MODULATION
1. What is modulation?
1. What is modulation?


• Modulation is the process of putting information
 onto a high frequency carrier for transmission
 (frequency translation).
• Once this information is received, the low frequency
  information must be removed from the high frequency
  carrier. This process is known as “ Demodulation”.
2. What are the reasons for
       modulation?
2. What are the reasons for
             modulation?


1. Frequency division multiplexing (To support multiple
  transmissions via a single channel)

  To avoid interference
M1(f)




                    M(f)        Multiplexed
            f
                                  signal
0



                +
    M2(f)

                    0      f1             f2
                                               f


            f
0
2. Practicality of Antennas


  Transmitting very low frequencies require antennas with
  miles in wavelength
3.What are the Different of
   Modulation Methods?
3. What are the Different of
         Modulation Methods?
1. Analogue modulation- The modulating signal and
   carrier both are analogue signals
  Examples: Amplitude Modulation (AM) , Frequency
  Modulation (FM) , Phase Modulation (PM)
2. Pulse modulation- The modulating signal is an
   analogue signal but Carrier is a train of pulses

  Examples : Pulse amplitude modulation (PAM), Pulse
  width modulation (PWM), Pulse position modulation
  (PPM)
3.What are the Different of
         Modulation Methods?

3. Digital to Analogue modulation- The modulating
   signal is a digital signal , but the carrier is an
   analogue signal.
  Examples: Amplitude Shift Keying (ASK), FSK, Phase
  Shift Keying (PSK)


4. Digital modulation -
  Examples: Pulse Code Modulation, Delta
  Modulation,Adaptive Delta Modulation
ANALOG AND DIGITAL

Analog-to-analog conversion is the representation of
analog information by an analog signal. One may ask
why we need to modulate an analog signal; it is
already analog. Modulation is needed if the medium is
bandpass in nature or if only a bandpass channel is
available to us.
Topics discussed in this section:
Amplitude Modulation
Frequency Modulation
Phase Modulation
Figure   Types of analog-to-analog modulation
Figure   Amplitude modulation
Note


 The total bandwidth required for AM
           can be determined
   from the bandwidth of the audio
            signal: BAM = 2B.
Figure   AM band allocation
Note

The total bandwidth required for FM can
  be determined from the bandwidth
  of the audio signal: BFM = 2(1 + β)B.
Figure   Frequency modulation
Figure FM band allocation
Figure   Phase modulation
Note

The total bandwidth required for PM can
  be determined from the bandwidth
    and maximum amplitude of the
           modulating signal:
             BPM = 2(1 + β)B.
4. What are the Basic Types of
Analogue Modulation Methods ?
4. What are the Basic Types of
  Analogue Modulation Methods ?
Consider the carrier signal below:
               sc(t ) = Ac(t) cos( 2πfc t + θ )
   1.    Changing of the carrier amplitude Ac(t) produces
         Amplitude Modulation signal (AM)
   2.    Changing of the carrier frequency fc produces
         Frequency Modulation signal (FM)
   3.    Changing of the carrier phase θ produces
         Phase Modulation signal (PM)
Analogue Modulation Methods
5. What are the different Forms
   of Amplitude Modulation ?
5. What are the different Forms
        of Amplitude Modulation ?

1.     Conventional Amplitude Modulation (DSB-LC)
       (Alternatively known as Full AM or Double Sideband
       with Large carrier (DSB-LC) modulation

2.     Double Side Band Suppressed Carrier (DSB-SC)
       modulation

3.     Single Sideband (SSB) modulation

4.     Vestigial Sideband (VSB) modulation
Conventional Amplitude Modulation
             (Full AM)
6. Derive the Frequency Spectrum for Full-AM
            Modulation (DSB-LC)
6. Derive the Frequency Spectrum for Full-AM
            Modulation (DSB-LC)

1 The carrier signal is

  sc (t ) = Ac cos(ω c t ) where ω c = 2πf c

2 In the same way, a modulating signal (information
signal) can also be expressed as

          sm (t ) = Am cos ωm t
3 The amplitude-modulated wave can be expressed as

       s (t ) = [ Ac + sm (t )] cos(ω c t )

4 By substitution

      s (t ) = [ Ac + Am cos(ω mt )] cos(ω c t )

5 The modulation index.


                            Am
                        m =
                            Ac
6     Therefore The full AM signal may be
     written as

       s (t ) = Ac (1 + m cos(ω mt )) cos(ω c t )

 cos A cos B = 1 / 2[cos( A + B ) + cos( A − B )]

                          mAc                    mAc
s (t ) = Ac (cos ω ct ) +     cos(ω c + ω m )t +     cos(ω c − ω m )t
                           2                      2
7. Draw the Frequency Spectrum of the above AM
       signal and calculate the Bandwidth
7. Draw the Frequency Spectrum of the above AM
       signal and calculate the Bandwidth




            fc-fm   fC    fc+fm
                    2fm
8. Draw Frequency Spectrum for a complex input
               signal with AM
8. Draw Frequency Spectrum for a complex input
               signal with AM




             fc-fm   fc   fc+fm
Frequency Spectrum of an AM signal

The frequency spectrum of AM waveform contains
three parts:

  1. A component at the carrier frequency fc
  2. An upper side band (USB), whose highest frequency
     component is at fc+fm
  3. A lower side band (LSB), whose highest frequency
     component is at fc-fm
The bandwidth of the modulated waveform is twice the
information signal bandwidth.
• Because of the two side bands in the frequency spectrum its
   often called Double Sideband with Large Carrier.(DSB-
   LC)



• The information in the base band (information) signal is
   duplicated in the LSB and USB and the carrier conveys no
   information.
Example
We have an audio signal with a bandwidth of 5 KHz.
What is the bandwidth needed if we modulate the signal
using AM?
Example
We have an audio signal with a bandwidth of 5 KHz.
What is the bandwidth needed if we modulate the signal
using AM?


Solution
An AM signal requires twice the bandwidth of the
original signal:
              BW = 2 x 5 KHz = 10 KHz
AM Radio Band
Modulation Index (m)
 9. What is the significance of modulation index ?


• m is merely defined as a parameter, which determines the
   amount of modulation.

• What is the degree of modulation required to establish a
   desirable AM communication link?

         Answer is to maintain m<1.0 (m<100%).

• This is important for successful retrieval of the original
   transmitted information at the receiver end.
9.Modulation Index (m)
   What is the significance of modulation index ?
• If the amplitude of the modulating signal is higher than the
   carrier amplitude, which in turn implies the modulation
   index   m ≥ 1.0(100%)
                       .   This will cause severe distortion to the

   modulated signal.
Power distribution in full AM
10. Calculate the power efficiency of AM signals
10. Calculate the power efficiency of AM signals



• The ratio of useful power, power efficiency :

            sidebands power     m2 / 2    m2
                            =          =
               total power    1 + m / 2 2 + m2
                                   2




• In terms of power efficiency, for m=1 modulation, only
   33% power efficiency is achieved which tells us that only
   one-third of the transmitted power carries the useful
   information.
Double Side Band Suppressed Carrier
            (DSB-SC) Modulation

•   The carrier component in full AM or DSB-LC does not convey any
    information. Hence it may be removed or suppressed during the
    modulation process to attain higher power efficiency.

•   The trade off of achieving a higher power efficiency using DSB-SC
    is at the expense of requiring a complex and expensive receiver due
    to the absence of carrier in order to maintain transmitter/receiver
    synchronization.
11. Derive the Frequency Spectrum for Double Sideband
       Suppressed Carrier Modulation (DSB-SC)

 1 Consider the carrier
      sc (t ) = Ac cos(ω c t ) where ω c = 2πf c
 2 modulated by a single sinusoidal signal
      sm (t ) = Am cos ω mt   where ω m = 2πf m
 3 The modulated signal is simply the product of these two
    s (t ) = Ac cos(ω t ) Am cos(ω t )
                     c            m

        = Ac Am cos(ω t ) cos(ω t )
                     c         m

                        1
    since cos A cos B = (cos( A +B ) +cos( A −B ) )
                        2
           Am Ac                Am Ac
        =        cos(ω + m )t +
                      c   ω           cos(ω − m )t
                                           c  ω
          2  
                          2  
                                               
                    USB                      LSB
sc (t ) = Ac cos ω c t


sm (t ) = Am cos ω mt          X             s (t ) = Ac cos(ω c t ) Am cos(ω mt )


Frequency Spectrum of a DSB-SC AM Signal




                    fc-fm           fc           fc+fm
• All the transmitted power is contained in the two sidebands
   (no carrier present).

• The bandwidth is twice the modulating signal bandwidth.

• USB displays the positive components of sm(t) and LSB

   displays the negative components of sm(t).
Generation and Detection of DSB-SC

• The simplest method of generating a DSB-SC signal is
  merely to filter out the carrier portion of a full AM (or
  DSB-LC) waveform.

• Given carrier reference, modulation and demodulation
  (detection) can be implemented using product devices or
  balanced modulators.
BALANCED MODULATOR

        Sm(t)                                    S1(t)
                         AM Modulator 1

Sm(t)                          Accos(ωct)
                                                          S(t)
                                            Carrier

                               Accos(ωct)                DSB-SC

                         AM Modulator 2
                -Sm(t)                          S2(t)
• The two modulators are identical except for the sign
  reversal of the input to one of them. Thus,

           s1 (t ) = Ac (1 + m cos(ω mt )) cos(ω c t )

           s2 (t ) = Ac (1 − m cos(ω mt )) cos(ω c t )

           s (t ) = s1 (t ) − s2 (t )
                 = 2mAc cos(ω mt ) cos(ω c t )
COHERENT (SYNCHRONOUS) DETECTOR OR
  DSB-SC (PRODUCT DETECTOR)

                                   v(t)               vo(t)
  DSB-SC Signal s(t)        X               LPF


                                   Cosωct

                       Local Oscillator

• Since the carrier is suppressed the envelope no longer
  represents the modulating signal and hence envelope
  detector which is of the non-coherent type cannot be used.
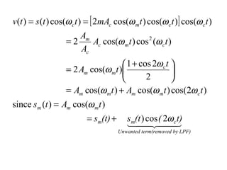
v(t ) = s (t ) cos(ω c t ) = [ 2mAc cos(ω mt ) cos(ω c t )] cos(ω c t )
                      Am
                   =2    Ac cos(ω mt ) cos (ω c t )
                                          2

                      Ac
                                     1 + cos 2ω c t 
                   = 2 Am cos(ω mt )                
                                           2        
                   = Am cos(ω mt ) + Am cos(ω mt ) cos(2ω c t )
since sm (t ) = Am cos(ω mt )
                          = sm(t) +      sm(t ) cos ( 2ω c t)
                                          
                                                       
                                      Unwanted term(removed by LPF)
• It is necessary to have synchronization in both frequency
   and phase between the transmitter (modulator) & receiver
   (demodulator), when DSB-SC modulation ,which is of the
   coherent type, is used.
   Both phase and frequency must be known to demodulate
   DSB-SC waveforms.
LACK OF PHASE SYNCHRONISATION

Let the received DSB-SC signal be
       s DSB − SC (t ) = sm (t ) cos( ω c t + θ ) Ac
if θ is unknown,
       v(t ) = s DSB − SC (t ) cos ω c t
             = Ac sm (t ) cos( ω c t + θ ) cos ω c t
             Ac
           =    sm (t )[ cosθ + cos( 2ω c t + θ ) ]
             2
Output of LPF
                   Ac
         vo (t ) =    sm (t ) cosθ
                   2
But we want just
                         Ac
               vo (t ) =    sm (t )
                         2

Due to lack of phase synchronization, we will see that the
wanted signal at the output of LPF will be attenuated by an
amount of cosθ.
In other words, phase error causes an attenuation of the
output signal proportional to the cosine of the phase error.
The worst scenario is when θ=π/2, which will give rise to
zero or no output at the output of the LPF.
LACK OF FREQUENCY SYNCHRONISATION

Suppose that the local oscillator is not stable at fc but at

                       DSB − SC (t ) cos( ω c + ∆ω ) t
fc+∆ f, then v(t ) = s

                  = Ac sm (t ) cos ω c t cos( ω c + ∆ω ) t
                    Ac
                  =    sm (t )[ cos ∆ωt + cos( 2ω c t + ∆ω ) ]
                    2
Output of LPF
                       Ac
             vo (t ) =    sm (t ) cos ∆ωt
                       2
Thus, the recovered baseband information signal will vary
sinusoidal according to cos ∆ ωt
This problem can be overcome by adding an extra
synchronization circuitry which is required to detect θ and
∆ ωt and by providing the carrier signal to the receiver.

A synchronizer is introduced to curb the synchronization
problem exhibited in a coherent system.

Let the baseband signal be
                      sm (t ) = Am cos ω mt
 Received DSB-SC signal
                      s (t ) = Ac sm (t ) cos ω c t
SYNCHRONISER

              ( )2                  PLL          BPF                ÷2

 Mathematical analysis of the synchronizer is shown below:
s 2 (t ) = Ac2 Am cos 2 ω mt cos 2 ω c t
                2


         Ac2 Am
              2
       =        [1 + cos 2ω mt ][1 + cos 2ω ct ]
            4
         Ac2 Am
              2
       =        [1 + cos 2ω mt + cos 2ω ct + cos 2ω mt cos 2ω ct ]
            4
         Ac2 Am 
              2
                                                 1                  1                     
       =         1 + cos 2ω mt + cos 2ω c t + cos 2( ω c − ω m ) t + cos 2( ω c + ω m ) t 
            4                                  2                  2                     

Output of BPF                  Ac2 Am
                                    2
                                      cos 2ω c t
                                  4
Output of frequency divider
                                    k cos ω c t
   where k is a constant of proportionality.



 DISADVANTAGE OF USING COHERENT SYSTEMS

• The frequency and phase of the local oscillator signal must
   be very precise which is very difficult to achieve.

   It requires additional circuitry such as synchronizer circuit
   and hence the cost is higher.
Single-SidebandBand Modulation (SSB)
   Single Side Modulation


How to generate SSB signal?
• Generate DSB-SC signal
• Band-pass filter to pass only one of the sideband
   and suppress the other.
For the generation of an SSB modulated signal
to be possible, the message spectrum must have
an energy gap centered at the origin.
• Example of signal with -300 Hz ~ 300 Hz energy gap
       Voice : A band of 300 to 3100 Hz gives good
  articulation
• Also required for SSB modulation is a highly selective filter
• Vestigial SidebandBand Modulation (VSB)
   Vestigial Side Modulation

  Instead of transmitting only one sideband as SSB, VSB
  modulation transmits a partially suppressed sideband and a
  vestige of the other sideband.
Comparison of Amplitude Modulation methods
Comparison of Amplitude Modulation methods



    Full AM (or DSB-LC)
-   Sidebands are transmitted in full with the carrier.
-   Simple to demodulate / detect
-   Poor power efficiency
-   Wide bandwidth ( twice the bandwidth of the information
    signal)
-   Used in commercial AM radio broadcasting, one
    transmitter and many receivers.
Comparison of Amplitude Modulation methods



  DSB-SC
- Less transmitted power than full AM and all the transmitted
  power is useful.
- Requires a coherent carrier at the receiver; This results in
  increased complexity in the detector(i.e. synchroniser)
- Suited for point to point communication involving one
  transmitter and one receiver which would justify the use of
  increased receiver complexity.
Comparison of Amplitude Modulation methods



    SSB
-   Good bandwidth utilization (message signal bandwidth =
    modulated signal bandwidth)
-   Good power efficiency
-   Demodulation is harder as compares to full AM; Exact
    filter design and coherent demodulation are required
-   Preferred in long distance transmission of voice signals
Comparison of Amplitude Modulation methods



    VSB
-   Offers a compromise between SSB and DSB-SC
-   VSB is standard for transmission of TV and similar signals
-   Bandwidth saving can be significant if modulating signals
    are of large bandwidth as in TV and wide band data
    signals.
•      For example with TV the bandwidth of the modulating
    signal can extend up to 5.5MHz; with full AM the
    bandwidth required is 11MHz

Amplitute modulation

  • 1.
  • 2.
    1. What ismodulation?
  • 3.
    1. What ismodulation? • Modulation is the process of putting information onto a high frequency carrier for transmission (frequency translation).
  • 4.
    • Once thisinformation is received, the low frequency information must be removed from the high frequency carrier. This process is known as “ Demodulation”.
  • 6.
    2. What arethe reasons for modulation?
  • 7.
    2. What arethe reasons for modulation? 1. Frequency division multiplexing (To support multiple transmissions via a single channel) To avoid interference
  • 8.
    M1(f) M(f) Multiplexed f signal 0 + M2(f) 0 f1 f2 f f 0
  • 9.
    2. Practicality ofAntennas Transmitting very low frequencies require antennas with miles in wavelength
  • 10.
    3.What are theDifferent of Modulation Methods?
  • 11.
    3. What arethe Different of Modulation Methods? 1. Analogue modulation- The modulating signal and carrier both are analogue signals Examples: Amplitude Modulation (AM) , Frequency Modulation (FM) , Phase Modulation (PM) 2. Pulse modulation- The modulating signal is an analogue signal but Carrier is a train of pulses Examples : Pulse amplitude modulation (PAM), Pulse width modulation (PWM), Pulse position modulation (PPM)
  • 12.
    3.What are theDifferent of Modulation Methods? 3. Digital to Analogue modulation- The modulating signal is a digital signal , but the carrier is an analogue signal. Examples: Amplitude Shift Keying (ASK), FSK, Phase Shift Keying (PSK) 4. Digital modulation - Examples: Pulse Code Modulation, Delta Modulation,Adaptive Delta Modulation
  • 13.
    ANALOG AND DIGITAL Analog-to-analogconversion is the representation of analog information by an analog signal. One may ask why we need to modulate an analog signal; it is already analog. Modulation is needed if the medium is bandpass in nature or if only a bandpass channel is available to us. Topics discussed in this section: Amplitude Modulation Frequency Modulation Phase Modulation
  • 14.
    Figure Types of analog-to-analog modulation
  • 15.
    Figure Amplitude modulation
  • 16.
    Note The totalbandwidth required for AM can be determined from the bandwidth of the audio signal: BAM = 2B.
  • 17.
    Figure AM band allocation
  • 18.
    Note The total bandwidthrequired for FM can be determined from the bandwidth of the audio signal: BFM = 2(1 + β)B.
  • 19.
    Figure Frequency modulation
  • 20.
    Figure FM bandallocation
  • 21.
    Figure Phase modulation
  • 22.
    Note The total bandwidthrequired for PM can be determined from the bandwidth and maximum amplitude of the modulating signal: BPM = 2(1 + β)B.
  • 23.
    4. What arethe Basic Types of Analogue Modulation Methods ?
  • 24.
    4. What arethe Basic Types of Analogue Modulation Methods ? Consider the carrier signal below: sc(t ) = Ac(t) cos( 2πfc t + θ ) 1. Changing of the carrier amplitude Ac(t) produces Amplitude Modulation signal (AM) 2. Changing of the carrier frequency fc produces Frequency Modulation signal (FM) 3. Changing of the carrier phase θ produces Phase Modulation signal (PM)
  • 25.
  • 27.
    5. What arethe different Forms of Amplitude Modulation ?
  • 28.
    5. What arethe different Forms of Amplitude Modulation ? 1. Conventional Amplitude Modulation (DSB-LC) (Alternatively known as Full AM or Double Sideband with Large carrier (DSB-LC) modulation 2. Double Side Band Suppressed Carrier (DSB-SC) modulation 3. Single Sideband (SSB) modulation 4. Vestigial Sideband (VSB) modulation
  • 29.
  • 30.
    6. Derive theFrequency Spectrum for Full-AM Modulation (DSB-LC)
  • 31.
    6. Derive theFrequency Spectrum for Full-AM Modulation (DSB-LC) 1 The carrier signal is sc (t ) = Ac cos(ω c t ) where ω c = 2πf c 2 In the same way, a modulating signal (information signal) can also be expressed as sm (t ) = Am cos ωm t
  • 32.
    3 The amplitude-modulatedwave can be expressed as s (t ) = [ Ac + sm (t )] cos(ω c t ) 4 By substitution s (t ) = [ Ac + Am cos(ω mt )] cos(ω c t ) 5 The modulation index. Am m = Ac
  • 33.
    6 Therefore The full AM signal may be written as s (t ) = Ac (1 + m cos(ω mt )) cos(ω c t ) cos A cos B = 1 / 2[cos( A + B ) + cos( A − B )] mAc mAc s (t ) = Ac (cos ω ct ) + cos(ω c + ω m )t + cos(ω c − ω m )t 2 2
  • 34.
    7. Draw theFrequency Spectrum of the above AM signal and calculate the Bandwidth
  • 35.
    7. Draw theFrequency Spectrum of the above AM signal and calculate the Bandwidth fc-fm fC fc+fm 2fm
  • 36.
    8. Draw FrequencySpectrum for a complex input signal with AM
  • 37.
    8. Draw FrequencySpectrum for a complex input signal with AM fc-fm fc fc+fm
  • 38.
    Frequency Spectrum ofan AM signal The frequency spectrum of AM waveform contains three parts: 1. A component at the carrier frequency fc 2. An upper side band (USB), whose highest frequency component is at fc+fm 3. A lower side band (LSB), whose highest frequency component is at fc-fm The bandwidth of the modulated waveform is twice the information signal bandwidth.
  • 39.
    • Because ofthe two side bands in the frequency spectrum its often called Double Sideband with Large Carrier.(DSB- LC) • The information in the base band (information) signal is duplicated in the LSB and USB and the carrier conveys no information.
  • 40.
    Example We have anaudio signal with a bandwidth of 5 KHz. What is the bandwidth needed if we modulate the signal using AM?
  • 41.
    Example We have anaudio signal with a bandwidth of 5 KHz. What is the bandwidth needed if we modulate the signal using AM? Solution An AM signal requires twice the bandwidth of the original signal: BW = 2 x 5 KHz = 10 KHz
  • 42.
  • 43.
    Modulation Index (m) 9. What is the significance of modulation index ? • m is merely defined as a parameter, which determines the amount of modulation. • What is the degree of modulation required to establish a desirable AM communication link? Answer is to maintain m<1.0 (m<100%). • This is important for successful retrieval of the original transmitted information at the receiver end.
  • 44.
    9.Modulation Index (m) What is the significance of modulation index ?
  • 46.
    • If theamplitude of the modulating signal is higher than the carrier amplitude, which in turn implies the modulation index m ≥ 1.0(100%) . This will cause severe distortion to the modulated signal.
  • 47.
    Power distribution infull AM 10. Calculate the power efficiency of AM signals
  • 48.
    10. Calculate thepower efficiency of AM signals • The ratio of useful power, power efficiency : sidebands power m2 / 2 m2 = = total power 1 + m / 2 2 + m2 2 • In terms of power efficiency, for m=1 modulation, only 33% power efficiency is achieved which tells us that only one-third of the transmitted power carries the useful information.
  • 49.
    Double Side BandSuppressed Carrier (DSB-SC) Modulation • The carrier component in full AM or DSB-LC does not convey any information. Hence it may be removed or suppressed during the modulation process to attain higher power efficiency. • The trade off of achieving a higher power efficiency using DSB-SC is at the expense of requiring a complex and expensive receiver due to the absence of carrier in order to maintain transmitter/receiver synchronization.
  • 50.
    11. Derive theFrequency Spectrum for Double Sideband Suppressed Carrier Modulation (DSB-SC) 1 Consider the carrier sc (t ) = Ac cos(ω c t ) where ω c = 2πf c 2 modulated by a single sinusoidal signal sm (t ) = Am cos ω mt where ω m = 2πf m 3 The modulated signal is simply the product of these two s (t ) = Ac cos(ω t ) Am cos(ω t ) c m = Ac Am cos(ω t ) cos(ω t ) c m 1 since cos A cos B = (cos( A +B ) +cos( A −B ) ) 2 Am Ac Am Ac = cos(ω + m )t + c ω cos(ω − m )t c ω 2      2      USB LSB
  • 51.
    sc (t )= Ac cos ω c t sm (t ) = Am cos ω mt X s (t ) = Ac cos(ω c t ) Am cos(ω mt ) Frequency Spectrum of a DSB-SC AM Signal fc-fm fc fc+fm
  • 52.
    • All thetransmitted power is contained in the two sidebands (no carrier present). • The bandwidth is twice the modulating signal bandwidth. • USB displays the positive components of sm(t) and LSB displays the negative components of sm(t).
  • 53.
    Generation and Detectionof DSB-SC • The simplest method of generating a DSB-SC signal is merely to filter out the carrier portion of a full AM (or DSB-LC) waveform. • Given carrier reference, modulation and demodulation (detection) can be implemented using product devices or balanced modulators.
  • 54.
    BALANCED MODULATOR Sm(t) S1(t) AM Modulator 1 Sm(t) Accos(ωct) S(t) Carrier Accos(ωct) DSB-SC AM Modulator 2 -Sm(t) S2(t)
  • 55.
    • The twomodulators are identical except for the sign reversal of the input to one of them. Thus, s1 (t ) = Ac (1 + m cos(ω mt )) cos(ω c t ) s2 (t ) = Ac (1 − m cos(ω mt )) cos(ω c t ) s (t ) = s1 (t ) − s2 (t ) = 2mAc cos(ω mt ) cos(ω c t )
  • 56.
    COHERENT (SYNCHRONOUS) DETECTOROR DSB-SC (PRODUCT DETECTOR) v(t) vo(t) DSB-SC Signal s(t) X LPF Cosωct Local Oscillator • Since the carrier is suppressed the envelope no longer represents the modulating signal and hence envelope detector which is of the non-coherent type cannot be used.
  • 57.
    v(t ) =s (t ) cos(ω c t ) = [ 2mAc cos(ω mt ) cos(ω c t )] cos(ω c t ) Am =2 Ac cos(ω mt ) cos (ω c t ) 2 Ac  1 + cos 2ω c t  = 2 Am cos(ω mt )   2  = Am cos(ω mt ) + Am cos(ω mt ) cos(2ω c t ) since sm (t ) = Am cos(ω mt ) = sm(t) + sm(t ) cos ( 2ω c t)     Unwanted term(removed by LPF)
  • 58.
    • It isnecessary to have synchronization in both frequency and phase between the transmitter (modulator) & receiver (demodulator), when DSB-SC modulation ,which is of the coherent type, is used. Both phase and frequency must be known to demodulate DSB-SC waveforms.
  • 59.
    LACK OF PHASESYNCHRONISATION Let the received DSB-SC signal be s DSB − SC (t ) = sm (t ) cos( ω c t + θ ) Ac if θ is unknown, v(t ) = s DSB − SC (t ) cos ω c t = Ac sm (t ) cos( ω c t + θ ) cos ω c t Ac = sm (t )[ cosθ + cos( 2ω c t + θ ) ] 2 Output of LPF Ac vo (t ) = sm (t ) cosθ 2
  • 60.
    But we wantjust Ac vo (t ) = sm (t ) 2 Due to lack of phase synchronization, we will see that the wanted signal at the output of LPF will be attenuated by an amount of cosθ. In other words, phase error causes an attenuation of the output signal proportional to the cosine of the phase error. The worst scenario is when θ=π/2, which will give rise to zero or no output at the output of the LPF.
  • 61.
    LACK OF FREQUENCYSYNCHRONISATION Suppose that the local oscillator is not stable at fc but at DSB − SC (t ) cos( ω c + ∆ω ) t fc+∆ f, then v(t ) = s = Ac sm (t ) cos ω c t cos( ω c + ∆ω ) t Ac = sm (t )[ cos ∆ωt + cos( 2ω c t + ∆ω ) ] 2 Output of LPF Ac vo (t ) = sm (t ) cos ∆ωt 2 Thus, the recovered baseband information signal will vary sinusoidal according to cos ∆ ωt
  • 62.
    This problem canbe overcome by adding an extra synchronization circuitry which is required to detect θ and ∆ ωt and by providing the carrier signal to the receiver. A synchronizer is introduced to curb the synchronization problem exhibited in a coherent system. Let the baseband signal be sm (t ) = Am cos ω mt Received DSB-SC signal s (t ) = Ac sm (t ) cos ω c t
  • 63.
    SYNCHRONISER ( )2 PLL BPF ÷2 Mathematical analysis of the synchronizer is shown below: s 2 (t ) = Ac2 Am cos 2 ω mt cos 2 ω c t 2 Ac2 Am 2 = [1 + cos 2ω mt ][1 + cos 2ω ct ] 4 Ac2 Am 2 = [1 + cos 2ω mt + cos 2ω ct + cos 2ω mt cos 2ω ct ] 4 Ac2 Am  2 1 1  = 1 + cos 2ω mt + cos 2ω c t + cos 2( ω c − ω m ) t + cos 2( ω c + ω m ) t  4   2 2  Output of BPF Ac2 Am 2 cos 2ω c t 4
  • 64.
    Output of frequencydivider k cos ω c t where k is a constant of proportionality. DISADVANTAGE OF USING COHERENT SYSTEMS • The frequency and phase of the local oscillator signal must be very precise which is very difficult to achieve. It requires additional circuitry such as synchronizer circuit and hence the cost is higher.
  • 65.
    Single-SidebandBand Modulation (SSB) Single Side Modulation How to generate SSB signal? • Generate DSB-SC signal • Band-pass filter to pass only one of the sideband and suppress the other. For the generation of an SSB modulated signal to be possible, the message spectrum must have an energy gap centered at the origin.
  • 66.
    • Example ofsignal with -300 Hz ~ 300 Hz energy gap Voice : A band of 300 to 3100 Hz gives good articulation • Also required for SSB modulation is a highly selective filter
  • 67.
    • Vestigial SidebandBandModulation (VSB) Vestigial Side Modulation Instead of transmitting only one sideband as SSB, VSB modulation transmits a partially suppressed sideband and a vestige of the other sideband.
  • 68.
    Comparison of AmplitudeModulation methods
  • 69.
    Comparison of AmplitudeModulation methods Full AM (or DSB-LC) - Sidebands are transmitted in full with the carrier. - Simple to demodulate / detect - Poor power efficiency - Wide bandwidth ( twice the bandwidth of the information signal) - Used in commercial AM radio broadcasting, one transmitter and many receivers.
  • 70.
    Comparison of AmplitudeModulation methods DSB-SC - Less transmitted power than full AM and all the transmitted power is useful. - Requires a coherent carrier at the receiver; This results in increased complexity in the detector(i.e. synchroniser) - Suited for point to point communication involving one transmitter and one receiver which would justify the use of increased receiver complexity.
  • 71.
    Comparison of AmplitudeModulation methods SSB - Good bandwidth utilization (message signal bandwidth = modulated signal bandwidth) - Good power efficiency - Demodulation is harder as compares to full AM; Exact filter design and coherent demodulation are required - Preferred in long distance transmission of voice signals
  • 72.
    Comparison of AmplitudeModulation methods VSB - Offers a compromise between SSB and DSB-SC - VSB is standard for transmission of TV and similar signals - Bandwidth saving can be significant if modulating signals are of large bandwidth as in TV and wide band data signals. • For example with TV the bandwidth of the modulating signal can extend up to 5.5MHz; with full AM the bandwidth required is 11MHz