurent’s Series: C x y R R z0 z z' r P0 ( ) ( ) ( )∑∑ ∞ = − ∞ = − +−= 1 00 0 n n n n n n zz a zzazf ( ) ( ) ,2,1,0' ' ' 2 1 1 0 = − = ∫ +−− nzd zz zf i a C nn π ( ) ( ) ,2,1,0' ' ' 2 1 1 0 = − = ∫ + nzd zz zf i a C nn π Let compute ( ) ( ) ( ) ( ) ,2,1,0' ' ' '''' 1 00 0 = − +−= ∑ ∫∫ ∑ ∫ ∞ = − ∞ = nzd zz zf azdzzazdzf n C nn C n C n n ( ) ( ) ( )    = ≠ = − ==− ∫∫ 12 10 ' ' ' &,2,1,00'' 0 0 ni n zd zz zf nzdzz C n C n π  Therefore: ( ) 12'' −∫ = aizdzf C π Because only a-1 is involved in the integral above, it is called the residue of f (z) at z = z0. Return to the Table of Content
  • 109.
    109 SOLO Complex Variables TheResidue Theorem, Evaluations of Integral and Series According to residue definition the residue of f (z) at z = z0 can be computed as follows: C x y R R z0 z z' r P0 If z = z0 is a pole of order k, i.e. the Laurent series at z0 is Then: ( )∫=− C zdzf i a '' 2 1 1 π Calculation of the Residues ( ) ( ) ( ) ( ) ( )  +−+−++ − ++ − + − = −−− 2 02010 0 2 0 2 0 1 zzazzaa zz a zz a zz a k k ( ) ( ) ( )[ ]zfzz zd d k a k k k zz 01 1 1 !1 1 lim 0 − − = − − →− ( ) ( ) ( ) ( ) ( ) ( ) ( )  +−+−+−+++−+−=− ++ − − − − − 2 02 1 0100 2 02 1 010 kkk k kkk zzazzazzaazzazzazfzz and: If z = z0 is a pole of order k=1, then: ( ) ( )[ ]zfzza zz 01 0 lim −= →− ( ) ( ) ( )∑∑ = − ∞ = − +−= k n n n n n n zz a zzazf 1 00 0 Return to the Table of Content
  • 110.
    110 SOLO Complex Variables TheResidue Theorem, Evaluations of Integral and Series The Residue Theorem If f (z) is analytic inside and on the boundary of a closed curve C, except at the singularities z01, z02,…,z0n, which have residues Re1, Re2,…,Ren, then: Proof: ( ) ( )n C izdzf ReReRe2'' 21 +++=∫ π x y C R 01z nzC 2zC 02z 1zC nz0 Surround every singularity z0i by a small closed curve Czi, that enclosed only this singularity. Connect those Curves to C by a small corridor (the width of which shrinks to zero, so that the integration along the opposite directions will cancel out) ( ) ( ) ( ) ( ) 0'''''''' 21 =−−−− ∫∫∫∫ znzz CCCC zdzfzdzfzdzfzdzf  We have , therefore:( ) i C izdzf zi Re2'' π∫ = ( ) ( ) ( ) ( ) ( )n CCCC izdzfzdzfzdzfzdzf znzz ReReRe2'''''''' 21 21 +++=+++= ∫∫∫∫  π q.e.d. Return to the Table of Content
  • 111.
    111 SOLO Complex Variables TheResidue Theorem, Evaluations of Integral and Series Evaluation of Integrals Theorem 1 If |F (z)| ≤ M/Rk for z = R e iθ where k > 1 and M are constants, then where Γ is the semicircle arc of radius R, center at origin, in the upper part of z plane. ( ) 0lim =∫Γ →∞ zdzFR x y Γ R Proof: ( ) 1 0 1 0 == = ΓΓ =≤=≤ ∫∫∫∫ kk i k eRz k R M d R M deRi R M zd R M zdzF i π θθ ππ θ θ Therefore: ( ) 0limlim 1 1 0 1 > −→∞− Γ →∞ ==≤ ∫∫ k kRkR R M d R M zdzF π θ π ( ) 0lim =∫Γ →∞ zdzFR and: ( ) ( ) ( ) 0limlimlim0 =≤≤−= ∫∫∫ Γ →∞ Γ →∞ Γ →∞ zdzFzdzFzdzF RRR q.e.d.Return to the Table of Content
  • 112.
    112 SOLO Complex Variables TheResidue Theorem, Evaluations of Integral and Series Evaluation of Integrals Jordan’s Lemma If |F (z)| ≤ M/Rk for z = R e iθ where k > 0 and M are constants, then where Γ is the semicircle arc of radius R, center at origin, in the upper part of z plane, and m is a positive constant. ( ) 0lim =∫Γ →∞ zdzFe zmi R x y Γ R Proof: ( ) 0lim =∫Γ →∞ zdzFe zmi R using: q.e.d. ( ) ( )∫∫ = Γ = π θθ θ θ θ 0 deRieRFezdzFe iieRmi eRz zmi i i ( ) ( ) ( ) ( ) ∫∫∫ ∫∫∫ − − − − − − =≤= =≤ 2/ 0 sin 1 0 sin 1 0 sin 0 sincos 00 2 π θ π θ π θθ π θθθθ π θθ π θθ θθθ θθθ θθ dRe R M dRe R M dReRFe deRieRFedeRieRFedeRieRFe Rm k Rm k iRm iiRmRmiiieRmiiieRmi ii 2/0/2sin πθπθθ ≤≤≥ for π2/π 1 θsin πθ /2 θ ( ) ( )Rm k Rm k Rm k iieRmi e R M de R M de R M deRieRFe i −− − − − −=≤≤ ∫∫∫ 1 222 2/ 0 /2 1 2/ 0 sin 1 0 π π π θ π θθ θθθ θ ( ) ( ) 01 2 limlim 0 =−≤ − →∞→∞ ∫ Rm kR iieRmi R e R M deRieRFe i π θθ θ θ Marie Ennemond Camille Jordan 1838 - 1922
  • 113.
    113 SOLO Complex Variables TheResidue Theorem, Evaluations of Integral and Series Evaluation of Integrals Jordan’s Lemma Generalization If |F (z)| ≤ M/Rk for z = R e iθ where k > 0 and M are constants, then for Γ a semicircle arc of radius R, and center at origin: ( ) 00lim >=∫Γ →∞ mzdzFe zmi R x y Γ R where Γ is the semicircle, in the upper part of z plane. 1 ( ) 00lim <=∫Γ →∞ mzdzFe zmi R x y Γ R where Γ is the semicircle, in the down part of z plane. 2 ( ) 00lim >=∫Γ →∞ mzdzFe zm R x y Γ R where Γ is the semicircle, in the right part of z plane. 3 ( ) 00lim <=∫Γ →∞ mzdzFe zm R where Γ is the semicircle, in the left part of z plane. 4 x yΓ R Return to the Table of Content
  • 114.
    114 SOLO Complex Variables TheResidue Theorem, Evaluations of Integral and Series Evaluation of Integrals Integral of the Type Bromwwich-Wagner ( )∫ ∞+ ∞− jc jc ts sdsFe iπ2 1 The contour from c - i ∞ to c + i ∞ is called Bromwich Contour Thomas Bromwich 1875 - 1929 x y 0< Γt R c x y 0>Γt R c ( ) ( ) ( ) ( ) ( ) ( ) ( )    < > ==         +== ∫ ∫∫∫ Γ ∞+ ∞− →∞ ∞+ ∞− 0 0 2 1 lim 2 1 2 1 tzFeRes tzFeRes zdzF i sdsFesdsFe i sdsFe i tf tz planezRight tz planezLeft ts ic ic ts R ic ic ts π ππ where Γ is the semicircle, in the right part of z plane, for t < 0. where Γ is the semicircle, in the left part of z plane, for t > 0. This integral is also the Inverse Laplace Transform. Return to the Table of Content
  • 115.
    115 SOLO Complex Variables TheResidue Theorem, Evaluations of Integral and Series Evaluation of Integrals Integral of the Type ,F (sin θ, cos θ) is a rational function of sin θ and cos θ ( )∫ π θθθ 2 0 cos,sin dF Let z = e iθ 22 cos, 22 sin 11 −−−− + = + = − = − = zzee i zz i ee iiii θθθθ θθ zizdddzideizd i /=→== θθθθ ( ) ∫∫       +− = −− C zi zdzz i zz FdF 2 , 2 cos,sin 112 0 π θθθ where C is the unit circle with center at the origin. C x y R=1 Return to the Table of Content
  • 116.
    116 SOLO Complex Variables TheResidue Theorem, Evaluations of Integral and Series Evaluation of Integrals Definite Integrals of the Type .( )∫ +∞ ∞− xdxF If the conditions of Theorem 1, i.e.: if |F (z)| ≤ M/Rk for z = R e iθ where k > 1 and M are constants, then and we can write ( ) 0lim =∫Γ →∞ zdzFR x y Γ R ( ) ( ) ( ) ( ) ( )zFResizdzFzdzFxdxFxdxF planezUpper R R R π2lim ==         += ∫∫∫∫ Γ + − →∞ +∞ ∞− Example: Heaviside Step Function ( ) x e i xF txi π2 1 := x y Γ R 0>t x y Γ R 0<t This function has a single pole at z = 0. For t > 0 Γ is the semicircle, in the upper part of z plane. We also include on the path x = - ∞ to x = + ∞ a small semicircle such that the pole z = 0 is included. For t < 0 Γ is the semicircle, in the lower part of z plane. We also include on the path x = - ∞ to x = + ∞ a small semicircle such that the pole z = 0 is excluded.     <= >= =∫ +∞ ∞− 00/ 01/ 2 1 tzeRes tzeRes xd x e i tzi planezLower tzi planezUpper txi π Return to the Table of Content
  • 117.
    117 SOLO Complex Variables TheResidue Theorem, Evaluations of Integral and Series Evaluation of Integrals Cauchy’s Principal Value Cauchy’s Principal value deals with integrals that have singularities along the integration paths. Start with the following: Theorem 1: If f (z) is analytic on and inside a positive-sensed circle C of radius ε, centered at z = z0, then ( ) ( )0 0 0 lim zfi zz zdzf C ψ ψ ε = −∫→ where Cψ is every arc on C of angle ψ. Proof: Since f (z) is analytic inside and on C we can use the Taylor series expansion to write ( ) ( ) ( ) ( ) ( )∑ ∞ = −+= 1 0 0 0 !n n n zz n zf zfzf ( ) ( ) ( ) ( ) ( ) ( ) ( ) ( )    zg n n n zz n zf zz zf zz zf ∑ ∞ = − −+ − = − 1 1 0 0 0 0 0 ! Consider the integral on Cψ defined by z=z0 + ε e iθ θ0 ≤ θ ≤ θ0 + ψ C x y ψC 0 z 0 θ 0 θψ + ψ ε O
  • 118.
    118 SOLO Complex Variables TheResidue Theorem, Evaluations of Integral and Series Evaluation of Integrals Cauchy’s Principal Value (continue – 1) Proof (continue – 1): Since g (z) is bounded inside and on C , there is a positive number M such that |g (z)| < M for all z such that |z – z0| < ε ( ) ( ) ( )∫∫∫ + − = − ψψψ CCC zdzg zz zdzf zz zdzf 0 0 0 ( ) ( ) ( ) ( )00 0 0 0 0 0 0 0 zfidizf zz zd zf zz zdzf i ezz CC ψθ ψθ θ ε θ ψψ == − = − ∫∫∫ + += ( ) ( ) ( )εψ ψψ MLMzdzgzdzg CC =<≤ ∫∫ Where L = ψ ε is the length of Cψ. ( ) ( ) ( ) 0lim0limlim 000 =⇒=≤ ∫∫ →→→ ψψ εεε εψ CC zdzgMzdzg ( ) ( ) ( ) ( ) 0lim0limlimlim0 0000 =⇒=≤≤−= ∫∫∫∫ →→→→ ψψψψ εεεε CCCC zdzgzdzgzdzgzdzg Therefore ( ) ( )0 0 0 lim zfi zz zdzf C ψ ψ ε = −∫→ q.e.d. Note: For ψ = 2 π we recover the Cauchy’s Integral result. C x y ψC 0 z 0 θ 0θψ + ψ ε O
  • 119.
    119 SOLO Complex Variables TheResidue Theorem, Evaluations of Integral and Series Evaluation of Integrals Cauchy’s Principal Value (continue – 2) Theorem 2: If F (z) is analytic on and inside a positive-sensed circle C of radius ε, except at the center of C, z = z0, that is a simple pole of F (z), then C x y ψC 0 z 0 θ 0 θψ + ψ ε O ( ) ( )[ ]0 0 lim zFResizdzF C ψ ψ ε =∫→ where Cψ is every arc on C of angle ψ. Proof: Since f (z) is analytic inside and on C by using Theorem 1 we obtain the desired result. The function: ( ) ( ) ( ) ( )[ ] ( ) ( )[ ]    =−= ≠− = → 000 00 0 lim zzzFzzzFRes zzzFzz zf zz
  • 120.
    120 SOLO Complex Variables TheResidue Theorem, Evaluations of Integral and Series Evaluation of Integrals Cauchy’s Principal Value (continue – 3) Theorem 3: If F (z) is analytic on and inside a positive-sensed curve C, except at the interior poles zint1, zint2,…, zint n and the simple poles on the curve C, zcont1, zcont2,…, zcont m, then Proof: x y 1intz 2intz n zint 1+scontext z 2cz ck z 1c ε 2c ε 0 C 2+scontext z 1in tcont z 2intcontz mcontext z scontz int scontint ε mcontext ε 2intcont ε 2+scontext ε 1+scontext ε 2in tcontCz 2+scontext Cz 1+scontext Cz 1in tcont Cz mcontext Cz scont Cz in t ∑= += m k kcontCCC 1 0 ( ) ( ) ( ) ( )[ ] ( )[ ]         +=++ ∑∑∑ ∫∑ ∫∫ ==+== s k kcont n j j m sk C s k CC zFReszFResizdzFzdzFzdzF kextcontkcont 1 int 1 int 11 2 int0 π ( ) ( )[ ] ( )[ ]         += ∑∑∫ == m k kcont n j j C zFReszFResizdzF 11 int 2 1 2π Let encircle the simple poles zcont k on the C contour by semicircles Ccont k of radiuses ε cont k such that, randomly, zcont int 1,…, zcont int s, are inside the integration contour, and zcont ext s+1,…,zcont ext m are outside the integration contour. We have: where
  • 121.
    121 SOLO Complex Variables TheResidue Theorem, Evaluations of Integral and Series Evaluation of Integrals Cauchy’s Principal Value (continue – 4) Proof (continue – 1): x y 1intz 2intz n zint 1+scontext z 2cz ck z 1c ε 2cε 0 C 2+scontext z 1intcont z 2intcontz mcontext z scontz int scontin t ε mcontext ε 2in tcont ε 2+scontext ε 1+scontext ε 2intcontCz 2+scontext Cz 1+scontext Cz 1intcont Cz mcontext Cz scont Cz int ( ) ( )[ ]       = ∑∑ ∫ == → s k kcont s k C zFResizdzF kcont kcont 1 int 1 0 int int lim πε The integrals along the semicircles Ccont k of the singularities zcont ext s+1,…,zcont ext m that are outside the integration contour, are in the negative direction, and we have, according to Theorem 2: ( ) ( ) ( )[ ] ( )[ ]         +== ∑∑∫∫ == → ∑ m k kcont n j j CC zFReszFResizdzFzdzF c 11 int 0 2 1 2lim 0 π ε therefore: Since the integrals along the semicircles Ccont k of the singularities zcont int 1,…, zcont int s, that are inside the integration contour, are in the positive direction we have, according to Theorem 2: ( ) ( )[ ]       −= ∑∑ ∫ +=+= → m sk kextcont m sk C zFResizdzF kextcont kcont 11 0int lim πε ( ) ( ) ( ) ( )[ ] ( )[ ]         +=++ ∑∑∑ ∫∑ ∫∫ ==+== s k kcont n j j m sk C s k CC zFReszFResizdzFzdzFzdzF kextcontkcont 1 int 1 int 11 2 int0 π Note: This result is independent on the way that we encircled the simple poles on the curve C. q.e.d.
  • 122.
    122 SOLO Complex Variables TheResidue Theorem, Evaluations of Integral and Series Evaluation of Integrals Cauchy’s Principal Value (continue – 5) If F (x) is continuous in a ≤ x ≤ b except at a point x0 such that a < x0 < b, then if ε1 and ε2 are positive then the integral exists if and only if the limit: ( ) ( ) ( )         += ∫∫∫ + − → → b x x a b a xdxFxdxFxdxF 10 10 2 1 0 0 lim ε ε ε ε ( )∫ b a xdxF ( ) ( )         + ∫∫ + − → → b x x a xdxFxdxF 10 10 2 1 0 0 lim ε ε ε ε exists. If the limit does exist, the integral is equal to the value of this limit: For this limit to exist, it must always have the same definite value regardless of how the quantities ε1 and ε2 approach zero. Cauchy’s Principal Value is defined as: ( ) ( ) ( )         += ∫∫∫ + − → b x x a b a xdxFxdxFxdxFPV ε ε ε 0 0 0 lim: Clearly, if the integral exists, then PV exists and is equal to the integral, but the opposite is not true. ( )∫ b a xdxF
  • 123.
    123 SOLO Complex Variables TheResidue Theorem, Evaluations of Integral and Series Evaluation of Integrals Cauchy’s Principal Value (continue – 6) Example: x y x 1 a− a ∫− a a xd x 1         + ∫∫ + − −→ → a a xd x xd x 1 1 2 1 11 lim 0 0 ε ε ε ε doe’s not exists 0 11 lim 11 lim 11 lim 1 00 0 ≡         −=         +=         += ∫∫∫∫ ∫∫∫ − − − − → → − − − − → −= − − → − εε ε ε ε ε ε ε ε aa xu a a vu a a a a xd x xd x ud u xd x vd v xd x xd x PV Cauchy’s PV does exist, in this case, but has no meaning. Return to the Table of Content
  • 124.
    124 SOLO Example ( ) ∫ ∞ 0 sin dk k kr Let compute: x y R ε A B C D E F G H Rx=Rx −= For this use the integral: 0=∫ABCDEFGHA zi dz z e Since z = 0 is outside the region of integration 0=+++= ∫∫∫∫∫ − − BCDEF ziR xi GHA zi R xi ABCDEFGHA zi dz z e dx x e dz z e dx x e dz z e ε ε ∫∫∫∫∫∫ ∞∞ ∞→ → − ∞→ → ∞→ → − −∞→ → === − =+ 00 0000 sin 2 sin 2 sin lim2limlimlim dk k rk idx x x idx x x idx x ee dx x e dx x e R R R xixi R R xi RR xi R ε ε ε ε ε ε ε ε πθθθε ε ππ ε ε π θ θ ε ε ε ε θ θθ idideidei e e dz z e i ii eii i eiez GHA zi −==== ∫∫∫∫ →→ = → 00 1 0 0 00 limlimlim  ( ) 01 2 2 0 /2 /2sin 0 sin 00 ∞→ −− ≥ − = →−=≤=≤= ∫∫∫∫∫ R RRReRii i eRieRz BCDEF zi e R dedededeRi eR e dz z e i ii π θθθθ π πθ πθθ π θ ππ θ θ θ θθ Therefore: 0 sin 2 0 =−= ∫∫ ∞ πidk k rk idz z e ABCDEFGHA zi ( ) 2 sin 0 π =∫ ∞ dk k kr Complex Variables
  • 125.
    125 SOLO Example 2 0, 1 21 2 1 >∫− RRxd x R R kLet compute:for k integer and positive x y R ε A B C D E F G H Rx =Rx −= This integral has a singularity on the path of integration on x = 0: Complex Variables ( ) ( ) ( )[ ]    > ≤< =+−−+−−= −−=         += −−−− → → − − − − → → − −→ → − ∫∫∫ 1 100 lim lim 11 lim 1 1 2 1 2 1 1 1 1 0 0 11 0 0 0 0 2 1 2 2 1 1 2 1 2 2 1 12 1 2 1 kdefinednot k kRkRkk xkxkxd x xd x xd x kkkk R k R k R k R k R R k εε ε ε ε ε ε ε ε ε ε ε Let compute: ( ) ( ) ( ) ( ) ( )    > ≤< =      − − −+−−+−−=         −+−=         ++= − − −−−− → − − − − → − − → − ∫∫∫∫∫ oddk k e k kRkRkk xk eR deRi xkxd x zd z xd x xd x ki k kkkk R k kik i R k R k C k R k R R k &10 100 1 1 lim lim 111 lim 1 2 1 11 2 1 1 1 0 1 0 1 00 2 2 1 1 2 1 2 1 π ε ε π θ θ ε ε εε ε ε ε εε θ
  • 126.
    126 SOLO Complex Variables TheResidue Theorem, Evaluations of Integral and Series Evaluation of Integrals Differentiation Under Integral Sign, Leibnitz’s Rule ( ) ( ) constantbaxd xF xdxF d d b a b a = ∂ ∂ = ∫∫ , , , α α α α This is true if a and b is constant, α is real and α1 ≤ α ≤ α2 where α1 and α2 are constants, and F (x,α) is continuous and has continuous partial derivative with respect to α for a ≤ x ≤ b, α1 ≤ α ≤ α2. Gottfried Wilhelm von Leibniz (1667-1748) ( ) ( ) ( ) ( ) ( ) ( ) ( ) ∫∫∫ ∂ ∂ += b a d bd d ad b a xd xF xdxFxdxF d d α α αα α α α α α α α , ,, When a and/or b are functions of α, then: Return to the Table of Content
  • 127.
    127 SOLO Complex Variables TheResidue Theorem, Evaluations of Integral and Series Summation of Series Proof: Start with the following contour of integration CN, that is a square with vertices at (N+1/2) (±1±i): x y ( )iN −−      + 1 2 1 1 2 N 1+N1−−N N− 1−2− ( )iN −      + 1 2 1 ( )iN +      + 1 2 1 ( )iN +−      + 1 2 1 N C We want to show that on CN: π π π − − − + < e e z 1 1 cot For y > 1/2 12 2 : 1 1 1 1 cot A e e e e ee ee ee ee ee ee ee ee z y y yy yy yxiyxi yxiyxi yxiyxi yxiyxi zizi zizi = − + ≤ − + = − + = − + ≤ − + = − + < − − − − − − +−− +−− +−− +−− − − π π π π ππ ππ ππππ ππππ ππππ ππππ ππ ππ π For y < - 1/2 12 2 1 1 1 1 cot A e e e e ee ee ee ee z y y yy yy yxiyxi yxiyxi = − + ≤ − + = − + = − + ≤ − − − − − − +−− +−− π π π π ππ ππ ππππ ππππ π ( ) ( ) ( ) ( ){ }zfzsnf zfpoles ππ cotRe∑∑ −= +∞ ∞−
  • 128.
    128 SOLO Complex Variables TheResidue Theorem, Evaluations of Integral and Series Summation of Series (continue – 1) Proof (continue – 1): Start with the following contour of integration CN, that is a square with vertices at (N+1/2) (±1±i): x y ( )iN −−      + 1 2 1 1 2 N 1+N1−−N N− 1−2− ( )iN −      + 1 2 1 ( )iN +      + 1 2 1 ( )iN +−      + 1 2 1 N C We want to show that on CN: π π π − − − + < e e z 1 1 cot For y > ½ and y < - 1/2 1: 1 1 cot A e e z = − + ≤ − − π π π For - ½ ≤ y ≤ ½ consider, first, z = N +1/2 + i y ( ) ( ) ( ) π π ππ πππ − − − + =<=≤= +=++= e e AAy yiyiNz 1 1 2/tanhtanh 2/1cot2/1cotcot 12 For - ½ ≤ y ≤ ½ and z = -N -1/2 + i y ( ) ( ) 12 2/tanhtanh2/1cotcot AAyyiNz <=≤=+−−= ππππ y π π − − − + e e 1 1 2 1 zπcot 2 1 −       2 tanh π
  • 129.
    129 SOLO Complex Variables TheResidue Theorem, Evaluations of Integral and Series Summation of Series (continue -2) Proof (continue -2) : x y ( )iN −−      + 1 2 1 1 2 N 1+N1−−N N− 1−2− ( )iN −      + 1 2 1 ( )iN +      + 1 2 1 ( )iN +−      + 1 2 1 N C We proved that on CN: A e e z = − + < − − π π π 1 1 cot Residue of π cot (π z) f (z) at the poles of cot (π z), i.e. z = n, n = 0, ±1, ±2, … Case 1: f (z) has finite number of poles ( ) ( ){ } ( ) ( ) ( ){ } ( ) ( ) ( ) ( ) ( ) ( ) ( ) ( )nfnfn z zfz z nz zfznzzfzRes nz HopitalL nz nznz ==       − = −= →→ →= π ππ π π π π ππππ cos cos limcos sin lim cotlimcot ' ( ) ( ) ( ) ( ){ } ( ) ( ) ( ) ( ){ }zfzszfzResdzzfz NN Cin zfpoles n n nf nz C ππππππ cotRecotcot ∑∑∫ += +∞= −∞= =    ( ) ( ) ( ) ( ) 048limlimcotlim 48 =      +=      ≤ →∞ += →∞→∞ ∫ N N MA LM N A dzzfz kN NL CkN C N NC N N π πππ ( ) ( ) ( ) ( ){ }zfzsnf NCin zfpoles ππ cotRe∑∑ −= +∞ ∞−
  • 130.
    130 SOLO Complex Variables TheResidue Theorem, Evaluations of Integral and Series Summation of Series (continue -3) ( ) ( ) ( ) ( ){ }zfzsnf NCin zfpoles ππ cotRe∑∑ −= +∞ ∞− Proof (continue -3) : x y ( )iN −−      + 1 2 1 1 2 N 1+N1−−N N− 1−2− ( )iN −      + 1 2 1 ( )iN +      + 1 2 1 ( )iN +−      + 1 2 1 N C We proved that on CN: A e e z = − + < − − π π π 1 1 cot Case 1: f (z) has finite number of poles ( ) ( ) ( ) ( ) 0cotlimcotlim =≤ ∫∫ →∞→∞ NN C N C N dzzfzdzzfz ππππ ( ) ( ) ( ) ( ) ( ) ( ){ }zfzsnfdzzfz NN Cin zfpoles n nC ππππ cotRecot ∑∑∫ += +∞= −∞= Therefore ( ) ( ) ( ) ( ){ }zfzsnf zfpoles ππ cotRe∑∑ −= +∞ ∞− q.e.d. Case 2: f (z) has infinite number of poles Since CN is expanding to include all s plane, when N → ∞, it will encircle, at the limit all the poles of f (z). Return to the Table of Content
  • 131.
    131 SOLO Complex Variables TheResidue Theorem, Evaluations of Integral and Series Summation of Series Proof: Start with the same contour of integration CN, that is a square with vertices at (N+1/2) (±1±i): x y ( )iN −−      + 1 2 1 1 2 N 1+N1−−N N− 1−2− ( )iN −      + 1 2 1 ( )iN +      + 1 2 1 ( )iN +−      + 1 2 1 N C On CN: 2csc Az <π ( ) ( ) ( ) ( ) ( ){ }zfzsnf zfpoles n ππ cscRe1 ∑∑ −=− +∞ ∞− Residue of π csc (π z) f (z) at the poles of csc (π z), i.e. z = n, n = 0, ±1, ±2, … ( ) ( ){ } ( ) ( ) ( ){ } ( ) ( ) ( ) ( ) ( ) ( ) ( )nfnf z zf z nz zfznzzfzRes n nz HopitalL nz nznz 1 cos lim sin lim csclimcsc ' −==       − = −= →→ →= ππ π π π ππππ ( ) ( ) ( ) ( ){ } ( ) ( ) ( ) ( ) ( ){ }zfzszfzResdzzfz N nN Cin zfpoles n n nf nz C N ππππππ cscRecsccsclim0 1 ∑∑∫ +== +∞= −∞= − =→∞    ( ) ( ) ( ) ( ) ( ){ }zfzsnf zfpoles n ππ cscRe1 ∑∑ −=− +∞ ∞− q.e.d. Return to the Table of Content
  • 132.
    132 SOLO Complex Variables TheResidue Theorem, Evaluations of Integral and Series Summation of Series Proof: Start with the same contour of integration CN, that is a square with vertices at (N+1/2) (±1±i): x y ( )iN −−      + 1 2 1 1 2 N 1+N1−−N N− 1−2− ( )iN −      + 1 2 1 ( )iN +      + 1 2 1 ( )iN +−      + 1 2 1 N C On CN: 3 tan Az <π ( ) ( ) ( ){ }zfzs n f zfpoles ππ tanRe 2 12 ∑∑ −=      ++∞ ∞− Residue of π tan (π z) f (z) at the poles of tan(π z), i.e. z = (2n+1)/2, n = 0, ±1, ±2, … ( ) ( ) ( ){ } ( ) ( ) ( ) ( ) ( ) ( ) ( ) ( ) ( )       + =      + =                     + − =             + −= +→+→ +→+= 2 12 2 12 cos limsin cos 2 12 lim tan 2 12 limtan 2/12 ' 2/12 2/122/12 n f n f z zfz z n z zfz n zzfzRes nz HopitalL nz nznz ππ π π π π ππππ ( ) ( ) ( ) ( ){ } ( ) ( ) ( ){ }zfzszfzResdzzfz NN Cin zfpoles n n n f nz C N ππππππ tanRetancsclim0 2 12 ∑∑∫ +== +∞= −∞=       + =→∞    ( ) ( ) ( ){ }zfzs n f zfpoles ππ tanRe 2 12 ∑∑ −=      ++∞ ∞− q.e.d. Return to the Table of Content
  • 133.
    133 SOLO Complex Variables TheResidue Theorem, Evaluations of Integral and Series Summation of Series Proof: Start with the same contour of integration CN, that is a square with vertices at (N+1/2) (±1±i): x y ( )iN −−      + 1 2 1 1 2 N 1+N1−−N N− 1−2− ( )iN −      + 1 2 1 ( )iN +      + 1 2 1 ( )iN +−      + 1 2 1 N C On CN: 4 sec Az <π ( ) ( ) ( ) ( ){ }zfzs n f zfpoles n ππ secRe 2 12 1 ∑∑ −=      + − +∞ ∞− Residue of π sec (π z) f (z) at the poles of sec (π z), i.e. z = (2n+1)/2, n = 0, ±1, ±2, … ( ) ( ) ( ){ } ( ) ( ) ( ) ( ) ( ) ( ) ( ) ( ) ( )       + −=      + =                     + − =             + −= +→+→ +→+= 2 12 1 2 12 sin lim cos 2 12 lim 2 12 limsec 2/12 ' 2/12 2/122/12 n f n f z zf z n z zfzesc n zzfzRes n nz HopitalL nz nznz ππ π π π ππππ ( ) ( ) ( ) ( ){ } ( ) ( ) ( ) ( ){ }zfzszfzResdzzfz N n N Cin zfpoles n n n f nz C N ππππππ secResecseclim0 2 12 1 ∑∑∫ +== +∞= −∞=       + − =→∞    ( ) ( ) ( ) ( ){ }zfzs n f zfpoles n ππ secRe 2 12 1 ∑∑ −=      + − +∞ ∞− q.e.d. Return to the Table of Content
  • 134.
    134 SOLO Perron’s Formula ( )   > < =∫ = 11 10 2 1 2:Re aif aif ds s a i ss s π Oskar Perron ( 1880 – 1975)Proof Define the two semi-circular paths CL (left side), CR (right side) with s=2 as the common origin., and R → ∞. ∫∫ ∫∫ == + ≤ + RLRL RLRL C R C R C i iRR C s dadR R a deRi iRR a ds s a ,, ,, cos cos sincos sincos ϕϕ ϕ ϕϕ ϕ ϕ ϕ ϕϕ       <<>>∞ <>>< =≤ ∫∫ ∞→∞→           LR LR RLRL CC CC C R R C s R aora aora dads s a )0cos&1()0cos&1( )0cos&1()0cos&1(0 limlim ,, cos ϕϕ ϕϕ ϕϕ Complex Variables
  • 135.
    135 SOLO Perron’s Formula ( )   > < =∫ = 11 10 2 1 2:Re aif aif ds s a i ss s π Proof (continue) We can see tat       <= >=⋅ =       < > += → += += 10Residue 11lim 1Residue 1Residue 2Re 0 2Re 2Re a s a a s a s a s a a s a s Cs s s s Cs s Cs RR L q.e.d. ( )       < > =        < > =        < > += += += += += ∞+ ∞−= ∫ ∫ ∫ ∫ ∫∫ 1Residue 1Residue 1 1 1 1 2 1 2Re 2Re 2Re 2Re 0 2 22:Re a s a a s a ads s a ads s a ads s a ads s a ds s a ds s a i s Cs s Cs Cs s Cs s C s C s i i s ss s R L R L R L    π Complex Variables Return to the Table of Content
  • 136.
    136 SOLO z z ofzerosn n z z z n π π π π sin ,2,11 sin 1 2 2 ±±=      −=∏ ∞ = ( ) ( )z ofzerosn e n z ez zte n n z z zt Γ −−=       + =Γ= ∏ ∫ ∞ = − ∞ −− 1 ,2,1 1 1 1 0 1  γ Euler’s Product ( ) ( ) ( )  ( ) ( ) ( ) ( ) ( )        γγ ς ς ρς ρ ρ ς ρ ς 2/1 1 2/2/ 1 1 2 0 10 1 2 11 1 1 zzz n n z zeroszTrivial zerosztrivialNon z zofpole zba primep z e n z e z z e pz +Γ = Γ ∞ = − − = << + −− ∏∏∏       +⋅      −⋅ − =−= Weierstrass Product Hadamard Product ( ) ( ) ∏ ∞ = ⋅−=      −−= −ΓΓ 1 2 2 sin1 1 n z z n z z zz π π ( ) ( )( ) ( ) ( ) ( ) ( ) ∏ > = −−       − +Γ− = 0Im 0 2/12ln 1 2/112 ρ ρς ρ γπ ρ ς s e s ss e s Infinite Products Complex Variables
  • 137.
    137 SOLO In 1735 Eulersolved the problem, named “Basel Problem” , posed by Mengoli in 1650, by showing that 6 1 4 1 3 1 2 1 1 2 1 2232 π ==++++ ∑ ∞ =n n  ∏ ∞ =       −=⋅      −⋅      −⋅      −= 1 22 2 2 2 2 2 2 2 1 9 1 4 11 sin k k xxxx x x ππππ  He did this by developing an Infinite Product for sin x /x: The roots of sin x are x =0, ±π, ±2π, ±3π,…. However sin x/x is not a polynomial, but Euler assumed (and check it by numerical computation) that it can be factorized using its roots as We now that if p (x) and q (x) are two polynomials, then using the roots of the two polynomials we have: ( ) ( ) ( )( ) ( ) ( )( ) ( )m n qqqq pppp xxxxxxa xxxxxxa xq xp −−− −−− =   21 21 We want to show how to express a general solution for complex function f (x) using the zeros and the poles (finite or infinite) of f (x). Infinite Products Complex Variables
  • 138.
    138 SOLO Definition 1: We saythat the Infinite Product converges, if for any N0 > iN the limit exists and is nonzero. If this is satisfied then we can compute ( ) ( ) ( )∑∏∏ =∞→=∞→=∞→ === N Nj i N N Nj i N N Ni i N N 0000 lnlimlnlimlimlnln αααβ We transformed the Infinite Product in an Infinite Series, and we know that a necessary (but not sufficient) condition for an Infinite Series to converge is ( ) 1lim0lnlim =⇒= ∞→∞→ j j j j αα For simplicity we will define 0lim1 =⇒+= ∞→ j j jj aaα ∏ ∞ =1j jα 00 lim N N Nj j N βα =∏ =∞→ Infinite Products Complex Variables
  • 139.
    139 SOLO Lemma 2: Let ajϵ C be such that |aj| < 1. Let . Then( )∏ = += N j jN aQ 1 1: ∏∏ == ≤≤ N j j N j j a N a eQe 11 2 1 Proof: Since 1 + |aj| ≤ e |aj| ( ) ( ) ∑ ≤++ = N j j N a Q N eaa 1 11 1     On the other hand, since ex ≤ 1 + 2 x for 0 ≤ x ≤ 1, ( )( ) ( )( ) NN aa a Qaaeee N j jN j jNN j j =++≤≤= ∏∏∏ == − = 2/212/21 1 22 2 2 1 11 1 1  q.e.d. Proof: Suppose . Then, by the previous Lemma, QN ≤ eM , for all N. Since Q1 ≤Q2 ≤ …., the sequence of “partial products” {QN} converges. Conversely, if the Infinit Product converges to Q, then Q ≥ 1 and for all N. Then converges. ( ) Maj j =+∏ ∞ =1 1 ∑ ∞ =1j ja Qa N j j ln21 ≤∑ = Lemma 3: Let aj ϵ C be such that |aj| < 1. Then converges if and only if converges. ( )∏ ∞ = +1 1j ja ∑ ∞ =1j ja q.e.d. Infinite Products Complex Variables
  • 140.
    140 SOLO Proof: Since theproduct converges, then |aj| → 1, so that aj ≠ 0 for j ≥ j0. Let assume j0 = 1, and define ( )∏ +∞ = +1 1j ja ( ) ( )∏∏ == +=+= N j jN N j jN aQandaP 11 1:,1: Note that for a suitable choice of indexes ajk ( ) ∑ ∏∏ = == +=+= N n n k j N j jN k aaP 1 11 11: Then 11 1 11 1 −=≤=− ∑ ∏∑ ∏ = == = N N n n k j N n n k jN QaaP kk and for N, M > 1, N > M ( ) ( ) ( ) ( ) ( )( ) MN n Mj jM n Mj j M j j NMN j M j jjMN QQaQ aaaaPP −=−+≤ +−⋅+=+−+=− ∏ ∏∏∏ ∏ += +== < = = 11 11111 1 111 1 Hence, {PN} is a Cauchy Sequence, since {QN} is, and it converges. Infinite Products Complex Variables Lemma 4: If the infinite product converges, then also converges. Hence if the series converges, also converges. ( )∏ +∞ = +1 1j ja ( )∏ +∞ = +1 1j ja ( )∏ +∞ = +1 1j ja∑ +∞ =1j ja
  • 141.
    141 SOLO Proof (continue –1): We need to prove that {PN} does not converge to zero. By Lemma 2 ( ) 2 3 1 ≤≤+ ∑ = = ∏ N Mj jaN Mj j ea for M ≥ j0, and N > M. Then using ( ) ( ) 2 1 1 2 3 1111 =−≤−+≤+− ∏∏ == N Mj j N Mj j aa for M ≥ j0, and N > M. Hence ( ) 2 1 1 ≥+∏ = N Mj ja so that ( ) ( ) ( ) 01 2 1 11limlim 0 11 >+≥+⋅+= ∏∏∏ ===+∞→+∞→ j j j N Mj j M j j j N j aaaP q.e.d. 11 −≤− NN QP Infinite Products Complex Variables Lemma 4: If the infinite product converges, then also converges. Hence if the series converges, also converges. ( )∏ +∞ = +1 1j ja ( )∏ +∞ = +1 1j ja ( )∏ +∞ = +1 1j ja∑ +∞ =1j ja
  • 142.
    142 SOLO The Mittag-Leffler andWeierstrass , Hadamard Theorems Magnus Gösta Mittag-Leffler 1846 - 1927 Karl Theodor Wilhelm Weierstrass (1815 – 11897) We want to answer the following questions: • Can we find f M (C) so that f has poles exactly aϵ prescribed sequence {zn} that does not cluster in C, and such that f has prescribed principal parts (residiu) at these poles (this refers to fixing the entire portion of the Laurent Series with negative powers at each pole)? A positive answer to this question was given by Mittag-Leffler • Can we find f H (C) so that f has zeros exactly at aϵ given sequence {zn} ? A positive answer to this question was given by Weierstrass and improved by Hadamard Infinite Products Complex Variables Jacques Salomon Hadamard )1865–1963(
  • 143.
    143 SOLO Complex Variables TheResidue Theorem, Evaluations of Integral and Series Mittag-Leffler’s Expansion Theorem Magnus Gösta Mittag-Leffler 1846 - 1927 ( ) ( ) ( )∑ ∞ =         + − += 1 11 0 n nn n aaz afResfzf Suppose that the only singularities of f (z) in the z-plane are the simple poles a1, a2,…, arranged in order of increasing absolute values. The respective residues of f are Res { f (a1)}, Res { f (a2)}, … C x y RN 1 a n a CN ξ Proof: Assume ξ is not a pole of f (z), then has simple poles at a1, a2,…, and ξ. ( ) ξ−z zf Residue of at an, n = 1,2,… is ( ) ξ−z zf ( ) ( ) ( ) ξξ − = − − → n n naz a afRes z zf az n lim Residue of at ξ is ( ) ξ−z zf ( ) ( ) ( )ξ ξ ξ f z zf z naz = − − → lim Let take a circle CN at the origin with a radius RN → ∞ By the Residue Theorem ( ) ( ) ( ) ∑∫ − += − N N Cinn n n C a afRes fdz z zf ξ ξ ξ Assume f (z) is analytic at z = 0, then ( ) ( ) ( ) ∑∫ += N N Cinn n n C a afRes fdz z zf 0
  • 144.
    144 SOLO Complex Variables TheResidue Theorem, Evaluations of Integral and Series Mittag-Leffler’s Expansion Theorem (continue – 1) C x y RN 1 a n a CN ξ Proof (continue – 1): Let take a circle CN at the origin with a radius RN → ∞ ( ) ( ) ( ) ∑∫ − += − N N Cinn n n C a afRes fdz z zf i ξ ξ ξπ2 1 ( ) ( ) ( ) ∑∫ += N N Cinn n n C a afRes fdz z zf i 0 2 1 π ( ) ( ) ( ) ( ) ( ) ( )∫∫ ∑ − =      − − =         − − +− NN N CC Cinn nn n dz zz zf i dz zz zf i aa afResff ξπ ξ ξπ ξ ξ 2 11 2 1 11 0 Since | z-ξ | ≥ | z | - | ξ |=RN - | ξ | for z on CN, we have if | f(z) | ≤ M ( ) ( ) ( ) 0 2 limlim = − ⋅ ≤ − →∞→∞ ∫ ξ π ξ NN N R C R RR RM dz zz zf N N N ( ) ( ) 0lim = −∫→∞ N N C R dz zz zf ξ ( ) ( ) ( )∑ ∞ =         + − += 1 11 0 n nn n aaz afResfzf Therefore using this result and ξ → z, we obtain q.e.d.
  • 145.
    145 SOLO Complex Variables TheResidue Theorem, Evaluations of Integral and Series Mittag-Leffler’s Expansion Theorem (continue – 1) Example: Expand 1/sinz Define ( ) zz zf 1 sin 1 : −= ( ) 0 cossincos sin lim cossin cos1 lim sin sin lim 1 sin 1 lim0 0 ' 0 ' 00 = +⋅− = ⋅+ − = ⋅ − =      −= → →→→ zzzz z zzz z zz zz zz f z HopitalL z HopitalL zz f (z) has Simple Poles at n π, n=±1, ±2,… with Residue ( ) ( ) ( )n nz HopitalL nznznz z z nz zz nzzf 1 cos 1 lim sin lim 1 sin 1 limRes ' −== =            −= ±→ ±→±→±= π πππ π π   ( ) ( ) ( ) ( ) ( ) ( )∑∑∑ ∑ ∞+ = ∞+ = ∞+ = ∞ =       − −=      − + −+      + − −=       + − +=−= 1 222 11 10 1 12 11 1 11 1 11 Res0 1 sin 1 n n n n n n n nn n nz z nnznnz aaz aff zz zf πππππ
  • 146.
    146 SOLO Complex Variables TheResidue Theorem, Evaluations of Integral and Series Generalization of Mittag-Leffler’s Expansion Theorem q.e.d. Suppose that the only singularities of f (z) in the z-plane are the poles a1, a2,…, arranged in order of increasing absolute values, and having Higher Order then One. The respective residues of f are Res { f (a1)}, Res { f (a2)}, … Suppose that exists a Positive Integer p such that for |z| = RN |f (z)| < RN p+1 and the poles a1, a2,…, an are all inside the Circle of Radius RN around the origin (|a1|≤ |a2|≤…≤ |an | < RN). Then ( ) ( ) ( ) ( ) ( ) ( ) ( ) ( ) ( ) ( ) ( ) ( )∑ ∑ ∑ = ∞ = + ∞ = + +         ++++ − += − ++++= p i j p j p jjj j ii j j p j p i p p a z a z aaz af i zf aza z aff p z f z fzf 1 1 12 1 1 1 1 11 Res ! 0 Res0 ! 0 !1 0   Proof: Start with the Integral ( ) ( ) ( ) ( ) ( ) ( ) ( ) ( )∑∑ ∫ − +       − +       − = − = ++=+= + Nj N Cina j p j j pwpzw C p zaa af zww wf zww wf dw zww wf i I 1101 1 Res ResRes 2 1 π C x y RN 1 a n a CN ξ Return to Infinite Product
  • 147.
    147 SOLO Complex Variables TheResidue Theorem, Evaluations of Integral and Series Generalization of Mittag-Leffler’s Expansion Theorem Proof (continue – 1): but ( ) ( ) ( ) ( ) ( ) ( ) 111 limRes ++→+= =       − ⋅−=       − ppzwpzw z zf zww wf zw zww wf C x y RN 1 a n a CN ξ ( ) ( ) ( ) ( ) ( ) ( ) ( ) i i ip pp i w p p p p wpw wd wfd zwwd d ipi p p zww wf w wd d pzww wf       −− =       − ⋅=       − − − = → + + →+= ∑ ∑ 1 !! ! ! 1 lim ! 1 limRes 1 0 0 1 1 010 ( ) ( ) ( ) ( ) 1 1 !11 +− − − − − −− =       − ip ip ip p zw ip zwwd d ( ) ( ) ( ) ( ) ( ) ( ) ( ) ( ) ( ) ∑ ∑∑ = +− = +− − →+= −= − −− − =       − p i ip i p i i i ip ip wpw zi f wd wfd zw ip ipi p pzww wf 0 1 0 1010 ! 0 !1 !! ! ! 1 limRes Therefore Leibnitz Formula for Repeated Differentiation of a Product
  • 148.
    148 SOLO Complex Variables TheResidue Theorem, Evaluations of Integral and Series Generalization of Mittag-Leffler’s Expansion Theorem Proof (continue – 2): but ( ) ( ) ( ) ( ) ( )∑∑ − +−= + = +−+ Nj Cina j p j j p i ip i p zaa af zi f z zf 1 0 11 Res ! 0 C x y RN 1 a n a CN ξ Therefore ( ) ( ) ( ) ( ) ( ) ( ) ( ) ( )∑∑ ∫ − +       − +       − = − = ++=+= + Nj N Cina j p j j pwpzw C p zaa af zww wf zww wf dw zww wf i I 1101 1 Res ResRes 2 1 π ( ) ( ) ( ) ( ) ( ) 0max 2 2 1 2 1 1 max 11 ∞→⇔∞→ < ++ + → − ≤ − = ∫ N p N NC N N Rn RwfC N p N N C p wf zRR R dw zww wf i I π ππ ( ) ( ) ( ) ( ) ( ) 0 Res ! 0 1 1 0 11 = − +− ∑∑ ∞ = + = +−+ j j p j j p i ip i p zaa af zi f z zf ( ) ( ) ( ) ( ) ( )∑∑ ∞ = + + = − += 1 1 1 0 Res ! 0 j j p j p j p i ii aza zaf i zf zf
  • 149.
    149 SOLO Complex Variables TheResidue Theorem, Evaluations of Integral and Series Generalization of Mittag-Leffler’s Expansion Theorem We can see that for p = 0 we get C x y RN 1 a n a CN ξ ( ) ( ) ( ) ( ) ( ) ( )∑∑ ∞ = ∞ =       + − += − += 11 11 Res0 Res 0 n nn n n nn n aaz aff aza zaf fzf We recovered the Mittag-Leffler’s Expansion Theorem ( ) ( ) ( ) ( ) ( )∑∑ ∞ = + + = − += 1 1 1 0 Res ! 0 j j p j p j p i ii aza zaf i zf zf ( ) ( ) ( )∑∑ ∞ = + ∞ = + +         ++++ − = − 1 12 1 1 1 11 Res Res j p j p jjj j j j p j p j a z a z aaz af aza zaf  q.e.d. Proof (continue – 3):
  • 150.
    150 SOLO Start with someintroductory results: Theorem Let f (z) be entire holomorphic (analytic for all z C) and f (z) ≠ 0ϵ everywhere. There is an entire function g (s) for which f = eg . Corollary If f (z) is entire Holomorphic (analytic) with finitely many zeros {ai≠0}(with multiplicity) and m zeros at z=0, then there exists an entire g (z) such that ( ) ( ) ( )∏ −= n zgm azezzf /1 Proof: Since is entire with no zeros we can apply the previous Theorem ( ) ( )∏ − n m azzzf /1/ q.e.d. The Weierstrass Factorization Theorem Karl Theodor Wilhelm Weierstrass (1815 – 11897) Infinite Products Complex Variables ( ) ( ) ( )zf zf zf zd d ' ln = Proof: Since f (z) ≠ 0 and entire, f’ (s) is also entire, and so is f’(z)/ f (z), therefore ( ) ( ) ( ) ( ) entireiszf zd d zf zf zg zd d ln ' : == and taking g (0)= 1 we obtain ( ) ( )zg ezf = q.e.d.
  • 151.
    151 SOLO The Weierstrass FactorizationTheorem Definition We define the Weierstrass Elementary Factors as ( ) ( ) ( )    =− =− = +++   ,2,11 01 , 2 2 nez nz nzE n zz z n Lemma For |z| ≤ 1, |1 – E (z,n)| ≤ |z|n+1 . Proof: The case n = 0 is trivial. Let n ≥ 1. Let differentiate E (z,n) ( ) ( )( ) ( ) n zz z nn zz z nn zz z n zz z nn zz z nnnnn ezezeezzzenzE zd d ++++++++++++ − +++ −=−+−=++−+−=   222212 22222 111, By developing in a Taylor series ( ) 0, 2 2 >−=−= ∑ ∞+ = +++ k nk k k n zz z n bzbeznzE zd d n  ( ) ( ) ( )∑∑ +∞ = + +∞ = +=⇒= 0 1 0 1,, k k k k k k zaknzE sd d zanzE ( )         =< + −= ==== == + +   ,2,10 0 1,0 21 0 j jn b a aaa nEa jn jn n Karl Theodor Wilhelm Weierstrass (1815 – 11897) Inspired by the fact that ( ) +++= − =⋅− − 321 1 ln&11 32 1 1 ln zz z z ez z w have the following Infinite Products Complex Variables
  • 152.
    152 SOLO The Weierstrass FactorizationTheorem Definition We define the Weierstrass Elementary Factors as ( ) ( ) ( )    =− =− = +++   ,2,11 01 , 2 2 nez nz nzE n zz z n Lemma For |z| ≤ 1, |1 – E (z,n)| ≤ |z|n+1 . Proof (continue – 1): ( ) 01, 1 <+= ∑ +∞ += k nk k k azanzE So for |z| ≤ 1 ( ) ( ) ( ) ( ) 1 0 1 1 1 1 1 1 1 11 1 11 1 ,11 ,1 ++ ∞+ += + ∞+ += + ≤ +∞ += +−+ +∞ += +−+ +∞ += =         −=−=≤ ≤==− ∑∑ ∑∑∑ nn nk k n nk k n s nk nk k n nk nk k n nk k k znEzazaz zazzazzanzE  q.e.d. Infinite Products Complex Variables
  • 153.
    153 SOLO The Weierstrass Product Let{zj} be a sequence of complex numbers such that limj→∞ |zj|=+∞. We may assume that 0 < |z1| ≤ |z2| ≤… Let {pj} be integers. Then the Weierstrass Product defined as converges uniformly on every set {|z|≤r}, to a holomorphic entire function F. The zeros of F are precisely the points {zj} counted with the corresponding multiplicity. ∏∏ ∞+ =         ++         + ∞+ =         −=         1 1 2 1 1 2 1, j z z pz z z z j j j j jp jjjj e z z p z z E  Proof: Let r > 0 be fixed. Let j0 be such that |zj| > r for j ≥ j0. Thus, 11 1, ++         ≤≤−         jj p j p j j j z r z z p z z E By the hypothesis on the pj’s, +∞<         ≤−         ∑∑ ∞+ = + ∞+ = 00 1 1, jj p j jj j j j z r p z z E By Weierstrass M (Majorant Test) it follows that converges uniformly on {|z| ≤ r}, for any r > 0. Then exist C > 0 such that ( )∑ +∞ = − 0 1,/jj jj pzzE C jj p z z Ep z z E jj j j eeeCp z z E j j jj j j ≤=⇒≤−         ∏∑ ∞ = −         ∑ −         ∞+ = ∞+ = 0 0 0 1,1, 1, C jj p z z E jj j j jj j j jj p z z E eep z z Ep z z Ee j j Taylor j j ≤≤∑ −         +≤∑         = ∏∏ ∞ = −         ⇐ ∞+ = ⇐ ∞+ = ⇐∞+ =         0 00 0 1,, 1,1, Infinite Products Complex Variables
  • 154.
    154 SOLO Genus of theCanonical Product Infinite Products Complex Variables Let {zj} be a sequence of nonzero complex numbers having finite exponent of convergence. Then the Weierstrass Product is called Canonical Weierstrass Product, and the Smallest Integer p such that is called the Genus of the Canonical Product.. ∏∏ ∞+ =         ++         + ∞+ =         −=         1 1 2 1 1 2 1, j z z pz z z z j j j j jp jjjj e z z p z z E  +∞<∑ ∞+ = +1 1 1 min j p j p z
  • 155.
    155 SOLO The Weierstrass FactorizationTheorem Lemma Let {zj} be a sequence of complex numbers such that limj→∞ |zj|=+∞. Then there exists an entire function F whose zeros are precisely the {zj}, counting multiplicity. This function is This is a Generalization of the Fundamental Theorem of Algebra ( ) ∏ ∞+ +=         −= 1 1,: kj j k j z z EssF Infinite Products Complex Variables
  • 156.
    156 SOLO The Hadamard FactorizationTheorem Examples: (1) Polynomials have Order 0. Let N be the degree of p (z) for all ε > 0 and a suitable constant Cε . ( ) ∞→≤≤+++= raseCrCazazazp rNn n ε ε01 (2) The exponential ex has order 1, and more generally, have order n and no smaller power of r would suffice. (3) sin z, cos z, sinh z, cosh z have order 1. (4) exp {exp z} has infinite order. nnnn rzzr eeee ≤≤= Re n x e Infinite Products Complex Variables Jacques Salomon Hadamard )1865–1963( Definition: Order of an Entire Function An Entire (analytic for all z C) Function f is said to be of Order ρ, 0 ≤ ρ ≤ +∞, ifϵ meaning that ( ) ( )       ∞→== =≥ rasezf r rz λ λ ρ Osupinf: 0 ( ){ }CzallforeAzfBAexists zB ∈≤>= ≥ λ λ ρ :0,inf: 0
  • 157.
    157 SOLO The Hadamard FactorizationTheorem Relation berween Order ρ and Integer Genus p of an Entire Function Infinite Products Complex Variables Jacques Salomon Hadamard )1865–1963( Paul Garrett, “Weirstrass and Hadamard Products”, March 17, 2012, http://www.math.umn.edu/~garrett/ If {zj} has finite Order of Convergence ρ1, then its Genus p is such that: - if ρ1 is not integer, p < ρ1 < p+1; - if ρ1 is an integer, then p = ρ1 if diverges, and p=ρ1-1 if converges. ( )∑ ∞+ =1 1 /1j jz ρ ( )∑ ∞+ =1 1 /1j jz ρ
  • 158.
    158 SOLO Complex Variables TheResidue Theorem, Evaluations of Integral and Series Expansion of an Integral Function as an Infinite Product An Integral Function is a function which is Analytic for all finite values of z. For example ez , sin z, cos z are Integral Functions. An Integral Function may be regarded as a generalization of a Polynomial. Let f (z) be an Integral Function (no Poles) with Simple/Non-simple Zeros at a1, a2,…,an,.., arranged in increasing order (|a1|≤ |a2|≤…≤|an|≤…. ). Suppose that exists a Positive Integer p such that for |z| = RN |f (z)| < RN p+1 and the Zeros a1, a2,…, an are all inside the Circle of Radius RN around the origin (|a1|≤ |a2|≤…≤ |an | < RN). Then f (z) can be expanded as an Infinite Product (Hadamard):( ) ( ) ( ) ( ) pi i f f zd d c e a z efzf z i i i j a z pa z a z j zczc p j p jj p p ,,1,0 !1 : 10 0 1 1 1 1 1 2 1 1 1 2 2 1 11    = +       =         −= = + ∞ = + +++ + ∏ + + + + C x y RN 1 a na CN ξ Note: 1.The minimum p for which |f(z)|<RN p+1 is called the Order of f(z) 2.If f(z) has no poles or zeros then the previous relation reduces to ( ) ( ) 1 11 0 + ++ = p p zczc efzf  The Hadamard Factorization Theorem Return to Gamma F. Return to Zeta F.
  • 159.
    159 SOLO Complex Variables TheResidue Theorem, Evaluations of Integral and Series Expansion of an Integral Function as an Infinite Product Proof: C x y RN 1 a n a CN ξ Let compute: ( ) ( ) ( ) ( )zf zf zf zd d 1 ln = ( ) ( ) ( ) ( ) ( ) ( ) ( ) 1limlimRes 1 21'11 =         −+ =         − =       →→ = f fazf f faz f f j az HopitalL j az az jj j Define ( ) ( ) pi i f f zd d c z i i i ,,1,0 !1 : 0 1 1 = +       = = + ( ) ( ) ( ) ( ) ∑∑ ∞ = + = +         ++++ − ++= 1 12 0 1 1 11 1 j p j p jjj p i i i a z a z aaz zic zf zf  All Zeros of f (z) (a1, a2,…,an,..) are Simple Poles of f(1)( z)/f(z), therefore we can apply the previous result and write: ( ) ( ) ( ) ( ) ( ) ∑∑ ∞ = + == =         ++++ −      +       = 1 12 1 0 0 1 1 11 Res ! j p j p jjjaz p i i z i i a z a z aazf f i z f f zd d zf zf j  The Hadamard Factorization Theorem
  • 160.
    160 SOLO Complex Variables TheResidue Theorem, Evaluations of Integral and Series Expansion of an Integral Function as an Infinite Product Proof (continue – 1): C x y RN 1 a n a CN ξ Integrating from 0 to z along a path not passing through any of aj, we obtain ( ) ( ) ∑∑ ∞ = + + = + +         + ++++         − − += 1 1 1 2 2 0 1 1 1 1 2 1 ln 0 ln j p j p jjj j p i i i a z pa z a z a az zc f zf  The values of the logarithms will depend on the path chosen, but when we take exponentials all the ambiguities disappear, ( ) ( ) ( ) ( ) ∑∑ ∞ = + = +         ++++ − ++= 1 12 0 1 1 11 1 j p j p jjj p i i i a z a z aaz zic zf zf  ( ) ( ) ∏ ∞ = + +++ ∑ + + = + +         −= 1 1 1 2 1 1 1 2 2 0 1 1 1 0 j a z pa z a z j zc p j p jj p i i i e a z e f zf  q.e.d. If |f(z)| < RN p+1 it will be true for all q > p. If we choose the ρ = min p for which the inequality holds, then we obtain the Hadamard’s Factorization . The Hadamard Factorization Theorem
  • 161.
    161 SOLO Complex Variables TheResidue Theorem, Evaluations of Integral and Series Example: Expand sinz/z Define ( ) z z zf sin := ( ) 1 1 cos lim sin lim0 0 ' 0 === →→ z z z f z HopitalL z f (z) has Simple Zeros at n π, n=±1, ±2,… Expansion of an Integral Function as an Infinite Product ( ) ( ) ∏∏∏ ∞ = ∞ = ∞ =       −=      +⋅      −== 1 22 2 11 111 sin 0 nnn n z n z n z z z f zf πππ ( ) 01 sin 0 =⇒=≤= pR z z zf N Leonhard Euler )1707–1783( We recovered the Euler Product Formula 1735
  • 162.
    162 SOLO Analytic continuation (sometimescalled simply "continuation") provides a way of extending the domain over which a complex function is defined. The most common application is to a complex analytic function determined near a point by a power series ( ) ( )∑ ∞ = −= 0 0 k k k zzazf Such a power series expansion is in general valid only within its radius of convergence. However, under fortunate circumstances (that are very fortunately also rather common!), the function will have a power series expansion that is valid within a larger-than-expected radius of convergence, and this power series can be used to define the function outside its original domain of definition. This allows, for example, the natural extension of the definition trigonometric, exponential, logarithmic, power, and hyperbolic functions from the real line to the entire complex plane . Similarly, analytic continuation can be used to extend the values of an analytic function across a branch cut in the complex plane. Analytic Continuation Analytic continuation of natural logarithm (imaginary part) Complex Variables
  • 163.
  • 164.
    164 SOLO Complex Variables ConformalMapping Transformations or Mappings x y u v r  xd yd r  ud vd A B CD 'A 'B 'C 'D The set of equations ( ) ( )   = = yxvv yxuu , , define a general transformation or mapping between (x,y) plane to (u,v) plane. If for each point in (x,y) plane there corresponds one and only one point in (u,v) plane, we say that the transformation is one to one. vd v r ud u r vdy v y x v x udy u y x u x yvd v y ud u y xvd v x ud u x yydxxdrd u r u r ∂ ∂ + ∂ ∂ =      ∂ ∂ + ∂ ∂ +      ∂ ∂ + ∂ ∂ =       ∂ ∂ + ∂ ∂ +      ∂ ∂ + ∂ ∂ =+= ∂ ∂ ∂ ∂         1111 1111 If is a vector that defines a point A in (x,y) plane, we have: ( ) ( )vuryxr ,,  =r  The area dx dy of a region A,B,C,D, in (x,y) plane is mapped in the area A’,B’,C’,D’, du dv in the (u,v) plane. We have   zvdud u y v x v y u x vdudy v y x v x y u y x u x vdud v r u r zydxdydxd y r x r Sd yx 11111 1 11       ∂ ∂ ∂ ∂ − ∂ ∂ ∂ ∂ =      ∂ ∂ + ∂ ∂ ×      ∂ ∂ + ∂ ∂ = ∂ ∂ × ∂ ∂ == ∂ ∂ × ∂ ∂ =  If x and y are differentiable
  • 165.
    165 SOLO Complex Variables ConformalMapping Transformations or Mappings ( ) ( )   = = yxvv yxuu , , The transformation is one to one if and only if, for distinct points A, B, C, D, in (x,y) we obtain distinct points A’,B’,C’,D’, in (u,v). For this a necessary (but not sufficient) condition: ''''det1det 11 DCBA ABCD Sd v y u y v x u x zvdud v y u y v x u x zvdud u y v x v y u x zydxdSd   ∂ ∂ ∂ ∂ ∂ ∂ ∂ ∂ = ∂ ∂ ∂ ∂ ∂ ∂ ∂ ∂ =       ∂ ∂ ∂ ∂ − ∂ ∂ ∂ ∂ == Transformation is one to one 00 '''' ≠⇔≠ DCBAABCD SdSd  ( ) ( ) 0det: , , ≠ ∂ ∂ ∂ ∂ ∂ ∂ ∂ ∂ = ∂ ∂ v y u y v x u x vu yxJacobian of the Transformation By symmetry (change x,y to u,v) we obtain: ABCDDCBA Sd y v x v y u x u Sd  ∂ ∂ ∂ ∂ ∂ ∂ ∂ ∂ =det'''' 1detdet = ∂ ∂ ∂ ∂ ∂ ∂ ∂ ∂ ∂ ∂ ∂ ∂ ∂ ∂ ∂ ∂ v y u y v x u x y v x v y u x u one to one transformation ( ) ( ) ( ) ( ) 1 , , , , = ∂ ∂ ∂ ∂ vu yx yx vu x y u v r  xd yd r  ud vd A B CD 'A 'B 'C 'D
  • 166.
    166 SOLO Complex Variables ConformalMapping Complex Mapping In the case that the mapping is done by a complex function, i.e. ( ) ( )yixfzfviuw +==+= we say that f is a complex mapping. If f (z) is analytic, then according to Cauchy-Riemann equation: ( ) ( ) ( ) 2222 det , , zd zfd y u i x u y u x u x v y u y v x u y v x v y u x u yx vu = ∂ ∂ + ∂ ∂ =      ∂ ∂ +      ∂ ∂ = ∂ ∂ ∂ ∂ − ∂ ∂ ∂ ∂ = ∂ ∂ ∂ ∂ ∂ ∂ ∂ ∂ = ∂ ∂ x v y u y v x u ∂ ∂ −= ∂ ∂ ∂ ∂ = ∂ ∂ & If follows that a complex mapping f (z) is one to one in regions where df/dz ≠ 0. Points where df/dz = 0 are called critical points.
  • 167.
    167 SOLO Complex Variables ConformalMapping Complex Mapping – Riemann’s Mapping Theorem In the case that the mapping is done by a complex function, i.e. ( ) ( )yixfzfviuw +==+= Georg Friedrich Bernhard Riemann 1826 - 1866 we have: x y u vC 'C 1 R R'Let C be the boundary of a region R in the z plane, and C’ a unit circle, centered at the origin of the w plane, enclosing a region R’. The Riemann Mapping Theorem states that for each point in R, there exists a function w = f (z) that performs a one to one transformation to each point in R’. Riemann’s Mapping Theorem demonstrates the existence of the one to one transformation to region R onto R’, but it not provides this transformation.
  • 168.
    168 SOLO Complex Variables ConformalMapping Complex Mapping (continue – 1) ( ) ( )   = = yxvv yxuu , , x y u v r  2zd 1zd r  2wd 1wdA B C 'A 'B 'C ( ) ( )yixfzfviuw +==+= Consider a point A in (x,y) plane mapped to point A’ in (u,v) plane Consider a small displacement from A to B defined as dz1, that is mapped to a displacement from A’ to B’ defined as dw1 ( ) ( ) ( )         + === 1 1 argarg 11 arg 11 zd zd zfd i AA wdi A ezd zd zfd zd zd zfd ewdwd Consider also a small displacement from A to C defined as dz2, that is mapped to a displacement from A’ to C’ defined as dw2 ( ) ( ) ( )         + === 2 2 argarg 22 arg 22 zd zd zfd i AA wdi A ezd zd zfd zd zd zfd ewdwd We can see that dw ≠ 0 if dz ≠ 0, i.e. a one-to-one transformation, if and only if ( ) 0≠ A zd zfd
  • 169.
    169 SOLO Complex Variables ConformalMapping Complex Mapping (continue – 2) ( ) ( )   = = yxvv yxuu , , x y u v r  2zd 1zd r  2wd 1wdA B C 'A 'B 'C ( ) ( )yixfzfviuw +==+= Consider a point A in (x,y) plane mapped to point A’ in (u,v) plane ( ) ( ) ( )         + === 1 1 argarg 11 arg 11 zd zd zfd i AA wdi A ezd zd zfd zd zd zfd ewdwd ( ) ( ) ( )         + === 2 2 argarg 22 arg 22 zd zd zfd i AA wdi A ezd zd zfd zd zd zfd ewdwd We can see that: ( ) ( ) ( ) ( ) 12 1212 argarg argargargargargarg zdzd zd zd zfd zd zd zfd wdwd AA −=         +−         +=− Consider two small displacements from A to B And from A to C, defined as dz1 and dz2, that are mapped to displacements from A’ to B’ and from A’ to C’, defined as dw1 and dw2 Therefore the angular magnitude and sense between dz1 to dz2 is equal to that between dw1 to dw2. Because of this the transformation or mapping is called a Conformal Mapping.
  • 170.
    170 SOLO Complex Variables ConformalMapping ( ) ( )[ ] RzRzzzf ≤−±= 2/122 ln ( ) ( ) ( ) ( )( ) z Rzz RzzR Rzz Rzz R Rzz w R w 2222 2/1222 2/122 2/122 2 2/122 2 = +− − +−±= −± +−±=+  Define ( ) ( ) RzRzzzgw ≤−±== 2/122       += w R w 2 1 z 2 ( ) ( ) ( ) ( ) ( ) ( ) ( ) ( )        −++=         + ++=+ w w R w w R wwiww 2 1 wwiww R wwiww 2 1 yix argsinargcosargsinargcos argsinargcos argsinargcos 22 2 ( ) ( )         −=         += w R ww 2 1 y w R ww 2 1 x 22 argsin&argcos
  • 171.
    171 SOLO Complex Variables ConformalMapping ( ) ( )[ ] RzRzzzf ≤−±= 2/122 ln Define ( ) ( ) RzRzzzgw ≤−±== 2/122 ( ) ( )         −=         += w R ww 2 1 y w R ww 2 1 x 22 argsin&argcos From those equations we have: ( ) ( ) 2 2 2 2 2 22 4 1 4 1 argsinargcos R w R w w R w w y w x =         −−         +=      −      4 1 w R w y w R w x =               − +               + 2 2 2 2 x y ( )warg wln ( ) ( )wiwzf argln +=
  • 172.
    172 SOLO Complex Variables ConformalMapping ( ) 2/tt eex − += 0122 =+− tt exe ( ) ( ) 2/cosh tt eet − += ( ) ( )[ ]2/12 1ln −±= xxxacosh http://www.mathworks.com/company/newsletters/news_notes/clevescorner/sum98cleve.html
  • 173.
    173 SOLO Complex Variables ConformalMapping ( ) ( )[ ]2/122 ln Rzzzf +±= ( ) ( ) ( ) ( )( ) z Rzz RzzR Rzz Rzz R Rzz w R w 2222 2/1222 2/122 2/122 2 2/122 2 = −− + −+±= +± −−±=−  Define ( ) ( ) 2/122 Rzzzgw +±==       −= w R w 2 1 z 2 ( ) ( ) ( ) ( ) ( ) ( ) ( ) ( )        +−+=         + −+=+ w w R w w R wwiww 2 1 wwiww R wwiww 2 1 yix argsinargcosargsinargcos argsinargcos argsinargcos 22 2 ( ) ( )         +=         −= w R ww 2 1 y w R ww 2 1 x 22 argsin&argcos
  • 174.
    174 SOLO Complex Variables ConformalMapping ( ) ( )[ ]2/122 ln Rzzzf +±= Define ( ) ( ) 2/122 Rzzzgw +±== ( ) ( )         +=         −= w R ww 2 1 y w R ww 2 1 x 22 argsin&argcos From those equations we have: ( ) ( ) 2 2 2 2 2 22 4 1 4 1 argsinargcos R w R w w R w w y w x −=         +−         −=      −      4 1 w R w y w R w x =               + +               − 2 2 2 2 x y( )warg wln ( ) ( )wiwzf argln +=
  • 175.
    175 SOLO Complex Variables ConformalMapping http://www.mathworks.com/company/newsletters/news_notes/clevescorner/sum98cleve.html ( ) 2/tt eex − −= 0122 =−− tt exe ( ) ( ) 2/sinh tt eet − −= ( ) ( ) ( )[ ]2/12 1ln +±== zzzasinh:zf
  • 176.
    176 SOLO Complex Variables ConformalMapping dz dz kviuw + − =+= ln ( ) ( ) ku e ydx ydx dz dz /2 22 222 = ++ +− = + − ( ) ( ) ( ) ( ) dx dyx ydxydx ydxydx e e k u ku ku 21 1 coth 222 2222 2222 /2 /2 − ++ = −+−+− ++++− = − + =      ( )[ ] ( )[ ] ( )kudkudykudx /sinh/1/coth/coth 222222 =−=++ kvikukviku ee dz dz ee dz dz //// − ∗ ∗ = + − →= + − dyi dyx i dzdz dzz i dz dz dz dz dz dz dz dz i ee ee i k u ctg kvikvi kvikvi 2 2222 // // −+ = − − = + − − + − + − + + − = − + =      ∗ ∗ ∗ ∗ ∗ ∗ − − ( )[ ] ( )[ ] ( )kvdkvctgdkvctgdyx /sin/1// 222222 =+=++ kviku ee dz dz // = + −
  • 177.
    177 SOLO Complex Variables ConformalMapping dz dz kviuw + − =+= ln ( )[ ] ( )kudykudx /sinh//coth 2222 =++ ( )[ ] ( )kvdkvctgdyx /sin// 2222 =++ dd− x y ( )[ ] ( )kvdkvctgdyx /sin// 2222 =++ ( )[ ] ( )kudykudx /sinh//coth 2222 =++ 1v 2 v 3v 3 u 2u 1 u We have two families of orthogonal circles. All those circle passe through (-d,0) and (d,0) v u
  • 178.
    178 SOLO Complex Variables ConformalMapping http://www.mathworks.com/company/newsletters/news_notes/clevescorner/sum98cleve.html 1 1 2 2 + − = w w e e z ( ) zze w +=− 112 ( ) 1 1 tanh 2 2 + − = + − = − − w w ww ww e e ee ee w ( )       − + == z z zatanhw 1 1 ln 2 1
  • 179.
    179 SOLO Complex Variables ConformalMapping The complex squaring map (on left half square) The complex squaring map (on right half square) The complex squaring map (on entire square) ( ) 2 zzf =-3/2 -3/2 +3/2 +3/2 x y Transform the square under the map Douglas N. Arnold
  • 180.
    180 SOLO Complex Variables ConformalMapping The complex exponential map ( ) z ezf =Transform the strip ± i π under the exponential map Douglas N. Arnold +i π x y -i π
  • 181.
    181 SOLO Complex Variables ConformalMapping The complex cosine map Douglas N. Arnold ( ) zzf sin= -π -1 +π +1 x y Transform the square under the maps The complex sine map ( ) zzf cos=
  • 182.
    182 SOLO Complex Variables ConformalMapping Douglas N. Arnold An important property of analytic functions is that they are conformal maps everywhere they are defined, except where the derivative vanishes. A conformal map is one that preserves angles. More precisely, if two curves meet at a point and their tangents make a certain angle there, then the angle between the images curves under any analytic function (with non-vanishing derivative) will be the same in both sense and magnitude ( ) α zzf =
  • 183.
    183 SOLO Complex Variables MobiusTransformation Douglas N. Arnold ( ) ( ) 10 /11 4 ≤≤ −++ − = t zit itz zft ππ August Ferdinand Möbius 1790 - 1868
  • 184.
    184 SOLO Complex Variables Schwarz-ChristoffelMappings Hermann Amandus Schwarz 1843 - 1921 Elwin Bruno Cristoffel 1829 - 1900 1α 2 α 3 α 4α 5 α 6α 1w 2 w 3 w 4w 5 w 6w u v x y 1x 2x 3 x 4x 5x 6x A Schwarz – Christoffel transformation is an analytic mapping of The upper half-plane (x,y) onto a polygon in (u,v) plane. Let take n points on x axis: nxxx <<< 21 Define the derivative of the mapping as: ( ) ( ) ( ) 11 2 1 1 21 −−− −−−== π α π α π α n nxzxzxzA zd fd zd wd  or ( ) ( ) ( ) ( ) BdzxzxzxzAzfw n n +−−−== ∫ −−− 11 2 1 1 21 π α π α π α  where A and B are complex constants.
  • 185.
    185 SOLO Complex Variables Schwarz-ChristoffelMappings 1α 2α 3α 4 α 5 α 6α 1w 2 w 3w 4w 5 w 6w u v x y 1 x 2 x 3 x 4 x 5 x 6 x ( ) ( ) ( ) 11 2 1 1 21 −−− −−−== π α π α π α n n xzxzxzA zd fd zd wd  Since for xi-1 < x < xi the slope of d w/ d z is constant, i.e. the real axis is mapped in straight lines. We can see that for x > xn: ( )A zd wd argarg =      ( ) ( ) ( ) 1 1 1 1 arg1arg1argarg −− −      −++−      −+=      π α π α π α π α ni xzxzA zd wd ni For xi-1 < x < xi: For x > xi: ( ) ( ) ( ) 1 1 1 1 1 arg1arg1argarg 1 −−+ −      −++−      −+=      + π α π α π α π α ni xzxzA zd wd ni  (1) Any three of the points can be chosen at will.nxxx <<< 21 (2) The constants A and B determine the size, orientation and position of the polygon. (3) If we choose xn at infinity, the last term that includes xn is not present. (4) Infinite open polygons are limiting cases of closed polygons.
  • 186.
    186 SOLO Complex Variables Schwarz-ChristoffelMappings Douglas N. Arnold According to the Riemann mapping theorem, there exists a conformal map from the unit disk to any simply connected planar region (except the whole plane). However, finding such a map for a specific region is generally difficult. An important special case where a formula is known is when the target region is polygonal. In that case we have the Schwarz-Christoffel formula, written as ( ) ( ) ( )∫∏ = − −+= z n j j dzcfzf j 0 1 1 0 ςς α Here the polygon has n vertices, the interior angles at the vertices are , , in counterclockwise order, and c is a complex constant. The numbers , , are the pre-images of the polygon's vertices, or prevertices, which lie in order on the unit circle. n απαπ ,,1  n zz ,,1  The first animation illustrates the effect of the prevertices. The prevertices start in a random configuration, and the resulting image polygon is shown. Then the prevertices are moved (linearly in argument) into a configuration leading to a symmetric "X." Notice how the angles remain fixed, but the side lengths vary nonlinearly into the final configuration.
  • 187.
    187 SOLO Complex Variables Schwarz-ChristoffelMappings Douglas N. Arnold ( ) ( ) ( )∫∏ = − −+= z n j j dzcfzf j 0 1 1 0 ςς α Here the polygon has n vertices, the interior angles at the vertices are , , in counterclockwise order, and c is a complex constant. The numbers , , are the pre-images of the polygon's vertices, or prevertices, which lie in order on the unit circle. n απαπ ,,1  n zz ,,1  A variation on the first animation is to leave the prevertices fixed and vary the angles assigned to them. Here we "square" the ends of the X into right angles. The color of a (pre)vertex indicates its distance from being a right angle. The last sequence The color indicates the radius of a point's image in the disk. Notice how the arms of the X originate from points quite close to the boundary of the disk.
  • 188.
    188 SOLO Complex Variables Applicationsof Complex Analysis Douglas N. Arnold Gamma Function Bernoulli Numbers Fourier Transform Laplace Transform Z Transform Mellin Transform Hilbert Transform Zeta Function
  • 189.
    189 SOLO Primes ( )∫ ∞= = − =Γ t t t z td e t z 0 1 Proof: Gamma Function 0& >+= xyixz ∫∫∫ ∞= = −= += −∞= += − += t t t zt t t zt t t z td e t td e t td e t 1 11 0 1 0 1 For the first part: x t xx t x tdttd e t td e t x t t t x t t x et t t yixt t t z t 1 lim 111 0 1 0 1 0 1 11 0 11 0 1 =−==≤= +→ = += = += − >= += −+= += − ∫∫∫ The first integral converges for any x ≥ δ > 0. For the second integral, using integration by parts: ( ) ( ) ( ) ( ) ( )( ) ∫ ∫∫∫∫ ∞= = − ∞= = −− = = ∞= = − ∞= = −− = = ∞= = −∞= = −+∞= = − −−+−−+= −+−=== − − − − t t t x e t t tx edv tu t t t x e t t tx edv tu t t t xt t t yixt t t z td e t xxetx e td e t xettd e t td e t td e t t x t x 1 3 /1 1 2 1 2 /1 1 1 1 1 1 1 1 1 211 1 1 2 1   Euler’s Second Integral Gamma integral is defined, and converges uniformly for x > 0.
  • 190.
    190 SOLO Primes ( )∫ ∞= = − =Γ t t t z td e t z 0 1 Proof (continue): Gamma Function 0& >+= xyixz For the second integral, using integration by parts: ( ) ( ) ( ) ( ) ( )( ) ∫ ∫∫∫∫ ∞= = − ∞= = −− = = ∞= = − ∞= = −− = = ∞= = −∞= = −+∞= = − −−+−−+= −+−=== − − − − t t t x e t t tx edv tu t t t x e t t tx edv tu t t t xt t t yixt t t z td e t xxetx e td e t xettd e t td e t td e t t x t x 1 3 /1 1 2 1 2 /1 1 1 1 1 1 1 1 1 211 1 1 2 1   After [x] (the integer defined such that x-[x] < 1) such integration the power of t in the integrand becomes x-[x]-1 < 0. and we have: ( )( ) [ ]( ) [ ]( ) ( )( ) [ ]( ) ∞<−−−<−−− ∫∫ ∞= = ∞= = −− t t t t t txx td e xxxxtd et xxxx 11 1 1 21 1 21  Therefore the Gamma integral is defined, and converges uniformly for x > 0. Gamma integral is defined, and converges uniformly for x > 0. q.e.d.
  • 191.
    191 SOLO ( ) ∫ ∞= = − =Γ t t t z td e t z 0 1 Proof: GammaFunction 0& >+= xyixz ( ) ( )zzz Γ=+Γ 1 ( )  ( ) ( ) ( )zztdetztdtzeettdetz t t tz t t ud z v t v t u z dtedvtu partsby t t tz tz Γ=+=−−−==+Γ ∫∫∫ ∞= = −− ∞= = −− ∞ − ==∞= = − − 0 1 0 1 0 , nintegratio 0 01  Properties of Gamma Function: 1 Note that for the evaluation of Gamma Function for a Positive Real Number we need to know only the value of Γ (x) for 0 < x < 1 ( ) ( ) ( ) ( ) ( )xxxnxnxnx Γ+−+−+=+Γ 121  ( ) ( ) ( ) ( ) ( )121 −+−++ +Γ =Γ nxnxxx nx x  For x < 0 with –n < x < -n+1 or 0 < x+n < 1, we define We can see that for x = 0 or a negative integer the denominator of the right side is zero, and so Γ (x) is undefined (goes to infinity) Gamma Function ( ) ,2,1,0!1 ==+Γ nnn
  • 192.
    192 SOLO Primes ( )∫ ∞= = − =Γ t t t z td e t z 0 1 Proof: Gamma Function ( ) ( ) ( )!1 1 Residue 1 1 − − =Γ − +−→ n z n nz Residues of Gamma Function at x = 0,-1, -2,---,-n,..: ( ) ( ) ( ) ( ) ( )121 −+−++ +Γ =Γ nxnxxx nx x  q.e.d. ( ) ( ) ( ) ( ) ( ) ( ) ( )  ( )( ) ( ) ( ) ( )    ,2,1 !1 1 121 1 121 1limResidue 1 1 11 = − − = −+−+− Γ = −+−++ +Γ −+=Γ − +−→+−→ n nnn nxnxxx nx nxx n nxnx
  • 193.
    193 SOLO Primes ( )∫ ∞= = − =Γ t t t z td e t z 0 1 Gamma Function Absolute value |Γ (z)| Real value ReΓ (z) Imaginary value ImΓ (z)
  • 194.
    194 SOLO Primes ( )∫ ∞= = − =Γ t t t z td e t z 0 1 Gamma Function ( ) ( )zzz Γ=+Γ 1 Let compute ( ) 11 0 0 =−==Γ ∞− ∞= = − ∫ t t t t etde Therefore for any n positive integer: ( ) ( ) ( ) ( )( ) ( ) ( )( ) ( ) ( )!1122112111 −=Γ−−=−Γ−−=−Γ−=Γ nnnnnnnnn  Properties of Gamma Function : 1 2 q.e.d.
  • 195.
    195 SOLO Primes Second definitionidentical to First ( )[ ] ( ) ( ) ( ) ( ) ( )bayxallyfxfyxf ,,1,011 ∈∈−+≤−+ λλλλλ Convex Function: A Function f (x) is called Convex in an interval (a,b) if for every x,y (a,b) we haveϵ A Function f (x), defined for x > 0, is called Convex, if the corresponding function ( ) ( ) ( ) y xfyxf y −+ =φ defined for all y > -x, y ≠ 0, is monotonic Increasing throughout the range of definition. If 0 < x1 < x < x2, are given by choosing y1 = x1 – x < 0, y2 = x2 – x > 0, we express the condition of convexity as ( ) ( ) ( ) ( ) ( ) ( ) xx xfxf y xx xfxf y − − =≤ − − = 2 2 2 1 1 1 φφ ( ) ( )[ ] ( ) ( ) ( )[ ] ( )xxxfxfxxxfxf −−≥−− 1221 ( ) ( ) ( ) ( ) ( ) ( ) ( ) λλ − − − + − − ≤ 1 12 1 2 12 2 1 xx xx xf xx xx xfxf One other equivalent definition:
  • 196.
    196 SOLO Primes ( )[] ( ) ( ) ( ) ( )1,0ln1ln1ln ∈−+≤−+ λλλλλ yfxfyxf Logarithmic Convex Function : A Function f (x)>0 is called logarithmic-convex or simply log-convex if ln (f (x) ) is convex or This is equivalent to ( )[ ] ( ) ( )( )λλ λλ − ≤−+ 1 ln1ln yfxfyxf Since the logarithm is a momotonic increasing function we obtain ( )[ ] ( ) ( )( ) ( ) yxyfxfyxf <∈≤−+ − ,1,01 1 λλλ λλ
  • 197.
    197 SOLO Primes ( )∫ ∞= = − =Γ t t t z td e t z 0 1 Proof : Gamma Function 0& >+= xyixz ( )[ ] ( ) ( ) ( ) ( )1,0ln1ln1ln ∈Γ−+Γ≤−+Γ λλλλλ baba Properties of Gamma Function : 3 Gamma is a Log Convex Function ( )[ ] ( ) ( ) ( ) ( ) ( ) λλ λλ λλλλ λλ − −∞ −− ∞ −− ∞ −−−−− ∞ −−−+ ΓΓ=                ≤ ==−+Γ ∫∫ ∫∫ 1 1 0 1 0 1 0 111 0 11 1 badtetdtet dtetetdtetba tbta InequalityHolder tbtatba q.e.d.
  • 198.
    198 SOLO Primes ( )∫ ∞= = − =Γ t t t z td e t z 0 1 Proof : Gamma Function Other Gamma Function Definitios: ( ) ( ) ( )nxxx nn x x n ++ =Γ ∞→ 1 ! limGauss’ Formula Since the Gamma Function is monotonically increasing the logarithm of Gamma Function is also monotonic increasing and for 0 < x < 1 and any n > 2 we have ( ) ( ) ( ) nnx nnx −+ Γ−+Γ lnln ( )[ ] ( )[ ] ( ) ( ) ( ) ( )[ ] [ ] ( )[ ] ( )            −      − − −− ≤ −−+Γ ≤ − −−− !1 ! ln !2 !1 ln 1 !1ln!ln!1lnln 1 !1ln!2ln n n n n nn x nnxnn ( ) ( ) ( ) n x n nx n ln !1 ln 1ln ≤ − +Γ ≤− ( ) ( ) ( ) 1 1 ln1ln −=← ≤ −+− Γ−+−Γ x nn nn ( ) ( ) ( ) nn nnx −+ Γ−+Γ ≤ →= 1 ln1ln1 Carl Friedrich Gauss (1777 – 1855)
  • 199.
    199 SOLO Primes ( )∫ ∞= = − =Γ t t t z td e t z 0 1 Proof (continue - 1) : Gamma Function Other Gamma Function Definitios: Since the Gamma Function is monotonically increasing the logarithm of Gamma Function is also monotonic increasing and for 0 < x < 1 and any n > 2 we have ( ) ( ) ( ) n x n nx n ln !1 ln 1ln ≤ − +Γ ≤− ( ) ( ) ( ) xx n n nx n ln !1 ln1ln ≤ − +Γ ≤− 10 << x ( ) ( ) ( ) ( )!1!11 −≤+Γ≤−− nnnxnn xx Use( ) ( ) ( ) ( ) ( )xxxnxnxnx Γ+−+−+=+Γ >     0 121 ( ) ( ) ( ) ( ) ( ) ( ) ( ) ( ) ( ) ( ) xxnxnx nn x xxnxnx nn xx 121 !1 121 !11 +−+−+ − ≤Γ≤ +−+−+ −−  ( ) ( ) ( )nxxx nn x x n ++ =Γ ∞→ 1 ! limGauss’ Formula Euler 1729 Gauss 1811
  • 200.
    200 SOLO Primes ( )∫ ∞= = − =Γ t t t z td e t z 0 1 Proof (continue - 2) : Gamma Function Other Gamma Function Definitios: ( ) ( ) ( ) ( ) ( ) ( ) ( ) ( ) ( ) ( ) xxnxnx nn x xxnxnx nn xx 121 !1 121 !11 +−+−+ − ≤Γ≤ +−+−+ −−  ( ) ( ) ( ) ( ) ( ) ( ) ( ) ( ) xxnxnx nn x xxnxnx nn xx 11 !1 11 ! +−++ + ≤Γ≤ +−++  Take the limit n → ∞ ( ) ( ) ( ) ( ) ( ) ( ) ( ) xxnxnx nn n x xxnxnx nn x n x n x n 11 ! lim 1 1lim 11 ! lim 1 +−++       +≤Γ≤ +−++ ∞→∞→∞→    ( ) ( ) ( ) ( ) ( )1,0 11 ! lim ∈ +−++ =Γ ∞→ x xxnxnx nn x x n  Substitute n+1 for n ( ) ( ) ( )nxxx nn x x n ++ =Γ ∞→ 1 ! limGauss’ Formula
  • 201.
    201 SOLO Primes ( )∫ ∞= = − =Γ t t t z td e t z 0 1 Let substitute x + 1 for x Gamma Function Other Gamma Function Definitios: ( ) ( ) ( ) ( ) ( ) ( )1,0 11 ! lim ∈ +−++ =Γ Γ ∞→ x xxnxnx nn x x x n n     q.e.d ( ) ( ) ( )nxxx nn x x n ++ =Γ ∞→ 1 ! limGauss’ Formula Proof (continue - 3) : ( ) ( ) ( ) ( ) ( ) ( ) ( ) ( ) ( ) ( ) ( )1,0 11 ! lim 1 lim 11 ! lim1 1 1 ∈Γ= +−++++ = ++++ =+Γ Γ ∞→∞→ + ∞→ xxx xxnxnx nn nx n x xnxnx nn x x x nn x n         The right side is defined for 0 < x <1. The left side extend the definition for (1 , 2). Therefore the result is true for all x , but 0 and negative integers.
  • 202.
    202 SOLO Primes ( )∫ ∞= = − =Γ t t t z td e t z 0 1 Gamma Function Other Gamma Function Definitios: Start from Gauss Formula ( ) ( )xx n n Γ=Γ ∞→ lim q.e.d ( ) constantMascheroni-Euler57721566.0ln 1 2 1 1lim 11 ≈      −+++= + =Γ ∞→ ∞ = − ∏ n n k x e x e x n k k x x γ γ Weierstrass’ Factorization Formula for Gamma Function Proof : ( ) ( ) ( ) ( )       +      − +      + =       +      − +      + = +−++ =Γ       −−−− n x n xx x eee e x x n x n x n xxnxnx nn x n xxx n nx xx n 1 1 1 1 1 1 1 1 11 11 ! : 21 1 2 1 1ln      ( ) ( ) ∏∏ ∞ = − =       −−−− ∞→∞→ + = + =Γ=Γ 11 1 2 1 1ln 11 1 limlim k k x xn k k x n nx n n n k x e x e k x e x exx γ Karl Theodor Wilhelm Weierstrass (1815 – 11897)
  • 203.
    203 SOLO Primes ( )∫ ∞= = − =Γ t t t z td e t z 0 1 Gamma Function Other Gamma Function Definitios: Weierstrass’ Factorization Formula for Gamma Function (continue) Karl Theodor Wilhelm Weierstrass )1815–11897( ( ) ∏ ∞ = − −       += Γ 1 1 1 k k z z e k z ez z γ Γ (z) has Poles at zk = - k, k=0,1,2,…, and no Zeros therefore 1/ Γ (z) has Zeros at zk = - k, k=0,1,2,…, and no Poles, and From previous development we obtain Weierestrass Factorization Return to ζ (z)
  • 204.
    204 SOLO ( ) ∫ ∞= = − =Γ t t t z td e t z 0 1 GammaFunction Gamma integral is defined, and converges uniformly for x > 0. Differentiation of Gamma Function: q.e.d ( ) ( ) ( ) ( ) ( ) ( ) ( ) ( ) ( ) ( ) ( ) ( ) ( ) ( ) ( ) 0,2 !11' ln 0 1''' ln constantMascheroni-Euler57721566.0 111' ln 1 1 1 1 22 2 2 2 1 >≥ + −− = Γ Γ =Γ > + = Γ Γ−ΓΓ =Γ ≈      + −+−−= Γ Γ =Γ ∑ ∑ ∑ ∞ = − − ∞ = ∞ = xn kx n x x xd d x xd d kxx xxx x xd d kxkxx x x xd d k n n n n n n k k γγ Proof : Start from Weierstrass Formula ( ) ∏ ∞ = − + =Γ 1 1k k x x k x e x e x γ ( ) ∑∑ ∞ = ∞ =       +−+−−=Γ 11 1lnlnln kk k x k x xxx γ ( ) ∑∑ ∞ = ∞ = + −+−−=Γ 11 1 1 11 ln kk k x k kx x xd d γ ( ) ( ) ( ) 0 111111 ln 0 2 1 22 1 2 2 > + = + +=            + −+−−=Γ ∑∑∑ ∞ = ∞ = ∞ = kkk kxkxxkxkxxd d x xd d γ ( ) ( ) ( ) ( ) ( ) ( )∑ ∞ = − − + −− = Γ Γ =Γ 0 1 1 !11' ln k n n n n n n kx n x x xd d x xd d Gamma Function We can see that ( ) ( ) ( ) γγ −=      + −+−−= Γ Γ ==Γ + − = ∞→ ∑    1 1 1 1 1 11 lim 1 1 1 1' 1ln n n k n kk x xd d
  • 205.
    205 SOLO Primes ( )∫ ∞= = − =Γ t t t z td e t z 0 1 Gamma Function Other Gamma Function Definitios: ( ) ( ) ∏ ∞ = − −       += Γ = +Γ 1 1 1 1 1 k k z z e k z e zzz γ Return to ζ (z) Hadamard Infinite Product Expansion of Gamma Function ( ) ( ) ∏ ∞ = + +++ + + + + +         −= 1 1 1 2 1 1 1 2 2 1 11 10 j a z pa z a z j zczc p j p jj p p e a z efzf   Since 1/z Γ (z)=1/Γ (1+z) has Zeros at zk = - k, k=1,2,…, and no Poles we can use the Hadamard Infinite Product Expansion ( ) ( ) pi i f f zd d c z i i i ,,1,0 !1 : 0 1 1 = +       = = + Gamma Function Γ (1+z) has Order p=0, and ( ) ( ) ( ) γ−= Γ Γ =      = = 1 1' : 0 1 1 z f f c ( ) ( ) ( ) ( ) 1101 =Γ=⇒+Γ= fzzfDefine We recovered the Weierstrass Formula using Hadamard Expansion
  • 206.
    206 SOLO Primes ( )( )∫ = = −− −= 1 0 11 1, s s zy sdsszyBBeta Function Beta Function is related to Gamma Function: ( ) ∫∫ ∞= = −− = =∞= = −− ==Γ u u uy duudt utt t ty udeutdety 0 12 2 0 1 2 2 2 ( ) ( ) ( ) ( )zy zy zyB +Γ ΓΓ =, Proof: In the same way: ( ) ∫ ∞= = −− =Γ v v vz vdevz 0 12 2 2 ( ) ( ) ( ) ∫ ∫ ∞= = ∞= = +−−− =ΓΓ u u v v vuuzy vdudevuzy 0 0 1212 22 4 Use polar coordinates: ϕϕ ϕϕ ϕϕ ϕ ϕ ϕ ϕ ϕ drdrdrd r r drd vrv uru vdud rv ru = − = ∂∂∂∂ ∂∂∂∂ =    = = cossin sincos // // sin cos ( ) ( ) ( ) ( ) ( ) ( ) ( ) ( ) ( )                     = =ΓΓ ∫∫ ∫ ∫ = = −− +Γ ∞= = −−+ ∞= = = = −−−−+ 2/ 0 1212 0 12 0 2/ 0 121212 sincos22 sincos4 2 2 πϕ ϕ πϕ ϕ ϕϕϕ ϕϕϕ drder drderzy zy zy r r rzy r r rzyzy    Euler’s First Integral
  • 207.
    207 SOLO Primes ( )( )∫ = = −− −= 1 0 11 1, s s zy sdsszyBBeta Function Euler’s First Integral Beta Function is related to Gamma Function: ( ) ( ) ( ) ( )zy zy zyB +Γ ΓΓ =, Proof (continue): ( ) ( ) ( ) ( ) ( )         +Γ=ΓΓ ∫ = = −− 2/ 0 1212 sincos2 πϕ ϕ ϕϕϕ dzyzy zy Change variables in the integral using ϕϕϕϕ dsds cossin2sin2 == ( ) ( ) ( ) ( )zyBsdssd s s yzzy ,1sincos2 1 0 11 2/ 0 1212 =−= ∫∫ = = −− = = −− πϕ ϕ ϕϕϕ ( ) ( ) ( ) ( )zyBzyzy ,+Γ=ΓΓTherefore q.e.d. Use z→y and y → 1 - z ( ) ( ) ( ) ( ) ( ) ( ) ( ) ( ) ∫∫ ∫ ∞= = −∞= = − − −+ = + = = = −− + = +       + − + = −=−Γ=−ΓΓ u u zu u z z zu u s u ud sd s s zz ud u u u ud u u u u dssszzBzz 0 1 0 21 11 1 1 0 1 111 1 1 11,11 2 q.e.d.
  • 208.
    208 SOLO Primes Proof ( )( ) ( ) ( ) ( ) ( ) ( ) ( )yzBzyzyBzyyz yzBzyB ,, ,, +Γ=+Γ=ΓΓ = Use y → 1 - z ( ) ( ) ( ) ( ) ( ) ( ) ( ) ( ) ∫∫ ∫ ∞= = −∞= = − − −+ = + = = = −− + = +       + − + = −=−Γ=−ΓΓ u u zu u z z zu u s u ud sd s s zz ud u u u ud u u u u dssszzBzz 0 1 0 21 11 1 1 0 1 111 1 1 11,11 2 ( ) ∫ ∞= = − =Γ t t t z td e t z 0 1 Gamma Function Other Gamma Function Properties: ( ) ( ) ( )z zz π π sin 1 =−ΓΓ Euler Reflection Formula
  • 209.
    209 SOLO Primes Proof (continue- 1) ( ) ( ) ∫ ∞= = − + =−ΓΓ u u x ud u u xx 0 1 1 1 ( ) ∫ ∞= = − =Γ t t t z td e t z 0 1 Gamma Function Other Gamma Function Properties: Replace the path from 0 to ∞ by the Hankel contour Hε in the Figure, described by four paths, traveled in counterclockwise direction: 1.going counterclockwise above the real axis, (u = |u|) 2.along the circular path CR, 3.bellow the real axis, (u= |u|e -2πi ) 4.along the circular path Cε. ∫∫∫∫ + − + − + + + −− − −− εε π ε C yR y yi C yR y ud u u ud u u eud u u ud u u R 1111 2 Define y = 1 – x, and assume x,y (0,1ϵ) ( ) ( ) ( )z zz π π sin 1 =−ΓΓ Euler Reflection Formula
  • 210.
    210 SOLO Primes Proof (continue- 1) ( ) ( ) ∫ ∞= = − + =−ΓΓ u u x ud u u xx 0 1 1 1 ( ) ∫ ∞= = − =Γ t t t z td e t z 0 1 Gamma Function Other Gamma Function Properties: This path encloses the pole u=-1 of that has the residue 1+ − u u y yi eu y y eu u u i π π − =−= − − ==      + 11 Residue By the Residue Theorem For z ≠ 0 we have ( ) yzyzyzyy zeeez −−−−− ==== lnlnReln ( ) ( ) ( )z zz π π sin 1 =−ΓΓ Euler Reflection Formula ( ) yi y eu y C yR y iy C yR y ei u u ui u u izd z z ud u u ezd z z ud u u i R π ε π ε ππ π π ε − − =−→ −−− − −− =            + +=       + = + − + − + + + − ∑∫∫∫∫ 2 1 1lim2 1 Residue2 1111 1 2
  • 211.
    211 SOLO Primes Proof (continue- 2) ( ) ∫ ∞= = − =Γ t t t z td e t z 0 1 Gamma Function Other Gamma Function Properties: yi C yR y iy C yR y eizd z z ud u u ezd z z ud u u R π ε π ε π ε − −− − −− = + − + − + + + ∫∫∫∫ 2 1111 2 For the second and forth integral we have ( ) 0 lnlnReln ≠==== −−−−− zzeeez yzyzyzyy z z z z z z yyy − ≤ + ≤ + −−− 111 Hence for small ε we have: and for large R we have: 0 1 2 1 01 →−− → − ≤ +∫ ε ε ε π ε y C y zd z z 0 1 2 1 1 ∞→−− → − ≤ +∫ Ry C y R R zd z z R π Therefore the integrals on the circular paths are zero for ε→0 and R→∞ ( ) ( ) ( )z zz π π sin 1 =−ΓΓ Euler Reflection Formula
  • 212.
    212 SOLO Primes Proof (continue- 3) ( ) ∫ ∞= = − =Γ t t t z td e t z 0 1 Gamma Function Other Gamma Function Properties: yi y iy y eiud u u eud u u ππ π − ∞ − − ∞ − = + − + ∫∫ 2 11 0 2 0 We obtain Multiply both sides by yi e π+ ( ) iud u u ee y iyiy πππ 2 10 = + − ∫ ∞ − − ( ) ( )yee i ud u u iyiy y π π π ππ sin 2 10 = − = + − ∞ − ∫Rearranging we obtain Since both sides of this equation are Holomorphic (analytic) in x (0,1) we canϵ extend the result for all analytic parts of z C (complex planeϵ). ( ) ( ) ( )[ ] ( ) ( )1,0 sin1sin11 1 0 1 0 1 ∈= − = + = + =−ΓΓ ∫∫ ∞= = −−=∞= = − x xx ud u u ud u u xx u u yxyu u x π π π π Substituting y = 1 – x we obtain ( ) ( ) ( )z zz π π sin 1 =−ΓΓ Euler Reflection Formula
  • 213.
    213 SOLO Primes Onother Proof () ∫ ∞= = − =Γ t t t z td e t z 0 1 Gamma Function Other Gamma Function Properties: Start with Weierstrass Gamma Formula ( ) ( ) ( )z zz π π sin 1 =−ΓΓ Euler Reflection Formula ( ) ∏ ∞ = − + =Γ 1 1k k x x k x e x e x γ ( ) ( ) ∏∏ ∞ = ∞ = − −       −−= −+ −= −ΓΓ 1 2 2 2 1 2 1 11 1 kk k x k x xx k x x e k x e k x eex xx γγ Use the fact that Γ (-x)=- Γ (1-x)/x to obtain ( ) ( ) ∏ ∞ =       −= −ΓΓ 1 2 2 1 1 1 k k x x xx Now use the well-known infinite product ( ) ∏ ∞ =       −= 1 2 2 1sin k k x xx ππ q.e.d.
  • 214.
    214 SOLO Primes Proof ( )∫ ∞= = − =Γ t t t z td e t z 0 1 Gamma Function Other Gamma Function Properties: ( )z zz π π cos2 1 2 1 =      −Γ      +Γ Start from Substitute ½ +z instead of z ( ) ( ) ( )z zz π π sin 1 =−ΓΓ ( )z z zz π π π π cos 2 1 sin 2 1 2 1 =             + =      −Γ      +Γ q.e.d.
  • 215.
    215 SOLO Primes ( )∫ ∞= = − =Γ t t t z td e t z 0 1 Gamma Function Duplication and Multiplication Formula: ( ) ( ) 0Re2 22 1 12 >Γ=      +ΓΓ − zzzz z π Legendre Duplication Formula 1809 Adrien-Marie Legendre )1752–1833( Proof: ( ) ( ) ( ) ( ) ( ) ( ) ( )2/1,2sin22sin2 2sin22sincos2, 21 2/ 0 1221 0 1221 2/ 0 1221 2/ 0 1212 zBdd ddzzB zzzzz zzzz ⋅=⋅⋅== ⋅== −−−−− −−−− ∫∫ ∫∫ ππ ππ ττττ ϕϕϕϕϕ ( ) ( ) ( ) ( ) ( ) ( ) ( ) ( ) 0Re 2/1 2/1 22/1,2, 2 2121 > +Γ Γ⋅Γ ⋅=⋅== Γ Γ⋅Γ −− z z z zBzzB z zz zz We have therefore q.e.d( )  ( ) 0Re2 22 1 12 2 1 >Γ=      +ΓΓ −       Γ zzzz z π
  • 216.
    216 SOLO ( ) ∫ ∞= = − =Γ t t t z td e t z 0 1 GammaFunction Duplication and Multiplication Formula: ( ) ( )( ) ( )znn n n z n z n zz znn Γ=      − +Γ      +Γ      +ΓΓ −− 2/12/1 2 121 π Gauss Multiplication Formula n z 1 = Carl Friedrich Gauss )1777–1855(( )( ) nn n nn n 2/1 2121 − =      − Γ      Γ      Γ π  Euler Multiplication Formula Gamma Function
  • 217.
    217 SOLO Primes ( )∫ ∞= = − =Γ t t t z td e t z 0 1 Gamma Function Some Special Values of Gamma Function: q.e.d ( ) π π ====Γ ∫∫ ∞= = − = = ∞= = − 2 222/1 0 2 0 2 2 t t u ut duudt t t t udetd t e ( ) ( ) ( ) ( )( ) ( ) ( ) ( ) πn n nnnnn 2 12531 2/12/112/32/12/12/12/1 −⋅⋅ =Γ+−−=−Γ−=+Γ   ( ) ( ) ( ) ( ) ( )( ) ( ) ( ) ( ) π 12531 21 2/12/32/1 2/1 2/1 2/3 2/1 −⋅⋅ − = −+−+− Γ = +− +−Γ =+−Γ nnnn n n nn  ( ) π=Γ 2/1 ( ) ( ) πn n n 2 12531 2/1 −⋅⋅ =+Γ  ( ) ( ) ( ) π 12531 21 2/1 −⋅⋅ − =+−Γ n n nn  Proof:
  • 218.
    218 Jacob Bernoulli 1654-1705 The Bernoullinumbers are among the most interesting and important number sequences in mathematics. They first appeared in the posthumous work "Ars Conjectandi" (1713) by Jakob Bernoulli (1654-1705) in connection with sums of powers of consecutive integers. Bernoulli numbers are particularly important in number theory, especially in connection with Fermat's last theorem (see, e.g., Ribenboim (1979)). They also appear in the calculus of finite differences (Nörlund (1924)), in combinatorics (Comtet (1970, 1974)), and in other fields. Bernoulli Numbers The Bernoulli numbers Bn play an important role in several topics of mathematics. These numbers can be defined by the power series SOLO ∑ ∞ = = − 0 !1 n n nz n z B e z Complex Variables
  • 219.
    219 SOLO Bernoulli Numbers ∑ ∞ = = − 0!1 n n n seriesTaylor z n z B e z Let compute the Bernoulli number using 1 Residue2 2 ! 12 ! 1 1 − = − = − = + ∑∫ z n eC nzn e z i i n z zd e z i n B z π ππ The zeros of e z = 1 are at z = ± 2 π i k ( ) ( )         − +=                         − + +            − − = − = ∑ ∑ ∑ ∑ ∑ ∞+ = ∞+ = ∞+ = ∞+ = −→ = −→→ = → − = 1 1 1 1 2 1' 22 1' 2 1 2 1 2 1 ! 1 lim 1 2 lim 1 lim 1 2 lim2 2 ! 1 Residue2 2 ! k k nn k k nkiz Hopitall zkiznkiz Hopitall zkiz z n e n kiki n ze kiz ze kiz i i n e z i i n B z ππ ππ π π π π ππππ      0 1 =       − = x xn n n e x xd d B Complex Variables
  • 220.
    220 SOLO Bernoulli Numbers ∑ ∞ = = − 0!1 n n nz n z B e z Let compute the Bernoulli number using 1 Residue2 2 ! 12 ! 1 1 − = − = − = + ∑∫ z n eC nzn e z i i n z zd e z i n B z π ππ The zeros of e z -1 = 1 are at z = ± 2 π i k ( ) ( )         − += − = ∑ ∑∑ ∞+ = ∞+ = − = 1 11 2 1 2 1 ! 1 Residue2 2 ! k k nnz n e n kiki n e z i i n B z ππ π π ( ) ( ) ( ) ( )      = =− =      = = = − + ∑∑ ∑∑ +∞ = − +∞ = −∞+ = ∞+ = oddn evennk oddn evennki kiki k nn k n k n k n 0 12 0 211 1 2/ 1 11 ( ) ( ) ( ) ( ) ( )      = = − = − = ∑ ∞ = oddn evennn n k n B n n k nn n n 0 2 !1 2 1 2 !1 2 2/ 1 2/ ς ππ ( ) ( ) ( ) ( ) ,2,1,0 120 22 2 !21 2 2 =      += = − = m mn mnm m B m m n ς π Complex Variables ( ) ∑ ∞ = = 1 1 k n k nςwhere is the Zeta Function
  • 221.
    SOLO Euler Zeta Functionand the Prime History ++++ 232 4 1 3 1 2 1 1 In 1650 Mengoli asked if a solution exists for P. Mengoli 1626-1686 The problem was tackled by Wallis, Leibniz, Bernoulli family, without success. The solution was given by the young Euler in 1735. The problem was named “Basel Problem” for Basel the town of Bernoulli and Euler. Euler started from Taylor series expansion of the sine function +−+−= !7!5!3 sin 753 xxx xx Dividing by x, he obtained +−+−= !7!5!3 1 sin 642 xxx x x The roots of the left side are x =±π, ±2π, ±3π,…. However sinx/x is not a polynomial, but Euler assumed (and check it by numerical computation) that it can be factorized using its roots as  ⋅      −⋅      −⋅      −=      +⋅      −⋅      +⋅      −= 2 2 2 2 2 2 9 1 4 11 2 1 2 111 sin πππππππ xxxxxxx x x Leonhard Euler )1707–1783( Return to Euler Riemann's Zeta Function
  • 222.
    SOLO +−+−= !7!5!3 1 sin 642 xxx x x ⋅      −⋅      −⋅      −=2 2 2 2 2 2 9 1 4 11 sin πππ xxx x x Leonhard Euler )1707–1783(If we formally multiply out this product and collect all the x2 terms, we see that the x2 coefficient of sin(x)/x is ∑ ∞ = −=      +++− 1 22222 11 9 1 4 11 n nππππ  But from the original infinite series expansion of sin(x)/x, the coefficient of x2 is −1/(3!) = −1/6. These two coefficients must be equal; thus, ∑ ∞ = −=− 1 22 11 6 1 n nπ 6 1 2 1 2 π =∑ ∞ =n n Euler extend this to a general function, Euler Zeta Function ( )  ,4,3,2 4 1 3 1 2 1 1: =++++= nn nnn ς The sum diverges for n ≤ 1 and converges for n > 1. Euler computed the sum for n up to n = 26. Some of the values are given here ( ) ( ) ( ) ( ) , 9450 8, 945 6, 90 4, 6 2 8642 π ς π ς π ς π ς ==== Euler checked the sum for a finite number of terms. EulerZeta Function and the Prime History (continue – 1) Riemann's Zeta Function
  • 223.
    SOLO Euler Product Formulafor the Zeta Function Leonhard Euler proved the Euler product formula for the Riemann zeta function in his thesis Variae observationes circa series infinitas (Various Observations about Infinite Series), published by St Petersburg Academy in 1737 ∏∑ − ∞ = − = primep x n x pn 1 11 1 where the left hand side equals the Euler Zeta Function Euler Proof of the Product Formula ( ) ++++= xxxxx s 8 1 6 1 4 1 2 1 2 1 ς ( ) +++++++=      − xxxxxxx x 13 1 11 1 9 1 7 1 5 1 3 1 1 2 1 1 ς ( ) ++++++=      − xxxxxxxx x 33 1 27 1 21 1 15 1 9 1 3 1 2 1 1 3 1 ς ( ) ++++++=      −      − xxxxxxx x 17 1 13 1 11 1 7 1 5 1 1 2 1 1 3 1 1 ς all elements having a factor of 3 or 2 (or both) are removed ( ) +++++== ∑ ∞ = xxxx n x n x 5 1 4 1 3 1 2 1 1 1 1 ς converges for integer x > 1 all elements having a factor of 2 are removed Leonhard Euler )1707–1`783( EulerZeta Function and the Prime History (continue – 2) Riemann's Zeta Function
  • 224.
    SOLO Leonhard Euler )1707–1`783( Euler ProductFormula for the Zeta Function ( ) ∏∑ − ∞ = − == primep x n x pn x 1 11 1 ς Euler Proof of the Product Formula (continue) ( ) ++++++=      −      − xxxxxxx x 17 1 13 1 11 1 7 1 5 1 1 2 1 1 3 1 1 ς Repeating infinitely, all the non-prime elements are removed, and we get: ( ) 1 2 1 1 3 1 1 5 1 1 7 1 1 11 1 1 13 1 1 17 1 1 =      −      −      −      −      −      −      − xxxxxxxx ς Dividing both sides by everything but the ζ(s) we obtain ( )       −      −      −      −      −      − = xxxxxx x 13 1 1 11 1 1 7 1 1 5 1 1 3 1 1 2 1 1 1 ς Therefore ( ) ∏∑ − ∞ = − == primep x n x pn x 1 11 1 ς EulerZeta Function and the Prime History (continue – 3) Riemann's Zeta Function
  • 225.
    225 SOLO Riemann's ZetaFunction The Riemann Zeta Function or Euler–Riemann Zeta Function, ζ(z), is a function of a complex variable z that analytically continues the sum of the infinite series ( ) yixz n z n z +== ∑ ∞ =1 1 ς “On the Number of Primes Less Than a Given Magnitude”, 7 page paper offered to the Monatsberichte der Berliner Akademie on October 19, 1859. The exact publication date is unknown. ( ) ( ) ( )z z zz zz −      −Γ= − 1 2 sin12 1 ς π πς To construct the analytic Continuation of the Zeta Function, Riemann established the relation (see proof). where Γ(s) is the Gamma Function, which is an equality of Meromorphic Functions valid on the whole complex plane. This equation relates values of the Riemann Zeta Function at the points z and 1 − z. The functional equation (owing to the properties of sin) implies that ζ(z) has a simple zero at each even negative integer z = −2n — these are known as the trivial zeros of ζ(z). For s an even positive integer, the product sin(πz/2)Γ(1−z) is regular and the functional equation relates the values of the Riemann Zeta Function at odd negative integers and even positive integers. Georg Friedrich Bernhard Riemann )1826–1866(
  • 226.
    SOLO ( ) () ( ) ,2,1 1 1 1 = + −−=− + n n B n nn ς Bn are the Bernoulli numbers Those roots are called the Trivial Zeros of the Zeta Function. The remaining zeros of ζ (z) are called Nontrivial Zeros or Critical Roots of the Zeta Function. The Nontrivial Zeros are located on a Critical Strip defined by 0 < x < 1. Since Bn+1 = 0 for n + 1 odd (n even) we also have ( ) ,2,102 ==− mmς ( ) { } xyixz pn z primep z n s =+= − == ∏∑ − ∞ = Re 1 11 1 ς Riemann Zeta Function Zeros Since the product contains no zero factors we see that ζ (z) ≠ 0 for Re {z} >1. Graph showing the Trivial Zeros, the Critical Strip and the Critical Line of ζ (z) zeros. We shall prove that
  • 227.
  • 228.
    228 Re ζ (z)in the original domain, Re z > 1. Re ζ (z) after Riemann’s extension. Riemann's Zeta Function
  • 229.
    229 SOLO The position ofthe complex zeros can be seen slightly more easily by plotting the contours of zero real (red) and imaginary (blue) parts, as illustrated above. The zeros (indicated as black dots) occur where the curves intersect The figures bellow highlight the zeros in the complex plane by plotting |ζ(z)|) where the zeros are dips) and 1/|ζ(z)) where the zeros are peaks). Riemann's Zeta Function
  • 230.
    230 Riemann's Zeta Function TheRiemann Hypothesis The Non-Trivial Zeros ρ of ζ (z) has Re ρ= ½ This Hypothesis was never proved. ( ) 1− zς
  • 231.
    231 SOLO ( ) () ( ) 1Re 10 1 >=∞< − =Γ ∫ ∞= = − zxfordt e t zz t t t z ς ( ) ∫ ∞= = − =Γ u u u z du e u z 0 1 Proof: Gamma Function Change of variables u=nt ( ) ( ) ∫∫ ∞= = −∞= = − ==Γ t t nt z z t t nt z td e t ntdn e nt z 0 1 0 1 Thus for n=1,2,3,…,N ( ) ( ) ( ) ∫ ∫ ∫ ∞= = − ∞= = − ∞= = − =Γ =Γ =Γ t t Nt z z t t t z z t t t z z td e t N z td e t z td e t z 0 1 0 2 1 0 1 1 2 1 1 1  0& >+= xyixz Summing those equations for x > 0 ( ) ∫ ∞= = −       +++=      +++Γ t t z Ntttzzz tdt eeeN z 0 1 2 1111 2 1 1 1 _________________________________________________  Riemann's Zeta Function
  • 232.
    232 SOLO Proof (continue –1): 0& >+= xyixz Since converges only for Re (z)= x > 1, then letting N → ∞, we obtain for x > 1∑ ∞ = − 1n z n Uniform convergence of ( ) ∫ ∞= = − ∞→       +++=      ++Γ t t z NtttNzz tdt eee z 0 1 2 111 lim 2 1 1 1    01 1 1 111 1 2 2 >≥→<= − =++ − δtq eeee t q q t q t q t   allows to interchange between limit and the integral: ( ) RatioGoldentd e t td e t td e t z t t t zt t t zt t t z zz = + = − + − = − =      ++Γ ∫∫∫ ∞= = −= += −∞= = − 2 51 1112 1 1 1 ln2 1ln2 0 1 0 1 φ φ φ  ∫∫∫ = += − = += −+== += −       ++= − = − φφφ ln2 0 2 1 ln2 0 1ln2 0 1 11 11 t t tt x t t t xyixzt t t z td ee ttd e t td e t  The first integral gives The integral diverges for 0 < x ≤ 1, and converges only for x > 1 ( ) ( ) ( ) 1Re 10 1 >=∞< − =Γ ∫ ∞= = − zxfordt e t zz t t t z ς Riemann's Zeta Function
  • 233.
    233 SOLO Proof (continue –2): 0& >+= xyixz ( ) ∫∫∫ ∞= = −= += −∞= = − − + − = − =      ++Γ t t t zt t t zt t t z zz td e t td e t td e t z φ φ ln2 1ln2 0 1 0 1 1112 1 1 1  In the second integral we have This integral converges only for x > 1, therefore we proved that φln21 2/ ≥≥− tforee tt since RatioGoldeneforee ttt == + ≥≥−− φ 2 51 01 2/2/ ( ) ( )( ) ∫∫∫∫ ∞= = − ∞ = −− = = ∞= = −∞= = −+=∞= = − −−−−=≤ − = − − − t t t x termfinite t tx tu dtedv t t t xt t t xiyxzt t t z td e t xettd e t td e t td e t x t φ φ φφφ ln2 2/ 2 ln2 2/1 ln2 2/ 1 ln2 1 ln2 1 122 11 1 2/    ( ) [ ] ( )( ) [ ]( ) [ ]( ) ∞<−−−−−= ∫∑∫ ∞= = −− − ∞= = −     finite t t txx xx t t t x td et xxxxtermsfinitetd e t φφ ln2 2/1 ln2 2/ 1 1 212 ( ) ( ) ( ) ( ) 1Re 12 1 1 1 0 1 >=∞< − =Γ=      ++Γ ∫ ∞= = − zxfortd e t zzz t t t z zz ς ( ) ( ) ( ) 1Re 10 1 >=∞< − =Γ ∫ ∞= = − zxfordt e t zz t t t z ς After [x] (the integer defined such that x-[x] < 1) such integration the power of t in the integrand becomes x-[x]-1 < 0. and we have: q.e.d. Riemann's Zeta Function
  • 234.
    234 SOLO Proof The integral canbe rewritten as ( ) ( ) ( ) ( ) 00 1sin2 1 0 0 1 itoreturnsandzeroencirclesiatstartspaththe d e i zz z i i z +∞−∞ − − Γ = ∫ +∞= −∞= −λ λ λ λ λ π ς εi−∞ εi+∞ y x εε i+ εε i− 2ε ( ) ( ) ( ) ( )        IntegralIII i i z originaroundCircleIntegralII i i z IntegralI i i z i i z d e d e d e d e ∫∫∫ ∫ +∞= += − → = += −= − → −= −∞= − → +∞= −∞= − − − + − − + − − = − − ελ εελ λε εελ εελ λε εελ ελ λε λ λ λ λ λ λ λ λ λ λ λ 1 lim 1 lim 1 lim 1 1 0 1 0 1 0 0 0 1 Riemann's Zeta Function
  • 235.
    235 SOLO Proof (continue –1) The first integral can be written as εi−∞ εi+∞ y x εε i+ εε i− 2ε ( ) ( )[ ] ( ) ∫∫∫∫ ∞= += − − −=+= ∞= − −− = ∞= − −− → −=−= −∞= − → − = − = − − = − − − t t t z zi et t t z zi t t it ziiti i z td e t etd e t etd e eit d e i 0 110 1 1 1 0 0 1 0 111 lim 1 lim ππ ε ε π ε ελεελ ελ λε π ε λ λ The second integral can be written as ( ) ( ) ( ) ( ) 0 1 2 lim2 1 2 lim 2 1 2 lim 1 lim 2 0 20 2 0 2 1 0 2 0 2 1 0 21 0 → − = − − ≤ − − = − − ∫∫ ∫∫ = = → = = −+ → = = −+ → =+= −= − → πθ θ εε πθ θ θ ε θ ε πθ θ θ ε θ ε ελεελ εελ λε θ ε θε ε θε ε λ λ θθ θ θ d e dei e e dei e e d e ii i i e x i e iyxi i e iyxie originaroundCircle i i z    ( ) ( ) ( ) ( ) 00 1sin2 1 0 0 1 itoreturnsandzeroencirclesiatstartspaththe d e i zz z i i z +∞−∞ − − Γ = ∫ +∞= −∞= −λ λ λ λ λ π ς Riemann's Zeta Function
  • 236.
    236 SOLO Proof (continue –2) The third integral can be written as εi−∞ εi+∞ y x εε i+ εε i− 2ε ( ) ( )[ ] ( ) ∫∫∫∫ ∞= += −−=∞= += − − ∞= = + − → +=+∞= += − → − −= − = − + = − − − t t t z zi et t t z zi t t it ziiti i z td e t etd e t etd e eit d e i 0 11 0 1 1 1 0 1 0 111 lim 1 lim ππ ε ε π ε ελελ εελ λε π ε λ λ Therefore ( ) ( ) ( ) ( ) ∫∫∫∫ ∞= += −∞= += −−∞= += − − +∞= −∞= − − −= − − −= − −= − − t t t zt t t zzizit t t z zizi i i z td e t zitd e t i ee itd e t eed e 0 1 0 1 0 10 0 1 1 sin2 12 2 11 πλ λ ππ ππ λ λ λ But we found that ( ) ( ) ( ) 1Re 10 1 >=∞< − =Γ ∫ ∞= = − zxfordt e t zz t t t z ς ( ) ( ) ( ) ( ) 00 1sin2 1 0 0 1 itoreturnsandzeroencirclesiatstartspaththe d e i zz z i i z +∞−∞ − − Γ = ∫ +∞= −∞= −λ λ λ λ λ π ς Therefore ( ) ( ) ( ) ( ) ∫ +∞= −∞= − − − Γ = 0 0 1 1sin2 1 i i z d e i zz z λ λ λ λ λ π ς The right hand is analytic for any z ≠ 1. Since it equals Zeta Function in the half plane x > 1, it is the Analytic Continuation of Zeta to the complax plane for any z ≠ 1. ( ) ( ) ( ) ( ) ∫ +∞= −∞= − − − Γ = 0 0 1 1sin2 1 i i z d e i zz z λ λ λ λ λ π ς q.e.d. Riemann's Zeta Function
  • 237.
    237 SOLO Proof ( ) () ( )∫ +∞= −∞= − −      = − − 0 0 1 1 2 sin22 1 i i z z z z id e λ λ λ ς π πλ λ Let add a circular path of radius R → ∞. On this path ( ) ( ) 0 1 lim 1 2 0 1 → − − = − − ∫∫ ∞→ = = − π ϕλ ϕλ λ ϕλ λ ϕ ϕ ϕ d e eR d e i i i R eR zi R eR deRd C z Therefore we have Since the integral is over a closed path in the complex λ plane, we can use the Residue Theorem to calculate it. The residues are given by ,2,121 =±=→= nnie πλλ ( ) ( ) ( ) ( )∑∑∫∫ ∞ = − ∞ = − −+∞ −∞ − +−= − − = − − 1 1 1 1 10 0 1 2222 11 n z n z zi i z niiniid e d e ππππλ λ λ λ λλ ( ) ( ) ( ) ( ) ∫∫∫∫ − − = − − + − − = − − −−+∞ −∞ −+∞ −∞ − λ λ λ λ λ λ λ λ λλλλ d e d e d e d e z C zi i zi i z R 1111 110 0 10 0 1 Riemann's Zeta Function
  • 238.
    238 SOLO Proof (continue) ( )( ) ( )∫ +∞= −∞= − −      −= − − 0 0 1 1 2 sin22 1 i i z z z z id e λ λ λ ς π πλ λ ( ) ( ) ( ) ( ) ( )[ ] ∑∑∑∫ ∞ = − −− ∞ = − ∞ = − +∞ −∞ − +−=+−= − − 1 1 11 1 1 1 1 0 0 1 1 22222 1 n z zzz n z n z i i z n iiiniiniid e πππππλ λ λ ( )[ ] ( ) ( ) ( ) [ ] ( ) ( ) [ ]       −=−=−=−−=+− −−−− 2 sin22/2/lnln11 z eeieeiiiiiii izizizizzzzz πππ ( )z nn z −=∑ ∞ = − 1 1 1 1 ς ( ) ( ) ( )z z id e z i i z −      −= − − ∫ +∞ −∞ − 1 2 sin22 1 0 0 1 ς π πλ λ λ q.e.d. Riemann's Zeta Function
  • 239.
    239 SOLO εi−∞ εi+∞ y x εε i+ εε i− 2ε () ( ) ( ) 00 12 1 0 0 1 itoreturnsandzeroencirclesiatstartspaththe d ei z z i i z +∞−∞ − −−Γ −= ∫ +∞= −∞= −λ λ λ λ λ π ς We also found ( ) ( ) ( )z z id e z i i z −      −= − − ∫ +∞ −∞ − 1 2 sin22 1 0 0 1 ς π πλ λ λ Has zeros for ,...4,2,00 2 sin ==      zfor zπ ( ) ,7,5,301 ==− zforzς ( )z−Γ 1 Has no zeros, but has simple poles for z = 1,2,3,4,…. If we return to ζ (z) equation we can see that the zeros of are cancelled by the poles of Γ (1-z). Only the simple pole at z = 1 remain and is the single pole of ζ (s). ( ) ∫ +∞ −∞ − − − 0 0 1 1 i i z d e λ λ λ Let find the Residue of this pole: ( ) ( ) ( ) ( ) ( ) ∫ +∞= −∞= − →→→ − − −Γ−−=− 0 0 1 111 12 1 lim11lim1lim i i z zzz d ei zzzz λ λ λ λ λ π ς ( ) ( ) ( ) ( ) ( ) ( ) ( ) ( ) ( ) 1 cos lim sin 1 lim11lim 1 ' 1 1 sin 1 1 =−= Γ − −=−Γ−− →→ =−ΓΓ → zzz z zz z HopitalL z z zz z ππ π π ππ π ( ) = − − ∫ +∞= −∞= − → 0 0 1 1 12 1 lim i i z z d ei λ λ λ λ λ π Riemann's Zeta Function
  • 240.
    240 SOLO Proof ( ) () ( ) ( ) ( )z z zzz z −      =Γ 1 2 sin22sin2 ς π πςπ ( ) ( ) ( )z z id e z i i z −      −= − − ∫ +∞ −∞ − 1 2 sin22 1 0 0 1 ς π πλ λ λ We found ( ) ( ) ( ) ( ) ∫ +∞= −∞= − − − Γ = 0 0 1 1sin2 1 i i z d e i zz z λ λ λ λ λ π ς Combining those two relations, we get ( ) ( ) ( ) ( ) ( )z z zzz z −      =Γ 1 2 sin22sin2 ς π πςπ q.e.d. Riemann's Zeta Function
  • 241.
    241 SOLO Proof ( ) () ( ) ( )zzzz zz −−Γ= − 112/sin2 1 ςππς Start from use ( ) ( ) ( ) ( ) ( )z z zzz z −      =Γ 1 2 sin22sin2 ς π πςπ ( ) ( ) ( )z zz π π sin 1 =−ΓΓ ( ) ( ) ( )z zz −Γ =Γ 1 sin π π or ( ) ( ) ( ) ( )z z z z z −      = −Γ 1 2 sin2 1 ς π πς π ( ) ( ) ( )z z zz zz −      −Γ= − 1 2 sin12 1 ς π πς q.e.d.Return to Riemann Zeta Function Riemann's Zeta Function
  • 242.
    242 SOLO Proof Start from use ( )( ) ( ) ( ) ( )z z zzz z −      =Γ 1 2 sin22sin2 ς π πςπ ( ) ( ) ( )z zz π π sin 1 =−ΓΓ ( ) ( ) ( )z zz −Γ =Γ 1 sin π π       −Γ      Γ =      2 1 2 2 sin zz z π π z z → 2 ( ) ( ) ( ) ( ) ( ) ( )z z zz z z z −      −ΓΓ = −Γ 1 2 sin 2/12/ 1 2 1 1 ς π πς or ( ) ( ) ( ) ( ) ( ) ( )z z zzz zzz − −Γ −Γ=Γ −−− 1 2/1 1 122/ 2/12/12/ ςππςπ ( ) ( ) ( ) ( ) ( )[ ] ( ) ( )      z z z z zzzz − −−− −−Γ=Γ 1 2/12/ 12/12/ ηη ςπςπ Riemann's Zeta Function
  • 243.
    243 SOLO Proof (continue) ( )( ) ( ) ( ) ( )[ ] ( ) ( )      z z z z zzzz − −−− −−Γ=Γ 1 2/12/ 12/12/ ηη ςπςπ or ( ) ( ) ( ) ( ) ( ) ( )z z zzz zzz − −Γ −Γ=Γ −−− 1 2/1 1 122/ 2/12/12/ ςππςπ ( )       + Γ      Γ=Γ −− 2 1 2 2 12/1 zz z z π ( ) ( )2/1 2 1 21 2/1 z z z z −Γ      − Γ=−Γ −− π z z − ↓ 1 ( ) ( )       − Γ= −Γ −Γ 2 1 2/1 1 122/1 z z zz π therefore q.e.d. ( ) ( ) ( ) ( )z z zz zz −      − Γ=Γ −−− 1 2 1 2/ 2/12/ ςπςπ Use Legendre Duplication Formula: ( ) ( ) 0Re2 22 1 12 >Γ=      +ΓΓ − zzzz z π 2/z z ↓ Riemann's Zeta Function
  • 244.
    244 SOLO Proof εi−∞ εi+∞ y x εε i+ εε i− 2ε () ( ) ( ) ( ) 00 1sin2 1 0 0 1 itoreturnsandzeroencirclesiatstartspaththe d e i zz z i i z +∞−∞ − − Γ = ∫ +∞= −∞= −λ λ λ λ λ π ςWe found and ( ) ( ) ( )zz z Γ =−Γ π π sin 1( ) ( ) ( )z zz π π sin 1 =−ΓΓ ( ) ( ) ( ) 0 0 12 1 0 0 1 itoreturnsand zeroencirclesiatstartspaththe d ei z z i i z +∞ −∞ − −−Γ −= ∫ +∞= −∞= −λ λ λ λ λ π ς ( ) ( ) ∫∫ +∞ ∞−∞ −− ++ − + = − + = 0 1 21 12 !1 12 !1 i i n C nzn d ei n z zd e z i n B λ λ ππ λ εi−∞ εi+∞ y x εε i+ εε i− 2ε therefore ( ) ( ) ( ) ( ) 1 !1 1 1 + + +Γ −−=− n n B n z zς ( ) ( ) ( ) 0 0 12 1 0 0 1 itoreturnsand zeroencirclesiatstartspaththe d ei z z i i z +∞ −∞ − −+Γ −=− ∫ +∞= −∞= −−λ λ λ λ λ π ς zz −→ nz → ( ) ( ) ( )1 1 1 + −−=− + n B n nn ς ( ) ( ) ( ) ,2,1,0 1 1 1 = + −−=− + n n B n nn ς Bn are the Bernoulli numbers q.e.d. We found Zeta-Function Values and the Bernoulli Numbers Return to Riemann Zeta Function Zeros Riemann's Zeta Function
  • 245.
    245 SOLO Zeta Function Valuesand the Bernoulli Numbers ( ) ( ) ( ) ( ) ,3,2,1 !22 21 2 2 2 = − = mB m m m mm π ς ( ) ( ) ( ) ( )z z zz zz −      − Γ=Γ −−− 1 2 1 2/ 2/12/ ςπςπLet use with z = 2 m ( ) ( ) ( ) ( )m m mm mm 21 2 21 2 2/21 −      − Γ=Γ −−− ςπςπ ( ) ( ) ( ) ( ) ( ) ( ) ( ) ( ) ( ) ( ) ( ) ( ) ( ) ( ) m mm m mmm m m B mm m B mm m m m m m 2 2/112 2 22/12 2/1 2/1!2 !121 !22 21 2/1 !1 2 2/1 !1 21 −Γ −− = − −Γ − = −Γ − =− −+− −− − πππ ς π π ς We found ( ) ( ) ( ) ( ) ( ) ,3,2,1 2/1!2 !121 21 2 2/112 = −Γ −− =− − mB mm m m m mm π ς Riemann's Zeta Function
  • 246.
    246 SOLO Zeta Function Valuesand the Bernoulli Numbers We found ( ) ( ) ( ) ( ) ( )[ ] ( ) ( )[ ] ( ) ( ) ( ) 2/1 12 2/1 1 2/1 !12 !121 224212531 121221 12531 21 2/1 π ππ ⋅ − −⋅− = ⋅ −⋅⋅−⋅⋅ −⋅⋅⋅− = −⋅⋅ − =+−Γ − − m m mm m m m mm mmmmm          ( ) ( ) ( ) ( ) ( ) ,3,2,1 2/1!2 !121 21 2 2/112 = +−Γ −− =− − mB mm m m m mm π ςTherefore Finally ( ) ( ) ( ) ,2,1,0 1 1 1 = + −−=− + n n B n nn ς ( ) ,3,2,1 2 1 21 2 ==− mB m m mς We also found The two expressions Agree. Riemann Zeta Function Riemann's Zeta Function
  • 247.
    247 SOLO Hadamard Infinite ProductExpansion of Zeta Function Graph showing the Trivial Zeros, the Critical Strip and the Critical Line of ζ (z) zeros. ( ) ( ) ∏ ∞ = + +++ + + + + +         −= 1 1 1 2 1 1 1 2 2 1 11 10 j a z pa z a z j zczc p j p jj p p e a z efzf   Since (z-1) ζ (z) is Analytic and has only Zeros we can use the Hadamard Infinite Product Expansion Zeta Function ζ (z) has Order p=0, and ( ) 2 1 2 1 0 1 −=−= Bς The Zero of the Zeta Function ζ (z) are -Trivial Zeros at z = -2n, n=1,2,… - Nontrivial Zeros ρ on the Critical Zone 0 < Re ρ < 1 ( ) ( ) ( ) ( ) ( ) ( ) ( ) ( ) ∏∏ ∞ = − = << =       +⋅      −−=− 1 2 0 10 2/10 2 1101 1 n n z zofzeros trivial z zofzeros nontrivial zc fzf e n z e z ezz   ς ρ ρς ρ ς ρ ςς Hadamard Infinite Product Expansion of (z-1) ζ (z) is: ( ) ( ) pi i f f zd d c z i i i ,,1,0 !1 : 0 1 1 = +       = = + ( ) ( ) ( ) ( ) ( ) ( ) ( ) ( ) ( ) 12ln 2/1 2/2ln2/1 0 0'0 : 1 0 1 1 −= +− = − − =      = ⋅−= = π π ς ςςς zzzf z f f c ( ) ( ) ( ) 2 1 0& 2 2ln 0' −=−= ς π ς Riemann's Zeta Function
  • 248.
    248 SOLO Hadamard Infinite ProductExpansion of Zeta Function (continue) Graph showing the Trivial Zeros, the Critical Strip and the Critical Line of ζ (z) zeros. ( ) ( ) ( )( ) ( ) ( ) ( ) ∏∏ ∞ = − = << −       +⋅      −=− 1 2 0 10 12ln 2 11 2 1 n n z zofzeros trivial z zofzeros nontrivial z e n z e ze zz  ς ρ ρς ρ ς π ρ ς ( ) ∏ ∞ = −       += Γ 1 22 2 1 22/ 1 n n z z e n z e z z γ Hadamard Infinite Product Expansion of (z-1) ζ (z) is: We found the Weierstrass Expansion for the Gamma Function: ( ) ( )( ) ( ) ( ) ( ) ( ) ∏ << = −−       − +Γ− = 10 0 2/12ln 1 2/112 ρ ρς ρ γπ ρ ς Re zz e z zz e z       +Γ =       Γ⋅ =      + −− ∞ = − ∏ 2 1 22 2 1 22 1 2 z e zz e e n z zz n n z γγ Hadamard (1893) used the Weierstrass product theorem to derive this result. The plot above shows the convergence of the formula along the real axis using the first 100 (red), 500 (yellow), 1000 (green), and 2000 (blue) Riemann zeta function zeros. Riemann's Zeta Function
  • 249.
    Fourier Transform ( )( ){ } ( ) ( )∫ +∞ ∞− −== dttjtftfF ωω exp:F SOLO Jean Baptiste Joseph Fourier 1768 - 1830 F (ω) is known as Fourier Integral or Fourier Transform and is in general complex ( ) ( ) ( ) ( ) ( )[ ]ωφωωωω jAFjFF expImRe =+= Using the identities ( ) ( )t d tj δ π ω ω =∫ +∞ ∞− 2 exp we can find the Inverse Fourier Transform ( ) ( ){ }ωFtf -1 F= ( ) ( ) ( ) ( ) ( ) ( ) ( )( ) ( ) ( ) ( ) ( )[ ]00 2 1 2 exp 2 expexp 2 exp ++−=−=−=     −= ∫∫ ∫ ∫ ∫∫ ∞+ ∞− ∞+ ∞− ∞+ ∞− +∞ ∞− +∞ ∞− +∞ ∞− tftfdtfd d tjf d tjdjf d tjF ττδττ π ω τωτ π ω ωττωτ π ω ωω ( ) ( ){ } ( ) ( )∫ +∞ ∞− == π ω ωωω 2 exp: d tjFFtf -1 F ( ) ( ) ( ) ( )[ ]00 2 1 ++−=−∫ +∞ ∞− tftfdtf ττδτ If f (t) is continuous at t, i.e. f (t-0) = f (t+0) This is true if (sufficient not necessary) f (t) and f ’ (t) are piecewise continue in every finite interval1 2 and converge, i.e. f (t) is absolute integrable in (-∞,∞)( )∫ +∞ ∞− dttf
  • 250.
    Fourier TransformSOLO ( )tf -1 F F ()ωFProperties of Fourier Transform Linearity1 ( ) ( ){ } ( ) ( )[ ] ( ) ( ) ( )ωαωαωαααα 221122112211 exp: FFdttjtftftftf +=−+=+ ∫ +∞ ∞− F Symmetry2 ( )tF -1 F F ( )ωπ −f2 ( ) ( ) ( ) ( ) ( ) ( ) ( ) ( ) ( ) ( ){ }tFdttjtFf dt tjtFf d tjFtf t F=−=−⇒=⇒= ∫∫∫ +∞ ∞− +∞ ∞− ↔ +∞ ∞− ωωπ π ωω π ω ωω ω exp2 2 exp 2 exp Proof: Conjugate Functions3 ( )tf * -1 F F ( )ω−* F Proof: ( ) ( ) ( ) ( ) ( ) ( ){ }tf d tjF d tjFtf **** 2 exp 2 exp 1- F=−=−= ∫∫ +∞ ∞− →− +∞ ∞− π ω ωω π ω ωω ωω
  • 251.
    Fourier Transform ( ){} ( ) ( ) ( )       =      −=−= ∫∫ +∞ ∞− = +∞ ∞− a F aa d a jfdttjtaftaf ta ωτ τ ω τω τ 1 expexp:F ( ) ( ){ } ( ) ( ) ( ) ( ) ( ) ( ) ( ) ( ){ }ωωωωω ω ωω FjdttjjtfF d d dttjtftfF nn n n −=−−=→−== ∫∫ +∞ ∞− +∞ ∞− FF expexp: SOLO ( )tf -1 F F ( )ωFProperties of Fourier Transform Scaling4 Derivatives5 Proof: ( )taf -1 F F       a F a ω1 Proof: Corollary: for a = -1 ( )tf − -1 F F ( )ω−F ( ) ( )tftj n − -1 F F ( )ω ω F d d n n ( )tf td d n n -1 F F ( ) ( )ωω Fj n ( ) ( ){ } ( ) ( ) ( ) ( ) ( ) ( ) ( ) ( ){ }ωω π ω ωωω π ω ωωω Fj d tjjFtf td dd tjFFtf nn n n 1-1- FF ==→== ∫∫ +∞ ∞− +∞ ∞− 2 exp 2 exp
  • 252.
    Fourier TransformSOLO ( )tf -1 F F ()ωFProperties of Fourier Transform Convolution6 Proof: ( ) ( ) ( ) ( ) ( ) ( ) ( ) ( ) ( )( ) ( ) ( ) ( ) ( ) ( ) ( ) ( ) ( ) ( )ωωωττωττωτωτ ττωττωττττωτττ τ 212121 212121 expexpexp expexpexp: FFFdjfdduujufjf ddttjtfjfdtdtfftjdtff ut =         −=         −−= −−−−=         −−=         − ∫∫ ∫ ∫ ∫∫ ∫∫ ∞+ ∞− ∞+ ∞− ∞+ ∞− =− +∞ ∞− +∞ ∞− +∞ ∞− +∞ ∞− +∞ ∞− F ( ) ( )tftf 21 -1 F F ( ) ( )ωω 21 * FF( ) ( ) ( ) ( )∫ +∞ ∞− −= τττ dtfftftf 2121 :* -1 F F ( ) ( )ωω 21 FF The animations above graphically illustrate the convolution of two rectangle functions (left) and two Gaussians (right). In the plots, the green curve shows the convolution of the blue and red curves as a function of t, the position indicated by the vertical green line. The gray region indicates the product as a function of g (τ) f (t-τ) , so its area as a function of t is precisely the convolution. http://mathworld.wolfram.com/Convolution.html
  • 253.
    Fourier TransformSOLO ( )tf -1 F F ()ωFProperties of Fourier Transform ( ) ( ) ( ) ( )∫∫ +∞ ∞− +∞ ∞− = ωωω π dFFdttftf 2 * 12 * 1 2 1 Parseval’s Formula7 Proof: ( ) ( ) ( )∫ +∞ ∞− −= dttjtfF ωω exp11 ( ) ( ) ( ) ( ) ( ) ( ) ( ) ( ) ( ) ( )∫∫ ∫∫ ∫∫ +∞ ∞− +∞ ∞− +∞ ∞− +∞ ∞− +∞ ∞− +∞ ∞− =−=−= π ω ωω π ω ωω π ω ωω 22 exp 2 exp 2 * 112 * 2 * 12 * 1 d FF d dttjtfFdt d tjFtfdttftf ( ) ( ) ( ) ( ) ( ) ( ) ( ) ( ) ( ) ( )∫∫ ∫∫ ∫∫ +∞ ∞− +∞ ∞− +∞ ∞− +∞ ∞− +∞ ∞− +∞ ∞− −=== π ω ωω π ω ωω π ω ωω 22 exp 2 exp 21122121 d FF d dttjtfFdt d tjFtfdttftf ( ) ( ) ( )∫ +∞ ∞− −= π ω ωω 2 exp * 2 * 2 d tjFtf ( ) ( ) ( ) ( ) ( ) ( )∫∫ +∞ ∞− +∞ ∞− =−→−= dttjtfFdttjtfF ωωωω expexp 1111 ( ) ( ) ( ) ( ) ( ) ( )∫∫∫ +∞ ∞− +∞ ∞− +∞ ∞− −=−= ωωω π ωωω π dFFdFFdttftf 212121 2 1 2 1
  • 254.
    Signal Duration andBandwidthSOLO ( )tf -1 F F ( )ωFRelationships from Parseval’s Formula ( ) ( ) ( ) ( )∫∫ +∞ ∞− +∞ ∞− = ωωω π dFFdttftf 2 * 12 * 1 2 1 Parseval’s Formula7 Choose ( ) ( ) ( ) ( )tstjtftf m −== 21 ( ) ( ) ,2,1,0 2 1 2 22 == ∫∫ ∞+ ∞− ∞+ ∞− nd d Sd dttst m m m ω ω ω π ( ) ( )tftj n − -1 F F ( )ω ω F d d n n and use 5a Choose ( ) ( ) ( ) n n td tsd tftf == 21 and use 5b ( )tf td d n n -1 F F ( ) ( )ωω Fj n ( ) ( ) ,2,1,0 2 1 22 2 == ∫∫ ∞+ ∞− ∞+ ∞− ndSdt td tsd m n n ωωω π Choosec ( ) ( ) ( ) ( ) ( ) ( )  ,2,1,0,,2,1,0 2 * ==      = ∫∫ +∞ ∞− +∞ ∞− mnd d Sd S j dt td tsd tstj m m n n n n mm ω ω ω ωω π ( ) ( ) n n td tsd tf =1 ( ) ( ) ( )tstjtf m −=2
  • 255.
    Fourier TransformSOLO ( )tf -1 F F ()ωFProperties of Fourier Transform Modulation9 Shifting: for any a real8 Proof: ( ) ttf 0cos ω -1 F F ( ) ( )[ ]00 2 1 ωωωω −++ FF Proof: ( ) ( )[ ]tjtjt 000 expexp 2 1 cos ωωω −+= ( )atf − -1 F F ( ) ( )ωω ajF −exp ( ) ( )tajtf exp -1 F F ( )aF −ω ( ){ } ( ) ( ) ( ) ( )( ) ( ) ( )ωωττωτω τ Fajdajfdttjatfatf at −=+−=−−=− ∫∫ +∞ ∞− =− +∞ ∞− expexpexp:F ( ) ( ){ } ( ) ( ) ( ) ( ) ( )( ) ( )aFdttajtfdttjtajtftajtf −=−−=−= ∫∫ +∞ ∞− +∞ ∞− ωωω expexpexp:expF use shifting property with a=±ω0
  • 256.
    ( )atf − -1 F F( ) ( )ωω ajF −exp Fourier TransformSOLO ( )tf -1 F F ( )ωFProperties of Fourier Transform (Summary) Linearity1 ( ) ( ){ } ( ) ( )[ ] ( ) ( ) ( )ωαωαωαααα 221122112211 exp: FFdttjtftftftf +=−+=+ ∫ +∞ ∞− F Symmetry2 ( )tF -1 F F ( )ωπ −f2 Conjugate Functions3 ( )tf * -1 F F ( )ω−* F Scaling4 ( )taf -1 F F       a F a ω1 Derivatives5 ( ) ( )tftj n − -1 F F ( )ω ω F d d n n ( )tf td d n n -1 F F ( ) ( )ωω Fj n Convolution6 ( ) ( )tftf 21 -1 F F ( ) ( )ωω 21 * FF( ) ( ) ( ) ( )∫ +∞ ∞− −= τττ dtfftftf 2121 :* -1 F F ( ) ( )ωω 21 FF ( ) ( ) ( ) ( )∫∫ +∞ ∞− +∞ ∞− = ωωω π dFFdttftf 2 * 12 * 1 2 1 Parseval’s Formula7 Shifting: for any a real8 ( ) ( )tajtf exp -1 F F ( )aF −ω Modulation9 ( ) ttf 0 cos ω -1 F F ( ) ( )[ ]00 2 1 ωωωω −++ FF ( ) ( ) ( ) ( ) ( ) ( )∫∫∫ +∞ ∞− +∞ ∞− +∞ ∞− −=−= ωωω π ωωω π dFFdFFdttftf 212121 2 1 2 1
  • 257.
    Laplace’s TransformSOLO Laplace L-Transform(continue – 1) The Inverse Laplace’s Transform (L -1 ) is given by: ( ) ( )∫ ∞+ ∞− = j j ts dsesF j tf π2 1 Using Jordan’s Lemma (see “Complex Variables” presentation or the end of this one) Jordan’s Lemma Generalization If |F (z)| ≤ M/Rk for z = R e iθ where k > 0 and M are constants, then for Γ a semicircle arc of radius R, and center at origin: ( ) 00lim <=∫Γ →∞ mzdzFe zm R where Γ is the semicircle, in the left part of z plane. x yΓ R we can write ( ) ( ){ } ( ) ( )∫∫ ∞+ ∞− + + === j j tsts f f dsesF j dsesF j sFtf σ σ ππ 2 1 2 11-L ( ) ( ){ } ( ) ( ) ( )∫∫∫ =+== ∞+ ∞− dsesF j dsesF j dsesF j sFtf ts C ts j j ts πππ 2 1 2 1 2 1 0    1-L If the F (s) has no poles for σ > σf+, according to Cauchy’s Theorem we can use a closed infinite region to the left of σf+, to obtain
  • 258.
    Laplace’s TransformSOLO Properties ofLaplace L-Transform s - Domaint - Domain ( )tf ( ) ( ) { } + >= ∫ ∞ − f st sdtetfsF σRe 0 1 ( ) { } if M i ii zsFc σmaxRe 1 >∑= Linearity ( )∑= M i ii tfc 1 3 ( ) ( ) ( ) ( ) ( ) ( )+−+−+− −−−− 000 1121 nnnn ffsfssFs Differentiation ( ) n n td tfd 4 ( ) ( )∫∞− → + + t t df ss sF ξξ 0 lim 1Integration ( )∫∞− t df ξξ 5 ( ) s sFReal Definite Integration ( )∫ t df 0 ξξ ( )∫∫ t ddf 0 0 ξλλ ξ ( ) 2 s sF 2       a s F a 1Scaling ( )taf
  • 259.
    Laplace’s TransformSOLO Properties ofLaplace L-Transform (continue – 1) s - Domaint - Domain ( )tf ( ) ( ) { } + >= ∫ ∞ − f st sdtetfsF σRe 0 6 ( ) n n sd sFdMuliplicity by tn ( ) ( )tftn − 7 ( )∫ ∞ 0 dssFDivision by t ( ) t tf 8 ( )sFe sλTime shifting ( ) ( )λλ ±± tutf 9 ( )asF Complex Translations ( )tfe ta± 10 ( ) ( )sHsF ⋅ Convolution t - plane ( ) ( ) ( ) ( )∫ ∞ −⋅=∗ 0 τττ dthfthtf 11 ( ) ( ) ( ) ( )∫ ∞+ ∞− −=∗ j j dsHF j sHsF j σ σ τττ ππ 2 1 2 1Convolution s - plane ( ) ( )thtf ⋅
  • 260.
    Laplace’s TransformSOLO Properties ofLaplace L-Transform (continue – 2) s - Domaint - Domain ( )tf ( ) ( ) { } + >= ∫ ∞ − f st sdtetfsF σRe 0 12 Initial Value Theorem ( ) ( )sFstf st ∞→→ =+ limlim 0 13 Final Value Theorem ( ) ( )sFstf st 0 limlim →∞→ = 14 Parseval’s Theorem ( ) ( ) ( ) ( ) ( ) ( ) ( ) ( )∫∫ ∫ ∫ ∫∫ ∞+ ∞− ∞+ ∞− ∞ ∞ ∞+ ∞− ∞ −=−= −=− j j j j ts j j ts dssGsF j dsdtetgsF j dttgdsesF j dttgtf σ σ σ σ σ σ ππ π 2 1 2 1 2 1 0 00
  • 261.
    SOLO Z- Transform andDiscrete Functions Z Transform The Z- Transform (one-sided) of a sequence { f (nT); n=0,1,… } is defined as : ( ){ } ( ) ( )∑ ∞ = − == 0 : n n zTnfzFTnfZ where T, the sampling time, is a positive number. ( )tf ( ) ( )∑ ∞ = −= 0n T Tntt δδ ( ) ( ) ( ) ( ) ( )∑ ∞ = −== 0 * n T TntTnfttftf δδ ( )tf * ( )tf T t
  • 262.
    ( )tf ( )( )∑ ∞ = −= 0n T Tntt δδ ( ) ( ) ( ) ( ) ( )∑ ∞ = −== 0 * n T TntTnfttftf δδ ( )tf * ( )tf T t ( ) ( ){ } ( ) σσ <== +∫ ∞ − f ts dtetftfsF 0 L SOLO Sampling and z-Transform ( ) ( ){ } ( ) σδδ < − ==       −== − ∞ = − ∞ = ∑∑ 0 1 1 00 sT n sTn n T e eTnttsS LL ( ) ( ){ } ( ) ( ) ( ) ( ) ( ){ } ( ) ( )       << − = =       − == − ∞+ ∞− −− ∞ = − ∞ = +∫ ∑∑ 0 00 ** 1 1 2 1 σσσξξ π δ δ ξ σ σ ξ f j j tsT n sTn n d e F j ttf eTnfTntTnf tfsF L L L ( ) ( ) ( ) ( ) ( ) ( ) ( ) ( ) ( ) ( ) ( ) ( ) ( )              − = − − = − = ∑∫ ∑∫ ∑ −− − −− Γ −− −− Γ −− ∞ = − ts e ofPoles tsts F ofPoles tsts n nsT e F Resd e F j e F Resd e F j eTnf sF ξ ξξ ξ ξξ ξ ξ ξ π ξ ξ ξ π 1 1 0 * 112 1 112 1 2 1 Poles of ( ) Ts e ξ−− −1 1 Poles of ( )ξF planes T nsn π ξ 2 += ωj ωσ j+ 0=s Laplace Transforms The signal f (t) is sampled at a time period T. 1Γ 2 Γ ∞→R ∞→R Poles of ( ) Ts e ξ−− −1 1 Poles of ( )ξF planeξ T nsn π ξ 2 += ωj ωσ j+ 0=s Z Transform
  • 263.
    ( )tf ( )( )∑ ∞ = −= 0n T Tntt δδ ( ) ( ) ( ) ( ) ( )∑ ∞ = −== 0 * n T TntTnfttftf δδ ( )tf * ( )tf T t SOLO Sampling and z-Transform (continue – 1) ( ) ( ) ( ) ( ) ( ) ( ) ( ) ∑∑ ∑∑ ∞+ −∞= ∞+ −∞= −−→ ∞+ −∞= −− +→ += − −−       += −       + −=       +             − −− −= − −= −− −− nn Tse n ts T n js T n js e ofPoles ts T n jsF TeT T n jsF T n jsF e T n js e F RessF ts n ts π π π π ξ ξ ξ ξπ ξ π ξ ξ ξ ξ 21 2 lim 2 1 2 lim 1 1 2 2 1 1 * Poles of ( )ξF ωj σ 0=s T π2 T π2 T π2 Poles of ( )ξ* F plane js ωσ += The signal f (t) is sampled at a time period T. The poles of are given by( )ts e ξ−− −1 1 ( ) ( ) T n jsnjTsee n njTs π ξπξπξ 2 21 2 +=⇒=−−⇒==−− ( ) ∑ +∞ −∞=       += n T n jsF T sF π21* Z Transform
  • 264.
    SOLO F F-1 frequency-B/2 B/2 B FF-1 -B/2 B/2 B 1/Ts-1/Ts frequency Sample Sampling a function at an interval Ts (in time domain) Anti-aliasing filters is used to enforce band-limited assumption. causes it to be replicated at 1/ Ts intervals in the other (frequency) domain. Sampling and z-Transform (continue – 2) Z Transform
  • 265.
    ( )tf ( )( )∑ ∞ = −= 0n T Tntt δδ ( ) ( ) ( ) ( ) ( )∑ ∞ = −== 0 * n T TntTnfttftf δδ ( )tf * ( )tf T t SOLO Sampling and z-Transform (continue – 3) 0=z planez Poles of ( )zF C The signal f (t) is sampled at a time period T. The z-Transform is defined as: ( ){ } ( ) ( ) ( ) ( ) ( ) ( )         − −=== ∑ ∑ = − → ∞ = − = iF iF i iF Ts FofPoles T F n n ze ze F zTnf zFsFtf ξξ ξ ξ ξξ ξξξ 1 0 * 1 lim:Z ( ) ( )      < >≥ = ∫ − 00 0 2 1 1 n RzndzzzF jTnf fC C n π Z Transform
  • 266.
    SOLO Sampling and z-Transform(continue – 4) ( ) ( ) ( )∑∑ ∞ = − +∞ −∞= =      += 0 * 21 n nsT n eTnf T n jsF T sF πWe found The δ (t) function we have: ( ) 1=∫ +∞ ∞− dttδ ( ) ( ) ( )τδτ fdtttf =−∫ +∞ ∞− The following series is a periodic function: ( ) ( )∑ −= n Tnttd δ: therefore it can be developed in a Fourier series: ( ) ( ) ∑∑       −=−= n n n T tn jCTnttd πδ 2exp: where: ( ) T dt T tn jt T C T T n 1 2exp 1 2/ 2/ =      = ∫ + − πδ Therefore we obtain the following identity: ( )∑∑ −=      − nn TntT T tn j δπ2exp Second Way Z Transform
  • 267.
    ( ) (){ } ( ) ( )∫ +∞ ∞− −== dttjtftfF νπνπ 2exp:2 F ( ) ( ) ( )∑∑ ∞ = − +∞ −∞= =      += 0 * 21 n nsT n eTnf T n jsF T sF π ( ) ( ){ } ( ) ( )∫ +∞ ∞− == ννπνπνπ dtjFFtf 2exp2:2-1 F SOLO Sampling and z-Transform (continue – 5) We found Using the definition of the Fourier Transform and it’s inverse: we obtain ( ) ( ) ( )∫ +∞ ∞− = ννπνπ dTnjFTnf 2exp2 ( ) ( ) ( ) ( ) ( ) ( )∑∫∑ ∞ = +∞ ∞− ∞ = −=−= 0 111 0 * exp2exp2exp nn n sTndTnjFsTTnfsF ννπνπ ( ) ( ) ( )[ ]∫ ∑ +∞ ∞− +∞ −∞= −−== 111 * 2exp22 νννπνπνπ dTnjFjsF n ( ) ( ) ∑∫ ∑ +∞ −∞= +∞ ∞− +∞ −∞=             −=      −−== nn T n F T d T n T FjsF νπνννδνπνπ 2 11 22 111 * We recovered (with –n instead of n) ( ) ∑ +∞ −∞=       += n T n jsF T sF π21* Second Way (continue) Making use of the identity: with 1/T instead of T and ν - ν 1 instead of t we obtain: ( )[ ] ∑∑       −−=−− nn T n T Tnj 11 1 2exp ννδννπ ( )∑∑ −=      − nn TntT T tn j δπ2exp Z Transform
  • 268.
    Z TransformSOLO Properties ofZ-Transform Functions Z - Domaink - Domain ( )kf ( ) ( ) −+ ∞ = − <<= ∑ ff k k rzrzkfzF 0 1 ( ) −+ <<∑= ii ff M i ii rzrzFc minmax 1 Linearity ( )∑= M i ii kfc 1 2 ( ) ( ) ,2,10 ==−− kkfmkf ( )zFz m− Shifting ( )mkf − ( ) ( ) ( ) ∑= −−− −+ m k kmm zkfzFz 1 ( )mkf + ( ) ( ) ( ) ∑= − − m k kmm zkfzFz 1 ( )1+kf ( ) ( )0fzFz − 3 Scaling ( )kfak ( ) ( ) ( ) −+ ∞ = −−− <<= ∑ ff k k razrazakfzaF 0 11
  • 269.
    Z TransformSOLO Properties ofZ-Transform Functions (continue – 1) 4 Periodic Sequence ( )kf ( ) ( ) −+ << − 111 1 ffN N rzrzF z z N = number of units in a period Rf1- ,+ = radiuses of convergence in F(1) (z) F(1) (z) = Z -Transform of the first period 5 Multiplication by k ( )kfk ( ) −+ <<− ff rzr zd zFd z 6 Convolution ( ) ( ) ( ) ( )∑ ∞ = −=∗ 0 : m mkhmfkhkf ( ) ( ) ( ) ( )−−++ <<⋅ hfhf rrzrrzHzF ,min,max 7 Initial Value ( ) ( )zFf z ∞→ = lim0 8 Final Value ( ) ( ) ( ) ( ) existsfifzFzkf zk ∞−= →∞→ 1limlim 1 Z - Domaink - Domain ( )kf ( ) ( ) −+ ∞ = − <<= ∑ ff k k rzrzkfzF 0
  • 270.
    Z TransformSOLO Properties ofZ-Transform Functions (continue – 2) 9 Complex Conjugate ( )kf * ( ) −+ << ff rzrzF ** 10 Product ( ) ( )khkf ⋅ ( ) ( ) −−++ − <=<∫ hfhf C rrzrr z zd zHzF j ,1, 2 1 1 π 12 Correlation ( ) ( ) ( ) ( ) ( ) ( ) 1,1, 2 1 11 0 ≥<=<=−⋅=⊗ −−++ −− ∞ = ∫∑ krrzrr z zd zzHzF j kmhmfkhkf hfhf C k m π 11 Parceval’s Theorem ( ) ( ) ( ) ( ) −−++ − ∞ = <=<=⋅ ∫∑ hfhf Ck rrzrr z zd zHzF j khkf ,1, 2 1 1 0 π Z - Domaink - Domain ( )kf ( ) ( ) −+ ∞ = − <<= ∑ ff k k rzrzkfzF 0
  • 271.
    Z TransformSOLO Table ofZ-Transform Functions Z - Domain k - Domain ( )kf ( ) ( ) f k k RzzkfzF >= ∑ ∞ = − 0 1 ( )mkf + ( ) ( ) ( ) ( )[ ]110 11 −−−−− +−− mfzfzfzFz mm 2 ( )mkf − ( )zFz m− 3 ( ) ( ) ( )kfkfkf −+=∆ 1: ( ) ( ) ( )01 fzzFz −−4 ( ) ( ) ( ) ( )kfkfkfkf ++−+=∆ 122:2 ( ) ( ) ( ) ( ) ( )1021 2 fzfzzzFz −−−−5 ( )kf3 ∆ ( ) ( ) ( ) ( ) ( ) ( ) ( )2130331 23 fzfzzfzzzzFz −−−+−−−6
  • 272.
    272 SOLO Mellin Transform ( ){} ( ) ( )∫ ∞ − == 0 1 xdxfxsFxf s MM We can get the Mellin Transform from the two side Laplace Transform Robert Hjalmar Mellin ( 1854 – 1933) ( ){ } ( ) ( )∫ ∞ ∞− − == xdxfesFxf sx 2LL2 ( ){ } ( ) ( ) ( ) ( )1 0 11 0 1 +=== ∫∫ ∞ −+ ∞ − sFxdxfxxdxfxxxfx ss MM ( ){ } ( ) ( )∫ ∞+ ∞− − == ic ic s sdsFx i x M 1- fsfM π2 1 Example: { } ( )sxdexe xsx Γ== ∫ ∞ −−− 0 1 M ( ) x exf − =
  • 273.
    273 SOLO Mellin Transform (continue– 1) ( ){ } ( ) ( )∫ ∞ − == 0 1 xdxfxsFxf s MM Relation to Two-Sided Laplace Transformation Robert Hjalmar Mellin ( 1854 – 1933) tdexdex tt −− −== , Let perform the coordinate transformation ( ) ( ) ( ) ( ) ( )∫∫∫ ∞ ∞− −− −∞ ∞ −− ∞ −−−− =−=−= tdeeftdeeftdeefesF tsttstttst 0 1 M After the change of functions ( ) ( )t eftg − =: ( ) ( ) ( ) ( )∫∫ ∞ ∞− − ∞ ∞− −− === tdetgsGtdeefsF tstst 2LM Inversion Formula ( ) ( ) ( ) ( ) ( )xfefsdxsF i sdesG i tg xe t ic ic s exic ic ts tt = − ∞+ ∞− − =∞+ ∞− −−− ==== ∫∫ ML L 2 1 2 ππ 2 1 2 1 Mellin Transform
  • 274.
    274 SOLO Properties of MellinTransform (continue – 2) ( ) ( ){ } ( ) ( ) ( ) ( ) ( ) ( ) ( ) ( ) ( ) ( ) ( ) ( ) ( ) ( ) ( ) ( ) ( ) ( ) ( ) ( ) ( ) ( ) ( ) ( ) ( ) f kk k k fk k k k f z fk k k f a f f s SszsFstf td d t sksksks SkszsFkstf td d SzszsFCztft SssF sd d tft SsasFaRatf SsFaataf SsFtf HolomorphyofStriptdtftsFtftf ∈+−      −+−−=− ∈−+−− ∈++∈ ∈ ∈≠∈ > ==> −− − ∞ − ∫ M M M M M M M MM0t, 1 11: 1 , ln 0,, 0, 11 1 0 1  Original Function Mellin Transform Strip of Convergence Mellin Transform
  • 275.
    275 SOLO Properties of MellinTransform (continue – 3) ( ) ( ){ } ( ) ( ) ( ) ( ) ( )( ) ( ) ( ) ( ) ( ) ( ) ( ) ( ) ( ) ( ) ( ) ( ) ( ) ( ) ( ) ( ) ( ) ( ) ( ) ( ) ( ) ( ) ( ) 21 0 21 1 0 1 0 1 // 1 1 11: 1 11: 1 ff t t k f kk k k k k fk kk k k f s SSssFsFxxdxtfxf sFsxdxf sFsxdxf kssss SssFstf td d t sksksks SssFkstft td d SsFtf HolomorphyofStriptdtftsFtftf    ∈⋅ +− + −++= ∈− −+−−=− ∈−− ==> ∫ ∫ ∫ ∫ ∞ − − ∞ ∞ − M2M1 M M M M M MM0t, Original Function Mellin Transform Strip of Convergence Mellin Transform
  • 276.
    276 Hilbert Transform SOLO F (u)a analytical function in the right half u plan including infinity. According to Cauchy theorem: ( ) ( ) ∫ − = C dz sz zF j sF π2 1 s R θ 1 C 2 C s * s * s− complex plane complex plane Let take the point –s* , where s* is the complex conjugate of s. Since –s* is outside the contour C, we have ( ) ( )∫ −− = C dz sz zF j *2 1 0 π By adding and subtracting those two relations we obtain: ( ) ( ) ( )∫∫       + − − =      + + − = CC dzzF szszj dzzF szszj sF * 11 2 1 * 11 2 1 ππ where C = C1 + C2 is a closed curve composed by - C1 a semicircle in the right half plane - C2 a straight line on the imaginary axis of the complex plane Augustin Louis Cauchy )1789-1857(
  • 277.
    277 SOLO Let compute theintegrals: s R θ 1C 2C s * s * s− complex plane complex plane along C1, assuming R → ∞ we have ( )θjRszsz exp 1 * 11 ≈ + ≈ − ( ) ( ) ( )∫∫       + − − =      + + − = CC dzzF szszj dzzF szszj sF * 11 2 1 * 11 2 1 ππ ( ) θθ djRjzd exp= ( ) ( )[ ] ( ) 0exp2 2 1 lim * 11 2 1 2 2 1 1 ∞ − →∞ =∞==      + + − = ∫∫ atanalyticF R C FdjRFj j dzzF szszj I π π θθ ππ ( ) 0 * 11 2 1 1 3 =      + − − = ∫C dzzF szszj I π along C2, assuming R → ∞ we have ( ) ( )( ) ( ) ( ) ( ) ( )∫∫∫ ∞ ∞− = −= += ∞ ∞− −+ − = +− +− =      + + − = j j vjz js js j jC vdvjF v vj zdzF szsz ssz j dzzF szszj I 22 * 2 1 * *2 2 1 * 11 2 1 2 ωσ ω πππ ωσ ωσ ( ) ( )( ) ( ) ( ) ( )∫∫∫ ∞ ∞− = −= += ∞ ∞− −+ = +− + =      + − − = j j vjz js js j jC vdvjF v dzzF szsz ss j dzzF szszj I 22 * 4 1 * * 2 1 * 11 2 1 2 ωσ σ πππ ωσ ωσ ( ) ( ) ( ) ( ) ( ) ( )∫∫ ∞ ∞− ∞ ∞− −+ = −+ − = j j j j vdvjF v vdvjF v vj sF 2222 11 ωσ σ πωσ ω π Hilbert Transform
  • 278.
    278 SOLO Let write ( )( ) ( ) ( ) ( ) ( ) ( )∫∫ ∞ ∞− ∞ ∞− −+ =∞+ −+ − = j j j j vdvjF v FvdvjF v vj sF 2222 11 ωσ σ πωσ ω π ( ) ( )[ ] ( )[ ]ωσωσωσ jFjjFjF +++=+ ImRe ( ){ } ( )[ ] ( ) ( ) ( )[ ] ( )[ ]( ) ( ) ( )[ ] ( )[ ]( )∫ ∫ ∞ ∞− ∞ ∞− + −+ = + −+ − =+++ j j j j vdjFjjF v vdjFjjF v vj jFjjF νν ωσ σ π νν ωσ ω π ωσωσ ImRe 1 ImRe 1 ImRe 22 22 We obtain By equaling the real and imaginary parts we obtain ( )[ ] ( ) ( ) ( )[ ] ( ) ( )[ ]∫∫ ∞ ∞− ∞ ∞− −+ = −+ − =+ j j j j vdvjF v vdvjF v v jF Re 1 Im 1 Re 2222 ωσ σ πωσ ω π ωσ ( )[ ] ( ) ( ) ( )[ ] ( ) ( )[ ]∫∫ ∞ ∞− ∞ ∞− −+ = −+ − =+ j j j j vdvjF v vdvjF v v jF Im 1 Re 1 Im 2222 ωσ σ πωσ ω π ωσ From those relation we can see that if F (s) is analytic in the right half plane, then it is enough to know it’s value on the imaginary axis to compute F (s) in the entire right half plane. Hilbert Transform
  • 279.
    279 SOLO We are interestedin cases when σ = 0, i.e. points on the imaginary axis. In this case: ( )[ ] ( ) ( ) ( )[ ] ( ) ( )[ ]∫∫ ∞ ∞− ∞ ∞− −+ = −+ − =+ j j j j vdvjF v vdvjF v v jF Re 1 Im 1 Re 2222 ωσ σ πωσ ω π ωσ ( )[ ] ( ) ( ) ( )[ ] ( ) ( )[ ]∫∫ ∞ ∞− ∞ ∞− −+ = −+ − =+ j j j j vdvjF v vdvjF v v jF Im 1 Re 1 Im 2222 ωσ σ πωσ ω π ωσ It seams that we have a singular point ν = ω, on the path of integration, but we will see how this can be taken care. ( )[ ] ( )[ ] ( )∫ ∞ ∞− − = j j vd v vjF jF ωπ ω Im1 Re ( )[ ] ( )[ ] ( )∫ ∞ ∞− − = j j vd v vjF jF ωπ ω Re1 Im Hilbert Transform
  • 280.
    280 SOLO Suppose that F(z) is an analytic function on the lower (or upper) half complex plane. ( )νRe ( )νIm ω εω +εω − R RR− 'C C ε We can write ( ) ( ) ( ) ( ) ( ) ∫∫∫∫∫ + − − − + − + − + − = − = R CRC d jF d jF d jF d jF d jF εω εω ν νω ν ν νω ν ν νω ν ν νω ν ν νω ν ' 0 ( ) 0lim ' = −∫→∞ C d jF ν νω ν ν Now ( ) ( ) ( ) ( ) ( ) ( )ωπθω ε ε ω νω ν ων νω ν π π θ θ jFjdjFj e ed jF d jFd jF C j j CC === − = − ∫∫∫∫ 2 Therefore ( ) ( ) ( )         − + − = ∫∫ + − − →→∞ R R R d jF d jFj jF εω εω ε ν νω ν ν νω ν π ω 0 limlim Define Cauchy Principal Value( ) ( ) ( )         += ∫∫∫ + − − → − R R R R dqdqdqPV εω εω ε νννννν 0 lim: ( ) ( )         − = ∫ ∞ ∞− ν νω ν π ω d jF PV j jF From the development we can see that the limit exist and are finite, therefore we removed the singularity at ν = ω. Augustin Louis Cauchy )1789-1857( Hilbert Transform
  • 281.
    281 SOLO Suppose that F(z) is an analytic function on the lower (or upper) half complex plane. We can write ( ) ( )[ ] ( )[ ] ( )[ ] ( )[ ]         − +         − −=+= ∫∫ ∞ ∞− ∞ ∞− ν νωπ ν νωπ ωωω d vjF PV j d vjF PVjFjjFjF ReIm1 ImRe Comparing real and imaginary parts we obtain ( )[ ] ( )[ ] ( )[ ]{ } ( )[ ] ( )[ ] ( )[ ]{ }ων νωπ ω ων νωπ ω jFd vjF PVjF jFd vjF PVjF Re Re1 Im Im Im1 Re H H =         − = −=         − −= ∫ ∫ ∞ ∞− ∞ ∞− Where H stands for Hilbert Transform. ( ) ( )         − = ∫ ∞ ∞− ν νω ν π ω d jF PV j jF ( )νRe ( )νIm ω εω +εω − R RR− 'C C ε David Hilbert 1862 - 1943 Return to Table of Contents Hilbert Transform
  • 282.
    282 SOLO References [2] Churchill, R.V.,“Complex Variables and Applications”, McGraw-Hill, Kõgakusha’ 1960 [3] Spiegel, M.R., “Complex Variables with an introduction to Conformal Mapping and its applications”, Schaum’s Outline Series, McGraw-Hill, 1964 [4] Hauser, A.A., “Complex Variables with Physical Applications”, Simon & Schuster, 1971 [5] Fisher, S.D., “Complex Variables”, Wadsworth & Brooks/Cole Mathematics Series, 1986 Complex Variables [6] Tristan, N., “Visual Complex Analysis”, Clarendon Press, Oxford, 1997 [1] E.C. Titchmarsh, “The Theory of Functions”, Oxford University Press, 2nd Ed., 1939 http://www.ima.umn.edu/~arnold/complex.html
  • 283.
    SOLO References (continue -1) Complex Variables F.B. Hildebrand, “Advanced Calculus for Applications”, 2nd Ed., Prentice Hall, 1976, Ch.10, “Functions of a Complex Variable” http://en.wikipedia.org/wiki/ G.B. Arfken, H.J. Weber, “Mathematical Methods for Physicists”, Academic Press, Fifth Ed., 2001 Sokolnikoff, I.S., Redheffer, R.M., “Mathematics of Physics and Modern Engineering”, 2nd Ed., McGraw Hill, Kõgakusha, 1966 Walter Rudin, “Real and Complex Analysis”, 2nd Ed., McGraw Hill,1974 Marco M. Peloso, “Complex Analysis”, January 21, 2011, University of Milano http://www.math.umn.edu/~garrett/m/complex/ Wilhelm Schlag, “A Concise Course in Complex Analysis and Riemann Surfaces”, University of Chicago Alexander D. Poularikas, Ed., “Transforms and Applications Handbook”, 3th Edition, CRC Press, 2010
  • 284.
    SOLO References (continue -2) ComplexVariables S. Hermelin, “Fourier Transform” S. Hermelin, “Gamma Function” S. Hermelin, “Primes” S. Hermelin, “Hilbert Transform” S. Hermelin, “Z Transform”
  • 285.
    January 5, 2015285 SOLO Technion Israeli Institute of Technology 1964 – 1968 BSc EE 1968 – 1971 MSc EE Israeli Air Force 1970 – 1974 RAFAEL Israeli Armament Development Authority 1974 – 2013 Stanford University 1983 – 1986 PhD AA Complex Variables
  • 286.
    286 SOLO Laplace Fields (generalthree dimensional) Vector Analysis A vector field is said to be a Laplace Field if( )rAA  = ( ) 0=⋅∇ rA  In this case we have and ( ) ( ) ( ) 022 00 2       =∇→−∇=∇⋅∇−⋅∇∇=×∇×∇ ∇ AAAAA ( ) 0=×∇ rA  Harmonic Functions A continuous function φ with continuous first and second partial derivatives is said to be harmonic if it satisfies Laplace’s Equation 02 =∇ ϕ Properties of Harmonic Functions Pierre-Simon Laplace 1749-1827 022 =∇=∇ ψϕ 2 1 0= ∂ ∂ ∫∫S dS n ϕ ∫∫∫∫ ∂ ∂ = ∂ ∂ SS dS n dS n ϕ ψ ψ ϕ General Three Dimensional Complex function If φ ‘(z) is analytical inside and on C ( ) 0=∫C dz zd zd ϕ Cauchy’s Th. C R If φ ,φ’, ψ, ψ’ are analytical inside and on C ( ) ∫∫∫ +== CCC dz zd d dz zd d dz zd d ϕ ψ ψ ϕ ψϕ 0 see Vector Analysis.ppt
  • 287.
    287 SOLO Vector Analysis HarmonicFunctions (continue 1) A continuous function φ with continuous first and second partial derivatives is said to be harmonic if it satisfies Laplace’s Equation 02 =∇ ϕ Properties of Harmonic Functions (continue – 1) 3 A function φ harmonic in a volume V can be expressed in terms of the function and its normal derivative on the surface S bounding V. ( ) ∫∫                 −∂ ∂ − ∂ ∂ − = S SFSF F dS rrnnrr T r 11 4 ϕ ϕ π ϕ  where VoutsidendSndS SonF VinF T →→→ =     = 11 2 1 1 General Three Dimensional Complex function If φ (z) is analytic inside and on a simple closed curve C and a is any point inside C then ( ) ( ) ∫ − = C dz az z i a ϕ π ϕ 2 1 Cauchy’s Integral Formula C x y R a Γ see Vector Analysis.ppt
  • 288.
    288 SOLO Vector Analysis HarmonicFunctions (continue 2) A continuous function φ with continuous first and second partial derivatives is said to be harmonic if it satisfies Laplace’s Equation 02 =∇ ϕ Properties of Harmonic Functions (continue – 2) RS dSn → 1 V Fr  Sr  F SF rrR  −= 4 If the surface S is a sphere SR of radius R with center at then ( ) ∫∫= RS RF dS R r ϕ π ϕ 2 4 1 Fr  If f (z) is analytic inside and on a circle C of radius r and center at z = a, then Complex functionGeneral Three Dimensional ( ) ( ) ( )∫ ∫ += − = =− π θ θϕ π ϕ π ϕ θ 2 0 2 1 2 1 dera dz az z i a i eraz C i C x y a r see Vector Analysis.ppt
  • 289.
    289 SOLO Vector Analysis HarmonicFunctions (continue 3) A continuous function φ with continuous first and second partial derivatives is said to be harmonic if it satisfies Laplace’s Equation 02 =∇ ϕ Properties of Harmonic Functions (continue – 3) RS dSn → 1 V Fr  Sr  F SF rrR  −= 5 If φ is harmonic in a volume V bounded by the surface S and if φ = c = constant at every point on S, then φ = c at every point of V. Complex functionGeneral Three Dimensional Gauss’ Mean Value Theorem If φ (z) is analytic inside and on a closed curve C and φ (z) =c =constant at every point on C, then φ (a) = c at every point inside C, i.e., ( ) ( ) Cinsidezcd c dz azi c dz az z i a i eraz CC ∀== − = − = ∫ ∫∫ =− π θ π π ϕ π ϕ θ 2 0 2 1 22 1 C x y R a Γ If φ is harmonic in a region V bounded by a surface S and ∂ φ/∂ n = 0 at every point of S, then φ = constant at every point of V. 6 see Vector Analysis.ppt
  • 290.
    290 SOLO Vector Analysis HarmonicFunctions (continue 4) A continuous function φ with continuous first and second partial derivatives is said to be harmonic if it satisfies Laplace’s Equation 02 =∇ ϕ Properties of Harmonic Functions (continue – 4) A non-constant function φ harmonic in a region V can have neither a maximum nor a minimum in V. S dSn → 1 V Fr  Sr  SF rrr  −= SδF 7 Maximum Modulus Theorem If f (z) is analytic inside and on a simple closed curve C and is not identically equal to a constant, then the maximum value of | f (z) | occurs on C. Complex functionGeneral Three Dimensional Minimum Modulus Theorem If f (z) is analytic inside and on a simple closed curve C and f (z) ≠ 0 inside C then | f (z) | assumes its minimum value on C. see Vector Analysis.ppt
  • 291.
    291 SOLO Vector Analysis HarmonicFunctions (continue 5) A continuous function φ with continuous first and second partial derivatives is said to be harmonic if it satisfies Laplace’s Equation 02 =∇ ϕ Properties of Harmonic Functions (continue – 5) 8 If φ1 and φ2 are two solutions of Laplace’s equation in a volume V whose normal derivatives take the same value ∂ φ1/∂ n = ∂ φ2/∂ n on the surface S bounding V, then φ1 and φ2 can differ only by a constant. S dSn → 1 V Fr  Sr  FSF rrr  −= 0= ∂ ∂ S n ϕ Table of Contents Complex functionGeneral Three Dimensional If φ1 and φ2 are two analytic functions inside a curve C whose derivatives take the same value ∂ φ1/∂ n = ∂ φ2/∂ n on C, then φ1 and φ2 can differ only by a constant. ( ) ( ) ( ) ( ) ∫ ∫ − = − = C C dz az z i a dz az z i a ' 2 1 ' ' 2 1 ' 2 2 1 1 ϕ π ϕ ϕ π ϕ ( ) ( ) Cinsideaaa ∀= '' 21 ϕϕ ( ) ( ) Cinsideaconstaa ∀+= 21 ϕϕ ( ) ( ) Cona zz ∀ = '' 21 ϕϕ see Vector Analysis.ppt
  • 292.
    292 SOLO Complex Variables BlaschkeProducts Wilhelm Johann Eugen Blaschke (1885 - 1962,) A sequence of points (an) inside the unit disk is said to satisfy the Blaschke Condition when Given a sequence obeying the Blaschke Condition, the Blaschke Product is defined as provided a n≠ 0. Here an * is the complex conjugate of an. When an = 0 take B(0,z) = z. The Blaschke Product B(z) defines a function analytic in the open unit disc, and zero exactly at the an (with multiplicity counted): furthermore it is in the Hardy class H∞ . The sequence of an satisfying the convergence criterion above is sometimes called a Blaschke Sequence. ( ) ∞<−∑n na1 ( ) ( ) ∏ ⋅− − ⋅= n znB n n n n za za a a zB    , *1

Editor's Notes

  • #15 http://www-groups.dcs.st-and.ac.uk/~history/Mathematicians/Brahmagupta.html http://history.hyperjeff.net/hypercomplex.html
  • #16 http://en.wikipedia.org/wiki/Abraham_bar_Hiyya_Ha-Nasi http://www.sarpanet.info/abraham_bar_hiyya/index.php http://history.hyperjeff.net/hypercomplex.html
  • #17 http://www-groups.dcs.st-and.ac.uk/~history/Biographies/Chuquet.html http://history.hyperjeff.net/hypercomplex.html
  • #18 http://www-groups.dcs.st-and.ac.uk/~history/HistTopics/Tartaglia_v_Cardan.html http://www-groups.dcs.st-and.ac.uk/~history/HistTopics/Quadratic_etc_equations.html http://www-groups.dcs.st-and.ac.uk/~history/Biographies/Cardan.html http://en.wikipedia.org/wiki/Cubic_equation http://history.hyperjeff.net/hypercomplex.html
  • #19 http://www-groups.dcs.st-and.ac.uk/~history/HistTopics/Tartaglia_v_Cardan.html http://www-groups.dcs.st-and.ac.uk/~history/HistTopics/Quadratic_etc_equations.html http://www-groups.dcs.st-and.ac.uk/~history/Biographies/Cardan.html http://en.wikipedia.org/wiki/Cubic_equation
  • #20 http://www-groups.dcs.st-and.ac.uk/~history/HistTopics/Tartaglia_v_Cardan.html http://www-groups.dcs.st-and.ac.uk/~history/HistTopics/Quadratic_etc_equations.html http://www-groups.dcs.st-and.ac.uk/~history/Biographies/Cardan.html http://en.wikipedia.org/wiki/Cubic_equation
  • #21 http://www-groups.dcs.st-and.ac.uk/~history/HistTopics/Tartaglia_v_Cardan.html http://www-groups.dcs.st-and.ac.uk/~history/HistTopics/Quadratic_etc_equations.html http://www-groups.dcs.st-and.ac.uk/~history/Biographies/Cardan.html http://en.wikipedia.org/wiki/Cubic_equation
  • #22 http://www-groups.dcs.st-and.ac.uk/~history/HistTopics/Tartaglia_v_Cardan.html http://www-groups.dcs.st-and.ac.uk/~history/HistTopics/Quadratic_etc_equations.html http://www-groups.dcs.st-and.ac.uk/~history/Biographies/Cardan.html http://en.wikipedia.org/wiki/Cubic_equation
  • #23 Tristan, N., “Visual Complex Analysis”, Clarendon Press, Oxford, 1997, pp.45 and 59-60
  • #24 Tristan, N., “Visual Complex Analysis”, Clarendon Press, Oxford, 1997, pp.45 and 59-60
  • #25 http://math.fullerton.edu/mathews/c2003/ComplexNumberOrigin.html http://history.hyperjeff.net/hypercomplex.html
  • #27 http://math.fullerton.edu/mathews/c2003/ComplexNumberOrigin.html http://www-groups.dcs.st-and.ac.uk/~history/Biographies/Euler.html http://en.wikipedia.org/wiki/Cauchy-Riemann_equations http://history.hyperjeff.net/hypercomplex.html
  • #28 http://math.fullerton.edu/mathews/c2003/ComplexNumberOrigin.html http://www-groups.dcs.st-and.ac.uk/~history/Biographies/Euler.html http://en.wikipedia.org/wiki/Cauchy-Riemann_equations
  • #31 http://en.wikipedia.org/wiki/Holomorphic_function http://en.wikipedia.org/wiki/Meromorphic_function
  • #40 Sokolnikoff, I.S., Redheffer, R.M., “Mathematics of Physics and Modern Engineering”, 2nd Ed., McGraw Hill, Kõgakusha, 1966, pp.370 – 378, 404-406
  • #41 Sokolnikoff, I.S., Redheffer, R.M., “Mathematics of Physics and Modern Engineering”, 2nd Ed., McGraw Hill, Kõgakusha, 1966, pp.370 – 378, 404-406
  • #42 Sokolnikoff, I.S., Redheffer, R.M., “Mathematics of Physics and Modern Engineering”, 2nd Ed., McGraw Hill, Kõgakusha, 1966, pp.370 – 378, 404-406
  • #43 Sokolnikoff, I.S., Redheffer, R.M., “Mathematics of Physics and Modern Engineering”, 2nd Ed., McGraw Hill, Kõgakusha, 1966, pp.370 – 378, 404-406
  • #44 Sokolnikoff, I.S., Redheffer, R.M., “Mathematics of Physics and Modern Engineering”, 2nd Ed., McGraw Hill, Kõgakusha, 1966, pp.370 – 378, 404-406
  • #50 Spiegel, M.R., “Complex Variables with an introduction to Conformal Mapping and its applications”, Schaum’s Outline Series, McGraw-Hill, 1964
  • #51 Spiegel, M.R., “Complex Variables with an introduction to Conformal Mapping and its applications”, Schaum’s Outline Series, McGraw-Hill, 1964
  • #52 Spiegel, M.R., “Complex Variables with an introduction to Conformal Mapping and its applications”, Schaum’s Outline Series, McGraw-Hill, 1964
  • #53 Spiegel, M.R., “Complex Variables with an introduction to Conformal Mapping and its applications”, Schaum’s Outline Series, McGraw-Hill, 1964 http://en.wikipedia.org/wiki/Giacinto_Morera
  • #54 Spiegel, M.R., “Complex Variables with an introduction to Conformal Mapping and its applications”, Schaum’s Outline Series, McGraw-Hill, 1964
  • #55 Spiegel, M.R., “Complex Variables with an introduction to Conformal Mapping and its applications”, Schaum’s Outline Series, McGraw-Hill, 1964
  • #56 Spiegel, M.R., “Complex Variables with an introduction to Conformal Mapping and its applications”, Schaum’s Outline Series, McGraw-Hill, 1964
  • #57 Spiegel, M.R., “Complex Variables with an introduction to Conformal Mapping and its applications”, Schaum’s Outline Series, McGraw-Hill, 1964
  • #58 Spiegel, M.R., “Complex Variables with an introduction to Conformal Mapping and its applications”, Schaum’s Outline Series, McGraw-Hill, 1964
  • #59 Spiegel, M.R., “Complex Variables with an introduction to Conformal Mapping and its applications”, Schaum’s Outline Series, McGraw-Hill, 1964
  • #60 Spiegel, M.R., “Complex Variables with an introduction to Conformal Mapping and its applications”, Schaum’s Outline Series, McGraw-Hill, 1964
  • #61 Spiegel, M.R., “Complex Variables with an introduction to Conformal Mapping and its applications”, Schaum’s Outline Series, McGraw-Hill, 1964
  • #62 Spiegel, M.R., “Complex Variables with an introduction to Conformal Mapping and its applications”, Schaum’s Outline Series, McGraw-Hill, 1964
  • #63 Spiegel, M.R., “Complex Variables with an introduction to Conformal Mapping and its applications”, Schaum’s Outline Series, McGraw-Hill, 1964
  • #64 Spiegel, M.R., “Complex Variables with an introduction to Conformal Mapping and its applications”, Schaum’s Outline Series, McGraw-Hill, 1964
  • #65 Spiegel, M.R., “Complex Variables with an introduction to Conformal Mapping and its applications”, Schaum’s Outline Series, McGraw-Hill, 1964
  • #66 G.B. Arfken, H.J. Weber, “Mathematical Methods for Physicists”, Academic Press, Fifth Ed., 2001
  • #67 G.B. Arfken, H.J. Weber, “Mathematical Methods for Physicists”, Academic Press, Fifth Ed., 2001
  • #68 G.B. Arfken, H.J. Weber, “Mathematical Methods for Physicists”, Academic Press, Fifth Ed., 2001
  • #69 G.B. Arfken, H.J. Weber, “Mathematical Methods for Physicists”, Academic Press, Fifth Ed., 2001
  • #70 G.B. Arfken, H.J. Weber, “Mathematical Methods for Physicists”, Academic Press, Fifth Ed., 2001
  • #72 G.B. Arfken, H.J. Weber, “Mathematical Methods for Physicists”, Academic Press, Fifth Ed., 2001 http://en.wikipedia.org/wiki/Ernst_Kummer
  • #73 G.B. Arfken, H.J. Weber, “Mathematical Methods for Physicists”, Academic Press, Fifth Ed., 2001 http://en.wikipedia.org/wiki/Ernst_Kummer
  • #75 G.B. Arfken, H.J. Weber, “Mathematical Methods for Physicists”, Academic Press, Fifth Ed., 2001 http://en.wikipedia.org/wiki/Joseph_Ludwig_Raabe http://www-groups.dcs.st-and.ac.uk/history/Biographies/Raabe.html
  • #76 G.B. Arfken, H.J. Weber, “Mathematical Methods for Physicists”, Academic Press, Fifth Ed., 2001 http://en.wikipedia.org/wiki/Ernst_Kummer
  • #77 G.B. Arfken, H.J. Weber, “Mathematical Methods for Physicists”, Academic Press, Fifth Ed., 2001 http://en.wikipedia.org/wiki/Ernst_Kummer
  • #78 Spiegel, M.R., “Complex Variables with an introduction to Conformal Mapping and its applications”, Schaum’s Outline Series, McGraw-Hill, 1964
  • #79 Spiegel, M.R., “Complex Variables with an introduction to Conformal Mapping and its applications”, Schaum’s Outline Series, McGraw-Hill, 1964
  • #80 Spiegel, M.R., “Complex Variables with an introduction to Conformal Mapping and its applications”, Schaum’s Outline Series, McGraw-Hill, 1964
  • #81 Spiegel, M.R., “Complex Variables with an introduction to Conformal Mapping and its applications”, Schaum’s Outline Series, McGraw-Hill, 1964
  • #82 G.B. Arfken, H.J. Weber, “Mathematical Methods for Physicists”, Academic Press, Fifth Ed., 2001
  • #83 G.B. Arfken, H.J. Weber, “Mathematical Methods for Physicists”, Academic Press, Fifth Ed., 2001
  • #84 E.C. Titchmarsh, “The Theory of Functions”, Oxford University Press, 2nd Ed., 1939
  • #85 E.C. Titchmarsh, “The Theory of Functions”, Oxford University Press, 2nd Ed., 1939
  • #86 E.C. Titchmarsh, “The Theory of Functions”, Oxford University Press, 2nd Ed., 1939
  • #87 E.C. Titchmarsh, “The Theory of Functions”, Oxford University Press, 2nd Ed., 1939
  • #88 Spiegel, M.R., “Complex Variables with an introduction to Conformal Mapping and its applications”, Schaum’s Outline Series, McGraw-Hill, 1964
  • #89 Spiegel, M.R., “Complex Variables with an introduction to Conformal Mapping and its applications”, Schaum’s Outline Series, McGraw-Hill, 1964
  • #90 Spiegel, M.R., “Complex Variables with an introduction to Conformal Mapping and its applications”, Schaum’s Outline Series, McGraw-Hill, 1964
  • #91 Spiegel, M.R., “Complex Variables with an introduction to Conformal Mapping and its applications”, Schaum’s Outline Series, McGraw-Hill, 1964
  • #92 Spiegel, M.R., “Complex Variables with an introduction to Conformal Mapping and its applications”, Schaum’s Outline Series, McGraw-Hill, 1964
  • #93 Spiegel, M.R., “Complex Variables with an introduction to Conformal Mapping and its applications”, Schaum’s Outline Series, McGraw-Hill, 1964
  • #94 Spiegel, M.R., “Complex Variables with an introduction to Conformal Mapping and its applications”, Schaum’s Outline Series, McGraw-Hill, 1964
  • #95 Walter Rudin, “Real and Complex Analysis”, 2nd Ed., McGraw Hill,1974 Marco M. Peloso, “Complex Analysis”, January 21, 2011, University of Milano
  • #96 E.C. Titchmarsh, “The Theory of Functions”, Oxford University Press, 2nd Ed., 1939
  • #97 E.C. Titchmarsh, “The Theory of Functions”, Oxford University Press, 2nd Ed., 1939
  • #98 Spiegel, M.R., “Complex Variables with an introduction to Conformal Mapping and its applications”, Schaum’s Outline Series, McGraw-Hill, 1964
  • #99 Spiegel, M.R., “Complex Variables with an introduction to Conformal Mapping and its applications”, Schaum’s Outline Series, McGraw-Hill, 1964
  • #100 Spiegel, M.R., “Complex Variables with an introduction to Conformal Mapping and its applications”, Schaum’s Outline Series, McGraw-Hill, 1964
  • #101 http://en.wikipedia.org/wiki/Jensen&amp;apos;s_formula http://en.wikipedia.org/wiki/Johan_Jensen_(mathematician)
  • #102 Paul Garrett, “Weirstrass and Hadamard Products”, March 17, 2012, http://www.math.umn.edu/~garrett/ http://en.wikipedia.org/wiki/Jensen&amp;apos;s_formula http://en.wikipedia.org/wiki/Johan_Jensen_(mathematician)
  • #103 http://en.wikipedia.org/wiki/Jensen&amp;apos;s_formula http://en.wikipedia.org/wiki/Johan_Jensen_(mathematician)
  • #104 http://en.wikipedia.org/wiki/Jensen&amp;apos;s_formula http://en.wikipedia.org/wiki/Johan_Jensen_(mathematician)
  • #105 http://en.wikipedia.org/wiki/Jensen&amp;apos;s_formula http://en.wikipedia.org/wiki/Johan_Jensen_(mathematician)
  • #106 http://en.wikipedia.org/wiki/Jensen&amp;apos;s_formula http://en.wikipedia.org/wiki/Johan_Jensen_(mathematician)
  • #107 http://en.wikipedia.org/wiki/Jensen&amp;apos;s_formula http://en.wikipedia.org/wiki/Johan_Jensen_(mathematician)
  • #108 http://en.wikipedia.org/wiki/Jensen&amp;apos;s_formula http://en.wikipedia.org/wiki/Johan_Jensen_(mathematician)
  • #109 Spiegel, M.R., “Complex Variables with an introduction to Conformal Mapping and its applications”, Schaum’s Outline Series, McGraw-Hill, 1964
  • #110 Spiegel, M.R., “Complex Variables with an introduction to Conformal Mapping and its applications”, Schaum’s Outline Series, McGraw-Hill, 1964
  • #111 Spiegel, M.R., “Complex Variables with an introduction to Conformal Mapping and its applications”, Schaum’s Outline Series, McGraw-Hill, 1964
  • #112 Spiegel, M.R., “Complex Variables with an introduction to Conformal Mapping and its applications”, Schaum’s Outline Series, McGraw-Hill, 1964, pp.176 and 182-183 A.A. Hauser, “Complex Variables with Physical Applications”, Simon &amp; Schuster Tech Outlines, 1971, pp.239-240
  • #113 Spiegel, M.R., “Complex Variables with an introduction to Conformal Mapping and its applications”, Schaum’s Outline Series, McGraw-Hill, 1964, pp.176 and 182-183 A.A. Hauser, “Complex Variables with Physical Applications”, Simon &amp; Schuster Tech Outlines, 1971, pp.239-240 A. Angot, “Complements de Mathematiques”
  • #114 F.B. Hildebrand, “Advanced Calculus for Applications”, 2nd Ed., Prentice Hall, 1976, Ch.10, “Functions of a Complex Variable”, pp.590
  • #115 F.B. Hildebrand, “Advanced Calculus for Applications”, 2nd Ed., Prentice Hall, 1976, Ch.10, “Functions of a Complex Variable”, pp.590
  • #116 F.B. Hildebrand, “Advanced Calculus for Applications”, 2nd Ed., Prentice Hall, 1976, Ch.10, “Functions of a Complex Variable”, pp.590
  • #117 F.B. Hildebrand, “Advanced Calculus for Applications”, 2nd Ed., Prentice Hall, 1976, Ch.10, “Functions of a Complex Variable”, pp.590
  • #118 A.A. Hauser, “Complex Variables with Physical Applications”, Simon &amp; Schuster Tech Outlines, 1971, pp.241-242
  • #119 A.A. Hauser, “Complex Variables with Physical Applications”, Simon &amp; Schuster Tech Outlines, 1971, pp.241-242
  • #120 A.A. Hauser, “Complex Variables with Physical Applications”, Simon &amp; Schuster Tech Outlines, 1971, pp.241-242
  • #121 A.A. Hauser, “Complex Variables with Physical Applications”, Simon &amp; Schuster Tech Outlines, 1971, pp.241-242
  • #122 A.A. Hauser, “Complex Variables with Physical Applications”, Simon &amp; Schuster Tech Outlines, 1971, pp.241-242
  • #123 A.A. Hauser, “Complex Variables with Physical Applications”, Simon &amp; Schuster Tech Outlines, 1971, pp.241-242
  • #124 A.A. Hauser, “Complex Variables with Physical Applications”, Simon &amp; Schuster Tech Outlines, 1971, pp.231-232 Spiegel, M.R., “Complex Variables with an introduction to Conformal Mapping and its applications”, Schaum’s Outline Series, McGraw-Hill, 1964, pp.174
  • #125 M.R. Spiegel, “Complex Variables”, Schaum’s Outline Series, 1964, pg.184
  • #126 M.R. Spiegel, “Complex Variables”, Schaum’s Outline Series, 1964, pg.184
  • #127 Spiegel, M.R., “Complex Variables with an introduction to Conformal Mapping and its applications”, Schaum’s Outline Series, McGraw-Hill, 1964, pp.174
  • #128 Spiegel, M.R., “Complex Variables with an introduction to Conformal Mapping and its applications”, Schaum’s Outline Series, McGraw-Hill, 1964, pp.188-189
  • #129 Spiegel, M.R., “Complex Variables with an introduction to Conformal Mapping and its applications”, Schaum’s Outline Series, McGraw-Hill, 1964, pp.188-189
  • #130 Spiegel, M.R., “Complex Variables with an introduction to Conformal Mapping and its applications”, Schaum’s Outline Series, McGraw-Hill, 1964, pp.188-189
  • #131 Spiegel, M.R., “Complex Variables with an introduction to Conformal Mapping and its applications”, Schaum’s Outline Series, McGraw-Hill, 1964, pp.188-189
  • #132 Spiegel, M.R., “Complex Variables with an introduction to Conformal Mapping and its applications”, Schaum’s Outline Series, McGraw-Hill, 1964, pp.188-189
  • #133 Spiegel, M.R., “Complex Variables with an introduction to Conformal Mapping and its applications”, Schaum’s Outline Series, McGraw-Hill, 1964, pp.188-189
  • #134 Spiegel, M.R., “Complex Variables with an introduction to Conformal Mapping and its applications”, Schaum’s Outline Series, McGraw-Hill, 1964, pp.188-189
  • #137 http://www.math.umn.edu/~garrett/m/complex/hadamard_products.pdf
  • #138 http://www.math.umn.edu/~garrett/m/complex/hadamard_products.pdf
  • #139 Marco M. Peloso, “Complex Analysis”, January 21, 2011, University of Milano Walter Rudin, “Real and Complex Analysis”, 2nd Ed., McGraw Hill,1974
  • #140 Marco M. Peloso, “Complex Analysis”, January 21, 2011, University of Milano Walter Rudin, “Real and Complex Analysis”, 2nd Ed., McGraw Hill,1974
  • #141 Marco M. Peloso, “Complex Analysis”, January 21, 2011, University of Milano Walter Rudin, “Real and Complex Analysis”, 2nd Ed., McGraw Hill,1974
  • #142 Marco M. Peloso, “Complex Analysis”, January 21, 2011, University of Milano Walter Rudin, “Real and Complex Analysis”, 2nd Ed., McGraw Hill,1974
  • #143 http://www.math.uchicago.edu/~schlag/complex.pdf
  • #144 Spiegel, M.R., “Complex Variables with an introduction to Conformal Mapping and its applications”, Schaum’s Outline Series, McGraw-Hill, 1964, pp.191-192
  • #145 Spiegel, M.R., “Complex Variables with an introduction to Conformal Mapping and its applications”, Schaum’s Outline Series, McGraw-Hill, 1964, pp.191-192
  • #146 Spiegel, M.R., “Complex Variables with an introduction to Conformal Mapping and its applications”, Schaum’s Outline Series, McGraw-Hill, 1964, pp.191-192
  • #147 E.C. Titchmarsh, “The Theory of Functions”, Oxford University Press, 2nd Ed., 1939
  • #148 E.C. Titchmarsh, “The Theory of Functions”, Oxford University Press, 2nd Ed., 1939
  • #149 E.C. Titchmarsh, “The Theory of Functions”, Oxford University Press, 2nd Ed., 1939
  • #150 E.C. Titchmarsh, “The Theory of Functions”, Oxford University Press, 2nd Ed., 1939
  • #151 http://www.math.umn.edu/~garrett/m/complex/hadamard_products.pdf Levent Alpoge, “The Weirstrass Product and its Consequences for ζ», February 20, 2012
  • #152 Walter Rudin, “Real and Complex Analysis”, 2nd Ed., McGraw Hill,1974 Marco M. Peloso, “Complex Analysis”, January 21, 2011, University of Milano
  • #153 http://www.math.umn.edu/~garrett/m/complex/hadamard_products.pdf
  • #154 Walter Rudin, “Real and Complex Analysis”, 2nd Ed., McGraw Hill,1974 Marco M. Peloso, “Complex Analysis”, January 21, 2011, University of Milano
  • #155 Walter Rudin, “Real and Complex Analysis”, 2nd Ed., McGraw Hill,1974 Marco M. Peloso, “Complex Analysis”, January 21, 2011, University of Milano Levent Alpoge, “The Weierstrass Product and its Consequence for ζ», February 20, 2012
  • #156 Walter Rudin, “Real and Complex Analysis”, 2nd Ed., McGraw Hill,1974 Marco M. Peloso, “Complex Analysis”, January 21, 2011, University of Milano
  • #157 Marco M. Peloso, “Complex Analysis”, January 21, 2011, University of Milano C. McMullen, “Complex Analysis Notes”, Math 213a – Harvard University
  • #158 Marco M. Peloso, “Complex Analysis”, January 21, 2011, University of Milano C. McMullen, “Complex Analysis Notes”, Math 213a – Harvard University
  • #159 E.C. Titchmarsh, “The Theory of Functions”, Oxford University Press, 2nd Ed., 1939
  • #160 E.C. Titchmarsh, “The Theory of Functions”, Oxford University Press, 2nd Ed., 1939
  • #161 E.C. Titchmarsh, “The Theory of Functions”, Oxford University Press, 2nd Ed., 1939
  • #162 Spiegel, M.R., “Complex Variables with an introduction to Conformal Mapping and its applications”, Schaum’s Outline Series, McGraw-Hill, 1964, pp.191-192
  • #163 http://mathworld.wolfram.com/AnalyticContinuation.html http://en.wikipedia.org/wiki/Analytic_continuation
  • #164 http://mathworld.wolfram.com/AnalyticContinuation.html http://en.wikipedia.org/wiki/Analytic_continuation http://www.nhn.ou.edu/~milton/p5013/chap6.pdf
  • #165 Spiegel, M.R., “Complex Variables with an introduction to Conformal Mapping and its applications”, Schaum’s Outline Series, McGraw-Hill, 1964, pp.191-192
  • #166 Spiegel, M.R., “Complex Variables with an introduction to Conformal Mapping and its applications”, Schaum’s Outline Series, McGraw-Hill, 1964, pp.191-192
  • #167 Spiegel, M.R., “Complex Variables with an introduction to Conformal Mapping and its applications”, Schaum’s Outline Series, McGraw-Hill, 1964, pp.191-192
  • #168 Spiegel, M.R., “Complex Variables with an introduction to Conformal Mapping and its applications”, Schaum’s Outline Series, McGraw-Hill, 1964, pp.201-202
  • #169 Spiegel, M.R., “Complex Variables with an introduction to Conformal Mapping and its applications”, Schaum’s Outline Series, McGraw-Hill, 1964, pp.191-192
  • #170 Spiegel, M.R., “Complex Variables with an introduction to Conformal Mapping and its applications”, Schaum’s Outline Series, McGraw-Hill, 1964, pp.191-192
  • #171 S.D. Fisher, “Complex Variables”, Wadsworth &amp; Brooks/Cole Mathematics Series, 1986, pg.202
  • #172 S.D. Fisher, “Complex Variables”, Wadsworth &amp; Brooks/Cole Mathematics Series, 1986, pg.202
  • #173 Spiegel, M.R., “Complex Variables with an introduction to Conformal Mapping and its applications”, Schaum’s Outline Series, McGraw-Hill, 1964, pp.191-192
  • #174 S.D. Fisher, “Complex Variables”, Wadsworth &amp; Brooks/Cole Mathematics Series, 1986, pg.202
  • #175 S.D. Fisher, “Complex Variables”, Wadsworth &amp; Brooks/Cole Mathematics Series, 1986, pg.202
  • #177 S.D. Fisher, “Complex Variables”, Wadsworth &amp; Brooks/Cole Mathematics Series, 1986, pg.202
  • #178 S.D. Fisher, “Complex Variables”, Wadsworth &amp; Brooks/Cole Mathematics Series, 1986, pg.202
  • #179 Spiegel, M.R., “Complex Variables with an introduction to Conformal Mapping and its applications”, Schaum’s Outline Series, McGraw-Hill, 1964, pp.191-192
  • #180 http://www.ima.umn.edu/~arnold/complex.html http://math.fullerton.edu/mathews/c2003/ComplexGraphicsBib/Links/ComplexGraphicsBib_lnk_1.html
  • #181 http://www.ima.umn.edu/~arnold/complex.html http://math.fullerton.edu/mathews/c2003/ComplexGraphicsBib/Links/ComplexGraphicsBib_lnk_1.html
  • #182 http://www.ima.umn.edu/~arnold/complex.html http://math.fullerton.edu/mathews/c2003/ComplexGraphicsBib/Links/ComplexGraphicsBib_lnk_1.html
  • #183 http://www.ima.umn.edu/~arnold/complex.html http://math.fullerton.edu/mathews/c2003/ComplexGraphicsBib/Links/ComplexGraphicsBib_lnk_1.html
  • #184 http://www.ima.umn.edu/~arnold/complex.html http://math.fullerton.edu/mathews/c2003/ComplexGraphicsBib/Links/ComplexGraphicsBib_lnk_1.html
  • #185 Spiegel, M.R., “Complex Variables with an introduction to Conformal Mapping and its applications”, Schaum’s Outline Series, McGraw-Hill, 1964, pp.204-213
  • #186 Spiegel, M.R., “Complex Variables with an introduction to Conformal Mapping and its applications”, Schaum’s Outline Series, McGraw-Hill, 1964, pp.204-213
  • #187 http://www.ima.umn.edu/~arnold/complex.html http://math.fullerton.edu/mathews/c2003/ComplexGraphicsBib/Links/ComplexGraphicsBib_lnk_1.html
  • #188 http://www.ima.umn.edu/~arnold/complex.html http://math.fullerton.edu/mathews/c2003/ComplexGraphicsBib/Links/ComplexGraphicsBib_lnk_1.html
  • #190 H.Vic Dannon,”Riemann Zeta Function: The Riemann Hypothesis Origin, the FaCTORIZATION Error, and the Count of the Primes”, Gauge Institute Journal, Vol. 5, No. 4, November 2009
  • #191 H.Vic Dannon,”Riemann Zeta Function: The Riemann Hypothesis Origin, the FaCTORIZATION Error, and the Count of the Primes”, Gauge Institute Journal, Vol. 5, No. 4, November 2009
  • #194 http://en.wikipedia.org/wiki/Gamma_function
  • #196 J. Baltzersen, “Hardy’s Theorem and the prime number theorem”, Thesis University of Copenhagen, June 2007 K. Chandrasekharan, “Lectures on The Riemann Zeta-Function”, Tata Institute of Fundamental Research, Bombay, 1953
  • #197 J. Baltzersen, “Hardy’s Theorem and the prime number theorem”, Thesis University of Copenhagen, June 2007
  • #198 J. Baltzersen, “Hardy’s Theorem and the prime number theorem”, Thesis University of Copenhagen, June 2007
  • #199 J. Baltzersen, “Hardy’s Theorem and the prime number theorem”, Thesis University of Copenhagen, June 2007
  • #200 J. Baltzersen, “Hardy’s Theorem and the prime number theorem”, Thesis University of Copenhagen, June 2007
  • #201 J. Baltzersen, “Hardy’s Theorem and the prime number theorem”, Thesis University of Copenhagen, June 2007
  • #202 J. Baltzersen, “Hardy’s Theorem and the prime number theorem”, Thesis University of Copenhagen, June 2007
  • #203 J. Baltzersen, “Hardy’s Theorem and the prime number theorem”, Thesis University of Copenhagen, June 2007
  • #204 J. Baltzersen, “Hardy’s Theorem and the prime number theorem”, Thesis University of Copenhagen, June 2007
  • #205 J. Baltzersen, “Hardy’s Theorem and the prime number theorem”, Thesis University of Copenhagen, June 2007
  • #206 J. Baltzersen, “Hardy’s Theorem and the prime number theorem”, Thesis University of Copenhagen, June 2007
  • #207 D. Miličić, “Notes on Riemann Zeta Function”, http://www.math.utah.edu/~milicic/zeta.pdf
  • #208 D. Miličić, “Notes on Riemann Zeta Function”, http://www.math.utah.edu/~milicic/zeta.pdf
  • #209 D. Miličić, “Notes on Riemann Zeta Function”, http://www.math.utah.edu/~milicic/zeta.pdf
  • #210 D. Miličić, “Notes on Riemann Zeta Function”, http://www.math.utah.edu/~milicic/zeta.pdf P. Garrett, “Riemann’ Explicit/Exact formula”, (October 2, 2010), http://www.math.umn.edu/~garrett/m/mfms/notes_c/mfms_notes_02.pdf
  • #211 D. Miličić, “Notes on Riemann Zeta Function”, http://www.math.utah.edu/~milicic/zeta.pdf P. Garrett, “Riemann’ Explicit/Exact formula”, (October 2, 2010), http://www.math.umn.edu/~garrett/m/mfms/notes_c/mfms_notes_02.pdf
  • #212 D. Miličić, “Notes on Riemann Zeta Function”, http://www.math.utah.edu/~milicic/zeta.pdf P. Garrett, “Riemann’ Explicit/Exact formula”, (October 2, 2010), http://www.math.umn.edu/~garrett/m/mfms/notes_c/mfms_notes_02.pdf
  • #213 D. Miličić, “Notes on Riemann Zeta Function”, http://www.math.utah.edu/~milicic/zeta.pdf P. Garrett, “Riemann’ Explicit/Exact formula”, (October 2, 2010), http://www.math.umn.edu/~garrett/m/mfms/notes_c/mfms_notes_02.pdf
  • #214 D. Miličić, “Notes on Riemann Zeta Function”, http://www.math.utah.edu/~milicic/zeta.pdf P. Garrett, “Riemann’ Explicit/Exact formula”, (October 2, 2010), http://www.math.umn.edu/~garrett/m/mfms/notes_c/mfms_notes_02.pdf
  • #215 D. Miličić, “Notes on Riemann Zeta Function”, http://www.math.utah.edu/~milicic/zeta.pdf P. Garrett, “Riemann’ Explicit/Exact formula”, (October 2, 2010), http://www.math.umn.edu/~garrett/m/mfms/notes_c/mfms_notes_02.pdf
  • #216 D. Miličić, “Notes on Riemann Zeta Function”, http://www.math.utah.edu/~milicic/zeta.pdf P. Garrett, “Riemann’ Explicit/Exact formula”, (October 2, 2010), http://www.math.umn.edu/~garrett/m/mfms/notes_c/mfms_notes_02.pdf
  • #217 D. Miličić, “Notes on Riemann Zeta Function”, http://www.math.utah.edu/~milicic/zeta.pdf P. Garrett, “Riemann’ Explicit/Exact formula”, (October 2, 2010), http://www.math.umn.edu/~garrett/m/mfms/notes_c/mfms_notes_02.pdf
  • #219 http://www.bernoulli.org/ http://www.mathstat.dal.ca/~dilcher/bernoulli.html
  • #220 http://en.wikipedia.org/wiki/Mellin_transform
  • #221 http://en.wikipedia.org/wiki/Mellin_transform
  • #222 http://empslocal.ex.ac.uk/people/staff/mrwatkin/zeta/giants.pdf http://en.wikipedia.org/wiki/Basel_problem
  • #223 http://empslocal.ex.ac.uk/people/staff/mrwatkin/zeta/giants.pdf http://en.wikipedia.org/wiki/Basel_problem
  • #224 http://en.wikipedia.org/wiki/Proof_of_the_Euler_product_formula_for_the_Riemann_zeta_function
  • #225 http://en.wikipedia.org/wiki/Proof_of_the_Euler_product_formula_for_the_Riemann_zeta_function
  • #226 http://en.wikipedia.org/wiki/Riemann_zeta_function
  • #227 B.E. Peterson, “Riemann Zeta Funcyion”, http://people.oregonstate,edu/~peterseb/misc/docs/zeta.pdf
  • #228 http://mathworld.wolfram.com/RiemannZetaFunction.html
  • #229 David Borthwick, “Riemann’s Zeros and the Rhythm of the Primes”, Emory University, November 18, 2009
  • #230 http://mathworld.wolfram.com/RiemannZetaFunctionZeros.html
  • #231 David Borthwick, “Riemann’s Zeros and the Rhythm of the Primes”, Emory University, November 18, 2009
  • #232 H.Vic Dannon,”Riemann Zeta Function: The Riemann Hypothesis Origin, the Factorization Error, and the Count of the Primes”, Gauge Institute Journal, Vol. 5, No. 4, November 2009 B.E. Peterson, “Riemann Zeta Function”, http://people.oregonstate.edu/~peterseb/misc/docs/zeta.pdf
  • #233 H.Vic Dannon,”Riemann Zeta Function: The Riemann Hypothesis Origin, the Factorization Error, and the Count of the Primes”, Gauge Institute Journal, Vol. 5, No. 4, November 2009
  • #234 H.Vic Dannon,”Riemann Zeta Function: The Riemann Hypothesis Origin, the Factorization Error, and the Count of the Primes”, Gauge Institute Journal, Vol. 5, No. 4, November 2009
  • #235 H.Vic Dannon,”Riemann Zeta Function: The Riemann Hypothesis Origin, the Factorization Error, and the Count of the Primes”, Gauge Institute Journal, Vol. 5, No. 4, November 2009
  • #236 H.Vic Dannon,”Riemann Zeta Function: The Riemann Hypothesis Origin, the Factorization Error, and the Count of the Primes”, Gauge Institute Journal, Vol. 5, No. 4, November 2009
  • #237 H.Vic Dannon,”Riemann Zeta Function: The Riemann Hypothesis Origin, the FaCTORIZATION Error, and the Count of the Primes”, Gauge Institute Journal, Vol. 5, No. 4, November 2009
  • #238 H.Vic Dannon,”Riemann Zeta Function: The Riemann Hypothesis Origin, the Factorization Error, and the Count of the Primes”, Gauge Institute Journal, Vol. 5, No. 4, November 2009 K. Chandrasekharan, “ Lectures on the Riemann Zeta-Function”, Tata Institute of Fundamental Research, Bombay, 1953, http://www.math.tifr.res.in/~publ/ln/tfr01.pdf
  • #239 H.Vic Dannon,”Riemann Zeta Function: The Riemann Hypothesis Origin, the Factorization Error, and the Count of the Primes”, Gauge Institute Journal, Vol. 5, No. 4, November 2009 K. Chandrasekharan, “ Lectures on the Riemann Zeta-Function”, Tata Institute of Fundamental Research, Bombay, 1953, http://www.math.tifr.res.in/~publ/ln/tfr01.pdf
  • #240 B.E. Peterson, “Riemann Zeta Funcyion”, http://people.oregonstate,edu/~peterseb/misc/docs/zeta.pdf
  • #241 H.Vic Dannon,”Riemann Zeta Function: The Riemann Hypothesis Origin, the Factorization Error, and the Count of the Primes”, Gauge Institute Journal, Vol. 5, No. 4, November 2009 K. Chandrasekharan, “ Lectures on the Riemann Zeta-Function”, Tata Institute of Fundamental Research, Bombay, 1953, http://www.math.tifr.res.in/~publ/ln/tfr01.pdf
  • #242 H.Vic Dannon,”Riemann Zeta Function: The Riemann Hypothesis Origin, the Factorization Error, and the Count of the Primes”, Gauge Institute Journal, Vol. 5, No. 4, November 2009 K. Chandrasekharan, “ Lectures on the Riemann Zeta-Function”, Tata Institute of Fundamental Research, Bombay, 1953, http://www.math.tifr.res.in/~publ/ln/tfr01.pdf K
  • #243 H.Vic Dannon,”Riemann Zeta Function: The Riemann Hypothesis Origin, the Factorization Error, and the Count of the Primes”, Gauge Institute Journal, Vol. 5, No. 4, November 2009 K. Chandrasekharan, “ Lectures on the Riemann Zeta-Function”, Tata Institute of Fundamental Research, Bombay, 1953, http://www.math.tifr.res.in/~publ/ln/tfr01.pdf K
  • #244 H.Vic Dannon,”Riemann Zeta Function: The Riemann Hypothesis Origin, the Factorization Error, and the Count of the Primes”, Gauge Institute Journal, Vol. 5, No. 4, November 2009
  • #245 B.E. Peterson, “Riemann Zeta Funcyion”, http://people.oregonstate,edu/~peterseb/misc/docs/zeta.pdf
  • #246 http://en.wikipedia.org/wiki/Mellin_transform
  • #247 http://en.wikipedia.org/wiki/Mellin_transform
  • #248 http://en.wikipedia.org/wiki/Mellin_transform
  • #249 http://en.wikipedia.org/wiki/Mellin_transform
  • #259 Poularikas, A.,D., Ed., “The Transforms and Applications Handbook”, IEEE Press, CRC Press, 1996, pp. 385-386
  • #260 Poularikas, A.,D., Ed., “The Transforms and Applications Handbook”, IEEE Press, CRC Press, 1996, pp. 385-386
  • #261 Poularikas, A.,D., Ed., “The Transforms and Applications Handbook”, IEEE Press, CRC Press, 1996, pp. 385-386
  • #269 Poularikas, A.,D., Ed., “The Transforms and Applications Handbook”, IEEE Press, CRC Press, 1996, pp. 450-451
  • #270 Poularikas, A.,D., Ed., “The Transforms and Applications Handbook”, IEEE Press, CRC Press, 1996, pp. 450-451
  • #271 Poularikas, A.,D., Ed., “The Transforms and Applications Handbook”, IEEE Press, CRC Press, 1996, pp. 450-451
  • #273 http://en.wikipedia.org/wiki/Mellin_transform
  • #274 http://en.wikipedia.org/wiki/Mellin_transform
  • #275 http://en.wikipedia.org/wiki/Mellin_transform
  • #276 http://en.wikipedia.org/wiki/Mellin_transform
  • #287 A.I. Borisenko &amp; I.E. Tarapov, “Vector and Tensor Analysis with Applications”, 1968, Dover, pp.223-226
  • #288 A.I. Borisenko &amp; I.E. Tarapov, “Vector and Tensor Analysis with Applications”, 1968, Dover, pp.223-226
  • #289 A.I. Borisenko &amp; I.E. Tarapov, “Vector and Tensor Analysis with Applications”, 1968, Dover, pp.223-226
  • #290 A.I. Borisenko &amp; I.E. Tarapov, “Vector and Tensor Analysis with Applications”, 1968, Dover, pp.223-226
  • #291 A.I. Borisenko &amp; I.E. Tarapov, “Vector and Tensor Analysis with Applications”, 1968, Dover, pp.223-226
  • #292 A.I. Borisenko &amp; I.E. Tarapov, “Vector and Tensor Analysis with Applications”, 1968, Dover, pp.223-226
  • #293 http://en.wikipedia.org/wiki/Blaschke_product http://en.wikipedia.org/wiki/Wilhelm_Blaschke