HUMANITIES AND SCIENCE DEPARTMENT.
SARDAR PATEL COLLEGE OF
ENGINEERING,BAKROL
TOPIC NAME: LAPLACE TRANSFORM
ELECTRICAL DEPARTMENT
STUDENT’S NAME ENROLLMENT NUMBER
ANUJ VERMA 141240109003
KARNVEER CHAUHAN 141240109011
MACHHI NIRAV 141240109012
MALEK MUAJHIDHUSEN 141240109013
DHARIYA PARMAR 141240109014
JAYEN PARMAR 141240109015
PARTH YADAV 141240109016
HARSH PATEL 14124010901
Guided by: ASHISH DHOKIYA and NIKHIL PARMAR
Definition of Laplace Transform
• Let f(t) be a given function of t defined for all
then the Laplace Transform ot f(t) denoted by L{f(t)}
or F(s) or is defined as
provided the integral exists, where s is a parameter real or
complex.
0t
)(sf )(s
dttfessFsftfL st
)()()()()}({
0



 
Laplace Transform of some
Elementary Functions
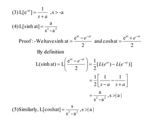
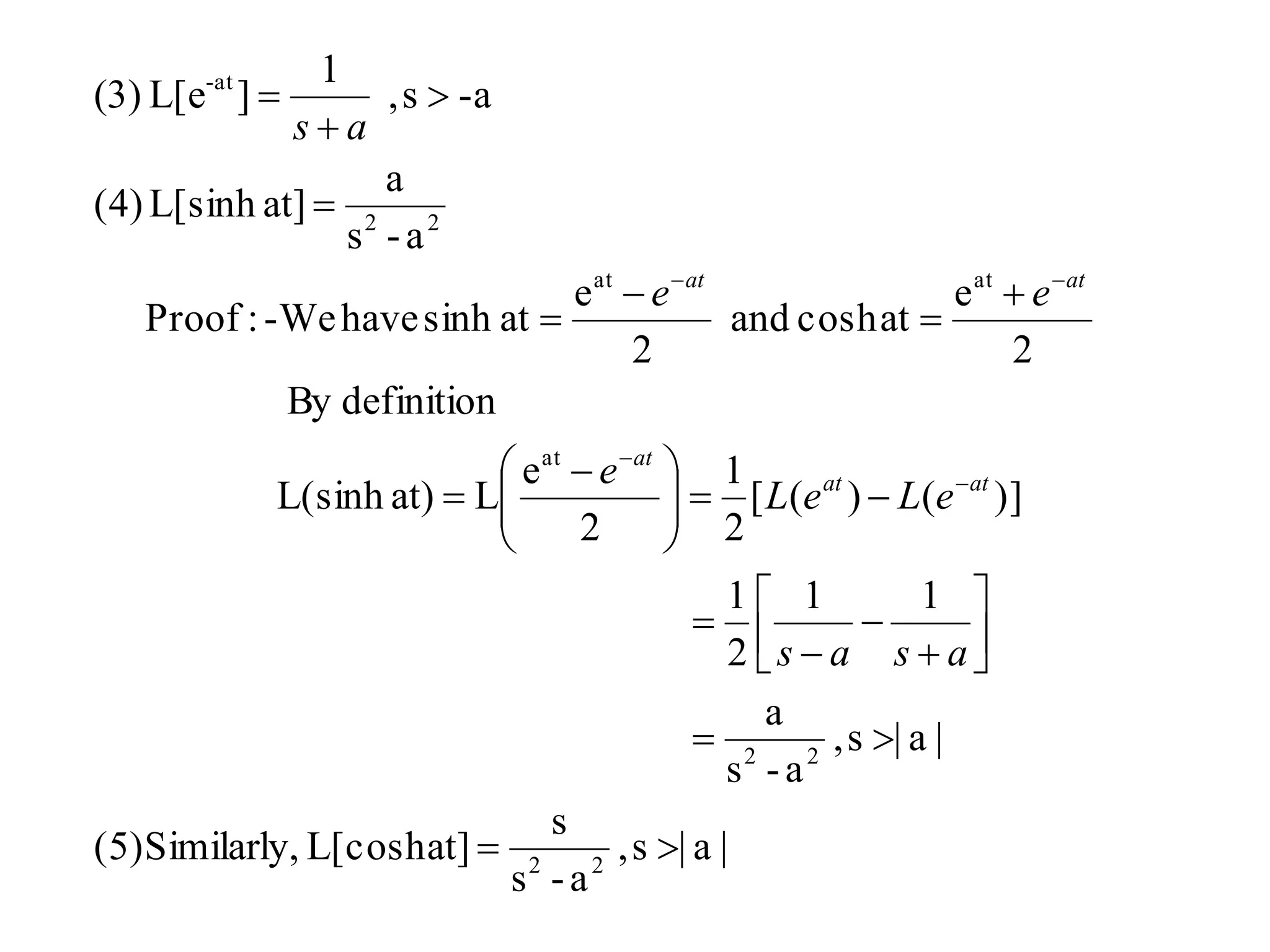
asif
a-s
1
)(
e.)e(
Definition-By:Proof
a-s
1
)L(e(2)
)0(,
s
1
1.)1(
Definition-By:Proof
s
1
L(1)(1)
0
)(
0
)(
0
atat
at
00
























 



as
e
dtedteL
s
s
e
dteL
tas
tasst
st
st
|a|s,
a-s
s
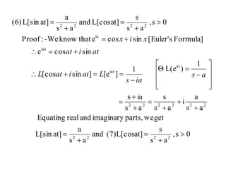
at]L[coshly,(5)Similar
|a|s,
a-s
a
11
2
1
)]()([
2
1
2
e
Lat)L(sinh
definitionBy
2
e
atcoshand
2
e
atsinhhave-We:Proof
a-s
a
at]L[sinh(4)
-as,
1
]L[e3)(
22
22
at
atat
22
at-

















 












asas
eLeL
e
ee
as
atat
at
atat
0s,
as
s
at](7)L[cosand
as
a
at]L[sin
getweparts,imaginaryandrealEquating
as
a
i
as
s
as
ias
1
)L(e1
]e[]sin[cos
sincose
Formula]s[Euler'sincosethatknow-We:Proof
0s,
as
s
at]L[cosand
as
a
at]L[sin(6)
2222
222222
at
iat
iat
ix
2222































as
ias
LatiatL
atiat
xix

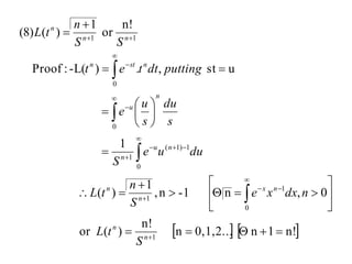
   n!1n0,1,2...n
n!
)(or
0,n-1n,
1
)(
1
ust,.)-L(:Proof
n!
or
1
)()8(
1
0
1
1
0
1)1(
1
0
0
11







































n
n
nx
n
n
nu
n
n
u
nstn
nn
n
S
tL
ndxxe
S
n
tL
duue
S
s
du
s
u
e
puttingdttet
SS
n
tL
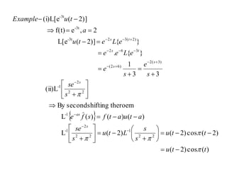
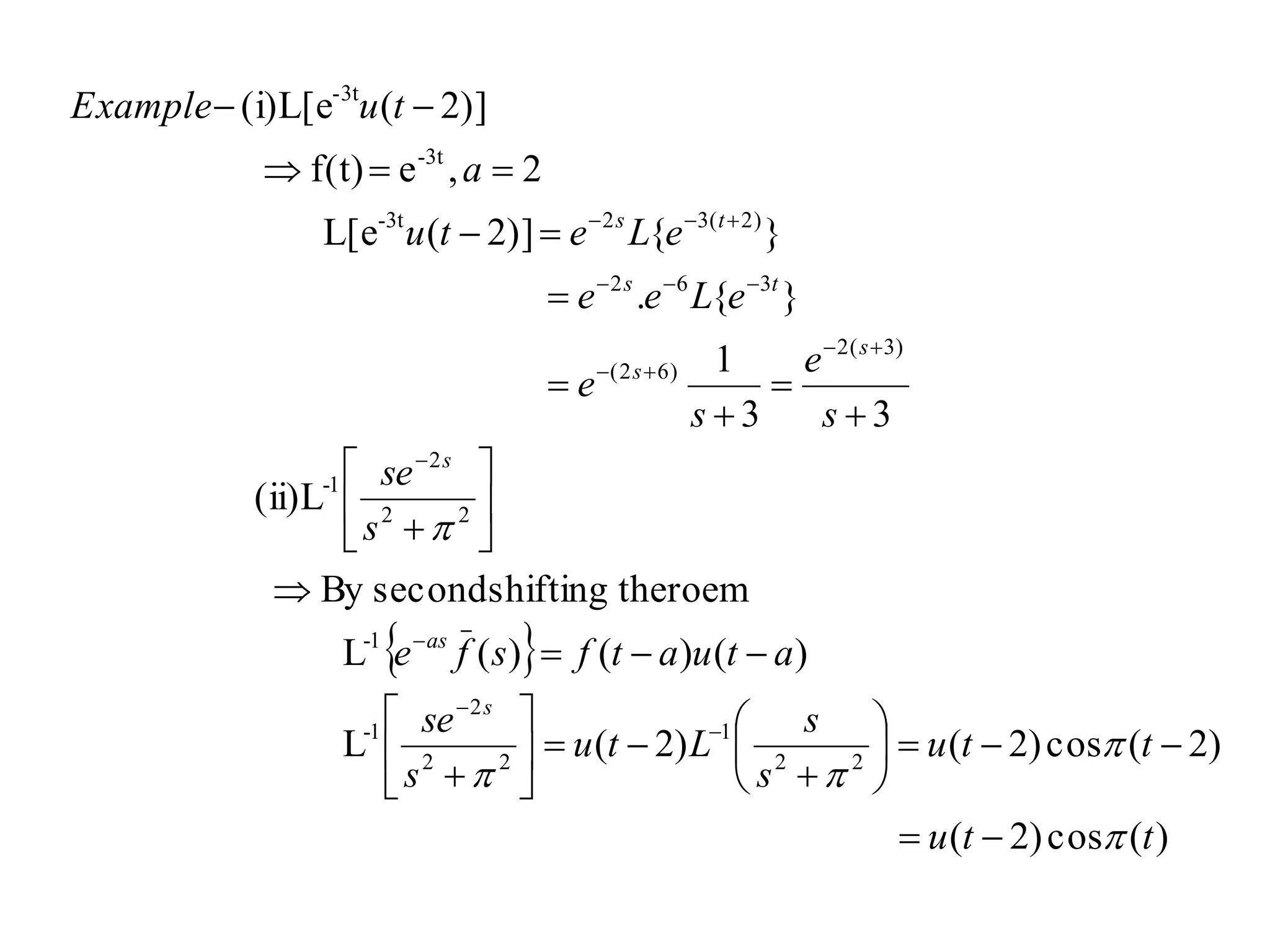
Example
First Shifting Theorem
)(f]f(t)L[e,
)(f]f(t)L[e
)(f)(f
ra-swhere)(e
)(e
)(ef(t)]L[e
DefinitionByProof
)(f]f(t)L[ethen,(s)fL[f(t)]If
shifting-stheorem,shiftingFirst-Theorem
at-
at
0
rt-
0
a)t-(s-
0
st-at
at
asSimilarly
as
asr
dttf
dttf
dttfe
as
at














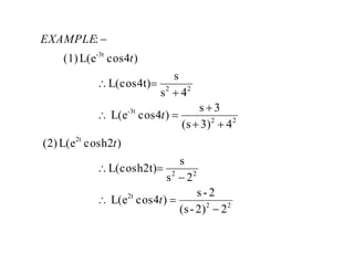
22)-(s
2-s
)4cosL(e
2s
s
L(cosh2t)
)2coshL(e(2)
43)(s
3s
)4cosL(e
4s
s
L(cos4t)
)4cosL(e(1)
:
22
2t
22
2t
22
3t-
22
3t-










t
t
t
t
EXAMPLE
Second Shifting Theorem
a))L(f(tea))-u(tL(f(t)-Corr.
L(f(t))e
(s)fea))-u(ta)-L(f(t
then(s)fL(f(t))If
as-
as
as-





 
)(cos)2(
)2(cos)2()2(L
)()()(L
theroemshiftingsecondBy
(ii)L
33
1
}{.
}{)]2(L[e
2,ef(t)
)]2((i)L[e
22
1
22
2
1-
1-
22
2
1-
)3(2
)62(
362
)2(323t-
3t-
-3t
ttu
ttu
s
s
Ltu
s
se
atuatfsfe
s
se
s
e
s
e
eLee
eLetu
a
tuExample
s
as
s
s
s
ts
ts












































Differentiation & Integration of
Laplace Transform











0
n
n
nn
ds(s)f
t
f(t)
Lthen
,transformLaplacehas
t
f(t)
and(s)fL{f(t)}If
TransformsLaplaceofnIntegratio
1,2,3,...nwhere,(s)]f[
ds
d
(-1)f(t)]L[tthen(s)fL{f(t)}If
TranformLaplaceofationDifferenti
3
2
2
2
2at2
at2
)(
2
)(
1
1
)1()e(-:Sol
)e(:
as
asds
d
asds
d
tL
tLExample




















Example of Laplace multiplication











































ss
s
s
s
ds
t
t
LExample
s
11
11
1
s
22
cottan
2
tantan
tan
1
.t)L(sin-:Sol
sin
Example of Laplace Integration
Evaluation of Integrals By Laplace
Transform






















1
)1()cos(
1
)(cos
cos)cos(
cos)(3
)()}({
cos-:Example
2
2
0
0
0
3
s
s
ds
d
ttL
s
s
tL
tdttettL
tttfs
dttfetfL
tdtte
st
st
t
25
2
100
8
)19(
19
cos
cos
)1(
1
)cos(
)1(
2)1(
1
2
0
3
0
22
2
22
22























tdtte
tdtte
s
s
ttL
s
ss
t
st
Laplace Transform of Derivatives &
Integral
 
f(u)du(s)f
1
LAlso
(s)f
1
f(u)duLthen(s),fL{f(t)}If
f(t)ofnintegratiotheoftransformLaplace
(0)(0)....ffs-f(0)s-(s)fs(t)}L{f
f(0)-(s)fsf(0)-sL{f(t)}(t)}fL{
and0f(t)elimprovidedexists,(t)}fL{then
continous,piecewiseis(t)fand0tallforcontinousisf(t)If
f(t)ofderivativetheoftransformLaplace
t
0
1-
t
0
1-n2-n1-nnn
st
t





















s
s
22
2
22
3
22
2n
s
a
at)L(sin
at)L(sins
s
a-
a-at)L(sinssinat}L{-a
thisfroma(0)f0,f(0)Also
sinat-a(t)fandatcosa(t)fsinat thenf(t)Let:Sol
atsinoftransformlaplaceDeriveExample
a
a
a








)1(
1
)(
1
cos
cosf(u)-Here:Sol
cos
2
0
0


















ss
sf
s
uduL
u
uduLEg
t
t
Application to Differential Equations in
Laplace
04L(y))yL(
sidebothontranformLaplaceTaking
.
.
(0)y-(0)ys-y(0)s-Y(s)s(t))yL(
(0)y-sy(0)-Y(s)s(t))yL(
y(0)-sY(s)(t))yL(
Y(s)L(y(t))
6(0)y1y(0)04yy:
23
2





Example
tt
s
s
2sin
2
3
2cos
4s
6
4s
Y(s)
transformlaplaceinverseTaking
4s
6
Y(s)
06-s-4)Y(s)(s
04(Y(s))(0)y-sy(0)-Y(s)s
22
2
2
2










Laplace Transform of Periodic
Functions
 



p
0
st
0)(sf(t)dte
e-1
1
L{f(t)}
ispperiodwith
f(t)functionperiodiccontinouspiecewiseaoftransformlaplaceThe
0tallforf(t)p)f(t
if0)p(
periodithfunction wperiodicbetosaidisf(t)Afunction-Definition
ps-






























































2w
sπ
hcot
ws
w
e
e
.
e1
e1
.
ws
w
e1
ws
w
.
e1
1
L[F(t)]
e1
ws
w
wcoswt)ssinwt(
ws
e
sinwtdteNow
tallforf(t)
w
π
tfand
w
π
t0forsinwtf(t)
0t|sinwt|f(t)
oftransformlaplacetheFind
22
2w
sπ
2w
sπ
w
sπ
w
sπ
22
w
sπ
22
w
sπ
w
sπ
22
2
w
π
0
w
π
0
22
st
st
Unit Step Function
s
1
L{u(t)}
0aif
e
s
1
s
e
(1)dte(0)dte
a)dt-u(tea)}-L{u(t
at1,
at0,a)-u(t
as-
a
st-
a
st-
a
0
st-
0
st-



















Express the following function in the terms of unit step
function and also find it’s Laplace transform
Example
Direct Delta function
1))((
))((
0
1
0lim
0







tL
eatL
tε, a
εat, a
ε
at, -a)δ(t
as
ε


Find the Laplace transform by direct delta method
Example
Inverse Laplace Transform
)()}({L
bydenotedisand(s)foftransformlaplaceinverse
thecalledisf(t)then(s),fL[f(t)]If-Definition
1-
tfsf 

Some standard Laplace inverse are:
Example of Laplace inverse
Example
=
=
Laplace inverse by partial differential form
2
1
2
1
12
1
)2(
2
1
)1(
1
2
1
C
than0s
2
1
B
than-2s
-1A
than-1s
2)1)(sc(s1)(s)B(s2)(s)A(s1
)2()1())(2)(1(
1
:
2)(s)1)(s(s
1
LExample
21
1
1




































tt
ee
sss
L
If
If
If
s
C
s
B
s
A
sss
LSolution
Convolution Theorem
g(t)*f(t)
g*fu)-g(tf(u)(s)}g(s)f{L
theng(t)(s)}g{Landf(t)(s)}f{LIf
t
0
1-
-1-1




 
)1(e
e
.e
.
)1(
1
)1(
1
.
1
)1(
1
n theoremconvolutioby
)(
1
1
(s)gand)(
1
(s)fhavewe:
)1(
1
:
t
0
t
0
t
0
2
1
1
2
1
2
2
1












































t
eue
dueu
dueu
ss
L
ss
L
ss
L
eL
s
tL
s
HereSol
ss
LExample
tuu
t
u
t
ut
t
Example of convolution theorem in Inverse Laplace
Example of convolution theorem
Thank You

Laplace transform