‫العراق‬ ‫جمهورية‬
‫التربية‬ ‫وزارة‬
‫للمناهج‬ ‫العامة‬ ‫املديرية‬
‫املتوسط‬ ‫الثالث‬ ‫للصف‬
‫اجلواهري‬ ‫الغفور‬ ‫عبد‬ ‫محمد‬ ‫احلديثي‬ ‫شعبان‬ ‫طارق‬ ‫الدكتور‬
‫علوان‬ ‫حـــسيــــن‬ ‫منـــــــــعم‬ ‫مـــكـــي‬ ‫اهلل‬ ‫مــــال‬ ‫مــهـــــدي‬
‫5102م‬ - ‫6341هـ‬ ‫اخلامسة‬ ‫الطبعة‬
‫الرياضيات‬
‫املؤلفون‬
: ‫الطبع‬ ‫على‬ ‫العلمي‬ ‫املشرف‬
‫رجب‬ ‫شعبان‬ ‫طارق‬ .‫د‬
: ‫الطبع‬ ‫على‬ ‫الفني‬ ‫املشرف‬
‫جواد‬ ‫غازي‬ ‫علي‬
ُ‫ة‬‫م‬ّ‫املقد‬
‫باعادة‬ ‫التربية‬ ‫وزارة‬ ‫تعنى‬ ‫خاصة‬ ‫والرياضيات‬ ‫كافة‬ ‫الدراسية‬ ‫المواد‬ ‫في‬ ‫الحاصل‬ ‫الكبير‬ ‫للتطور‬ ً‫ا‬‫نظر‬
‫كتب‬ ‫وتلقى‬ ‫الغرض‬ ‫لهذا‬ ‫تؤلف‬ ‫مختصة‬ ‫لجان‬ ‫وفق‬ ‫تأليفه‬ ‫اعادة‬ ‫او‬ ‫وتنقيحه‬ ‫المدرسي‬ ‫الكتاب‬ ‫في‬ ‫النظر‬
.‫العناية‬ ‫هذه‬ ‫من‬ ‫الوافي‬ ‫نصيبها‬ ‫الرياضيات‬
‫بعشرة‬ ‫الكتاب‬ ‫هذا‬ ‫رتبنا‬ ‫وقد‬ ، ‫المتوسطة‬ ‫للمرحلة‬ ‫الرياضيات‬ ‫كتب‬ ‫سلسلة‬ ‫من‬ ‫الثالث‬ ‫الكتاب‬ ‫وهذا‬
‫الثالث‬ ‫الفصل‬ ‫اما‬ ، ‫الحقيقية‬ ‫االعداد‬ ‫الثاني‬ ‫والفصل‬ ‫التطبيقات‬ ‫بموضوع‬ ‫االول‬ ‫الفصل‬ ‫يبدأ‬ ،‫فصول‬
‫الدائرة‬ ‫موضوع‬ ‫اما‬ ‫المثلثات‬ ‫الخامس‬ ‫الفصل‬ ‫في‬ ‫يتبعه‬ ‫المتباينات‬ ‫الرابع‬ ‫الفصل‬ ‫ويتضمن‬ ‫الحدوديات‬
‫التحويالت‬ ‫هندسة‬ ‫الثامن‬ ‫الفصل‬ ‫اما‬ ‫االحداثية‬ ‫الهندسة‬ ‫السابع‬ ‫الفصل‬ ‫وعند‬ ‫السادس‬ ‫الفصل‬ ‫في‬ ‫فهو‬
‫موضوع‬ ‫بدراسة‬ ‫اختص‬ ‫الذي‬ ‫العاشر‬ ‫بالفصل‬ ‫الكتاب‬ ‫وينتهي‬ ‫المثلثات‬ ‫حساب‬ ‫التاسع‬ ‫الفصل‬ ‫يتضمن‬
. ‫االحصاء‬
‫الحديثة‬ ‫التربوية‬ ‫الطرق‬ ‫نستخدم‬ ‫ان‬ ‫وحاولنا‬ ‫المقرر‬ ‫الدراسي‬ ‫للمنهج‬ ً‫ا‬‫وفق‬ ‫الكتاب‬ ‫هذا‬ ‫وضع‬ ‫تم‬ ‫لقد‬
‫االكثار‬‫وتوخينا‬‫االفهام‬‫بقصد‬ ً‫ا‬‫شرح‬‫العلمية‬‫المادة‬‫توضيح‬‫اعيننا‬‫نصب‬‫واضعين‬‫المجهود‬‫بهذا‬‫فقمنا‬
‫الصعب‬‫الى‬‫السهل‬‫من‬‫ومتدرجة‬‫حياته‬‫في‬‫الطالب‬‫يصادفها‬‫التي‬‫العملية‬‫والتمارين‬‫المحلولة‬‫االمثلة‬‫من‬
: ‫وهم‬ ‫الكتاب‬ ‫هذا‬ ‫بانجاز‬ ‫ساهما‬ ‫الذين‬ ‫العلميين‬ ‫الخبيرين‬ ‫جهود‬ ‫نثمن‬ ‫ان‬ ‫اال‬ ‫يسعنا‬ ‫وال‬
‫نجم‬ ‫محمد‬ .‫د‬ ‫حسن‬ ‫كامل‬ ‫ماجد‬
‫يوافونا‬ ‫ان‬ ‫المدرسين‬ ‫اخواننا‬ ‫من‬ ‫نرجو‬ ‫و‬ ‫الطلبة‬ ‫ابنائنا‬ ‫لخدمة‬ ‫وفقنا‬ ‫قد‬ ‫نكون‬ ‫ان‬ ‫نرجو‬ ً‫ا‬‫وختام‬
..‫وحده‬ ‫هلل‬ ‫والكمال‬ ، ‫فيه‬ ‫النقص‬ ‫نتالفى‬ ‫لكي‬ ‫الكتاب‬ ‫هذا‬ ‫حول‬ ‫بمالحظاتهم‬
‫التوفيق‬ ‫ولي‬ ‫واهلل‬
‫المؤلفون‬
Mappings ‫التطبيقات‬
f:AB
AB
f
. ‫التطبيق‬ ]1-1[
. ‫التطبيق‬ ‫نوع‬ ]1-2[
. ‫للتطبيق‬ ‫البياني‬ ‫املخطط‬ ]1-3[
. ‫التطبيقات‬ ‫تركيب‬ ]1-4[
1‫االول‬ ‫الفصل‬
‫الرياضية‬ ‫العالقة‬ ‫أو‬ ‫الرمز‬ ‫المصطلح‬
N ‫الطبيعية‬ ‫األعداد‬
Z ‫الصحيحة‬ ‫األعداد‬
Q ‫النسبية‬ ‫األعداد‬
fog ‫أو‬ gof ‫التطبيقين‬ ‫تركيب‬
f , g
Mappings ‫التطبيقات‬
‫مقدمة‬
A ‫املجموعة‬ ‫من‬ ‫العالقة‬ ً‫ا‬‫أيض‬ ‫وتعلمت‬ ‫عليها‬ ‫والعمليات‬ ‫املجموعات‬ ‫موضوع‬ ‫درست‬ ‫وأن‬ ‫سبق‬
.B ‫الى‬ A ‫من‬ ‫للعالقة‬ ‫رمز‬ r ‫أن‬ ‫حيث‬ .‫املرتبة‬ ‫األزواج‬ ‫من‬ ‫مجموعة‬ ‫هي‬ B ‫املجموعة‬ ‫الى‬
A × B ‫الديكارتي‬ ‫الضرب‬ ‫حاصل‬ ‫من‬ ‫جزئية‬ ‫مجموعة‬ r ‫وأن‬
: ‫مثل‬ ‫املجموعة‬ ‫على‬ ‫العالقة‬ ‫خواص‬ ‫أيضا‬ ‫ودرست‬
.)Reflexive( ‫األنعكاسية‬‫اخلاصية‬ -
. )Symmetric( ‫املتناظرة‬ ‫واخلاصية‬-
. )Transitive(‫املتعدية‬ ‫واخلاصية‬-
. ‫السابقة‬ ‫الثالث‬ ‫اخلواص‬ ‫حققت‬ ‫اذا‬ )Equivalence( ‫التكافؤ‬ ‫خاصية‬ ‫وكذلك‬-
.)‫متعدية‬ ،‫متناظرة‬ ،‫(أنعكاسية‬
)Mapping( ‫التطبيق‬ ‫هو‬ ‫أخر‬ ‫مفهوم‬ ‫على‬ ‫سنتعرف‬ ،‫الدراسية‬ ‫املرحلة‬ ‫هذه‬ ‫في‬
‫الفصل‬
r A×B
1
⊆
( ‫وتقرأ‬ r : A B ‫لتكن‬
= } a , b , c , d { ‫و‬ A = } 1 , 2 , 3 , 4 { ‫ولتكن‬
r = { ( 1 , a ) , ( 2 , b ) , ( 3 , c ) , ( 4 , d ) }
‫التي‬ B ‫المجموعة‬ ‫في‬ ‫وحيد‬ ‫بعنصر‬ ‫يقترن‬ ‫بالمجال‬ ‫تسمى‬ ‫التي‬ A ‫المجموعة‬ ‫في‬ ‫عنصر‬ ‫كل‬ ‫أن‬ ‫الحظ‬
. r ‫للعالقة‬ ‫السهمي‬ ‫المخطط‬ ‫يمثل‬ ‫الذي‬ ]1-1[ ‫الشكل‬ ‫في‬ ‫كما‬ ‫المقابل‬ ‫بالمجال‬ ‫تسمى‬
‫من‬ ‫واحد‬ ‫عنصر‬ ‫مع‬ ‫ليرتبط‬ A ‫المجموعة‬ ‫في‬ ‫عنصر‬ ‫كل‬ ‫من‬ ‫ينطلق‬ ‫فقط‬ ‫واحد‬ ‫سهم‬ ‫هناك‬ ‫الشكل‬ ‫خالل‬ ‫ومن‬
‫يسمى‬ ) ‫(التطبيق‬ ‫تأثير‬ ‫تحت‬ A ‫المجموعة‬ ‫عناصر‬ ‫صور‬ ‫وأن‬ ‫تطبيق‬ ‫العالقة‬ ‫لهذه‬ ‫يقال‬ . B ‫المجموعة‬
.‫التطبيق‬ )Range( ‫مدى‬
				
1 - 1)Mapping( ‫التطبيق‬
B
]1-1[ ‫عامة‬ ‫بصورة‬
‫بحيث‬ B ≠ ∅‫حيث‬ B ‫املجموعة‬ ‫الى‬ A ≠ ∅ ‫حيث‬ A ‫املجموعة‬ ‫من‬ ‫عالقة‬ : r ‫التطبيق‬
‫املقابل‬ ‫املجال‬ ‫عناصر‬ ‫من‬ ‫فقط‬ ‫واحد‬ ‫بعنصر‬ ‫يرتبط‬ ‫أو‬ ‫يقترن‬ ‫املجال‬ ‫عناصر‬ ‫عنصرمن‬ ‫كل‬ ‫أن‬
:‫أي‬ ‫األقتران‬ ‫قاعدة‬ ‫ضمن‬
) x , y ) ∈ r ‫بحيث‬ y ∈ B ‫وحيد‬ ‫عنصر‬ ‫يوجد‬ x ∈ A ‫لكل‬
A
a
b
c
d
1
2
3
4
B
]1-1[ ‫الشكل‬
r
) B ‫الى‬ A ‫من‬ ‫عالقة‬ r
‫بالل‬
‫اهلل‬ ‫عبد‬
‫مثنى‬
‫أنكليزي‬
‫فرنسي‬
A
B
a b c d
e f g
B ‫الى‬ A ‫من‬ ‫معرفه‬ r ‫والعالقة‬ .‫لغات‬ ‫مجموعة‬B ‫ولتكن‬ . ‫طالب‬ ‫مجموعة‬ A ‫لتكن‬ -: ‫الشكل‬ ‫الحظ‬
:‫كانت‬ ‫فاذا‬ .»
‫يدرس‬ «
‫عالقة‬ ‫هي‬
A = } ‫مثنى‬ , ‫اهلل‬ ‫عبد‬ , ‫بالل‬ {
B = } ‫فرنسية‬ , ‫انكليزية‬ {
.‫السبب‬ ‫ذكر‬ ‫مع‬ ‫؟‬ ً‫ا‬‫تطبيق‬ ‫تمثل‬ r ‫هل‬ ، r : A B ‫وأن‬
.ً‫ا‬‫تطبيق‬ ‫التمثل‬ r /‫احلل‬
‫المقابل‬ ‫المجال‬ ‫في‬ ‫بلغتين‬ ‫أرتبط‬ ‫وقد‬ ‫المجال‬ ‫الى‬ ‫ينتمي‬ ‫بالل‬ ‫ألن‬
r : A B ‫لتكن‬
A = { a , b , c , d }
B = { e , f , g }
r = { ( a , e ) , ( b , f ) , ( d , g ) }
.‫السبب‬ ‫ذكر‬ ‫مع‬ ‫ً؟‬‫ا‬‫تطبيق‬ ‫تمثل‬ r ‫هل‬ )1
.‫سهمي‬ ‫بمخطط‬ ‫مثله‬ )2
.ً‫ا‬‫تطبيق‬ ‫التمثل‬ )1 /‫احلل‬
B ‫المقابل‬ ‫المجال‬ ‫في‬ ‫عنصر‬ ‫بأي‬ ‫يرتبط‬ ‫لم‬ c ∈ A ‫ألن‬
)2
( 1 ) ‫مثال‬
) 2 ( ‫مثال‬
A B
A = { 1 , 2 , -3 { ‫كانت‬ ‫اذا‬
B = { 2 , 3 , - 2 , -4 }
f : A B -:‫كاآلتي‬ ‫معرف‬ ‫تطبيق‬ f
x x + 1 ‫    حيث‬
‫المرتبة‬ ‫األزواج‬ ‫من‬ ‫مجموعة‬ ‫شكل‬ ‫على‬ f ‫التطبيق‬ ‫أكتب‬ :ً‫ال‬‫أو‬
‫سهمي‬ ‫بمخطط‬ ‫مثله‬ :ً‫ا‬‫ثاني‬
f ‫التطبيق‬ ‫مدى‬ ‫أوجد‬ :ً‫ا‬‫ثالث‬
/‫احلل‬
x x + 1
1 1 + 1 = 2
2 2 + 1 = 3
-3 -3 + 1 = -2
∴ f = { ( 1 , 2 ) , ( 2 , 3 ) , ( -3 , -2 ) }
‫السهمي‬ ‫-المخطط‬ :ً‫ا‬‫ثاني‬
} 2 , 3 ,-2{= ‫التطبيق‬ ‫مدى‬ -:ً‫ا‬‫ثالث‬
A
2
3
-2
-4
1
2
-3
B
) 3 ( ‫مثال‬
-:ً‫ال‬‫او‬
‫األقتران‬ ‫قاعدة‬ )3( ‫المثال‬ ‫في‬
‫التعبيرعنها‬ ‫يمكن‬ x x + 1
f (x) = x + 1
)1( ‫مالحظه‬
)2( ‫مالحظه‬r , f, g , ..‫الحروف‬ ‫بأحد‬ ‫التطبيق‬ ‫عن‬ ‫التعبير‬ ‫يمكن‬
.‫األقتران‬ ‫وقاعدة‬ ‫المقابل‬ ‫والمجال‬ ‫المجال‬ ‫ذكر‬ ‫مع‬
)3( ‫مالحظه‬:‫التالية‬ ‫الصور‬ ‫على‬ ‫تكون‬ ‫أن‬ ‫ممكن‬ ‫السهميه‬ ‫المخططات‬
A B
A
B
)4( ‫مالحظه‬
.‫المقابل‬ ‫المجال‬ ‫من‬ ‫جزئية‬ ‫مجموعة‬ ‫هو‬ ‫المدى‬
BA
r f
g
10
‫النسبية‬ ‫االعداد‬ ‫مجموعة‬ Q ‫حيث‬ g : A Q ‫كانت‬ ‫اذا‬
A = { -1 , 1 , 2 , -3 }
g (x) = x2
- 4
‫التطبيق‬ ‫مدى‬ ‫أوجد‬ )1
‫للتطبيق‬ ‫السهمي‬ ‫المخطط‬ ‫أرسم‬ )2
‫عناصره‬ ‫بذكر‬ ‫التطبيق‬ ‫3)أكتب‬
/ ‫احلل‬
1) g (x) = x2
- 4
g (-1) = (-1)2
- 4 = 1- 4 = -3
g (1) = (1)2
- 4 =1- 4 = -3
g (2) = (2)2
- 4 = 4 - 4 = 0
g (-3)=(-3)2
- 4 = 9 - 4 = 5
∴ Range = {-3,0,5} ‫المدى‬
2)
3) g = {(-1,-3), (1,-3),(2,0),(-3,5)}
( 4 ) ‫مثال‬
-3
0
5
-1
1
2
-3
A
g
..
.....
......
..Q
11
5 ‫من‬ ‫األصغر‬ ‫الموجبة‬ ‫الطبيعية‬ ‫األعداد‬ ‫مجموعة‬ A ‫كانت‬ ‫اذا‬
‫الصحيحة‬ ‫االعداد‬ ‫مجموعة‬ Z ‫حيث‬ ، f : A Z ‫وكانت‬
f (x) = 2x - 3 ‫كان‬ ‫اذا‬ ‫التطبيق‬ ‫مدى‬ ‫جد‬
/‫احلل‬
f (x) = 2 x- 3
f (1) = (2)(1) - 3 = -1
f (2) = (2)(2) - 3 = 1
f (3) = (2)(3)- 3 = 3
f (4 ) = (2)( 4 ) - 3 = 5
∴ Range = {-1 , 1 , 3 , 5 } ‫المدى‬
g : Q Q ‫ان‬ ‫العلم‬ ‫مع‬ g (x) = 10 ‫عندما‬ x ‫قيمة‬ ‫فجد‬ g (x) = 4x - 7 ‫كان‬ ‫اذا‬
. ‫النسبية‬ ‫االعداد‬ ‫مجموعة‬ Q ‫حيث‬
∵ g (x) = 4 x- 7 /‫احلل‬
g (x) = 10
∴10 = 4x - 7
⇒ 4x = 10 + 7
⇒ 4x = 17 (4( ‫على‬ ‫المعادلة‬ ‫طرفي‬ ‫بقسمة‬
⇒ x = ∈ Q
( 5 ) ‫مثال‬
( 6 ) ‫مثال‬


Qg(x) = 4x − 7
g(x) =10
∴10 = 4x − 7
⇒ 4x =10+ 7
⇒ 4x = 17
⇒ x =
17
4
∈ Q
17
4
A = { 1 , 2 , 3 , 4 }
12
1 1
، A = { a , b , c { ‫وكانت‬ r : A B ‫كان‬ ‫اذا‬ /1‫س‬
r = { ( a , 4 ) , ( b , 7 ) , ( c , 3 ) }
r = { ( a , 3 ) , ( b , 3 ) , ( c , 3 ) }
‫السهمي‬ ‫المخطط‬ ‫ارسم‬ :ً‫ا‬‫ثاني‬ ‫ولماذا؟‬ ً‫ا‬‫تطبيق‬ r ‫هل‬ :ً‫ال‬‫او‬
A ‫كانت‬ ‫اذا‬ /2‫س‬
B ‫وكانت‬
f(x) = x + 1 ‫حيث‬ B ‫الى‬ A ‫من‬ ‫عالقة‬ f
‫؟‬ ‫لماذا‬ ، ً‫ا‬‫تطبيق‬ ‫يمثل‬ f :ً‫ا‬‫ثاني‬ ‫السهمي‬ ‫المخطط‬ ‫ارسم‬ :ً‫ال‬‫أو‬
g : A Z ‫وكان‬ A = { 1 , 2 , -2 , -3 { ‫كانت‬ ‫س3/اذا‬
. g (x) = 5x - 3 ‫كان‬ ‫اذا‬ ‫التطبيق‬ ‫مدى‬ ‫جد‬
‫ولتكن‬ A = }‫الملوية‬ ، ‫الحضر‬ ، ‫عشتار‬ ‫{باب‬ ‫حيث‬ .‫العراق‬ ‫في‬ ‫االثرية‬ ‫المناطق‬ ‫مجموعة‬ A ‫لتكن‬ /4‫س‬
. B = } ‫بغداد‬ ، ‫بابل‬ ، ‫الدين‬ ‫صالح‬ ، ‫قار‬ ‫ذي‬ ، ‫البصرة‬ ، ‫الموصل‬ ، ‫كركوك‬ {
.‫تختاره‬ ‫سهمي‬ ‫بمخطط‬ ‫عراقية‬ ‫محافظة‬ ‫لكل‬ ‫االثرية‬ ‫المناطق‬ ‫انسب‬ r : A B ‫وان‬
B = { 3 , 4 , 5 , 6 , 7{
7 ‫من‬ ‫األصغر‬ ‫الزوجية‬ ‫الطبيعية‬ ‫األعداد‬ ‫مجموعة‬
8 ‫من‬ ‫األصغر‬ ‫الفردية‬ ‫الطبيعية‬ ‫األعداد‬ ‫مجموعة‬
1)
2)
13
f (x ) = 2 x + 8 ‫حيث‬ f : N Q ‫كان‬ ‫اذا‬ /5‫س‬
. ‫التطبيق‬ ‫مدى‬ ‫اكتب‬ :ً‫ال‬‫او‬
. x ‫قيمة‬ ‫فجد‬ f ( x ) = 16 ‫كان‬ ‫اذا‬ :ً‫ا‬‫ثاني‬
.‫التطبيق‬ ‫تمثل‬ ‫التي‬ ‫المرتبة‬ ‫االزواج‬ ‫مجموعة‬ ‫اكتب‬ :ً‫ا‬‫ثالث‬
r = { ( 1 , a ) , ( 2 , b ) , (3 , c) , ( 4 , d ) , ( 5 , a ({ ‫كانت‬ ‫/اذا‬ 6‫س‬
r : A B ‫حيث‬
. B , A ‫من‬ ً‫ال‬‫ك‬ ‫جد‬ )1
.‫التطبيق‬ ‫مدى‬ ‫أكتب‬ )2
.‫السهمي‬ ‫المخطط‬ ‫ارسم‬ )3
f ( x ) = 2x 2
- x + 3 ‫حيث‬ f : A Q ‫كان‬ ‫اذا‬ / 7‫س‬
A = { 1 , -1 , 0 { ‫وإن‬
.‫المدى‬ ‫اكتب‬ )1
.‫التطبيق‬ ‫تمثل‬ ‫التي‬ ‫المرتبة‬ ‫األزواج‬ ‫مجموعة‬ ‫اكتب‬ )2
.‫السهمي‬ ‫المخطط‬ ‫ارسم‬ )3
14
1 - 2‫التطبيق‬ ‫نوع‬
: ‫حقق‬ ‫اذا‬ ً‫ال‬‫شام‬ ً‫ا‬‫تطبيق‬ ‫تكون‬ r : A B
A ‫المجموعة‬ ‫عناصر‬ ‫من‬ ‫اكثر‬ ‫أو‬ ‫واحد‬ ‫لعنصر‬ ‫صورة‬ ‫هو‬ B ‫المجموعة‬ ‫عناصر‬ ‫من‬ ‫عنصر‬ ‫كل‬
‫المقابل‬ ‫المجال‬ = ‫المدى‬ : ‫ان‬ ‫اي‬
. ‫المجاور‬ ‫الشكل‬ ‫الحظ‬
‫شامل‬ ‫تطبيق‬
)Surjective Mapping( ‫الشامل‬ ‫ً:التطبيق‬‫ال‬‫او‬
A
•
•
•
•
•
•
•
•
B
‫عنصر‬ ‫وجد‬ ‫اذا‬ ٍ‫شامل‬ ‫غير‬ ‫التطبيق‬ ‫يكون‬
‫من‬ ‫عنصر‬ ‫الي‬ ‫صورة‬ ‫ليس‬ ‫المقابل‬ ‫المجال‬ ‫عناصر‬ ‫من‬
. ‫المجاور‬ ‫الشكل‬ ‫في‬ ‫كما‬ .‫المجال‬ ‫عناصر‬
‫شامل‬ ‫غير‬ ‫تطبيق‬
A
d
e
f
g
a
b
c
B
‫مالحظه‬
15
( 1 ) ‫مثال‬
‫ً؟‬‫ال‬‫شام‬ ً‫ا‬‫تطبيق‬ ‫تمثل‬ ‫االتية‬ ‫السهمية‬ ‫المخططات‬ ‫من‬ ً‫ا‬‫اي‬ ‫حدد‬
B = { 4 , 6 , 8 , 10 } , A = { 3 , 5 , 7 , 9 , 11 { ‫حيث‬ f : A B ‫ليكن‬
‫ً؟‬‫ال‬‫شام‬ ً‫ا‬‫تطبيق‬ f ‫هل‬ ، f = { ( 3 , 4 ) , ( 5 , 6 ) , ( 7 , 8 ) , ( 9 , 10 ) , ( 11 , 4 ( { ‫وان‬
}4 , 6 , 8 , 10 { ‫المدى‬ /‫احلل‬
B ‫المقابل‬ ‫المجال‬ = ‫المدى‬ ‫ان‬ ‫بما‬
. ً‫ال‬‫شام‬ ً‫ا‬‫تطبيق‬ ‫يمثل‬ f ∴
A B
-1
2
5
-3
0
3
4
) 2(
‫ليست‬ 4 ‫الن‬ ً‫ال‬‫شام‬ ً‫ا‬‫تطبيق‬ ‫يمثل‬ ‫ال‬
‫المجال‬ ‫في‬ ‫لعنصر‬ ‫صورة‬
A
B
1 2 3
2 3 4
)3(
ً‫ال‬‫شام‬ ‫ليس‬ ً‫ا‬‫تطبيق‬
( 2 ) ‫مثال‬
A
e
f
g
h
a
b
c
d
B
)1(
ً‫ال‬‫شام‬ ً‫ا‬‫تطبيق‬
F G
H
16
‫شامل؟‬ ‫تطبيق‬ f ‫هل‬ ، x x2
+ 1 , A = { -1 , -2 , 1 , 2 {‫حيث‬ f : A N
/‫احلل‬
f(-1) = (-1) 2
+ 1 = 2
f (-2) = (-2) 2
+ 1 = 5
f (1) = (1) 2
+ 1 =2
f(2) = (2)2
+ 1 = 5
Range = { 2 , 5 } ‫المدى‬
N ‫المقابل‬ ‫المجال‬ ≠ ‫المدى‬
‫شامل‬ ‫غير‬ ‫تطبيق‬ f
‫شامل؟‬ f ‫التطبيق‬ ‫هل‬ ‫بين‬ f : N N , f (x) = 3x + 2
/‫احلل‬
f(0) =3 (0) + 2 = 2
f (1) = 3(1) + 2 = 5
f (2) = 3(2) + 2 = 8
f(3) = 3(3) + 2 = 11
Range = { 2 , 5 , 8 , 11 , ....} ‫المدى‬
ً‫ال‬‫شام‬ ‫ليس‬ f
N ‫المقابل‬ ‫المجال‬ ≠ ‫المدى‬ ‫الن‬
( 4 ) ‫مثال‬
( 3 ) ‫مثال‬
∴
∴
∴
f (x) = 3x + 2
17
‫عواصم‬ ‫مجموعة‬ B ‫ولتكن‬} ‫االردن‬ ، ‫مصر‬ ، ‫سوريا‬ ، ‫العراق‬{ ‫بـ‬ ‫المتمثلة‬ ‫العربية‬ ‫الدول‬ ‫مجموعة‬ A ‫لتكن‬
: ‫السهمي‬ ‫المخطط‬ ‫في‬ ‫كما‬ ‫مبينة‬ ‫والعالقة‬ } ‫عمان‬ ، ‫القاهرة‬ ، ‫دمشق‬ ، ‫بغداد‬ { ‫بـ‬ ‫المتمثلة‬ ‫الدول‬ ‫هذه‬
‫عاصمتها‬ ‫تمثل‬ ‫والتي‬ B ‫المجموعة‬ ‫في‬ ‫واحدة‬ ‫بمدينة‬ ‫أرتبطت‬ A ‫المجموعة‬ ‫في‬ ‫عربية‬ ‫دولة‬ ‫كل‬ ‫ان‬ ‫الحظ‬
:‫تحقق‬ ‫اذا‬ ً‫ا‬‫متباين‬ ‫التطبيق‬ ‫يكون‬ ‫اذن‬ ، ً‫ا‬‫متباين‬ ً‫ا‬‫تطبيق‬ ‫يسمى‬ ‫التطبيق‬ ‫هذا‬ ‫مثل‬ ‫ان‬ ‫اعاله‬ ‫الشكل‬ ‫في‬ ‫كما‬
:‫أن‬ ‫أي‬
. ‫المقابل‬ ‫المجال‬ ‫في‬ ‫مختلفتان‬ ‫صورتان‬ ‫لهما‬ ‫المجال‬ ‫في‬ ‫مختلفين‬ ‫عنصرين‬ ‫ألي‬
:‫أن‬ ‫أي‬
Injective Mapping ‫المتباين‬ ‫التطبيق‬ : ً‫ا‬‫ثاني‬
1) ∀x1 ,x2 ∈ A , x1 ≠ x2 ⇒ R x1( ) ≠ R x2( )
2) ∀x1, x2 ∈ A , R x1( ) = R x2( ) ⇒ x1 = x2
ff,
‫المجال‬ ‫عناصر‬ ‫من‬ ‫مختلفان‬ ‫عنصران‬ ‫وجد‬ ‫اذا‬ ‫متباين‬ ‫غير‬ ‫التطبيق‬ ‫يكون‬
. ‫المقابل‬ ‫المجال‬ ‫في‬ ‫الصورة‬ ‫نفس‬ ‫لهما‬
‫مالحظه‬
‫العراق‬
‫سوريا‬
‫مصر‬
‫االردن‬
A
‫بغداد‬
‫دمشق‬
‫القاهرة‬
‫عمان‬
B
1) ∀x1 ,x2 ∈ A , x1 ≠ x2 ⇒ R x1( ) ≠ R x2( )
2) ∀x1, x2 ∈ A , R x1( ) = R x2( ) ⇒ x1 = x2
ff, =
18
. ‫لها‬ ‫السهمي‬ ‫المخطط‬ ‫ارسم‬ ‫ثم‬ ‫متباينة‬ ‫االتية‬ ‫التطبيقات‬ ‫أي‬ ‫بين‬
f : A B ‫كان‬ ‫واذا‬ B = } 1 , 4 , 9 , 16 { ‫و‬ A= } 1 , 2 , 3 , 4 { ‫كانت‬ ‫اذا‬ )1
. f(x) = x2
‫حيث‬
/‫احلل‬
f(x) = x 2
f (1) = (1) 2
= 1
f (2) = (2) 2
= 4
f(3) = (3)2
= 9
f(4) = (4)2
= 16
∴ f = { ( 1 , 1 ) , ( 2 , 4 ) , ( 3 , 9 ) , ( 4 , 16 ) }
.‫المقابل‬ ‫المجال‬ ‫في‬ ‫مختلفتان‬ ‫صورتان‬ ‫لهما‬ ‫المجال‬ ‫من‬ ‫مختلفين‬ ‫عنصرين‬ ‫لكل‬ ‫النه‬ ‫متباين‬ f ∴
‫كاالتي‬ ً‫ا‬‫معرف‬ ً‫ا‬‫تطبيق‬ g : A A ‫وكان‬ A = } 1 , 2 , 3 , 4 , 5 { ‫كانت‬ ‫اذا‬ )2
g = { ( 1 , 4 ) , ( 2 , 2 ) , ( 3 , 1 ) , ( 4 , 2 ) , ( 5 , 4 ) }
/‫احلل‬
‫وكذلك‬ g (2) = g (4) = 2 ‫بينما‬ 2 ≠ 4 ‫الن‬ ‫متباين‬ ‫غير‬ ‫التطبيق‬
g (1) = g (5) = 4 ‫بينما‬ 1 ≠ 5
f(x) = 3x ‫ان‬ ‫حيث‬ f : N
+
N ‫كان‬ ‫اذا‬ )3
/‫احلل‬
( 5 ) ‫مثال‬
1
4
9
16
1
2
3
4
A B
1
2
3
4
5
1
2
3
4
5
A A
f(x) = 3x
f (1) = 3
f (2) = 6
f(3) = 9
1 , 2 , 3 , 4 .....
0 , 1 , 2 , 3 , 4 , 5 , 6 , 7 , 8 , 9 , ....
‫املجال‬
‫املجال‬
‫املقابل‬
N
+
N
19
( 6 ) ‫مثال‬
Bijective Mapping ‫تقابل‬ ‫التطبيق‬ : ً‫ا‬‫ثالث‬
( 7 ) ‫مثال‬
.‫المقابل‬ ‫المجال‬ ‫في‬ ‫مختلفتان‬ ‫صورتان‬ ‫لهما‬ ‫المجال‬ ‫في‬ ‫مختلفين‬ ‫عنصرين‬ ‫كل‬ ‫الن‬ ‫متباين‬ ‫التطبيق‬
. ‫منتهيتين‬ ‫غير‬ ‫مجموعتان‬ ‫المقابل‬ ‫والمجال‬ ‫المجال‬ ‫ان‬ ‫الحظ‬
f : A B ‫وكان‬ B = }2 , 5 , 10 { ‫و‬ A = } -1 , 2 , 3 , 1 { ‫كانت‬ ‫اذا‬
‫متباين؟‬ ‫هل‬ . f(x) = x 2
+ 1
f (1) = f ( -1 ) = 2 ‫بينما‬ 1 ≠ -1 ‫ألن‬ ‫متباين‬ ‫غير‬ ‫التطبيق‬ / ‫احلل‬
-: ‫اآلتيين‬ ‫الشرطين‬ ‫حقق‬ ‫اذا‬ ً‫ال‬‫تقاب‬ ‫التطبيق‬ ‫يكون‬
. ً‫ال‬‫شام‬ ‫التطبيق‬ )1
. ً‫ا‬‫متباين‬ ‫التطبيق‬ )2
B = { 0 , 2 , 3 , 8 } , A = { 1 , 2 , 3 { ‫كانت‬ ‫اذا‬
f ‫التطبيق‬ ‫نوع‬ ‫اذكر‬ )2 , ‫المدى‬ )1 ‫جد‬ f (x) = x 2
- 1 ‫بحيث‬ f : A B
‫للتطبيق‬ ‫السهمي‬ ‫المخطط‬ ‫ارسم‬ )3
f(x) = x 2
- 1 )1 /‫احلل‬
f (1) = (1)2
- 1 = 0
f (2) = (2)2
- 1 = 3
f(3) = (3)2
- 1 = 8
∴ Range = { 0 , 3 , 8 } ‫المدى‬
‫المقابل‬ ‫المجال‬ ≠ ‫المدى‬ ‫او‬ ‫المجال‬ ‫في‬ ‫لعنصر‬ ‫صورة‬ ‫ليس‬ 2 ‫الن‬ ٍ‫شامل‬ ‫غير‬ ‫التطبيق‬ )2
. ً‫ال‬‫شام‬ ‫ليس‬ ‫النه‬ ً‫ال‬‫تقاب‬ ‫ليس‬ ، ً‫ا‬‫متباين‬ ‫التطبيق‬
f(x)
20
‫السهمي‬ ‫المخطط‬ )3
‫االعداد‬ ‫مجموعة‬ Z ‫حيث‬ f ‫التطبيق‬ ‫نوع‬ ‫بين‬ f (x) = 2 x2
- 3 ‫حيث‬ ، f : Z Z ‫كانت‬ ‫اذا‬
. ‫الصحيحة‬
f(x) =2 x 2
-3 /‫احلل‬
f (-2) = 2 (-2) 2
-3 = 8 - 3 = 5
f (-1) = 2 (-1) 2
-3 = 2 - 3 = -1
f(0) = 2(0)2
- 3 = -3
f(1) = 2(1)2
- 3 = 2 -3 = -1
f(2) = 2(2)2
- 3 = 8 -3 = 5
‫المقابل‬ ‫المجال‬ ≠ ‫المدى‬ ‫الن‬ ً‫ال‬‫شام‬ ‫ليس‬ ‫التطبيق‬ : ً‫ال‬‫او‬
-1 ≠1 ‫بينما‬ f (-1) = f (1) = -1 ‫الن‬ ً‫ا‬‫متباين‬ ‫ليس‬ ‫التطبيق‬ : ً‫ا‬‫ثاني‬
.ً‫ال‬‫تقاب‬ ‫ليس‬ ‫التطبيق‬ :ً‫ا‬‫ثالث‬
( 8 ) ‫مثال‬
0
2
3
8
1
2
3
A B
∴
‫مالحظة‬‫مجموعة‬ Z ‫الن‬ ‫التطبيق‬ ‫لهذا‬ ‫كامل‬ ‫مخطط‬ ‫رسم‬ ‫اليمكن‬
‫منتهية‬ ‫غير‬
Z
Z... , -3 , -2 , -1 , 0 ,1 , 2 , 3 , 4 , 5 , ....
... , -2 , -1 , 0 , 1 , 2 , .....
21
1 - 3‫للتطبيق‬ ‫البياني‬ ‫املخطط‬
. ‫سهمية‬ ‫مخططات‬ ‫شكل‬ ‫على‬ ‫التطبيقات‬ ‫مثلنا‬ ‫السابقة‬ ‫االمثلة‬ ‫في‬
ً‫ا‬‫تطبيق‬ r : A B ‫كان‬ ‫عندما‬ ً‫ال‬‫مث‬
A = { 1, 2 , 3 , 4 {
B = { 2 , 3 4 , 5 {
r = { ( 1 , 2 ) , ( 2 , 3 ) , ( 3 , 4 ) , ( 4 , 5 ) } ‫حيث‬
‫هو‬ r ‫للعالقة‬ ‫السهمي‬ ‫المخطط‬ ‫فأن‬
. ‫الشكل‬ ‫في‬ ‫كما‬ ‫بياني‬ ‫بمخطط‬ ‫المرتبة‬ ‫االزواج‬ ‫خالل‬ ‫من‬ r ‫العالقة‬ ‫تمثيل‬ ً‫ا‬‫ايض‬ ‫ويمكن‬
2
3
4
5
1
2
3
4
A B
y
1
2
3
4
5
1 2 3 4 5 60
x
22
A = { 1, 2 , 3 { ‫كان‬ ‫اذا‬
B = { 3 , 5 , 2 {
r : A B
r = { ( 1 , 3 ) , ( 2 , 5 ) , ( 3 , 2 ( { ‫حيث‬
.‫للتطبيق‬ ‫السهمي‬ ‫المخطط‬ ‫إرسم‬ )1
. ‫للتطبيق‬ ‫البياني‬ ‫المخطط‬ ‫إرسم‬ )2
. ‫التطبيق‬ ‫نوع‬ ‫بين‬ )3
‫سهمي‬ ‫بمخطط‬ )1( /‫احلل‬
‫البياني‬ ‫المخطط‬ )2(
) ‫تقابل‬ ، ‫متباين‬ ،‫(شامل‬ ‫التطبيق‬ )3(
( 1 ) ‫مثال‬
2
3
5
1
2
3
A B
y
1
2
3
4
5
1 2 3 4 5 60
X
23
f : A B ‫كان‬ ‫اذا‬
A = { -1 , 2 , -2 {
B = { 1 , 4 {
f ( x ) = x 2
‫وكانت‬
‫نوعه‬ ‫وبين‬ ‫للتطبيق‬ ‫البياني‬ ‫المخطط‬ ‫أرسم‬
/ ‫احلل‬
f(x) = x 2
∴ f (-1) = (-1) 2
= 1
f (2) = (2) 2
= 4
f(-2) = (-2)2
= 4
f = {(-1 , 1) , ( 2 , 4 ) , ( -2 , 4 ) }
} 1 , 4 { = ‫المدى‬
‫المقابل‬ ‫المجال‬ = ‫المدى‬ ‫الن‬ ‫شامل‬ ‫التطبيق‬
‫ألن‬ ‫متباينا‬ ‫ليس‬ ‫التطبيق‬
2 ≠ -2 ⇒ f(2) = f(-2)
ً‫ا‬‫متباين‬ ‫ليس‬ ‫النه‬ ً‫ال‬‫تقاب‬ ‫ليس‬ ‫التطبيق‬
y
X
1
2
3
4
5
1 2 3 4 5 60-1-2
( 2 ) ‫مثال‬
24
:‫البياني‬ ‫بالمخطط‬ ‫ممثلة‬ r : A { 2 , 5 , 8 , 11{ ‫كان‬ ‫اذا‬
. ‫التطبيق‬ ‫نوع‬ ‫بين‬ )3 ‫المدى‬ )2 r , A )1
)1( / ‫احلل‬
r ‫العالقة‬ ‫نجد‬ ‫البياني‬ ‫المخطط‬ ‫من‬
)2(
‫المقابل‬ ‫المجال‬ ≠ ‫المدى‬ ‫الن‬ ً‫ال‬‫شام‬ ‫ليس‬ ‫التطبيق‬ )3(
‫متباين‬ ‫التطبيق‬
ً‫ال‬‫شام‬ ‫ليس‬ ‫النه‬ ً‫ال‬‫تقاب‬ ‫ليس‬ ‫التطبيق‬
( 3 ) ‫مثال‬
y
X
1
2
3
4
5
6
7
8
1 2 3 40
9
10
11
}8 , 5 , 11 { = ‫المدى‬
A = 1,2,3{ }
r = 1,5( ), 2,8( ) , 3,11( ){ }
:‫جد‬
25
/‫تعريف‬
:‫التطبيقات‬ ‫تركيب‬
‫قاعدة‬ ‫بتأثير‬ ‫المجال‬ ‫عناصر‬ ‫صور‬ ‫إيجاد‬ ‫وكيفية‬ ‫وانواعه‬ ‫التطبيق‬ ‫تعريف‬ ‫على‬ ‫الفصل‬ ‫هذا‬ ‫في‬ ‫تعرفنا‬
. ‫فأن‬ f x( ) = x2
+1 ‫حيث‬ f:Q → Q ‫كانت‬ ‫إذا‬ : ً‫ال‬‫مث‬ ،‫اإلقتران‬
‫نوضحه‬ g ، f ،‫معلومين‬ ‫تطبيقين‬ ‫تركيب‬ ‫من‬ ‫ناتج‬ ‫التطبيقات‬ ‫من‬ ‫آخر‬ ‫نوع‬ ‫على‬ ‫نتعرف‬ ‫سوف‬ ‫واآلن‬
:‫اآلتي‬ ‫بالتعريف‬
‫صورة‬ ‫وأن‬ g x( )‫هي‬ g ‫التطبيق‬ ‫بتأثير‬ x ‫صورة‬ ‫فأن‬ g ‫مجال‬ ‫في‬ ً‫ا‬‫عنصر‬ x ، ً‫ا‬‫تطبيق‬ g ، f ‫من‬ ‫كل‬ ‫ليكن‬
‫تركيب‬ (( ‫الجديد‬ ‫التطبيق‬ ‫هذا‬ ‫يسمى‬ f g x( )( ) ‫هي‬ f ‫التطبيق‬ ‫بتأثير‬ g x( ) ‫الجديد‬ ‫االعنصر‬
: ‫التالي‬ ‫المخطط‬ ‫ويوضحه‬ )) f ، g ‫االتطبيقين‬
)fog( ‫بالرمز‬ f g x( )( ) ‫لـ‬ ‫نرمز‬ ‫سوف‬
. g ‫تركيب‬ f ‫هي‬ )fog( ‫قراءة‬ ‫وأن‬ fog( ) x( ) = f g x( )( ) :‫أن‬ ‫أي‬
: f ‫تركيب‬ g ‫يقرأ‬ ‫فأنه‬ )gof( ‫اآلخر‬ ‫التركيب‬ ‫إيجاد‬ ‫عند‬
: ‫ان‬ ‫اي‬
1 - 4‫التطبيقات‬ ‫تركيب‬
Composition of Mappings
fog
x g(x( f(g(x((
fg
gof( ) x( ) = g f x( )( )
f
1
2
⎛
⎝
⎜
⎞
⎠
⎟ =
1
4
+ 1 =
5
4
26
f g x( )( ) ‫نجد‬ ‫كيف‬
. g x( ) ‫أي‬ g ‫التطبيق‬ ‫إقتران‬ ‫قاعدة‬ ‫في‬ x ‫صورة‬ ً‫ال‬‫أو‬ ‫نجد‬ *
. f g x( )( ) ‫أي‬ f ‫التطبيق‬ ‫إقتران‬ ‫قاعدة‬ ‫في‬ g x( ) ‫صورة‬ ‫نجد‬ ‫ثم‬ *
:‫محلولة‬ ‫أمثلة‬
g : N N ‫وان‬ f (x) = 4 x + 3 ‫حيث‬ f : { 1 , 2 , 3 } N ‫ليكن‬
. gof ‫مدى‬ ‫ايجاد‬ ‫والمطلوب‬ g(x) = x + 1 ‫حيث‬
: ‫المخطط‬ ‫الحظ‬
{ 8 , 12 , 16 } = ( gof ) ‫مدى‬ ∴
( 1 ) ‫مثال‬
f (3) = 4 (3) + 3 = 15x = 3 g (15) = 15 + 1 =16 g(f(3(( = 16
f (2) = 4 (2) + 3 = 11x = 2 g (11) = 11 + 1 =12 g(f(2(( = 12
f (1) = 4 (1) + 3 = 7x = 1 f(1)=7
g (7) = 7 + 1 = 8 g(f(1(( = 8
f(2)=11
f(3)=15
27
f : N N , f (x) = 2x + 1 ‫كان‬ ‫اذا‬
g : N N , g (x) = x 2
f(1) , g (1( :ً‫ال‬‫او‬ ‫جد‬
‫؟‬ ‫تالحظ‬ ‫ماذا‬ )gof)(3) , (fog) (3( : ً‫ا‬‫ثاني‬
/‫احلل‬
f (x) = 2 x + 1 ⇒ f(1) = 2(1) +1 : ً‫ال‬‫او‬
f(1) = 3
g (x) = x 2
⇒ g(1) = (1)2
g(1) = 1
‫لنجد‬ : ً‫ا‬‫ثاني‬
A = { 1 , 2 , 3 { ‫كانت‬ ‫اذا‬
f : A A ‫وكان‬
f = {( 1 , 3 ) , ( 3 , 3 ) , ( 2 , 3 ( {
g = { ( 3 , 1 ) , ( 1 , 2 ) , ( 2 , 3 ( {
gof , fog ‫جد‬
( 3 ) ‫مثال‬
( 2 ) ‫مثال‬
(gof) (3)
(gof) (3) = g ( f (3))
= g (2(3)+1)
= g(7 )
=(7)2
= 49
(fog) (3)
(fog) (3) = f (g (3))
= f (32
)
= f(9 )
=2(9) + 1
=19
(fog) (3) ≠ (gof) (3) ‫ان‬ ‫الحظ‬
g : A A
28
/‫احلل‬
fog ‫نجد‬ / ً‫ال‬‫او‬
) fog) (1) = f(g(1)) = f (2) = 3
) fog) (2) = f(g(2)) = f (3) = 3
) fog) (3) = f(g(3)) = f (1) = 3
∴ fog = } )1 , 3 ( , ) 2 , 3 ( , ) 3 , 3({
gof ‫نجد‬ / ً‫ا‬‫ثاني‬
) gof) (1) = g(f(1)) = g (3) = 1
) gof) (2) = g(f(2)) = g (3) = 1
) gof) (3) = g(f(3)) = g (3) = 1
∴ gof = } ) 1 , 1 ( , ) 2 , 1 ( , ) 3 , 1({
‫؟‬ ‫تالحظ‬ ‫ماذا‬
f : Z Z , x ∈ Z , x 3x + 1
g :Z Z , x ∈ Z , x 2x+ 5
) fog ) (x) = 28 ‫كان‬ ‫اذا‬ x ‫قيمة‬ ‫جد‬
) fog) (x) = f(g(x)) = f (2x + 5( /‫احلل‬
= 3 ( 2x + 5 ) + 1
= 6x + 15 + 1
= 6x + 16
∵ )fog) (x) = 28
∴ 6x + 16 = 28
6x = 28 -16
6x = 12 ⇒ x = 2
( 4 ) ‫مثال‬
29
g (x) = x2
+ 3 ‫حيث‬ g : Z N ‫كان‬ ‫اذا‬ /1‫س‬
. ‫مرتبة‬ ‫ازواج‬ ‫شكل‬ ‫على‬ ‫عناصرها‬ ‫بذكر‬ g ‫اكتب‬ *
.‫المدى‬ ‫اكتب‬ *
.‫التطبيق‬ ‫نوع‬ ‫بين‬ *
f (x) = 5x + 2 ‫حيث‬ f : N N ‫كان‬ ‫اذا‬ /2‫س‬
g (x) = x + 3 ‫حيث‬ g : N N
. ‫المرتبة‬ ‫االزواج‬ ‫بذكر‬ fog ‫اكتب‬ *
. fog ‫مدى‬ *
.fog ‫التطبيق‬ ‫نوع‬ ‫بين‬ *
f (x) = 6x - 1 ‫حيث‬ f : Q Q ‫كان‬ ‫س3/اذا‬
g (x) = x2
+ 1 ‫حيث‬ g : Q Q
. ) fog ) (x) = 17 ‫ان‬ ‫علمت‬ ‫اذا‬ x ‫قيمة‬ ‫جد‬
1 2
1
2
30
f (x) = x 3
‫حيث‬ f : Z Z ‫كان‬ ‫اذا‬ /4 ‫س‬
g (x) = 7 ‫حيث‬ g : Z Z
-49 ، 343 ، -7 ، 7 : ‫يساوي‬ )fog)(-1( ∗ :‫فأن‬
1 ، -1 ، -7 ، 7 : ‫يساوي‬ ∗
f (x) = 3x + 4 ‫حيث‬ f : Q Q ‫كان‬ ‫اذا‬ /5 ‫س‬
g (x) = 1-2 x ‫حيث‬ g : Q Q
, )fog( )3( ‫جد‬ ∗
. x ‫قيمة‬ ‫فجد‬ ‫كان‬ ‫اذا‬ ∗
f (x) = 4 x -3 ‫حيث‬ f : { 1 , 2 , 3 ,.... } Z ‫كان‬ ‫اذا‬ /6 ‫س‬
. ‫التطبيق‬ ‫مدى‬ ‫اكتب‬ )1
. ‫عناصره‬ ‫بذكر‬ f ‫التطبيق‬ ‫بيان‬ )2
.‫التطبيق‬ ‫نوع‬ )3
. x ‫قيمة‬ ‫جد‬ f(x) = 53 ‫كان‬ ‫اذا‬ )4
. x ‫قيمة‬ ‫)جد‬f of) (x) = 1 ‫كان‬ ‫اذا‬ )5
(gog)(x)
(gof)(-1)
(gof)(x)=-43
31
.‫االعداد‬ ‫من‬ ‫املزيد‬ ‫الى‬ ‫احلاجة‬ ] 2 - 1[
. ‫احلقيقية‬ ‫االعداد‬ ‫خواص‬ ] 2 - 2[
. ‫التربيعية‬ ‫اجلذور‬ ] 2 - 3[
. ‫التكعيبية‬ ‫اجلذور‬ ] 2 - 4[
‫احلقيقية‬ ‫األعداد‬
Real Numbers
3
a.b3
=a3
.b3a
b
3=
a3
b3
‫الرياضية‬ ‫العالقة‬ ‫او‬ ‫الرمز‬ ‫املصطلح‬
R ‫احلقيقية‬ ‫االعداد‬
Q ‫النسبية‬ ‫االعداد‬
H ‫النسبية‬ ‫غير‬ ‫االعداد‬
‫التربيعي‬ ‫اجلذر‬
‫التكعيبي‬ ‫اجلذر‬
2‫الثاني‬ ‫الفصل‬
: ‫هي‬ ‫اساسية‬ ‫مجموعات‬ ‫على‬ ‫دراستنا‬ ‫من‬ ‫سابقة‬ ‫مراحل‬ ‫في‬ ‫تعرفنا‬
. N = { 0 , 1 , 2 , 3 , 4 , ....} (Natural Numbers ( ‫الطبيعية‬ ‫االعداد‬ ‫مجموعة‬ . 1
}... , -3 , -2 , -1 , 0 , +1 , +2 , +3 , ...{ ) (‫الصحيحة‬ ‫االعداد‬ ‫مجموعة‬ .2
Q = { a
b
: a , b ∈ Z , b ≠ 0 { ) ( ‫النسبية‬ ‫االعداد‬ ‫مجموعة‬ . 3
‫المعادالت‬ ‫بعض‬ ‫حل‬ ‫من‬ ‫ذلك‬ ‫مكننا‬ ‫وقد‬ ‫قبلها‬ ‫التي‬ ‫المجموعة‬ ‫تحوي‬ ‫منها‬ ‫مجموعة‬ ‫كل‬ ‫ان‬ ‫والحظنا‬
‫)حيث‬x=-2( ‫قيمة‬ ‫الن‬ )N( ‫في‬ ‫حل‬ ‫لها‬ ‫ليست‬ ) x + 2 = 0 ( ‫المعادلة‬ ً‫ال‬‫فمث‬ ‫والمسائل‬
. ‫سالبة‬ ً‫ا‬‫اعداد‬ ‫تحوي‬ ‫النها‬ ‫وامثالها‬ ‫المعادلة‬ ‫هذه‬ ‫حل‬ ‫على‬ ‫قادرة‬ Z ‫لتصبح‬ )N( ‫وسعت‬ ‫لذلك‬
‫هكذا‬
3
2
∌ Z ، y = 3
2
‫قيمة‬ ‫الن‬ Z ‫في‬ ‫حل‬ ‫لها‬ ‫ليست‬ ) 2y - 3 = 0 ( ‫المعادلة‬ ‫كذلك‬
‫مجموعة‬ ‫حيث‬ ) ax + b = 0 , a ≠ 0 ( ‫بالصورة‬ ‫معادلة‬ ‫الية‬ ً‫ال‬‫ح‬ ‫لتوفر‬ )Q( ‫المجموعة‬ ‫اوجدت‬
.} -
b
a
{‫الحل‬
‫النه‬ ) x2
= 3 ( ‫المعادلة‬ ً‫ال‬‫مث‬ Q ‫في‬ ‫حلها‬ ‫تستطيع‬ ‫ال‬ ‫والمسائل‬ ‫المعادالت‬ ‫من‬ ‫العديد‬ ‫هناك‬ ‫لكن‬
‫(مجموعة‬ ‫ميت‬ ُ‫س‬ ‫االعداد‬ ‫من‬ ‫جديدة‬ ‫مجموعة‬ ‫الى‬ ‫الحاجة‬ ‫دعت‬ ‫لذلك‬ . )3( ‫مربعه‬ ‫نسبي‬ ‫عدد‬ ‫اليوجد‬
‫المعادالت‬ ‫من‬ ‫الكثير‬ ‫حل‬ ‫خاللها‬ ‫من‬ ‫لنستطيع‬ )R( ‫لها‬ ‫ويرمز‬ )Real Numbers ‫الحقيقية‬ ‫االعداد‬
.‫والمسائل‬
: ‫ان‬ ‫واضح‬
Ingteres
Rational Numbers
-2 ∉ N
N ⊂ Z ⊂ Q ⊂ R
N
Z
Q
R
Z =
‫االعداد‬ ‫من‬ ‫مزيد‬ ‫الى‬ ‫احلاجة‬
‫الفصل‬
2 2 - 1
H
33
)H) Irrational Numbers ‫النسبية‬ ‫غير‬ ‫االعداد‬ .4
}- , , 7 , 4 . 14{ ‫الشكل‬ ‫على‬ ‫ليست‬ ‫اعداد‬ ‫الى‬ ‫الحاجة‬ ‫توضحت‬ ‫سبق‬ ‫ما‬ ‫كل‬ ‫من‬
. ) b ≠ 0 ، ‫صحيحة‬ ‫اعداد‬ a , b ‫حيث‬ ‫بالصورة‬ ‫وضعها‬ ‫يمكن‬ ‫ال‬ ‫(اي‬
‫االعداد‬ ‫مربعات‬ ‫انها‬ ‫اي‬ ( ‫كاملة‬ ‫مربعات‬ ‫سميت‬ ‫نسبية‬ ‫اعداد‬ ‫على‬ ً‫ال‬‫مفص‬ ‫تعرفنا‬ ‫السابقة‬ ‫المرحلة‬ ‫وفي‬
. B ∈ Q ‫حيث‬ ) B 2
( ‫وصورتها‬ )‫نسبية‬
. 25 = 52
, 4 = 22
ً:‫مثال‬
.‫الخ‬ ..
49
64
=
7
8
, 25 = 5, 4 = 2 ‫نسبية‬ ‫اعداد‬ ‫هي‬ ‫االعداد‬ ‫لهذه‬ ‫التربيعية‬ ‫والجذور‬
‫ليست‬ ً‫ا‬‫اعداد‬ ‫التربيعية‬ ‫جذورها‬ ‫تكون‬ 5 ، 3 ، 2 ً‫ال‬‫مث‬ ‫كاملة‬ ‫مربعات‬ ‫ليست‬ ‫التي‬ ‫النسبية‬ ‫االعداد‬ ‫اما‬
1000 ، 27 ، 8 ‫كاالعداد‬ ) ‫الكاملة‬ ‫(المكعبات‬ ‫النسبية‬ ‫االعداد‬ ‫كذلك‬(... 5, 3, 2) ‫نسبية‬
. ‫نسبية‬ ‫اعداد‬ ‫التكعيبية‬ ‫جذورها‬ ‫تكون‬
‫اتحاد‬ ‫وان‬ ‫نسبية‬ ‫ليست‬ ‫التكعيبية‬ ‫جذورها‬ ‫تكون‬ : ً‫ال‬‫مث‬ ‫االخرى‬ ‫واالعداد‬
. R ‫الحقيقية‬ ‫األعداد‬ ‫مجموعة‬ ‫يمثل‬ ” H ‫النسبية‬ ‫غير‬ ‫واالعداد‬ Q ‫النسبية‬ ‫“االعداد‬ ‫المجموعتين‬
‫االعداد‬ ‫مستقيم‬
‫سالبة‬ ‫اعداد‬ ‫موجبة‬ ‫اعداد‬
1
5
2
3
a
b
R = Q ∪ H
10003
= 10 , 273
= 3 , 83
= 2
53
, 33
, 23
-3 -2 -1 1 2 3
(... 5, 3, 2)
1
2
-
O
34
2 - 2‫احلقيقية‬ ‫االعداد‬ ‫خواص‬
ً‫ال‬‫او‬
: ‫يلي‬ ‫ما‬ ‫وتتضمن‬ ‫الحقيقية‬ ‫االعداد‬ ‫لمجموعة‬ ‫المهمة‬ ‫الخواص‬ ‫من‬ ‫الخاصية‬ ‫هذه‬ ‫عتبر‬ُ‫ت‬
: ‫صائبة‬ ‫االتية‬ ‫الحاالت‬ ‫من‬ ‫فقط‬ ‫واحدة‬ ‫فان‬ a ∈ R ‫كان‬ ‫اذا‬ .1
‫االعداد‬ ‫خط‬ ‫على‬ ‫الصفر‬ ‫يمين‬ ‫على‬ ‫يقع‬ )‫موجب‬ ‫(عدد‬ a  0 , a = 0
‫االعداد‬ ‫خط‬ ‫على‬ ‫الصفر‬ ‫يسار‬ ‫على‬ ‫يقع‬ )‫سالب‬ ‫(عدد‬ a  0
: ‫تتحقق‬ ‫العالقات‬ ‫هذه‬ ‫من‬ ‫فقط‬ ‫واحدة‬ ‫فان‬ a , b ∈ R ‫كان‬ ‫اذا‬ .2
a = b , a  b , a  b
a , b , c ∈ R ‫لكل‬ ‫والضرب‬ ‫الجمع‬
0 ‫موجب‬‫سالب‬
a=0 a0a0
Property ‫اخلاصية‬Addition ‫اجلمع‬Multiplication ‫الضرب‬
clousre ‫االنغالق‬a +b ∈ Ra . b ∈ R
Commutativity ‫االبدالية‬a + b = b + aa. b = b . a
Associativity ‫التجميعية‬) a +b ) + c = a +( b + c() a . b ).c = a . (b . c(
‫احملايد‬ ‫العنصر‬
Idetity Element
a + 0 = 0 + a = a
0 ‫هو‬ ‫احملايد‬ ‫العنصر‬
a.1 = 1.a =a
1 ‫هو‬ ‫احملايد‬ ‫العنصر‬
Inverse ‫النظير‬‫اجلمعي‬ ‫النظير‬
Additive Inverse
a + (-a ) = ( -a) +a =0
‫الضربي‬ ‫النظير‬
Multiplicative
Inverse
a ‫للعدد‬ ‫الضربي‬ ‫النظير‬
, a ≠ 0
‫حيث‬ ‫هو‬1
a
1
a
a . ( ) = ( ). a = 11
a
Order Property ‫الترتيب‬ ‫خاصية‬ ]2 - 2 - 1[
‫الحقيقية‬ ‫االعداد‬ ‫على‬ ‫العمليات‬ ‫بعض‬ ‫خواص‬ ]2 - 2 - 2[
35
‫والقسمة‬ ‫الطرح‬
‫النظير‬ ‫مع‬ a ‫جمع‬ . ‫يعني‬ a ‫من‬ b ‫طرح‬ ‫اي‬ a - b = a + (-b ( : ‫االتي‬ ‫بالشكل‬ ‫يعرف‬ :‫الطرح‬
.b ‫للعدد‬ ‫الجمعي‬
‫ضرب‬ ‫حاصل‬ ‫تعني‬ b ‫على‬ a ‫قسمة‬ ‫اي‬ a ÷ b = a . , b ≠ 0 : ‫االتي‬ ‫بالشكل‬ ‫تعرف‬ :‫القسمة‬
b ≠ 0 ‫ان‬ ‫شرط‬ b ‫للعدد‬ ‫الضربي‬ ‫النظير‬ ‫في‬ a ‫العدد‬
‫والطرح‬ ‫الجمع‬ ‫على‬ ‫الضرب‬ ‫عملية‬ ‫توزيع‬
a , b , c ∈ R ‫لكل‬
a . ( b + c ) = ( a . b ) + ( a . c )
a . ( b - c ) = ( a . b ) - ( a . c )
:‫اي‬ ً‫ا‬‫سابق‬ ‫درستها‬ ‫كما‬ ‫نفسها‬ ‫االشارات‬ ‫ضرب‬ ‫قواعد‬ ‫تطبيق‬
1) - ( - a ) = a
2) a ( - b ) = - ( ab)
3 ) ( -a ) ( -b ) = ab
= , = , a , b , c ∈ R
b ≠ 0 , c ≠ 0
:‫كان‬ ‫اذا‬
ً‫ا‬‫ثاني‬
1
b
ً‫ا‬‫ثالث‬
ً‫ا‬‫رابع‬
ً‫ا‬‫خامس‬
a
b
a . c
b . c
a
b
a ÷ c
b ÷ c
ً‫ا‬‫سادس‬
Distributive property
‫كالهما‬ ‫او‬ b = 0 ‫او‬ a = 0 ‫فان‬ a . b = 0)‫الصفري‬ ‫العامل‬ ‫(خاصية‬Zero Factor Property
‫لكل‬
36
ً‫ا‬‫جذر‬ ‫يسمى‬ )a( ‫مربعه‬ ‫عدد‬ ‫فاي‬ ) a ≥ 0 ( ً‫ا‬‫سالب‬ ‫ليس‬ ً‫ا‬‫حقيقي‬ ً‫ا‬‫عدد‬ )a( ‫كانت‬ ‫اذا‬ ‫بانه‬ ‫تعلمت‬ ‫ان‬ ‫سبق‬
. a ‫له‬ ‫ويرمز‬ )a( ‫للعدد‬ ً‫ا‬‫تربيعي‬
،
3
4
,22
= 4 ‫الن‬ ( 4 = 2)4 ‫للعدد‬ ً‫ا‬‫تربيعي‬ ً‫ا‬‫جذر‬ 2 ‫/العدد‬ ً‫ال‬‫مث‬
. ‫حيث‬
)2-1( ‫تعريف‬
.b2
= a ‫ان‬ ‫أي‬ a ‫مربعه‬ ً‫ا‬‫سالب‬ ‫ليس‬ ً‫ا‬‫حقيقي‬ ً‫ا‬‫عدد‬ b ‫حيث‬ a = b ‫فان‬ a ≥ 0 , a ∈ R ‫لتكن‬
a ‫فان‬ a : ‫كذلك‬ ، a = 32
= 9 ‫فان‬ a ‫كانت‬ ‫اذا‬ : ً‫ال‬‫مث‬
: ‫الجذور‬ ‫خواص‬ ‫ومن‬
b ≥ 0 , a ≥ 0 ‫حيث‬ ‫صحيح‬ ‫والعكس‬ ab = a . b : ‫فان‬ a , b ∈ R ‫كانت‬ ‫اذا‬ - 1
: ‫كذلك‬ / ً‫ال‬‫مث‬
ً‫ال‬‫مث‬ ‫صحيح‬ ‫والعكس‬ ‫و‬ b  0 , a ≥ 0 - 2
10 = 10. 10 , 8. 8 = 8 ‫صحيح‬ ‫والعكس‬ a ≥ 0 , a . a = a - 3
2 - 3‫التربيعية‬ ‫اجلذور‬
9
16
=
3
4
⎛
⎝
⎜
⎞
⎠
⎟
9
16
= 3=
3
4
3 . 5 = 1521 = 7. 3
=
9
25
=
9
25
=
3
5
a
b
a
b
3
4
‫للعدد‬ ً‫ا‬‫تربيعي‬ ً‫ا‬‫جذر‬
=
3
4
⎛
⎝
⎜
⎞
⎠
⎟
2
=
9
16
‫وكذلك‬
4
9
=
4
9
=
2
3
4
9
=
4
9
=
2
3
=
2
3
37
: ‫صورة‬ ‫ابسط‬ ‫في‬ ‫ضع‬
a)
b)
c)
d)
e)
f)
)c( ‫الفرع‬ ‫في‬ ‫كما‬ ً‫ة‬‫مباشر‬ )f( ‫حل‬ ‫ميكن‬
( 1 ) ‫مثال‬
3 5 +2 5 −6 5 = 5 3+ 2 − 6( ) = 5 −1( ) = − 5
4 3 +1( )+ 3 3 −1( )
= 4 3 + 4 + 3 3 − 3 = 7 3 +1
+( ), ≥ 0 , ≥ 0a b a b
2 2 +5( )−2 1− 3 2( )
= 2. 2 +5 2 −2+6 2
= 2+5 2 −2+6 2
= 2 −2( )+ 5+ 6( ) 2 = 0+11 2
=11 2
7 +2( ) 3+ 7( )
= 3 7 + 7. 7 +6+2 7
= 3 7 + 7+ 6+2 7
= 3+2( ) 7 +13 = 5 7 +13
5 − 2( )
2
= 5 − 2( ) 5 − 2( )
= 5. 5( )− 5. 2( )− 2. 5( )+ 2. 2( )
= 5 − 5×2 − 2×5 +2
= 5 − 10 − 10 +2 = 7 −2 10
2
= ( )
2
+ 2 +( )
2
= + 2 +a a b b a ab b.
38
( 2 ) ‫مثال‬
( 3 ) ‫مثال‬
: ‫مماياتي‬ ً‫ال‬‫ك‬ ‫صورة‬ ‫ابسط‬ ‫في‬ ‫ضع‬
a) 3 8 +2 50 − 32
b) 125 − 20 − 4 45
)a(/‫احلل‬
)b(/ ‫احلل‬
. ً‫ا‬‫نسبي‬ ً‫ا‬‫عدد‬ ‫المقام‬ ‫يكون‬ ‫بحيث‬ −
4
5
,
2
3
,
1
2
‫االعداد‬ ‫اكتب‬
‫في‬ ‫والمقام‬ ‫البسط‬ ‫بضرب‬
‫في‬ ‫والمقام‬ ‫البسط‬ ‫بضرب‬
‫في‬ ‫والمقام‬ ‫البسط‬ ‫بضرب‬
3 8 +2 50 − 32
= 3 4 ×2 +2 25× 2 − 16×2
= 3 4. 2 +2 25. 2 − 16. 2
= 3×2 2 +2×5 2 − 4 2
= 6 2 +10 2 − 4 2 =12 2
125 − 20 − 4 45
= 25( ) 5( ) − 4( ) 5( ) − 4 9( ) 5( )
= 25. 5 − 4. 5 − 4 9. 5
= 5 5 −2 5 −12 5
= −9 5
1
2
=
1
2
.
2
2
=
2
2
2
3
=
2
3
.
3
3
=
2 3
3
−4
5
=
−4
5
.
5
5
=
−4 5
5
2
3
5
39
( 5 ) ‫مثال‬
( 4 ) ‫مثال‬
‫صورة‬ ‫ابسط‬ ‫في‬ ‫اختصر‬
:B ‫في‬ ‫الزاوية‬ ‫قائم‬ ‫مثلث‬ A B C :‫المجاور‬ ‫الشكل‬ ‫في‬
. AC ‫طول‬ ‫جد‬ BC = cm , AB = cm
‫؟‬ ‫المثلث‬ ‫مساحة‬ ‫وما‬
/ ‫احلل‬
‫فيثاغورس‬ ‫مبرهنة‬
‫المثلث‬ ‫مساحة‬ )AC)2
= ( AB )2
+ ( BC(2
)AC)2
∴)AC(2
A =
1
2
× AB × BC
A =
1
2
× 3 2 × 6
A =
3
2
2×6
A =
3
2
4 × 3
A = 3 3
A =
1
2
× AB × BC
A =
1
2
× 3 2 × 6
A =
3
2
2×6
A =
3
2
4 × 3
A = 3 3
AC( )
2
= AB( )
2
+ BC( )
2
= 3 2( )
2
+ 6( )
2
= 9×2+6
AC( )
2
= 24
∴ AC = 24 = 2 6AC
3
4
+
1
3
−
25
12
=
3
4
+
1
3
−
25
12
=
3
2
+
1
3
−
5
4( ) 3( )
=
3
2
+
1
3
.
1
3
−
5
2 3
.
3
3
=
3
2
+
1
3
−
5 3
6
=
3 3 +2 − 5 3
6
=
2 − 2 3
6
=
1− 3
3
3
3 3 − 5 3
=
5 3 − 5 3
6
=
0
6
= 0
2
= ‫المساحة‬∴3 3
A =
1
2
× AB × BC
A =
1
2
× 3 2 × 6
A =
3
2
2×6
A =
3
2
4 × 3
A = 3 3
(AB)(BC)
3 2( ) 6( )
A
B C
3 2cmcm
6 cm
cm
cm
40
2 1
a( :‫صورة‬ ‫ابسط‬ ‫في‬ ‫يأتي‬ ‫مما‬ ً‫ال‬‫ك‬ ‫ضع‬ / 1‫س‬
b)
:‫صورة‬ ‫ابسط‬ ‫في‬ ‫يأتي‬ ‫مما‬ ً‫ال‬‫ك‬ ‫/ضع‬ 2‫س‬
a)
b)
c)
d)
e)
:‫االتية‬ ‫العبارات‬ ‫خطأ‬ ‫او‬ ‫صحة‬ ‫بين‬ / 3‫س‬
a)
b)
c)
d)
: ً‫ا‬‫نسبي‬ ً‫ا‬‫عدد‬ ‫المقام‬ ‫يكون‬ ‫بحيث‬ ‫يأتي‬ ‫مما‬ ‫كل‬ ‫في‬ b ≠ 0 , ‫حيث‬ , a2
‫جد‬ / 4‫س‬
a) a
b) a
c) a
1
4
7 -
3
2
5 +
3
4
7
2 3 −5 2 + 3 − 4 2
3 2(4 2 − 3)
(2 3 + 5)(3 3 −2 5)
(4 6 − 3)2
, (1− 2)3
, ( 3 + 2)2
( 3 − 2)
(1− 2)3
, ( 3 + 2)2
( 3 − 2)
1- 2( )
3
a2
b
= 2 2 , = 3
= 2 - 2 , = 3
= - 4 3 , = - 2
b
b
b
+
−
3 + 3 = 6
8 + 2 = 3 2
12 = 2 6
2 3 × 3 3 = 6 33 3( )2 3( )
a2
b ,
41
a( -: ‫االتية‬ ‫المقادير‬ ‫اختصر‬ / 5‫س‬
b)
c)
d)
: ‫هي‬ x ‫قيمة‬ ‫كانت‬ ‫اذا‬ 4x2
- 2x + 5 : ‫االتي‬ ‫المقدار‬ ‫قيمة‬ ‫جد‬ ) a/ 6‫س‬
14 cm2
‫تساوي‬ ABCD ‫المستطيل‬ ‫مساحة‬ ‫كانت‬ ‫اذا‬ ‫المجاور‬ ‫الشكل‬ ‫في‬ x ‫قيمة‬ ‫جد‬ )b
ABC ‫المثلث‬ ‫مساحة‬ ‫جد‬ )c
48 - 3 75 - 2 12
20 - 12 5 - 5
1
5
5
3
10
- 2
5
6
-
15
32
5 , 1 - 2 ,
1
2
( 2 - 3 )
A
D C
B
- 2( )
+ 2( )x
x
+
+
A
5 + 2
5 - 2
CB
3
3
‫حيث‬ x  2
2 63 - 7
2
7
- 3 282
1
7
2 63 - 7
2
7
- 3 28
42
. a ‫للعدد‬ ً‫ا‬‫تكعيبي‬ ً‫ا‬‫جذر‬ ‫يسمى‬ )a( ‫العدد‬ ‫مكعبه‬ ‫عدد‬ ‫اي‬ ‫فان‬ aa ∈ RR ‫كان‬ ‫اذا‬
)2-2( ‫تعريف‬
a ‫مكعبه‬ ‫الذي‬ ‫الوحيد‬ ‫الحقيقي‬ ‫العدد‬ ‫هو‬ b ‫حيث‬ a = b ‫فان‬ a R ‫كان‬ ‫اذا‬
b3
= a : ‫ان‬ ‫اي‬
: ً‫ال‬‫فمث‬ ‫وحيد‬ ‫تكعيبي‬ ‫جذر‬ ‫حقيقي‬ ‫عدد‬ ‫لكل‬ ‫ان‬ ‫يالحظ‬
( 273
= 3) ‫ان‬ ‫(72)اي‬ ‫للعدد‬ ‫التكعيبي‬ ‫الجذر‬ ‫هو‬ )3(
( −643
= −4) ‫ان‬ ‫اي‬ )-64( ‫للعدد‬ ‫التكعيبي‬ ‫الجذر‬ ‫هو‬ )-4(
‫ان‬ ‫اي‬8
125
3 =
2
5
,
8
125
‫للعدد‬ ‫التكعيبي‬ ‫الجذر‬ ‫هو‬ ) 2
5
(
2 - 4
‫التكعيبية‬ ‫اجلذور‬
a ∈ R
8
125
3 =
2
5
,
8
125
( )
33
: ‫انه‬ ‫سبق‬ ‫مما‬ ‫نستنتج‬
)‫(سالب‬ b 0 ‫فان‬ a 0 ‫كان‬ ‫اذا‬ )*(
)‫(موجب‬b 0 ‫فان‬ a 0 ‫كان‬ ‫اذا‬ )*(
b = 0 ‫فان‬ a = 0 ‫كان‬ ‫اذا‬ )*(
a  0a  0
a  0 a  0
‫مالحظة‬
43
: ‫فان‬ a , ba,b ∈ RR ‫كان‬ ‫اذا‬
a . b = a . b
a . a = a3
= a
a . a = a2
≠ a
543
− 3 163
− 4 1283 : ‫التالي‬ ‫المقدار‬ ‫بسط‬
/ ‫احلل‬
‫االقل‬ ‫على‬ ‫كامل‬ ‫مكعب‬ ‫احدهما‬ ‫عاملين‬ ‫الى‬ 128 ، 16 ، 54 ‫االعداد‬ ‫نحلل‬
( 1 ) ‫مثال‬
3 3 3
3
= , b ≠ 0
a
b
3
3
a
b
3 3 3
3
3
3
1) ‫صحيح‬ ‫والعكس‬
2)
3)
‫صحيح‬ ‫والعكس‬
‫صحيح‬ ‫والعكس‬3 3 33 3 32
4) 3 3 33 3 3
‫ان‬ ‫الحظ‬
: ‫التكعيبية‬ ‫الجذور‬ ‫خواص‬ ‫من‬
= 33
2 − 3 × 23
2 - 4 × 43
2
3
54 =3
27 . 2 = 3
27 . 3
2 = 33
2
163
= 83
. 23
= 2 23
1283
= 643
. 23
= 4 23
= −19 23
∴ 543
− 3 163
− 4 1283 3 3
44
3
-a = 3
a
5
1
16
3 − 323
− 3
−1
2
3 : ‫التالي‬ ‫المقدار‬ ‫بسط‬
/ ‫احلل‬
: ‫مالحظة‬
: ‫فان‬ aa  00 ‫كانت‬ ‫اذا‬
= 5
1
16
×
4
4
3 − 8× 43
+ 3
1
2
×
4
4
3
= 5
4
64
3 −2 43
+ 3
4
8
3
=
5 43
4
−2 43
+
3 43
2
=
5 43
−8 43
+6 43
4
.‫اجلانبية‬ ‫ومساحته‬ ‫حجمه‬ ‫جد‬ ‫ضلعه‬ ‫طول‬ ‫مكعب‬
.A ‫الجانبية‬ ‫ومساحته‬ v ‫المكعب‬ ‫حجم‬ ‫نفرض‬ / ‫احلل‬
‫واحد‬ ‫وجه‬ ‫مساحة‬ × 4 = ‫للمكعب‬ ‫اجلانبية‬ ‫املساحة‬ )‫الضلع‬ ‫(طول‬3
= ‫املكعب‬ ‫حجم‬
( 2 ) ‫مثال‬
33
−
=
3
4
43
( 3) ‫مثال‬
= 3 43
( )
2
× 4
= 43
. 43
( )× 4
= 163
( )× 4
= 23
. 83
( )× 4
= 23
× 2 × 4
=8 23
cm2
= 3 43
.3 43
( )×4
= 9 163
( )×4
= 9 23
. 83
( )×4
= 9 23
×2×4
= 72 23
cm2
= 3 43
( )
3
=33
. 43
. 43
. 43
=27. 643
= 27( ). 4( )
=108 cm3
‫املكعب‬ ‫حجم‬
v
3 43
3 23
cm
A
‫مربع‬
‫مربع‬
‫مربع‬
‫مربع‬
= 3 43
( )
3
=33
. 43
. 43
. 43
=27. 643
= 27( ). 4( )
=108 cm3
45
:‫التالية‬ ‫املقادير‬ ‫اختصر‬ / 1‫س‬
a)
b)
c)
23
+1( ) 43
- 23
+1( ) ‫ناجت‬ ‫جد‬ / 2‫س‬
. ‫الكلية‬ ‫ومساحته‬ ‫حجمه‬ ‫جد‬ cm ‫ضلعه‬ ‫طول‬ ‫مكعب‬ : ‫املجاور‬ ‫الشكل‬ ‫في‬ / 3‫س‬
‫طول‬ ‫وحدة‬ 6
33
,
5
43
,
3
23
: ‫ابعاده‬ ‫مستطيلة‬ ‫سطوح‬ ‫متوازي‬ / 4‫س‬
.‫صورة‬ ‫ابسط‬ ‫في‬ ‫حجمه‬ ‫جد‬
2 2
7 543
− −163
+ 4 −1283
2 33
2
33
813
− −243
− 3 =
−1
9
3813
− −243
− 3 =
−1
9
3
323
+ 2
1
2
3 − (-2)23
‫احلدوديات‬
Polynomials
‫مراجعة‬ ]3-1[
‫مكعبني‬ ‫بني‬ ‫الفرق‬ ‫حتليل‬ ]3-2[
‫مكعبني‬ ‫مجموع‬ ‫حتليل‬ ]3-3[
‫الثالثية‬ ‫احلدوديات‬ ‫حتليل‬ ]3-4[
‫الكامل‬ ‫املربع‬ ‫حتليل‬ ]3-5[
‫األصغر‬ ‫املشترك‬ ‫واملضاعف‬ ‫األكبر‬ ‫املشترك‬ ‫العامل‬ ]3-6[
‫اجلبرية‬ ‫املقادير‬ ‫تبسيط‬ ‫في‬ ‫التحليل‬ ‫إستخدام‬ ]3-7[
‫الرياضية‬ ‫العالقة‬ ‫او‬ ‫الرمز‬ ‫املصطلح‬
‫األكبر‬ ‫املشترك‬ ‫العامل‬
‫األصغر‬ ‫املشترك‬ ‫املضاعف‬
a+b()
2
=a2
+2ab+b2−−
LCM
GCF
3‫الثالث‬ ‫الفصل‬
ً‫ال‬‫او‬
:‫بين‬ ‫الفرق‬ ‫نوضح‬ ‫سوف‬ ‫ذلك‬ ‫وقبل‬ .‫الحدوديات‬ ‫موضوع‬ ‫في‬ ً‫ا‬‫سابق‬ ‫درست‬ ‫ما‬ ‫مراجعة‬ ‫المفيد‬ ‫من‬
. ) x2
)3
, 4x , x4
x4
= x . x . x. x ‫مرات‬ 4 ‫نفسه‬ ‫في‬ x ‫ضرب‬ ‫أي‬
4x = x + x + x +x ‫مرات‬ ‫اربعة‬ x ‫جمع‬ ‫أي‬
)x2
(3
= )x2
( )x2
( )x2
(
∴ )x2
(3
= )x( )x( )x( )x( )x( )x( = x6
= x)2()3(
:‫أخرى‬ ‫حدانية‬ ‫في‬ ‫حدانية‬ ‫ضرب‬
) 2x - 1( ) x + 3( ‫ناتج‬ ‫إيجاد‬ ‫كيفية‬ ‫نتذكر‬ ‫ان‬ ‫نحاول‬
) 2x - 1 ( ) x + 3 ( = 2x )x(+ 2x )3( - 1 )x( - 1 )3(
= 2x2
+ 6x - x - 3
= 2x2
+ 5x - 3
2x2
+ 5x-3 ‫هو‬ ) 2x - 1 ( ) x + 3( ‫ضرب‬ ‫حاصل‬ ‫ناتج‬ ‫أن‬ ‫أي‬
‫حدانية‬ ‫مربع‬
) x + 5(2
‫ناتج‬ ‫إيجاد‬ ‫خطوات‬ ‫تأمل‬
) ً‫ا‬‫جبري‬ ( ) ً‫ا‬‫هندسي‬ (
x + 5
)x + 5 (2
= ) x + 5 ( ) x + 5(
= x)x( + x )5( + 5 )x( + 5 ) 5(
= x2
+ 10x + 25
ً‫ا‬‫ثاني‬
x
+
5
x2
5x
5x 25
3 - 1‫مراجعة‬
‫الفصل‬
3
48
‫األكبر‬ ‫املشترك‬ ‫العامل‬ ‫بإيجاد‬ ‫حدودية‬ ‫حتليل‬
)G.C.F( ‫اآلكبر‬ ‫المشترك‬ ‫العامل‬ ‫بإستخراج‬ ‫اآلتية‬ ‫الحدودية‬ ‫نحلل‬ ‫ان‬ ‫لنحاول‬
6x3
y2
+ 12 x y3
6x3
y2
= )2( )3( )x( )x( )x( )y( ) y(
12x y3
= )2( )2( )3( )x( )y( )y( )y(
)2( )3( )x( )y( )y(
‫التحليل‬‫سيكون‬‫لذا‬ 6x y2
:‫هو‬ ‫األكبر‬ ‫المشترك‬ ‫العامل‬ ً‫ا‬‫اذ‬
6x3
y2
+ 12x y3
=)6x y2
( ] x2
+ 2y[
‫مربعين‬ ‫بين‬ ‫الفرق‬ ‫تحليل‬
9x2
- 16 = )3x( 2
- )4(2
9 x 2
- 16 ‫حلل‬ :ً‫ال‬‫فمث‬
= ) 3x - 4 ( ) 3x +4(
.‫األخرى‬ ‫التحليل‬ ‫طرق‬ ‫ألكمال‬ ‫الالحقة‬ ‫البنود‬ ‫في‬ ‫سنتطرق‬ ‫المختصرة‬ ‫المراجعة‬ ‫هذه‬ ‫بعد‬
‫عامة‬ ‫وبصورة‬
) a + b ) 2
= a 2
+ 2ab + b2--
ً‫ا‬‫ثالث‬
ًً‫ا‬‫رابع‬
∗ ∗
∗
∗ ∗∗ ∗
‫عامة‬ ‫وبصورة‬
a2
- b2
= (a - b)(a + b(
49
.‫التوزيع‬ ‫بطريقة‬ ‫األقواس‬ ‫فك‬ ‫كيفية‬ ً‫ا‬‫سابق‬ ‫تعلمت‬
‫ينتج؟‬ ‫ماذا‬ ) a2
+ ab + b2
( ‫في‬ )a -b( ‫ضربنا‬ ‫لو‬ ً‫ال‬‫فمث‬
) a - b ) (a 2
+ ab + b2
(
= a ( a2
) + a(ab) + a(b2
) - b(a2
) - b(ab) - b(b2
(
= a 3
+ a2
b + ab2
- b a2
- ab2
- b3
= a 3
- b3
‫مكعبني‬ ‫بني‬ ‫الفرق‬ ‫تسمى‬ a3
-b3
:‫الصورة‬ ‫ان‬
3 - 2‫مكعبني‬ ‫بني‬ ‫الفرق‬ ‫حتليل‬
)‫تكعيب‬ a ‫تقرأ‬ a3
(
‫عامة‬ ‫وبصورة‬
) a3
- b3
) = ( a - b )(a2
+ab +b2
(
/ ‫ويالحظ‬
a3
‫لـ‬ ‫التكعيبي‬ ‫اجلذر‬ ‫هو‬ a
b3
‫لـ‬ ‫التكعيبي‬ ‫هواجلذر‬ b
/ ‫مالحظة‬. R ‫في‬ ‫يتحلل‬ ‫ال‬ )a2
+ab+b2
( ‫العامل‬
50
‫م‬
:‫يأتي‬ ‫مما‬ ً‫ال‬‫ك‬ ‫حلل‬
1) x3
-27 2) 8x3
-125y3
3) -
4) a6
-b6
/‫احلل‬
1) x3
- 27= (x-3)(x2
+3x+9)
(x)3
(3)3
2) 8x3
- 125y3
= (2x-5y)((2x)2
+(2x)(5y)+(5y)2
)
(2x)3
(5y)3
3)
4) a6
- b6
= (a2
-b2
)((a2
)2
+(a2
)(b2
)+(b2
)2
)
(a2
)3
(b2
)3
= (a2
-b2
)(a4
+a2
b2
+b4
)
‫مثال‬


Qg(x) = 4x − 7
g(x) =10
∴10 = 4x − 7
⇒ 4x =10+ 7
⇒ 4x = 17
⇒ x =
17
4
∈ Q
1
a3


Qg(x) = 4x − 7
g(x) =10
∴10 = 4x − 7
⇒ 4x =10+ 7
⇒ 4x = 17
⇒ x =
17
4
∈ Q
64
b3
1
a3
-
64
b3
=
1
a
-
4
b
⎛
⎝
⎜
⎞
⎠
⎟
1
a
⎛
⎝
⎜
⎞
⎠
⎟
2
+
1
a
⎛
⎝
⎜
⎞
⎠
⎟
4
b
⎛
⎝
⎜
⎞
⎠
⎟+
4
b
⎛
⎝
⎜
⎞
⎠
⎟
2⎛
⎝
⎜⎜
⎞
⎠
⎟⎟
1
a
⎛
⎝
⎜
⎞
⎠
⎟
3
64
b3
⎛
⎝
⎜
⎞
⎠
⎟ =
1
a
-
4
b
⎛
⎝
⎜
⎞
⎠
⎟
1
a2
+
4
ab
+
16
b2
⎛
⎝
⎜
⎞
⎠
⎟
)a-b)(a+b( ‫هو‬ ‫وتحليله‬ ‫مربعين‬ ‫بين‬ ‫فرق‬ ‫هو‬ a2
- b2
‫بأن‬ ً‫ا‬‫سابق‬ ‫تعلمته‬ ‫ومما‬ ‫تالحظ‬ ‫وكما‬
:‫اآلتي‬ ‫بالشكل‬ ‫التحليل‬ ‫سيكون‬ ‫الحالة‬ ‫هذه‬ ‫في‬
a6
-b6
=(a-b)(a+b)(a4
+a2
b2
+b4
)
‫التحليل‬ ‫ونكمل‬ a6
- b6
= ( a3)2
- ( b3)2
: ‫اآلتية‬ ‫بالطريقة‬ ‫أو‬
= 2x-5y( ) 4x2
+10xy+25y2
( )= (2x-5y)
( )
4
b
3
51
a3
+b3
‫لتحليل‬ ‫العامة‬ ‫الصورة‬ ‫وضع‬ ‫يمكن‬ ‫مكعبين‬ ‫بين‬ ‫فرق‬ ‫تحليل‬ ‫في‬ ‫المتبع‬ ‫واالسلوب‬ ‫السياق‬ ‫بنفس‬
:‫حيث‬
:‫يأتي‬ ‫مما‬ ً‫ال‬‫ك‬ ‫حلل‬
1) 64x3
+1 2) 27
a3
+8b3
3) 0.125x3
+y6
4) x2
y5
+y2
x5
5) 1
2
h3
+4
/‫احلل‬
1) 64x3
+ 1 = (4x + 1)((4x)2
- 4x(1) + (1)2
)
(4x)3
(1)3
= (4x+1)(16x2
-4x+1)
2) 27
a3
+8b3
=
3
a
+2b
⎛
⎝
⎜
⎞
⎠
⎟
3
a
⎛
⎝
⎜
⎞
⎠
⎟
2
-
3
a
⎛
⎝
⎜
⎞
⎠
⎟ 2b( )+(2b)2
⎛
⎝
⎜⎜
⎞
⎠
⎟⎟
3
a
⎛
⎝
⎜
⎞
⎠
⎟
3
2b( )
3
=
3
a
+2b
⎛
⎝
⎜
⎞
⎠
⎟
9
a2
-
6b
a
+4b2⎛
⎝
⎜
⎞
⎠
⎟
3 - 3‫مكعبني‬ ‫مجموع‬ ‫حتليل‬
a3
+b3
=(a+b)(a2
-ab+b2
(
‫مثال‬
52
3) 0.125x3
+ y6
= (0.5x+y2
)((0.5x)2
-(0.5x)(y2
)+(y2
)2
)
(0.5x)3
(y2
)3
= (0.5x+y2
)(0.25x2
- 0.5xy2
+y4
)
4) x2
y5
+y2
x5
x2
y2
(y3
+x3
)
= x2
y2
(y+x)(y2
-xy+x2
)
5) 1
2
h3
+4=
1
2
h3
+8( )
‫نستخرج‬
‫مشترك‬ ‫عامل‬
=
1
2
h+2( ) h2
-2h+4( )
1
2
h3+4=
h3+8
2
=
1
2
(h3+8)3
3
3
=
1
2
h+2( ) h2
-2h+4( )
x2
y2
‫املشترك‬ ‫العامل‬ ‫بإستخراج‬
‫املقامات‬ ‫بتوحيد‬ ‫أو‬
53
: ‫صورة‬ ‫ابسط‬ ‫في‬ ‫يأتي‬ ‫مما‬ ً‫ال‬‫ك‬ ‫حلل‬ /1‫س‬
1) x3
- 125 2) 8 + 27y3
3) a3
- 64b3
4) 3x3
+ 81y3
5) 2xy4
+ 16x4
y 6)
7) 8) 1000a3
-b3
9) x6
+ y6
10) 11) x9
+ x3
12)
13) x4
- x 14) 0.064 x3
- 0.027y3
:‫صحيحة‬ ‫فقط‬ ‫واحدة‬ ‫إجابات‬ ‫أربع‬ ‫يأتي‬ ‫مما‬ ‫سؤال‬ ‫لكل‬ /2‫س‬
1) :‫هو‬ x3
+ 8 ‫المقدار‬ ‫عوامل‬ ‫احد‬
a) x - 2 b) x2
- 4 x + 4 c) x2
- 2x + 4 d) x2
+ 2x + 4
2) ( x - y ) ( x2
+ xy + y 2
) - ( x + y ) ( x2
- xy + y2
) =
a) -2y3
b) 2y3
c) -2x3
d) 2x3
3)
a) 12 b) -2 c) 35 d) 2
4) 1 - x3
=
a) ( 1 - x )( 1 + x + x2
) b) ( 1 - x ) ( 1 - x - x 2
)
c) ( 1 + x ) (1 - x + x2
) d) ( x + 1 ) ( 1 + x + x2
)
3 1
8
27
a3
- 1
1
5
+ 25z3
32 -
1
2
a3
3x3
+
1
9
y3
x3
+y3
= ‫فأن‬ x2
- xy + y2
= 7 ‫وان‬ ) x + y ) = 5 ‫كان‬ ‫اذا‬
54
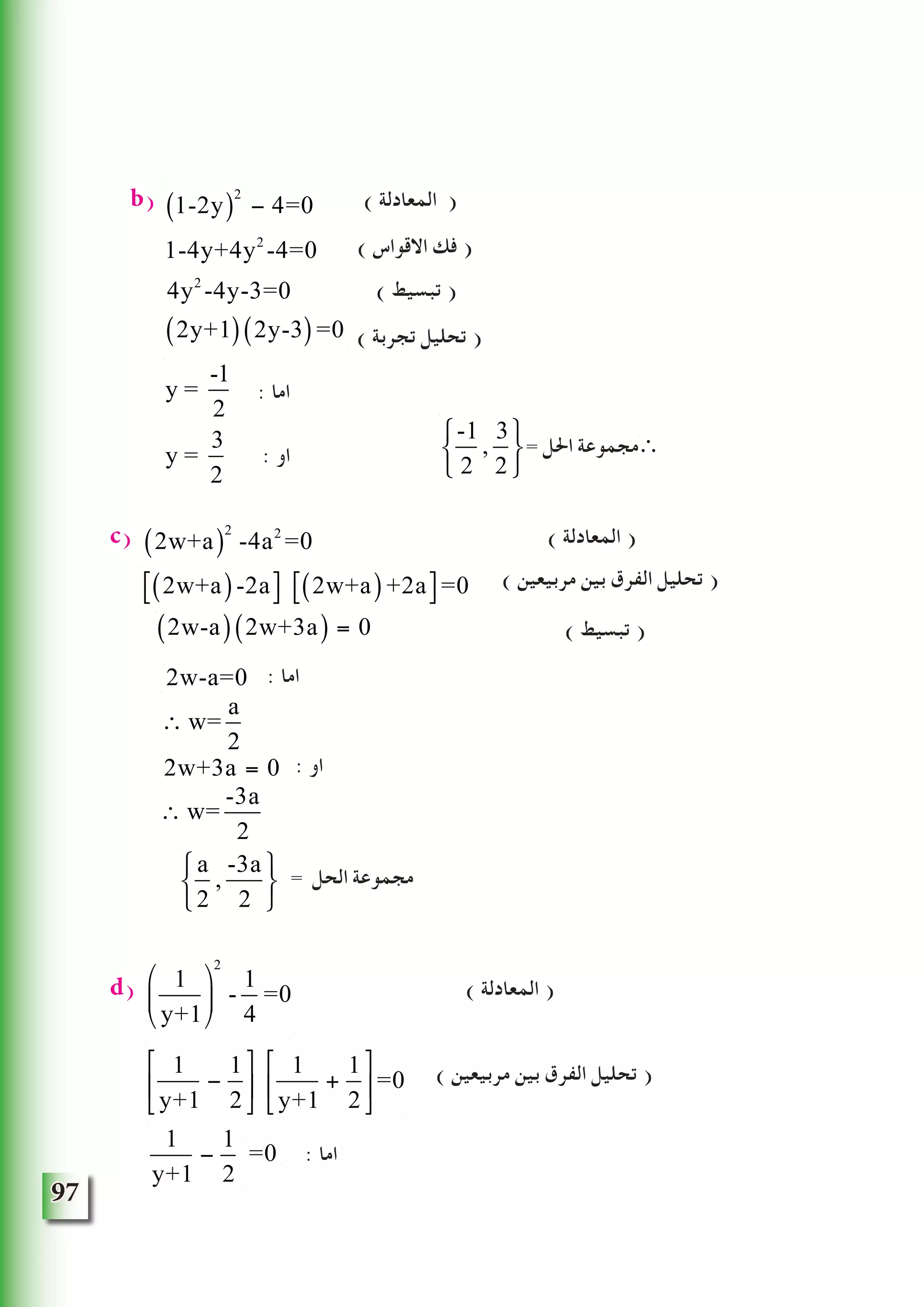
:‫اآلتية‬ ‫الحدوديات‬ ‫تحليل‬ ‫لنحاول‬
a) x2
+ 8x + 12
-: ‫بالتجربة‬ ‫التحليل‬ ‫في‬
‫والوسطين‬ ‫الطرفين‬ ‫ضرب‬ ‫اوجدناحاصل‬ ‫اننا‬ ‫الحظ‬
‫الحد‬ ‫يمثل‬ ‫والذي‬ ‫لهما‬ ‫الجبري‬ ‫المجموع‬ ‫بايجاد‬ ‫وقمنا‬
. ‫الثالثية‬ ‫الحدودية‬ ‫في‬ ‫االوسط‬
. ‫الطرفين‬ ‫ضرب‬ ‫حاصل‬ +6x
. ‫الوسطين‬ ‫ضرب‬ ‫حاصل‬ +2x
. ‫االوسط‬ ‫الحد‬ +8x
x2
+ 8x + 12 = ( x + 2 ) ( x + 6 (
b) x2
- 9x + 18
. ‫الوسطين‬ ‫ضرب‬ ‫حاصل‬ -3x
.‫الطرفين‬ ‫ضرب‬ ‫حاصل‬ -6x
. ‫االوسط‬ ‫الحد‬ -9x
x2
- 9x +18 = ( x - 3 ) ( x - 6 (
3 - 4‫الثالثية‬ ‫احلدوديات‬ ‫حتليل‬
ً‫ال‬‫او‬x2
+ bx + c ‫نوع‬ ‫من‬
( 1 ) ‫مثال‬
12 ‫العدد‬ ‫عوامل‬‫العوامل‬ ‫جمع‬
(1) (12)1+12 = 13
(2)(6)2+6=8
(3)(4)3+4=7
✓
‫العوامل‬ ‫جمع‬ 18 ‫العدد‬ ‫عوامل‬ ‫من‬
1+ 18 = 19 (1) (18)
2 + 9 = 11 (2)(9)
3 + 6 = 9 (3)(6)
-
3 + -
6 = -
9 (-3)(-6) ✓
55
c) x2
+ 6x - 27
‫العوامل‬ ‫جمع‬ -27 ‫العدد‬ ‫عوامل‬
1-27=-26 (1)(-27)
27-1=26 (27)(-1)
3-9=-6 (3)(-9)
9-3=6 (9)(-3)
x2
+ 6x -27 = ( x + 9 ) ( x - 3 (
d) x2
- 3x -18
‫العوامل‬ ‫جمع‬ -18 ‫العدد‬ ‫عوامل‬
1-18=-17 (1)(-18)
18-1=17 (18)(-1)
2-9=-7 (2)(-9)
9-2=7 (9)(-2)
3-6=-3 (3)(-6)
6-3=3 (-3)(6)
x2
- 3x -18 = ( x -6 ) ( x + 3 (
✓
✓
56
e) x2
- 4xy - 77y2
‫العوامل‬ ‫جمع‬ -77 ‫العدد‬ ‫عوامل‬
1-77=-76 (1)(-77)
77-1=76 (-1)(77)
11-7=4 (-7)(11)
7-11=-4 (7)(-11)
x2
- 4xy - 77y2
= ( x - 11y ) ( x + 7y (
‫الحدودية‬ ‫تحليل‬ ‫لنحاول‬
a) 6x2
+ 17x + 7
(1)(7) = 7 (1)(6)
= 6 ‫العدد‬
(2) (3)
(1)(6) (1)(7) ⇒ (1)(1) + (6)(7) = 43
(1)(6) + (7)(1) = 13
(2) (3) (1)(7) (2)(1) + (3)(7) = 23
(2)(7) + (3)(1) = 17
∴ 6x2
+ 17x + 7 = ( 2x + 1) ( 3x + 7 )
ً‫ا‬‫ثاني‬ax2
+ bx + c ، ‫نوع‬ ‫من‬
( 2 ) ‫مثال‬
⎤
⎦
3
14
‫العدد‬
✓
✓
a ≠ 0
57
b) 7x2
- 26x - 8
(1)(8)
= 8 (1)(7) = 7
(2) (4)
(1)(1) - (8)(7) = -55
(1)(7) - (8)(1) = -1
(2)(1) - (4)(7) = -26
(2)(7) - (4)(1) = 10
∴ 7x2
- 26x - 8 = ( 7x + 2) ( x- 4 )
c) 3x2
- 17x + 10
(1)(10)
= 10 (1)(3) = 3
(2) (5)
(1)(1) + (10)(3) = 31
(1)(3) + (10)(1) = 13
(2)(1) + (5)(3) = 17
(2)(3) + (5)(1) = 11
∴ 3x2
- 17x + 10 = ( 3x - 2) ( x- 5)
⎤
⎦
2
-28
-2
-15 ‫عامة‬ ‫وبصورة‬
ax2
+ bx + c
( + ) ( + )
. = a . = c
. + . = b
⎤
⎦
‫العدد‬ ‫العدد‬
‫العدد‬ ‫العدد‬
✓
✓
58
:‫نحلل‬ ‫ان‬ ‫نحاول‬
a) x2
- 8x + 16
(x)2
(4) 2
‫كامل‬ ‫مربع‬ ‫اي‬
∴ x2
- 8x + 16 = (x - 4)2
b) 9x2
+ 12x + 4
(3x)2
(2) 2
‫كامل‬ ‫مربع‬ ‫اي‬
∴ 9x2
+ 12x + 4 = (3x + 2)2
c) 25 - 25x + 4x2
(5)2
(2x) 2
ً‫ال‬‫كام‬ ً‫ا‬‫مربع‬ ‫ليس‬
‫الكامل‬ ‫املربع‬ ‫حتليل‬ 3 - 5
( 1 ) ‫مثال‬
-2 (x) (4) = -8x
2 (3x) (2) = 12x
-2 (2x) (5) = -20x ≠ -25x-2 (2x) (5) = -20x ≠ -25x-2 (2x) (5) = -20x ≠ -25x-2 (2x) (5) = -20x ≠ -25x
59
‫عامة‬ ‫وبصورة‬
ً‫ال‬‫كام‬ ً‫ا‬‫مربع‬ ax2
+ bx + c ‫الحدودية‬ ‫تكون‬
‫كان‬+
_
2 (ax2
) (c) = bx
+ 2 (ax2
) (c) = +2 (x2
)(25) = 10x = bx
- 2 (ax2
) (c) = -2 (9x2
)(4) = -12x = bx
- 2 (ax2
) (c) = -2 (16x2
)(1) = -8x = bx
‫اذا‬
≠
‫؟‬ ً‫ال‬‫كام‬ ً‫ا‬‫مربع‬ ‫تمثل‬ ‫الحدوديات‬ ‫اي‬
a) x2
+ 10x + 25
b) 9x2
- 37x + 4
c) 16x2
- 8x + 1
d) 3x2
- 20x - 9
e) 25x2
+ 76x + 3
/ ‫احلل‬
a) ً‫ال‬‫كام‬ ً‫ا‬‫مربع‬
b) ً‫ال‬‫كام‬ ً‫ا‬‫مربع‬ ‫ليس‬
c) ً‫ال‬‫كام‬ ‫مربعا‬
d) 3x2
- 20x - 9 ً‫ا‬‫سالب‬ ‫االخير‬ ‫الحد‬ ‫ألن‬ ً‫ال‬‫كام‬ ً‫ا‬‫مربع‬ ‫ليس‬
e) 25x2
+ 76x + 3 ً‫ال‬‫كام‬ ً‫ا‬‫مربع‬ ‫ليست‬ 3 ‫ألن‬ ً‫ال‬‫كام‬ ً‫ا‬‫مربع‬ ‫ليس‬
( 2 ) ‫مثال‬
+
_
2 (ax2
) (c) = bx+
_
2 (ax2
) (c) = bx
60
‫باستخدام‬ ‫المفقود‬ ‫الحد‬ ‫ايجاد‬ ‫ويمكن‬ ax2
+ bx + c ‫بصورة‬ ‫هي‬ ‫عام‬ ‫بشكل‬ ‫الثالثية‬ ‫الحدودية‬
: ‫االتي‬ ‫القانون‬
25x2
- ...... + 49 ‫الحدودية‬ ‫في‬ ‫المفقود‬ ‫الحد‬ ‫جد‬
ً‫ال‬‫كام‬ ً‫ا‬‫مربع‬ ‫لتصبح‬
/‫احلل‬
x2
+ ...... + 100y2
‫الحدودية‬ ‫في‬ ‫المفقود‬ ‫الحد‬ ‫جد‬
ً‫ال‬‫كام‬ ً‫ا‬‫مربع‬ ‫لتصبح‬
/‫احلل‬
ً‫ال‬‫كام‬ ً‫ا‬‫مربع‬ ‫لتصبح‬ ....+ 8x +16 ‫الحدودية‬ ‫في‬ ‫المفقود‬ ‫الحد‬ ‫جد‬
/‫احلل‬
- : ً‫ال‬‫كام‬ ً‫ا‬‫مربع‬ ‫لتصبح‬ ‫الثالثية‬ ‫الحدودية‬ ‫في‬ ‫المفقود‬ ‫الحد‬ ‫ايجاد‬ ]3 - 5 - 1[
bx =
_
+ 2 (ax2
)(c)
( 3 ) ‫مثال‬
bx = 2 (ax2
)(c) = 2 (ax2
)(100y2
) = 2x(10y)
= 20xy
∴ x2
+20xy +100y2
= (x +10y)2
( 4 ) ‫مثال‬
bx = 2 (ax2
)(c)
bx = 2 (25x2
)(49) = 2(5x)(7) = 70x
25x2
- 70x + 49 = (5x -7 )2
( 5 ) ‫مثال‬
∓
(
bx = 2 (ax2
) (c)
8x = 2 (ax2
) (16)
64x2
= 4 × 16 × ax2
64x2
64
= ax2
⇒ ax2
= x2
∴ x2
+ 8x + 16 = ( x + 4 )2
61
ً‫ال‬‫كام‬ ً‫ا‬‫مربع‬ ‫لتصبح‬ .... -20x + 25 ‫الحدودية‬ ‫في‬ ‫المفقود‬ ‫جدالحد‬
/‫احلل‬
ً‫ال‬‫كام‬ ً‫ا‬‫مربع‬ ‫لتصبح‬ x2
+ 14x + .... ‫الحدودية‬ ‫في‬ ‫المفقود‬ ‫جدالحد‬
/‫احلل‬
9x2
- 60x + .... ‫الحدودية‬ ‫في‬ ‫المفقود‬ ‫الحد‬ ‫جد‬
ً‫ال‬‫كام‬ ً‫ا‬‫مربع‬ ‫لتصبح‬
/‫احلل‬
( 6 ) ‫مثال‬
( 7 ) ‫مثال‬
(8 ) ‫مثال‬
bx = 2 (ax2
) (c)
14x = 2 (x2
) (c)
196x2
= 4 × x2
× c
196x2
4x2
= c ⇒ c = 49
∴ x2
+ 14x + 49 = ( x + 7 )2
bx = 2 (ax2
) (c)
20x = 2 (ax2
) (25)
400x2
= 4 × 25 × ax2
ax2
=
400x2
100
⇒ ax2
= 4x2
∴ 4x2
- 20x + 25 = ( 2x - 5 )2
bx = 2 (ax2
) (c)
20x = 2 (ax2
) (25)
400x2
= 4 × 25 × ax2
ax2
=
400x2
100
⇒ ax2
= 4x2
∴ 4x2
- 20x + 25 = ( 2x - 5 )2
bx = 2 (ax2
) (c)
20x = 2 (ax2
) (25)
400x2
= 4 × 25 × ax2
ax2
=
400x2
100
⇒ ax2
= 4x2
∴ 4x2
- 20x + 25 = ( 2x - 5 )2
bx = 2 (ax2
) (c)
20x = 2 (ax2
) (25)
400x2
= 4 × 25 × ax2
ax2
=
400x2
100
⇒ ax2
= 4x2
∴ 4x2
- 20x + 25 = ( 2x - 5 )2
bx = 2 (ax2
) (c)
20x = 2 (ax2
) (25)
400x2
= 4 × 25 × ax2
ax2
=
400x2
100
⇒ ax2
= 4x2
∴ 4x2
- 20x + 25 = ( 2x - 5 )2
bx = 2 (ax2
) (c)
60x = 2 (9x2
) (c)
3600x2
= 4 × 9x2
× c
3600x2
= 36 x2
× c
c =
3600x2
36x2
⇒ c = 100
∴ 9x2
- 60x + 100 = ( 3x - 10 )2
62
)LCM(‫االصغر‬‫المشترك‬‫والمضاعف‬)GCF(‫االكبر‬‫المشترك‬‫العامل‬‫ايجاد‬‫طريقة‬‫تعلمت‬‫وان‬‫سبق‬
‫الحدوديات‬ ‫تحليل‬ ‫طرق‬ ‫على‬ ‫المتوسط‬ ‫الثاني‬ ‫الصف‬ ‫وفي‬ ‫السابقة‬ ‫البنود‬ ‫في‬ ‫تعرفت‬ ‫وكذلك‬ ‫اكثر‬ ‫او‬ ‫لعددين‬
: ‫للحدوديات‬ ) LCM)،(GCF( ‫من‬ ‫كل‬ ‫ايجاد‬ ‫طريقة‬ ‫على‬ ‫سنتعرف‬ ‫البند‬ ‫هذا‬ ‫في‬
x3
- xy2
, 4x2
- 4xy , 6x2
y - 6xy2
‫االتية‬ ‫للحدوديات‬ ) LCM)،(GCF( ‫جد‬
/‫احلل‬
‫السابقة‬ ‫التحليل‬ ‫طرق‬ ‫وحسب‬ ‫حدة‬ ‫على‬ ‫حدودية‬ ‫كل‬ ‫نحلل‬
: ‫للحدوديات‬ ) LCM)،(GCF( ‫جد‬
a2
- 9 , a2
- 6a +9 , a2
- 8a + 15
/ ‫احلل‬
‫الحدوديات‬ ‫نحلل‬
3 - 6‫االكبر‬ ‫املشترك‬ ‫العامل‬
‫االصغر‬ ‫املشترك‬ ‫واملضاعف‬
)LCM( ‫االصغر‬ ‫المشترك‬ ‫والمضاعف‬ ) GCF( ‫االكبر‬ ‫المشترك‬ ‫العامل‬ ‫أيجاد‬ *
(1 ) ‫مثال‬
x3
- xy2
= x ( x2
-y2
)
= x(x -y)(x + y) ....* GCF = x( x - y )
4x2
- 4xy = (2)(2)x(x - y)....*
6x2
y - 6xy2
= (2)(2)x(x - y)....* LCM = 12xy( x - y )( x + y )
(2 ) ‫مثال‬
a2
- 9 = ( a - 3 ) ( a + 3 ) ....* GCF =( a -3 )
a2
- 6a + 9 = ( a - 3 )2
....*
a2
- 8a + 15 = ( a - 3 )( a - 5 ) ....* LCM = ( a - 3 )2 (a + 3)( a + 5)( a - 5 )
3 y x-y( ).. *
a-5( )
2
63
: ‫االتية‬ ‫للحدوديات‬ ) LCM)،(GCF( ‫جد‬
2 a3
b - 2ab3
, a4
- 2a3
b +b2
a2
, 3a4
b - 3ab4
/ ‫الحل‬
) LCM)،(GCF( ‫اليجاد‬ ‫الخالصة‬
.‫الحدوديات‬ ‫نحلل‬ *
. ‫أس‬ ‫وباصغر‬ ‫فقط‬ ‫المشتركة‬ ‫العوامل‬ ‫ضرب‬ ‫حاصل‬ ‫يمثل‬ : GCF *
. ‫المشتركة‬ ‫وغير‬ ‫أس‬ ‫باكبر‬ ‫المشتركة‬ ‫العوامل‬ ‫ضرب‬ ‫حاصل‬ ‫يمثل‬ : LCM *
(3 ) ‫مثال‬
2a2
b - 2ab3
= 2ab ( a2
- b2
)
= 2ab ( a - b )( a + b ) ....*
a4
- 2a3
b + b2
a2
= a2
( a2
- 2ab + b2
)
= a2
( a - b )2
....*
a2
+ ab + b2
a2
= ( a - b )( a + 2b ) ....*
3a4
b - 3ab4
= 3ab ( a3
- b3
)
= 3ab ( a - b )( a2
+ 2ab + b2
) ....*
∴ GCF = ( a - b )
LCM = 6a2
b(a - b)2
(a + b)(a2
+ ab + b2
)
ab
3
2a2
b - 2ab3
= 2ab ( a2
- b2
)
= 2ab ( a - b )( a + b ) ....*
a4
- 2a3
b + b2
a2
= a2
( a2
- 2ab + b2
)
= a2
( a - b )2
....*
a2
+ ab + b2
a2
= ( a - b )( a + 2b ) ....*
3a4
b - 3ab4
= 3ab ( a3
- b3
)
= 3ab ( a - b )( a2
+ 2ab + b2
) ....*
∴ GCF = ( a - b )
LCM = 6a2
b(a - b)2
(a + b)(a2
+ ab + b2
)
2a2
b - 2ab3
= 2ab ( a2
- b2
)
= 2ab ( a - b )( a + b ) ....*
a4
- 2a3
b + b2
a2
= a2
( a2
- 2ab + b2
)
= a2
( a - b )2
....*
a2
+ ab + b2
a2
= ( a - b )( a + 2b ) ....*
3a4
b - 3ab4
= 3ab ( a3
- b3
)
= 3ab ( a - b )( a2
+ 2ab + b2
) ....*
∴ GCF = ( a - b )
LCM = 6a2
b(a - b)2
(a + b)(a2
+ ab + b2
)
2a2
b - 2ab3
= 2ab ( a2
- b2
)
= 2ab ( a - b )( a + b ) ....*
a4
- 2a3
b + b2
a2
= a2
( a2
- 2ab + b2
)
= a2
( a - b )2
....*
a2
+ ab + b2
a2
= ( a - b )( a + 2b ) ....*
3a4
b - 3ab4
= 3ab ( a3
- b3
)
= 3ab ( a - b )( a2
+ 2ab + b2
) ....*
∴ GCF = ( a - b )
LCM = 6a2
b(a - b)2
(a + b)(a2
+ ab + b2
)
2a2
b - 2ab3
= 2ab ( a2
- b2
)
= 2ab ( a - b )( a + b ) ....*
a4
- 2a3
b + b2
a2
= a2
( a2
- 2ab + b2
)
= a2
( a - b )2
....*
a2
+ ab + b2
a2
= ( a - b )( a + 2b ) ....*
3a4
b - 3ab4
= 3ab ( a3
- b3
)
= 3ab ( a - b )( a2
+ 2ab + b2
) ....*
∴ GCF = ( a - b )
LCM = 6a2
b(a - b)2
(a + b)(a2
+ ab + b2
)
64
3 2
:‫ياتي‬ ‫مما‬ ‫كل‬ ‫حلل‬ /1 ‫س‬
. ً‫ال‬‫كام‬ ً‫ا‬‫مربع‬ ‫تمثل‬ ‫االتية‬ ‫الحدوديات‬ ‫اي‬ ‫بين‬ /2 ‫س‬
: ً‫ال‬‫كام‬ ً‫ا‬‫مربع‬ ‫لتصبح‬ ‫االتية‬ ‫الحدوديات‬ ‫اكمل‬ /3‫س‬
1) x2
+ 6x + 8
2) x2
- 2x - 15
3) x2
+ 3x + 2
4) 4x2
+ 21x + 27
5) x2
+ 11x - 80
6) 4x2
- 4x - 15
7) 6x2
- 7x - 20
8) x2
+ 20x + 100
9) 16x2
+ 8x + 1
10) 4x2
- 12x + 9
1) x2
- 18x + 81
2) x2
- 7xy + 49y2
3) 4x2
+ 25 - 12x
4) 4x2
+ 25 - 20x
5) 8x2
- 40x + 50
6) -x2
- 2xy - y2
1) ...... - 32x + 64
2) x2
- 12x + .....
3) 25x2
- ....... + 9y2
4) ...... + 24ab + 36b2
10) 4x2
- 12xy + 9y2
-
65
: ‫يأتي‬ ‫مما‬ ‫لكل‬ ‫الصحيحة‬ ‫االجابة‬ ‫حدد‬ /4‫س‬
‫تساوي‬ ً‫ال‬‫كام‬ ً‫ا‬‫مربع‬ 25x2
- mx + 4 ‫الحدودية‬ ‫تجعل‬ ‫التي‬ m ‫قيمة‬ )1
a) 30 b) 20 c) 10 d) -10
: ‫هي‬ ً‫ال‬‫كام‬ ً‫ا‬‫مربع‬ y2
+ 12y - n ‫الحدودية‬ ‫تجعل‬ ‫التي‬ n ‫قيمة‬ ‫ان‬ )2
a) 36 b) -36 c) 144 ‫ذلك‬ ‫غير‬
:‫األتية‬ ‫للحدوديات‬ )GCF) , (LCM( ‫جد‬ / 5‫س‬
1)
2)
3)
4)
5)
6)
d(
5x2
-3x( )
3
, 5x2
+7x-6 , 10x2
-6x
x3
+y3
, x2
+4xy , x3
-xy2
x4
-16 , x4
+8x2
+16 , x6
+64
3x2
-3x2
y2
, 5x+5xy , x-xy-2xy2
1
2
x2
-2 , 2x2
-16 , 3x2
-x-10
x2
-y2
, x3
-y3
, x-y( )
4
7x-7y
xy, x3
-xy2
3
,
66
:‫بشكل‬ ‫تكتب‬ Q ‫النسبية‬ ‫االعداد‬ ‫مجموعة‬ ‫ان‬
: ‫ان‬ ‫تعلم‬ ‫كما‬
:‫باألمثلة‬
3 - 7‫في‬ ‫التحليل‬ ‫استخدام‬
‫اجلبرية‬ ‫املقادير‬ ‫تبسيط‬
ً‫ال‬‫او‬‫النسبية‬ ‫احلدوديات‬ ‫اختصار‬
Q =
a
b
,a,b ∈ R,b ≠ 0
⎧
⎨
⎩
⎫
⎬
⎭
3
5
=
2( ) 3( )
2( ) 5( )
=
6
10
,
3
5
=
5( ) 3( )
5( ) 5( )
=
15
25
‫عامة‬ ‫وبصورة‬
‫فان‬ ً‫ا‬‫صفر‬ ‫اليساوي‬ ‫حقيقي‬ ‫عدد‬ ‫في‬ ‫والمقام‬ ‫البسط‬ ‫من‬ ‫كل‬ ‫ضرب‬ ‫اذا‬
‫التتغير‬ ‫الكسر‬ ‫قيمة‬
a
b
=
ac
bc
c ≠ 0
30
40
=
20
2
40
2
=
15
20
30
40
=
30
10
40
10
=
3
4
30
40
=
30
a
40
a
, a≠0
‫عامة‬ ‫وبصورة‬
‫قيمة‬ ‫فان‬ ً‫ا‬‫صفر‬ ‫اليساوي‬ ‫حقيقي‬ ‫عدد‬ ‫على‬ ‫والمقام‬ ‫البسط‬ ‫من‬ ‫كل‬ ‫قسم‬ ‫اذا‬
. ‫التتغير‬ ‫الكسر‬
3
5
=
a( ) 3( )
a( ) 5( )
=
3a
5a
, a≠0
30
a
b
=
a÷c
b÷c
,b,c ≠ 0
Z
67
: ‫ياتي‬ ‫مما‬ ‫كال‬ ‫بسط‬
1) 6x+12
x2
-4
2) x3
-27
x3
+3x2
+ 9x
3) 2x2
-4x+2
x2
-7x+ 6
4) 2x2
- 2
3 - 3x3
/‫احلل‬
1)
2)
3)
4)
: ‫النسبية‬ ‫الحدوديات‬ ‫تبسيط‬ ‫توضح‬ ‫األتية‬ ‫االمثلة‬
(1 ) ‫مثال‬
6x+12
x2
-4
=
6 x+2( )
x+2( ) x-2( )
=
6
x-2( )
x3
-27
x3
+3x2
+ 9x
=
x-3( ) x2
+3x+9( )
x x2
+3x+9( )
=
x-3( )
x
2x2
-4x+2
x2
-7x+ 6
=
2 x2
-2x+1( )
x-6( ) x-1( )
=
2 x-1( )
2
x-6( ) x-1( )
=
2 x-1( )
x-6( )
=
2 x2
-1( )
3 1-x3
( )
=
2 x-1( ) x+1( )
-3 x3
-1( )
=
2 x-1( ) x+1( )
-3 x-1( ) x2
+x+1( )
=
2 x+1( )
-3 x2
+x+1( )
2x2
- 2
3 + 3x3
-
68
. ‫النسبية‬ ‫الحدوديات‬ ‫ضرب‬
: ‫ان‬ ‫تعلم‬
: ‫ان‬ ‫اي‬
: ‫صورة‬ ‫ابسط‬ ‫في‬ ‫ضع‬
/ ‫احلل‬
: ‫صورة‬ ‫ابسط‬ ‫في‬ ‫ضع‬
/ ‫احلل‬
(2 ) ‫مثال‬
ً‫ا‬‫ثاني‬. ‫النسبية‬ ‫احلدوديات‬ ‫وقسمة‬ ‫ضرب‬
a
b
.
c
d
=
a( ) c( )
b( ) d( )
=
ac
bd
, b,d≠0
a
b
÷
c
d
=
a
b
c
d
= , b,c,d≠0
3x+2
2x+4
.
x2
+5x+6
9x2
-4
3x+2( )
2 x+2( )
.
x+3( ) x+2( )
3x+2( ) 3x-2( )
=
x+3( )
2 3x-2( )
3x+2
2x+4
.
x2
+5x+6
9x2
-4
(3 ) ‫مثال‬
x2
+3x+2
x2
+4x+4
÷
5x2
+5x
x2
-4
x2
+3x+2
x2
+4x+4
÷
5x2
+5x
x2
-4
x+2( ) x+1( )
x+2( )
2
÷
5x x+1( )
x-2( ) x+2( )
a
b
÷
c
d
=
a
b
.
d
c
=
=
69
: ‫صورة‬ ‫ابسط‬ ‫في‬ ‫ضع‬
/ ‫احلل‬
: ‫صورة‬ ‫ابسط‬ ‫في‬ ‫ضع‬
/ ‫احلل‬
( 4 ) ‫مثال‬
x2
-25
x3
-125
÷
x2
+10x+25
x2
+x-20
( 5 ) ‫مثال‬
x2
+2x+1( )÷
x+1( )
3
x3
+1
x2
-25
x3
-125
÷
x2
+10x+25
x2
+x-20
x+5( ) x-5( )
x-5( ) x2
+5x+25( )
÷
x+5( )
2
x+5( ) x-4( )
x+5( ) x-5( )
x-5( ) x2
+5x+25( )
.
x+5( ) x-4( )
x+5( )
2
=
x-4( )
x2
+5x+25( )
x+2( ) x+1( )
x+2( )
2
.
x-2( ) x+2( )
5x x+1( )
=
x-2( )
5x
=
=
=
x2
+2x+1( )÷
x+1( )
3
x3
+1
x+1( )
2
1
÷
x+1( )
3
x+1( ) x2
-x+1( )
x+1( )
2
1
.
x+1( ) x2
-x+1( )
x+1( )
3
= x2
-x+1( )
=
=
70
) LCM( ‫االصغر‬ ‫المشترك‬ ‫المضاعف‬ ‫نجد‬ ‫ان‬ ‫يجب‬ ، ‫النسبية‬ ‫الحدوديات‬ ‫طرح‬ ‫او‬ ‫جمع‬ ‫ناتج‬ ‫اليجاد‬
‫ذلك‬ ‫توضح‬ ‫اآلتية‬ ‫واالمثلة‬ ‫السابقة‬ ‫الطرائق‬ ‫وحسب‬ ‫بالتحليل‬ ‫وذلك‬ ‫الحدوديات‬ ‫لمقامات‬
: ‫صورة‬ ‫ابسط‬ ‫في‬ ‫ضع‬
/‫احلل‬
: ‫صورة‬ ‫ابسط‬ ‫في‬ ‫ضع‬
/‫احلل‬
ً‫ا‬‫ثالث‬. ‫النسبية‬ ‫احلدوديات‬ ‫وطرح‬ ‫جمع‬
( 6 ) ‫مثال‬
2
x2
-9
+
3
x2
-4x+3
2
x2
-9
+
3
x2
-4x+3
2
x-3( ) x+3( )
+
3
x-1( ) x-3( )
, LCM= x-3( ) x+3( ) x-1( )
2 x-1( )
x-3( ) x+3( ) x-1( )
+
3 x+3( )
x-3( ) x+3( ) x-1( )
2x-2+3x+9
x-3( ) x+3( ) x-1( )
5x+7
x-3( ) x+3( ) x-1( )
( 7 ) ‫مثال‬
2 x3
-64( )
x x2
+4x+16( )
-
x-1
x
2 x-4( ) x2
+4x+16( )
x x2
+4x+16( )
-
x-1( )
x
2 x-4( )
x
-
x-1( )
x
⇒
2 x-4( )- x-1( )
x
2x-8-x+1
x
⇒
x-7
x
⇒
2x3
-128
x3
+4x2
+16x
-
x-1
x
2x3
-128
x3
+4x2
+16x
-
x-1
x
=
=
=
71
3 3
: ‫ياتي‬ ‫مما‬ ‫كال‬ ‫بسط‬ /1‫س‬
1) 2) x2
-y2
x2
-xy-2y2
3) 4)
: ‫صورة‬ ‫ابسط‬ ‫في‬ ‫ياتي‬ ‫مما‬ ‫كل‬ ‫ناجت‬ ‫جد‬ /2‫س‬
1) 2)
3) 4)
5) 6)
7) 8)
9) 10)
x3
+8
x3
-2x2
+4x
12-4x
x2
-2x-3
x 2x-1( )-1
x x-1( )
x2
+7x-8
x-1
.
x2
-4
x2
+6x-16
x2
+9x+20
x2
+5x-24
÷
x2
+15x+56
x2
+x-12
x2
+x+1
x4
-x
-
x+3
x2
+2x-3
x2
+4x-21
x2
+14x+49
÷
x-7
2x2
-98
x2
-2xy+y2
x-y
.
x+y
x-y
⎛
⎝
⎜
⎞
⎠
⎟÷
x2
-y2
x2
⎛
⎝
⎜
⎞
⎠
⎟x2
-xy-2y2
( )÷
x2
-y2
x2
-2xy+y2
. x3
-8y3
( )
⎛
⎝
⎜
⎞
⎠
⎟
3
x-1
+
2
x+1
+
4
x2
+2x-3
x-3
x-1
+
5x-15
x-3( )
2
-
3x+1
x2
-4x+3
x3
+27
x+3
÷
x3
-3x2
+9x
x2
⎛
⎝
⎜
⎞
⎠
⎟÷x
4x2
-1
4x2
-4x+1
+1
8
3
‫املتباينات‬
Inequalities
‫الرياضية‬ ‫اجلمل‬ ]4-1[
‫اخلطية‬ ‫املتباينة‬ ]4-2[
‫مبتغيرين‬ ‫األولى‬ ‫الدرجة‬ ‫من‬ ‫املعادلة‬ ]4-3[
‫آنيا‬ ‫مبتغيرين‬ ‫األولى‬ ‫الدرجة‬ ‫من‬ ‫معادلتني‬ ‫حل‬ ]4-4[
‫واحد‬ ‫مبتغير‬ ‫الثانية‬ ‫الدرجة‬ ‫من‬ ‫املعادلة‬ ]4-5[
‫الكسرية‬ ‫املعادالت‬ ]4-6[
g
x()
a
b≤
f
x()≤
a
f
x()
d
‫الرياضية‬ ‫العالقة‬ ‫او‬ ‫الرمز‬ ‫المصطلح‬
‫متباينة‬
‫مزدوجة‬ ‫متباينة‬
T ‫صائبة‬
F ‫خاطئة‬
a,b ∈ R a  b،
d  f x( )  c
4‫الرابع‬ ‫الفصل‬
‫المقدمة‬
‫لغوي‬ ‫منطق‬ ‫بالحقيقة‬ ‫هو‬ ‫والذي‬ ‫الرياضي‬ ‫المنطق‬ ‫موضوع‬ ‫في‬ ‫معرفة‬ ‫يتطلب‬ ‫الرياضية‬ ‫الجمل‬ ‫دراسة‬ ‫إن‬
:‫اآلتية‬ ‫الجمل‬ ‫في‬ ‫النظر‬ ‫أمعنا‬ ‫لو‬ ،‫الرياضيات‬ ‫لعلوم‬
. 5= 25 )4( ‫سالب‬ ‫صحيح‬ ‫عدد‬ ‫أكبر‬ -1 )3( 3  4 )2( ‫العراق‬ ‫عاصمة‬ ‫بغداد‬ )1(
‫أن‬ ‫يمكن‬ ‫وال‬ ،‫فقط‬ ‫خاطئة‬ ‫أو‬ ‫صائبة‬ ‫إما‬ ‫منها‬ ً‫ال‬‫ك‬ ‫أن‬ ‫وهو‬ ‫محدد‬ ‫معنى‬ ‫لها‬ ‫خبرية‬ ‫جملة‬ ‫منها‬ ً‫ال‬‫ك‬ ‫أن‬ ‫نالحظ‬
‫أخرى‬ ‫لقيم‬ ‫وخاطئة‬ ‫قيم‬ ‫لمجموعة‬ ‫صائبة‬ ‫فهي‬ ) 2x-1 = 0 ( ‫في‬ ‫كما‬ ً‫ا‬‫مع‬ ‫والخطأ‬ ‫الصواب‬ ‫تقبل‬
. ‫المعادالت‬ ‫موضوع‬ ‫في‬ ‫تعلمنا‬ ‫كما‬ ‫التعويض‬ ‫مجموعة‬ ‫على‬ ً‫ا‬‫إعتماد‬
‫وخاطئة‬ ‫صائبة‬ ‫تكون‬ ‫أن‬ ‫يمكن‬ ‫وال‬ ‫خاطئة‬ ‫أو‬ ‫صائبة‬ ‫إما‬ ‫محدد‬ ‫معنى‬ ‫ذات‬ ‫خبرية‬ ‫جملة‬ ‫هي‬ ‫العبارة‬
.‫واحد‬ ‫آن‬ ‫في‬
‫العبارة‬ ً‫ال‬‫مث‬ » ‫ليس‬ « ‫النفي‬ ‫أداة‬ ‫نستخدم‬ ‫اللغة‬ ‫في‬ :‫العبارات‬ ‫نفي‬
‫فاذا‬ 4  5 ‫بالرموز‬ ‫أو‬ 4 ‫من‬ ‫أكبر‬ ‫ليس‬ 5 ‫نفيها‬ ‫يكون‬ 4  5
‫صائبة‬ P ‫كانت‬ ‫وإذا‬ ، P ‫نفي‬ ‫هو‬ P( ) ‫فأن‬ ‫عبارة‬ P ‫كانت‬
. ‫الجدول‬ ‫في‬ ‫كما‬ ‫صحيح‬ ‫والعكس‬ ‫خاطئة‬ ‫نفيها‬ ‫فأن‬
∼
‫أمثلة‬
P∼ P
(1)
(2)
(3)
(4)
‫أولي‬ ً‫ا‬‫عدد‬ 2ً‫ا‬‫أولي‬ ‫ليس‬ ً‫ا‬‫عدد‬ 2
-3 ∈ N-3 ∉ N
5 ∉ Q5 ∈ Q
1
2

1
4
1
2

1
4
‫الفصل‬
4
4 - 1 ‫الرياضية‬ ‫الجمل‬
Statement ‫العبارة‬
P P
F T
T F
F T
F T
∼
P P
T F
F T
∼
: ]4-1[ ‫تعريف‬
1
2
⎧
⎨
⎩
⎫
⎬
⎭
‫المركبة‬ ‫والعبارات‬ ‫الربط‬ ‫أدوات‬
) ∧ “ ‫و‬ ( ، ) ∨ “ ‫أو‬ ( : ‫الربط‬ ‫ألداتي‬ ‫المرحلة‬ ‫هذه‬ ‫في‬ ‫نتطرق‬ ‫سوف‬
.‫أولي‬ ‫غير‬ ‫عدد‬ 9 ‫أو‬ ‫نسبي‬ ‫غير‬ ‫عدد‬ 2 1
.‫مستطيل‬ ‫المربع‬ ‫و‬ 
180o
‫المثلث‬ ‫زوايا‬ ‫مجموع‬ 2
27 = −3( )
3
‫و‬ ‫متناصفان‬ ‫المعين‬ ‫قطرا‬ 3
.‫مركبة‬ ‫جملة‬ ‫تسمى‬ ‫جديدة‬ ‫جملة‬ ‫على‬ ‫للحصول‬ ‫و‬ ‫واألداة‬ ‫أو‬ ‫األداة‬ ‫أستخدمنا‬ ‫أننا‬ ‫الحظ‬
.‫خاطئة‬ ‫العبارتين‬ ‫كلتا‬ ‫تكون‬ ‫عندما‬ ‫فقط‬ ‫خاطئة‬ ‫أو‬ ‫باألداة‬ ‫جملتين‬ ‫ربط‬ ‫من‬ ‫الناتجة‬ ‫المركبة‬ ‫الجملة‬ ‫*تكون‬
،‫صائبة‬ ‫العبارتين‬ ‫كلتا‬ ‫تكون‬ ‫عندما‬ ‫فقط‬ ‫صائبة‬ ‫و‬ ‫باألداة‬ ‫جملتين‬ ‫ربط‬ ‫من‬ ‫الناتجة‬ ‫المركبة‬ ‫الجملة‬ ‫تكون‬ *
:‫اآلتية‬ ‫الجداول‬ ‫في‬ ‫كما‬
P1 ∨ P2
P2
P1P1 ∧ P2
P2
P1
TTTTTT
TFTFFT
TTFFTF
FFFFFF
. ‫صائبة‬ ‫عبارة‬ 1 :‫المثال‬ ‫ففي‬
. ‫صائبة‬ ‫عبارة‬ 2
. ‫خاطئة‬ ‫عبارة‬ 3
““
‫أمثلة‬
.‫جبريين‬ ‫تعبيرين‬ ‫بين‬ ‫التباين‬ ‫رموز‬ ‫أحد‬ ‫وضع‬ ‫من‬ ‫تتكون‬ ‫خبرية‬ ‫جملة‬ :‫المتباينة‬
: ]4-2[ ‫تعريف‬
T T = T
T T = T
T F = F
∧
∧
∨
75
‫املعنى‬ ‫الرمز‬
‫من‬ ‫أكبر‬ 
‫من‬ ‫أصغر‬ 
‫يساوي‬ ‫أو‬ ‫أصغر‬ ≤
‫يساوي‬ ‫أو‬ ‫أكبر‬ ≥
‫يساوي‬ ‫ال‬ ≠
:ً‫ال‬‫فمث‬
2x - 1  5 , x + 3 ≤ 2 , 2 ≤ 3x - 4  5 , x2
- x  0
. 5x2
- 3x +1 ≤ 6 , 15  8 , 3 ≠ 5
‫فصل‬ ‫في‬ ‫درسنا‬ ‫وكما‬ .‫واحد‬ ‫متغير‬ ‫في‬ ‫األولى‬ ‫الدرجة‬ ‫من‬ ‫المتباينة‬ ‫المرحلةعلى‬ ‫هذه‬ ‫في‬ ‫دراستنا‬ ‫وستقتصر‬
. a - b  0 ‫أنه‬ ‫أي‬ ‫األعداد‬ ‫مستقيم‬ ‫على‬ b ‫يمين‬ ‫يقع‬ a ‫فأن‬ ) a  b( ‫أن‬ ‫الحقيقية‬ ‫األعداد‬
ً‫ال‬‫فمث‬
:‫بشكل‬ ‫األعداد‬ ‫مستقيم‬ ‫على‬ ‫تمثل‬ )‫نفسه‬ 3 ‫(عدا‬ )3( ‫العدد‬ ‫يسار‬ ‫األعداد‬ )1(
. 3 ‫من‬ ‫أصغر‬ x ‫وتقرأ‬ ) x  3( ‫وتكتب‬
:‫بشكل‬ ‫األعداد‬ ‫مستقيم‬ ‫على‬ ‫تمثل‬ ‫نفسه‬ 1 ‫العدد‬ ‫عدا‬ )1( ‫العدد‬ ‫يمين‬ ‫األعداد‬ )2(
. 1 ‫من‬ ‫أكبر‬ x ‫وتقرأ‬ ) x  1( ‫وتكتب‬
:‫بشكل‬ ‫األعداد‬ ‫مستقيم‬ ‫على‬ ‫تمثل‬ )-3( ‫ضمنها‬ ‫ومن‬ )-3( ‫العدد‬ ‫يمين‬ ‫األعداد‬ )3(
. -3 ‫تساوي‬ ‫أو‬ ‫من‬ ‫أكبر‬ x ‫وتقرأ‬ ) x ≥ -3( ‫وتكتب‬
:‫بشكل‬ ‫تمثل‬ )2( ‫ضمنها‬ ‫ومن‬ )2( ‫يسار‬ ‫على‬ ‫األعداد‬ )4(
. 2 ‫يساوي‬ ‫أو‬ ‫من‬ ‫أصغر‬ x ‫وتقرأ‬ ) x ≤ 2( ‫وتكتب‬
3
1
-3
2
76
)‫األولى‬ ‫الدرجة‬ ‫(من‬ ‫اخلطية‬ ‫املتباينة‬
‫الواحد‬ ‫املتغير‬ ‫ذات‬
4 - 2
ax + b  0
a , b , c ∈ R
a+c  b+c
:‫اآلتية‬ ‫األشكال‬ ‫أحد‬ ‫تأخذ‬ ‫عالقة‬ ‫هي‬
. a ≠ 0 ‫حيث‬ ، ax + b  0 ، ax + b ≤ 0 ‫أو‬ ax + b ≥ 0
)16  5 ‫و‬ -3  4 ( ‫كذلك‬ ‫صائبة‬ ‫رياضية‬ ‫جمل‬ ‫هي‬ )2 ≠ 4 ‫أو‬ 7  3 ً‫ال‬‫(مث‬ ‫المتباينات‬ ‫بعض‬
. ‫معلومة‬ ‫تعويض‬ ‫مجموعة‬ ‫ضمن‬ ‫فيها‬ ‫المتغير‬ ‫لقيم‬ ‫صائبة‬ ‫تكون‬ ‫قد‬ ‫األولى‬ ‫المتباينات‬ ‫لكن‬ ، ‫خاطئة‬
ً‫ال‬‫مث‬
‫مجموعة‬ ‫فأن‬ ‫لذا‬ I = { 0 , 1 , 2 , 3 {‫هي‬ ‫التعويض‬ ‫مجموعة‬ ‫وكانت‬ 2x + 3 ≤ 8 :‫المتباينة‬ ‫أخذنا‬ ‫لو‬
. ‫صائبة‬ ‫العبارة‬ ‫تجعل‬ ‫التي‬ x ‫قيم‬ ‫اي‬ s = { 0 , 1 , 2 { ‫الحل‬
x ∈ I 2x + 3 ≤8 ‫املتباينة‬ ‫الصواب‬ ‫قيمة‬
0 0 + 3 ≤ 8 T
1 (2) (1) + 3 ≤ 8 T
2 (2)(2) + 3 ≤ 8 T
3 (2)(3) + 3 ≤ 8 F
: ‫فأن‬ ‫كانت‬ ‫إذا‬
‫التعدي‬ ‫خاصية‬ ........ a  c ‫فأن‬ a  b ‫و‬ b  c ‫كانت‬ ‫اذا‬ )1(
‫الجمع‬ ‫خاصية‬ ........ ‫فأن‬ a  b ‫كانت‬ ‫اذا‬ )2(
3 + 2  4 + 2 ‫فأن‬ c = 2 ، 3  4 ‫كان‬ ‫اذا‬
. ‫يتغير‬ ‫ال‬ ‫الترتيب‬ ‫فأن‬ ‫المتباينة‬ ‫طرفي‬ ‫الى‬ ‫متساوية‬ ‫اعداد‬ ‫إضافة‬ ‫عند‬ ‫أن‬ ‫أي‬
‫المتباينة‬ ‫حل‬ ‫مجموعة‬ ]4 - 2 - 1[
‫المتباينات‬ ‫خواص‬ ]4 - 2 - 2[
77
2 -3  4 - 3
4
2

6
2
a
b

b
cc
a
c

b
c
8
-2

10
-2

‫الطرح‬ ‫خاصية‬ ....... a - c  b - c : ‫فأن‬ a  b ‫كانت‬ ‫اذا‬ )3(
، c = 3 ، 2  4 ‫كان‬ ‫اذا‬
:‫فأن‬ ‫موجب‬ ‫عدد‬ c , a  b ‫كانت‬ ‫اذا‬ )4(
a c  b c
.‫الترتيب‬ ‫بنفس‬ ‫صائبة‬ ‫تبقى‬ ‫فأنها‬ ‫موجب‬ ‫بعدد‬ ‫متباينة‬ ‫طرفي‬ ‫ضرب‬ ‫عند‬ ‫انه‬ ‫أي‬
)3()-3(  )3( )2( ‫فأن‬ ، c = 3 ، -3  2
-9  6 ‫اي‬
:‫فأن‬ ‫سالب‬ ‫عدد‬ c , a  b ‫كانت‬ ‫اذا‬ )5(
a c  b c
:‫فأن‬ c = -2 , -2  5 ‫كان‬ ‫اذا‬
)-2( )-2(  )-2( )5(
4  -10 ‫اي‬
.‫الترتيب‬ ‫بعكس‬ ‫صائبة‬ ‫المتباينة‬ ‫فأن‬ ‫سالب‬ ‫بعدد‬ ‫متباينة‬ ‫طرفي‬ ‫ضرب‬ ‫عند‬
:‫فأن‬ ‫موجب‬ ‫عدد‬ c ، a  b ‫كانت‬ ‫اذا‬ )6(
2  3 ‫اي‬ ‫فأن‬ c = 2 ، 4  6 ‫كان‬ ‫اذا‬
‫الترتيب‬ ‫بنفس‬ ‫صائبة‬ ‫فأنها‬ ‫موجب‬ ‫عدد‬ ‫على‬ ‫متباينة‬ ‫طرفي‬ ‫قسمة‬ ‫عند‬
:‫فأن‬ ‫سالب‬ ‫عدد‬ c ، a  b ‫كانت‬ ‫اذا‬ )7(
-4  -5 ‫اي‬ ‫فأن‬ c = -2 ، 8  10 ‫كان‬ ‫اذا‬ ،
. ‫الترتيب‬ ‫بعكس‬ ‫صائبة‬ ‫فأنها‬ ‫سالب‬ ‫عدد‬ ‫على‬ ‫متباينة‬ ‫طرفي‬ ‫قسمة‬ ‫عند‬
.)  ,  , ≥ , ≤ , ≠( ‫التباين‬ ‫رموز‬ ‫لكل‬ ‫صحيحة‬ ‫المتباينات‬ ‫خواص‬ ‫بأن‬ ‫نذكر‬
78
4x - 5  3 ( x - 2 ) - 1 ‫األعداد‬ ‫مستقيم‬ ‫على‬ ‫الحل‬ ‫مجموعة‬ ‫ومثل‬ ‫اآلتية‬ ‫المتباينة‬ ‫حل‬
/‫الحل‬
4x - 5  3 ( x - 2 ) - 1 ‫المتباينة‬
4x - 5  3 x - 7 ‫توزيع‬
4x - 5 -3x  3 x - 7 - 3x ‫للطرفين‬ ‫اضافة‬
x - 5  - 7
x - 5 + 5  - 7 + 5 ‫للطرفين‬ )5( ‫اضافة‬
∴ x  -2
{x : x  -2 } = ‫الحل‬ ‫مجموعة‬ ∴
-4(x - 2)  5 - 5 ( x - 1 ) ‫االعداد‬ ‫مستقيم‬ ‫على‬ ‫الحل‬ ‫مجموعة‬ ‫ومثل‬ ‫المتباينة‬ ‫حل‬
/‫الحل‬
-4(x - 2)  5 - 5 ( x - 1 ) ‫المتباينة‬
-4x + 8  5 - 5 x + 5 ‫االقواس‬ ‫ازالة‬
-4x + 8  10 - 5 x
-4x + 5x + 8  10 - 5 x + 5x ‫للطرفين‬ ‫اضافة‬
‫قيم‬ ‫مجموعة‬ ‫هي‬ x ‫في‬ ‫حدودية‬ ، m ∈ R ‫حيث‬ f(x)  m : ‫المتباينة‬ ‫حل‬ ‫مجموعة‬
. ‫صائبة‬ ‫المتباينة‬ ‫تجعل‬ ‫التي‬ x ‫المتغير‬
f (x)
( 1 ) ‫مثال‬
-2-3-4-5 -1 0 1
( 2 ) ‫مثال‬
: ]4-3[ ‫تعريف‬
(-3x)
(5x)
79
x + 8  10
x + 8 -8  10 - 8 ‫للطرفين‬ )-8(‫اضافة‬
∴ x  2
{x : x  2 } = ‫الحل‬ ‫مجموعة‬ ∴
‫االعداد‬ ‫مستقيم‬ ‫على‬ ‫ومثل‬ ‫المتباينة‬ ‫حل‬
/‫الحل‬
‫المتباينة‬
-5 ‫في‬ ‫المتباينة‬ ‫طرفي‬ ‫بضرب‬ )) ‫المتباينة‬ ‫اتجاه‬ ‫تغير‬ ‫((الحظ‬
. ‫للطرفين‬ )5x( ‫اضافة‬
‫للطرفين‬ )-3( ‫باضافة‬
3 ‫على‬ ‫بالقسمة‬
‫الحل‬ ‫مجموعة‬
2 3 4 5-1 0 1
( 3 ) ‫مثال‬
-2x + 3
-5
≤ x +1
-5
-2x + 3
-5
⎛
⎝
⎜
⎞
⎠
⎟ ≥ -5(x + 1 )
-2x + 3 ≥ -5x -5
3x + 3 - 3 ≥ -5 -3
3x ≥ -8
3x
3
≥
-8
3
∴ x ≥
-8
3
∴ s = x : x ≥ -2
2
3
⎧
⎨
⎩
⎫
⎬
⎭
-2x + 3
-5
≤ x +1
-2-3 2 3-1 0 1
-2
2
3
≥-5x-5
-5
-2x + 3
-5
⎛
⎝
⎜
⎞
⎠
⎟ ≥ -5(x + 1 )
-2x + 3 ≥ -5x -5
3x + 3 - 3 ≥ -5 -3
3x ≥ -8
3x
3
≥
-8
3
∴ x ≥
-8
3
∴ s = x : x ≥ -2
2
3
⎧
⎨
⎩
⎫
⎬
⎭
−2x + 3+ 5x ≥ −5x − 5 + 5x
80
‫االعداد‬ ‫مستقيم‬ ‫على‬ ‫الحل‬ ‫مجموعة‬ ‫ومثل‬ ‫المتباينة‬ ‫حل‬
/‫الحل‬
‫المتباينة‬
4 ‫في‬ ‫المتباينة‬ ‫طرفي‬ ‫بضرب‬
‫الطرفين‬ ‫تبسيط‬
‫للطرفين‬ )-y( ‫باضافة‬
. } y : y  -7 { = ‫الحل‬ ‫مجموعة‬ ∴
‫االعداد‬ ‫مستقيم‬ ‫على‬ ‫الحل‬ ‫مجموعة‬ ‫ومثل‬ ) -u ≠ -7 ( ‫المتباينة‬ ‫حل‬
-u ≠ -7 ‫المتباينة‬ /‫الحل‬
)-1( ‫على‬ ‫القسمة‬ ‫ويمكن‬ ..... )-1( ‫في‬ ‫الطرفين‬ ‫نضرب‬
‫الطرفين‬ ‫تبسيط‬
R-{7} = { u : u ≠ 7 { = ‫الحل‬ ‫مجموعة‬ ∴
( 4 ) ‫مثال‬
y - 3
4
- 
y
2
y - 3
4
- 1 
y
2
4
y - 3
4
⎛
⎝
⎜
⎞
⎠
⎟ - 4 (1)  4
y
2
⎛
⎝
⎜
⎞
⎠
⎟
y - 3 - 4  2y
y - 7  2y
y - 7 - y  2y - y
- 7  y
y  -7
-2-3-4-5 -1 0-6-7-8-9
( 5 ) ‫مثال‬
(-1)(-u) ≠ (-1)(-7)
u ≠ 7
-1

-2-3 4 5-1 0 6 7 8 91 2 3
81
. x ‫في‬ ‫حدودية‬ f(x) c , d ∈ R ‫حيث‬ d  f (x) c : ‫نوع‬ ‫من‬ ‫متباينة‬ ‫حل‬ ‫نحاول‬ ‫االن‬
))Double Inequalities(( ‫مزدوجة‬ ‫متباينة‬ ‫النوع‬ ‫هذا‬ ‫ويسمى‬
. ))
‫و‬((
‫الربط‬ ‫باداة‬ ‫مربوطتين‬ f (x)  d , f(x)  c : ‫متباينتين‬ ‫عن‬ ‫عبارة‬ ‫وهي‬
.
S1
‫المجموعة‬ ‫هي‬ f (x) c ‫االولى‬ ‫حل‬ ‫مجموعة‬ ‫لتكن‬ *
.
S2
‫الحل‬ ‫مجموعة‬ ‫هي‬ f(x) d ‫الثانية‬ ‫حل‬ ‫مجموعة‬ ‫لتكن‬ *
S = S1
∩S2
: ‫حيث‬ S ‫هي‬ : ‫االصلية‬ ‫المتباينة‬ ‫حل‬ ‫مجموعة‬ ‫فأن‬
‫االعداد‬ ‫مستقيم‬ ‫على‬ ‫الحل‬ ‫مجموعة‬ ‫ومثل‬ ‫المتباينة‬ ‫حل‬
‫الثانية‬ ‫المتباينة‬ ‫االولى‬ ‫المتباينة‬ / ‫احلل‬
4 x + 2  - 3 4 x + 2 ≤ 10
4 x + 2 - 2  -3 -2 4 x + 2 - 2 ≤ 10 -2
4 x  - 5 4 x ≤ 8
S = S1
∩S2
S1
S2
( 6 ) ‫مثال‬
-3  4x + 2 ≤ 10
10-1-2 2 3-3 4
−5
4
)-2( ‫باضافة‬ )-2( ‫باضافة‬
‫تبسيط‬ ‫تبسيط‬
⇒
4x
4

-5
4
4x
4

-5
4
4x
4

-5
4
x
-5
4
x
-5
4
x
-5
4
⇒
4x
4
≤
8
4
4x
4
≤
8
4
4x
4
≤
8
4
x≤2x≤2x≤24 ‫على‬ ‫بالقسمة‬4 ‫على‬ ‫بالقسمة‬
s2 = x : x 
-5
4
⎧
⎨
⎩
⎫
⎬
⎭
∴ s1 = x: x ≤ 2{ }
s = x :
-5
4
 x ≤ 2
⎧
⎨
⎩
⎫
⎬
⎭
∴

s = s1 I s2 = x: x ≤ 2{ }


I x : x 
-5
4
⎧
⎨
⎩
⎫
⎬
⎭
∴
82
. ‫االعداد‬ ‫مستقيم‬ ‫على‬ ‫الحل‬ ‫مجموعة‬ ‫ومثل‬ ‫المتباينة‬ ‫حل‬
/‫احلل‬
:‫السابق‬ ‫المثال‬ ‫في‬ ‫كما‬ ‫التجزئة‬ ‫الى‬ ‫الحاجة‬ ‫دون‬ ‫المتباينة‬ ‫حل‬ ‫يمكن‬
‫االصلية‬ ‫المتباينة‬
‫المتباينة‬ ‫طرفي‬ ‫الى‬ )-1( ‫باضافة‬
‫تبسيط‬
‫الترتيب‬ ‫تغير‬ ‫مراعاة‬ ‫مع‬ )-2( ‫على‬ ‫بالقسمة‬
‫ذلك‬ ‫ليكون‬ ‫اليسار‬ ‫الى‬ ‫االصغر‬ ‫العدد‬ ‫يكون‬ ‫ان‬ ‫المزدوجة‬ ‫المتباينة‬ ‫حلول‬ ‫مجموعة‬ ‫كتابة‬ ‫في‬ ‫يفضل‬
: ‫ان‬ ‫اي‬ ‫االعداد‬ ‫مستقيم‬ ‫على‬ ‫الترتيب‬ ‫خاصية‬ ‫مع‬ ً‫ا‬‫متناسق‬
35 ، 17 ‫بين‬ ‫يقع‬ ‫الناتج‬ ‫فان‬ )5( ‫امثالها‬ ‫ثالثة‬ ‫الى‬ ‫اضيفت‬ ‫اذا‬ ‫التي‬ ‫الصحيحة‬ ‫االعداد‬ ‫هي‬ ‫ما‬
/ ‫احلل‬
y = ‫الصحيحة‬ ‫االعداد‬ ‫احد‬ ‫نفرض‬
‫الجبرية‬ ‫بالصورة‬ ‫المسألة‬ ‫تصبح‬ ً‫ا‬‫اذ‬
(-5(‫باضافة‬
‫التباين‬ ‫ترتيب‬ ‫على‬ ‫المحافظة‬ ‫(3)مع‬ ‫على‬ ‫بالقسمة‬
5 , 6 , 7 , 8 , 9 ‫هي‬ ‫المسألة‬ ‫تحقق‬ ‫التي‬ ‫الصحيحة‬ ‫االعداد‬ ∴
( 7 ) ‫مثال‬
( 8 ) ‫مثال‬
31-2y≤10
31-2y≤10
3-11-2y-1≤10-1
2-2y≤9
2
-2

-2y
-2
≥
9
-2
-1y≥
-9
2
s = y :
−9
2
≤ y  −1
⎧
⎨
⎩
⎫
⎬
⎭
17  3y+5  35
17 - 5  3y+5 - 5  35 - 5
12  3y  30
12
3

3y
3

30
3
4  y 10
. ‫الطريقة‬ ‫هذه‬ ‫بنفس‬ )6( ‫مثال‬ ‫حل‬ ‫تدريب‬
-2-3-4-5 -1 0
-9
2
83
: ‫اآلتية‬ ‫العبارات‬ ‫من‬ ‫كل‬ ‫صحة‬ ‫في‬ ‫أبحث‬ /1‫س‬
.‫أولي‬ ‫عدد‬ 7 ‫و‬ −2( )
3
= −8 )1
.‫األعداد‬ ‫خط‬ ‫على‬ -2 ‫يمين‬ ‫على‬ ‫يقع‬ −3( ) ‫أو‬ 15 = 5. 3 )2
.‫مربع‬ ‫مستطيل‬ ‫كل‬ ‫و‬ 
60o
‫األضالع‬ ‫المتساوي‬ ‫المثلث‬ ‫في‬ ‫زاوية‬ ‫كل‬ ‫قياس‬ )3
. 6 = 2 + 3 ‫أو‬ ‫نسبي‬ ‫غير‬ ‫عدد‬ ‫الصفر‬ )4
.
6
6
= 6 ‫و‬ −643
= −4 )5
. ‫االعداد‬ ‫مستقيم‬ ‫على‬ ‫الحل‬ ‫مجموعة‬ ‫ومثل‬ ‫االتية‬ ‫المتباينات‬ ‫من‬ ‫كال‬ ‫حل‬ /2‫س‬
(1) 2x+3≤9 (2) 5-2y4 (3) 3Z+517 (4) 9≤5-3t
(5) 3k+5
2
4 (6) 2p-5
-3
≤2
(7) 2 2p-1( )≤6- p+8( )
(8) 1
3
t+
7
12

1
2
t+
3
4
(9) -10≤2b-3≤9 (10) -4
3m+2
2
5
(11) -1
3
y≠
1
2
(12) 2 p-1( )-32p+3 (13)
/ 3‫س‬
‫معدل‬ ‫على‬ ‫الحصول‬ ‫يريد‬ ‫وكان‬ )66( ‫االول‬ ‫الشهر‬ ‫في‬ ‫الرياضيات‬ ‫امتحان‬ ‫في‬ ‫زيد‬ ‫درجة‬ ‫كانت‬ ‫اذا‬ )a
‫في‬ ‫عليها‬ ‫يحصل‬ ‫ان‬ ‫يجب‬ ‫التي‬ ‫الدرجة‬ ‫تتراوح‬ ‫فكم‬ ‫درجة‬ 80 ، 70 ‫بين‬ ‫يتراوح‬ ‫الرياضيات‬ ‫في‬
‫الثاني؟‬ ‫االمتحان‬
. 7 ، -3 ‫بين‬ ‫الناتج‬ ‫كان‬ 6 ‫اليها‬ ‫اضيفت‬ ‫اذا‬ ‫التي‬ ‫الصحيحة‬ ‫االعداد‬ ‫مجموعة‬ ‫جد‬ )b
.  ‫او‬  ‫الرمزين‬ ‫باحد‬ ‫يلي‬ ‫فيما‬ ‫االستفهام‬ ‫عالمة‬ ‫استبدل‬ / 4‫س‬
.a ? b ‫فان‬ a - b = -2 ‫كانت‬ ‫اذا‬ . a ? b ‫فان‬ a - b = 1 ‫كانت‬ ‫اذا‬ )a
4 1
10 p - 8  8 + 7p
)b
84
‫االعداد‬ ‫من‬ ‫مرتب‬ ‫بزوج‬ ‫مثل‬ُ‫ت‬ ‫االحداثي‬ ‫المستوي‬ ‫في‬ ‫نقطة‬ ‫اية‬ ‫ان‬ ‫السابقة‬ ‫دراستك‬ ‫من‬ ‫تعلمت‬
. )x , y( ‫الحقيقية‬
‫تسمى‬ ‫و‬ ً‫ا‬‫مع‬ ‫و‬ ‫حيث‬ ً‫ا‬‫مع‬ : ‫صورتها‬ ‫التي‬ ‫فالمعادلة‬
.x , y ‫بمتغيرين‬ ‫خطية‬ ‫معادلة‬
: ‫المعادلة‬ ‫حلول‬ ‫مجموعة‬ ‫جد‬
: ‫للنظام‬ ‫الحل‬ ‫مجموعة‬ ‫او‬
/ ‫احلل‬
‫الجدول‬ ‫في‬ ‫كما‬ ‫المعادلة‬ ‫تحقق‬ ‫والتي‬ x , y ‫قيم‬ ‫مجموعة‬ ‫بايجاد‬ ‫الحل‬ ‫مجموعة‬ ‫ايجاد‬ ‫نحاول‬
)x, y(yx+y=3x
)-1 , 4(4-1+y = 3-1
) 0 , 3(30 +y = 30
)1 , 2(21 +y = 31
) 2, 1(12 + y = 32
. ‫ان‬ ‫بحيث‬ )x, y( ‫المرتبة‬ ‫االزواج‬ ‫من‬ ‫محددة‬ ‫غير‬ ‫مجموعة‬ ‫هناك‬ ‫ان‬ ‫واضح‬ ‫الجدول‬ ‫من‬
. ‫الحل‬ ‫مجموعة‬ ‫وتكون‬
4 - 3‫االولى‬ ‫الدرجة‬ ‫من‬ ‫املعادلة‬
‫مبتغيرين‬
ax+by+c=0a,b,c ∈ Ra≠0b≠0
‫متغيرين‬ ‫في‬ ‫االولى‬ ‫الدرجة‬ ‫من‬ ‫المعادلة‬ ‫حل‬ ‫مجموعة‬ ]4 - 3 - 1[
( 1 ) ‫مثال‬
x+y=3
x+y=3
x+y=3
s= 0,3( ), 1,2( ), 2,1( ), -1,4( )...{ }
.....
.....
.....
.....
A= x,y( ):x,y ∈ R, x+y=3{ }Z
85
. . ‫حيث‬ 2x + 3y = 6 : ‫للمعادلة‬ ‫البياني‬ ‫المخطط‬ ‫ارسم‬
x ‫قيم‬ ‫مجموعة‬ / ‫احلل‬
. x = 3 , x = -1 ‫من‬ ‫الناتجتين‬ ‫بالنقطتين‬ ‫محددة‬ ‫مستقيم‬ ‫قطعة‬ ‫يمثل‬ ‫للمعادلة‬ ‫البياني‬ ‫المخطط‬ ‫ان‬ ‫واضح‬
: ]4-4[ ‫تعريف‬
‫المرتبة‬ ‫االزواج‬ ‫جميع‬ ‫مجموعة‬ ‫هي‬ x , y ‫بمتغيرين‬ ‫االولى‬ ‫الدرجة‬ ‫من‬ ‫المعادلة‬ ‫حل‬ ‫مجموعة‬
. ‫صائبة‬ ‫تجعلها‬ ‫التي‬ ‫اي‬ ax + by + c = 0 ‫المفتوحة‬ ‫الجملة‬ ‫تحقق‬ ‫التي‬ )x , y(
(2 ) ‫مثال‬
)x, y(y2x+3y=6x
(−1,
8
3
)
8
3
-2+3y=6-1
)0,2(
2
0+3y=60
(1,
4
3
)
4
3
2+3y=61
(2,
2
3
)
2
3
4+3y=62
)3,0(
0
6+3y=63
‫باخذ‬ ‫نكتفي‬ x , y ‫في‬ ‫بمتغيرين‬ ‫الخطية‬ ‫المعادلة‬ ‫لتمثيل‬ )1(
. ‫للدقة‬ ‫نقاط‬ ‫ثالث‬ ‫ويفضل‬ ‫المعادلة‬ ‫تحققان‬ ‫نقطتين‬
‫جزئية‬ ‫مجموعة‬ ‫او‬ ‫مستقيم‬ ax +by +c = 0 ‫للمعادلة‬ ‫البياني‬ ‫المخطط‬ )2(
. x ‫المتغير‬ ‫تعريف‬ ‫مجموعة‬ ‫على‬ ‫معتمد‬ )‫اوشعاع‬ ‫مستقيم‬ ‫(قطعة‬
‫مالحظة‬
• •• ••
-
1 0 1 2 3
[ ]
1-
1 2 3
3,0( )
y
x
•
•
(-1 ,
8
3
)
-1 ≤ x ≤ 3
86
‫االولى‬ ‫الدرجة‬ ‫من‬ ‫معادلتني‬ ‫حل‬
ً‫ا‬‫اني‬ ‫مبتغيرين‬
‫لحل‬ x , y ‫بمتغيرين‬ ‫االولى‬ ‫الدرجة‬ ‫من‬ ‫معادلتين‬ L2 :a2x+b2y=c2
, L1:a1x+b1y=c1
‫لتكن‬
. ‫والمحددات‬ ‫المصفوفات‬ ‫وبطريقة‬ )‫الحذف‬ ، ‫(التعويض‬ ‫وتحليلية‬ ‫بيانية‬ : ‫طرق‬ ‫عدة‬ ‫هناك‬ ‫النظام‬ ‫هذا‬
. ‫فقط‬ ‫والحذف‬ ‫التعويض‬ ‫وطريقتي‬ ‫البيانية‬ ‫الطريقة‬ ‫سندرس‬ ‫المرحلة‬ ‫هذه‬ ‫في‬
. L1
‫معادلة‬ ‫حل‬ ‫مجموعة‬ ‫هي‬ S1
‫كانت‬ ‫اذا‬ ‫عام‬ ‫وبشكل‬
s1 = x,y( ):a1x+b1y=c1{ }
. L2
‫معادلة‬ ‫حل‬ ‫مجموعة‬ ‫هي‬ S2
. S2
, S1
‫المجموعتين‬ ‫تقاطع‬ ‫هي‬ ‫النظام‬ ‫حل‬ ‫مجموعة‬ ‫فتكون‬
. R ‫في‬ x - y = 1 , x + y = 3 : ‫النظام‬ ‫حل‬ ‫مجموعة‬ ‫جد‬
/ ‫احلل‬
: R ‫التعويض‬ ‫مجموعة‬ ‫من‬ ‫نقاط‬ ‫بثالث‬ ‫الجدول‬ ‫نعمل‬
4 - 4
s2 = x,y( ):a2x+b2y=c2{ }
s=s1 ∩ s2
ً‫ال‬‫او‬-: ‫البيانية‬ ‫الطريقة‬
(1 ) ‫مثال‬
L1:x+y=3
)x, y(yx
)0,3(30
)1,2(21
)2,1(12
)x, y(yx
(0,-1)-10
)1,0(01
)2,1(12
L2 :x-y=1
: ‫اي‬
87
})2 , 1({ = ‫الحل‬ ‫مجموعة‬
*
‫أحدى‬ ‫من‬ y ، x ‫بين‬ ‫عالقة‬ ‫بإيجاد‬ ‫وذلك‬ ‫فقط‬ ‫واحد‬ ‫بمتغير‬ ‫معادلة‬ ‫الى‬ ‫المعادلتين‬ ‫أحدى‬ ‫بتحويل‬ ‫ويتلخص‬
:‫االتي‬ ‫المثال‬ ‫في‬ ‫كما‬ ‫االخرى‬ ‫المعادلة‬ ‫في‬ ‫وتعويضها‬ ‫المعادلتين‬
‫النظام‬ ‫حل‬ ‫مجموعة‬ ‫جد‬
: y ‫بداللة‬ x ‫نجد‬ )1( ‫المعادلة‬ ‫من‬ / ‫احلل‬
:‫ان‬ ‫اي‬
: ‫على‬ ‫لنحصل‬ )2( ‫المعادلة‬ ‫في‬ )3( ‫من‬ x ‫قيمة‬ ‫االن‬ ‫نعوض‬
ً‫ا‬‫ثاني‬-: ‫التعويض‬ ‫طريقة‬
( 2 ) ‫مثال‬
x-y=1.......... 1( )
x+y=3......... 2( )
x=1+y......... 3( )
1+y( )+y=3
1+2y=3
2y=2
∴ y=1
X
1
2
3
4
5
6
7
1 2 3 40
-1
-2
L2
L1
y
•
2,1( )
: ‫باالتي‬ ‫البياني‬ ‫الحل‬ ‫طريقة‬ ‫تتلخص‬
.‫االحداثي‬ ‫المستوي‬ ‫في‬ ‫والثاني‬ ‫االول‬ ‫المستقيمين‬ ‫من‬ ‫كل‬ ‫تمثيل‬ *
‫المحورين‬ ‫على‬ ‫النقطة‬ ‫من‬ ‫عمودين‬ ‫برسم‬ ‫المستقيمين‬ ‫تقاطع‬ ‫نقطة‬ ‫احداثي‬ ‫نجد‬ *
. ‫النظام‬ ‫حل‬ ‫مجموعة‬ ‫تمثل‬ ‫التقاطع‬ ‫نقطة‬ ‫فتكون‬ ‫والسيني‬ ‫الصادي‬
88
:‫فتكون‬ )3( ‫في‬ ) y =1 ( ‫قيمة‬ ‫نعوض‬
‫الن‬ ‫احداهما‬ ‫في‬ ‫وليس‬ ‫المعادلتين‬ ‫كلتا‬ ‫في‬ ) y = 1 ) ( x = 2 ( ‫عن‬ ‫نعوض‬ ‫الحل‬ ‫صحة‬ ‫من‬ ‫وللتحقق‬
.‫صائبتين‬ ‫عبارتين‬ ‫على‬ ‫للحصول‬ ‫كلتيهما‬ ‫تحقق‬ ‫ان‬ ‫يجب‬ ‫الحل‬ ‫مجموعة‬
: ‫االولى‬ ‫المعادلة‬
: ‫الثانية‬ ‫المعادلة‬
‫المعادلتين‬ ‫لحل‬ ‫التعويض‬ ‫طريقة‬ ‫استخدم‬
‫و‬
/ ‫احلل‬
:)2( ‫المعادلة‬ ‫من‬
: y ‫هو‬ ‫واحد‬ ‫بمتغير‬ ‫جديدة‬ ‫معادلة‬ ‫على‬ ‫لنحصل‬ )1( ‫المعادلة‬ ‫في‬ ‫قيمة‬ ‫نعوض‬
2 ‫في‬ ‫الطرفين‬ ‫بضرب‬
‫االقواس‬ ‫فك‬
‫بالتبسيط‬
x=1+y
x=1+1
∴ x=2
s= 2,1( ){ }
x-y=1 ⇒ 2-1=1
1=1
x+y=3 ⇒ 2+1=3
3=3
( 3 ) ‫مثال‬
3x+2y=12..... 1( )2x+3y=13..... 2( )
2x=13-3y ⇒ x=
13-3y
2
x=
13-3y
2
3
13-3y
2
⎛
⎝
⎜
⎞
⎠
⎟ +2y=12
3 13-3y( )+4y=24
39-9y+4y=24
39-5y=24
∴ -5y=-15
-5y
-5
=
-15
-5
∴ y=3
✓
89
‫في‬ y =3 ‫قيمته‬ ‫نعوض‬
‫على‬ ‫نحصل‬
{(2,3)} : ‫الحل‬ ‫مجموعة‬
.‫الحذف‬ ‫بطريقة‬ ‫االتيتين‬ ‫المعادلتين‬ ‫حل‬
x+2y=5..... 1( ) ,
3x-y=1..... 2( )
/ ‫احلل‬
‫بالقيمة‬ ً‫ا‬‫متساوي‬ ‫المتغيرين‬ ‫أحد‬ ‫معامل‬ ‫نجعل‬ y ‫أو‬ x ‫المتغيرين‬ ‫أحد‬ ‫لحذف‬
.‫المعادلتين‬ ‫كلتا‬ ‫في‬ ‫باالشارة‬ ً‫ا‬‫ومختلف‬
2 ‫العدد‬ ‫في‬ )2( ‫المعادلة‬ ‫ضرب‬ ‫بعد‬
: ‫على‬ ‫نحصل‬ 2 ‫مع‬ 1 ‫بجمع‬
0 = (-2y) + (2y) : ‫ألن‬
. ) ‫المعادلتين‬ ‫من‬ ‫معادلة‬ ‫بابسط‬ ‫(يفضل‬ ‫المعادلتين‬ ‫أحدى‬ ‫في‬ x = 1 ‫قيمة‬ ‫نعوض‬
‫الحل‬ ‫مجموعة‬
‫المعادلتين‬ ‫كلتا‬ ‫في‬ ‫نعوض‬ x=1 , y=2 : ‫للتحقق‬
x=
13-3y
2
x=2
ً‫ا‬‫ثالث‬-: ‫احلذف‬ ‫طريقة‬
( 4 ) ‫مثال‬
x+2y=5..... 1( )
6x-2y=2..... 2( )
7x=7
∴ x=1
1+2y=5
2y=4 ⇒ y=2
s= 1,2( ){ }
‫بالجمع‬
90
)‫وجدت‬ ‫ان‬ ، ‫والكسور‬ ‫االقواس‬ ‫من‬ ‫(التخلص‬ ‫المعادلتين‬ ‫نبسط‬ -1
:‫القياسية‬ ‫بالصورة‬ ‫لوضعها‬
.‫العددية‬ ‫بالقيمة‬ ‫المعادلتين‬ ‫في‬ ً‫ا‬‫متساوي‬ ‫المتغيرين‬ ‫احد‬ ‫معامل‬ ‫نجعل‬ -2
.)‫المعامل‬ ‫الشارة‬ ً‫ا‬‫(وفق‬ ‫المعادلتين‬ ‫نطرح‬ ‫او‬ ‫نجمع‬ -3
‫احدى‬ ‫في‬ ‫نعوض‬ ‫ثم‬ ‫االخر‬ ‫المتغير‬ ‫قيمة‬ ‫على‬ ‫نحصل‬ )3( ‫الخطوة‬ ‫من‬ -4
.)‫(المحذوف‬ ‫المتغير‬ ‫قيمة‬ ‫على‬ ‫للحصول‬ ‫المعادلتين‬
.‫الحذف‬ ‫بطريقة‬ ‫االتيتين‬ ‫المعادلتين‬ ‫حل‬
3x+4y=10..... 2( ) ,
2x+3y=7..... 1( )
/ ‫احلل‬
:‫يلي‬ ‫كما‬ ‫المعادلتين‬ ‫من‬ x ‫حذف‬ ‫نحاول‬
.‫لهما‬ ‫مكافئتين‬ ‫جديدتين‬ ‫معادلتين‬ ‫على‬ ‫لنحصل‬ 2 ‫بالعدد‬ )2( ‫والمعادلة‬ 3 ‫بالعدد‬ )1( ‫بضرب‬
‫بالطرح‬
: y = 1 ‫قيمة‬ ‫عن‬ ) )1( ‫في‬ ‫اي‬ ( )‫االشارة‬ ‫تغيير‬ ‫(قبل‬ ‫احدهما‬ ‫في‬ ‫نعوض‬
.‫الناتج‬ ‫صحة‬ ‫من‬ ‫التحقق‬ ‫للطالب‬ ‫يمكن‬
: ‫الطريقة‬ ‫ملخص‬
( 5 ) ‫مثال‬
ax+by=c
2x+ 3 × 1( )=7
2x=4 ⇒ x=2
s= 2,1( ){ }
6x + 9y= 21..... 1( )
+ 6x + 8y= + 20..... 2( )
-
⇒ y=1
- -
91
: ً‫ا‬‫ثاني‬ ً‫ا‬‫بياني‬ ‫ثم‬ ً‫ال‬‫او‬ ‫الحذف‬ ‫بطريقة‬ ‫االتيتين‬ ‫المعادلتين‬ ‫حل‬
3x-y=12......... 1( )6 , x-y=4......... 2( )
: ً‫ال‬‫او‬
: y ‫المتغير‬ ‫حذف‬ ‫من‬ ‫لنتمكن‬ )-1( ‫بالعدد‬ )2( ‫المعادلة‬ ‫طرفي‬ ‫نضرب‬ :‫الحذف‬ ‫بطريقة‬
‫بالجمع‬
:)1( ‫في‬ ‫او‬ : ً‫ال‬‫أص‬ )2( ‫في‬ ‫نعوض‬
: ً‫ا‬‫بياني‬ ‫احلل‬
( 6 ) ‫مثال‬
-x +y =-4....... 2( )
x y (x,y)
0
4
-4
0
(0,-4)
(4,0)
x y (x,y)
0
2
-6
0
(0,-6)
(2 , 0)
L2 :x-y=4L1:3x-y=12
3x -y =12....... 1( )6
2x=8 ⇒ x=42 1
4-y=4 ⇒ y=0−3
s = 1,−3( ){ }
3x-y=12......... 1( )6 x-y=4......... 2( )
L2
X
L1
y
‫التقاطع‬ ‫نقطة‬
)1 , -3(
1
92
: ‫الحذف‬ ‫بطريقة‬ ‫اآلتيتين‬ ‫المعادلتين‬ ‫حل‬1
2
x+2( )-
1
3
y-2( )=3 ........1
1
4
x +
1
2
y = 0 ........2
) LCM( 6 ‫بالعدد‬ )1( ‫المعادلة‬ ‫طرفي‬ ‫بضرب‬ ‫وذلك‬ ‫المعادلتين‬ ‫كلتا‬ ‫في‬ ‫الكسور‬ ‫من‬ ‫نتخلص‬ /‫احلل‬
:‫ونبسط‬ . 4 ‫بالعدد‬ )2( ‫والمعادلة‬
⇒ 6( ) ×
1
2
x+2( )- 6( ) ×
1
3
y-2( )=6 × 3
⇒ 3 x+2( ) − 2 y-2( ) = 18
3x-2y+10=18
3x-2y=8 ........1
4( ) ×
1
4
x + 4( ) ×
1
2
y=0
⇒ x+2y=0 ........2
3x-2y=8 ........1‫بالجمع‬
4x=8 ⇒ x=2
)2( ‫بالمعادلة‬ ‫نعوض‬
1
4
⎛
⎝
⎜
⎞
⎠
⎟ × 2+
1
2
y=0
1
2
+
1
2
y=0
‫على‬ ‫نجصل‬ 2 ‫في‬ ‫بالضرب‬
1 + y=0 ⇒ y=-1
ss= 2,-1( ){ } ∴= 2,-1( ){ } ∴
( 7 ) ‫مثال‬
93
4 2
:‫التعويض‬ ‫بطريقة‬ ‫اآلتيتين‬ ‫المعادلتين‬ ‫من‬ ً‫ال‬‫ك‬ ‫حل‬ / 1‫س‬
:‫الحذف‬ ‫بطريقة‬ ‫اآلتيتين‬ ‫المعادلتين‬ ‫من‬ ً‫ال‬‫ك‬ ‫حل‬ / 2‫س‬
.‫الحل‬ ‫صحة‬ ‫من‬ ‫تحقق‬ ‫ثم‬
: ‫أخرى‬ ‫بطريقة‬ ‫الناتج‬ ‫وحقق‬ ً‫ا‬‫بياني‬ ‫يأتي‬ ‫مما‬ ‫معادلتين‬ ً‫ال‬‫ك‬ ‫/حل‬ 3‫س‬
: ‫ذلك‬ ‫بين‬ ‫االنيتين‬ ‫المعادلتين‬ ‫حل‬ ‫مجموعة‬ } ) 3 , 2 ( { ‫ان‬ ‫هل‬ / 4‫س‬
, :‫املعادلتني‬ ‫حل‬ ‫مجموعة‬ ‫هي‬ {(2,−1)} ‫كانت‬ ‫اذا‬ / 5‫س‬
‫حقيقية‬ ‫ثوابت‬ a , b ‫حيث‬ a , b ‫جد‬
bx-2y=-2
2x+3y=13
3x-2y= 0
b-m
1-a
,
b − am
1-a
⎛
⎝
⎜
⎞
⎠
⎟
⎧
⎨
⎩
⎫
⎬
⎭
a)
x-2y= 11
2x-3y=18
b-m
1-a
,
b − am
1-a
⎛
⎝
⎜
⎞
⎠
⎟
⎧
⎨
⎩
⎫
⎬
⎭
b)
3x-4y-12=0
5x+2y+6=0
b-m
1-a
,
b − am
1-a
⎛
⎝
⎜
⎞
⎠
⎟
⎧
⎨
⎩
⎫
⎬
⎭
a)
3x+2y=12
x + y = 5
a)
1
2
x +
1
3
y =2
2 x+1( )+3 y-3( )=2
b)
0.1x-3y=12
0.2x-4y = 24
b) b-m
1-a
,
b − am
1-a
⎛
⎝
⎜
⎞
⎠
⎟
⎧
⎨
⎩
⎫
⎬
⎭
2x-ay=3
2x
3
-
y
2
= 1
3y
2
+
x
3
= 4
94
, ‫حيث‬ : ‫هي‬ x ‫واحد‬ ‫بمتغير‬ ‫الثانية‬ ‫الدرجة‬ ‫لمعادلة‬ ‫العامة‬ ‫الصورة‬
. a,b,c ∈ R
m2
-m=0 ، y2
- 2y-1=0 ، ax2
-3x+1=0 : ً‫ال‬‫مث‬
‫المعادلة‬ ‫وحل‬ ‫الترتيب‬ ‫على‬ m , y , x ‫واحد‬ ‫لمتغير‬ ‫الثانية‬ ‫الدرجة‬ ‫من‬ ‫لمعادلة‬ ‫أمثلة‬ ‫هي‬
‫مجموعة‬ ‫ضمن‬ )‫صائبة‬ ‫(تجعلها‬ ‫المعادلة‬ ‫تحقق‬ ‫التي‬ x ‫قيم‬ ‫مجموعة‬ ‫ايجاد‬ ‫يعني‬
: ‫ومنها‬ ‫واحد‬ ‫بمتغير‬ ‫التربيعية‬ ‫المعادلة‬ ‫لحل‬ ‫مختلفة‬ ‫طرق‬ ‫وهناك‬ ‫معلومة‬ ‫تعويض‬
‫الدرجة‬ ‫من‬ ‫منهما‬ ‫كل‬ ‫عاملين‬ ‫ضرب‬ ‫حاصل‬ ‫صورة‬ ‫على‬ ‫امكن‬ ‫ان‬ ‫المقدار‬ ‫بوضع‬ ‫وذلك‬
: ‫ان‬ ‫اي‬ ‫االولى‬
:‫أن‬ ‫على‬ ‫تنص‬ ‫والتي‬ ‫الصفري‬ ‫العامل‬ ‫خاصية‬ ‫نستخدم‬ ‫ثم‬
: ‫كان‬ ‫اذا‬
‫اما‬
‫او‬
‫الحل‬ ‫مجموعة‬ ‫وتكون‬
‫الثالثية‬ ‫الحدوديات‬ ‫تحليل‬ ، ‫مربعين‬ ‫بين‬ ‫الفرق‬ : ‫الثنائية‬ ‫الحدوديات‬ ‫لتحليل‬ ‫المختلفة‬ ‫الطرق‬ ‫درسنا‬ ‫وكما‬
. ) ‫التجزئة‬ ( ‫الرباعية‬ ‫الحدوديات‬ ، ) ‫الكامل‬ ‫المربع‬ ، ‫(التجربة‬
4 - 5‫الثانية‬ ‫الدرجة‬ ‫من‬ ‫املعادلة‬
‫مبتغيرواحد‬
ax2
+bx+c=0a≠0( )
ax2
+bx+c=0
ً‫ال‬‫او‬-: ‫التحليل‬ ‫طريقة‬
ax2
+bx+c( )
ax2
+bx+c= a1x+c1( ) a2x+c2( )=0
ab=0
a=0
b=0
a1x+c1 =0 ⇒ x=
-c1
a1
a2x+c2 =0 ⇒ x=
-c2
a2
S=
-c1
a1
,
-c2
a1
⎧
⎨
⎩
⎫
⎬
⎭2
95
‫مالحظة‬
: ‫التحليل‬ ‫بطريقة‬ ‫االتية‬ ‫المعادالت‬ ‫حل‬
a) x2
-25=0 b) 2x2
-3x=0
/‫الحل‬
a) x2
-25=0 ⇒ x-5( ) x+5( ) = 0
‫اما‬ :x-5=0 ⇒ x=5
‫او‬ :x+5=0 ⇒ x=-5
‫الحل‬ ‫مجموعة‬ ∴
b) 2x2
-3x=0
x 2x+3( )=0 ‫مشترك‬ ‫عامل‬ ‫باخراج‬ ‫تحليل‬
‫اما‬ : x=0
‫او‬ :
= ‫الحل‬ ‫مجموعة‬ ∴
( 1 ) ‫مثال‬
5,-5{ }
. ‫مربعين‬ ‫بين‬ ‫الفرق‬ ‫تحليل‬ ‫نذكر‬
) 1
: ‫وهي‬ ‫التربيعي‬ ‫الجذر‬ ‫بطريقة‬ 1 ‫المثال‬ ‫حل‬ ‫يمكن‬ ) 2
‫وكانت‬ ، ‫كانت‬ ‫اذا‬
‫او‬ : ‫فان‬
: ‫كان‬ ‫اذا‬ ‫اي‬
x2
-a2
= x-a( ) x+a( )
k ∈ Rk  0x2
=k
x= kx=- k
x2
=25
∴ x=+ 25
x=+5
∴ S= 5,-5{ }
2x-3=0 ⇒ x=
3
2
0,
3
2
⎧
⎨
⎩
⎫
⎬
⎭
-
-
-
96
: ‫االتيه‬ ‫المعادالت‬ ‫حل‬
a) x-2( )
2
− 9=0
b) 1-2y( )
2
− 4=0
c) 2w+a( )
2
-4a2
=0
d) 1
y+1
⎛
⎝
⎜
⎞
⎠
⎟
2
-
1
4
=0
/‫احلل‬
a) x-2( )
2
− 9=0 ( ‫المعادلة‬ )
)‫االقواس‬ ‫(فك‬
)‫تبسيط‬ (
)‫تجربة‬ ‫(تحليل‬
‫اما‬ :
‫او‬ :
= ‫الحل‬ ‫مجموعة‬ ∴
( 2 ) ‫مثال‬
x2
-4x+4-9=0
x2
-4x-5=0
x-5( ) x+1( ) = 0
x-5=0 ⇒ x=5
x+1=0 ⇒ x=-1
-1,5{ }
‫للطالب‬ ‫تدريب‬
. x = 5 , x = - 1 ‫عن‬ ‫بالتعويض‬ ‫االجابة‬ ‫صحة‬ ‫حقق‬
97
b) 1-2y( )
2
− 4=0 ( ‫المعادلة‬ )
( ‫االقواس‬ ‫فك‬ )
( ‫تبسيط‬ )
) ‫تجربة‬ ‫تحليل‬ (
: ‫اما‬
: ‫او‬
c) 2w+a( )
2
-4a2
=0 ( ‫المعادلة‬ )
( ‫مربيعين‬ ‫بين‬ ‫الفرق‬ ‫تحليل‬ )
( ‫تبسيط‬ )
: ‫اما‬
: ‫او‬
= ‫الحل‬ ‫مجموعة‬
d) 1
y+1
⎛
⎝
⎜
⎞
⎠
⎟
2
-
1
4
=0 ( ‫المعادلة‬ )
( ‫مربيعين‬ ‫بين‬ ‫الفرق‬ ‫تحليل‬ )
: ‫اما‬
1-4y+4y2
-4=0
4y2
-4y-3=0
2y+1( ) 2y-3( )=0
y =
-1
2
y =
3
2
a
2
,
-3a
2
⎧
⎨
⎩
⎫
⎬
⎭
∴ w=
-3a
2
2w+3a = 0
∴ w=
a
2
2w-a=0
2w-a( ) 2w+3a( ) = 0
2w+a( )-2a⎡⎣ ⎤⎦ 2w+a( )+2a⎡⎣ ⎤⎦=0
1
y+1
−
1
2
⎡
⎣
⎢
⎤
⎦
⎥
1
y+1
+
1
2
⎡
⎣
⎢
⎤
⎦
⎥=0
1
y+1
−
1
2
-1
2
,
3
2
⎧
⎨
⎩
⎫
⎬
⎭
= ‫احلل‬ ‫∴مجموعة‬
=0
98
‫الوسطين‬ ‫ضرب‬ ‫حاصل‬ = ‫الطرفين‬ ‫ضرب‬ ‫حاصل‬
= ‫الحل‬ ‫مجموعة‬
: ‫بالتحليل‬ ‫االتية‬ ‫المعادالت‬ ‫حل‬
a) x x-2( )=35
b) 2x2
-12=5x
c) 1
3
x2
=
3
4
x
d) 2x2 -3+x( )=5x+9
e)
f) 3x+1( )
2
= 3x+1( )
/‫الحل‬
a) x x-2( )=35
x2
-2x-35=0
: ‫او‬ : ‫اما‬
= ‫احلل‬ ‫مجموعة‬ ∴
1
y+1
=
1
2
y+1=2
y=1
1
y+1
+
1
2
= 0
1
y+1
=
−1
2
-y-1=2
∴ y=3
-3,1{ }
( 3 ) ‫مثال‬
7, −5{ }
x+5=0 ⇒ x=-5 x-7=0 ⇒ x=7
x-7( ) x+5( ) = 0
−3
-
0.1x2
- 0.4x + 0.4 = 0
: ‫او‬
99
‫مالحظة‬
b) 2x2
-12=5x
: ‫اما‬
: ‫او‬
= ‫الحل‬ ‫مجموعة‬ ∴
c) 		 x
12 = LCM ‫في‬ ‫المعادلة‬ ‫طرفي‬ ‫بضرب‬ ‫الكسور‬ ‫من‬ ‫نتخلص‬
( ‫الطرفين‬ ‫تبسيط‬ )
: ‫اما‬
:‫او‬
= ‫الحل‬ ‫مجموعة‬
‫صحة‬ ‫من‬ ‫التحقق‬ ‫يمكن‬
. ‫االصلية‬ ‫بالمعادلة‬ ‫بالتعويض‬ ‫الناتج‬
2x2
-5x-12=0
2x+3( ) x-4( ) = 0
2x+3=0 ⇒ x=
-3
2
x-4=0 ⇒ x=4
-3
2
, 4
⎧
⎨
⎩
⎫
⎬
⎭
12
1
3
x2⎛
⎝
⎜
⎞
⎠
⎟ =12
3
4
x
⎛
⎝
⎜
⎞
⎠
⎟
1
3
x2
=
3
4
4x2
=9x
⇒ 4x2
-9x=0
⇒ 4x-9=0 ⇒ x=
9
4
0,
9
4
⎧
⎨
⎩
⎫
⎬
⎭
x=0
x ( 4x - 9 ) = 0
-6x+2x2
-5x+9=0
2x2
-11x+9=0
2x-9( ) x-1( ) = 9-6x+2x2
-5x+9=0
2 -3+x( )=5x+9d) 2x -
( ‫الطرفين‬ ‫تبسيط‬ )
100
: ‫اما‬
: ‫او‬
= ‫الحل‬ ‫مجموعة‬ ∴
e)
‫الكسور‬ ‫من‬ ‫للتخلص‬ 10 ‫قي‬ ‫المعادلة‬ ‫طرفي‬ ‫بضرب‬
= ‫الحل‬ ‫مجموعة‬ ∴
f)
: ‫اما‬
: ‫او‬
= ‫الحل‬ ‫مجموعة‬ ∴
2x-9=0 ⇒ x =
9
2
x-1=0 ⇒ x=1
9
2
,1
⎧
⎨
⎩
⎫
⎬
⎭
3x+1( )
2
= 3x+1( )
3x+1( )
2
- 3x+1( )=0
3x+1( ) 3x+1( )-1⎡⎣ ⎤⎦=0
3x+1=0 ⇒ x=
-1
3
3x=0 ⇒ x=0
-1
3
, 0
⎧
⎨
⎩
⎫
⎬
⎭
.‫الحل‬ ‫واكمال‬ ‫االقواس‬ ‫فك‬ : ‫اخرى‬ ‫بطريقة‬ ‫حاول‬
‫المعادلة‬ ‫لتصبح‬ ) 3x + 1) = y : ‫ان‬ ‫بفرض‬ ‫المعادلة‬ ‫حل‬ ‫كذلك‬ ‫ويمكن‬
.‫الحل‬ ‫نكمل‬ ‫ثم‬ y2
= y : ‫بالشكل‬ ‫االصلية‬
‫للطالب‬ ‫تمرين‬
0.1x2
- 0.4x + 0.4 = 0
x2
- 4x + 4 = 0
(x - 2 )2
= 0
x - 2 = 0 ⇒ x = 2
s = 2{ }
101
:‫اآلتية‬ ‫الخطوات‬ ‫نتبع‬ ‫الطريقة‬ ‫بهذه‬ ‫الحل‬ ‫مجموعة‬ ‫إليجاد‬
a≠0 ‫حيث‬ . ‫بالصورة‬ ‫التربيعية‬ ‫المعادلة‬ ‫نضع‬ - 1
. a ‫على‬ ‫المعادلة‬ ‫طرفي‬ ‫نقسم‬ ، ‫كان‬ ‫اذا‬ - 2
. ‫المقدار‬ ‫المعادلة‬ ‫طرفي‬ ‫الى‬ ‫نضيف‬ - 3
. ‫االيمن‬ ‫الطرف‬ ‫ونبسط‬ 3 ‫الخطوة‬ ‫بعد‬ ً‫ال‬‫كام‬ ً‫ا‬‫مربع‬ ‫اصبح‬ ‫والذي‬ ‫االيسر‬ ‫الطرف‬ ‫نحلل‬ - 4
. x ‫قيم‬ ‫ونجد‬ ‫للطرفين‬ ‫التربيعي‬ ‫الجذر‬ ‫نأخذ‬ - 5
. ‫المربع‬ ‫اكمال‬ ‫بطريقة‬ ‫المعادلة‬ ‫حل‬
/‫احلل‬
) ‫المعادلة‬ (
)‫المطلوبة‬ ‫بالصورة‬ ‫المعادلة‬ ‫(وضع‬
)2‫على‬ ‫الطرفين‬ ‫بقسمة‬ (
=
9
16
= ‫المضاف‬ ‫الحد‬
‫للطرفين‬ ‫باضافة‬
‫االيمن‬ ‫ونبسط‬ ‫االيسر‬ ‫الطرف‬ ‫تحليل‬
‫التربيعي‬ ‫الجذر‬ ‫خاصة‬
: ‫اما‬
ً‫ا‬‫ثاني‬
To Solve a Quadratic Equation by Completing the Square
ax2
+bx=-c
a≠1
x
⎛
⎝
⎜ ‫معامل‬ 1
2
⎞
⎠
⎟
2
( 4 ) ‫مثال‬
2x2
-3=3x
2x2
-3=3x
2x2
-3x=3
x2
-
3
2
x=
3
2
9
16
=
−3
2
×
1
2
⎛
⎝
⎜
⎞
⎠
⎟
2
9
16
∴ x2
-
3
2
x+
9
16
=
3
2
+
9
16
x-
3
4
⎛
⎝
⎜
⎞
⎠
⎟
2
=
33
16
∴ x-
3
4
=+
33
4
x=
3
4
+
33
4
=
3+ 33
4
-
‫املربع‬ ‫اكمال‬ ‫طريقة‬ :
102
: ‫أو‬ 			
= ‫الحل‬ ‫مجموعة‬ ∴
‫التربيعية‬ ‫للمعادلة‬ ‫العامة‬ ‫الصورة‬
‫القياسية‬ ‫الصورة‬ ً‫ا‬‫ايض‬ ‫تسمى‬
a ‫على‬ ‫بالقسمة‬
‫نصف‬ ‫مربع‬ ‫باضافة‬
‫للطرفين‬ x ‫معامل‬
‫االيمن‬ ‫الطرف‬ ‫ونبسط‬ ‫االيسر‬ ‫الطرف‬ ‫تحليل‬
: ‫اما‬ 	 		
: ‫او‬ 						
= ‫الحل‬ ‫مجموعة‬ ∴
:x ‫في‬ ‫التربيعية‬ ‫المعادلة‬ ‫حل‬ ‫مجموعة‬ ‫تكون‬ ‫وبذلك‬
‫التربيعية‬ ‫المعادلة‬ ‫قانون‬
= :‫المقدار‬ ‫يسمى‬
x=
3
4
−
33
4
=
3- 33
4
3+ 33
4
,
3- 33
4
⎧
⎨
⎩⎪
⎫
⎬
⎭⎪
: ً‫ا‬‫ثالث‬)‫فقط‬ ‫لالطالع‬ ‫(االشتقاق‬ ) ‫(الدستور‬ ‫القانون‬ ‫طريقة‬
ax2
+bx+c=0 , a≠0
ax2
+bx=-c
x2
+
b
a
x=
-c
a
ax2
+
b
a
x+
1
2
×
b
a
⎛
⎝
⎜
⎞
⎠
⎟
2
=
-c
a
+
1
2
×
b
a
⎛
⎝
⎜
⎞
⎠
⎟
2
x2
+
b
a
x+
b2
4a2
=
-c
a
+
b2
4a2
x+
b
2a
⎛
⎝
⎜
⎞
⎠
⎟
2
=
b2
-4ac
4a2
x+
b
2a
=+
b2
-4ac
2a
x=+
-b+ b2
-4ac
2a
x=+
-b- b2
-4ac
2a
-b- b2
-4ac
2a
,
-b+ b2
-4ac
2a
⎧
⎨
⎪
⎩⎪
⎫
⎬
⎪
⎭⎪
x=
-b+ b2
-4ac
2a
b2
-4ac( )∆( )b2
-4ac∆
x=
x=
-
‫بالرمز‬ ‫له‬ ‫ويرمز‬ ‫المميز‬ ‫بالمقدار‬Delta )‫(دلتا‬
-
103
)‫الدستور‬ ( ‫بالقانون‬ ‫االتية‬ ‫المعادلة‬ ‫حل‬
/‫احلل‬
. ‫العامة‬ ‫بالصورة‬ ‫المعادلة‬ ‫وضع‬ )1
‫حيث‬ c , b , a ‫المعامالت‬ ‫تعيين‬ )2
: ‫بالقانون‬ c , b , a ‫عن‬ ‫نعوض‬ )3
: ‫اما‬
: ‫او‬
= ‫الحل‬ ‫مجموعة‬ ∴
‫جذري‬ ‫نوع‬ ‫فان‬ , ‫هو‬ ax2
+ bx + c = 0 ‫التربيعية‬ ‫للمعادلة‬ ‫المميز‬ ‫المقدار‬ ‫ان‬ ‫عرفنا‬
:‫يلي‬ ‫كما‬ ‫تتعين‬ ‫المعادلة‬
	‫ن‬‫الجذري‬ ‫نوع‬
ً‫ال‬‫كام‬ ً‫ا‬‫ومربع‬ ‫موجب‬ ‫نسبيان‬ ‫حقيقيان‬ ‫جذران‬
ً‫ال‬‫كام‬ ً‫ا‬‫مربع‬ ‫ليس‬ ‫موجب‬ 	‫ن‬‫نسبيي‬ ‫غير‬ ‫حقيقيان‬ ‫جذران‬
‫صفر‬ ‫واحد‬ ‫حقيقي‬ ‫جذر‬
‫سالب‬ 	)‫(تخيليان‬ ‫حقيقيين‬ ‫غير‬ ‫جذران‬
∅ = R ‫في‬ ‫الحل‬ ‫مجموعة‬ ∴
( 5 ) ‫مثال‬
x2
-3x=5
x2
-3x-5=0
a=1 ( x2
‫)معامل‬ , b=-3 (x‫)معامل‬
x=
-b+ b2
-4ac
2a
∴ x=
- -3( )+ -3( )
2
- 4 × 1 × 5( )
2 × 1
=
3+ 29
2
x=
3+ 29
2
x=
3- 29
2
3+ 29
2
,
3- 29
2
⎧
⎨
⎩⎪
⎫
⎬
⎭⎪
ً‫ا‬‫رابع‬The Discriminant ∆ ‫املميز‬ ‫املقدار‬
∆ = b2
-4ac( )
-b
2a
⎛
⎝
⎜
⎞
⎠
⎟
-
-
-
× -
c = -5 (‫المطلق‬ ‫)الحد‬
b2
-4ac∆ = b2
-4ac( )
104
‫مالحظة‬
:‫املعادلة‬ : ً‫ال‬‫مث‬
52
= ً‫ال‬‫كام‬ ً‫ا‬‫مربع‬ 25 ‫والعدد‬
‫املقدار‬
‫حتليله‬ ‫ميكن‬
‫؟‬ ‫متساويني‬ ‫املعادلة‬ ‫جذري‬ ‫جتعل‬ ‫التي‬ m ‫الثابت‬ ‫قيمة‬ ‫ما‬
/‫احلل‬
0 = )‫املميز‬ ( ∆ ‫عندما‬ ‫متساويني‬ ‫املعادلة‬ ‫جذري‬ ‫يكون‬
									
: ‫اما‬
: ‫او‬ 									
‫فان‬ ‫صحيحة‬ ً‫ا‬‫اعداد‬ c , b , a ‫كانت‬ ‫اذا‬ ‫انه‬ ‫مالحظة‬ ‫مع‬
. ً‫ال‬‫كام‬ ً‫ا‬‫مربع‬ ‫المميز‬ ‫كان‬ ‫اذا‬ ‫تحليله‬ ‫يمكن‬ ‫المقدار‬ax2
+bx+c( )
2x2
+3x-2=0
a=2, b=3, c=-2
∆ = b2
-4ac
=9- 4 × 2 × -2( )=25
2x2
+3x-2
= 2x-1( ) x+2( )
( 6 ) ‫مثال‬
x2
- m+1( )x+4=0
a=1, b=- m+1( ), c=4
∆= - m+1( )⎡⎣ ⎤⎦
2
-4 × 1 × 4= m+1( )
2
-16
∆=0 ⇒ m+1( )
2
− 16 = 0
∴ m+1( )
2
= 16 ⇒ m+1=+4
m=3
m=-5
2
-
‫مالحظة‬‫ان‬ ‫لتجد‬ ‫االصلية‬ ‫باملعادلة‬ m ‫قيمة‬ ‫عن‬ ‫بالتعويض‬ ‫حتقق‬
. m ‫قيم‬ ‫من‬ ‫قيمة‬ ‫لكل‬ ‫واحد‬ ‫حل‬ ‫للمعادلة‬
105
. R ‫في‬ ‫حل‬ ‫لها‬ ‫ليس‬ ‫المعادلة‬ ‫ان‬ ‫بين‬
/‫احلل‬
. ً‫ا‬‫سالب‬ ً‫ا‬‫عدد‬ ‫يساوي‬ )‫المميز‬ (∆ ‫عندما‬ R ‫في‬ ‫حل‬ ‫لها‬ ‫ليس‬ ‫التربيعية‬ ‫المعادلة‬
: ‫العامة‬ ‫بالصورة‬ ‫المعادلة‬ ‫نضع‬
:‫حيث‬
)‫(سالب‬
. R ‫في‬ ‫حل‬ ‫لها‬ ‫ليس‬ ‫المعادلة‬
‫؟‬ ‫متساويان‬ ‫املعادلة‬ ‫جذري‬ ‫جتعل‬ ‫التي‬ m ‫الثابت‬ ‫قيمة‬ ‫ما‬
/‫احلل‬
. ‫كان‬ ‫اذا‬ ‫متساويان‬ ‫التربيعية‬ ‫املعادلة‬ ‫جذرا‬ ‫يكون‬
‫العامة‬ ‫بالصورة‬ ‫املعادلة‬
‫نجعل‬
( 7 ) ‫مثال‬
x2
+10=2x
∆0( )
x2
-2x+10=10
c=10, b=-2, a=1
∆=b2
-4ac
= -2( )
2
-4 × 1 × 10
=-36
∆=-360
∴
( 8 ) ‫مثال‬
y2
-16=m y+4( )
∆ = 0
y2
-16=my+4m
y2
-my-16-4m=0
a=1 , b=-m, c=-16-4m
∆=b2
-4ac
=m2
+16m+64
∆ = 0
⇒ m2
+16m+64=0
m+8( )
2
=0
∴ m=-8
0
= -m( )
2
-4 -16-4m( )= -m( )
2
-4 -16-4m( )× 1 ×
106
) 480m2
( ‫مساحته‬ ‫وكانت‬ ‫عرضه‬ ‫ضعف‬ ‫على‬ )2m( ‫بمقدار‬ ‫يزيد‬ ‫السلة‬ ‫كرة‬ ‫ملعب‬ ‫طول‬ ‫كان‬ ‫اذا‬
. ‫الملعب‬ ‫بعدي‬ ‫جد‬
/‫احلل‬
y = ‫الملعب‬ ‫عرض‬ ‫نفرض‬
2y+2 = ‫الملعب‬ ‫طول‬
‫العرض‬ × ‫الطول‬ = )‫الشكل‬ ‫(مستطيلة‬ ‫الملعب‬ ‫مساحة‬
2‫على‬ ‫بالقسمة‬
‫يهمل‬ : ‫اما‬
: ‫او‬ 							
= ‫العرض‬ 	
= ‫الطول‬ 				
	2 × 15+2== 	 						
32m = ‫الطول‬ ∴
- : ‫واحد‬ ‫متغير‬ ‫في‬ ‫الثانية‬ ‫الدرجة‬ ‫من‬ ‫معادالت‬ ‫الى‬ ‫حلها‬ ‫يؤدي‬ ‫مسائل‬
(9 ) ‫مثال‬
y 2y+2( )=480
2y2
+ 2y=480
y2
+y-240=0
y+16( ) y-15( )=0
y=-16
y=15
15m
2y+2
107
. )12( ‫بمقدار‬ ‫عليه‬ ‫يزيد‬ ‫مربعه‬ ‫الذي‬ ‫العدد‬ ‫جد‬
/‫احلل‬
x2
= ‫مربعه‬ ، x ‫العدد‬ ‫نفرض‬
: ‫اما‬ 				
: ‫او‬ 					
‫بمقدار‬ ‫سرعته‬ ‫زادت‬ ‫ولو‬ ‫معينة‬ ‫بسرعة‬ A , B ‫مدينتين‬ ‫بين‬ )60km( ‫مسافة‬ ‫قطع‬ ‫دراجة‬ ‫راكب‬ ‫اراد‬ ‫أذا‬
.ً‫ال‬‫او‬ ‫سرعته‬ ‫جد‬ .‫االول‬ ‫الزمن‬ ‫عن‬ ‫واحدة‬ ‫ساعة‬ ‫يقل‬ ‫بزمن‬ ‫المسافة‬ ‫هذه‬ ‫قطع‬ ‫من‬ ‫لتمكن‬
/ ‫احلل‬
V = ‫االولى‬ ‫سرعته‬ ‫نفرض‬
V + 10 = ‫الثانية‬ ‫سرعته‬ ∴
= ‫االول‬ ‫الزمن‬
= ‫الثاني‬ ‫الزمن‬
1 = ‫الثاني‬ ‫الزمن‬ - ‫األول‬ ‫الزمن‬ ∴
:LCM ‫في‬ ‫الطرفين‬ ‫بضرب‬
∴ V=-30 ‫تهمل‬ , V=20
(10 ) ‫مثال‬
∴ x2
-x=12
x2
-x-12=0
x-4( ) x+3( )=0
x=4
x=-3
(11 ) ‫مثال‬
(10 km/ h)
60
V
60
V
-
60
V +10
= 1
60
V +10
‫مالحظة‬
= ‫الزمن‬
‫املسافة‬
‫السرعة‬
V V+10( )
60 V+10( )-60V=V V+10( )
60V+600-60V=V2
+10V
⇒ V2
+10V-600=0 ⇒ V+34( ) V-20( )=0
km/h ً‫ال‬‫أو‬ ‫سرعته‬
30
108
‫مربع‬ ‫كل‬ ‫ضلع‬ ‫طول‬ ‫زواياها‬ ‫من‬ ‫متساوية‬ ‫مربعات‬ ‫أربعة‬ ‫قطعت‬ )x cm(‫ضلعها‬ ‫طول‬ ‫الشكل‬ ‫مربعة‬ ‫قطعة‬
)16cm3
( ‫حجمه‬ ‫مستطيلة‬ ‫سطوح‬ ‫متوازي‬ ‫شكل‬ ‫على‬ ‫غطاء‬ ‫بدون‬ ‫صندوق‬ ‫فتكون‬ ‫بعدها‬ ‫4)وثنيت‬cm(
. ‫االصلية‬ ‫مساحةالقطعة‬ ‫جد‬
/ ‫احلل‬
. ‫القاعدة‬ ‫بعدي‬ )x - 8( ، ‫االرتفاع‬ 4 : ‫الصندوق‬ ‫ابعاد‬ ‫ان‬ ‫الشكل‬ ‫من‬ ‫واضح‬
. ‫االرتفاع‬ × ‫العرض‬ × ‫الطول‬ = ‫المستطيلة‬ ‫السطوح‬ ‫متوازي‬ ‫حجم‬
4 ‫على‬ ‫بالقسمه‬
‫التربيعي‬ ‫الجذر‬ ‫باخذ‬
: ‫اما‬
: ‫او‬
‫ضلع‬ ‫طول‬ ‫تعطي‬ ‫النها‬ ‫اهمالها‬ ‫يجب‬ x = 6 ‫ان‬ ‫نالحظ‬ ‫المسأله‬ ‫معطيات‬ ‫تطابق‬ ‫االجابتين‬ ‫من‬ ‫أي‬ ‫وللتحقق‬
. ‫ممكن‬ ‫غير‬ ‫وهو‬ ) - 2( ً‫ا‬‫سالب‬ ‫عددا‬ ) x-8( ‫القاعدة‬
) ‫أخرى‬ ‫بطريقه‬ x = 6 ‫اهمال‬ ‫تفسير‬ ‫(حاول‬
) x = 10 ( ‫االصليه‬ ‫القطعه‬ ‫ضلع‬ ‫طول‬ ∴
100 cm2
= 102
= ‫مساحتها‬ ‫وتكون‬
(12 ) ‫مثال‬
∴ 4 x-8( ) x-8( ) = 16
∴ x-8( )
2
= 4
∴ x-8 = +2
x=10
x=6
-
x - 8
4 4
4 4
109
‫الخ‬ .... x2
- 4 = 0 ، x2
- x - 2 = 0 ً‫ال‬‫مث‬ ) ‫االساس‬ ‫في‬ ‫المتغير‬ ( ‫الحدودية‬ ‫المعادالت‬ ً‫ا‬‫سابق‬ ‫درسنا‬
. ) ‫الكسر‬ ‫مقام‬ ‫في‬ ‫متغيرها‬ ‫معادالت‬ ( ‫الكسرية‬ ‫المعادالت‬ ‫االن‬ ‫ندرس‬ ‫سوف‬
: ‫الحل‬ ‫صحة‬ ‫وحقق‬ ‫االتيه‬ ‫المعادالت‬ ‫من‬ ‫كال‬ ‫حل‬
a)
b)
c)
/ ‫احلل‬
: ‫الكسور‬ ‫من‬ ‫للتخلص‬ )3x( ‫للمقامات‬ LCM ‫في‬ ‫المعادلة‬ ‫طرفي‬ ‫نضرب‬
a)
‫تبسيط‬
‫بالتجربة‬ ‫تحليل‬
: ‫اما‬
: ‫او‬
‫عن‬ ‫بالمعادلة‬ ‫نعوض‬ : ‫التحقيق‬
‫االيسر‬ ‫الطرف‬
4 - 6
‫الكسرية‬ ‫املعادالت‬
5x+
x-2
3x
=
2
3
3x 5x( )+3x
x-2
3x
⎛
⎝
⎜
⎞
⎠
⎟ =3x
2
3
⎛
⎝
⎜
⎞
⎠
⎟
15x2
+x-2=2x
15x2
-x-2=0
5x-2( ) 3x+1( ) = 0
5x-2=0 ⇒ x=
2
5
3x+1=0 ⇒ x=
-1
3
x=
2
5
, x=
-1
3
x=
-1
3
L.H.S = 5 ×
-1
3
⎛
⎝
⎜
⎞
⎠
⎟ +
-1
3
-2
3 ×
-1
3
5x+
x-2
3x
=
2
3
2
y+2
-
2
2-y
=
y2
+4
y2
-4
6
x-2
+
x
2-x
=3
y
⇐
110
=
−5
3
+
−7
3
−1
=
−5
3
+
7
3
=
2
3
‫للمعادلة‬ ‫جذر‬
‫عندما‬ ‫بسهولة‬ ‫التحقق‬ ‫يمكن‬ ‫كذلك‬
= ‫الحل‬ ‫مجموعة‬ ∴
b ( : ‫تغييرالمقام‬ ‫نحاول‬ ‫للمقامات‬ LCM ‫في‬ ‫المعادلة‬ ‫طرفي‬ ‫ضرب‬ ‫قبل‬
‫حيث‬ 2-y
‫معلومة‬
: ‫الحظ‬
y-2( ) y+2( )( ) LCM ‫في‬ ‫المعادلة‬ ‫طرفي‬ ‫بضرب‬
‫الطرفين‬ ‫تبسيط‬
−1
3
,
2
5
⎧
⎨
⎩
⎫
⎬
⎭
∴ x=
-1
3
x=
2
5
2
y+2
-
2
2-y
=
y2
+4
y2
-4
a-b=- b-a( )
2
y+2
-
2
− y-2( )
=
y2
+4
y2
-4
2
y+2
+
2
y-2
=
y2
+4
y-2( ) y+2( )
2 y-2( ) + y y+2( ) = y2
+4
2y-4+y2
+2y-y2
-4=0
4y-8=0 ⇒ y=2
: ‫االتي‬ ‫بالشكل‬ ‫تصبح‬ ‫المعادلة‬ ∴
y2
-4= y-2( ) y+2( )
2-y=- 2-y( )(y-2)
y
y
y
= ‫االيمن‬ ‫الطرف‬
111
‫لذلك‬ ‫جائز‬ ‫غير‬ ‫وهذا‬ ‫الصفر‬ ‫على‬ ‫قسمة‬ ‫عملية‬ ‫على‬ ‫تحصل‬ ‫االصلية‬ ‫بالمعادلة‬ y = 2 ‫عن‬ ‫التعويض‬ ‫عند‬
. R ‫في‬ ‫حل‬ ‫لها‬ ‫ليس‬ ‫فالمعادلة‬
c (
) L . C . M ( ‫في‬ ‫المعادلة‬ ‫طرفي‬ ‫بضرب‬ : ) Correct Method ( ‫الصحيحة‬ ‫الطريقة‬ / ‫احلل‬
: ‫االتية‬ ‫المكافئة‬ ‫المعادلة‬ ‫على‬ ‫نحصل‬ ) X - 2 ( ‫وهو‬ ‫للمقامات‬
. S = {3 { : ‫للمعادلة‬ ً‫ا‬‫جذر‬ 3 ‫ان‬ ‫نالحظ‬ ً‫ال‬‫اص‬ ‫المعادلة‬ ‫في‬ ‫وبالتعويض‬
‫ميثل‬ ‫ال‬ ‫والذي‬ ) x - 2 ) ( 2 - x ( ‫باملقدار‬ ‫املعادلة‬ ‫طرفي‬ ‫نضرب‬ ‫أن‬ ‫هي‬ ‫الصحيحة‬ ‫غير‬ ‫الطريقة‬ ‫أما‬
‫ولذلك‬ ‫االصلية‬ ‫املعادلة‬ ‫حتقق‬ ‫ال‬ x = 2 ‫وقيمة‬ x= 2 , x = 3 ‫على‬ ‫نحصل‬ ‫سوف‬ ‫الننا‬ ‫الصحيح‬ ‫املضاعف‬
. ‫استبعادها‬ ‫يجب‬
∴ S = {3 {
2
0
=
y
2-y
⎛
⎝
⎜
⎞
⎠
⎟
‫مالحظة‬	‫يجب‬ ‫متغيرها‬ ‫على‬ ‫يحتوي‬ ‫بمقدار‬ ‫معادلة‬ ‫طرفي‬ ‫ضرب‬ ‫عند‬
‫الى‬ ‫بالضرورة‬ ‫تؤدي‬ ‫ال‬ ‫الضرب‬ ‫عملية‬ ‫الن‬ ‫صحته‬ ‫من‬ ‫التحقق‬ 			
. ‫القوى‬ ‫الى‬ ‫المعادلة‬ ‫طرفي‬ ‫رفع‬ ‫عملية‬ ‫كذلك‬ . ‫لالصل‬ ‫مكافئة‬ ‫معادلة‬
6
x-2
+
x
2-x
=3
x-2( )
6
x-2
+ x-2( )
x
2-x
=3 x-2( )
6-x=3x-6
4x=12
∴ x=3
∅ = ‫الحل‬ ‫مجموعة‬
‫مالحظة‬‫عزيزي‬ ‫الحظ‬
x - a = -( a- x ( : ‫أن‬ ‫الطالب‬
- (x-2)
-1
112
: ‫االتية‬ ‫املعادالت‬ ‫من‬ ‫كال‬ ‫/حل‬ 1‫س‬
1 -
2 -
3 -
4 - ‫طريقة‬ ‫من‬ ‫باكثر‬
5 -
6 -
7- ‫بالدستور‬
) 44m2
( ‫المستطيل‬ ‫مساحة‬ ‫كانت‬ ‫فاذا‬ ) 1m( ‫بمقدار‬ ‫عرضه‬ ‫أمثال‬ ‫ثالثة‬ ‫عن‬ ‫يقل‬ ‫مستطيل‬ ‫س2/طول‬
. ‫المستطيل‬ ‫ابعاد‬ ‫جد‬
. ) 149( ‫يساوي‬ ‫مربعاتها‬ ‫مجموع‬ x-1( ) ، x ، x+1( ) ‫موجبة‬ ‫أعداد‬ ‫ثالثة‬ /3‫س‬
. ‫االعداد‬ ‫هذه‬ ‫جد‬
‫(03)؟‬ ‫الناتج‬ ‫كان‬ ‫مربعه‬ ‫الى‬ ) 5( ‫اضيف‬ ‫اذا‬ ‫الذي‬ ‫العدد‬ ‫ما‬ / 4 ‫س‬
4 3
x+1( ) x-3( ) = 12
y2
=7y
3t2
-4=-11t
2x-1( )
2
= 2x-1( )........
x2
-5=3x
4x2
+9=12x.......
1
3
x2
=
1
2
x-
5
6
........
‫بالدستور‬
113
‫بمقدار‬ ُ‫ه‬‫وقاعدت‬ ُ‫ه‬‫أرتفاع‬ ‫من‬ ‫كل‬ ‫زاد‬ ‫فاذا‬ ) 1cm( ‫بمقدار‬ ‫ارتفاعه‬ ‫عن‬ ‫يزيد‬ ‫قاعدته‬ ‫طول‬ ‫مثلث‬ /5‫س‬
. ‫واالرتفاع‬ ‫القاعدة‬ ‫)جدطول‬21cm2
( ‫مساحته‬ ‫)أصبحت‬ 2cm(
‫ضلع‬ ‫طول‬ ‫متساوية‬ ‫مربعات‬ ‫اربعة‬ ‫زواياها‬ ‫من‬ ‫قطعت‬ ) y cm( ‫ضلعها‬ ‫طول‬ ‫الشكل‬ ‫مربعة‬ ‫/قطعة‬ 6‫س‬
‫غطاء‬ ‫بدون‬ ‫مستطيله‬ ‫سطوح‬ ‫متوازي‬ ‫شكل‬ ‫على‬ ‫صندوق‬ ‫فتكون‬ ‫بعدها‬ ‫وثنيت‬ ) 2cm( ‫منها‬ ‫كل‬
. ‫المربعة‬ ‫القطعة‬ ‫طول‬ ‫جد‬ .) 242 cm3
( ‫حجمه‬
‫وتره‬ ‫وطول‬ ‫االخر‬ ‫القائم‬ ‫الضلع‬ ‫عن‬ ) 2cm( ‫يزيد‬ ‫القائمين‬ ‫ضلعيه‬ ‫أحد‬ ‫طول‬ ‫الزاويه‬ ‫قائم‬ ‫مثلث‬ / 7‫س‬
. ‫مساحته‬ ‫وما‬ ‫المثلث‬ ‫اضالع‬ ‫أطوال‬ ‫جد‬ . ‫الصغير‬ ‫القائم‬ ‫الضلع‬ ‫طول‬ ‫ضعف‬ ‫)عن‬ 2cm( ‫يقل‬
/ 8‫س‬
‫؟‬ ‫متساويين‬ ‫جذرين‬ ‫للمعادلة‬ ‫تجعل‬ ‫التي‬ ) m( ‫الثابت‬ ‫قيمة‬ ‫ما‬ -a
‫؟‬ ‫متساويين‬ ‫المعادلة‬ ‫جذري‬ ‫تجعل‬ ‫التي‬ ) n( ‫الثابت‬ ‫ماقيمة‬ -b
: ‫منها‬ ‫كل‬ ‫في‬ ‫االجابة‬ ‫صحة‬ ‫وحقق‬ ‫االتية‬ ‫المعادالت‬ ‫/حل‬ 9‫س‬
a) 3y+5
2y-1
=
6y+2
5y-4
b) 5
x+2
+
3
2-x
=
2
x2
-4
c) y-7
y2
-2y
=
y
y-2
-
y+4
y
d) 2y
1-3y
=
5
3y-1
m y2
+y+1( )=y+1
w2
-16=n w+4( )
‫الهندسة‬
Triangle ‫املثلث‬
‫الرياضية‬ ‫العالقة‬ ‫او‬ ‫الرمز‬ ‫املصطلح‬
‫الزاوية‬
Side S ‫الضلع‬
‫التطابق‬ ‫عالقة‬
m∠A A ‫الزاوية‬ ‫قياس‬
Angle ∠
≅
. ‫مراجعة‬ ]5-1[
. ‫املثلث‬ ‫زوايا‬ ‫منصفات‬ ]5-2[
. ‫للمثلث‬ ‫املتوسطة‬ ‫القطع‬ ]5-3[
A
B
C
5‫اخلامس‬ ‫الفصل‬
‫االشكال‬ ‫بعض‬ ‫التفصيل‬ ‫من‬ ‫بشئ‬ ‫ودرسنا‬ ‫أساسية‬ ‫هندسية‬ ‫مفاهيم‬ ‫على‬ ‫تعرفنا‬ ‫سابقة‬ ‫دراسية‬ ‫مراحل‬ ‫في‬
،‫الدائرة‬ :‫األشكال‬ ‫هذه‬ ‫ومن‬ ‫المختلفة‬ ‫الحياتية‬ ‫المسائل‬ ‫في‬ ‫وتطبيقاتها‬ ‫وخواصها‬ ‫المعروفة‬ ‫الهندسية‬
.‫الخ‬ . . ‫والمثلث‬ ‫المربع‬
.‫مختلفة‬ ‫زوايا‬ ‫من‬ ‫والدائرة‬ ‫المثلث‬ ‫الى‬ ‫المرحلة‬ ‫هذه‬ ‫في‬ ‫نتطرق‬ ‫وسوف‬
:‫الضالعه‬ ‫بالنسبة‬ ‫نوعه‬ a
» ‫منتظم‬ « ‫االضالع‬ ‫متساوي‬ ‫االضالع‬ ‫مختلف‬
60° ‫فيه‬ ‫زاوية‬ ‫كل‬ ‫قياس‬
‫الساقين‬ ‫متساوي‬
AC = AB
:‫الساقين‬ ‫المتساوي‬ ‫المثلث‬ ‫خواص‬ ‫ومن‬
. )m ∠ C = m ∠ B( ‫متطابقتان‬ ‫القاعدة‬ ‫زاويتي‬ )1
.‫وينصفها‬ BC ‫القاعدة‬ ‫على‬ ‫عمودي‬ A ‫الرأس‬ ‫زاويه‬ ‫منصف‬ )2
NB = CN , AN BC , CB AN
‫ينصف‬
B
A
N
C
5 - 1‫مراجعة‬
‫املثلث‬
‫الفصل‬
5
A
BC
A
BC
AC = AB = BC
AC≠AB≠BC
‫عليه‬ ‫وعمودي‬
116
:‫لزواياه‬ ‫بالنسبة‬ ‫نوعه‬ b
‫الزاوية‬ ‫قائم‬ ‫الزاوية‬ ‫منفرج‬ ‫الزوايا‬ ‫حاد‬
. S : side ، (S S S ( :‫الثالثة‬ ‫باالضالع‬ ‫تطابق‬ )1
∆ ABC ≅ ∆DFE
S.A.S . )‫بينهما‬ ‫(محصورة‬ ‫بهما‬ ‫المحددة‬ ‫والزاوية‬ ‫بضلعين‬ ‫تطابق‬ )2
∆ ABC ≅ ∆DEF
:‫املثلثني‬ ‫تطابق‬ ‫حاالت‬
D
E F
A
C B
A
B C
F
D
E
117
)A.A.S( ‫مناظر‬ ‫وضلع‬ ‫بزاويتين‬ ‫تطابق‬ )3
∆ DEF ≅ ∆ ABC
.‫قائم‬ ‫وضلع‬ ‫بوتر‬ ‫الزاوية‬ ‫القائما‬ ‫املثلثان‬ ‫يتطابق‬ )4
∆ ABC ≅ ∆ DEF
:‫فيه‬ ‫رباعي‬ ‫شكل‬ PQRN:‫املجاور‬ ‫الشكل‬ ‫في‬
QR = QN = PQ , RQ NP
m ∠ 3, m ∠ 2, m ∠ 1 : ‫جد‬ m ∠ R = 70°
‫معطى‬ QR = QN ∵ /‫احلل‬
‫الساقني‬ ‫متساوي‬ ∆ ‫خواص‬ m ∠ R = m ∠ 4∴
∴ m ∠ 4 = 70°
‫املثلث‬ ‫زوايا‬ ‫مجموع‬ m∠1=180°-(70°×2(
∴ m  1 = 40°
‫معطى‬ RQ NP
)‫(متبادلة‬ ∴m ∠ 2 = m ∠ 1
∴ m ∠ 2 = 40°
A
B C
E
D
F
C
B
AD
E
F
(1) ‫مثال‬
P
R
N
Q
1 2
4
3
70ْ
118
:‫المجاور‬ ‫الشكل‬ ‫في‬
AB = AC ‫فيه‬ ‫الساقين‬ ‫متساوي‬ ‫مثلث‬ ABC
AD = AE ‫ان‬ ‫بحيث‬ E ∈AC , D ∈ AB
∆ AEB ≅ ∆ ADC :‫ان‬ ‫أثبت‬
/ ‫المعطيات‬
‫للطالب‬ ‫تترك‬
/ ‫أثباته‬ .‫م‬
:‫فيهما‬ AEB , ADC ∆ ∆/ ‫البرهان‬
‫معطى‬ ... AE = AD
‫معطى‬ ... AC = AB
‫بينهما‬ ‫مشتركة‬ A ‫الزاوية‬
.‫بهما‬ ‫المحددة‬ ‫والزاوية‬ ‫بضلعين‬ ∆∆ ‫يتطابق‬ ∴
)‫(و.هـ.م‬
( 2 ) ‫مثال‬
C
A
B
DE
{


m p = m 2 = 40o
m 3 = 180o
− (40o
× 2)
∴m 3 = 100o
‫الساقين‬ ‫متساوي‬ ‫مثلث‬
‫المثلث‬ ‫زوايا‬ ‫مجموع‬
119
/‫المعطيات‬
DO = AD , EB = AE , ∆ABO
/‫م.ث‬
DE = OB (2 , OB DE )1
/‫والبرهان‬ ‫العمل‬
. ON ‫فيكون‬ N ‫في‬ ED ‫امتداد‬ ‫فيالقي‬ BE ‫يوازي‬ ً‫ا‬‫مستقيم‬ ‫نرسم‬ O ‫نقطة‬ ‫من‬
AAS ‫مناظر‬ ‫وضلع‬ ‫بزاويتين‬ ∆ ODN ≅ ∆ ADE
‫معطى‬ . AD = OD )1 :‫حيث‬
.‫بالرأس‬ ‫متقابلة‬ . . . m ∠ ODN= m ∠ ADE )2
.ON BA ‫الن‬ ‫متبادلة‬ ... m ∠ 2 = m ∠ 1 )3
‫المتطابقة‬ ‫االشكال‬ ‫في‬ ‫المتناظرة‬ ‫االجزاء‬ ‫تتساوى‬ , DN=DE :‫التطابق‬ ‫من‬
...ON = AE
...EB = AE
ON= BE :‫على‬ ‫نحصل‬ )2( ، )1( ‫من‬
‫بالعمل‬ ON BE ‫الن‬ ‫أضالع‬ ‫متوازي‬ EBON ‫الشكل‬ ∴
‫االضالع‬ ‫متوازي‬ ‫خواص‬ ... BO = EN ، BO EN ∴
‫بالبرهان‬ DN = DE
DE=
1
2
EN ∴
)‫و.هـ.م‬ ( DE = OB , OB DE ∴
)1(
‫معطى‬ )2(
‫ضلعه‬ ‫توازي‬ ‫مثلث‬ ‫ضلعي‬ ‫منتصفي‬ ‫بني‬ ‫الواصلة‬ ‫املستقيم‬ ‫قطعة‬
.‫طوله‬ ‫نصف‬ ‫وطولها‬ ‫الثالث‬
1 /‫مبرهنة‬
1
2
1
2
B
E
A
D
N
O
2
1
120
x ‫قيمه‬ ‫جد‬ : ‫المجاور‬ ‫الشكل‬ ‫في‬
/‫احلل‬
AB ‫منتصف‬ D
BC ‫منتصف‬ E
)1
)2
∴ 3x = (5x+4)
6x = 5x + 4 :2 ‫في‬ ‫الطرفين‬ ‫بضرب‬
x = 4∴
:‫المجاور‬ ‫الشكل‬ ‫في‬
‫؟‬m ∠ 1 = m ∠ 2 :‫ان‬ ‫هل‬ )1(
ABC ‫المثلث‬ ‫مساحة‬ ‫ما‬ ، DE ‫(2)جد‬
AB ‫منتصف‬ D/‫احلل‬
AC ‫منتصف‬ E
DE BC
( 1 ) ‫مثال‬
1
2
1
2
x ‫جد‬ ‫الشكل‬ ‫في‬
‫للطالب‬ ‫تمرين‬
( 2 ) ‫مثال‬
))1( ‫(مبرهنة‬
AB
C
E
D
5x+4
3x
B
A
C
D Ex
32 − 8
)3(
A
B C
D E
125
2X
2
x
1
{)1( ‫مبرهنة‬
1
2
DE = BC
DE AC
DE = AC ∴
121
m ∠1 =m ∠2 )1
DE BC ‫الن‬
(AB)2
+ (BC)2
= (AC)2
(2x)2
+ x2
=
5x2
= 125 ⇒ x2
= 25
∴x = 5
∴ DE = BC .... ( 1 ‫)مبرهنة‬
‫المثلث‬ ‫مساحة‬ )3
= × BC × AB
= ×5×10
= 25 ‫مساحة‬ ‫وحدة‬
:‫فيه‬ ∆ ABC :‫المجاور‬ ‫الشكل‬ ‫في‬
. ‫جد‬ BC = 8cm ،‫الترتيب‬ ‫على‬ AC , BC , AB ‫االضالع‬ ‫منتصفات‬ H , E , D
. DH )1(
.‫اضالع‬ ‫متوازي‬ DECH ‫ان‬ ‫أثبت‬ )2(
‫معطى‬ .... ‫المثلث‬ ‫أضالع‬ ‫منصفات‬ H , E , D /‫احلل‬
DH = BC ∴
DH BC
DH = × 8 ∴
DH = 4 cm ∴
DH = EC = 4 cm∴
‫اضالع‬ ‫متوازي‬ DECH : ‫∴الشكل‬ DH EC
1
2
1
2
125( )
2
( 3 ) ‫مثال‬
1
21 ‫مبرهنة‬
1
2
C
A
B
DH
E
8 cm
.ABC ‫القائم‬ ∆ ‫على‬ ‫فيثاغورس‬ ‫مبرهنة‬ ‫نطبق‬ )2
‫متناظرة‬
‫المثلث‬ ‫مساحة‬
{
»‫ومتطابقني‬ ‫متوازيني‬ ‫متقابلني‬ ‫ضلعني‬ ‫فيه‬ ‫كان‬ ‫اذا‬ ‫أضالع‬ ‫متوازي‬ ‫الرباعي‬ ‫الشكل‬ ‫«يكون‬
1
2
=
5
2
⇒ BC = 5 ‫طول‬ ‫وحدة‬
⇒ DE =
1
2
(5) =
5
2
‫طول‬ ‫وحدة‬
122
)1(......
)2(......
/‫المعطيات‬
DE BC , AB ‫منتصف‬ D :‫فيه‬ ∆ ABC
/‫أثباته‬ ‫المطلوب‬
AE = EC
/‫والبرهان‬ ‫العمل‬
H ‫نقطة‬ ‫في‬ DE ‫أمتداد‬ ‫فيالقي‬ C ‫نقطة‬ ‫من‬ ‫نرسم‬
‫اضالع‬ ‫متوازي‬ DBCH:‫الشكل‬ ∴
»‫األضالع‬ ‫متوازي‬ ‫تعريف‬ «
‫االضالع‬ ‫متوازي‬ ‫خواص‬ CH = BD∴
‫معطى‬ DA = BD
)‫مناظر‬ ‫وضلع‬ ‫(زاويتان‬ ‫متطابقان‬ CHE , ADE ‫∴المثلثان‬
) ‫م‬ . ‫هـ‬ .‫و‬ ( ‫متطابقة‬ ‫اشكال‬ ‫في‬ ‫متناظره‬ ‫...اجزاء‬ AE = EC :‫التطابق‬ ‫من‬
. AC = 6 cm , BC = 7 cm , AB = 5 cm ‫فيه‬ ∆ABC :‫الشكل‬ ‫في‬
. ∆MHD ‫محيط‬ ‫وما‬ AB ∥ DH ‫ان‬ ‫أثبت‬ AC ∥ MH , BC ∥ MD, AB ‫منتصف‬ M
/‫البرهان‬
‫معطى‬ MD ∥ BC , AB ‫منتصف‬ M
)1( ... 2 ‫مبرهنة‬ AD = DC∴
‫...معطى‬ MH∥ AC∵
.‫الثالث‬ ‫الضلع‬ ‫ينصف‬ ‫فيه‬ ٍ‫ثان‬ ‫لضلع‬ ً‫ا‬‫موازي‬ ‫مثلث‬ ‫أضالع‬ ‫أحد‬ ‫مبنتصف‬ ‫املار‬ ‫املستقيم‬
2 /‫مبرهنة‬
A
DEH
C B
‫مثال‬
A
BC
D
H
M
6 cm
5 cm
BD ‫يوازي‬ ً‫ا‬‫مستقيم‬
7 cm
123
)2( ‫مبرهنة‬ ... BH = CH∴
: ‫على‬ ‫نحصل‬ )2(‫و‬ )1( ‫من‬
)1( ‫...مبرهنة‬ DH = AB , DH ∥AB
‫الثالثة‬ ‫أضالعه‬ ‫أطوال‬ ‫مجموع‬ ‫يساوي‬ ‫المثلث‬ ‫محيط‬
MH + HD + DM = ‫المثلث‬ ‫محيط‬ ∴
( × 6)+( × 5) + ( × 7) =
9 cm
‫هذه‬ ‫توفر‬ ‫عند‬ AC( ) ‫الوتر‬ ‫منتصف‬ ‫نقطة‬ D , B ‫في‬ ‫الزاوية‬ ‫قائم‬ ‫مثلث‬ ABC ‫المجاور‬ ‫الشكل‬ ‫في‬
BD = AD = DC : ‫على‬ ‫نحصل‬ ‫المعطيات‬
1
2
1
2
1
2
1
2
‫الوتر‬ ‫منتصف‬ ‫الى‬ ‫الزاوية‬ ‫القائم‬ ‫المثلث‬ ‫في‬ ‫القائمة‬ ‫رأس‬ ‫من‬ ‫المرسومة‬ ‫المستقيمة‬ ‫القطعة‬ ‫طول‬
. ‫الوتر‬ ‫طول‬ ‫نصف‬ ‫تساوي‬
3 /‫مبرهنة‬
A
BC
D
‫برهان‬ ‫بدون‬ ‫المبرهنة‬ ‫هذه‬ ‫سنقبل‬
6
2
+
5
2
+
7
2
+
18
2
=
124
. AC ‫منتصف‬ D ‫فيه‬ ABC Δ : ‫المجاور‬ ‫الشكل‬ ‫في‬
BD ‫جد‬
x ‫قيمة‬ ‫إليجاد‬ /‫احلل‬
‫فيثاغورس‬ ‫مبرهنة‬ ‫نطبق‬
،‫األضالع‬ ‫متساوي‬ ‫مثلث‬ ADB ‫ان‬ ‫أثبت‬ ،B‫في‬ ‫الزاوية‬ ‫قائم‬ ABC
/‫احلل‬
‫منتصف‬ D ∵
3 ‫مبرهنه‬ BD=
1
2
AC ∴
) ‫االضالع‬ ‫(متساوي‬ ‫منتظم‬ ADB Δ ∴
‫المثلث‬ ‫زوايا‬ ‫من‬ ‫زاويه‬ ‫كل‬ ‫قياس‬
‫مثلث‬ ‫زوايا‬ ‫مجموع‬


m C=180o
− m B+m A( ) ∴
( 1 ) ‫مثال‬
AC( )
2
= AB( )
2
+ BC( )
2
2 5x( )
2
=42
+22
20x2
=20
⇒ x2
=1
⇒ x=1 x0( )
BD=
1
2
AC
∴ BD
1
2
x2 5= 5 cm
( 2 ) ‫مثال‬
A
BC
D
2cm
2
5X
4cm
AC
∴ BD= 4 cm

60o
= ADB
=180o
− 90o
+60o
( )
=180o
− 150o

∴ mc = 30o
A
BC
D
4 cm
8 cm
BD=
1
2
.
AC ‫منتصف‬ D ABC Δm∠C ‫جد‬ ‫ثم‬

60o
= ADB‫تساوي‬
∠
∠ ∠ ∠
∴ m C
AC = 8 ,
125
: ‫ان‬ ‫أثبت‬ BC ‫منتصف‬ ‫نقطة‬ M ، ‫معين‬ ABCD /1‫س‬
: ‫فيه‬ ‫االضالع‬ ‫متساوي‬ ABC ∆ /2‫س‬
: ‫ان‬ ‫أثبت‬
: ‫المجاور‬ ‫الشكل‬ ‫في‬ /3‫س‬
) ‫الساقين‬ ‫(متساوي‬ AB = AC ‫فيه‬ ‫مثلث‬ ABC
: ‫فيه‬
MD ‫جد‬ ‫متنصف‬ ‫نقطه‬ M
5 1
OM =
1
2
AB, OM / / AB
AB ⊥ CH , AD ⊥ BC
DH / /AC
A
BC D
H
BC=12 cm , AD=8 cm
AB
A
BC D
M
A
BC
D
o
M
126
: ‫فيه‬ ‫الساقني‬ ‫متساوي‬ ‫مثلث‬ ABC /4‫س‬
BC ‫منتصف‬ D , AB ‫منتصف‬ M , AB = AC
‫معني‬ AMDN : ‫ان‬ ‫أثبت‬ ‫منتصف‬ N ,
‫ان‬ ‫بحيث‬ AB ‫على‬ N ، M ‫النقطتان‬ ‫فرضت‬ ، ‫مثلث‬ ABC /5‫س‬
: ‫ان‬ ‫أثبت‬ O ‫في‬ AD , CM ‫وتقاطعت‬ D ‫النقطه‬ ‫في‬ BC ‫ونصفت‬
CM // DN )1
AD ‫منتصف‬ O )2
)3
N ‫في‬ CD ‫نصفت‬ ، P ‫في‬ BC ‫نصفت‬ ، O ‫في‬ ‫قطراه‬ ‫تقاطع‬ ، ‫أضالع‬ ‫متوازي‬ ABCD /6‫س‬
.‫أضالع‬ ‫متوازي‬ OPCN : ‫أن‬ ‫أثبت‬
AC
AM=MN=NB
MO=
1
4
MC
127
‫أضالع‬ ‫على‬ ‫أعمدة‬ ‫أقيمت‬ ‫منتصف‬ P ، ‫منتصف‬ R ، ‫منتصف‬ G ‫فيه‬ ‫مثلث‬ ABC
OB = OA = OC : ‫ان‬ ‫على‬ ‫ذلك‬ ‫من‬ ‫نحصل‬ .O ‫نقطه‬ ‫في‬ ‫فالتقت‬ R , P , G ‫من‬ ‫المثلث‬
, , ‫منتصف‬ R , ‫منتصف‬ D , :‫الشكل‬ ‫في‬
. OR , OA ‫جد‬ AC=8 cm , OB=5 cm , OE ⊥ BC
BC , AB ‫الضلعين‬ ‫منتصف‬ E , D ‫حيث‬ OE ⊥ BC , OD ⊥ AB ∵ /‫احلل‬
. ‫منتصفاتها‬ ‫من‬ ‫المثلث‬ ‫أضالع‬ ‫على‬ ‫المقامة‬ ‫االعمدة‬ ‫ملتقى‬ ‫نقطه‬ 0 ∴
4 ‫مبرهنة‬ ...... OC=OB=OA
OA=5 cm
AC ‫منتصف‬ R ∵
‫القاعدة‬ ‫ومنتصف‬ ‫الساقين‬ ‫متساوي‬ ‫مثلث‬ ‫راس‬ ‫بين‬ ‫الواصل‬ ‫المستقيم‬ ‫قطعه‬ ... AC ⊥ OR ∴
. ‫القاعدة‬ ‫على‬ ‫عمودية‬ ‫تكون‬
AR=4 cm , R ‫في‬ ‫الزاوية‬ ‫قائم‬ ORA ∴
AO( )
2
= AR( )
2
+ RO( )
2
‫فيثاغورس‬
∴ RO = 3 cm
‫االبعاد‬ ‫متساوية‬ ‫تكون‬ ‫واحدة‬ ‫نقطة‬ ‫في‬ ‫تتالقى‬ ‫منتصفاتها‬ ‫من‬ ‫مثلث‬ ‫اضالع‬ ‫على‬ ‫المقامة‬ ‫االعمدة‬
.‫المثلث‬ ‫رؤوس‬ ‫عن‬
4 /‫مبرهنة‬
ACBCAB
‫مثال‬
ABACOD ⊥ AB
C
G
A
P
B
R
O
A
D
B
E
C
R
O
8
5
55
ABAB
25 = 16 + RO( )
2
BC ‫منتصف‬ E
128
‫املثلث‬ ‫زوايا‬ ‫منصفات‬ ] 5 ‫ـ‬ 2[
‫املستقيم‬ ‫عن‬ ‫نقطه‬ ‫عد‬ُ‫ب‬ )5 ‫ـ‬ 1( ‫تعريف‬
. ‫المستقيم‬ ‫الى‬ ‫النقطة‬ ‫من‬ ‫المرسومة‬ ‫العمودية‬ ‫المستقيمة‬ ‫القطعة‬ ‫طول‬ ‫هو‬
AB ⊥ L , A ∉ L
‫عن‬ A ‫النقطة‬ ‫عد‬ُ‫ب‬ AB
OC , OB , OA :‫فيه‬ ‫مثلث‬ ABC : ‫الشكل‬ ‫في‬
C , B , A ‫الزوايا‬ ‫منصفات‬
OG=OP=OR : ‫ان‬ ‫على‬ ‫نحصل‬ ‫المعطيات‬ ‫هذه‬ ‫من‬
O ‫نقطه‬ ‫من‬ ‫مرسومة‬ ‫أعمدة‬ OR , OP , OG ‫حيث‬
AC , BC , AB ‫على‬
5 - 2‫املثلث‬ ‫زوايا‬ ‫منصفات‬
. ‫أضالعه‬ ‫عن‬ ‫االبعاد‬ ‫متساوية‬ ‫تكون‬ ‫واحدة‬ ‫بنقطة‬ ‫تتالقى‬ ‫المثلث‬ ‫زوايا‬ ‫منصفات‬
5 /‫مبرهنة‬
A
B
L
L
A
G
B
PC
R
O
129
x ‫قيمه‬ ‫جد‬ : ‫الشكل‬ ‫في‬
/ ‫احلل‬
B ‫زاوية‬ ‫تنصف‬ BO
C ‫زاوية‬ ‫تنصف‬ CO
‫منصفات‬ ‫التقاء‬ ‫نقطة‬ O∴
. ABC ‫المثلث‬ ‫زوايا‬
)A ‫زاوية‬ ‫تنصف‬ AO(
‫مثلث‬ ‫زاويا‬ ‫مجموع‬


x=
1
2
mA=180o
- mB+mC( )m B+m C( )

=180o
-130o
∴ mA = 50
xo
=25o
. ‫برهان‬ ‫بدون‬ ‫المبرهنة‬ ‫هذه‬ ‫سنقبل‬
:‫المجاور‬ ‫الشكل‬ ‫في‬
AN , CM , BO ‫الثالثة‬ ‫االرتفاعات‬
P ‫نقطة‬ ‫في‬ ‫التقت‬ ‫للمثلث‬
( 1 ) ‫مثال‬
x=
1
2
mA
A
O
C B
35ْ
35ْ
30ْ
30ْ
x
A∠
m ∠ ∠ ∠
m A∠
. ‫واحدة‬ ‫بنقطة‬ ‫تلتقي‬ ‫المثلث‬ ‫أرتفاعات‬
6 /‫مبرهنة‬
C
O
A
M B
N
P
=180°−(70°+ 60°)
130
‫من‬ ‫كل‬ ‫قياس‬ ‫جد‬ 
mAOR=60o , CE ⊥ AB , AD ⊥ BC : ‫فيه‬ ‫مثلث‬ ABC
ARB ,OAR ‫الزوايا‬
/ ‫احلل‬
AD⋂
)6 ‫..(مبرهنة‬ ABC ‫المثلث‬ ‫أرتفاعات‬ ‫التقاء‬ ‫نقطة‬ O
. ‫كذلك‬ ‫له‬ ً‫ا‬‫أرتفاع‬ BR
‫االرتفاع‬ ‫تعريف‬ ... 
mARB=90o
ARO ‫القائم‬ Δ ‫في‬

=90o
-60 
=30o
. ABC ‫للمثلث‬ ‫أرتفاعات‬ :‫فيه‬ ABC ∆ :‫الشكل‬ ‫في‬
AB = AC : ‫ان‬ ‫أثبت‬ OC = OB ‫حيث‬
: ‫البرهان‬
BH ⋂CE = 0{ }O
‫المثلث‬ ‫ارتفاعات‬ ‫ملتقي‬ O∴
‫السبب‬ ‫أذكر‬ ......
OBC Δ ‫في‬
‫الساقين‬ ‫متساوي‬ ‫المثلث‬ ‫خواص‬ .... BC ‫منتصف‬ D ‫نقطة‬
)‫؟‬ ‫(لماذا‬ AB=AC
A
B
C D
EH
O
∠
∴ m RAO=90o
− m ROA∠
( 3 ) ‫مثال‬
AD, BH, CE
AD ⊥ BC
( 2 ) ‫مثال‬
A
E
B
D C
R
O
m ∠

=30o
CE = 0{ }O
R ‫في‬
m RAO
131
5 - 3‫للمثلث‬ ‫املتوسطة‬ ‫القطع‬
)5 ‫ـ‬ 2( ‫تعريف‬
. ‫الرأس‬ ‫لذلك‬ ‫المقابل‬ ‫الضلع‬ ‫منتصف‬ ‫ونقطة‬ ‫المثلث‬ ‫رأس‬ ‫هما‬ ‫طرفاها‬ ‫التي‬ ‫المستقيمة‬ ‫القطعة‬ ‫هي‬
. ‫متوسطة‬ ‫مستقيمة‬ ‫قطع‬ ‫ثالث‬ ‫مثلث‬ ‫لكل‬ :‫مالحظة‬
.O ‫في‬ ‫تلتقي‬ ‫متوسطة‬ ‫قطع‬ BR, CG, AP : ABC‫المثلث‬ ‫في‬
، O ‫نقطة‬ ‫في‬ ‫تلتقيان‬ ‫متوسطتان‬ ‫قطعتان‬ AD , CE ‫فيه‬ ABC ‫المثلث‬ : ‫المجاور‬ ‫الشكل‬ ‫في‬
. AO , OE ‫جد‬ AD=6 cm ، CE = 9 cm
ABC ‫المثلث‬ ‫متوسطات‬ ‫ملتقي‬ O/ ‫احلل‬
OE=
1
2
OC ∴
OE =
1
3
CE
‫متوسطة‬ ‫قطعة‬ AD ‫كذلك‬
2 : 1 ‫بنسبة‬ ‫منها‬ ‫كل‬ ‫تقسم‬ ‫واحدة‬ ‫نقطة‬ ‫في‬ ‫تتالقى‬ ‫للمثلث‬ ‫المتوسطة‬ ‫المستقيمة‬ ‫القطع‬
. ‫الرأس‬ ‫جهة‬ ‫من‬
7 /‫مبرهنة‬
( 4 ) ‫مثال‬
A
C B
E
D
∴ OA =
2
3
AD =
2
3
× 6=4 cm
A
R
C
P
B
G
•
• •
•
O
2
1
2
1
=
CO
OG
=
BO
OR
=
AO
OP
=
2
1
∴ OE =
1
3
. 9=3 cm
O
OR =
1
2
BO
OR =
1
3
BR
OB =
2
3
BR
‫المتوسطة‬ ‫القطعة‬
132
‫منتصفاتها‬ ‫من‬ ABC ‫المثلث‬ ‫أضالع‬ ‫على‬ ‫المقامة‬ ‫االعمدة‬ ‫التقاء‬ ‫نقطة‬ O : ‫الشكل‬ ‫في‬ /1‫س‬
.OA ‫جد‬ ، m ∠ COB = 60ْ
O ‫من‬ ‫يمر‬ ‫مستقيم‬ ‫رسم‬ ‫ثم‬ ،O ‫نقطة‬ ‫في‬ ‫المنصفان‬ ‫فألتقى‬ C , B ‫الزاويتان‬ ‫نصفت‬ ABC ∆ /2‫س‬
. AH = HO ‫ان‬ ‫أثبت‬ M‫في‬ BC ‫ويقطع‬ H ‫في‬ AB ‫ويقطع‬ AC ‫ويوازي‬
AC⋂ BD = 0{ }}O{ , AB=AD=DC , AD / / BC : ‫فيه‬ ‫منحرف‬ ‫شبه‬ ABCD /3‫س‬
BHC ‫الزواية‬ ‫ينصف‬ 
HO
u ruu
: ‫ان‬ ‫برهن‬ 
BA
u ruu
I CD
u ruu
= H{ } ،
, ABC ‫المثلث‬ ‫أرتفاعات‬ ‫التقاء‬ ‫نقطة‬ O , AD ⊥ BC :‫فيه‬ ABC ‫المثلث‬ : ‫الشكل‬ ‫في‬ /4‫س‬
. mCHA , mACH :‫جد‬ mBAC=70o
5 2
O
A
BC
60ْ
10
A
C B
H
D
O
BC = 10 cm
BA ∩
m ∠m ∠m ∠
cm
133
⋂ BC= D{ } , mCOB=90o ، ‫املتوسطة‬ ‫القطع‬ ‫التقاء‬ ‫نقطة‬ O , ABC ‫املثلث‬ /5‫س‬
. AD ‫جد‬ BC=6 cm ,
: ‫كان‬ ‫فاذا‬ . DEF ∆ ‫في‬ ‫املتوسطة‬ ‫القطع‬ ‫التقاء‬ ‫نقطة‬ O : ‫أعاله‬ ‫الشكل‬ ‫في‬ /6‫س‬
‫؟‬ OF ‫ميثله‬ ‫التاليه‬ ‫املقادير‬ ‫من‬ ‫فأى‬ GF=6x2
+9y
a) 2x2
+9y b) 2x2
+3y c) 6x2
+9y d) 4x2
+6y
‫؟‬x ‫لقيمة‬ ‫الصحيحة‬ ‫االجابة‬ ‫أختر‬ LG=5x+3 ،WL=15x : ‫كان‬ ‫اذا‬ : ‫الشكل‬ ‫في‬ /7‫س‬
a) 0.3 b) 0.4 c) 0.6 d) 1.2
G
F E
D
O
F
G
D
W
R
L
AO
‫الدائرة‬
Circle
. ‫الدائرة‬ ]6-1[
. ‫الدائرة‬ ) ‫(رسم‬ ‫تعيني‬ ‫كيفية‬ ]6-2[
. ‫االقواس‬ ]6-3[
. ‫التماس‬ ] 6 - 4[
A
B
C
D
N
O
A
B
O 2
O 1
1
‫ق‬‫ن‬
3
‫ق‬‫ن‬
‫ف‬‫ن‬‫ص‬‫م‬‫ال‬‫د‬‫و‬‫م‬‫ع‬‫ال‬
2
‫ق‬‫ن‬ O
r
r
r
‫الرياضية‬ ‫العالقة‬ ‫او‬ ‫الرمز‬ ‫املصطلح‬
r ‫القطر‬ ‫نصف‬
π ‫الثابتة‬ ‫النسبة‬
AB AB ‫القوس‬
6‫السادس‬ ‫الفصل‬
]6 - 2[ ‫تعريف‬
‫قطر‬ ‫نصف‬
]6 - 3[ ‫تعريف‬
‫الدائرة‬ ‫وتر‬
]6 - 1[ ‫تعريف‬
‫الدائرة‬
]6 - 4[ ‫تعريف‬
‫الدائرة‬ ‫قطر‬
O
6
‫الدائرة‬
‫ورسمها‬ ‫حياته‬ ‫في‬ ‫عديدة‬ ‫مجاالت‬ ‫في‬ ‫واستخدمها‬ ‫خواصها‬ ‫درس‬ ‫حيث‬ ‫قديم‬ ‫زمن‬ ‫منذ‬ ‫الدائرة‬ ‫االنسان‬ ‫عرف‬
. ‫المتاحة‬ ‫الوسائل‬ ‫بأبسط‬
. ‫أخرى‬ ‫زاوية‬ ‫من‬ ‫الدائرة‬ ‫المرحلة‬ ‫هذه‬ ‫في‬ ‫ندرس‬ ‫وسوف‬
‫نقطة‬ ‫عن‬ ٍ‫ومتساو‬ ‫ثابت‬ ‫ببعد‬ ‫منها‬ ‫كل‬ ‫تبعد‬ ‫والتي‬ ‫المستوي‬ ‫نقاط‬ ‫مجموعة‬
. )Center = ‫(المركز‬ ‫تسمى‬ ‫ثابتة‬
.)Radius = r ‫القطر‬ ‫نصف‬ ‫طول‬ ‫الثابت‬ ‫البعد‬ ‫يسمى‬ (
.‫نقاطها‬ ‫من‬ ‫نقطة‬ ‫واية‬ ‫الدائرة‬ ‫مركز‬ ‫بين‬ ‫الواصلة‬ ‫المستقيم‬ ‫قطعة‬
.‫الدائرة‬ ‫نقاط‬ ‫من‬ ‫نقطتين‬ ‫أية‬ ‫بين‬ ‫الواصله‬ ‫المستقيم‬ ‫قطعة‬
.‫بمركزها‬ ‫المار‬ ‫الدائرة‬ ‫وتر‬
6 - 1 Circle )‫(الدائرة‬
‫الفصل‬
6
‫تعاريف‬ ]6 - 1 - 1[
A
B
C
D
N
O
r
‫ر‬‫ت‬‫و‬
‫ر‬‫ط‬‫ق‬
136
‫من‬ ‫محدد‬ ‫غير‬ ‫عدد‬ ‫تعيين‬ ‫يمكن‬ A ‫مثل‬ ‫معلومة‬ ‫نقطة‬ ‫من‬ )1
. ‫الدوائر‬
‫واحدة‬ ‫دائرة‬ ‫تعييـن‬ ‫يمكن‬ ‫ال‬ B , A ‫مثل‬ ‫معلومتين‬ ‫نقطتين‬ ‫من‬ )2
) B , A ‫تحتوي‬ ‫الـدوائر‬ ‫مــن‬ ‫محــددة‬ ‫غير‬ ‫مجموعة‬ ‫(هناك‬
‫العمود‬ ‫على‬ ‫تقع‬ ‫نقطة‬ ‫أية‬ ‫المجموعة‬ ‫هذه‬ ‫مركز‬ ‫ويكون‬
. AB ‫للقطعة‬ ‫المنصف‬
. ‫دائرة‬ ‫أية‬ ‫تتعين‬ ‫ال‬ ‫واحدة‬ ‫أستقامة‬ ‫على‬ ‫نقاط‬ ‫ثالث‬ ‫من‬ - a )3
‫تتعين‬ ‫واحدة‬ ‫أستقامة‬ ‫على‬ ‫ليست‬ ‫نقاط‬ ‫ثالث‬ ‫من‬ - b
:‫اآلتية‬ ‫المبرهنة‬ ‫تنص‬ ‫كما‬ ‫فقط‬ ‫واحدة‬ ‫دائرة‬ )‫رسم‬ ‫(يمكن‬
‫برهان‬ ‫بدون‬ ‫المبرهنة‬ ‫نقبل‬ ‫سوف‬
:‫المجاور‬ ‫الشكل‬ ‫في‬ /‫توضيح‬
‫واحدة‬ ‫أستقامة‬ ‫على‬ ‫ليست‬ ‫نقاط‬ ‫ثالث‬ A , B , C
. ) ABC ‫المثلث‬ ‫رؤوس‬ ‫تشكل‬ ‫أنها‬ ‫(اي‬
BC , AB , AC ‫أضالعه‬ ‫منتصفات‬ ‫هي‬ P , N , M ‫والنقط‬
‫االضالع‬ ‫هذه‬ ‫على‬ ‫المقامة‬ ‫االعمدة‬ ‫ألتقت‬ ‫حيث‬ ‫الترتيب‬ ‫على‬
‫النقطة‬ ‫هذه‬ ‫فتكون‬ )O( ‫نقطة‬ ‫في‬ P , N , M ‫المنتصفات‬ ‫من‬
‫ومتساوية‬C,B,A‫المثلث‬‫برؤوس‬‫المارة‬‫الدائرة‬‫مركز‬)O(
. ً‫ا‬‫سابق‬ ‫مر‬ ‫كما‬ . ) r = OC = OB = OA( ‫عنها‬ ‫البعد‬
6 - 2‫الدائرة‬ )‫(رسم‬ ‫تعيني‬ ‫كيفية‬
. ‫واحدة‬ ‫دائرة‬ ‫بها‬ ‫تمر‬ ‫واحدة‬ ‫استقامة‬ ‫على‬ ‫ليست‬ ‫نقاط‬ ‫ثالث‬ ‫كل‬
8 /‫مبرهنة‬
A
A
B
M
P
C
O
N
AB
O1
1
‫نق‬
3
‫نق‬
‫المنصف‬ ‫العمود‬
2
‫نق‬
O2
O
137
‫الهندسية‬ ‫االشكال‬ ‫خارج‬ ‫املرسومة‬ ‫الدائرة‬ ]6-5 [ /‫تعريف‬
.‫واحدة‬ ‫لدائرة‬ ‫تنتمي‬ ‫رؤوسه‬ ‫كانت‬ ‫أذا‬ )ً‫ا‬‫دائري‬ ً‫ا‬‫رباعي‬ ً‫ال‬‫(شك‬ ‫الرباعي‬ ‫الشكل‬ ‫يسمى‬
:‫المجاور‬ ‫الشكل‬ ‫في‬
. O ‫مركزها‬ ‫التي‬ ‫للدائرة‬ ‫تتنتمي‬ A , B , C , D ‫حيث‬ ‫دائري‬ ‫رباعي‬ ‫شكل‬ ABCD
. ‫دائرية‬ ‫هندسية‬ ‫اشكال‬ ‫تسمى‬ ‫واحدة‬ ‫دائرة‬ ‫برؤوسها‬ ‫تمر‬ ‫التي‬ ‫االخرى‬ ‫الهندسية‬ ‫االشكال‬ ‫وكذلك‬
‫مرسوم‬ ‫خماسي‬ ‫شكل‬ ABCDE ‫مرسوم‬ ‫مثلث‬ ABC
)‫دائري‬ ‫(خماسي‬ O ‫مركزها‬ ‫دائرة‬ ‫داخل‬ 0 ‫مركزها‬ ‫دائرة‬ ‫داخل‬
‫مالحظة‬:‫يلي‬ ‫كما‬ ‫آخر‬ ‫بأسلوب‬ 8 ‫مبرهنة‬ ‫فهم‬ ‫يمكن‬
‫تكون‬ )O( ‫واحدة‬ ‫بنقطة‬ ‫تلتقي‬ ‫منتصفاتها‬ ‫من‬ ‫مثلث‬ ‫أضالع‬ ‫على‬ ‫المقامة‬ ‫االعمدة‬ ‫ان‬
. ‫المثلث‬ ‫برؤوس‬ ‫تمر‬ ‫التي‬ ‫الدائرة‬ ‫مركز‬ ‫هي‬ ‫النقطة‬ ‫وهذه‬ .‫رؤوسه‬ ‫عن‬ ‫البعد‬ ‫متساوية‬
:‫تدريب‬
A
B
4
C
4
4
.)4cm ( ‫ضلعه‬ ‫طول‬ ‫االضالع‬ ‫متساوي‬ ‫مثلث‬ ‫برؤوس‬ ‫تمر‬ ‫دائرة‬ ‫أرسم‬
O
A
B
C
A
B
C
D
E
O
A
B
C
D
O
138
: ‫الدائرة‬ ‫قوس‬
AB ‫ان‬ ‫نالحظ‬ ‫المجاور‬ ‫الشكل‬ ‫في‬ .‫الدائرة‬ ‫من‬ ‫جزء‬ ‫هو‬
. B , A ‫بالنقطتين‬ ‫الدائرة‬ ‫مع‬ ‫يشترك‬
‫انقسمت‬ ‫وبذلك‬ } B , A } = A B ∩ )‫(الدائرة‬ ‫ان‬ ‫اي‬
.ً‫ا‬‫قوس‬ ‫يسمى‬ ‫منهما‬ ‫كل‬ ‫جزئين‬ ‫الى‬ ‫الدائرة‬ ‫نقاط‬ ‫مجموعة‬
. ) Minor Arc AB ‫الثانوي‬ ‫(القوس‬ ‫االصغر‬ ‫القوس‬ -
. ) Major Arc ACB )‫الرئيسي‬ ‫القوس‬ ( ‫االكبر‬ ‫القوس‬ -
‫متساويين‬ ‫قوسين‬ ‫الى‬ ‫يقسمها‬ ‫الدائرة‬ ‫في‬ ‫قطر‬ ‫اي‬ ‫ان‬ ‫مالحظة‬ ‫مع‬
.Semi circle ‫الدائرة‬ ‫نصف‬ ‫منها‬ ‫كل‬ ‫يسمى‬
‫الدائرة‬ ‫نصف‬ ‫من‬ ‫أصغر‬ ‫االصغر‬ ‫القوس‬ :‫ان‬ ‫اي‬
.‫الدائرة‬ ‫نصف‬ ‫من‬ ‫اكبر‬ ‫فهو‬ ‫االكبر‬ ‫القوس‬ :‫اما‬
‫فقط‬ ‫بحرفين‬ ‫االصغر‬ ‫القوس‬ ‫عن‬ ‫التعبير‬ ‫على‬ ‫اتفق‬ ‫وقد‬
. AC ‫القوس‬ ‫في‬ ‫كما‬
: ‫توضيح‬
: ‫المجاور‬ ‫الشكل‬ ‫في‬
.O ‫مركزها‬ ‫التي‬ ‫الدائرة‬ ‫في‬ ‫مركزية‬ ‫زاوية‬ AOB ‫الزاوية‬ ‫تسمى‬
‫في‬ ‫قطرين‬ ‫نصفا‬ ‫وضلعاها‬ ‫الدائرة‬ ‫مركز‬ ‫هو‬ ‫الزاوية‬ ‫رأس‬ ‫ان‬ ‫اي‬
.‫الدائرة‬
‫الدائرة‬ ‫نقط‬ ‫من‬ ‫نقطة‬ ‫رأسها‬ ،‫محيطية‬ ‫زاوية‬ EDF ‫الزاوية‬ ‫تسمى‬
.‫الدائرة‬ ‫في‬ ‫وتران‬ ‫وضلعاها‬
6 - 3-‫املركزية‬ ‫الدائرة-الزوايا‬ ‫قوس‬
‫احمليطية‬ ‫الزوايا‬
A
B
O
C
A
B
C
D
O
A
B
D
O
E
F
139
/‫المعطيات‬
.‫محيطية‬ ‫زاوية‬ CAB ،‫مركزية‬ ‫زاوية‬ COB , O ‫مركزها‬ ‫دائرة‬
/‫أثباته‬ ‫المطلوب‬
m ∠ COB = 2m ∠ CAB
/‫والبرهان‬ ‫العمل‬
.‫للدائرة‬ ً‫ا‬‫قطر‬ AD ‫نرسم‬
OA = OB ... ‫دائرة‬ ‫أقطار‬ ‫أنصاف‬
m ∠ 1 = m ∠ 2 ‫الساقين‬ ‫متساوي‬ ‫مثلث‬ ‫قاعدة‬ ‫زاويتا‬
m ∠ 3 + m ∠ 1 + m ∠ 2 = 1800
) ‫مثلث‬ ‫زوايا‬ ‫(مجموع‬
m ∠3 + 2m ∠2 =1800
⇐ m ∠1 ‫عن‬ ‫بالتعويض‬
]6 - 6 [‫تعريف‬
.‫بضلعيها‬ ‫القوس‬ ‫هذا‬ ‫يتحدد‬ ‫التي‬ ‫الزاوية‬ ‫اي‬ ‫المركزية‬ ‫زاويته‬ ‫قياس‬ ‫هو‬ ‫دائرة‬ ‫في‬ ‫قوس‬ ‫قياس‬
. ‫المجاور‬ ‫الشكل‬ ‫في‬ ‫كما‬
m (AB) = m ∠ AOB
‫قوسية‬ ‫درجة‬ ‫تسمى‬ ‫القوس‬ ‫قياس‬ ‫ووحدة‬
m ∠ AOB = 300
:‫كان‬ ‫فإذا‬
‫قوسية‬ ‫درجة‬ 30 ‫يكون‬ AB ‫قوسها‬ ‫قياس‬ ‫فأن‬
360-30 ‫هو‬ ACB ‫االكبر‬ ‫القوس‬ ‫قياس‬ ‫وأن‬
.‫قوسية‬ ‫درجة‬ 330 ‫أي‬
A B
O
30ْ
A
B
C
O
D
1
3
2
4
‫المشتركة‬ ‫المحيطية‬ ‫الزاوية‬ ‫قياس‬ ‫ضعف‬ ‫يساوي‬ ‫دائرة‬ ‫في‬ ‫المركزية‬ ‫الزاوية‬ ‫قياس‬
.‫نفسه‬ ‫بالقوس‬ ‫معها‬
9 /‫مبرهنة‬
C
140
m ∠3 = 1800
- 2 m ∠2 .......1
m ∠ BOD + m ∠ 3 = 1800
‫مستقيمة‬ ‫زاوية‬
m  BOD = 1800
- m ∠ 3
m ∠ BOD = 1800
- (1800
-2m ∠ 2) .... 1 ‫من‬
m ∠ BOD= 2m ∠ 2........2
‫ان‬ ‫نثبت‬ ‫الطريقة‬ ‫وبنفس‬
m ∠ COD= 2m ∠4........3
3 ‫و‬ 2 ‫المعادلتين‬ ‫بجمع‬
m ∠BOD + m ∠ COD = 2 m ∠2 + 2 m ∠ 4
) ‫م‬ . ‫هـ‬ . ‫(و‬ m  COB = 2 m  CAB ∴
: 9 ‫ملبرهنة‬ 1 ‫نتيجة‬
‫قوسها‬ ‫قياس‬ ‫نصف‬ ‫يساوي‬ ‫دائرة‬ ‫في‬ ‫المحيطية‬ ‫الزاوية‬ ‫قياس‬
m ∠ N ‫جد‬ :‫المجاور‬ ‫الشكل‬ ‫في‬
/‫احلل‬
OA = OB ‫دائرة‬ ‫اقطار‬ ‫انصاف‬ ∵
m ∠ ABO = m ∠ BAO ‫قاعدة‬ ‫زاويتا‬ ∴
m ∠ ABO = 500
‫الساقين‬ ‫متساوي‬ ‫مثلث‬ ∵
m ∠AOB = 1800
- 1000
‫مثلث‬ ‫زوايا‬ ∴
m ∠ AOB = 800
m ∠ AOB = 2 m ∠ N .......)9 ‫(مبرهنة‬
m ∠ N =
800
2
= 400
∴m ∠ N = 40ْ
(1 ) ‫مثال‬
A B
N
O
50ْ
141
:x ‫قيمة‬ ‫جد‬ : ‫المجاور‬ ‫الشكل‬ ‫في‬
/‫احلل‬
m  COB = 2 m  A : 9 ‫مبرهنة‬ ∵
x + 300
= 2 x ∴
x = 300
: 9 ‫ملبرهنة‬ 2 ‫نتيجة‬
1800
= ‫دائري‬ ‫رباعي‬ ‫شكل‬ ‫أي‬ ‫في‬ ‫المتقابلتين‬ ‫الزاويتين‬ ‫قياسي‬ ‫مجموع‬
: ‫المجاور‬ ‫الشكل‬ ‫في‬
)‫دائرة‬ ‫داخل‬ ‫(مرسوم‬ ‫دائري‬ ‫رباعي‬ ‫شكل‬ ABCD
m ∠ A + m ∠ C = 1800
m ∠ B + m ∠ D = 1800
(2 ) ‫مثال‬
A
B
C
o
X
x+30
:‫تدريب‬:‫المجاور‬ ‫الشكل‬ ‫في‬
AB = BC
m ∠ ABC = 960
y ‫قيمة‬ ‫جد‬
A
B
C
O
D
y
96ْ
A B
C
O
D
142
: ‫الشكل‬ ‫في‬
m ∠ A , m ∠ D‫جد‬
/‫احلل‬
‫دائري‬ ‫رباعي‬ ‫شكل‬ ABCD
m ∠ D + m ∠B = 1800
... 9 ‫مبرهنة‬ 2 ‫نتيجة‬
m ∠ D = 1800
-940
m ∠ D = 860
m ∠1 + m∠ ECD = 1800
])‫(مستقيمة‬ ‫واحدة‬ ‫أستقامة‬ ‫على‬ ‫[متجاورتان‬
m ∠ 1 = 1800
- 1000
m ∠ 1 = 800
m ∠A + m ∠1 = 1800
)‫دائري‬ ‫رباعي‬ ‫شكل‬ ‫في‬ ‫(متقابلتان‬
m ∠A = 1800
- 80
m ∠A = 1000
(3 ) ‫مثال‬
A
B
C
O
D
E
194ْ
100ْ
:‫تدريب‬: ‫المجاور‬ ‫الشكل‬ ‫في‬
.y , x ‫قيمة‬ ‫جد‬
O
A B
C
D
x+10
2y
xy
143
/‫المعطيات‬
.‫فيها‬ ‫قطر‬ AB , O ‫مركزها‬ ‫دائرة‬
/‫اثباته‬ ‫المطلوب‬
m ∠ ACB = 900
/‫البرهان‬
‫مركزية‬ ‫زاوية‬ AOB
. )‫قطر‬ AB ‫الن‬ ‫مستقيمة‬ ‫زاوية‬ ( ........m ∠ AOB = 1800
‫المشتركة‬ ‫المحيطية‬ ‫قياس‬ ‫ضعف‬ ‫تساوي‬ ‫المركزية‬ ‫الزاوية‬ ‫قياس‬ ....... m ∠AOB = 2 m  C
‫القوس‬ ‫بنفس‬ ‫معها‬
m ∠ C = 1800
2
= 900
) ‫م‬ . ‫هـ‬ . ‫(و‬
. Y ‫قيمة‬ ‫جد‬ ،‫فيها‬ ‫قطر‬ AB , O ‫مركزها‬ ‫دائرة‬
/‫احلل‬
m ∠ C = 900
..... 10 ‫مبرهنة‬
‫مثلث‬ ‫....زوايا‬ m ∠ A + m ∠ B = 1800
- m ∠ C
m ∠ A + m ∠B = 900
y + 2 y = 900
3y = 900
y = 300
AB
C
O
10 /‫مبرهنة‬
900
‫تساوي‬ ‫دائرة‬ ‫نصف‬ ‫في‬ ‫المرسومة‬ ‫المحيطية‬ ‫الزاوية‬ ‫قياس‬
(4 ) ‫مثال‬
2y
y
O
A
C
B
144
AD = DC ‫أن‬ ‫أثبت‬ AB = BC ،‫فيها‬ ‫قطر‬ AB , O‫مركزها‬ ‫دائرة‬ ‫الشكل‬ ‫في‬
/ ‫احلل‬
/‫المعطيات‬
/‫أثباته‬ ‫المطلوب‬
/‫البرهان‬
( 10 ‫مبرهنة‬ ) ...... m ∠ 1 = 900
. ) D ‫في‬ ‫الزاوية‬ ‫قائما‬ ‫مثلثان‬ ( ....... BCD , ABD
‫معطى‬ ............ AB = BC
)‫قائم‬ ‫وضلع‬ ‫(وتر‬ ‫متطابقان‬ ...... ∆ CBD , ∆ ABD
‫المتطابقة‬ ‫االشكال‬ ‫في‬ ‫المتناظرة‬ ‫االجزاء‬ ‫تتساوى‬ .... AD = DC :‫على‬ ‫نحصل‬ ‫التطابق‬ ‫من‬
(5 ) ‫مثال‬
{‫للطالب‬ ‫تترك‬
A
B
C
o
21
D
145
-: ‫االتية‬ ‫االشكال‬ ‫من‬ ‫شكل‬ ‫كل‬ ‫في‬ Y , X ‫قيمة‬ ‫جد‬ /1‫س‬
OD ∥ AC ، m∠ OAC = 60ْ ‫فيها‬ ‫قطر‬ AB ،)‫المجاور‬ ‫(الشكل‬ O ‫مركزها‬ ‫دائرة‬ /2‫س‬
m CD = m BD :‫ان‬ ‫أثبت‬ ‫ثم‬ m CD ‫جد‬
‫المثلث‬ ‫ان‬ ‫أثبت‬ m ∠ BAC = 300
‫كان‬ ‫فاذا‬ .O ‫مركزها‬ ‫دائرة‬ ‫داخل‬ ‫مرسوم‬ ‫مثلث‬ ABC/3‫س‬
. ‫االضالع‬ ‫متساوي‬ OBC
‫كان‬ ‫فاذا‬ ،AO ‫يوازي‬ BD ‫الوتر‬ ‫رسم‬ ، O ‫مركزها‬ ‫دائرة‬ ‫في‬ ‫قطرين‬ ‫نصفا‬ OB , OA /4‫س‬
AD ⊥OB :‫ان‬ ‫أثبت‬ m ∠ AOB = 600
‫المجاور‬ ‫الشكل‬ ‫س5/في‬
. m ∠ D ‫جد‬ ) a
. A ‫زاوية‬ ‫ينصف‬ AC ‫ان‬ ‫أثبت‬ ) b
6 1
A
B D
C
O
60˚
C
4y
y
x
O
B
A
BA
D
o
80˚20˚
C
D
B
C
O
A
4x
x
y
146
/‫المعطيات‬
m CD = m AB
/‫أثباته‬ ‫المطلوب‬
m ∠ COD = m ∠ AOB
/‫البرهان‬
m AB = m ∠ AOB ...... 1
) ‫المركزية‬ ‫زاويته‬ ‫قياس‬ ‫هو‬ ‫القوس‬ ‫قياس‬ (
:‫كذلك‬
m CD = m ∠ COD ....2
‫معطاة‬ m CD = m AB .....3
:‫على‬ ‫نحصل‬ )3( ‫و‬ )2( ‫و‬ )1( ‫من‬
)‫م‬ . ‫هـ‬ . ‫(و‬ m ∠AOB = m ∠ COD
:11 ‫مبرهنة‬ ‫نتيجة‬
.‫متطابقتان‬ ‫المحيطيتين‬ ‫زاويتيهما‬ ‫فان‬ ‫دائرة‬ ‫في‬ ‫قوسان‬ ‫تطابق‬ ‫اذا‬
‫ثم‬ m ∠ DOB ‫جد‬ m CD = m BD , m ∠ COD = 500
‫فيها‬ ‫قطر‬ AB , O ‫مركزها‬ ‫دائرة‬
OD // AC ‫ان‬ ‫اثبت‬
/‫المعطيات‬
/ ‫أثباته‬ ‫المطلوب‬
‫متطابقتان‬ ‫المركزيتين‬ ‫زاويتيهما‬ ‫فان‬ ‫دائرة‬ ‫في‬ ‫قوسان‬ ‫تطابق‬ ‫اذا‬
11/‫مبرهنة‬
(1 ) ‫مثال‬
{‫للطالب‬ ‫تترك‬
o
A
BC
D
147
/‫البرهان‬
‫معطى‬ m CD = m BD
m ∠ DOB = m ∠ COD..... ) 10 ‫مبرهنة‬ (
m ∠ DOB = 500
m ∠ COB = m ∠ COD + m ∠ DOB = 1000
) ‫المحيطية‬ ‫قياس‬ ‫ضعف‬ ‫المركزية‬ ‫قياس‬ (
m ∠ CAB = 1
2
m ∠ COB
= 500
‫ومتطابقتان‬ ‫متناظرتان‬ CAB , DOB ‫الزاويتان‬
CA // DO ∴
.‫برهان‬ ‫بدون‬ ‫المبرهنة‬ ‫هذه‬ ‫نقبل‬ ‫سوف‬
:‫توضيح‬
:‫المجاور‬ ‫الشكل‬ ‫في‬
‫فيها‬ ‫قطر‬ MD , O ‫مركزها‬ ‫دائرة‬ ‫في‬ ‫وتر‬ AB
MD ⊥ AB ‫ان‬ ‫بحيث‬
:‫ذلك‬ ‫من‬ ‫ينتج‬
)AC = BC) AB ‫الوتر‬ ‫ينصف‬ MD - 1
m BD = m AD - 2
m MB = m AM - 3
.‫قوسيه‬ ‫من‬ ً‫ال‬‫ك‬ ‫وينصف‬ ‫الوتر‬ ‫ينصف‬ ‫دائرة‬ ‫في‬ ‫وتر‬ ‫على‬ ‫العمودي‬ ‫القطر‬
12/‫مبرهنة‬
A
B D
C
o
50˚
o
AB
D
M
C
148
(2 ) ‫مثال‬
(3 ) ‫مثال‬
{‫للطالب‬ ‫تترك‬
o
N
BO ‫جد‬ AB = 8 cm , OD = 3 cm , AB ⊥ OD , O ‫مركزها‬ ‫دائرة‬
/‫احلل‬
AB ⊥ OD ..... )‫(معطى‬
) 12 ‫مبرهنة‬ ( ...... AB ‫منتصف‬ D
BD = 4 cm
D ‫في‬ ‫الزاوية‬ ‫القائم‬ OBD ‫المثلث‬ ‫في‬
(OB)2
= (OD)2
+ (BD)2
..( ‫فيثاغورس‬‫مبرهنة‬)
= 9 + 16 = 25
BO = 5 cm
.O ‫المركز‬ ‫في‬ ‫متحدتان‬ ‫دائرتان‬
BD = AC :‫ان‬ ‫أثبت‬ BA ⊥ ON
/‫المعطيات‬
/ ‫أثباته‬ ‫المطلوب‬
/‫البرهان‬
ON ⊥ CD ‫الصغرى‬ ‫الدائرة‬ ‫في‬
CN = DN .... )1( 12 ‫مبرهنة‬
AN = BN ....)2( :‫الكبرى‬ ‫الدائرة‬ ‫في‬ ‫كذلك‬
:‫على‬ ‫نحصل‬ )2( ‫و‬ )1( ‫من‬
‫متساوية‬ ‫كميات‬ ‫طرحت‬ ‫اذا‬ AN - CN = BN - DN
‫متساوية‬ ‫النتائج‬ ‫تبقى‬ ‫متساوية‬ ‫اخرى‬ ‫من‬
AC = BD ∴
B D C
A
B
O
A
D 44
3
149
.‫الوتر‬ ‫ذلك‬ ‫على‬ ً‫ا‬‫عمودي‬ ‫يكون‬ ‫الوتر‬ ‫بمنتصف‬ ‫المار‬ ‫الدائرة‬ ‫قطر‬
13/‫مبرهنه‬)12 ‫مبرهنة‬ ‫(عكس‬
‫مالحظة‬
BON , OAN ‫المثلثين‬ ‫تطابق‬ ‫من‬ ‫المبرهنة‬ ‫أثبات‬ ‫يمكن‬
/‫المعطيات‬
.N ‫في‬ AB ‫الوتر‬ ‫ينصف‬ CD ،‫فيها‬ ‫قطر‬ CD , O ‫مركزها‬ ‫دائرة‬ ‫في‬ ‫وتر‬ AB
/‫أثباته‬ ‫المطلوب‬
CD ⊥ AB
/‫البرهان‬
)‫قطرين‬ ‫(نصفا‬ OB , OA ‫نرسم‬
( ‫دائرة‬ ‫في‬ ‫قطرين‬ ‫نصفا‬ ).... OA = OB
) ‫معطى‬ ( ... AB ‫منتصف‬ N
) ‫الساقين‬ ‫متساوي‬ ‫مثلث‬ ‫(خواص‬ ... ON ⊥ AB
CD ⊥ AB ∴
) ‫م‬ . ‫هـ‬ . ‫(و‬
B
o
AN
D
C
150
:‫المجاور‬ ‫الشكل‬ ‫في‬
D , O ‫مركزها‬ ‫دائرة‬ ‫في‬ ‫وتر‬ AB
m ∠ OBDm  OBD = 300
, DO / /BC , AB ‫منتصف‬
‫االضالع‬ ‫متساوي‬ OBC ‫المثلث‬ ‫ان‬ ‫اثبت‬
/‫المعطيات‬
/‫أثباته‬ ‫المطلوب‬
/‫البرهان‬
) ‫معطى‬ ( .... AB ‫منتصف‬ D
) 13 ‫مبرهنة‬ ( ..... AB ⊥ OD
D ‫في‬ ‫الزاوية‬ ‫قائم‬ OBD ‫المثلث‬
) ‫معطى‬ (...... m ∠ OBD = 300
)1800
= ‫المثلث‬ ‫زوايا‬ ‫.....(مجموع‬ m ∠ BOD = 600
)‫معطى‬ ( ....... BC // DO ∵
)‫متبادلة‬ ( ... m ∠ OBC = m ∠ BOD
m ∠ OBC = 600
))OC = OB( ‫الساقين‬ ‫متساوي‬ ‫مثلث‬ ‫قاعدة‬ ‫زوايا‬ ( ...... m ∠ OBC = m ∠ OCB
)1800
= ‫المثلث‬ ‫زوايا‬ ‫.....(مجموع‬ m ∠ COB = 600
‫االضالع‬ ‫متساوي‬ BCO ‫المثلث‬ ∴
(4 ) ‫مثال‬
{‫للطالب‬ ‫تترك‬
o
30
60
AB
C
D
151
m ∠ BDC ‫جد‬ ، CA = BC = AB :‫فيها‬ O ‫مركزها‬ ‫دائرة‬ :‫المجاور‬ ‫الشكل‬ ‫في‬ /1‫س‬
m∠ B , m ∠ C ، a ‫:قيمة‬ ‫جد‬ m BC = a , m AC = 96 :‫المجاور‬ ‫الشكل‬ ‫في‬ /2‫س‬
OD ‫جد‬ :‫المجاور‬ ‫الشكل‬ ‫في‬ /3‫س‬
∠ BAC ‫ينصف‬ AO : ‫ان‬ ‫برهن‬ ،O ‫مركزها‬ ‫دائرة‬ ‫في‬ ‫متطابقان‬ ‫وتران‬ AC , AB /4‫س‬
6 2
⁀ ⁀
A
BC
O
D
AB
C
O
a
96
32
AB
C
O
D 8
152
b, a ‫جد‬ :‫المجاور‬ ‫الشكل‬ ‫/في‬ 5‫س‬
Yْ ‫قيمة‬ ‫جد‬ BC ∥ OA , BA ∥ CO :‫المجاور‬ ‫الشكل‬ ‫في‬ /6‫س‬
‫مع‬ ‫دائري‬ ‫رباعي‬ ‫شكل‬ ‫باكمال‬ ‫أخرى‬ ‫طريقة‬ ‫هناك‬ , OB ‫صل‬ ‫ثم‬ ، ‫معين‬ OCBA ‫ان‬ ‫أثبت‬ :‫تلميح‬
. C , B , A ‫النقط‬
y ‫قيمة‬ ‫جد‬ ، m ∠ D = 2y , m ∠ A = y + 30 :‫حيث‬ ‫دفترك‬ ‫في‬ ‫المجاور‬ ‫الشكل‬ ‫أنقل‬ /7‫س‬
. )4y 0
( ‫قياسها‬ ‫زاوية‬ ‫الشكل‬ ‫في‬ ‫أرسم‬ ‫ثم‬ ،
A B
C
D
b
a 3a
B
o
y˚ AC
1
2
o
D
A
B
C
2y
1
2
y +
30
153
: O ‫مركزها‬ ‫التي‬ M ‫الدائرة‬ ‫ان‬ ‫أعاله‬ ‫الشكل‬ ‫في‬ ‫الحظ‬
A ‫نقطة‬ ‫في‬ M ‫للدائرة‬ ً‫ا‬‫مماس‬ L1
‫يسمى‬ } A} = M ∩ L1
: ‫فقط‬ ‫واحدة‬ ‫بنقطة‬ L1
‫مع‬ ‫تشترك‬ - 1
:‫فان‬ ‫ولذلك‬
‫للدائرة‬ ً‫ا‬‫مماس‬ ‫يسمى‬ ‫فقط‬ ‫واحدة‬ ‫بنقطة‬ ‫معها‬ ‫ويشترك‬ ‫الدائرة‬ ‫مستوي‬ ‫في‬ ‫مستقيم‬ ‫أي‬
.)‫التماس‬ ‫(نقطة‬ ‫النقطة‬ ‫تلك‬ ‫في‬
.‫للدائرة‬ ‫قاطع‬ L2
‫يسمى‬ } C , B } = M ∩ L2
- 2
. )‫الدائرة‬ ‫(خارج‬ ‫الدائرة‬ ‫يقطع‬ ‫وال‬ ‫يمس‬ ‫ال‬ , ∅ = M ∩ L3
- 3
6 - 4
ّ‫ماس‬ّ‫التـ‬
o
L3
A
B
C
M
‫متاس‬ ‫نقطة‬
L3
(‫والميس‬ ‫)اليقطع‬
(‫)قاطع‬
(‫)مماس‬
L2
L1
154
‫كما‬ ً‫ا‬‫مشترك‬ ً‫ا‬‫مماس‬ ‫الحالة‬ ‫هذه‬ ‫في‬ ‫ويسمى‬ ‫الوقت‬ ‫نفس‬ ‫في‬ ‫دائرة‬ ‫من‬ ‫اكثر‬ ‫يمس‬ ‫قد‬ ‫المستقيم‬ ‫ان‬ ‫مالحظة‬ ‫مع‬
:‫االشكال‬ ‫في‬
‫الداخل‬ ‫من‬ ‫دائرتني‬ ‫متاس‬
‫اخلارج‬ ‫من‬ ‫دائرتني‬ ‫متاس‬
‫مشترك‬ ‫مماس‬
]6-7[ ‫تعريف‬
‫الجهة‬ ‫من‬ ‫التماس‬ ‫نقطة‬ ‫من‬ ‫المرسوم‬ ‫ووترها‬ ‫الدائرة‬ ‫بمماس‬ ‫المحددة‬ ‫الزاوية‬ ‫هي‬ :‫المماسية‬ ‫الزاوية‬
. ‫االخرى‬
‫زاوية‬ ABD ‫الزاوية‬ ‫تسمى‬ ‫للدائرة‬ ‫وتر‬ BA , O ‫مركزها‬ ‫التي‬ ‫للدائرة‬ ‫مماس‬ L : ‫الشكل‬ ‫في‬
.‫مماسية‬
‫أحد‬ ‫هو‬ ‫الذي‬ ‫للوتر‬ ‫المقابل‬ ‫القوس‬ ‫قياس‬ ‫نصف‬ ‫يساوي‬ ‫دائرة‬ ‫في‬ ‫المماسية‬ ‫الزاوية‬ ‫قياس‬ :‫اولية‬ ‫عبارة‬
. ‫المماسية‬ ‫الزاوية‬ ‫أضالع‬
⁀
A
B
C
D
O
L
mABD=
1
2
mABm ∠
155
/‫المعطيات‬
.A ‫نقطة‬ ‫في‬ ‫الدائرة‬ ‫يمس‬ L ‫المستقيم‬ ،O ‫مركزها‬ ‫دائرة‬
/‫أثباته‬ ‫المطلوب‬
OA ⊥ L
/‫والبرهان‬ ‫العمل‬
AOB ‫القطر‬ ‫نرسم‬
( ‫الدائرة‬ ‫في‬ ‫قطر‬ AB ‫)الن‬ .... m ACB = 1800
( ‫اولية‬ ‫عبارة‬ )....m ∠ BADmABD=
1
2
mACB
m ∠m BAD =
1
2
×1800
= 900
) ‫م‬ . ‫هـ‬ . ‫(و‬ OA ⊥ L ∴
.N ‫نقطة‬ ‫في‬ L ⊥ ON , O ‫من‬ ‫نرسم‬ L ⊥ OA ‫يكن‬ ‫لم‬ ‫اذا‬ :‫آخر‬ ‫برهان‬
. AN = NP ‫ان‬ ‫بحيث‬ .P ‫النقطة‬ ‫الى‬ ‫أستقامتها‬ ‫على‬ AN ‫نمد‬
»‫بينهما‬ ‫محصورة‬ ‫وزاوية‬ ‫«ضلعان‬ .‫متطابقان‬ OAN , ONP ‫المثلثان‬
:‫على‬ ‫نحصل‬ ‫التطابق‬ ‫من‬
OA = OP
‫للدائرة‬ ∵
‫للدائرة‬ ∴
OA ⊥ L ∴
:‫أولية‬ ‫عبارة‬
.‫فقط‬ ‫واحد‬ ‫مماس‬ ‫رسم‬ ‫يمكن‬ ‫للدائرة‬ ‫تنتمي‬ ‫نقطة‬ ‫من‬ - 1
.‫الدائرة‬ ‫بمركز‬ ‫يمر‬ ‫التماس‬ ‫نقطة‬ ‫من‬ ‫الدائرة‬ ‫مماس‬ ‫على‬ ‫العمودي‬ ‫المستقيم‬ - 2
⁀
.‫التماس‬ ‫نقطة‬ ‫من‬ ‫المرسوم‬ ‫القطر‬ ‫نصف‬ ‫على‬ ‫عمود‬ ‫المماس‬
14/‫مبرهنة‬
A∈
P ∈
O
L
B
A
C
D
⁀
O
L
A PN
156
)‫المجاور‬ ‫(الشكل‬ ،O ‫مركزها‬ ‫التي‬ ‫الدائرة‬ ‫في‬
A ‫في‬ ‫للدائرة‬ ‫مماس‬ AB
. m ∠ AOB ‫جد‬ ∠ ABO = 35ْ
‫معطى‬ ... A ‫في‬ ‫للدائرة‬ ‫مماس‬ AB ∵ / ‫احلل‬
. B ‫في‬ ‫الدائرة‬ ‫يمس‬ ، A ‫في‬ ‫الدائرة‬ ‫يمس‬ ، ‫فيها‬ ‫قطر‬ ، O ‫مركزها‬ ‫دائرة‬
‫ان‬ ‫أثبت‬
/‫المعطيات‬
/‫أثباته‬ ‫المطلوب‬
/‫البرهان‬
: ‫كذلك‬
: 2 ، 1 ‫من‬
∴ , ‫القاطع‬ ‫من‬ ‫واحدة‬ ‫جهه‬ ‫وعلى‬ ‫داخليتان‬ ‫الزاويتان‬ ‫وهاتان‬
‫من‬ ‫واحدة‬ ‫جهة‬ ‫في‬ ‫الواقعتان‬ ‫الداخليتان‬ ‫الزاويتان‬ ‫وكانت‬ ‫ثالث‬ ‫بمستقيم‬ ‫قطعا‬ ‫اذا‬ ‫مستقيمان‬ ‫(يتوازي‬
. )1800
‫مجموعهما‬ ‫القاطع‬
(2 ) ‫مثال‬
{‫للطالب‬ ‫تترك‬
ABDC//MN
(1 ) ‫مثال‬
m
o
A
B35˚
MNDC
DC//MN
AB

m  1+m  2=180o
A ‫في‬ ‫للدائرة‬ ‫مماس‬ MN ∵
AB ⊥ MN ∴13 ‫مبرهنة‬ .......
1.......
m  1=90o
∴

m  2=90o
∴2.......


AB ⊥ AO
∴ m  OAB=90o
∴ m  OBA=35o
∴ m  AOB=90o
-35o
= 55o
180ْ = ‫مثلث‬ ‫زوايا‬ ‫مجموع‬
‫معطى‬
∠
∠
∠
∠
∠
∠ ∠
o2 1
C
AB
D
N
M
AB ⊥ MN ∴
157
: ‫المجاور‬ ‫الشكل‬ ‫في‬
، A ‫في‬ ‫للدائرة‬ ‫مماس‬ AB
m ∠ OAC = 5N , m ∠ CAB = N
/‫احلل‬
A ‫في‬ ‫للدائرة‬ ‫مماس‬ AB
OA ⊥ AB ∴
) m ∠ OAB = 90ْ(
N + 5N = 90ْ
6N = 90ْ ⇒ N = 15ْ
m ∠ OAC = 5 × 15ْ = 75ْ
) ‫الدائرة‬ ‫اقطار‬ ‫انصاف‬ ( OA = OC ∴
‫الساقين‬ ‫متساوي‬ ‫مثلث‬ ‫قاعدة‬ ‫زاويتا‬ m ∠ OCA = 5N
∴ m ∠ OCA = 5 × 15ْ = 75ْ
) ‫المثلث‬ ‫زوايا‬ ‫مجموع‬ ( .... m ∠ OCA + m ∠ OAC + m ∠ AOC = 180ْ
75ْ + 75ْ + X = 180ْ
∴ X = 180ْ - 150ْ = 30ْ
(3 ) ‫مثال‬


o
x , N ‫قيمة‬ ‫جد‬ m ∠ AOC = x
o
B
C
A
•
N


o
X
5N
158
: ‫الشكل‬ ‫في‬
BO , CO , AO : ‫هي‬ ‫المثلث‬ ‫زوايا‬ ‫منصفات‬
‫التي‬ ‫الدائرة‬ ‫مركز‬ O ‫فتكون‬ O ‫في‬ ‫التقت‬
. ABC ‫المثلث‬ ‫اضالع‬ ‫تمس‬
) ‫المثلث‬ ‫موضوع‬ ‫في‬ ‫ذلك‬ ‫درسنا‬ ‫(كما‬
OR = OQ = OP ‫ان‬ ‫اي‬
. ‫للدائرة‬ ‫قطر‬ ‫نصف‬ ‫يمثل‬ ‫منها‬ ‫وكل‬
o
A
‫المثلث‬ ‫اضالع‬ ‫تمس‬ ‫التي‬ ‫الدائرة‬ ‫مركز‬ ‫هي‬ ‫المثلث‬ ‫زوايا‬ ‫منصفات‬ ‫تقاطع‬ ‫نقطة‬
: 15 ‫مبرهنة‬ ‫نتيجة‬
: ‫توضيح‬
R
C
o
A
B
Q
P
B
: ‫توضيح‬
A ‫في‬ OA ⊥ AB
. ‫لدائرة‬ ‫قطر‬ ‫نصف‬ OA ‫حيث‬
: ‫ان‬ ‫على‬ ‫نحصل‬ ‫ذلك‬ ‫عند‬
. A ‫قي‬ ‫للدائرة‬ ‫مماس‬ AB
ً‫ا‬‫مماس‬ ‫يكون‬ ‫للدائرة‬ ‫المنتميه‬ ‫نهايته‬ ‫عند‬ ‫دائرة‬ ‫قطر‬ ‫نصف‬ ‫على‬ ‫العمودي‬ ‫المستقيم‬
. ‫للدائرة‬
15/‫مبرهنة‬. ) 14 ‫مبرهنة‬ ‫(عكس‬
‫برهان‬ ‫بدون‬ ‫المبرهنة‬ ‫نقبل‬ ‫سوف‬
159
/ ‫المعطيات‬
AC ، AB ، A ∈∉ ‫للدائرة‬ ، O ‫مركزها‬ ‫دائرة‬
. A ‫من‬ ‫للدائرة‬ ‫مماسيتان‬ ‫قطعتان‬
/‫اثباته‬ ‫المطلوب‬
AB = AC
ABOC ‫الرباعي‬ ‫الشكل‬ ‫نكمل‬ /‫والبرهان‬ ‫العمل‬
AO ‫ونصل‬
) ‫(معطى‬ ...... C ،B ‫في‬ ‫الدائرة‬ ‫تمسان‬ AC ، AB ∵
) .... ‫على‬ ‫عمودي‬ ‫القطر‬ ‫نصف‬ ( ... OC ⊥ AC , AB ⊥ OB ∴
ACO ، ABO ∆∆ ‫في‬ ‫مشترك‬ ‫ضلع‬ OA
‫دائرة‬ ‫في‬ ‫قطرين‬ ‫نصفا‬ OC ≅ OB
)‫قائم‬ ‫وضلع‬ ‫(وتر‬ ‫الزاوية‬ ‫القائما‬ ‫المثلثان‬ ‫يتطابق‬ ∴
. AC = AB : ‫التطابق‬ ‫من‬
. ‫متطابقتان‬ ‫عنها‬ ‫خارجة‬ ‫نقطة‬ ‫من‬ ‫لدائرة‬ ‫المرسومتان‬ ‫المماسيتان‬ ‫القطعتان‬
16/‫مبرهنة‬
•
•
•
A
B
o
C
: ‫فانهما‬ ) ‫(مماسان‬ ‫او‬ ‫مماسيتان‬ ‫قطعتان‬ ‫عنها‬ ‫خارجة‬ ‫نقطة‬ ‫من‬ ‫لدائرة‬ ‫رسم‬ ‫اذا‬
. ‫متساويتين‬ ‫مركزيتين‬ ‫زاويتين‬ ‫تقابالن‬ - 1
‫تنصف‬ ‫الدائرة‬ ‫عن‬ ‫الخارجة‬ ‫والنقطة‬ ‫الدائرة‬ ‫مركز‬ ‫بين‬ ‫الواصلة‬ ‫المستقيم‬ ‫قطعة‬ - 2
. ‫المماسيتان‬ ‫القطعتان‬ ‫ضلعاها‬ ‫التي‬ ‫الزاوية‬
‫وتنصف‬ ‫عمودية‬ ‫عنها‬ ‫الخارجة‬ ‫والنقطة‬ ‫الدائرة‬ ‫مركز‬ ‫بين‬ ‫الواصلة‬ ‫المستقيم‬ ‫قطعة‬ - 3
. ‫التماس‬ ‫نقطتي‬ ‫بين‬ ‫الواصلة‬ ‫المستقيم‬ ‫قطعة‬
: 16 ‫مبرهنة‬ ‫نتيجة‬
160
. BC ‫جد‬ ,‫للدائرة‬ ‫مماسات‬ CA ، BC ، BD , O ‫مركزها‬ ‫دائرة‬ : ‫المجاور‬ ‫الشكل‬ ‫في‬
/ ‫احلل‬
BN = BD ....‫عنها‬ ‫خارجة‬ ‫نقطة‬ ‫من‬ ‫لدائرة‬ ‫مماسان‬
∵
) ‫برهان‬ ‫بدون‬ ‫تقبل‬ (
: ‫المجاور‬ ‫الشكل‬ ‫في‬
B ‫في‬ ‫للدائرة‬ ‫مماس‬ ، O ‫مركزها‬ ‫دائرة‬
، ‫مماسية‬ ‫زاوية‬ ∠ ABC
‫وتر‬ ‫تقابل‬ ‫محيطية‬ ‫زاوية‬ ∠ BDC
.) ‫المماسية‬ ‫للزاوية‬ ‫(ضلع‬ BC ‫الدائرة‬
m ∠ ABC = m ∠ BDC
(4 ) ‫مثال‬
∴ BN=6 cm
CN=CA
∴ CN=4 cm
BC=CN
∴ BC=4+6=10 cm
‫الدائرة‬ ‫لوتر‬ ‫المقابلة‬ ‫المحيطية‬ ‫الزاوية‬ ‫قياس‬ ‫يساوي‬ ‫دائرة‬ ‫في‬ ‫المماسية‬ ‫الزاوية‬ ‫قياس‬
. ‫االخرى‬ ‫الجهة‬ ‫من‬ )‫الزاوية‬ ‫(ضلع‬
17/‫مبرهنة‬
•o
A
C
B
D
•
BA
•
•
•
•o
N
A
C B
D
6cm
4cm
+ NB
161
: ‫المجاور‬ ‫الشكل‬ ‫في‬
m ∠ 3 , m ∠ 2 ‫جد‬
/ ‫احلل‬
C ‫في‬ ‫الدائرة‬ ‫تمس‬ AB ∵
)17 ‫(مبرهنة‬ ∴
m ∠ 1 = 74ْ
DE = CE ∵
) ‫الساقين‬ ‫متساوي‬ ‫مثلث‬ ‫خواص‬ ( ...... m ∠ 1 = m ∠ 2 ∴
m ∠ 2 = 74ْ ∴
180ْ = ‫مثلث‬ ‫زوايا‬ ‫مجموع‬ .... m ∠ 3 = 180ْ -(m ∠ 1+m ∠ 2(
m ∠ 3 = 180ْ -148ْ
m ∠ 3 = 32ْ
(5 ) ‫مثال‬
• O
ACB
D
E
740
1
2
3
m ∠ 1 = m ∠ ACE
:‫تدريب‬
CD //AB : ‫المجاور‬ ‫الشكل‬ ‫في‬
. x ‫قيمة‬ ‫جد‬•
AB
D C
O
x
3x
162
‫المجاور‬ ‫الشكل‬ ‫في‬
m ∠ ABN ‫جد‬
/‫احلل‬
) ‫مماسية‬ ‫زاوية‬ ( ....m ∠ 1 = m ∠ N
m ∠ 1 = 50ْ ∴
)‫(معطى‬ ... CN = AN ∵
) ‫الساقين‬ ‫متساوي‬ ‫مثلث‬ ‫قاعدة‬ ‫زاويتا‬ ( ... m ∠ 2 = m ∠ 3 ∴
) ‫مثلث‬ ‫زوايا‬ ( .... m ∠ N + m ∠ 2 + m ∠ 3 = 180ْ ∴
m ∠ 2 ‫بـ‬ m ∠ 3 ‫إبدال‬
50ْ+ 2m ∠ 2 = 180ْ
2m ∠ 2 = 130ْ
m ∠ 2 = 65ْ ∴
: ABC ‫المثلث‬ ‫في‬
)‫مستقيمة‬ ‫زاوية‬ ( ... m ∠ 4 = 180ْ - m ∠ 3
m ∠ 4 = 180ْ - 65ْ = 115ْ ∴
m ∠ B = 180ْ -(m ∠ 1+m ∠ 4( ∴
m ∠ B = 180 ْ - 165 ْ = 15ْ ∴
(6 ) ‫مثال‬
•
••
N
A
50 o
B
C
O
1
4
2
3
163
1، 2 : ‫المرقمة‬ ‫الزوايا‬ ‫قياسات‬ ‫جد‬ ‫المجاورين‬ ‫الشكلين‬ ‫في‬ /1‫س‬
‫الدائرة‬ ‫ويمس‬ ‫الكبرى‬ ‫الدائرة‬ ‫في‬ ‫وتر‬ AB ، O ‫المركز‬ ‫في‬ ‫متحدتان‬ ‫دائرتان‬ : ‫المجاور‬ ‫الشكل‬ ‫س2/في‬
AN = NB: ‫ان‬ ‫اثبت‬ N ‫في‬ ‫الصغرى‬
‫برؤوس‬ ‫المارة‬ ‫الدائرة‬ ‫يمس‬ AC ‫ان‬ ‫اثبت‬ ، AB ⊥ CD ‫رسم‬ ، C ‫في‬ ‫الزاوية‬ ‫قائم‬ ‫مثلث‬ ABC /3‫س‬
.BCD ‫المثلث‬
.ABC ‫المثلث‬ ‫محيط‬ ‫جد‬ : ‫المجاور‬ ‫الشكل‬ ‫في‬ /4‫س‬
6 3
AB
C
O
1
2
A
B
O
N
30ْ
O
AC
B
•
•
28ْ 2
44
E
2cm
O
B A
1.5cm
D
1
C
1.2cm
F
166
7 - 2‫االحداثي‬ ‫املستوي‬ ‫في‬ ‫املسافة‬
Distance in The Coordinate Plane
‫المسافة‬ ‫نجد‬ ‫ان‬ ‫يمكن‬ ]7 - 2 - 1[
)‫الصادات‬ ‫محور‬ ‫يوازي‬ ( ‫عمودي‬ ‫مستقيم‬ ‫او‬ )‫السينات‬ ‫محور‬ ‫(يوازي‬ ‫افقي‬ ‫مستقيم‬ ‫على‬ ‫نقطتين‬ ‫بين‬
:ً‫ا‬‫سابق‬ ‫درست‬ ‫كما‬ ‫او‬ ‫المسطرة‬ ‫باستخدام‬
B ( x2
, y1
) , A ( x1
, y 1
( ‫حيث‬ ‫السينات‬ ‫محور‬ ‫يوازي‬ ‫معلوم‬ ‫لمستقيم‬ ‫تنتميان‬ A , B ‫كانت‬ ‫*اذا‬
. )1( ‫الشكل‬ ‫في‬ ‫كما‬ A , B ‫النقطتين‬ ‫بين‬ ‫البعد‬ ‫فان‬
AB =|x2
- x1
| ‫او‬ AB = | x1
- x2
| : ‫هو‬
‫محور‬ ‫يوازي‬ ‫معلوم‬ ‫لمستقيم‬ ‫تنتميان‬ A , B ‫كانت‬ ‫اذا‬ *
‫فان‬ B = (x 1
, y2
) ,A = (x1
, y1
( ‫حيث‬ ‫الصادات‬
. )2( ‫الشكل‬ ‫في‬ ‫كما‬ A , B ‫النقطتين‬ ‫بين‬ ‫البعد‬
AB =|y1
- y2
| ‫او‬ AB = | y2
- y1
| : ‫هو‬
B = (-2, 3) ,A = (5 , 3 ( ‫كان‬ ‫اذا‬ : ً‫ال‬‫فمث‬
AB = | x2
- x1
| = | -2 - 5 | = | -7 |= 7
A = (5, -3) , B = (5 , 8 (
AB = | y2
- y1
| = | 8 - (-3) | = | 11 | = 11
‫يوازي‬ ‫مستقيم‬ ‫الى‬ ‫وال‬ ‫السينات‬ ‫محور‬ ‫يوازي‬ ‫مستقيم‬ ‫الى‬ ‫التنتميان‬ A , B ‫النقطتان‬ ‫كانت‬ ‫اذا‬ : ‫واالن‬
‫؟‬ A , B ‫النقطتين‬ ‫بين‬ ‫المسافة‬ ‫نجد‬ ‫فكيف‬ . ‫الصادات‬ ‫محور‬
y
x- axis
{y1
| x2
- x1
|
y = y1
A ( x1
, y1
) B ( x2
, y1
)
)1(
x
A ( x1
, y1
)
{
x1
| y2
- y1
|
x = x1
y
)2(
x
B ( x1
, y2
)
: ‫فأن‬
‫كان‬ ‫اذا‬
: ‫فأن‬
167
d=AB= X2 -X1( )
2
+ Y2 -Y1( )
2
d
‫االحداثي‬ ‫المستوي‬ ‫الى‬ ‫تنتميان‬ B (x2
, y2
) , A (x1
, y1
( : ‫لتكن‬
: ‫ان‬ ‫نجد‬ . E ‫في‬ ‫الزاوية‬ ‫قائم‬ AEB ‫المثلث‬ : ‫الشكل‬ ‫من‬
AE = | x2
- x1
| , BE = | y2
- y1
|
: ‫فثاغورس‬ ‫مبرهنة‬ ‫وحسب‬
)AB) 2
= (AE )2
+ (BE(2
‫نجد‬ BE , AE ‫عن‬ ‫وبالتعويض‬
)AB) 2
= (| x2
- x1
|)2
+ (| y2
- y1
| (2
)AB) 2
= (x2
- x1
)2
+ (y2
- y1
(2
=AB = (x2
- x1
)2
+ (y2
- y1
(2
|x|2
= x2
‫حيث‬
: ‫القانون‬ ‫تطبيقات‬ ‫بعض‬ ‫سنذكر‬ ‫المرحلة‬ ‫هذه‬ ‫في‬
. ‫واحدة‬ ‫استقامة‬ ‫على‬ A , B , C ‫مثل‬ ‫نقط‬ ‫ان‬ ‫اثبات‬ :ً‫ال‬‫او‬
: ‫الطريقة‬
. ‫االحداثي‬ ‫المستوي‬ ‫في‬ ‫المعطاة‬ ‫النقط‬ ‫نثبت‬ 
. ‫الناتج‬ ‫نبسط‬ ‫ثم‬ ‫نقطتين‬ ‫كل‬ ‫بين‬ ‫المسافة‬ ‫نجد‬ 
. ‫واحدة‬ ‫استقامة‬ ‫على‬ ‫النقط‬ ‫فان‬ ‫االجزاء‬ ‫مجموع‬ ‫يساوي‬ ‫الكل‬ ‫كان‬ ‫فاذا‬ 
‫االحداثي‬ ‫المستوي‬ ‫في‬ ‫النقطتين‬ ‫بين‬ ‫المسافة‬ ‫قانون‬ ]7 - 2 - 2[
y
A ( x1
, y1
)
| x2
- x1
|
B ( x2
, y2
)
X
E
| y2
- y1
|
‫نقطتين‬ ‫بين‬ ‫المسافة‬ ‫قانون‬ ‫تطبيقات‬ ‫بعض‬ ]7 - 2 - 3[
168
‫واحدة‬ ‫استقامة‬ ‫على‬ ‫النقاط‬ ‫ان‬ ‫بين‬
/‫احلل‬
AB= 0+3( )
2
+ 1+2( )
2
= 3( )
2
+ 3( )
2
AB= 9+9 = 18 = 3 2
BC= 3-0( )
2
+ 4-1( )
2
= 3( )
2
+ 3( )
2
BC=3 2
AC= 3+3( )
2
+ 4+2( )
2
= 6( )
2
+ 6( )
2
= 36+36 = 72
AC=6 2
6 2 = 3 2 + 3 2
AC=AB+BC ‫اي‬
‫واحدة‬ ‫استقامة‬ ‫على‬ ‫تقع‬ ‫نقط‬ A , B , C :‫اذن‬
(1) ‫مثال‬
A= -3,-2( ),B= 0,1( ),C= 3,4( )
B ( 0 , 1 )
X
C ( 3 , 4 )
A ( -3 , -2 )
y d=AB= X2 -X1( )
2
+ Y2 -Y1( )
2
d = (x2
- x1
)2
+ (y2
- y1
(2
169
‫واحد‬ ‫مستقيم‬ ‫خط‬ ‫على‬ ‫تقع‬ A -2,-1( ),B -1,0( ),C 2,3( ),D 4,5( ) : ‫النقط‬ ‫ان‬ ‫اثبت‬
/ ‫احلل‬
AB= -1+2( )
2
+ 0+1( )
2
= 1 + 1 = 2
BC= 2+1( )
2
+ 3-0( )
2
= 9 + 9 = 3 2
DC= 4-2( )
2
+ 5-3( )
2
= 4 + 4 = 2 2
AD ‫طول‬ ‫نجد‬ ‫واالن‬
AD= 4+2( )
2
+ 5+1( )
2
= 36 + 36 = 6 2
6 2 = 2 + 3 2 + 2 2 : ‫ان‬ ‫الحظ‬
AD = AB + BC + CD : ‫اي‬
‫واحد‬ ‫مستقيم‬ ‫على‬ ‫تقع‬ A , B , C , D ‫النقط‬ : ‫اذن‬
(2) ‫مثال‬
y
A
B
C
X
D
d=AB= X2 -X1( )
2
+ Y2 -Y1( )
2
d = (x2
- x1
)2
+ (y2
- y1
(2
170
: ً‫ا‬‫ثاني‬
: ‫اضالعه‬ ‫اطوال‬ ‫حيث‬ ‫من‬ ‫المثلث‬ ‫نوع‬
. ‫االضالع‬ ‫مختلف‬ ‫او‬ ‫الساقين‬ ‫متساوي‬ ‫او‬ ‫االضالع‬ ‫متساوي‬ ‫اما‬ ‫فهو‬
A ( 2 , 4 ) , B (-4 , 2 ) , C) -1 , -2 ( ‫حيث‬ ‫اضالعه‬ ‫حيث‬ ‫من‬ A B C ‫المثلث‬ ‫نوع‬ ‫بين‬
/ ‫احلل‬
AB ≠ AC ≠ BC : ‫ان‬ ‫الحظ‬
‫االضالع‬ ‫مختلف‬ ‫المثلث‬ ∴
(3) ‫مثال‬
AB= 2+4( )
2
+ 4-2( )
2
= 36 + 4 = 2 10
AC= -1+4( )
2
+ -2+2( )
2
= 9 + 0 = 3
AC= -1+4( )
2
+ -2+2( )
2
= 9 + 0 = 3
BC= -1-2( )
2
+ -2-4( )
2
= 9 + 36 =
BC= -1-2( )
2
+ -2-4( )
2
= 9 + 36 = 45
y
A ( 2 , 4)
X
C ( -1 , -2)
B ( -4 , 2)
BC= 2+1( )
2
+ 3-0( )
2
= 9 + 9 = 3 25
d=AB= X2 -X1( )
2
+ Y2 -Y1( )
2
d = (x2
- x1
)2
+ (y2
- y1
(2
AC= -1+4( )
2
+ -2+2( )
2
= 9 + 0 = 3
BC= -1-2( )
2
+ -2-4( )
2
= 9 + 36 =−
16 25 = 5
AB = ( - 4 - 2 )2
+ ( 2 - 4) 2
171
‫الساقين‬ ‫متساوي‬ A (3 ،-4 ) , B (5 ، -2 ) , C ) 5 ،-6 ( ‫رؤوسه‬ ‫الذي‬ ‫المثلث‬ ‫ان‬ ‫بين‬
/ ‫احلل‬

Q AB=AC ∵
‫الساقين‬ ‫متساوي‬ ABC ‫المثلث‬ ∴
: ً‫ا‬‫ثالث‬
‫الزاوية‬ ‫القائم‬ ‫المثلث‬ ‫أختبار‬
‫الزاوية‬ ‫قائم‬ ‫المثلث‬ ‫فان‬ ‫فيثاغورس‬ ‫مبرهنة‬ ‫تحققت‬ ‫فاذا‬ ، ‫اضالعه‬ ‫اطول‬ ‫نجد‬
. ‫الزاوية‬ ‫قائم‬ A (-2 , -2 ) , B (3 ,4 ) , C ) 3 , -2( ‫رؤوسه‬ ‫الذي‬ ‫المثلث‬ ‫ان‬ ‫بين‬
/ ‫احلل‬
d= x2 -x1( )
2
+ y2 -y1( )
2
(4) ‫مثال‬
d= x2 -x1( )
2
+ y2 -y1( )
2
AB= 5-3( )
2
+ -2+4( )
2
= 4 + 4 = 2
AB= 5-3( )
2
+ -2+4( )
2
= 4 + 4 = 2 2
BC= 5-5( )
2
+ -6+2( )
2
= 0 + 16 = 4
BC= 5-5( )
2
+ -6+2( )
2
= 0 + 16 = 4
AC= 5-3( )
2
+ -6+4( )
2
= 4 + 4 = 2
AC= 5-3( )
2
+ -6+4( )
2
= 4 + 4 = 2 2
y
c ( 5 , -6)
X
B ( 5 , -2)
A ( 3 , -4)
(5) ‫مثال‬
AB= 3+2( )
2
+ 4+2( )
2
= 25 + 36 = 61
172
: ‫ان‬ ‫الحظ‬
AB( )
2
= AC( )
2
+ BC( )
2
: ‫اي‬
. C ‫في‬ ‫الزاوية‬ ‫قائم‬ ABC ‫المثلث‬ ∴
: ً‫ا‬‫رابع‬
‫أخرى‬ ‫تطبيقات‬
‫اضالع‬ ‫متوازي‬ ‫رؤوس‬ A (-2 , 3) ، B (-1 , 4) ،C (2 , -1) ، D(1 ,-2( : ‫النقط‬ ‫ان‬ ‫بين‬
.ABCD
/ ‫اجلل‬
∴AB=DC
∴
‫اضالع‬ ‫متوازي‬ ABCD ‫الشكل‬ ∴
AC= 3+2( )
2
+ -2+2( )
2
= 25 + 0
AC= 3+2( )
2
+ -2+2( )
2
= 25 + 0 = 25
BC= 3-3( )
2
+ -2-4( )
2
= 0 + 36 = 36
BC= 3-3( )
2
+ -2-4( )
2
= 0 + 36 =
y
X
B ( 3 , 4)
A ( -2 , -2) c (3 , -2) 61( )
2
= 25( )
2
+ 36( )
2
(6) ‫مثال‬
AB= -1+2( )
2
+ 4-3( )
2
= 1 + 1 = 2
AB= -1+2( )
2
+ 4-3( )
2
= 1 + 1 = 2
DC= 1-2( )
2
+ -2+1( )
2
= 1 + 1 = 2
DC= 1-2( )
2
+ -2+1( )
2
= 1 + 1 = 2
y
X
B
A
D
C
d= x2 -x1( )
2
+ y2 -y1( )
2
AD= 1+2( )
2
+ -2-3( )
2
= 9 + 25 = 34
BC= 2+1( )
2
+ -1-4( )
2
= 9 + 25 = 34
61 = 25 + 36
AD=BC
174
. ‫منتصف‬ C ‫جد‬ B ( 5 , 1 ) ،A ( 3 , -5 ( ‫لتكن‬
/‫احلل‬
)Mid Point( ‫المنتصف‬ ‫نقطة‬
. B ‫النقطة‬ ‫احداثي‬ ‫فجد‬ A ( -1 , -2 ( ‫وكانت‬ ‫منتصف‬ ‫كانت‬ ‫اذا‬
/‫احلل‬
C=
x1 +x2
2
,
y1 +y2
2
⎛
⎝
⎜
⎞
⎠
⎟
3
2
,
-1
2
⎛
⎝
⎜
⎞
⎠
⎟ =
-1+x2
2
,
-2+y2
2
⎛
⎝
⎜
⎞
⎠
⎟ ⇒
3
2
=
-1+x2
2
⇒ -2+2x2 =6 ⇒ 2x2 =8 ⇒ x2 =4
-1
2
=
-2+y2
2
⇒ -4+2y2 =-2 ⇒ 2y2 =2 ⇒ y2 =1
∴ B = ( 4 , 1 )
(1) ‫مثال‬
(2) ‫مثال‬
C =
3
2
,
-1
2
⎛
⎝
⎜
⎞
⎠
⎟AB
M=
x1 +x2
2
,
y1 +y2
2
⎛
⎝
⎜
⎞
⎠
⎟
C =
3+5
2
,
-5+1
2
⎛
⎝
⎜
⎞
⎠
⎟
C =
8
2
,
-4
2
⎛
⎝
⎜
⎞
⎠
⎟
C = 4,-2( )
AB
175
‫متوازي‬ ‫رؤوس‬ A (-2 , 3 ) ، B ( -1 , 4 ) ، C ( 2 , -1 ) ، D ( 1 ,- 2( ‫النقط‬ ‫ان‬ ‫بين‬
.‫المنتصف‬ ‫قانون‬ ‫باستخدام‬ ABCD ‫االضالع‬
/‫احلل‬
‫القطر‬ ‫منتصف‬ ‫نجد‬
M=
x1 +x2
2
,
y1 +y2
2
⎛
⎝
⎜
⎞
⎠
⎟
M1 =
-2+3
2
,
3+ -1( )
2
⎛
⎝
⎜
⎞
⎠
⎟
M1 =
-2+3
2
,
3+ -1( )
2
⎛
⎝
⎜
⎞
⎠
⎟
M1 = 0,1( )
BD ‫القطر‬ ‫منتصف‬ ‫نجد‬
M2 =
-1+1
2
,
4+ -2( )
2
⎛
⎝
⎜
⎞
⎠
⎟
M2 0,1( )
.‫االخر‬ ‫ينصف‬ ‫احدهما‬ ‫قطريه‬ ‫الن‬ ‫اضالع‬ ‫متوازي‬ ABCD ‫الشكل‬ M1 = M2 ∴
(3) ‫مثال‬
AC
y
X
B
A
D
C
176
ABCD ‫الشكل‬ ‫كان‬ ‫اذا‬ D ‫النقطة‬ ّ‫احداثيي‬ ‫جد‬ A ( 4 , 0 ) ، B ( 6 , -6 ) ، C (-8 , 0( ‫لتكن‬
. ‫اضالع‬ ‫متوازي‬ ‫هو‬
/ ‫احلل‬
M=
x1 +x2
2
,
y1 +y2
2
⎛
⎝
⎜
⎞
⎠
⎟
AC ‫القطر‬ ‫منتصف‬ ‫نجد‬
M1 =
4+ -8( )
2
,
0+0
2
⎛
⎝
⎜
⎞
⎠
⎟
M1 = −2, 0( )
BD ‫القطر‬ ‫منتصف‬ ‫نجد‬
M2 =
x+6
2
,
y-6
2
⎛
⎝
⎜
⎞
⎠
⎟
‫االخر‬ ‫ينصف‬ ‫احدهما‬ ‫االضالع‬ ‫متوازي‬ ‫قطرا‬
∴ M2 = M1
: ‫اي‬
x+6
2
=-2 ⇒ x+6=-4
x=-10
y-6
2
=-2 ⇒ y-6=0
y=6
∴ D = −10,6( )
							
(4) ‫مثال‬
y-6
2
=-2 ⇒ y-6=0
A ( 4 , 0 )
D ( X , y )
c ( -8 , 0 )
B (6 , -6 )
y
X
177
. ‫واحدة‬ ‫استقامة‬ ‫على‬ ‫تقع‬ A(-2,-2) ، B ( 2 , 1 ) ، C ( 6 , 4( : ‫النقاط‬ ‫ان‬ ‫بين‬ /1‫س‬
‫؟‬ A ( 6 , 8 ) ، B ( 0 , 0 ) ، C ( 0 , 8 ( :‫واحدة‬ ‫استقامة‬ ‫على‬ ‫تقع‬ ‫االتية‬ ‫النقط‬ ‫هل‬ /2‫س‬
.‫الدائرة‬ ‫هذه‬ ‫قطر‬ ‫طول‬ ‫جد‬ ‫لها‬ ‫تنتمي‬ A (-3 , -4 ( ‫والنقطة‬ O )6 , 8( ‫النقطة‬ ‫مركزها‬ ‫دائرة‬ /3‫س‬
‫الساقين‬ ‫«متساوي‬ A ( 2 ,-2) ، B ( 2 , 1 ) ، C ( 6 , 4 ( ‫رؤوسه‬ ‫الذي‬ ‫المثلث‬ ‫نوع‬ ‫بين‬ /4‫س‬
. » ‫االضالع‬ ‫مختلف‬ ، ‫االضالع‬ ‫متساوي‬
‫جد‬ ‫ثم‬ ‫الزاوية‬ ‫قائم‬ A ( 2 , -1 ) ، B ( 2 , 1 ) ، C ( -1 , 1( ‫رؤوسه‬ ‫الذي‬ ‫المثلث‬ ‫ان‬ ‫بين‬ /5‫س‬
. ‫المثلثة‬ ‫المنطقة‬ ‫مساحة‬
/6‫س‬
A ( -3 , 5 ) ، B ( 2 , 7 ) , C( 1 , 9) ،D (-4 , 7 ( ‫رؤوسه‬ ‫الذي‬ ‫الشكل‬ ‫ان‬ ‫بطريقتين‬ ‫بين‬
. ‫اضالع‬ ‫متوازي‬
/7‫س‬
D ‫الرابع‬ ‫الرأس‬ ‫احداثي‬ ‫جد‬ A(1 , 0) ، B(5 , 0) ، C(7 , 3( ‫رؤوسه‬ ‫اضالع‬ ‫متوازي‬ ABCD
/8‫س‬
‫المستقيمة‬ ‫القطعة‬ ‫طول‬ ‫ان‬ ‫من‬ ‫تحقق‬ A(6,4) ، B(-2,6) ، C(0,-4( ‫رؤوسه‬ ABC ‫مثلث‬
.‫الثالث‬ ‫الضلع‬ ‫طول‬ ‫نصف‬ ‫يساوي‬ ‫فيه‬ ‫ضلعين‬ ‫منتصفي‬ ‫بين‬ ‫الواصلة‬
/9‫س‬
‫القطعة‬ ‫طول‬ ‫ان‬ ‫من‬ ‫تحقق‬ A(0,10) ، B(6,8) ، C(-6,-8( ‫حيث‬ ‫مثلث‬ ABC
.‫الوتر‬ ‫طول‬ ‫نصف‬ ‫يساوي‬ ‫الوتر‬ ‫منتصف‬ ‫الى‬ ‫القائمة‬ ‫رأس‬ ‫من‬ ‫الواصلة‬ ‫المستقيمة‬
7 1
. ‫الهندسية‬ ‫التحويالت‬ ]8-1[
‫اآلنعكاس‬ ]8-2[
‫المستوي‬ ‫في‬ ‫مستقيم‬ ‫على‬ ‫اآلنعكاس‬ ]8-2-1[
‫اإلحداثي‬ ‫المستوي‬ ‫على‬ ‫اإلنعكاس‬ ]8-2-2[
‫اإلحداثي‬ ‫المستوي‬ ‫على‬ ‫اآلنسحاب‬ ]8-3[
‫الدوران‬ ]8-4[
‫نقطة‬ ‫حول‬ ٍ‫مستو‬ ‫على‬ ‫الدوران‬ ]8-4-1[
‫التكبير‬ ]8-5[
‫المتناسبة‬ ‫المجموعات‬ ]8-6[
‫التشابه‬ ]8-7[
‫الهندسية‬ ‫التحويالت‬
‫الرياضية‬ ‫العالقة‬ ‫او‬ ‫الرمز‬ ‫املصطلح‬
Rx
‫السيني‬ ‫احملور‬ ‫حول‬ ‫االنعكاس‬
Ry
‫الصادي‬ ‫احملور‬ ‫حول‬ ‫االنعكاس‬
R90ْ
90ْ ‫حول‬ ‫الدوران‬
D ‫التكبير‬
‫الثامن‬ ‫الفصل‬
8
‫االنسحاب‬T
‫الهندسية‬ ‫التحويالت‬
‫الفصل‬
8
‫مقدمة‬
‫التناظر‬ ‫محور‬
‫الضلعين‬ ‫متطابق‬ ‫مثلث‬
‫تطابق‬ ‫يدرس‬ ‫الذي‬ ‫الهندسة‬ ‫فروع‬ ‫احد‬ ‫هي‬ ‫الهندسية‬ ‫التحويالت‬
‫متطابقان‬ ‫هندسيين‬ ‫لشكلين‬ ‫يقال‬ ‫حيث‬ ،‫الهندسية‬ ‫االشكال‬
‫التطابق‬ ‫وهذا‬ ‫االخر‬ ‫على‬ ‫نقاطهما‬ ‫من‬ ‫نقطة‬ ‫كل‬ ‫انطبقت‬ ‫اذا‬
‫فمثال‬ ‫جامدة‬ ‫او‬ ‫متحركة‬ ‫اجسام‬ ‫من‬ ‫الطبيعة‬ ‫في‬ ‫بما‬ ‫نالحظه‬
‫الكتاب‬ ‫وكذلك‬ ‫االخر‬ ‫على‬ ‫احدهما‬ ‫الفراشة‬ ‫جناحا‬ ‫ينطبق‬
‫تتطابق‬
‫وقوفك‬ ‫وعند‬ ‫التناظر‬ ‫محور‬ ‫نسميه‬ ‫محور‬ ‫بوساطة‬ ‫متناظرين‬ ‫نصفين‬ ‫الى‬ ‫ينقسم‬ ‫االنسان‬ ‫جسم‬ ‫وان‬ ‫اوراقه‬
‫ومن‬ ‫التناظر‬ ‫محور‬ ‫بمثابة‬ ‫المرآة‬ ‫خط‬ ‫وان‬ . ‫المرآة‬ ‫في‬ ‫تماما‬ ‫نفسها‬ ‫صورتك‬ ‫تشاهد‬ ‫مستوية‬ ‫مرآة‬ ‫امام‬
.‫هندسي‬ ‫شكل‬ ‫لكل‬ ‫التناظر‬ ‫محور‬ ‫نالحظ‬ ‫التالية‬ ‫االشكال‬ ‫خالل‬
‫بالتحويل‬ ‫يسمى‬ ‫نفسه‬ ‫المستوي‬ ‫في‬ ‫اخرى‬ ‫نقطة‬ ‫الى‬ ‫المستوي‬ ‫في‬ ‫نقطة‬ ‫كل‬ ‫ينقل‬ ‫الذي‬ ‫التحويل‬ ‫هذا‬ ‫ان‬
‫هذا‬ ‫في‬ ‫وسنتطرق‬ )Transltion( ‫واالنسحاب‬ , )Reflection( ‫االنعكاس‬ ‫أمثلته‬ ‫ومن‬ . ‫الهندسي‬
. ‫والتكبير‬ ‫كالدوران‬ ‫اخرى‬ ‫هندسية‬ ‫تحويالت‬ ‫إلى‬ ‫الفصل‬
8 - 1
‫المعين‬
180
‫حيث‬ , R ‫التطبيق‬ ‫وأن‬ x ‫المستوي‬ ‫في‬ ‫مستقيم‬ L ‫أن‬ ‫نفرض‬
) a ∉ L) L ‫للمستقيم‬ ‫تنتمي‬ ‫ال‬ a ‫والنقطة‬ R : x x
ً‫ا‬‫آنعكاس‬ ‫يسمى‬ ‫هندسي‬ ‫تحويل‬ R ‫فان‬ .‫تقابل‬ ‫تطبيق‬ R ‫كان‬ ‫فاذا‬
.‫اآلنعكاس‬ ‫محور‬ ً‫ا‬‫أيض‬ L ‫ويسمى‬ RL
‫بالرمز‬ ‫له‬ ‫ونرمز‬ L ‫على‬
‫إحدى‬ ‫في‬ ‫الواقعة‬ ‫المستوي‬ ‫من‬ ‫النقط‬ ‫يحول‬ RL
‫أن‬ ‫الشكل‬ ‫من‬
‫الواقعة‬ ‫النقاط‬ ‫بينما‬ ‫منه‬ ‫األخرى‬ ‫الجهة‬ ‫الى‬ L ‫المستقيم‬ ‫جهتي‬
. a aَ ‫المستقيمة‬ ‫للقطعة‬ ‫العمودي‬ ‫المنصف‬ ‫هو‬ L ‫ويكون‬ . ‫موضعها‬ ‫في‬ ‫تبقى‬ ‫عليه‬
p1
(3 , 5 (‫النقطة‬ ‫صورة‬ ‫تكون‬ ‫المتعامد‬ ‫ثي‬ِ‫ا‬‫اإلحد‬ ‫المستوى‬ ‫في‬
‫.بعد‬ p2
(3 , -5 ( ‫)هي‬ x : axis) x ‫التناظر‬ ‫لمحور‬ ‫بالنسبة‬
‫بالنسبة‬ p2
‫النقطة‬ ‫بعد‬ ‫يساوي‬ x ‫لمحور‬ ‫بالنسبة‬ p1
‫النقطة‬
:‫التالية‬ ‫القاعدة‬ ‫إستنتاج‬ ‫يمكن‬ ‫عامة‬ ‫وبصورة‬ . x ‫لمحور‬
Rx
[( x , y )] = ( x , -y )
ً‫ا‬‫أيض‬ ‫الشكل‬ ‫ومن‬ . ) y = 0 (‫حيث‬ ) x : axis) x ‫السينات‬ ‫لمحور‬ ‫بالنسبة‬ ً‫ا‬‫آنعكاس‬ ‫يسمى‬ Rx
‫حيث‬
. p3
(-3 , 5 ( ‫هي‬ ) y : axis) y ‫الصادات‬ ‫لمحور‬ ‫بالنسبة‬ p1
(3 , 5 (‫النقطة‬ ‫صورة‬ ‫الحظ‬
‫الصادات‬ ‫محور‬ ‫عن‬ P3
‫النقطة‬ ‫بعد‬ ‫يساوي‬ ‫الصادات‬ ‫محور‬ ‫عن‬ ‫بالنسبة‬ P ‫النقطة‬ ‫بعد‬ ‫أن‬ ً‫ا‬‫أيض‬ ‫تالحظ‬ ‫كما‬
. ‫التالية‬ ‫القاعدة‬ ‫أستنتاج‬ ‫يسهل‬ ‫وهذا‬
Ry
[( x , y )] = ( -x , y )
. ) x = 0 ( ‫حيث‬ ) y : axis) y ‫الصادات‬ ‫لمحور‬ ‫بالنسبة‬ ً‫ا‬‫آنعكاس‬ ‫يسمى‬ Ry
‫حيث‬
8 - 2Reflection ‫االنعكاس‬
: ‫المستوي‬ ‫في‬ ‫مستقيم‬ ‫على‬ ‫االنعكاس‬ ]8 - 2 - 1[
: ‫االحداثي‬ ‫المستوى‬ ‫على‬ ‫االنعكاس‬ ]8 - 2 - 2[
x
y p1
( 3 , 5 )
p2
( 3 , -5 )
p3
( -3 , 5 )
a aَ
L
181
(1) ‫مثال‬
:‫فجد‬ . p (3 , -4 ( ‫كانت‬ ‫اذا‬
.‫السينات‬ ‫لمحور‬ ‫بالنسبة‬ P ‫النقطة‬ ً‫ا‬‫آنعكاس‬ ‫صورة‬ )1
.‫الصادات‬ ‫لمحور‬ ‫بالنسبة‬ P ‫النقطة‬ ‫آنعكاس‬ ‫صورة‬ )2
/‫احلل‬
Rx
[( x , y )] = ( x , -y ( ‫القاعدة‬ ‫حسب‬ )1
⇒ Rx
[( 3 , -4 )] = ( 3 , -(-4)) = (3 , 4 (
‫القاعدة‬ ‫حسب‬ )2
Ry
[( x , y )] = ( -x , y (
⇒ Ry
[( 3 , -4 )] = ( -3 , -4 (
ABC ‫املثلث‬ ‫صورة‬ ‫فجد‬ C ( 0 , -3 ) , B ( 5 , 0 ) , A ( 3 , 2 ( ‫كانت‬ ‫اذا‬
. ً‫ا‬‫هندسي‬ ‫ه‬ّ‫ل‬‫ومث‬ ‫السينات‬ ‫محور‬ ‫في‬ ‫باالنعكاس‬ )1
. ً‫ا‬‫هندسي‬ ‫ه‬ّ‫ل‬‫ومث‬ ‫الصادات‬ ‫محور‬ ‫في‬ ‫باالنعكاس‬ )2
/ ‫احلل‬
‫السينات‬ ‫محور‬ ‫في‬ ‫انعكاس‬‫الصادات‬ ‫محور‬ ‫في‬ ‫انعكاس‬
Aَ = Rx
[( 3 , 2 )] = ( 3 , -2(Aً = Ry
[( 3 , 2 )] = ( -3 , 2(
Bَ = Rx
[( 5 , 0 )] = ( 5 , 0 (Bً = Ry
[( 5 , 0 )] = ( -5 , 0(
Cَ = Rx
[( 0 , -3 )] = ( 0 , 3 (Cً = Ry
[( 0 , -3 )] = ( 0 , -3 (
x
y
Aَ
Aً
Bَ
Bً
Cَ
Cً
(2) ‫مثال‬
A
182
‫آنعكاس‬ ‫تأثير‬ ‫حتت‬ 2x - 3y = 6 ‫معادلته‬ ‫الذي‬ ‫املستقيم‬ ‫صورة‬ ‫جد‬
. ً‫ا‬‫هندسي‬ ‫ومثله‬ ‫السينات‬ ‫حملور‬ ‫بالنسبة‬ ) 1
. ً‫ا‬‫هندسي‬ ‫ومثله‬ ‫الصادات‬ ‫حملور‬ ‫بالنسبة‬ ) 2
‫بوضع‬ ‫املستقيم‬ ‫على‬ ‫نقطتني‬ ‫جند‬ / ‫احلل‬
x = 0
⇒ 2(0) - 3y = 6 ‫املستقيم‬ ‫معادلة‬ ‫في‬ ‫نعوضها‬
⇒ - 3y = 6
⇒ y =
6
-3
= ⇒ y = -2
⇒ 2x - 3(0) = 6 ‫املستقيم‬ ‫معادلة‬ ‫في‬ y = 0 ‫نعوض‬
⇒ 2x = 6
) 0 , -2( ، ) 3 , 0( ‫هما‬ ‫النقطتان‬ ∴
2x - 3y = 6 ‫املستقيم‬ ‫ميثل‬ L1
∴
1) Rx
[( 0 , -2 )] = ( 0 , 2 )
Rx
[( 3 , 0 )] = ( 3 ,0 (
2) Ry
[( 0 , -2 )] = ( 0 , -2 )
Ry
[( 3 , 0 )] = ( -3 ,0 (
‫يكون‬ ‫عندما‬ ‫الصادات‬ ‫محور‬ ‫في‬ ‫االنعكاس‬ ‫تأثير‬ ‫حتت‬ ABCD ‫الرباعي‬ ‫الشكل‬ ‫صورة‬ ‫جد‬
.ً‫ا‬‫هندسي‬ ‫ومثله‬ A ( 1 , 1 ) , B ( 4 , 1 ) , C ( 4 , 3 ) , D ( 1 , 3 (
Ry
[( 1 , 1 )] = ( -1 , 1 ( / ‫احلل‬
Ry
[( 4 , 1 )] = ( -4 , 1 (
Ry
[( 4 , 3 )] = ( -4 , 3 )
Ry
[( 1 , 3 )] = ( -1 , 3 (
⎤
⎦
⎥ ⇒ L2
⎤
⎦
⎥ ⇒ L3
(3) ‫مثال‬
(4) ‫مثال‬
⇒ x =
6
2
= ⇒ x = 3 y
x
L1
L2
L3
y
x
D
A B
CDَ
AَBَ
Cَ
183
]8-1[ ‫تعريف‬
‫بحيث‬ pَ ‫الى‬ ‫المستوي‬ ‫في‬ P ‫نقطة‬ ‫كل‬ ‫ينقل‬ ‫هندسي‬ ‫تحويل‬ ‫هو‬
. ‫معلوم‬ ‫باتجاه‬ P Pَ ، ‫معينة‬ ‫مسافة‬ = P Pَ
‫السينات‬ ‫لمحور‬ ‫الموجب‬ ‫باالتجاه‬ ) 1 : ‫فأن‬
T ( x ,y ) = ( x + a , y )
‫السينات‬ ‫لمحور‬ ‫السالب‬ ‫باالتجاه‬ )2
T ( x ,y ) = ( x - a , y )
8 - 3Traslation ‫االنسحاب‬
: ‫االحداثي‬ ‫المستوي‬ ‫على‬ ‫االنسحاب‬ ]8 - 3 - 1[
: a ‫معينة‬ ‫مسافة‬ ‫انسحاب‬ ‫تاثير‬ ‫تحت‬ ) x , y ( ‫النقطة‬ ‫صورة‬ ]8 - 3 - 2[
‫الصادات‬ ‫حملور‬ ‫املوجب‬ ‫باالجتاه‬ )3
T( x , y ) = ( x , y + a )
‫الصادات‬ ‫حملور‬ ‫السالب‬ ‫باالجتاه‬ )3
T( x , y ) = ( x , y - a )
. ‫وحدات‬ ) 5( ‫مقداره‬ ‫أنسحاب‬ ‫تأثير‬ ‫حتت‬ ‫النقطة‬ ‫صورة‬ ‫فأوجد‬ ) -2 , 3( ‫النقطة‬ ‫كانت‬ ‫اذا‬
. ‫السينات‬ ‫حملور‬ ‫السالب‬ ‫باالجتاه‬ )b . ‫السينات‬ ‫حملور‬ ‫املوجب‬ ‫باالجتاه‬ )a
. ‫الصادات‬ ‫حملور‬ ‫السالب‬ ‫باالجتاه‬ )d . ‫الصادات‬ ‫حملور‬ ‫املوجب‬ ‫باالجتاه‬ )c
a = 5 (a / ‫احلل‬
T ( x , y ) = ( x + a , y )
T (-2 , 3 ) = (-2 + 5 , 3 ) = ( 3 , 3 )
(1) ‫مثال‬
184
b) T ( x , y ) = ( x - a , y )
T (-2 , 3 ) = ( -2 -5 , 3 )
=(-7,3)
c) T ( x , y ) = ( x , y + a (
T(-2 , 3 ) = (-2 , 3 + 5 )
= (-2 , 8 )
d) T( x , y ) = ( x , y - a )
T(-2 , 3 ) = (-2 , 3 -5 (
= (-2,-2)
‫تعريف‬
]8-2[ ‫تعريف‬
a ‫مثل‬ ‫اخرى‬ ‫نقطة‬ ‫اي‬ ‫ويحول‬ ‫نفسها‬ ‫الى‬ O ‫النقطة‬ ‫يحول‬ ‫هندسي‬ ‫تحويل‬ ‫هو‬ ٍ‫مستو‬ ‫في‬ ‫الدوران‬
. ‫ثيتا‬ ‫تقرا‬ θ ‫الزاوية‬ ‫حيث‬ ʹa ‫النقطة‬ ‫الى‬
‫مالحظة‬: ‫على‬ ‫يحافظ‬ ‫االنسحاب‬
. ‫والتوازي‬ ‫الزاوية‬ ‫وقياس‬ ‫والبينية‬ ‫االستقامة‬
8 - 4Rotation ‫الدوران‬
: ‫االحداثي‬ ‫المستوي‬ ‫على‬ ‫الدوران‬ ]8 - 4 - 1
185
: ‫وان‬
. ‫االصل‬ ‫نقطة‬ ‫حول‬ 90ْ ‫الدوران‬ ∗
. R 90ْ
( x , y ) = ( y , -x ( ‫الساعة‬ ‫عقارب‬ ‫باتجاه‬ ‫دوران‬ )1
R 90ْ
( x , y ) = ( -y , x ( ‫الساعة‬ ‫عقارب‬ ‫عكس‬ ‫باتجاه‬ ‫دوران‬ )2
. ) ‫دورة‬ ‫نصف‬ ( ‫االصل‬ ‫نقطة‬ ‫حول‬ 180ْ ‫الدوران‬ ∗
R 180ْ
( x , y ) = ( -x , -y ( ‫الساعة‬ ‫عقارب‬ ‫باتجاه‬ ‫دوران‬ )1
R 180ْ
( x , y ) = ( -x , -y ( ‫الساعة‬ ‫عقارب‬ ‫عكس‬ ‫باتجاه‬ ‫دوران‬ )2
. ‫االصل‬ ‫نقطة‬ ‫حول‬ 270ْ ‫الدوران‬ ∗
R 270ْ
( x , y ) = (- y , x ( ‫الساعة‬ ‫عقارب‬ ‫باتجاه‬ ‫دوران‬ )1
R 270ْ
( x , y ) = ( y , -x ( ‫الساعة‬ ‫عقارب‬ ‫عكس‬ ‫باتجاه‬ ‫دوران‬ )2
.‫النقطة‬ ‫صورة‬ ‫فجد‬ )-2 , 1( ‫النقطة‬ ‫كانت‬ ‫اذا‬
.‫االصل‬ ‫نقطة‬ ‫مركزه‬ ،90ُ ‫قياسها‬ ‫بزاوية‬ ‫دوران‬ ‫تأثير‬ ‫تحت‬ )1
. ‫الساعة‬ ‫عقارب‬ ‫باتجاه‬ )b . ‫الساعة‬ ‫عقارب‬ ‫عكس‬ ‫باتجاه‬ )a
a) R 90ْ
( x , y ) = ( -y , x ( /‫احلل‬
∴ R 90ْ
(-2 , 1 ) = (-1 , - 2
b) R 90ْ
( x , y ) = ( y , - x (
∴ R 90ْ
(-2 , 1 ) = (1 , 2 )
‫مثال‬
)
186
.‫االصل‬ ‫نقطة‬ ‫مركزه‬ ، 180
o
‫قياسها‬ ‫بزاوية‬ ‫دوران‬ ‫تأثير‬ ‫تحت‬ )2
‫الساعة‬ ‫عقارب‬ ‫عكس‬ ‫باتجاه‬
/ ‫احلل‬
b) R 180ْ
(x,y)=(-x ,-y )
∴ R 180ْ
(-2 , 1 ) = (2 , - 1 )
.‫االصل‬ ‫نقطة‬ ‫مركزه‬ ، 270
o
‫قياسها‬ ‫بزاوية‬ ‫دوران‬ ‫تأثير‬ ‫تحت‬ )3
‫الساعة‬ ‫عقارب‬ ‫عكس‬ ‫باتجاه‬
b) R 270ْ
(x,y)=(y ,-x ( /‫احلل‬
∴ R 270ْ
(-2, 1)= (1 ,2)
‫اخرى‬ ‫نقطة‬ ‫اي‬ ‫ويحول‬ ‫نفسها‬ ‫الى‬ O ‫النقطة‬ ‫يحول‬ ‫وهو‬ K ‫ومعامله‬ O ‫مركزه‬ ‫هندسي‬ ‫تحويل‬ ‫هو‬
, Pَ (x1
, y 1
( . ‫الى‬ p (x , y ( ‫مثل‬
‫فان‬ K ‫،معامله‬ ‫االصل‬ ‫نقطة‬ O ‫مركزه‬ ، p (x , y ( ‫للنقطة‬ ‫التكبير‬ ‫كان‬ ‫اذا‬
D [P ( x ,y )] = ( Kx , Ky (
‫مالحظة‬:‫الدوران‬ ‫خواص‬ ‫بعض‬
.‫والتوازي‬ ‫الزوايا‬ ‫وقياس‬ ‫البينية‬ ‫و‬ ‫االستقامة‬ ‫على‬ ‫يحافظ‬
8 - 5Dilatation ‫التكبير‬
OPَ = KOP
187
. 2 ‫ومعامله‬ ‫االصل‬ ‫نقطة‬ ‫مركزه‬ ‫تكبير‬ ‫تأثير‬ ‫حتت‬ p (3 ,4 ( ‫صورة‬ ‫جد‬
/‫احلل‬
p (3 , 4 (
K = 2
∵ D [P ( x , y )] = ( Kx , Ky (
∴ D [P ( 3 , 4 )] = (( 2 ( )3( , )2()4( (
= )6 , 8 (
. 3 ‫ومعامله‬ ‫االصل‬ ‫نقطة‬ ‫مركزه‬ ‫تكبير‬ ‫تأثير‬ ‫حتت‬ p (-2 , 3 ( ‫صورة‬ ‫جد‬
/‫احلل‬
p (-2 , 3 (
K =3
∵ D [P ( x , y )] = ( Kx , Ky (
∴ D [P ( -2 , 3 )] = ((3 ( )-2( , )3()3( (
= ) -6 , 9 (
.‫االستقامة‬ ‫على‬ ‫يحافظ‬ )1
.‫البينية‬ ‫على‬ ‫يحافظ‬ )2
.‫األبعاد‬ ‫نسب‬ ‫على‬ ‫يحافظ‬ )3
.‫الزوايا‬ ‫قياس‬ ‫على‬ ‫يحافظ‬ )4
(1) ‫مثال‬
(2 ) ‫مثال‬
: ‫التكبير‬ ‫خواص‬ ]8 - 5 - 1
188
.‫االصل‬ ‫نقطة‬ ‫ومركزه‬ 2 ‫معامله‬ ‫تكبير‬ ‫تأثير‬ ‫تحت‬ ABC ∆ ‫صورة‬ ‫جد‬
. A ( 0 , 0 ) , B ( 4 , 0 ) , C ( 4 , 3 ( ‫حيث‬
/‫احلل‬
(3) ‫مثال‬
y
x
Aَ = A B Bَ
Cَ
C
K = 2
D(0,0) = (2(0),2(0)) = (0,0) = ʹA
D(4,0) = (2(4),2(0)) = (8,0) = ʹB
D(4,3) = (2(4),2(3)) = (8,6) = ʹC
189
. p) 5 , -3( ‫النقطة‬ ‫صورة‬ ‫جد‬ )1
. ‫السينات‬ ‫محور‬ ‫على‬ ‫انعكاس‬ ‫تأثير‬ ‫تحت‬ )a
.‫الصادات‬ ‫محور‬ ‫على‬ ‫انعكاس‬ ‫تأثير‬ ‫تحت‬ )b
. ‫السينات‬ ‫لمحور‬ ‫الموجب‬ ‫باالتجاه‬ ‫وحدات‬ )3( ‫مقداره‬ ‫انسحاب‬ )c
. ‫الصادات‬ ‫لمحور‬ ‫السالب‬ ‫باالتجاه‬ ‫وحدات‬ )2( ‫مقداره‬ ‫انسحاب‬ )d
‫السينات‬ ‫محور‬ ‫في‬ ‫االنعكاس‬ ‫تأثير‬ ‫تحت‬ ABC ∆ ‫صورة‬ ‫جد‬ )2
C (4 , 5) , B ( 1 , 4 ) , A ( 1 , 2 ( ‫حيث‬
: ‫تأثير‬ ‫تحت‬ x - y - 4 = 0 ‫المستقيم‬ ‫صورة‬ ‫جد‬ )3
. ‫السينات‬ ‫محور‬ ‫على‬ ‫االنعكاس‬ )a
. ‫الصادات‬ ‫محور‬ ‫على‬ ‫االنعكاس‬ )b
8 1
190
: ‫تأثير‬ ‫تحت‬ ) 2 , -1 ( ‫النقطة‬ ‫صورة‬ ‫جد‬ )4
.‫االصل‬ ‫نقطة‬ ‫ومركزه‬ .‫الساعة‬ ‫عقارب‬ ‫عكس‬ ‫باتجاه‬ 90ْ ‫بزاوية‬ ‫دوران‬ )a
.‫االصل‬ ‫نقطة‬ ‫ومركزه‬ .‫الساعة‬ ‫عقارب‬ ‫باتجاه‬ 90ْ ‫بزاوية‬ ‫دوران‬ )b
.‫االصل‬ ‫نقطة‬ ‫ومركزه‬ .‫الساعة‬ ‫عقارب‬ ‫عكس‬ ‫باتجاه‬ 180ْ ‫بزاوية‬ ‫دوران‬ ‫تأثير‬ ‫تحت‬ )c
.‫االصل‬ ‫نقطة‬ ‫ومركزه‬ .‫الساعة‬ ‫عقارب‬ ‫باتجاه‬ 180ْ ‫بزاوية‬ ‫دوران‬ ‫تأثير‬ ‫تحت‬ )d
. C(1 , 4 ) , B (-3 , 3 ) , A( - 2 , 1( ‫رؤوسه‬ ‫الذي‬ ‫المثلث‬ ‫انسحاب‬ ‫صورة‬ ‫جد‬ )5
. ‫السينات‬ ‫لمحور‬ ‫الموجب‬ ‫باالتجاه‬ ‫وحدات‬ )5( ‫قدرها‬ ‫مسافة‬
.)2( ‫ومعامله‬ ‫االصل‬ ‫نقطة‬ ‫مركزه‬ ‫تكبير‬ ‫تأثير‬ ‫تحت‬ p )-4 ,3( ‫النقطة‬ ‫صورة‬ ‫جد‬ )6
o ‫مركزه‬ ABC ‫المثلث‬ ‫صورة‬ ‫جد‬ C ( 0 , 6 ) , B ( 2 , 3 ) , A ( -1 , 1( ‫كانت‬ ‫اذا‬ )7
: ‫تكبيره‬ ‫ومعامل‬
a) k = 2
b) k = -2
c ) k =
1
2
191
‫للمجموعتين‬ ‫فيقال‬ ‫متقابلتين‬ ‫مجموعتين‬ y = { c , d } , x = { a , b { ‫المجموعتان‬ ‫كانت‬ ‫اذا‬
‫كان‬ ‫اذا‬ ‫متناسبتان‬ ‫المتقابلتين‬
1( } 1 , 2 { , } 2 , 4 { . ‫متناسبة‬ ‫المجموعات‬ ‫اي‬ ‫بين‬
2( } 3 , 6 { , } 4 , 2 {
3( } 3 , 4 , 5 { , } 6 , 8 , 10 {
1( ‫متناسبة‬ 		 			/ ‫احلل‬
2( ‫متناسبة‬ ‫غير‬ 						
‫متناسبة‬ 					
8 - 6‫املتناسبة‬ ‫املجموعات‬
‫مثال‬
a
c
=
b
d
1
2
=
1
2
3
4
≠
6
2
3
6
=
4
8
=
5
10
⇒
1
2
=
1
2
=
1
2
3(
2
4
192
. ‫الرياضيات‬ ‫مادة‬ ‫عن‬ ‫منهم‬ ‫البعيدين‬ ‫حتى‬ ‫الناس‬ ‫من‬ ‫العظمى‬ ‫الغالبية‬ ‫لدى‬ ‫مفهوم‬ ‫التشابه‬ ‫مصطلح‬ ‫ان‬
- : ‫الهندسية‬ ‫االشكال‬ ‫موضوع‬ ‫وفي‬
‫المتناظرة‬ ‫اضالعهما‬ ‫اطوال‬ ‫وتناسبت‬ ‫متساوية‬ ‫زواياهما‬ ‫كانت‬ ‫اذا‬ ‫متشابهان‬ ‫انهما‬ ‫هندسيين‬ ‫لشكلين‬ ‫يقال‬
ً‫ال‬‫مث‬ . )‫المتساوية‬ ‫الزوايا‬ ‫تقابل‬ ‫(التي‬
. ‫متساوية‬ ‫زواياهما‬ ‫ان‬ ‫من‬ ‫بالرغم‬ B ‫المستطيل‬ ‫يشابه‬ ‫ال‬ A ‫المستطيل‬
-: ‫الشكل‬ ‫في‬ ‫فقط‬ ‫المتشابهة‬ ‫المثلثات‬ ‫على‬ ‫دراستنا‬ ‫في‬ ‫نقتصر‬ ‫وسوف‬
DEF , ABC
m ∠CAB = m ∠FDE
m ∠ABC = m ∠DEF
m ∠ACB = m ∠DFE
AB
DE
=
BC
DF
=
AC
DF
1(
2(
8 - 7‫التشابه‬
A
B C
D
E F
1cm
2cm
3cm
2cmA
B
△△ 			‫متشابهان‬DEF , ABC
m ∠CAB = m ∠FDE
m ∠ABC = m ∠DEF
m ∠ACB = m ∠DFE
AB
DE
=
BC
DF
=
AC
DF
193
. ‫االصل‬ ‫نقطة‬ ‫ومركزه‬ 3 ‫معامله‬ ‫بتكبير‬ OEF ‫للمثلث‬ ‫تكبير‬ OBC ‫املثلث‬ ‫كان‬ ‫اذا‬
‫؟‬ ‫متناسبة‬ ‫اضالعهما‬ ‫هل‬ ‫بني‬ ، F(3 , 3) ، E(3 , 0) ، O(0 , 0 ( ‫حيث‬
/‫احلل‬
FE = (3− 0)2
(0 − 0)2
= 3
OB = 9
OE = 3
BC = 9
FE = (3− 0)2
(0 − 0)2
= 3
OB = 9
OE = 3
BC = 9
+FE = (3− 0)2
(0 − 0)2
= 3
OB = 9
OE = 3
BC = 9
OF = (3− 0)2
+(3− 0)2
= 9 + 9 = 18 = 3 2
OC = (9 − 0)2
+(9 − 0)2
= 81+ 81 = 2(81) = 9 2
OB
OE
=
BC
EF
=
OC
OF
9
3
=
9
3
=
9 2
3 2
. ‫متناسبة‬ ‫االضالع‬ ∴
(1) ‫مثال‬
y
x
O(0 , 0)
C(9 , 9)
E(3 , 0) B(9 , 0)
F(3 , 3)
FE = (3− 0)2
(0 − 0)2
= 3
OB = 9
OE = 3
BC = 9
FE = (3− 0)2
(0 − 0)2
= 3
OB = 9
OE = 3
BC = 9
D(0,0) = (3(0),3(0)) = (0,0)
D(3,0) = (3(3),3(0)) = (9,0)
D(3,3) = (3(3),3(3)) = (9,9)
194
‫مشابه‬ ‫الناجت‬ ‫املثلث‬ ‫فان‬ ‫االخرين‬ ‫ضلعيه‬ ‫ويقطع‬ ‫مثلث‬ ‫في‬ ً‫ا‬‫ضلع‬ ‫يوازي‬ ‫مستقيم‬ ‫رسم‬ ‫اذا‬
.‫االصلي‬ ‫للمثلث‬
‫لالطالع‬ 1 /‫مبرهنة‬
‫على‬ M , N ‫في‬ AC , AB ‫ضلعيه‬ ‫يقطع‬ MN ‫املستقيم‬ ، ABC ‫املثلث‬ ‫في‬ /‫المعطيات‬

MN
s ruu
/ /BC N، ‫الترتيب‬
ABC ‫املثلث‬ ‫يشابه‬ AMN ‫املثلث‬ ‫ان‬ /‫أثباته‬ ‫المطلوب‬
‫بحيث‬ A ‫مركزه‬ ‫تكبير‬ ‫أفرض‬ /‫البرهان‬


C → N , B → M
AB MN
s ruu
∴

C → N , B → M
AB MN
s ruu
∴ 

C → N , B → M
AB MN
s ruu
∴BC ‫صورة‬ 
MN
s ruu
∴
‫بالقياسات‬ ‫متساويه‬ ‫املتناظره‬ ‫املثلث‬ ‫زوايا‬ ∴
. ‫الزوايا‬ ‫قياس‬ ‫على‬ ‫يحافظ‬ ‫التكبير‬ ‫ألن‬
‫التكبير‬ ‫معامل‬ =
AM
AB
=
AN
AC
=
MN
BC
=
AM
AB
=
AN
AC
=
MN
BC
=
AM
AB
=
AN
AC
=
MN
BC
‫كذلك‬
‫متشابهان‬ ‫املثلثان‬ ∴
.‫زواياهما‬ ‫قياسات‬ ‫تساوت‬ ‫اذا‬ ‫املثلثان‬ ‫يتشابه‬
‫لالطالع‬ 2 /‫مبرهنة‬
‫فيهما‬ Aَ Bَ Cَ , ABC ‫املثلثان‬ /‫المعطيات‬
ʹA ʹB ʹC ‫املثلث‬ ‫يشابه‬ ABC‫املثلث‬ /‫أثباته‬ ‫المطلوب‬
A
C B
NM
NM
A
CB
Bَ Cَ
Aَ
m ∠ A = m ∠ ʹA
m ∠ B = m ∠ ʹB
m ∠ C = m ∠ ʹC
195
/‫البرهان‬
BC ∥ MN ‫وليكن‬ ، Aَ Bَ = AM ‫بحيث‬ AB ‫الى‬ ‫تنتمي‬ ‫نقطة‬ M ‫لتكن‬
]1 ‫[مبرهنة‬ ..... AMN ∆ ‫يشابه‬ ABC ∆ ∴
)‫متطابقان‬ ‫المثلثين‬ ‫(ألن‬ ...... Aَ Bَ Cَ ∆ ‫يشابه‬ AMN ∆ ‫لكن‬
) ‫م‬ . ‫هـ‬ . ‫و‬ ( Aَ Bَ Cَ ∆ ‫يشابه‬ ABC ∆ ∴
: ‫كان‬ ‫اذا‬
Aَ Bَ Cَ ∆ ‫يشابه‬ ABC ∆ ‫فان‬
‫فيهما‬ Aَ Bَ Cَ ∆ ‫و‬ ABC ∆
Aَ Bَ Cَ ∆ ‫يشابه‬ ABC ∆ ∴
. ‫اضالعهما‬ ‫أطوال‬ ‫تناسبت‬ ‫اذا‬ ‫المثلثان‬ ‫يتشابه‬
‫برهان‬ ‫بدون‬ ‫المبرهنة‬ ‫هذه‬ ‫سنقبل‬
3/‫مبرهنة‬
‫طوال‬ ‫وكان‬ ‫اخر‬ ‫مثلث‬ ‫في‬ ‫نظيرتها‬ ‫مثلث‬ ‫في‬ ‫زاوية‬ ‫طابقت‬ ‫اذا‬ ‫مثلثان‬ ‫يتشابه‬
. ‫بنظيرتها‬ ‫المحيطين‬ ‫الضلعين‬ ‫طولي‬ ‫مع‬ ‫متناسبين‬ ‫بها‬ ‫المحيطين‬ ‫الضلعين‬
‫برهان‬ ‫بدون‬ ‫المبرهنة‬ ‫هذه‬ ‫سنقبل‬
4/‫مبرهنة‬
A
Bَ Cَ
Aَ
CB
A
Bَ Cَ
Aَ
CB
AB
ʹA ʹB
=
AC
ʹA ʹC
=
BC
ʹB ʹC
m ∠ A = m ∠ ʹA
AB
ʹA ʹB
=
AC
ʹA ʹC
196
،‫فيثاغورس‬ ‫مبرهنة‬ ‫بإسم‬ ‫يعرف‬ ‫المبرهنة‬ ‫من‬ )3( ‫والجزء‬
:‫المبرهنة‬ ‫هذه‬ ‫ونص‬
‫القائم‬ ‫المثلث‬ ‫في‬ ‫القائمين‬ ‫الضلعين‬ ‫طولي‬ ‫مربعي‬ ‫[مجموع‬
.]‫الوتر‬ ‫طول‬ ‫مربع‬ ‫يساوي‬ ‫الزاوية‬
‫فان‬ AM ⊥ BC ‫و‬ A ‫في‬ ‫الزاوية‬ ‫قائم‬ ABC ‫المثلث‬ ‫كان‬ ‫اذا‬
‫برهان‬ ‫بدون‬ ‫المبرهنة‬ ‫هذه‬ ‫سنقبل‬
5/‫مبرهنة‬
(AB) 2
= BC . BM
(AC) 2
= BC . CM
(BC )2
= (AB)2
+ ( AC) 2
. ‫قائمة‬ ∠ C ‫فان‬ : ‫كان‬ ‫اذا‬ ABC ‫المثلث‬ ‫في‬
‫برهان‬ ‫بدون‬ ‫المبرهنة‬ ‫هذه‬ ‫سنقبل‬
) ‫فيثاغورس‬ ‫مبرهنة‬ ‫عكس‬ ( 6/‫مبرهنة‬
(AB) 2
= (AC)2
+ ( BC)2
B
A
C
A
BC
M
197
.‫الشكل‬ ‫على‬ ‫المبينة‬ ‫األطوال‬ ‫حسب‬ ABC ∆ ‫في‬ AC ، AB ‫جد‬ ‫الشكل‬ ‫في‬
/‫احلل‬
. AB = 3cm , BC = 4cm , AC = 5cm ‫المثلث‬ ‫في‬
‫ولماذا؟‬ ‫الزاوية‬ ‫قائم‬ ‫المثلث‬ ‫هل‬
/‫احلل‬
(BC)2
= (4) 2
= 16 cm
(AB)2
= (3) 2
= 9 cm
(AC)2
= (5) 2
= 25 cm
. B ‫في‬ ‫الزاوية‬ ‫قائم‬ ‫املثلث‬ ∴
(2) ‫مثال‬
AB( )
2
= AE( )
2
+ EB( )
2
AB( )
2
= 8( )
2
+ 15( )
2
AB( )
2
= 64 + 225
AB( )
2
= 289
AB =17
(AB) 2
= (AE)2
+ ( EB)2
AB = 17 cm
AC( )
2
= AE( )
2
+ EC( )
2
AC( )
2
= 64 + 36
AC( )
2
=100
AC =10
(AC) 2
= (AE)2
+ ( EC)2
AC = 10 cm
(3) ‫مثال‬
, ABC
(AC) 2
= (BC)2
+ ( AB)2
25 = 16 + 9
25 = 25
A
BC
E
8cm
15cm6cm
B
A
C
3
4
5
198
8 2
/ 1‫س‬
m ∠ A = 70ْ ، m ∠ B = 40ْ ‫ان‬ ‫حيث‬ , DEF ‫المثلث‬ ‫يشابه‬ ABC ‫المثلث‬ ‫كان‬ ‫اذا‬
. C ‫زاوية‬ ‫قياس‬ )1 ‫جد‬
. E ‫زاوية‬ ‫قياس‬ )2
/2‫س‬
. x ‫قيمة‬ ‫جد‬ AC = 11cm ‫و‬ BC = 10cm ‫كان‬ ‫اذا‬ -: ‫الشكل‬ ‫في‬
/ 3‫س‬
N ∈ AC , E ∈ AB ‫النقطة‬ ‫وفيهما‬ ‫متشابهين‬ AEN ‫و‬ ABC ‫المثلثان‬ ‫كان‬ ‫اذا‬
. AN = 5cm , NC = 3cm , EB = 2cm , EN = 3cm
. AB )1 ‫جد‬
. BC )2
C
A
B
10cm
5cm
6cm
x
D E
199
9‫التاسع‬ ‫الفصل‬
. ‫المثلثات‬ ]9-1[
. ‫المثلثية‬ ‫النسب‬ ]9-2[
. ‫الخاصة‬ ‫للزوايا‬ ‫المثلثية‬ ‫النسب‬ ]9-3[
‫ل‬‫ب‬‫ا‬‫ق‬‫م‬‫ل‬‫ا‬
‫ر‬‫ت‬‫و‬‫ل‬‫ا‬
‫ر‬‫و‬‫ا‬‫ج‬‫مل‬‫ا‬
A
B
C
θ
sin2
θ+cos2
θ=1
‫الرياضية‬ ‫العالقة‬ ‫او‬ ‫الرمز‬ ‫املصطلح‬
sin θ ‫الزاوية‬ ‫جيب‬
cos θ ‫الزاوية‬ ‫متام‬ ‫جيب‬
tan θ ‫الزاوية‬ ‫ظل‬
‫املثلثات‬ ‫حساب‬
Trigonometry
‫مقدمة‬
:‫بانواعها‬ ‫يسمى‬ ‫زوايا‬ ‫ثالث‬ ‫من‬ ‫يتكون‬ ‫حيث‬ ‫وعناصره‬ ‫المثلث‬ ‫على‬ ‫تعرفت‬ ‫ان‬ ‫سبق‬
. )90ْ ‫من‬ ‫اقل‬ ‫اي‬ ‫حادة‬ ‫زواياه‬ ‫(جميع‬ ‫الزوايا‬ ‫حاد‬ ‫مثلث‬❈
.)90ْ=‫قائمة‬‫زاوية‬‫على‬‫(يحتوي‬‫الزواية‬‫قائم‬‫مثلث‬ ❈
.)90ْ ‫من‬‫اكبر‬‫اي‬‫منفرجة‬‫زواياه‬‫احدى‬(‫الزاوية‬‫منفرج‬‫مثلث‬ ❈
: ‫بانواعها‬ ‫يسمى‬ ‫اضالع‬ ‫وثالثة‬
. ‫االضالع‬ ‫مختلف‬ ‫مثلث‬- . ‫الساقين‬ ‫متساوي‬ ‫مثلث‬ - . ‫االضالع‬ ‫متساوي‬ ‫مثلث‬ -
‫يهمنا‬ ‫وما‬ ‫المثلثية‬ ‫بالنسب‬ ‫مايدعى‬ ‫العالقات‬ ‫هذه‬ ‫ومن‬ ‫واضالعه‬ ‫المثلث‬ ‫زوايا‬ ‫بين‬ ‫مهمة‬ ‫عالقات‬ ‫وهناك‬
. ‫الزاوية‬ ‫القائم‬ ‫المثلث‬ ‫هو‬ ‫الفصل‬ ‫هذا‬ ‫في‬
: ‫ان‬ ‫حيث‬ B ‫في‬ ‫الزاوية‬ ‫القائم‬ ABC ‫المثلث‬ ‫المجاور‬ ‫الشكل‬ ‫في‬ ‫الحظ‬
) ‫القائمة‬ ‫للزاوية‬ ‫(مقابل‬ ‫الوتر‬ ‫يدعى‬ ) AC ( ‫الضلع‬
. θ ‫للزاوية‬ ‫المقابل‬ ‫يدعى‬ )BC ( ‫والضلع‬
. θ ‫للزاوية‬ ‫المجاور‬ ‫فيدعى‬ ) AB ( ‫الضلع‬ ‫اما‬
‫فيثاغورس‬ ‫مبرهنة‬ ‫تدعى‬ ‫االضالع‬ ‫هذه‬ ‫اطوال‬ ‫بين‬ ‫تربط‬ ‫التي‬ ‫والمبرهنة‬
) AC)2
= (AB)2
+ (BC(2
‫حيث‬
θ
A B
C
‫المثلثات‬ ‫حساب‬
‫الفصل‬
9 - 1
9
+
201
‫الحادتين‬ ‫الزاويتين‬ ‫احدى‬ θ ‫والزاوية‬ B ‫في‬ ‫الزاوية‬ ‫قائم‬ ABC ∆ ‫المجاور‬ ‫الشكل‬ ‫في‬
)sine( θ ‫الزاوية‬ ‫جيب‬
θ ‫الزاوية‬ ‫مقابل‬
‫الوتر‬
‫النسبة‬ ‫تدعى‬ )1
: ‫بشكل‬ ‫ويكتب‬
Sine ‫كلمة‬ ‫اختصار‬ Sin
) Cosine( θ ‫الزاوية‬ ‫تمام‬ ‫جيب‬
θ ‫الزاوية‬ ‫مجاور‬
‫الوتر‬
‫النسبة‬ ‫تدعى‬ )2
: ‫بشكل‬ ‫ويكتب‬
Cosine ‫كلمة‬ ‫اختصار‬ Cos
)Tangent( θ ‫الزاوية‬ ‫ظل‬
θ ‫الزاوية‬ ‫مجاور‬
θ ‫الزاوية‬ ‫مقابل‬
‫النسبة‬ ‫تدعى‬ )3
: ‫بشكل‬ ‫وتكتب‬
Tangent ‫كلمة‬ ‫اختصار‬ tan
. tan θ , cos θ , sin θ : ‫جد‬ : ‫الشكل‬ ‫في‬ ‫كما‬ ABC ‫مثلث‬
/‫احلل‬
θ
‫المقابل‬‫الوتر‬
‫املجاور‬
A B
C
9 - 2‫املثلثية‬ ‫النسب‬
sinθ =
BC
AC
cosθ =
AB
AC
tanθ =
BC
AB
(1) ‫مثال‬
sinθ =
BC
AC
⇒ sinθ =
4
5
cosθ =
AB
AC
⇒ cosθ =
3
5
tanθ =
BC
AB
⇒ tanθ =
4
3
4cm
5cm
3cm
A B
C
θ
202
‫نجد‬ ‫فيثاغورس‬ ‫مبرهنة‬ ‫وباستخدام‬ ‫المجاور‬ ‫الشكل‬ ‫من‬
. ) AC)2
‫على‬ ‫بالقسمة‬ ‫و‬ ) BC)2
+ (AB)2
= ( AC)2
) sin θ) 2
+ (cos θ) 2
= 1
AC ‫على‬ ‫بالقسمة‬
tanA , sinA ‫فجد‬ cosA =
8
17
‫كانت‬ ‫اذا‬ B ‫في‬ ‫الزاوية‬ ‫القائم‬ ABC ∆ ‫في‬
17K = ‫الوتر‬ ، 8K = ‫المجاور‬ ∴ ، K  0 ‫حيث‬ ‫االولى‬ ‫الطريقة‬
) AB)2
+ (BC)2
= ( AC)2
‫فيثاغورس‬ ‫مبرهنة‬ ‫وحسب‬
) 8K) 2
+ (BC)2
= (17K)2
64K 2
+ (BC)2
= 289 K2
(BC )2
= 289K2
- 64K2
(BC )2
= 225K2
⇒ BC = 15K
θ
A B
C
9 - 3‫المثلثية‬ ‫العالقات‬ ‫بعض‬
(2) ‫مثال‬
BC
AC
⎛
⎝
⎜
⎞
⎠
⎟
2
+
AB
AC
⎛
⎝
⎜
⎞
⎠
⎟
2
=
AC
AC
⎛
⎝
⎜
⎞
⎠
⎟
2
tanθ =
BC
AC
tanθ =
BC
AC
AB
AC
tanθ =
sin θ
cos θ
tanθ =
BC
AC
tanθ =
BC
AC
AB
AC
tanθ =
sin θ
cos θ
cosA =
8K
17K
tanθ =
BC
AC
tanθ =
BC
AC
AB
AC
tanθ =
sin θ
cos θ
203
‫الثانية‬ ‫الطريقة‬
BC( )
2
= 289K 2
− 64K 2
BC( )
2
= 225K 2
⇒ BC =15K
sin A =
15K
17K
=
15
17
tan A =
15K
8K
=
15
8
Asin A =
BC
AC
⇒
tan A =
BC
AB
BC( )
2
= 289K 2
− 64K 2
BC( )
2
= 225K 2
⇒ BC =15K
sin A =
15K
17K
=
15
17
tan A =
15K
8K
=
15
8
A⇒
A B
C
17
8 

Qsin2
A + cos2
A =1
∴sin2
A +
8
17
⎛
⎝
⎜
⎞
⎠
⎟
2
=1
sin2
A =1−
64
289
sin A =
15
17
Qtan A =
sin A
cos A
tan A =
15
17
8
17
=
15
8
A
A
A
A
A


Qsin2
A + cos2
A =1
∴sin2
A +
8
17
⎛
⎝
⎜
⎞
⎠
⎟
2
=1
sin2
A =1−
64
289
sin A =
15
17
Qtan A =
sin A
cos A
tan A =
15
17
8
17
=
15
8
A


Qsin2
A + cos2
A =1
∴sin2
A +
8
17
⎛
⎝
⎜
⎞
⎠
⎟
2
=1
sin2
A =1−
64
289
sin A =
15
17
Qtan A =
sin A
cos A
tan A =
15
17
8
17
=
15
8
tanθ =
sin θ
cos θ
A
A
A
A B
C
17K
8K
204
: ً‫ال‬‫او‬AB = BC‫ان‬‫بحيث‬B‫في‬‫الزاوية‬‫القائم‬ABC‫المثلث‬‫نرسم‬: 450
‫للزاوية‬ ‫المثلثية‬ ‫النسب‬
∵ m ∠ B = 900
⇒ m ∠ A+ m ∠ c = 900
∵ AB = BC
∴ m ∠ A = m ∠ C = 450
AB = BC = K  0 ‫ان‬ ‫نفرض‬
: ‫فثاغورس‬ ‫مبرهنة‬ ‫حسب‬
) AC )2
= (AB)2
+ ( BC)2
(AC )2
= K2
+ K2
(AC )2
= 2K2
AC = K
) 2cos45ْ + tan45ْ( 2
‫ناتج‬ ‫جد‬
/‫احلل‬
9 - 4‫اخلاصة‬ ‫للزوايا‬ ‫املثلثية‬ ‫النسب‬
Sin450
=
k
2k
⇒ Sin450
=
1
2
Cos450
=
k
2k
⇒ Cos450
=
1
2
tan450
=
k
k
⇒ tan 450
= 1
(1) ‫مثال‬


Q 2
1
2
+1
⎛
⎝⎜
⎞
⎠⎟
2
⇒ 2 2
1
2
+1
⎛
⎝
⎜
⎞
⎠
⎟
2
⇒ 2 +1( )
2
= 2( )
2
+ 2 2( )+1
= 2+ 2 2 +1
= 3+ 2 2


Qcos45ο
=
1
2
, tan45ο
= 1


Q 2
1
2
+1
⎛
⎝⎜
⎞
⎠⎟
2
⇒ 2 2
1
2
+1
⎛
⎝
⎜
⎞
⎠
⎟
2
⇒ 2 +1(
= 2( )
2
+ 2 2( )+1
= 2+ 2 2 +1
= 3+ 2 2


Q 2
1
2
+1
⎛
⎝⎜
⎞
⎠⎟
2
⇒ 2 2
1
2
+
⎛
⎝
⎜
= 2( )
2
+ 2 2( )+1
= 2+ 2 2 +1
= 3+ 2 2
∵
∵
A B
C
45ْ
45ْ
K
K
sin45ο
=
K
2K
⇒ sin45ο
=
1
2
cos45ο
=
K
2K
⇒ cos45ο
=
1
2
tan45ο
=
K
K
⇒ tan45ο
= 1
sin45ο
=
K
2K
⇒ sin45ο
=
1
2
cos45ο
=
K
2K
⇒ cos45ο
=
1
2
tan45ο
=
K
K
⇒ tan45ο
= 1
sin45ο
=
K
2K
⇒ sin45ο
=
1
2
cos45ο
=
K
2K
⇒ cos45ο
=
1
2
tan45ο
=
K
K
⇒ tan45ο
= 1
K
K
K
205
:
(2) ‫مثال‬
‫كل‬‫قياس‬‫فيكون‬ 2k ‫ضلعه‬‫طول‬‫االضالع‬‫متساوي‬ ً‫ا‬‫مثلث‬‫نرسم‬ : 600
، 300
‫قياسها‬ ‫زاوية‬ ً‫ا‬‫ثاني‬
∴ BD = DC = K ‫وحدة‬ ‫المجاور‬ ‫الشكل‬ ‫الحظ‬ ‫فينصفه‬ AD ⊥ BC ‫نرسم‬ 600
‫منها‬ ‫زاويه‬
AD = K ‫بان‬ ‫نجد‬ ‫فيثاغورس‬ ‫مبرهنة‬ ‫وبستخدام‬ BAD = 300
‫الزاوية‬ ‫قياس‬ ‫وان‬
. x , y ∈ R ‫قيمة‬ ‫جد‬ ‫المجاور‬ ‫الشكل‬ ‫من‬
)a( /‫احلل‬
)b(
. 30ْ ‫للزواية‬ ‫مثلثية‬ ‫نسب‬ ‫باستخدام‬ ‫المثال‬ ‫حل‬ ‫حاول‬
AD = 3K
sin30ο
=
K
2K
⇒ sin30ο
=
1
2
cos30ο
=
3K
2K
⇒ cos30ο
=
3
2
tan30ο
=
K
3K
⇒ tan30ο
=
1
3
sin60ο
=
3K
2K
⇒ sin60ο
=
3
2
cos60ο
=
1
2
tan60ο
= 3
30ْ
K
30ْ
60ْ 60ْ
K
C
A
B
D
2K
40cm
y
60ْ
x
y
60ْ
x
Sin600
=
23
x
⇒
3
2
=
23
x
43=3x⇒x=4
tan60=
23
y
⇒3=
23
y
3y=23⇒y=2
cos60°
=
y
40
⇒
1
2
=
y
40
∴y =
40
2
⇒ y = 20
sin60°
=
x
40
⇒
3
2
=
x
40
∴2x = 40 3 ⇒ x = 20 3
sin60°
=
2 3
x
⇒
3
2
=
2 3
x
4 3 = 3 x ⇒ x = 4
tan60°
=
2 3
y
⇒ 3 =
2 3
y
∴ 3y = 2 3 ⇒ y = 2
sin30ο
=
K
2K
⇒ sin30ο
=
1
2
cos30ο
=
3K
2K
⇒ cos30ο
=
3
2
tan30ο
=
K
3K
⇒ tan30ο
=
1
3
sin60ο
=
3K
2K
⇒ sin60ο
=
3
2
cos60ο
=
1
2
tan60ο
= 3
sin30ο
=
K
2K
⇒ sin30ο
=
1
2
cos30ο
=
3K
2K
⇒ cos30ο
=
3
2
tan30ο
=
K
3K
⇒ tan30ο
=
1
3
sin60ο
=
3K
2K
⇒ sin60ο
=
3
2
cos60ο
=
1
2
tan60ο
= 3
sin30ο
=
K
2K
⇒ sin30ο
=
cos30ο
=
3K
2K
⇒ cos30
tan30ο
=
K
3K
⇒ tan30ο
sin60ο
=
3K
2K
⇒ sin60ο
cos60ο
=
1
2
tan60ο
= 3
sin30ο
=
K
2K
⇒ sin30ο
=
1
2
cos30ο
=
3K
2K
⇒ cos30ο
=
3
2
tan30ο
=
K
3K
⇒ tan30ο
=
1
3
sin60ο
=
3K
2K
⇒ sin60ο
=
3
2
cos60ο
=
1
2
tan60ο
= 3
sin30ο
=
K
2K
⇒ sin30ο
=
1
2
cos30ο
=
3K
2K
⇒ cos30ο
=
3
2
tan30ο
=
K
3K
⇒ tan30ο
=
1
3
sin60ο
=
3K
2K
⇒ sin60ο
=
3
2
cos60ο
=
1
2
tan60ο
= 3
K
K
K
K
cos60°
=
K
2K
tan60°
=
3K
K
206
: ‫ياتي‬ ‫مما‬ ‫كل‬ ‫قيمة‬ ‫جد‬ / 1‫س‬
1) sin60ْ cos30ْ + cos60ْ sin30ْ
2) ( cos30ْ - sin45ْ ) ( sin60ْ + cos45ْ )
BC = 8cm , AB = 15cm ‫حيث‬ B ‫في‬ ‫الزاوية‬ ‫قائم‬ ‫مثلث‬ ABC / 2‫س‬
sin C , cos C , tanC ‫جد‬
a) cos2
30ْ - sin2
30ْ = cos60ْ ‫ان‬ ‫اثبت‬ /3‫س‬
b) 2 sin30ْ cos30ْ = sin60ْ
c )
: ‫المثلثين‬ ‫من‬ x , y ∈ R ‫جدقيمة‬ /4‫س‬
9 1
b(
10
y
x
45ْْ
10
y
x
30ْ
a(
1- cos60°
2
= sin30°
207
‫االحصاء‬
Statistics
10
. ‫املبوبة‬ ‫غير‬ ‫للبيانات‬ ‫احلسابي‬ ‫الوسط‬ ]10-1[
.‫البسيط‬ ‫التكراري‬ ‫للتوزيع‬ ‫احلسابي‬ ‫الوسط‬ ]10-2[
.‫الفئات‬ ‫ذي‬ ‫التكراري‬ ‫للتوزيع‬ ‫احلسابي‬ ‫الوسط‬ ]10-3[
. ‫احلسابي‬ ‫الوسط‬ ‫وعيوب‬ ‫مزايا‬ ]10 - 4[
. ‫الوسيط‬ ]10-5[
. ‫الوسيط‬ ‫وعيوب‬ ‫مزايا‬ ]10-6[
. ‫املنوال‬ ]10-7[
. ‫املنوال‬ ‫وعيوب‬ ‫مزايا‬ ]10-8[
‫الرياضية‬ ‫العالقة‬ ‫او‬ ‫الرمز‬ ‫املصطلح‬
x x: ‫للقيم‬ ‫احلسابي‬ ‫الوسط‬
ME ‫الوسيط‬
MO ‫املنوال‬
‫العاشر‬ ‫الفصل‬x=
x1+x2+x3+...+xn
n
xi
+x2
+x3
+....+x7
7
x=
‫مقدمة‬
‫الفصل‬
10
‫الظاهرة‬ ‫عن‬ ‫يعبر‬ ‫مقياس‬ ‫ايجاد‬ ‫الصعب‬ ‫من‬ ‫وكان‬ . ‫البيانات‬ ‫وتمثيل‬ ‫جمع‬ ‫طرق‬ ‫السابقة‬ ‫المراحل‬ ‫في‬ ‫درسنا‬
‫الميل‬ ‫وهذا‬ ، ‫القيم‬ ‫من‬ ‫كبير‬ ‫عدد‬ ‫حولها‬ ‫تتراكم‬ ‫واحدة‬ ‫قيمة‬ ‫اي‬ ‫مقياس‬ ‫عن‬ ‫سنبحث‬ ‫لذلك‬ ، ‫الدراسة‬ ‫موضوع‬
‫المركزية‬ ‫النزعة‬ ‫بمقياس‬ ‫القيمة‬ ‫تلك‬ ‫وتسمى‬ ‫البياني‬ ‫للتوزيع‬ ‫المركزية‬ ‫بالنزعة‬ ‫يسمى‬ ‫القيمة‬ ‫تلك‬ ‫حول‬
. )Measures of Central Tendency (
‫التوزيعات‬ ‫وصف‬ ‫في‬ ‫كبيرة‬ ‫اهمية‬ ‫ذات‬ ‫احصائية‬ ‫قيم‬ ‫هي‬ )‫المتوسطة‬ ‫(القيم‬ ‫المركزية‬ ‫النزعة‬ ‫مقاييس‬ ‫ان‬
: ‫هي‬ ‫المرحلة‬ ‫هذه‬ ‫في‬ ‫دراستها‬ ‫سنتناول‬ ‫التي‬ ‫المركزية‬ ‫النزعة‬ ‫مقاييس‬ ‫اهم‬ ‫ومن‬ ،‫البيانية‬
. Arithmatic Mean ‫الحسابي‬ ‫الوسط‬ - 1
.Median ‫الوسيط‬ - 2
. Mode ‫المنوال‬ - 3
. ‫وعيوبها‬ ‫ومزاياها‬ ‫استخراجها‬ ‫طريقة‬ ‫مبسط‬ , ‫بشكل‬
‫لبساطة‬ ً‫ا‬‫استخدام‬ ‫واكثرها‬ ً‫ا‬‫شيوع‬ ‫المركزية‬ ‫النزعة‬ ‫مقاييس‬ ‫اكثر‬ ‫المتوسط‬ ‫او‬ ‫الحسابي‬ ‫الوسط‬ ‫يعتبر‬
‫االصلية‬ ‫او‬ ‫االولية‬ ‫(البيانات‬ ‫المبوية‬ ‫غير‬ ‫للبيانات‬ ‫الحسابي‬ ‫للوسط‬ ً‫ا‬‫تعريف‬ ‫هنا‬ ‫نعطي‬ . ‫واستخراجه‬ ‫حسابه‬
)‫جدول‬ ‫بشكل‬ ‫توضع‬ ‫او‬ ‫تبوب‬ ‫ولم‬ ‫جمعت‬ ‫التي‬
]10-1[ ‫تعريف‬
‫على‬ ً‫ا‬‫مقسوم‬ ‫القيم‬ ‫مجموع‬ ‫بانه‬ ‫مبوبة‬ ‫غير‬ ‫لبيانات‬ ‫القيم‬ ‫من‬ ‫لمجموعة‬ ‫الحسابي‬ ‫الوسط‬ ‫يعرف‬
) X bar ‫بار‬ ‫أكس‬ ‫(ويقرأ‬ X ‫بالرمز‬ ‫عادة‬ ‫الحسابي‬ ‫للوسط‬ ‫ويرمز‬ ‫عددها‬
‫االحصاء‬
209
: ‫يكون‬ ‫عندئذ‬ xi
:x1
, x2
, x3
, .... : xn
: ‫هي‬ xi
‫قيم‬ ‫من‬ n ‫لدينا‬ ‫كان‬ ‫فاذا‬
. ) 8 , 6 , 4 , 5 , 7 , 2 , 3 ( : ‫االتية‬ ‫لالعداد‬ ‫الحسابي‬ ‫الوسط‬ ‫اوجد‬
/ ‫احلل‬
: ‫هو‬ x ‫الحسابي‬ ‫الوسط‬
. ) 24 , 20 , 18 , 16 , 12 , 10 , 8 , 4 ( : ‫هي‬ ‫بالسنين‬ ‫اشخاص‬ ‫ثمانية‬ ‫اعمار‬ ‫كانت‬ ‫اذا‬
.‫العمارهم‬ ‫الحسابي‬ ‫الوسط‬ ‫جد‬
/‫احلل‬
(1) ‫مثال‬
10 - 1‫غير‬ ‫للبيانات‬ ‫احلسابي‬ ‫الوسط‬
‫املبوبة‬
x =
x1 + x2 + x3 + ...+ xn
n
x1
+ x2
+ x3
+ ....+ xn
n
X =
x =
x1 + x2 + x3 + ...+ xn
n
x1
+ x2
+ x3
+ ....+ x7
7
x =
x =
x1 + x2 + x3 + ...+ xn
n
3 + 2 + 7 + 5 +4 +6 + 8
7
x =
x=
x1 +x2 +x3 +...+xn
n
35
7
x = = 5
(2) ‫مثال‬
x =
x1 + x2 + x3 + ...+ xn
n
x1
+ x2
+ ....+ x8
8
x = , n = 8
x =
x1 + x2 + x3 + ... + xn
n
4 + 8 + 10 + 12 +16 +18 + 20 + 24
8
x = x=
x1 +x2 +x3 +...+xn
n
112
8
= = 14
210
fi
‫تكرار‬ ‫من‬ n ‫ويقابلها‬Xi
:X1
, X2
, X3
, .... : Xn
: ‫هي‬ Xi
‫قيم‬ ‫من‬ n ‫لدينا‬ ‫كان‬ ‫اذا‬
. fi
:f1
, f2
, f3
, .... : fn
: ‫وهي‬
‫على‬ ً‫ا‬‫مقسوم‬ fi
‫المناظرة‬ ‫التكرارات‬ ‫في‬ X1
‫ضرب‬ ‫حواصل‬ ‫مجموع‬ ‫بانه‬ ‫الحسابي‬ ‫الوسط‬ ‫فيعرف‬
. ‫التكرارات‬ ‫مجموع‬
: ‫اي‬
: ‫شخص‬ )14( ‫العمار‬ ‫التالي‬ ‫التكراري‬ ‫للتوزيع‬ ‫الحسابي‬ ‫الوسط‬ ‫اوجد‬
‫العمر‬131098
‫االشخاص‬ ‫عدد‬2453
/ ‫احلل‬
x1
= 8 , f1
= 3 , x2
= 9 , f2
= 5 , ....
(3) ‫مثال‬
10 - 2‫للتوزيع‬ ‫احلسابي‬ ‫الوسط‬
‫البسيط‬ ‫التكراري‬
x =
x1 + x2 + x3 + ... + xn
n
x1
f1
+ x2
f2
+ x3
f3
+...+ xn
fn
f1
+ f2
+ f3
+...+ fn
x =
x =
x1 + x2 + x3 + ... + xn
n
x1
f1
+ x2
f2
+ x3
f3
+ x4
f4
f1
+ f2
+ f3
+ f4
x =
x =
x1 + x2 + x3 + ... + xn
n
)8()3( + )9()5( + )10()4( + )13()2(
3 + 5 + 4 + 2
x =
x =
x1 + x2 + x3 + ...+ xn
n
24 + 45 + 40 + 26
14
= x =
x1 + x2 + x3 +...+ xn
n
135
14
=
211
: ‫االتي‬ ‫الجدول‬ ‫في‬ ‫كما‬ ‫السؤال‬ ‫حل‬ ‫يمكن‬
x1
f1
x1
f1
8 3 (8)(3)=24
9 5 (9)(5)=45
10 4 (10)(4)=40
13 2 (13)(2)=26
14 135
]10-2[ ‫تعريف‬
‫يرمز‬ ‫(والتي‬ ‫الفئات‬ ‫مراكز‬ ‫ضرب‬ ‫حواصل‬ ‫مجموع‬ ‫بأنه‬ ‫المبوبة‬ ‫للبيانات‬ ‫الحسابي‬ ‫الوسط‬ ‫يعرف‬
. ‫التكرارات‬ ‫مجموع‬ ‫على‬ ‫الناتج‬ ‫وقسمة‬ f i
‫المناظرة‬ ‫التكرارات‬ ‫في‬ )Xi
‫لها‬
‫المناظرة‬ ‫التكرارات‬ ‫وإن‬ x1
، x2
،x3
,.....xn
:‫التوالي‬ ‫على‬ ‫وهي‬ ‫الفئات‬ ‫مراكز‬ ‫من‬ n ‫لدينا‬ ‫كان‬ ‫فإذا‬
:‫اآلتي‬ ‫القانون‬ ‫بحسب‬ x ‫الحسابي‬ ‫الوسط‬ ‫يكون‬ ‫عندئذ‬ .‫التوالي‬ ‫على‬ f1
, f2
, f3
, ......fn
:‫هي‬ ‫لها‬
10 - 3‫للتوزيع‬ ‫احلسابي‬ ‫الوسط‬
‫الفئات‬ ‫ذي‬ ‫التكراري‬
x =
x1 + x2 + x3 + ... + xn
n
f1
x1
+ f2
x2
+ ... + xn
fn
f1
+ f2
+ f3
+... + fn
x =
∴x =
135
14
‫المجموع‬
212
:‫التالية‬ ‫الخطوات‬ ‫نتبع‬ ‫المبوبة‬ ‫للبيانات‬ ‫الحسابي‬ ‫الوسط‬ ‫وإليجاد‬
.
xi
‫الفئات‬ ‫من‬ ‫فئة‬ ‫كل‬ ‫مركز‬ ‫نجد‬ )1
. fi
‫لها‬ ‫المناظر‬ ‫التكرار‬ ‫في‬ xi
‫فئة‬ ‫كل‬ ‫مركز‬ ‫نضرب‬ )2
.‫الضرب‬ ‫حواصل‬ ‫مجموع‬ ‫نجد‬ )3
‫مجموع‬ ‫على‬ ‫وقسمتها‬ ‫التكرارات‬ ‫في‬ ‫الفئات‬ ‫مراكز‬ ‫ضرب‬ ‫حواصل‬ ‫مجموع‬ ‫بقسمة‬ x ‫نجد‬ )4
. ‫التكرارات‬
.)kg( ‫غرام‬ ‫بالكيلو‬ ‫الوزن‬ ‫فئات‬ ‫حسب‬ ‫حاجة‬ 150 ‫توزيع‬ ‫يمثل‬ ‫التالي‬ ‫الجدول‬
‫الوزن‬ 15- 25- 35- 45- 55- 65-75
‫احلاجات‬ ‫عدد‬ 9 15 23 30 33 40
.‫للوزن‬ ‫الحسابي‬ ‫الوسط‬ ‫إحسب‬
:‫الفئات‬ ‫مراكز‬ ‫نجد‬ / ‫احلل‬
: x1
‫األولى‬ ‫الفئة‬ ‫مركز‬
:‫التالي‬ ‫اجلدول‬ ‫نعمل‬ ‫وهكذا‬ : x2
‫الثانية‬ ‫الفئة‬ ‫مركز‬
fi
xi
xi
‫الفئات‬ ‫مركز‬fi
‫التكرار‬‫الوزن‬ ‫فئات‬
(9)(20)=18020915-
(15)(30)= 450301525-
(23)(40)= 920402335-
(30)(50)= 1500503045-
(33)(60)= 1980603355-
(40)(70)= 2800704065-75
7830150
4 ‫مثال‬
x =
x1 + x2 + x3 +...+ xn
n x=
x1 +x2 +x3 +...+xn
n
40
2
15 + 25
2
x1
= = = 20
x =
x1 + x2 + x3 +...+ xn
n x=
x1 +x2 +x3 +...+xn
n
60
2
25 + 35
2
x2
= = = 30
‫المجموع‬
213
:‫اآلتي‬ ‫التكراري‬ ‫اجلدول‬ ‫من‬ ‫احلسابي‬ ‫الوسط‬ ‫جد‬
‫الفئات‬ 60- 62- 64- 66- 68-70
‫التكرار‬ 5 18 42 27 8
:x1
‫األولى‬ ‫الفئة‬ ‫مركز‬ ‫جند‬ /‫احلل‬
:‫اآلتي‬ ‫اجلدول‬ ‫نعمل‬ :x2
‫الثانية‬ ‫الفئة‬ ‫مركز‬ ‫جند‬
fi
xi
xi
‫الفئات‬ ‫مركز‬fi
‫التكرار‬‫الفئات‬
(5)(61)=30561560-
(18)(63)=1134631862-
(42)(65)=2730654264-
(27)(67)=1809672766-
(8)(69)=55269868-
6530100
x =
x1 + x2 + x3 + ... + xn
n
f1
x1
+ f2
x2
+ ... + xn
fn
f1
+ f2
+ ... + fn
x =
x=
x1 +x2 +x3 +...+xn
n
7830
150
x = = 52.2kg
5 ‫مثال‬
x =
x1 + x2 + x3 +...+ xn
n x=
x1 +x2 +x3 +...+xn
n
122
2
60 + 62
2
x1
= = = 61
x =
x1 + x2 + x3 +...+ xn
n x=
x1 +x2 +x3 +...+xn
n
126
2
62 + 64
2
x2
= = = 63
x =
x1 + x2 + x3 + ... + xn
n
f1
x1
+ f2
x2
+ ... + xn
fn
f1
+ f2
+ ... + fn
x =
x=
x1 +x2 +x3 +...+xn
n
6530
100
x = = 65.3
214
:‫املزايا‬ :ً‫ال‬‫أو‬
. ‫حسابه‬ ‫بسهولة‬ ‫يمتاز‬ *
.‫حسابه‬ ‫في‬ ‫القيم‬ ‫جميع‬ ‫تدخل‬ *
:‫العيوب‬ :ً‫ا‬‫ثاني‬
ً‫ا‬‫بياني‬ ‫إيجاده‬ ‫اليمكن‬ *
‫القيم‬ ‫لمعظم‬ ‫بالنسبة‬ ً‫ا‬‫جد‬ ‫صغيرة‬ ‫أو‬ ً‫ا‬‫جد‬ ‫كبيرة‬ ‫تكون‬ ‫التي‬ ‫المتطرفة‬ ‫او‬ ‫الشاذة‬ ‫بالقيم‬ ‫يتأثر‬ *
.‫الحسابي‬ ‫الوسط‬ ‫قيمة‬ ‫تخفض‬ ‫أو‬ ‫ترفع‬ ‫وبالتالي‬
‫الحسابي‬ ‫الوسط‬ ‫فيكون‬ ‫لها‬ ‫الحسابي‬ ‫الوسط‬ ‫وتجد‬ 1 , 3 , 7 , 9 , 10 :‫االتية‬ ‫االعداد‬ ‫لتأخذ‬ :ً‫ال‬‫مث‬
: ‫حيث‬ x ‫لها‬
‫االعداد‬ ‫لهذه‬ ‫الحسابي‬ ‫والوسط‬ 300 , 10 , 9 , 7 , 3 , 1 ‫االعداد‬ ‫فتكون‬ 300 ‫العدد‬ ‫لها‬ ‫اضفنا‬ ‫لو‬
‫يكون‬ ‫المرة‬ ‫هذه‬
‫للقيم‬ ‫بالنسبة‬ )55( ‫اصبح‬ ‫بينما‬ )6( ‫هو‬ 1 , 3 , 7 , 9 , 10 ‫للقيم‬ ‫الحسابي‬ ‫الوسط‬ ‫الحظ‬
.ً‫ا‬‫جد‬ ‫الصغيرة‬ ‫للقيم‬ ‫بالنسبة‬ ‫الشي‬ ‫ونفس‬ 1 , 3 , 7 , 9 ,10 , 300
10 - 4
‫احلسابي‬ ‫الوسط‬ ‫وعيوب‬ ‫مزايا‬
x =
x1 + x2 + x3 + ...+ xn
n
1 + 3 + 7 + 9 + 10
5
x = =x=
x1+x2+x3+...+xn
n
30
5
= 6
x =
x1 + x2 + x3 + ... + xn
n
1 + 3 + 7 + 9 + 10+300
6
x = =x=
x1+x2+x3+...+xn
n
330
6
= 55
215
(1) ‫مثال‬
‫وسنقتصر‬ .‫المركزية‬ ‫النزعة‬ ‫مقاييس‬ ‫من‬ ‫آخر‬ ً‫ا‬‫مهم‬ ً‫ا‬‫قياس‬ ) ‫القيم‬ ( ‫البيانات‬ ‫من‬ ‫مجموعة‬ ‫وسيط‬ ‫يعتبر‬
. ‫المبوبة‬ ‫غير‬ ‫للبيانات‬ ‫الوسيط‬ ‫وايجاد‬ ‫تعريف‬ ‫على‬ ‫المرحلة‬ ‫لهذه‬ ‫دراستنا‬ ‫في‬
]10-3[ ‫تعريف‬
: ‫حالة‬ ‫في‬ x1
, x2
...., xn
: ‫القيم‬ ‫من‬ ‫مجموعة‬ ‫وسيط‬
‫فردي‬ ‫عدد‬ n :ً‫ال‬‫او‬
n+1
2
‫ترتيبه‬ ‫ويكون‬ ً‫ا‬‫تنازلي‬ ‫او‬ ً‫ا‬‫تصاعدي‬ ‫القيم‬ ‫ترتيب‬ ‫عند‬ ‫الوسط‬ ‫في‬ ‫تقع‬ ‫التي‬ ‫القيمة‬ ‫هو‬
‫زوجي‬ ‫عدد‬ n :ً‫ا‬‫ثاني‬
. ً‫ا‬‫تنازلي‬ ‫او‬ ً‫ا‬‫تصاعدي‬ ‫القيم‬ ‫ترتيب‬ ‫بعد‬ ‫الوسطيتين‬ ‫القيمتين‬ )‫(معدل‬ ‫منتصف‬ ‫في‬ ‫تقع‬ ‫التي‬ ‫القيمة‬ ‫هو‬
. ME ‫بالرمز‬ ‫للوسيط‬ ‫وسنرمز‬ ‫ترتيبها‬ ‫ويكون‬
3 , 2 , 4 , 6 , 5 :‫االتية‬ ‫للقيم‬ ‫الوسيط‬ ‫جد‬
‫الوسيط‬ ‫ترتيب‬ :‫يلي‬ ‫كما‬ ً‫ا‬‫تصاعدي‬ ‫القيم‬ ‫بترتيب‬ ‫نقوم‬ / ‫احلل‬
2 , 3 , 4 , 5 , 6
.‫الوسط‬ ‫في‬ ‫تقع‬ ‫الوسيط‬ ‫قيمة‬ ‫فان‬ )5( ‫فردي‬ ‫القيم‬ ‫عدد‬ ‫الن‬
∴ ME = 4
3 , 2 , 4 , 5 , 6 , 9 :‫االتية‬ ‫للقيم‬ ‫الوسيط‬ ‫جد‬
‫هما‬ ‫الوسيطين‬ ‫ترتيب‬ 2 , 3 , 4 , 5 , 6 , 9 :‫يلي‬ ‫كما‬ ً‫ا‬‫تصاعدي‬ ‫القيم‬ ‫بترتيب‬ ‫نقوم‬ / ‫احلل‬
: ‫واضح‬ ‫كما‬ ‫وهما‬ ‫الوسط‬ ‫في‬ ‫للقيمتين‬ ‫الحسابي‬ ‫الوسط‬ ‫هي‬ ‫الوسيط‬ ‫قيمة‬ ‫فان‬ )6( ‫زوجي‬ ‫القيم‬ ‫عدد‬ ‫الن‬
10 - 5‫الوسيط‬
(2) ‫مثال‬
ME = =x=
x1+x2+x3+...+xn
n
9
2
= 4.5x=
x1+x2+x3+...+xn
n
4 + 5
2
n
2
,
n
2
+1
n+1
2
⇒
5 +1
2
= 3
n
2
=
6
2
= 3,4
217
‫المبوبة‬ ‫غير‬ ‫للبيانات‬ ‫تعريفه‬ ‫ويمكن‬ .‫المركزية‬ ‫النزعة‬ ‫مقاييس‬ ‫من‬ ‫مهما‬ َ‫آخر‬ ً‫ا‬‫مقياس‬ ‫المنوال‬ ‫يعتبر‬
.‫يلي‬ ‫كما‬
]10-4[ ‫تعريف‬
‫غيرها‬ ‫من‬ ‫اكثر‬ ‫تتكرر‬ ‫التي‬ ‫اي‬ ‫الشائعة‬ ‫القيمة‬ ‫هو‬ x1
, x2
...., xn
‫القيم‬ ‫مجموعة‬ ‫منوال‬
.MO ‫بالرمز‬ ‫للمنوال‬ ‫وسنرمز‬ . ‫المجموعة‬ ‫قيم‬ ‫ضمن‬
:‫االتية‬ ‫للقيم‬ ‫المنوال‬ ‫جد‬
11 , 9 , 5 , 4 , 8 , 6 , 9 ,13 , 1 2 , 7
/‫احلل‬
:‫فان‬ ‫لذا‬ ‫مرتين‬ ‫تكررت‬ )9( ‫القيمة‬ ‫ان‬ ‫الحظ‬
MO = 9
:‫االتية‬ ‫للقيم‬ ‫المنوال‬ ‫جد‬
10 ، 5 ، 5 ، 4 ، 7 ، 8 ،2 ، 12 ، 2 ، 3
/ ‫احلل‬
‫هما‬ ‫منواالن‬ ‫القيم‬ ‫لهذه‬ ‫فيكون‬ ‫مرتين‬ ‫تكررت‬ )2( ‫القيمة‬ ‫كذلك‬ ‫مرتين‬ ‫تكررت‬ )5( ‫القيمة‬ : ‫ان‬ ‫الحظ‬
: ‫اي‬ 5 , 2
MO = 2 , MO = 5
10- 7‫املنوال‬
(1) ‫مثال‬
(2) ‫مثال‬
218
10 - 8‫املنوال‬ ‫وعيوب‬ ‫مزايا‬
‫االتية؟‬ ‫للقيم‬ ‫منوال‬ ‫يوجد‬ ‫هل‬
12 , 17 ,13 , 9 , 8 , 2 , 5 , 4 , 1
/ ‫احلل‬
. ‫القيم‬ ‫هذه‬ ‫من‬ ‫قيمة‬ ‫أية‬ ‫تكرار‬ ‫عدم‬ ‫هو‬ ‫والسبب‬ ‫منوال‬ ‫القيم‬ ‫لهذه‬ ‫ليس‬
‫املزايا‬ :ً‫ال‬‫او‬
.‫والحساب‬ ‫الفكرة‬ ‫حيث‬ ‫من‬ ‫بسيط‬ *
.‫المتطرفة‬ ‫او‬ ‫الشاذة‬ ‫بالقيم‬ ‫يتأثر‬ ‫ال‬ *
‫العيوب‬ :ً‫ا‬‫ثاني‬
. ‫منوال‬ ‫هناك‬ ‫يكون‬ ‫ال‬ ‫قد‬ *
.‫منوال‬ ‫من‬ ‫اكثر‬ ‫هناك‬ ‫يكون‬ ‫قد‬ *
(3) ‫مثال‬
219
:‫يأتي‬ ‫مما‬ ‫لكل‬ ‫والمنوال‬ ‫الوسيط‬ ،‫الحسابي‬ ‫الوسط‬ ‫امكن‬ ‫ان‬ ‫جد‬ /1‫س‬
a) 11 , 20 , 5 , 8 , 12 , 17 , 9
b) 8 , 4 , 9 , 5 , 2 , 4 , 4 , 2 , 6 , 7 , 2
c) 12 , 24 , 16 , 20 ,10 , 8 ,18 , 4 , 20
d) 2 , 5 , 9 , 5 , 7 , 7 ,11 , 9 , 7
.‫الحسابي‬ ‫الوسط‬ ‫جد‬ ‫االتي‬ ‫الجدول‬ ‫من‬ /2‫س‬
201712796‫الوزن‬
756432‫العدد‬
:‫االتي‬ ‫التكراري‬ ‫الجدول‬ ‫من‬ ‫غرام‬ ‫بالكيلو‬ ً‫ا‬‫طالب‬ )40( ‫الوزان‬ ‫الحسابي‬ ‫الوسط‬ ‫اوجد‬ /3‫س‬
70- 8060-50-40-30-‫االوزان‬
6541510‫التكرار‬
:‫االتي‬ ‫الجدول‬ ‫في‬ ‫المعطاة‬ ‫للقيم‬ ‫الحسابي‬ ‫الوسط‬ ‫احسب‬ / 4‫س‬
20-2317-14-11-8-5-‫الفئة‬
5237911‫التكرار‬
10 1
‫الفهرست‬
4 - 30........................... ‫التطبيقات‬ /‫االول‬ ‫الفصل‬
31 - 45 ..................... ‫الحقيقية‬ ‫االعداد‬ /‫الثاني‬ ‫الفصل‬
46 - 71......................... ‫الحدوديات‬ /‫الثالث‬ ‫الفصل‬
72 - 113......................... ‫المتباينات‬ /‫الرابع‬ ‫الفصل‬
114 - 133............... ‫المثلث‬ - ‫الهندسة‬ /‫الخامس‬ ‫الفصل‬
134 - 163......................... ‫الدائرة‬ /‫السادس‬ ‫الفصل‬
164 - 177................. ‫االحداثية‬ ‫/الهندسة‬ ‫السابع‬ ‫الفصل‬
178 - 198................. ‫التحويالت‬ ‫هندسة‬ /‫الثامن‬ ‫الفصل‬
199-206................... ‫المثلثات‬ ‫/حساب‬ ‫التاسع‬ ‫الفصل‬
207 - 219......................... ‫االحصاء‬ /‫العاشر‬ ‫الفصل‬

الرياضيات للصف الثالث متوسط

  • 1.
    ‫العراق‬ ‫جمهورية‬ ‫التربية‬ ‫وزارة‬ ‫للمناهج‬‫العامة‬ ‫املديرية‬ ‫املتوسط‬ ‫الثالث‬ ‫للصف‬ ‫اجلواهري‬ ‫الغفور‬ ‫عبد‬ ‫محمد‬ ‫احلديثي‬ ‫شعبان‬ ‫طارق‬ ‫الدكتور‬ ‫علوان‬ ‫حـــسيــــن‬ ‫منـــــــــعم‬ ‫مـــكـــي‬ ‫اهلل‬ ‫مــــال‬ ‫مــهـــــدي‬ ‫5102م‬ - ‫6341هـ‬ ‫اخلامسة‬ ‫الطبعة‬ ‫الرياضيات‬ ‫املؤلفون‬
  • 2.
    : ‫الطبع‬ ‫على‬‫العلمي‬ ‫املشرف‬ ‫رجب‬ ‫شعبان‬ ‫طارق‬ .‫د‬ : ‫الطبع‬ ‫على‬ ‫الفني‬ ‫املشرف‬ ‫جواد‬ ‫غازي‬ ‫علي‬
  • 3.
    ُ‫ة‬‫م‬ّ‫املقد‬ ‫باعادة‬ ‫التربية‬ ‫وزارة‬‫تعنى‬ ‫خاصة‬ ‫والرياضيات‬ ‫كافة‬ ‫الدراسية‬ ‫المواد‬ ‫في‬ ‫الحاصل‬ ‫الكبير‬ ‫للتطور‬ ً‫ا‬‫نظر‬ ‫كتب‬ ‫وتلقى‬ ‫الغرض‬ ‫لهذا‬ ‫تؤلف‬ ‫مختصة‬ ‫لجان‬ ‫وفق‬ ‫تأليفه‬ ‫اعادة‬ ‫او‬ ‫وتنقيحه‬ ‫المدرسي‬ ‫الكتاب‬ ‫في‬ ‫النظر‬ .‫العناية‬ ‫هذه‬ ‫من‬ ‫الوافي‬ ‫نصيبها‬ ‫الرياضيات‬ ‫بعشرة‬ ‫الكتاب‬ ‫هذا‬ ‫رتبنا‬ ‫وقد‬ ، ‫المتوسطة‬ ‫للمرحلة‬ ‫الرياضيات‬ ‫كتب‬ ‫سلسلة‬ ‫من‬ ‫الثالث‬ ‫الكتاب‬ ‫وهذا‬ ‫الثالث‬ ‫الفصل‬ ‫اما‬ ، ‫الحقيقية‬ ‫االعداد‬ ‫الثاني‬ ‫والفصل‬ ‫التطبيقات‬ ‫بموضوع‬ ‫االول‬ ‫الفصل‬ ‫يبدأ‬ ،‫فصول‬ ‫الدائرة‬ ‫موضوع‬ ‫اما‬ ‫المثلثات‬ ‫الخامس‬ ‫الفصل‬ ‫في‬ ‫يتبعه‬ ‫المتباينات‬ ‫الرابع‬ ‫الفصل‬ ‫ويتضمن‬ ‫الحدوديات‬ ‫التحويالت‬ ‫هندسة‬ ‫الثامن‬ ‫الفصل‬ ‫اما‬ ‫االحداثية‬ ‫الهندسة‬ ‫السابع‬ ‫الفصل‬ ‫وعند‬ ‫السادس‬ ‫الفصل‬ ‫في‬ ‫فهو‬ ‫موضوع‬ ‫بدراسة‬ ‫اختص‬ ‫الذي‬ ‫العاشر‬ ‫بالفصل‬ ‫الكتاب‬ ‫وينتهي‬ ‫المثلثات‬ ‫حساب‬ ‫التاسع‬ ‫الفصل‬ ‫يتضمن‬ . ‫االحصاء‬ ‫الحديثة‬ ‫التربوية‬ ‫الطرق‬ ‫نستخدم‬ ‫ان‬ ‫وحاولنا‬ ‫المقرر‬ ‫الدراسي‬ ‫للمنهج‬ ً‫ا‬‫وفق‬ ‫الكتاب‬ ‫هذا‬ ‫وضع‬ ‫تم‬ ‫لقد‬ ‫االكثار‬‫وتوخينا‬‫االفهام‬‫بقصد‬ ً‫ا‬‫شرح‬‫العلمية‬‫المادة‬‫توضيح‬‫اعيننا‬‫نصب‬‫واضعين‬‫المجهود‬‫بهذا‬‫فقمنا‬ ‫الصعب‬‫الى‬‫السهل‬‫من‬‫ومتدرجة‬‫حياته‬‫في‬‫الطالب‬‫يصادفها‬‫التي‬‫العملية‬‫والتمارين‬‫المحلولة‬‫االمثلة‬‫من‬ : ‫وهم‬ ‫الكتاب‬ ‫هذا‬ ‫بانجاز‬ ‫ساهما‬ ‫الذين‬ ‫العلميين‬ ‫الخبيرين‬ ‫جهود‬ ‫نثمن‬ ‫ان‬ ‫اال‬ ‫يسعنا‬ ‫وال‬ ‫نجم‬ ‫محمد‬ .‫د‬ ‫حسن‬ ‫كامل‬ ‫ماجد‬ ‫يوافونا‬ ‫ان‬ ‫المدرسين‬ ‫اخواننا‬ ‫من‬ ‫نرجو‬ ‫و‬ ‫الطلبة‬ ‫ابنائنا‬ ‫لخدمة‬ ‫وفقنا‬ ‫قد‬ ‫نكون‬ ‫ان‬ ‫نرجو‬ ً‫ا‬‫وختام‬ ..‫وحده‬ ‫هلل‬ ‫والكمال‬ ، ‫فيه‬ ‫النقص‬ ‫نتالفى‬ ‫لكي‬ ‫الكتاب‬ ‫هذا‬ ‫حول‬ ‫بمالحظاتهم‬ ‫التوفيق‬ ‫ولي‬ ‫واهلل‬ ‫المؤلفون‬
  • 4.
    Mappings ‫التطبيقات‬ f:AB AB f . ‫التطبيق‬]1-1[ . ‫التطبيق‬ ‫نوع‬ ]1-2[ . ‫للتطبيق‬ ‫البياني‬ ‫املخطط‬ ]1-3[ . ‫التطبيقات‬ ‫تركيب‬ ]1-4[ 1‫االول‬ ‫الفصل‬ ‫الرياضية‬ ‫العالقة‬ ‫أو‬ ‫الرمز‬ ‫المصطلح‬ N ‫الطبيعية‬ ‫األعداد‬ Z ‫الصحيحة‬ ‫األعداد‬ Q ‫النسبية‬ ‫األعداد‬ fog ‫أو‬ gof ‫التطبيقين‬ ‫تركيب‬ f , g
  • 5.
    Mappings ‫التطبيقات‬ ‫مقدمة‬ A ‫املجموعة‬‫من‬ ‫العالقة‬ ً‫ا‬‫أيض‬ ‫وتعلمت‬ ‫عليها‬ ‫والعمليات‬ ‫املجموعات‬ ‫موضوع‬ ‫درست‬ ‫وأن‬ ‫سبق‬ .B ‫الى‬ A ‫من‬ ‫للعالقة‬ ‫رمز‬ r ‫أن‬ ‫حيث‬ .‫املرتبة‬ ‫األزواج‬ ‫من‬ ‫مجموعة‬ ‫هي‬ B ‫املجموعة‬ ‫الى‬ A × B ‫الديكارتي‬ ‫الضرب‬ ‫حاصل‬ ‫من‬ ‫جزئية‬ ‫مجموعة‬ r ‫وأن‬ : ‫مثل‬ ‫املجموعة‬ ‫على‬ ‫العالقة‬ ‫خواص‬ ‫أيضا‬ ‫ودرست‬ .)Reflexive( ‫األنعكاسية‬‫اخلاصية‬ - . )Symmetric( ‫املتناظرة‬ ‫واخلاصية‬- . )Transitive(‫املتعدية‬ ‫واخلاصية‬- . ‫السابقة‬ ‫الثالث‬ ‫اخلواص‬ ‫حققت‬ ‫اذا‬ )Equivalence( ‫التكافؤ‬ ‫خاصية‬ ‫وكذلك‬- .)‫متعدية‬ ،‫متناظرة‬ ،‫(أنعكاسية‬ )Mapping( ‫التطبيق‬ ‫هو‬ ‫أخر‬ ‫مفهوم‬ ‫على‬ ‫سنتعرف‬ ،‫الدراسية‬ ‫املرحلة‬ ‫هذه‬ ‫في‬ ‫الفصل‬ r A×B 1 ⊆
  • 6.
    ( ‫وتقرأ‬ r: A B ‫لتكن‬ = } a , b , c , d { ‫و‬ A = } 1 , 2 , 3 , 4 { ‫ولتكن‬ r = { ( 1 , a ) , ( 2 , b ) , ( 3 , c ) , ( 4 , d ) } ‫التي‬ B ‫المجموعة‬ ‫في‬ ‫وحيد‬ ‫بعنصر‬ ‫يقترن‬ ‫بالمجال‬ ‫تسمى‬ ‫التي‬ A ‫المجموعة‬ ‫في‬ ‫عنصر‬ ‫كل‬ ‫أن‬ ‫الحظ‬ . r ‫للعالقة‬ ‫السهمي‬ ‫المخطط‬ ‫يمثل‬ ‫الذي‬ ]1-1[ ‫الشكل‬ ‫في‬ ‫كما‬ ‫المقابل‬ ‫بالمجال‬ ‫تسمى‬ ‫من‬ ‫واحد‬ ‫عنصر‬ ‫مع‬ ‫ليرتبط‬ A ‫المجموعة‬ ‫في‬ ‫عنصر‬ ‫كل‬ ‫من‬ ‫ينطلق‬ ‫فقط‬ ‫واحد‬ ‫سهم‬ ‫هناك‬ ‫الشكل‬ ‫خالل‬ ‫ومن‬ ‫يسمى‬ ) ‫(التطبيق‬ ‫تأثير‬ ‫تحت‬ A ‫المجموعة‬ ‫عناصر‬ ‫صور‬ ‫وأن‬ ‫تطبيق‬ ‫العالقة‬ ‫لهذه‬ ‫يقال‬ . B ‫المجموعة‬ .‫التطبيق‬ )Range( ‫مدى‬ 1 - 1)Mapping( ‫التطبيق‬ B ]1-1[ ‫عامة‬ ‫بصورة‬ ‫بحيث‬ B ≠ ∅‫حيث‬ B ‫املجموعة‬ ‫الى‬ A ≠ ∅ ‫حيث‬ A ‫املجموعة‬ ‫من‬ ‫عالقة‬ : r ‫التطبيق‬ ‫املقابل‬ ‫املجال‬ ‫عناصر‬ ‫من‬ ‫فقط‬ ‫واحد‬ ‫بعنصر‬ ‫يرتبط‬ ‫أو‬ ‫يقترن‬ ‫املجال‬ ‫عناصر‬ ‫عنصرمن‬ ‫كل‬ ‫أن‬ :‫أي‬ ‫األقتران‬ ‫قاعدة‬ ‫ضمن‬ ) x , y ) ∈ r ‫بحيث‬ y ∈ B ‫وحيد‬ ‫عنصر‬ ‫يوجد‬ x ∈ A ‫لكل‬ A a b c d 1 2 3 4 B ]1-1[ ‫الشكل‬ r ) B ‫الى‬ A ‫من‬ ‫عالقة‬ r
  • 7.
    ‫بالل‬ ‫اهلل‬ ‫عبد‬ ‫مثنى‬ ‫أنكليزي‬ ‫فرنسي‬ A B a bc d e f g B ‫الى‬ A ‫من‬ ‫معرفه‬ r ‫والعالقة‬ .‫لغات‬ ‫مجموعة‬B ‫ولتكن‬ . ‫طالب‬ ‫مجموعة‬ A ‫لتكن‬ -: ‫الشكل‬ ‫الحظ‬ :‫كانت‬ ‫فاذا‬ .» ‫يدرس‬ « ‫عالقة‬ ‫هي‬ A = } ‫مثنى‬ , ‫اهلل‬ ‫عبد‬ , ‫بالل‬ { B = } ‫فرنسية‬ , ‫انكليزية‬ { .‫السبب‬ ‫ذكر‬ ‫مع‬ ‫؟‬ ً‫ا‬‫تطبيق‬ ‫تمثل‬ r ‫هل‬ ، r : A B ‫وأن‬ .ً‫ا‬‫تطبيق‬ ‫التمثل‬ r /‫احلل‬ ‫المقابل‬ ‫المجال‬ ‫في‬ ‫بلغتين‬ ‫أرتبط‬ ‫وقد‬ ‫المجال‬ ‫الى‬ ‫ينتمي‬ ‫بالل‬ ‫ألن‬ r : A B ‫لتكن‬ A = { a , b , c , d } B = { e , f , g } r = { ( a , e ) , ( b , f ) , ( d , g ) } .‫السبب‬ ‫ذكر‬ ‫مع‬ ‫ً؟‬‫ا‬‫تطبيق‬ ‫تمثل‬ r ‫هل‬ )1 .‫سهمي‬ ‫بمخطط‬ ‫مثله‬ )2 .ً‫ا‬‫تطبيق‬ ‫التمثل‬ )1 /‫احلل‬ B ‫المقابل‬ ‫المجال‬ ‫في‬ ‫عنصر‬ ‫بأي‬ ‫يرتبط‬ ‫لم‬ c ∈ A ‫ألن‬ )2 ( 1 ) ‫مثال‬ ) 2 ( ‫مثال‬ A B
  • 8.
    A = {1 , 2 , -3 { ‫كانت‬ ‫اذا‬ B = { 2 , 3 , - 2 , -4 } f : A B -:‫كاآلتي‬ ‫معرف‬ ‫تطبيق‬ f x x + 1 ‫    حيث‬ ‫المرتبة‬ ‫األزواج‬ ‫من‬ ‫مجموعة‬ ‫شكل‬ ‫على‬ f ‫التطبيق‬ ‫أكتب‬ :ً‫ال‬‫أو‬ ‫سهمي‬ ‫بمخطط‬ ‫مثله‬ :ً‫ا‬‫ثاني‬ f ‫التطبيق‬ ‫مدى‬ ‫أوجد‬ :ً‫ا‬‫ثالث‬ /‫احلل‬ x x + 1 1 1 + 1 = 2 2 2 + 1 = 3 -3 -3 + 1 = -2 ∴ f = { ( 1 , 2 ) , ( 2 , 3 ) , ( -3 , -2 ) } ‫السهمي‬ ‫-المخطط‬ :ً‫ا‬‫ثاني‬ } 2 , 3 ,-2{= ‫التطبيق‬ ‫مدى‬ -:ً‫ا‬‫ثالث‬ A 2 3 -2 -4 1 2 -3 B ) 3 ( ‫مثال‬ -:ً‫ال‬‫او‬
  • 9.
    ‫األقتران‬ ‫قاعدة‬ )3(‫المثال‬ ‫في‬ ‫التعبيرعنها‬ ‫يمكن‬ x x + 1 f (x) = x + 1 )1( ‫مالحظه‬ )2( ‫مالحظه‬r , f, g , ..‫الحروف‬ ‫بأحد‬ ‫التطبيق‬ ‫عن‬ ‫التعبير‬ ‫يمكن‬ .‫األقتران‬ ‫وقاعدة‬ ‫المقابل‬ ‫والمجال‬ ‫المجال‬ ‫ذكر‬ ‫مع‬ )3( ‫مالحظه‬:‫التالية‬ ‫الصور‬ ‫على‬ ‫تكون‬ ‫أن‬ ‫ممكن‬ ‫السهميه‬ ‫المخططات‬ A B A B )4( ‫مالحظه‬ .‫المقابل‬ ‫المجال‬ ‫من‬ ‫جزئية‬ ‫مجموعة‬ ‫هو‬ ‫المدى‬ BA r f g
  • 10.
    10 ‫النسبية‬ ‫االعداد‬ ‫مجموعة‬Q ‫حيث‬ g : A Q ‫كانت‬ ‫اذا‬ A = { -1 , 1 , 2 , -3 } g (x) = x2 - 4 ‫التطبيق‬ ‫مدى‬ ‫أوجد‬ )1 ‫للتطبيق‬ ‫السهمي‬ ‫المخطط‬ ‫أرسم‬ )2 ‫عناصره‬ ‫بذكر‬ ‫التطبيق‬ ‫3)أكتب‬ / ‫احلل‬ 1) g (x) = x2 - 4 g (-1) = (-1)2 - 4 = 1- 4 = -3 g (1) = (1)2 - 4 =1- 4 = -3 g (2) = (2)2 - 4 = 4 - 4 = 0 g (-3)=(-3)2 - 4 = 9 - 4 = 5 ∴ Range = {-3,0,5} ‫المدى‬ 2) 3) g = {(-1,-3), (1,-3),(2,0),(-3,5)} ( 4 ) ‫مثال‬ -3 0 5 -1 1 2 -3 A g .. ..... ...... ..Q
  • 11.
    11 5 ‫من‬ ‫األصغر‬‫الموجبة‬ ‫الطبيعية‬ ‫األعداد‬ ‫مجموعة‬ A ‫كانت‬ ‫اذا‬ ‫الصحيحة‬ ‫االعداد‬ ‫مجموعة‬ Z ‫حيث‬ ، f : A Z ‫وكانت‬ f (x) = 2x - 3 ‫كان‬ ‫اذا‬ ‫التطبيق‬ ‫مدى‬ ‫جد‬ /‫احلل‬ f (x) = 2 x- 3 f (1) = (2)(1) - 3 = -1 f (2) = (2)(2) - 3 = 1 f (3) = (2)(3)- 3 = 3 f (4 ) = (2)( 4 ) - 3 = 5 ∴ Range = {-1 , 1 , 3 , 5 } ‫المدى‬ g : Q Q ‫ان‬ ‫العلم‬ ‫مع‬ g (x) = 10 ‫عندما‬ x ‫قيمة‬ ‫فجد‬ g (x) = 4x - 7 ‫كان‬ ‫اذا‬ . ‫النسبية‬ ‫االعداد‬ ‫مجموعة‬ Q ‫حيث‬ ∵ g (x) = 4 x- 7 /‫احلل‬ g (x) = 10 ∴10 = 4x - 7 ⇒ 4x = 10 + 7 ⇒ 4x = 17 (4( ‫على‬ ‫المعادلة‬ ‫طرفي‬ ‫بقسمة‬ ⇒ x = ∈ Q ( 5 ) ‫مثال‬ ( 6 ) ‫مثال‬ Qg(x) = 4x − 7 g(x) =10 ∴10 = 4x − 7 ⇒ 4x =10+ 7 ⇒ 4x = 17 ⇒ x = 17 4 ∈ Q 17 4 A = { 1 , 2 , 3 , 4 }
  • 12.
    12 1 1 ، A= { a , b , c { ‫وكانت‬ r : A B ‫كان‬ ‫اذا‬ /1‫س‬ r = { ( a , 4 ) , ( b , 7 ) , ( c , 3 ) } r = { ( a , 3 ) , ( b , 3 ) , ( c , 3 ) } ‫السهمي‬ ‫المخطط‬ ‫ارسم‬ :ً‫ا‬‫ثاني‬ ‫ولماذا؟‬ ً‫ا‬‫تطبيق‬ r ‫هل‬ :ً‫ال‬‫او‬ A ‫كانت‬ ‫اذا‬ /2‫س‬ B ‫وكانت‬ f(x) = x + 1 ‫حيث‬ B ‫الى‬ A ‫من‬ ‫عالقة‬ f ‫؟‬ ‫لماذا‬ ، ً‫ا‬‫تطبيق‬ ‫يمثل‬ f :ً‫ا‬‫ثاني‬ ‫السهمي‬ ‫المخطط‬ ‫ارسم‬ :ً‫ال‬‫أو‬ g : A Z ‫وكان‬ A = { 1 , 2 , -2 , -3 { ‫كانت‬ ‫س3/اذا‬ . g (x) = 5x - 3 ‫كان‬ ‫اذا‬ ‫التطبيق‬ ‫مدى‬ ‫جد‬ ‫ولتكن‬ A = }‫الملوية‬ ، ‫الحضر‬ ، ‫عشتار‬ ‫{باب‬ ‫حيث‬ .‫العراق‬ ‫في‬ ‫االثرية‬ ‫المناطق‬ ‫مجموعة‬ A ‫لتكن‬ /4‫س‬ . B = } ‫بغداد‬ ، ‫بابل‬ ، ‫الدين‬ ‫صالح‬ ، ‫قار‬ ‫ذي‬ ، ‫البصرة‬ ، ‫الموصل‬ ، ‫كركوك‬ { .‫تختاره‬ ‫سهمي‬ ‫بمخطط‬ ‫عراقية‬ ‫محافظة‬ ‫لكل‬ ‫االثرية‬ ‫المناطق‬ ‫انسب‬ r : A B ‫وان‬ B = { 3 , 4 , 5 , 6 , 7{ 7 ‫من‬ ‫األصغر‬ ‫الزوجية‬ ‫الطبيعية‬ ‫األعداد‬ ‫مجموعة‬ 8 ‫من‬ ‫األصغر‬ ‫الفردية‬ ‫الطبيعية‬ ‫األعداد‬ ‫مجموعة‬ 1) 2)
  • 13.
    13 f (x )= 2 x + 8 ‫حيث‬ f : N Q ‫كان‬ ‫اذا‬ /5‫س‬ . ‫التطبيق‬ ‫مدى‬ ‫اكتب‬ :ً‫ال‬‫او‬ . x ‫قيمة‬ ‫فجد‬ f ( x ) = 16 ‫كان‬ ‫اذا‬ :ً‫ا‬‫ثاني‬ .‫التطبيق‬ ‫تمثل‬ ‫التي‬ ‫المرتبة‬ ‫االزواج‬ ‫مجموعة‬ ‫اكتب‬ :ً‫ا‬‫ثالث‬ r = { ( 1 , a ) , ( 2 , b ) , (3 , c) , ( 4 , d ) , ( 5 , a ({ ‫كانت‬ ‫/اذا‬ 6‫س‬ r : A B ‫حيث‬ . B , A ‫من‬ ً‫ال‬‫ك‬ ‫جد‬ )1 .‫التطبيق‬ ‫مدى‬ ‫أكتب‬ )2 .‫السهمي‬ ‫المخطط‬ ‫ارسم‬ )3 f ( x ) = 2x 2 - x + 3 ‫حيث‬ f : A Q ‫كان‬ ‫اذا‬ / 7‫س‬ A = { 1 , -1 , 0 { ‫وإن‬ .‫المدى‬ ‫اكتب‬ )1 .‫التطبيق‬ ‫تمثل‬ ‫التي‬ ‫المرتبة‬ ‫األزواج‬ ‫مجموعة‬ ‫اكتب‬ )2 .‫السهمي‬ ‫المخطط‬ ‫ارسم‬ )3
  • 14.
    14 1 - 2‫التطبيق‬‫نوع‬ : ‫حقق‬ ‫اذا‬ ً‫ال‬‫شام‬ ً‫ا‬‫تطبيق‬ ‫تكون‬ r : A B A ‫المجموعة‬ ‫عناصر‬ ‫من‬ ‫اكثر‬ ‫أو‬ ‫واحد‬ ‫لعنصر‬ ‫صورة‬ ‫هو‬ B ‫المجموعة‬ ‫عناصر‬ ‫من‬ ‫عنصر‬ ‫كل‬ ‫المقابل‬ ‫المجال‬ = ‫المدى‬ : ‫ان‬ ‫اي‬ . ‫المجاور‬ ‫الشكل‬ ‫الحظ‬ ‫شامل‬ ‫تطبيق‬ )Surjective Mapping( ‫الشامل‬ ‫ً:التطبيق‬‫ال‬‫او‬ A • • • • • • • • B ‫عنصر‬ ‫وجد‬ ‫اذا‬ ٍ‫شامل‬ ‫غير‬ ‫التطبيق‬ ‫يكون‬ ‫من‬ ‫عنصر‬ ‫الي‬ ‫صورة‬ ‫ليس‬ ‫المقابل‬ ‫المجال‬ ‫عناصر‬ ‫من‬ . ‫المجاور‬ ‫الشكل‬ ‫في‬ ‫كما‬ .‫المجال‬ ‫عناصر‬ ‫شامل‬ ‫غير‬ ‫تطبيق‬ A d e f g a b c B ‫مالحظه‬
  • 15.
    15 ( 1 )‫مثال‬ ‫ً؟‬‫ال‬‫شام‬ ً‫ا‬‫تطبيق‬ ‫تمثل‬ ‫االتية‬ ‫السهمية‬ ‫المخططات‬ ‫من‬ ً‫ا‬‫اي‬ ‫حدد‬ B = { 4 , 6 , 8 , 10 } , A = { 3 , 5 , 7 , 9 , 11 { ‫حيث‬ f : A B ‫ليكن‬ ‫ً؟‬‫ال‬‫شام‬ ً‫ا‬‫تطبيق‬ f ‫هل‬ ، f = { ( 3 , 4 ) , ( 5 , 6 ) , ( 7 , 8 ) , ( 9 , 10 ) , ( 11 , 4 ( { ‫وان‬ }4 , 6 , 8 , 10 { ‫المدى‬ /‫احلل‬ B ‫المقابل‬ ‫المجال‬ = ‫المدى‬ ‫ان‬ ‫بما‬ . ً‫ال‬‫شام‬ ً‫ا‬‫تطبيق‬ ‫يمثل‬ f ∴ A B -1 2 5 -3 0 3 4 ) 2( ‫ليست‬ 4 ‫الن‬ ً‫ال‬‫شام‬ ً‫ا‬‫تطبيق‬ ‫يمثل‬ ‫ال‬ ‫المجال‬ ‫في‬ ‫لعنصر‬ ‫صورة‬ A B 1 2 3 2 3 4 )3( ً‫ال‬‫شام‬ ‫ليس‬ ً‫ا‬‫تطبيق‬ ( 2 ) ‫مثال‬ A e f g h a b c d B )1( ً‫ال‬‫شام‬ ً‫ا‬‫تطبيق‬ F G H
  • 16.
    16 ‫شامل؟‬ ‫تطبيق‬ f‫هل‬ ، x x2 + 1 , A = { -1 , -2 , 1 , 2 {‫حيث‬ f : A N /‫احلل‬ f(-1) = (-1) 2 + 1 = 2 f (-2) = (-2) 2 + 1 = 5 f (1) = (1) 2 + 1 =2 f(2) = (2)2 + 1 = 5 Range = { 2 , 5 } ‫المدى‬ N ‫المقابل‬ ‫المجال‬ ≠ ‫المدى‬ ‫شامل‬ ‫غير‬ ‫تطبيق‬ f ‫شامل؟‬ f ‫التطبيق‬ ‫هل‬ ‫بين‬ f : N N , f (x) = 3x + 2 /‫احلل‬ f(0) =3 (0) + 2 = 2 f (1) = 3(1) + 2 = 5 f (2) = 3(2) + 2 = 8 f(3) = 3(3) + 2 = 11 Range = { 2 , 5 , 8 , 11 , ....} ‫المدى‬ ً‫ال‬‫شام‬ ‫ليس‬ f N ‫المقابل‬ ‫المجال‬ ≠ ‫المدى‬ ‫الن‬ ( 4 ) ‫مثال‬ ( 3 ) ‫مثال‬ ∴ ∴ ∴ f (x) = 3x + 2
  • 17.
    17 ‫عواصم‬ ‫مجموعة‬ B‫ولتكن‬} ‫االردن‬ ، ‫مصر‬ ، ‫سوريا‬ ، ‫العراق‬{ ‫بـ‬ ‫المتمثلة‬ ‫العربية‬ ‫الدول‬ ‫مجموعة‬ A ‫لتكن‬ : ‫السهمي‬ ‫المخطط‬ ‫في‬ ‫كما‬ ‫مبينة‬ ‫والعالقة‬ } ‫عمان‬ ، ‫القاهرة‬ ، ‫دمشق‬ ، ‫بغداد‬ { ‫بـ‬ ‫المتمثلة‬ ‫الدول‬ ‫هذه‬ ‫عاصمتها‬ ‫تمثل‬ ‫والتي‬ B ‫المجموعة‬ ‫في‬ ‫واحدة‬ ‫بمدينة‬ ‫أرتبطت‬ A ‫المجموعة‬ ‫في‬ ‫عربية‬ ‫دولة‬ ‫كل‬ ‫ان‬ ‫الحظ‬ :‫تحقق‬ ‫اذا‬ ً‫ا‬‫متباين‬ ‫التطبيق‬ ‫يكون‬ ‫اذن‬ ، ً‫ا‬‫متباين‬ ً‫ا‬‫تطبيق‬ ‫يسمى‬ ‫التطبيق‬ ‫هذا‬ ‫مثل‬ ‫ان‬ ‫اعاله‬ ‫الشكل‬ ‫في‬ ‫كما‬ :‫أن‬ ‫أي‬ . ‫المقابل‬ ‫المجال‬ ‫في‬ ‫مختلفتان‬ ‫صورتان‬ ‫لهما‬ ‫المجال‬ ‫في‬ ‫مختلفين‬ ‫عنصرين‬ ‫ألي‬ :‫أن‬ ‫أي‬ Injective Mapping ‫المتباين‬ ‫التطبيق‬ : ً‫ا‬‫ثاني‬ 1) ∀x1 ,x2 ∈ A , x1 ≠ x2 ⇒ R x1( ) ≠ R x2( ) 2) ∀x1, x2 ∈ A , R x1( ) = R x2( ) ⇒ x1 = x2 ff, ‫المجال‬ ‫عناصر‬ ‫من‬ ‫مختلفان‬ ‫عنصران‬ ‫وجد‬ ‫اذا‬ ‫متباين‬ ‫غير‬ ‫التطبيق‬ ‫يكون‬ . ‫المقابل‬ ‫المجال‬ ‫في‬ ‫الصورة‬ ‫نفس‬ ‫لهما‬ ‫مالحظه‬ ‫العراق‬ ‫سوريا‬ ‫مصر‬ ‫االردن‬ A ‫بغداد‬ ‫دمشق‬ ‫القاهرة‬ ‫عمان‬ B 1) ∀x1 ,x2 ∈ A , x1 ≠ x2 ⇒ R x1( ) ≠ R x2( ) 2) ∀x1, x2 ∈ A , R x1( ) = R x2( ) ⇒ x1 = x2 ff, =
  • 18.
    18 . ‫لها‬ ‫السهمي‬‫المخطط‬ ‫ارسم‬ ‫ثم‬ ‫متباينة‬ ‫االتية‬ ‫التطبيقات‬ ‫أي‬ ‫بين‬ f : A B ‫كان‬ ‫واذا‬ B = } 1 , 4 , 9 , 16 { ‫و‬ A= } 1 , 2 , 3 , 4 { ‫كانت‬ ‫اذا‬ )1 . f(x) = x2 ‫حيث‬ /‫احلل‬ f(x) = x 2 f (1) = (1) 2 = 1 f (2) = (2) 2 = 4 f(3) = (3)2 = 9 f(4) = (4)2 = 16 ∴ f = { ( 1 , 1 ) , ( 2 , 4 ) , ( 3 , 9 ) , ( 4 , 16 ) } .‫المقابل‬ ‫المجال‬ ‫في‬ ‫مختلفتان‬ ‫صورتان‬ ‫لهما‬ ‫المجال‬ ‫من‬ ‫مختلفين‬ ‫عنصرين‬ ‫لكل‬ ‫النه‬ ‫متباين‬ f ∴ ‫كاالتي‬ ً‫ا‬‫معرف‬ ً‫ا‬‫تطبيق‬ g : A A ‫وكان‬ A = } 1 , 2 , 3 , 4 , 5 { ‫كانت‬ ‫اذا‬ )2 g = { ( 1 , 4 ) , ( 2 , 2 ) , ( 3 , 1 ) , ( 4 , 2 ) , ( 5 , 4 ) } /‫احلل‬ ‫وكذلك‬ g (2) = g (4) = 2 ‫بينما‬ 2 ≠ 4 ‫الن‬ ‫متباين‬ ‫غير‬ ‫التطبيق‬ g (1) = g (5) = 4 ‫بينما‬ 1 ≠ 5 f(x) = 3x ‫ان‬ ‫حيث‬ f : N + N ‫كان‬ ‫اذا‬ )3 /‫احلل‬ ( 5 ) ‫مثال‬ 1 4 9 16 1 2 3 4 A B 1 2 3 4 5 1 2 3 4 5 A A f(x) = 3x f (1) = 3 f (2) = 6 f(3) = 9 1 , 2 , 3 , 4 ..... 0 , 1 , 2 , 3 , 4 , 5 , 6 , 7 , 8 , 9 , .... ‫املجال‬ ‫املجال‬ ‫املقابل‬ N + N
  • 19.
    19 ( 6 )‫مثال‬ Bijective Mapping ‫تقابل‬ ‫التطبيق‬ : ً‫ا‬‫ثالث‬ ( 7 ) ‫مثال‬ .‫المقابل‬ ‫المجال‬ ‫في‬ ‫مختلفتان‬ ‫صورتان‬ ‫لهما‬ ‫المجال‬ ‫في‬ ‫مختلفين‬ ‫عنصرين‬ ‫كل‬ ‫الن‬ ‫متباين‬ ‫التطبيق‬ . ‫منتهيتين‬ ‫غير‬ ‫مجموعتان‬ ‫المقابل‬ ‫والمجال‬ ‫المجال‬ ‫ان‬ ‫الحظ‬ f : A B ‫وكان‬ B = }2 , 5 , 10 { ‫و‬ A = } -1 , 2 , 3 , 1 { ‫كانت‬ ‫اذا‬ ‫متباين؟‬ ‫هل‬ . f(x) = x 2 + 1 f (1) = f ( -1 ) = 2 ‫بينما‬ 1 ≠ -1 ‫ألن‬ ‫متباين‬ ‫غير‬ ‫التطبيق‬ / ‫احلل‬ -: ‫اآلتيين‬ ‫الشرطين‬ ‫حقق‬ ‫اذا‬ ً‫ال‬‫تقاب‬ ‫التطبيق‬ ‫يكون‬ . ً‫ال‬‫شام‬ ‫التطبيق‬ )1 . ً‫ا‬‫متباين‬ ‫التطبيق‬ )2 B = { 0 , 2 , 3 , 8 } , A = { 1 , 2 , 3 { ‫كانت‬ ‫اذا‬ f ‫التطبيق‬ ‫نوع‬ ‫اذكر‬ )2 , ‫المدى‬ )1 ‫جد‬ f (x) = x 2 - 1 ‫بحيث‬ f : A B ‫للتطبيق‬ ‫السهمي‬ ‫المخطط‬ ‫ارسم‬ )3 f(x) = x 2 - 1 )1 /‫احلل‬ f (1) = (1)2 - 1 = 0 f (2) = (2)2 - 1 = 3 f(3) = (3)2 - 1 = 8 ∴ Range = { 0 , 3 , 8 } ‫المدى‬ ‫المقابل‬ ‫المجال‬ ≠ ‫المدى‬ ‫او‬ ‫المجال‬ ‫في‬ ‫لعنصر‬ ‫صورة‬ ‫ليس‬ 2 ‫الن‬ ٍ‫شامل‬ ‫غير‬ ‫التطبيق‬ )2 . ً‫ال‬‫شام‬ ‫ليس‬ ‫النه‬ ً‫ال‬‫تقاب‬ ‫ليس‬ ، ً‫ا‬‫متباين‬ ‫التطبيق‬ f(x)
  • 20.
    20 ‫السهمي‬ ‫المخطط‬ )3 ‫االعداد‬‫مجموعة‬ Z ‫حيث‬ f ‫التطبيق‬ ‫نوع‬ ‫بين‬ f (x) = 2 x2 - 3 ‫حيث‬ ، f : Z Z ‫كانت‬ ‫اذا‬ . ‫الصحيحة‬ f(x) =2 x 2 -3 /‫احلل‬ f (-2) = 2 (-2) 2 -3 = 8 - 3 = 5 f (-1) = 2 (-1) 2 -3 = 2 - 3 = -1 f(0) = 2(0)2 - 3 = -3 f(1) = 2(1)2 - 3 = 2 -3 = -1 f(2) = 2(2)2 - 3 = 8 -3 = 5 ‫المقابل‬ ‫المجال‬ ≠ ‫المدى‬ ‫الن‬ ً‫ال‬‫شام‬ ‫ليس‬ ‫التطبيق‬ : ً‫ال‬‫او‬ -1 ≠1 ‫بينما‬ f (-1) = f (1) = -1 ‫الن‬ ً‫ا‬‫متباين‬ ‫ليس‬ ‫التطبيق‬ : ً‫ا‬‫ثاني‬ .ً‫ال‬‫تقاب‬ ‫ليس‬ ‫التطبيق‬ :ً‫ا‬‫ثالث‬ ( 8 ) ‫مثال‬ 0 2 3 8 1 2 3 A B ∴ ‫مالحظة‬‫مجموعة‬ Z ‫الن‬ ‫التطبيق‬ ‫لهذا‬ ‫كامل‬ ‫مخطط‬ ‫رسم‬ ‫اليمكن‬ ‫منتهية‬ ‫غير‬ Z Z... , -3 , -2 , -1 , 0 ,1 , 2 , 3 , 4 , 5 , .... ... , -2 , -1 , 0 , 1 , 2 , .....
  • 21.
    21 1 - 3‫للتطبيق‬‫البياني‬ ‫املخطط‬ . ‫سهمية‬ ‫مخططات‬ ‫شكل‬ ‫على‬ ‫التطبيقات‬ ‫مثلنا‬ ‫السابقة‬ ‫االمثلة‬ ‫في‬ ً‫ا‬‫تطبيق‬ r : A B ‫كان‬ ‫عندما‬ ً‫ال‬‫مث‬ A = { 1, 2 , 3 , 4 { B = { 2 , 3 4 , 5 { r = { ( 1 , 2 ) , ( 2 , 3 ) , ( 3 , 4 ) , ( 4 , 5 ) } ‫حيث‬ ‫هو‬ r ‫للعالقة‬ ‫السهمي‬ ‫المخطط‬ ‫فأن‬ . ‫الشكل‬ ‫في‬ ‫كما‬ ‫بياني‬ ‫بمخطط‬ ‫المرتبة‬ ‫االزواج‬ ‫خالل‬ ‫من‬ r ‫العالقة‬ ‫تمثيل‬ ً‫ا‬‫ايض‬ ‫ويمكن‬ 2 3 4 5 1 2 3 4 A B y 1 2 3 4 5 1 2 3 4 5 60 x
  • 22.
    22 A = {1, 2 , 3 { ‫كان‬ ‫اذا‬ B = { 3 , 5 , 2 { r : A B r = { ( 1 , 3 ) , ( 2 , 5 ) , ( 3 , 2 ( { ‫حيث‬ .‫للتطبيق‬ ‫السهمي‬ ‫المخطط‬ ‫إرسم‬ )1 . ‫للتطبيق‬ ‫البياني‬ ‫المخطط‬ ‫إرسم‬ )2 . ‫التطبيق‬ ‫نوع‬ ‫بين‬ )3 ‫سهمي‬ ‫بمخطط‬ )1( /‫احلل‬ ‫البياني‬ ‫المخطط‬ )2( ) ‫تقابل‬ ، ‫متباين‬ ،‫(شامل‬ ‫التطبيق‬ )3( ( 1 ) ‫مثال‬ 2 3 5 1 2 3 A B y 1 2 3 4 5 1 2 3 4 5 60 X
  • 23.
    23 f : AB ‫كان‬ ‫اذا‬ A = { -1 , 2 , -2 { B = { 1 , 4 { f ( x ) = x 2 ‫وكانت‬ ‫نوعه‬ ‫وبين‬ ‫للتطبيق‬ ‫البياني‬ ‫المخطط‬ ‫أرسم‬ / ‫احلل‬ f(x) = x 2 ∴ f (-1) = (-1) 2 = 1 f (2) = (2) 2 = 4 f(-2) = (-2)2 = 4 f = {(-1 , 1) , ( 2 , 4 ) , ( -2 , 4 ) } } 1 , 4 { = ‫المدى‬ ‫المقابل‬ ‫المجال‬ = ‫المدى‬ ‫الن‬ ‫شامل‬ ‫التطبيق‬ ‫ألن‬ ‫متباينا‬ ‫ليس‬ ‫التطبيق‬ 2 ≠ -2 ⇒ f(2) = f(-2) ً‫ا‬‫متباين‬ ‫ليس‬ ‫النه‬ ً‫ال‬‫تقاب‬ ‫ليس‬ ‫التطبيق‬ y X 1 2 3 4 5 1 2 3 4 5 60-1-2 ( 2 ) ‫مثال‬
  • 24.
    24 :‫البياني‬ ‫بالمخطط‬ ‫ممثلة‬r : A { 2 , 5 , 8 , 11{ ‫كان‬ ‫اذا‬ . ‫التطبيق‬ ‫نوع‬ ‫بين‬ )3 ‫المدى‬ )2 r , A )1 )1( / ‫احلل‬ r ‫العالقة‬ ‫نجد‬ ‫البياني‬ ‫المخطط‬ ‫من‬ )2( ‫المقابل‬ ‫المجال‬ ≠ ‫المدى‬ ‫الن‬ ً‫ال‬‫شام‬ ‫ليس‬ ‫التطبيق‬ )3( ‫متباين‬ ‫التطبيق‬ ً‫ال‬‫شام‬ ‫ليس‬ ‫النه‬ ً‫ال‬‫تقاب‬ ‫ليس‬ ‫التطبيق‬ ( 3 ) ‫مثال‬ y X 1 2 3 4 5 6 7 8 1 2 3 40 9 10 11 }8 , 5 , 11 { = ‫المدى‬ A = 1,2,3{ } r = 1,5( ), 2,8( ) , 3,11( ){ } :‫جد‬
  • 25.
    25 /‫تعريف‬ :‫التطبيقات‬ ‫تركيب‬ ‫قاعدة‬ ‫بتأثير‬‫المجال‬ ‫عناصر‬ ‫صور‬ ‫إيجاد‬ ‫وكيفية‬ ‫وانواعه‬ ‫التطبيق‬ ‫تعريف‬ ‫على‬ ‫الفصل‬ ‫هذا‬ ‫في‬ ‫تعرفنا‬ . ‫فأن‬ f x( ) = x2 +1 ‫حيث‬ f:Q → Q ‫كانت‬ ‫إذا‬ : ً‫ال‬‫مث‬ ،‫اإلقتران‬ ‫نوضحه‬ g ، f ،‫معلومين‬ ‫تطبيقين‬ ‫تركيب‬ ‫من‬ ‫ناتج‬ ‫التطبيقات‬ ‫من‬ ‫آخر‬ ‫نوع‬ ‫على‬ ‫نتعرف‬ ‫سوف‬ ‫واآلن‬ :‫اآلتي‬ ‫بالتعريف‬ ‫صورة‬ ‫وأن‬ g x( )‫هي‬ g ‫التطبيق‬ ‫بتأثير‬ x ‫صورة‬ ‫فأن‬ g ‫مجال‬ ‫في‬ ً‫ا‬‫عنصر‬ x ، ً‫ا‬‫تطبيق‬ g ، f ‫من‬ ‫كل‬ ‫ليكن‬ ‫تركيب‬ (( ‫الجديد‬ ‫التطبيق‬ ‫هذا‬ ‫يسمى‬ f g x( )( ) ‫هي‬ f ‫التطبيق‬ ‫بتأثير‬ g x( ) ‫الجديد‬ ‫االعنصر‬ : ‫التالي‬ ‫المخطط‬ ‫ويوضحه‬ )) f ، g ‫االتطبيقين‬ )fog( ‫بالرمز‬ f g x( )( ) ‫لـ‬ ‫نرمز‬ ‫سوف‬ . g ‫تركيب‬ f ‫هي‬ )fog( ‫قراءة‬ ‫وأن‬ fog( ) x( ) = f g x( )( ) :‫أن‬ ‫أي‬ : f ‫تركيب‬ g ‫يقرأ‬ ‫فأنه‬ )gof( ‫اآلخر‬ ‫التركيب‬ ‫إيجاد‬ ‫عند‬ : ‫ان‬ ‫اي‬ 1 - 4‫التطبيقات‬ ‫تركيب‬ Composition of Mappings fog x g(x( f(g(x(( fg gof( ) x( ) = g f x( )( ) f 1 2 ⎛ ⎝ ⎜ ⎞ ⎠ ⎟ = 1 4 + 1 = 5 4
  • 26.
    26 f g x()( ) ‫نجد‬ ‫كيف‬ . g x( ) ‫أي‬ g ‫التطبيق‬ ‫إقتران‬ ‫قاعدة‬ ‫في‬ x ‫صورة‬ ً‫ال‬‫أو‬ ‫نجد‬ * . f g x( )( ) ‫أي‬ f ‫التطبيق‬ ‫إقتران‬ ‫قاعدة‬ ‫في‬ g x( ) ‫صورة‬ ‫نجد‬ ‫ثم‬ * :‫محلولة‬ ‫أمثلة‬ g : N N ‫وان‬ f (x) = 4 x + 3 ‫حيث‬ f : { 1 , 2 , 3 } N ‫ليكن‬ . gof ‫مدى‬ ‫ايجاد‬ ‫والمطلوب‬ g(x) = x + 1 ‫حيث‬ : ‫المخطط‬ ‫الحظ‬ { 8 , 12 , 16 } = ( gof ) ‫مدى‬ ∴ ( 1 ) ‫مثال‬ f (3) = 4 (3) + 3 = 15x = 3 g (15) = 15 + 1 =16 g(f(3(( = 16 f (2) = 4 (2) + 3 = 11x = 2 g (11) = 11 + 1 =12 g(f(2(( = 12 f (1) = 4 (1) + 3 = 7x = 1 f(1)=7 g (7) = 7 + 1 = 8 g(f(1(( = 8 f(2)=11 f(3)=15
  • 27.
    27 f : NN , f (x) = 2x + 1 ‫كان‬ ‫اذا‬ g : N N , g (x) = x 2 f(1) , g (1( :ً‫ال‬‫او‬ ‫جد‬ ‫؟‬ ‫تالحظ‬ ‫ماذا‬ )gof)(3) , (fog) (3( : ً‫ا‬‫ثاني‬ /‫احلل‬ f (x) = 2 x + 1 ⇒ f(1) = 2(1) +1 : ً‫ال‬‫او‬ f(1) = 3 g (x) = x 2 ⇒ g(1) = (1)2 g(1) = 1 ‫لنجد‬ : ً‫ا‬‫ثاني‬ A = { 1 , 2 , 3 { ‫كانت‬ ‫اذا‬ f : A A ‫وكان‬ f = {( 1 , 3 ) , ( 3 , 3 ) , ( 2 , 3 ( { g = { ( 3 , 1 ) , ( 1 , 2 ) , ( 2 , 3 ( { gof , fog ‫جد‬ ( 3 ) ‫مثال‬ ( 2 ) ‫مثال‬ (gof) (3) (gof) (3) = g ( f (3)) = g (2(3)+1) = g(7 ) =(7)2 = 49 (fog) (3) (fog) (3) = f (g (3)) = f (32 ) = f(9 ) =2(9) + 1 =19 (fog) (3) ≠ (gof) (3) ‫ان‬ ‫الحظ‬ g : A A
  • 28.
    28 /‫احلل‬ fog ‫نجد‬ /ً‫ال‬‫او‬ ) fog) (1) = f(g(1)) = f (2) = 3 ) fog) (2) = f(g(2)) = f (3) = 3 ) fog) (3) = f(g(3)) = f (1) = 3 ∴ fog = } )1 , 3 ( , ) 2 , 3 ( , ) 3 , 3({ gof ‫نجد‬ / ً‫ا‬‫ثاني‬ ) gof) (1) = g(f(1)) = g (3) = 1 ) gof) (2) = g(f(2)) = g (3) = 1 ) gof) (3) = g(f(3)) = g (3) = 1 ∴ gof = } ) 1 , 1 ( , ) 2 , 1 ( , ) 3 , 1({ ‫؟‬ ‫تالحظ‬ ‫ماذا‬ f : Z Z , x ∈ Z , x 3x + 1 g :Z Z , x ∈ Z , x 2x+ 5 ) fog ) (x) = 28 ‫كان‬ ‫اذا‬ x ‫قيمة‬ ‫جد‬ ) fog) (x) = f(g(x)) = f (2x + 5( /‫احلل‬ = 3 ( 2x + 5 ) + 1 = 6x + 15 + 1 = 6x + 16 ∵ )fog) (x) = 28 ∴ 6x + 16 = 28 6x = 28 -16 6x = 12 ⇒ x = 2 ( 4 ) ‫مثال‬
  • 29.
    29 g (x) =x2 + 3 ‫حيث‬ g : Z N ‫كان‬ ‫اذا‬ /1‫س‬ . ‫مرتبة‬ ‫ازواج‬ ‫شكل‬ ‫على‬ ‫عناصرها‬ ‫بذكر‬ g ‫اكتب‬ * .‫المدى‬ ‫اكتب‬ * .‫التطبيق‬ ‫نوع‬ ‫بين‬ * f (x) = 5x + 2 ‫حيث‬ f : N N ‫كان‬ ‫اذا‬ /2‫س‬ g (x) = x + 3 ‫حيث‬ g : N N . ‫المرتبة‬ ‫االزواج‬ ‫بذكر‬ fog ‫اكتب‬ * . fog ‫مدى‬ * .fog ‫التطبيق‬ ‫نوع‬ ‫بين‬ * f (x) = 6x - 1 ‫حيث‬ f : Q Q ‫كان‬ ‫س3/اذا‬ g (x) = x2 + 1 ‫حيث‬ g : Q Q . ) fog ) (x) = 17 ‫ان‬ ‫علمت‬ ‫اذا‬ x ‫قيمة‬ ‫جد‬ 1 2 1 2
  • 30.
    30 f (x) =x 3 ‫حيث‬ f : Z Z ‫كان‬ ‫اذا‬ /4 ‫س‬ g (x) = 7 ‫حيث‬ g : Z Z -49 ، 343 ، -7 ، 7 : ‫يساوي‬ )fog)(-1( ∗ :‫فأن‬ 1 ، -1 ، -7 ، 7 : ‫يساوي‬ ∗ f (x) = 3x + 4 ‫حيث‬ f : Q Q ‫كان‬ ‫اذا‬ /5 ‫س‬ g (x) = 1-2 x ‫حيث‬ g : Q Q , )fog( )3( ‫جد‬ ∗ . x ‫قيمة‬ ‫فجد‬ ‫كان‬ ‫اذا‬ ∗ f (x) = 4 x -3 ‫حيث‬ f : { 1 , 2 , 3 ,.... } Z ‫كان‬ ‫اذا‬ /6 ‫س‬ . ‫التطبيق‬ ‫مدى‬ ‫اكتب‬ )1 . ‫عناصره‬ ‫بذكر‬ f ‫التطبيق‬ ‫بيان‬ )2 .‫التطبيق‬ ‫نوع‬ )3 . x ‫قيمة‬ ‫جد‬ f(x) = 53 ‫كان‬ ‫اذا‬ )4 . x ‫قيمة‬ ‫)جد‬f of) (x) = 1 ‫كان‬ ‫اذا‬ )5 (gog)(x) (gof)(-1) (gof)(x)=-43
  • 31.
    31 .‫االعداد‬ ‫من‬ ‫املزيد‬‫الى‬ ‫احلاجة‬ ] 2 - 1[ . ‫احلقيقية‬ ‫االعداد‬ ‫خواص‬ ] 2 - 2[ . ‫التربيعية‬ ‫اجلذور‬ ] 2 - 3[ . ‫التكعيبية‬ ‫اجلذور‬ ] 2 - 4[ ‫احلقيقية‬ ‫األعداد‬ Real Numbers 3 a.b3 =a3 .b3a b 3= a3 b3 ‫الرياضية‬ ‫العالقة‬ ‫او‬ ‫الرمز‬ ‫املصطلح‬ R ‫احلقيقية‬ ‫االعداد‬ Q ‫النسبية‬ ‫االعداد‬ H ‫النسبية‬ ‫غير‬ ‫االعداد‬ ‫التربيعي‬ ‫اجلذر‬ ‫التكعيبي‬ ‫اجلذر‬ 2‫الثاني‬ ‫الفصل‬
  • 32.
    : ‫هي‬ ‫اساسية‬‫مجموعات‬ ‫على‬ ‫دراستنا‬ ‫من‬ ‫سابقة‬ ‫مراحل‬ ‫في‬ ‫تعرفنا‬ . N = { 0 , 1 , 2 , 3 , 4 , ....} (Natural Numbers ( ‫الطبيعية‬ ‫االعداد‬ ‫مجموعة‬ . 1 }... , -3 , -2 , -1 , 0 , +1 , +2 , +3 , ...{ ) (‫الصحيحة‬ ‫االعداد‬ ‫مجموعة‬ .2 Q = { a b : a , b ∈ Z , b ≠ 0 { ) ( ‫النسبية‬ ‫االعداد‬ ‫مجموعة‬ . 3 ‫المعادالت‬ ‫بعض‬ ‫حل‬ ‫من‬ ‫ذلك‬ ‫مكننا‬ ‫وقد‬ ‫قبلها‬ ‫التي‬ ‫المجموعة‬ ‫تحوي‬ ‫منها‬ ‫مجموعة‬ ‫كل‬ ‫ان‬ ‫والحظنا‬ ‫)حيث‬x=-2( ‫قيمة‬ ‫الن‬ )N( ‫في‬ ‫حل‬ ‫لها‬ ‫ليست‬ ) x + 2 = 0 ( ‫المعادلة‬ ً‫ال‬‫فمث‬ ‫والمسائل‬ . ‫سالبة‬ ً‫ا‬‫اعداد‬ ‫تحوي‬ ‫النها‬ ‫وامثالها‬ ‫المعادلة‬ ‫هذه‬ ‫حل‬ ‫على‬ ‫قادرة‬ Z ‫لتصبح‬ )N( ‫وسعت‬ ‫لذلك‬ ‫هكذا‬ 3 2 ∌ Z ، y = 3 2 ‫قيمة‬ ‫الن‬ Z ‫في‬ ‫حل‬ ‫لها‬ ‫ليست‬ ) 2y - 3 = 0 ( ‫المعادلة‬ ‫كذلك‬ ‫مجموعة‬ ‫حيث‬ ) ax + b = 0 , a ≠ 0 ( ‫بالصورة‬ ‫معادلة‬ ‫الية‬ ً‫ال‬‫ح‬ ‫لتوفر‬ )Q( ‫المجموعة‬ ‫اوجدت‬ .} - b a {‫الحل‬ ‫النه‬ ) x2 = 3 ( ‫المعادلة‬ ً‫ال‬‫مث‬ Q ‫في‬ ‫حلها‬ ‫تستطيع‬ ‫ال‬ ‫والمسائل‬ ‫المعادالت‬ ‫من‬ ‫العديد‬ ‫هناك‬ ‫لكن‬ ‫(مجموعة‬ ‫ميت‬ ُ‫س‬ ‫االعداد‬ ‫من‬ ‫جديدة‬ ‫مجموعة‬ ‫الى‬ ‫الحاجة‬ ‫دعت‬ ‫لذلك‬ . )3( ‫مربعه‬ ‫نسبي‬ ‫عدد‬ ‫اليوجد‬ ‫المعادالت‬ ‫من‬ ‫الكثير‬ ‫حل‬ ‫خاللها‬ ‫من‬ ‫لنستطيع‬ )R( ‫لها‬ ‫ويرمز‬ )Real Numbers ‫الحقيقية‬ ‫االعداد‬ .‫والمسائل‬ : ‫ان‬ ‫واضح‬ Ingteres Rational Numbers -2 ∉ N N ⊂ Z ⊂ Q ⊂ R N Z Q R Z = ‫االعداد‬ ‫من‬ ‫مزيد‬ ‫الى‬ ‫احلاجة‬ ‫الفصل‬ 2 2 - 1 H
  • 33.
    33 )H) Irrational Numbers‫النسبية‬ ‫غير‬ ‫االعداد‬ .4 }- , , 7 , 4 . 14{ ‫الشكل‬ ‫على‬ ‫ليست‬ ‫اعداد‬ ‫الى‬ ‫الحاجة‬ ‫توضحت‬ ‫سبق‬ ‫ما‬ ‫كل‬ ‫من‬ . ) b ≠ 0 ، ‫صحيحة‬ ‫اعداد‬ a , b ‫حيث‬ ‫بالصورة‬ ‫وضعها‬ ‫يمكن‬ ‫ال‬ ‫(اي‬ ‫االعداد‬ ‫مربعات‬ ‫انها‬ ‫اي‬ ( ‫كاملة‬ ‫مربعات‬ ‫سميت‬ ‫نسبية‬ ‫اعداد‬ ‫على‬ ً‫ال‬‫مفص‬ ‫تعرفنا‬ ‫السابقة‬ ‫المرحلة‬ ‫وفي‬ . B ∈ Q ‫حيث‬ ) B 2 ( ‫وصورتها‬ )‫نسبية‬ . 25 = 52 , 4 = 22 ً:‫مثال‬ .‫الخ‬ .. 49 64 = 7 8 , 25 = 5, 4 = 2 ‫نسبية‬ ‫اعداد‬ ‫هي‬ ‫االعداد‬ ‫لهذه‬ ‫التربيعية‬ ‫والجذور‬ ‫ليست‬ ً‫ا‬‫اعداد‬ ‫التربيعية‬ ‫جذورها‬ ‫تكون‬ 5 ، 3 ، 2 ً‫ال‬‫مث‬ ‫كاملة‬ ‫مربعات‬ ‫ليست‬ ‫التي‬ ‫النسبية‬ ‫االعداد‬ ‫اما‬ 1000 ، 27 ، 8 ‫كاالعداد‬ ) ‫الكاملة‬ ‫(المكعبات‬ ‫النسبية‬ ‫االعداد‬ ‫كذلك‬(... 5, 3, 2) ‫نسبية‬ . ‫نسبية‬ ‫اعداد‬ ‫التكعيبية‬ ‫جذورها‬ ‫تكون‬ ‫اتحاد‬ ‫وان‬ ‫نسبية‬ ‫ليست‬ ‫التكعيبية‬ ‫جذورها‬ ‫تكون‬ : ً‫ال‬‫مث‬ ‫االخرى‬ ‫واالعداد‬ . R ‫الحقيقية‬ ‫األعداد‬ ‫مجموعة‬ ‫يمثل‬ ” H ‫النسبية‬ ‫غير‬ ‫واالعداد‬ Q ‫النسبية‬ ‫“االعداد‬ ‫المجموعتين‬ ‫االعداد‬ ‫مستقيم‬ ‫سالبة‬ ‫اعداد‬ ‫موجبة‬ ‫اعداد‬ 1 5 2 3 a b R = Q ∪ H 10003 = 10 , 273 = 3 , 83 = 2 53 , 33 , 23 -3 -2 -1 1 2 3 (... 5, 3, 2) 1 2 - O
  • 34.
    34 2 - 2‫احلقيقية‬‫االعداد‬ ‫خواص‬ ً‫ال‬‫او‬ : ‫يلي‬ ‫ما‬ ‫وتتضمن‬ ‫الحقيقية‬ ‫االعداد‬ ‫لمجموعة‬ ‫المهمة‬ ‫الخواص‬ ‫من‬ ‫الخاصية‬ ‫هذه‬ ‫عتبر‬ُ‫ت‬ : ‫صائبة‬ ‫االتية‬ ‫الحاالت‬ ‫من‬ ‫فقط‬ ‫واحدة‬ ‫فان‬ a ∈ R ‫كان‬ ‫اذا‬ .1 ‫االعداد‬ ‫خط‬ ‫على‬ ‫الصفر‬ ‫يمين‬ ‫على‬ ‫يقع‬ )‫موجب‬ ‫(عدد‬ a 0 , a = 0 ‫االعداد‬ ‫خط‬ ‫على‬ ‫الصفر‬ ‫يسار‬ ‫على‬ ‫يقع‬ )‫سالب‬ ‫(عدد‬ a 0 : ‫تتحقق‬ ‫العالقات‬ ‫هذه‬ ‫من‬ ‫فقط‬ ‫واحدة‬ ‫فان‬ a , b ∈ R ‫كان‬ ‫اذا‬ .2 a = b , a b , a b a , b , c ∈ R ‫لكل‬ ‫والضرب‬ ‫الجمع‬ 0 ‫موجب‬‫سالب‬ a=0 a0a0 Property ‫اخلاصية‬Addition ‫اجلمع‬Multiplication ‫الضرب‬ clousre ‫االنغالق‬a +b ∈ Ra . b ∈ R Commutativity ‫االبدالية‬a + b = b + aa. b = b . a Associativity ‫التجميعية‬) a +b ) + c = a +( b + c() a . b ).c = a . (b . c( ‫احملايد‬ ‫العنصر‬ Idetity Element a + 0 = 0 + a = a 0 ‫هو‬ ‫احملايد‬ ‫العنصر‬ a.1 = 1.a =a 1 ‫هو‬ ‫احملايد‬ ‫العنصر‬ Inverse ‫النظير‬‫اجلمعي‬ ‫النظير‬ Additive Inverse a + (-a ) = ( -a) +a =0 ‫الضربي‬ ‫النظير‬ Multiplicative Inverse a ‫للعدد‬ ‫الضربي‬ ‫النظير‬ , a ≠ 0 ‫حيث‬ ‫هو‬1 a 1 a a . ( ) = ( ). a = 11 a Order Property ‫الترتيب‬ ‫خاصية‬ ]2 - 2 - 1[ ‫الحقيقية‬ ‫االعداد‬ ‫على‬ ‫العمليات‬ ‫بعض‬ ‫خواص‬ ]2 - 2 - 2[
  • 35.
    35 ‫والقسمة‬ ‫الطرح‬ ‫النظير‬ ‫مع‬a ‫جمع‬ . ‫يعني‬ a ‫من‬ b ‫طرح‬ ‫اي‬ a - b = a + (-b ( : ‫االتي‬ ‫بالشكل‬ ‫يعرف‬ :‫الطرح‬ .b ‫للعدد‬ ‫الجمعي‬ ‫ضرب‬ ‫حاصل‬ ‫تعني‬ b ‫على‬ a ‫قسمة‬ ‫اي‬ a ÷ b = a . , b ≠ 0 : ‫االتي‬ ‫بالشكل‬ ‫تعرف‬ :‫القسمة‬ b ≠ 0 ‫ان‬ ‫شرط‬ b ‫للعدد‬ ‫الضربي‬ ‫النظير‬ ‫في‬ a ‫العدد‬ ‫والطرح‬ ‫الجمع‬ ‫على‬ ‫الضرب‬ ‫عملية‬ ‫توزيع‬ a , b , c ∈ R ‫لكل‬ a . ( b + c ) = ( a . b ) + ( a . c ) a . ( b - c ) = ( a . b ) - ( a . c ) :‫اي‬ ً‫ا‬‫سابق‬ ‫درستها‬ ‫كما‬ ‫نفسها‬ ‫االشارات‬ ‫ضرب‬ ‫قواعد‬ ‫تطبيق‬ 1) - ( - a ) = a 2) a ( - b ) = - ( ab) 3 ) ( -a ) ( -b ) = ab = , = , a , b , c ∈ R b ≠ 0 , c ≠ 0 :‫كان‬ ‫اذا‬ ً‫ا‬‫ثاني‬ 1 b ً‫ا‬‫ثالث‬ ً‫ا‬‫رابع‬ ً‫ا‬‫خامس‬ a b a . c b . c a b a ÷ c b ÷ c ً‫ا‬‫سادس‬ Distributive property ‫كالهما‬ ‫او‬ b = 0 ‫او‬ a = 0 ‫فان‬ a . b = 0)‫الصفري‬ ‫العامل‬ ‫(خاصية‬Zero Factor Property ‫لكل‬
  • 36.
    36 ً‫ا‬‫جذر‬ ‫يسمى‬ )a(‫مربعه‬ ‫عدد‬ ‫فاي‬ ) a ≥ 0 ( ً‫ا‬‫سالب‬ ‫ليس‬ ً‫ا‬‫حقيقي‬ ً‫ا‬‫عدد‬ )a( ‫كانت‬ ‫اذا‬ ‫بانه‬ ‫تعلمت‬ ‫ان‬ ‫سبق‬ . a ‫له‬ ‫ويرمز‬ )a( ‫للعدد‬ ً‫ا‬‫تربيعي‬ ، 3 4 ,22 = 4 ‫الن‬ ( 4 = 2)4 ‫للعدد‬ ً‫ا‬‫تربيعي‬ ً‫ا‬‫جذر‬ 2 ‫/العدد‬ ً‫ال‬‫مث‬ . ‫حيث‬ )2-1( ‫تعريف‬ .b2 = a ‫ان‬ ‫أي‬ a ‫مربعه‬ ً‫ا‬‫سالب‬ ‫ليس‬ ً‫ا‬‫حقيقي‬ ً‫ا‬‫عدد‬ b ‫حيث‬ a = b ‫فان‬ a ≥ 0 , a ∈ R ‫لتكن‬ a ‫فان‬ a : ‫كذلك‬ ، a = 32 = 9 ‫فان‬ a ‫كانت‬ ‫اذا‬ : ً‫ال‬‫مث‬ : ‫الجذور‬ ‫خواص‬ ‫ومن‬ b ≥ 0 , a ≥ 0 ‫حيث‬ ‫صحيح‬ ‫والعكس‬ ab = a . b : ‫فان‬ a , b ∈ R ‫كانت‬ ‫اذا‬ - 1 : ‫كذلك‬ / ً‫ال‬‫مث‬ ً‫ال‬‫مث‬ ‫صحيح‬ ‫والعكس‬ ‫و‬ b 0 , a ≥ 0 - 2 10 = 10. 10 , 8. 8 = 8 ‫صحيح‬ ‫والعكس‬ a ≥ 0 , a . a = a - 3 2 - 3‫التربيعية‬ ‫اجلذور‬ 9 16 = 3 4 ⎛ ⎝ ⎜ ⎞ ⎠ ⎟ 9 16 = 3= 3 4 3 . 5 = 1521 = 7. 3 = 9 25 = 9 25 = 3 5 a b a b 3 4 ‫للعدد‬ ً‫ا‬‫تربيعي‬ ً‫ا‬‫جذر‬ = 3 4 ⎛ ⎝ ⎜ ⎞ ⎠ ⎟ 2 = 9 16 ‫وكذلك‬ 4 9 = 4 9 = 2 3 4 9 = 4 9 = 2 3 = 2 3
  • 37.
    37 : ‫صورة‬ ‫ابسط‬‫في‬ ‫ضع‬ a) b) c) d) e) f) )c( ‫الفرع‬ ‫في‬ ‫كما‬ ً‫ة‬‫مباشر‬ )f( ‫حل‬ ‫ميكن‬ ( 1 ) ‫مثال‬ 3 5 +2 5 −6 5 = 5 3+ 2 − 6( ) = 5 −1( ) = − 5 4 3 +1( )+ 3 3 −1( ) = 4 3 + 4 + 3 3 − 3 = 7 3 +1 +( ), ≥ 0 , ≥ 0a b a b 2 2 +5( )−2 1− 3 2( ) = 2. 2 +5 2 −2+6 2 = 2+5 2 −2+6 2 = 2 −2( )+ 5+ 6( ) 2 = 0+11 2 =11 2 7 +2( ) 3+ 7( ) = 3 7 + 7. 7 +6+2 7 = 3 7 + 7+ 6+2 7 = 3+2( ) 7 +13 = 5 7 +13 5 − 2( ) 2 = 5 − 2( ) 5 − 2( ) = 5. 5( )− 5. 2( )− 2. 5( )+ 2. 2( ) = 5 − 5×2 − 2×5 +2 = 5 − 10 − 10 +2 = 7 −2 10 2 = ( ) 2 + 2 +( ) 2 = + 2 +a a b b a ab b.
  • 38.
    38 ( 2 )‫مثال‬ ( 3 ) ‫مثال‬ : ‫مماياتي‬ ً‫ال‬‫ك‬ ‫صورة‬ ‫ابسط‬ ‫في‬ ‫ضع‬ a) 3 8 +2 50 − 32 b) 125 − 20 − 4 45 )a(/‫احلل‬ )b(/ ‫احلل‬ . ً‫ا‬‫نسبي‬ ً‫ا‬‫عدد‬ ‫المقام‬ ‫يكون‬ ‫بحيث‬ − 4 5 , 2 3 , 1 2 ‫االعداد‬ ‫اكتب‬ ‫في‬ ‫والمقام‬ ‫البسط‬ ‫بضرب‬ ‫في‬ ‫والمقام‬ ‫البسط‬ ‫بضرب‬ ‫في‬ ‫والمقام‬ ‫البسط‬ ‫بضرب‬ 3 8 +2 50 − 32 = 3 4 ×2 +2 25× 2 − 16×2 = 3 4. 2 +2 25. 2 − 16. 2 = 3×2 2 +2×5 2 − 4 2 = 6 2 +10 2 − 4 2 =12 2 125 − 20 − 4 45 = 25( ) 5( ) − 4( ) 5( ) − 4 9( ) 5( ) = 25. 5 − 4. 5 − 4 9. 5 = 5 5 −2 5 −12 5 = −9 5 1 2 = 1 2 . 2 2 = 2 2 2 3 = 2 3 . 3 3 = 2 3 3 −4 5 = −4 5 . 5 5 = −4 5 5 2 3 5
  • 39.
    39 ( 5 )‫مثال‬ ( 4 ) ‫مثال‬ ‫صورة‬ ‫ابسط‬ ‫في‬ ‫اختصر‬ :B ‫في‬ ‫الزاوية‬ ‫قائم‬ ‫مثلث‬ A B C :‫المجاور‬ ‫الشكل‬ ‫في‬ . AC ‫طول‬ ‫جد‬ BC = cm , AB = cm ‫؟‬ ‫المثلث‬ ‫مساحة‬ ‫وما‬ / ‫احلل‬ ‫فيثاغورس‬ ‫مبرهنة‬ ‫المثلث‬ ‫مساحة‬ )AC)2 = ( AB )2 + ( BC(2 )AC)2 ∴)AC(2 A = 1 2 × AB × BC A = 1 2 × 3 2 × 6 A = 3 2 2×6 A = 3 2 4 × 3 A = 3 3 A = 1 2 × AB × BC A = 1 2 × 3 2 × 6 A = 3 2 2×6 A = 3 2 4 × 3 A = 3 3 AC( ) 2 = AB( ) 2 + BC( ) 2 = 3 2( ) 2 + 6( ) 2 = 9×2+6 AC( ) 2 = 24 ∴ AC = 24 = 2 6AC 3 4 + 1 3 − 25 12 = 3 4 + 1 3 − 25 12 = 3 2 + 1 3 − 5 4( ) 3( ) = 3 2 + 1 3 . 1 3 − 5 2 3 . 3 3 = 3 2 + 1 3 − 5 3 6 = 3 3 +2 − 5 3 6 = 2 − 2 3 6 = 1− 3 3 3 3 3 − 5 3 = 5 3 − 5 3 6 = 0 6 = 0 2 = ‫المساحة‬∴3 3 A = 1 2 × AB × BC A = 1 2 × 3 2 × 6 A = 3 2 2×6 A = 3 2 4 × 3 A = 3 3 (AB)(BC) 3 2( ) 6( ) A B C 3 2cmcm 6 cm cm cm
  • 40.
    40 2 1 a( :‫صورة‬‫ابسط‬ ‫في‬ ‫يأتي‬ ‫مما‬ ً‫ال‬‫ك‬ ‫ضع‬ / 1‫س‬ b) :‫صورة‬ ‫ابسط‬ ‫في‬ ‫يأتي‬ ‫مما‬ ً‫ال‬‫ك‬ ‫/ضع‬ 2‫س‬ a) b) c) d) e) :‫االتية‬ ‫العبارات‬ ‫خطأ‬ ‫او‬ ‫صحة‬ ‫بين‬ / 3‫س‬ a) b) c) d) : ً‫ا‬‫نسبي‬ ً‫ا‬‫عدد‬ ‫المقام‬ ‫يكون‬ ‫بحيث‬ ‫يأتي‬ ‫مما‬ ‫كل‬ ‫في‬ b ≠ 0 , ‫حيث‬ , a2 ‫جد‬ / 4‫س‬ a) a b) a c) a 1 4 7 - 3 2 5 + 3 4 7 2 3 −5 2 + 3 − 4 2 3 2(4 2 − 3) (2 3 + 5)(3 3 −2 5) (4 6 − 3)2 , (1− 2)3 , ( 3 + 2)2 ( 3 − 2) (1− 2)3 , ( 3 + 2)2 ( 3 − 2) 1- 2( ) 3 a2 b = 2 2 , = 3 = 2 - 2 , = 3 = - 4 3 , = - 2 b b b + − 3 + 3 = 6 8 + 2 = 3 2 12 = 2 6 2 3 × 3 3 = 6 33 3( )2 3( ) a2 b ,
  • 41.
    41 a( -: ‫االتية‬‫المقادير‬ ‫اختصر‬ / 5‫س‬ b) c) d) : ‫هي‬ x ‫قيمة‬ ‫كانت‬ ‫اذا‬ 4x2 - 2x + 5 : ‫االتي‬ ‫المقدار‬ ‫قيمة‬ ‫جد‬ ) a/ 6‫س‬ 14 cm2 ‫تساوي‬ ABCD ‫المستطيل‬ ‫مساحة‬ ‫كانت‬ ‫اذا‬ ‫المجاور‬ ‫الشكل‬ ‫في‬ x ‫قيمة‬ ‫جد‬ )b ABC ‫المثلث‬ ‫مساحة‬ ‫جد‬ )c 48 - 3 75 - 2 12 20 - 12 5 - 5 1 5 5 3 10 - 2 5 6 - 15 32 5 , 1 - 2 , 1 2 ( 2 - 3 ) A D C B - 2( ) + 2( )x x + + A 5 + 2 5 - 2 CB 3 3 ‫حيث‬ x 2 2 63 - 7 2 7 - 3 282 1 7 2 63 - 7 2 7 - 3 28
  • 42.
    42 . a ‫للعدد‬ً‫ا‬‫تكعيبي‬ ً‫ا‬‫جذر‬ ‫يسمى‬ )a( ‫العدد‬ ‫مكعبه‬ ‫عدد‬ ‫اي‬ ‫فان‬ aa ∈ RR ‫كان‬ ‫اذا‬ )2-2( ‫تعريف‬ a ‫مكعبه‬ ‫الذي‬ ‫الوحيد‬ ‫الحقيقي‬ ‫العدد‬ ‫هو‬ b ‫حيث‬ a = b ‫فان‬ a R ‫كان‬ ‫اذا‬ b3 = a : ‫ان‬ ‫اي‬ : ً‫ال‬‫فمث‬ ‫وحيد‬ ‫تكعيبي‬ ‫جذر‬ ‫حقيقي‬ ‫عدد‬ ‫لكل‬ ‫ان‬ ‫يالحظ‬ ( 273 = 3) ‫ان‬ ‫(72)اي‬ ‫للعدد‬ ‫التكعيبي‬ ‫الجذر‬ ‫هو‬ )3( ( −643 = −4) ‫ان‬ ‫اي‬ )-64( ‫للعدد‬ ‫التكعيبي‬ ‫الجذر‬ ‫هو‬ )-4( ‫ان‬ ‫اي‬8 125 3 = 2 5 , 8 125 ‫للعدد‬ ‫التكعيبي‬ ‫الجذر‬ ‫هو‬ ) 2 5 ( 2 - 4 ‫التكعيبية‬ ‫اجلذور‬ a ∈ R 8 125 3 = 2 5 , 8 125 ( ) 33 : ‫انه‬ ‫سبق‬ ‫مما‬ ‫نستنتج‬ )‫(سالب‬ b 0 ‫فان‬ a 0 ‫كان‬ ‫اذا‬ )*( )‫(موجب‬b 0 ‫فان‬ a 0 ‫كان‬ ‫اذا‬ )*( b = 0 ‫فان‬ a = 0 ‫كان‬ ‫اذا‬ )*( a 0a 0 a 0 a 0 ‫مالحظة‬
  • 43.
    43 : ‫فان‬ a, ba,b ∈ RR ‫كان‬ ‫اذا‬ a . b = a . b a . a = a3 = a a . a = a2 ≠ a 543 − 3 163 − 4 1283 : ‫التالي‬ ‫المقدار‬ ‫بسط‬ / ‫احلل‬ ‫االقل‬ ‫على‬ ‫كامل‬ ‫مكعب‬ ‫احدهما‬ ‫عاملين‬ ‫الى‬ 128 ، 16 ، 54 ‫االعداد‬ ‫نحلل‬ ( 1 ) ‫مثال‬ 3 3 3 3 = , b ≠ 0 a b 3 3 a b 3 3 3 3 3 3 1) ‫صحيح‬ ‫والعكس‬ 2) 3) ‫صحيح‬ ‫والعكس‬ ‫صحيح‬ ‫والعكس‬3 3 33 3 32 4) 3 3 33 3 3 ‫ان‬ ‫الحظ‬ : ‫التكعيبية‬ ‫الجذور‬ ‫خواص‬ ‫من‬ = 33 2 − 3 × 23 2 - 4 × 43 2 3 54 =3 27 . 2 = 3 27 . 3 2 = 33 2 163 = 83 . 23 = 2 23 1283 = 643 . 23 = 4 23 = −19 23 ∴ 543 − 3 163 − 4 1283 3 3
  • 44.
    44 3 -a = 3 a 5 1 16 3− 323 − 3 −1 2 3 : ‫التالي‬ ‫المقدار‬ ‫بسط‬ / ‫احلل‬ : ‫مالحظة‬ : ‫فان‬ aa 00 ‫كانت‬ ‫اذا‬ = 5 1 16 × 4 4 3 − 8× 43 + 3 1 2 × 4 4 3 = 5 4 64 3 −2 43 + 3 4 8 3 = 5 43 4 −2 43 + 3 43 2 = 5 43 −8 43 +6 43 4 .‫اجلانبية‬ ‫ومساحته‬ ‫حجمه‬ ‫جد‬ ‫ضلعه‬ ‫طول‬ ‫مكعب‬ .A ‫الجانبية‬ ‫ومساحته‬ v ‫المكعب‬ ‫حجم‬ ‫نفرض‬ / ‫احلل‬ ‫واحد‬ ‫وجه‬ ‫مساحة‬ × 4 = ‫للمكعب‬ ‫اجلانبية‬ ‫املساحة‬ )‫الضلع‬ ‫(طول‬3 = ‫املكعب‬ ‫حجم‬ ( 2 ) ‫مثال‬ 33 − = 3 4 43 ( 3) ‫مثال‬ = 3 43 ( ) 2 × 4 = 43 . 43 ( )× 4 = 163 ( )× 4 = 23 . 83 ( )× 4 = 23 × 2 × 4 =8 23 cm2 = 3 43 .3 43 ( )×4 = 9 163 ( )×4 = 9 23 . 83 ( )×4 = 9 23 ×2×4 = 72 23 cm2 = 3 43 ( ) 3 =33 . 43 . 43 . 43 =27. 643 = 27( ). 4( ) =108 cm3 ‫املكعب‬ ‫حجم‬ v 3 43 3 23 cm A ‫مربع‬ ‫مربع‬ ‫مربع‬ ‫مربع‬ = 3 43 ( ) 3 =33 . 43 . 43 . 43 =27. 643 = 27( ). 4( ) =108 cm3
  • 45.
    45 :‫التالية‬ ‫املقادير‬ ‫اختصر‬/ 1‫س‬ a) b) c) 23 +1( ) 43 - 23 +1( ) ‫ناجت‬ ‫جد‬ / 2‫س‬ . ‫الكلية‬ ‫ومساحته‬ ‫حجمه‬ ‫جد‬ cm ‫ضلعه‬ ‫طول‬ ‫مكعب‬ : ‫املجاور‬ ‫الشكل‬ ‫في‬ / 3‫س‬ ‫طول‬ ‫وحدة‬ 6 33 , 5 43 , 3 23 : ‫ابعاده‬ ‫مستطيلة‬ ‫سطوح‬ ‫متوازي‬ / 4‫س‬ .‫صورة‬ ‫ابسط‬ ‫في‬ ‫حجمه‬ ‫جد‬ 2 2 7 543 − −163 + 4 −1283 2 33 2 33 813 − −243 − 3 = −1 9 3813 − −243 − 3 = −1 9 3 323 + 2 1 2 3 − (-2)23
  • 46.
    ‫احلدوديات‬ Polynomials ‫مراجعة‬ ]3-1[ ‫مكعبني‬ ‫بني‬‫الفرق‬ ‫حتليل‬ ]3-2[ ‫مكعبني‬ ‫مجموع‬ ‫حتليل‬ ]3-3[ ‫الثالثية‬ ‫احلدوديات‬ ‫حتليل‬ ]3-4[ ‫الكامل‬ ‫املربع‬ ‫حتليل‬ ]3-5[ ‫األصغر‬ ‫املشترك‬ ‫واملضاعف‬ ‫األكبر‬ ‫املشترك‬ ‫العامل‬ ]3-6[ ‫اجلبرية‬ ‫املقادير‬ ‫تبسيط‬ ‫في‬ ‫التحليل‬ ‫إستخدام‬ ]3-7[ ‫الرياضية‬ ‫العالقة‬ ‫او‬ ‫الرمز‬ ‫املصطلح‬ ‫األكبر‬ ‫املشترك‬ ‫العامل‬ ‫األصغر‬ ‫املشترك‬ ‫املضاعف‬ a+b() 2 =a2 +2ab+b2−− LCM GCF 3‫الثالث‬ ‫الفصل‬
  • 47.
    ً‫ال‬‫او‬ :‫بين‬ ‫الفرق‬ ‫نوضح‬‫سوف‬ ‫ذلك‬ ‫وقبل‬ .‫الحدوديات‬ ‫موضوع‬ ‫في‬ ً‫ا‬‫سابق‬ ‫درست‬ ‫ما‬ ‫مراجعة‬ ‫المفيد‬ ‫من‬ . ) x2 )3 , 4x , x4 x4 = x . x . x. x ‫مرات‬ 4 ‫نفسه‬ ‫في‬ x ‫ضرب‬ ‫أي‬ 4x = x + x + x +x ‫مرات‬ ‫اربعة‬ x ‫جمع‬ ‫أي‬ )x2 (3 = )x2 ( )x2 ( )x2 ( ∴ )x2 (3 = )x( )x( )x( )x( )x( )x( = x6 = x)2()3( :‫أخرى‬ ‫حدانية‬ ‫في‬ ‫حدانية‬ ‫ضرب‬ ) 2x - 1( ) x + 3( ‫ناتج‬ ‫إيجاد‬ ‫كيفية‬ ‫نتذكر‬ ‫ان‬ ‫نحاول‬ ) 2x - 1 ( ) x + 3 ( = 2x )x(+ 2x )3( - 1 )x( - 1 )3( = 2x2 + 6x - x - 3 = 2x2 + 5x - 3 2x2 + 5x-3 ‫هو‬ ) 2x - 1 ( ) x + 3( ‫ضرب‬ ‫حاصل‬ ‫ناتج‬ ‫أن‬ ‫أي‬ ‫حدانية‬ ‫مربع‬ ) x + 5(2 ‫ناتج‬ ‫إيجاد‬ ‫خطوات‬ ‫تأمل‬ ) ً‫ا‬‫جبري‬ ( ) ً‫ا‬‫هندسي‬ ( x + 5 )x + 5 (2 = ) x + 5 ( ) x + 5( = x)x( + x )5( + 5 )x( + 5 ) 5( = x2 + 10x + 25 ً‫ا‬‫ثاني‬ x + 5 x2 5x 5x 25 3 - 1‫مراجعة‬ ‫الفصل‬ 3
  • 48.
    48 ‫األكبر‬ ‫املشترك‬ ‫العامل‬‫بإيجاد‬ ‫حدودية‬ ‫حتليل‬ )G.C.F( ‫اآلكبر‬ ‫المشترك‬ ‫العامل‬ ‫بإستخراج‬ ‫اآلتية‬ ‫الحدودية‬ ‫نحلل‬ ‫ان‬ ‫لنحاول‬ 6x3 y2 + 12 x y3 6x3 y2 = )2( )3( )x( )x( )x( )y( ) y( 12x y3 = )2( )2( )3( )x( )y( )y( )y( )2( )3( )x( )y( )y( ‫التحليل‬‫سيكون‬‫لذا‬ 6x y2 :‫هو‬ ‫األكبر‬ ‫المشترك‬ ‫العامل‬ ً‫ا‬‫اذ‬ 6x3 y2 + 12x y3 =)6x y2 ( ] x2 + 2y[ ‫مربعين‬ ‫بين‬ ‫الفرق‬ ‫تحليل‬ 9x2 - 16 = )3x( 2 - )4(2 9 x 2 - 16 ‫حلل‬ :ً‫ال‬‫فمث‬ = ) 3x - 4 ( ) 3x +4( .‫األخرى‬ ‫التحليل‬ ‫طرق‬ ‫ألكمال‬ ‫الالحقة‬ ‫البنود‬ ‫في‬ ‫سنتطرق‬ ‫المختصرة‬ ‫المراجعة‬ ‫هذه‬ ‫بعد‬ ‫عامة‬ ‫وبصورة‬ ) a + b ) 2 = a 2 + 2ab + b2-- ً‫ا‬‫ثالث‬ ًً‫ا‬‫رابع‬ ∗ ∗ ∗ ∗ ∗∗ ∗ ‫عامة‬ ‫وبصورة‬ a2 - b2 = (a - b)(a + b(
  • 49.
    49 .‫التوزيع‬ ‫بطريقة‬ ‫األقواس‬‫فك‬ ‫كيفية‬ ً‫ا‬‫سابق‬ ‫تعلمت‬ ‫ينتج؟‬ ‫ماذا‬ ) a2 + ab + b2 ( ‫في‬ )a -b( ‫ضربنا‬ ‫لو‬ ً‫ال‬‫فمث‬ ) a - b ) (a 2 + ab + b2 ( = a ( a2 ) + a(ab) + a(b2 ) - b(a2 ) - b(ab) - b(b2 ( = a 3 + a2 b + ab2 - b a2 - ab2 - b3 = a 3 - b3 ‫مكعبني‬ ‫بني‬ ‫الفرق‬ ‫تسمى‬ a3 -b3 :‫الصورة‬ ‫ان‬ 3 - 2‫مكعبني‬ ‫بني‬ ‫الفرق‬ ‫حتليل‬ )‫تكعيب‬ a ‫تقرأ‬ a3 ( ‫عامة‬ ‫وبصورة‬ ) a3 - b3 ) = ( a - b )(a2 +ab +b2 ( / ‫ويالحظ‬ a3 ‫لـ‬ ‫التكعيبي‬ ‫اجلذر‬ ‫هو‬ a b3 ‫لـ‬ ‫التكعيبي‬ ‫هواجلذر‬ b / ‫مالحظة‬. R ‫في‬ ‫يتحلل‬ ‫ال‬ )a2 +ab+b2 ( ‫العامل‬
  • 50.
    50 ‫م‬ :‫يأتي‬ ‫مما‬ ً‫ال‬‫ك‬‫حلل‬ 1) x3 -27 2) 8x3 -125y3 3) - 4) a6 -b6 /‫احلل‬ 1) x3 - 27= (x-3)(x2 +3x+9) (x)3 (3)3 2) 8x3 - 125y3 = (2x-5y)((2x)2 +(2x)(5y)+(5y)2 ) (2x)3 (5y)3 3) 4) a6 - b6 = (a2 -b2 )((a2 )2 +(a2 )(b2 )+(b2 )2 ) (a2 )3 (b2 )3 = (a2 -b2 )(a4 +a2 b2 +b4 ) ‫مثال‬ Qg(x) = 4x − 7 g(x) =10 ∴10 = 4x − 7 ⇒ 4x =10+ 7 ⇒ 4x = 17 ⇒ x = 17 4 ∈ Q 1 a3 Qg(x) = 4x − 7 g(x) =10 ∴10 = 4x − 7 ⇒ 4x =10+ 7 ⇒ 4x = 17 ⇒ x = 17 4 ∈ Q 64 b3 1 a3 - 64 b3 = 1 a - 4 b ⎛ ⎝ ⎜ ⎞ ⎠ ⎟ 1 a ⎛ ⎝ ⎜ ⎞ ⎠ ⎟ 2 + 1 a ⎛ ⎝ ⎜ ⎞ ⎠ ⎟ 4 b ⎛ ⎝ ⎜ ⎞ ⎠ ⎟+ 4 b ⎛ ⎝ ⎜ ⎞ ⎠ ⎟ 2⎛ ⎝ ⎜⎜ ⎞ ⎠ ⎟⎟ 1 a ⎛ ⎝ ⎜ ⎞ ⎠ ⎟ 3 64 b3 ⎛ ⎝ ⎜ ⎞ ⎠ ⎟ = 1 a - 4 b ⎛ ⎝ ⎜ ⎞ ⎠ ⎟ 1 a2 + 4 ab + 16 b2 ⎛ ⎝ ⎜ ⎞ ⎠ ⎟ )a-b)(a+b( ‫هو‬ ‫وتحليله‬ ‫مربعين‬ ‫بين‬ ‫فرق‬ ‫هو‬ a2 - b2 ‫بأن‬ ً‫ا‬‫سابق‬ ‫تعلمته‬ ‫ومما‬ ‫تالحظ‬ ‫وكما‬ :‫اآلتي‬ ‫بالشكل‬ ‫التحليل‬ ‫سيكون‬ ‫الحالة‬ ‫هذه‬ ‫في‬ a6 -b6 =(a-b)(a+b)(a4 +a2 b2 +b4 ) ‫التحليل‬ ‫ونكمل‬ a6 - b6 = ( a3)2 - ( b3)2 : ‫اآلتية‬ ‫بالطريقة‬ ‫أو‬ = 2x-5y( ) 4x2 +10xy+25y2 ( )= (2x-5y) ( ) 4 b 3
  • 51.
    51 a3 +b3 ‫لتحليل‬ ‫العامة‬ ‫الصورة‬‫وضع‬ ‫يمكن‬ ‫مكعبين‬ ‫بين‬ ‫فرق‬ ‫تحليل‬ ‫في‬ ‫المتبع‬ ‫واالسلوب‬ ‫السياق‬ ‫بنفس‬ :‫حيث‬ :‫يأتي‬ ‫مما‬ ً‫ال‬‫ك‬ ‫حلل‬ 1) 64x3 +1 2) 27 a3 +8b3 3) 0.125x3 +y6 4) x2 y5 +y2 x5 5) 1 2 h3 +4 /‫احلل‬ 1) 64x3 + 1 = (4x + 1)((4x)2 - 4x(1) + (1)2 ) (4x)3 (1)3 = (4x+1)(16x2 -4x+1) 2) 27 a3 +8b3 = 3 a +2b ⎛ ⎝ ⎜ ⎞ ⎠ ⎟ 3 a ⎛ ⎝ ⎜ ⎞ ⎠ ⎟ 2 - 3 a ⎛ ⎝ ⎜ ⎞ ⎠ ⎟ 2b( )+(2b)2 ⎛ ⎝ ⎜⎜ ⎞ ⎠ ⎟⎟ 3 a ⎛ ⎝ ⎜ ⎞ ⎠ ⎟ 3 2b( ) 3 = 3 a +2b ⎛ ⎝ ⎜ ⎞ ⎠ ⎟ 9 a2 - 6b a +4b2⎛ ⎝ ⎜ ⎞ ⎠ ⎟ 3 - 3‫مكعبني‬ ‫مجموع‬ ‫حتليل‬ a3 +b3 =(a+b)(a2 -ab+b2 ( ‫مثال‬
  • 52.
    52 3) 0.125x3 + y6 =(0.5x+y2 )((0.5x)2 -(0.5x)(y2 )+(y2 )2 ) (0.5x)3 (y2 )3 = (0.5x+y2 )(0.25x2 - 0.5xy2 +y4 ) 4) x2 y5 +y2 x5 x2 y2 (y3 +x3 ) = x2 y2 (y+x)(y2 -xy+x2 ) 5) 1 2 h3 +4= 1 2 h3 +8( ) ‫نستخرج‬ ‫مشترك‬ ‫عامل‬ = 1 2 h+2( ) h2 -2h+4( ) 1 2 h3+4= h3+8 2 = 1 2 (h3+8)3 3 3 = 1 2 h+2( ) h2 -2h+4( ) x2 y2 ‫املشترك‬ ‫العامل‬ ‫بإستخراج‬ ‫املقامات‬ ‫بتوحيد‬ ‫أو‬
  • 53.
    53 : ‫صورة‬ ‫ابسط‬‫في‬ ‫يأتي‬ ‫مما‬ ً‫ال‬‫ك‬ ‫حلل‬ /1‫س‬ 1) x3 - 125 2) 8 + 27y3 3) a3 - 64b3 4) 3x3 + 81y3 5) 2xy4 + 16x4 y 6) 7) 8) 1000a3 -b3 9) x6 + y6 10) 11) x9 + x3 12) 13) x4 - x 14) 0.064 x3 - 0.027y3 :‫صحيحة‬ ‫فقط‬ ‫واحدة‬ ‫إجابات‬ ‫أربع‬ ‫يأتي‬ ‫مما‬ ‫سؤال‬ ‫لكل‬ /2‫س‬ 1) :‫هو‬ x3 + 8 ‫المقدار‬ ‫عوامل‬ ‫احد‬ a) x - 2 b) x2 - 4 x + 4 c) x2 - 2x + 4 d) x2 + 2x + 4 2) ( x - y ) ( x2 + xy + y 2 ) - ( x + y ) ( x2 - xy + y2 ) = a) -2y3 b) 2y3 c) -2x3 d) 2x3 3) a) 12 b) -2 c) 35 d) 2 4) 1 - x3 = a) ( 1 - x )( 1 + x + x2 ) b) ( 1 - x ) ( 1 - x - x 2 ) c) ( 1 + x ) (1 - x + x2 ) d) ( x + 1 ) ( 1 + x + x2 ) 3 1 8 27 a3 - 1 1 5 + 25z3 32 - 1 2 a3 3x3 + 1 9 y3 x3 +y3 = ‫فأن‬ x2 - xy + y2 = 7 ‫وان‬ ) x + y ) = 5 ‫كان‬ ‫اذا‬
  • 54.
    54 :‫اآلتية‬ ‫الحدوديات‬ ‫تحليل‬‫لنحاول‬ a) x2 + 8x + 12 -: ‫بالتجربة‬ ‫التحليل‬ ‫في‬ ‫والوسطين‬ ‫الطرفين‬ ‫ضرب‬ ‫اوجدناحاصل‬ ‫اننا‬ ‫الحظ‬ ‫الحد‬ ‫يمثل‬ ‫والذي‬ ‫لهما‬ ‫الجبري‬ ‫المجموع‬ ‫بايجاد‬ ‫وقمنا‬ . ‫الثالثية‬ ‫الحدودية‬ ‫في‬ ‫االوسط‬ . ‫الطرفين‬ ‫ضرب‬ ‫حاصل‬ +6x . ‫الوسطين‬ ‫ضرب‬ ‫حاصل‬ +2x . ‫االوسط‬ ‫الحد‬ +8x x2 + 8x + 12 = ( x + 2 ) ( x + 6 ( b) x2 - 9x + 18 . ‫الوسطين‬ ‫ضرب‬ ‫حاصل‬ -3x .‫الطرفين‬ ‫ضرب‬ ‫حاصل‬ -6x . ‫االوسط‬ ‫الحد‬ -9x x2 - 9x +18 = ( x - 3 ) ( x - 6 ( 3 - 4‫الثالثية‬ ‫احلدوديات‬ ‫حتليل‬ ً‫ال‬‫او‬x2 + bx + c ‫نوع‬ ‫من‬ ( 1 ) ‫مثال‬ 12 ‫العدد‬ ‫عوامل‬‫العوامل‬ ‫جمع‬ (1) (12)1+12 = 13 (2)(6)2+6=8 (3)(4)3+4=7 ✓ ‫العوامل‬ ‫جمع‬ 18 ‫العدد‬ ‫عوامل‬ ‫من‬ 1+ 18 = 19 (1) (18) 2 + 9 = 11 (2)(9) 3 + 6 = 9 (3)(6) - 3 + - 6 = - 9 (-3)(-6) ✓
  • 55.
    55 c) x2 + 6x- 27 ‫العوامل‬ ‫جمع‬ -27 ‫العدد‬ ‫عوامل‬ 1-27=-26 (1)(-27) 27-1=26 (27)(-1) 3-9=-6 (3)(-9) 9-3=6 (9)(-3) x2 + 6x -27 = ( x + 9 ) ( x - 3 ( d) x2 - 3x -18 ‫العوامل‬ ‫جمع‬ -18 ‫العدد‬ ‫عوامل‬ 1-18=-17 (1)(-18) 18-1=17 (18)(-1) 2-9=-7 (2)(-9) 9-2=7 (9)(-2) 3-6=-3 (3)(-6) 6-3=3 (-3)(6) x2 - 3x -18 = ( x -6 ) ( x + 3 ( ✓ ✓
  • 56.
    56 e) x2 - 4xy- 77y2 ‫العوامل‬ ‫جمع‬ -77 ‫العدد‬ ‫عوامل‬ 1-77=-76 (1)(-77) 77-1=76 (-1)(77) 11-7=4 (-7)(11) 7-11=-4 (7)(-11) x2 - 4xy - 77y2 = ( x - 11y ) ( x + 7y ( ‫الحدودية‬ ‫تحليل‬ ‫لنحاول‬ a) 6x2 + 17x + 7 (1)(7) = 7 (1)(6) = 6 ‫العدد‬ (2) (3) (1)(6) (1)(7) ⇒ (1)(1) + (6)(7) = 43 (1)(6) + (7)(1) = 13 (2) (3) (1)(7) (2)(1) + (3)(7) = 23 (2)(7) + (3)(1) = 17 ∴ 6x2 + 17x + 7 = ( 2x + 1) ( 3x + 7 ) ً‫ا‬‫ثاني‬ax2 + bx + c ، ‫نوع‬ ‫من‬ ( 2 ) ‫مثال‬ ⎤ ⎦ 3 14 ‫العدد‬ ✓ ✓ a ≠ 0
  • 57.
    57 b) 7x2 - 26x- 8 (1)(8) = 8 (1)(7) = 7 (2) (4) (1)(1) - (8)(7) = -55 (1)(7) - (8)(1) = -1 (2)(1) - (4)(7) = -26 (2)(7) - (4)(1) = 10 ∴ 7x2 - 26x - 8 = ( 7x + 2) ( x- 4 ) c) 3x2 - 17x + 10 (1)(10) = 10 (1)(3) = 3 (2) (5) (1)(1) + (10)(3) = 31 (1)(3) + (10)(1) = 13 (2)(1) + (5)(3) = 17 (2)(3) + (5)(1) = 11 ∴ 3x2 - 17x + 10 = ( 3x - 2) ( x- 5) ⎤ ⎦ 2 -28 -2 -15 ‫عامة‬ ‫وبصورة‬ ax2 + bx + c ( + ) ( + ) . = a . = c . + . = b ⎤ ⎦ ‫العدد‬ ‫العدد‬ ‫العدد‬ ‫العدد‬ ✓ ✓
  • 58.
    58 :‫نحلل‬ ‫ان‬ ‫نحاول‬ a)x2 - 8x + 16 (x)2 (4) 2 ‫كامل‬ ‫مربع‬ ‫اي‬ ∴ x2 - 8x + 16 = (x - 4)2 b) 9x2 + 12x + 4 (3x)2 (2) 2 ‫كامل‬ ‫مربع‬ ‫اي‬ ∴ 9x2 + 12x + 4 = (3x + 2)2 c) 25 - 25x + 4x2 (5)2 (2x) 2 ً‫ال‬‫كام‬ ً‫ا‬‫مربع‬ ‫ليس‬ ‫الكامل‬ ‫املربع‬ ‫حتليل‬ 3 - 5 ( 1 ) ‫مثال‬ -2 (x) (4) = -8x 2 (3x) (2) = 12x -2 (2x) (5) = -20x ≠ -25x-2 (2x) (5) = -20x ≠ -25x-2 (2x) (5) = -20x ≠ -25x-2 (2x) (5) = -20x ≠ -25x
  • 59.
    59 ‫عامة‬ ‫وبصورة‬ ً‫ال‬‫كام‬ ً‫ا‬‫مربع‬ax2 + bx + c ‫الحدودية‬ ‫تكون‬ ‫كان‬+ _ 2 (ax2 ) (c) = bx + 2 (ax2 ) (c) = +2 (x2 )(25) = 10x = bx - 2 (ax2 ) (c) = -2 (9x2 )(4) = -12x = bx - 2 (ax2 ) (c) = -2 (16x2 )(1) = -8x = bx ‫اذا‬ ≠ ‫؟‬ ً‫ال‬‫كام‬ ً‫ا‬‫مربع‬ ‫تمثل‬ ‫الحدوديات‬ ‫اي‬ a) x2 + 10x + 25 b) 9x2 - 37x + 4 c) 16x2 - 8x + 1 d) 3x2 - 20x - 9 e) 25x2 + 76x + 3 / ‫احلل‬ a) ً‫ال‬‫كام‬ ً‫ا‬‫مربع‬ b) ً‫ال‬‫كام‬ ً‫ا‬‫مربع‬ ‫ليس‬ c) ً‫ال‬‫كام‬ ‫مربعا‬ d) 3x2 - 20x - 9 ً‫ا‬‫سالب‬ ‫االخير‬ ‫الحد‬ ‫ألن‬ ً‫ال‬‫كام‬ ً‫ا‬‫مربع‬ ‫ليس‬ e) 25x2 + 76x + 3 ً‫ال‬‫كام‬ ً‫ا‬‫مربع‬ ‫ليست‬ 3 ‫ألن‬ ً‫ال‬‫كام‬ ً‫ا‬‫مربع‬ ‫ليس‬ ( 2 ) ‫مثال‬ + _ 2 (ax2 ) (c) = bx+ _ 2 (ax2 ) (c) = bx
  • 60.
    60 ‫باستخدام‬ ‫المفقود‬ ‫الحد‬‫ايجاد‬ ‫ويمكن‬ ax2 + bx + c ‫بصورة‬ ‫هي‬ ‫عام‬ ‫بشكل‬ ‫الثالثية‬ ‫الحدودية‬ : ‫االتي‬ ‫القانون‬ 25x2 - ...... + 49 ‫الحدودية‬ ‫في‬ ‫المفقود‬ ‫الحد‬ ‫جد‬ ً‫ال‬‫كام‬ ً‫ا‬‫مربع‬ ‫لتصبح‬ /‫احلل‬ x2 + ...... + 100y2 ‫الحدودية‬ ‫في‬ ‫المفقود‬ ‫الحد‬ ‫جد‬ ً‫ال‬‫كام‬ ً‫ا‬‫مربع‬ ‫لتصبح‬ /‫احلل‬ ً‫ال‬‫كام‬ ً‫ا‬‫مربع‬ ‫لتصبح‬ ....+ 8x +16 ‫الحدودية‬ ‫في‬ ‫المفقود‬ ‫الحد‬ ‫جد‬ /‫احلل‬ - : ً‫ال‬‫كام‬ ً‫ا‬‫مربع‬ ‫لتصبح‬ ‫الثالثية‬ ‫الحدودية‬ ‫في‬ ‫المفقود‬ ‫الحد‬ ‫ايجاد‬ ]3 - 5 - 1[ bx = _ + 2 (ax2 )(c) ( 3 ) ‫مثال‬ bx = 2 (ax2 )(c) = 2 (ax2 )(100y2 ) = 2x(10y) = 20xy ∴ x2 +20xy +100y2 = (x +10y)2 ( 4 ) ‫مثال‬ bx = 2 (ax2 )(c) bx = 2 (25x2 )(49) = 2(5x)(7) = 70x 25x2 - 70x + 49 = (5x -7 )2 ( 5 ) ‫مثال‬ ∓ ( bx = 2 (ax2 ) (c) 8x = 2 (ax2 ) (16) 64x2 = 4 × 16 × ax2 64x2 64 = ax2 ⇒ ax2 = x2 ∴ x2 + 8x + 16 = ( x + 4 )2
  • 61.
    61 ً‫ال‬‫كام‬ ً‫ا‬‫مربع‬ ‫لتصبح‬.... -20x + 25 ‫الحدودية‬ ‫في‬ ‫المفقود‬ ‫جدالحد‬ /‫احلل‬ ً‫ال‬‫كام‬ ً‫ا‬‫مربع‬ ‫لتصبح‬ x2 + 14x + .... ‫الحدودية‬ ‫في‬ ‫المفقود‬ ‫جدالحد‬ /‫احلل‬ 9x2 - 60x + .... ‫الحدودية‬ ‫في‬ ‫المفقود‬ ‫الحد‬ ‫جد‬ ً‫ال‬‫كام‬ ً‫ا‬‫مربع‬ ‫لتصبح‬ /‫احلل‬ ( 6 ) ‫مثال‬ ( 7 ) ‫مثال‬ (8 ) ‫مثال‬ bx = 2 (ax2 ) (c) 14x = 2 (x2 ) (c) 196x2 = 4 × x2 × c 196x2 4x2 = c ⇒ c = 49 ∴ x2 + 14x + 49 = ( x + 7 )2 bx = 2 (ax2 ) (c) 20x = 2 (ax2 ) (25) 400x2 = 4 × 25 × ax2 ax2 = 400x2 100 ⇒ ax2 = 4x2 ∴ 4x2 - 20x + 25 = ( 2x - 5 )2 bx = 2 (ax2 ) (c) 20x = 2 (ax2 ) (25) 400x2 = 4 × 25 × ax2 ax2 = 400x2 100 ⇒ ax2 = 4x2 ∴ 4x2 - 20x + 25 = ( 2x - 5 )2 bx = 2 (ax2 ) (c) 20x = 2 (ax2 ) (25) 400x2 = 4 × 25 × ax2 ax2 = 400x2 100 ⇒ ax2 = 4x2 ∴ 4x2 - 20x + 25 = ( 2x - 5 )2 bx = 2 (ax2 ) (c) 20x = 2 (ax2 ) (25) 400x2 = 4 × 25 × ax2 ax2 = 400x2 100 ⇒ ax2 = 4x2 ∴ 4x2 - 20x + 25 = ( 2x - 5 )2 bx = 2 (ax2 ) (c) 20x = 2 (ax2 ) (25) 400x2 = 4 × 25 × ax2 ax2 = 400x2 100 ⇒ ax2 = 4x2 ∴ 4x2 - 20x + 25 = ( 2x - 5 )2 bx = 2 (ax2 ) (c) 60x = 2 (9x2 ) (c) 3600x2 = 4 × 9x2 × c 3600x2 = 36 x2 × c c = 3600x2 36x2 ⇒ c = 100 ∴ 9x2 - 60x + 100 = ( 3x - 10 )2
  • 62.
    62 )LCM(‫االصغر‬‫المشترك‬‫والمضاعف‬)GCF(‫االكبر‬‫المشترك‬‫العامل‬‫ايجاد‬‫طريقة‬‫تعلمت‬‫وان‬‫سبق‬ ‫الحدوديات‬ ‫تحليل‬ ‫طرق‬‫على‬ ‫المتوسط‬ ‫الثاني‬ ‫الصف‬ ‫وفي‬ ‫السابقة‬ ‫البنود‬ ‫في‬ ‫تعرفت‬ ‫وكذلك‬ ‫اكثر‬ ‫او‬ ‫لعددين‬ : ‫للحدوديات‬ ) LCM)،(GCF( ‫من‬ ‫كل‬ ‫ايجاد‬ ‫طريقة‬ ‫على‬ ‫سنتعرف‬ ‫البند‬ ‫هذا‬ ‫في‬ x3 - xy2 , 4x2 - 4xy , 6x2 y - 6xy2 ‫االتية‬ ‫للحدوديات‬ ) LCM)،(GCF( ‫جد‬ /‫احلل‬ ‫السابقة‬ ‫التحليل‬ ‫طرق‬ ‫وحسب‬ ‫حدة‬ ‫على‬ ‫حدودية‬ ‫كل‬ ‫نحلل‬ : ‫للحدوديات‬ ) LCM)،(GCF( ‫جد‬ a2 - 9 , a2 - 6a +9 , a2 - 8a + 15 / ‫احلل‬ ‫الحدوديات‬ ‫نحلل‬ 3 - 6‫االكبر‬ ‫املشترك‬ ‫العامل‬ ‫االصغر‬ ‫املشترك‬ ‫واملضاعف‬ )LCM( ‫االصغر‬ ‫المشترك‬ ‫والمضاعف‬ ) GCF( ‫االكبر‬ ‫المشترك‬ ‫العامل‬ ‫أيجاد‬ * (1 ) ‫مثال‬ x3 - xy2 = x ( x2 -y2 ) = x(x -y)(x + y) ....* GCF = x( x - y ) 4x2 - 4xy = (2)(2)x(x - y)....* 6x2 y - 6xy2 = (2)(2)x(x - y)....* LCM = 12xy( x - y )( x + y ) (2 ) ‫مثال‬ a2 - 9 = ( a - 3 ) ( a + 3 ) ....* GCF =( a -3 ) a2 - 6a + 9 = ( a - 3 )2 ....* a2 - 8a + 15 = ( a - 3 )( a - 5 ) ....* LCM = ( a - 3 )2 (a + 3)( a + 5)( a - 5 ) 3 y x-y( ).. * a-5( ) 2
  • 63.
    63 : ‫االتية‬ ‫للحدوديات‬) LCM)،(GCF( ‫جد‬ 2 a3 b - 2ab3 , a4 - 2a3 b +b2 a2 , 3a4 b - 3ab4 / ‫الحل‬ ) LCM)،(GCF( ‫اليجاد‬ ‫الخالصة‬ .‫الحدوديات‬ ‫نحلل‬ * . ‫أس‬ ‫وباصغر‬ ‫فقط‬ ‫المشتركة‬ ‫العوامل‬ ‫ضرب‬ ‫حاصل‬ ‫يمثل‬ : GCF * . ‫المشتركة‬ ‫وغير‬ ‫أس‬ ‫باكبر‬ ‫المشتركة‬ ‫العوامل‬ ‫ضرب‬ ‫حاصل‬ ‫يمثل‬ : LCM * (3 ) ‫مثال‬ 2a2 b - 2ab3 = 2ab ( a2 - b2 ) = 2ab ( a - b )( a + b ) ....* a4 - 2a3 b + b2 a2 = a2 ( a2 - 2ab + b2 ) = a2 ( a - b )2 ....* a2 + ab + b2 a2 = ( a - b )( a + 2b ) ....* 3a4 b - 3ab4 = 3ab ( a3 - b3 ) = 3ab ( a - b )( a2 + 2ab + b2 ) ....* ∴ GCF = ( a - b ) LCM = 6a2 b(a - b)2 (a + b)(a2 + ab + b2 ) ab 3 2a2 b - 2ab3 = 2ab ( a2 - b2 ) = 2ab ( a - b )( a + b ) ....* a4 - 2a3 b + b2 a2 = a2 ( a2 - 2ab + b2 ) = a2 ( a - b )2 ....* a2 + ab + b2 a2 = ( a - b )( a + 2b ) ....* 3a4 b - 3ab4 = 3ab ( a3 - b3 ) = 3ab ( a - b )( a2 + 2ab + b2 ) ....* ∴ GCF = ( a - b ) LCM = 6a2 b(a - b)2 (a + b)(a2 + ab + b2 ) 2a2 b - 2ab3 = 2ab ( a2 - b2 ) = 2ab ( a - b )( a + b ) ....* a4 - 2a3 b + b2 a2 = a2 ( a2 - 2ab + b2 ) = a2 ( a - b )2 ....* a2 + ab + b2 a2 = ( a - b )( a + 2b ) ....* 3a4 b - 3ab4 = 3ab ( a3 - b3 ) = 3ab ( a - b )( a2 + 2ab + b2 ) ....* ∴ GCF = ( a - b ) LCM = 6a2 b(a - b)2 (a + b)(a2 + ab + b2 ) 2a2 b - 2ab3 = 2ab ( a2 - b2 ) = 2ab ( a - b )( a + b ) ....* a4 - 2a3 b + b2 a2 = a2 ( a2 - 2ab + b2 ) = a2 ( a - b )2 ....* a2 + ab + b2 a2 = ( a - b )( a + 2b ) ....* 3a4 b - 3ab4 = 3ab ( a3 - b3 ) = 3ab ( a - b )( a2 + 2ab + b2 ) ....* ∴ GCF = ( a - b ) LCM = 6a2 b(a - b)2 (a + b)(a2 + ab + b2 ) 2a2 b - 2ab3 = 2ab ( a2 - b2 ) = 2ab ( a - b )( a + b ) ....* a4 - 2a3 b + b2 a2 = a2 ( a2 - 2ab + b2 ) = a2 ( a - b )2 ....* a2 + ab + b2 a2 = ( a - b )( a + 2b ) ....* 3a4 b - 3ab4 = 3ab ( a3 - b3 ) = 3ab ( a - b )( a2 + 2ab + b2 ) ....* ∴ GCF = ( a - b ) LCM = 6a2 b(a - b)2 (a + b)(a2 + ab + b2 )
  • 64.
    64 3 2 :‫ياتي‬ ‫مما‬‫كل‬ ‫حلل‬ /1 ‫س‬ . ً‫ال‬‫كام‬ ً‫ا‬‫مربع‬ ‫تمثل‬ ‫االتية‬ ‫الحدوديات‬ ‫اي‬ ‫بين‬ /2 ‫س‬ : ً‫ال‬‫كام‬ ً‫ا‬‫مربع‬ ‫لتصبح‬ ‫االتية‬ ‫الحدوديات‬ ‫اكمل‬ /3‫س‬ 1) x2 + 6x + 8 2) x2 - 2x - 15 3) x2 + 3x + 2 4) 4x2 + 21x + 27 5) x2 + 11x - 80 6) 4x2 - 4x - 15 7) 6x2 - 7x - 20 8) x2 + 20x + 100 9) 16x2 + 8x + 1 10) 4x2 - 12x + 9 1) x2 - 18x + 81 2) x2 - 7xy + 49y2 3) 4x2 + 25 - 12x 4) 4x2 + 25 - 20x 5) 8x2 - 40x + 50 6) -x2 - 2xy - y2 1) ...... - 32x + 64 2) x2 - 12x + ..... 3) 25x2 - ....... + 9y2 4) ...... + 24ab + 36b2 10) 4x2 - 12xy + 9y2 -
  • 65.
    65 : ‫يأتي‬ ‫مما‬‫لكل‬ ‫الصحيحة‬ ‫االجابة‬ ‫حدد‬ /4‫س‬ ‫تساوي‬ ً‫ال‬‫كام‬ ً‫ا‬‫مربع‬ 25x2 - mx + 4 ‫الحدودية‬ ‫تجعل‬ ‫التي‬ m ‫قيمة‬ )1 a) 30 b) 20 c) 10 d) -10 : ‫هي‬ ً‫ال‬‫كام‬ ً‫ا‬‫مربع‬ y2 + 12y - n ‫الحدودية‬ ‫تجعل‬ ‫التي‬ n ‫قيمة‬ ‫ان‬ )2 a) 36 b) -36 c) 144 ‫ذلك‬ ‫غير‬ :‫األتية‬ ‫للحدوديات‬ )GCF) , (LCM( ‫جد‬ / 5‫س‬ 1) 2) 3) 4) 5) 6) d( 5x2 -3x( ) 3 , 5x2 +7x-6 , 10x2 -6x x3 +y3 , x2 +4xy , x3 -xy2 x4 -16 , x4 +8x2 +16 , x6 +64 3x2 -3x2 y2 , 5x+5xy , x-xy-2xy2 1 2 x2 -2 , 2x2 -16 , 3x2 -x-10 x2 -y2 , x3 -y3 , x-y( ) 4 7x-7y xy, x3 -xy2 3 ,
  • 66.
    66 :‫بشكل‬ ‫تكتب‬ Q‫النسبية‬ ‫االعداد‬ ‫مجموعة‬ ‫ان‬ : ‫ان‬ ‫تعلم‬ ‫كما‬ :‫باألمثلة‬ 3 - 7‫في‬ ‫التحليل‬ ‫استخدام‬ ‫اجلبرية‬ ‫املقادير‬ ‫تبسيط‬ ً‫ال‬‫او‬‫النسبية‬ ‫احلدوديات‬ ‫اختصار‬ Q = a b ,a,b ∈ R,b ≠ 0 ⎧ ⎨ ⎩ ⎫ ⎬ ⎭ 3 5 = 2( ) 3( ) 2( ) 5( ) = 6 10 , 3 5 = 5( ) 3( ) 5( ) 5( ) = 15 25 ‫عامة‬ ‫وبصورة‬ ‫فان‬ ً‫ا‬‫صفر‬ ‫اليساوي‬ ‫حقيقي‬ ‫عدد‬ ‫في‬ ‫والمقام‬ ‫البسط‬ ‫من‬ ‫كل‬ ‫ضرب‬ ‫اذا‬ ‫التتغير‬ ‫الكسر‬ ‫قيمة‬ a b = ac bc c ≠ 0 30 40 = 20 2 40 2 = 15 20 30 40 = 30 10 40 10 = 3 4 30 40 = 30 a 40 a , a≠0 ‫عامة‬ ‫وبصورة‬ ‫قيمة‬ ‫فان‬ ً‫ا‬‫صفر‬ ‫اليساوي‬ ‫حقيقي‬ ‫عدد‬ ‫على‬ ‫والمقام‬ ‫البسط‬ ‫من‬ ‫كل‬ ‫قسم‬ ‫اذا‬ . ‫التتغير‬ ‫الكسر‬ 3 5 = a( ) 3( ) a( ) 5( ) = 3a 5a , a≠0 30 a b = a÷c b÷c ,b,c ≠ 0 Z
  • 67.
    67 : ‫ياتي‬ ‫مما‬‫كال‬ ‫بسط‬ 1) 6x+12 x2 -4 2) x3 -27 x3 +3x2 + 9x 3) 2x2 -4x+2 x2 -7x+ 6 4) 2x2 - 2 3 - 3x3 /‫احلل‬ 1) 2) 3) 4) : ‫النسبية‬ ‫الحدوديات‬ ‫تبسيط‬ ‫توضح‬ ‫األتية‬ ‫االمثلة‬ (1 ) ‫مثال‬ 6x+12 x2 -4 = 6 x+2( ) x+2( ) x-2( ) = 6 x-2( ) x3 -27 x3 +3x2 + 9x = x-3( ) x2 +3x+9( ) x x2 +3x+9( ) = x-3( ) x 2x2 -4x+2 x2 -7x+ 6 = 2 x2 -2x+1( ) x-6( ) x-1( ) = 2 x-1( ) 2 x-6( ) x-1( ) = 2 x-1( ) x-6( ) = 2 x2 -1( ) 3 1-x3 ( ) = 2 x-1( ) x+1( ) -3 x3 -1( ) = 2 x-1( ) x+1( ) -3 x-1( ) x2 +x+1( ) = 2 x+1( ) -3 x2 +x+1( ) 2x2 - 2 3 + 3x3 -
  • 68.
    68 . ‫النسبية‬ ‫الحدوديات‬‫ضرب‬ : ‫ان‬ ‫تعلم‬ : ‫ان‬ ‫اي‬ : ‫صورة‬ ‫ابسط‬ ‫في‬ ‫ضع‬ / ‫احلل‬ : ‫صورة‬ ‫ابسط‬ ‫في‬ ‫ضع‬ / ‫احلل‬ (2 ) ‫مثال‬ ً‫ا‬‫ثاني‬. ‫النسبية‬ ‫احلدوديات‬ ‫وقسمة‬ ‫ضرب‬ a b . c d = a( ) c( ) b( ) d( ) = ac bd , b,d≠0 a b ÷ c d = a b c d = , b,c,d≠0 3x+2 2x+4 . x2 +5x+6 9x2 -4 3x+2( ) 2 x+2( ) . x+3( ) x+2( ) 3x+2( ) 3x-2( ) = x+3( ) 2 3x-2( ) 3x+2 2x+4 . x2 +5x+6 9x2 -4 (3 ) ‫مثال‬ x2 +3x+2 x2 +4x+4 ÷ 5x2 +5x x2 -4 x2 +3x+2 x2 +4x+4 ÷ 5x2 +5x x2 -4 x+2( ) x+1( ) x+2( ) 2 ÷ 5x x+1( ) x-2( ) x+2( ) a b ÷ c d = a b . d c = =
  • 69.
    69 : ‫صورة‬ ‫ابسط‬‫في‬ ‫ضع‬ / ‫احلل‬ : ‫صورة‬ ‫ابسط‬ ‫في‬ ‫ضع‬ / ‫احلل‬ ( 4 ) ‫مثال‬ x2 -25 x3 -125 ÷ x2 +10x+25 x2 +x-20 ( 5 ) ‫مثال‬ x2 +2x+1( )÷ x+1( ) 3 x3 +1 x2 -25 x3 -125 ÷ x2 +10x+25 x2 +x-20 x+5( ) x-5( ) x-5( ) x2 +5x+25( ) ÷ x+5( ) 2 x+5( ) x-4( ) x+5( ) x-5( ) x-5( ) x2 +5x+25( ) . x+5( ) x-4( ) x+5( ) 2 = x-4( ) x2 +5x+25( ) x+2( ) x+1( ) x+2( ) 2 . x-2( ) x+2( ) 5x x+1( ) = x-2( ) 5x = = = x2 +2x+1( )÷ x+1( ) 3 x3 +1 x+1( ) 2 1 ÷ x+1( ) 3 x+1( ) x2 -x+1( ) x+1( ) 2 1 . x+1( ) x2 -x+1( ) x+1( ) 3 = x2 -x+1( ) = =
  • 70.
    70 ) LCM( ‫االصغر‬‫المشترك‬ ‫المضاعف‬ ‫نجد‬ ‫ان‬ ‫يجب‬ ، ‫النسبية‬ ‫الحدوديات‬ ‫طرح‬ ‫او‬ ‫جمع‬ ‫ناتج‬ ‫اليجاد‬ ‫ذلك‬ ‫توضح‬ ‫اآلتية‬ ‫واالمثلة‬ ‫السابقة‬ ‫الطرائق‬ ‫وحسب‬ ‫بالتحليل‬ ‫وذلك‬ ‫الحدوديات‬ ‫لمقامات‬ : ‫صورة‬ ‫ابسط‬ ‫في‬ ‫ضع‬ /‫احلل‬ : ‫صورة‬ ‫ابسط‬ ‫في‬ ‫ضع‬ /‫احلل‬ ً‫ا‬‫ثالث‬. ‫النسبية‬ ‫احلدوديات‬ ‫وطرح‬ ‫جمع‬ ( 6 ) ‫مثال‬ 2 x2 -9 + 3 x2 -4x+3 2 x2 -9 + 3 x2 -4x+3 2 x-3( ) x+3( ) + 3 x-1( ) x-3( ) , LCM= x-3( ) x+3( ) x-1( ) 2 x-1( ) x-3( ) x+3( ) x-1( ) + 3 x+3( ) x-3( ) x+3( ) x-1( ) 2x-2+3x+9 x-3( ) x+3( ) x-1( ) 5x+7 x-3( ) x+3( ) x-1( ) ( 7 ) ‫مثال‬ 2 x3 -64( ) x x2 +4x+16( ) - x-1 x 2 x-4( ) x2 +4x+16( ) x x2 +4x+16( ) - x-1( ) x 2 x-4( ) x - x-1( ) x ⇒ 2 x-4( )- x-1( ) x 2x-8-x+1 x ⇒ x-7 x ⇒ 2x3 -128 x3 +4x2 +16x - x-1 x 2x3 -128 x3 +4x2 +16x - x-1 x = = =
  • 71.
    71 3 3 : ‫ياتي‬‫مما‬ ‫كال‬ ‫بسط‬ /1‫س‬ 1) 2) x2 -y2 x2 -xy-2y2 3) 4) : ‫صورة‬ ‫ابسط‬ ‫في‬ ‫ياتي‬ ‫مما‬ ‫كل‬ ‫ناجت‬ ‫جد‬ /2‫س‬ 1) 2) 3) 4) 5) 6) 7) 8) 9) 10) x3 +8 x3 -2x2 +4x 12-4x x2 -2x-3 x 2x-1( )-1 x x-1( ) x2 +7x-8 x-1 . x2 -4 x2 +6x-16 x2 +9x+20 x2 +5x-24 ÷ x2 +15x+56 x2 +x-12 x2 +x+1 x4 -x - x+3 x2 +2x-3 x2 +4x-21 x2 +14x+49 ÷ x-7 2x2 -98 x2 -2xy+y2 x-y . x+y x-y ⎛ ⎝ ⎜ ⎞ ⎠ ⎟÷ x2 -y2 x2 ⎛ ⎝ ⎜ ⎞ ⎠ ⎟x2 -xy-2y2 ( )÷ x2 -y2 x2 -2xy+y2 . x3 -8y3 ( ) ⎛ ⎝ ⎜ ⎞ ⎠ ⎟ 3 x-1 + 2 x+1 + 4 x2 +2x-3 x-3 x-1 + 5x-15 x-3( ) 2 - 3x+1 x2 -4x+3 x3 +27 x+3 ÷ x3 -3x2 +9x x2 ⎛ ⎝ ⎜ ⎞ ⎠ ⎟÷x 4x2 -1 4x2 -4x+1 +1 8 3
  • 72.
    ‫املتباينات‬ Inequalities ‫الرياضية‬ ‫اجلمل‬ ]4-1[ ‫اخلطية‬‫املتباينة‬ ]4-2[ ‫مبتغيرين‬ ‫األولى‬ ‫الدرجة‬ ‫من‬ ‫املعادلة‬ ]4-3[ ‫آنيا‬ ‫مبتغيرين‬ ‫األولى‬ ‫الدرجة‬ ‫من‬ ‫معادلتني‬ ‫حل‬ ]4-4[ ‫واحد‬ ‫مبتغير‬ ‫الثانية‬ ‫الدرجة‬ ‫من‬ ‫املعادلة‬ ]4-5[ ‫الكسرية‬ ‫املعادالت‬ ]4-6[ g x() a b≤ f x()≤ a f x() d ‫الرياضية‬ ‫العالقة‬ ‫او‬ ‫الرمز‬ ‫المصطلح‬ ‫متباينة‬ ‫مزدوجة‬ ‫متباينة‬ T ‫صائبة‬ F ‫خاطئة‬ a,b ∈ R a b، d f x( ) c 4‫الرابع‬ ‫الفصل‬
  • 73.
    ‫المقدمة‬ ‫لغوي‬ ‫منطق‬ ‫بالحقيقة‬‫هو‬ ‫والذي‬ ‫الرياضي‬ ‫المنطق‬ ‫موضوع‬ ‫في‬ ‫معرفة‬ ‫يتطلب‬ ‫الرياضية‬ ‫الجمل‬ ‫دراسة‬ ‫إن‬ :‫اآلتية‬ ‫الجمل‬ ‫في‬ ‫النظر‬ ‫أمعنا‬ ‫لو‬ ،‫الرياضيات‬ ‫لعلوم‬ . 5= 25 )4( ‫سالب‬ ‫صحيح‬ ‫عدد‬ ‫أكبر‬ -1 )3( 3 4 )2( ‫العراق‬ ‫عاصمة‬ ‫بغداد‬ )1( ‫أن‬ ‫يمكن‬ ‫وال‬ ،‫فقط‬ ‫خاطئة‬ ‫أو‬ ‫صائبة‬ ‫إما‬ ‫منها‬ ً‫ال‬‫ك‬ ‫أن‬ ‫وهو‬ ‫محدد‬ ‫معنى‬ ‫لها‬ ‫خبرية‬ ‫جملة‬ ‫منها‬ ً‫ال‬‫ك‬ ‫أن‬ ‫نالحظ‬ ‫أخرى‬ ‫لقيم‬ ‫وخاطئة‬ ‫قيم‬ ‫لمجموعة‬ ‫صائبة‬ ‫فهي‬ ) 2x-1 = 0 ( ‫في‬ ‫كما‬ ً‫ا‬‫مع‬ ‫والخطأ‬ ‫الصواب‬ ‫تقبل‬ . ‫المعادالت‬ ‫موضوع‬ ‫في‬ ‫تعلمنا‬ ‫كما‬ ‫التعويض‬ ‫مجموعة‬ ‫على‬ ً‫ا‬‫إعتماد‬ ‫وخاطئة‬ ‫صائبة‬ ‫تكون‬ ‫أن‬ ‫يمكن‬ ‫وال‬ ‫خاطئة‬ ‫أو‬ ‫صائبة‬ ‫إما‬ ‫محدد‬ ‫معنى‬ ‫ذات‬ ‫خبرية‬ ‫جملة‬ ‫هي‬ ‫العبارة‬ .‫واحد‬ ‫آن‬ ‫في‬ ‫العبارة‬ ً‫ال‬‫مث‬ » ‫ليس‬ « ‫النفي‬ ‫أداة‬ ‫نستخدم‬ ‫اللغة‬ ‫في‬ :‫العبارات‬ ‫نفي‬ ‫فاذا‬ 4 5 ‫بالرموز‬ ‫أو‬ 4 ‫من‬ ‫أكبر‬ ‫ليس‬ 5 ‫نفيها‬ ‫يكون‬ 4 5 ‫صائبة‬ P ‫كانت‬ ‫وإذا‬ ، P ‫نفي‬ ‫هو‬ P( ) ‫فأن‬ ‫عبارة‬ P ‫كانت‬ . ‫الجدول‬ ‫في‬ ‫كما‬ ‫صحيح‬ ‫والعكس‬ ‫خاطئة‬ ‫نفيها‬ ‫فأن‬ ∼ ‫أمثلة‬ P∼ P (1) (2) (3) (4) ‫أولي‬ ً‫ا‬‫عدد‬ 2ً‫ا‬‫أولي‬ ‫ليس‬ ً‫ا‬‫عدد‬ 2 -3 ∈ N-3 ∉ N 5 ∉ Q5 ∈ Q 1 2 1 4 1 2 1 4 ‫الفصل‬ 4 4 - 1 ‫الرياضية‬ ‫الجمل‬ Statement ‫العبارة‬ P P F T T F F T F T ∼ P P T F F T ∼ : ]4-1[ ‫تعريف‬ 1 2 ⎧ ⎨ ⎩ ⎫ ⎬ ⎭
  • 74.
    ‫المركبة‬ ‫والعبارات‬ ‫الربط‬‫أدوات‬ ) ∧ “ ‫و‬ ( ، ) ∨ “ ‫أو‬ ( : ‫الربط‬ ‫ألداتي‬ ‫المرحلة‬ ‫هذه‬ ‫في‬ ‫نتطرق‬ ‫سوف‬ .‫أولي‬ ‫غير‬ ‫عدد‬ 9 ‫أو‬ ‫نسبي‬ ‫غير‬ ‫عدد‬ 2 1 .‫مستطيل‬ ‫المربع‬ ‫و‬ 180o ‫المثلث‬ ‫زوايا‬ ‫مجموع‬ 2 27 = −3( ) 3 ‫و‬ ‫متناصفان‬ ‫المعين‬ ‫قطرا‬ 3 .‫مركبة‬ ‫جملة‬ ‫تسمى‬ ‫جديدة‬ ‫جملة‬ ‫على‬ ‫للحصول‬ ‫و‬ ‫واألداة‬ ‫أو‬ ‫األداة‬ ‫أستخدمنا‬ ‫أننا‬ ‫الحظ‬ .‫خاطئة‬ ‫العبارتين‬ ‫كلتا‬ ‫تكون‬ ‫عندما‬ ‫فقط‬ ‫خاطئة‬ ‫أو‬ ‫باألداة‬ ‫جملتين‬ ‫ربط‬ ‫من‬ ‫الناتجة‬ ‫المركبة‬ ‫الجملة‬ ‫*تكون‬ ،‫صائبة‬ ‫العبارتين‬ ‫كلتا‬ ‫تكون‬ ‫عندما‬ ‫فقط‬ ‫صائبة‬ ‫و‬ ‫باألداة‬ ‫جملتين‬ ‫ربط‬ ‫من‬ ‫الناتجة‬ ‫المركبة‬ ‫الجملة‬ ‫تكون‬ * :‫اآلتية‬ ‫الجداول‬ ‫في‬ ‫كما‬ P1 ∨ P2 P2 P1P1 ∧ P2 P2 P1 TTTTTT TFTFFT TTFFTF FFFFFF . ‫صائبة‬ ‫عبارة‬ 1 :‫المثال‬ ‫ففي‬ . ‫صائبة‬ ‫عبارة‬ 2 . ‫خاطئة‬ ‫عبارة‬ 3 ““ ‫أمثلة‬ .‫جبريين‬ ‫تعبيرين‬ ‫بين‬ ‫التباين‬ ‫رموز‬ ‫أحد‬ ‫وضع‬ ‫من‬ ‫تتكون‬ ‫خبرية‬ ‫جملة‬ :‫المتباينة‬ : ]4-2[ ‫تعريف‬ T T = T T T = T T F = F ∧ ∧ ∨
  • 75.
    75 ‫املعنى‬ ‫الرمز‬ ‫من‬ ‫أكبر‬ ‫من‬ ‫أصغر‬ ‫يساوي‬ ‫أو‬ ‫أصغر‬ ≤ ‫يساوي‬ ‫أو‬ ‫أكبر‬ ≥ ‫يساوي‬ ‫ال‬ ≠ :ً‫ال‬‫فمث‬ 2x - 1 5 , x + 3 ≤ 2 , 2 ≤ 3x - 4 5 , x2 - x 0 . 5x2 - 3x +1 ≤ 6 , 15 8 , 3 ≠ 5 ‫فصل‬ ‫في‬ ‫درسنا‬ ‫وكما‬ .‫واحد‬ ‫متغير‬ ‫في‬ ‫األولى‬ ‫الدرجة‬ ‫من‬ ‫المتباينة‬ ‫المرحلةعلى‬ ‫هذه‬ ‫في‬ ‫دراستنا‬ ‫وستقتصر‬ . a - b 0 ‫أنه‬ ‫أي‬ ‫األعداد‬ ‫مستقيم‬ ‫على‬ b ‫يمين‬ ‫يقع‬ a ‫فأن‬ ) a b( ‫أن‬ ‫الحقيقية‬ ‫األعداد‬ ً‫ال‬‫فمث‬ :‫بشكل‬ ‫األعداد‬ ‫مستقيم‬ ‫على‬ ‫تمثل‬ )‫نفسه‬ 3 ‫(عدا‬ )3( ‫العدد‬ ‫يسار‬ ‫األعداد‬ )1( . 3 ‫من‬ ‫أصغر‬ x ‫وتقرأ‬ ) x 3( ‫وتكتب‬ :‫بشكل‬ ‫األعداد‬ ‫مستقيم‬ ‫على‬ ‫تمثل‬ ‫نفسه‬ 1 ‫العدد‬ ‫عدا‬ )1( ‫العدد‬ ‫يمين‬ ‫األعداد‬ )2( . 1 ‫من‬ ‫أكبر‬ x ‫وتقرأ‬ ) x 1( ‫وتكتب‬ :‫بشكل‬ ‫األعداد‬ ‫مستقيم‬ ‫على‬ ‫تمثل‬ )-3( ‫ضمنها‬ ‫ومن‬ )-3( ‫العدد‬ ‫يمين‬ ‫األعداد‬ )3( . -3 ‫تساوي‬ ‫أو‬ ‫من‬ ‫أكبر‬ x ‫وتقرأ‬ ) x ≥ -3( ‫وتكتب‬ :‫بشكل‬ ‫تمثل‬ )2( ‫ضمنها‬ ‫ومن‬ )2( ‫يسار‬ ‫على‬ ‫األعداد‬ )4( . 2 ‫يساوي‬ ‫أو‬ ‫من‬ ‫أصغر‬ x ‫وتقرأ‬ ) x ≤ 2( ‫وتكتب‬ 3 1 -3 2
  • 76.
    76 )‫األولى‬ ‫الدرجة‬ ‫(من‬‫اخلطية‬ ‫املتباينة‬ ‫الواحد‬ ‫املتغير‬ ‫ذات‬ 4 - 2 ax + b 0 a , b , c ∈ R a+c b+c :‫اآلتية‬ ‫األشكال‬ ‫أحد‬ ‫تأخذ‬ ‫عالقة‬ ‫هي‬ . a ≠ 0 ‫حيث‬ ، ax + b 0 ، ax + b ≤ 0 ‫أو‬ ax + b ≥ 0 )16 5 ‫و‬ -3 4 ( ‫كذلك‬ ‫صائبة‬ ‫رياضية‬ ‫جمل‬ ‫هي‬ )2 ≠ 4 ‫أو‬ 7 3 ً‫ال‬‫(مث‬ ‫المتباينات‬ ‫بعض‬ . ‫معلومة‬ ‫تعويض‬ ‫مجموعة‬ ‫ضمن‬ ‫فيها‬ ‫المتغير‬ ‫لقيم‬ ‫صائبة‬ ‫تكون‬ ‫قد‬ ‫األولى‬ ‫المتباينات‬ ‫لكن‬ ، ‫خاطئة‬ ً‫ال‬‫مث‬ ‫مجموعة‬ ‫فأن‬ ‫لذا‬ I = { 0 , 1 , 2 , 3 {‫هي‬ ‫التعويض‬ ‫مجموعة‬ ‫وكانت‬ 2x + 3 ≤ 8 :‫المتباينة‬ ‫أخذنا‬ ‫لو‬ . ‫صائبة‬ ‫العبارة‬ ‫تجعل‬ ‫التي‬ x ‫قيم‬ ‫اي‬ s = { 0 , 1 , 2 { ‫الحل‬ x ∈ I 2x + 3 ≤8 ‫املتباينة‬ ‫الصواب‬ ‫قيمة‬ 0 0 + 3 ≤ 8 T 1 (2) (1) + 3 ≤ 8 T 2 (2)(2) + 3 ≤ 8 T 3 (2)(3) + 3 ≤ 8 F : ‫فأن‬ ‫كانت‬ ‫إذا‬ ‫التعدي‬ ‫خاصية‬ ........ a c ‫فأن‬ a b ‫و‬ b c ‫كانت‬ ‫اذا‬ )1( ‫الجمع‬ ‫خاصية‬ ........ ‫فأن‬ a b ‫كانت‬ ‫اذا‬ )2( 3 + 2 4 + 2 ‫فأن‬ c = 2 ، 3 4 ‫كان‬ ‫اذا‬ . ‫يتغير‬ ‫ال‬ ‫الترتيب‬ ‫فأن‬ ‫المتباينة‬ ‫طرفي‬ ‫الى‬ ‫متساوية‬ ‫اعداد‬ ‫إضافة‬ ‫عند‬ ‫أن‬ ‫أي‬ ‫المتباينة‬ ‫حل‬ ‫مجموعة‬ ]4 - 2 - 1[ ‫المتباينات‬ ‫خواص‬ ]4 - 2 - 2[
  • 77.
    77 2 -3 4 - 3 4 2 6 2 a b b cc a c b c 8 -2 10 -2 ‫الطرح‬ ‫خاصية‬ ....... a - c b - c : ‫فأن‬ a b ‫كانت‬ ‫اذا‬ )3( ، c = 3 ، 2 4 ‫كان‬ ‫اذا‬ :‫فأن‬ ‫موجب‬ ‫عدد‬ c , a b ‫كانت‬ ‫اذا‬ )4( a c b c .‫الترتيب‬ ‫بنفس‬ ‫صائبة‬ ‫تبقى‬ ‫فأنها‬ ‫موجب‬ ‫بعدد‬ ‫متباينة‬ ‫طرفي‬ ‫ضرب‬ ‫عند‬ ‫انه‬ ‫أي‬ )3()-3( )3( )2( ‫فأن‬ ، c = 3 ، -3 2 -9 6 ‫اي‬ :‫فأن‬ ‫سالب‬ ‫عدد‬ c , a b ‫كانت‬ ‫اذا‬ )5( a c b c :‫فأن‬ c = -2 , -2 5 ‫كان‬ ‫اذا‬ )-2( )-2( )-2( )5( 4 -10 ‫اي‬ .‫الترتيب‬ ‫بعكس‬ ‫صائبة‬ ‫المتباينة‬ ‫فأن‬ ‫سالب‬ ‫بعدد‬ ‫متباينة‬ ‫طرفي‬ ‫ضرب‬ ‫عند‬ :‫فأن‬ ‫موجب‬ ‫عدد‬ c ، a b ‫كانت‬ ‫اذا‬ )6( 2 3 ‫اي‬ ‫فأن‬ c = 2 ، 4 6 ‫كان‬ ‫اذا‬ ‫الترتيب‬ ‫بنفس‬ ‫صائبة‬ ‫فأنها‬ ‫موجب‬ ‫عدد‬ ‫على‬ ‫متباينة‬ ‫طرفي‬ ‫قسمة‬ ‫عند‬ :‫فأن‬ ‫سالب‬ ‫عدد‬ c ، a b ‫كانت‬ ‫اذا‬ )7( -4 -5 ‫اي‬ ‫فأن‬ c = -2 ، 8 10 ‫كان‬ ‫اذا‬ ، . ‫الترتيب‬ ‫بعكس‬ ‫صائبة‬ ‫فأنها‬ ‫سالب‬ ‫عدد‬ ‫على‬ ‫متباينة‬ ‫طرفي‬ ‫قسمة‬ ‫عند‬ .) , , ≥ , ≤ , ≠( ‫التباين‬ ‫رموز‬ ‫لكل‬ ‫صحيحة‬ ‫المتباينات‬ ‫خواص‬ ‫بأن‬ ‫نذكر‬
  • 78.
    78 4x - 5 3 ( x - 2 ) - 1 ‫األعداد‬ ‫مستقيم‬ ‫على‬ ‫الحل‬ ‫مجموعة‬ ‫ومثل‬ ‫اآلتية‬ ‫المتباينة‬ ‫حل‬ /‫الحل‬ 4x - 5 3 ( x - 2 ) - 1 ‫المتباينة‬ 4x - 5 3 x - 7 ‫توزيع‬ 4x - 5 -3x 3 x - 7 - 3x ‫للطرفين‬ ‫اضافة‬ x - 5 - 7 x - 5 + 5 - 7 + 5 ‫للطرفين‬ )5( ‫اضافة‬ ∴ x -2 {x : x -2 } = ‫الحل‬ ‫مجموعة‬ ∴ -4(x - 2) 5 - 5 ( x - 1 ) ‫االعداد‬ ‫مستقيم‬ ‫على‬ ‫الحل‬ ‫مجموعة‬ ‫ومثل‬ ‫المتباينة‬ ‫حل‬ /‫الحل‬ -4(x - 2) 5 - 5 ( x - 1 ) ‫المتباينة‬ -4x + 8 5 - 5 x + 5 ‫االقواس‬ ‫ازالة‬ -4x + 8 10 - 5 x -4x + 5x + 8 10 - 5 x + 5x ‫للطرفين‬ ‫اضافة‬ ‫قيم‬ ‫مجموعة‬ ‫هي‬ x ‫في‬ ‫حدودية‬ ، m ∈ R ‫حيث‬ f(x) m : ‫المتباينة‬ ‫حل‬ ‫مجموعة‬ . ‫صائبة‬ ‫المتباينة‬ ‫تجعل‬ ‫التي‬ x ‫المتغير‬ f (x) ( 1 ) ‫مثال‬ -2-3-4-5 -1 0 1 ( 2 ) ‫مثال‬ : ]4-3[ ‫تعريف‬ (-3x) (5x)
  • 79.
    79 x + 8 10 x + 8 -8 10 - 8 ‫للطرفين‬ )-8(‫اضافة‬ ∴ x 2 {x : x 2 } = ‫الحل‬ ‫مجموعة‬ ∴ ‫االعداد‬ ‫مستقيم‬ ‫على‬ ‫ومثل‬ ‫المتباينة‬ ‫حل‬ /‫الحل‬ ‫المتباينة‬ -5 ‫في‬ ‫المتباينة‬ ‫طرفي‬ ‫بضرب‬ )) ‫المتباينة‬ ‫اتجاه‬ ‫تغير‬ ‫((الحظ‬ . ‫للطرفين‬ )5x( ‫اضافة‬ ‫للطرفين‬ )-3( ‫باضافة‬ 3 ‫على‬ ‫بالقسمة‬ ‫الحل‬ ‫مجموعة‬ 2 3 4 5-1 0 1 ( 3 ) ‫مثال‬ -2x + 3 -5 ≤ x +1 -5 -2x + 3 -5 ⎛ ⎝ ⎜ ⎞ ⎠ ⎟ ≥ -5(x + 1 ) -2x + 3 ≥ -5x -5 3x + 3 - 3 ≥ -5 -3 3x ≥ -8 3x 3 ≥ -8 3 ∴ x ≥ -8 3 ∴ s = x : x ≥ -2 2 3 ⎧ ⎨ ⎩ ⎫ ⎬ ⎭ -2x + 3 -5 ≤ x +1 -2-3 2 3-1 0 1 -2 2 3 ≥-5x-5 -5 -2x + 3 -5 ⎛ ⎝ ⎜ ⎞ ⎠ ⎟ ≥ -5(x + 1 ) -2x + 3 ≥ -5x -5 3x + 3 - 3 ≥ -5 -3 3x ≥ -8 3x 3 ≥ -8 3 ∴ x ≥ -8 3 ∴ s = x : x ≥ -2 2 3 ⎧ ⎨ ⎩ ⎫ ⎬ ⎭ −2x + 3+ 5x ≥ −5x − 5 + 5x
  • 80.
    80 ‫االعداد‬ ‫مستقيم‬ ‫على‬‫الحل‬ ‫مجموعة‬ ‫ومثل‬ ‫المتباينة‬ ‫حل‬ /‫الحل‬ ‫المتباينة‬ 4 ‫في‬ ‫المتباينة‬ ‫طرفي‬ ‫بضرب‬ ‫الطرفين‬ ‫تبسيط‬ ‫للطرفين‬ )-y( ‫باضافة‬ . } y : y -7 { = ‫الحل‬ ‫مجموعة‬ ∴ ‫االعداد‬ ‫مستقيم‬ ‫على‬ ‫الحل‬ ‫مجموعة‬ ‫ومثل‬ ) -u ≠ -7 ( ‫المتباينة‬ ‫حل‬ -u ≠ -7 ‫المتباينة‬ /‫الحل‬ )-1( ‫على‬ ‫القسمة‬ ‫ويمكن‬ ..... )-1( ‫في‬ ‫الطرفين‬ ‫نضرب‬ ‫الطرفين‬ ‫تبسيط‬ R-{7} = { u : u ≠ 7 { = ‫الحل‬ ‫مجموعة‬ ∴ ( 4 ) ‫مثال‬ y - 3 4 - y 2 y - 3 4 - 1 y 2 4 y - 3 4 ⎛ ⎝ ⎜ ⎞ ⎠ ⎟ - 4 (1) 4 y 2 ⎛ ⎝ ⎜ ⎞ ⎠ ⎟ y - 3 - 4 2y y - 7 2y y - 7 - y 2y - y - 7 y y -7 -2-3-4-5 -1 0-6-7-8-9 ( 5 ) ‫مثال‬ (-1)(-u) ≠ (-1)(-7) u ≠ 7 -1 -2-3 4 5-1 0 6 7 8 91 2 3
  • 81.
    81 . x ‫في‬‫حدودية‬ f(x) c , d ∈ R ‫حيث‬ d f (x) c : ‫نوع‬ ‫من‬ ‫متباينة‬ ‫حل‬ ‫نحاول‬ ‫االن‬ ))Double Inequalities(( ‫مزدوجة‬ ‫متباينة‬ ‫النوع‬ ‫هذا‬ ‫ويسمى‬ . )) ‫و‬(( ‫الربط‬ ‫باداة‬ ‫مربوطتين‬ f (x) d , f(x) c : ‫متباينتين‬ ‫عن‬ ‫عبارة‬ ‫وهي‬ . S1 ‫المجموعة‬ ‫هي‬ f (x) c ‫االولى‬ ‫حل‬ ‫مجموعة‬ ‫لتكن‬ * . S2 ‫الحل‬ ‫مجموعة‬ ‫هي‬ f(x) d ‫الثانية‬ ‫حل‬ ‫مجموعة‬ ‫لتكن‬ * S = S1 ∩S2 : ‫حيث‬ S ‫هي‬ : ‫االصلية‬ ‫المتباينة‬ ‫حل‬ ‫مجموعة‬ ‫فأن‬ ‫االعداد‬ ‫مستقيم‬ ‫على‬ ‫الحل‬ ‫مجموعة‬ ‫ومثل‬ ‫المتباينة‬ ‫حل‬ ‫الثانية‬ ‫المتباينة‬ ‫االولى‬ ‫المتباينة‬ / ‫احلل‬ 4 x + 2 - 3 4 x + 2 ≤ 10 4 x + 2 - 2 -3 -2 4 x + 2 - 2 ≤ 10 -2 4 x - 5 4 x ≤ 8 S = S1 ∩S2 S1 S2 ( 6 ) ‫مثال‬ -3 4x + 2 ≤ 10 10-1-2 2 3-3 4 −5 4 )-2( ‫باضافة‬ )-2( ‫باضافة‬ ‫تبسيط‬ ‫تبسيط‬ ⇒ 4x 4 -5 4 4x 4 -5 4 4x 4 -5 4 x -5 4 x -5 4 x -5 4 ⇒ 4x 4 ≤ 8 4 4x 4 ≤ 8 4 4x 4 ≤ 8 4 x≤2x≤2x≤24 ‫على‬ ‫بالقسمة‬4 ‫على‬ ‫بالقسمة‬ s2 = x : x -5 4 ⎧ ⎨ ⎩ ⎫ ⎬ ⎭ ∴ s1 = x: x ≤ 2{ } s = x : -5 4 x ≤ 2 ⎧ ⎨ ⎩ ⎫ ⎬ ⎭ ∴ s = s1 I s2 = x: x ≤ 2{ } I x : x -5 4 ⎧ ⎨ ⎩ ⎫ ⎬ ⎭ ∴
  • 82.
    82 . ‫االعداد‬ ‫مستقيم‬‫على‬ ‫الحل‬ ‫مجموعة‬ ‫ومثل‬ ‫المتباينة‬ ‫حل‬ /‫احلل‬ :‫السابق‬ ‫المثال‬ ‫في‬ ‫كما‬ ‫التجزئة‬ ‫الى‬ ‫الحاجة‬ ‫دون‬ ‫المتباينة‬ ‫حل‬ ‫يمكن‬ ‫االصلية‬ ‫المتباينة‬ ‫المتباينة‬ ‫طرفي‬ ‫الى‬ )-1( ‫باضافة‬ ‫تبسيط‬ ‫الترتيب‬ ‫تغير‬ ‫مراعاة‬ ‫مع‬ )-2( ‫على‬ ‫بالقسمة‬ ‫ذلك‬ ‫ليكون‬ ‫اليسار‬ ‫الى‬ ‫االصغر‬ ‫العدد‬ ‫يكون‬ ‫ان‬ ‫المزدوجة‬ ‫المتباينة‬ ‫حلول‬ ‫مجموعة‬ ‫كتابة‬ ‫في‬ ‫يفضل‬ : ‫ان‬ ‫اي‬ ‫االعداد‬ ‫مستقيم‬ ‫على‬ ‫الترتيب‬ ‫خاصية‬ ‫مع‬ ً‫ا‬‫متناسق‬ 35 ، 17 ‫بين‬ ‫يقع‬ ‫الناتج‬ ‫فان‬ )5( ‫امثالها‬ ‫ثالثة‬ ‫الى‬ ‫اضيفت‬ ‫اذا‬ ‫التي‬ ‫الصحيحة‬ ‫االعداد‬ ‫هي‬ ‫ما‬ / ‫احلل‬ y = ‫الصحيحة‬ ‫االعداد‬ ‫احد‬ ‫نفرض‬ ‫الجبرية‬ ‫بالصورة‬ ‫المسألة‬ ‫تصبح‬ ً‫ا‬‫اذ‬ (-5(‫باضافة‬ ‫التباين‬ ‫ترتيب‬ ‫على‬ ‫المحافظة‬ ‫(3)مع‬ ‫على‬ ‫بالقسمة‬ 5 , 6 , 7 , 8 , 9 ‫هي‬ ‫المسألة‬ ‫تحقق‬ ‫التي‬ ‫الصحيحة‬ ‫االعداد‬ ∴ ( 7 ) ‫مثال‬ ( 8 ) ‫مثال‬ 31-2y≤10 31-2y≤10 3-11-2y-1≤10-1 2-2y≤9 2 -2 -2y -2 ≥ 9 -2 -1y≥ -9 2 s = y : −9 2 ≤ y −1 ⎧ ⎨ ⎩ ⎫ ⎬ ⎭ 17 3y+5 35 17 - 5 3y+5 - 5 35 - 5 12 3y 30 12 3 3y 3 30 3 4 y 10 . ‫الطريقة‬ ‫هذه‬ ‫بنفس‬ )6( ‫مثال‬ ‫حل‬ ‫تدريب‬ -2-3-4-5 -1 0 -9 2
  • 83.
    83 : ‫اآلتية‬ ‫العبارات‬‫من‬ ‫كل‬ ‫صحة‬ ‫في‬ ‫أبحث‬ /1‫س‬ .‫أولي‬ ‫عدد‬ 7 ‫و‬ −2( ) 3 = −8 )1 .‫األعداد‬ ‫خط‬ ‫على‬ -2 ‫يمين‬ ‫على‬ ‫يقع‬ −3( ) ‫أو‬ 15 = 5. 3 )2 .‫مربع‬ ‫مستطيل‬ ‫كل‬ ‫و‬ 60o ‫األضالع‬ ‫المتساوي‬ ‫المثلث‬ ‫في‬ ‫زاوية‬ ‫كل‬ ‫قياس‬ )3 . 6 = 2 + 3 ‫أو‬ ‫نسبي‬ ‫غير‬ ‫عدد‬ ‫الصفر‬ )4 . 6 6 = 6 ‫و‬ −643 = −4 )5 . ‫االعداد‬ ‫مستقيم‬ ‫على‬ ‫الحل‬ ‫مجموعة‬ ‫ومثل‬ ‫االتية‬ ‫المتباينات‬ ‫من‬ ‫كال‬ ‫حل‬ /2‫س‬ (1) 2x+3≤9 (2) 5-2y4 (3) 3Z+517 (4) 9≤5-3t (5) 3k+5 2 4 (6) 2p-5 -3 ≤2 (7) 2 2p-1( )≤6- p+8( ) (8) 1 3 t+ 7 12 1 2 t+ 3 4 (9) -10≤2b-3≤9 (10) -4 3m+2 2 5 (11) -1 3 y≠ 1 2 (12) 2 p-1( )-32p+3 (13) / 3‫س‬ ‫معدل‬ ‫على‬ ‫الحصول‬ ‫يريد‬ ‫وكان‬ )66( ‫االول‬ ‫الشهر‬ ‫في‬ ‫الرياضيات‬ ‫امتحان‬ ‫في‬ ‫زيد‬ ‫درجة‬ ‫كانت‬ ‫اذا‬ )a ‫في‬ ‫عليها‬ ‫يحصل‬ ‫ان‬ ‫يجب‬ ‫التي‬ ‫الدرجة‬ ‫تتراوح‬ ‫فكم‬ ‫درجة‬ 80 ، 70 ‫بين‬ ‫يتراوح‬ ‫الرياضيات‬ ‫في‬ ‫الثاني؟‬ ‫االمتحان‬ . 7 ، -3 ‫بين‬ ‫الناتج‬ ‫كان‬ 6 ‫اليها‬ ‫اضيفت‬ ‫اذا‬ ‫التي‬ ‫الصحيحة‬ ‫االعداد‬ ‫مجموعة‬ ‫جد‬ )b . ‫او‬ ‫الرمزين‬ ‫باحد‬ ‫يلي‬ ‫فيما‬ ‫االستفهام‬ ‫عالمة‬ ‫استبدل‬ / 4‫س‬ .a ? b ‫فان‬ a - b = -2 ‫كانت‬ ‫اذا‬ . a ? b ‫فان‬ a - b = 1 ‫كانت‬ ‫اذا‬ )a 4 1 10 p - 8 8 + 7p )b
  • 84.
    84 ‫االعداد‬ ‫من‬ ‫مرتب‬‫بزوج‬ ‫مثل‬ُ‫ت‬ ‫االحداثي‬ ‫المستوي‬ ‫في‬ ‫نقطة‬ ‫اية‬ ‫ان‬ ‫السابقة‬ ‫دراستك‬ ‫من‬ ‫تعلمت‬ . )x , y( ‫الحقيقية‬ ‫تسمى‬ ‫و‬ ً‫ا‬‫مع‬ ‫و‬ ‫حيث‬ ً‫ا‬‫مع‬ : ‫صورتها‬ ‫التي‬ ‫فالمعادلة‬ .x , y ‫بمتغيرين‬ ‫خطية‬ ‫معادلة‬ : ‫المعادلة‬ ‫حلول‬ ‫مجموعة‬ ‫جد‬ : ‫للنظام‬ ‫الحل‬ ‫مجموعة‬ ‫او‬ / ‫احلل‬ ‫الجدول‬ ‫في‬ ‫كما‬ ‫المعادلة‬ ‫تحقق‬ ‫والتي‬ x , y ‫قيم‬ ‫مجموعة‬ ‫بايجاد‬ ‫الحل‬ ‫مجموعة‬ ‫ايجاد‬ ‫نحاول‬ )x, y(yx+y=3x )-1 , 4(4-1+y = 3-1 ) 0 , 3(30 +y = 30 )1 , 2(21 +y = 31 ) 2, 1(12 + y = 32 . ‫ان‬ ‫بحيث‬ )x, y( ‫المرتبة‬ ‫االزواج‬ ‫من‬ ‫محددة‬ ‫غير‬ ‫مجموعة‬ ‫هناك‬ ‫ان‬ ‫واضح‬ ‫الجدول‬ ‫من‬ . ‫الحل‬ ‫مجموعة‬ ‫وتكون‬ 4 - 3‫االولى‬ ‫الدرجة‬ ‫من‬ ‫املعادلة‬ ‫مبتغيرين‬ ax+by+c=0a,b,c ∈ Ra≠0b≠0 ‫متغيرين‬ ‫في‬ ‫االولى‬ ‫الدرجة‬ ‫من‬ ‫المعادلة‬ ‫حل‬ ‫مجموعة‬ ]4 - 3 - 1[ ( 1 ) ‫مثال‬ x+y=3 x+y=3 x+y=3 s= 0,3( ), 1,2( ), 2,1( ), -1,4( )...{ } ..... ..... ..... ..... A= x,y( ):x,y ∈ R, x+y=3{ }Z
  • 85.
    85 . . ‫حيث‬2x + 3y = 6 : ‫للمعادلة‬ ‫البياني‬ ‫المخطط‬ ‫ارسم‬ x ‫قيم‬ ‫مجموعة‬ / ‫احلل‬ . x = 3 , x = -1 ‫من‬ ‫الناتجتين‬ ‫بالنقطتين‬ ‫محددة‬ ‫مستقيم‬ ‫قطعة‬ ‫يمثل‬ ‫للمعادلة‬ ‫البياني‬ ‫المخطط‬ ‫ان‬ ‫واضح‬ : ]4-4[ ‫تعريف‬ ‫المرتبة‬ ‫االزواج‬ ‫جميع‬ ‫مجموعة‬ ‫هي‬ x , y ‫بمتغيرين‬ ‫االولى‬ ‫الدرجة‬ ‫من‬ ‫المعادلة‬ ‫حل‬ ‫مجموعة‬ . ‫صائبة‬ ‫تجعلها‬ ‫التي‬ ‫اي‬ ax + by + c = 0 ‫المفتوحة‬ ‫الجملة‬ ‫تحقق‬ ‫التي‬ )x , y( (2 ) ‫مثال‬ )x, y(y2x+3y=6x (−1, 8 3 ) 8 3 -2+3y=6-1 )0,2( 2 0+3y=60 (1, 4 3 ) 4 3 2+3y=61 (2, 2 3 ) 2 3 4+3y=62 )3,0( 0 6+3y=63 ‫باخذ‬ ‫نكتفي‬ x , y ‫في‬ ‫بمتغيرين‬ ‫الخطية‬ ‫المعادلة‬ ‫لتمثيل‬ )1( . ‫للدقة‬ ‫نقاط‬ ‫ثالث‬ ‫ويفضل‬ ‫المعادلة‬ ‫تحققان‬ ‫نقطتين‬ ‫جزئية‬ ‫مجموعة‬ ‫او‬ ‫مستقيم‬ ax +by +c = 0 ‫للمعادلة‬ ‫البياني‬ ‫المخطط‬ )2( . x ‫المتغير‬ ‫تعريف‬ ‫مجموعة‬ ‫على‬ ‫معتمد‬ )‫اوشعاع‬ ‫مستقيم‬ ‫(قطعة‬ ‫مالحظة‬ • •• •• - 1 0 1 2 3 [ ] 1- 1 2 3 3,0( ) y x • • (-1 , 8 3 ) -1 ≤ x ≤ 3
  • 86.
    86 ‫االولى‬ ‫الدرجة‬ ‫من‬‫معادلتني‬ ‫حل‬ ً‫ا‬‫اني‬ ‫مبتغيرين‬ ‫لحل‬ x , y ‫بمتغيرين‬ ‫االولى‬ ‫الدرجة‬ ‫من‬ ‫معادلتين‬ L2 :a2x+b2y=c2 , L1:a1x+b1y=c1 ‫لتكن‬ . ‫والمحددات‬ ‫المصفوفات‬ ‫وبطريقة‬ )‫الحذف‬ ، ‫(التعويض‬ ‫وتحليلية‬ ‫بيانية‬ : ‫طرق‬ ‫عدة‬ ‫هناك‬ ‫النظام‬ ‫هذا‬ . ‫فقط‬ ‫والحذف‬ ‫التعويض‬ ‫وطريقتي‬ ‫البيانية‬ ‫الطريقة‬ ‫سندرس‬ ‫المرحلة‬ ‫هذه‬ ‫في‬ . L1 ‫معادلة‬ ‫حل‬ ‫مجموعة‬ ‫هي‬ S1 ‫كانت‬ ‫اذا‬ ‫عام‬ ‫وبشكل‬ s1 = x,y( ):a1x+b1y=c1{ } . L2 ‫معادلة‬ ‫حل‬ ‫مجموعة‬ ‫هي‬ S2 . S2 , S1 ‫المجموعتين‬ ‫تقاطع‬ ‫هي‬ ‫النظام‬ ‫حل‬ ‫مجموعة‬ ‫فتكون‬ . R ‫في‬ x - y = 1 , x + y = 3 : ‫النظام‬ ‫حل‬ ‫مجموعة‬ ‫جد‬ / ‫احلل‬ : R ‫التعويض‬ ‫مجموعة‬ ‫من‬ ‫نقاط‬ ‫بثالث‬ ‫الجدول‬ ‫نعمل‬ 4 - 4 s2 = x,y( ):a2x+b2y=c2{ } s=s1 ∩ s2 ً‫ال‬‫او‬-: ‫البيانية‬ ‫الطريقة‬ (1 ) ‫مثال‬ L1:x+y=3 )x, y(yx )0,3(30 )1,2(21 )2,1(12 )x, y(yx (0,-1)-10 )1,0(01 )2,1(12 L2 :x-y=1 : ‫اي‬
  • 87.
    87 })2 , 1({= ‫الحل‬ ‫مجموعة‬ * ‫أحدى‬ ‫من‬ y ، x ‫بين‬ ‫عالقة‬ ‫بإيجاد‬ ‫وذلك‬ ‫فقط‬ ‫واحد‬ ‫بمتغير‬ ‫معادلة‬ ‫الى‬ ‫المعادلتين‬ ‫أحدى‬ ‫بتحويل‬ ‫ويتلخص‬ :‫االتي‬ ‫المثال‬ ‫في‬ ‫كما‬ ‫االخرى‬ ‫المعادلة‬ ‫في‬ ‫وتعويضها‬ ‫المعادلتين‬ ‫النظام‬ ‫حل‬ ‫مجموعة‬ ‫جد‬ : y ‫بداللة‬ x ‫نجد‬ )1( ‫المعادلة‬ ‫من‬ / ‫احلل‬ :‫ان‬ ‫اي‬ : ‫على‬ ‫لنحصل‬ )2( ‫المعادلة‬ ‫في‬ )3( ‫من‬ x ‫قيمة‬ ‫االن‬ ‫نعوض‬ ً‫ا‬‫ثاني‬-: ‫التعويض‬ ‫طريقة‬ ( 2 ) ‫مثال‬ x-y=1.......... 1( ) x+y=3......... 2( ) x=1+y......... 3( ) 1+y( )+y=3 1+2y=3 2y=2 ∴ y=1 X 1 2 3 4 5 6 7 1 2 3 40 -1 -2 L2 L1 y • 2,1( ) : ‫باالتي‬ ‫البياني‬ ‫الحل‬ ‫طريقة‬ ‫تتلخص‬ .‫االحداثي‬ ‫المستوي‬ ‫في‬ ‫والثاني‬ ‫االول‬ ‫المستقيمين‬ ‫من‬ ‫كل‬ ‫تمثيل‬ * ‫المحورين‬ ‫على‬ ‫النقطة‬ ‫من‬ ‫عمودين‬ ‫برسم‬ ‫المستقيمين‬ ‫تقاطع‬ ‫نقطة‬ ‫احداثي‬ ‫نجد‬ * . ‫النظام‬ ‫حل‬ ‫مجموعة‬ ‫تمثل‬ ‫التقاطع‬ ‫نقطة‬ ‫فتكون‬ ‫والسيني‬ ‫الصادي‬
  • 88.
    88 :‫فتكون‬ )3( ‫في‬) y =1 ( ‫قيمة‬ ‫نعوض‬ ‫الن‬ ‫احداهما‬ ‫في‬ ‫وليس‬ ‫المعادلتين‬ ‫كلتا‬ ‫في‬ ) y = 1 ) ( x = 2 ( ‫عن‬ ‫نعوض‬ ‫الحل‬ ‫صحة‬ ‫من‬ ‫وللتحقق‬ .‫صائبتين‬ ‫عبارتين‬ ‫على‬ ‫للحصول‬ ‫كلتيهما‬ ‫تحقق‬ ‫ان‬ ‫يجب‬ ‫الحل‬ ‫مجموعة‬ : ‫االولى‬ ‫المعادلة‬ : ‫الثانية‬ ‫المعادلة‬ ‫المعادلتين‬ ‫لحل‬ ‫التعويض‬ ‫طريقة‬ ‫استخدم‬ ‫و‬ / ‫احلل‬ :)2( ‫المعادلة‬ ‫من‬ : y ‫هو‬ ‫واحد‬ ‫بمتغير‬ ‫جديدة‬ ‫معادلة‬ ‫على‬ ‫لنحصل‬ )1( ‫المعادلة‬ ‫في‬ ‫قيمة‬ ‫نعوض‬ 2 ‫في‬ ‫الطرفين‬ ‫بضرب‬ ‫االقواس‬ ‫فك‬ ‫بالتبسيط‬ x=1+y x=1+1 ∴ x=2 s= 2,1( ){ } x-y=1 ⇒ 2-1=1 1=1 x+y=3 ⇒ 2+1=3 3=3 ( 3 ) ‫مثال‬ 3x+2y=12..... 1( )2x+3y=13..... 2( ) 2x=13-3y ⇒ x= 13-3y 2 x= 13-3y 2 3 13-3y 2 ⎛ ⎝ ⎜ ⎞ ⎠ ⎟ +2y=12 3 13-3y( )+4y=24 39-9y+4y=24 39-5y=24 ∴ -5y=-15 -5y -5 = -15 -5 ∴ y=3 ✓
  • 89.
    89 ‫في‬ y =3‫قيمته‬ ‫نعوض‬ ‫على‬ ‫نحصل‬ {(2,3)} : ‫الحل‬ ‫مجموعة‬ .‫الحذف‬ ‫بطريقة‬ ‫االتيتين‬ ‫المعادلتين‬ ‫حل‬ x+2y=5..... 1( ) , 3x-y=1..... 2( ) / ‫احلل‬ ‫بالقيمة‬ ً‫ا‬‫متساوي‬ ‫المتغيرين‬ ‫أحد‬ ‫معامل‬ ‫نجعل‬ y ‫أو‬ x ‫المتغيرين‬ ‫أحد‬ ‫لحذف‬ .‫المعادلتين‬ ‫كلتا‬ ‫في‬ ‫باالشارة‬ ً‫ا‬‫ومختلف‬ 2 ‫العدد‬ ‫في‬ )2( ‫المعادلة‬ ‫ضرب‬ ‫بعد‬ : ‫على‬ ‫نحصل‬ 2 ‫مع‬ 1 ‫بجمع‬ 0 = (-2y) + (2y) : ‫ألن‬ . ) ‫المعادلتين‬ ‫من‬ ‫معادلة‬ ‫بابسط‬ ‫(يفضل‬ ‫المعادلتين‬ ‫أحدى‬ ‫في‬ x = 1 ‫قيمة‬ ‫نعوض‬ ‫الحل‬ ‫مجموعة‬ ‫المعادلتين‬ ‫كلتا‬ ‫في‬ ‫نعوض‬ x=1 , y=2 : ‫للتحقق‬ x= 13-3y 2 x=2 ً‫ا‬‫ثالث‬-: ‫احلذف‬ ‫طريقة‬ ( 4 ) ‫مثال‬ x+2y=5..... 1( ) 6x-2y=2..... 2( ) 7x=7 ∴ x=1 1+2y=5 2y=4 ⇒ y=2 s= 1,2( ){ } ‫بالجمع‬
  • 90.
    90 )‫وجدت‬ ‫ان‬ ،‫والكسور‬ ‫االقواس‬ ‫من‬ ‫(التخلص‬ ‫المعادلتين‬ ‫نبسط‬ -1 :‫القياسية‬ ‫بالصورة‬ ‫لوضعها‬ .‫العددية‬ ‫بالقيمة‬ ‫المعادلتين‬ ‫في‬ ً‫ا‬‫متساوي‬ ‫المتغيرين‬ ‫احد‬ ‫معامل‬ ‫نجعل‬ -2 .)‫المعامل‬ ‫الشارة‬ ً‫ا‬‫(وفق‬ ‫المعادلتين‬ ‫نطرح‬ ‫او‬ ‫نجمع‬ -3 ‫احدى‬ ‫في‬ ‫نعوض‬ ‫ثم‬ ‫االخر‬ ‫المتغير‬ ‫قيمة‬ ‫على‬ ‫نحصل‬ )3( ‫الخطوة‬ ‫من‬ -4 .)‫(المحذوف‬ ‫المتغير‬ ‫قيمة‬ ‫على‬ ‫للحصول‬ ‫المعادلتين‬ .‫الحذف‬ ‫بطريقة‬ ‫االتيتين‬ ‫المعادلتين‬ ‫حل‬ 3x+4y=10..... 2( ) , 2x+3y=7..... 1( ) / ‫احلل‬ :‫يلي‬ ‫كما‬ ‫المعادلتين‬ ‫من‬ x ‫حذف‬ ‫نحاول‬ .‫لهما‬ ‫مكافئتين‬ ‫جديدتين‬ ‫معادلتين‬ ‫على‬ ‫لنحصل‬ 2 ‫بالعدد‬ )2( ‫والمعادلة‬ 3 ‫بالعدد‬ )1( ‫بضرب‬ ‫بالطرح‬ : y = 1 ‫قيمة‬ ‫عن‬ ) )1( ‫في‬ ‫اي‬ ( )‫االشارة‬ ‫تغيير‬ ‫(قبل‬ ‫احدهما‬ ‫في‬ ‫نعوض‬ .‫الناتج‬ ‫صحة‬ ‫من‬ ‫التحقق‬ ‫للطالب‬ ‫يمكن‬ : ‫الطريقة‬ ‫ملخص‬ ( 5 ) ‫مثال‬ ax+by=c 2x+ 3 × 1( )=7 2x=4 ⇒ x=2 s= 2,1( ){ } 6x + 9y= 21..... 1( ) + 6x + 8y= + 20..... 2( ) - ⇒ y=1 - -
  • 91.
    91 : ً‫ا‬‫ثاني‬ ً‫ا‬‫بياني‬‫ثم‬ ً‫ال‬‫او‬ ‫الحذف‬ ‫بطريقة‬ ‫االتيتين‬ ‫المعادلتين‬ ‫حل‬ 3x-y=12......... 1( )6 , x-y=4......... 2( ) : ً‫ال‬‫او‬ : y ‫المتغير‬ ‫حذف‬ ‫من‬ ‫لنتمكن‬ )-1( ‫بالعدد‬ )2( ‫المعادلة‬ ‫طرفي‬ ‫نضرب‬ :‫الحذف‬ ‫بطريقة‬ ‫بالجمع‬ :)1( ‫في‬ ‫او‬ : ً‫ال‬‫أص‬ )2( ‫في‬ ‫نعوض‬ : ً‫ا‬‫بياني‬ ‫احلل‬ ( 6 ) ‫مثال‬ -x +y =-4....... 2( ) x y (x,y) 0 4 -4 0 (0,-4) (4,0) x y (x,y) 0 2 -6 0 (0,-6) (2 , 0) L2 :x-y=4L1:3x-y=12 3x -y =12....... 1( )6 2x=8 ⇒ x=42 1 4-y=4 ⇒ y=0−3 s = 1,−3( ){ } 3x-y=12......... 1( )6 x-y=4......... 2( ) L2 X L1 y ‫التقاطع‬ ‫نقطة‬ )1 , -3( 1
  • 92.
    92 : ‫الحذف‬ ‫بطريقة‬‫اآلتيتين‬ ‫المعادلتين‬ ‫حل‬1 2 x+2( )- 1 3 y-2( )=3 ........1 1 4 x + 1 2 y = 0 ........2 ) LCM( 6 ‫بالعدد‬ )1( ‫المعادلة‬ ‫طرفي‬ ‫بضرب‬ ‫وذلك‬ ‫المعادلتين‬ ‫كلتا‬ ‫في‬ ‫الكسور‬ ‫من‬ ‫نتخلص‬ /‫احلل‬ :‫ونبسط‬ . 4 ‫بالعدد‬ )2( ‫والمعادلة‬ ⇒ 6( ) × 1 2 x+2( )- 6( ) × 1 3 y-2( )=6 × 3 ⇒ 3 x+2( ) − 2 y-2( ) = 18 3x-2y+10=18 3x-2y=8 ........1 4( ) × 1 4 x + 4( ) × 1 2 y=0 ⇒ x+2y=0 ........2 3x-2y=8 ........1‫بالجمع‬ 4x=8 ⇒ x=2 )2( ‫بالمعادلة‬ ‫نعوض‬ 1 4 ⎛ ⎝ ⎜ ⎞ ⎠ ⎟ × 2+ 1 2 y=0 1 2 + 1 2 y=0 ‫على‬ ‫نجصل‬ 2 ‫في‬ ‫بالضرب‬ 1 + y=0 ⇒ y=-1 ss= 2,-1( ){ } ∴= 2,-1( ){ } ∴ ( 7 ) ‫مثال‬
  • 93.
    93 4 2 :‫التعويض‬ ‫بطريقة‬‫اآلتيتين‬ ‫المعادلتين‬ ‫من‬ ً‫ال‬‫ك‬ ‫حل‬ / 1‫س‬ :‫الحذف‬ ‫بطريقة‬ ‫اآلتيتين‬ ‫المعادلتين‬ ‫من‬ ً‫ال‬‫ك‬ ‫حل‬ / 2‫س‬ .‫الحل‬ ‫صحة‬ ‫من‬ ‫تحقق‬ ‫ثم‬ : ‫أخرى‬ ‫بطريقة‬ ‫الناتج‬ ‫وحقق‬ ً‫ا‬‫بياني‬ ‫يأتي‬ ‫مما‬ ‫معادلتين‬ ً‫ال‬‫ك‬ ‫/حل‬ 3‫س‬ : ‫ذلك‬ ‫بين‬ ‫االنيتين‬ ‫المعادلتين‬ ‫حل‬ ‫مجموعة‬ } ) 3 , 2 ( { ‫ان‬ ‫هل‬ / 4‫س‬ , :‫املعادلتني‬ ‫حل‬ ‫مجموعة‬ ‫هي‬ {(2,−1)} ‫كانت‬ ‫اذا‬ / 5‫س‬ ‫حقيقية‬ ‫ثوابت‬ a , b ‫حيث‬ a , b ‫جد‬ bx-2y=-2 2x+3y=13 3x-2y= 0 b-m 1-a , b − am 1-a ⎛ ⎝ ⎜ ⎞ ⎠ ⎟ ⎧ ⎨ ⎩ ⎫ ⎬ ⎭ a) x-2y= 11 2x-3y=18 b-m 1-a , b − am 1-a ⎛ ⎝ ⎜ ⎞ ⎠ ⎟ ⎧ ⎨ ⎩ ⎫ ⎬ ⎭ b) 3x-4y-12=0 5x+2y+6=0 b-m 1-a , b − am 1-a ⎛ ⎝ ⎜ ⎞ ⎠ ⎟ ⎧ ⎨ ⎩ ⎫ ⎬ ⎭ a) 3x+2y=12 x + y = 5 a) 1 2 x + 1 3 y =2 2 x+1( )+3 y-3( )=2 b) 0.1x-3y=12 0.2x-4y = 24 b) b-m 1-a , b − am 1-a ⎛ ⎝ ⎜ ⎞ ⎠ ⎟ ⎧ ⎨ ⎩ ⎫ ⎬ ⎭ 2x-ay=3 2x 3 - y 2 = 1 3y 2 + x 3 = 4
  • 94.
    94 , ‫حيث‬ :‫هي‬ x ‫واحد‬ ‫بمتغير‬ ‫الثانية‬ ‫الدرجة‬ ‫لمعادلة‬ ‫العامة‬ ‫الصورة‬ . a,b,c ∈ R m2 -m=0 ، y2 - 2y-1=0 ، ax2 -3x+1=0 : ً‫ال‬‫مث‬ ‫المعادلة‬ ‫وحل‬ ‫الترتيب‬ ‫على‬ m , y , x ‫واحد‬ ‫لمتغير‬ ‫الثانية‬ ‫الدرجة‬ ‫من‬ ‫لمعادلة‬ ‫أمثلة‬ ‫هي‬ ‫مجموعة‬ ‫ضمن‬ )‫صائبة‬ ‫(تجعلها‬ ‫المعادلة‬ ‫تحقق‬ ‫التي‬ x ‫قيم‬ ‫مجموعة‬ ‫ايجاد‬ ‫يعني‬ : ‫ومنها‬ ‫واحد‬ ‫بمتغير‬ ‫التربيعية‬ ‫المعادلة‬ ‫لحل‬ ‫مختلفة‬ ‫طرق‬ ‫وهناك‬ ‫معلومة‬ ‫تعويض‬ ‫الدرجة‬ ‫من‬ ‫منهما‬ ‫كل‬ ‫عاملين‬ ‫ضرب‬ ‫حاصل‬ ‫صورة‬ ‫على‬ ‫امكن‬ ‫ان‬ ‫المقدار‬ ‫بوضع‬ ‫وذلك‬ : ‫ان‬ ‫اي‬ ‫االولى‬ :‫أن‬ ‫على‬ ‫تنص‬ ‫والتي‬ ‫الصفري‬ ‫العامل‬ ‫خاصية‬ ‫نستخدم‬ ‫ثم‬ : ‫كان‬ ‫اذا‬ ‫اما‬ ‫او‬ ‫الحل‬ ‫مجموعة‬ ‫وتكون‬ ‫الثالثية‬ ‫الحدوديات‬ ‫تحليل‬ ، ‫مربعين‬ ‫بين‬ ‫الفرق‬ : ‫الثنائية‬ ‫الحدوديات‬ ‫لتحليل‬ ‫المختلفة‬ ‫الطرق‬ ‫درسنا‬ ‫وكما‬ . ) ‫التجزئة‬ ( ‫الرباعية‬ ‫الحدوديات‬ ، ) ‫الكامل‬ ‫المربع‬ ، ‫(التجربة‬ 4 - 5‫الثانية‬ ‫الدرجة‬ ‫من‬ ‫املعادلة‬ ‫مبتغيرواحد‬ ax2 +bx+c=0a≠0( ) ax2 +bx+c=0 ً‫ال‬‫او‬-: ‫التحليل‬ ‫طريقة‬ ax2 +bx+c( ) ax2 +bx+c= a1x+c1( ) a2x+c2( )=0 ab=0 a=0 b=0 a1x+c1 =0 ⇒ x= -c1 a1 a2x+c2 =0 ⇒ x= -c2 a2 S= -c1 a1 , -c2 a1 ⎧ ⎨ ⎩ ⎫ ⎬ ⎭2
  • 95.
    95 ‫مالحظة‬ : ‫التحليل‬ ‫بطريقة‬‫االتية‬ ‫المعادالت‬ ‫حل‬ a) x2 -25=0 b) 2x2 -3x=0 /‫الحل‬ a) x2 -25=0 ⇒ x-5( ) x+5( ) = 0 ‫اما‬ :x-5=0 ⇒ x=5 ‫او‬ :x+5=0 ⇒ x=-5 ‫الحل‬ ‫مجموعة‬ ∴ b) 2x2 -3x=0 x 2x+3( )=0 ‫مشترك‬ ‫عامل‬ ‫باخراج‬ ‫تحليل‬ ‫اما‬ : x=0 ‫او‬ : = ‫الحل‬ ‫مجموعة‬ ∴ ( 1 ) ‫مثال‬ 5,-5{ } . ‫مربعين‬ ‫بين‬ ‫الفرق‬ ‫تحليل‬ ‫نذكر‬ ) 1 : ‫وهي‬ ‫التربيعي‬ ‫الجذر‬ ‫بطريقة‬ 1 ‫المثال‬ ‫حل‬ ‫يمكن‬ ) 2 ‫وكانت‬ ، ‫كانت‬ ‫اذا‬ ‫او‬ : ‫فان‬ : ‫كان‬ ‫اذا‬ ‫اي‬ x2 -a2 = x-a( ) x+a( ) k ∈ Rk 0x2 =k x= kx=- k x2 =25 ∴ x=+ 25 x=+5 ∴ S= 5,-5{ } 2x-3=0 ⇒ x= 3 2 0, 3 2 ⎧ ⎨ ⎩ ⎫ ⎬ ⎭ - - -
  • 96.
    96 : ‫االتيه‬ ‫المعادالت‬‫حل‬ a) x-2( ) 2 − 9=0 b) 1-2y( ) 2 − 4=0 c) 2w+a( ) 2 -4a2 =0 d) 1 y+1 ⎛ ⎝ ⎜ ⎞ ⎠ ⎟ 2 - 1 4 =0 /‫احلل‬ a) x-2( ) 2 − 9=0 ( ‫المعادلة‬ ) )‫االقواس‬ ‫(فك‬ )‫تبسيط‬ ( )‫تجربة‬ ‫(تحليل‬ ‫اما‬ : ‫او‬ : = ‫الحل‬ ‫مجموعة‬ ∴ ( 2 ) ‫مثال‬ x2 -4x+4-9=0 x2 -4x-5=0 x-5( ) x+1( ) = 0 x-5=0 ⇒ x=5 x+1=0 ⇒ x=-1 -1,5{ } ‫للطالب‬ ‫تدريب‬ . x = 5 , x = - 1 ‫عن‬ ‫بالتعويض‬ ‫االجابة‬ ‫صحة‬ ‫حقق‬
  • 97.
    97 b) 1-2y( ) 2 −4=0 ( ‫المعادلة‬ ) ( ‫االقواس‬ ‫فك‬ ) ( ‫تبسيط‬ ) ) ‫تجربة‬ ‫تحليل‬ ( : ‫اما‬ : ‫او‬ c) 2w+a( ) 2 -4a2 =0 ( ‫المعادلة‬ ) ( ‫مربيعين‬ ‫بين‬ ‫الفرق‬ ‫تحليل‬ ) ( ‫تبسيط‬ ) : ‫اما‬ : ‫او‬ = ‫الحل‬ ‫مجموعة‬ d) 1 y+1 ⎛ ⎝ ⎜ ⎞ ⎠ ⎟ 2 - 1 4 =0 ( ‫المعادلة‬ ) ( ‫مربيعين‬ ‫بين‬ ‫الفرق‬ ‫تحليل‬ ) : ‫اما‬ 1-4y+4y2 -4=0 4y2 -4y-3=0 2y+1( ) 2y-3( )=0 y = -1 2 y = 3 2 a 2 , -3a 2 ⎧ ⎨ ⎩ ⎫ ⎬ ⎭ ∴ w= -3a 2 2w+3a = 0 ∴ w= a 2 2w-a=0 2w-a( ) 2w+3a( ) = 0 2w+a( )-2a⎡⎣ ⎤⎦ 2w+a( )+2a⎡⎣ ⎤⎦=0 1 y+1 − 1 2 ⎡ ⎣ ⎢ ⎤ ⎦ ⎥ 1 y+1 + 1 2 ⎡ ⎣ ⎢ ⎤ ⎦ ⎥=0 1 y+1 − 1 2 -1 2 , 3 2 ⎧ ⎨ ⎩ ⎫ ⎬ ⎭ = ‫احلل‬ ‫∴مجموعة‬ =0
  • 98.
    98 ‫الوسطين‬ ‫ضرب‬ ‫حاصل‬= ‫الطرفين‬ ‫ضرب‬ ‫حاصل‬ = ‫الحل‬ ‫مجموعة‬ : ‫بالتحليل‬ ‫االتية‬ ‫المعادالت‬ ‫حل‬ a) x x-2( )=35 b) 2x2 -12=5x c) 1 3 x2 = 3 4 x d) 2x2 -3+x( )=5x+9 e) f) 3x+1( ) 2 = 3x+1( ) /‫الحل‬ a) x x-2( )=35 x2 -2x-35=0 : ‫او‬ : ‫اما‬ = ‫احلل‬ ‫مجموعة‬ ∴ 1 y+1 = 1 2 y+1=2 y=1 1 y+1 + 1 2 = 0 1 y+1 = −1 2 -y-1=2 ∴ y=3 -3,1{ } ( 3 ) ‫مثال‬ 7, −5{ } x+5=0 ⇒ x=-5 x-7=0 ⇒ x=7 x-7( ) x+5( ) = 0 −3 - 0.1x2 - 0.4x + 0.4 = 0 : ‫او‬
  • 99.
    99 ‫مالحظة‬ b) 2x2 -12=5x : ‫اما‬ :‫او‬ = ‫الحل‬ ‫مجموعة‬ ∴ c) x 12 = LCM ‫في‬ ‫المعادلة‬ ‫طرفي‬ ‫بضرب‬ ‫الكسور‬ ‫من‬ ‫نتخلص‬ ( ‫الطرفين‬ ‫تبسيط‬ ) : ‫اما‬ :‫او‬ = ‫الحل‬ ‫مجموعة‬ ‫صحة‬ ‫من‬ ‫التحقق‬ ‫يمكن‬ . ‫االصلية‬ ‫بالمعادلة‬ ‫بالتعويض‬ ‫الناتج‬ 2x2 -5x-12=0 2x+3( ) x-4( ) = 0 2x+3=0 ⇒ x= -3 2 x-4=0 ⇒ x=4 -3 2 , 4 ⎧ ⎨ ⎩ ⎫ ⎬ ⎭ 12 1 3 x2⎛ ⎝ ⎜ ⎞ ⎠ ⎟ =12 3 4 x ⎛ ⎝ ⎜ ⎞ ⎠ ⎟ 1 3 x2 = 3 4 4x2 =9x ⇒ 4x2 -9x=0 ⇒ 4x-9=0 ⇒ x= 9 4 0, 9 4 ⎧ ⎨ ⎩ ⎫ ⎬ ⎭ x=0 x ( 4x - 9 ) = 0 -6x+2x2 -5x+9=0 2x2 -11x+9=0 2x-9( ) x-1( ) = 9-6x+2x2 -5x+9=0 2 -3+x( )=5x+9d) 2x - ( ‫الطرفين‬ ‫تبسيط‬ )
  • 100.
    100 : ‫اما‬ : ‫او‬ =‫الحل‬ ‫مجموعة‬ ∴ e) ‫الكسور‬ ‫من‬ ‫للتخلص‬ 10 ‫قي‬ ‫المعادلة‬ ‫طرفي‬ ‫بضرب‬ = ‫الحل‬ ‫مجموعة‬ ∴ f) : ‫اما‬ : ‫او‬ = ‫الحل‬ ‫مجموعة‬ ∴ 2x-9=0 ⇒ x = 9 2 x-1=0 ⇒ x=1 9 2 ,1 ⎧ ⎨ ⎩ ⎫ ⎬ ⎭ 3x+1( ) 2 = 3x+1( ) 3x+1( ) 2 - 3x+1( )=0 3x+1( ) 3x+1( )-1⎡⎣ ⎤⎦=0 3x+1=0 ⇒ x= -1 3 3x=0 ⇒ x=0 -1 3 , 0 ⎧ ⎨ ⎩ ⎫ ⎬ ⎭ .‫الحل‬ ‫واكمال‬ ‫االقواس‬ ‫فك‬ : ‫اخرى‬ ‫بطريقة‬ ‫حاول‬ ‫المعادلة‬ ‫لتصبح‬ ) 3x + 1) = y : ‫ان‬ ‫بفرض‬ ‫المعادلة‬ ‫حل‬ ‫كذلك‬ ‫ويمكن‬ .‫الحل‬ ‫نكمل‬ ‫ثم‬ y2 = y : ‫بالشكل‬ ‫االصلية‬ ‫للطالب‬ ‫تمرين‬ 0.1x2 - 0.4x + 0.4 = 0 x2 - 4x + 4 = 0 (x - 2 )2 = 0 x - 2 = 0 ⇒ x = 2 s = 2{ }
  • 101.
    101 :‫اآلتية‬ ‫الخطوات‬ ‫نتبع‬‫الطريقة‬ ‫بهذه‬ ‫الحل‬ ‫مجموعة‬ ‫إليجاد‬ a≠0 ‫حيث‬ . ‫بالصورة‬ ‫التربيعية‬ ‫المعادلة‬ ‫نضع‬ - 1 . a ‫على‬ ‫المعادلة‬ ‫طرفي‬ ‫نقسم‬ ، ‫كان‬ ‫اذا‬ - 2 . ‫المقدار‬ ‫المعادلة‬ ‫طرفي‬ ‫الى‬ ‫نضيف‬ - 3 . ‫االيمن‬ ‫الطرف‬ ‫ونبسط‬ 3 ‫الخطوة‬ ‫بعد‬ ً‫ال‬‫كام‬ ً‫ا‬‫مربع‬ ‫اصبح‬ ‫والذي‬ ‫االيسر‬ ‫الطرف‬ ‫نحلل‬ - 4 . x ‫قيم‬ ‫ونجد‬ ‫للطرفين‬ ‫التربيعي‬ ‫الجذر‬ ‫نأخذ‬ - 5 . ‫المربع‬ ‫اكمال‬ ‫بطريقة‬ ‫المعادلة‬ ‫حل‬ /‫احلل‬ ) ‫المعادلة‬ ( )‫المطلوبة‬ ‫بالصورة‬ ‫المعادلة‬ ‫(وضع‬ )2‫على‬ ‫الطرفين‬ ‫بقسمة‬ ( = 9 16 = ‫المضاف‬ ‫الحد‬ ‫للطرفين‬ ‫باضافة‬ ‫االيمن‬ ‫ونبسط‬ ‫االيسر‬ ‫الطرف‬ ‫تحليل‬ ‫التربيعي‬ ‫الجذر‬ ‫خاصة‬ : ‫اما‬ ً‫ا‬‫ثاني‬ To Solve a Quadratic Equation by Completing the Square ax2 +bx=-c a≠1 x ⎛ ⎝ ⎜ ‫معامل‬ 1 2 ⎞ ⎠ ⎟ 2 ( 4 ) ‫مثال‬ 2x2 -3=3x 2x2 -3=3x 2x2 -3x=3 x2 - 3 2 x= 3 2 9 16 = −3 2 × 1 2 ⎛ ⎝ ⎜ ⎞ ⎠ ⎟ 2 9 16 ∴ x2 - 3 2 x+ 9 16 = 3 2 + 9 16 x- 3 4 ⎛ ⎝ ⎜ ⎞ ⎠ ⎟ 2 = 33 16 ∴ x- 3 4 =+ 33 4 x= 3 4 + 33 4 = 3+ 33 4 - ‫املربع‬ ‫اكمال‬ ‫طريقة‬ :
  • 102.
    102 : ‫أو‬ =‫الحل‬ ‫مجموعة‬ ∴ ‫التربيعية‬ ‫للمعادلة‬ ‫العامة‬ ‫الصورة‬ ‫القياسية‬ ‫الصورة‬ ً‫ا‬‫ايض‬ ‫تسمى‬ a ‫على‬ ‫بالقسمة‬ ‫نصف‬ ‫مربع‬ ‫باضافة‬ ‫للطرفين‬ x ‫معامل‬ ‫االيمن‬ ‫الطرف‬ ‫ونبسط‬ ‫االيسر‬ ‫الطرف‬ ‫تحليل‬ : ‫اما‬ : ‫او‬ = ‫الحل‬ ‫مجموعة‬ ∴ :x ‫في‬ ‫التربيعية‬ ‫المعادلة‬ ‫حل‬ ‫مجموعة‬ ‫تكون‬ ‫وبذلك‬ ‫التربيعية‬ ‫المعادلة‬ ‫قانون‬ = :‫المقدار‬ ‫يسمى‬ x= 3 4 − 33 4 = 3- 33 4 3+ 33 4 , 3- 33 4 ⎧ ⎨ ⎩⎪ ⎫ ⎬ ⎭⎪ : ً‫ا‬‫ثالث‬)‫فقط‬ ‫لالطالع‬ ‫(االشتقاق‬ ) ‫(الدستور‬ ‫القانون‬ ‫طريقة‬ ax2 +bx+c=0 , a≠0 ax2 +bx=-c x2 + b a x= -c a ax2 + b a x+ 1 2 × b a ⎛ ⎝ ⎜ ⎞ ⎠ ⎟ 2 = -c a + 1 2 × b a ⎛ ⎝ ⎜ ⎞ ⎠ ⎟ 2 x2 + b a x+ b2 4a2 = -c a + b2 4a2 x+ b 2a ⎛ ⎝ ⎜ ⎞ ⎠ ⎟ 2 = b2 -4ac 4a2 x+ b 2a =+ b2 -4ac 2a x=+ -b+ b2 -4ac 2a x=+ -b- b2 -4ac 2a -b- b2 -4ac 2a , -b+ b2 -4ac 2a ⎧ ⎨ ⎪ ⎩⎪ ⎫ ⎬ ⎪ ⎭⎪ x= -b+ b2 -4ac 2a b2 -4ac( )∆( )b2 -4ac∆ x= x= - ‫بالرمز‬ ‫له‬ ‫ويرمز‬ ‫المميز‬ ‫بالمقدار‬Delta )‫(دلتا‬ -
  • 103.
    103 )‫الدستور‬ ( ‫بالقانون‬‫االتية‬ ‫المعادلة‬ ‫حل‬ /‫احلل‬ . ‫العامة‬ ‫بالصورة‬ ‫المعادلة‬ ‫وضع‬ )1 ‫حيث‬ c , b , a ‫المعامالت‬ ‫تعيين‬ )2 : ‫بالقانون‬ c , b , a ‫عن‬ ‫نعوض‬ )3 : ‫اما‬ : ‫او‬ = ‫الحل‬ ‫مجموعة‬ ∴ ‫جذري‬ ‫نوع‬ ‫فان‬ , ‫هو‬ ax2 + bx + c = 0 ‫التربيعية‬ ‫للمعادلة‬ ‫المميز‬ ‫المقدار‬ ‫ان‬ ‫عرفنا‬ :‫يلي‬ ‫كما‬ ‫تتعين‬ ‫المعادلة‬ ‫ن‬‫الجذري‬ ‫نوع‬ ً‫ال‬‫كام‬ ً‫ا‬‫ومربع‬ ‫موجب‬ ‫نسبيان‬ ‫حقيقيان‬ ‫جذران‬ ً‫ال‬‫كام‬ ً‫ا‬‫مربع‬ ‫ليس‬ ‫موجب‬ ‫ن‬‫نسبيي‬ ‫غير‬ ‫حقيقيان‬ ‫جذران‬ ‫صفر‬ ‫واحد‬ ‫حقيقي‬ ‫جذر‬ ‫سالب‬ )‫(تخيليان‬ ‫حقيقيين‬ ‫غير‬ ‫جذران‬ ∅ = R ‫في‬ ‫الحل‬ ‫مجموعة‬ ∴ ( 5 ) ‫مثال‬ x2 -3x=5 x2 -3x-5=0 a=1 ( x2 ‫)معامل‬ , b=-3 (x‫)معامل‬ x= -b+ b2 -4ac 2a ∴ x= - -3( )+ -3( ) 2 - 4 × 1 × 5( ) 2 × 1 = 3+ 29 2 x= 3+ 29 2 x= 3- 29 2 3+ 29 2 , 3- 29 2 ⎧ ⎨ ⎩⎪ ⎫ ⎬ ⎭⎪ ً‫ا‬‫رابع‬The Discriminant ∆ ‫املميز‬ ‫املقدار‬ ∆ = b2 -4ac( ) -b 2a ⎛ ⎝ ⎜ ⎞ ⎠ ⎟ - - - × - c = -5 (‫المطلق‬ ‫)الحد‬ b2 -4ac∆ = b2 -4ac( )
  • 104.
    104 ‫مالحظة‬ :‫املعادلة‬ : ً‫ال‬‫مث‬ 52 =ً‫ال‬‫كام‬ ً‫ا‬‫مربع‬ 25 ‫والعدد‬ ‫املقدار‬ ‫حتليله‬ ‫ميكن‬ ‫؟‬ ‫متساويني‬ ‫املعادلة‬ ‫جذري‬ ‫جتعل‬ ‫التي‬ m ‫الثابت‬ ‫قيمة‬ ‫ما‬ /‫احلل‬ 0 = )‫املميز‬ ( ∆ ‫عندما‬ ‫متساويني‬ ‫املعادلة‬ ‫جذري‬ ‫يكون‬ : ‫اما‬ : ‫او‬ ‫فان‬ ‫صحيحة‬ ً‫ا‬‫اعداد‬ c , b , a ‫كانت‬ ‫اذا‬ ‫انه‬ ‫مالحظة‬ ‫مع‬ . ً‫ال‬‫كام‬ ً‫ا‬‫مربع‬ ‫المميز‬ ‫كان‬ ‫اذا‬ ‫تحليله‬ ‫يمكن‬ ‫المقدار‬ax2 +bx+c( ) 2x2 +3x-2=0 a=2, b=3, c=-2 ∆ = b2 -4ac =9- 4 × 2 × -2( )=25 2x2 +3x-2 = 2x-1( ) x+2( ) ( 6 ) ‫مثال‬ x2 - m+1( )x+4=0 a=1, b=- m+1( ), c=4 ∆= - m+1( )⎡⎣ ⎤⎦ 2 -4 × 1 × 4= m+1( ) 2 -16 ∆=0 ⇒ m+1( ) 2 − 16 = 0 ∴ m+1( ) 2 = 16 ⇒ m+1=+4 m=3 m=-5 2 - ‫مالحظة‬‫ان‬ ‫لتجد‬ ‫االصلية‬ ‫باملعادلة‬ m ‫قيمة‬ ‫عن‬ ‫بالتعويض‬ ‫حتقق‬ . m ‫قيم‬ ‫من‬ ‫قيمة‬ ‫لكل‬ ‫واحد‬ ‫حل‬ ‫للمعادلة‬
  • 105.
    105 . R ‫في‬‫حل‬ ‫لها‬ ‫ليس‬ ‫المعادلة‬ ‫ان‬ ‫بين‬ /‫احلل‬ . ً‫ا‬‫سالب‬ ً‫ا‬‫عدد‬ ‫يساوي‬ )‫المميز‬ (∆ ‫عندما‬ R ‫في‬ ‫حل‬ ‫لها‬ ‫ليس‬ ‫التربيعية‬ ‫المعادلة‬ : ‫العامة‬ ‫بالصورة‬ ‫المعادلة‬ ‫نضع‬ :‫حيث‬ )‫(سالب‬ . R ‫في‬ ‫حل‬ ‫لها‬ ‫ليس‬ ‫المعادلة‬ ‫؟‬ ‫متساويان‬ ‫املعادلة‬ ‫جذري‬ ‫جتعل‬ ‫التي‬ m ‫الثابت‬ ‫قيمة‬ ‫ما‬ /‫احلل‬ . ‫كان‬ ‫اذا‬ ‫متساويان‬ ‫التربيعية‬ ‫املعادلة‬ ‫جذرا‬ ‫يكون‬ ‫العامة‬ ‫بالصورة‬ ‫املعادلة‬ ‫نجعل‬ ( 7 ) ‫مثال‬ x2 +10=2x ∆0( ) x2 -2x+10=10 c=10, b=-2, a=1 ∆=b2 -4ac = -2( ) 2 -4 × 1 × 10 =-36 ∆=-360 ∴ ( 8 ) ‫مثال‬ y2 -16=m y+4( ) ∆ = 0 y2 -16=my+4m y2 -my-16-4m=0 a=1 , b=-m, c=-16-4m ∆=b2 -4ac =m2 +16m+64 ∆ = 0 ⇒ m2 +16m+64=0 m+8( ) 2 =0 ∴ m=-8 0 = -m( ) 2 -4 -16-4m( )= -m( ) 2 -4 -16-4m( )× 1 ×
  • 106.
    106 ) 480m2 ( ‫مساحته‬‫وكانت‬ ‫عرضه‬ ‫ضعف‬ ‫على‬ )2m( ‫بمقدار‬ ‫يزيد‬ ‫السلة‬ ‫كرة‬ ‫ملعب‬ ‫طول‬ ‫كان‬ ‫اذا‬ . ‫الملعب‬ ‫بعدي‬ ‫جد‬ /‫احلل‬ y = ‫الملعب‬ ‫عرض‬ ‫نفرض‬ 2y+2 = ‫الملعب‬ ‫طول‬ ‫العرض‬ × ‫الطول‬ = )‫الشكل‬ ‫(مستطيلة‬ ‫الملعب‬ ‫مساحة‬ 2‫على‬ ‫بالقسمة‬ ‫يهمل‬ : ‫اما‬ : ‫او‬ = ‫العرض‬ = ‫الطول‬ 2 × 15+2== 32m = ‫الطول‬ ∴ - : ‫واحد‬ ‫متغير‬ ‫في‬ ‫الثانية‬ ‫الدرجة‬ ‫من‬ ‫معادالت‬ ‫الى‬ ‫حلها‬ ‫يؤدي‬ ‫مسائل‬ (9 ) ‫مثال‬ y 2y+2( )=480 2y2 + 2y=480 y2 +y-240=0 y+16( ) y-15( )=0 y=-16 y=15 15m 2y+2
  • 107.
    107 . )12( ‫بمقدار‬‫عليه‬ ‫يزيد‬ ‫مربعه‬ ‫الذي‬ ‫العدد‬ ‫جد‬ /‫احلل‬ x2 = ‫مربعه‬ ، x ‫العدد‬ ‫نفرض‬ : ‫اما‬ : ‫او‬ ‫بمقدار‬ ‫سرعته‬ ‫زادت‬ ‫ولو‬ ‫معينة‬ ‫بسرعة‬ A , B ‫مدينتين‬ ‫بين‬ )60km( ‫مسافة‬ ‫قطع‬ ‫دراجة‬ ‫راكب‬ ‫اراد‬ ‫أذا‬ .ً‫ال‬‫او‬ ‫سرعته‬ ‫جد‬ .‫االول‬ ‫الزمن‬ ‫عن‬ ‫واحدة‬ ‫ساعة‬ ‫يقل‬ ‫بزمن‬ ‫المسافة‬ ‫هذه‬ ‫قطع‬ ‫من‬ ‫لتمكن‬ / ‫احلل‬ V = ‫االولى‬ ‫سرعته‬ ‫نفرض‬ V + 10 = ‫الثانية‬ ‫سرعته‬ ∴ = ‫االول‬ ‫الزمن‬ = ‫الثاني‬ ‫الزمن‬ 1 = ‫الثاني‬ ‫الزمن‬ - ‫األول‬ ‫الزمن‬ ∴ :LCM ‫في‬ ‫الطرفين‬ ‫بضرب‬ ∴ V=-30 ‫تهمل‬ , V=20 (10 ) ‫مثال‬ ∴ x2 -x=12 x2 -x-12=0 x-4( ) x+3( )=0 x=4 x=-3 (11 ) ‫مثال‬ (10 km/ h) 60 V 60 V - 60 V +10 = 1 60 V +10 ‫مالحظة‬ = ‫الزمن‬ ‫املسافة‬ ‫السرعة‬ V V+10( ) 60 V+10( )-60V=V V+10( ) 60V+600-60V=V2 +10V ⇒ V2 +10V-600=0 ⇒ V+34( ) V-20( )=0 km/h ً‫ال‬‫أو‬ ‫سرعته‬ 30
  • 108.
    108 ‫مربع‬ ‫كل‬ ‫ضلع‬‫طول‬ ‫زواياها‬ ‫من‬ ‫متساوية‬ ‫مربعات‬ ‫أربعة‬ ‫قطعت‬ )x cm(‫ضلعها‬ ‫طول‬ ‫الشكل‬ ‫مربعة‬ ‫قطعة‬ )16cm3 ( ‫حجمه‬ ‫مستطيلة‬ ‫سطوح‬ ‫متوازي‬ ‫شكل‬ ‫على‬ ‫غطاء‬ ‫بدون‬ ‫صندوق‬ ‫فتكون‬ ‫بعدها‬ ‫4)وثنيت‬cm( . ‫االصلية‬ ‫مساحةالقطعة‬ ‫جد‬ / ‫احلل‬ . ‫القاعدة‬ ‫بعدي‬ )x - 8( ، ‫االرتفاع‬ 4 : ‫الصندوق‬ ‫ابعاد‬ ‫ان‬ ‫الشكل‬ ‫من‬ ‫واضح‬ . ‫االرتفاع‬ × ‫العرض‬ × ‫الطول‬ = ‫المستطيلة‬ ‫السطوح‬ ‫متوازي‬ ‫حجم‬ 4 ‫على‬ ‫بالقسمه‬ ‫التربيعي‬ ‫الجذر‬ ‫باخذ‬ : ‫اما‬ : ‫او‬ ‫ضلع‬ ‫طول‬ ‫تعطي‬ ‫النها‬ ‫اهمالها‬ ‫يجب‬ x = 6 ‫ان‬ ‫نالحظ‬ ‫المسأله‬ ‫معطيات‬ ‫تطابق‬ ‫االجابتين‬ ‫من‬ ‫أي‬ ‫وللتحقق‬ . ‫ممكن‬ ‫غير‬ ‫وهو‬ ) - 2( ً‫ا‬‫سالب‬ ‫عددا‬ ) x-8( ‫القاعدة‬ ) ‫أخرى‬ ‫بطريقه‬ x = 6 ‫اهمال‬ ‫تفسير‬ ‫(حاول‬ ) x = 10 ( ‫االصليه‬ ‫القطعه‬ ‫ضلع‬ ‫طول‬ ∴ 100 cm2 = 102 = ‫مساحتها‬ ‫وتكون‬ (12 ) ‫مثال‬ ∴ 4 x-8( ) x-8( ) = 16 ∴ x-8( ) 2 = 4 ∴ x-8 = +2 x=10 x=6 - x - 8 4 4 4 4
  • 109.
    109 ‫الخ‬ .... x2 -4 = 0 ، x2 - x - 2 = 0 ً‫ال‬‫مث‬ ) ‫االساس‬ ‫في‬ ‫المتغير‬ ( ‫الحدودية‬ ‫المعادالت‬ ً‫ا‬‫سابق‬ ‫درسنا‬ . ) ‫الكسر‬ ‫مقام‬ ‫في‬ ‫متغيرها‬ ‫معادالت‬ ( ‫الكسرية‬ ‫المعادالت‬ ‫االن‬ ‫ندرس‬ ‫سوف‬ : ‫الحل‬ ‫صحة‬ ‫وحقق‬ ‫االتيه‬ ‫المعادالت‬ ‫من‬ ‫كال‬ ‫حل‬ a) b) c) / ‫احلل‬ : ‫الكسور‬ ‫من‬ ‫للتخلص‬ )3x( ‫للمقامات‬ LCM ‫في‬ ‫المعادلة‬ ‫طرفي‬ ‫نضرب‬ a) ‫تبسيط‬ ‫بالتجربة‬ ‫تحليل‬ : ‫اما‬ : ‫او‬ ‫عن‬ ‫بالمعادلة‬ ‫نعوض‬ : ‫التحقيق‬ ‫االيسر‬ ‫الطرف‬ 4 - 6 ‫الكسرية‬ ‫املعادالت‬ 5x+ x-2 3x = 2 3 3x 5x( )+3x x-2 3x ⎛ ⎝ ⎜ ⎞ ⎠ ⎟ =3x 2 3 ⎛ ⎝ ⎜ ⎞ ⎠ ⎟ 15x2 +x-2=2x 15x2 -x-2=0 5x-2( ) 3x+1( ) = 0 5x-2=0 ⇒ x= 2 5 3x+1=0 ⇒ x= -1 3 x= 2 5 , x= -1 3 x= -1 3 L.H.S = 5 × -1 3 ⎛ ⎝ ⎜ ⎞ ⎠ ⎟ + -1 3 -2 3 × -1 3 5x+ x-2 3x = 2 3 2 y+2 - 2 2-y = y2 +4 y2 -4 6 x-2 + x 2-x =3 y ⇐
  • 110.
    110 = −5 3 + −7 3 −1 = −5 3 + 7 3 = 2 3 ‫للمعادلة‬ ‫جذر‬ ‫عندما‬ ‫بسهولة‬‫التحقق‬ ‫يمكن‬ ‫كذلك‬ = ‫الحل‬ ‫مجموعة‬ ∴ b ( : ‫تغييرالمقام‬ ‫نحاول‬ ‫للمقامات‬ LCM ‫في‬ ‫المعادلة‬ ‫طرفي‬ ‫ضرب‬ ‫قبل‬ ‫حيث‬ 2-y ‫معلومة‬ : ‫الحظ‬ y-2( ) y+2( )( ) LCM ‫في‬ ‫المعادلة‬ ‫طرفي‬ ‫بضرب‬ ‫الطرفين‬ ‫تبسيط‬ −1 3 , 2 5 ⎧ ⎨ ⎩ ⎫ ⎬ ⎭ ∴ x= -1 3 x= 2 5 2 y+2 - 2 2-y = y2 +4 y2 -4 a-b=- b-a( ) 2 y+2 - 2 − y-2( ) = y2 +4 y2 -4 2 y+2 + 2 y-2 = y2 +4 y-2( ) y+2( ) 2 y-2( ) + y y+2( ) = y2 +4 2y-4+y2 +2y-y2 -4=0 4y-8=0 ⇒ y=2 : ‫االتي‬ ‫بالشكل‬ ‫تصبح‬ ‫المعادلة‬ ∴ y2 -4= y-2( ) y+2( ) 2-y=- 2-y( )(y-2) y y y = ‫االيمن‬ ‫الطرف‬
  • 111.
    111 ‫لذلك‬ ‫جائز‬ ‫غير‬‫وهذا‬ ‫الصفر‬ ‫على‬ ‫قسمة‬ ‫عملية‬ ‫على‬ ‫تحصل‬ ‫االصلية‬ ‫بالمعادلة‬ y = 2 ‫عن‬ ‫التعويض‬ ‫عند‬ . R ‫في‬ ‫حل‬ ‫لها‬ ‫ليس‬ ‫فالمعادلة‬ c ( ) L . C . M ( ‫في‬ ‫المعادلة‬ ‫طرفي‬ ‫بضرب‬ : ) Correct Method ( ‫الصحيحة‬ ‫الطريقة‬ / ‫احلل‬ : ‫االتية‬ ‫المكافئة‬ ‫المعادلة‬ ‫على‬ ‫نحصل‬ ) X - 2 ( ‫وهو‬ ‫للمقامات‬ . S = {3 { : ‫للمعادلة‬ ً‫ا‬‫جذر‬ 3 ‫ان‬ ‫نالحظ‬ ً‫ال‬‫اص‬ ‫المعادلة‬ ‫في‬ ‫وبالتعويض‬ ‫ميثل‬ ‫ال‬ ‫والذي‬ ) x - 2 ) ( 2 - x ( ‫باملقدار‬ ‫املعادلة‬ ‫طرفي‬ ‫نضرب‬ ‫أن‬ ‫هي‬ ‫الصحيحة‬ ‫غير‬ ‫الطريقة‬ ‫أما‬ ‫ولذلك‬ ‫االصلية‬ ‫املعادلة‬ ‫حتقق‬ ‫ال‬ x = 2 ‫وقيمة‬ x= 2 , x = 3 ‫على‬ ‫نحصل‬ ‫سوف‬ ‫الننا‬ ‫الصحيح‬ ‫املضاعف‬ . ‫استبعادها‬ ‫يجب‬ ∴ S = {3 { 2 0 = y 2-y ⎛ ⎝ ⎜ ⎞ ⎠ ⎟ ‫مالحظة‬ ‫يجب‬ ‫متغيرها‬ ‫على‬ ‫يحتوي‬ ‫بمقدار‬ ‫معادلة‬ ‫طرفي‬ ‫ضرب‬ ‫عند‬ ‫الى‬ ‫بالضرورة‬ ‫تؤدي‬ ‫ال‬ ‫الضرب‬ ‫عملية‬ ‫الن‬ ‫صحته‬ ‫من‬ ‫التحقق‬ . ‫القوى‬ ‫الى‬ ‫المعادلة‬ ‫طرفي‬ ‫رفع‬ ‫عملية‬ ‫كذلك‬ . ‫لالصل‬ ‫مكافئة‬ ‫معادلة‬ 6 x-2 + x 2-x =3 x-2( ) 6 x-2 + x-2( ) x 2-x =3 x-2( ) 6-x=3x-6 4x=12 ∴ x=3 ∅ = ‫الحل‬ ‫مجموعة‬ ‫مالحظة‬‫عزيزي‬ ‫الحظ‬ x - a = -( a- x ( : ‫أن‬ ‫الطالب‬ - (x-2) -1
  • 112.
    112 : ‫االتية‬ ‫املعادالت‬‫من‬ ‫كال‬ ‫/حل‬ 1‫س‬ 1 - 2 - 3 - 4 - ‫طريقة‬ ‫من‬ ‫باكثر‬ 5 - 6 - 7- ‫بالدستور‬ ) 44m2 ( ‫المستطيل‬ ‫مساحة‬ ‫كانت‬ ‫فاذا‬ ) 1m( ‫بمقدار‬ ‫عرضه‬ ‫أمثال‬ ‫ثالثة‬ ‫عن‬ ‫يقل‬ ‫مستطيل‬ ‫س2/طول‬ . ‫المستطيل‬ ‫ابعاد‬ ‫جد‬ . ) 149( ‫يساوي‬ ‫مربعاتها‬ ‫مجموع‬ x-1( ) ، x ، x+1( ) ‫موجبة‬ ‫أعداد‬ ‫ثالثة‬ /3‫س‬ . ‫االعداد‬ ‫هذه‬ ‫جد‬ ‫(03)؟‬ ‫الناتج‬ ‫كان‬ ‫مربعه‬ ‫الى‬ ) 5( ‫اضيف‬ ‫اذا‬ ‫الذي‬ ‫العدد‬ ‫ما‬ / 4 ‫س‬ 4 3 x+1( ) x-3( ) = 12 y2 =7y 3t2 -4=-11t 2x-1( ) 2 = 2x-1( )........ x2 -5=3x 4x2 +9=12x....... 1 3 x2 = 1 2 x- 5 6 ........ ‫بالدستور‬
  • 113.
    113 ‫بمقدار‬ ُ‫ه‬‫وقاعدت‬ ُ‫ه‬‫أرتفاع‬‫من‬ ‫كل‬ ‫زاد‬ ‫فاذا‬ ) 1cm( ‫بمقدار‬ ‫ارتفاعه‬ ‫عن‬ ‫يزيد‬ ‫قاعدته‬ ‫طول‬ ‫مثلث‬ /5‫س‬ . ‫واالرتفاع‬ ‫القاعدة‬ ‫)جدطول‬21cm2 ( ‫مساحته‬ ‫)أصبحت‬ 2cm( ‫ضلع‬ ‫طول‬ ‫متساوية‬ ‫مربعات‬ ‫اربعة‬ ‫زواياها‬ ‫من‬ ‫قطعت‬ ) y cm( ‫ضلعها‬ ‫طول‬ ‫الشكل‬ ‫مربعة‬ ‫/قطعة‬ 6‫س‬ ‫غطاء‬ ‫بدون‬ ‫مستطيله‬ ‫سطوح‬ ‫متوازي‬ ‫شكل‬ ‫على‬ ‫صندوق‬ ‫فتكون‬ ‫بعدها‬ ‫وثنيت‬ ) 2cm( ‫منها‬ ‫كل‬ . ‫المربعة‬ ‫القطعة‬ ‫طول‬ ‫جد‬ .) 242 cm3 ( ‫حجمه‬ ‫وتره‬ ‫وطول‬ ‫االخر‬ ‫القائم‬ ‫الضلع‬ ‫عن‬ ) 2cm( ‫يزيد‬ ‫القائمين‬ ‫ضلعيه‬ ‫أحد‬ ‫طول‬ ‫الزاويه‬ ‫قائم‬ ‫مثلث‬ / 7‫س‬ . ‫مساحته‬ ‫وما‬ ‫المثلث‬ ‫اضالع‬ ‫أطوال‬ ‫جد‬ . ‫الصغير‬ ‫القائم‬ ‫الضلع‬ ‫طول‬ ‫ضعف‬ ‫)عن‬ 2cm( ‫يقل‬ / 8‫س‬ ‫؟‬ ‫متساويين‬ ‫جذرين‬ ‫للمعادلة‬ ‫تجعل‬ ‫التي‬ ) m( ‫الثابت‬ ‫قيمة‬ ‫ما‬ -a ‫؟‬ ‫متساويين‬ ‫المعادلة‬ ‫جذري‬ ‫تجعل‬ ‫التي‬ ) n( ‫الثابت‬ ‫ماقيمة‬ -b : ‫منها‬ ‫كل‬ ‫في‬ ‫االجابة‬ ‫صحة‬ ‫وحقق‬ ‫االتية‬ ‫المعادالت‬ ‫/حل‬ 9‫س‬ a) 3y+5 2y-1 = 6y+2 5y-4 b) 5 x+2 + 3 2-x = 2 x2 -4 c) y-7 y2 -2y = y y-2 - y+4 y d) 2y 1-3y = 5 3y-1 m y2 +y+1( )=y+1 w2 -16=n w+4( )
  • 114.
    ‫الهندسة‬ Triangle ‫املثلث‬ ‫الرياضية‬ ‫العالقة‬‫او‬ ‫الرمز‬ ‫املصطلح‬ ‫الزاوية‬ Side S ‫الضلع‬ ‫التطابق‬ ‫عالقة‬ m∠A A ‫الزاوية‬ ‫قياس‬ Angle ∠ ≅ . ‫مراجعة‬ ]5-1[ . ‫املثلث‬ ‫زوايا‬ ‫منصفات‬ ]5-2[ . ‫للمثلث‬ ‫املتوسطة‬ ‫القطع‬ ]5-3[ A B C 5‫اخلامس‬ ‫الفصل‬
  • 115.
    ‫االشكال‬ ‫بعض‬ ‫التفصيل‬‫من‬ ‫بشئ‬ ‫ودرسنا‬ ‫أساسية‬ ‫هندسية‬ ‫مفاهيم‬ ‫على‬ ‫تعرفنا‬ ‫سابقة‬ ‫دراسية‬ ‫مراحل‬ ‫في‬ ،‫الدائرة‬ :‫األشكال‬ ‫هذه‬ ‫ومن‬ ‫المختلفة‬ ‫الحياتية‬ ‫المسائل‬ ‫في‬ ‫وتطبيقاتها‬ ‫وخواصها‬ ‫المعروفة‬ ‫الهندسية‬ .‫الخ‬ . . ‫والمثلث‬ ‫المربع‬ .‫مختلفة‬ ‫زوايا‬ ‫من‬ ‫والدائرة‬ ‫المثلث‬ ‫الى‬ ‫المرحلة‬ ‫هذه‬ ‫في‬ ‫نتطرق‬ ‫وسوف‬ :‫الضالعه‬ ‫بالنسبة‬ ‫نوعه‬ a » ‫منتظم‬ « ‫االضالع‬ ‫متساوي‬ ‫االضالع‬ ‫مختلف‬ 60° ‫فيه‬ ‫زاوية‬ ‫كل‬ ‫قياس‬ ‫الساقين‬ ‫متساوي‬ AC = AB :‫الساقين‬ ‫المتساوي‬ ‫المثلث‬ ‫خواص‬ ‫ومن‬ . )m ∠ C = m ∠ B( ‫متطابقتان‬ ‫القاعدة‬ ‫زاويتي‬ )1 .‫وينصفها‬ BC ‫القاعدة‬ ‫على‬ ‫عمودي‬ A ‫الرأس‬ ‫زاويه‬ ‫منصف‬ )2 NB = CN , AN BC , CB AN ‫ينصف‬ B A N C 5 - 1‫مراجعة‬ ‫املثلث‬ ‫الفصل‬ 5 A BC A BC AC = AB = BC AC≠AB≠BC ‫عليه‬ ‫وعمودي‬
  • 116.
    116 :‫لزواياه‬ ‫بالنسبة‬ ‫نوعه‬b ‫الزاوية‬ ‫قائم‬ ‫الزاوية‬ ‫منفرج‬ ‫الزوايا‬ ‫حاد‬ . S : side ، (S S S ( :‫الثالثة‬ ‫باالضالع‬ ‫تطابق‬ )1 ∆ ABC ≅ ∆DFE S.A.S . )‫بينهما‬ ‫(محصورة‬ ‫بهما‬ ‫المحددة‬ ‫والزاوية‬ ‫بضلعين‬ ‫تطابق‬ )2 ∆ ABC ≅ ∆DEF :‫املثلثني‬ ‫تطابق‬ ‫حاالت‬ D E F A C B A B C F D E
  • 117.
    117 )A.A.S( ‫مناظر‬ ‫وضلع‬‫بزاويتين‬ ‫تطابق‬ )3 ∆ DEF ≅ ∆ ABC .‫قائم‬ ‫وضلع‬ ‫بوتر‬ ‫الزاوية‬ ‫القائما‬ ‫املثلثان‬ ‫يتطابق‬ )4 ∆ ABC ≅ ∆ DEF :‫فيه‬ ‫رباعي‬ ‫شكل‬ PQRN:‫املجاور‬ ‫الشكل‬ ‫في‬ QR = QN = PQ , RQ NP m ∠ 3, m ∠ 2, m ∠ 1 : ‫جد‬ m ∠ R = 70° ‫معطى‬ QR = QN ∵ /‫احلل‬ ‫الساقني‬ ‫متساوي‬ ∆ ‫خواص‬ m ∠ R = m ∠ 4∴ ∴ m ∠ 4 = 70° ‫املثلث‬ ‫زوايا‬ ‫مجموع‬ m∠1=180°-(70°×2( ∴ m 1 = 40° ‫معطى‬ RQ NP )‫(متبادلة‬ ∴m ∠ 2 = m ∠ 1 ∴ m ∠ 2 = 40° A B C E D F C B AD E F (1) ‫مثال‬ P R N Q 1 2 4 3 70ْ
  • 118.
    118 :‫المجاور‬ ‫الشكل‬ ‫في‬ AB= AC ‫فيه‬ ‫الساقين‬ ‫متساوي‬ ‫مثلث‬ ABC AD = AE ‫ان‬ ‫بحيث‬ E ∈AC , D ∈ AB ∆ AEB ≅ ∆ ADC :‫ان‬ ‫أثبت‬ / ‫المعطيات‬ ‫للطالب‬ ‫تترك‬ / ‫أثباته‬ .‫م‬ :‫فيهما‬ AEB , ADC ∆ ∆/ ‫البرهان‬ ‫معطى‬ ... AE = AD ‫معطى‬ ... AC = AB ‫بينهما‬ ‫مشتركة‬ A ‫الزاوية‬ .‫بهما‬ ‫المحددة‬ ‫والزاوية‬ ‫بضلعين‬ ∆∆ ‫يتطابق‬ ∴ )‫(و.هـ.م‬ ( 2 ) ‫مثال‬ C A B DE { m p = m 2 = 40o m 3 = 180o − (40o × 2) ∴m 3 = 100o ‫الساقين‬ ‫متساوي‬ ‫مثلث‬ ‫المثلث‬ ‫زوايا‬ ‫مجموع‬
  • 119.
    119 /‫المعطيات‬ DO = AD, EB = AE , ∆ABO /‫م.ث‬ DE = OB (2 , OB DE )1 /‫والبرهان‬ ‫العمل‬ . ON ‫فيكون‬ N ‫في‬ ED ‫امتداد‬ ‫فيالقي‬ BE ‫يوازي‬ ً‫ا‬‫مستقيم‬ ‫نرسم‬ O ‫نقطة‬ ‫من‬ AAS ‫مناظر‬ ‫وضلع‬ ‫بزاويتين‬ ∆ ODN ≅ ∆ ADE ‫معطى‬ . AD = OD )1 :‫حيث‬ .‫بالرأس‬ ‫متقابلة‬ . . . m ∠ ODN= m ∠ ADE )2 .ON BA ‫الن‬ ‫متبادلة‬ ... m ∠ 2 = m ∠ 1 )3 ‫المتطابقة‬ ‫االشكال‬ ‫في‬ ‫المتناظرة‬ ‫االجزاء‬ ‫تتساوى‬ , DN=DE :‫التطابق‬ ‫من‬ ...ON = AE ...EB = AE ON= BE :‫على‬ ‫نحصل‬ )2( ، )1( ‫من‬ ‫بالعمل‬ ON BE ‫الن‬ ‫أضالع‬ ‫متوازي‬ EBON ‫الشكل‬ ∴ ‫االضالع‬ ‫متوازي‬ ‫خواص‬ ... BO = EN ، BO EN ∴ ‫بالبرهان‬ DN = DE DE= 1 2 EN ∴ )‫و.هـ.م‬ ( DE = OB , OB DE ∴ )1( ‫معطى‬ )2( ‫ضلعه‬ ‫توازي‬ ‫مثلث‬ ‫ضلعي‬ ‫منتصفي‬ ‫بني‬ ‫الواصلة‬ ‫املستقيم‬ ‫قطعة‬ .‫طوله‬ ‫نصف‬ ‫وطولها‬ ‫الثالث‬ 1 /‫مبرهنة‬ 1 2 1 2 B E A D N O 2 1
  • 120.
    120 x ‫قيمه‬ ‫جد‬: ‫المجاور‬ ‫الشكل‬ ‫في‬ /‫احلل‬ AB ‫منتصف‬ D BC ‫منتصف‬ E )1 )2 ∴ 3x = (5x+4) 6x = 5x + 4 :2 ‫في‬ ‫الطرفين‬ ‫بضرب‬ x = 4∴ :‫المجاور‬ ‫الشكل‬ ‫في‬ ‫؟‬m ∠ 1 = m ∠ 2 :‫ان‬ ‫هل‬ )1( ABC ‫المثلث‬ ‫مساحة‬ ‫ما‬ ، DE ‫(2)جد‬ AB ‫منتصف‬ D/‫احلل‬ AC ‫منتصف‬ E DE BC ( 1 ) ‫مثال‬ 1 2 1 2 x ‫جد‬ ‫الشكل‬ ‫في‬ ‫للطالب‬ ‫تمرين‬ ( 2 ) ‫مثال‬ ))1( ‫(مبرهنة‬ AB C E D 5x+4 3x B A C D Ex 32 − 8 )3( A B C D E 125 2X 2 x 1 {)1( ‫مبرهنة‬ 1 2 DE = BC DE AC DE = AC ∴
  • 121.
    121 m ∠1 =m∠2 )1 DE BC ‫الن‬ (AB)2 + (BC)2 = (AC)2 (2x)2 + x2 = 5x2 = 125 ⇒ x2 = 25 ∴x = 5 ∴ DE = BC .... ( 1 ‫)مبرهنة‬ ‫المثلث‬ ‫مساحة‬ )3 = × BC × AB = ×5×10 = 25 ‫مساحة‬ ‫وحدة‬ :‫فيه‬ ∆ ABC :‫المجاور‬ ‫الشكل‬ ‫في‬ . ‫جد‬ BC = 8cm ،‫الترتيب‬ ‫على‬ AC , BC , AB ‫االضالع‬ ‫منتصفات‬ H , E , D . DH )1( .‫اضالع‬ ‫متوازي‬ DECH ‫ان‬ ‫أثبت‬ )2( ‫معطى‬ .... ‫المثلث‬ ‫أضالع‬ ‫منصفات‬ H , E , D /‫احلل‬ DH = BC ∴ DH BC DH = × 8 ∴ DH = 4 cm ∴ DH = EC = 4 cm∴ ‫اضالع‬ ‫متوازي‬ DECH : ‫∴الشكل‬ DH EC 1 2 1 2 125( ) 2 ( 3 ) ‫مثال‬ 1 21 ‫مبرهنة‬ 1 2 C A B DH E 8 cm .ABC ‫القائم‬ ∆ ‫على‬ ‫فيثاغورس‬ ‫مبرهنة‬ ‫نطبق‬ )2 ‫متناظرة‬ ‫المثلث‬ ‫مساحة‬ { »‫ومتطابقني‬ ‫متوازيني‬ ‫متقابلني‬ ‫ضلعني‬ ‫فيه‬ ‫كان‬ ‫اذا‬ ‫أضالع‬ ‫متوازي‬ ‫الرباعي‬ ‫الشكل‬ ‫«يكون‬ 1 2 = 5 2 ⇒ BC = 5 ‫طول‬ ‫وحدة‬ ⇒ DE = 1 2 (5) = 5 2 ‫طول‬ ‫وحدة‬
  • 122.
    122 )1(...... )2(...... /‫المعطيات‬ DE BC ,AB ‫منتصف‬ D :‫فيه‬ ∆ ABC /‫أثباته‬ ‫المطلوب‬ AE = EC /‫والبرهان‬ ‫العمل‬ H ‫نقطة‬ ‫في‬ DE ‫أمتداد‬ ‫فيالقي‬ C ‫نقطة‬ ‫من‬ ‫نرسم‬ ‫اضالع‬ ‫متوازي‬ DBCH:‫الشكل‬ ∴ »‫األضالع‬ ‫متوازي‬ ‫تعريف‬ « ‫االضالع‬ ‫متوازي‬ ‫خواص‬ CH = BD∴ ‫معطى‬ DA = BD )‫مناظر‬ ‫وضلع‬ ‫(زاويتان‬ ‫متطابقان‬ CHE , ADE ‫∴المثلثان‬ ) ‫م‬ . ‫هـ‬ .‫و‬ ( ‫متطابقة‬ ‫اشكال‬ ‫في‬ ‫متناظره‬ ‫...اجزاء‬ AE = EC :‫التطابق‬ ‫من‬ . AC = 6 cm , BC = 7 cm , AB = 5 cm ‫فيه‬ ∆ABC :‫الشكل‬ ‫في‬ . ∆MHD ‫محيط‬ ‫وما‬ AB ∥ DH ‫ان‬ ‫أثبت‬ AC ∥ MH , BC ∥ MD, AB ‫منتصف‬ M /‫البرهان‬ ‫معطى‬ MD ∥ BC , AB ‫منتصف‬ M )1( ... 2 ‫مبرهنة‬ AD = DC∴ ‫...معطى‬ MH∥ AC∵ .‫الثالث‬ ‫الضلع‬ ‫ينصف‬ ‫فيه‬ ٍ‫ثان‬ ‫لضلع‬ ً‫ا‬‫موازي‬ ‫مثلث‬ ‫أضالع‬ ‫أحد‬ ‫مبنتصف‬ ‫املار‬ ‫املستقيم‬ 2 /‫مبرهنة‬ A DEH C B ‫مثال‬ A BC D H M 6 cm 5 cm BD ‫يوازي‬ ً‫ا‬‫مستقيم‬ 7 cm
  • 123.
    123 )2( ‫مبرهنة‬ ...BH = CH∴ : ‫على‬ ‫نحصل‬ )2(‫و‬ )1( ‫من‬ )1( ‫...مبرهنة‬ DH = AB , DH ∥AB ‫الثالثة‬ ‫أضالعه‬ ‫أطوال‬ ‫مجموع‬ ‫يساوي‬ ‫المثلث‬ ‫محيط‬ MH + HD + DM = ‫المثلث‬ ‫محيط‬ ∴ ( × 6)+( × 5) + ( × 7) = 9 cm ‫هذه‬ ‫توفر‬ ‫عند‬ AC( ) ‫الوتر‬ ‫منتصف‬ ‫نقطة‬ D , B ‫في‬ ‫الزاوية‬ ‫قائم‬ ‫مثلث‬ ABC ‫المجاور‬ ‫الشكل‬ ‫في‬ BD = AD = DC : ‫على‬ ‫نحصل‬ ‫المعطيات‬ 1 2 1 2 1 2 1 2 ‫الوتر‬ ‫منتصف‬ ‫الى‬ ‫الزاوية‬ ‫القائم‬ ‫المثلث‬ ‫في‬ ‫القائمة‬ ‫رأس‬ ‫من‬ ‫المرسومة‬ ‫المستقيمة‬ ‫القطعة‬ ‫طول‬ . ‫الوتر‬ ‫طول‬ ‫نصف‬ ‫تساوي‬ 3 /‫مبرهنة‬ A BC D ‫برهان‬ ‫بدون‬ ‫المبرهنة‬ ‫هذه‬ ‫سنقبل‬ 6 2 + 5 2 + 7 2 + 18 2 =
  • 124.
    124 . AC ‫منتصف‬D ‫فيه‬ ABC Δ : ‫المجاور‬ ‫الشكل‬ ‫في‬ BD ‫جد‬ x ‫قيمة‬ ‫إليجاد‬ /‫احلل‬ ‫فيثاغورس‬ ‫مبرهنة‬ ‫نطبق‬ ،‫األضالع‬ ‫متساوي‬ ‫مثلث‬ ADB ‫ان‬ ‫أثبت‬ ،B‫في‬ ‫الزاوية‬ ‫قائم‬ ABC /‫احلل‬ ‫منتصف‬ D ∵ 3 ‫مبرهنه‬ BD= 1 2 AC ∴ ) ‫االضالع‬ ‫(متساوي‬ ‫منتظم‬ ADB Δ ∴ ‫المثلث‬ ‫زوايا‬ ‫من‬ ‫زاويه‬ ‫كل‬ ‫قياس‬ ‫مثلث‬ ‫زوايا‬ ‫مجموع‬ m C=180o − m B+m A( ) ∴ ( 1 ) ‫مثال‬ AC( ) 2 = AB( ) 2 + BC( ) 2 2 5x( ) 2 =42 +22 20x2 =20 ⇒ x2 =1 ⇒ x=1 x0( ) BD= 1 2 AC ∴ BD 1 2 x2 5= 5 cm ( 2 ) ‫مثال‬ A BC D 2cm 2 5X 4cm AC ∴ BD= 4 cm 60o = ADB =180o − 90o +60o ( ) =180o − 150o ∴ mc = 30o A BC D 4 cm 8 cm BD= 1 2 . AC ‫منتصف‬ D ABC Δm∠C ‫جد‬ ‫ثم‬ 60o = ADB‫تساوي‬ ∠ ∠ ∠ ∠ ∴ m C AC = 8 ,
  • 125.
    125 : ‫ان‬ ‫أثبت‬BC ‫منتصف‬ ‫نقطة‬ M ، ‫معين‬ ABCD /1‫س‬ : ‫فيه‬ ‫االضالع‬ ‫متساوي‬ ABC ∆ /2‫س‬ : ‫ان‬ ‫أثبت‬ : ‫المجاور‬ ‫الشكل‬ ‫في‬ /3‫س‬ ) ‫الساقين‬ ‫(متساوي‬ AB = AC ‫فيه‬ ‫مثلث‬ ABC : ‫فيه‬ MD ‫جد‬ ‫متنصف‬ ‫نقطه‬ M 5 1 OM = 1 2 AB, OM / / AB AB ⊥ CH , AD ⊥ BC DH / /AC A BC D H BC=12 cm , AD=8 cm AB A BC D M A BC D o M
  • 126.
    126 : ‫فيه‬ ‫الساقني‬‫متساوي‬ ‫مثلث‬ ABC /4‫س‬ BC ‫منتصف‬ D , AB ‫منتصف‬ M , AB = AC ‫معني‬ AMDN : ‫ان‬ ‫أثبت‬ ‫منتصف‬ N , ‫ان‬ ‫بحيث‬ AB ‫على‬ N ، M ‫النقطتان‬ ‫فرضت‬ ، ‫مثلث‬ ABC /5‫س‬ : ‫ان‬ ‫أثبت‬ O ‫في‬ AD , CM ‫وتقاطعت‬ D ‫النقطه‬ ‫في‬ BC ‫ونصفت‬ CM // DN )1 AD ‫منتصف‬ O )2 )3 N ‫في‬ CD ‫نصفت‬ ، P ‫في‬ BC ‫نصفت‬ ، O ‫في‬ ‫قطراه‬ ‫تقاطع‬ ، ‫أضالع‬ ‫متوازي‬ ABCD /6‫س‬ .‫أضالع‬ ‫متوازي‬ OPCN : ‫أن‬ ‫أثبت‬ AC AM=MN=NB MO= 1 4 MC
  • 127.
    127 ‫أضالع‬ ‫على‬ ‫أعمدة‬‫أقيمت‬ ‫منتصف‬ P ، ‫منتصف‬ R ، ‫منتصف‬ G ‫فيه‬ ‫مثلث‬ ABC OB = OA = OC : ‫ان‬ ‫على‬ ‫ذلك‬ ‫من‬ ‫نحصل‬ .O ‫نقطه‬ ‫في‬ ‫فالتقت‬ R , P , G ‫من‬ ‫المثلث‬ , , ‫منتصف‬ R , ‫منتصف‬ D , :‫الشكل‬ ‫في‬ . OR , OA ‫جد‬ AC=8 cm , OB=5 cm , OE ⊥ BC BC , AB ‫الضلعين‬ ‫منتصف‬ E , D ‫حيث‬ OE ⊥ BC , OD ⊥ AB ∵ /‫احلل‬ . ‫منتصفاتها‬ ‫من‬ ‫المثلث‬ ‫أضالع‬ ‫على‬ ‫المقامة‬ ‫االعمدة‬ ‫ملتقى‬ ‫نقطه‬ 0 ∴ 4 ‫مبرهنة‬ ...... OC=OB=OA OA=5 cm AC ‫منتصف‬ R ∵ ‫القاعدة‬ ‫ومنتصف‬ ‫الساقين‬ ‫متساوي‬ ‫مثلث‬ ‫راس‬ ‫بين‬ ‫الواصل‬ ‫المستقيم‬ ‫قطعه‬ ... AC ⊥ OR ∴ . ‫القاعدة‬ ‫على‬ ‫عمودية‬ ‫تكون‬ AR=4 cm , R ‫في‬ ‫الزاوية‬ ‫قائم‬ ORA ∴ AO( ) 2 = AR( ) 2 + RO( ) 2 ‫فيثاغورس‬ ∴ RO = 3 cm ‫االبعاد‬ ‫متساوية‬ ‫تكون‬ ‫واحدة‬ ‫نقطة‬ ‫في‬ ‫تتالقى‬ ‫منتصفاتها‬ ‫من‬ ‫مثلث‬ ‫اضالع‬ ‫على‬ ‫المقامة‬ ‫االعمدة‬ .‫المثلث‬ ‫رؤوس‬ ‫عن‬ 4 /‫مبرهنة‬ ACBCAB ‫مثال‬ ABACOD ⊥ AB C G A P B R O A D B E C R O 8 5 55 ABAB 25 = 16 + RO( ) 2 BC ‫منتصف‬ E
  • 128.
    128 ‫املثلث‬ ‫زوايا‬ ‫منصفات‬] 5 ‫ـ‬ 2[ ‫املستقيم‬ ‫عن‬ ‫نقطه‬ ‫عد‬ُ‫ب‬ )5 ‫ـ‬ 1( ‫تعريف‬ . ‫المستقيم‬ ‫الى‬ ‫النقطة‬ ‫من‬ ‫المرسومة‬ ‫العمودية‬ ‫المستقيمة‬ ‫القطعة‬ ‫طول‬ ‫هو‬ AB ⊥ L , A ∉ L ‫عن‬ A ‫النقطة‬ ‫عد‬ُ‫ب‬ AB OC , OB , OA :‫فيه‬ ‫مثلث‬ ABC : ‫الشكل‬ ‫في‬ C , B , A ‫الزوايا‬ ‫منصفات‬ OG=OP=OR : ‫ان‬ ‫على‬ ‫نحصل‬ ‫المعطيات‬ ‫هذه‬ ‫من‬ O ‫نقطه‬ ‫من‬ ‫مرسومة‬ ‫أعمدة‬ OR , OP , OG ‫حيث‬ AC , BC , AB ‫على‬ 5 - 2‫املثلث‬ ‫زوايا‬ ‫منصفات‬ . ‫أضالعه‬ ‫عن‬ ‫االبعاد‬ ‫متساوية‬ ‫تكون‬ ‫واحدة‬ ‫بنقطة‬ ‫تتالقى‬ ‫المثلث‬ ‫زوايا‬ ‫منصفات‬ 5 /‫مبرهنة‬ A B L L A G B PC R O
  • 129.
    129 x ‫قيمه‬ ‫جد‬: ‫الشكل‬ ‫في‬ / ‫احلل‬ B ‫زاوية‬ ‫تنصف‬ BO C ‫زاوية‬ ‫تنصف‬ CO ‫منصفات‬ ‫التقاء‬ ‫نقطة‬ O∴ . ABC ‫المثلث‬ ‫زوايا‬ )A ‫زاوية‬ ‫تنصف‬ AO( ‫مثلث‬ ‫زاويا‬ ‫مجموع‬ x= 1 2 mA=180o - mB+mC( )m B+m C( ) =180o -130o ∴ mA = 50 xo =25o . ‫برهان‬ ‫بدون‬ ‫المبرهنة‬ ‫هذه‬ ‫سنقبل‬ :‫المجاور‬ ‫الشكل‬ ‫في‬ AN , CM , BO ‫الثالثة‬ ‫االرتفاعات‬ P ‫نقطة‬ ‫في‬ ‫التقت‬ ‫للمثلث‬ ( 1 ) ‫مثال‬ x= 1 2 mA A O C B 35ْ 35ْ 30ْ 30ْ x A∠ m ∠ ∠ ∠ m A∠ . ‫واحدة‬ ‫بنقطة‬ ‫تلتقي‬ ‫المثلث‬ ‫أرتفاعات‬ 6 /‫مبرهنة‬ C O A M B N P =180°−(70°+ 60°)
  • 130.
    130 ‫من‬ ‫كل‬ ‫قياس‬‫جد‬ mAOR=60o , CE ⊥ AB , AD ⊥ BC : ‫فيه‬ ‫مثلث‬ ABC ARB ,OAR ‫الزوايا‬ / ‫احلل‬ AD⋂ )6 ‫..(مبرهنة‬ ABC ‫المثلث‬ ‫أرتفاعات‬ ‫التقاء‬ ‫نقطة‬ O . ‫كذلك‬ ‫له‬ ً‫ا‬‫أرتفاع‬ BR ‫االرتفاع‬ ‫تعريف‬ ... mARB=90o ARO ‫القائم‬ Δ ‫في‬ =90o -60 =30o . ABC ‫للمثلث‬ ‫أرتفاعات‬ :‫فيه‬ ABC ∆ :‫الشكل‬ ‫في‬ AB = AC : ‫ان‬ ‫أثبت‬ OC = OB ‫حيث‬ : ‫البرهان‬ BH ⋂CE = 0{ }O ‫المثلث‬ ‫ارتفاعات‬ ‫ملتقي‬ O∴ ‫السبب‬ ‫أذكر‬ ...... OBC Δ ‫في‬ ‫الساقين‬ ‫متساوي‬ ‫المثلث‬ ‫خواص‬ .... BC ‫منتصف‬ D ‫نقطة‬ )‫؟‬ ‫(لماذا‬ AB=AC A B C D EH O ∠ ∴ m RAO=90o − m ROA∠ ( 3 ) ‫مثال‬ AD, BH, CE AD ⊥ BC ( 2 ) ‫مثال‬ A E B D C R O m ∠ =30o CE = 0{ }O R ‫في‬ m RAO
  • 131.
    131 5 - 3‫للمثلث‬‫املتوسطة‬ ‫القطع‬ )5 ‫ـ‬ 2( ‫تعريف‬ . ‫الرأس‬ ‫لذلك‬ ‫المقابل‬ ‫الضلع‬ ‫منتصف‬ ‫ونقطة‬ ‫المثلث‬ ‫رأس‬ ‫هما‬ ‫طرفاها‬ ‫التي‬ ‫المستقيمة‬ ‫القطعة‬ ‫هي‬ . ‫متوسطة‬ ‫مستقيمة‬ ‫قطع‬ ‫ثالث‬ ‫مثلث‬ ‫لكل‬ :‫مالحظة‬ .O ‫في‬ ‫تلتقي‬ ‫متوسطة‬ ‫قطع‬ BR, CG, AP : ABC‫المثلث‬ ‫في‬ ، O ‫نقطة‬ ‫في‬ ‫تلتقيان‬ ‫متوسطتان‬ ‫قطعتان‬ AD , CE ‫فيه‬ ABC ‫المثلث‬ : ‫المجاور‬ ‫الشكل‬ ‫في‬ . AO , OE ‫جد‬ AD=6 cm ، CE = 9 cm ABC ‫المثلث‬ ‫متوسطات‬ ‫ملتقي‬ O/ ‫احلل‬ OE= 1 2 OC ∴ OE = 1 3 CE ‫متوسطة‬ ‫قطعة‬ AD ‫كذلك‬ 2 : 1 ‫بنسبة‬ ‫منها‬ ‫كل‬ ‫تقسم‬ ‫واحدة‬ ‫نقطة‬ ‫في‬ ‫تتالقى‬ ‫للمثلث‬ ‫المتوسطة‬ ‫المستقيمة‬ ‫القطع‬ . ‫الرأس‬ ‫جهة‬ ‫من‬ 7 /‫مبرهنة‬ ( 4 ) ‫مثال‬ A C B E D ∴ OA = 2 3 AD = 2 3 × 6=4 cm A R C P B G • • • • O 2 1 2 1 = CO OG = BO OR = AO OP = 2 1 ∴ OE = 1 3 . 9=3 cm O OR = 1 2 BO OR = 1 3 BR OB = 2 3 BR ‫المتوسطة‬ ‫القطعة‬
  • 132.
    132 ‫منتصفاتها‬ ‫من‬ ABC‫المثلث‬ ‫أضالع‬ ‫على‬ ‫المقامة‬ ‫االعمدة‬ ‫التقاء‬ ‫نقطة‬ O : ‫الشكل‬ ‫في‬ /1‫س‬ .OA ‫جد‬ ، m ∠ COB = 60ْ O ‫من‬ ‫يمر‬ ‫مستقيم‬ ‫رسم‬ ‫ثم‬ ،O ‫نقطة‬ ‫في‬ ‫المنصفان‬ ‫فألتقى‬ C , B ‫الزاويتان‬ ‫نصفت‬ ABC ∆ /2‫س‬ . AH = HO ‫ان‬ ‫أثبت‬ M‫في‬ BC ‫ويقطع‬ H ‫في‬ AB ‫ويقطع‬ AC ‫ويوازي‬ AC⋂ BD = 0{ }}O{ , AB=AD=DC , AD / / BC : ‫فيه‬ ‫منحرف‬ ‫شبه‬ ABCD /3‫س‬ BHC ‫الزواية‬ ‫ينصف‬ HO u ruu : ‫ان‬ ‫برهن‬ BA u ruu I CD u ruu = H{ } ، , ABC ‫المثلث‬ ‫أرتفاعات‬ ‫التقاء‬ ‫نقطة‬ O , AD ⊥ BC :‫فيه‬ ABC ‫المثلث‬ : ‫الشكل‬ ‫في‬ /4‫س‬ . mCHA , mACH :‫جد‬ mBAC=70o 5 2 O A BC 60ْ 10 A C B H D O BC = 10 cm BA ∩ m ∠m ∠m ∠ cm
  • 133.
    133 ⋂ BC= D{} , mCOB=90o ، ‫املتوسطة‬ ‫القطع‬ ‫التقاء‬ ‫نقطة‬ O , ABC ‫املثلث‬ /5‫س‬ . AD ‫جد‬ BC=6 cm , : ‫كان‬ ‫فاذا‬ . DEF ∆ ‫في‬ ‫املتوسطة‬ ‫القطع‬ ‫التقاء‬ ‫نقطة‬ O : ‫أعاله‬ ‫الشكل‬ ‫في‬ /6‫س‬ ‫؟‬ OF ‫ميثله‬ ‫التاليه‬ ‫املقادير‬ ‫من‬ ‫فأى‬ GF=6x2 +9y a) 2x2 +9y b) 2x2 +3y c) 6x2 +9y d) 4x2 +6y ‫؟‬x ‫لقيمة‬ ‫الصحيحة‬ ‫االجابة‬ ‫أختر‬ LG=5x+3 ،WL=15x : ‫كان‬ ‫اذا‬ : ‫الشكل‬ ‫في‬ /7‫س‬ a) 0.3 b) 0.4 c) 0.6 d) 1.2 G F E D O F G D W R L AO
  • 134.
    ‫الدائرة‬ Circle . ‫الدائرة‬ ]6-1[ .‫الدائرة‬ ) ‫(رسم‬ ‫تعيني‬ ‫كيفية‬ ]6-2[ . ‫االقواس‬ ]6-3[ . ‫التماس‬ ] 6 - 4[ A B C D N O A B O 2 O 1 1 ‫ق‬‫ن‬ 3 ‫ق‬‫ن‬ ‫ف‬‫ن‬‫ص‬‫م‬‫ال‬‫د‬‫و‬‫م‬‫ع‬‫ال‬ 2 ‫ق‬‫ن‬ O r r r ‫الرياضية‬ ‫العالقة‬ ‫او‬ ‫الرمز‬ ‫املصطلح‬ r ‫القطر‬ ‫نصف‬ π ‫الثابتة‬ ‫النسبة‬ AB AB ‫القوس‬ 6‫السادس‬ ‫الفصل‬
  • 135.
    ]6 - 2[‫تعريف‬ ‫قطر‬ ‫نصف‬ ]6 - 3[ ‫تعريف‬ ‫الدائرة‬ ‫وتر‬ ]6 - 1[ ‫تعريف‬ ‫الدائرة‬ ]6 - 4[ ‫تعريف‬ ‫الدائرة‬ ‫قطر‬ O 6 ‫الدائرة‬ ‫ورسمها‬ ‫حياته‬ ‫في‬ ‫عديدة‬ ‫مجاالت‬ ‫في‬ ‫واستخدمها‬ ‫خواصها‬ ‫درس‬ ‫حيث‬ ‫قديم‬ ‫زمن‬ ‫منذ‬ ‫الدائرة‬ ‫االنسان‬ ‫عرف‬ . ‫المتاحة‬ ‫الوسائل‬ ‫بأبسط‬ . ‫أخرى‬ ‫زاوية‬ ‫من‬ ‫الدائرة‬ ‫المرحلة‬ ‫هذه‬ ‫في‬ ‫ندرس‬ ‫وسوف‬ ‫نقطة‬ ‫عن‬ ٍ‫ومتساو‬ ‫ثابت‬ ‫ببعد‬ ‫منها‬ ‫كل‬ ‫تبعد‬ ‫والتي‬ ‫المستوي‬ ‫نقاط‬ ‫مجموعة‬ . )Center = ‫(المركز‬ ‫تسمى‬ ‫ثابتة‬ .)Radius = r ‫القطر‬ ‫نصف‬ ‫طول‬ ‫الثابت‬ ‫البعد‬ ‫يسمى‬ ( .‫نقاطها‬ ‫من‬ ‫نقطة‬ ‫واية‬ ‫الدائرة‬ ‫مركز‬ ‫بين‬ ‫الواصلة‬ ‫المستقيم‬ ‫قطعة‬ .‫الدائرة‬ ‫نقاط‬ ‫من‬ ‫نقطتين‬ ‫أية‬ ‫بين‬ ‫الواصله‬ ‫المستقيم‬ ‫قطعة‬ .‫بمركزها‬ ‫المار‬ ‫الدائرة‬ ‫وتر‬ 6 - 1 Circle )‫(الدائرة‬ ‫الفصل‬ 6 ‫تعاريف‬ ]6 - 1 - 1[ A B C D N O r ‫ر‬‫ت‬‫و‬ ‫ر‬‫ط‬‫ق‬
  • 136.
    136 ‫من‬ ‫محدد‬ ‫غير‬‫عدد‬ ‫تعيين‬ ‫يمكن‬ A ‫مثل‬ ‫معلومة‬ ‫نقطة‬ ‫من‬ )1 . ‫الدوائر‬ ‫واحدة‬ ‫دائرة‬ ‫تعييـن‬ ‫يمكن‬ ‫ال‬ B , A ‫مثل‬ ‫معلومتين‬ ‫نقطتين‬ ‫من‬ )2 ) B , A ‫تحتوي‬ ‫الـدوائر‬ ‫مــن‬ ‫محــددة‬ ‫غير‬ ‫مجموعة‬ ‫(هناك‬ ‫العمود‬ ‫على‬ ‫تقع‬ ‫نقطة‬ ‫أية‬ ‫المجموعة‬ ‫هذه‬ ‫مركز‬ ‫ويكون‬ . AB ‫للقطعة‬ ‫المنصف‬ . ‫دائرة‬ ‫أية‬ ‫تتعين‬ ‫ال‬ ‫واحدة‬ ‫أستقامة‬ ‫على‬ ‫نقاط‬ ‫ثالث‬ ‫من‬ - a )3 ‫تتعين‬ ‫واحدة‬ ‫أستقامة‬ ‫على‬ ‫ليست‬ ‫نقاط‬ ‫ثالث‬ ‫من‬ - b :‫اآلتية‬ ‫المبرهنة‬ ‫تنص‬ ‫كما‬ ‫فقط‬ ‫واحدة‬ ‫دائرة‬ )‫رسم‬ ‫(يمكن‬ ‫برهان‬ ‫بدون‬ ‫المبرهنة‬ ‫نقبل‬ ‫سوف‬ :‫المجاور‬ ‫الشكل‬ ‫في‬ /‫توضيح‬ ‫واحدة‬ ‫أستقامة‬ ‫على‬ ‫ليست‬ ‫نقاط‬ ‫ثالث‬ A , B , C . ) ABC ‫المثلث‬ ‫رؤوس‬ ‫تشكل‬ ‫أنها‬ ‫(اي‬ BC , AB , AC ‫أضالعه‬ ‫منتصفات‬ ‫هي‬ P , N , M ‫والنقط‬ ‫االضالع‬ ‫هذه‬ ‫على‬ ‫المقامة‬ ‫االعمدة‬ ‫ألتقت‬ ‫حيث‬ ‫الترتيب‬ ‫على‬ ‫النقطة‬ ‫هذه‬ ‫فتكون‬ )O( ‫نقطة‬ ‫في‬ P , N , M ‫المنتصفات‬ ‫من‬ ‫ومتساوية‬C,B,A‫المثلث‬‫برؤوس‬‫المارة‬‫الدائرة‬‫مركز‬)O( . ً‫ا‬‫سابق‬ ‫مر‬ ‫كما‬ . ) r = OC = OB = OA( ‫عنها‬ ‫البعد‬ 6 - 2‫الدائرة‬ )‫(رسم‬ ‫تعيني‬ ‫كيفية‬ . ‫واحدة‬ ‫دائرة‬ ‫بها‬ ‫تمر‬ ‫واحدة‬ ‫استقامة‬ ‫على‬ ‫ليست‬ ‫نقاط‬ ‫ثالث‬ ‫كل‬ 8 /‫مبرهنة‬ A A B M P C O N AB O1 1 ‫نق‬ 3 ‫نق‬ ‫المنصف‬ ‫العمود‬ 2 ‫نق‬ O2 O
  • 137.
    137 ‫الهندسية‬ ‫االشكال‬ ‫خارج‬‫املرسومة‬ ‫الدائرة‬ ]6-5 [ /‫تعريف‬ .‫واحدة‬ ‫لدائرة‬ ‫تنتمي‬ ‫رؤوسه‬ ‫كانت‬ ‫أذا‬ )ً‫ا‬‫دائري‬ ً‫ا‬‫رباعي‬ ً‫ال‬‫(شك‬ ‫الرباعي‬ ‫الشكل‬ ‫يسمى‬ :‫المجاور‬ ‫الشكل‬ ‫في‬ . O ‫مركزها‬ ‫التي‬ ‫للدائرة‬ ‫تتنتمي‬ A , B , C , D ‫حيث‬ ‫دائري‬ ‫رباعي‬ ‫شكل‬ ABCD . ‫دائرية‬ ‫هندسية‬ ‫اشكال‬ ‫تسمى‬ ‫واحدة‬ ‫دائرة‬ ‫برؤوسها‬ ‫تمر‬ ‫التي‬ ‫االخرى‬ ‫الهندسية‬ ‫االشكال‬ ‫وكذلك‬ ‫مرسوم‬ ‫خماسي‬ ‫شكل‬ ABCDE ‫مرسوم‬ ‫مثلث‬ ABC )‫دائري‬ ‫(خماسي‬ O ‫مركزها‬ ‫دائرة‬ ‫داخل‬ 0 ‫مركزها‬ ‫دائرة‬ ‫داخل‬ ‫مالحظة‬:‫يلي‬ ‫كما‬ ‫آخر‬ ‫بأسلوب‬ 8 ‫مبرهنة‬ ‫فهم‬ ‫يمكن‬ ‫تكون‬ )O( ‫واحدة‬ ‫بنقطة‬ ‫تلتقي‬ ‫منتصفاتها‬ ‫من‬ ‫مثلث‬ ‫أضالع‬ ‫على‬ ‫المقامة‬ ‫االعمدة‬ ‫ان‬ . ‫المثلث‬ ‫برؤوس‬ ‫تمر‬ ‫التي‬ ‫الدائرة‬ ‫مركز‬ ‫هي‬ ‫النقطة‬ ‫وهذه‬ .‫رؤوسه‬ ‫عن‬ ‫البعد‬ ‫متساوية‬ :‫تدريب‬ A B 4 C 4 4 .)4cm ( ‫ضلعه‬ ‫طول‬ ‫االضالع‬ ‫متساوي‬ ‫مثلث‬ ‫برؤوس‬ ‫تمر‬ ‫دائرة‬ ‫أرسم‬ O A B C A B C D E O A B C D O
  • 138.
    138 : ‫الدائرة‬ ‫قوس‬ AB‫ان‬ ‫نالحظ‬ ‫المجاور‬ ‫الشكل‬ ‫في‬ .‫الدائرة‬ ‫من‬ ‫جزء‬ ‫هو‬ . B , A ‫بالنقطتين‬ ‫الدائرة‬ ‫مع‬ ‫يشترك‬ ‫انقسمت‬ ‫وبذلك‬ } B , A } = A B ∩ )‫(الدائرة‬ ‫ان‬ ‫اي‬ .ً‫ا‬‫قوس‬ ‫يسمى‬ ‫منهما‬ ‫كل‬ ‫جزئين‬ ‫الى‬ ‫الدائرة‬ ‫نقاط‬ ‫مجموعة‬ . ) Minor Arc AB ‫الثانوي‬ ‫(القوس‬ ‫االصغر‬ ‫القوس‬ - . ) Major Arc ACB )‫الرئيسي‬ ‫القوس‬ ( ‫االكبر‬ ‫القوس‬ - ‫متساويين‬ ‫قوسين‬ ‫الى‬ ‫يقسمها‬ ‫الدائرة‬ ‫في‬ ‫قطر‬ ‫اي‬ ‫ان‬ ‫مالحظة‬ ‫مع‬ .Semi circle ‫الدائرة‬ ‫نصف‬ ‫منها‬ ‫كل‬ ‫يسمى‬ ‫الدائرة‬ ‫نصف‬ ‫من‬ ‫أصغر‬ ‫االصغر‬ ‫القوس‬ :‫ان‬ ‫اي‬ .‫الدائرة‬ ‫نصف‬ ‫من‬ ‫اكبر‬ ‫فهو‬ ‫االكبر‬ ‫القوس‬ :‫اما‬ ‫فقط‬ ‫بحرفين‬ ‫االصغر‬ ‫القوس‬ ‫عن‬ ‫التعبير‬ ‫على‬ ‫اتفق‬ ‫وقد‬ . AC ‫القوس‬ ‫في‬ ‫كما‬ : ‫توضيح‬ : ‫المجاور‬ ‫الشكل‬ ‫في‬ .O ‫مركزها‬ ‫التي‬ ‫الدائرة‬ ‫في‬ ‫مركزية‬ ‫زاوية‬ AOB ‫الزاوية‬ ‫تسمى‬ ‫في‬ ‫قطرين‬ ‫نصفا‬ ‫وضلعاها‬ ‫الدائرة‬ ‫مركز‬ ‫هو‬ ‫الزاوية‬ ‫رأس‬ ‫ان‬ ‫اي‬ .‫الدائرة‬ ‫الدائرة‬ ‫نقط‬ ‫من‬ ‫نقطة‬ ‫رأسها‬ ،‫محيطية‬ ‫زاوية‬ EDF ‫الزاوية‬ ‫تسمى‬ .‫الدائرة‬ ‫في‬ ‫وتران‬ ‫وضلعاها‬ 6 - 3-‫املركزية‬ ‫الدائرة-الزوايا‬ ‫قوس‬ ‫احمليطية‬ ‫الزوايا‬ A B O C A B C D O A B D O E F
  • 139.
    139 /‫المعطيات‬ .‫محيطية‬ ‫زاوية‬ CAB،‫مركزية‬ ‫زاوية‬ COB , O ‫مركزها‬ ‫دائرة‬ /‫أثباته‬ ‫المطلوب‬ m ∠ COB = 2m ∠ CAB /‫والبرهان‬ ‫العمل‬ .‫للدائرة‬ ً‫ا‬‫قطر‬ AD ‫نرسم‬ OA = OB ... ‫دائرة‬ ‫أقطار‬ ‫أنصاف‬ m ∠ 1 = m ∠ 2 ‫الساقين‬ ‫متساوي‬ ‫مثلث‬ ‫قاعدة‬ ‫زاويتا‬ m ∠ 3 + m ∠ 1 + m ∠ 2 = 1800 ) ‫مثلث‬ ‫زوايا‬ ‫(مجموع‬ m ∠3 + 2m ∠2 =1800 ⇐ m ∠1 ‫عن‬ ‫بالتعويض‬ ]6 - 6 [‫تعريف‬ .‫بضلعيها‬ ‫القوس‬ ‫هذا‬ ‫يتحدد‬ ‫التي‬ ‫الزاوية‬ ‫اي‬ ‫المركزية‬ ‫زاويته‬ ‫قياس‬ ‫هو‬ ‫دائرة‬ ‫في‬ ‫قوس‬ ‫قياس‬ . ‫المجاور‬ ‫الشكل‬ ‫في‬ ‫كما‬ m (AB) = m ∠ AOB ‫قوسية‬ ‫درجة‬ ‫تسمى‬ ‫القوس‬ ‫قياس‬ ‫ووحدة‬ m ∠ AOB = 300 :‫كان‬ ‫فإذا‬ ‫قوسية‬ ‫درجة‬ 30 ‫يكون‬ AB ‫قوسها‬ ‫قياس‬ ‫فأن‬ 360-30 ‫هو‬ ACB ‫االكبر‬ ‫القوس‬ ‫قياس‬ ‫وأن‬ .‫قوسية‬ ‫درجة‬ 330 ‫أي‬ A B O 30ْ A B C O D 1 3 2 4 ‫المشتركة‬ ‫المحيطية‬ ‫الزاوية‬ ‫قياس‬ ‫ضعف‬ ‫يساوي‬ ‫دائرة‬ ‫في‬ ‫المركزية‬ ‫الزاوية‬ ‫قياس‬ .‫نفسه‬ ‫بالقوس‬ ‫معها‬ 9 /‫مبرهنة‬ C
  • 140.
    140 m ∠3 =1800 - 2 m ∠2 .......1 m ∠ BOD + m ∠ 3 = 1800 ‫مستقيمة‬ ‫زاوية‬ m BOD = 1800 - m ∠ 3 m ∠ BOD = 1800 - (1800 -2m ∠ 2) .... 1 ‫من‬ m ∠ BOD= 2m ∠ 2........2 ‫ان‬ ‫نثبت‬ ‫الطريقة‬ ‫وبنفس‬ m ∠ COD= 2m ∠4........3 3 ‫و‬ 2 ‫المعادلتين‬ ‫بجمع‬ m ∠BOD + m ∠ COD = 2 m ∠2 + 2 m ∠ 4 ) ‫م‬ . ‫هـ‬ . ‫(و‬ m COB = 2 m CAB ∴ : 9 ‫ملبرهنة‬ 1 ‫نتيجة‬ ‫قوسها‬ ‫قياس‬ ‫نصف‬ ‫يساوي‬ ‫دائرة‬ ‫في‬ ‫المحيطية‬ ‫الزاوية‬ ‫قياس‬ m ∠ N ‫جد‬ :‫المجاور‬ ‫الشكل‬ ‫في‬ /‫احلل‬ OA = OB ‫دائرة‬ ‫اقطار‬ ‫انصاف‬ ∵ m ∠ ABO = m ∠ BAO ‫قاعدة‬ ‫زاويتا‬ ∴ m ∠ ABO = 500 ‫الساقين‬ ‫متساوي‬ ‫مثلث‬ ∵ m ∠AOB = 1800 - 1000 ‫مثلث‬ ‫زوايا‬ ∴ m ∠ AOB = 800 m ∠ AOB = 2 m ∠ N .......)9 ‫(مبرهنة‬ m ∠ N = 800 2 = 400 ∴m ∠ N = 40ْ (1 ) ‫مثال‬ A B N O 50ْ
  • 141.
    141 :x ‫قيمة‬ ‫جد‬: ‫المجاور‬ ‫الشكل‬ ‫في‬ /‫احلل‬ m COB = 2 m A : 9 ‫مبرهنة‬ ∵ x + 300 = 2 x ∴ x = 300 : 9 ‫ملبرهنة‬ 2 ‫نتيجة‬ 1800 = ‫دائري‬ ‫رباعي‬ ‫شكل‬ ‫أي‬ ‫في‬ ‫المتقابلتين‬ ‫الزاويتين‬ ‫قياسي‬ ‫مجموع‬ : ‫المجاور‬ ‫الشكل‬ ‫في‬ )‫دائرة‬ ‫داخل‬ ‫(مرسوم‬ ‫دائري‬ ‫رباعي‬ ‫شكل‬ ABCD m ∠ A + m ∠ C = 1800 m ∠ B + m ∠ D = 1800 (2 ) ‫مثال‬ A B C o X x+30 :‫تدريب‬:‫المجاور‬ ‫الشكل‬ ‫في‬ AB = BC m ∠ ABC = 960 y ‫قيمة‬ ‫جد‬ A B C O D y 96ْ A B C O D
  • 142.
    142 : ‫الشكل‬ ‫في‬ m∠ A , m ∠ D‫جد‬ /‫احلل‬ ‫دائري‬ ‫رباعي‬ ‫شكل‬ ABCD m ∠ D + m ∠B = 1800 ... 9 ‫مبرهنة‬ 2 ‫نتيجة‬ m ∠ D = 1800 -940 m ∠ D = 860 m ∠1 + m∠ ECD = 1800 ])‫(مستقيمة‬ ‫واحدة‬ ‫أستقامة‬ ‫على‬ ‫[متجاورتان‬ m ∠ 1 = 1800 - 1000 m ∠ 1 = 800 m ∠A + m ∠1 = 1800 )‫دائري‬ ‫رباعي‬ ‫شكل‬ ‫في‬ ‫(متقابلتان‬ m ∠A = 1800 - 80 m ∠A = 1000 (3 ) ‫مثال‬ A B C O D E 194ْ 100ْ :‫تدريب‬: ‫المجاور‬ ‫الشكل‬ ‫في‬ .y , x ‫قيمة‬ ‫جد‬ O A B C D x+10 2y xy
  • 143.
    143 /‫المعطيات‬ .‫فيها‬ ‫قطر‬ AB, O ‫مركزها‬ ‫دائرة‬ /‫اثباته‬ ‫المطلوب‬ m ∠ ACB = 900 /‫البرهان‬ ‫مركزية‬ ‫زاوية‬ AOB . )‫قطر‬ AB ‫الن‬ ‫مستقيمة‬ ‫زاوية‬ ( ........m ∠ AOB = 1800 ‫المشتركة‬ ‫المحيطية‬ ‫قياس‬ ‫ضعف‬ ‫تساوي‬ ‫المركزية‬ ‫الزاوية‬ ‫قياس‬ ....... m ∠AOB = 2 m C ‫القوس‬ ‫بنفس‬ ‫معها‬ m ∠ C = 1800 2 = 900 ) ‫م‬ . ‫هـ‬ . ‫(و‬ . Y ‫قيمة‬ ‫جد‬ ،‫فيها‬ ‫قطر‬ AB , O ‫مركزها‬ ‫دائرة‬ /‫احلل‬ m ∠ C = 900 ..... 10 ‫مبرهنة‬ ‫مثلث‬ ‫....زوايا‬ m ∠ A + m ∠ B = 1800 - m ∠ C m ∠ A + m ∠B = 900 y + 2 y = 900 3y = 900 y = 300 AB C O 10 /‫مبرهنة‬ 900 ‫تساوي‬ ‫دائرة‬ ‫نصف‬ ‫في‬ ‫المرسومة‬ ‫المحيطية‬ ‫الزاوية‬ ‫قياس‬ (4 ) ‫مثال‬ 2y y O A C B
  • 144.
    144 AD = DC‫أن‬ ‫أثبت‬ AB = BC ،‫فيها‬ ‫قطر‬ AB , O‫مركزها‬ ‫دائرة‬ ‫الشكل‬ ‫في‬ / ‫احلل‬ /‫المعطيات‬ /‫أثباته‬ ‫المطلوب‬ /‫البرهان‬ ( 10 ‫مبرهنة‬ ) ...... m ∠ 1 = 900 . ) D ‫في‬ ‫الزاوية‬ ‫قائما‬ ‫مثلثان‬ ( ....... BCD , ABD ‫معطى‬ ............ AB = BC )‫قائم‬ ‫وضلع‬ ‫(وتر‬ ‫متطابقان‬ ...... ∆ CBD , ∆ ABD ‫المتطابقة‬ ‫االشكال‬ ‫في‬ ‫المتناظرة‬ ‫االجزاء‬ ‫تتساوى‬ .... AD = DC :‫على‬ ‫نحصل‬ ‫التطابق‬ ‫من‬ (5 ) ‫مثال‬ {‫للطالب‬ ‫تترك‬ A B C o 21 D
  • 145.
    145 -: ‫االتية‬ ‫االشكال‬‫من‬ ‫شكل‬ ‫كل‬ ‫في‬ Y , X ‫قيمة‬ ‫جد‬ /1‫س‬ OD ∥ AC ، m∠ OAC = 60ْ ‫فيها‬ ‫قطر‬ AB ،)‫المجاور‬ ‫(الشكل‬ O ‫مركزها‬ ‫دائرة‬ /2‫س‬ m CD = m BD :‫ان‬ ‫أثبت‬ ‫ثم‬ m CD ‫جد‬ ‫المثلث‬ ‫ان‬ ‫أثبت‬ m ∠ BAC = 300 ‫كان‬ ‫فاذا‬ .O ‫مركزها‬ ‫دائرة‬ ‫داخل‬ ‫مرسوم‬ ‫مثلث‬ ABC/3‫س‬ . ‫االضالع‬ ‫متساوي‬ OBC ‫كان‬ ‫فاذا‬ ،AO ‫يوازي‬ BD ‫الوتر‬ ‫رسم‬ ، O ‫مركزها‬ ‫دائرة‬ ‫في‬ ‫قطرين‬ ‫نصفا‬ OB , OA /4‫س‬ AD ⊥OB :‫ان‬ ‫أثبت‬ m ∠ AOB = 600 ‫المجاور‬ ‫الشكل‬ ‫س5/في‬ . m ∠ D ‫جد‬ ) a . A ‫زاوية‬ ‫ينصف‬ AC ‫ان‬ ‫أثبت‬ ) b 6 1 A B D C O 60˚ C 4y y x O B A BA D o 80˚20˚ C D B C O A 4x x y
  • 146.
    146 /‫المعطيات‬ m CD =m AB /‫أثباته‬ ‫المطلوب‬ m ∠ COD = m ∠ AOB /‫البرهان‬ m AB = m ∠ AOB ...... 1 ) ‫المركزية‬ ‫زاويته‬ ‫قياس‬ ‫هو‬ ‫القوس‬ ‫قياس‬ ( :‫كذلك‬ m CD = m ∠ COD ....2 ‫معطاة‬ m CD = m AB .....3 :‫على‬ ‫نحصل‬ )3( ‫و‬ )2( ‫و‬ )1( ‫من‬ )‫م‬ . ‫هـ‬ . ‫(و‬ m ∠AOB = m ∠ COD :11 ‫مبرهنة‬ ‫نتيجة‬ .‫متطابقتان‬ ‫المحيطيتين‬ ‫زاويتيهما‬ ‫فان‬ ‫دائرة‬ ‫في‬ ‫قوسان‬ ‫تطابق‬ ‫اذا‬ ‫ثم‬ m ∠ DOB ‫جد‬ m CD = m BD , m ∠ COD = 500 ‫فيها‬ ‫قطر‬ AB , O ‫مركزها‬ ‫دائرة‬ OD // AC ‫ان‬ ‫اثبت‬ /‫المعطيات‬ / ‫أثباته‬ ‫المطلوب‬ ‫متطابقتان‬ ‫المركزيتين‬ ‫زاويتيهما‬ ‫فان‬ ‫دائرة‬ ‫في‬ ‫قوسان‬ ‫تطابق‬ ‫اذا‬ 11/‫مبرهنة‬ (1 ) ‫مثال‬ {‫للطالب‬ ‫تترك‬ o A BC D
  • 147.
    147 /‫البرهان‬ ‫معطى‬ m CD= m BD m ∠ DOB = m ∠ COD..... ) 10 ‫مبرهنة‬ ( m ∠ DOB = 500 m ∠ COB = m ∠ COD + m ∠ DOB = 1000 ) ‫المحيطية‬ ‫قياس‬ ‫ضعف‬ ‫المركزية‬ ‫قياس‬ ( m ∠ CAB = 1 2 m ∠ COB = 500 ‫ومتطابقتان‬ ‫متناظرتان‬ CAB , DOB ‫الزاويتان‬ CA // DO ∴ .‫برهان‬ ‫بدون‬ ‫المبرهنة‬ ‫هذه‬ ‫نقبل‬ ‫سوف‬ :‫توضيح‬ :‫المجاور‬ ‫الشكل‬ ‫في‬ ‫فيها‬ ‫قطر‬ MD , O ‫مركزها‬ ‫دائرة‬ ‫في‬ ‫وتر‬ AB MD ⊥ AB ‫ان‬ ‫بحيث‬ :‫ذلك‬ ‫من‬ ‫ينتج‬ )AC = BC) AB ‫الوتر‬ ‫ينصف‬ MD - 1 m BD = m AD - 2 m MB = m AM - 3 .‫قوسيه‬ ‫من‬ ً‫ال‬‫ك‬ ‫وينصف‬ ‫الوتر‬ ‫ينصف‬ ‫دائرة‬ ‫في‬ ‫وتر‬ ‫على‬ ‫العمودي‬ ‫القطر‬ 12/‫مبرهنة‬ A B D C o 50˚ o AB D M C
  • 148.
    148 (2 ) ‫مثال‬ (3) ‫مثال‬ {‫للطالب‬ ‫تترك‬ o N BO ‫جد‬ AB = 8 cm , OD = 3 cm , AB ⊥ OD , O ‫مركزها‬ ‫دائرة‬ /‫احلل‬ AB ⊥ OD ..... )‫(معطى‬ ) 12 ‫مبرهنة‬ ( ...... AB ‫منتصف‬ D BD = 4 cm D ‫في‬ ‫الزاوية‬ ‫القائم‬ OBD ‫المثلث‬ ‫في‬ (OB)2 = (OD)2 + (BD)2 ..( ‫فيثاغورس‬‫مبرهنة‬) = 9 + 16 = 25 BO = 5 cm .O ‫المركز‬ ‫في‬ ‫متحدتان‬ ‫دائرتان‬ BD = AC :‫ان‬ ‫أثبت‬ BA ⊥ ON /‫المعطيات‬ / ‫أثباته‬ ‫المطلوب‬ /‫البرهان‬ ON ⊥ CD ‫الصغرى‬ ‫الدائرة‬ ‫في‬ CN = DN .... )1( 12 ‫مبرهنة‬ AN = BN ....)2( :‫الكبرى‬ ‫الدائرة‬ ‫في‬ ‫كذلك‬ :‫على‬ ‫نحصل‬ )2( ‫و‬ )1( ‫من‬ ‫متساوية‬ ‫كميات‬ ‫طرحت‬ ‫اذا‬ AN - CN = BN - DN ‫متساوية‬ ‫النتائج‬ ‫تبقى‬ ‫متساوية‬ ‫اخرى‬ ‫من‬ AC = BD ∴ B D C A B O A D 44 3
  • 149.
    149 .‫الوتر‬ ‫ذلك‬ ‫على‬ً‫ا‬‫عمودي‬ ‫يكون‬ ‫الوتر‬ ‫بمنتصف‬ ‫المار‬ ‫الدائرة‬ ‫قطر‬ 13/‫مبرهنه‬)12 ‫مبرهنة‬ ‫(عكس‬ ‫مالحظة‬ BON , OAN ‫المثلثين‬ ‫تطابق‬ ‫من‬ ‫المبرهنة‬ ‫أثبات‬ ‫يمكن‬ /‫المعطيات‬ .N ‫في‬ AB ‫الوتر‬ ‫ينصف‬ CD ،‫فيها‬ ‫قطر‬ CD , O ‫مركزها‬ ‫دائرة‬ ‫في‬ ‫وتر‬ AB /‫أثباته‬ ‫المطلوب‬ CD ⊥ AB /‫البرهان‬ )‫قطرين‬ ‫(نصفا‬ OB , OA ‫نرسم‬ ( ‫دائرة‬ ‫في‬ ‫قطرين‬ ‫نصفا‬ ).... OA = OB ) ‫معطى‬ ( ... AB ‫منتصف‬ N ) ‫الساقين‬ ‫متساوي‬ ‫مثلث‬ ‫(خواص‬ ... ON ⊥ AB CD ⊥ AB ∴ ) ‫م‬ . ‫هـ‬ . ‫(و‬ B o AN D C
  • 150.
    150 :‫المجاور‬ ‫الشكل‬ ‫في‬ D, O ‫مركزها‬ ‫دائرة‬ ‫في‬ ‫وتر‬ AB m ∠ OBDm OBD = 300 , DO / /BC , AB ‫منتصف‬ ‫االضالع‬ ‫متساوي‬ OBC ‫المثلث‬ ‫ان‬ ‫اثبت‬ /‫المعطيات‬ /‫أثباته‬ ‫المطلوب‬ /‫البرهان‬ ) ‫معطى‬ ( .... AB ‫منتصف‬ D ) 13 ‫مبرهنة‬ ( ..... AB ⊥ OD D ‫في‬ ‫الزاوية‬ ‫قائم‬ OBD ‫المثلث‬ ) ‫معطى‬ (...... m ∠ OBD = 300 )1800 = ‫المثلث‬ ‫زوايا‬ ‫.....(مجموع‬ m ∠ BOD = 600 )‫معطى‬ ( ....... BC // DO ∵ )‫متبادلة‬ ( ... m ∠ OBC = m ∠ BOD m ∠ OBC = 600 ))OC = OB( ‫الساقين‬ ‫متساوي‬ ‫مثلث‬ ‫قاعدة‬ ‫زوايا‬ ( ...... m ∠ OBC = m ∠ OCB )1800 = ‫المثلث‬ ‫زوايا‬ ‫.....(مجموع‬ m ∠ COB = 600 ‫االضالع‬ ‫متساوي‬ BCO ‫المثلث‬ ∴ (4 ) ‫مثال‬ {‫للطالب‬ ‫تترك‬ o 30 60 AB C D
  • 151.
    151 m ∠ BDC‫جد‬ ، CA = BC = AB :‫فيها‬ O ‫مركزها‬ ‫دائرة‬ :‫المجاور‬ ‫الشكل‬ ‫في‬ /1‫س‬ m∠ B , m ∠ C ، a ‫:قيمة‬ ‫جد‬ m BC = a , m AC = 96 :‫المجاور‬ ‫الشكل‬ ‫في‬ /2‫س‬ OD ‫جد‬ :‫المجاور‬ ‫الشكل‬ ‫في‬ /3‫س‬ ∠ BAC ‫ينصف‬ AO : ‫ان‬ ‫برهن‬ ،O ‫مركزها‬ ‫دائرة‬ ‫في‬ ‫متطابقان‬ ‫وتران‬ AC , AB /4‫س‬ 6 2 ⁀ ⁀ A BC O D AB C O a 96 32 AB C O D 8
  • 152.
    152 b, a ‫جد‬:‫المجاور‬ ‫الشكل‬ ‫/في‬ 5‫س‬ Yْ ‫قيمة‬ ‫جد‬ BC ∥ OA , BA ∥ CO :‫المجاور‬ ‫الشكل‬ ‫في‬ /6‫س‬ ‫مع‬ ‫دائري‬ ‫رباعي‬ ‫شكل‬ ‫باكمال‬ ‫أخرى‬ ‫طريقة‬ ‫هناك‬ , OB ‫صل‬ ‫ثم‬ ، ‫معين‬ OCBA ‫ان‬ ‫أثبت‬ :‫تلميح‬ . C , B , A ‫النقط‬ y ‫قيمة‬ ‫جد‬ ، m ∠ D = 2y , m ∠ A = y + 30 :‫حيث‬ ‫دفترك‬ ‫في‬ ‫المجاور‬ ‫الشكل‬ ‫أنقل‬ /7‫س‬ . )4y 0 ( ‫قياسها‬ ‫زاوية‬ ‫الشكل‬ ‫في‬ ‫أرسم‬ ‫ثم‬ ، A B C D b a 3a B o y˚ AC 1 2 o D A B C 2y 1 2 y + 30
  • 153.
    153 : O ‫مركزها‬‫التي‬ M ‫الدائرة‬ ‫ان‬ ‫أعاله‬ ‫الشكل‬ ‫في‬ ‫الحظ‬ A ‫نقطة‬ ‫في‬ M ‫للدائرة‬ ً‫ا‬‫مماس‬ L1 ‫يسمى‬ } A} = M ∩ L1 : ‫فقط‬ ‫واحدة‬ ‫بنقطة‬ L1 ‫مع‬ ‫تشترك‬ - 1 :‫فان‬ ‫ولذلك‬ ‫للدائرة‬ ً‫ا‬‫مماس‬ ‫يسمى‬ ‫فقط‬ ‫واحدة‬ ‫بنقطة‬ ‫معها‬ ‫ويشترك‬ ‫الدائرة‬ ‫مستوي‬ ‫في‬ ‫مستقيم‬ ‫أي‬ .)‫التماس‬ ‫(نقطة‬ ‫النقطة‬ ‫تلك‬ ‫في‬ .‫للدائرة‬ ‫قاطع‬ L2 ‫يسمى‬ } C , B } = M ∩ L2 - 2 . )‫الدائرة‬ ‫(خارج‬ ‫الدائرة‬ ‫يقطع‬ ‫وال‬ ‫يمس‬ ‫ال‬ , ∅ = M ∩ L3 - 3 6 - 4 ّ‫ماس‬ّ‫التـ‬ o L3 A B C M ‫متاس‬ ‫نقطة‬ L3 (‫والميس‬ ‫)اليقطع‬ (‫)قاطع‬ (‫)مماس‬ L2 L1
  • 154.
    154 ‫كما‬ ً‫ا‬‫مشترك‬ ً‫ا‬‫مماس‬‫الحالة‬ ‫هذه‬ ‫في‬ ‫ويسمى‬ ‫الوقت‬ ‫نفس‬ ‫في‬ ‫دائرة‬ ‫من‬ ‫اكثر‬ ‫يمس‬ ‫قد‬ ‫المستقيم‬ ‫ان‬ ‫مالحظة‬ ‫مع‬ :‫االشكال‬ ‫في‬ ‫الداخل‬ ‫من‬ ‫دائرتني‬ ‫متاس‬ ‫اخلارج‬ ‫من‬ ‫دائرتني‬ ‫متاس‬ ‫مشترك‬ ‫مماس‬ ]6-7[ ‫تعريف‬ ‫الجهة‬ ‫من‬ ‫التماس‬ ‫نقطة‬ ‫من‬ ‫المرسوم‬ ‫ووترها‬ ‫الدائرة‬ ‫بمماس‬ ‫المحددة‬ ‫الزاوية‬ ‫هي‬ :‫المماسية‬ ‫الزاوية‬ . ‫االخرى‬ ‫زاوية‬ ABD ‫الزاوية‬ ‫تسمى‬ ‫للدائرة‬ ‫وتر‬ BA , O ‫مركزها‬ ‫التي‬ ‫للدائرة‬ ‫مماس‬ L : ‫الشكل‬ ‫في‬ .‫مماسية‬ ‫أحد‬ ‫هو‬ ‫الذي‬ ‫للوتر‬ ‫المقابل‬ ‫القوس‬ ‫قياس‬ ‫نصف‬ ‫يساوي‬ ‫دائرة‬ ‫في‬ ‫المماسية‬ ‫الزاوية‬ ‫قياس‬ :‫اولية‬ ‫عبارة‬ . ‫المماسية‬ ‫الزاوية‬ ‫أضالع‬ ⁀ A B C D O L mABD= 1 2 mABm ∠
  • 155.
    155 /‫المعطيات‬ .A ‫نقطة‬ ‫في‬‫الدائرة‬ ‫يمس‬ L ‫المستقيم‬ ،O ‫مركزها‬ ‫دائرة‬ /‫أثباته‬ ‫المطلوب‬ OA ⊥ L /‫والبرهان‬ ‫العمل‬ AOB ‫القطر‬ ‫نرسم‬ ( ‫الدائرة‬ ‫في‬ ‫قطر‬ AB ‫)الن‬ .... m ACB = 1800 ( ‫اولية‬ ‫عبارة‬ )....m ∠ BADmABD= 1 2 mACB m ∠m BAD = 1 2 ×1800 = 900 ) ‫م‬ . ‫هـ‬ . ‫(و‬ OA ⊥ L ∴ .N ‫نقطة‬ ‫في‬ L ⊥ ON , O ‫من‬ ‫نرسم‬ L ⊥ OA ‫يكن‬ ‫لم‬ ‫اذا‬ :‫آخر‬ ‫برهان‬ . AN = NP ‫ان‬ ‫بحيث‬ .P ‫النقطة‬ ‫الى‬ ‫أستقامتها‬ ‫على‬ AN ‫نمد‬ »‫بينهما‬ ‫محصورة‬ ‫وزاوية‬ ‫«ضلعان‬ .‫متطابقان‬ OAN , ONP ‫المثلثان‬ :‫على‬ ‫نحصل‬ ‫التطابق‬ ‫من‬ OA = OP ‫للدائرة‬ ∵ ‫للدائرة‬ ∴ OA ⊥ L ∴ :‫أولية‬ ‫عبارة‬ .‫فقط‬ ‫واحد‬ ‫مماس‬ ‫رسم‬ ‫يمكن‬ ‫للدائرة‬ ‫تنتمي‬ ‫نقطة‬ ‫من‬ - 1 .‫الدائرة‬ ‫بمركز‬ ‫يمر‬ ‫التماس‬ ‫نقطة‬ ‫من‬ ‫الدائرة‬ ‫مماس‬ ‫على‬ ‫العمودي‬ ‫المستقيم‬ - 2 ⁀ .‫التماس‬ ‫نقطة‬ ‫من‬ ‫المرسوم‬ ‫القطر‬ ‫نصف‬ ‫على‬ ‫عمود‬ ‫المماس‬ 14/‫مبرهنة‬ A∈ P ∈ O L B A C D ⁀ O L A PN
  • 156.
    156 )‫المجاور‬ ‫(الشكل‬ ،O‫مركزها‬ ‫التي‬ ‫الدائرة‬ ‫في‬ A ‫في‬ ‫للدائرة‬ ‫مماس‬ AB . m ∠ AOB ‫جد‬ ∠ ABO = 35ْ ‫معطى‬ ... A ‫في‬ ‫للدائرة‬ ‫مماس‬ AB ∵ / ‫احلل‬ . B ‫في‬ ‫الدائرة‬ ‫يمس‬ ، A ‫في‬ ‫الدائرة‬ ‫يمس‬ ، ‫فيها‬ ‫قطر‬ ، O ‫مركزها‬ ‫دائرة‬ ‫ان‬ ‫أثبت‬ /‫المعطيات‬ /‫أثباته‬ ‫المطلوب‬ /‫البرهان‬ : ‫كذلك‬ : 2 ، 1 ‫من‬ ∴ , ‫القاطع‬ ‫من‬ ‫واحدة‬ ‫جهه‬ ‫وعلى‬ ‫داخليتان‬ ‫الزاويتان‬ ‫وهاتان‬ ‫من‬ ‫واحدة‬ ‫جهة‬ ‫في‬ ‫الواقعتان‬ ‫الداخليتان‬ ‫الزاويتان‬ ‫وكانت‬ ‫ثالث‬ ‫بمستقيم‬ ‫قطعا‬ ‫اذا‬ ‫مستقيمان‬ ‫(يتوازي‬ . )1800 ‫مجموعهما‬ ‫القاطع‬ (2 ) ‫مثال‬ {‫للطالب‬ ‫تترك‬ ABDC//MN (1 ) ‫مثال‬ m o A B35˚ MNDC DC//MN AB m 1+m 2=180o A ‫في‬ ‫للدائرة‬ ‫مماس‬ MN ∵ AB ⊥ MN ∴13 ‫مبرهنة‬ ....... 1....... m 1=90o ∴ m 2=90o ∴2....... AB ⊥ AO ∴ m OAB=90o ∴ m OBA=35o ∴ m AOB=90o -35o = 55o 180ْ = ‫مثلث‬ ‫زوايا‬ ‫مجموع‬ ‫معطى‬ ∠ ∠ ∠ ∠ ∠ ∠ ∠ o2 1 C AB D N M AB ⊥ MN ∴
  • 157.
    157 : ‫المجاور‬ ‫الشكل‬‫في‬ ، A ‫في‬ ‫للدائرة‬ ‫مماس‬ AB m ∠ OAC = 5N , m ∠ CAB = N /‫احلل‬ A ‫في‬ ‫للدائرة‬ ‫مماس‬ AB OA ⊥ AB ∴ ) m ∠ OAB = 90ْ( N + 5N = 90ْ 6N = 90ْ ⇒ N = 15ْ m ∠ OAC = 5 × 15ْ = 75ْ ) ‫الدائرة‬ ‫اقطار‬ ‫انصاف‬ ( OA = OC ∴ ‫الساقين‬ ‫متساوي‬ ‫مثلث‬ ‫قاعدة‬ ‫زاويتا‬ m ∠ OCA = 5N ∴ m ∠ OCA = 5 × 15ْ = 75ْ ) ‫المثلث‬ ‫زوايا‬ ‫مجموع‬ ( .... m ∠ OCA + m ∠ OAC + m ∠ AOC = 180ْ 75ْ + 75ْ + X = 180ْ ∴ X = 180ْ - 150ْ = 30ْ (3 ) ‫مثال‬ o x , N ‫قيمة‬ ‫جد‬ m ∠ AOC = x o B C A • N o X 5N
  • 158.
    158 : ‫الشكل‬ ‫في‬ BO, CO , AO : ‫هي‬ ‫المثلث‬ ‫زوايا‬ ‫منصفات‬ ‫التي‬ ‫الدائرة‬ ‫مركز‬ O ‫فتكون‬ O ‫في‬ ‫التقت‬ . ABC ‫المثلث‬ ‫اضالع‬ ‫تمس‬ ) ‫المثلث‬ ‫موضوع‬ ‫في‬ ‫ذلك‬ ‫درسنا‬ ‫(كما‬ OR = OQ = OP ‫ان‬ ‫اي‬ . ‫للدائرة‬ ‫قطر‬ ‫نصف‬ ‫يمثل‬ ‫منها‬ ‫وكل‬ o A ‫المثلث‬ ‫اضالع‬ ‫تمس‬ ‫التي‬ ‫الدائرة‬ ‫مركز‬ ‫هي‬ ‫المثلث‬ ‫زوايا‬ ‫منصفات‬ ‫تقاطع‬ ‫نقطة‬ : 15 ‫مبرهنة‬ ‫نتيجة‬ : ‫توضيح‬ R C o A B Q P B : ‫توضيح‬ A ‫في‬ OA ⊥ AB . ‫لدائرة‬ ‫قطر‬ ‫نصف‬ OA ‫حيث‬ : ‫ان‬ ‫على‬ ‫نحصل‬ ‫ذلك‬ ‫عند‬ . A ‫قي‬ ‫للدائرة‬ ‫مماس‬ AB ً‫ا‬‫مماس‬ ‫يكون‬ ‫للدائرة‬ ‫المنتميه‬ ‫نهايته‬ ‫عند‬ ‫دائرة‬ ‫قطر‬ ‫نصف‬ ‫على‬ ‫العمودي‬ ‫المستقيم‬ . ‫للدائرة‬ 15/‫مبرهنة‬. ) 14 ‫مبرهنة‬ ‫(عكس‬ ‫برهان‬ ‫بدون‬ ‫المبرهنة‬ ‫نقبل‬ ‫سوف‬
  • 159.
    159 / ‫المعطيات‬ AC ،AB ، A ∈∉ ‫للدائرة‬ ، O ‫مركزها‬ ‫دائرة‬ . A ‫من‬ ‫للدائرة‬ ‫مماسيتان‬ ‫قطعتان‬ /‫اثباته‬ ‫المطلوب‬ AB = AC ABOC ‫الرباعي‬ ‫الشكل‬ ‫نكمل‬ /‫والبرهان‬ ‫العمل‬ AO ‫ونصل‬ ) ‫(معطى‬ ...... C ،B ‫في‬ ‫الدائرة‬ ‫تمسان‬ AC ، AB ∵ ) .... ‫على‬ ‫عمودي‬ ‫القطر‬ ‫نصف‬ ( ... OC ⊥ AC , AB ⊥ OB ∴ ACO ، ABO ∆∆ ‫في‬ ‫مشترك‬ ‫ضلع‬ OA ‫دائرة‬ ‫في‬ ‫قطرين‬ ‫نصفا‬ OC ≅ OB )‫قائم‬ ‫وضلع‬ ‫(وتر‬ ‫الزاوية‬ ‫القائما‬ ‫المثلثان‬ ‫يتطابق‬ ∴ . AC = AB : ‫التطابق‬ ‫من‬ . ‫متطابقتان‬ ‫عنها‬ ‫خارجة‬ ‫نقطة‬ ‫من‬ ‫لدائرة‬ ‫المرسومتان‬ ‫المماسيتان‬ ‫القطعتان‬ 16/‫مبرهنة‬ • • • A B o C : ‫فانهما‬ ) ‫(مماسان‬ ‫او‬ ‫مماسيتان‬ ‫قطعتان‬ ‫عنها‬ ‫خارجة‬ ‫نقطة‬ ‫من‬ ‫لدائرة‬ ‫رسم‬ ‫اذا‬ . ‫متساويتين‬ ‫مركزيتين‬ ‫زاويتين‬ ‫تقابالن‬ - 1 ‫تنصف‬ ‫الدائرة‬ ‫عن‬ ‫الخارجة‬ ‫والنقطة‬ ‫الدائرة‬ ‫مركز‬ ‫بين‬ ‫الواصلة‬ ‫المستقيم‬ ‫قطعة‬ - 2 . ‫المماسيتان‬ ‫القطعتان‬ ‫ضلعاها‬ ‫التي‬ ‫الزاوية‬ ‫وتنصف‬ ‫عمودية‬ ‫عنها‬ ‫الخارجة‬ ‫والنقطة‬ ‫الدائرة‬ ‫مركز‬ ‫بين‬ ‫الواصلة‬ ‫المستقيم‬ ‫قطعة‬ - 3 . ‫التماس‬ ‫نقطتي‬ ‫بين‬ ‫الواصلة‬ ‫المستقيم‬ ‫قطعة‬ : 16 ‫مبرهنة‬ ‫نتيجة‬
  • 160.
    160 . BC ‫جد‬,‫للدائرة‬ ‫مماسات‬ CA ، BC ، BD , O ‫مركزها‬ ‫دائرة‬ : ‫المجاور‬ ‫الشكل‬ ‫في‬ / ‫احلل‬ BN = BD ....‫عنها‬ ‫خارجة‬ ‫نقطة‬ ‫من‬ ‫لدائرة‬ ‫مماسان‬ ∵ ) ‫برهان‬ ‫بدون‬ ‫تقبل‬ ( : ‫المجاور‬ ‫الشكل‬ ‫في‬ B ‫في‬ ‫للدائرة‬ ‫مماس‬ ، O ‫مركزها‬ ‫دائرة‬ ، ‫مماسية‬ ‫زاوية‬ ∠ ABC ‫وتر‬ ‫تقابل‬ ‫محيطية‬ ‫زاوية‬ ∠ BDC .) ‫المماسية‬ ‫للزاوية‬ ‫(ضلع‬ BC ‫الدائرة‬ m ∠ ABC = m ∠ BDC (4 ) ‫مثال‬ ∴ BN=6 cm CN=CA ∴ CN=4 cm BC=CN ∴ BC=4+6=10 cm ‫الدائرة‬ ‫لوتر‬ ‫المقابلة‬ ‫المحيطية‬ ‫الزاوية‬ ‫قياس‬ ‫يساوي‬ ‫دائرة‬ ‫في‬ ‫المماسية‬ ‫الزاوية‬ ‫قياس‬ . ‫االخرى‬ ‫الجهة‬ ‫من‬ )‫الزاوية‬ ‫(ضلع‬ 17/‫مبرهنة‬ •o A C B D • BA • • • •o N A C B D 6cm 4cm + NB
  • 161.
    161 : ‫المجاور‬ ‫الشكل‬‫في‬ m ∠ 3 , m ∠ 2 ‫جد‬ / ‫احلل‬ C ‫في‬ ‫الدائرة‬ ‫تمس‬ AB ∵ )17 ‫(مبرهنة‬ ∴ m ∠ 1 = 74ْ DE = CE ∵ ) ‫الساقين‬ ‫متساوي‬ ‫مثلث‬ ‫خواص‬ ( ...... m ∠ 1 = m ∠ 2 ∴ m ∠ 2 = 74ْ ∴ 180ْ = ‫مثلث‬ ‫زوايا‬ ‫مجموع‬ .... m ∠ 3 = 180ْ -(m ∠ 1+m ∠ 2( m ∠ 3 = 180ْ -148ْ m ∠ 3 = 32ْ (5 ) ‫مثال‬ • O ACB D E 740 1 2 3 m ∠ 1 = m ∠ ACE :‫تدريب‬ CD //AB : ‫المجاور‬ ‫الشكل‬ ‫في‬ . x ‫قيمة‬ ‫جد‬• AB D C O x 3x
  • 162.
    162 ‫المجاور‬ ‫الشكل‬ ‫في‬ m∠ ABN ‫جد‬ /‫احلل‬ ) ‫مماسية‬ ‫زاوية‬ ( ....m ∠ 1 = m ∠ N m ∠ 1 = 50ْ ∴ )‫(معطى‬ ... CN = AN ∵ ) ‫الساقين‬ ‫متساوي‬ ‫مثلث‬ ‫قاعدة‬ ‫زاويتا‬ ( ... m ∠ 2 = m ∠ 3 ∴ ) ‫مثلث‬ ‫زوايا‬ ( .... m ∠ N + m ∠ 2 + m ∠ 3 = 180ْ ∴ m ∠ 2 ‫بـ‬ m ∠ 3 ‫إبدال‬ 50ْ+ 2m ∠ 2 = 180ْ 2m ∠ 2 = 130ْ m ∠ 2 = 65ْ ∴ : ABC ‫المثلث‬ ‫في‬ )‫مستقيمة‬ ‫زاوية‬ ( ... m ∠ 4 = 180ْ - m ∠ 3 m ∠ 4 = 180ْ - 65ْ = 115ْ ∴ m ∠ B = 180ْ -(m ∠ 1+m ∠ 4( ∴ m ∠ B = 180 ْ - 165 ْ = 15ْ ∴ (6 ) ‫مثال‬ • •• N A 50 o B C O 1 4 2 3
  • 163.
    163 1، 2 :‫المرقمة‬ ‫الزوايا‬ ‫قياسات‬ ‫جد‬ ‫المجاورين‬ ‫الشكلين‬ ‫في‬ /1‫س‬ ‫الدائرة‬ ‫ويمس‬ ‫الكبرى‬ ‫الدائرة‬ ‫في‬ ‫وتر‬ AB ، O ‫المركز‬ ‫في‬ ‫متحدتان‬ ‫دائرتان‬ : ‫المجاور‬ ‫الشكل‬ ‫س2/في‬ AN = NB: ‫ان‬ ‫اثبت‬ N ‫في‬ ‫الصغرى‬ ‫برؤوس‬ ‫المارة‬ ‫الدائرة‬ ‫يمس‬ AC ‫ان‬ ‫اثبت‬ ، AB ⊥ CD ‫رسم‬ ، C ‫في‬ ‫الزاوية‬ ‫قائم‬ ‫مثلث‬ ABC /3‫س‬ .BCD ‫المثلث‬ .ABC ‫المثلث‬ ‫محيط‬ ‫جد‬ : ‫المجاور‬ ‫الشكل‬ ‫في‬ /4‫س‬ 6 3 AB C O 1 2 A B O N 30ْ O AC B • • 28ْ 2 44 E 2cm O B A 1.5cm D 1 C 1.2cm F
  • 166.
    166 7 - 2‫االحداثي‬‫املستوي‬ ‫في‬ ‫املسافة‬ Distance in The Coordinate Plane ‫المسافة‬ ‫نجد‬ ‫ان‬ ‫يمكن‬ ]7 - 2 - 1[ )‫الصادات‬ ‫محور‬ ‫يوازي‬ ( ‫عمودي‬ ‫مستقيم‬ ‫او‬ )‫السينات‬ ‫محور‬ ‫(يوازي‬ ‫افقي‬ ‫مستقيم‬ ‫على‬ ‫نقطتين‬ ‫بين‬ :ً‫ا‬‫سابق‬ ‫درست‬ ‫كما‬ ‫او‬ ‫المسطرة‬ ‫باستخدام‬ B ( x2 , y1 ) , A ( x1 , y 1 ( ‫حيث‬ ‫السينات‬ ‫محور‬ ‫يوازي‬ ‫معلوم‬ ‫لمستقيم‬ ‫تنتميان‬ A , B ‫كانت‬ ‫*اذا‬ . )1( ‫الشكل‬ ‫في‬ ‫كما‬ A , B ‫النقطتين‬ ‫بين‬ ‫البعد‬ ‫فان‬ AB =|x2 - x1 | ‫او‬ AB = | x1 - x2 | : ‫هو‬ ‫محور‬ ‫يوازي‬ ‫معلوم‬ ‫لمستقيم‬ ‫تنتميان‬ A , B ‫كانت‬ ‫اذا‬ * ‫فان‬ B = (x 1 , y2 ) ,A = (x1 , y1 ( ‫حيث‬ ‫الصادات‬ . )2( ‫الشكل‬ ‫في‬ ‫كما‬ A , B ‫النقطتين‬ ‫بين‬ ‫البعد‬ AB =|y1 - y2 | ‫او‬ AB = | y2 - y1 | : ‫هو‬ B = (-2, 3) ,A = (5 , 3 ( ‫كان‬ ‫اذا‬ : ً‫ال‬‫فمث‬ AB = | x2 - x1 | = | -2 - 5 | = | -7 |= 7 A = (5, -3) , B = (5 , 8 ( AB = | y2 - y1 | = | 8 - (-3) | = | 11 | = 11 ‫يوازي‬ ‫مستقيم‬ ‫الى‬ ‫وال‬ ‫السينات‬ ‫محور‬ ‫يوازي‬ ‫مستقيم‬ ‫الى‬ ‫التنتميان‬ A , B ‫النقطتان‬ ‫كانت‬ ‫اذا‬ : ‫واالن‬ ‫؟‬ A , B ‫النقطتين‬ ‫بين‬ ‫المسافة‬ ‫نجد‬ ‫فكيف‬ . ‫الصادات‬ ‫محور‬ y x- axis {y1 | x2 - x1 | y = y1 A ( x1 , y1 ) B ( x2 , y1 ) )1( x A ( x1 , y1 ) { x1 | y2 - y1 | x = x1 y )2( x B ( x1 , y2 ) : ‫فأن‬ ‫كان‬ ‫اذا‬ : ‫فأن‬
  • 167.
    167 d=AB= X2 -X1() 2 + Y2 -Y1( ) 2 d ‫االحداثي‬ ‫المستوي‬ ‫الى‬ ‫تنتميان‬ B (x2 , y2 ) , A (x1 , y1 ( : ‫لتكن‬ : ‫ان‬ ‫نجد‬ . E ‫في‬ ‫الزاوية‬ ‫قائم‬ AEB ‫المثلث‬ : ‫الشكل‬ ‫من‬ AE = | x2 - x1 | , BE = | y2 - y1 | : ‫فثاغورس‬ ‫مبرهنة‬ ‫وحسب‬ )AB) 2 = (AE )2 + (BE(2 ‫نجد‬ BE , AE ‫عن‬ ‫وبالتعويض‬ )AB) 2 = (| x2 - x1 |)2 + (| y2 - y1 | (2 )AB) 2 = (x2 - x1 )2 + (y2 - y1 (2 =AB = (x2 - x1 )2 + (y2 - y1 (2 |x|2 = x2 ‫حيث‬ : ‫القانون‬ ‫تطبيقات‬ ‫بعض‬ ‫سنذكر‬ ‫المرحلة‬ ‫هذه‬ ‫في‬ . ‫واحدة‬ ‫استقامة‬ ‫على‬ A , B , C ‫مثل‬ ‫نقط‬ ‫ان‬ ‫اثبات‬ :ً‫ال‬‫او‬ : ‫الطريقة‬ . ‫االحداثي‬ ‫المستوي‬ ‫في‬ ‫المعطاة‬ ‫النقط‬ ‫نثبت‬  . ‫الناتج‬ ‫نبسط‬ ‫ثم‬ ‫نقطتين‬ ‫كل‬ ‫بين‬ ‫المسافة‬ ‫نجد‬  . ‫واحدة‬ ‫استقامة‬ ‫على‬ ‫النقط‬ ‫فان‬ ‫االجزاء‬ ‫مجموع‬ ‫يساوي‬ ‫الكل‬ ‫كان‬ ‫فاذا‬  ‫االحداثي‬ ‫المستوي‬ ‫في‬ ‫النقطتين‬ ‫بين‬ ‫المسافة‬ ‫قانون‬ ]7 - 2 - 2[ y A ( x1 , y1 ) | x2 - x1 | B ( x2 , y2 ) X E | y2 - y1 | ‫نقطتين‬ ‫بين‬ ‫المسافة‬ ‫قانون‬ ‫تطبيقات‬ ‫بعض‬ ]7 - 2 - 3[
  • 168.
    168 ‫واحدة‬ ‫استقامة‬ ‫على‬‫النقاط‬ ‫ان‬ ‫بين‬ /‫احلل‬ AB= 0+3( ) 2 + 1+2( ) 2 = 3( ) 2 + 3( ) 2 AB= 9+9 = 18 = 3 2 BC= 3-0( ) 2 + 4-1( ) 2 = 3( ) 2 + 3( ) 2 BC=3 2 AC= 3+3( ) 2 + 4+2( ) 2 = 6( ) 2 + 6( ) 2 = 36+36 = 72 AC=6 2 6 2 = 3 2 + 3 2 AC=AB+BC ‫اي‬ ‫واحدة‬ ‫استقامة‬ ‫على‬ ‫تقع‬ ‫نقط‬ A , B , C :‫اذن‬ (1) ‫مثال‬ A= -3,-2( ),B= 0,1( ),C= 3,4( ) B ( 0 , 1 ) X C ( 3 , 4 ) A ( -3 , -2 ) y d=AB= X2 -X1( ) 2 + Y2 -Y1( ) 2 d = (x2 - x1 )2 + (y2 - y1 (2
  • 169.
    169 ‫واحد‬ ‫مستقيم‬ ‫خط‬‫على‬ ‫تقع‬ A -2,-1( ),B -1,0( ),C 2,3( ),D 4,5( ) : ‫النقط‬ ‫ان‬ ‫اثبت‬ / ‫احلل‬ AB= -1+2( ) 2 + 0+1( ) 2 = 1 + 1 = 2 BC= 2+1( ) 2 + 3-0( ) 2 = 9 + 9 = 3 2 DC= 4-2( ) 2 + 5-3( ) 2 = 4 + 4 = 2 2 AD ‫طول‬ ‫نجد‬ ‫واالن‬ AD= 4+2( ) 2 + 5+1( ) 2 = 36 + 36 = 6 2 6 2 = 2 + 3 2 + 2 2 : ‫ان‬ ‫الحظ‬ AD = AB + BC + CD : ‫اي‬ ‫واحد‬ ‫مستقيم‬ ‫على‬ ‫تقع‬ A , B , C , D ‫النقط‬ : ‫اذن‬ (2) ‫مثال‬ y A B C X D d=AB= X2 -X1( ) 2 + Y2 -Y1( ) 2 d = (x2 - x1 )2 + (y2 - y1 (2
  • 170.
    170 : ً‫ا‬‫ثاني‬ : ‫اضالعه‬‫اطوال‬ ‫حيث‬ ‫من‬ ‫المثلث‬ ‫نوع‬ . ‫االضالع‬ ‫مختلف‬ ‫او‬ ‫الساقين‬ ‫متساوي‬ ‫او‬ ‫االضالع‬ ‫متساوي‬ ‫اما‬ ‫فهو‬ A ( 2 , 4 ) , B (-4 , 2 ) , C) -1 , -2 ( ‫حيث‬ ‫اضالعه‬ ‫حيث‬ ‫من‬ A B C ‫المثلث‬ ‫نوع‬ ‫بين‬ / ‫احلل‬ AB ≠ AC ≠ BC : ‫ان‬ ‫الحظ‬ ‫االضالع‬ ‫مختلف‬ ‫المثلث‬ ∴ (3) ‫مثال‬ AB= 2+4( ) 2 + 4-2( ) 2 = 36 + 4 = 2 10 AC= -1+4( ) 2 + -2+2( ) 2 = 9 + 0 = 3 AC= -1+4( ) 2 + -2+2( ) 2 = 9 + 0 = 3 BC= -1-2( ) 2 + -2-4( ) 2 = 9 + 36 = BC= -1-2( ) 2 + -2-4( ) 2 = 9 + 36 = 45 y A ( 2 , 4) X C ( -1 , -2) B ( -4 , 2) BC= 2+1( ) 2 + 3-0( ) 2 = 9 + 9 = 3 25 d=AB= X2 -X1( ) 2 + Y2 -Y1( ) 2 d = (x2 - x1 )2 + (y2 - y1 (2 AC= -1+4( ) 2 + -2+2( ) 2 = 9 + 0 = 3 BC= -1-2( ) 2 + -2-4( ) 2 = 9 + 36 =− 16 25 = 5 AB = ( - 4 - 2 )2 + ( 2 - 4) 2
  • 171.
    171 ‫الساقين‬ ‫متساوي‬ A(3 ،-4 ) , B (5 ، -2 ) , C ) 5 ،-6 ( ‫رؤوسه‬ ‫الذي‬ ‫المثلث‬ ‫ان‬ ‫بين‬ / ‫احلل‬ Q AB=AC ∵ ‫الساقين‬ ‫متساوي‬ ABC ‫المثلث‬ ∴ : ً‫ا‬‫ثالث‬ ‫الزاوية‬ ‫القائم‬ ‫المثلث‬ ‫أختبار‬ ‫الزاوية‬ ‫قائم‬ ‫المثلث‬ ‫فان‬ ‫فيثاغورس‬ ‫مبرهنة‬ ‫تحققت‬ ‫فاذا‬ ، ‫اضالعه‬ ‫اطول‬ ‫نجد‬ . ‫الزاوية‬ ‫قائم‬ A (-2 , -2 ) , B (3 ,4 ) , C ) 3 , -2( ‫رؤوسه‬ ‫الذي‬ ‫المثلث‬ ‫ان‬ ‫بين‬ / ‫احلل‬ d= x2 -x1( ) 2 + y2 -y1( ) 2 (4) ‫مثال‬ d= x2 -x1( ) 2 + y2 -y1( ) 2 AB= 5-3( ) 2 + -2+4( ) 2 = 4 + 4 = 2 AB= 5-3( ) 2 + -2+4( ) 2 = 4 + 4 = 2 2 BC= 5-5( ) 2 + -6+2( ) 2 = 0 + 16 = 4 BC= 5-5( ) 2 + -6+2( ) 2 = 0 + 16 = 4 AC= 5-3( ) 2 + -6+4( ) 2 = 4 + 4 = 2 AC= 5-3( ) 2 + -6+4( ) 2 = 4 + 4 = 2 2 y c ( 5 , -6) X B ( 5 , -2) A ( 3 , -4) (5) ‫مثال‬ AB= 3+2( ) 2 + 4+2( ) 2 = 25 + 36 = 61
  • 172.
    172 : ‫ان‬ ‫الحظ‬ AB() 2 = AC( ) 2 + BC( ) 2 : ‫اي‬ . C ‫في‬ ‫الزاوية‬ ‫قائم‬ ABC ‫المثلث‬ ∴ : ً‫ا‬‫رابع‬ ‫أخرى‬ ‫تطبيقات‬ ‫اضالع‬ ‫متوازي‬ ‫رؤوس‬ A (-2 , 3) ، B (-1 , 4) ،C (2 , -1) ، D(1 ,-2( : ‫النقط‬ ‫ان‬ ‫بين‬ .ABCD / ‫اجلل‬ ∴AB=DC ∴ ‫اضالع‬ ‫متوازي‬ ABCD ‫الشكل‬ ∴ AC= 3+2( ) 2 + -2+2( ) 2 = 25 + 0 AC= 3+2( ) 2 + -2+2( ) 2 = 25 + 0 = 25 BC= 3-3( ) 2 + -2-4( ) 2 = 0 + 36 = 36 BC= 3-3( ) 2 + -2-4( ) 2 = 0 + 36 = y X B ( 3 , 4) A ( -2 , -2) c (3 , -2) 61( ) 2 = 25( ) 2 + 36( ) 2 (6) ‫مثال‬ AB= -1+2( ) 2 + 4-3( ) 2 = 1 + 1 = 2 AB= -1+2( ) 2 + 4-3( ) 2 = 1 + 1 = 2 DC= 1-2( ) 2 + -2+1( ) 2 = 1 + 1 = 2 DC= 1-2( ) 2 + -2+1( ) 2 = 1 + 1 = 2 y X B A D C d= x2 -x1( ) 2 + y2 -y1( ) 2 AD= 1+2( ) 2 + -2-3( ) 2 = 9 + 25 = 34 BC= 2+1( ) 2 + -1-4( ) 2 = 9 + 25 = 34 61 = 25 + 36 AD=BC
  • 174.
    174 . ‫منتصف‬ C‫جد‬ B ( 5 , 1 ) ،A ( 3 , -5 ( ‫لتكن‬ /‫احلل‬ )Mid Point( ‫المنتصف‬ ‫نقطة‬ . B ‫النقطة‬ ‫احداثي‬ ‫فجد‬ A ( -1 , -2 ( ‫وكانت‬ ‫منتصف‬ ‫كانت‬ ‫اذا‬ /‫احلل‬ C= x1 +x2 2 , y1 +y2 2 ⎛ ⎝ ⎜ ⎞ ⎠ ⎟ 3 2 , -1 2 ⎛ ⎝ ⎜ ⎞ ⎠ ⎟ = -1+x2 2 , -2+y2 2 ⎛ ⎝ ⎜ ⎞ ⎠ ⎟ ⇒ 3 2 = -1+x2 2 ⇒ -2+2x2 =6 ⇒ 2x2 =8 ⇒ x2 =4 -1 2 = -2+y2 2 ⇒ -4+2y2 =-2 ⇒ 2y2 =2 ⇒ y2 =1 ∴ B = ( 4 , 1 ) (1) ‫مثال‬ (2) ‫مثال‬ C = 3 2 , -1 2 ⎛ ⎝ ⎜ ⎞ ⎠ ⎟AB M= x1 +x2 2 , y1 +y2 2 ⎛ ⎝ ⎜ ⎞ ⎠ ⎟ C = 3+5 2 , -5+1 2 ⎛ ⎝ ⎜ ⎞ ⎠ ⎟ C = 8 2 , -4 2 ⎛ ⎝ ⎜ ⎞ ⎠ ⎟ C = 4,-2( ) AB
  • 175.
    175 ‫متوازي‬ ‫رؤوس‬ A(-2 , 3 ) ، B ( -1 , 4 ) ، C ( 2 , -1 ) ، D ( 1 ,- 2( ‫النقط‬ ‫ان‬ ‫بين‬ .‫المنتصف‬ ‫قانون‬ ‫باستخدام‬ ABCD ‫االضالع‬ /‫احلل‬ ‫القطر‬ ‫منتصف‬ ‫نجد‬ M= x1 +x2 2 , y1 +y2 2 ⎛ ⎝ ⎜ ⎞ ⎠ ⎟ M1 = -2+3 2 , 3+ -1( ) 2 ⎛ ⎝ ⎜ ⎞ ⎠ ⎟ M1 = -2+3 2 , 3+ -1( ) 2 ⎛ ⎝ ⎜ ⎞ ⎠ ⎟ M1 = 0,1( ) BD ‫القطر‬ ‫منتصف‬ ‫نجد‬ M2 = -1+1 2 , 4+ -2( ) 2 ⎛ ⎝ ⎜ ⎞ ⎠ ⎟ M2 0,1( ) .‫االخر‬ ‫ينصف‬ ‫احدهما‬ ‫قطريه‬ ‫الن‬ ‫اضالع‬ ‫متوازي‬ ABCD ‫الشكل‬ M1 = M2 ∴ (3) ‫مثال‬ AC y X B A D C
  • 176.
    176 ABCD ‫الشكل‬ ‫كان‬‫اذا‬ D ‫النقطة‬ ّ‫احداثيي‬ ‫جد‬ A ( 4 , 0 ) ، B ( 6 , -6 ) ، C (-8 , 0( ‫لتكن‬ . ‫اضالع‬ ‫متوازي‬ ‫هو‬ / ‫احلل‬ M= x1 +x2 2 , y1 +y2 2 ⎛ ⎝ ⎜ ⎞ ⎠ ⎟ AC ‫القطر‬ ‫منتصف‬ ‫نجد‬ M1 = 4+ -8( ) 2 , 0+0 2 ⎛ ⎝ ⎜ ⎞ ⎠ ⎟ M1 = −2, 0( ) BD ‫القطر‬ ‫منتصف‬ ‫نجد‬ M2 = x+6 2 , y-6 2 ⎛ ⎝ ⎜ ⎞ ⎠ ⎟ ‫االخر‬ ‫ينصف‬ ‫احدهما‬ ‫االضالع‬ ‫متوازي‬ ‫قطرا‬ ∴ M2 = M1 : ‫اي‬ x+6 2 =-2 ⇒ x+6=-4 x=-10 y-6 2 =-2 ⇒ y-6=0 y=6 ∴ D = −10,6( ) (4) ‫مثال‬ y-6 2 =-2 ⇒ y-6=0 A ( 4 , 0 ) D ( X , y ) c ( -8 , 0 ) B (6 , -6 ) y X
  • 177.
    177 . ‫واحدة‬ ‫استقامة‬‫على‬ ‫تقع‬ A(-2,-2) ، B ( 2 , 1 ) ، C ( 6 , 4( : ‫النقاط‬ ‫ان‬ ‫بين‬ /1‫س‬ ‫؟‬ A ( 6 , 8 ) ، B ( 0 , 0 ) ، C ( 0 , 8 ( :‫واحدة‬ ‫استقامة‬ ‫على‬ ‫تقع‬ ‫االتية‬ ‫النقط‬ ‫هل‬ /2‫س‬ .‫الدائرة‬ ‫هذه‬ ‫قطر‬ ‫طول‬ ‫جد‬ ‫لها‬ ‫تنتمي‬ A (-3 , -4 ( ‫والنقطة‬ O )6 , 8( ‫النقطة‬ ‫مركزها‬ ‫دائرة‬ /3‫س‬ ‫الساقين‬ ‫«متساوي‬ A ( 2 ,-2) ، B ( 2 , 1 ) ، C ( 6 , 4 ( ‫رؤوسه‬ ‫الذي‬ ‫المثلث‬ ‫نوع‬ ‫بين‬ /4‫س‬ . » ‫االضالع‬ ‫مختلف‬ ، ‫االضالع‬ ‫متساوي‬ ‫جد‬ ‫ثم‬ ‫الزاوية‬ ‫قائم‬ A ( 2 , -1 ) ، B ( 2 , 1 ) ، C ( -1 , 1( ‫رؤوسه‬ ‫الذي‬ ‫المثلث‬ ‫ان‬ ‫بين‬ /5‫س‬ . ‫المثلثة‬ ‫المنطقة‬ ‫مساحة‬ /6‫س‬ A ( -3 , 5 ) ، B ( 2 , 7 ) , C( 1 , 9) ،D (-4 , 7 ( ‫رؤوسه‬ ‫الذي‬ ‫الشكل‬ ‫ان‬ ‫بطريقتين‬ ‫بين‬ . ‫اضالع‬ ‫متوازي‬ /7‫س‬ D ‫الرابع‬ ‫الرأس‬ ‫احداثي‬ ‫جد‬ A(1 , 0) ، B(5 , 0) ، C(7 , 3( ‫رؤوسه‬ ‫اضالع‬ ‫متوازي‬ ABCD /8‫س‬ ‫المستقيمة‬ ‫القطعة‬ ‫طول‬ ‫ان‬ ‫من‬ ‫تحقق‬ A(6,4) ، B(-2,6) ، C(0,-4( ‫رؤوسه‬ ABC ‫مثلث‬ .‫الثالث‬ ‫الضلع‬ ‫طول‬ ‫نصف‬ ‫يساوي‬ ‫فيه‬ ‫ضلعين‬ ‫منتصفي‬ ‫بين‬ ‫الواصلة‬ /9‫س‬ ‫القطعة‬ ‫طول‬ ‫ان‬ ‫من‬ ‫تحقق‬ A(0,10) ، B(6,8) ، C(-6,-8( ‫حيث‬ ‫مثلث‬ ABC .‫الوتر‬ ‫طول‬ ‫نصف‬ ‫يساوي‬ ‫الوتر‬ ‫منتصف‬ ‫الى‬ ‫القائمة‬ ‫رأس‬ ‫من‬ ‫الواصلة‬ ‫المستقيمة‬ 7 1
  • 178.
    . ‫الهندسية‬ ‫التحويالت‬]8-1[ ‫اآلنعكاس‬ ]8-2[ ‫المستوي‬ ‫في‬ ‫مستقيم‬ ‫على‬ ‫اآلنعكاس‬ ]8-2-1[ ‫اإلحداثي‬ ‫المستوي‬ ‫على‬ ‫اإلنعكاس‬ ]8-2-2[ ‫اإلحداثي‬ ‫المستوي‬ ‫على‬ ‫اآلنسحاب‬ ]8-3[ ‫الدوران‬ ]8-4[ ‫نقطة‬ ‫حول‬ ٍ‫مستو‬ ‫على‬ ‫الدوران‬ ]8-4-1[ ‫التكبير‬ ]8-5[ ‫المتناسبة‬ ‫المجموعات‬ ]8-6[ ‫التشابه‬ ]8-7[ ‫الهندسية‬ ‫التحويالت‬ ‫الرياضية‬ ‫العالقة‬ ‫او‬ ‫الرمز‬ ‫املصطلح‬ Rx ‫السيني‬ ‫احملور‬ ‫حول‬ ‫االنعكاس‬ Ry ‫الصادي‬ ‫احملور‬ ‫حول‬ ‫االنعكاس‬ R90ْ 90ْ ‫حول‬ ‫الدوران‬ D ‫التكبير‬ ‫الثامن‬ ‫الفصل‬ 8 ‫االنسحاب‬T
  • 179.
    ‫الهندسية‬ ‫التحويالت‬ ‫الفصل‬ 8 ‫مقدمة‬ ‫التناظر‬ ‫محور‬ ‫الضلعين‬‫متطابق‬ ‫مثلث‬ ‫تطابق‬ ‫يدرس‬ ‫الذي‬ ‫الهندسة‬ ‫فروع‬ ‫احد‬ ‫هي‬ ‫الهندسية‬ ‫التحويالت‬ ‫متطابقان‬ ‫هندسيين‬ ‫لشكلين‬ ‫يقال‬ ‫حيث‬ ،‫الهندسية‬ ‫االشكال‬ ‫التطابق‬ ‫وهذا‬ ‫االخر‬ ‫على‬ ‫نقاطهما‬ ‫من‬ ‫نقطة‬ ‫كل‬ ‫انطبقت‬ ‫اذا‬ ‫فمثال‬ ‫جامدة‬ ‫او‬ ‫متحركة‬ ‫اجسام‬ ‫من‬ ‫الطبيعة‬ ‫في‬ ‫بما‬ ‫نالحظه‬ ‫الكتاب‬ ‫وكذلك‬ ‫االخر‬ ‫على‬ ‫احدهما‬ ‫الفراشة‬ ‫جناحا‬ ‫ينطبق‬ ‫تتطابق‬ ‫وقوفك‬ ‫وعند‬ ‫التناظر‬ ‫محور‬ ‫نسميه‬ ‫محور‬ ‫بوساطة‬ ‫متناظرين‬ ‫نصفين‬ ‫الى‬ ‫ينقسم‬ ‫االنسان‬ ‫جسم‬ ‫وان‬ ‫اوراقه‬ ‫ومن‬ ‫التناظر‬ ‫محور‬ ‫بمثابة‬ ‫المرآة‬ ‫خط‬ ‫وان‬ . ‫المرآة‬ ‫في‬ ‫تماما‬ ‫نفسها‬ ‫صورتك‬ ‫تشاهد‬ ‫مستوية‬ ‫مرآة‬ ‫امام‬ .‫هندسي‬ ‫شكل‬ ‫لكل‬ ‫التناظر‬ ‫محور‬ ‫نالحظ‬ ‫التالية‬ ‫االشكال‬ ‫خالل‬ ‫بالتحويل‬ ‫يسمى‬ ‫نفسه‬ ‫المستوي‬ ‫في‬ ‫اخرى‬ ‫نقطة‬ ‫الى‬ ‫المستوي‬ ‫في‬ ‫نقطة‬ ‫كل‬ ‫ينقل‬ ‫الذي‬ ‫التحويل‬ ‫هذا‬ ‫ان‬ ‫هذا‬ ‫في‬ ‫وسنتطرق‬ )Transltion( ‫واالنسحاب‬ , )Reflection( ‫االنعكاس‬ ‫أمثلته‬ ‫ومن‬ . ‫الهندسي‬ . ‫والتكبير‬ ‫كالدوران‬ ‫اخرى‬ ‫هندسية‬ ‫تحويالت‬ ‫إلى‬ ‫الفصل‬ 8 - 1 ‫المعين‬
  • 180.
    180 ‫حيث‬ , R‫التطبيق‬ ‫وأن‬ x ‫المستوي‬ ‫في‬ ‫مستقيم‬ L ‫أن‬ ‫نفرض‬ ) a ∉ L) L ‫للمستقيم‬ ‫تنتمي‬ ‫ال‬ a ‫والنقطة‬ R : x x ً‫ا‬‫آنعكاس‬ ‫يسمى‬ ‫هندسي‬ ‫تحويل‬ R ‫فان‬ .‫تقابل‬ ‫تطبيق‬ R ‫كان‬ ‫فاذا‬ .‫اآلنعكاس‬ ‫محور‬ ً‫ا‬‫أيض‬ L ‫ويسمى‬ RL ‫بالرمز‬ ‫له‬ ‫ونرمز‬ L ‫على‬ ‫إحدى‬ ‫في‬ ‫الواقعة‬ ‫المستوي‬ ‫من‬ ‫النقط‬ ‫يحول‬ RL ‫أن‬ ‫الشكل‬ ‫من‬ ‫الواقعة‬ ‫النقاط‬ ‫بينما‬ ‫منه‬ ‫األخرى‬ ‫الجهة‬ ‫الى‬ L ‫المستقيم‬ ‫جهتي‬ . a aَ ‫المستقيمة‬ ‫للقطعة‬ ‫العمودي‬ ‫المنصف‬ ‫هو‬ L ‫ويكون‬ . ‫موضعها‬ ‫في‬ ‫تبقى‬ ‫عليه‬ p1 (3 , 5 (‫النقطة‬ ‫صورة‬ ‫تكون‬ ‫المتعامد‬ ‫ثي‬ِ‫ا‬‫اإلحد‬ ‫المستوى‬ ‫في‬ ‫.بعد‬ p2 (3 , -5 ( ‫)هي‬ x : axis) x ‫التناظر‬ ‫لمحور‬ ‫بالنسبة‬ ‫بالنسبة‬ p2 ‫النقطة‬ ‫بعد‬ ‫يساوي‬ x ‫لمحور‬ ‫بالنسبة‬ p1 ‫النقطة‬ :‫التالية‬ ‫القاعدة‬ ‫إستنتاج‬ ‫يمكن‬ ‫عامة‬ ‫وبصورة‬ . x ‫لمحور‬ Rx [( x , y )] = ( x , -y ) ً‫ا‬‫أيض‬ ‫الشكل‬ ‫ومن‬ . ) y = 0 (‫حيث‬ ) x : axis) x ‫السينات‬ ‫لمحور‬ ‫بالنسبة‬ ً‫ا‬‫آنعكاس‬ ‫يسمى‬ Rx ‫حيث‬ . p3 (-3 , 5 ( ‫هي‬ ) y : axis) y ‫الصادات‬ ‫لمحور‬ ‫بالنسبة‬ p1 (3 , 5 (‫النقطة‬ ‫صورة‬ ‫الحظ‬ ‫الصادات‬ ‫محور‬ ‫عن‬ P3 ‫النقطة‬ ‫بعد‬ ‫يساوي‬ ‫الصادات‬ ‫محور‬ ‫عن‬ ‫بالنسبة‬ P ‫النقطة‬ ‫بعد‬ ‫أن‬ ً‫ا‬‫أيض‬ ‫تالحظ‬ ‫كما‬ . ‫التالية‬ ‫القاعدة‬ ‫أستنتاج‬ ‫يسهل‬ ‫وهذا‬ Ry [( x , y )] = ( -x , y ) . ) x = 0 ( ‫حيث‬ ) y : axis) y ‫الصادات‬ ‫لمحور‬ ‫بالنسبة‬ ً‫ا‬‫آنعكاس‬ ‫يسمى‬ Ry ‫حيث‬ 8 - 2Reflection ‫االنعكاس‬ : ‫المستوي‬ ‫في‬ ‫مستقيم‬ ‫على‬ ‫االنعكاس‬ ]8 - 2 - 1[ : ‫االحداثي‬ ‫المستوى‬ ‫على‬ ‫االنعكاس‬ ]8 - 2 - 2[ x y p1 ( 3 , 5 ) p2 ( 3 , -5 ) p3 ( -3 , 5 ) a aَ L
  • 181.
    181 (1) ‫مثال‬ :‫فجد‬ .p (3 , -4 ( ‫كانت‬ ‫اذا‬ .‫السينات‬ ‫لمحور‬ ‫بالنسبة‬ P ‫النقطة‬ ً‫ا‬‫آنعكاس‬ ‫صورة‬ )1 .‫الصادات‬ ‫لمحور‬ ‫بالنسبة‬ P ‫النقطة‬ ‫آنعكاس‬ ‫صورة‬ )2 /‫احلل‬ Rx [( x , y )] = ( x , -y ( ‫القاعدة‬ ‫حسب‬ )1 ⇒ Rx [( 3 , -4 )] = ( 3 , -(-4)) = (3 , 4 ( ‫القاعدة‬ ‫حسب‬ )2 Ry [( x , y )] = ( -x , y ( ⇒ Ry [( 3 , -4 )] = ( -3 , -4 ( ABC ‫املثلث‬ ‫صورة‬ ‫فجد‬ C ( 0 , -3 ) , B ( 5 , 0 ) , A ( 3 , 2 ( ‫كانت‬ ‫اذا‬ . ً‫ا‬‫هندسي‬ ‫ه‬ّ‫ل‬‫ومث‬ ‫السينات‬ ‫محور‬ ‫في‬ ‫باالنعكاس‬ )1 . ً‫ا‬‫هندسي‬ ‫ه‬ّ‫ل‬‫ومث‬ ‫الصادات‬ ‫محور‬ ‫في‬ ‫باالنعكاس‬ )2 / ‫احلل‬ ‫السينات‬ ‫محور‬ ‫في‬ ‫انعكاس‬‫الصادات‬ ‫محور‬ ‫في‬ ‫انعكاس‬ Aَ = Rx [( 3 , 2 )] = ( 3 , -2(Aً = Ry [( 3 , 2 )] = ( -3 , 2( Bَ = Rx [( 5 , 0 )] = ( 5 , 0 (Bً = Ry [( 5 , 0 )] = ( -5 , 0( Cَ = Rx [( 0 , -3 )] = ( 0 , 3 (Cً = Ry [( 0 , -3 )] = ( 0 , -3 ( x y Aَ Aً Bَ Bً Cَ Cً (2) ‫مثال‬ A
  • 182.
    182 ‫آنعكاس‬ ‫تأثير‬ ‫حتت‬2x - 3y = 6 ‫معادلته‬ ‫الذي‬ ‫املستقيم‬ ‫صورة‬ ‫جد‬ . ً‫ا‬‫هندسي‬ ‫ومثله‬ ‫السينات‬ ‫حملور‬ ‫بالنسبة‬ ) 1 . ً‫ا‬‫هندسي‬ ‫ومثله‬ ‫الصادات‬ ‫حملور‬ ‫بالنسبة‬ ) 2 ‫بوضع‬ ‫املستقيم‬ ‫على‬ ‫نقطتني‬ ‫جند‬ / ‫احلل‬ x = 0 ⇒ 2(0) - 3y = 6 ‫املستقيم‬ ‫معادلة‬ ‫في‬ ‫نعوضها‬ ⇒ - 3y = 6 ⇒ y = 6 -3 = ⇒ y = -2 ⇒ 2x - 3(0) = 6 ‫املستقيم‬ ‫معادلة‬ ‫في‬ y = 0 ‫نعوض‬ ⇒ 2x = 6 ) 0 , -2( ، ) 3 , 0( ‫هما‬ ‫النقطتان‬ ∴ 2x - 3y = 6 ‫املستقيم‬ ‫ميثل‬ L1 ∴ 1) Rx [( 0 , -2 )] = ( 0 , 2 ) Rx [( 3 , 0 )] = ( 3 ,0 ( 2) Ry [( 0 , -2 )] = ( 0 , -2 ) Ry [( 3 , 0 )] = ( -3 ,0 ( ‫يكون‬ ‫عندما‬ ‫الصادات‬ ‫محور‬ ‫في‬ ‫االنعكاس‬ ‫تأثير‬ ‫حتت‬ ABCD ‫الرباعي‬ ‫الشكل‬ ‫صورة‬ ‫جد‬ .ً‫ا‬‫هندسي‬ ‫ومثله‬ A ( 1 , 1 ) , B ( 4 , 1 ) , C ( 4 , 3 ) , D ( 1 , 3 ( Ry [( 1 , 1 )] = ( -1 , 1 ( / ‫احلل‬ Ry [( 4 , 1 )] = ( -4 , 1 ( Ry [( 4 , 3 )] = ( -4 , 3 ) Ry [( 1 , 3 )] = ( -1 , 3 ( ⎤ ⎦ ⎥ ⇒ L2 ⎤ ⎦ ⎥ ⇒ L3 (3) ‫مثال‬ (4) ‫مثال‬ ⇒ x = 6 2 = ⇒ x = 3 y x L1 L2 L3 y x D A B CDَ AَBَ Cَ
  • 183.
    183 ]8-1[ ‫تعريف‬ ‫بحيث‬ pَ‫الى‬ ‫المستوي‬ ‫في‬ P ‫نقطة‬ ‫كل‬ ‫ينقل‬ ‫هندسي‬ ‫تحويل‬ ‫هو‬ . ‫معلوم‬ ‫باتجاه‬ P Pَ ، ‫معينة‬ ‫مسافة‬ = P Pَ ‫السينات‬ ‫لمحور‬ ‫الموجب‬ ‫باالتجاه‬ ) 1 : ‫فأن‬ T ( x ,y ) = ( x + a , y ) ‫السينات‬ ‫لمحور‬ ‫السالب‬ ‫باالتجاه‬ )2 T ( x ,y ) = ( x - a , y ) 8 - 3Traslation ‫االنسحاب‬ : ‫االحداثي‬ ‫المستوي‬ ‫على‬ ‫االنسحاب‬ ]8 - 3 - 1[ : a ‫معينة‬ ‫مسافة‬ ‫انسحاب‬ ‫تاثير‬ ‫تحت‬ ) x , y ( ‫النقطة‬ ‫صورة‬ ]8 - 3 - 2[ ‫الصادات‬ ‫حملور‬ ‫املوجب‬ ‫باالجتاه‬ )3 T( x , y ) = ( x , y + a ) ‫الصادات‬ ‫حملور‬ ‫السالب‬ ‫باالجتاه‬ )3 T( x , y ) = ( x , y - a ) . ‫وحدات‬ ) 5( ‫مقداره‬ ‫أنسحاب‬ ‫تأثير‬ ‫حتت‬ ‫النقطة‬ ‫صورة‬ ‫فأوجد‬ ) -2 , 3( ‫النقطة‬ ‫كانت‬ ‫اذا‬ . ‫السينات‬ ‫حملور‬ ‫السالب‬ ‫باالجتاه‬ )b . ‫السينات‬ ‫حملور‬ ‫املوجب‬ ‫باالجتاه‬ )a . ‫الصادات‬ ‫حملور‬ ‫السالب‬ ‫باالجتاه‬ )d . ‫الصادات‬ ‫حملور‬ ‫املوجب‬ ‫باالجتاه‬ )c a = 5 (a / ‫احلل‬ T ( x , y ) = ( x + a , y ) T (-2 , 3 ) = (-2 + 5 , 3 ) = ( 3 , 3 ) (1) ‫مثال‬
  • 184.
    184 b) T (x , y ) = ( x - a , y ) T (-2 , 3 ) = ( -2 -5 , 3 ) =(-7,3) c) T ( x , y ) = ( x , y + a ( T(-2 , 3 ) = (-2 , 3 + 5 ) = (-2 , 8 ) d) T( x , y ) = ( x , y - a ) T(-2 , 3 ) = (-2 , 3 -5 ( = (-2,-2) ‫تعريف‬ ]8-2[ ‫تعريف‬ a ‫مثل‬ ‫اخرى‬ ‫نقطة‬ ‫اي‬ ‫ويحول‬ ‫نفسها‬ ‫الى‬ O ‫النقطة‬ ‫يحول‬ ‫هندسي‬ ‫تحويل‬ ‫هو‬ ٍ‫مستو‬ ‫في‬ ‫الدوران‬ . ‫ثيتا‬ ‫تقرا‬ θ ‫الزاوية‬ ‫حيث‬ ʹa ‫النقطة‬ ‫الى‬ ‫مالحظة‬: ‫على‬ ‫يحافظ‬ ‫االنسحاب‬ . ‫والتوازي‬ ‫الزاوية‬ ‫وقياس‬ ‫والبينية‬ ‫االستقامة‬ 8 - 4Rotation ‫الدوران‬ : ‫االحداثي‬ ‫المستوي‬ ‫على‬ ‫الدوران‬ ]8 - 4 - 1
  • 185.
    185 : ‫وان‬ . ‫االصل‬‫نقطة‬ ‫حول‬ 90ْ ‫الدوران‬ ∗ . R 90ْ ( x , y ) = ( y , -x ( ‫الساعة‬ ‫عقارب‬ ‫باتجاه‬ ‫دوران‬ )1 R 90ْ ( x , y ) = ( -y , x ( ‫الساعة‬ ‫عقارب‬ ‫عكس‬ ‫باتجاه‬ ‫دوران‬ )2 . ) ‫دورة‬ ‫نصف‬ ( ‫االصل‬ ‫نقطة‬ ‫حول‬ 180ْ ‫الدوران‬ ∗ R 180ْ ( x , y ) = ( -x , -y ( ‫الساعة‬ ‫عقارب‬ ‫باتجاه‬ ‫دوران‬ )1 R 180ْ ( x , y ) = ( -x , -y ( ‫الساعة‬ ‫عقارب‬ ‫عكس‬ ‫باتجاه‬ ‫دوران‬ )2 . ‫االصل‬ ‫نقطة‬ ‫حول‬ 270ْ ‫الدوران‬ ∗ R 270ْ ( x , y ) = (- y , x ( ‫الساعة‬ ‫عقارب‬ ‫باتجاه‬ ‫دوران‬ )1 R 270ْ ( x , y ) = ( y , -x ( ‫الساعة‬ ‫عقارب‬ ‫عكس‬ ‫باتجاه‬ ‫دوران‬ )2 .‫النقطة‬ ‫صورة‬ ‫فجد‬ )-2 , 1( ‫النقطة‬ ‫كانت‬ ‫اذا‬ .‫االصل‬ ‫نقطة‬ ‫مركزه‬ ،90ُ ‫قياسها‬ ‫بزاوية‬ ‫دوران‬ ‫تأثير‬ ‫تحت‬ )1 . ‫الساعة‬ ‫عقارب‬ ‫باتجاه‬ )b . ‫الساعة‬ ‫عقارب‬ ‫عكس‬ ‫باتجاه‬ )a a) R 90ْ ( x , y ) = ( -y , x ( /‫احلل‬ ∴ R 90ْ (-2 , 1 ) = (-1 , - 2 b) R 90ْ ( x , y ) = ( y , - x ( ∴ R 90ْ (-2 , 1 ) = (1 , 2 ) ‫مثال‬ )
  • 186.
    186 .‫االصل‬ ‫نقطة‬ ‫مركزه‬، 180 o ‫قياسها‬ ‫بزاوية‬ ‫دوران‬ ‫تأثير‬ ‫تحت‬ )2 ‫الساعة‬ ‫عقارب‬ ‫عكس‬ ‫باتجاه‬ / ‫احلل‬ b) R 180ْ (x,y)=(-x ,-y ) ∴ R 180ْ (-2 , 1 ) = (2 , - 1 ) .‫االصل‬ ‫نقطة‬ ‫مركزه‬ ، 270 o ‫قياسها‬ ‫بزاوية‬ ‫دوران‬ ‫تأثير‬ ‫تحت‬ )3 ‫الساعة‬ ‫عقارب‬ ‫عكس‬ ‫باتجاه‬ b) R 270ْ (x,y)=(y ,-x ( /‫احلل‬ ∴ R 270ْ (-2, 1)= (1 ,2) ‫اخرى‬ ‫نقطة‬ ‫اي‬ ‫ويحول‬ ‫نفسها‬ ‫الى‬ O ‫النقطة‬ ‫يحول‬ ‫وهو‬ K ‫ومعامله‬ O ‫مركزه‬ ‫هندسي‬ ‫تحويل‬ ‫هو‬ , Pَ (x1 , y 1 ( . ‫الى‬ p (x , y ( ‫مثل‬ ‫فان‬ K ‫،معامله‬ ‫االصل‬ ‫نقطة‬ O ‫مركزه‬ ، p (x , y ( ‫للنقطة‬ ‫التكبير‬ ‫كان‬ ‫اذا‬ D [P ( x ,y )] = ( Kx , Ky ( ‫مالحظة‬:‫الدوران‬ ‫خواص‬ ‫بعض‬ .‫والتوازي‬ ‫الزوايا‬ ‫وقياس‬ ‫البينية‬ ‫و‬ ‫االستقامة‬ ‫على‬ ‫يحافظ‬ 8 - 5Dilatation ‫التكبير‬ OPَ = KOP
  • 187.
    187 . 2 ‫ومعامله‬‫االصل‬ ‫نقطة‬ ‫مركزه‬ ‫تكبير‬ ‫تأثير‬ ‫حتت‬ p (3 ,4 ( ‫صورة‬ ‫جد‬ /‫احلل‬ p (3 , 4 ( K = 2 ∵ D [P ( x , y )] = ( Kx , Ky ( ∴ D [P ( 3 , 4 )] = (( 2 ( )3( , )2()4( ( = )6 , 8 ( . 3 ‫ومعامله‬ ‫االصل‬ ‫نقطة‬ ‫مركزه‬ ‫تكبير‬ ‫تأثير‬ ‫حتت‬ p (-2 , 3 ( ‫صورة‬ ‫جد‬ /‫احلل‬ p (-2 , 3 ( K =3 ∵ D [P ( x , y )] = ( Kx , Ky ( ∴ D [P ( -2 , 3 )] = ((3 ( )-2( , )3()3( ( = ) -6 , 9 ( .‫االستقامة‬ ‫على‬ ‫يحافظ‬ )1 .‫البينية‬ ‫على‬ ‫يحافظ‬ )2 .‫األبعاد‬ ‫نسب‬ ‫على‬ ‫يحافظ‬ )3 .‫الزوايا‬ ‫قياس‬ ‫على‬ ‫يحافظ‬ )4 (1) ‫مثال‬ (2 ) ‫مثال‬ : ‫التكبير‬ ‫خواص‬ ]8 - 5 - 1
  • 188.
    188 .‫االصل‬ ‫نقطة‬ ‫ومركزه‬2 ‫معامله‬ ‫تكبير‬ ‫تأثير‬ ‫تحت‬ ABC ∆ ‫صورة‬ ‫جد‬ . A ( 0 , 0 ) , B ( 4 , 0 ) , C ( 4 , 3 ( ‫حيث‬ /‫احلل‬ (3) ‫مثال‬ y x Aَ = A B Bَ Cَ C K = 2 D(0,0) = (2(0),2(0)) = (0,0) = ʹA D(4,0) = (2(4),2(0)) = (8,0) = ʹB D(4,3) = (2(4),2(3)) = (8,6) = ʹC
  • 189.
    189 . p) 5, -3( ‫النقطة‬ ‫صورة‬ ‫جد‬ )1 . ‫السينات‬ ‫محور‬ ‫على‬ ‫انعكاس‬ ‫تأثير‬ ‫تحت‬ )a .‫الصادات‬ ‫محور‬ ‫على‬ ‫انعكاس‬ ‫تأثير‬ ‫تحت‬ )b . ‫السينات‬ ‫لمحور‬ ‫الموجب‬ ‫باالتجاه‬ ‫وحدات‬ )3( ‫مقداره‬ ‫انسحاب‬ )c . ‫الصادات‬ ‫لمحور‬ ‫السالب‬ ‫باالتجاه‬ ‫وحدات‬ )2( ‫مقداره‬ ‫انسحاب‬ )d ‫السينات‬ ‫محور‬ ‫في‬ ‫االنعكاس‬ ‫تأثير‬ ‫تحت‬ ABC ∆ ‫صورة‬ ‫جد‬ )2 C (4 , 5) , B ( 1 , 4 ) , A ( 1 , 2 ( ‫حيث‬ : ‫تأثير‬ ‫تحت‬ x - y - 4 = 0 ‫المستقيم‬ ‫صورة‬ ‫جد‬ )3 . ‫السينات‬ ‫محور‬ ‫على‬ ‫االنعكاس‬ )a . ‫الصادات‬ ‫محور‬ ‫على‬ ‫االنعكاس‬ )b 8 1
  • 190.
    190 : ‫تأثير‬ ‫تحت‬) 2 , -1 ( ‫النقطة‬ ‫صورة‬ ‫جد‬ )4 .‫االصل‬ ‫نقطة‬ ‫ومركزه‬ .‫الساعة‬ ‫عقارب‬ ‫عكس‬ ‫باتجاه‬ 90ْ ‫بزاوية‬ ‫دوران‬ )a .‫االصل‬ ‫نقطة‬ ‫ومركزه‬ .‫الساعة‬ ‫عقارب‬ ‫باتجاه‬ 90ْ ‫بزاوية‬ ‫دوران‬ )b .‫االصل‬ ‫نقطة‬ ‫ومركزه‬ .‫الساعة‬ ‫عقارب‬ ‫عكس‬ ‫باتجاه‬ 180ْ ‫بزاوية‬ ‫دوران‬ ‫تأثير‬ ‫تحت‬ )c .‫االصل‬ ‫نقطة‬ ‫ومركزه‬ .‫الساعة‬ ‫عقارب‬ ‫باتجاه‬ 180ْ ‫بزاوية‬ ‫دوران‬ ‫تأثير‬ ‫تحت‬ )d . C(1 , 4 ) , B (-3 , 3 ) , A( - 2 , 1( ‫رؤوسه‬ ‫الذي‬ ‫المثلث‬ ‫انسحاب‬ ‫صورة‬ ‫جد‬ )5 . ‫السينات‬ ‫لمحور‬ ‫الموجب‬ ‫باالتجاه‬ ‫وحدات‬ )5( ‫قدرها‬ ‫مسافة‬ .)2( ‫ومعامله‬ ‫االصل‬ ‫نقطة‬ ‫مركزه‬ ‫تكبير‬ ‫تأثير‬ ‫تحت‬ p )-4 ,3( ‫النقطة‬ ‫صورة‬ ‫جد‬ )6 o ‫مركزه‬ ABC ‫المثلث‬ ‫صورة‬ ‫جد‬ C ( 0 , 6 ) , B ( 2 , 3 ) , A ( -1 , 1( ‫كانت‬ ‫اذا‬ )7 : ‫تكبيره‬ ‫ومعامل‬ a) k = 2 b) k = -2 c ) k = 1 2
  • 191.
    191 ‫للمجموعتين‬ ‫فيقال‬ ‫متقابلتين‬‫مجموعتين‬ y = { c , d } , x = { a , b { ‫المجموعتان‬ ‫كانت‬ ‫اذا‬ ‫كان‬ ‫اذا‬ ‫متناسبتان‬ ‫المتقابلتين‬ 1( } 1 , 2 { , } 2 , 4 { . ‫متناسبة‬ ‫المجموعات‬ ‫اي‬ ‫بين‬ 2( } 3 , 6 { , } 4 , 2 { 3( } 3 , 4 , 5 { , } 6 , 8 , 10 { 1( ‫متناسبة‬ / ‫احلل‬ 2( ‫متناسبة‬ ‫غير‬ ‫متناسبة‬ 8 - 6‫املتناسبة‬ ‫املجموعات‬ ‫مثال‬ a c = b d 1 2 = 1 2 3 4 ≠ 6 2 3 6 = 4 8 = 5 10 ⇒ 1 2 = 1 2 = 1 2 3( 2 4
  • 192.
    192 . ‫الرياضيات‬ ‫مادة‬‫عن‬ ‫منهم‬ ‫البعيدين‬ ‫حتى‬ ‫الناس‬ ‫من‬ ‫العظمى‬ ‫الغالبية‬ ‫لدى‬ ‫مفهوم‬ ‫التشابه‬ ‫مصطلح‬ ‫ان‬ - : ‫الهندسية‬ ‫االشكال‬ ‫موضوع‬ ‫وفي‬ ‫المتناظرة‬ ‫اضالعهما‬ ‫اطوال‬ ‫وتناسبت‬ ‫متساوية‬ ‫زواياهما‬ ‫كانت‬ ‫اذا‬ ‫متشابهان‬ ‫انهما‬ ‫هندسيين‬ ‫لشكلين‬ ‫يقال‬ ً‫ال‬‫مث‬ . )‫المتساوية‬ ‫الزوايا‬ ‫تقابل‬ ‫(التي‬ . ‫متساوية‬ ‫زواياهما‬ ‫ان‬ ‫من‬ ‫بالرغم‬ B ‫المستطيل‬ ‫يشابه‬ ‫ال‬ A ‫المستطيل‬ -: ‫الشكل‬ ‫في‬ ‫فقط‬ ‫المتشابهة‬ ‫المثلثات‬ ‫على‬ ‫دراستنا‬ ‫في‬ ‫نقتصر‬ ‫وسوف‬ DEF , ABC m ∠CAB = m ∠FDE m ∠ABC = m ∠DEF m ∠ACB = m ∠DFE AB DE = BC DF = AC DF 1( 2( 8 - 7‫التشابه‬ A B C D E F 1cm 2cm 3cm 2cmA B △△ ‫متشابهان‬DEF , ABC m ∠CAB = m ∠FDE m ∠ABC = m ∠DEF m ∠ACB = m ∠DFE AB DE = BC DF = AC DF
  • 193.
    193 . ‫االصل‬ ‫نقطة‬‫ومركزه‬ 3 ‫معامله‬ ‫بتكبير‬ OEF ‫للمثلث‬ ‫تكبير‬ OBC ‫املثلث‬ ‫كان‬ ‫اذا‬ ‫؟‬ ‫متناسبة‬ ‫اضالعهما‬ ‫هل‬ ‫بني‬ ، F(3 , 3) ، E(3 , 0) ، O(0 , 0 ( ‫حيث‬ /‫احلل‬ FE = (3− 0)2 (0 − 0)2 = 3 OB = 9 OE = 3 BC = 9 FE = (3− 0)2 (0 − 0)2 = 3 OB = 9 OE = 3 BC = 9 +FE = (3− 0)2 (0 − 0)2 = 3 OB = 9 OE = 3 BC = 9 OF = (3− 0)2 +(3− 0)2 = 9 + 9 = 18 = 3 2 OC = (9 − 0)2 +(9 − 0)2 = 81+ 81 = 2(81) = 9 2 OB OE = BC EF = OC OF 9 3 = 9 3 = 9 2 3 2 . ‫متناسبة‬ ‫االضالع‬ ∴ (1) ‫مثال‬ y x O(0 , 0) C(9 , 9) E(3 , 0) B(9 , 0) F(3 , 3) FE = (3− 0)2 (0 − 0)2 = 3 OB = 9 OE = 3 BC = 9 FE = (3− 0)2 (0 − 0)2 = 3 OB = 9 OE = 3 BC = 9 D(0,0) = (3(0),3(0)) = (0,0) D(3,0) = (3(3),3(0)) = (9,0) D(3,3) = (3(3),3(3)) = (9,9)
  • 194.
    194 ‫مشابه‬ ‫الناجت‬ ‫املثلث‬‫فان‬ ‫االخرين‬ ‫ضلعيه‬ ‫ويقطع‬ ‫مثلث‬ ‫في‬ ً‫ا‬‫ضلع‬ ‫يوازي‬ ‫مستقيم‬ ‫رسم‬ ‫اذا‬ .‫االصلي‬ ‫للمثلث‬ ‫لالطالع‬ 1 /‫مبرهنة‬ ‫على‬ M , N ‫في‬ AC , AB ‫ضلعيه‬ ‫يقطع‬ MN ‫املستقيم‬ ، ABC ‫املثلث‬ ‫في‬ /‫المعطيات‬ MN s ruu / /BC N، ‫الترتيب‬ ABC ‫املثلث‬ ‫يشابه‬ AMN ‫املثلث‬ ‫ان‬ /‫أثباته‬ ‫المطلوب‬ ‫بحيث‬ A ‫مركزه‬ ‫تكبير‬ ‫أفرض‬ /‫البرهان‬ C → N , B → M AB MN s ruu ∴ C → N , B → M AB MN s ruu ∴ C → N , B → M AB MN s ruu ∴BC ‫صورة‬ MN s ruu ∴ ‫بالقياسات‬ ‫متساويه‬ ‫املتناظره‬ ‫املثلث‬ ‫زوايا‬ ∴ . ‫الزوايا‬ ‫قياس‬ ‫على‬ ‫يحافظ‬ ‫التكبير‬ ‫ألن‬ ‫التكبير‬ ‫معامل‬ = AM AB = AN AC = MN BC = AM AB = AN AC = MN BC = AM AB = AN AC = MN BC ‫كذلك‬ ‫متشابهان‬ ‫املثلثان‬ ∴ .‫زواياهما‬ ‫قياسات‬ ‫تساوت‬ ‫اذا‬ ‫املثلثان‬ ‫يتشابه‬ ‫لالطالع‬ 2 /‫مبرهنة‬ ‫فيهما‬ Aَ Bَ Cَ , ABC ‫املثلثان‬ /‫المعطيات‬ ʹA ʹB ʹC ‫املثلث‬ ‫يشابه‬ ABC‫املثلث‬ /‫أثباته‬ ‫المطلوب‬ A C B NM NM A CB Bَ Cَ Aَ m ∠ A = m ∠ ʹA m ∠ B = m ∠ ʹB m ∠ C = m ∠ ʹC
  • 195.
    195 /‫البرهان‬ BC ∥ MN‫وليكن‬ ، Aَ Bَ = AM ‫بحيث‬ AB ‫الى‬ ‫تنتمي‬ ‫نقطة‬ M ‫لتكن‬ ]1 ‫[مبرهنة‬ ..... AMN ∆ ‫يشابه‬ ABC ∆ ∴ )‫متطابقان‬ ‫المثلثين‬ ‫(ألن‬ ...... Aَ Bَ Cَ ∆ ‫يشابه‬ AMN ∆ ‫لكن‬ ) ‫م‬ . ‫هـ‬ . ‫و‬ ( Aَ Bَ Cَ ∆ ‫يشابه‬ ABC ∆ ∴ : ‫كان‬ ‫اذا‬ Aَ Bَ Cَ ∆ ‫يشابه‬ ABC ∆ ‫فان‬ ‫فيهما‬ Aَ Bَ Cَ ∆ ‫و‬ ABC ∆ Aَ Bَ Cَ ∆ ‫يشابه‬ ABC ∆ ∴ . ‫اضالعهما‬ ‫أطوال‬ ‫تناسبت‬ ‫اذا‬ ‫المثلثان‬ ‫يتشابه‬ ‫برهان‬ ‫بدون‬ ‫المبرهنة‬ ‫هذه‬ ‫سنقبل‬ 3/‫مبرهنة‬ ‫طوال‬ ‫وكان‬ ‫اخر‬ ‫مثلث‬ ‫في‬ ‫نظيرتها‬ ‫مثلث‬ ‫في‬ ‫زاوية‬ ‫طابقت‬ ‫اذا‬ ‫مثلثان‬ ‫يتشابه‬ . ‫بنظيرتها‬ ‫المحيطين‬ ‫الضلعين‬ ‫طولي‬ ‫مع‬ ‫متناسبين‬ ‫بها‬ ‫المحيطين‬ ‫الضلعين‬ ‫برهان‬ ‫بدون‬ ‫المبرهنة‬ ‫هذه‬ ‫سنقبل‬ 4/‫مبرهنة‬ A Bَ Cَ Aَ CB A Bَ Cَ Aَ CB AB ʹA ʹB = AC ʹA ʹC = BC ʹB ʹC m ∠ A = m ∠ ʹA AB ʹA ʹB = AC ʹA ʹC
  • 196.
    196 ،‫فيثاغورس‬ ‫مبرهنة‬ ‫بإسم‬‫يعرف‬ ‫المبرهنة‬ ‫من‬ )3( ‫والجزء‬ :‫المبرهنة‬ ‫هذه‬ ‫ونص‬ ‫القائم‬ ‫المثلث‬ ‫في‬ ‫القائمين‬ ‫الضلعين‬ ‫طولي‬ ‫مربعي‬ ‫[مجموع‬ .]‫الوتر‬ ‫طول‬ ‫مربع‬ ‫يساوي‬ ‫الزاوية‬ ‫فان‬ AM ⊥ BC ‫و‬ A ‫في‬ ‫الزاوية‬ ‫قائم‬ ABC ‫المثلث‬ ‫كان‬ ‫اذا‬ ‫برهان‬ ‫بدون‬ ‫المبرهنة‬ ‫هذه‬ ‫سنقبل‬ 5/‫مبرهنة‬ (AB) 2 = BC . BM (AC) 2 = BC . CM (BC )2 = (AB)2 + ( AC) 2 . ‫قائمة‬ ∠ C ‫فان‬ : ‫كان‬ ‫اذا‬ ABC ‫المثلث‬ ‫في‬ ‫برهان‬ ‫بدون‬ ‫المبرهنة‬ ‫هذه‬ ‫سنقبل‬ ) ‫فيثاغورس‬ ‫مبرهنة‬ ‫عكس‬ ( 6/‫مبرهنة‬ (AB) 2 = (AC)2 + ( BC)2 B A C A BC M
  • 197.
    197 .‫الشكل‬ ‫على‬ ‫المبينة‬‫األطوال‬ ‫حسب‬ ABC ∆ ‫في‬ AC ، AB ‫جد‬ ‫الشكل‬ ‫في‬ /‫احلل‬ . AB = 3cm , BC = 4cm , AC = 5cm ‫المثلث‬ ‫في‬ ‫ولماذا؟‬ ‫الزاوية‬ ‫قائم‬ ‫المثلث‬ ‫هل‬ /‫احلل‬ (BC)2 = (4) 2 = 16 cm (AB)2 = (3) 2 = 9 cm (AC)2 = (5) 2 = 25 cm . B ‫في‬ ‫الزاوية‬ ‫قائم‬ ‫املثلث‬ ∴ (2) ‫مثال‬ AB( ) 2 = AE( ) 2 + EB( ) 2 AB( ) 2 = 8( ) 2 + 15( ) 2 AB( ) 2 = 64 + 225 AB( ) 2 = 289 AB =17 (AB) 2 = (AE)2 + ( EB)2 AB = 17 cm AC( ) 2 = AE( ) 2 + EC( ) 2 AC( ) 2 = 64 + 36 AC( ) 2 =100 AC =10 (AC) 2 = (AE)2 + ( EC)2 AC = 10 cm (3) ‫مثال‬ , ABC (AC) 2 = (BC)2 + ( AB)2 25 = 16 + 9 25 = 25 A BC E 8cm 15cm6cm B A C 3 4 5
  • 198.
    198 8 2 / 1‫س‬ m∠ A = 70ْ ، m ∠ B = 40ْ ‫ان‬ ‫حيث‬ , DEF ‫المثلث‬ ‫يشابه‬ ABC ‫المثلث‬ ‫كان‬ ‫اذا‬ . C ‫زاوية‬ ‫قياس‬ )1 ‫جد‬ . E ‫زاوية‬ ‫قياس‬ )2 /2‫س‬ . x ‫قيمة‬ ‫جد‬ AC = 11cm ‫و‬ BC = 10cm ‫كان‬ ‫اذا‬ -: ‫الشكل‬ ‫في‬ / 3‫س‬ N ∈ AC , E ∈ AB ‫النقطة‬ ‫وفيهما‬ ‫متشابهين‬ AEN ‫و‬ ABC ‫المثلثان‬ ‫كان‬ ‫اذا‬ . AN = 5cm , NC = 3cm , EB = 2cm , EN = 3cm . AB )1 ‫جد‬ . BC )2 C A B 10cm 5cm 6cm x D E
  • 199.
    199 9‫التاسع‬ ‫الفصل‬ . ‫المثلثات‬]9-1[ . ‫المثلثية‬ ‫النسب‬ ]9-2[ . ‫الخاصة‬ ‫للزوايا‬ ‫المثلثية‬ ‫النسب‬ ]9-3[ ‫ل‬‫ب‬‫ا‬‫ق‬‫م‬‫ل‬‫ا‬ ‫ر‬‫ت‬‫و‬‫ل‬‫ا‬ ‫ر‬‫و‬‫ا‬‫ج‬‫مل‬‫ا‬ A B C θ sin2 θ+cos2 θ=1 ‫الرياضية‬ ‫العالقة‬ ‫او‬ ‫الرمز‬ ‫املصطلح‬ sin θ ‫الزاوية‬ ‫جيب‬ cos θ ‫الزاوية‬ ‫متام‬ ‫جيب‬ tan θ ‫الزاوية‬ ‫ظل‬ ‫املثلثات‬ ‫حساب‬ Trigonometry
  • 200.
    ‫مقدمة‬ :‫بانواعها‬ ‫يسمى‬ ‫زوايا‬‫ثالث‬ ‫من‬ ‫يتكون‬ ‫حيث‬ ‫وعناصره‬ ‫المثلث‬ ‫على‬ ‫تعرفت‬ ‫ان‬ ‫سبق‬ . )90ْ ‫من‬ ‫اقل‬ ‫اي‬ ‫حادة‬ ‫زواياه‬ ‫(جميع‬ ‫الزوايا‬ ‫حاد‬ ‫مثلث‬❈ .)90ْ=‫قائمة‬‫زاوية‬‫على‬‫(يحتوي‬‫الزواية‬‫قائم‬‫مثلث‬ ❈ .)90ْ ‫من‬‫اكبر‬‫اي‬‫منفرجة‬‫زواياه‬‫احدى‬(‫الزاوية‬‫منفرج‬‫مثلث‬ ❈ : ‫بانواعها‬ ‫يسمى‬ ‫اضالع‬ ‫وثالثة‬ . ‫االضالع‬ ‫مختلف‬ ‫مثلث‬- . ‫الساقين‬ ‫متساوي‬ ‫مثلث‬ - . ‫االضالع‬ ‫متساوي‬ ‫مثلث‬ - ‫يهمنا‬ ‫وما‬ ‫المثلثية‬ ‫بالنسب‬ ‫مايدعى‬ ‫العالقات‬ ‫هذه‬ ‫ومن‬ ‫واضالعه‬ ‫المثلث‬ ‫زوايا‬ ‫بين‬ ‫مهمة‬ ‫عالقات‬ ‫وهناك‬ . ‫الزاوية‬ ‫القائم‬ ‫المثلث‬ ‫هو‬ ‫الفصل‬ ‫هذا‬ ‫في‬ : ‫ان‬ ‫حيث‬ B ‫في‬ ‫الزاوية‬ ‫القائم‬ ABC ‫المثلث‬ ‫المجاور‬ ‫الشكل‬ ‫في‬ ‫الحظ‬ ) ‫القائمة‬ ‫للزاوية‬ ‫(مقابل‬ ‫الوتر‬ ‫يدعى‬ ) AC ( ‫الضلع‬ . θ ‫للزاوية‬ ‫المقابل‬ ‫يدعى‬ )BC ( ‫والضلع‬ . θ ‫للزاوية‬ ‫المجاور‬ ‫فيدعى‬ ) AB ( ‫الضلع‬ ‫اما‬ ‫فيثاغورس‬ ‫مبرهنة‬ ‫تدعى‬ ‫االضالع‬ ‫هذه‬ ‫اطوال‬ ‫بين‬ ‫تربط‬ ‫التي‬ ‫والمبرهنة‬ ) AC)2 = (AB)2 + (BC(2 ‫حيث‬ θ A B C ‫المثلثات‬ ‫حساب‬ ‫الفصل‬ 9 - 1 9 +
  • 201.
    201 ‫الحادتين‬ ‫الزاويتين‬ ‫احدى‬θ ‫والزاوية‬ B ‫في‬ ‫الزاوية‬ ‫قائم‬ ABC ∆ ‫المجاور‬ ‫الشكل‬ ‫في‬ )sine( θ ‫الزاوية‬ ‫جيب‬ θ ‫الزاوية‬ ‫مقابل‬ ‫الوتر‬ ‫النسبة‬ ‫تدعى‬ )1 : ‫بشكل‬ ‫ويكتب‬ Sine ‫كلمة‬ ‫اختصار‬ Sin ) Cosine( θ ‫الزاوية‬ ‫تمام‬ ‫جيب‬ θ ‫الزاوية‬ ‫مجاور‬ ‫الوتر‬ ‫النسبة‬ ‫تدعى‬ )2 : ‫بشكل‬ ‫ويكتب‬ Cosine ‫كلمة‬ ‫اختصار‬ Cos )Tangent( θ ‫الزاوية‬ ‫ظل‬ θ ‫الزاوية‬ ‫مجاور‬ θ ‫الزاوية‬ ‫مقابل‬ ‫النسبة‬ ‫تدعى‬ )3 : ‫بشكل‬ ‫وتكتب‬ Tangent ‫كلمة‬ ‫اختصار‬ tan . tan θ , cos θ , sin θ : ‫جد‬ : ‫الشكل‬ ‫في‬ ‫كما‬ ABC ‫مثلث‬ /‫احلل‬ θ ‫المقابل‬‫الوتر‬ ‫املجاور‬ A B C 9 - 2‫املثلثية‬ ‫النسب‬ sinθ = BC AC cosθ = AB AC tanθ = BC AB (1) ‫مثال‬ sinθ = BC AC ⇒ sinθ = 4 5 cosθ = AB AC ⇒ cosθ = 3 5 tanθ = BC AB ⇒ tanθ = 4 3 4cm 5cm 3cm A B C θ
  • 202.
    202 ‫نجد‬ ‫فيثاغورس‬ ‫مبرهنة‬‫وباستخدام‬ ‫المجاور‬ ‫الشكل‬ ‫من‬ . ) AC)2 ‫على‬ ‫بالقسمة‬ ‫و‬ ) BC)2 + (AB)2 = ( AC)2 ) sin θ) 2 + (cos θ) 2 = 1 AC ‫على‬ ‫بالقسمة‬ tanA , sinA ‫فجد‬ cosA = 8 17 ‫كانت‬ ‫اذا‬ B ‫في‬ ‫الزاوية‬ ‫القائم‬ ABC ∆ ‫في‬ 17K = ‫الوتر‬ ، 8K = ‫المجاور‬ ∴ ، K 0 ‫حيث‬ ‫االولى‬ ‫الطريقة‬ ) AB)2 + (BC)2 = ( AC)2 ‫فيثاغورس‬ ‫مبرهنة‬ ‫وحسب‬ ) 8K) 2 + (BC)2 = (17K)2 64K 2 + (BC)2 = 289 K2 (BC )2 = 289K2 - 64K2 (BC )2 = 225K2 ⇒ BC = 15K θ A B C 9 - 3‫المثلثية‬ ‫العالقات‬ ‫بعض‬ (2) ‫مثال‬ BC AC ⎛ ⎝ ⎜ ⎞ ⎠ ⎟ 2 + AB AC ⎛ ⎝ ⎜ ⎞ ⎠ ⎟ 2 = AC AC ⎛ ⎝ ⎜ ⎞ ⎠ ⎟ 2 tanθ = BC AC tanθ = BC AC AB AC tanθ = sin θ cos θ tanθ = BC AC tanθ = BC AC AB AC tanθ = sin θ cos θ cosA = 8K 17K tanθ = BC AC tanθ = BC AC AB AC tanθ = sin θ cos θ
  • 203.
    203 ‫الثانية‬ ‫الطريقة‬ BC( ) 2 =289K 2 − 64K 2 BC( ) 2 = 225K 2 ⇒ BC =15K sin A = 15K 17K = 15 17 tan A = 15K 8K = 15 8 Asin A = BC AC ⇒ tan A = BC AB BC( ) 2 = 289K 2 − 64K 2 BC( ) 2 = 225K 2 ⇒ BC =15K sin A = 15K 17K = 15 17 tan A = 15K 8K = 15 8 A⇒ A B C 17 8 Qsin2 A + cos2 A =1 ∴sin2 A + 8 17 ⎛ ⎝ ⎜ ⎞ ⎠ ⎟ 2 =1 sin2 A =1− 64 289 sin A = 15 17 Qtan A = sin A cos A tan A = 15 17 8 17 = 15 8 A A A A A Qsin2 A + cos2 A =1 ∴sin2 A + 8 17 ⎛ ⎝ ⎜ ⎞ ⎠ ⎟ 2 =1 sin2 A =1− 64 289 sin A = 15 17 Qtan A = sin A cos A tan A = 15 17 8 17 = 15 8 A Qsin2 A + cos2 A =1 ∴sin2 A + 8 17 ⎛ ⎝ ⎜ ⎞ ⎠ ⎟ 2 =1 sin2 A =1− 64 289 sin A = 15 17 Qtan A = sin A cos A tan A = 15 17 8 17 = 15 8 tanθ = sin θ cos θ A A A A B C 17K 8K
  • 204.
    204 : ً‫ال‬‫او‬AB =BC‫ان‬‫بحيث‬B‫في‬‫الزاوية‬‫القائم‬ABC‫المثلث‬‫نرسم‬: 450 ‫للزاوية‬ ‫المثلثية‬ ‫النسب‬ ∵ m ∠ B = 900 ⇒ m ∠ A+ m ∠ c = 900 ∵ AB = BC ∴ m ∠ A = m ∠ C = 450 AB = BC = K 0 ‫ان‬ ‫نفرض‬ : ‫فثاغورس‬ ‫مبرهنة‬ ‫حسب‬ ) AC )2 = (AB)2 + ( BC)2 (AC )2 = K2 + K2 (AC )2 = 2K2 AC = K ) 2cos45ْ + tan45ْ( 2 ‫ناتج‬ ‫جد‬ /‫احلل‬ 9 - 4‫اخلاصة‬ ‫للزوايا‬ ‫املثلثية‬ ‫النسب‬ Sin450 = k 2k ⇒ Sin450 = 1 2 Cos450 = k 2k ⇒ Cos450 = 1 2 tan450 = k k ⇒ tan 450 = 1 (1) ‫مثال‬ Q 2 1 2 +1 ⎛ ⎝⎜ ⎞ ⎠⎟ 2 ⇒ 2 2 1 2 +1 ⎛ ⎝ ⎜ ⎞ ⎠ ⎟ 2 ⇒ 2 +1( ) 2 = 2( ) 2 + 2 2( )+1 = 2+ 2 2 +1 = 3+ 2 2 Qcos45ο = 1 2 , tan45ο = 1 Q 2 1 2 +1 ⎛ ⎝⎜ ⎞ ⎠⎟ 2 ⇒ 2 2 1 2 +1 ⎛ ⎝ ⎜ ⎞ ⎠ ⎟ 2 ⇒ 2 +1( = 2( ) 2 + 2 2( )+1 = 2+ 2 2 +1 = 3+ 2 2 Q 2 1 2 +1 ⎛ ⎝⎜ ⎞ ⎠⎟ 2 ⇒ 2 2 1 2 + ⎛ ⎝ ⎜ = 2( ) 2 + 2 2( )+1 = 2+ 2 2 +1 = 3+ 2 2 ∵ ∵ A B C 45ْ 45ْ K K sin45ο = K 2K ⇒ sin45ο = 1 2 cos45ο = K 2K ⇒ cos45ο = 1 2 tan45ο = K K ⇒ tan45ο = 1 sin45ο = K 2K ⇒ sin45ο = 1 2 cos45ο = K 2K ⇒ cos45ο = 1 2 tan45ο = K K ⇒ tan45ο = 1 sin45ο = K 2K ⇒ sin45ο = 1 2 cos45ο = K 2K ⇒ cos45ο = 1 2 tan45ο = K K ⇒ tan45ο = 1 K K K
  • 205.
    205 : (2) ‫مثال‬ ‫كل‬‫قياس‬‫فيكون‬ 2k‫ضلعه‬‫طول‬‫االضالع‬‫متساوي‬ ً‫ا‬‫مثلث‬‫نرسم‬ : 600 ، 300 ‫قياسها‬ ‫زاوية‬ ً‫ا‬‫ثاني‬ ∴ BD = DC = K ‫وحدة‬ ‫المجاور‬ ‫الشكل‬ ‫الحظ‬ ‫فينصفه‬ AD ⊥ BC ‫نرسم‬ 600 ‫منها‬ ‫زاويه‬ AD = K ‫بان‬ ‫نجد‬ ‫فيثاغورس‬ ‫مبرهنة‬ ‫وبستخدام‬ BAD = 300 ‫الزاوية‬ ‫قياس‬ ‫وان‬ . x , y ∈ R ‫قيمة‬ ‫جد‬ ‫المجاور‬ ‫الشكل‬ ‫من‬ )a( /‫احلل‬ )b( . 30ْ ‫للزواية‬ ‫مثلثية‬ ‫نسب‬ ‫باستخدام‬ ‫المثال‬ ‫حل‬ ‫حاول‬ AD = 3K sin30ο = K 2K ⇒ sin30ο = 1 2 cos30ο = 3K 2K ⇒ cos30ο = 3 2 tan30ο = K 3K ⇒ tan30ο = 1 3 sin60ο = 3K 2K ⇒ sin60ο = 3 2 cos60ο = 1 2 tan60ο = 3 30ْ K 30ْ 60ْ 60ْ K C A B D 2K 40cm y 60ْ x y 60ْ x Sin600 = 23 x ⇒ 3 2 = 23 x 43=3x⇒x=4 tan60= 23 y ⇒3= 23 y 3y=23⇒y=2 cos60° = y 40 ⇒ 1 2 = y 40 ∴y = 40 2 ⇒ y = 20 sin60° = x 40 ⇒ 3 2 = x 40 ∴2x = 40 3 ⇒ x = 20 3 sin60° = 2 3 x ⇒ 3 2 = 2 3 x 4 3 = 3 x ⇒ x = 4 tan60° = 2 3 y ⇒ 3 = 2 3 y ∴ 3y = 2 3 ⇒ y = 2 sin30ο = K 2K ⇒ sin30ο = 1 2 cos30ο = 3K 2K ⇒ cos30ο = 3 2 tan30ο = K 3K ⇒ tan30ο = 1 3 sin60ο = 3K 2K ⇒ sin60ο = 3 2 cos60ο = 1 2 tan60ο = 3 sin30ο = K 2K ⇒ sin30ο = 1 2 cos30ο = 3K 2K ⇒ cos30ο = 3 2 tan30ο = K 3K ⇒ tan30ο = 1 3 sin60ο = 3K 2K ⇒ sin60ο = 3 2 cos60ο = 1 2 tan60ο = 3 sin30ο = K 2K ⇒ sin30ο = cos30ο = 3K 2K ⇒ cos30 tan30ο = K 3K ⇒ tan30ο sin60ο = 3K 2K ⇒ sin60ο cos60ο = 1 2 tan60ο = 3 sin30ο = K 2K ⇒ sin30ο = 1 2 cos30ο = 3K 2K ⇒ cos30ο = 3 2 tan30ο = K 3K ⇒ tan30ο = 1 3 sin60ο = 3K 2K ⇒ sin60ο = 3 2 cos60ο = 1 2 tan60ο = 3 sin30ο = K 2K ⇒ sin30ο = 1 2 cos30ο = 3K 2K ⇒ cos30ο = 3 2 tan30ο = K 3K ⇒ tan30ο = 1 3 sin60ο = 3K 2K ⇒ sin60ο = 3 2 cos60ο = 1 2 tan60ο = 3 K K K K cos60° = K 2K tan60° = 3K K
  • 206.
    206 : ‫ياتي‬ ‫مما‬‫كل‬ ‫قيمة‬ ‫جد‬ / 1‫س‬ 1) sin60ْ cos30ْ + cos60ْ sin30ْ 2) ( cos30ْ - sin45ْ ) ( sin60ْ + cos45ْ ) BC = 8cm , AB = 15cm ‫حيث‬ B ‫في‬ ‫الزاوية‬ ‫قائم‬ ‫مثلث‬ ABC / 2‫س‬ sin C , cos C , tanC ‫جد‬ a) cos2 30ْ - sin2 30ْ = cos60ْ ‫ان‬ ‫اثبت‬ /3‫س‬ b) 2 sin30ْ cos30ْ = sin60ْ c ) : ‫المثلثين‬ ‫من‬ x , y ∈ R ‫جدقيمة‬ /4‫س‬ 9 1 b( 10 y x 45ْْ 10 y x 30ْ a( 1- cos60° 2 = sin30°
  • 207.
    207 ‫االحصاء‬ Statistics 10 . ‫املبوبة‬ ‫غير‬‫للبيانات‬ ‫احلسابي‬ ‫الوسط‬ ]10-1[ .‫البسيط‬ ‫التكراري‬ ‫للتوزيع‬ ‫احلسابي‬ ‫الوسط‬ ]10-2[ .‫الفئات‬ ‫ذي‬ ‫التكراري‬ ‫للتوزيع‬ ‫احلسابي‬ ‫الوسط‬ ]10-3[ . ‫احلسابي‬ ‫الوسط‬ ‫وعيوب‬ ‫مزايا‬ ]10 - 4[ . ‫الوسيط‬ ]10-5[ . ‫الوسيط‬ ‫وعيوب‬ ‫مزايا‬ ]10-6[ . ‫املنوال‬ ]10-7[ . ‫املنوال‬ ‫وعيوب‬ ‫مزايا‬ ]10-8[ ‫الرياضية‬ ‫العالقة‬ ‫او‬ ‫الرمز‬ ‫املصطلح‬ x x: ‫للقيم‬ ‫احلسابي‬ ‫الوسط‬ ME ‫الوسيط‬ MO ‫املنوال‬ ‫العاشر‬ ‫الفصل‬x= x1+x2+x3+...+xn n xi +x2 +x3 +....+x7 7 x=
  • 208.
    ‫مقدمة‬ ‫الفصل‬ 10 ‫الظاهرة‬ ‫عن‬ ‫يعبر‬‫مقياس‬ ‫ايجاد‬ ‫الصعب‬ ‫من‬ ‫وكان‬ . ‫البيانات‬ ‫وتمثيل‬ ‫جمع‬ ‫طرق‬ ‫السابقة‬ ‫المراحل‬ ‫في‬ ‫درسنا‬ ‫الميل‬ ‫وهذا‬ ، ‫القيم‬ ‫من‬ ‫كبير‬ ‫عدد‬ ‫حولها‬ ‫تتراكم‬ ‫واحدة‬ ‫قيمة‬ ‫اي‬ ‫مقياس‬ ‫عن‬ ‫سنبحث‬ ‫لذلك‬ ، ‫الدراسة‬ ‫موضوع‬ ‫المركزية‬ ‫النزعة‬ ‫بمقياس‬ ‫القيمة‬ ‫تلك‬ ‫وتسمى‬ ‫البياني‬ ‫للتوزيع‬ ‫المركزية‬ ‫بالنزعة‬ ‫يسمى‬ ‫القيمة‬ ‫تلك‬ ‫حول‬ . )Measures of Central Tendency ( ‫التوزيعات‬ ‫وصف‬ ‫في‬ ‫كبيرة‬ ‫اهمية‬ ‫ذات‬ ‫احصائية‬ ‫قيم‬ ‫هي‬ )‫المتوسطة‬ ‫(القيم‬ ‫المركزية‬ ‫النزعة‬ ‫مقاييس‬ ‫ان‬ : ‫هي‬ ‫المرحلة‬ ‫هذه‬ ‫في‬ ‫دراستها‬ ‫سنتناول‬ ‫التي‬ ‫المركزية‬ ‫النزعة‬ ‫مقاييس‬ ‫اهم‬ ‫ومن‬ ،‫البيانية‬ . Arithmatic Mean ‫الحسابي‬ ‫الوسط‬ - 1 .Median ‫الوسيط‬ - 2 . Mode ‫المنوال‬ - 3 . ‫وعيوبها‬ ‫ومزاياها‬ ‫استخراجها‬ ‫طريقة‬ ‫مبسط‬ , ‫بشكل‬ ‫لبساطة‬ ً‫ا‬‫استخدام‬ ‫واكثرها‬ ً‫ا‬‫شيوع‬ ‫المركزية‬ ‫النزعة‬ ‫مقاييس‬ ‫اكثر‬ ‫المتوسط‬ ‫او‬ ‫الحسابي‬ ‫الوسط‬ ‫يعتبر‬ ‫االصلية‬ ‫او‬ ‫االولية‬ ‫(البيانات‬ ‫المبوية‬ ‫غير‬ ‫للبيانات‬ ‫الحسابي‬ ‫للوسط‬ ً‫ا‬‫تعريف‬ ‫هنا‬ ‫نعطي‬ . ‫واستخراجه‬ ‫حسابه‬ )‫جدول‬ ‫بشكل‬ ‫توضع‬ ‫او‬ ‫تبوب‬ ‫ولم‬ ‫جمعت‬ ‫التي‬ ]10-1[ ‫تعريف‬ ‫على‬ ً‫ا‬‫مقسوم‬ ‫القيم‬ ‫مجموع‬ ‫بانه‬ ‫مبوبة‬ ‫غير‬ ‫لبيانات‬ ‫القيم‬ ‫من‬ ‫لمجموعة‬ ‫الحسابي‬ ‫الوسط‬ ‫يعرف‬ ) X bar ‫بار‬ ‫أكس‬ ‫(ويقرأ‬ X ‫بالرمز‬ ‫عادة‬ ‫الحسابي‬ ‫للوسط‬ ‫ويرمز‬ ‫عددها‬ ‫االحصاء‬
  • 209.
    209 : ‫يكون‬ ‫عندئذ‬xi :x1 , x2 , x3 , .... : xn : ‫هي‬ xi ‫قيم‬ ‫من‬ n ‫لدينا‬ ‫كان‬ ‫فاذا‬ . ) 8 , 6 , 4 , 5 , 7 , 2 , 3 ( : ‫االتية‬ ‫لالعداد‬ ‫الحسابي‬ ‫الوسط‬ ‫اوجد‬ / ‫احلل‬ : ‫هو‬ x ‫الحسابي‬ ‫الوسط‬ . ) 24 , 20 , 18 , 16 , 12 , 10 , 8 , 4 ( : ‫هي‬ ‫بالسنين‬ ‫اشخاص‬ ‫ثمانية‬ ‫اعمار‬ ‫كانت‬ ‫اذا‬ .‫العمارهم‬ ‫الحسابي‬ ‫الوسط‬ ‫جد‬ /‫احلل‬ (1) ‫مثال‬ 10 - 1‫غير‬ ‫للبيانات‬ ‫احلسابي‬ ‫الوسط‬ ‫املبوبة‬ x = x1 + x2 + x3 + ...+ xn n x1 + x2 + x3 + ....+ xn n X = x = x1 + x2 + x3 + ...+ xn n x1 + x2 + x3 + ....+ x7 7 x = x = x1 + x2 + x3 + ...+ xn n 3 + 2 + 7 + 5 +4 +6 + 8 7 x = x= x1 +x2 +x3 +...+xn n 35 7 x = = 5 (2) ‫مثال‬ x = x1 + x2 + x3 + ...+ xn n x1 + x2 + ....+ x8 8 x = , n = 8 x = x1 + x2 + x3 + ... + xn n 4 + 8 + 10 + 12 +16 +18 + 20 + 24 8 x = x= x1 +x2 +x3 +...+xn n 112 8 = = 14
  • 210.
    210 fi ‫تكرار‬ ‫من‬ n‫ويقابلها‬Xi :X1 , X2 , X3 , .... : Xn : ‫هي‬ Xi ‫قيم‬ ‫من‬ n ‫لدينا‬ ‫كان‬ ‫اذا‬ . fi :f1 , f2 , f3 , .... : fn : ‫وهي‬ ‫على‬ ً‫ا‬‫مقسوم‬ fi ‫المناظرة‬ ‫التكرارات‬ ‫في‬ X1 ‫ضرب‬ ‫حواصل‬ ‫مجموع‬ ‫بانه‬ ‫الحسابي‬ ‫الوسط‬ ‫فيعرف‬ . ‫التكرارات‬ ‫مجموع‬ : ‫اي‬ : ‫شخص‬ )14( ‫العمار‬ ‫التالي‬ ‫التكراري‬ ‫للتوزيع‬ ‫الحسابي‬ ‫الوسط‬ ‫اوجد‬ ‫العمر‬131098 ‫االشخاص‬ ‫عدد‬2453 / ‫احلل‬ x1 = 8 , f1 = 3 , x2 = 9 , f2 = 5 , .... (3) ‫مثال‬ 10 - 2‫للتوزيع‬ ‫احلسابي‬ ‫الوسط‬ ‫البسيط‬ ‫التكراري‬ x = x1 + x2 + x3 + ... + xn n x1 f1 + x2 f2 + x3 f3 +...+ xn fn f1 + f2 + f3 +...+ fn x = x = x1 + x2 + x3 + ... + xn n x1 f1 + x2 f2 + x3 f3 + x4 f4 f1 + f2 + f3 + f4 x = x = x1 + x2 + x3 + ... + xn n )8()3( + )9()5( + )10()4( + )13()2( 3 + 5 + 4 + 2 x = x = x1 + x2 + x3 + ...+ xn n 24 + 45 + 40 + 26 14 = x = x1 + x2 + x3 +...+ xn n 135 14 =
  • 211.
    211 : ‫االتي‬ ‫الجدول‬‫في‬ ‫كما‬ ‫السؤال‬ ‫حل‬ ‫يمكن‬ x1 f1 x1 f1 8 3 (8)(3)=24 9 5 (9)(5)=45 10 4 (10)(4)=40 13 2 (13)(2)=26 14 135 ]10-2[ ‫تعريف‬ ‫يرمز‬ ‫(والتي‬ ‫الفئات‬ ‫مراكز‬ ‫ضرب‬ ‫حواصل‬ ‫مجموع‬ ‫بأنه‬ ‫المبوبة‬ ‫للبيانات‬ ‫الحسابي‬ ‫الوسط‬ ‫يعرف‬ . ‫التكرارات‬ ‫مجموع‬ ‫على‬ ‫الناتج‬ ‫وقسمة‬ f i ‫المناظرة‬ ‫التكرارات‬ ‫في‬ )Xi ‫لها‬ ‫المناظرة‬ ‫التكرارات‬ ‫وإن‬ x1 ، x2 ،x3 ,.....xn :‫التوالي‬ ‫على‬ ‫وهي‬ ‫الفئات‬ ‫مراكز‬ ‫من‬ n ‫لدينا‬ ‫كان‬ ‫فإذا‬ :‫اآلتي‬ ‫القانون‬ ‫بحسب‬ x ‫الحسابي‬ ‫الوسط‬ ‫يكون‬ ‫عندئذ‬ .‫التوالي‬ ‫على‬ f1 , f2 , f3 , ......fn :‫هي‬ ‫لها‬ 10 - 3‫للتوزيع‬ ‫احلسابي‬ ‫الوسط‬ ‫الفئات‬ ‫ذي‬ ‫التكراري‬ x = x1 + x2 + x3 + ... + xn n f1 x1 + f2 x2 + ... + xn fn f1 + f2 + f3 +... + fn x = ∴x = 135 14 ‫المجموع‬
  • 212.
    212 :‫التالية‬ ‫الخطوات‬ ‫نتبع‬‫المبوبة‬ ‫للبيانات‬ ‫الحسابي‬ ‫الوسط‬ ‫وإليجاد‬ . xi ‫الفئات‬ ‫من‬ ‫فئة‬ ‫كل‬ ‫مركز‬ ‫نجد‬ )1 . fi ‫لها‬ ‫المناظر‬ ‫التكرار‬ ‫في‬ xi ‫فئة‬ ‫كل‬ ‫مركز‬ ‫نضرب‬ )2 .‫الضرب‬ ‫حواصل‬ ‫مجموع‬ ‫نجد‬ )3 ‫مجموع‬ ‫على‬ ‫وقسمتها‬ ‫التكرارات‬ ‫في‬ ‫الفئات‬ ‫مراكز‬ ‫ضرب‬ ‫حواصل‬ ‫مجموع‬ ‫بقسمة‬ x ‫نجد‬ )4 . ‫التكرارات‬ .)kg( ‫غرام‬ ‫بالكيلو‬ ‫الوزن‬ ‫فئات‬ ‫حسب‬ ‫حاجة‬ 150 ‫توزيع‬ ‫يمثل‬ ‫التالي‬ ‫الجدول‬ ‫الوزن‬ 15- 25- 35- 45- 55- 65-75 ‫احلاجات‬ ‫عدد‬ 9 15 23 30 33 40 .‫للوزن‬ ‫الحسابي‬ ‫الوسط‬ ‫إحسب‬ :‫الفئات‬ ‫مراكز‬ ‫نجد‬ / ‫احلل‬ : x1 ‫األولى‬ ‫الفئة‬ ‫مركز‬ :‫التالي‬ ‫اجلدول‬ ‫نعمل‬ ‫وهكذا‬ : x2 ‫الثانية‬ ‫الفئة‬ ‫مركز‬ fi xi xi ‫الفئات‬ ‫مركز‬fi ‫التكرار‬‫الوزن‬ ‫فئات‬ (9)(20)=18020915- (15)(30)= 450301525- (23)(40)= 920402335- (30)(50)= 1500503045- (33)(60)= 1980603355- (40)(70)= 2800704065-75 7830150 4 ‫مثال‬ x = x1 + x2 + x3 +...+ xn n x= x1 +x2 +x3 +...+xn n 40 2 15 + 25 2 x1 = = = 20 x = x1 + x2 + x3 +...+ xn n x= x1 +x2 +x3 +...+xn n 60 2 25 + 35 2 x2 = = = 30 ‫المجموع‬
  • 213.
    213 :‫اآلتي‬ ‫التكراري‬ ‫اجلدول‬‫من‬ ‫احلسابي‬ ‫الوسط‬ ‫جد‬ ‫الفئات‬ 60- 62- 64- 66- 68-70 ‫التكرار‬ 5 18 42 27 8 :x1 ‫األولى‬ ‫الفئة‬ ‫مركز‬ ‫جند‬ /‫احلل‬ :‫اآلتي‬ ‫اجلدول‬ ‫نعمل‬ :x2 ‫الثانية‬ ‫الفئة‬ ‫مركز‬ ‫جند‬ fi xi xi ‫الفئات‬ ‫مركز‬fi ‫التكرار‬‫الفئات‬ (5)(61)=30561560- (18)(63)=1134631862- (42)(65)=2730654264- (27)(67)=1809672766- (8)(69)=55269868- 6530100 x = x1 + x2 + x3 + ... + xn n f1 x1 + f2 x2 + ... + xn fn f1 + f2 + ... + fn x = x= x1 +x2 +x3 +...+xn n 7830 150 x = = 52.2kg 5 ‫مثال‬ x = x1 + x2 + x3 +...+ xn n x= x1 +x2 +x3 +...+xn n 122 2 60 + 62 2 x1 = = = 61 x = x1 + x2 + x3 +...+ xn n x= x1 +x2 +x3 +...+xn n 126 2 62 + 64 2 x2 = = = 63 x = x1 + x2 + x3 + ... + xn n f1 x1 + f2 x2 + ... + xn fn f1 + f2 + ... + fn x = x= x1 +x2 +x3 +...+xn n 6530 100 x = = 65.3
  • 214.
    214 :‫املزايا‬ :ً‫ال‬‫أو‬ . ‫حسابه‬‫بسهولة‬ ‫يمتاز‬ * .‫حسابه‬ ‫في‬ ‫القيم‬ ‫جميع‬ ‫تدخل‬ * :‫العيوب‬ :ً‫ا‬‫ثاني‬ ً‫ا‬‫بياني‬ ‫إيجاده‬ ‫اليمكن‬ * ‫القيم‬ ‫لمعظم‬ ‫بالنسبة‬ ً‫ا‬‫جد‬ ‫صغيرة‬ ‫أو‬ ً‫ا‬‫جد‬ ‫كبيرة‬ ‫تكون‬ ‫التي‬ ‫المتطرفة‬ ‫او‬ ‫الشاذة‬ ‫بالقيم‬ ‫يتأثر‬ * .‫الحسابي‬ ‫الوسط‬ ‫قيمة‬ ‫تخفض‬ ‫أو‬ ‫ترفع‬ ‫وبالتالي‬ ‫الحسابي‬ ‫الوسط‬ ‫فيكون‬ ‫لها‬ ‫الحسابي‬ ‫الوسط‬ ‫وتجد‬ 1 , 3 , 7 , 9 , 10 :‫االتية‬ ‫االعداد‬ ‫لتأخذ‬ :ً‫ال‬‫مث‬ : ‫حيث‬ x ‫لها‬ ‫االعداد‬ ‫لهذه‬ ‫الحسابي‬ ‫والوسط‬ 300 , 10 , 9 , 7 , 3 , 1 ‫االعداد‬ ‫فتكون‬ 300 ‫العدد‬ ‫لها‬ ‫اضفنا‬ ‫لو‬ ‫يكون‬ ‫المرة‬ ‫هذه‬ ‫للقيم‬ ‫بالنسبة‬ )55( ‫اصبح‬ ‫بينما‬ )6( ‫هو‬ 1 , 3 , 7 , 9 , 10 ‫للقيم‬ ‫الحسابي‬ ‫الوسط‬ ‫الحظ‬ .ً‫ا‬‫جد‬ ‫الصغيرة‬ ‫للقيم‬ ‫بالنسبة‬ ‫الشي‬ ‫ونفس‬ 1 , 3 , 7 , 9 ,10 , 300 10 - 4 ‫احلسابي‬ ‫الوسط‬ ‫وعيوب‬ ‫مزايا‬ x = x1 + x2 + x3 + ...+ xn n 1 + 3 + 7 + 9 + 10 5 x = =x= x1+x2+x3+...+xn n 30 5 = 6 x = x1 + x2 + x3 + ... + xn n 1 + 3 + 7 + 9 + 10+300 6 x = =x= x1+x2+x3+...+xn n 330 6 = 55
  • 215.
    215 (1) ‫مثال‬ ‫وسنقتصر‬ .‫المركزية‬‫النزعة‬ ‫مقاييس‬ ‫من‬ ‫آخر‬ ً‫ا‬‫مهم‬ ً‫ا‬‫قياس‬ ) ‫القيم‬ ( ‫البيانات‬ ‫من‬ ‫مجموعة‬ ‫وسيط‬ ‫يعتبر‬ . ‫المبوبة‬ ‫غير‬ ‫للبيانات‬ ‫الوسيط‬ ‫وايجاد‬ ‫تعريف‬ ‫على‬ ‫المرحلة‬ ‫لهذه‬ ‫دراستنا‬ ‫في‬ ]10-3[ ‫تعريف‬ : ‫حالة‬ ‫في‬ x1 , x2 ...., xn : ‫القيم‬ ‫من‬ ‫مجموعة‬ ‫وسيط‬ ‫فردي‬ ‫عدد‬ n :ً‫ال‬‫او‬ n+1 2 ‫ترتيبه‬ ‫ويكون‬ ً‫ا‬‫تنازلي‬ ‫او‬ ً‫ا‬‫تصاعدي‬ ‫القيم‬ ‫ترتيب‬ ‫عند‬ ‫الوسط‬ ‫في‬ ‫تقع‬ ‫التي‬ ‫القيمة‬ ‫هو‬ ‫زوجي‬ ‫عدد‬ n :ً‫ا‬‫ثاني‬ . ً‫ا‬‫تنازلي‬ ‫او‬ ً‫ا‬‫تصاعدي‬ ‫القيم‬ ‫ترتيب‬ ‫بعد‬ ‫الوسطيتين‬ ‫القيمتين‬ )‫(معدل‬ ‫منتصف‬ ‫في‬ ‫تقع‬ ‫التي‬ ‫القيمة‬ ‫هو‬ . ME ‫بالرمز‬ ‫للوسيط‬ ‫وسنرمز‬ ‫ترتيبها‬ ‫ويكون‬ 3 , 2 , 4 , 6 , 5 :‫االتية‬ ‫للقيم‬ ‫الوسيط‬ ‫جد‬ ‫الوسيط‬ ‫ترتيب‬ :‫يلي‬ ‫كما‬ ً‫ا‬‫تصاعدي‬ ‫القيم‬ ‫بترتيب‬ ‫نقوم‬ / ‫احلل‬ 2 , 3 , 4 , 5 , 6 .‫الوسط‬ ‫في‬ ‫تقع‬ ‫الوسيط‬ ‫قيمة‬ ‫فان‬ )5( ‫فردي‬ ‫القيم‬ ‫عدد‬ ‫الن‬ ∴ ME = 4 3 , 2 , 4 , 5 , 6 , 9 :‫االتية‬ ‫للقيم‬ ‫الوسيط‬ ‫جد‬ ‫هما‬ ‫الوسيطين‬ ‫ترتيب‬ 2 , 3 , 4 , 5 , 6 , 9 :‫يلي‬ ‫كما‬ ً‫ا‬‫تصاعدي‬ ‫القيم‬ ‫بترتيب‬ ‫نقوم‬ / ‫احلل‬ : ‫واضح‬ ‫كما‬ ‫وهما‬ ‫الوسط‬ ‫في‬ ‫للقيمتين‬ ‫الحسابي‬ ‫الوسط‬ ‫هي‬ ‫الوسيط‬ ‫قيمة‬ ‫فان‬ )6( ‫زوجي‬ ‫القيم‬ ‫عدد‬ ‫الن‬ 10 - 5‫الوسيط‬ (2) ‫مثال‬ ME = =x= x1+x2+x3+...+xn n 9 2 = 4.5x= x1+x2+x3+...+xn n 4 + 5 2 n 2 , n 2 +1 n+1 2 ⇒ 5 +1 2 = 3 n 2 = 6 2 = 3,4
  • 217.
    217 ‫المبوبة‬ ‫غير‬ ‫للبيانات‬‫تعريفه‬ ‫ويمكن‬ .‫المركزية‬ ‫النزعة‬ ‫مقاييس‬ ‫من‬ ‫مهما‬ َ‫آخر‬ ً‫ا‬‫مقياس‬ ‫المنوال‬ ‫يعتبر‬ .‫يلي‬ ‫كما‬ ]10-4[ ‫تعريف‬ ‫غيرها‬ ‫من‬ ‫اكثر‬ ‫تتكرر‬ ‫التي‬ ‫اي‬ ‫الشائعة‬ ‫القيمة‬ ‫هو‬ x1 , x2 ...., xn ‫القيم‬ ‫مجموعة‬ ‫منوال‬ .MO ‫بالرمز‬ ‫للمنوال‬ ‫وسنرمز‬ . ‫المجموعة‬ ‫قيم‬ ‫ضمن‬ :‫االتية‬ ‫للقيم‬ ‫المنوال‬ ‫جد‬ 11 , 9 , 5 , 4 , 8 , 6 , 9 ,13 , 1 2 , 7 /‫احلل‬ :‫فان‬ ‫لذا‬ ‫مرتين‬ ‫تكررت‬ )9( ‫القيمة‬ ‫ان‬ ‫الحظ‬ MO = 9 :‫االتية‬ ‫للقيم‬ ‫المنوال‬ ‫جد‬ 10 ، 5 ، 5 ، 4 ، 7 ، 8 ،2 ، 12 ، 2 ، 3 / ‫احلل‬ ‫هما‬ ‫منواالن‬ ‫القيم‬ ‫لهذه‬ ‫فيكون‬ ‫مرتين‬ ‫تكررت‬ )2( ‫القيمة‬ ‫كذلك‬ ‫مرتين‬ ‫تكررت‬ )5( ‫القيمة‬ : ‫ان‬ ‫الحظ‬ : ‫اي‬ 5 , 2 MO = 2 , MO = 5 10- 7‫املنوال‬ (1) ‫مثال‬ (2) ‫مثال‬
  • 218.
    218 10 - 8‫املنوال‬‫وعيوب‬ ‫مزايا‬ ‫االتية؟‬ ‫للقيم‬ ‫منوال‬ ‫يوجد‬ ‫هل‬ 12 , 17 ,13 , 9 , 8 , 2 , 5 , 4 , 1 / ‫احلل‬ . ‫القيم‬ ‫هذه‬ ‫من‬ ‫قيمة‬ ‫أية‬ ‫تكرار‬ ‫عدم‬ ‫هو‬ ‫والسبب‬ ‫منوال‬ ‫القيم‬ ‫لهذه‬ ‫ليس‬ ‫املزايا‬ :ً‫ال‬‫او‬ .‫والحساب‬ ‫الفكرة‬ ‫حيث‬ ‫من‬ ‫بسيط‬ * .‫المتطرفة‬ ‫او‬ ‫الشاذة‬ ‫بالقيم‬ ‫يتأثر‬ ‫ال‬ * ‫العيوب‬ :ً‫ا‬‫ثاني‬ . ‫منوال‬ ‫هناك‬ ‫يكون‬ ‫ال‬ ‫قد‬ * .‫منوال‬ ‫من‬ ‫اكثر‬ ‫هناك‬ ‫يكون‬ ‫قد‬ * (3) ‫مثال‬
  • 219.
    219 :‫يأتي‬ ‫مما‬ ‫لكل‬‫والمنوال‬ ‫الوسيط‬ ،‫الحسابي‬ ‫الوسط‬ ‫امكن‬ ‫ان‬ ‫جد‬ /1‫س‬ a) 11 , 20 , 5 , 8 , 12 , 17 , 9 b) 8 , 4 , 9 , 5 , 2 , 4 , 4 , 2 , 6 , 7 , 2 c) 12 , 24 , 16 , 20 ,10 , 8 ,18 , 4 , 20 d) 2 , 5 , 9 , 5 , 7 , 7 ,11 , 9 , 7 .‫الحسابي‬ ‫الوسط‬ ‫جد‬ ‫االتي‬ ‫الجدول‬ ‫من‬ /2‫س‬ 201712796‫الوزن‬ 756432‫العدد‬ :‫االتي‬ ‫التكراري‬ ‫الجدول‬ ‫من‬ ‫غرام‬ ‫بالكيلو‬ ً‫ا‬‫طالب‬ )40( ‫الوزان‬ ‫الحسابي‬ ‫الوسط‬ ‫اوجد‬ /3‫س‬ 70- 8060-50-40-30-‫االوزان‬ 6541510‫التكرار‬ :‫االتي‬ ‫الجدول‬ ‫في‬ ‫المعطاة‬ ‫للقيم‬ ‫الحسابي‬ ‫الوسط‬ ‫احسب‬ / 4‫س‬ 20-2317-14-11-8-5-‫الفئة‬ 5237911‫التكرار‬ 10 1
  • 220.
    ‫الفهرست‬ 4 - 30...........................‫التطبيقات‬ /‫االول‬ ‫الفصل‬ 31 - 45 ..................... ‫الحقيقية‬ ‫االعداد‬ /‫الثاني‬ ‫الفصل‬ 46 - 71......................... ‫الحدوديات‬ /‫الثالث‬ ‫الفصل‬ 72 - 113......................... ‫المتباينات‬ /‫الرابع‬ ‫الفصل‬ 114 - 133............... ‫المثلث‬ - ‫الهندسة‬ /‫الخامس‬ ‫الفصل‬ 134 - 163......................... ‫الدائرة‬ /‫السادس‬ ‫الفصل‬ 164 - 177................. ‫االحداثية‬ ‫/الهندسة‬ ‫السابع‬ ‫الفصل‬ 178 - 198................. ‫التحويالت‬ ‫هندسة‬ /‫الثامن‬ ‫الفصل‬ 199-206................... ‫المثلثات‬ ‫/حساب‬ ‫التاسع‬ ‫الفصل‬ 207 - 219......................... ‫االحصاء‬ /‫العاشر‬ ‫الفصل‬