f ( z ) = u( x , y ) + iv ( x , y ) for z = x + iy
                     f ( z + ∆z ) − f ( z )
 f ' ( z ) = lim [                          ] exists
             ∆z →0            ∆z
Its value does not depend on the direction.
Ex : Show that the function f ( z ) = x 2 − y 2 + i 2 xy is
        differentiable for all values of z .
for ∆z = ∆x + i∆y
                   f ( z + ∆z ) − f ( z )
 f ' ( z ) = lim
             ∆z →0          ∆z
        ( x + ∆x ) 2 − ( y + ∆y ) 2 + 2i ( x + ∆x )( y + ∆y ) − x 2 + y 2 − 2ixy
      =
                                        ∆x + i∆y
                    ( ∆x ) 2 − ( ∆y )2 + 2i∆x∆y
      = 2x + i2 y +
                              ∆x + i∆y
(1) choose ∆y = 0, ∆x → 0 ⇒ f ' ( z ) = 2 x + i 2 y
(2) choose ∆x = 0, ∆y → 0 ⇒ f ' ( z ) = 2 x + i 2 y
* * Another method :
 f ( z ) = ( x + iy ) 2 = z 2
   '             ( z + ∆z )2 − z 2            ( ∆z )2 + 2 z∆z
 f ( z ) = lim [                   ] = lim [                  ]
           ∆z →0        ∆z             ∆z → 0        ∆z
         = lim ∆z + 2 z = 2 z
           ∆z → 0


Ex : Show that the function f ( z ) = 2 y + ix is not
     differentiable anywhere in the complex plane.

f ( z + ∆z ) − f ( z ) 2 y + 2∆y + ix + i∆x − 2 y − ix 2∆y + i∆x
                      =                               =
         ∆z                      ∆x + i∆y               ∆x + i∆y
if ∆z → 0 along a line thriugh z of slope m ⇒ ∆y = m ∆x
                   f ( z + ∆z ) − f ( z )            2 ∆ y + i∆ x    2m + i
 f ' ( z ) = lim                          = lim [                 ]=
             ∆z →0          ∆z             ∆x ,∆y →0 ∆x + i∆y        1 + im
The limit depends on m (the direction), so f ( z )
is nowhere differentiable.
Ex : Show that the function f ( z ) = 1 /(1 − z ) is analytic everywhere
     except at z = 1.

                f ( z + ∆z ) − f ( z )             1     1       1
f ' ( z ) = lim [                      ] = lim [ (            −      )]
        ∆z →0            ∆z                ∆z →0 ∆z 1 − z − ∆z 1 − z
                          1                     1
       = lim [                          ]=
         ∆z →0 (1 − z − ∆z )(1 − z )        (1 − z ) 2
Provided z ≠ 1, f ( z ) is analytic everywhere such that
f ' ( z ) is independent of the direction.
20.2 Cauchy-Riemann relation
 A function f(z)=u(x,y)+iv(x,y) is differentiable and analytic,
 there must be particular connection between u(x,y) and v(x,y)
                f ( z + ∆z ) − f ( z )
L = lim [                              ]
       ∆z →0             ∆z
 f ( z ) = u( x , y ) + iv ( x , y ) ∆z = ∆x + i∆y
 f ( z + ∆z ) = u( x + ∆x , y + ∆y ) + iv ( x + ∆x , y + ∆y )
                       u( x + ∆x , y + ∆y ) + iv ( x + ∆x , y + ∆y ) − u( x , y ) − iv ( x , y )
⇒ L = lim [                                                                                      ]
           ∆x ,∆y →0                                  ∆x + i∆y
(1) if suppose ∆z is real ⇒ ∆y = 0
                    u( x + ∆x , y ) − u( x , y )    v ( x + ∆x , y ) − v ( x , y ) ∂u         ∂v
⇒ L = lim [                                      +i                                 ]=     +i
           ∆x →0                 ∆x                              ∆x                    ∂x     ∂x
(2) if suppose ∆z is imaginary ⇒ ∆x = 0
                    u( x , y + ∆y ) − u( x , y )    v ( x , y + ∆y ) − v ( x , y )        ∂u ∂v
⇒ L = lim [                                      +i                                ] = −i    +
           ∆y →0                i ∆y                            i ∆y                      ∂y ∂y
      ∂u ∂v                  ∂v       ∂u
           =          and         =-        Cauchy - Riemann relations
      ∂x ∂y                  ∂x       ∂y
Ex : In which domain of the complex plane is
         f ( z ) =| x | − i | y | an analytic function?
u( x , y ) =| x |, v ( x , y ) = − | y |
    ∂u ∂v             ∂           ∂
(1)       =     ⇒         | x |= [− | y |] ⇒ (a) x > 0, y < 0 the fouth quatrant
    ∂x ∂y           ∂x           ∂y
                                              (b) x < 0, y > 0 the second quatrant
    ∂v        ∂u        ∂                ∂
(2)       =−       ⇒ [− | y |] = − | x |
    ∂x        ∂y        ∂x               ∂y

z = x + iy and complex conjugate of z is z * = x − iy
⇒ x = ( z + z * ) / 2 and y = ( z − z * ) / 2i
    ∂f       ∂f ∂x ∂f ∂y 1 ∂u ∂v              i ∂v ∂u
⇒        =           +         = ( − )+ ( + )
   ∂z * ∂x ∂z * ∂y ∂z * 2 ∂x ∂y               2 ∂x ∂y
If f ( z ) is analytic , then the Cauchy - Riemann relations
are satisfied. ⇒ ∂f / ∂z * = 0 implies an analytic fonction of z contains
the combination of x + iy , not x − iy
If Cauchy - Riemann relations are satisfied


   ∂ ∂u   ∂ ∂v   ∂ ∂v     ∂ ∂u  ∂ 2u ∂ 2u
(1) ( ) =   ( )=   ( ) = − ( )⇒ 2 + 2 2 = 0
   ∂x ∂x  ∂x ∂y  ∂y ∂x    ∂y ∂y ∂x   ∂ y
                                                 ∂ 2v       ∂ 2v
(2) the same result for function v ( x , y ) ⇒     2
                                                        +   2 2
                                                                   =0
                                                 ∂x      ∂ y
⇒ u( x , y ) and v ( x , y ) are solutions of Laplace' s
 equation in two dimension.

For two families of curves u( x , y ) = conctant and v ( x , y ) = constant,
the normal vectors corresponding the two curves, respectively, are
             ∂u ˆ ∂u ˆ                    ∂v ˆ ∂v ˆ
∇u( x , y ) =    i+    j and ∇v ( x , y ) =    i+    j
              ∂x    ∂y                      ∂x    ∂y
           ∂u ∂v ∂u ∂v     ∂u ∂u ∂u ∂u
∇u ⋅ ∇v =         +       =−          +         = 0 orthogonal
             ∂x ∂x ∂y ∂y     ∂x ∂y ∂y ∂x
20.3 Power series in a complex variable
              ∞               ∞
f (z) =      ∑ an z   n
                          =   ∑ an r n exp(inθ )
             n= 0             n=0
     ∞
if   ∑ | an | r n is convergent ⇒ f ( z ) is absolutely convergent
     n=0
      ∞
Is ∑ | a n | r n convergent or not, can be justisfied by" Cauchy root test".
     n= 0
                                             1
The radius of convergence R ⇒                  = lim | a n |1 / n ⇒ (1) | z |< R absolutely convergent
                                             R n→ ∞
                                                                    (2) | z |> R divergent
                                                                    (3) | z |= R undetermined
       ∞
         zn        1
(1) ∑       ⇒ lim ( )1 / n = 0 ⇒ R = ∞ converges for all z
    n= 0 n!   n→∞ n!
       ∞
(2) ∑ n! z n ⇒ lim ( n! )1 / n = ∞ ⇒ R = 0 converges only at z = 0
      n= 0            n →∞
20.4 Some elementary functions
                         ∞
                     zn
Define exp z = ∑
               n = 0 n!

Ex : Show that exp z1 exp z 2 = exp( z1 + z 2 )
                     ∞
                      ( z1 + z 2 ) n
exp( z1 + z 2 ) = ∑
                  n=0      n!
                      ∞
                          1 n n
                 =   ∑ n!(C 0 z1 + C1n z1n−1 z2 + C 2 z1n−2 z2 + C rn z1n−r z2 + ... + C n z2 )
                                                    n        2               r           n n

                     n= 0
                                                    n
                                        s r        Cr   1     n!         1
set n = r + s ⇒ the coeff. of          z1 z 2   is    =                =
                                                   n! n! ( n − r )! r ! s! r !
                      ∞
                      zs ∞ zr       ∞ ∞
                                               1 s r
exp z1 exp z 2 = ∑ ∑              = ∑∑               z1 z 2
                 s =0 s! r = 0 r ! s =0 r = 0 s! r !
                              s r
There are the same coeff. of z1 z 2 for the above two terms.
Define the complex comonent of a real number a > 0
                                  ∞
                                  z n (ln a ) n
          a = exp( z ln a ) = ∑
            z

                              n=0      n!
(1) if a = e ⇒ e z = exp( z ln e ) = exp z the same as real number
                          iy              y 2 iy 3
(2) if a = e, z = iy ⇒ e = exp(iy ) = 1 −    −     + ...
                                          2!   3!
                                    y2 y4                   y3
                               = 1−   +   + ..... + i ( y −    + ...) = cos y + i sin y
                                    2! 4!                   3!
(3) if a = e , z = x + iy ⇒ e x + iy = e x e iy = exp( x )(cos y + i sin y )
Set exp w = z
Write z = r exp iθ for r is real and − π < θ ≤ π
⇒ z = r exp[i (θ + 2nπ )] ⇒ w = Lnz = ln r + i (θ + 2nπ )
Lnz is a multivalued function of z .
Take its principal value by choosing n = 0
⇒ ln z = ln r + iθ -π < θ ≤ π
If t ≠ 0 and z are both complex numbers, we define
            t z = exp( zLnt )

Ex : Show that there are exactly n distinct nth roots of t .
     1
               1
    tn   = exp( Lnt ) and t = r exp[i (θ + 2kπ )]
               n
     1                                    1
               1         (θ + 2kπ )               (θ + 2kπ )
⇒   tn   = exp[ ln r + i            ] = r n exp[i            ]
               n             n                        n
20.5 Multivalued functions and branch cuts
A logarithmic function, a complex power and a complex root are all
multivalued. Is the properties of analytic function still applied?

Ex : f ( z ) = z 1 / 2 and z = r exp(iθ )                (A)               C
                                                               y

(A) z traverse any closed contour C that
    dose not enclose the origin, θ return                              r
    to its original value after one complete                           θ
                                                                                   x
    circuit.
                                                               (B)         y
(B) θ → θ + 2π enclose the origin
                                                                  C'           r
        1/ 2                     1/ 2
    r          exp(iθ / 2) → r          exp[i (θ + 2π ) / 2]
                                                                               θ
                             = − r 1 / 2 exp(iθ / 2)                               x
    ⇒ f (z) → − f (z)
    z = 0 is a branch point of the function f ( z ) = z 1 / 2
Branch point: z remains unchanged while z traverse a closed contour C
about some point. But a function f(z) changes after one complete circuit.

Branch cut: It is a line (or curve) in the complex plane that we must cross ,
so the function remains single-valued.


                                           y
   Ex : f ( z ) = z 1 / 2
   restrict θ ⇒ 0 ≤ θ < 2π
   ⇒ f ( z ) is single - valued                0
                                                              x
Ex : Find the branch points of f ( z ) = z 2 + 1 , and hence sketch
    suitable arrangements of branch cuts.


f ( z ) = z 2 + 1 = ( z + i )( z − i ) expected branch points : z = ± i
set z − i = r1 exp(iθ1 ) and z + i = r2 exp(iθ 2 )
⇒ f ( z ) = r1r2 exp(iθ1 / 2) exp(iθ 2 / 2)
         = r1r2 exp[i (θ1 + θ 2 )]
If contour C encloses
(1) neither branch point, then θ1 → θ1 , θ 2 → θ 2 ⇒ f ( z ) → f ( z )
(2) z = i but not z = − i , then θ1 → θ1 + 2π , θ 2 → θ 2 ⇒ f ( z ) → − f ( z )
(3) z = − i but not z = i , then θ1 → θ1 , θ 2 → θ 2 + 2π ⇒ f ( z ) → − f ( z )
(4) both branch points, then θ1 → θ1 + 2π ,θ 2 → θ 2 + 2π ⇒ f ( z ) → f ( z )
f ( z ) changes value around loops containing
either z = i or z = − i . We choose branch cut as follows :


 (A)      y
                                              (B)      y
                                                           i
              i

                          x                                     x
              −i
                                                           −i
20.6 Singularities and zeros of complex function
                                             g( z )
Isolated singularity (pole) : f ( z ) =
                                          ( z − z0 ) n
n is a positive integer, g( z ) is analytic at all points in
some neighborhood containing z = z0 and g( z0 ) ≠ 0,
the f ( z ) has a pole of order n at z = z0 .

* * An alternate definition for that f ( z ) has a pole of
    order n at z = z0 is
   lim [( z − z0 ) n f ( z )] = a
  z → z0
   f ( z ) is analytic and a is a finite, non - zero complex number
(1) if a = 0, then z = z0 is a pole of order less than n.
(2) if a is infinite, then z = z0 is a pole of order greater than n.
(3) if z = z0 is a pole of f ( z ) ⇒| f ( z ) |→ ∞ as z → z0
(4) from any direction, if no finite n satisfies the limit ⇒ essential singularity
Ex : Find the singularities of the function
                  1         1
(1) f ( z ) =          −
                1− z 1+ z
                      2z
⇒ f (z) =                         poles of order 1 at z = 1 and z = −1
                (1 − z )(1 + z )
(2) f ( z ) = tanh z
                 sinh z exp z − exp(− z )
              =           =
                 cosh z exp z + exp(− z )
     f ( z ) has a singularity when exp z = − exp(− z )
⇒ exp z = exp[i ( 2n + 1)π ] = exp(− z ) n is any integer
                                          1
⇒ 2 z = i ( 2n + 1)π ⇒ z = ( n + )πi
                                          2
Using l' Hospital' s rule
                 [ z − ( n + 1 / 2)πi ] sinh z                     [ z − ( n + 1 / 2)πi ] cosh z + sinh z
     lim {                                     }=      lim {                                              }=1
z →( n+1 / 2 )πi            cosh z                z →( n+1 / 2 )πi                  sinh z
each singularity is a simple pole (n = 1)
Remove singularties :
 Singularity makes the value of f ( z ) undetermined, but lim f ( z )
                                                               z→ z0
 exists and independent of the direction from which z0 is approached.


Ex : Show that f ( z ) = sin z / z is a removable singularity at z = 0

Sol : lim f ( z ) = 0 / 0 undetermined
     z →0

             1       z3 z5                     z3 z5
     f (z) = (z −        +   − ........) = 1 −   +   − ....
             z       3! 5!                     3! 5!
     lim f ( z ) = 1 is independent of the way z → 0, so
     z →0
     f ( z ) has a removable singularity at z = 0.
The behavior of f ( z ) at infinity is given by that of
 f (1 / ξ ) at ξ = 0, where ξ = 1 / z


Ex : Find the behavior at infinity of (i) f ( z ) = a + bz −2
     (ii) f ( z ) = z (1 + z 2 ) and (iii) f ( z ) = exp z
(i) f ( z ) = a + bz − 2 ⇒ set z = 1 / ξ ⇒ f (1 / ξ ) = a + bξ 2
    is analytic at ξ = 0 ⇒ f ( z ) is analytic at z = ∞
(ii) f ( z ) = z (1 − z 2 ) ⇒ f (1 / ξ ) = 1 / ξ + 1 / ξ 3 has a pole of
     order 3 at z = ∞
                                        ∞
(iii) f ( z ) = exp z ⇒ f (1 / ξ ) =   ∑ (n! )−1ξ −n
                                       n= 0
      f ( z ) has an essential singularity at z = ∞
If f ( z0 ) = 0 and f ( z ) = ( z − z0 )n g ( z ), if n is
a positive integer, and g( z0 ) ≠ 0
(i) z = z0 is called a zero of order n.
(ii) if n = 1, z = z0 is called a simple zero.
(iii) z = z0 is also a pole of order n of 1 / f ( z )
20.10 Complex integral                                     y
                                                                B
A real continuous parameter t , for α ≤ t ≤ β
                                                      C2
x = x ( t ), y = y( t ) and point A is t = α ,
                                                           C1
point B is t = β
⇒ ∫ f ( z )dz = ∫ ( u + iv )(dx + idy )                              x
    C                C
                                                      A         C3
   = ∫ udx − ∫ vdy + i ∫ udy + i ∫ vdx
        C        C          C          C
        β   dx       β dy       β dy       β dx
   =∫ u        dt − ∫ v dt + i ∫ u dt + i ∫ v    dt
        α   dt       α dt       α dt       α  dt
Ex : Evaluate the complex integral of f ( z ) = 1 / z , along
       the circle |z| = R, starting and finishing at z = R.                 y
z ( t ) = R cos t + iR sin t , 0 ≤ t ≤ 2π                                               C1
dx                   dy                          1      x − iy                  R
       = − R sin t ,    = R cos t , f ( z ) =         = 2      = u + iv ,           t
dt                   dt                        x + iy x + y 2
                                                                                             x
           x         cos t         −y          − sin t
u= 2             =         ,v = 2            =
        x + y2         R         x + y2           R
    1       2π cos t                   2π − sin t
∫C1 z dz = ∫0 R (− R sin t )dt − ∫0 ( R ) R cos tdt
             2π cos t                2π − sin t
        + i∫          R cos tdt + i ∫ (         )( − R sin t )dt
            0    R                   0     R
        = 0 + 0 + iπ + iπ = 2πi
* * The integral is also calculated by
        dz     2π − R sin t + iR cos t       2π
    ∫C1 z 0 R cos t + iR sin t
           =∫                          dt = ∫ idt = 2πi
                                             0

The calculated result is independent of R.
Ex : Evaluate the complex integral of f ( z ) = 1 / z along
      (i) the contour C 2 consisting of the semicircle | z |= R in
            the half - plane y ≥ 0
        (ii) the contour C 3 made up of two straight lines C 3a and C 3b
(i) This is just as in the previous example, but for
                                                                                      y
   0 ≤ t ≤ π ⇒ ∫ dz / z = πi                                                         iR
                   C2
                                                                              C 3b
(ii) C 3a : z = (1 − t ) R + itR for 0 ≤ t ≤ 1                                            C 3a
    C 3b : − sR + i (1 − s ) R for 0 ≤ s ≤ 1                        s=1                          t=0
    dz    1    − R + iR             1      − R − iR                       −R                     R x
∫C3 z 0 R + t (− R + iR) 0 iR + s(− R − iR)
       =∫                    dt + ∫                         dt

             1 −1+ i             1    2t − 1              1       1
1st term ⇒ ∫              dt = ∫                 dt + i ∫                 dt
             0 1 − t + it       0 1 − 2 t + 2t 2         0 1 − 2t + 2t 2

              1                             i              t −1/ 2 1
            = [ln(1 − 2t + 2t 2 )] |1 + [2 tan −1 (
                                       0                            )] |0
              2                             2                1/ 2
                   i π         π       πi             a                      x
            = 0 + [ − ( − )] =                  ∫ a2 + x2     dx = tan −1 ( ) + c
                   2 2         2        2                                    a
1  1+ i               1 (1 + i )[ s − i ( s − 1)]
2nd term ⇒ ∫                   ds = ∫                            ds
              0 s + i ( s − 1)       0       2
                                            s + ( s − 1)    2

                1   2s − 1             1      1
           =∫                ds + i ∫                  ds
              0 2s 2 − 2s + 1         0 2s 2 − 2s + 1

             1                                      s −1/ 2 1
           = [ln( 2 s 2 − 2 s + 1)] |1 + i tan −1 (
                                     0                     ) |0
             2                                        1/ 2
                   π       π      πi
           = 0 + i[ − ( − )] =
                    4      4       2
       dz
⇒  ∫C3 z = πi
The integral is independent of the different path.
Ex : Evaluate the complex integral of f ( z ) = Re( z ) along
      the path C1 , C 2 and C 3 as shown in the previous examples.
                  2π
(i) C1 : ∫             R cos t ( − R sin t + iR cos t )dt = iπR 2
               0
                  π                                       iπ 2
(ii) C 2 : ∫ R cos t ( − R sin t + iR cos t )dt =            R
               0                                           2
(iii) C 3 = C 3a + C 3b :
        1                                  1
       ∫0   (1 − t ) R( − R + iR )dt + ∫ ( − sR )( − R − iR )ds
                                           0
              1                                1
   = R 2 ∫ (1 − t )( −1 + i )dt + R 2 ∫ s(1 + i )ds
              0                                0
    1 2             1
   =  R ( −1 + i ) + R 2 (1 + i ) = iR 2
    2               2
The integral depends on the different path.
20.11 Cauchy theorem
If f ( z ) is an analytic function, and f ' ( z ) is continuous
at each point within and on a closed contour C
⇒ ∫ f ( z )dz = 0
       C

   ∂p( x , y )     ∂q( x , y )
If             and             are continuous within and
        ∂x            ∂y
on a closed contour C, then by two - demensional
                                   ∂p ∂q
divergence theorem ⇒ ∫∫ ( + )dxdy = ∫ ( pdy − qdx )
                                R ∂x    ∂y        C

f ( z ) = u + iv and dz = dx + idy
I = ∫ f ( z )dz = ∫ ( udx − vdy ) + i ∫ (vdx + udy )
       C          C                  C
            ∂ ( − u) ∂ ( − v )                ∂ ( − v ) ∂u
     = ∫∫ [         +          ]dxdy + i ∫∫ [          + ]dxdy = 0
         R     ∂y      ∂x                  R    ∂y      ∂x
f ( z ) is analytic and the Cauchy - Riemann relations apply.
Ex : Suppose twos points A and B in the complex plane are joined
     by two different paths C1 and C 2 . Show that if f ( z ) is an
          analytic function on each path and in the region enclosed by the
          two paths then the integral of f ( z ) is the same along C1 and C 2 .

                                                                                    y
                                                                                        B
∫C   1
         f ( z )dz − ∫
                      C2
                           f ( z )dz = ∫
                                            C1 − C 2
                                                       f ( z )dz = 0   C1
path C1 − C 2 forms a closed contour enclosing R                                R

⇒∫            f ( z )dz = ∫     f ( z )dz                                                   x
         C1                C2

                                                                            A
Ex : Consider two closed contour C and γ in the Argand diagram, γ being
sufficiently small that it lies completely with C . Show that if the function
f ( z ) is analytic in the region between the two contours then ∫ f ( z )dz = ∫ f ( z )dz
                                                                                    C             γ

the area is bounded by Γ, and
 f ( z ) is analytic                                                                         C
                                                                                y
∫Γ f ( z )dz = 0                                                                                      γ
                                                                                             C1
             = ∫ f ( z )dz + ∫    f ( z )dz + ∫    f ( z )dz + ∫    f ( z )dz
                C             γ               C1               C2
If take the direction of contour γ as that of                                           C2

contour C ⇒ ∫ f ( z )dz = ∫ f ( z )dz
                  C               γ
                                                                                                          x
Morera' s theorem :
if f ( z ) is a continuous function of z in a closed domain R
bounded by a curve C , for ∫ f ( z )dz = 0 ⇒ f ( z ) is analytic.
                                      C
20.12 Cauchy’s integral formula
 If f ( z ) is analytic within and on a closed contour C
                                               1      f (z)
                                              2πi ∫C z − z0
 and z0 is a point within C then f ( z0 ) =                 dz


          f (z)          f (z)                                   C
I=∫             dz = ∫         dz
     C   z − z0       γ z−z
                             0
for z = z0 + ρ exp(iθ ), dz = iρ exp(iθ )dθ                      γ
      2π     f ( z0 + ρe iθ )                                        z0
I=∫                             iρe iθ dθ
     0           ρe iθ
         2π                          ρ →0
                          iθ
  = i∫        f ( z0 + ρe )dθ = 2πif ( z0 )
         0
The integral form of the derivative of a complex function :
                              1         f (z)
                f ' ( z0 ) =
                             2πi ∫C ( z − z )2 dz
                                           0

                  f ( z 0 + h) − f ( z 0 )
 f ' ( z0 ) = lim
           h→ 0              h
                    1       f (z)         1   1
          = lim [
            h→0 2πi
                         ∫C h z − z0 − h z − z0 )dz ]
                                  (         −

                      1              f (z)
          = lim [
              h→ 0   2πi ∫C ( z − z0 − h)( z − z0 )dz ]
               1         f (z)
          =
              2πi ∫C ( z − z )2 dz
                             0


                                         n!         f (z)
                                        2πi ∫C ( z − z0 )n+1
For nth derivative f ( n ) ( z0 ) =                          dz
Ex : Suppose that f ( z ) is analytic inside and on a circleC of radius
 R centered on the point z = z0 . If | f ( z ) |≤ M on the circle, where
                                                     Mn!
 M is some constant, show that | f ( n ) ( z0 ) |≤          n
                                                                .
                                                        R
                      n!       f ( z )dz    n! M       Mn!
| f ( n ) ( z0 ) |=      |∫              |≤       2πR = n
                      2π C ( z − z0 )n+1 2π R n+1      R

Liouville' s theorem : If f ( z ) is analytic and bounded for all
z then f ( z ) is a constant.

                                                   Mn!
Using Cauchy' s inequality : | f ( n ) ( z0 ) |≤
                                                   Rn
set n = 1 and let R → ∞ ⇒ | f ' ( z0 ) |= 0 ⇒ f ' ( z0 ) = 0
Since f ( z ) is analytic for all z , we may take z0 as any
point in the z - plane. f ' ( z ) = 0 for all z ⇒ f ( z ) = constant
20.13 Taylor and Laurent series
 Taylor’s theorem:
 If f ( z ) is analytic inside and on a circle C of radius R centered
 on the point z = z0 , and z is a point inside C, then
             ∞                          ∞
                                              f ( n ) ( z0 )
  f (z) =   ∑ a n ( z − z0 )   n
                                   =   ∑           n!
                                                             ( z − z0 ) n
            n= 0                       n= 0

                                                                    1     f (ξ )
                                                                   2πi ∫C ξ − z
f ( z ) is analytic inside and on C, so f ( z ) =                               dξ where ξ lies on C

                                                                                      ∞
         1                           z − z0     1     1                                    z − z0 n
expand
       ξ −z
            as a geometric series in
                                     ξ − z0
                                            ⇒      =
                                              ξ − z ξ − z0
                                                                                     ∑(    ξ − z0
                                                                                                  )
                                                                                     n=0

           1      f (ξ ) ∞ z − z0 n        1 ∞                     f (ξ )
⇒ f (z) =                ∑ ( ξ − z ) dξ = 2πi ∑ ( z − z0 )n ∫C (ξ − z )n+1 dξ
          2πi ∫C ξ − z0 n= 0      0           n= 0                    0

               1 ∞               n 2πif
                                        ( n)
                                             ( z0 ) ∞             n f
                                                                      (n)
                                                                          ( z0 )
            =     ∑
              2πi n=0
                      ( z − z0 )
                                        n!
                                                   = ∑ ( z − z0 )
                                                                        n!
                                                     n=0
If f ( z ) has a pole of order p at z = z0 but is analytic at every other point inside
and on C . Then g ( z ) = ( z − z0 ) p f ( z ) is analytic at z = z0 and expanded as a Taylor
                  ∞
series g( z ) =   ∑ bn ( z − z0 )n .
                  n=0
Thus , for all z inside C f ( z ) can be exp anded as a Laurent series
                    a− p         a − p +1               a
        f (z) =             +               + ....... + −1 + a0 + a1 ( z − z0 ) + a 2 ( z − z0 )2
                ( z − z0 ) p ( z − z0 ) p−1            z − z0

                        g ( n ) ( z0 )    1         g( z )
a n = bn+ p    and bn =
                             n!
                                       =
                                         2πi ∫ ( z − z )n+1 dz                      C2
                                                      0
                                                                                        R
        1          g( z )            1         f (z)
       2πi ∫ ( z − z0 ) n+1+ p      2πi ∫ ( z − z0 ) n+1
⇒ an =                         dz =                      dz
                                                                                         z 0 C1
           ∞
f (z) =    ∑ an ( z − z0 )n is analytic in a region R between
          n= −∞
two circles C1 and C 2 centered on z = z0
∞
                     f (z) =    ∑ a n ( z − z0 ) n
                               n = −∞

(1) If f ( z ) is analytic at z = z0 , then all an = 0 for n < 0.
   It may happen a n = 0 for n ≥ 0, the first non - vanishing
   term is a m ( z-z0 ) m with m > 0, f ( z ) is said to have a zero
   of order m at z = z0 .


(2) If f ( z ) is not analytic at z = z0
    (i) possible to find a − p ≠ 0 but a − p− k = 0 for all k > 0
         f ( z ) has a pole of order p at z = z0 , a −1 is called the residue of f ( z )
    (ii) impossible to find a lowest value of − p ⇒ essential singularity
1
 Ex : Find the Laurent series of f ( z ) =             3
                                                           about the singularities
                                         z ( z − 2)
 z = 0 and z = 2. Hence verify that z = 0 is a pole of order 1 and z = 2 is a
 pole of order 3, and find the residue of f ( z ) at each pole.

(1) point z = 0
                −1           −1            − z ( −3)( −4) − z 2 ( −3)( −4)( −5) − z 3
 f (z) =                 3
                           =    [1 + ( −3)( ) +          ( ) +                 ( ) + ...]
         8 z (1 − z / 2)     8z             2      2!      2           3!        2
        1    3  3 5z 2
      =− − − z−        − ...             z = 0 is a pole of order 1
        8 z 16 16 32
(2) point z = 2 ⇒ set z − 2 = ξ ⇒ z( z − 2) 3 = ( 2 + ξ )ξ 3 = 2ξ 3 (1 + ξ / 2)
              1           1       ξ      ξ        ξ        ξ
 f (z) = 3            = 3 [1 − ( ) + ( )2 − ( )3 + ( )4 − ...]
        2ξ (1 + ξ / 2) 2ξ         2      2         2       2
          1       1     1    1 ξ                 1             1            1      1 z−2
      =       −       +   − +        − .. =             −             +          − +     −
         2ξ 3
                4ξ 2   8ξ 16 32             2( z − 2) 3
                                                          4( z − 2) 2   8( z − 2) 16  32
z = 2 is a pole of order 3, the residue of f ( z ) at z = 2 is 1 / 8.
How to obtain the residue ?
              a− m                        a−1
f (z) =                   + ...... +              + a0 + a1 ( z − z0 ) + a 2 ( z − z0 )2 + ...
           ( z − z0 ) m                ( z − z0 )
⇒ ( z − z0 )m f ( z ) = a − m + a − m +1 ( z − z0 ) + ....... + a −1 ( z − z0 )m −1 + ...
    d m −1                                                   ∞
⇒        m −1
              [( z − z0 ) f ( z )] = ( m − 1)! a −1 + ∑ bn ( z − z0 )n
                          m
    dz                                                      n =1
Take the limit z → z0
                              1     d m −1
R( z0 ) = a −1   = lim {                    [( z − z0 ) m f ( z )]} residue at z = z0
                   z → z0 ( m − 1)! dz m −1

(1) For a simple pole m = 1 ⇒ R( z0 ) = lim [( z − z0 ) f ( z )]
                                                         z → z0
                                                                   g( z )
(2) If f ( z ) has a simple at z = z0 and f ( z ) =                       , g ( z ) is analytic and
                                                                   h( z )
    non - zero at z0 and h( z0 ) = 0
                       ( z − z0 ) g ( z )                  ( z − z0 )                     1       g( z )
⇒ R( z0 ) = lim                           = g ( z0 ) lim              = g ( z0 ) lim '          = ' 0
                z → z0      h( z )                   z → z0 h( z )               z → z0 h ( z )  h ( z0 )
Ex : Suppose that f ( z ) has a pole of order m at the point z = z0 . By
 considering the Laurent series of f ( z ) about z0 , deriving a general
 expression for the residue R( z0 ) of f ( z ) at z = z0 . Hence evaluate
                                                 exp iz
 the residue of the function f ( z ) =            2       2
                                                              at the point z = i .
                                               ( z + 1)

           exp iz              exp iz
f (z) =     2       2
                        =        2        2
                                              poles of order 2 at z = i and z = − i
         ( z + 1)          (z + i) (z − i)
for pole at z = i :
 d                          d exp iz                i                 2
   [( z − i ) 2 f ( z )] = [             2
                                           ]=           2
                                                          exp iz −         3
                                                                             exp iz
dz                         dz ( z + i )         (z + i)            (z + i)
         1       i               2              −i
R( i ) = [             e −1 −          e −1 ] =
         1! ( 2i ) 2          ( 2i ) 3          2e
20.14 Residue theorem
f ( z ) has a pole of order m at z = z0                                                C
                        ∞                                                                  γ
          f (z) =       ∑ a n ( z − z0 )      n

                    n= − m                                                             ρ •     z0
I = ∫ f ( z )dz = ∫ f ( z )dz
      C                     γ

set z = z0 + ρe iθ ⇒ dz = iρe iθ dθ
       ∞                                          ∞        2π
I=    ∑ an ∫ ( z − z0 ) dz =
                C
                                      n
                                                ∑ an ∫    0
                                                                iρ n+1e i ( n+1)θ dθ
     n= − m                                   n= − m
                        2π           n +1 i ( n+1)θ        iρ n+1e i ( n+1)θ 2π
for n ≠ −1 ⇒ ∫                  iρ        e           dθ =                   |0 = 0
                        0                                      i ( n + 1)
                    2π
for n = 1 ⇒ ∫               idθ = 2πi
                    0

I = ∫ f ( z )dz = 2πia −1
      C
Residue theorem:
 f ( z ) is continuous within and on a closed contour C
and analytic, except for a finite number of poles within C

                 ∫C f ( z )dz = 2πi ∑ R j
                                    j

∑ R j is the sum of the residues of     f ( z ) at its poles within C
 j




                     C                              C'
The integral I of f ( z ) along an open contour C
                                                                                        C

if f ( z ) has a simple pole at z = z0                                                      ρ
⇒ f ( z ) = φ ( z ) + a−1 ( z − z0 ) −1                                                     z0
φ ( z ) is analytic within some neighbour surrounding z0
| z − z0 |= ρ and θ1 ≤ arg( z − z0 ) ≤ θ 2
ρ is chosen small enough that no singularity of f ( z ) except z = z0
I = ∫ f ( z )dz = ∫ φ ( z )dz + a −1 ∫ ( z − z0 ) −1 dz
      C               C                        C

lim
ρ →0 C
      ∫   φ ( z )dz = 0

                                          θ2       1
I = lim    ∫   f ( z )dz = lim (a −1 ∫             iθ
                                                      iρe iθ dθ ) = ia −1 (θ 2 − θ1 )
      ρ →0 C               ρ →0  ρe       θ1

for a closed contour θ 2 = θ1 + 2π ⇒ I = 2πia −1
20.16 Integrals of sinusoidal functions
       2π
      ∫0    F (cos θ , sin θ )dθ set z = exp iθ in unit circle
                   1      1          1     1
      ⇒ cos θ =      ( z + ), sin θ = ( z − ), dθ = − iz −1dz
                   2      z          2i    z
                       2π           cos 2θ
Ex : Evaluate I = ∫          2      2
                                                dθ for b > a > 0
                       0    a + b − 2ab cos θ

           1 n                        1
cos nθ =     ( z + z − n ) ⇒ cos 2θ = ( z 2 + z − 2 )
           2                          2
                               1 2                                     1
       cos 2θ                    ( z + z − 2 )( − iz −1 )dz         − ( z 4 + 1)idz
                       dθ = 2                                = 2       2
a 2 + b 2 − 2ab cos θ         2     2           1         −1  z ( za 2 + zb 2 − abz 2 − ab )
                             a + b − 2ab ⋅ ( z + z )
                                                2
                               i          ( z 4 + 1)dz        i      ( z 4 + 1)
                            =                              =                      dz
                              2ab    2 2        a      b     2ab 2       a      b
                                    z ( z − z ( − + ) + 1)      z ( z − )( z − )
                                                b     a                  b      a
i                z4 + 1
   2ab ∫C
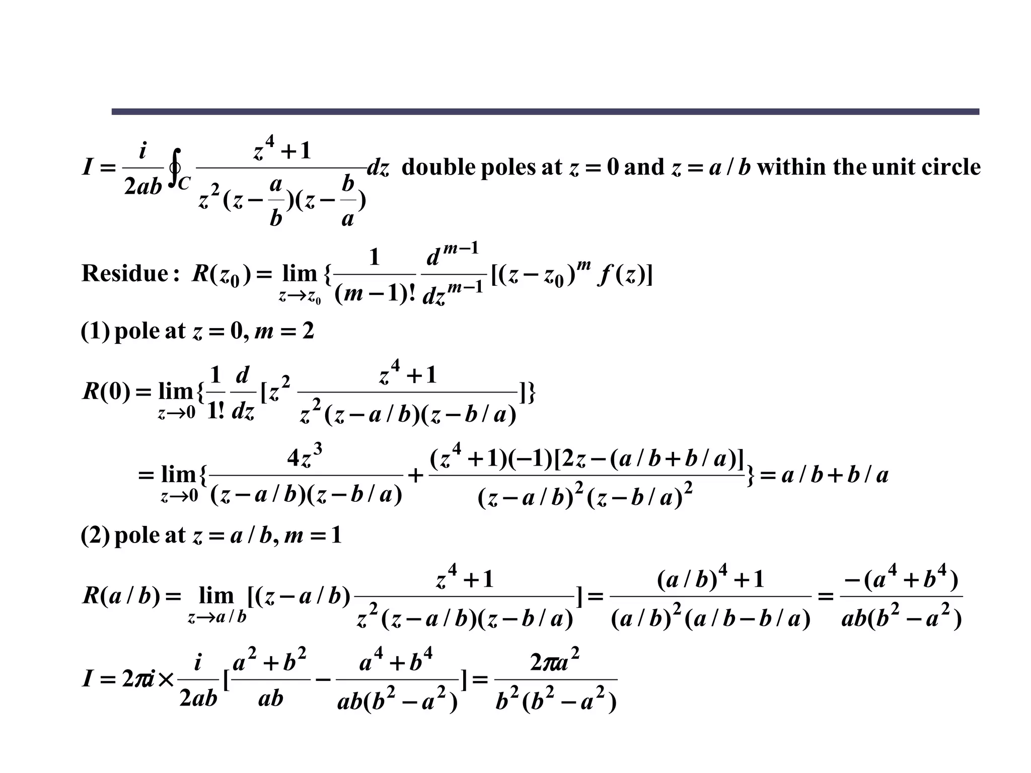
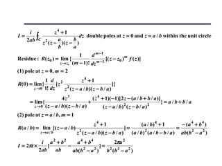
I=                             dz double poles at z = 0 and z = a / b within the unit circle
                      a      b
             z 2 ( z − )( z − )
                      b      a
                                1     d m −1
Residue : R( z0 ) = lim {                     [( z − z0 ) m f ( z )]
                     z → z0 ( m − 1)! dz m −1

(1) pole at z = 0, m = 2
             1 d 2            z4 + 1
R(0) = lim {      [z 2                            ]}
       z →0 1! dz    z ( z − a / b )( z − b / a )
                       4z 3               ( z 4 + 1)( −1)[2 z − (a / b + b / a )]
      = lim {                           +                                         }= a/b+b/a
        z →0 ( z − a / b )( z − b / a )                      2
                                                 ( z − a / b) ( z − b / a ) 2

(2) pole at z = a / b, m = 1
                                          z4 + 1                         (a / b)4 + 1              − (a 4 + b 4 )
R(a / b) = lim [( z − a / b )     2
                                                               ]=          2
                                                                                               =
            z →a / b            z ( z − a / b )( z − b / a )        (a / b) (a / b − b / a )       ab(b 2 − a 2 )
           i a 2 + b2     a 4 + b4       2πa 2
I = 2πi ×     [       −              ]= 2 2
          2ab   ab      ab(b − a ) b (b − a 2 )
                             2     2
20.17 Some infinite integrals
                            ∞
                           ∫−∞ f ( x )dx
 f ( z ) has the following properties :
(1) f ( z ) is analytic in the upper half - plane, Im z ≥ 0, except for
     a finite number of poles, none of which is on the real axis.
(2) on a semicircle Γ of radius R, R times the maximum of                    y
      | f | on Γ tends to zero as R → ∞ (a sufficient condition
      is that zf ( z ) → 0 as | z |→ ∞ ).                                        Γ
        0                        ∞
(3) ∫           f ( x )dx and   ∫0   f ( x )dx both exist
    −∞                                                                                   x
                ∞
   ⇒        ∫− ∞ f ( x )dx = 2π i ∑ R j                            −R        0       R
                                     j

for | ∫ f ( z )dz |≤ 2π R × (maximum of | f | on Γ ), the integral along Γ
            Γ
tends to zero as R → ∞ .
∞            dx
      Ex : Evaluate I =          ∫0        2
                                       (x + a )     2 4
                                                          a is real

          dz               R          dx                      dz
∫C ( z 2 + a 2 )4     =   ∫− R ( x 2 + a 2 )4 ∫Γ ( z 2 + a 2 )4
                                                +                      as R → ∞
                                                                                                  Γ
                dz                              dz             ∞        dx                   ai
⇒∫                        →0⇒         ∫C ( z 2 + a 2 )4   =   ∫− ∞ ( x 2 + a 2 )4
     Γ   ( z 2 + a 2 )4
( z 2 + a 2 )4 = 0 ⇒ poles of order 4 at z = ± ai ,                                 −R   0            R
only z = ai at the upper half - plane
                                    1               1            1           iξ − 4
set z = ai + ξ , ξ → 0 ⇒ 2            2 4
                                           =           2 4
                                                           =          4
                                                                        (1 −    )
                             (z + a )        ( 2aiξ + ξ )    ( 2aiξ )        2a
                              1 ( −4)( −5)( −6) − i 3      − 5i
the coefficient of ξ −1 is                        ( ) =
                           ( 2a ) 4       3!        2a     32a 7
 ∞         dx                   − 5i           10π                 1 10π      5π
∫0   ( x 2 + a 2 )4
                      = 2πi (
                                32a   7
                                        )=
                                               32a 7
                                                       ⇒I =         ×
                                                                   2 32a 7
                                                                           =
                                                                             32a 7
For poles on the real axis:                                                                     y
                                                                                                            Γ
Principal value of the integral, defined as ρ → 0
     R                        z0 − ρ                   R
P∫        f ( x )dx =     ∫− R         f ( x )dx +    ∫z + ρ   f ( x )dx                              γ ρ
     −R                                                 0
                                                                                    -R            0      z0     R   x
for a closed contour C
                    z0 − ρ                                             R
∫C   f ( z )dz =   ∫− R         f ( x )dx +   ∫γ     f ( z )dz +   ∫z + ρ
                                                                       0
                                                                            f ( x )dx +   ∫Γ f ( z )dz
                          R
                = P∫            f ( x )dx +    ∫γ    f ( z )dz +   ∫Γ f ( z )dz
                        −R

(1) for ∫ f ( z )dz has a pole at z = z0 ⇒ ∫ f ( z )dz = −πia1
           γ                                                       γ
                                             iθ
(2) for ∫ f ( z )dz set z = Re                      dz = i Re iθ dθ
           Γ

     ⇒    ∫Γ   f ( z )dz =      ∫Γ     f (Re iθ )i Re iθ dθ

If f ( z ) vanishes faster than 1 / R 2 as R → ∞, the integral is zero
Jordan’s lemma
(1) f ( z ) is analytic in the upper half - plane except for a finite
    number of poles in Im z > 0
( 2) the maximum of | f ( z ) |→ 0 as | z |→ ∞ in the upper half - plane
(3) m > 0, then

              ∫Γ e
                     imz
    IΓ =                   f ( z )dz → 0 as R → ∞, Γ is the semicircular contour

for 0 ≤ θ ≤ π / 2, 1 ≥ sin θ / θ ≥ π / 2                            f (θ )         f = 2θ / π
| exp(imz )| = | exp(− mR sin θ )|
                                       π
IΓ ≤   ∫Γ   |e imz f ( z )||dz| ≤ MR ∫ e − mR sin θ dθ
                                       0
                                                                                     f = sin θ
                                               π/ 2 − mR sin θ
                                  = 2 MR ∫         e           dθ
                                               0
M is the maximum of |f ( z )| on |z| = R, R → ∞ M → 0                        π /2           θ
                          πM
                π / 2 − mR ( 2θ / π )        πM
I Γ < 2 MR ∫         e       (1 − e − mR ) <
                                      dθ   =
                0          m                  m
as R → ∞ ⇒ M → 0 ⇒ I Γ → 0
cos mx
                                              ∞
Ex : Find the principal value of          ∫− ∞ x − a dx a real, m > 0                             Γ
                                       e imz
Consider the integral I =         ∫C   z−a
                                             dz = 0 no pole in the
                                                                                            γ ρ
                                         −1
upper half - plane, and |( z − a ) | → 0 as |z| → ∞
                                                                              -R        0     a       R
           e imz
I =   ∫C   z−a
                 dz

       a−ρ    e imx             e imz             R    e imx             e imz
  =   ∫− R    x−a
                    dx +   ∫γ   z−a
                                      dz +    ∫a + ρ   x−a
                                                             dx +   ∫Γ   z−a
                                                                               dz = 0

                                       e imz
As R → ∞ and ρ → 0 ⇒ ∫                       dz → 0
                                   Γ   z−a
       ∞e imx
⇒ P∫          dx − iπa−1 = 0 and a−1 = e ima
    −∞ x − a
     ∞ cos mx                         ∞ sin mx
⇒ P∫           dx = −π sin ma and P ∫          dx = π cos ma
    −∞ x − a                         −∞ x − a
20.18 Integral of multivalued functions
                                          1/ 2
                                                                              y
Multivalued functions such as z , Lnz
Single branch point is at the otigin. We let R → ∞                            R       Γ
and ρ → 0. The integrand is multivalued, its values
                                                                          γ
along two lines AB and CD joining z = ρ to z = R                                  A   B
are not equal and opposite.                                               ρ               x
                                                                                  C   D
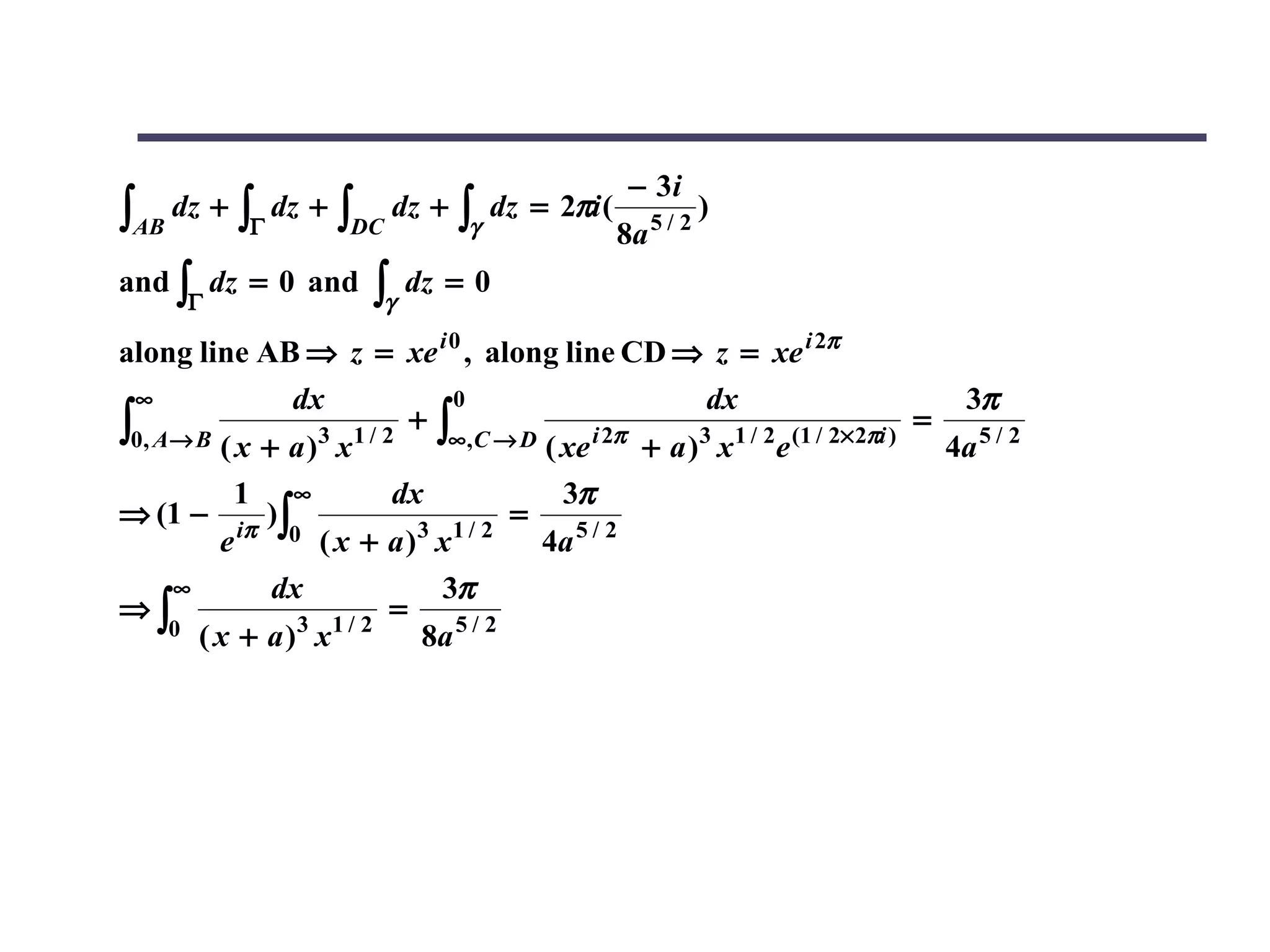
              ∞          dx
 Ex : I =    ∫0   ( x + a )3 x1 / 2
                                      for a > 0


(1) the integrand f ( z ) = ( z + a ) −3 z −1 / 2 , |zf ( z )| → 0 as ρ → 0 and R → ∞
     the two circles make no contribution to the contour integral
(2) pole at z = − a , and ( − a )1 / 2 = a 1 / 2 e iπ / 2 = ia 1 / 2
                            1     d 3 −1                     1
     R( − a ) = lim                        [( z + a )3                ]
                z → − a ( 3 − 1)! dz 3 − 1                     3 1/ 2
                                                       (z + a) z
                        1 d 2 −1 / 2    − 3i
              = lim             z    =
                z → − a 2! dz 2        8a 5 / 2
− 3i
∫AB   dz +   ∫Γ   dz +   ∫DC   dz +   ∫γ   dz = 2πi (
                                                        8a   5/2
                                                                   )

and ∫ dz = 0 and           ∫γ dz = 0
       Γ

along line AB ⇒ z = xe i 0 , along line CD ⇒ z = xe i 2π
 ∞              dx             0                   dx                     3π
∫0, A→ B ( x + a )3 x1 / 2 ∞,C → D ( xe i 2π + a )3 x1 / 2e (1 / 2×2πi ) 4a 5 / 2
                            +∫                                          =

           1 ∞            dx            3π
⇒ (1 − iπ )∫                         =
         e     0 ( x + a )3 x1 / 2     4a 5 / 2
     ∞        dx             3π
⇒∫                        =
     0 ( x + a )3 x1 / 2    8a 5 / 2
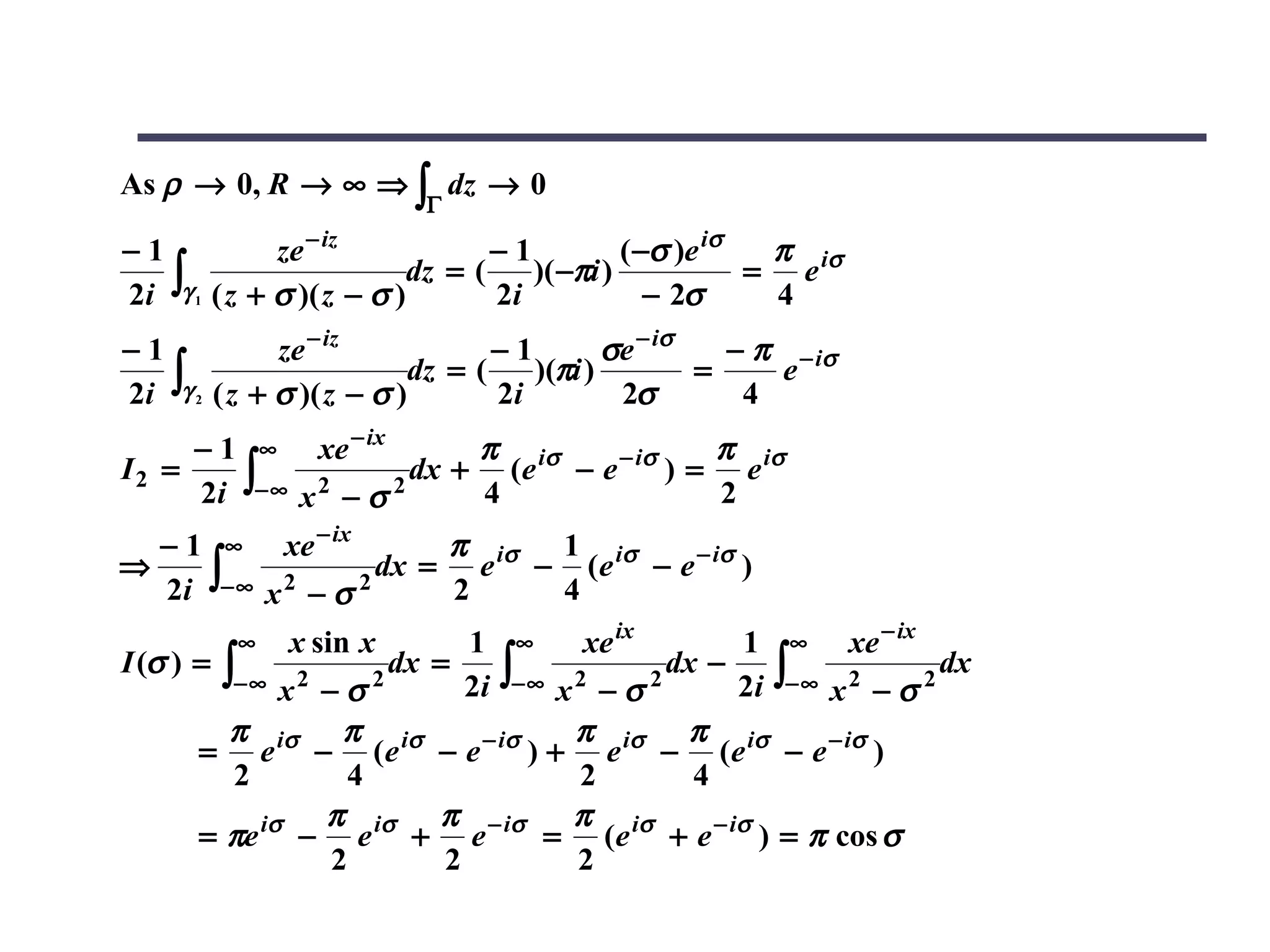
∞     x sin x
    Ex : Evaluate I (σ ) =                    ∫− ∞ x 2 − σ 2 dx
         z sin z      1                         ze iz       1                  ze − iz
   ∫C   z2 − σ 2
                 dz =
                      2i             ∫C   1   z2 − σ 2
                                                       dz −
                                                            2i        ∫C   2
                                                                               2
                                                                               z −σ      2
                                                                                             dz = I1 + I 2

(1) for I1 , the contour is choosed on the upper half - plane                                                     C1
   due to the term e iz , and only one pole at z = σ .                                                       Γ
     1               ze iz       1                 −σ − ρ     xe ix                                 γ1
I1 =
     2i   ∫C   1   z2 − σ 2
                            dz =
                                 2i             ∫− R         x2 − σ   2
                                                                        dx
                                                                                                      ρ
     1     σ −ρ              xe ix   1                   ∞      xe ix                          -R     -σ         σ     R
   +
     2i   ∫−σ + ρ      x2 − σ 2
                                dx +
                                     2i                 ∫σ + ρ x 2 − σ 2 dx                                      γ2

     1               ze iz      1        ze iz      1                                    ze iz
   +
     2i   ∫γ   1   z2 − σ 2
                            dz + ∫ 2
                                2i γ 2 z − σ 2
                                               dz +
                                                    2i                          ∫Γ z 2 − σ 2 dz
     1                         σe iσ  π
   =    2πi × Res( z = σ ) = π       = e iσ
     2i                         2σ    2
As ρ → 0 and R → ∞ ⇒ ∫ dz → 0
                                            Γ

1                    ze iz           1                           − π − iσ
2i   ∫γ   1   ( z + σ )( z − σ )
                                dz =
                                     2i
                                        × ( −πi )Res( z = −σ ) =
                                                                  4
                                                                    e

1                    ze iz           1                    π
     ∫γ                         dz =    × πiRes( z = σ ) = e iσ
2i        2   ( z + σ )( z − σ )     2i                   4
       1 ∞        xe ix       π                 π                                                 γ1
                         dx + (e iσ − e − iσ ) = e iσ
      2i ∫− ∞ x 2 − σ 2
I1 =                                                                                                       σ
                              4                 2
                                                                                                  −σ
(2) for I 2 , we choose the lower half - plane by the
                     − iz                                                                    Γ             γ2
     term e                 , only one pole at z = −σ
     −1       ze − iz      − 1 −σ − ρ xe − ix
I2 =
     2i ∫C2 z 2 − σ 2 dz = 2i ∫− R x 2 − σ 2 dx                                                                C2

       1         σ −ρ            xe − ix    1      ∞         xe − ix      1             ze − iz
     −
       2i       ∫−σ + ρ       x2 − σ 2
                                       dx −
                                            2i    ∫σ + ρ    x2 − σ 2
                                                                     dx −
                                                                          2i   ∫γ   1
                                                                                        2
                                                                                        z −σ      2
                                                                                                      dz

       1                    ze − iz    1          ze − iz        −1              ( −σ )e iσ  π
     −          ∫γ                dz −      ∫Γ            dz = (    ) × ( −2πi )            = e iσ
       2i            2   z2 − σ 2      2i        z2 − σ 2        2i                 − 2σ     2
As ρ → 0, R → ∞ ⇒ ∫ dz → 0
                          Γ

−1            ze − iz            −1          ( −σ )e iσ  π
                                                        = e iσ
2i ∫γ 1 ( z + σ )( z − σ )
                          dz = (    )( −πi )
                                 2i             − 2σ     4
−1            ze − iz            −1        σe − iσ   − π − iσ
2i ∫γ 2 ( z + σ )( z − σ )dz = (
                                 2i
                                    )(πi )
                                            2σ
                                                   =
                                                      4
                                                        e

     − 1 ∞ xe − ix         π                  π
                       dx + (e iσ − e − iσ ) = e iσ
     2i ∫− ∞ x 2 − σ 2
I2 =
                           4                  2
  − 1 ∞ xe − ix         π      1
                    dx = e iσ − (e iσ − e − iσ )
  2i ∫− ∞ x 2 − σ 2
⇒
                        2      4
         ∞    x sin x        1 ∞        xe ix       1 ∞ xe − ix
I (σ ) = ∫
                             2i ∫− ∞ x 2 − σ 2      2i ∫− ∞ x 2 − σ 2
                       dx =                    dx −                   dx
          −∞ x 2 − σ 2

          π        π                   π        π
       = e iσ − ( e iσ − e − iσ ) + e iσ − ( e iσ − e − iσ )
          2         4                  2         4
                 π        π            π
       = πe iσ − e iσ + e − iσ = (e iσ + e − iσ ) = π cos σ
                  2        2           2

Complex varible

  • 1.
    f ( z) = u( x , y ) + iv ( x , y ) for z = x + iy f ( z + ∆z ) − f ( z ) f ' ( z ) = lim [ ] exists ∆z →0 ∆z Its value does not depend on the direction. Ex : Show that the function f ( z ) = x 2 − y 2 + i 2 xy is differentiable for all values of z . for ∆z = ∆x + i∆y f ( z + ∆z ) − f ( z ) f ' ( z ) = lim ∆z →0 ∆z ( x + ∆x ) 2 − ( y + ∆y ) 2 + 2i ( x + ∆x )( y + ∆y ) − x 2 + y 2 − 2ixy = ∆x + i∆y ( ∆x ) 2 − ( ∆y )2 + 2i∆x∆y = 2x + i2 y + ∆x + i∆y (1) choose ∆y = 0, ∆x → 0 ⇒ f ' ( z ) = 2 x + i 2 y (2) choose ∆x = 0, ∆y → 0 ⇒ f ' ( z ) = 2 x + i 2 y
  • 2.
    * * Anothermethod : f ( z ) = ( x + iy ) 2 = z 2 ' ( z + ∆z )2 − z 2 ( ∆z )2 + 2 z∆z f ( z ) = lim [ ] = lim [ ] ∆z →0 ∆z ∆z → 0 ∆z = lim ∆z + 2 z = 2 z ∆z → 0 Ex : Show that the function f ( z ) = 2 y + ix is not differentiable anywhere in the complex plane. f ( z + ∆z ) − f ( z ) 2 y + 2∆y + ix + i∆x − 2 y − ix 2∆y + i∆x = = ∆z ∆x + i∆y ∆x + i∆y if ∆z → 0 along a line thriugh z of slope m ⇒ ∆y = m ∆x f ( z + ∆z ) − f ( z ) 2 ∆ y + i∆ x 2m + i f ' ( z ) = lim = lim [ ]= ∆z →0 ∆z ∆x ,∆y →0 ∆x + i∆y 1 + im The limit depends on m (the direction), so f ( z ) is nowhere differentiable.
  • 3.
    Ex : Showthat the function f ( z ) = 1 /(1 − z ) is analytic everywhere except at z = 1. f ( z + ∆z ) − f ( z ) 1 1 1 f ' ( z ) = lim [ ] = lim [ ( − )] ∆z →0 ∆z ∆z →0 ∆z 1 − z − ∆z 1 − z 1 1 = lim [ ]= ∆z →0 (1 − z − ∆z )(1 − z ) (1 − z ) 2 Provided z ≠ 1, f ( z ) is analytic everywhere such that f ' ( z ) is independent of the direction.
  • 4.
    20.2 Cauchy-Riemann relation A function f(z)=u(x,y)+iv(x,y) is differentiable and analytic, there must be particular connection between u(x,y) and v(x,y) f ( z + ∆z ) − f ( z ) L = lim [ ] ∆z →0 ∆z f ( z ) = u( x , y ) + iv ( x , y ) ∆z = ∆x + i∆y f ( z + ∆z ) = u( x + ∆x , y + ∆y ) + iv ( x + ∆x , y + ∆y ) u( x + ∆x , y + ∆y ) + iv ( x + ∆x , y + ∆y ) − u( x , y ) − iv ( x , y ) ⇒ L = lim [ ] ∆x ,∆y →0 ∆x + i∆y (1) if suppose ∆z is real ⇒ ∆y = 0 u( x + ∆x , y ) − u( x , y ) v ( x + ∆x , y ) − v ( x , y ) ∂u ∂v ⇒ L = lim [ +i ]= +i ∆x →0 ∆x ∆x ∂x ∂x (2) if suppose ∆z is imaginary ⇒ ∆x = 0 u( x , y + ∆y ) − u( x , y ) v ( x , y + ∆y ) − v ( x , y ) ∂u ∂v ⇒ L = lim [ +i ] = −i + ∆y →0 i ∆y i ∆y ∂y ∂y ∂u ∂v ∂v ∂u = and =- Cauchy - Riemann relations ∂x ∂y ∂x ∂y
  • 5.
    Ex : Inwhich domain of the complex plane is f ( z ) =| x | − i | y | an analytic function? u( x , y ) =| x |, v ( x , y ) = − | y | ∂u ∂v ∂ ∂ (1) = ⇒ | x |= [− | y |] ⇒ (a) x > 0, y < 0 the fouth quatrant ∂x ∂y ∂x ∂y (b) x < 0, y > 0 the second quatrant ∂v ∂u ∂ ∂ (2) =− ⇒ [− | y |] = − | x | ∂x ∂y ∂x ∂y z = x + iy and complex conjugate of z is z * = x − iy ⇒ x = ( z + z * ) / 2 and y = ( z − z * ) / 2i ∂f ∂f ∂x ∂f ∂y 1 ∂u ∂v i ∂v ∂u ⇒ = + = ( − )+ ( + ) ∂z * ∂x ∂z * ∂y ∂z * 2 ∂x ∂y 2 ∂x ∂y If f ( z ) is analytic , then the Cauchy - Riemann relations are satisfied. ⇒ ∂f / ∂z * = 0 implies an analytic fonction of z contains the combination of x + iy , not x − iy
  • 6.
    If Cauchy -Riemann relations are satisfied ∂ ∂u ∂ ∂v ∂ ∂v ∂ ∂u ∂ 2u ∂ 2u (1) ( ) = ( )= ( ) = − ( )⇒ 2 + 2 2 = 0 ∂x ∂x ∂x ∂y ∂y ∂x ∂y ∂y ∂x ∂ y ∂ 2v ∂ 2v (2) the same result for function v ( x , y ) ⇒ 2 + 2 2 =0 ∂x ∂ y ⇒ u( x , y ) and v ( x , y ) are solutions of Laplace' s equation in two dimension. For two families of curves u( x , y ) = conctant and v ( x , y ) = constant, the normal vectors corresponding the two curves, respectively, are  ∂u ˆ ∂u ˆ  ∂v ˆ ∂v ˆ ∇u( x , y ) = i+ j and ∇v ( x , y ) = i+ j ∂x ∂y ∂x ∂y   ∂u ∂v ∂u ∂v ∂u ∂u ∂u ∂u ∇u ⋅ ∇v = + =− + = 0 orthogonal ∂x ∂x ∂y ∂y ∂x ∂y ∂y ∂x
  • 7.
    20.3 Power seriesin a complex variable ∞ ∞ f (z) = ∑ an z n = ∑ an r n exp(inθ ) n= 0 n=0 ∞ if ∑ | an | r n is convergent ⇒ f ( z ) is absolutely convergent n=0 ∞ Is ∑ | a n | r n convergent or not, can be justisfied by" Cauchy root test". n= 0 1 The radius of convergence R ⇒ = lim | a n |1 / n ⇒ (1) | z |< R absolutely convergent R n→ ∞ (2) | z |> R divergent (3) | z |= R undetermined ∞ zn 1 (1) ∑ ⇒ lim ( )1 / n = 0 ⇒ R = ∞ converges for all z n= 0 n! n→∞ n! ∞ (2) ∑ n! z n ⇒ lim ( n! )1 / n = ∞ ⇒ R = 0 converges only at z = 0 n= 0 n →∞
  • 8.
    20.4 Some elementaryfunctions ∞ zn Define exp z = ∑ n = 0 n! Ex : Show that exp z1 exp z 2 = exp( z1 + z 2 ) ∞ ( z1 + z 2 ) n exp( z1 + z 2 ) = ∑ n=0 n! ∞ 1 n n = ∑ n!(C 0 z1 + C1n z1n−1 z2 + C 2 z1n−2 z2 + C rn z1n−r z2 + ... + C n z2 ) n 2 r n n n= 0 n s r Cr 1 n! 1 set n = r + s ⇒ the coeff. of z1 z 2 is = = n! n! ( n − r )! r ! s! r ! ∞ zs ∞ zr ∞ ∞ 1 s r exp z1 exp z 2 = ∑ ∑ = ∑∑ z1 z 2 s =0 s! r = 0 r ! s =0 r = 0 s! r ! s r There are the same coeff. of z1 z 2 for the above two terms.
  • 9.
    Define the complexcomonent of a real number a > 0 ∞ z n (ln a ) n a = exp( z ln a ) = ∑ z n=0 n! (1) if a = e ⇒ e z = exp( z ln e ) = exp z the same as real number iy y 2 iy 3 (2) if a = e, z = iy ⇒ e = exp(iy ) = 1 − − + ... 2! 3! y2 y4 y3 = 1− + + ..... + i ( y − + ...) = cos y + i sin y 2! 4! 3! (3) if a = e , z = x + iy ⇒ e x + iy = e x e iy = exp( x )(cos y + i sin y )
  • 10.
    Set exp w= z Write z = r exp iθ for r is real and − π < θ ≤ π ⇒ z = r exp[i (θ + 2nπ )] ⇒ w = Lnz = ln r + i (θ + 2nπ ) Lnz is a multivalued function of z . Take its principal value by choosing n = 0 ⇒ ln z = ln r + iθ -π < θ ≤ π If t ≠ 0 and z are both complex numbers, we define t z = exp( zLnt ) Ex : Show that there are exactly n distinct nth roots of t . 1 1 tn = exp( Lnt ) and t = r exp[i (θ + 2kπ )] n 1 1 1 (θ + 2kπ ) (θ + 2kπ ) ⇒ tn = exp[ ln r + i ] = r n exp[i ] n n n
  • 11.
    20.5 Multivalued functionsand branch cuts A logarithmic function, a complex power and a complex root are all multivalued. Is the properties of analytic function still applied? Ex : f ( z ) = z 1 / 2 and z = r exp(iθ ) (A) C y (A) z traverse any closed contour C that dose not enclose the origin, θ return r to its original value after one complete θ x circuit. (B) y (B) θ → θ + 2π enclose the origin C' r 1/ 2 1/ 2 r exp(iθ / 2) → r exp[i (θ + 2π ) / 2] θ = − r 1 / 2 exp(iθ / 2) x ⇒ f (z) → − f (z) z = 0 is a branch point of the function f ( z ) = z 1 / 2
  • 12.
    Branch point: zremains unchanged while z traverse a closed contour C about some point. But a function f(z) changes after one complete circuit. Branch cut: It is a line (or curve) in the complex plane that we must cross , so the function remains single-valued. y Ex : f ( z ) = z 1 / 2 restrict θ ⇒ 0 ≤ θ < 2π ⇒ f ( z ) is single - valued 0 x
  • 13.
    Ex : Findthe branch points of f ( z ) = z 2 + 1 , and hence sketch suitable arrangements of branch cuts. f ( z ) = z 2 + 1 = ( z + i )( z − i ) expected branch points : z = ± i set z − i = r1 exp(iθ1 ) and z + i = r2 exp(iθ 2 ) ⇒ f ( z ) = r1r2 exp(iθ1 / 2) exp(iθ 2 / 2) = r1r2 exp[i (θ1 + θ 2 )] If contour C encloses (1) neither branch point, then θ1 → θ1 , θ 2 → θ 2 ⇒ f ( z ) → f ( z ) (2) z = i but not z = − i , then θ1 → θ1 + 2π , θ 2 → θ 2 ⇒ f ( z ) → − f ( z ) (3) z = − i but not z = i , then θ1 → θ1 , θ 2 → θ 2 + 2π ⇒ f ( z ) → − f ( z ) (4) both branch points, then θ1 → θ1 + 2π ,θ 2 → θ 2 + 2π ⇒ f ( z ) → f ( z )
  • 14.
    f ( z) changes value around loops containing either z = i or z = − i . We choose branch cut as follows : (A) y (B) y i i x x −i −i
  • 15.
    20.6 Singularities andzeros of complex function g( z ) Isolated singularity (pole) : f ( z ) = ( z − z0 ) n n is a positive integer, g( z ) is analytic at all points in some neighborhood containing z = z0 and g( z0 ) ≠ 0, the f ( z ) has a pole of order n at z = z0 . * * An alternate definition for that f ( z ) has a pole of order n at z = z0 is lim [( z − z0 ) n f ( z )] = a z → z0 f ( z ) is analytic and a is a finite, non - zero complex number (1) if a = 0, then z = z0 is a pole of order less than n. (2) if a is infinite, then z = z0 is a pole of order greater than n. (3) if z = z0 is a pole of f ( z ) ⇒| f ( z ) |→ ∞ as z → z0 (4) from any direction, if no finite n satisfies the limit ⇒ essential singularity
  • 16.
    Ex : Findthe singularities of the function 1 1 (1) f ( z ) = − 1− z 1+ z 2z ⇒ f (z) = poles of order 1 at z = 1 and z = −1 (1 − z )(1 + z ) (2) f ( z ) = tanh z sinh z exp z − exp(− z ) = = cosh z exp z + exp(− z ) f ( z ) has a singularity when exp z = − exp(− z ) ⇒ exp z = exp[i ( 2n + 1)π ] = exp(− z ) n is any integer 1 ⇒ 2 z = i ( 2n + 1)π ⇒ z = ( n + )πi 2 Using l' Hospital' s rule [ z − ( n + 1 / 2)πi ] sinh z [ z − ( n + 1 / 2)πi ] cosh z + sinh z lim { }= lim { }=1 z →( n+1 / 2 )πi cosh z z →( n+1 / 2 )πi sinh z each singularity is a simple pole (n = 1)
  • 17.
    Remove singularties : Singularity makes the value of f ( z ) undetermined, but lim f ( z ) z→ z0 exists and independent of the direction from which z0 is approached. Ex : Show that f ( z ) = sin z / z is a removable singularity at z = 0 Sol : lim f ( z ) = 0 / 0 undetermined z →0 1 z3 z5 z3 z5 f (z) = (z − + − ........) = 1 − + − .... z 3! 5! 3! 5! lim f ( z ) = 1 is independent of the way z → 0, so z →0 f ( z ) has a removable singularity at z = 0.
  • 18.
    The behavior off ( z ) at infinity is given by that of f (1 / ξ ) at ξ = 0, where ξ = 1 / z Ex : Find the behavior at infinity of (i) f ( z ) = a + bz −2 (ii) f ( z ) = z (1 + z 2 ) and (iii) f ( z ) = exp z (i) f ( z ) = a + bz − 2 ⇒ set z = 1 / ξ ⇒ f (1 / ξ ) = a + bξ 2 is analytic at ξ = 0 ⇒ f ( z ) is analytic at z = ∞ (ii) f ( z ) = z (1 − z 2 ) ⇒ f (1 / ξ ) = 1 / ξ + 1 / ξ 3 has a pole of order 3 at z = ∞ ∞ (iii) f ( z ) = exp z ⇒ f (1 / ξ ) = ∑ (n! )−1ξ −n n= 0 f ( z ) has an essential singularity at z = ∞
  • 19.
    If f (z0 ) = 0 and f ( z ) = ( z − z0 )n g ( z ), if n is a positive integer, and g( z0 ) ≠ 0 (i) z = z0 is called a zero of order n. (ii) if n = 1, z = z0 is called a simple zero. (iii) z = z0 is also a pole of order n of 1 / f ( z )
  • 20.
    20.10 Complex integral y B A real continuous parameter t , for α ≤ t ≤ β C2 x = x ( t ), y = y( t ) and point A is t = α , C1 point B is t = β ⇒ ∫ f ( z )dz = ∫ ( u + iv )(dx + idy ) x C C A C3 = ∫ udx − ∫ vdy + i ∫ udy + i ∫ vdx C C C C β dx β dy β dy β dx =∫ u dt − ∫ v dt + i ∫ u dt + i ∫ v dt α dt α dt α dt α dt
  • 21.
    Ex : Evaluatethe complex integral of f ( z ) = 1 / z , along the circle |z| = R, starting and finishing at z = R. y z ( t ) = R cos t + iR sin t , 0 ≤ t ≤ 2π C1 dx dy 1 x − iy R = − R sin t , = R cos t , f ( z ) = = 2 = u + iv , t dt dt x + iy x + y 2 x x cos t −y − sin t u= 2 = ,v = 2 = x + y2 R x + y2 R 1 2π cos t 2π − sin t ∫C1 z dz = ∫0 R (− R sin t )dt − ∫0 ( R ) R cos tdt 2π cos t 2π − sin t + i∫ R cos tdt + i ∫ ( )( − R sin t )dt 0 R 0 R = 0 + 0 + iπ + iπ = 2πi * * The integral is also calculated by dz 2π − R sin t + iR cos t 2π ∫C1 z 0 R cos t + iR sin t =∫ dt = ∫ idt = 2πi 0 The calculated result is independent of R.
  • 22.
    Ex : Evaluatethe complex integral of f ( z ) = 1 / z along (i) the contour C 2 consisting of the semicircle | z |= R in the half - plane y ≥ 0 (ii) the contour C 3 made up of two straight lines C 3a and C 3b (i) This is just as in the previous example, but for y 0 ≤ t ≤ π ⇒ ∫ dz / z = πi iR C2 C 3b (ii) C 3a : z = (1 − t ) R + itR for 0 ≤ t ≤ 1 C 3a C 3b : − sR + i (1 − s ) R for 0 ≤ s ≤ 1 s=1 t=0 dz 1 − R + iR 1 − R − iR −R R x ∫C3 z 0 R + t (− R + iR) 0 iR + s(− R − iR) =∫ dt + ∫ dt 1 −1+ i 1 2t − 1 1 1 1st term ⇒ ∫ dt = ∫ dt + i ∫ dt 0 1 − t + it 0 1 − 2 t + 2t 2 0 1 − 2t + 2t 2 1 i t −1/ 2 1 = [ln(1 − 2t + 2t 2 )] |1 + [2 tan −1 ( 0 )] |0 2 2 1/ 2 i π π πi a x = 0 + [ − ( − )] = ∫ a2 + x2 dx = tan −1 ( ) + c 2 2 2 2 a
  • 23.
    1 1+i 1 (1 + i )[ s − i ( s − 1)] 2nd term ⇒ ∫ ds = ∫ ds 0 s + i ( s − 1) 0 2 s + ( s − 1) 2 1 2s − 1 1 1 =∫ ds + i ∫ ds 0 2s 2 − 2s + 1 0 2s 2 − 2s + 1 1 s −1/ 2 1 = [ln( 2 s 2 − 2 s + 1)] |1 + i tan −1 ( 0 ) |0 2 1/ 2 π π πi = 0 + i[ − ( − )] = 4 4 2 dz ⇒ ∫C3 z = πi The integral is independent of the different path.
  • 24.
    Ex : Evaluatethe complex integral of f ( z ) = Re( z ) along the path C1 , C 2 and C 3 as shown in the previous examples. 2π (i) C1 : ∫ R cos t ( − R sin t + iR cos t )dt = iπR 2 0 π iπ 2 (ii) C 2 : ∫ R cos t ( − R sin t + iR cos t )dt = R 0 2 (iii) C 3 = C 3a + C 3b : 1 1 ∫0 (1 − t ) R( − R + iR )dt + ∫ ( − sR )( − R − iR )ds 0 1 1 = R 2 ∫ (1 − t )( −1 + i )dt + R 2 ∫ s(1 + i )ds 0 0 1 2 1 = R ( −1 + i ) + R 2 (1 + i ) = iR 2 2 2 The integral depends on the different path.
  • 25.
    20.11 Cauchy theorem Iff ( z ) is an analytic function, and f ' ( z ) is continuous at each point within and on a closed contour C ⇒ ∫ f ( z )dz = 0 C ∂p( x , y ) ∂q( x , y ) If and are continuous within and ∂x ∂y on a closed contour C, then by two - demensional ∂p ∂q divergence theorem ⇒ ∫∫ ( + )dxdy = ∫ ( pdy − qdx ) R ∂x ∂y C f ( z ) = u + iv and dz = dx + idy I = ∫ f ( z )dz = ∫ ( udx − vdy ) + i ∫ (vdx + udy ) C C C ∂ ( − u) ∂ ( − v ) ∂ ( − v ) ∂u = ∫∫ [ + ]dxdy + i ∫∫ [ + ]dxdy = 0 R ∂y ∂x R ∂y ∂x f ( z ) is analytic and the Cauchy - Riemann relations apply.
  • 26.
    Ex : Supposetwos points A and B in the complex plane are joined by two different paths C1 and C 2 . Show that if f ( z ) is an analytic function on each path and in the region enclosed by the two paths then the integral of f ( z ) is the same along C1 and C 2 . y B ∫C 1 f ( z )dz − ∫ C2 f ( z )dz = ∫ C1 − C 2 f ( z )dz = 0 C1 path C1 − C 2 forms a closed contour enclosing R R ⇒∫ f ( z )dz = ∫ f ( z )dz x C1 C2 A
  • 27.
    Ex : Considertwo closed contour C and γ in the Argand diagram, γ being sufficiently small that it lies completely with C . Show that if the function f ( z ) is analytic in the region between the two contours then ∫ f ( z )dz = ∫ f ( z )dz C γ the area is bounded by Γ, and f ( z ) is analytic C y ∫Γ f ( z )dz = 0 γ C1 = ∫ f ( z )dz + ∫ f ( z )dz + ∫ f ( z )dz + ∫ f ( z )dz C γ C1 C2 If take the direction of contour γ as that of C2 contour C ⇒ ∫ f ( z )dz = ∫ f ( z )dz C γ x Morera' s theorem : if f ( z ) is a continuous function of z in a closed domain R bounded by a curve C , for ∫ f ( z )dz = 0 ⇒ f ( z ) is analytic. C
  • 28.
    20.12 Cauchy’s integralformula If f ( z ) is analytic within and on a closed contour C 1 f (z) 2πi ∫C z − z0 and z0 is a point within C then f ( z0 ) = dz f (z) f (z) C I=∫ dz = ∫ dz C z − z0 γ z−z 0 for z = z0 + ρ exp(iθ ), dz = iρ exp(iθ )dθ γ 2π f ( z0 + ρe iθ ) z0 I=∫ iρe iθ dθ 0 ρe iθ 2π ρ →0 iθ = i∫ f ( z0 + ρe )dθ = 2πif ( z0 ) 0
  • 29.
    The integral formof the derivative of a complex function : 1 f (z) f ' ( z0 ) = 2πi ∫C ( z − z )2 dz 0 f ( z 0 + h) − f ( z 0 ) f ' ( z0 ) = lim h→ 0 h 1 f (z) 1 1 = lim [ h→0 2πi ∫C h z − z0 − h z − z0 )dz ] ( − 1 f (z) = lim [ h→ 0 2πi ∫C ( z − z0 − h)( z − z0 )dz ] 1 f (z) = 2πi ∫C ( z − z )2 dz 0 n! f (z) 2πi ∫C ( z − z0 )n+1 For nth derivative f ( n ) ( z0 ) = dz
  • 30.
    Ex : Supposethat f ( z ) is analytic inside and on a circleC of radius R centered on the point z = z0 . If | f ( z ) |≤ M on the circle, where Mn! M is some constant, show that | f ( n ) ( z0 ) |≤ n . R n! f ( z )dz n! M Mn! | f ( n ) ( z0 ) |= |∫ |≤ 2πR = n 2π C ( z − z0 )n+1 2π R n+1 R Liouville' s theorem : If f ( z ) is analytic and bounded for all z then f ( z ) is a constant. Mn! Using Cauchy' s inequality : | f ( n ) ( z0 ) |≤ Rn set n = 1 and let R → ∞ ⇒ | f ' ( z0 ) |= 0 ⇒ f ' ( z0 ) = 0 Since f ( z ) is analytic for all z , we may take z0 as any point in the z - plane. f ' ( z ) = 0 for all z ⇒ f ( z ) = constant
  • 31.
    20.13 Taylor andLaurent series Taylor’s theorem: If f ( z ) is analytic inside and on a circle C of radius R centered on the point z = z0 , and z is a point inside C, then ∞ ∞ f ( n ) ( z0 ) f (z) = ∑ a n ( z − z0 ) n = ∑ n! ( z − z0 ) n n= 0 n= 0 1 f (ξ ) 2πi ∫C ξ − z f ( z ) is analytic inside and on C, so f ( z ) = dξ where ξ lies on C ∞ 1 z − z0 1 1 z − z0 n expand ξ −z as a geometric series in ξ − z0 ⇒ = ξ − z ξ − z0 ∑( ξ − z0 ) n=0 1 f (ξ ) ∞ z − z0 n 1 ∞ f (ξ ) ⇒ f (z) = ∑ ( ξ − z ) dξ = 2πi ∑ ( z − z0 )n ∫C (ξ − z )n+1 dξ 2πi ∫C ξ − z0 n= 0 0 n= 0 0 1 ∞ n 2πif ( n) ( z0 ) ∞ n f (n) ( z0 ) = ∑ 2πi n=0 ( z − z0 ) n! = ∑ ( z − z0 ) n! n=0
  • 32.
    If f (z ) has a pole of order p at z = z0 but is analytic at every other point inside and on C . Then g ( z ) = ( z − z0 ) p f ( z ) is analytic at z = z0 and expanded as a Taylor ∞ series g( z ) = ∑ bn ( z − z0 )n . n=0 Thus , for all z inside C f ( z ) can be exp anded as a Laurent series a− p a − p +1 a f (z) = + + ....... + −1 + a0 + a1 ( z − z0 ) + a 2 ( z − z0 )2 ( z − z0 ) p ( z − z0 ) p−1 z − z0 g ( n ) ( z0 ) 1 g( z ) a n = bn+ p and bn = n! = 2πi ∫ ( z − z )n+1 dz C2 0 R 1 g( z ) 1 f (z) 2πi ∫ ( z − z0 ) n+1+ p 2πi ∫ ( z − z0 ) n+1 ⇒ an = dz = dz z 0 C1 ∞ f (z) = ∑ an ( z − z0 )n is analytic in a region R between n= −∞ two circles C1 and C 2 centered on z = z0
  • 33.
    f (z) = ∑ a n ( z − z0 ) n n = −∞ (1) If f ( z ) is analytic at z = z0 , then all an = 0 for n < 0. It may happen a n = 0 for n ≥ 0, the first non - vanishing term is a m ( z-z0 ) m with m > 0, f ( z ) is said to have a zero of order m at z = z0 . (2) If f ( z ) is not analytic at z = z0 (i) possible to find a − p ≠ 0 but a − p− k = 0 for all k > 0 f ( z ) has a pole of order p at z = z0 , a −1 is called the residue of f ( z ) (ii) impossible to find a lowest value of − p ⇒ essential singularity
  • 34.
    1 Ex :Find the Laurent series of f ( z ) = 3 about the singularities z ( z − 2) z = 0 and z = 2. Hence verify that z = 0 is a pole of order 1 and z = 2 is a pole of order 3, and find the residue of f ( z ) at each pole. (1) point z = 0 −1 −1 − z ( −3)( −4) − z 2 ( −3)( −4)( −5) − z 3 f (z) = 3 = [1 + ( −3)( ) + ( ) + ( ) + ...] 8 z (1 − z / 2) 8z 2 2! 2 3! 2 1 3 3 5z 2 =− − − z− − ... z = 0 is a pole of order 1 8 z 16 16 32 (2) point z = 2 ⇒ set z − 2 = ξ ⇒ z( z − 2) 3 = ( 2 + ξ )ξ 3 = 2ξ 3 (1 + ξ / 2) 1 1 ξ ξ ξ ξ f (z) = 3 = 3 [1 − ( ) + ( )2 − ( )3 + ( )4 − ...] 2ξ (1 + ξ / 2) 2ξ 2 2 2 2 1 1 1 1 ξ 1 1 1 1 z−2 = − + − + − .. = − + − + − 2ξ 3 4ξ 2 8ξ 16 32 2( z − 2) 3 4( z − 2) 2 8( z − 2) 16 32 z = 2 is a pole of order 3, the residue of f ( z ) at z = 2 is 1 / 8.
  • 35.
    How to obtainthe residue ? a− m a−1 f (z) = + ...... + + a0 + a1 ( z − z0 ) + a 2 ( z − z0 )2 + ... ( z − z0 ) m ( z − z0 ) ⇒ ( z − z0 )m f ( z ) = a − m + a − m +1 ( z − z0 ) + ....... + a −1 ( z − z0 )m −1 + ... d m −1 ∞ ⇒ m −1 [( z − z0 ) f ( z )] = ( m − 1)! a −1 + ∑ bn ( z − z0 )n m dz n =1 Take the limit z → z0 1 d m −1 R( z0 ) = a −1 = lim { [( z − z0 ) m f ( z )]} residue at z = z0 z → z0 ( m − 1)! dz m −1 (1) For a simple pole m = 1 ⇒ R( z0 ) = lim [( z − z0 ) f ( z )] z → z0 g( z ) (2) If f ( z ) has a simple at z = z0 and f ( z ) = , g ( z ) is analytic and h( z ) non - zero at z0 and h( z0 ) = 0 ( z − z0 ) g ( z ) ( z − z0 ) 1 g( z ) ⇒ R( z0 ) = lim = g ( z0 ) lim = g ( z0 ) lim ' = ' 0 z → z0 h( z ) z → z0 h( z ) z → z0 h ( z ) h ( z0 )
  • 36.
    Ex : Supposethat f ( z ) has a pole of order m at the point z = z0 . By considering the Laurent series of f ( z ) about z0 , deriving a general expression for the residue R( z0 ) of f ( z ) at z = z0 . Hence evaluate exp iz the residue of the function f ( z ) = 2 2 at the point z = i . ( z + 1) exp iz exp iz f (z) = 2 2 = 2 2 poles of order 2 at z = i and z = − i ( z + 1) (z + i) (z − i) for pole at z = i : d d exp iz i 2 [( z − i ) 2 f ( z )] = [ 2 ]= 2 exp iz − 3 exp iz dz dz ( z + i ) (z + i) (z + i) 1 i 2 −i R( i ) = [ e −1 − e −1 ] = 1! ( 2i ) 2 ( 2i ) 3 2e
  • 37.
    20.14 Residue theorem f( z ) has a pole of order m at z = z0 C ∞ γ f (z) = ∑ a n ( z − z0 ) n n= − m ρ • z0 I = ∫ f ( z )dz = ∫ f ( z )dz C γ set z = z0 + ρe iθ ⇒ dz = iρe iθ dθ ∞ ∞ 2π I= ∑ an ∫ ( z − z0 ) dz = C n ∑ an ∫ 0 iρ n+1e i ( n+1)θ dθ n= − m n= − m 2π n +1 i ( n+1)θ iρ n+1e i ( n+1)θ 2π for n ≠ −1 ⇒ ∫ iρ e dθ = |0 = 0 0 i ( n + 1) 2π for n = 1 ⇒ ∫ idθ = 2πi 0 I = ∫ f ( z )dz = 2πia −1 C
  • 38.
    Residue theorem: f( z ) is continuous within and on a closed contour C and analytic, except for a finite number of poles within C ∫C f ( z )dz = 2πi ∑ R j j ∑ R j is the sum of the residues of f ( z ) at its poles within C j C C'
  • 39.
    The integral Iof f ( z ) along an open contour C C if f ( z ) has a simple pole at z = z0 ρ ⇒ f ( z ) = φ ( z ) + a−1 ( z − z0 ) −1 z0 φ ( z ) is analytic within some neighbour surrounding z0 | z − z0 |= ρ and θ1 ≤ arg( z − z0 ) ≤ θ 2 ρ is chosen small enough that no singularity of f ( z ) except z = z0 I = ∫ f ( z )dz = ∫ φ ( z )dz + a −1 ∫ ( z − z0 ) −1 dz C C C lim ρ →0 C ∫ φ ( z )dz = 0 θ2 1 I = lim ∫ f ( z )dz = lim (a −1 ∫ iθ iρe iθ dθ ) = ia −1 (θ 2 − θ1 ) ρ →0 C ρ →0 ρe θ1 for a closed contour θ 2 = θ1 + 2π ⇒ I = 2πia −1
  • 40.
    20.16 Integrals ofsinusoidal functions 2π ∫0 F (cos θ , sin θ )dθ set z = exp iθ in unit circle 1 1 1 1 ⇒ cos θ = ( z + ), sin θ = ( z − ), dθ = − iz −1dz 2 z 2i z 2π cos 2θ Ex : Evaluate I = ∫ 2 2 dθ for b > a > 0 0 a + b − 2ab cos θ 1 n 1 cos nθ = ( z + z − n ) ⇒ cos 2θ = ( z 2 + z − 2 ) 2 2 1 2 1 cos 2θ ( z + z − 2 )( − iz −1 )dz − ( z 4 + 1)idz dθ = 2 = 2 2 a 2 + b 2 − 2ab cos θ 2 2 1 −1 z ( za 2 + zb 2 − abz 2 − ab ) a + b − 2ab ⋅ ( z + z ) 2 i ( z 4 + 1)dz i ( z 4 + 1) = = dz 2ab 2 2 a b 2ab 2 a b z ( z − z ( − + ) + 1) z ( z − )( z − ) b a b a
  • 41.
    i z4 + 1 2ab ∫C I= dz double poles at z = 0 and z = a / b within the unit circle a b z 2 ( z − )( z − ) b a 1 d m −1 Residue : R( z0 ) = lim { [( z − z0 ) m f ( z )] z → z0 ( m − 1)! dz m −1 (1) pole at z = 0, m = 2 1 d 2 z4 + 1 R(0) = lim { [z 2 ]} z →0 1! dz z ( z − a / b )( z − b / a ) 4z 3 ( z 4 + 1)( −1)[2 z − (a / b + b / a )] = lim { + }= a/b+b/a z →0 ( z − a / b )( z − b / a ) 2 ( z − a / b) ( z − b / a ) 2 (2) pole at z = a / b, m = 1 z4 + 1 (a / b)4 + 1 − (a 4 + b 4 ) R(a / b) = lim [( z − a / b ) 2 ]= 2 = z →a / b z ( z − a / b )( z − b / a ) (a / b) (a / b − b / a ) ab(b 2 − a 2 ) i a 2 + b2 a 4 + b4 2πa 2 I = 2πi × [ − ]= 2 2 2ab ab ab(b − a ) b (b − a 2 ) 2 2
  • 42.
    20.17 Some infiniteintegrals ∞ ∫−∞ f ( x )dx f ( z ) has the following properties : (1) f ( z ) is analytic in the upper half - plane, Im z ≥ 0, except for a finite number of poles, none of which is on the real axis. (2) on a semicircle Γ of radius R, R times the maximum of y | f | on Γ tends to zero as R → ∞ (a sufficient condition is that zf ( z ) → 0 as | z |→ ∞ ). Γ 0 ∞ (3) ∫ f ( x )dx and ∫0 f ( x )dx both exist −∞ x ∞ ⇒ ∫− ∞ f ( x )dx = 2π i ∑ R j −R 0 R j for | ∫ f ( z )dz |≤ 2π R × (maximum of | f | on Γ ), the integral along Γ Γ tends to zero as R → ∞ .
  • 43.
    dx Ex : Evaluate I = ∫0 2 (x + a ) 2 4 a is real dz R dx dz ∫C ( z 2 + a 2 )4 = ∫− R ( x 2 + a 2 )4 ∫Γ ( z 2 + a 2 )4 + as R → ∞ Γ dz dz ∞ dx ai ⇒∫ →0⇒ ∫C ( z 2 + a 2 )4 = ∫− ∞ ( x 2 + a 2 )4 Γ ( z 2 + a 2 )4 ( z 2 + a 2 )4 = 0 ⇒ poles of order 4 at z = ± ai , −R 0 R only z = ai at the upper half - plane 1 1 1 iξ − 4 set z = ai + ξ , ξ → 0 ⇒ 2 2 4 = 2 4 = 4 (1 − ) (z + a ) ( 2aiξ + ξ ) ( 2aiξ ) 2a 1 ( −4)( −5)( −6) − i 3 − 5i the coefficient of ξ −1 is ( ) = ( 2a ) 4 3! 2a 32a 7 ∞ dx − 5i 10π 1 10π 5π ∫0 ( x 2 + a 2 )4 = 2πi ( 32a 7 )= 32a 7 ⇒I = × 2 32a 7 = 32a 7
  • 44.
    For poles onthe real axis: y Γ Principal value of the integral, defined as ρ → 0 R z0 − ρ R P∫ f ( x )dx = ∫− R f ( x )dx + ∫z + ρ f ( x )dx γ ρ −R 0 -R 0 z0 R x for a closed contour C z0 − ρ R ∫C f ( z )dz = ∫− R f ( x )dx + ∫γ f ( z )dz + ∫z + ρ 0 f ( x )dx + ∫Γ f ( z )dz R = P∫ f ( x )dx + ∫γ f ( z )dz + ∫Γ f ( z )dz −R (1) for ∫ f ( z )dz has a pole at z = z0 ⇒ ∫ f ( z )dz = −πia1 γ γ iθ (2) for ∫ f ( z )dz set z = Re dz = i Re iθ dθ Γ ⇒ ∫Γ f ( z )dz = ∫Γ f (Re iθ )i Re iθ dθ If f ( z ) vanishes faster than 1 / R 2 as R → ∞, the integral is zero
  • 45.
    Jordan’s lemma (1) f( z ) is analytic in the upper half - plane except for a finite number of poles in Im z > 0 ( 2) the maximum of | f ( z ) |→ 0 as | z |→ ∞ in the upper half - plane (3) m > 0, then ∫Γ e imz IΓ = f ( z )dz → 0 as R → ∞, Γ is the semicircular contour for 0 ≤ θ ≤ π / 2, 1 ≥ sin θ / θ ≥ π / 2 f (θ ) f = 2θ / π | exp(imz )| = | exp(− mR sin θ )| π IΓ ≤ ∫Γ |e imz f ( z )||dz| ≤ MR ∫ e − mR sin θ dθ 0 f = sin θ π/ 2 − mR sin θ = 2 MR ∫ e dθ 0 M is the maximum of |f ( z )| on |z| = R, R → ∞ M → 0 π /2 θ πM π / 2 − mR ( 2θ / π ) πM I Γ < 2 MR ∫ e (1 − e − mR ) < dθ = 0 m m as R → ∞ ⇒ M → 0 ⇒ I Γ → 0
  • 46.
    cos mx ∞ Ex : Find the principal value of ∫− ∞ x − a dx a real, m > 0 Γ e imz Consider the integral I = ∫C z−a dz = 0 no pole in the γ ρ −1 upper half - plane, and |( z − a ) | → 0 as |z| → ∞ -R 0 a R e imz I = ∫C z−a dz a−ρ e imx e imz R e imx e imz = ∫− R x−a dx + ∫γ z−a dz + ∫a + ρ x−a dx + ∫Γ z−a dz = 0 e imz As R → ∞ and ρ → 0 ⇒ ∫ dz → 0 Γ z−a ∞e imx ⇒ P∫ dx − iπa−1 = 0 and a−1 = e ima −∞ x − a ∞ cos mx ∞ sin mx ⇒ P∫ dx = −π sin ma and P ∫ dx = π cos ma −∞ x − a −∞ x − a
  • 47.
    20.18 Integral ofmultivalued functions 1/ 2 y Multivalued functions such as z , Lnz Single branch point is at the otigin. We let R → ∞ R Γ and ρ → 0. The integrand is multivalued, its values γ along two lines AB and CD joining z = ρ to z = R A B are not equal and opposite. ρ x C D ∞ dx Ex : I = ∫0 ( x + a )3 x1 / 2 for a > 0 (1) the integrand f ( z ) = ( z + a ) −3 z −1 / 2 , |zf ( z )| → 0 as ρ → 0 and R → ∞ the two circles make no contribution to the contour integral (2) pole at z = − a , and ( − a )1 / 2 = a 1 / 2 e iπ / 2 = ia 1 / 2 1 d 3 −1 1 R( − a ) = lim [( z + a )3 ] z → − a ( 3 − 1)! dz 3 − 1 3 1/ 2 (z + a) z 1 d 2 −1 / 2 − 3i = lim z = z → − a 2! dz 2 8a 5 / 2
  • 48.
    − 3i ∫AB dz + ∫Γ dz + ∫DC dz + ∫γ dz = 2πi ( 8a 5/2 ) and ∫ dz = 0 and ∫γ dz = 0 Γ along line AB ⇒ z = xe i 0 , along line CD ⇒ z = xe i 2π ∞ dx 0 dx 3π ∫0, A→ B ( x + a )3 x1 / 2 ∞,C → D ( xe i 2π + a )3 x1 / 2e (1 / 2×2πi ) 4a 5 / 2 +∫ = 1 ∞ dx 3π ⇒ (1 − iπ )∫ = e 0 ( x + a )3 x1 / 2 4a 5 / 2 ∞ dx 3π ⇒∫ = 0 ( x + a )3 x1 / 2 8a 5 / 2
  • 49.
    x sin x Ex : Evaluate I (σ ) = ∫− ∞ x 2 − σ 2 dx z sin z 1 ze iz 1 ze − iz ∫C z2 − σ 2 dz = 2i ∫C 1 z2 − σ 2 dz − 2i ∫C 2 2 z −σ 2 dz = I1 + I 2 (1) for I1 , the contour is choosed on the upper half - plane C1 due to the term e iz , and only one pole at z = σ . Γ 1 ze iz 1 −σ − ρ xe ix γ1 I1 = 2i ∫C 1 z2 − σ 2 dz = 2i ∫− R x2 − σ 2 dx ρ 1 σ −ρ xe ix 1 ∞ xe ix -R -σ σ R + 2i ∫−σ + ρ x2 − σ 2 dx + 2i ∫σ + ρ x 2 − σ 2 dx γ2 1 ze iz 1 ze iz 1 ze iz + 2i ∫γ 1 z2 − σ 2 dz + ∫ 2 2i γ 2 z − σ 2 dz + 2i ∫Γ z 2 − σ 2 dz 1 σe iσ π = 2πi × Res( z = σ ) = π = e iσ 2i 2σ 2
  • 50.
    As ρ →0 and R → ∞ ⇒ ∫ dz → 0 Γ 1 ze iz 1 − π − iσ 2i ∫γ 1 ( z + σ )( z − σ ) dz = 2i × ( −πi )Res( z = −σ ) = 4 e 1 ze iz 1 π ∫γ dz = × πiRes( z = σ ) = e iσ 2i 2 ( z + σ )( z − σ ) 2i 4 1 ∞ xe ix π π γ1 dx + (e iσ − e − iσ ) = e iσ 2i ∫− ∞ x 2 − σ 2 I1 = σ 4 2 −σ (2) for I 2 , we choose the lower half - plane by the − iz Γ γ2 term e , only one pole at z = −σ −1 ze − iz − 1 −σ − ρ xe − ix I2 = 2i ∫C2 z 2 − σ 2 dz = 2i ∫− R x 2 − σ 2 dx C2 1 σ −ρ xe − ix 1 ∞ xe − ix 1 ze − iz − 2i ∫−σ + ρ x2 − σ 2 dx − 2i ∫σ + ρ x2 − σ 2 dx − 2i ∫γ 1 2 z −σ 2 dz 1 ze − iz 1 ze − iz −1 ( −σ )e iσ π − ∫γ dz − ∫Γ dz = ( ) × ( −2πi ) = e iσ 2i 2 z2 − σ 2 2i z2 − σ 2 2i − 2σ 2
  • 51.
    As ρ →0, R → ∞ ⇒ ∫ dz → 0 Γ −1 ze − iz −1 ( −σ )e iσ π = e iσ 2i ∫γ 1 ( z + σ )( z − σ ) dz = ( )( −πi ) 2i − 2σ 4 −1 ze − iz −1 σe − iσ − π − iσ 2i ∫γ 2 ( z + σ )( z − σ )dz = ( 2i )(πi ) 2σ = 4 e − 1 ∞ xe − ix π π dx + (e iσ − e − iσ ) = e iσ 2i ∫− ∞ x 2 − σ 2 I2 = 4 2 − 1 ∞ xe − ix π 1 dx = e iσ − (e iσ − e − iσ ) 2i ∫− ∞ x 2 − σ 2 ⇒ 2 4 ∞ x sin x 1 ∞ xe ix 1 ∞ xe − ix I (σ ) = ∫ 2i ∫− ∞ x 2 − σ 2 2i ∫− ∞ x 2 − σ 2 dx = dx − dx −∞ x 2 − σ 2 π π π π = e iσ − ( e iσ − e − iσ ) + e iσ − ( e iσ − e − iσ ) 2 4 2 4 π π π = πe iσ − e iσ + e − iσ = (e iσ + e − iσ ) = π cos σ 2 2 2