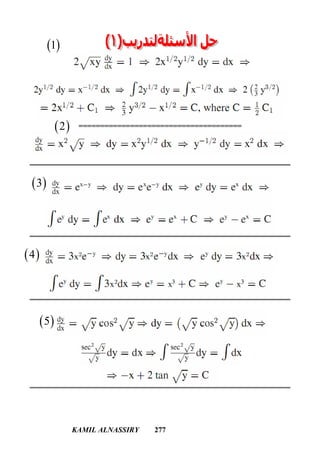
‫ﺍﻟﻨﺎﺻﺮﻱ‬‫ﻣﻮﺳﻰ‬‫ﻛﺎﻣﻞ‬)1(
‫ﺍﳌﺮﻛﺒﺔ‬ ‫ﺃﻷﻋﺪﺍﺩ‬The Complex Numbers
‫اﻟﻤﻘﺪﻣﺔ‬:‫اﻟﺜﺎﻧﯿﺔ‬ ‫اﻟﺪرﺟﺔ‬ ‫ﻣﻌﺎدﻟﺔ‬ ‫ﺣﻞ‬ ‫ﻓﻲ‬ ‫ﺳﺎﺑﻘﺎ‬ ‫ﺗﻌﻠﻤﺖ‬‫إذا‬‫ﻛﺎن‬D‫ھﻮ‬ ‫واﻟﺬي‬ ‫اﻟﻤﻤﯿﺰ‬ ‫اﻟﻤﻘﺪار‬
2
4b a c‫ﺳﺎﻟﺒﺎ‬
‫ﻓ‬‫ﻠ‬‫ﻓﻲ‬ ‫ﺣﻞ‬ ‫ﻟﻠﻤﻌﺎدﻟﺔ‬ ‫ﯿﺲ‬)‫اﻟﺤﻘﯿﻘﯿﺔ‬ ‫اﻷﻋﺪاد‬ ‫ﻣﺠﻤﻮﻋﺔ‬(.‫اﻟﺜﺎﻧ‬ ‫اﻟﺪرﺟﺔ‬ ‫ﻣﻦ‬ ‫واﻟﻤﻌﺎدﻟﺔ‬‫ﺑﺎﻟﺸﻜﻞ‬ ‫واﻟﺘﻲ‬ ‫ﯿﺔ‬
2
0 ( 0)x a a  ‫ﻓﻲ‬ ‫ﺣﻞ‬ ‫ﻟﮭﺎ‬ ‫ﻟﯿﺲ‬، ‫أﯾﻀﺎ‬‫ﻧ‬ ‫ﺣﯿﺚ‬‫ﻋﺪد‬ ‫أي‬ ‫وﺟﻮد‬ ‫ﻋﺪم‬ ‫ﻼﺣﻆ‬
‫ﻓﻲ‬ ‫ﺣﻞ‬ ‫ﻟﮭﺎ‬ ‫ﻟﯿﺲ‬ ‫ﯾﻘﺎل‬ ‫ﻟﺬا‬ ‫ﯾﺤﻘﻘﮭﺎ‬ ‫ﺣﻘﯿﻘﻲ‬‫ﻧﺤﻦ‬ ‫ﻟﺬا‬‫ﺑﺤﺎﺟﺔ‬‫ﻣﻦ‬ ‫اﻟﻨﻮع‬ ‫ھﺬا‬ ‫ﺣﻞ‬ ‫ﻓﯿﮫ‬ ‫ﯾﻤﻜﻦ‬ ‫ﻟﻨﻈﺎم‬
‫اﺳﺘﻌﻤﻞ‬ ‫ﻓﻠﻘﺪ‬ ، ‫اﻟﻤﻌﺎدﻻت‬‫اوﯾﻠﺮ‬)Euler(‫اﻟﺮﻣﺰ‬i‫ﯾﺴﺎوي‬ ‫ﻣﺮﺑﻌﮫ‬ ‫ﻋﺪد‬ ‫ﻋﻦ‬ ‫ﻟﻠﺘﻌﺒﯿﺮ‬  1
‫أي‬‫ﺑﺎ‬ ‫ﯾﻌﻨﻲ‬‫ﻟﺮﻣﺰ‬i‫ﺑـ‬1،‫ﻓﺄﺻﺒﺢ‬
2
1i  ‫ﻓ‬‫اﻟﻤﻌﺎدﻟﺔ‬ ‫ﻤﺜﻼ‬:
2
1 0x  
2 2
x ix i ‫ﺣﻠﯿﻦ‬ ‫ﻟﻠﻤﻌﺎدﻟﺔ‬ ‫أي‬.
‫اﻟﻤﻌﺎدﻟﺔ‬ ‫أﻣﺎ‬:
2
6 25 0x x  ‫ﻓ‬‫أﯾﻀﺎ‬ ‫ﻟﮭﺎ‬ ‫ﻠﯿﺲ‬‫ﻓﻲ‬ ‫ﺣﻞ‬
‫وﺗﻜﻮن‬
2
6 25x x  2
6 9 25 9x x     
2
( 3) 16x    2
( 3) 16 ( 1)x     
2 2
( 3) 16x i  3 4x i  3 4x i 
‫ھﻤﺎ‬ ‫ﺣﻠﯿﻦ‬ ‫ﻟﻠﻤﻌﺎدﻟﺔ‬ ‫أـﺼﺒﺢ‬:3 4 , 3 4x i x i   
‫اﯾﻠﺮ‬ ‫أوﺟﺪ‬ ‫ﺳﺒﻖ‬ ‫ﻣﻤﺎ‬‫ﻣﻌﻘﺪ‬ ‫ﻋﺪدي‬ ‫ﻧﻈﺎم‬)‫ﻣﺮﻛﺐ‬(‫ﻣﻦ‬ ‫ﻣﺮﺗﺒﺔ‬ ‫أزواج‬ ‫ﻣﺠﻤﻮﻋﺔ‬ ‫ﻟﯿﺤﻮي‬‫اﻷﻋﺪاد‬‫اﻟﺤﻘﯿﻘﯿﺔ‬
(a , b)‫اﻟﻌﺪد‬ ‫اﻟﻤﺮﺗﺐ‬ ‫اﻟﺰوج‬ ‫ھﺬا‬ ‫ﯾﺴﺎوي‬ ‫ﺣﯿﺚ‬; 1z a bi where i   
‫اﻟﻌﺪد‬ ‫ﻋﻠﻰ‬ ‫وأﻃﻠﻖ‬i‫اﻟﻮﺣﺪة‬ ‫اﺳﻢ‬‫اﻟﺘﺨﯿﻠﯿﺔ‬Imaginary Unit‫ﯾﺴﺎوي‬ ‫ﻣﺮﺑﻌﮫ‬ ‫ﻋﺪد‬ ‫ﻋﻦ‬ ‫ﻟﻠﺘﻌﺒﯿﺮ‬-1
‫اﻟﻤﺮﻛﺐ‬ ‫اﻟﻌﺪد‬ ‫أﻣﺎ‬a bi‫اﻟﻘﯿﺎﺳﯿﺔ‬ ‫اﻟﺼﯿﻐﺔ‬ ‫ﻓﺄﺳﻤﺎه‬‫اﻻﻋﺘﯿﺎدﯾ‬ ‫أو‬‫ﺔ‬‫ﻟﻠﻌﺪد‬
‫اﻟﻤﺮﻛﺐ‬Standard Form of Complex Number   .‫ﻓﺄ‬ ‫اﻟﻤﺮﻛﺒﺔ‬ ‫اﻷﻋﺪاد‬ ‫ﻣﺠﻤﻮﻋﺔ‬ ‫أﻣﺎ‬‫ﻋﻄﯿﺖ‬
‫اﻟﺮﻣﺰ‬‫ﯾﻠﻲ‬ ‫ﻛﻤﺎ‬ ‫اﻟﻤﺮﻛﺒﺔ‬ ‫اﻷﻋﺪاد‬ ‫ﻣﺠﻤﻮﻋﺔ‬ ‫ﺗﻌﺮف‬ ‫ﻟﺬا‬:
 | ; ,z z x y i x y     
‫ﻣﻼﺣﻈﺔ‬: 
22
1 1  ,  sin      1 1 1ce      
‫اﻋﺘﺬار‬:‫اﺳﺘﻌﻤﻠﺖ‬‫اﻻﻧﻜﻠﯿﺰﯾﺔ‬ ‫اﻟﻠﻐﺔ‬‫اﻟﻌﺮﺑﯿﺔ‬ ‫ﻟﻠﻐﺔ‬ ‫ﺑﺎﻟﻨﺴﺒﺔ‬ ‫ﺿﻌﯿﻒ‬ ‫اﻟﻄﺒﺎﻋﺔ‬ ‫ﺑﺮﻧﺎﻣﺞ‬ ‫ﻷن‬ ‫اﻟﺘﺮﻣﯿﺰ‬ ‫ﺿﻤﻦ‬
‫ﺍﻟﻨﺎﺻﺮﻱ‬‫ﻣﻮﺳﻰ‬‫ﻛﺎﻣﻞ‬)2(
‫ﻣ‬‫وﺗﺴﻤﯿﺎت‬ ‫ﺼﻄﻠﺤﺎت‬
‫ﻟﯿﻜﻦ‬z = x + i y‫ﻣﺮﻛﺒﺎ‬ ‫ﻋﺪدا‬
(1‫اﻟﺤﻘﯿﻘﻲ‬ ‫ﻟﻠﻌﺪد‬ ‫ﯾﻘﺎل‬x‫أﻧﮫ‬)‫اﻟﺤﻘﯿﻘﻲ‬ ‫اﻟﺠﺰء‬Real part(‫ﺑﺎﺧﺘﺼﺎر‬ ‫ﻟﮫ‬ ‫وﯾﺮﻣﺰ‬:Re ( z ) = x
(2‫اﻟﺤﻘﯿﻘﻲ‬ ‫ﻟﻠﻌﺪد‬ ‫ﯾﻘﺎل‬y‫أﻧﮫ‬)‫اﻟﺘﺨﯿﻠﻲ‬ ‫اﻟﺠﺰء‬Imaginary part(‫ﺑﺎﺧﺘﺼﺎر‬ ‫ﻟﮫ‬ ‫وﯾﺮﻣﺰ‬:Im ( z ) = y
(3‫إذا‬‫ﻛﺎن‬y = 0‫ﻋﻨﺪﺋﺬ‬ ‫ﻓﯿﻜﻦ‬z = x‫وﯾﺼﺒﺢ‬z‫ﺣﻘﯿﻘﯿﺎ‬ ‫ﻋﺪدا‬
‫ﺑﺎﻟﺼﻮرة‬ ‫ﻣﺮﻛﺒﺎ‬ ‫ﻋﺪدا‬ ‫ھﻮ‬ ‫ﺣﻘﯿﻘﻲ‬ ‫ﻋﺪد‬ ‫ﻛﻞ‬ ‫أن‬ ‫أي‬z = x + 0i‫اﻟﺤﻘﯿﻘﯿﺔ‬ ‫اﻷﻋﺪاد‬ ‫ﻣﺠﻤﻮﻋﺔ‬ ‫ﺗﻜﻮن‬ ‫ﻟﺬا‬
‫اﻟﻤﺮﻛﺒﺔ‬ ‫اﻷﻋﺪاد‬ ‫ﻣﺠﻤﻮﻋﺔ‬ ‫ﻣﻦ‬ ‫ﺟﺰﺋﯿﺔ‬ ‫ﻣﺠﻤﻮﻋﺔ‬ ‫ھﻲ‬.
(4‫إذا‬‫ﻛﺎن‬x = 0‫ﺑﺎﻟﺸﻜﻞ‬ ‫اﻟﻤﺮﻛﺐ‬ ‫اﻟﻌﺪد‬ ‫ﻓﯿﺼﺒﺢ‬z = y i‫اﻟﻤ‬ ‫اﻟﻌﺪد‬ ‫ﻋﻠﻰ‬ ‫وﯾﻄﻠﻖ‬‫اﺳﻢ‬ ‫اﻟﺤﺎﻟﺔ‬ ‫ھﺬه‬ ‫ﻓﻲ‬ ‫ﺮﻛﺐ‬:
‫ﺑﺤﺖ‬ ‫ﻣﺮﻛﺐ‬ ‫ﻋﺪد‬Pure imaginary number
(5‫اﻻﻋﺘﯿﺎدي‬ ‫أو‬ ‫اﻟﺠﺒﺮي‬ ‫اﻟﺸﻜﻞ‬z = x + i y‫أﺧﺮى‬ ‫ﺻﯿﻐﺔ‬ ‫ﻟﮫ‬‫ھﻲ‬z = ( x , y )‫ﺑﺎﻟﺼﯿﻐﺔ‬ ‫ﺗﺴﻤﻰ‬
‫اﻟﺪﯾﻜﺎرﺗﯿﺔ‬‫ﻟﯿﻤﺜﻞ‬ ‫اﻟﻤﺮﻛﺐ‬ ‫ﻟﻠﻌﺪد‬z‫ﻓﻲ‬ ‫وﺣﯿﺪة‬ ‫ﻧﻘﻄﺔ‬‫ا‬‫اﻟﻤﺮﻛ‬ ‫ﻟﻤﺴﺘﻮى‬‫ﺐ‬( Complex plane).
‫ﻣﺜﻼ‬:‫ﺑﯿﺎﻧﯿﺎ‬ ‫ﻣﻤﺜﻠﺔ‬ ‫اﻟﺘﺎﻟﯿﺔ‬ ‫اﻟﻤﺮﻛﺒﺔ‬ ‫اﻷﻋﺪاد‬:2 +5i , - 5 +i , 4 – 3i , -5i
Real axis
Imaginaryaxis
- 5 i
- 5+ i
2 + 5 i
4 – 3 i
‫ﺍﻟﻨﺎﺻﺮﻱ‬‫ﻣﻮﺳﻰ‬‫ﻛﺎﻣﻞ‬)3(
‫ﻣﺜﻼ‬:‫اﻟﻤﺮﻛﺐ‬ ‫ﻟﻠﻌﺪد‬z‫ﺟﺪ‬ ‫اﻟﺘﺎﻟﻲ‬:Im(z) , Re(z)
1 1 11) 2 3 Re( ) 2 ; Im( ) 3z i z z     
2 2 22) 2 3 Re( ) 3 ; Im( ) 2z i z z     
3 3 33) 2 3 Re( ) 2 ; Im( ) 3z i a b i z a z b         
4 4 44) 5 Re( ) 0 ; Im( ) 5z i z z   
5 5 55) 6 Re( ) 6 ; Im( ) 0z z z     
6 5 66) Re( ) ; Im( )
a
h h h
a i b b
z z z
 
   
‫ﺍﳌﺮﻛﺒﺔ‬ ‫ﺍﻷﻋﺪﺍﺩ‬ ‫ﻋﻠﻰ‬ ‫ﺍﻟﻀﺮﺏ‬ ‫ﻭﻋﻤﻠﻴﺔ‬ ‫ﺍﳉﻤﻊ‬ ‫ﻋﻤﻠﻴﺔ‬ ‫ﺧﻮﺍﺹ‬
‫أﻷﻋﺪاد‬ ‫ﺧﺬ‬, ,z w v 
1(‫ﺗﻮﻓﺮ‬‫اﻟﺠﻤﻌﻲ‬ ‫اﻟﻤﺤﺎﯾﺪ‬ ‫اﻟﻌﻨﺼﺮ‬‫واﻟﻮﺣﯿﺪ‬)( additive unit‫ﺣﯿﺚ‬ ‫اﻟﺼﻔﺮ‬ ‫وھﻮ‬:z + 0 = z.
2(‫ﻣﺮﻛﺐ‬ ‫ﻋﺪد‬ ‫ﻟﻜﻞ‬z‫اﻟﺠﻤﻌﻲ‬ ‫ﻧﻈﺮﯾﮫ‬ ‫ﯾﻮﺟﺪ‬- z‫وﯾﺤﻘﻖ‬:Additive inverses z + (-z)= 0
3(‫ﻋﻠﻰ‬ ‫ﺗﺠﻤﯿﻌﯿﺔ‬ ‫اﻟﺠﻤﻊ‬ ‫ﻋﻤﻠﯿﺔ‬‫ﻣﺠﻤﻮﻋﺔ‬‫اﻷﻋﺪاد‬‫اﻟﻤﺮﻛﺒﺔ‬:Addition is associative
       z w v z w v
4(‫ﻋﻤﻠﯿﺔ‬‫اﻟﺠﻤﻊ‬‫اﻟﻤﺮﻛﺒﺔ‬ ‫اﻷﻋﺪاد‬ ‫ﻣﺠﻤﻮﻋﺔ‬ ‫ﻋﻠﻰ‬ ‫ﺗﺒﺪﯾﻠﯿﮫ‬Addition is commutative
 z w w z   
5(‫ﻋﻠﻰ‬ ‫اﻟﻀﺮب‬ ‫ﻋﻤﻠﯿﺔ‬ ‫ﻓﻲ‬‫اﻷﻋﺪاد‬‫اﻟﻤﺤﺎﯾﺪ‬ ‫اﻟﻌﻨﺼﺮ‬ ‫ﯾﺘﻮﻓﺮ‬ ‫اﻟﻤﺮﻛﺒﺔ‬‫اﻟﻮﺣﯿﺪ‬‫اﻟﻮاﺣﺪ‬ ‫وھﻮ‬:
          Multiplicative unit           z · 1   z
6(‫ﻣﺮﻛﺐ‬ ‫ﻋﺪد‬ ‫ﻟﻜﻞ‬z،0z ‫ھﻮ‬ ‫اﻟﻀﺮﺑﻲ‬ ‫ﻣﻌﻜﻮﺳﮫ‬ ‫ﯾﻮﺟﺪ‬
1
z 
‫وﯾﺤﻘﻖ‬:
  1          Multiplicative             z · z    1inverse  
7(‫ﺗﺠﻤﯿﻌﯿﺔ‬ ‫اﻟﻤﺮﻛﺒﺔ‬ ‫اﻷﻋﺪاد‬ ‫ﻋﻠﻰ‬ ‫اﻟﻀﺮب‬ ‫ﻋﻤﻠﯿﺔ‬:
 ( Multiplication is associative)                 z w   v  z ( w v).
‫ﺍﻟﻨﺎﺻﺮﻱ‬‫ﻣﻮﺳﻰ‬‫ﻛﺎﻣﻞ‬)4(
8(‫ا‬ ‫اﻷﻋﺪاد‬ ‫ﻋﻠﻰ‬ ‫اﻟﻀﺮب‬ ‫ﻋﻤﻠﯿﺔ‬‫ﺗﺒﺪﯾﻠﯿﮫ‬ ‫ﻟﻤﺮﻛﺒﺔ‬:
 Multiplicationis commutative                    z w   wz 
9(‫اﻟﺠﻤﻊ‬ ‫ﻋﻤﻠﯿﺔ‬ ‫ﻋﻠﻰ‬ ‫ﺗﻮزﯾﻌﯿﺔ‬ ‫اﻟﻀﺮب‬ ‫ﻋﻤﻠﯿﺔ‬:
 Distributivity of multiplication over addition               z    w   v     z w   z v   
‫ﻣ‬‫ﻦ‬:(1 , (2 ,(3 , (4‫ﻧﺴﺘﻨ‬‫ﺞ‬‫أن‬:( , )‫ﺗﺒﺪﯾﻠﯿﮫ‬ ‫زﻣﺮة‬ ‫ﺗﻤﺜﻞ‬....( 11 )
‫ﻣﻦ‬:(5 , (6 ,(7 , (8‫ﻧﺴﺘﻨ‬‫ﺞ‬‫أن‬:( , )
‫ﺗﺒﺪﯾﻠﯿﮫ‬ ‫زﻣﺮة‬ ‫ﺗﻤﺜﻞ‬......(12)
‫ﻣﻦ‬(9‫وﻣﻊ‬(11)‫و‬(12)‫ﻧﺴﺘﻨﺘﺞ‬( , , ) ‫ﺣﻘﻼ‬‫و‬‫اﻟﻤﺮﻛﺒﺔ‬ ‫اﻷﻋﺪاد‬ ‫ﺣﻘﻞ‬ ‫ﯾﺴﻤﻰ‬.
‫اﻟ‬ ‫اﻷﻋﺪاد‬ ‫ﻋﻠﻰ‬ ‫ﯾﻄﺒﻖ‬ ‫اﻟﺤﻘﯿﻘﯿﺔ‬ ‫اﻷﻋﺪاد‬ ‫ﻧﻈﺎم‬ ‫أن‬ ‫ﻧﺴﺘﻨﺘﺞ‬ ‫ﺳﺒﻖ‬ ‫ﻣﻤﺎ‬‫ﻤﺮﻛﺒﺔ‬.
 
21 1i i    
4p  ‫اﻟﻜﺒﯿﺮة‬ ‫ﻟﻠﻘﻮى‬ ‫وﺧﺎﺻﺔ‬ ‫اﻟﺘﺎﻟﯿﺔ‬ ‫اﻟﻘﺎﻋﺪة‬ ‫وﺿﻊ‬ ‫وﻧﺴﺘﻄﯿﻊ‬:‫ﻟﺘﻜﻦ‬
‫وﻟﺘﻜﻦ‬q‫ﻗ‬ ‫ﺧﺎرج‬ ‫ﺗﺴﺎوي‬‫ﺴﻤﺔ‬p‫ﻋﻠﻰ‬4‫اﻟﺒﺎﻗﻲ‬ ‫وﻟﯿﻜﻦ‬r‫اﻟﻘﻮل‬ ‫ﯾﻤﻜﻦ‬ ‫اﻟﺒﺎﻗﻲ‬ ‫ﻧﻈﺮﯾﺔ‬ ‫وﺑﻤﻮﺟﺐ‬
. ., 4 0 4i e p q r where r   
44 4 4( ) 1 1p q r q qr r r rHence i i i i i i i i i            
 
34 32 2 4 8 2
1: ( ) 1ex i i i i
    
63 4 15 3 3 2
2: ( ) 1ex i i i i i i i       
1992 4 498
3: ( ) 1ex i i 
‫ﻗﻮى‬i‫اﻟﺼﺤﯿﺤﺔ‬)The powers of i(
‫ﺍﻟﻨﺎﺻﺮﻱ‬‫ﻣﻮﺳﻰ‬‫ﻛﺎﻣﻞ‬)5(
18 18 18 20 2
4: 1 1ex i i i i i  
      
31 32 33 34 31 32 33 34
31 32 33 34 4
31 32 33 34 36
5 4 3 2 4
5: ( ) 1
( ) ,
( ) ; 9
1
q
ex i i i i i i i i
i i i i i q
i i i i i q
i i i i i i
       
    
   
       
     
     
      

2
1i i  
0i i  
7 7 7 7 7
4 2
6:( 4 ) ( 4 1) (2 ) 2
128 128
ex i i
i i i i
      
    
‫اﻟﻘﻮل‬ ‫ﯾﻤﻜﻦ‬ ‫اﻟﺴﺎﺑﻘﺔ‬ ‫اﻷﻣﺜﻠﺔ‬ ‫ﻣﻦ‬:‫إذا‬‫ﻛﺎن‬n‫ﻓﺎن‬ ‫ﺻﺤﯿﺤﺎ‬ ‫ﻋﺪدا‬ 1,1, ,n
i i i  
‫وأن‬:
4 4 1 4 2 4 3 mod 4
1 ; ; 1 ; ;n n n n n n
i i i i i i i i  
      
Modulo operation finds the remainder of division of one number by another.
n mod 4‫ﺗﻌﻨﻲ‬)‫اﻟﺒﺎﻗﻲ‬(‫اﻟﻌﺪد‬ ‫ﻟﻘﺴﻤﺔ‬n‫ﻋﻠﻰ‬4‫ﻣﺜﻼ‬ ،   25 mod 4 1 , 25 mod 7 4 
‫ﯾﻠﻲ‬ ‫ﻟﻤﺎ‬ ‫اﻧﺘﺒﮫ‬:‫اﻟﺘ‬ ‫اﻟﻌﺒﺎرة‬‫ﺧﺎﻃﺌﺔ‬ ‫ﺎﻟﯿﺔ‬
1 1 ( 1) ( 1) 1 1         
‫واﻟﺼﺤﯿﺢ‬:
2
1 1 1i i i       
‫ﻣﺮﻛﺒﯿﻦ‬ ‫ﻋﺪدﯾﻦ‬ ‫ﺗﺴﺎوي‬ ‫ﺗﻌﺮﯾﻒ‬Equality of Complex Numbers
1 2,let z a bi z c di   
a bi c di a c and b d     
‫أي‬:1 2 1 2Re( ) Re( ) Im( ) Im( )z z and z z  
‫ﺍﻟﻨﺎﺻﺮﻱ‬‫ﻣﻮﺳﻰ‬‫ﻛﺎﻣﻞ‬)6(
Ex:
‫ﻗﯿﻤﺔ‬ ‫ﺟﺪ‬x , y‫اﻟﻌﻼﻗﺔ‬ ‫ﺗﺤﻘﻖ‬ ‫واﻟﺘﻲ‬ ‫اﻟﺤﻘﯿﻘﯿﯿﻦ‬:x2
- 2xy i – y2
= 4i – 3
‫اﻟﺤﻞ‬:(1‫اﻟﻘﯿﺎﺳﯿﺔ‬ ‫ﻟﻠﺼﯿﻐﺔ‬ ‫اﻟﻤﻌﺎدﻟﺔ‬ ‫ﻃﺮﻓﻲ‬ ‫ﺣﻮل‬ a b i‫اﻟﻤﺮﻛﺐ‬ ‫ﻟﻠﻌﺪد‬‫ﯾﻠﻲ‬ ‫وﻛﻤﺎ‬:
2  2
(  –   ) ( 2 )    – 3 4  x y xy i i   
(2‫ﻣﺮﻛﺒﯿﻦ‬ ‫ﻋﺪدﯾﻦ‬ ‫ﺗﺴﺎوي‬ ‫ﺗﻌﺮﯾﻒ‬ ‫ﻃﺒﻖ‬:
2 2
1 2Re( 3 ..........( 1) Re( ) )x y ez z q   
1 2 2 4
2
.......
Im( ) Im( )
...( 2)
xy
y eq
x
z z   
  

‫ﻗﯿﻤﺔ‬ ‫ﺗﻌﻮض‬y‫اﻷوﻟﻰ‬ ‫اﻟﻤﻌﺎدﻟﺔ‬ ‫ﻓﻲ‬:
2
( )
2 4 2
2
4 2
2 2
4
3 ..........( 1) 4 3
3 4 0
( 4)( 1)
x
x eq x x
x
x x
x x

       
   
  
2 2
4 0 4 4 4 1 2x x x i ‫ﻞ‬ ‫ﺗﮭﻤ‬              or
2 2
1 0 1 1
2
1 2
1 2
x x x
but y
x
When x y
When x y
     

  
    

‫ﻣﺮﻛﺒﲔ‬ ‫ﻋﺪﺩﻳﻦ‬ ‫ﻭﻃﺮﺡ‬ ‫ﲨﻊ‬:AAddddiittiioonn aanndd SSuubbttrraaccttiioonn ooff CCoommpplleexx NNuummbbeerrss
‫  ﻋﺪدا ﻣﺮﻛﺒﺎ ﻓﺈن‬  a + b i , c +d i   ‫ﻛﺎن‬ ‫إذا‬‫ﻣﻦ‬ ‫ﻛﻞ‬
(        ) (        ) = (a+c)+(b+d)    a b i c d i i   Sum:‫اﻟﻤﺠﻤﻮع‬
‫ﺍﻟﻨﺎﺻﺮﻱ‬‫ﻣﻮﺳﻰ‬‫ﻛﺎﻣﻞ‬)7(
(      ) (      ) = (      )+( -     ) ‫ﺮح‬ ‫اﻟﻄ‬
=  (    ) ( )
:a bi c di a bi c di
a c b d i
    
  
subtraction
‫ﺍﳌﺮﻛﺒﺔ‬ ‫ﺃﻷﻋﺪﺍﺩ‬ ‫ﺿﺮﺏ‬)Multiplying Complex Numbers:(
‫اﻟﺤﻘﯿﻘﯿﺔ‬ ‫ﻟﻸﻋﺪاد‬ ‫اﻟﺤﺪود‬ ‫ﻛﺜﯿﺮات‬ ‫ﻓﻲ‬ ‫اﻟﻀﺮب‬ ‫ﻋﻤﻠﯿﺔ‬ ‫ﻧﻔﺲ‬ ‫ھﻲ‬ ‫اﻟﻤﺮﻛﺒﺔ‬ ‫ﻟﻸﻋﺪاد‬ ‫اﻟﻀﺮب‬ ‫ﻋﻤﻠﯿﺔ‬ ‫إن‬.
1:Ex
2
( )( ) ( ) ( )
( ) ( )
a b i c d i a c d i b i c d i
ac ad i b c i b d i
ac ad i b c i b d
ac b d ad b c i
     
   
   
   
2
2 : ( 2 4 )(3 2 ) 6 4 1 2 8
6 4 1 2 8
2 1 6
E x i i i i i
i i
i
     
   
  
2
( 4 1)(3 9) ( 2 1)(3 3 ) 6 6 3 3 9 3i i i i i i             2 :Ex
2 2
3 : ( 2 4 ) 4 16 16 12 16E x i i i i       
2 24 4 2 2
2 2
4 : (1 4 ) (1 2 ) (1 2 ) 1 4 4
( 3 4 ) 9 2 4 16 7 24
E x i i i i
i i i i
              
        
16 8
21 1 1
5: ( )
1 1
i i
Ex
i i
    
    
    
2
2i i 
1 2
2i i 
8
8 82
( ) ( 1) 1
2
i
i
  
     
 
2
1i 
   
 
3 3 2 2
2 2
2 2
6 : (1 2 ) (1 2 ) (1 2 ) (1 2 ) (1 2 ) (1 2 )
(1 4 4 )(1 2 ) (1 4 4 )(1 2 )
( 3 4 )(1 2 ) ( 3 4 )(1 2 )
3 6 4 8 3 6 4 8
11 2 11 2 4
E x i i i i i i
i i i i i i
i i i i
i i i i i i
i i i
              
             
       
           
       
‫ﺍﻟﻨﺎﺻﺮﻱ‬‫ﻣﻮﺳﻰ‬‫ﻛﺎﻣﻞ‬)8(
2
7 : (2 )( ) 3Ex i x iy
i
   
22 2
(2 )(   ) 3 2 2       2i x i y x y i x i y i
i i
          2
( i )
2     2 
( ........ ) ( ...... )
( )2 2)
2 3
3 ( 2
x yy i x i i
x
i
y x iy
   
 
    
 

1 2 7
1 2 7 1 2 7 4 3 7 8
9 : ,
( ) ( )
1
n
n n n
E x i n
i i i i i i
i i

  

    
  

‫ﺍﳌﺮﻛﺐ‬ ‫ﺍﻟﻌﺪﺩ‬ ‫ﻣﺮﺍﻓﻖ‬Complex conjugate
‫ﺗﻌﺮﯾﻒ‬:
‫ﻛﺎن‬ ‫إذا‬z x yi ‫ﻣﺮاﻓﻖ‬ ‫ﻓﺈن‬z‫ﺑﺎﻟﺼﻮرة‬ ‫ﯾﻜﺘﺐ‬z z x yi
  ‫وأن‬:
1) ; 2)z z z z    
‫اﻟﻌﺪد‬ ‫أن‬ ‫ھﻮ‬ ‫ﻟﻠﻤﺮاﻓﻖ‬ ‫اﻟﮭﻨﺪﺳﻲ‬ ‫واﻟﺘﻔﺴﯿﺮ‬‫وﻣﺮاﻓﻘﮫ‬ ‫اﻟﻤﺮﻛﺐ‬‫ﻣﺤﻮر‬ ‫ﻣﻊ‬ ‫ﻣﺘﻨﺎﻇﺮان‬x-axis‫اﻟﺘﺎﻟﻲ‬ ‫اﻟﺸﻜﻞ‬ ‫ﻓﻲ‬ ‫ﻛﻤﺎ‬
‫اﻟﺘﺮاﻓﻖ‬ ‫ﺧﻮاص‬ ‫واﻟﯿﻚ‬:
‫ﺍﻟﻨﺎﺻﺮﻱ‬‫ﻣﻮﺳﻰ‬‫ﻛﺎﻣﻞ‬)9(
7(z‫ﺣﻘﯿﻘﯿﺎ‬ ‫ﻋﺪدا‬‫إذا‬‫وإذا‬‫ﻓﻘﻂ‬
8(‫ﺑﺎﻟﻌﻼﻗﺔ‬ ‫ﯾﺮﺗﺒﻄﺎن‬ ‫واﻟﺘﺨﯿﻠﻲ‬ ‫اﻟﺤﻘﯿﻘﻲ‬ ‫اﻟﺠﺰأﯾﻦ‬:Re( ) ; Im( )
2 2
z z z z
z z
i
 
 
9(‫إذا‬‫ﻛﺎن‬     z x y i ‫ﻓﺈن‬:
2 2
z z x y  
‫ﻣﺜﺎل‬ ‫ﻣﻦ‬ ‫اﻟﺘﺎﻟﯿﺔ‬ ‫اﻷﻣﺜﻠﺔ‬9‫ﻣﺜﺎل‬ ‫اﻟﻰ‬19‫اﻻﻋﺘﯿﺎدﯾﺔ‬ ‫ﺑﺎﻟﺼﯿﻐﺔ‬ ‫ﻣﻘﺎدﯾﺮھﺎ‬ ‫أﻛﺘﺐ‬)‫اﻟﻘﯿﺎﺳﯿﺔ‬(‫اﻟﻤﺮﻛﺐ‬ ‫ﻟﻠﻌﺪد‬:
2
2
2 3
9 :
3
2 3 3 2(3 ) 3 (3 ) 6 2 9 3
3 3 9 9 1
9 7 9 7
10 10 10
i
E x
i
i i i i i i i i
i i i
i
i
S am ple


       
   
   

  
3 2 3 2 
10:  
2 2
i i
Ex
i i
 
 2
( i 
2
3  2  2 3  3
) 1
2 2 2
i i i
i
   
    
‫وا‬ ‫اﻟﺒﺴﻂ‬ ‫ﺑﻀﺮب‬ ‫اﻟﺴﺆال‬ ‫ﺣﻞ‬ ‫ﯾﻤﻜﻦ‬ ‫و‬‫اﻟﻤﻘﺎم‬ ‫ﺑﻤﺮاﻓﻖ‬ ‫ﻟﻤﻘﺎم‬.
2 2
2 2
2 1
11:
3 1
2 2 3 4 2  12 6  4  2 
3 3  4 2  4 2  16 4 
10 10  10 10 1 1
20 20 20 2 2
i i
Ex
i i
i i i i i i i i
i i i i i i
i
i i
 

 
       
   
     

    
2
2
7 3
12:
1 12
7 3 1 7 3 1 2 3 7 14 3 3 2 3
1 2 31 12 1 1 2 3 1 2 3
13 13 3
1 3
13
Ex
i i i i i
ii i
i
i
 
 
        
   
     

  
‫ﺍﻟﻨﺎﺻﺮﻱ‬‫ﻣﻮﺳﻰ‬‫ﻛﺎﻣﻞ‬)10(
3
2
3 3 3 3
2
2 2
2
3
13:( )
1
3 1 3 3 2 4
( ) ( ) ( ) (1 2 )
1 1 1 2
(1 2 )(1 2 ) (1 2 )(1 4 4 ) (1 2 )( 3 4 )
3 4 6 8 11 2
i
Ex
i
i i i i i i
i
i i i
i i i i i i i
i i i i


     
     
  
          
       
1
2
2
14: (4 3 ) (2 1)
4 3 1 2 4 8 3 6 10 5
2
1 2 1 2 1 4 5
Ex i i
i i i i i i
i
i i i

 
        
      
    
2 2
2 2
1 1
15 :
(2 ) (2 )
1 1 1 1
4 4 4 4 3 4 3 4
3 4 (3 4 ) 3
(3 4 )(3 4 )
Ex
i i
i i i i i i
i i
i i

 
   
     
  
 
 
4 3i 
2
4 8
0
9 16 25
i
i
i

 

2 2
(1 ) (1 )
16:
1 1
1
i i
Ex
i i
 

 

2
2i i  1
1 i


2
2i i  2 2
1 1 1
2 (1 ) 2 (1 ) 2
(1 )(1 )
i i
i i i
i i i i i
i i

 
  
    
 
 
2
2 2i i  2
2
2 4
2 0
1 2
i
i
i
 
   

2 2
2 2
2 3
1 7 )
1 2
2 3 2 1 3 2
. ( ) ( )
1 2 1 1 2 2
2 2 6 3 2 1 3 5 5
1 4 2 5
1 3 5 5 3
( ) ( )    
2
1
2
1
2
2 5 5 2
3
( ) ( ) 
2
i i
E x x y
i i
i i i i i i
an s x y x y
i i i i i i
i i i i i i i i
x y x y
i i
i x i y x i y i
xy i
x y
x y
 

 
     
    
     
       
   
 
      
   


‫ﺍﻟﻨﺎﺻﺮﻱ‬‫ﻣﻮﺳﻰ‬‫ﻛﺎﻣﻞ‬)11(
 
 
 
 
 
 
 
 
  
7 1
6 9
71 7 0 1 70
69 70 1
7 0
2
1
18 :
1
1 1 1 1
: 1 1
11 1 1
1 1 1
(1 )
1 1
i
E X A M PL E
i
i i i i
S o lutio n i i
ii i i
i i
i
i i



    
     
   
  
      
2
2i i 
7 0
2
70
7 0 m o d 4 2
2
1
2
2 2 2 2 2 0
2
i
i
i i i
 
    
 
          
 
2 73
2 73
2 3 4 5 6 7 68 69 70 71 72 73
19:1 .....
: 1 .....
(1 ) ( ) ..... ( )
EXAMPLE i i i
Solution i i i
i i i i i i i i i i i i i
   
    
             
‫ھﻮ‬ ‫اﻟﺤﺪود‬ ‫ﻋﺪد‬ ‫ان‬73+1=74‫ﻋﻠﻰ‬ ‫ﺗﻘﺴﻢ‬ ‫ﺣﺪا‬4‫ﻓﯿﻨﺘﺞ‬18‫واﻟﺒﺎﻗﻲ‬2‫اﻟﻰ‬ ‫اﻟﻤﻘﺪار‬ ‫ﯾﻘﺴﻢ‬ ‫ﻟﺬا‬ ،18
‫اﻟﺤﺪ‬ ‫ﻣﻦ‬ ‫ﺑﺪءا‬ ‫ﻣﺘﺘﺎﻟﯿﺔ‬ ‫ﻟﺤﺪود‬ ‫ﻣﺠﻤﻮﻋﺔ‬‫ﻧﺎﺗﺞ‬ ‫اﻷول‬‫اﻷﺧﯿﺮﯾﻦ‬ ‫اﻟﺤﺪﯾﻦ‬ ‫ﻟﯿﺒﻘﻰ‬ ‫ﺻﻔﺮ‬ ‫ﺗﺴﺎوي‬ ‫ﻣﺠﻤﻮﻋﺔ‬ ‫ﻛﻞ‬.
‫ﯾﺴﺎوي‬ ‫اﻟﻨﺎﺗﺞ‬:   
18 1872 73 4 4
1i i i i i i     
‫آﺧﺮ‬ ‫ﻧﻮع‬ ‫ﻣﻦ‬ ‫أﻣﺜﻠﺔ‬:‫ﺟﺬراھﺎ‬ ‫اﻟﺘﻲ‬ ‫اﻟﺜﺎﻧﯿﺔ‬ ‫اﻟﺪرﺟﺔ‬ ‫ﻣﻦ‬ ‫اﻟﻤﻌﺎدﻟﺔ‬ ‫ﺟﺪ‬M , L‫أن‬ ‫ھﻞ‬ ‫ﺑﯿﻦ‬ ‫ﺛﻢ‬M , L‫ﻣﺘﺮاﻓﻘﺎن‬.
2
: 3 4 1 4 4
(3 4 ) (1 4 ) 3 12 4 16 19 8
,          
20: 3 4 ; 1
 
4
      
Ex
solution M L i i
M L i i i i i i
M L ‫ﺘﺮاﻓﻘﯿﻦ‬ ‫ﻏﯿﺮﻣ‬
M i L i
      
           

   


‫ھﻲ‬ ‫اﻟﺜﺎﻧﯿﺔ‬ ‫اﻟﺪرﺟﺔ‬ ‫ﻣﻦ‬ ‫اﻟﻤﻌﺎدﻟﺔ‬:
2
( ) 0x M L x M L    
‫ھﻲ‬ ‫اﻟﻤﻄﻠﻮﺑﺔ‬ ‫ﻓﺎﻟﻤﻌﺎدﻟﺔ‬ ‫ﻟﺬا‬:
2
4 19 8 0x x i   
‫ﺍﻟﻨﺎﺻﺮﻱ‬‫ﻣﻮﺳﻰ‬‫ﻛﺎﻣﻞ‬)12(
2 1 : 5 1 ; 5 1
: 5 1s o lu tio n M
E x M i L i
L i
  
  

5 1i 
2
2
1 0
,
(5 1) (5 1) 2 5 1 2 6
1 0 2 6 0
i
M L ‫ﺘﺮاﻓﻘﯿﻦ‬ ‫ﻏﯿﺮﻣ‬
M L i i i
X i X T h e e q u atio n
 

        
   

5 5 9 2
22 : ,
1 3 4
i i
Ex M L
i i
 
 
 
‫اﻟﺤﻞ‬:‫ﻣﻦ‬ ‫ﺑﺎﻟﺘﺨﻠﺺ‬ ‫اﻟﺠﺬرﯾﻦ‬ ‫ﻧﺒﺴﻂ‬i‫ﺑ‬‫ﺎﻟﻤﻘﺎم‬
2
2
5 5 1 3 5 15 5 15 20 10
1 3 1 3 1 9 10
20 10
2
10 10
i i i i i i
M
i i i
i i
     
   
  
   
2
2
9 2 4 36 9 8 2 34 17
4 4 16 17
34 17
2
17 17
i i i i i i
L
x i i
i i
     
   
  
   
1) 2M L i   2 i 
2
4
2) (2 )(2 ) 4 5M L i i i
 
       


M , L‫ھﻲ‬ ‫واﻟﻤﻌﺎدﻟﺔ‬ ، ‫ﻣﺘﺮاﻓﻘﺎن‬:
2
4 5 0x x  
‫اﻷﺳﺌﻠﺔ‬ ‫ﻣﻦ‬ ‫آﺧﺮ‬ ‫ﻧﻮع‬:
‫ﻣﺜﺎل‬23:‫ﯾﺴﺎوي‬ ‫ﻣﺠﻤﻮﻋﮭﻤﺎ‬ ‫اﻟﻠﺬﯾﻦ‬ ‫اﻟﺘﺮﺑﯿﻌﯿﺔ‬ ‫اﻟﻤﻌﺎدﻟﺔ‬ ‫ﺟﺬرا‬ ‫ﺟﺪ‬2‫ﺿﺮﺑﮭﻤﺎ‬ ‫وﺣﺎﺻﻞ‬=17.
‫اﻟ‬‫ﺤﻞ‬:‫اﻟﺠﺬرﯾﻦ‬ ‫ﻟﯿﻜﻦ‬m , n
‫أن‬ ‫وﺑﻤﺎ‬:2 ; 17 ,m n m n m n are conjugate       
:Let m a bi n a bi
m n a bi
    
   a bi 
2 2 2 2 2
2 2
2 2 2 1
( )( )
17 1 4
1 4 , 1 4
a a a
m n a bi a bi a b i a b
b b
i i ‫ﺔ‬ ‫ﺟﺬرااﻟﻤﻌﺎدﻟ‬
    
       
    
  
‫ﺍﻟﻨﺎﺻﺮﻱ‬‫ﻣﻮﺳﻰ‬‫ﻛﺎﻣﻞ‬)13(
‫ﻣﺜﺎل‬24(‫ﺟﺬرﯾﮭﺎ‬ ‫أﺣﺪ‬ ‫واﻟﺘﻲ‬ ‫اﻟﺤﻘﯿﻘﯿﺔ‬ ‫اﻟﻤﻌﺎﻣﻼت‬ ‫ذات‬ ‫اﻟﺘﺮﺑﯿﻌﯿﺔ‬ ‫اﻟﻤﻌﺎدﻟﺔ‬ ‫ﺟﺪ‬5 2i
‫اﻟﺤﻞ‬:‫ﻓﺈن‬ ‫ﻟﺬا‬ ‫ﺣﻘﯿﻘﯿﺔ‬ ‫أﻋﺪاد‬ ‫اﻟﻤﻌﺎﻣﻼت‬ ‫أن‬ ‫ﺑﻤﺎ‬‫ﻣﺘﺮاﻓﻘﺎن‬ ‫اﻟﺠﺬرﯾﻦ‬
‫إذن‬‫اﻟﺠﺬرا‬‫ن‬‫ھﻤﺎ‬:5 2 , 5 2i i ‫اﻟﺤﻞ‬ ‫أﻛﻤﻞ‬.
25:Ex
‫أن‬ ‫ﺑﺮھﻦ‬3 i‫اﻟﻤﻌﺎدﻟﺔ‬ ‫ﺟﺬري‬ ‫أﺣﺪ‬ ‫ھﻮ‬:
2
8 16 2 0x x i   ‫اﻵﺧﺮ‬ ‫اﻟﺠﺬر‬ ‫ﺟﺪ‬ ‫ﺛﻢ‬.
‫اﻟﺤﻞ‬:‫اﻟﺠﺬرﯾﻦ‬ ‫ﻧﻔﺮض‬:m , n‫وأن‬m = 3 + i‫أن‬ ‫ﻓﯿﺠﺐ‬ ‫ﻟﻠﻤﻌﺎدﻟﺔ‬ ‫ﺟﺬرا‬ ‫ھﻮ‬ ‫ﻋﺪد‬ ‫أي‬ ‫ﯾﻜﻮن‬ ‫وﻟﻜﻲ‬ ،
‫ﯾﺤﻘﻘﮭﺎ‬:
‫أن‬ ‫أي‬3 + i‫ﺟﺬرﯾﮭﺎ‬ ‫أﺣﺪ‬ ‫ﻓﮭﻮ‬ ‫اﻟﻤﻌﺎدﻟﺔ‬ ‫ﺣﻘﻖ‬.
‫أن‬ ‫ﻧﻼﺣﻆ‬ ‫اﻟﻘﯿﺎﺳﯿﺔ‬ ‫اﻟﻤﻌﺎدﻟﺔ‬ ‫ﻣﻊ‬ ‫اﻟﻤﻌﻄﺎة‬ ‫اﻟﻤﻌﺎدة‬ ‫ﻣﻘﺎرﻧﺔ‬ ‫وﻣﻦ‬:
 2
2
8 16 2 0
( ) 0
8 ; 16 2 3
3 8 5
x x i
x m n x m n
m n m n i But m i
i n n i ‫ﺬراﻵﺧﺮ‬ ‫اﻟﺠ‬
   
    
       
     
26:Eq
‫اﻟﻤﻌﺎدﻟﺔ‬ ‫ﺟﺬري‬ ‫أﺣﺪ‬ ‫ﻛﺎن‬ ‫إذا‬
2
12 6 0x x x i c   ‫ﻗﯿﻤﺔ‬ ‫ﻓﺠﺪ‬ ‫اﻵﺧﺮ‬ ‫أﻣﺜﺎل‬ ‫ﺛﻼﺛﺔ‬ ‫ھﻮ‬c
‫اﻟﺤﻞ‬:‫اﻟﺠﺬرﯾﻦ‬ ‫ﻧﻔﺮض‬:m , n‫وأن‬m = 3n‫اﻟﻘﯿﺎﺳﯿﺔ‬ ‫ﻟﻠﺼﯿﻐﺔ‬ ‫اﻟﻤﻌﺎدﻟﺔ‬ ‫ﻧﺤﻮل‬ ،:
2
2
(12 16 ) 0
( ) 0 12 16
3 12 16 4 12 16 3 4
3(3 4 ) 9 12
x i x c
x m n x m n m n i
n n i n i n i ‫ﺬراﻻول‬ ‫اﻟﺠ‬
m i i ‫ﺬراﻟﺜﺎﻧﻲ‬ ‫اﻟﺠ‬
   
        
         
    
‫ﻃﺮﯾﻘﺘﯿﻦ‬ ‫اﻟﺤﻞ‬ ‫ﻟﺒﺎﻗﻲ‬:‫ﻓﻨ‬ ‫اﻟﻤﻌﺎدﻟﺔ‬ ‫ﯾﺤﻘﻖ‬ ‫اﻟﺠﺬرﯾﻦ‬ ‫أﺣﺪ‬ ‫اﻷوﻟﻰ‬‫ﻗﯿﻤﺔ‬ ‫ﻋﻠﻰ‬ ‫ﺤﺼﻞ‬c
‫واﻟﺜﺎﻧﯿﺔ‬:‫اﻟﺠﺬرﯾﻦ‬ ‫ﺿﺮب‬ ‫ﺣﺎﺻﻞ‬=c‫اﻟﺜﺎﻧﯿﺔ‬ ‫وﻟﻨﻄﺒﻖ‬:
2
(3 4 )(9 12 ) 27 36 36 48 21 72c i i i i i i         
2
2
( ? ) 8( ? ) 16 2 0
(3 ) 8( 3 ) 16 2 0
9 6
i
i i i
i
   
     
 2
24 8i i   16 2i  0
9 1 24 16 0 0 0 ‫ﺎﺋﺒﺔ‬ ‫ﻋﺒﺎرةﺻ‬

     
‫ﺍﻟﻨﺎﺻﺮﻱ‬‫ﻣﻮﺳﻰ‬‫ﻛﺎﻣﻞ‬)14(
‫اﺧﺮ‬ ‫ﻧﻮع‬:‫ﻟﻠﻌﺪد‬ ‫أﻟﻀﺮﺑﻲ‬ ‫اﻟﻨﻈﯿﺮ‬ ‫اﻟﻤﺮﻛﺐ‬ ‫ﻟﻠﻌﺪد‬ ‫اﻻﻋﺘﯿﺎدﯾﺔ‬ ‫وﺑﺎﻟﺼﯿﻐﺔ‬ ‫ﺟﺪ‬:
1
2
27 : 2 4
1 4 2 4 2 4 2
: 4 2
4 2 4 2 16 4 20
1 1
5 10
Ex i
i i i
solution let z i z
i i i
i ‫ﺮﺑﻲ‬ ‫اﻟﻨﻈﯿﺮاﻟﻀ‬


     
       
    
   
2
.
2 8 :
1
2
1E x z
i
so l z
i
 
 
2
( i  1
2
1 1 2 1 2
) 1 2
1 2 1 2 1 4
1 2 1 2
5 5 5
i i
i z
i i i
i
i ‫ﺮﺑﻲ‬ ‫اﻟﻨﻈﯿﺮاﻟﻀ‬
  
     
  

   
1
2 2 2 2 2 2 2
2 2 2 2 2 2 2 2 2
.
9 :
2
2
2 2
a bi a bi
sol z
a bi a bi
a abi b i a
a bi
Ex z
a b
abi b a b ab
i
a b i a b a b a b
i
  
 
 
    
   
   



‫ﻧﻮع‬‫اﺧﺮ‬:30:Ex
‫ﻟﺘﻜﻦ‬:
7 11 
,
1  
i x i
a b
i x y i
 
 
 
‫ﻣﻦ‬ ‫ﻛﻼ‬ ‫وﻟﯿﻜﻦ‬a , b‫ﻗﯿﻤﺔ‬ ‫ﺟﺪ‬ ، ‫ﻣﺘﺮاﻓﻘﯿﻦ‬x , y
‫اﻟﺤﻞ‬:
2
2
7 1 7 7 6 8
3 4
1 1 1 2
i i i i i i
a i
i i i
     
     
  
b = 3- 4i‫ﻷن‬b‫ﻟـ‬ ‫ﻣﺮاﻓﻖ‬a
11
3 4
x i
i
x yi

 

2
(3 4 )( ) 11 3 3 4 4 11
3 3 4 4 11
2 3 4 4 11 0
( 2 4 ) (3 4 11) 0 0
i x yi x i x yi xi yi x i
x yi xi y x i
x yi xi y i
x y y x i i
         
     
     
      
‫ﺍﻟﻨﺎﺻﺮﻱ‬‫ﻣﻮﺳﻰ‬‫ﻛﺎﻣﻞ‬)15(
‫ﻋﻠﻰ‬ ‫ﻧﺤﺼﻞ‬ ‫ﻣﺮﻛﺒﯿﻦ‬ ‫ﻋﺪدﯾﻦ‬ ‫ﺗﺴﺎوي‬ ‫ﺗﻌﺮﯾﻒ‬ ‫وﻣﻦ‬:
‫ﺗﺪرﯾﺐ‬ 1 1
‫ﻣﻦ‬ ‫اﻷﺳﺌﻠﺔ‬1‫اﻟﻰ‬14‫ﻟﻠﺼﯿﻐﺔ‬ ‫اﻟﻤﻘﺪار‬ ‫ﺣﻮل‬:
18(‫أن‬ ‫ﺑﺮھﻦ‬:
 
w w
c
z z
 
 
 
[Hint: ‫ﺐ‬ ‫  اﻛﺘ‬z =a+b i , w = c+d i
‫ﻟﻠﺼﯿﻐﺔ‬ ‫ﺣﻮل‬a b i‫اﻟﻤﻘﺎدﯾﺮﻣﻦ‬19‫اﻟﻰ‬31
 
 
3
19 (2 )(3 2 ) 6 1
1
20
3
x y i x y i i
i
i
   
 
 
 
   
 
 
4 4
1 2 3 49
39
37
8 7 8 7 7 8
2 3
(21)
1 2
(22) 2 2
(23) 1 .....
1
(24)
1
(25) ,n n n
i i
x y
i i
i i
i i i i
i
i
i i i n
   
  
    
   
    
  
    


   
 
   
 
 
 
 
2
1
24 4 2
25 1 3
26 3
27 3
28
1
29
2
i
i
i
i
x iy
x iy
i
i


 





 
 
   
2 2
7 3
30
1 12
2 2
31
1 2 1 2
i i
i i
 
 

 
2 4 0 .........( . 1) 2
3 4 11 0 .......( .2)
8 4
x y eq
y x eq
y x
  
  
 0
3 4y x

 11 0
11 11 0 1
2 4 0 2
y y
x x
 
    
   
‫ﺍﻟﻨﺎﺻﺮﻱ‬‫ﻣﻮﺳﻰ‬‫ﻛﺎﻣﻞ‬)16(
.(32)‫أن‬ ‫ﺑﺮھﻦ‬2 4 i‫اﻟﻤﻌﺎدﻟﺔ‬ ‫ﺟﺬري‬ ‫أﺣﺪ‬ ‫ھﻮ‬
2
4 20 0x x  
 33‫ﻛﺎن‬ ‫إذا‬
7 13
,
2 4
i i
m n
i i
 
 
 
1(‫أن‬ ‫ﺑﺮھﻦ‬,m n‫ﻣﻦ‬ ‫ﻛﻼ‬ ‫ﺟﺪ‬ ‫ﺛﻢ‬ ‫ﻣﺘﺮاﻓﻘﺎن‬:
2 2 3 3
, , ,m n m n m n m n   
2(‫ﺟﺬراھﺎ‬ ‫اﻟﺘﻲ‬ ‫اﻟﺘﺮﺑﯿﻌﯿﺔ‬ ‫اﻟﻤﻌﺎدﻟﺔ‬ ‫ﺟﺪ‬,m n
.(34)‫ﺑﺎﻟﺼﯿﻐﺔ‬ ‫اﻟﺘﺎﻟﯿﺔ‬ ‫ﻟﻸﻋﺪاد‬ ‫اﻟﻀﺮﺑﻲ‬ ‫اﻟﻨﻈﯿﺮ‬ ‫ﺟﺪ‬a b i‫ﻣﻦ‬ ‫ﻛﻼ‬:   
1
, 1 3i i i

  
 : 35‫اﻟﻤﺘﻄﺎﺑﻘ‬ ‫ﺻﺤﺔ‬ ‫ﺑﺮھﻦ‬‫ﺔ‬:
1  tan
cos2  sin 2
1  tan
i
i
i

 


 

‫ﺣﯿﺚ‬
2
  ,  
2
n
n
 


 
‫أﻣﺜﻠﺔ‬:‫ﻳﻠﻲ‬ ‫ﳑﺎ‬ ‫ﻛﻼ‬ ‫ﺃﻛﺜﺮ‬ ‫ﺃﻭ‬ ‫ﻣﺮﻛﺒﲔ‬ ‫ﻋﺪﺩﻳﻦ‬ ‫ﺿﺮﺏ‬ ‫ﳊﺎﺻﻞ‬ ‫ﺣﻠﻞ‬:
‫ﯾﺴﺘﻐﻞ‬ ‫أﺳﺌﻠﺔ‬‫ﻓ‬‫ﯿﮭﺎ‬2
1i  ‫اﻟﺤﺪﯾﻦ‬ ‫أﺣﺪ‬ ‫ﯾﻀﺮب‬ ‫ﻓﺮق‬ ‫اﻟﻰ‬ ‫ﻣﺠﻤﻮع‬ ‫ﻓﻠﺘﺤﻮﯾﻞ‬× 2
i
2
2
2
31: 9 2
. 9 25 (3 5 ) 3
5
( 5 )
E
sol z x i x i
x z x
x i

  


2
2 2 2
2
. 4 9 (2 3 )(2 3
32: 9
)
4E
sol z x y i x yi x y
x z x y
i    
 
4
2 2 2 2 2
2
. ( 9)
33: 5 36
( 4) ( 9)( 4 ) ( 3)( 3)( 2 )( 2 )sol z x x x x i x x x i x
Ex z x x
i  

       
 
2
2 2
. (4 ) 9 (4 3
34: (4
)(4
) 9
3 )sol z x i x i
Ex z x
x i
  
       
2
. 16 9 16 9 
35: 25
(4 3 )(4 3 )sol z i
Ex z
i i      

2
2
. 81 36 81 36  (9 6  )(9 6  )
9 13 9(9 4) 9(9 4  ) 9(3 2
36:
  )(3 2  )
117
sol z i i i
or z i
Ex z
i i
      
     

  
‫ﺍﻟﻨﺎﺻﺮﻱ‬‫ﻣﻮﺳﻰ‬‫ﻛﺎﻣﻞ‬)17(
3 3 2 2
3
2 2
. 8 (2 )(
37: 8
4
4 2   )
(2 )(4 2   1) ( 12 )( 2   )
sol z x i x i x x i i
x i x x i x i x
x
i
E z x i
x
     
    

 


3 3
3
3 3 3 2
3
2
21 1 1
. (216   ) (216
1
38: 5
) (6   )(36 6    )
4 4 4
1
(6   )( 6     )
4  
1
4
4
36
sol z x i y x i
Ex
y x y i x xy i i
x y i x y
z x i y
x i
       
  
 
2
2
2
39: 6
. 6 16 ( 8 )( 2 )
16E
s
x z x
ol z x
xi
xi i x i x i   





2 2
2
2
2
2 2
1
. 6 25 ( 6) 9
2
6 9 9 25
( 3) 16
( 3) 16 ( 3 4  )( 3 4
40: 6 25
  )
sol z x x added and subtract
x
E
x
x
x i x i x
x z x x
i
    
    
  
     
 





2 2
2
2
2 2
2
1
. 8 ? 52 ( 8)
41
16
2
8 16 16 52
( 4) 36
( 4) 36 ( 4 6 )
: 8
( 4 )
2
6
5
sol z x x Added and subtract
x x
x
x i x i
Ex z x x
x i
     
    
  
      


 


2 2
2
2
1 1
. 1 ( 1)
42 :
2 4
1 1
1
4 4
1
sol z x x Added and su
Ex a z x x
btract
x x
 
    
    


‫ﺍﻟﻨﺎﺻﺮﻱ‬‫ﻣﻮﺳﻰ‬‫ﻛﺎﻣﻞ‬)18(
2
2 2
2 2 2 2 2
2 2 2
2
4
1 3
( )
2 4
1 3 1 3 1 3
( ) ( )( )
3: 4 9 25
2 4 2 2 2 2
. 4 9 25 (2 3 25 )(2 3 25 )
Ex z x
x
x i x i x i
sol z x i Sin y x i Sin y x i Sin y
Sin y
  
       
    
 


‫اﻷوﻟﻰ‬ ‫اﻟﺪرﺟﺔ‬ ‫ﻣﻦ‬ ‫ﻋﻮاﻣﻞ‬ ‫ﺿﺮب‬ ‫ﻟﺤﺎﺻﻞ‬ ‫ﺣﻠﻞ‬:
3
44 : 8Ex b x 
         
         
23 2 2
2 2
.: 8 2 2 4 2 2 1 1 4 2 1 3
2 1 3 2 1 3 1 3
Sol x x x x x x x x x
x x i x x i x i
               
 
                  
‫أﺧﺮى‬ ‫ﻓﻜﺮة‬:‫ﺑﺎﳌ‬ ‫ﺍﻟﻀﺮﺏ‬ ‫ﺑﺪﻭﻥ‬‫ﺑﺼﻴﻐﺔ‬ ‫ﺍﻛﺘﺐ‬ ‫ﺮﺍﻓﻖ‬a + bi‫ﺍﳌﺮﻛﺐ‬ ‫ﺍﻟﻌﺪﺩ‬:
2
5
44:
3
i
Ex z
i


‫اﻟﺤﻞ‬:‫اﻟﻤﻘﺎم‬ ‫ﻟﯿﻜﻦ‬z = 3 + i;2 2
9 1 10z z a b     
‫و‬‫ﺗﻨﺲ‬ ‫ﻻ‬‫ﻣﻦ‬‫اﻟﻤﺮﻛﺐ‬ ‫اﻟﻌﺪد‬ ‫وﺣﺪة‬ ‫ﺗﻌﺮﯾﻒ‬
2 2
1 1i i     
‫ﻧﻀﺮب‬‫وﻣﻘﺎم‬ ‫ﺑﺴﻂ‬‫اﻟﻌﺪد‬)5i(‫ﻓﻲ‬10
25
(10) (9 1) (9 ) (3 ) (3 )
10 2 2
3 3 3
i i i
i i i
z
i i i
       
   
  
2
3
i
i


21 1 1 3
(3 ) (3 ) (3 1)
2 2 2 2 2
i
i i i i i

        
4
45:
2 4 3
i
Ex z
i



‫اﻟﺤﻞ‬:‫اﻟﻤﻘﺎم‬  z = 4 + 3 i
2 2
16 9 25     z z a b      
‫ﺍﻟﻨﺎﺻﺮﻱ‬‫ﻣﻮﺳﻰ‬‫ﻛﺎﻣﻞ‬)19(
24 4
(25) (16 9) (4 3 ) (4 3 )(16 9 )
25 25 2
4 3 4 3 4 3
i i i
i ii
z
i i i
 
      
   
  
4
25
4 3
i
i



24 4 4 12 16
(4 3 ) (4 3 ) (4 3)
25 25 25 25 25
i
i i i i i

  
           
‫ﻧﻮع‬‫ﻣﺮﻛﺒﯿﻦ‬ ‫ﻋﺪدﯾﻦ‬ ‫ﺗﺴﺎوي‬ ‫ﺗﻌﺮﯾﻒ‬ ‫ﻋﻠﻰ‬ ‫آﺧﺮ‬:
‫ﻗﻴﻤﺔ‬ ‫ﺟﺪ‬x , y‫ﺍﳊﻘﻴﻘﻴﲔ‬‫ﺍﳌﻌﺎﺩﻟﺔ‬ ‫ﳛﻘﻘﺎﻥ‬ ‫ﻭﺍﻟﻠﺬﻳﻦ‬:
2 1 3 2 1
.:                    (
2 3
) ( )
1 1 2 2
1
46:
1 2
i
i i
Ex x
i i i
sol x y
i i i i i
y
i i i
   
   

 
 

 


2
( i  )
2 2
2 2
2 2 6 3 2
( ) ( )
1 4
i i i i i i
x y i
i i
     
   
 
1 3 5 5 1 3
( ) ( ) ( ) (1 )
2 5 2 2
1 3
2 2
i i
x y i i x i y i
x x i y y i i
 
         
     
‫ﻟﻠﺼﯿﻐﺔ‬ ‫اﻟﻤﻌﺎدﻟﺔ‬ ‫ﻃﺮﻓﻲ‬ ‫ﻧﺤﻮل‬:a + b i
3
2
3
( ) ( ) 0
2
1
1
( )
2
1
2
x y
x
x i y i i
x y iy i
    
     


‫ﺗﻌﺮﯾﻒ‬ ‫وﻣﻦ‬‫ﻋﻠﻰ‬ ‫ﻧﺤﺼﻞ‬ ‫ﻣﺮﻛﺒﯿﻦ‬ ‫ﻋﺪدﯾﻦ‬ ‫ﺗﺴﺎوي‬:
2
1 2
1
Re ( . . )
Im ( . .
1
Re ( . . ) 0 .....( 1)
2
3
Im ( . . ) 1 .....( 2)
2
1
1
)
1
2
z
z
z
z
R H S x y eq
R H S x y eq
x x
y
L H S
L H S
   
     
    
  
‫ﺍﻟﻨﺎﺻﺮﻱ‬‫ﻣﻮﺳﻰ‬‫ﻛﺎﻣﻞ‬)20(
2
2 21 1
.                
1
.47 : (1 3
    (1 6 9 ) 1 3 3
1 1
) (1 )(1 3 )
1
i
Ex x
i i
sol x i i y i
i
i i
i i
y i i
i
 
 
 
 

     

         
    
1

2
2i i 
1 2
1 2
( 8 6 ) 4 2
2
6   4 2 ( 8 ) ( 6 )  4 2
1
Re Re 4
2
1
Im Im
8
6 2 6( ) 2 5
2
8z z
z z
x i y i
i x i y i y x y i i
y
and x x
y
y
y x
     
           
      
          

 

2
2
2
3
6 3 2
.                         (1 ) (1 )
2 2
6 6 3 2
(
6 3
.48: (1 )
2
1
4
i i
sol i i
x yi i i
i i i
x yi i
i
Ex i
x yi i
 
    
  
  
 

  
 

 
2
2i i 
2
) (1 )
6 5 5
2 2
5
6 6
1 2 2 1
6 6 1
1 1 1
6 6
3 3 3 ; 3
2
i
i
i i
x yi
i i i
x yi x yi
i
x yi x yi
i i i
i
x yi i x y


   

        
 
 
      
     
 
         
‫ﻟﻠﻨﺘﺎﺋﺞ‬ ‫ﺟﺪوﻻ‬ ‫ﻧﻈﻢ‬:‫اﻟﻄﺒﻊ‬ ‫ﻟﻤﺴﺎﺣﺔ‬ ‫اﺧﺘﺼﺎرا‬ ‫ﻟﻠﻨﺘﺎﺋﺞ‬ ‫ﺟﺪاول‬ ‫اﻧﻈﻢ‬ ‫وﻟﻢ‬
-3x
3y
‫ﺍﻟﻨﺎﺻﺮﻱ‬‫ﻣﻮﺳﻰ‬‫ﻛﺎﻣﻞ‬)21(
1 2
1 2
2
2
.                        2   2   4  1 8
2   2   8 2   2   3 8
  (2 2 )  3 8
Re Re   3 ......( 1)
Im Im 2 2 8 4 ....(
.49: ( 2  )(
2
2  ) 1
4 .
8
  3
)
z z
z z
sol x y x i i y i i
x i i y i xy x i i y i
x y x y i i
Ex x i
x y eq
an
y i i
x
d x y x
y
y xy eq

    
        
    
   
    
   

   
‫اﻟﻤﻌﺎد‬ ‫ﺗﺤﻞ‬‫ﺑﺎﻷوﻟﻰ‬ ‫اﻟﺜﺎﻧﯿﺔ‬ ‫اﻟﻤﻌﺎدﻟﺔ‬ ‫ﺑﺘﻌﻮﯾﺾ‬ ‫آﻧﯿﺎ‬ ‫ﻟﺘﯿﻦ‬:
2 2
(4 ) 3 4 3 4 3 0
( 3)( 1) 0 3 1 4
1 4 1 3 ; 3 4 3 1
x x x x x x
x x x or x But y x
when x y when x y
        
        
         
5
2   2 3   2 23
0
2 2 2 2 5
2   4   2 6 3   2   23
0
5 5 5
2   4   2 (6 3 2  
2 3 23
50: 0
2 2
) 23 0
  4 3   2
5
2 2 6   0
8   2
3
 
2
6
x y i i x y i i
i i i i
x x i y i y x x i y i y
x x
x yi x yi
i y i y x xi y i y
x i yi x i y i y
x y y i x i
Ex
i i
x y x

    
     
     
      
   
        
      

 
  
 

   
   

23 0 ( 8 23) ( 6 2 ) 0 0x y y x i i          
1 2
1 2
(2)
Re Re 8 23 0 ......( 1)
Im Im 6 2 0 3 .....( 2)
8(3 ) 23 0 23 23 0 1 3
z z
z z
x y eq
and y x x y eq
y y y y then x

      
      
          
2
51: ( ) 4
4 2 0 2x yi x yi i
Ex
x and y
x yi
         
  
  
2
4 4 0
52 :( ) 16
x yi x and y
Ex x yi
 

   

 
‫ﺍﻟﻨﺎﺻﺮﻱ‬‫ﻣﻮﺳﻰ‬‫ﻛﺎﻣﻞ‬)22(
2 2 2 2
2
2
2 2
2 8 2 8
( ) (2 ) 0
53:( ) 8
8
x xyi y i i x
Ex x yi
xyi y i
i
x y xy i i
       
  

 

1 2
1 2
2 2
Re Re 0 ......( 1)
4
Im Im 2 8 .....( 2)
z z
z z
x y eq
and xy y eq
x
    
    
2
2 4 2 2
2
16
0 16 0 ( 4)( 4) 0
2 2
x
‫ﻞ‬ ‫ﯾﮭﻤ‬
x x x x
x
x y

        
     
1 2
1 2
2
2
2 2
2 2
2 2 2 2 2
( )
2 4 2 4 2
2
2 2
2   12 16 2   12 16
( ) (2 ) 16
Re Re ......( 1)
8
Im Im 2 16 .....( 2)
64
12 64 12 12 64 0
5
( 16
4 : ( ) 12 16
12
12
)( 4
z z
z z
x
‫ي‬
x xy i y i i x xy i y i
xy i i
eq
and xy y eq
Ex x yi
x
x x x x x
x
x
x
x
x
i
y
y

         
   
  

     
        
 
 





8
) 0 4
4 2 ; 4 2
‫ﻞ‬ ‫ھﻤ‬
x but y
x
when x y when x y

    
        
- 44x
2- 2y
2
2 2
2
3 3 (3 )
. (   ) (   )
3 3 10
3 3 1
    ( )
10 10 10
3 1 3 1
10
3
.55 : (   )
3
10 10 10
i
Ex
i i i
sol x y i x y i
i i
i
x y i x y i
x y i
i
W hen x y or W e x y
i
h n
  
     
 

        


 

      
‫ﺍﻟﻨﺎﺻﺮﻱ‬‫ﻣﻮﺳﻰ‬‫ﻛﺎﻣﻞ‬)23(
2
2 2 2
2
. 2
.56: 2 (2 )( 4
(2 )( 4 ) 2
)Ex x yi i x y
sol x yi i x y i x yi

   





(2 ) ( 2 )i x yi   ( 2 )
1 2
1 (2 )( 2 ) 2
2 2
2 2 1 2 1
2 2 ;
5 5 5 5 10
x yi
i
i x yi x yi
i i
i
x yi x yi i x y


       
 

          
1
2
2 2
2 2 2 2 2
2 2
7 4 2 14 7 8 4 10 15
.   2 3
2 2 5 5
  2 3 2 3
(   ) 2   (   ) 4 3
2 4 3 2 4 3
( ) (
7 4
.57 : (   ) 2  
2 ) 4 3
Re
 
2
z
i i i i i
sol m n i i
i i
m n i i m and n
i
Ex x y i m n i W hen m
B ut x y i m n i x y i i
x
n
x yi y i i x xyi y i
x y i
i
i
i
x y
     
      
 
      
      
       

    

 
    
  2
1 2
2
2 2
(4 )
2 4 2 4 2
2
2 2
Re 4 ......( 1)
3
Im Im 2 3 .....( 2)
2
9
4 4 9 16 4 16 9 0
4
3 3
(2 9)(2 1)
2 2
0
3 3
2
z
z z
x
‫ﻞ‬ ‫ﯾﮭﻤ‬
x y eq
and x y y eq
x
x x x x x
x
x x x but y
x
w hen x y

  
    
        
       
  
2 2
3
 
2
1
;
2
3 1
2 2
w hen x y

    
‫ﺍﻟﻨﺎﺻﺮﻱ‬‫ﻣﻮﺳﻰ‬‫ﻛﺎﻣﻞ‬)24(
‫ﻛﻞ‬i‫ﺍﻟﻔﺮﺿﻴﺔ‬ ‫ﻃﺮﻳﻘﺔ‬ ‫ﻧﺴﺘﻌﻤﻞ‬ ‫ﺍﳉﺬﺭﺍﻟﱰﺑﻴﻌﻲ‬ ‫ﲢﺖ‬
10
.                     
.58: ( )
      
6 8
  
10
6 8
sol x y
E y i
i
x x
i
i
 
 


‫ﻧﻔﺮض‬:8 6 ,i a bi a b     ‫ﻋﻠ‬ ‫ﻧﺤﺼﻞ‬ ‫اﻟﻄﺮﻓﯿﻦ‬ ‫وﺑﺘﺮﺑﯿﻊ‬‫ﻰ‬:
1 2
1 2
2
2 2 2 2 2
2 2
( )
2 4 2 4 2 2 2
2
( ) 8 6 2 8 6 ( ) (2 ) 8 6
Re Re 8 ......( 1)
3
Im Im 2 6 .....( 2)
9
8 9 8 8 9 0 ( 1)( 9) 0
z z
z z
a
‫ﻞ‬ ‫ﯾﮭﻤ‬
a bi i a abi b i a b ab i i
a b eq
and ab b eq
a
a a a a a a a
a

               
    
    
              
3
1
1 3 ; 8 6 1 3
1 3 ; 8 6 1 3
a but b
a
when a b then i i
when x b then i i
   
      
         
‫اﻷوﻟﻰ‬ ‫اﻟﺤﺎﻟﺔ‬:‫ﻋﻨﺪﻣﺎ‬8 6 1 3i i   ‫ﺗﺼﺒﺢ‬ ‫اﻟﻤﻌﺎدﻟﺔ‬:
10
1 3
x yi
i
 

10 1 3 10
1 3 1 3
i
x yi
i i

   
 
(1 3 )
10
i
1 3 1 , 3i then x y    
‫اﻟﺜﺎﻧﯿﺔ‬ ‫اﻟﺤﺎﻟﺔ‬:‫ﻋﻨﺪﻣﺎ‬8 6 1 3i i    ‫ﺗﺼﺒﺢ‬ ‫اﻟﻤﻌﺎدﻟﺔ‬:
10
1 3
x yi
i
 
 
10 1 3 10
1 3 1 3
i
x yi
i i
 
   
   
( 1 3 )
10
i 
1 3 1 , 3i then x y     
2
2 14 53
 59: 1
2 7
x x
EXAMPLE x xy i
x i
 
  
 
   
  
2 2
2 2 2
.: 14 53 14 49 49 53
7 4 7 4
7 2 7 2
sol x x x x
x x i
x i x i
      
     
    
‫ﺍﻟﻨﺎﺻﺮﻱ‬‫ﻣﻮﺳﻰ‬‫ﻛﺎﻣﻞ‬)25(
‫ﺑﺎﻟﻤﻌﺎدﻟﺔ‬ ‫ﯾﻌﻮض‬ ‫اﻟﺘﺤﻠﯿﻞ‬ ‫ﻧﺎﺗﺞ‬:
2
7 2
1
x i
x xy i
 
  
  7 2
2 7
x i
x i
 
 
   
  
2 2
2
2 2
1 7 2 6 2
6 2
Re : 6 6 0 3 2 0
3 2
Im : 2
2 1
3 2 / 3
x xy i x i x xy i x i
x xy i x i
x x x x x x
x or x
xy
when x y
when x y
          
    
          
  
 
   
   
( . 60Ex‫ﻟﻠﻌﺪﺩ‬ ‫ﺍﻟﱰﺑﻴﻌﻴﺎﻥ‬ ‫ﺍﳉﺬﺭﺍﻥ‬ ‫ﺟﺪ‬:
8
1 3 
‫اﻟﺤﻞ‬:‫اﻟﻤﺮﻛﺐ‬ ‫ﻟﻠﻌﺪد‬ ‫اﻟﻘﯿﺎﺳﯿﺔ‬ ‫ﻟﻠﺼﯿﻐﺔ‬ ‫اﻟﻌﺪد‬ ‫ﻧﺤﻮل‬:
8 8 8 1 3 8(1 3)
2 2 3
41 3 1 1 3 1 3 1 3
i i
i
i i
 
     
      
‫ﻧﻔﺮض‬2 2 3 i x yi  ‫اﻟﻄﺮﻓﯿ‬ ‫وﺑﺘﺮﺑﯿﻊ‬‫ﻦ‬‫ﻋﻠﻰ‬ ‫ﻧﺤﺼﻞ‬:
2
( ) 2 2 3x yi i  
2 2 2 2 2
2 2
2 2 2 3 2 2 2 3
( ) (2 ) 2 2 3
x xyi y i i x xyi y i
x y xy i i
         
    
1 2
1 2
2
2 2
( )
2 4 2 4 2
2
2 2
Re Re 2 ......( 1)
3
Im Im 2 2 3 .....( 2)
3
2 3 2 2 3 0
3
( 3)( 1) 0 3
3 1 ; 2 2 3 3
3 1 ; 2 2 3 3
z z
z z
x
‫ﻞ‬ ‫ﯾﮭﻤ‬
x y eq
and x y y eq
x
x x x x x
x
x x x but y
x
w hen x y then i i
w hen w hen x y then i i

    
     
        
       
     
        
‫ﻣﻼﺣﻈﺔ‬1:‫ﻋﺎﻣﺔ‬ ‫ﺑﺼﻮرة‬ ‫اﻟﺠﺬور‬ ‫ان‬‫ﻻﺣﻘﺎ‬ ‫دﯾﻤﻮاﻓﺮ‬ ‫ﻣﺒﺮھﻨﺔ‬ ‫ﺑﻤﻮﺟﺐ‬ ‫ﺳﺘﺤﻞ‬.
‫ﺍﻟﻨﺎﺻﺮﻱ‬‫ﻣﻮﺳﻰ‬‫ﻛﺎﻣﻞ‬)26(
‫ﻣﻼﺣﻈﺔ‬2:‫ﻟﻠﻌﺪد‬ ‫اﻟﺘﺮﺑﯿﻌﻲ‬ ‫اﻟﺠﺬر‬ ‫ﻧﺠﺪ‬ ‫أن‬ ‫ﯾﻤﻜﻦ‬z x yi ‫اﻟﻄﺮﯾﻘﺔ‬ ‫ھﺬه‬ ‫وﺗﺴﺘﻌﻤﻞ‬‫ﻟﻠﺘﺤﻘﻴﻖ‬‫ﻏﯿﺮ‬ ‫ﻷﻧﮭﺎ‬
‫اﻟﺒﺎﺋﺲ‬ ‫ﻣﻨﮭﺠﻨﺎ‬ ‫ﻓﻲ‬ ‫ﻣﻮﺟﻮدة‬‫ﻛﺴﺆال‬ ‫اﺳﺘﻨﺘﺎﺟﮭﺎ‬ ‫ﯾﻤﻜﻦ‬ ‫ﺣﯿﺚ‬.‫وھﻲ‬‫ﻟﻸﻃﻼﻉ‬
The modulus or absolute value of a complex number z ‫ﻧﺠﺪ‬‫ﺍﳌﺮ‬ ‫ﺍﻟﻌﺪﺩ‬ ‫ﻣﻘﻴﺎﺱ‬‫ﻛﺐ‬  
‫ﻟﯿﻜﻦ‬=r=|z|‫ﺣﯿﺚ‬2 2
r x y ،‫ر‬=‫اﻟﻤﻘﯿﺎس‬
‫اﻟﺘﺮﺑﯿﻌﻲ‬ ‫اﻟﺠﺬر‬ ‫ﻹﯾﺠﺎد‬ ‫اﻟﻘﺎﻋﺪة‬ ‫ﻧﻄﺒﻖ‬
2 2( )
r x y
x iy i
r x

  

‫ﻣﺜﻼ‬:8 6i
‫اﻟﺤﻞ‬:2 2
64 36 10r x y    ‫ﺣﯿﺚ‬8,    6x y  
10 8 6 6
8 6 9 3
2 2(10 8) 36
i i i i
  
      

.61Ex:‫ﻟﻠﻌﺪﺩ‬ ‫ﺍﻟﱰﺑﻴﻌﻴﺎﻥ‬ ‫ﺍﳉﺬﺭﺍﻥ‬ ‫ﺟﺪ‬4 3i
‫اﻟﺤﻞ‬:‫اﻟﻤﻘﯿﺎس‬=16 9 5 r  ‫ﺣﯿﺚ‬x = 4 , y = 3
5 4 3 3 1
4 3 ( ) ( )
2 2(5 4) 2 2
i i i

      

‫آﺧﺮ‬ ‫ﺗﻄﺒﯿﻖ‬‫ﺗﺴﺎ‬ ‫ﻓﻲ‬‫ﻣﺮﻛﺒﯿﻦ‬ ‫ﻋﺪدﯾﻦ‬ ‫وي‬
62(EX.‫اﻟﻤﺮﻛﺐ‬ ‫اﻟﻌﺪد‬ ‫ﻛﺎن‬ ‫إذا‬ 1 ,   2‫اﻟﻤﻌﺎدﻟﺔ‬ ‫ﺟﺬري‬ ‫اﺣﺪ‬ ‫ھﻮ‬2
2 2 7 0x x bx a    
‫ﻗﯿﻤﺔ‬ ‫ﻓﺠﺪ‬a , b‫اﻟﺤﻘﯿﻘﯿﯿﻦ‬.
‫اﻟﺤﻞ‬:‫أن‬ ‫ﺑﻤﺎ‬‫اﻟﻤﺮﻛﺐ‬ ‫اﻟﻌﺪد‬1 – 2i‫اﻟﻤﻌﺎدﻟﺔ‬ ‫ﯾﺤﻘﻖ‬ ‫ﻓﮭﻮ‬ ‫ﻟﺬا‬ ‫اﻟﻤﻌﺎدﻟﺔ‬ ‫ﺟﺬري‬ ‫أﺣﺪ‬ ‫ھﻮ‬:
2 2
2
2 2 7 0 2( ? ) 2( ? ) ( ? ) 7 0
2(1 2 ) 2(1 2 ) (1 2 ) 7 0
2(1 4 4 ) 2(1 2 ) (1 2 ) 7 0
6 8 2 4 2 7 0 15 4 2 0
( 15 ) ( 4 2 ) 0 0
4 2 0 2 15 0 15 2 0
x x bx a b a
i i b i a
i i b i a
i i b bi a b a i bi
b a b i i
b b and b a a a
          
        
         
                
        
                17
.63Ex:‫ﻟﻠﻌﺪﺩ‬ ‫ﺍﻟﱰﺑﻴﻌﻴﺎﻥ‬ ‫ﺍﳉﺬﺭﺍﻥ‬ ‫ﺟﺪ‬32
‫اﻟﺤﻞ‬:
4 2          32  1      32         32z i z z z              
‫ﺍﻟﻨﺎﺻﺮﻱ‬‫ﻣﻮﺳﻰ‬‫ﻛﺎﻣﻞ‬)27(
‫اﻟﺴﺆاﻟﯿﻦ‬ ‫ﻓﻲ‬)1-2(‫اﻟﻤﺮﻛﺐ‬ ‫اﻟﻌﺪد‬ ‫ﺟﺪ‬z‫ﯾﺤﻘﻖ‬ ‫واﻟﺬي‬:
1:4 7 3 ( ) ; 2:3 2 4 ( ) :3 4Q z i i z Q z z i z ans i      
‫ﺑﺎﻟﺼﯿﻐﺔ‬ ‫اﻛﺘﺐ‬ ‫ﺑﺎﻟﻤﺮاﻓﻖ‬ ‫اﻟﻀﺮب‬ ‫ﺑﺪون‬‫اﻟﻌﺪد‬ ‫اﻟﻤﺮﻛﺐ‬ ‫ﻟﻠﻌﺪد‬ ‫اﻻﻋﺘﯿﺎدﯾﺔ‬:
25
3 :
2 4
i
Q
i 
‫ﻣﻦ‬ ‫ﻛﻼ‬ ‫أﻛﺜﺮ‬ ‫أو‬ ‫ﻣﺮﻛﺒﯿﻦ‬ ‫ﻋﺪدﯾﻦ‬ ‫ﺿﺮب‬ ‫ﻟﺤﺎﺻﻞ‬ ‫ﺣﻠﻞ‬:4:Q
       
       
4 4 4 2
2 2 3 3
   90 45  - 16y           + 12x
8
       - 27            +   
25
a b c x d x
e x x f x g x i h x
; ; ; -64
- 8 +12 ; -6x + 25 ; ; 5 i
‫اﻷﺳﺌﻠﺔ‬‫ﻣﻦ‬5‫اﻟﻰ‬16‫ﻗﯿﻤﺔ‬ ‫ﺟﺪ‬x , y‫اﻟﺘﺎﻟﯿﺔ‬ ‫ﺗﺤﻘﻖ‬ ‫واﻟﺘﻲ‬: 2
5: 2   3 4Q x y i i  
 
  
    
2 2 2
2
2
2 1 2
6:( ) 16;           7:   1                  8:    
3
8 4 2
9:                             10: 4     1   8
8 4
12 52
11: 6             ;           12: (
4 6
i
Q x yi Q x y i Q x y a bi x y i
i
i
Q x y i Q x y i x y i i
i i
x x
Q x y i x Q xy
x i

         


       

 
  
     
    
  
2 2
2
4 8
2 )
1 1
5 25 4(1 5 )1 200
13: 3 2 8                 14:  3 2           ;   15:     
4 3 2
16:   2   7 5      whene  z = -1= 2i
x y i
i i
i
Q x i y i Q x y Q x y i
i i
Q z z x y i i
  
 
  
       

   
‫ﻣﻦ‬ ‫ﻟﻜﻞ‬ ‫اﻟﺘﺮﺑﯿﻌﯿﺎن‬ ‫اﻟﺠﺬران‬ ‫ﺟﺪ‬:17 :  Q
100 7 3
:                ;           B:                 ;                : 11-24 3     ;     E : -i
16 3 1 12
:  4 3                     ;            :  16 12               ;                  :  4 2 3 2 
A D
F i G i H i
 

   
   
‫ﺗﺴﺘﻄﯿﻊ‬ ‫ھﻞ‬‫إﺟﺎﺑﺔ‬‫اﻟﻔﺮﻋﯿﻦ‬G , H‫ﺑﺎﻻ‬‫ﻋﺘﻤﺎد‬‫ﻋﻠﻰ‬‫إﺟﺎﺑﺔ‬F‫؟‬
‫ﺗﺪﺭﻳﺐ‬)1 - 2(
‫ﺍﻟﻨﺎﺻﺮﻱ‬‫ﻣﻮﺳﻰ‬‫ﻛﺎﻣﻞ‬
28
‫ﺍﳌﻌﺎﺩﻻﺕ‬ ‫ﺣﻞ‬
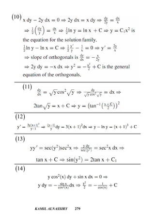
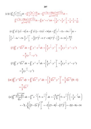
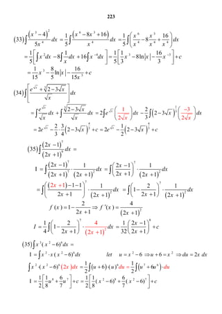
‫ﻓﻲ‬‫اﻟﺘﺎﻟﯿﺔ‬ ‫اﻟﻤﻌﺎدﻻت‬ ‫ﻣﻦ‬ ‫ﻛﻞ‬ ‫ﺣﻞ‬ ‫ﺟﺪ‬:
 
2
2
. 8 8 2 2
2 2 , 2 2
.58: 8 0
sol x x i
S i
Ex
i
x
       
 
 
2
2
.59: 8
. 8 8
0
‫ﯿﺔ‬ ‫ﻓﺮﺿ‬
sol x
Ex x i
i x i     
 
2
2 2
2 2
: 8 ( ) 8
( ) (2 ) 8
0 ...(1)
4
2 8 ...(2)
‫ﺎﻟﻄﺮﻓﯿﻦ‬ ‫ﺑﺘﺮﺑﯿﻌ‬
L et i a bi a bi i
a b ab i i
a b
ab b
a
       
   
 

   
‫ﻋﻠﻰ‬ ‫ﻧﺤﺼﻞ‬ ‫وﺑﺎﻟﺘﻌﻮﯾﺾ‬:
 
2
2 4 2 2
2
, 2 2
16
0 16 0 ( 4)( 4) 0 2
4 4
2
2
8 (2 2 )
2 2
‫ﻞ‬ ‫ﯾﮭﻤ‬
a
i
a a a a a
a
but b b
a
Hence i i
Hence S i

 
          
 
   

   
 

 
4
2 2 2 2
2
. ( 64)( 9) 0 (
.60
64 8) (
: 55 576 0
9 3)
8, 8, 3, 3
sol z z z z or z z i
S
q z
i i
E z
            
  
  
2
.61: 4 8 4 0Ex i z i z i   
‫ﻓﻲ‬ ‫ﻃﺮﻓﯿﮭﺎ‬ ‫ﺑﻀﺮب‬ ‫اﻟﺜﺎﻧﯿﺔ‬ ‫اﻟﺪرﺟﺔ‬ ‫ﻣﻌﺎﻣﻞ‬ ‫ﻣﻦ‬ ‫ﻧﺘﺨﻠﺺ‬ ‫ﻟﻠﺤﻞ‬)-i(‫ﻋﻠﻰ‬ ‫ﻓﻨﺤﺼﻞ‬:
2
4 8 4 0z z i   
‫ﺑﺎﻟﻘﺎﻧﻮن‬ ‫ﺗﺤﻞ‬ ‫اﻟﺜﺎﻧﯿﺔ‬ ‫اﻟﺪرﺟﺔ‬ ‫ﻣﻦ‬ ‫ﻣﻌﺎدﻟﺔ‬ ‫ﻛﻞ‬)‫اﻟﺪﺳﺘﻮر‬: (
‫ﺍﻟﻨﺎﺻﺮﻱ‬‫ﻣﻮﺳﻰ‬‫ﻛﺎﻣﻞ‬
29
2
2
1 , 4 , 8 4 ; 4 16 4(8 4) 32
4 4 32 4 4 2
2 2 2
2 2 2 ‫ﯿﺔ‬ ‫ﻓﺮﺿ‬
a b c i D b ac i i
b b ac i i
z i
a
           
      
     
‫اﻟﺘﺮﺑﯿﻌﻲ‬ ‫اﻟﺠﺬر‬ ‫أوﻻ‬ ‫ﻧﺠﺪ‬:
2
2 2
2 2
: 2 ( ) 2
( ) (2 ) 2
0 ...(1)
1
2 2 ...(2)
‫ﺎﻟﻄﺮﻓﯿﻦ‬ ‫ﺑﺘﺮﺑﯿﻌ‬
L et i a bi a bi i
a b ab i i
a b
ab b
a
       
   
 

   
2
2 4 2 2
2
( )
1
0 1 0 ( 1)( 1) 0 1
1 1
1 2 (1 )
1
‫ﻞ‬ ‫ﯾﮭﻤ‬
a
a a a a a
a
but b b hence i i
a

          
 
       


‫اﻟﻔﺮﺿﯿﺔ‬ ‫ﻗﺒﻞ‬ ‫ﻟﻤﺎ‬ ‫ﻧﻌﻮد‬ ‫ﺛﻢ‬:2 2 2z i  
 
2 2 2 2 2(1 )
2 2 2 4 2 (1) 2 2 2 2 (2)
4 2 , 2
z i i
z i i The root or z i i The root
Hence S i i
       
        
 
.(62)Exa‫أن‬ ‫اﺛﺒﺖ‬1‫ﺟ‬ ‫أﺣﺪ‬ ‫ھﻮ‬‫ﺬور‬‫اﻟﻤﻌﺎدﻟﺔ‬
3
2 1 0z z  ‫اﻵﺧﺮﯾﻦ‬ ‫اﻟﺠﺬرﯾﻦ‬ ‫ﺟﺪ‬ ‫ﺛﻢ‬.
‫اﻟﺤﻞ‬:‫اﻟﻌﺪد‬ ‫ﯾﻜﻮن‬ ‫ﻟﻜﻲ‬1‫ﯾﺤﻘﻘﮭﺎ‬ ‫أن‬ ‫ﻓﯿﺠﺐ‬ ‫اﻟﻤﻌﺎدﻟﺔ‬ ‫ﺟﺬور‬ ‫أﺣﺪ‬.
‫ﺻﺎﺋﺒﺔ‬ ‫ﻋﺒﺎرة‬
3
1: 2 1 0 1 2 1 0 0 0z z z         
z = 1.
‫أﺻﺒﺢ‬x – 1‫اﻟﺤﺪود‬ ‫ﻣﺘﻌﺪد‬ ‫ﻋﻮاﻣﻞ‬ ‫أﺣﺪ‬ ‫ھﻮ‬‫ﺗﺮﺗﯿﺐ‬ ‫ﺑﻌﺪ‬ ‫اﻟﻄﻮﯾﻠﺔ‬ ‫اﻟﻘﺴﻤﺔ‬ ‫ﻧﺴﺘﻌﻤﻞ‬ ‫اﻷﺧﺮى‬ ‫اﻟﻌﻮاﻣﻞ‬ ‫وﻹﯾﺠﺎد‬
‫ﺗﻨﺎزﻟﯿﺎ‬ ‫ﺗﺮﺗﯿﺒﺎ‬ ‫اﻟﺤﺪود‬.
‫اﻟﻘﺴﻤﺔ‬ ‫ﺧﺎرج‬ ‫أن‬ ‫ﻧﻼﺣﻆ‬ ‫اﻟﻄﻮﯾﻠﺔ‬ ‫اﻟﻘﺴﻤﺔ‬ ‫ﺑﻌﺪ‬
‫ھﻮ‬2
2 2 1z z  
‫اﻟﻤﻌﺎدﻟﺔ‬ ‫ﺗﻜﻮن‬ ‫ﻟﺬا‬:  2
1 2 2 1 0Z z z    
‫اﻣﺎ‬Z – 1= 0‫اﻟﻰ‬ ‫ﯾﺆدي‬Z = 1‫اﻷول‬ ‫اﻟﺠﺬر‬
2
3
2 2 1
21
z z
zZ
  

3
1
2
z
z
 
 2
2
2
2 z
z


2
1
2 z
z 
 2
1
1
0
z
Z
Z
 



‫ﺍﻟﻨﺎﺻﺮﻱ‬‫ﻣﻮﺳﻰ‬‫ﻛﺎﻣﻞ‬
30
‫ﺃﻭ‬
2
2 2 1 0z z   ‫اﻟﺜﺎﻧﯿﺔ‬ ‫اﻟﺪرﺟﺔ‬ ‫ﻣﻦ‬ ‫ﻣﻌﺎدﻟﺔ‬ ‫وھﺬه‬
‫اﻟﻄﺮﻓﯿ‬ ‫ﯾﻀﺮب‬‫ﻦ‬×( - 1 )‫ﻋﻠﻰ‬ ‫ﻓﻨﺤﺼﻞ‬:
2
2 2 1 0z z  
‫ﺑﺎﻟﺪﺳﺘﻮر‬ ‫ﺗﺤﻞ‬.a = 2 , b = 2 , c = 1
‫واﻟﺜﺎﻟﺚ‬ ‫اﻟﺜﺎﻧﻲ‬ ‫اﻟﺠﺬران‬
2
2 4 4(2)(1)4 2 4 2 2 1 1
2 2(2) 4 4 2 2
b b ac i
z i
a
         
      
‫ﺍﻟﺘﻜﻌﻴﺒﻴﺔ‬ ‫ﺍﳉﺬﻭﺭ‬
( .62Ex‫ﺟﺪ‬‫اﻟﺘﻜﻌﯿﺒﯿﺔ‬ ‫اﻟﺠﺬور‬8 i‫ﺑﯿﺎﻧﯿﺎ‬ ‫اﻟﺠﺬور‬ ‫وﻣﺜﻞ‬.
2
( )
3 3 3 3
2 2
2
2
0
1
8 8 8 0
( 2 ) ( 2 4 ) 0
2 0 2 (1)
2 4 0 1 , 2 , 4
4 2 4 16 2 12 2 2 3
3
2 2 2 2
: 2 ( 2, 0) 1
3 (
i
L et z i z i z i
z i z z i i
z i z root
Or z z i a b i c
b b ac i i i
z i
a
T HE roots z root
z i
 
     
    
    
       
       
     
   
  
2
2 2
3,1) 2
3 ( 3 ,1) 3
| | 2
root
z i root
z r a b
    
   
‫ﺑﺪاﯾﺘﮫ‬ ‫ﻣﺘﺠﮭﺎ‬ ‫ﺗﺸﻜﻞ‬ ‫اﻷﺻﻞ‬ ‫ﻧﻘﻄﺔ‬ ‫ﻣﻊ‬ ‫ﻧﻘﻄﺔ‬ ‫وﻛﻞ‬ ‫أرﻛﺎﻧﺪ‬ ‫ﻣﺴﺘﻮى‬ ‫ﻓﻲ‬ ‫ﻧﻘﺎط‬ ‫ﺛﻼث‬ ‫ھﻮ‬ ‫اﻟﺠﺬور‬ ‫ﻟﮭﺬه‬ ‫اﻟﺒﯿﺎﻧﻲ‬ ‫اﻟﺘﻤﺜﯿﻞ‬
‫وﻃﻮﻟﮫ‬ ‫اﻷﺻﻞ‬ ‫ﻧﻘﻄﺔ‬2‫ﻣﺘﺘ‬ ‫ﻣﺘﺠﮭﯿﻦ‬ ‫ﺑﯿﻦ‬ ‫اﻟﺰاوﯾﺔ‬ ‫وﻗﯿﺎس‬ ، ‫ﻃﻮل‬ ‫وﺣﺪة‬‫ﺗﺴﺎوي‬ ‫ﺎﻟﯿﯿﻦ‬
2
3

‫ﻗﻄﺮﯾﺔ‬ ‫ﻧﺼﻒ‬ ‫زاوﯾﺔ‬
‫ﻧﻘﻄﺔ‬ ‫ﻣﺮﻛﺰھﺎ‬ ‫داﺋﺮة‬ ‫ﻣﻦ‬ ‫ﻧﻘﻂ‬ ‫ھﻲ‬ ‫اﻟﺜﻼﺛﺔ‬ ‫واﻟﻨﻘﺎط‬‫اﻷﺻﻞ‬‫اﻟﻤﻌﺎدﻟﺔ‬ ‫ﺟﺬور‬ ‫ﻣﻦ‬ ‫ﺟﺬر‬ ‫ﻛﻞ‬ ‫ﻣﻘﯿﺎس‬ ‫ﻗﻄﺮھﺎ‬ ‫وﻧﺼﻒ‬
‫ﯾﺴﺎوي‬ ‫واﻟﺬي‬2 2
| | 2z a b  .
‫ﻣﻼﺣﻈﺔ‬:‫ﺑﺎﺳﺘﺨﺪام‬ ‫اﻟﺠﺬور‬ ‫ھﺬه‬ ‫إﯾﺠﺎد‬ ‫ﯾﻤﻜﻦ‬
‫اﻟﺘﻲ‬ ‫دﯾﻤﻮاﻓﺮ‬ ‫ﻣﺒﺮھﻨﺔ‬‫ﻻﺣﻘﺎ‬ ‫ﺳﺘﺄﺗﻲ‬.x
x = 1
r = 2
y
2z
0z
1z
2
3

2
3

2
3

‫ﺍﻟﻨﺎﺻﺮﻱ‬‫ﻣﻮﺳﻰ‬‫ﻛﺎﻣﻞ‬
31
‫ﻣﻦ‬ ‫اﻷﺳﺌﻠﺔ‬Q1‫اﻟﻰ‬Q6‫ﻓﻲ‬ ‫اﻟﻤﻌﺎدﻻت‬ ‫ﺣﻞ‬ ‫ﺟﺪ‬
  
2 2 2
2 3
2
2 2
4 5 6
1: 8 7 1 0 ; : 5 5 3i ; Q : 7 13 1 0
3
:z 2 4 3 0 ; : 4 1 3 0 ; : 12 5 0
1
Q x i x Q i z i z i
i
Q z i z Q z z i Q z i
i
          
 
             
 
7:Q‫ﻛﺎن‬ ‫اذا‬2‫اﻟﺜﻼﺛﺔ‬ ‫اﻟﺠﺬور‬ ‫أﺣﺪ‬ ‫ھﻮ‬‫ﻟﻠﻤﻌﺎدﻟﺔ‬3 2
8 4 8 0z Z Z   ‫اﻵﺧﺮﯾﻦ‬ ‫اﻟﺠﺬرﯾﻦ‬ ‫ﻓﺠﺪ‬.
8:Q‫ﺟﺪ‬55 48i ‫ا‬ ‫ُو‬‫ﻓﻲ‬ ‫اﻟﻨﺎﺗﺞ‬ ‫ﺳﺘﺨﺪم‬‫إﯾﺠﺎد‬‫اﻟﻤﻌﺎدﻟﺔ‬ ‫ﺟﺬري‬:2
(1 2 ) 13(1 ) 0z i z i    
9:Q‫اﻟﻤﺮﻛﺐ‬ ‫اﻟﻌﺪد‬ ‫ﺟﺪ‬z‫ﯾﺤﻘﻖ‬ ‫واﻟﺬي‬
22
18 24 0z z i   
: 10Q‫ا‬ ‫اﻟﺠﺬور‬ ‫ﺟﺪ‬‫ﻟﺘﻜﻌﯿﺒﯿﺔ‬‫ﻟﻠﻌﺪد‬i‫ﺑﯿﺎﻧﯿﺎ‬ ‫اﻟﺠﺬور‬ ‫وﻣﺜﻞ‬.
             
         
1
.: 1 , ; 2 1 , 4 ; 3 4 ,3 ; 4 1 , 1 5 ;
8
5 3 , 2 ; 6 2 3 , 2 4 ; (7) 3 ; (8) 38- , 1 5 ,
Ans i i i i i i i i
i i i i i i i
 
           
 
          
   
2 3
1 3
9 4 3 , 4 3 ; 10 ,
2 2
i
i i i i
 
    
‫ﺗﺪﺭﻳﺐ‬( 1 – 3 )
ALNASSIRYKAMIL32
‫ﺍﻟﺼﺤﻴﺢ‬ ‫ﻟﻠﻮﺍﺣﺪ‬ ‫ﺍﻟﺘﻜﻌﻴﺒﻴﺔ‬ ‫ﺍﳉﺬﻭﺭ‬
3 3 2
2
2
1 1 0 ( 1)( 1) 0
1 0 1
1 0 ; 1
4 1 1 4 1
2
3
2
13
2 2
Let x x x x x
Either x x
or x x a b c
b b a ic
x
a
        
    
     
         


  

1 1z 0 1z 0 1z 
2
1 3
2 2
z i  1z 2
1z 
3
1 3
2 2
z i  
2
2z 2z 

2
1 , , 
1 3
2 2
i   2 1 3
2 2
i   
1 3
2 2
i   2 1 3
2 2
i   
Omegaw
1
2
, 
2
2 2
1
2
2
1 3
( ) ( )
2 2
1 3 3 1 3
4 2 4 2 2
z i
i i i z
  
      
ALNASSIRYKAMIL33
2
2 1( )z z
22
1 3 1 3
2 2 2 2
i i    
1 3 1 3
2 2 2 2
i i    
3
1 2 3
1 3
1
2 2
z z z i    
1 3
2 2
 
2
1 1
1 0
2 2
1 0
i
 
   
   

2
1 0   
2 2
2 2
2
1 , 1
1 , 1
1 ........
   
   
 
     
     
  
40
2 3
1 1 1      
3 1n n   
mod 385 3 24
: ( ) 1 1Ex        
( .63Ex
14 25 16 32
7 8
7 37
) ) )
3 6
) ) )
1 1
a b c
d e f
   

 
 


 
ALNASSIRYKAMIL34
14 3 4 2 2
) ( )a      
25 3 8 1
) ( )b      
16 32 3 5 3 10 2 2
) ( ) ( ) 1c                
7 8 3 2 3 2 2 2
) ( ) ( ) 1d i                
3
7 3 2 2 2
3 3 3 3 3
) 3
1 1 ( ) 1
e  
     
      
     
37 3 12 2
6 6 6 6
)
11 1 ( )
6
f
   
   

  
   


2 6
( )i
i i
   2
( i  ) 6i 
64:Ex
53
1 3
1 3
i
i
 
   
53
2
53 53
53 53
1 3 1 3 1 3
.
1 3 1 3 1 3
1 2 3 3 2 2 3 1 3
4 4 2 2
i i i
Sol
i i i
i i
i
     
            
        
              
     
1 3
2 2
i   
3 17 2 2 1 353 ( )
2 2
i        
( 65Ex
2
1 0x x  
50 100
x x
2
1 0x x  
1a b c  
2
24 1 1 4 1 3 1 3
2 2 2 2 2
b b ac i
x i or
a
 
     
      
ALNASSIRYKAMIL35
1x 
50 100 50 100 3 16 2 3 33 2
( ) ( ) 1x x                  
2
2
x 
50 100 2 50 2 100
100 200 3 33 1 3 66 2 2
( ) ( )
( ) ( ) 1
x x  
       
  
         
‫ﺍﻷ‬ ‫ﺣﻞ‬ ‫ﻃﺮﻳﻘﺔ‬‫ﲢﻮﻱ‬ ‫ﺍﻟﺘﻲ‬ ‫ﺳﺌﻠﺔ‬
2
, ‫ﺍﻟﺘﺎﻟﻴﺔ‬ ‫ﺍﻟﺘﺴﻠﺴﻞ‬ ‫ﻧﺘﺒﻊ‬:
2
20 20 3n
   
 7n 
20 20 203 21n
       
    
2
3

3
2 2
4 4
67 : 4Ex  
 
  
2
1 0   
( 68Ex
2 6
(1 3 )  
2
1    
2 6 6 6 6
(1 3 ) ( 3 ) (2 ) 64 64 1 64              
 
 
3 3 32 2
3 3
69 : 5 3 5 3 5(1 ) 3 5
2 8 8
Ex      
 
            
     
3

ALNASSIRYKAMIL36
22
2 3
2
2
2
12 12
13 6 1992
13 6 1992
1
13 6 1992
(13
3 6 1992
70:
13 6 199
992
2
6 1 )
Ex
 
  
 
 

 

   
 
   
 

 
  
 
  
 
3
122 24 3 8
12 12 12
1 1
( ) 1

 
  
     
             
   
6
3 362 2
2
2
2
(
71:
a ba b a b
Ex
a b
a
a b
b
a b a b
a b
 
 
   
 
 
  
  
 
 
  


 
 
  
2
)
a b
2
( a b  

)
a b 
 
6
62 6
( 1) 1 
 
      
 
2
1   
2
3 3 2 3 3 2( 1 ) 3 3 2 2 5                  
72 82Ex to Ex
2
2
2
2
22
2
5 5 5(3 ) 5(3 )
: . .
5 5 75
72 :
3 3 (3 )(3 )
15
3 3 169
E
S
x
Sol L H

 
  


    
     
     
 
   
 



2
5 15 
2 22
2 3 2 3
2 22 2 2 3 4
2
2
5 5( )
9 3 3 9 3 3
5( ) 5( ) 25( 2 )
10 3( ) 10 3 169
25( 2 ) 25( 1 2) 75
. .
169 169 169
R H S
  
     
      
 
 
    
   
       
        
       
       
    
   
 
ALNASSIRYKAMIL37
2
2
22
2
2 (2 ) 2
: . .
1 1 1
73:
2 2 3
(2 )(2 )
Sol L H
E
S
x


 


 
  

   
  
  
 
2
2 
2 22
2 3 2
4 3 2 2
2
4 2 2 5 2( )
2 2 1 2 1
. . .
(5 2) 9 9 3
R H S
  
    
    
    
   
      
      
    

1 1 1
2 2 22 2 2
1
2
1
2
2
2
2 4
1 2 1 2 1
: . .
1
1 . .
1 2
74
.
:
1
Sol L H S
i R
E i
H
x
S
  
  
 





         
        
      
  
      
  
 
  
  
2
2
2
2
1 10( ) 1 10 9 9 3
:
1 10 10 3
75:
1
. . 1 . . .
1 3( ) 1 3 4 4 2
3 3 2
So
Ex i
l L H S i R H S
 
 
 
 
   
       


 




3 4 2 3 2 2
14 7
1
3 2 3 2
0 5
2
1 2
76:
2 3
( ) ( ) 1 1 1 1 2
: . . . . . .
( ) 2 2 1 2 3
Sol L H S
x
H S
E
R
   
 
 
 
     
       
    

 


   

  
2 2
4
2
2
2
: . . . (1 ) 5
77: (1 ) (5 3 5 ) 4
(1 ) 3 1Sol L H S
Ex i
i
  
         
   
    

2
2i i   
2 2
2 2 2 2
5 3
(4 ) ( 2 ) 4 4 4( ) 4( 1) 4 . . .i R H S
 
     
    
 
             
ALNASSIRYKAMIL38
22
3 2 3
2
2 2 2 2 4 2 6
2 2 2
2
3
3
2
. . . 2( 1) 5(1 )
( 2 3 ) ( 5 2 ) (9 ) 9 9 . .
2
.79 : (2 2) (5 5 ) 9
.
L H S
R
E
H
x
S
 
   
 
      
 
    
               
          
    
2 3 4 4
2 2 2
3 2
2 2 2
2
78 : ( 3 ) ( 3
: . . . 6 9 ( 6 9 )
6 9 ( 6 6
)
)
8 3
9
S ol L H S
i
Ex i
i
i
i
     
  
  
 

       
        
   


9 6   
   
 
2
2
9 )
( 8 8 ) 8( 1 ) 8 8 16
1 3
. . . 8 16
2 2
1 3
8 16( ) 8
2 2
i i i
B ut i T hen L H S i
i i i

    
 
  
         
     
 
    
 
8 8 3 8 3( 1) . .3 .8i R H S        
62 2 2
3
62
5 1
.8
5 (5
0 :
: . .
5
1
5
.
i i i i
Sol L H S
i
i
Ex
i
 
 


  
  
 
  


 
 
2
)
(5 i  
6
6 4 2
6 3 2
2
2 22 2
2 2
2 2 22 2
2
2 2 2 2
1
1 . . .
( ) 1)
. . .
7(1 ) 4 7(1 ) 4
97 4
81:
(7 4 7 ) (7 7 4
7 4
)
i i i
R
Ex
H S
L H S
 
 
   
   
   
 
   
   
       
 

  
         
  
   

   
     
4
9 2
2
2 2 2
1 1
9 9 9
  
  
 
    2
9
1
. . .
9
R H S

 
ALNASSIRYKAMIL39
‫ﺍﻷﺳﺌﻠﺔ‬ ‫ﻣﻦ‬ ‫ﺃﺧﺮﻯ‬ ‫ﺃﺷﻜﺎﻝ‬:
( :83Ex
4
2 
a b i
2
2 
2 2 2 2
2 2 2
2
6 2 6(2 ) 6(2 ) 6(2 )
2 2 4 2 2 1 5 2( ) 5 2
6
z
   
     
   
    
       

2
(2 )
3
 2 1 3
4 2 4 2( ) 4 1 3 3 3
2 2
i i i          
( :84Ex
5 5
( 1 3 ) ( 1 3 )i i    
5 5
5 5
5 2 5 5 10 3 2 3 3
2
1 3 1 3
( 1 3 ) ( 1 3 ) 2( ) 2( )
2 2 2 2
(2 ) (2 ) 32 32 32 ( )
32 32
i i i i
       
 
   
             
   
       
     
 
2 2
1 1
. . . . (5 )( )
5 4 3( 1 ) 3 2( 1 )
1 1 1 1
(5 )(
1 1
.82 : (5 )(
) (5 )( )
5 4 3 3 ) 3 2 2 2 2
2 (2 ) 2
(5 )( ) (5 )(
(
)
5 4 3 3 2
2 )( 2 )
Sol L H S
Ex

   
 
     


  

 


 

  
      
     
        
     
   
 


 
 
2   )
4 2  2 2
2
)
4 4 4
(5 )( ) (5 )( ) (5 )( )
4 4 ( 1 ) 5
( 5

  
  


  
     
       
  
4
)(
5 

 
) 4 . . .R H S 
ALNASSIRYKAMIL40
‫ﺃﺧﺮﻯ‬ ‫ﺃﻣﺜﻠﺔ‬:‫ﺟﺬﺭﺍﻫﺎ‬ ‫ﺍﻟﺘﻲ‬ ‫ﺍﻟﱰﺑﻴﻌﻴﺔ‬ ‫ﺍﳌﻌﺎﺩﻟﺔ‬ ‫ﺟﺪ‬M , N‫ﺃﻥ‬ ‫ﻫﻞ‬ ‫ﻭﺑﲔ‬M ,N‫ﻣﱰﺍﻓﻘﺎﻥ‬.
2 2
2 2 2 3
2
:85 1 ; 1
. 1 1 2 ( ) 2
,
(1 ) 1 ) 1
1
(
Sol M N i i i i
Hence M N are not congugate
Ex M i N i
M N i i i i i
   
   
 

  
          
 


     

2
( ) 1i    
2
( 1)
: (2 ) 0
i i
The equation x i x i
   
    
2
2 2
3
.
3 2
86
:
, 3
2
: 2Ex M i N
S
i
o
i
M
i
l i
i
 
 




  
2
( i 2
2
) 2 3
2
: 3
i i
N i
i
 


 
  2
( i 2
) 3 2i i  
2 2 2
2
2 2
2 2 2 3 2 3 2 4 2
2
2
2 3 3 2 5 5
5 ( ) 5 ,
(2 3 )(3 2 )
6 4 9 6 6 4 9 6
6( ) 13 6 13 7
. : 5 7 0
M N i i i i i i
i i M N‫ﺘﺮاﻓﻘﯿﻦ‬ ‫ﻏﯿﺮﻣ‬
M N i i i i
i i i i
The Equ x i x
     
 
   
     
 
      
     
   
       
        
  



2
2
2 2 2
2 2
3 2 3 2
2 3 2
(1 3 ) (1 3 )
. :
1 3 1 3 (1 3 )(1 3 )
3 3 3 3
1 3 3 9 1 3( ) 9
6 1 5
1
.8 7 : ,
1
3 7
3 3
0
1
E x
N
N
o l M
M
S
     
   
     
  






  
   
   
     
 
 
     

  

 

ALNASSIRYKAMIL41
2 3
2 2
2 2
1
1 3 1 3 (1 3 )(1 3 ) 7
,
5 1
. : 0 7 5 1 0
7 7
M N
M N are congugate
The equ x x x x
  
   
   
   

      
  
3 2 3
2
2 2
2 2 2 3
2
2
2
3 3
. : 3 ; 3
3 3 2 3( ) 2 3
,
( 3 ) ( 3 ) 3 3 9
1 3 ( ) 9 1 3 9 8 3
. : (2 3)
3
(
3
. 88 : ,
8 3 ) 0
Sol M i i N i i
M N i i i i
M N ‫ﺘﺮاﻓﻘﯿﻦ‬ ‫ﻏﯿﺮﻣ‬
M N i i i i i
i i i
The e
Ex M i
u x i i
i
q x
N

   
 
   
    

 
       
          
      
         
 

   



 
 

: 1Q
2
2
7
1
i i
i i
 
 
 
 
: 2Qx ,y 
2
17 34 3
1 1
1
i
x i y
i
 

     

3 8Q to Q
       
2
2 2 2
2
3 3 2 22 2 2 2
2
2
3: 2 , 2 ; 4: 1 6 2 , 2 5
5: 1 , 3 3 ; 6: 2 2 1 , 2 2 2
2 2
7 : ,
1 3 1 3
i
Q Q
i
Q Q
Q

     

       
 
 
     
       
 
 
10 20
; Q8:1- 1 , 1- 1  
: 9Q
2
1 
‫ﺗﺪﺭﻳﺐ‬)1 - 4(
ALNASSIRYKAMIL42
: 10Q1 3a i  
2
2 2a a 
: 11Q
17
1 3
1 3
   
     
2
1 0z z  
: 12Q2
1 0z b z  b1 
: 13Q
2
3 i   
2
2 2
1 1 2 1
2 6
1   
     
       
     
: 14Q2 3 , 2 3x i y i   
2 2 2
x y 
15 22Q to Q
   
2
2 22 2 2
2 2011
2 2 2
2
5 3 1 1
15: 1 0 ; 16:
5 3 92 5 2 2 2 5
2 3 1 15 1 1
17 : ; 18:
2 3 3 7 5 4 16 9 2 3 9
19:
Q Q
Q Q
a b c d
Q
a b
  
     
 
      



     
    
     
     
 


12 22
2 2
59
1 1 2 2
1 1 1
1 ; 20:
7 8 9 7 8 9 3
1 1 1 2
21: 1 ; 22: 1
2 3 2 5 5
Q
c d
i
Q Q

    

      
 
   
      
      
   
     
 
 
2
2 2 2
2
1:2 , 2 ; 2: 3 , 1 3: 4 4 8 8 0
4: 4 4 8 8 0 ; 5: 10 37 0 ; 6: 25 144 0
7 : 7 3 3 0 ;
Q i i Q x y Q z i z i
Q z i z i Q z z Q z z
Q z z
          
          
    2 2
8: 2 0 : 9: 3 3 0
12: 3 i ; 14: 13 11
Q z i z i Q z z
Q Q or
      
 
KAMIL ALNASSIRY43
‫ﺍﳌﺮﻛﺒﺔ‬ ‫ﻟﻸﻋﺪﺍﺩ‬ ‫ﺍﳍﻨﺪﺳﻲ‬ ‫ﺍﻟﺘﻤﺜﻴﻞ‬Geometrical representation of Complex Numbers
‫ﺃﺭﮔﺎﻧﺪ‬ ‫ﳐﻄﻂ‬Argand diagram
Real axis
Imaginary axis
‫ﺍﻟﻘﻄﺒﻲ‬ ‫ﺍﶈﻮﺭ‬Polar axis
‫ﺍﳌﺴﺘﻮﻱ‬ ‫ﰲ‬ ‫ﻗﻄﺒﻴﺔ‬ ‫ﺇﺣﺪﺍﺛﻴﺎﺕ‬Polar coordinate in the plane
r
Polar axis
za , bz( , )r 
r
2 22 2 2
cos ; sin
1tan so t
so
na
a r b r or
r a r a b
b b
a a
b
 
  
 
 




KAMIL ALNASSIRY44
Example6 2 , 3 4
1 2
z i z i   
1 2 1 2,z z z z 
1 21) z z
1 2 (6 2 ) (3 4 ) (6 3) (2 4) 9 2z z i i i i          
1 26 2 (6 , 2) , 3 4 (3, 4)z i m z i n        
Om1z

n2z

m , n , O , hh
h = ( 9 , - 2 )1 2 9 2z z i   
1 22) z z
1 2 1 2( ) (6 2 ) ( 3 4 ) (6 3) (2 4) 3 6z z z z i i i i              
1
2
6 2 (6,2)
3 4 ( 3,4)
m z i
n z i
   
      
h
1 2(3,6) 3 6 3 6h i z z i      
KAMIL ALNASSIRY45
‫ﺍﳌﺮﻛﺐ‬ ‫ﻟﻠﻌﺪﺩ‬ ‫ﺍﻟﻘﻄﺒﻴﺔ‬ ‫ﺍﻟﺼﻮﺭﺓ‬Polar form of the complex number
(cos sin )z r i  
z r cis ccosinessine

r( )z x y i 
2 2
| |z r x y  r > 0|z|
complex numberThe modulus of
1 2,z z
1 2 1 2
1 1
2 2
1 2 1 2
1) | | | | | |
| |
2)
| |
3) | | | | | |
z z z z
z z
z z
z z z z
  

  
‫ﺍﳌﺮﻛﺐ‬ ‫ﺍﻟﻌﺪﺩ‬ ‫ﻣﺴﺘﻮﻯ‬ ‫ﰲ‬ ‫ﺑﻨﻘﻄﺔ‬ ‫ﳝﺜﻞ‬ ‫ﺍﳌﺮﻛﺐ‬ ‫ﺍﻟﻌﺪﺩ‬ ‫ﺃﻥ‬‫ﻫﻲ‬ ‫ﳐﺘﻠﻔﺔ‬ ‫ﺻﻴﻎ‬ ‫ﻭﻟﻪ‬:
1‫ﺩﻳﻜﺎﺭﺗﻴﺔ‬ ‫ﺻﻴﻐﺔ‬rectangular co-ordinates( , )x yArgand
2‫ﺍﻋﺘ‬ ‫ﺻﻴﻐﺔ‬‫ﺟﱪﻳﺔ‬ ‫ﺃﻭ‬ ‫ﻴﺎﺩﻳﺔ‬Rectangular or Cartesian formz x i y 
3‫ﺻﻴﻐﺔ‬‫ﺍﺣﺪﺍﺛﻴﺎﺕ‬‫ﻗﻄﺒﻴﺔ‬( , )
‫ﺮة‬ ‫اﻟﻤﺨﺘﺼ‬
r 1
tan
y
x
 

4‫ﻗﻄﺒﻴ‬ ‫ﺻﻴﻐﺔ‬‫ﺔ‬‫ﻭ‬‫ﻣﺜﻠﺜﻴﻪ‬(cos sin )z r i  
5‫ﺃﺳﻴﺔ‬ ‫ﺻﻴﻐﺔ‬Euler's formula
i
z r e 
e
KAMIL ALNASSIRY46
‫ﺍﳌﺮﻛﺐ‬ ‫ﺍﻟﻌﺪﺩ‬ ‫ﺳﻌﺔ‬Amplitude (Argument)of Complex Number
A nti clockwise rotatin
‫ﺍﳌﺮﻛﺐ‬ ‫ﻟﻠﻌﺪﺩ‬ ‫ﺍﻷﺳﺎﺳﻴﺔ‬ ‫ﺍﻟﺴﻌﺔ‬z a bi (Principal value of an argument )
( )Arg zz
 , 20  
( )arg z( ) 2 ;arg z n n    
AAa
Principal value of an argument
The principal value of anargument is the valuewhich lies between and 
‫ﺍﻷﻭﻝ‬ ‫ﺍﻟﺮﺑﻊ‬ ‫ﰲ‬( )Arg z   ‫ﺍﻟﺜﺎﻧﻲ‬ ‫ﺍﻟﺮﺑﻊ‬ ‫ﰲ‬( )Arg z     
‫ﺍﻟﺮﺍﺑﻊ‬ ‫ﺍﻟﺮﺑﻊ‬ ‫ﰲ‬( )Arg z    ‫ﺍﻟﺜﺎﻟﺚ‬ ‫ﺍﻟﺮﺑﻊ‬ ‫ﻭﰲ‬( )Arg z      



KAMIL ALNASSIRY47
, 0 , 0z a bi a b   
1( , )z a b

2
2 2
z r a b  
cos , sin
a a
r r
  tan
b
a
 
3, ,
3 4 6
  
(cos ,sin ) 
1 3
( , )
2 2
3 1
( , )
2 2
1 1
( , )
2 2

3

6

4

z
 
Z
z

Z
   

z

Z
   

z

Z
2   

KAMIL ALNASSIRY48
4a or b
a = b = 0
z = 0
‫ﺇﺣﺪﺍﺛﻴﺎﺗﻪ‬‫ﺍﻟﻘﻄﺒﻴﺔ‬‫ﺍﳌﺜﻠﺜﻴﺔ‬
: 89)Example2 2 3i 
1
2 3 2 ( 2 3 , 2 ) 2ed
z i quadrant
Then   
     
 
22 2 2 2
( 2 3) 2 4r x y     
3
( 2 3 , 2 ) 3 1
( , )
4 2 2
z
r

  
co s , sin
2 3 3 2 1
co s , sin
4 2 4 2
3 1
,
2 2 6
5
( )
6 6
x y
r r
B u t A rg z
 
 


 
   
 
 
   
 
   
 
     
5 5
(4, ) (4, 2 ) , k
6 6
z or z k
 
   
5 5
4(cos sin )
6 6
z i
 
 
(1,0)
0
(1,0)
 
(0,1)
2

 
3
(0,-1)
2


KAMIL ALNASSIRY49
2 : (90)z i Example 
a = 0
2 2
2 (0, 2)
4 2
z o i
z r x y
   
    
2
cos 0 , sin 1
2
3
(cos ,sin ) (0, 1) int
2
x y
r r
circle
 

  

     
    u
3 3
2 , or 2 , 2
2 2
z z k
 

   
     
   
3 3
2(cos sin )
2 2
z i
 
 
7 3
: ( 91)
1 12
Examplez  

 
2
2 2
7 3 7 1 3 7 3 1 2 3
1 12 1 1 12 1 2 3 1 2 3
7 14 3 3 6 13 13 3
1 3
1 12 13
1 3 (1 , 3 ) ( , ) 4 2
| | 1 3 2
th
i i
i i
i i i
i
i
z i Quadrant
z r x y
z
  
     
  
     
   
   

         
     
 

cos , sin
1 3
cos , sin
2 2
1 3
,
2 2 3
5
( ) 2 2
3 3
x y
r r
But A rg z
 
 


 
   
 

 
 
   
 
     
KAMIL ALNASSIRY50
5
arg( ) 2 2 ,
3
z n k k

       
5 5
2 , 2 , 2
3 3
z or z k
 

   
     
   
5 5
2 cos sin
3 3
z i
  
  
 
42 14
: ( 92)
2
i
Example
i
z  


2
2 2
42 14 2 84 42 28 14 70 70
14 14
2 2 4 1 5
| | 196 196 196 2 14 2
14 14 ( 14,14 ) ( , ) 2ed
i i i i i i
i
i i
z r x y
z i Quadrant
z
  
        
     
  
      
           


cos , sin
14 1 14 1
cos , sin
14 2 2 14 2 2
1 1
,
42 2
3
( )
4 4
x y
r r
But A rg z
 
 


 
   
 
 
   
 
  
 
     
‫ﺍ‬‫ﺍﻻﻋﺘﻴﺎﺩﻳﺔ‬ ‫ﺃﻭ‬ ‫ﺍﳉﱪﻳﺔ‬ ‫ﻟﺼﻴﻐﺔ‬‫ﺍﻟﻘﻴﺎﺳﻴﺔ‬ ‫ﺃﻭ‬:14 14z i  
‫ﺍﻟﺪﻳﻜﺎﺭﺗﻴﺔ‬ ‫ﺍﻟﺼﻴﻐﺔ‬: 14 ,14z  
‫ﺍﻟﻘﻄﺒﻴﺔ‬ ‫ﺍﻻﺣﺪﺍﺛﻴﺎﺕ‬:
3 3
14 2 , 14 2 , 2
4 4
z or z k
 

   
     
   
‫ﺍﳌﺜﻠﺜﻴﺔ‬ ‫ﺍﻟﺼﻴﻐﺔ‬)‫ﺍﻟﻘﻄﺒﻴﺔ‬(:
3 3
14 2 cos sin
4 4
z i
  
  
 
‫ﺍﻷﺳﻴﺔ‬ ‫ﺍﻟﺼﻴﻐﺔ‬
3
4
14 2
i
z e


KAMIL ALNASSIRY51
.(93)Ex
11
6

8
11
6
3 1
(cos ,sin ) ( , )
2 2
    
11 11 3 1
(cos sin ) 8(cos sin ) 8( ( ) )
6 6 2 2
4 3 4
z r i i i
i
 
 

     
 
.(94)Ex
3
4

12
3
4
1 1
(cos ,sin ) ( , )
2 2
   
3 3 1 1
(cos sin ) 12(cos sin ) 12( ( ) )
4 4 2 2
1 1 1 1 1
12 2 ( ( ) ) 12 2( ) 6 2 6 2
2 22 2 2
z r i i i
i i i
 
 

     

       
.(95)Ex
27
2

7
mod (2 )
27 24 3 3 3
rg( ) : 12
2 2 2 2
A z
    


   
3
( ) (0, 1) (cos ,sin )
2
(cos sin ) 7(0 1 ) 7
Arg z
z r i i i

 
 
   
     
6a i2
3

a
2
3
1 3
( , ) (cos ,sin )
2 2
 

 
2 2 1 3 1 3
(cos sin ) ( )
3 3 2 2 2 2
: 6
1 3
6
2 2
z r i r i r r i
z a i
hence r r i a i
   
     
 

  
B ut
KAMIL ALNASSIRY52
1 2
1 2
3
Im( ) Im( ) 6 2 2
2
1 1
Re( ) Re( )
2 2
z z r r
z z r a a
    
 
     2 2 2 
‫ﻣﻬﻤﺔ‬ ‫ﻗﻮﺍﻋﺪ‬:
1 2
1 2 1 2
1
1 2
2
1) arg( ) arg( ) arg( ) mod 2
2) arg arg( ) arg( ) mod 2
3) If 0 and is any integer then
arg( ) arg( ) mod 2
If z and z are two non zero complex numbers then
z z z z
z
z z
z
z n
nz n z




 
 
  
 




 7
mod 2
11 77
2) arg ( 3 ) 7
:96
2 2 3 5 5 5
1) arg arg (2 2 3 ) arg( 1 )
1 3 4 12
arg( 3 ) 7
6 6
5 5
(12 )
6 6
i
E
i
i
i
x
i
i

 






   
 
        
 
  


 


KAMIL ALNASSIRY53
‫ﻓﻴﻬﻤ‬ ‫ﺍﻟﺘﺎﻟﻴﲔ‬ ‫ﺍﳉﺪﻭﻟﲔ‬‫ﺎ‬‫ﻓﺎﺋﺪﺓ‬‫ﻭﻣﻬﻤ‬‫ﲔ‬‫ﺟﺪﺍ‬:‫ﺍ‬ ‫ﻟﻠﻌﺪﺩ‬ ‫ﻧﻈﺮﺓ‬ ‫ﻣﻦ‬‫ﳌﺮﻛﺐ‬
‫ﺍﻷﺳﺎﺳﻴﺔ‬ ‫ﺳﻌﺘﻪ‬ ‫ﻋﻠﻰ‬ ‫ﺗﺘﻌﺮﻑ‬ ‫ﺃﻥ‬ ‫ﳝﻜﻦ‬ ‫ﺍﻟﻘﻴﺎﺳﻴﺔ‬ ‫ﻭﺑﺎﻟﺼﻴﻐﺔ‬.
a ai 3a a i 3a a i 0a i a i ‫اﻟﻌﺪد‬‫ﺑﺎﻟﺸﻜﻞ‬
4

6

3

0 or  3
2 2
or
 
‫اﻟﻌﺎﺋﻠﺔ‬
97 :Ex
Arg ( z ) Family Quadrant z
3
4 4
 
  
4

( , ) 2nd
Q   8 8i 
5
2
3 3
 
  
3

( , ) 4th
Q   6 6 3 i
7
6 6
 
  
6

( , ) 3rd
Q   6 3 6 i 
3
2

‫ﻋﺎﺋﻠﺔ‬ ‫ﺑﺪون‬ ‫اﻟﻤﺤﻮر‬ ‫ﻋﻠﻰ‬ 6 3 i
7
6 6
 
  
6

( , ) 3rd
Q  
6 2
2( 3 )
i
i
 
  
KAMIL ALNASSIRY54
‫ﺍﻟﻘﻄﺒﻴﺔ‬ ‫ﺑﺎﻟﺼﻴﻐﺔ‬ ‫ﻋﺪﺩﻳﻦ‬ ‫ﻭﻗﺴﻤﺔ‬ ‫ﺿﺮﺏ‬
Products and Quotients of Complex Numbers in Polar Form
Let z1 and z2 be complex numbers, where
 
 
1 2 1 2 1 2 1 2 1 2 1 2
1 2 1 21 2
cos sin1 2 1 2
cos cos sin sin (sin cos cos sin
cos( ) sin( )
:
z z r r i
r r
This mean
i
s
   
      


  
 
 
 
 
  
 
 
    
 
 
 

 
‫ﻣﺮﻛﺒﲔ‬ ‫ﻋﺪﺩﻳﻦ‬ ‫ﻗﺴﻤﺔ‬
1 1 1 2 2 2
1 2 1 2 1 2
: (cos sin ) / (cos sin )
/ [cos ( ) sin ( )]
‫ﻤﺔ‬ ‫ﻗﺴ‬
r i r i
r r i
   
   
 
   
The quotient
1 1 1
2 2 2
1
1 2 1 2
2
:
| |
1.
| |
2. arg arg( ) arg( ).
This means
z z r
z z r
z
z z
z
 
 
 
    
 
KAMIL ALNASSIRY55
‫ﻣﱪﻫﻨﺔ‬‫ﺩﳝﻮﺍﻓﲑ‬De Moivre’s theorem
n
 cos sin cos sin .
n
i n i n     
97 : Prove that (cos sin ) cos sin ,n
Ex i n i n n       
cos( ) cos( ) sin( ) sin ( )n n and n n       
 . . (cos sin ) cos sin( )
nn
L H S i i       
 cos sin( ) cos sin( )
n
i n i n       
cos sin( ) cos sin( ) . .n i n n i n R H S       
(cos sin )z r i  
(cos sin )n n
z r n i n  
KAMIL ALNASSIRY56
6
2 2
6
6 6 6
98 : Prove that (1 3 ) 64
. W rite z in polar form : z = r(cos + i sin )
r = 1 3 2
5
arg( ) 2 use De M oivre's Theorem
3 3
5 5 5 5
(1 3 ) ( ) 2(cos sin 2 cos( 6) sin( 6)
3 3 3 3
Ex i
S ol
a b
z then
i z i i
 
 
 
   
 
   
   
   
           
mod 2
64( cos10 sin 10 ) 64( cos 0 sin 0) 64i i

 

    
 
6
66 6 3 21 3
(1 3 ) 2( ) 2( ) 64 64( ) 64
2 2
i i   
 
          
 
24
1 1 1 1 1
2 2 2 2 2
1
1 2
2
1 3
.99) Pr 1
3
: 1 3 | | 2 ; arg( )
3
3 | | 2 ; arg( )
6
| | 2
| | 1 ; arg( ) arg( ) arg( )
| | 2 3 6 3
i
Ex If z ove that z
i
Sol let z i z r z
let z i z r z
z
z z z z
z




  

 

      
      
       
 1
1 2 1 2
2
24
24
mod 2
| |
cos( ) sin( ) cos sin
| | 6 6
cos sin cos 24 sin 24
6 6 6 6
cos4 sin 4 cos0 sin 0 1 (0) 1
z
z i i
z
then z i i
i i i

 
   
   
 
     
 
       
      
( .100)Ex
6 4
( 2 6 ) ( 1)i i  
KAMIL ALNASSIRY57
 
1 1 1 1
1
6 4
6 6
6
6
1
.:
5
2 6 | | 2 6 2 2 ; arg( ) 2
3 3
5 5
(cos sin ) 2 2 (cos sin )
3 3
5 5 5 5
( ) 2 2 (cos sin ) 2 2 cos sin
3 3 3 3
5 5
512 cos( *6) sin(
( 2 6 ) ( 1
*6) 512(cos10
3 3
)Sol Let z
Let z i z z
z r i i
z i
i
i
i
i
 
 
 
 
   
 

         
   
   
         
 
    
  
mod 2
sin10 ) 512(cos0 sin0) 512i i

    
2 2 2 2
2
3
1 1 | | 1 1 2 ; arg( )
4 4
3 3
(cos sin ) 2 (cos sin )
4 4
Let z i i z z
z r i i
 
 
 
 
            
   
 
4
4
4
2
mod 2
6 4
1 2
3 3 3 3
( ) 2 (cos sin ) 2 cos 4 sin 4
4 4 4 4
4(cos3 sin3 ) 4(cos sin ) 4
( ) ( ) 512( 4) 2048
z i i
i i
z z z

   
   
   
           
     
     
.102: cos sin :
1 1
1) 2cos 2) 2 sin
1 1
3) 2cos 4) 2 sinn n
n n
Ex If z i then prove that
z z i
z z
z n z i n
z z
 
 
 
 
   
   
1 11
1) cos sin (cos sin )
cos sin cos( ) sin( )
cos sin
z z z i i
z
i i
i
   
   
 
 
      
     
  cos sini   2cos
KAMIL ALNASSIRY58
 
 
1 11
2 ) cos sin (cos sin )
cos sin cos( ) sin( )
cos sin cos sin
cos
z z z i i
z
i i
i i
   
   
   

 
      
     
   
 sin cosi    2 sin
1
3 ) (cos sin ) (cos sin )
cos sin cos ( ) sin ( )
cos sin
n n n n n
n
i
z z z i i
z
n i n n i n
n i n

   
   
 
 
 
      
     
  cos sinn i n   2cos n
 
 
1
4 ) (cos sin ) (cos sin )
cos sin cos ( ) sin ( )
cos sin cos sin
cos
n n n n n
n
z z z i i
z
n i n n i n
n i n n i n
n
   
   
   

 
      
     
   
 sin cosi n n   sin 2 sini n i n  
‫ﺗﻌﺮﻳﻒ‬:‫ﻛﺎﻥ‬ ‫ﺍﺫﺍ‬z‫ﻋﺪﺩﺍ‬‫ﻭﺃﻥ‬ ‫ﻣﺮﻛﺒﺎ‬n‫ﻓﺈﻥ‬ ‫ﻣﻮﺟﺒﺎ‬ ‫ﺻﺤﻴﺤﺎ‬ ‫ﻋﺪﺩﺍ‬
1
n
z‫ﻟﻠﻌﺪﺩ‬ ‫ﺍﻟﻨﻮﻧﻲ‬ ‫ﺍﳉﺬﺭ‬ ‫ﻫﻮ‬z
n(cos sin )z r i  
 
1 1 1
2 2
(cos sin ) cos ( ) sin( )n n n k k
z r i r i
n n
   
 
  
     
k0 , 1 , 2 , 3 , ….., (k -1 )‫ﺣﻴﺚ‬k‫ﺍﳉﺬﺭ‬ ‫ﺭﺗﺒﺔ‬
k0 , 1 , 2
k0 , 1 , 2 , 3 , 4 , 5
KAMIL ALNASSIRY59
Ex103)- 32
  5
1 1 1
5 5 5
1
5
(cos sin ) , , 32 32 , arg( )
32 32(cos sin )
2 2
32 (cos sin ) (2 ) cos ( ) sin( )
5 5
2 2
2 cos ( ) sin( )
5 5
L et z r i z z r z
T hen z i
k k
z i i
k k
z i
   
 
   
 
   
        
   
  
    
 
  
   

123
2
n

n
( 104)Ex4 4 3i
4 4 3i z 
1
3
z
2 2
4 4 3 (4, 4 3 ) 4 2
| | 16 48 8
4 1 5
cos 2
8 2 3 3 3
5 5
(cos sin ) 2 (cos sin )
3 3
th
i Quadrant
z r a b
a
r
z r i z i
  
  
   
 
 
      
     
        
    
 
 
 
 
0
1
2
3
4
0 : 2(cos sin )
5 5
3 3
1: 2(cos sin ) 2
5 5
2 : 2(cos sin ) 2 3
7 7
3 : 2(cos sin ) 4
5 5
9 9
4 : 2(cos sin ) 5
5 5
w hen k z i ‫ﺬراﻷول‬ ‫اﻟﺠ‬
w hen k z i root
w hen k z i root
w hen k z i root
w hen k z i root
 
 
 
 
 
  
   
     
   
   
KAMIL ALNASSIRY60
0
1
1 1
3 3
1
3
5 5
2 2
5 5 3 38 (cos sin ) 2 cos ( ) sin ( )
3 3 3 3
5 6 5 6
2 cos ( ) sin ( )
9 9
5 5
: 2 (cos sin ) (1)
9 9
11 11
: 2 (cos sin ) (2)1
9
0
9
when k
when k
wh
k k
z i i
k k
z i
z i Root
z ot
e
i Ro
 
 
 
   
 
 
 
   
        
 
  
  

 
 
 
2
17 17
: 2 (cos sin ) (3)
9
2
9
n z i Rootk
 
 
( 105)Exu
2
3
( 2 2 3)u i  
(cos sin ) ; 2 2 3
( 2, 2 3) 2 .
| | 4 4 3 4
2 1 2
cos
4 2 3 3 3
2 2
4 ( cos sin )
3 3
nd
Let z r i z i
z qua
z r
z i
 
  
  
   
 
    
     
    

        
 
 
1 1
22 1 3 3
2 23 3
3
3
3
0
1
2
3
2 2 4 4
4 ( cos sin ) 4 ( cos( ) sin( )
3 3 3 3
4 4
2 2
3 316 cos sin
3 3
4 6 4 6
16 cos sin
9 9
4 4
0 : 16 (cos sin )
9 9
1: 16
z z i i
k k
i
k k
z i
when k z i ‫ﺬراﻷول‬ ‫اﻟﺠ‬
when k z
   
 
 
   
 
    
             
 
  
  
 
 
  
   
  
  3
3
2
10 10
(cos sin )
9 9
16 16
2 : 16(cos sin )
9 9
i ‫ﺬراﻟﺜﺎﻧﻲ‬ ‫اﻟﺠ‬
when k z i ‫ﺬراﻟﺜﺎﻟﺚ‬ ‫اﻟﺠ‬
 
 

  
KAMIL ALNASSIRY61
( 106)Ex
6
64 0z i 
 
1
6 6
664 0 64 64z i z i z i       
 
2 2
1
11 6
66
1
2
3 3 3
64 ; 64 ; arg( ) 64(cos sin )
2 2 2
3 3 3 3 1 3
64 64(cos sin ) 2(cos sin ) ,,, ( 2 )
2 2 2 2 6 2
3 4 3 4
2(cos sin )
12 12
2(cos sin ) 2 2
4 4
7
2(cos sin
1
0
1
2
i g r a b g i
z i i i k
k k
i
z i i
z i
let k
let k
  

    

   
 

        
 
        
 
 
    
 

 
3
4
5
6
7
)
12
11 11
2(cos sin )
12 12
5 5
2(cos sin ) 2 2
4 4
1
2
3
4
9 19
2(cos sin )
12 12
23 23
2(cos sin )5
12 12
z i
z i i
z
let k
let k
let k
let k
i
z i

 
 
 
 
  
     
  
  




2 2
6 3n
  
 
60‫ه‬
0z
5z
4z
1z
2z
3z
Real axis
Imaginary axis
KAMIL ALNASSIRY62
 
3
1
:( 106)
1 3
i
Let z Ex
i



z
5 5
sin , cos
12 12
 
   
3 2
. : 1 1 (1Sol i i    2
2i i 
 
 
2
3
1
1 1
1
2 2
1 1
1
2
)(1 ) 2 2 2 2
1 2 2 1 3 2 2 3 2 2 3 2 3 2 2 3 2
4 4 41 3 1 3 1 3
2 2
2,2 2 .
3
tan 1
4 4 4
| | 2 2
3 3
2 2(cos sin )
4 4
1 (1, 3 ) 1 .
nd
st
i i i i
i i i i i
z i ‫ﺔ‬ ‫ﺟﺒﺮﯾ‬
i i i
Let z i
z Quad
r z a b
z i
Let z i Quad
  
  
   
 

     
         
     
  
  
     
       
   
 
    2
2 2
2 2
2 2
2
1
2
| | 2
3
tan 3
1 3
2(cos sin )
3 3
3 3
2 2(cos sin )
3 3 5 54 4 2 cos( ) sin( ) 2(cos sin )
4 3 4 3 12 122(cos sin )
3 3
r z a b
z i
iz
z i i
z i


  
 
 
     
 

   
    
 

 
         
2 3 2 2 3 2
4 4
5 2 3 2 5 2 3 2 6 2
: 2 cos cos
12 4 12 44 2
5 2 3 2 3 1 2
5 5
2(cos sin )
12
6 2
: 2 sin
12 4 42
12
2
Re.
Im.
2
‫ﺔ‬ ‫ﻣﺜﻠﺜﯿ‬
But
z i
parts
parts
z i ‫ﺔ‬ ‫ﺟﺒﺮﯾ‬
 
 

 
 
  
   
 



  

KAMIL ALNASSIRY63
( 107)Ex   
9 4
cos sin cos sini i    
         
    
9 4 5 4 4
45
: cos sin cos sin cos sin cos sin cos sin
cos sin cos sin cos sin
cos5
Solution i i i i i
i i i
         
     

     
     
   2 2
sin5 cos sin cos5 sin5i i      
   sin sin ; cos cos       
       
    
49 4 9
cos sin cos sin cos sin cos( ) sin( )
cos9 sin9 cos( 4 ) sin( 4 ) cos(9 4 ) sin(9 4 )
cos5 sin5
i i i i
i i i
i
       
       
 
      
        
 
( 108)Ex
 
 
5
3
cos2 sin 2
cos3 sin 3
i
i
 
 


 
 
5
3
cos2 sin2 cos10 sin10
cos(10 9) sin(10 9) cos sin
cos9 sin9cos3 sin3
i i
i i
ii
   
   
  
 
      

( 109)Ex1 26 cos sin ; 8 cos sin
4 4 2 2
z i z i
      
      
   
1 2z z
1
2
6
cos( ) sin(
8 4 2 4 2
z
i
z
    
    
 
3 3
cos( ) sin( ) = cos( ) sin( )
4 4 4 4 4 4
i i
      
       
   
( 109)Ex
3 2
1 0z z z   
  4 3 2
1 1 1z z z z z     4
1 0z  1
          4 2 2 2 2 2
1 1 1 1 1 1 0z z z z z i z z z i z i            
1 ,z z i   11, ,i i 
4 2
1 0z z    6 2 4 2
1 1 1 0z z z z     
KAMIL ALNASSIRY64
: 1Q
3 1
2 2
z i 
32
z
: 2Qsin3 , cos3 sin , cos 
: 3Q
1 3 1 3
3 2
1 2 2
i
z i i
i

   

zz 4
a + b i
: 4Qa
a+ b i
         
   
1 1 2 2 = 2 2 ; 2 1 3 4 3 4 8 3 8
1 4 4 3
3 ; 4 2 3 2
1 3
i i i i i
i i
i i
i i
       
 
   
 
b
       
       
       
5 5 5 5
45
8 6
(1) 1 3 1 3 32 ; (2) 1 3 1 3 32 3
3 2 cos6 sin 6 16 3 16 ; 4 2 cos75 sin75 2 2 3
5 1 16 ; 6 1 8 ;
i i i i i
i i i i
i i i
        
          
    
   
 
   
 
 
 
  
 
20
3 3
9
4 3
1 3 1 3
7
2 2 2 2
1 3 1 33 1
8 ; 9 ; 10 1
2 2 82 2 1 3
i i
i i ii
i i
i i
 
     
 
   
           
: 5Q
     
 
 
 
9 11
11
9
1 cos sin cos sin cos2 sin 2
cos sin
2 cos20 sin 20
cos sin
i i i
i
i
i
     
 
 
 
    

 

: 6Q
2
2
1
(1, ) Prove that : tan
1
z
If z i
z
 

 

‫ﺗﺪﺭﻳﺐ‬1 – 5
KAMIL ALNASSIRY65
: 6Q     
20 24
25 1 3 3
1 ; ; (c) 1
1 2
i i
a i b
i
    
          
 
 
 
 
 
15 15
20 20
1 3 1 3
1 1
i i
d
i i
   

 
: 6Q       3 3 6 6
; 2 2 ; 1 27a i b i c d 
1
1 3
2 2
i 23 3
cos3 4cos 3cos ; sin3 3sin 4sin        
3
2 2
3 cos sin
3 3
z i
  
  
 
81 81 3
2 2
i 
6              
12
12 9
2 1 ; 2 1 3 ; 2 3 ; 64a i b i c d   
7 
3 1 3 1
, , -
2 2 2 2
a i i i  
 
1 3 3 1 1 3 3 1
1 , ,
2 2 2 2
b i i i
   
   
 
1 3 1 3 1 3 1 3
1 , 1 , , , , .
2 2 2 2 2 2 2 2
d i i i i      
 
3 3 3 3 3 3 3 3
3 , - 3 , , , - , -
2 2 2 2 2 2 2 2
e i i i i i i   
66
‫ﺍﳌﺨﺮﻭﻃﻴﺔ‬ ‫ﺍﻟﻘﻄﻮﻉ‬Conic Sections
eccentricitye
Focus of conicdirectrix
e
e Type
0 circle
0< e <1 ellipse
1 Parabola
e > 1 hyperbola
67
D
directrix
B
B 
v
F
L
L
M
( , )x y
( , 0)p
x p 
the discriminant2
4B A C
12
4 0B A C 
22
4 0B A C 
32
4 0B A C 
(2.1)( Parabola )
focusdirectrix
The axis of parabola
DF

DFVertex
( distinct points )Cord
Latus rectum
V
F
B B 
L L
D F

B( x , y )
F(a , o)x = - a
BF
2 2
...( ) ( ... 1)0) (BF x p y   
BM
( ) .....(2)BM x x p x p      
68
BF = BM
2 2
( ) ( 0)x p y x p    
2
x 2
2p x p  2 2
y x  2
2px p  2
4y p x 
( p , 0 )x = - p
4p
pa
http:www.alnassiry.com
v.b.
69
x
y
( 2,0)

22
x=2
1
2
8y x 
a
21
8
x y


bx
c
2
4y p x 2 8 4p p    
( 2,0)2x 
( d
0x x = - 12
8 8y y  
P = 24p8
 2, 2p  2, 4 
2
2
2 5x ya
22
5
y x
b
2 5
2
x yy
c
2
2
5
2
4
x y
x p y


5 5 5
4 0 ,
2 8 8
5
:
8
p p focus
directrix y
 
     
 
 
70
x
y
5
(0, )
8

5
8
y


( d
0y 2y 2
5 5x x  
1( 3,0)
( 3,0)(0,0)0y 
3 ( ,0) ( 3,0)p p    
( 3,0)(0,0)2 2
12 4y x y px    
2
1
2
y 
1
0,
2
 
 
 
1
2
p  
2 2
2 4x y x py    
3 1, 8
 1, 8
2
4y px  1, 82
4y px 
2 2
64 4(16) 16 64 4 ( 1)y x y x p p          
4   2,10 , 2,10 
2
4x py 
 2,10 
2 21
2 4 (10) 4
10
p p x py       
71
x
y
2
x=2
8
8
2 2 22 1
4 4
5 10
x y x y x py
 
       
 
52x 16
16
16
8
2

 2, 8
2
4y px 
 
2
8 8 4 (2)p p    
2
4y px 
 2 2
32 4 8y x y x  
2
4 12 0y a x x  (-3,5)a
2
...y 
2
4y pxx p 
x p (-3,5)3 3p p     
2
12y x2
4(3 )y a x 
a = 0 12 4(3 )a   
(2,-8)
2
(0, )
3
a
a
(2,-8)
2
4x p y (2,-8)
2
4x p y    
21
2 4 8
8
p p     
72
2 21 1
4
2 8
x y x y
 
      
 
 0, p
1
0,
8
 
 
 
2
(0, )
3
a
19 1 2
8 8 3
a
a

   
Shifting Conic Sections
(h , k)x , y
x-h , y-k
Horizontal
Orientations
Horizontal OrientationsVertical OrientationsentationsVertical Ori
   
2
4y k p x h     
2
4y k p x h      
2
4x h p y k     
2
4x h p y k   
Vertex k,hVertex k,hVertex k,hVertex k,h
Focus:
 kph ,
Focus:
 kph ,
Focus:
 pkh ,
Focus:
 pkh ,
Directrix:
phx 
Directrix:
phx 
Directrix:
pky 
Directrix:
pky 
1k
2h
3
1 2 1 2
,
2 2
v vx y
x x y y
 
 
‫ﺑﺆﺭﺓ‬ ‫ﳓﺘﺎﺝ‬ ‫ﺍﳌﻜﺎﻓﺊ‬ ‫ﺍﻟﻘﻄﻊ‬ ‫ﺗﻌﺮﻳﻒ‬ ‫ﻧﺴﺘﺨﺪﻡ‬ ‫ﺣﱴ‬‫ﻭﺩﻟﻴﻞ‬
73
2
1
2 2
4 D D
v
F
Dx
x x x
x      
 
‫ﻣﺜﺎﻝ‬:‫ﺍﳌﻜﺎﻓﺊ‬ ‫ﻟﻠﻘﻄﻊ‬ ‫ﺍﻟﺪﻟﻴﻞ‬ ‫ﻭﻣﻌﺎﺩﻟﺔ‬ ‫ﻭﺍﻟﺒﺆﺭﺓ‬ ‫ﺍﻟﺮﺃﺱ‬ ‫ﺟﺪ‬‫ﻣﻌﺎﺩﻟﺘﻪ‬ ‫ﺍﻟﺬﻱ‬:
12
( 2) 8(3 )y x  
2
( 2) 8( 3)y x   
1(3,2)2y = 23
42 4 8p p    
52(3,2)( 2)shifted 
(3 2,2)
(1,2)
6x = ?
1
2
5 3
2
D v
D D Fx x x
x x   



x = 5
74
22
8 12 52 0x y x   
2
12 52 8x x y   
x
2
1
( 12) 36
2
 
  
 
36
36
2 2
2
312 16 8 12 52 8
(
6
6) 16 8
36x x y x x y
x y

       
  



‫ﻣﻌﺎﻣﻞ‬y‫ﻣﻮﺟﺒ‬ ‫ﻳﻜﻮﻥ‬ ‫ﺃﻥ‬ ‫ﳚﺐ‬‫ﻭﻳﺴﺎﻭﻱ‬ ‫ﺎ‬‫ﻭﺍﺣﺪ‬
2
( 6) 8( 2)x y   
6 0 6x x   ;2 0 2y y    (6, - 2)
x = 6x=6
y
- 4 p = -8p = 2
( 6 , - 2)2( 6 , -2-2)( 6 , - 4)
(6 , - 2)2( 6 , -2+2)( 6 , 0)
y = 0
75
3
2
6 12 9 0y y x   
9
2 2 2
( 3) 12 6 19 92 9 6 12 9y x y y x y y x

            

2
( 3) 12( 0)y x   
x = 0 , y = - 3(0 , - 3)
y2
= - 4 p x
y = -3x
- 12 = - 4 pp = 3
(0 , - 3)3(0 – 3 , -3)( -3 . -3)
(0 , - 3)3(0 + 3 , -3)( 3 . -3)
x = 3
4 p12
2
( 4) 8( 2)x y   
(-4 , 2)- 8 = -4 pp = 2
X + 4 = 0x = - 4y
 4 , 22 4 , 2 2  4 , 0
 4 , 22 4 , 2 2  4 , 4
y = 4
4p8
76
( - 3 , 6 )
y = 6x = - 3
y = 6xp = 6
2 2
24 4x xy py    
x = - 3yp = 3
2 2
12 4yy pxx  
77
1
1 0, 82 , 0h35y  
42 3 0x  5 1, 4
6 1, 47   2,8 , 2, 8
8   1, 6 , 1, 6  
9 4, 8
10 4, 8
114x 16
122
12 0x y 12
2
     
2 2 2
2 22
2
1) 2 ; 2) 4 0 ; 3) 4 ;
4) 12 5) 2 12 3 ; 6) 1 5 ;
7) 2 12 25 0 ; 8)
x y y x x y
y x x x x y
y y x
   
      
   
= 0
;
2
12 2 0y x x  
3
1 0, 322 3 0x  
3 1, 6
42
6x k y y 8y k
5   2 2
2 1 18k y k x x k x    
k
 2 , 5, 0 , : 5k f D x   
62
4 0y x 10
96±
Exercises ( 2 -1)
KAMIL MOSA ALNASSIRY78
Ellipses
‫ﺍﻟﻨﺎﻗﺺ‬ ‫ﺍﻟﻘﻄﻊ‬
‫ﻣﻨﮭﺎ‬ ‫ﻧﻘﻄﺔ‬ ‫أﯾﺔ‬ ‫ﺑﻌﺪي‬ ‫ﻣﺠﻤﻮع‬ ‫ﯾﻜﻮن‬ ‫اﻟﺘﻲ‬ ‫اﻟﻤﺴﺘﻮي‬ ‫ﻓﻲ‬ ‫اﻟﻨﻘﻂ‬ ‫ﻣﺠﻤﻮﻋﺔ‬ ‫ھﻮ‬P(x , y )‫ﺛﺎﺑﺘﺘﯿﻦ‬ ‫ﻧﻘﻄﺘﯿﻦ‬ ‫ﻋﻦ‬
F1(c, 0 ),F2( c, 0 )‫ﺛﺎﺑﺘﺎ‬ ‫ﻋﺪدا‬ ‫ﯾﺴﺎوي‬ ‫ﺑﺎﻟﺒﺆرﺗﯿﻦ‬ ‫ﺗﺴﻤﯿﺎن‬( 2 a ).
‫اﻟﻨﺎﻗﺺ‬ ‫اﻟﻘﻄﻊ‬ ‫ﻣﻌﺎدﻟﺔ‬ ‫ﺗﻤﺜﻞ‬‫اﻟﺴﯿﻨﺎت‬ ‫ﻣﺤﻮر‬ ‫ﻋﻠﻰ‬ ‫وﺑﺆرﺗﺎه‬ ‫اﻷﺻﻞ‬ ‫ﻧﻘﻄﺔ‬ ‫ﻣﺮﻛﺰه‬ ‫اﻟﺬي‬.
‫ﯾﻠﻲ‬ ‫وﻛﻤﺎ‬ ‫اﻟﻨﺎﻗﺺ‬ ‫ﻟﻠﻘﻄﻊ‬ ‫اﻟﻌﺎﻣﺔ‬ ‫اﻟﻤﻌﻠﻮﻣﺎت‬ ‫وﺿﻊ‬ ‫وﯾﻤﻜﻦ‬:
‫اﻟﺘﻌﺮﯾﻒ‬ ‫ﻣﻦ‬ ‫اﻟﻘﯿﺎﺳﯿﺔ‬ ‫اﻟﻤﻌﺎدﻟﺔ‬ ‫اﺷﺘﻘﺎق‬:
PF1+PF2 = 2a‫أن‬ ‫و‬0 < a
‫اﻟﻨﺎﻗﺺ‬ ‫اﻟﻘﻄﻊ‬ ‫رﺳﻢ‬ ‫ﻃﺮق‬ ‫إﺣﺪى‬ ‫ﯾﻤﺜﻞ‬ ‫اﻟﻤﺠﺎور‬ ‫اﻟﺸﻜﻞ‬ ‫ﻻﺣﻆ‬‫اﻟﺘﻲ‬
‫ﺧﯿ‬ ‫ﻓﯿﮭﺎ‬ ‫ﯾﺴﺘﻌﻤﻞ‬‫ﺛﺎﺑﺖ‬ ‫ﻃﻮﻟﮫ‬ ‫ﻂ‬2a‫ﺑﻤﺴﻤﺎرﯾﻦ‬ ‫ﺑﻄﺮﻓﯿﮫ‬ ‫ﻣﺜﺒﺖ‬‫ﯾﻤﺜﻼن‬
‫اﻟﻨﺎﻗﺺ‬ ‫اﻟﻘﻄﻊ‬ ‫ﻋﻠﻰ‬ ‫ﻧﺤﺼﻞ‬ ‫اﻟﺨﯿﻂ‬ ‫ﺑﺸﺪ‬ ‫و‬ ‫اﻟﻘﻠﻢ‬ ‫ﺣﺮﻛﺔ‬ ‫وﻣﻦ‬ ‫اﻟﺒﺆرﺗﯿﻦ‬.
2 2 2 2
( ) ( ) 2x yx y cc a    
2 2 2 2
( ) 2 ( )x cx a yc y     
2 2
( )x c y  2 2 2 2
4 4 ( ) ( )a a x c y x c y      
4 2 2
( ) 4a x c y   4cx  2
a
2 2 2 2 2 2 2 4
( 2 ) 2a x xc c y c x a cx a     
2 2 2
2a x a cx 2 2 2 2 2 2 2
2a c a y c x a cx    4
a
2 2 2 2 2 2 2 2 2 2 2
( ) ( )a c x a y a a c Let b a c     
2 2 2 2 2 2 2 2
b x a y a b a b   
2 2
2 2
1 Standard equation
of an ellipse
x y
a b
 
KAMIL MOSA ALNASSIRY79
Notation ‫ﻣﻼﺣﻈﺎت‬
A', A: vertices‫اﻟﺮأﺳﺎن‬ ; ( ,0)a
d', d: directrices ‫;اﻟﺪﻟﯿﻼن‬ 0
a
x
e
 
F = focus‫اﻟﺒﺆرة‬ ; ( ,0)c
A'A = 2a = major axis ‫أﻷ‬ ‫اﻟﻤﺤﻮر‬‫ﻛﺒﺮ‬
PF1 + PF2 = 2a; M =center ‫اﻟﻤﺮﻛﺰ‬
B'B = 2b = minor axis ‫اﻷﺻﻐﺮ‬ ‫اﻟﻤﺤﻮر‬
F1F2 = 2c =‫اﻟﺒﺆرﺗﯿﻦ‬ ‫ﺑﯿﻦ‬ ‫اﻟﻤﺴﺎﻓﺔ‬
‫ﺑﯿﻦ‬ ‫اﻟﻤﺴﺎﻓﺔ‬‫اﻟﻤﺮﻛ‬‫ﺰ‬‫واﻟﺒﺆرة‬ = c = 2 2
a b
Eccentricity ‫اﻟﻤﺮﻛﺰي‬ ‫اﻻﺧﺘﻼف‬
(e =
‫اﻟﻌﻤﻮدي‬ ‫اﻟﺒﺆري‬ ‫اﻟﻮﺗﺮ‬
) < 1
‫اﻟﺪﻟﯿﻠﯿﻦ‬ ‫ﻣﻦ‬ ‫وأي‬ ‫اﻟﻤﺮﻛﺰ‬ ‫ﺑﯿﻦ‬ ‫اﻟﻤﺴﺎﻓﺔ‬ = a
e
Area a b
p = ‫اﻟﻨﺎﻗﺺ‬ ‫اﻟﻘﻄﻊ‬ ‫ﻣﺤﯿﻂ‬
‫اﻟﻌﺎﻣﺔ‬ ‫اﻟﻤﻌﺎدﻟﺔ‬:‫اﻟﻘﻄﻊ‬ ‫ﻣﺤﻮري‬ ‫ﻋﻨﺪﻣﺎ‬
‫ﯾﻮازﯾﺎ‬‫ن‬‫ا‬ ‫ﻣﺤﻮري‬‫ﻹ‬‫ﺣﺪاﺛﯿﯿﻦ‬
Ax2
+ Cy2
+Dx + Ey +F = 0 ; AC > 0
‫ﻃﻮل‬‫اﻟﻌﻤﻮدي‬ ‫اﻟﺒﺆري‬ ‫اﻟﻮﺗﺮ‬(*)
2
2b
a

Ellipse Circumference‫اﻟﻨﺎﻗﺺ‬ ‫اﻟﻘﻄﻊ‬ ‫ﻣﺤﯿﻂ‬‫إﯾﺠﺎده‬‫ﺗﺠﺪ‬ ‫ﻣﻮﻗﻌﻲ‬ ‫وﻓﻲ‬ ‫ﺟﺪا‬ ‫ﻣﻌﻘﺪ‬ ‫وھﻮ‬ ‫اﻟﺘﻜﺎﻣﻞ‬ ‫ﻃﺮﯾﻖ‬ ‫ﻋﻦ‬
‫اﻟﻤﺤﯿﻂ‬ ‫ﺑﺤﺴﺎب‬ ‫ﺧﺎﺻﺔ‬ ‫ﺑﺮﻣﺠﺔ‬.
KAMIL MOSA ALNASSIRY80
1(‫اﻷﺻﻞ‬ ‫ﻧﻘﻄﺔ‬ ‫اﻟﻤﺮﻛﺰ‬
‫أﻓﻘﻲ‬ ‫اﻷﻛﺒﺮ‬ ‫اﻟﻤﺤﻮر‬‫ﺷﺎﻗﻮﻟﻲ‬ ‫اﻷﻛﺒﺮ‬ ‫اﻟﻤﺤﻮر‬
‫اﻟﻤﻌﺎدﻟﺔ‬:
2 2
2 2
1
x y
a b
 
Vertices , 0a‫اﻟﺮأﺳﺎن‬
Foci , 0c‫اﻟﺒﺆرﺗﺎ‬‫ن‬
y-intercepts 0, b‫اﻟﺼﺎدات‬ ‫ﻣﻊ‬ ‫ﺗﻘﺎﻃﻊ‬
‫اﻟﻤﻌﺎدﻟﺔ‬:
2 2
2 2
1
x y
b a
 
Vertices 0, a‫اﻟﺮأﺳﺎن‬
Foci 0, c‫اﻟﺒﺆرﺗﺎن‬
x-intercept , 0b‫اﻟﺴﯿﻨﺎت‬ ‫ﻣﻊ‬ ‫اﻟﺘﻘﺎﻃﻊ‬
2(‫اﻟﻤﺮﻛﺰ‬( h , k )
‫أﻓﻘﻲ‬ ‫اﻷﻛﺒﺮ‬ ‫اﻟﻤﺤﻮر‬Major Axis Horizontal‫ﺷﺎﻗﻮﻟﻲ‬ ‫اﻷﻛﺒﺮ‬ ‫اﻟﻤﺤﻮر‬Major Axis Vertical
   
2 2
2 2
1
x h y k
a b
 
 
Vertices ,h a k‫اﻟﺮأﺳﺎن‬
Foci ,h c k‫اﻟﺒﺆرﺗﺎن‬
   
2 2
2 2
1
x h y k
b a
 
 
Vertices ,h k a‫اﻟﺮأﺳﺎ‬‫ن‬
Foci ,h k c‫اﻟﺒﺆرﺗﺎن‬
‫اﻻﻧﺴﺤﺎ‬ ‫ﻓﻜﺮة‬ ‫ﺗﻮﺿﯿﺢ‬‫ب‬:
KAMIL MOSA ALNASSIRY81
‫ﻣﺜﺎل‬:‫ﻣﺴﺘﺨﺪﻣ‬‫ﺎ‬‫ﺑﺆرﺗﺎه‬ ‫اﻟﺬي‬ ‫اﻟﻨﺎﻗﺺ‬ ‫اﻟﻘﻄﻊ‬ ‫ﻣﻌﺎدﻟﺔ‬ ‫ﺟﺪ‬ ، ‫اﻟﻨﺎﻗﺺ‬ ‫اﻟﻘﻄﻊ‬ ‫ﺗﻌﺮﯾﻒ‬(4,0) , (-4,0)‫أن‬ ‫ﻋﻠﻤﺖ‬ ‫اذا‬
‫ﯾﺴﺎوي‬ ‫اﻟﺜﺎﺑﺖ‬ ‫اﻟﻌﺪد‬10‫ﻃﻮل‬ ‫وﺣﺪة‬.
‫اﻟﺤﻞ‬:‫ﻟﺘﻜﻦ‬P(X,Y)‫اﻟﻤﻨﺤﻨﻲ‬ ‫ﻧﻘﻂ‬ ‫ﻣﻦ‬.
1PF‫ﺑﯿﻦ‬ ‫اﻟﺒﻌﺪ‬( , )p x y‫واﻟﺒﺆرة‬‫اﻷوﻟﻰ‬(4,0)
2 2
1 ( 4) ( 0)x yPF   
2PF=‫ﺑﯿﻦ‬ ‫اﻟﻤﺴﺎﻓﺔ‬( , )p x y‫اﻟﺜﺎﻧﯿﺔ‬ ‫واﻟﺒﺆرة‬( 4,0)
2 2
2 ( 4) ( 0)x yPF   
‫اﻟﺘﻌﺮﯾﻒ‬:‫ﺑﺆرﺗﯿﮫ‬ ‫ﻋﻦ‬ ‫ﻋﻠﯿﮫ‬ ‫ﺗﻘﻊ‬ ‫ﻧﻘﻄﺔ‬ ‫أﯾﺔ‬ ‫ﺑﻌﺪي‬ ‫ﻣﺠﻤﻮع‬=‫اﻟﺜﺎﺑﺖ‬ ‫اﻟﻌﺪد‬
2
2
1
22 2
( 4) ( 0) ( 4) 1( 00)xPF x y yPF       
1(‫ﺟﮭﺔ‬ ‫ﻓﻲ‬ ‫اﻟﺠﺬرﯾﻦ‬ ‫أﺣﺪ‬ ‫ﻧﺒﻘﻲ‬...2(‫اﻟﻄﺮﻓﯿﻦ‬ ‫ﻧﺮﺑﻊ‬.....3(‫ﻋﻠﻰ‬ ‫اﻟﻄﺮﻓﯿﻦ‬ ‫وﻧﻘﺴﻢ‬ ‫ﻧﺒﺴﻂ‬)4(‫داﺋﻤﺎ‬
4(‫ﻧﺒﻘﻲ‬‫اﻟﻤﺘﺒﻘﻲ‬ ‫اﻟﺠﺬر‬‫أﺧﺮى‬ ‫ﻣﺮة‬‫ﺟﮭﺔ‬ ‫ﻓﻲ‬ ‫ﻟﻮﺣﺪه‬....5(‫اﻟﻄﺮﻓﯿﻦ‬ ‫ﻧﺮﺑﻊ‬..................
22 2 2
1) ( 4) ( 0) 1 ( 4) (0 0)x y x y     
   
2 2
2 22 2
2) ( 4) ( 0) 1 ( 4) ( )0 0x yy x      
2
3) x 8 16x  2
y 2 22
20 8 16100 x x y x    8 16x  2
y
4
2 22 2
4) 100 16 5 8 1616 28 5 420 xx x x xy x y

          
   2 22
2
5 8 1) 2 465 5x x y x    
 2 222
225( 8 516 ) 25 204 0x xx y x x     2
400 25 625 200y x   2
16x
2 2(225)
2 2
9 25 225 1
25 9
x y
x y

    
‫ﻣﺜﺎل‬:‫ﺧﺼﺎﺋﺼﮫ‬ ‫ﻛﺎﻓﺔ‬ ‫ذﻛﺮ‬ ‫ﻣﻊ‬ ‫اﻟﺘﺎﻟﯿﺔ‬ ‫اﻟﻨﺎﻗﺼﺔ‬ ‫اﻟﻘﻄﻮع‬ ‫ارﺳﻢ‬:
‫ﻋﻠﻰ‬ ‫ﻃﺮﻓﯿﮭﺎ‬ ‫ﺑﻘﺴﻤﺔ‬ ‫اﻟﻘﯿﺎﺳﯿﺔ‬ ‫ﻟﻠﺼﯿﻐﺔ‬ ‫اﻟﻤﻌﺎدﻟﺔ‬ ‫ﻧﺤﻮل‬5762 2
1: 9 16 576Q x y 
2 2 2 2 2 2
9 16
1 1 1
576 576576 576 64 36
9 16 ‫ﯿﺔ‬ ‫ﻗﯿﺎﺳ‬
x y x y x y
       
‫اﻟﻤﺮﻛ‬‫ﺰ‬(0,0)‫و‬‫ھﻮ‬ ‫اﻷﻛﺒﺮ‬ ‫اﻟﻌﺪد‬64‫ﺗﺤﺖ‬x2
‫اﻟﺴﯿﻨﺎت‬ ‫ﻣﺤﻮر‬ ‫ﻋﻠﻰ‬ ‫واﻟﺒﺆرﺗﯿﻦ‬ ‫اﻟﺮأﺳﯿﻦ‬ ‫ﻟﺬا‬.
KAMIL MOSA ALNASSIRY82
‫اﻟﺮأﺳﺎن‬
2
1 264: 8 (8,0) , ( 8,0)a a V V   
‫ﻣﻊ‬ ‫اﻟﻤﻨﺤﻨﻲ‬ ‫ﺗﻘﺎﻃﻊ‬ ‫ﻧﻘﻄﺘﺎ‬ ‫وھﻤﺎ‬ ‫اﻷﺻﻐﺮ‬ ‫اﻟﻤﺤﻮر‬ ‫ﻃﺮﻓﻲ‬‫اﻟﺼﺎدات‬
2
36: 6 (0,6) , (0, 6)b b   
2 2 2 2
6 4 3 6 2 8 2 7ca b c c     
‫اﻟﺒﺆرﺗﺎن‬1 2(2 7,0) , ( 2 7,0)F F 
‫اﻷﻛﺒﺮ‬ ‫اﻟﻤﺤﻮر‬ ‫ﻃﻮل‬:2 16 inta u
‫اﻷﺻﻐﺮ‬ ‫اﻟﻤﺤﻮر‬ ‫ﻃﻮل‬:2 12 intb u
‫اﻟﺒﺆرﺗﯿﻦ‬ ‫ﺑﯿﻦ‬ ‫اﻟﻤﺴﺎﻓﺔ‬:2 4 7 intc u
‫اﻟﻌﻤﻮدي‬ ‫اﻟﺒﺆري‬ ‫اﻟﻮﺗﺮ‬ ‫ﻃﻮل‬)‫ﻟﻼﻃﻼع‬(:
2
2 72
9
8
b
a
 
‫ھﻲ‬ ‫اﻟﻨﺎﻗﺺ‬ ‫اﻟﻘﻄﻊ‬ ‫ﻋﻠﻰ‬ ‫ﻧﻘﻂ‬ ‫أرﺑﻊ‬ ‫ﻣﻌﺮﻓﺔ‬ ‫ﯾﻤﻜﻦ‬ ‫اﻟﻌﻤﻮدي‬ ‫اﻟﺒﺆري‬ ‫اﻟﻮﺗﺮ‬ ‫ﻣﻦ‬ ‫ﻻﺣﻆ‬
9 9
2 7 , , 2 7 ,
2 2
   
     
   
‫اﻻﺧﺘﻼف‬‫اﻟﻤﺮﻛﺰي‬:
2 7 7
1
8 4
c
e
a
   
‫اﻟﺪﻟﯿﻠﯿﻦ‬ ‫ﻣﻌﺎدﻟﺘﻲ‬.....x ‫اﻟﺴﯿﻨﺎت‬ ‫ﻋﻠﻰ‬ ‫اﻟﺒﺆرﺗﯿﻦ‬ ‫ﻷن‬:
2
64
2 7
a a
x x x
e c
      ‫ﻟﻼﻃﻼع‬
‫اﻟﻨﺎﻗﺺ‬ ‫اﻟﻘﻄﻊ‬ ‫ﻣﻨﻄﻘﺔ‬ ‫ﻣﺴﺎﺣﺔ‬: 
2
48A a b unit  
‫اﻟﻨﺎﻗﺺ‬ ‫اﻟﻘﻄﻊ‬ ‫ﻣﺤﯿﻂ‬:
2 2
64 36
2 2 2 50 10 2
2 2
a b
p unit   
 
   
V2 x
y
F2 V1
‫دﻟﯿﻞ‬
F1
‫دﻟﯿﻞ‬
32 7
7
x 
32 7
7
x  
KAMIL MOSA ALNASSIRY83
‫ﻋﻠﻰ‬ ‫ﻃﺮﻓﯿﮭﺎ‬ ‫ﺑﻘﺴﻤﺔ‬ ‫اﻟﻘﯿﺎﺳﯿﺔ‬ ‫ﻟﻠﺼﯿﻐﺔ‬ ‫اﻟﻤﻌﺎدﻟﺔ‬ ‫ﻧﺤﻮل‬92 2
2: 25 9 9Q x y 
2 2 2 2
25 9
1 1
99 9 1
25
‫ﯿﺔ‬ ‫ﻗﯿﺎﺳ‬
x y x y
   
‫ھﻮ‬ ‫اﻷﻛﺒﺮ‬ ‫اﻟﻌﺪد‬1‫ﺗﺤﺖ‬y2
‫ﻓﺎﻟﻤﺮﻛ‬ ‫ﻟﺬا‬‫ﺰ‬(0,0)‫ﻋ‬ ‫واﻟﺒﺆرﺗﯿﻦ‬ ‫واﻟﺮأﺳﯿﻦ‬‫اﻟﺼﺎدات‬ ‫ﻣﺤﻮر‬ ‫ﻠﻰ‬.
‫اﻟﺮأﺳﺎن‬
2
1 21: 1 (0,1) , (0, 1)a a V V   
‫ﻣﻊ‬ ‫اﻟﻤﻨﺤﻨﻲ‬ ‫ﺗﻘﺎﻃﻊ‬ ‫ﻧﻘﻄﺘﺎ‬ ‫وھﻤﺎ‬ ‫اﻷﺻﻐﺮ‬ ‫اﻟﻤﺤﻮر‬ ‫ﻃﺮﻓﻲ‬x,
2 9 3 3 3
: ( ,0) , ( ,0)
25 5 5 5
b b   
2 2 2 2
225 9 16 4
25 25 25 5
c ca b c c      
‫اﻟﺒﺆرﺗﺎن‬1 2
4 4
(0, ) , (0, )
5 5
F F 
‫اﻷﻛﺒﺮ‬ ‫اﻟﻤﺤﻮر‬ ‫ﻃﻮل‬:2 2a unit
‫اﻷ‬ ‫اﻟﻤﺤﻮر‬ ‫ﻃﻮل‬‫ﺻﻐﺮ‬:
6
2
5
b unit
‫اﻟﺒﺆرﺗﯿﻦ‬ ‫ﺑﯿﻦ‬ ‫اﻟﻤﺴﺎﻓﺔ‬:
8
2
5
c unit
‫اﻟﻤﺮﻛﺰي‬ ‫اﻻﺧﺘﻼف‬:
4
1
5
c
e
a
  
‫ﻣﻨﻄﻘﺔ‬ ‫ﻣﺴﺎﺣﺔ‬‫اﻟﻨﺎﻗﺺ‬ ‫اﻟﻘﻄﻊ‬: 
23
5
A a b unit  
‫اﻟﻨﺎﻗﺺ‬ ‫اﻟﻘﻄﻊ‬ ‫ﻣﺤﯿﻂ‬:
2 2
9
1
17252 2 2
2 2 5
a b
p unit  


  
KAMIL MOSA ALNASSIRY84
2 2
( 2) ( 3)
3 : 1
16 25
x y
Q
 
 
‫اﻟﺤﻞ‬:‫اﻟﻘﯿﺎﺳﻲ‬ ‫ﺑﺎﻟﻮﺿﻊ‬ ‫ھﻲ‬ ‫اﻟﻤﻌﺎدﻟﺔ‬:
1(‫اﻟﻤﺮﻛﺰ‬:2 32 0 3 0;x yx h y k       
‫ﻟ‬‫اﻟﻤﺮﻛﺰ‬ ‫ﯾﻜﻮن‬ ‫ﺬا‬:(2 , 3)
2(‫اﻟﺘﻤﺎﺛﻞ‬ ‫ﻣﺤﻮر‬:‫اﻷﻛﺒﺮ‬ ‫اﻟﻌﺪد‬=25‫اﻟـ‬ ‫ﺗﺤﺖ‬ ‫ﻣﻮﺟﻮد‬y + 3‫اﻟﺘﻤﺎﺛﻞ‬ ‫ﻣﺤﻮر‬ ‫ن‬ ‫ﻓﺎ‬ ‫ﻟﺬا‬‫ﻟﻤﺤﻮر‬ ‫ﻣﻮاز‬y‫ھﻮ‬
x – 2 = 0x = 2‫اﻟ‬ ‫اﻻﺣﺪاﺛﻲ‬ ‫ﻧﻔﺲ‬ ‫ﻟﮭﻤﺎ‬ ‫واﻟﺮأﺳﯿﻦ‬ ‫اﻟﺒﺆرﺗﯿﻦ‬ ‫أي‬‫ﺴﯿﻨﻲ‬‫وھﻮ‬x = 2‫وأﺳﻒ‬ ‫أﻋﻠﻰ‬ ‫ﻓﺎﻟﺴﺤﺐ‬
3(‫اﻟﺮأﺳﺎن‬:2
25a 5a ‫اﻟﺮأﺳﺎ‬‫ن‬‫ھﻤﺎ‬:(2, )k a(2, 3 5) 
‫اﻟﺮأﺳﺎن‬ ‫ﻟﺬا‬:1 2(2 , 2) , (2 , 8)V V 
4(‫اﻷﺻﻐﺮ‬ ‫اﻟﻤﺤﻮر‬ ‫ﻃﺮﻓﻲ‬:2
16 4b b ‫اﻟﻨﻘﻄﺘﺎن‬(2 , 3)b , 3)(6 , 3) , ( 2  
5(‫اﻟﺒﺆرﺗﺎن‬:
2 2 2 2
25 16 3a b c c c     ‫ﻣﻘﺪار‬ ‫أن‬ ‫أي‬‫إزاﺣﺔ‬‫اﻟﺮأس‬‫اﻋﻠﻲ‬‫وأﺳﻔﻞ‬
‫ھﻮ‬3‫وﺣﺪات‬.‫اﻟﺒﺆرﺗﺎن‬ ‫أي‬(2 , 3 )c ‫اﻟﺒﺆرﺗﺎن‬(2 , 3 3) ‫اﻟﺒﺆرﺗﺎن‬
1 2(2 , 0) , (2 , 6)F F 
6(‫أﻛﺒﺮ‬ ‫ﻣﺤﻮر‬ ‫ﻃﻮل‬=2a=10‫ﻃﻮل‬ ‫وﺣﺪة‬،7(‫أﺻﻐﺮ‬ ‫ﻣﺤﻮر‬ ‫ﻃﻮل‬=2 b=8‫ﻃﻮل‬ ‫وﺣﺪة‬
8(‫اﻟﺒﺆرﺗﯿﻦ‬ ‫ﺑﯿﻦ‬ ‫اﻟﻤﺴﺎﻓﺔ‬=2 c=6‫ﻃﻮل‬ ‫وﺣﺪة‬9(‫اﻟﻤﺮﻛﺰي‬ ‫اﻻﺧﺘﻼف‬=
3
5
c
e
a
 
10(‫اﻟﻨﺎﻗﺺ‬ ‫اﻟﻘﻄﻊ‬ ‫ﻣﻨﻄﻘﺔ‬ ‫ﻣﺴﺎﺣﺔ‬=2
20A ab u  
11(‫اﻟﻨﺎﻗﺺ‬ ‫اﻟﻘﻄﻊ‬ ‫ﻣﺤﯿﻂ‬=
2 2
25 16 41
2 2
2 2
2
2
unit
a b
p  

 

KAMIL MOSA ALNASSIRY85
2 2
4: 4 4 8 4 0E x y x y    
‫اﻟﺤﻞ‬:‫اﻟﻤﺘﻐﯿﺮﯾﻦ‬ ‫ﻣﻦ‬ ‫ﻟﻜﻞ‬ ‫اﻟﻤﺮﺑﻊ‬ ‫إﻛﻤﺎل‬ ‫ﻃﺮﯾﻘﺔ‬ ‫ﻧﺴﺘﻌﻤﻞ‬:
 2 2
4 ? 4 2 4 ? 4?? ??x x y y         
‫اﻟﺤﺪود‬ ‫ﺗﺮﺗﯿﺐ‬ ‫ﺗﻢ‬:‫ﻣﻌﺎﻣﻼت‬ ‫ﻣﻦ‬ ‫ﻛﻼ‬ ‫ﻧﺠﻌﻞ‬ ‫ذﻟﻚ‬ ‫ﺑﻌﺪ‬2 2
,x y‫ﻣﺸﺘﺮك‬ ‫ﻋﺎﻣﻞ‬ ‫ﺑﺈﯾﺠﺎد‬ ‫وذك‬ ‫اﻟﺼﺤﯿﺢ‬ ‫اﻟﻮاﺣﺪ‬
)‫ﻣﻌﺎﻣﻞ‬ ‫ﻧﺼﻒ‬x(‫ﯾﺮﺑﻊ‬:‫ﻟﻠﻄﺮﻓﯿﻦ‬ ‫ﯾﻀﺎف‬ ‫ﺛﻢ‬.‫ﻟـ‬ ‫ﺑﺎﻟﻨﺴﺒﺔ‬ ‫اﻟﺤﺎل‬ ‫ﻛﺬﻟﻚ‬y
2
2
2
2
2
2
(4)
4 4 ( 2 ) 4 4
( 2) 4( 1)
( 2) ( 1)
4 1 4(
1
4 1
1)
4
x x y
x
y
y
y
x



        
   
 
 
‫اﻟﺤﻞ‬:‫اﻟﻘﯿﺎﺳ‬ ‫ﺑﺎﻟﻮﺿﻊ‬ ‫ھﻲ‬ ‫اﻟﻤﻌﺎدﻟﺔ‬‫ﻲ‬:
1(‫اﻟﻤﺮﻛﺰ‬:2 0 2 ; 1 0 1x x h y y k         
‫اﻟﻤﺮﻛﺰ‬ ‫ﯾﻜﻮن‬ ‫ﻟﺬا‬:( 2 ,1)
2(‫اﻟﺘﻤﺎﺛﻞ‬ ‫ﻣﺤﻮر‬:‫اﻷﻛﺒﺮ‬ ‫اﻟﻌﺪد‬=4‫اﻟـ‬ ‫ﺗﺤﺖ‬ ‫ﻣﻮﺟﻮد‬x + 2‫ﻟﻤﺤﻮر‬ ‫ﻣﻮاز‬ ‫اﻟﺘﻤﺎﺛﻞ‬ ‫ﻣﺤﻮر‬ ‫ن‬ ‫ﻓﺎ‬ ‫ﻟﺬا‬x‫ھﻮ‬
y – 1 = 0y = 1‫اﻟﺒ‬ ‫أي‬‫وھﻮ‬ ‫اﻟﺼﺎدي‬ ‫اﻻﺣﺪاﺛﻲ‬ ‫ﻧﻔﺲ‬ ‫ﻟﮭﺎ‬ ‫واﻟﺮأﺳﯿﻦ‬ ‫ﺆرﺗﯿﻦ‬y = 1‫ﻓﺎﻟﺴﺤﺐ‬
‫وﯾﺴﺎر‬ ‫ﯾﻤﯿﻦ‬.
3(‫اﻟﺮأﺳﺎن‬:2
4a 2a ‫اﻟﺮأﺳﺎ‬‫ن‬‫ھﻤﺎ‬:( , )h a k( 2 2,1) 
‫اﻟﺮأﺳﺎن‬ ‫ﻟﺬا‬:1 2( 4 ,1) , (0 ,1)V V
4(‫اﻷﺻﻐﺮ‬ ‫اﻟﻤﺤﻮر‬ ‫ﻃﺮﻓﻲ‬:2
1 1b b ‫اﻟﻨﻘﻄﺘﺎن‬( 2 ,1 )b ,2)( 2 ,0) , ( 2 
5(‫اﻟﺒﺆرﺗﺎن‬:
2 2 2 2
4 1 3a b c c c     ‫ﻣﻘﺪار‬ ‫أن‬ ‫أي‬‫إزاﺣﺔ‬‫اﻟﺮأس‬‫ﯾﺴﺎر‬ ‫و‬ ‫ﯾﻤﯿﻦ‬
‫ھﻮ‬3‫وﺣﺪات‬.‫اﻟﺒﺆرﺗﺎن‬ ‫أي‬( 2 ,1)c ‫اﻟﺒﺆرﺗﺎن‬( 2 3 ,1) ‫اﻟﺒﺆرﺗﺎن‬
1 2( 2 3 ,1) , ( 2 3 ,1)F F   
6(‫أﻛﺒﺮ‬ ‫ﻣﺤﻮر‬ ‫ﻃﻮل‬=2a=4‫ﻃﻮل‬ ‫وﺣﺪة‬
7(‫أﺻﻐﺮ‬ ‫ﻣﺤﻮر‬ ‫ﻃﻮل‬=2 b=2‫ﻃﻮل‬ ‫وﺣﺪة‬
8(‫اﻟﺒﺆرﺗﯿﻦ‬ ‫ﺑﯿﻦ‬ ‫اﻟﻤﺴﺎﻓﺔ‬=2 c=2 3‫ﻃﻮل‬ ‫وﺣﺪة‬
9(‫اﻟﻤﺮﻛﺰي‬ ‫اﻻﺧﺘﻼف‬=
3
2
c
e
a
 
10(‫اﻟﻨﺎﻗﺺ‬ ‫اﻟﻘﻄﻊ‬ ‫ﻣﻨﻄﻘﺔ‬ ‫ﻣﺴﺎﺣﺔ‬=2
2A ab u  
11(‫اﻟﻨﺎﻗﺺ‬ ‫اﻟﻘﻄﻊ‬ ‫ﻣﺤﯿﻂ‬=
2 2
4 1 5
2 2 2
2 2 2
a b
p unit  
 
  
KAMIL MOSA ALNASSIRY86
‫ا‬   ‫ت‬‫ة‬‫ا‬ ‫ا‬ ‫د‬  ‫أ‬ 
‫ﻣﺮﻛﺰه‬ ‫اﻟﺬي‬‫ﺍﻷﺻﻞ‬ ‫ﻧﻘﻄﺔ‬‫واﻟﺬي‬ ‫اﻻﺣﺪاﺛﺜﯿﻦ‬ ‫ﻣﺤﻮري‬ ‫ﻋﻠﻰ‬ ‫ﻣﻨﻄﺒﻘﯿﻦ‬ ‫وﻣﺤﻮرﯾﮫ‬:
1(‫ﺑﺆرﺗﺎه‬(0, 6)c = 6‫اﻟﺼ‬ ‫وﻋﻠﻰ‬‫ﺎدات‬
2(‫رأﺳﺎه‬(0, 6)a = 6‫اﻟﺼﺎدات‬ ‫وﻋﻠﻰ‬
3(‫ﻣﻦ‬ ‫ﯾﻤﺮ‬(0, 6)6 6a or b ‫اﻟﺴﺆال‬ ‫ﻣﻌﻠﻮﻣﺎت‬ ‫ﺑﺎﻗﻲ‬ ‫ﻋﻠﻰ‬ ‫ﯾﺘﻮﻗﻒ‬ ‫اﻟﺘﺤﺪﯾﺪ‬.
4(‫ﺑﺆرﺗﺎه‬(0, 6)‫ﻣﻦ‬ ‫وﯾﻤﺮ‬( 10,0)6 = c‫اﻟﺼﺎدا‬ ‫وﻋﻠﻰ‬‫ت‬‫ﻟﻜﻦ‬a , c‫اﻟﻤﺤﻮر‬ ‫ﻧﻔﺲ‬ ‫ﻋﻠﻰ‬ ‫ﺗﻘﻌﺎن‬
‫ﺑﯿﻨﻤﺎ‬b‫اﻟﻤﻌﺎﻛﺲ‬ ‫اﻟﻤﺤﻮر‬ ‫ﻓﻌﻠﻰ‬10 = b
5(‫ﺑﺆرﺗﺎه‬(0, 6)‫وﯾﻤ‬‫ﻣﻦ‬ ‫ﺮ‬(0, 10)6 = c‫اﻟﺼﺎدا‬ ‫وﻋﻠﻰ‬‫ت‬‫ﻟﻜﻦ‬a , c‫اﻟﻤﺤﻮر‬ ‫ﻧﻔﺲ‬ ‫ﻋﻠﻰ‬ ‫ﺗﻘﻌﺎن‬
‫ﺑﯿﻨﻤﺎ‬b‫اﻟﻤﻌﺎﻛﺲ‬ ‫اﻟﻤﺤﻮر‬ ‫ﻓﻌﻠﻰ‬10 = a
6(‫اﻟﻤﺴ‬‫ﺎ‬‫ﺗﺴﺎوي‬ ‫ﺑﺆرﺗﯿﮫ‬ ‫ﺑﯿﻦ‬ ‫ﻓﺔ‬12‫ﻃﻮل‬ ‫وﺣﺪة‬‫ﻣﻦ‬ ‫وﯾﻤﺮ‬( 0 , 6 )2c = 12c = 6
‫ﻣﻦ‬ ‫ﯾﻤﺮ‬ ‫ﻟﻜﻨﮫ‬(0, 6)6‫إﻣﺎ‬ ‫ﺗﻌﻨﻲ‬ ‫ﻟﻠﻨﻘﻄﺔ‬a = 6‫أو‬b = 6‫أﺣﺪھﻤﺎ‬ ‫ﺗﺤﺪﯾﺪ‬ ‫ﯾﺠﺐ‬ ‫واﻵن‬
‫ﻓﯿﺜﺎﻏﻮرس‬ ‫ﻣﺒﺮھﻨﺔ‬ ‫ﻣﻦ‬a c‫ﻗﯿﻤﺔ‬a‫اﻟـ‬ ‫ﻣﻦ‬ ‫أﻛﺒﺮ‬6‫ﻓﺎن‬ ‫ﻟﺬا‬6a 
6 = b‫اﻟﺼﺎدات‬ ‫وﻋﻠﻰ‬a , c‫اﻟﺴﯿﻨﺎت‬ ‫ﻋﻠﻰ‬.
7(‫اﻟﻤﺴﺘﻘﯿﻢ‬ ‫ﯾﻤﺲ‬y = -88 8a or b 
V2
x
y
F2 V1
‫دﻟﯿﻞ‬
F1
‫دﻟﯿﻞ‬
4
2
3
x   
C
( 2 ,2)
,0)( 2
‫ﻣﺤﻮر‬
‫اﻟﺘﻤﺎﺛﻞ‬
4
* 2
3
x   
KAMIL MOSA ALNASSIRY87
8(‫ﻣﺪاه‬= 8 , 8‫ﻣﺠﺎﻟﮫ‬ ،= 6 , 6‫اﻟﻤﺪى‬=‫ﻣﻦ‬ ‫ﯾﻘﻄﻊ‬ ‫اﻟﻘﻄﻊ‬ ‫أن‬ ‫ﯾﻌﻨﻲ‬ ‫ص‬ ‫ﻗﯿﻢ‬ ‫ﻣﺠﻤﻮﻋﺔ‬
‫ﻃﻮﻟﮭﺎ‬ ‫ﻗﻄﻌﺔ‬ ‫اﻟﺼﺎدات‬=16‫اﻟﻤﺠﺎل‬ ،=‫اﻟﺴﯿﻨﻲ‬ ‫اﻟﻤﻘﻄﻊ‬ ‫أن‬ ‫ﯾﻌﻨﻲ‬ ‫وھﺬا‬ ‫س‬ ‫ﻗﯿﻢ‬ ‫ﻣﺠﻤﻮﻋﺔ‬=12
‫أﺣﺪھﻤﺎ‬ ‫اﻟﻤﻘﻄﻌﯿﻦ‬=2 a‫واﻵﺧﺮ‬ ، ‫اﻷﻛﺒﺮ‬ ‫وھﻮ‬=2 b‫اﻷﺻﻐﺮ‬ ‫وھﻮ‬
2 a=16a = 8،2 b=12b = 6
9(‫ﻛﻨﺴﺒﺔ‬ ‫ﻣﺤﻮرﯾﮫ‬ ‫ﻃﻮﻟﻲ‬ ‫ﺑﯿﻦ‬ ‫اﻟﻨﺴﺒﺔ‬2:5
2 2 2
2 5 5
b
b a
a
 
‫ﻣﺜﺎﻝ‬:‫ﻳﻠﻲ‬ ‫ﳑﺎ‬ ‫ﻛﻼ‬ ‫ﳛﻘﻖ‬ ‫ﺍﻟﺬﻱ‬ ‫ﺍﻟﻨﺎﻗﺺ‬ ‫ﺍﻟﻘﻄﻊ‬ ‫ﻣﻌﺎﺩﻟﺔ‬ ‫ﺟﺪ‬:
: 1Q‫ﺑﺆرﺗﺎه‬(0,6) , (0, 6)‫ﯾﺴﺎوي‬ ‫اﻟﺜﺎﺑﺖ‬ ‫اﻟﻌﺪد‬ ‫وأن‬20.
‫اﻟﺤﻞ‬:‫ﻧﺴﺘﻨ‬ ‫اﻟﺒﺆرﺗﯿﻦ‬ ‫ﻣﻦ‬‫أن‬ ‫ﺘﺞ‬:1(‫اﻷﺻﻞ‬ ‫ﻧﻘﻄﺔ‬ ‫اﻟﻤﺮﻛﺰ‬2(‫اﻟ‬ ‫ﻣﺤﻮر‬ ‫ھﻮ‬ ‫اﻟﻘﻄﻊ‬ ‫ﻣﺤﻮر‬‫ﺼﺎدات‬3(6c 
‫اﻟﺜﺎﺑﺖ‬ ‫اﻟﻌﺪد‬=20 = 2 aa = 10‫و‬‫ﻓﯿﺜﺎﻏﻮرس‬ ‫ﻣﺒﺮھﻨﺔ‬ ‫ﺗﻄﺒﯿﻖ‬ ‫ﻣﻦ‬‫ﻋﻠﻰ‬ ‫ﻧﺤﺼﻞ‬b
2 2 22
100 36 8b ba b c     
‫اﻟﻤﻄﻠﻮﺑﺔ‬ ‫اﻟﻤﻌﺎدﻟﺔ‬
2 2 2 2
2 2
1 1
64 100
x y x y
b a
   
: 2Q‫و‬ ‫اﻷﺻﻞ‬ ‫ﻧﻘﻄﺔ‬ ‫ﻣﺮﻛﺰه‬‫إﺣﺪ‬‫ى‬‫اﻟﻤﻜﺎﻓﺊ‬ ‫اﻟﻘﻄﻊ‬ ‫ﺑﺆرة‬ ‫ھﻲ‬ ‫ﺑﺆرﺗﯿﮫ‬2
24y x ‫اﻟﻨﻘﻄﺘﯿﻦ‬ ‫ﻣﻦ‬ ‫وﯾﻤﺮ‬ 0, 10
‫اﻟﺤﻞ‬:2
24y x ، ‫ﻟﻠﯿﺴﺎر‬ ‫اﻟﻤﻜﺎﻓﺊ‬ ‫اﻟﻘﻄﻊ‬4 24p  6p ‫اﻟﻤﻜﺎﻓﺊ‬ ‫ﺑﺆرة‬( 6,0)
‫اﻟﻨﺎﻗﺺ‬ ‫ﺑﺆرﺗﺎ‬( 6,0)6c ‫اﻟﺴﯿﻨﺎت‬ ‫وﻋﻠﻰ‬‫أﯾﻀﺎ‬ ‫اﻟﺴﯿﻨﺎت‬ ‫ﻋﻠﻰ‬ ‫اﻟﺮأﺳﺎن‬
‫ﻣﻦ‬ ‫ﯾﻤﺮ‬ 0, 1010b ‫ﻟﻠﺒﺆرة‬ ‫اﻟﻤﻌﺎﻛﺲ‬ ‫اﻟﻤﺤﻮر‬ ‫ﻋﻠﻰ‬ ‫ﻷﻧﮭﺎ‬
2 2 2 22 2
2 2 2 2
2 2
10 6 136
1 1
136 36
a a
x y
a b
b
y
c
x


  
  



َََََQ3:‫اﻟﻤﻜﺎﻓﺊ‬ ‫اﻟﻘﻄﻊ‬ ‫ﺑﺆرة‬ ‫ھﻲ‬ ‫رأﺳﯿﮫ‬ ‫وأﺣﺪ‬ ‫اﻷﺻﻞ‬ ‫ﻧﻘﻄﺔ‬ ‫ﻣﺮﻛﺰة‬2
40x y ‫ﯾﺰﯾﺪ‬ ‫اﻷﺻﻐﺮ‬ ‫ﻣﺤﻮره‬ ‫وﻃﻮل‬
‫ﺑﻤﻘﺪار‬ ‫ﺑﺆرﺗﯿﮫ‬ ‫ﺑﯿﻦ‬ ‫اﻟﻤﺴﺎﻓﺔ‬ ‫ﻋﻠﻰ‬4‫وﺣﺪات‬.
‫اﻟﺤﻞ‬:2
40x y ‫ﻣﻦ‬‫وأن‬ ‫اﻟﺼﺎدات‬ ‫ﻣﺤﻮر‬ ‫ھﻮ‬ ‫اﻟﻘﻄﻊ‬ ‫ﻣﺤﻮر‬ ‫أن‬ ‫ﻧﺴﺘﻨﺘﺞ‬ ‫اﻟﻤﻌﺎدﻟﺔ‬ ‫ھﺬه‬4 40p  
10p ‫ھﻲ‬ ‫اﻟﻤﻜﺎﻓﺊ‬ ‫اﻟﻘﻄﻊ‬ ‫ﺑﺆرة‬(0, 10)‫ھﻤﺎ‬ ‫اﻟﻨﺎﻗﺺ‬ ‫اﻟﻘﻄﻊ‬ ‫رأﺳﺎ‬(0, 10)
10a ‫اﻟﺼﺎدات‬ ‫وﻋﻠﻰ‬.
‫اﻟﺜﺎﻧﻲ‬ ‫اﻟﻤﻌﻄﻰ‬:
(2)
2 2 4 2 2b c b c b c 

     
2 2 2
2 2 2 2
2 2
100 ( 2) 100 4 4
2 4 96 0 2 48 0 ( 8)( 6)
a b c c c c c c
c c c c c c
  
 
        
       
KAMIL MOSA ALNASSIRY88
‫إﻣﺎ‬c = - 8‫ﻷن‬ ‫ﻣﻤﻜﻦ‬ ‫ﻏﯿﺮ‬, ,a b c‫ﻣﻮﺟﺒﺔ‬ ‫أﻋﺪاد‬.
‫أو‬6c 6 2 8b   ‫ھﻲ‬ ‫اﻟﻤﻌﺎدﻟﺔ‬
2 2
1
64 100
x y
 
Q4:‫ﺑﺆرﺗﺎه‬( 6 , 0 )‫اﻟﻤﻜﺎﻓﺊ‬ ‫اﻟﻘﻄﻊ‬ ‫ﺑﺆرة‬ ‫ﻣﻦ‬ ‫وﯾﻤﺮ‬2
12 2 11 0y x y   ‫اﻟﻘﻄﻊ‬ ‫ﻣﻤﺎس‬ ‫ﻣﻌﺎدﻟﺔ‬ ‫ﺟﺪ‬ ‫ﺛﻢ‬
‫اﻟﻤﻜﺎﻓﺊ‬ ‫اﻟﻘﻄﻊ‬ ‫ﺑﺆرة‬ ‫ﻓﻲ‬ ‫اﻟﻨﺎﻗﺺ‬.
‫اﻟﺤﻞ‬:‫ﺑﺆرﺗﺎه‬( 6 , 0 )6c ‫اﻟ‬ ‫وﻋﻠﻰ‬‫ﺴﯿﻨﺎت‬
‫أوﻻ‬ ‫اﻟﻘﯿﺎﺳﯿﺔ‬ ‫ﻟﻠﺼﯿﻐﺔ‬ ‫اﻟﻤﻌﺎدﻟﺔ‬ ‫ﻓﻨﺤﻮل‬ ‫اﻟﻤﻜﺎﻓﺊ‬ ‫اﻟﻘﻄﻊ‬ ‫ﺑﺆرة‬ ‫ﻟﻨﺠﺪ‬:
2 2
2 2
12 2 11 0 2 ? 12 11 ?
2 1 12 11 1 ( 1) 12( 1)
12 4 3 ( 1 3 , 1
( 1, 1)
2 )) ( , 1
y x y y y x
y y x y x
p p F
V
F

 
  
        
       
   


‫اﻟﻤﻜﺎﻓﺊ‬ ‫اﻟﻘﻄﻊ‬ ‫ﺑﺆرة‬ ‫ﻣﻦ‬ ‫ﯾﻤﺮ‬ ‫اﻟﻨﺎﻗﺺ‬ ‫اﻟﻘﻄﻊ‬ ‫ﻟﻜﻦ‬:(2 , 1)F ‫اﻟﻨﺎﻗﺺ‬ ‫ﻣﻌﺎدﻟﺔ‬ ‫ﻓﺘﺤﻘﻖ‬:
2 2
2 2
1
x y
a b
 
2 2
2 2 2 2
2 2
( )
4 1
1 4 ......(1)
a b
b a a b
a b


    
2 2 2 2 2
: ........6 .(2)a b c bBut a  
‫اﻟﻤﻌﺎدﻟﺔ‬ ‫ﺗﻌﻮض‬)2(‫اﻟﻤﻌﺎدﻟﺔ‬ ‫ﻓﻲ‬)1(:
2
2
2 2
2
2
2
6
2 2 2 2 2 2 2 4 2
4 2 2
4 4 ( ) 5 6 6
6 0 ( 3)( 2) 0
6 6
2 8
a b
a b a b b b b b b
b b b
b
b a
b
b
 
  
 
       
      



‫ھﻲ‬ ‫اﻟﻨﺎﻗﺺ‬ ‫اﻟﻘﻄﻊ‬ ‫ﻣﻌﺎدﻟﺔ‬:
2 2
1
8 2
x y
 
‫اﻟﻤﻤﺎس‬ ‫ﻣﻌﺎدﻟﺔ‬ ‫إﯾﺠﺎد‬:‫ﻓﻲ‬ ‫اﻟﻤﻌﺎدﻟﺔ‬ ‫ﻃﺮﻓﻲ‬ ‫ﻧﻀﺮب‬82 2
4 8x y ‫ﻟﻠﻤﺘﻐﯿﺮ‬ ‫ﺑﺎﻟﻨﺴﺒﺔ‬ ‫اﻟﻄﺮﻓﯿﻦ‬ ‫ﻧﺸﺘﻖ‬x
2 8 0
4
dy dy x
x y
dx dx y
   
‫اﻟﻤﻤﺎس‬ ‫ﻣﯿﻞ‬
2 1
4 2(2, 1)
dy
dx at

 

‫اﻟﻤﻤﺎس‬ ‫ﻣﻌﺎدﻟﺔ‬1
1
1 1
2 4 0
2 2
y y y
m x y
x x x
 
      
 
Q5:‫ﺑﺆرﺗﺎه‬( 8.0)‫ﯾﺴﺎوي‬ ‫اﻟﻤﺮﻛﺰي‬ ‫واﺧﺘﻼﻓﮫ‬
4
5
.
‫اﻟﺤﻞ‬:‫اﻟﺒﺆرﺗﯿﻦ‬ ‫ﻣﻦ‬8c ‫اﻟﺴﯿﻨﺎت‬ ‫وﻋﻠﻰ‬
KAMIL MOSA ALNASSIRY89
2 2 2 2 2
2 2
4 8
10
5
100 64 36 : 1
100 36
c
e a
a a
x y
a b c b b the equation
 
 
  
      
Q6:‫ﺑﺆرﺗﺎه‬( 8.0)‫ﻛﻨﺴﺒﺔ‬ ‫ﻣﺤﻮرﯾﮫ‬ ‫ﻃﻮﻟﻲ‬ ‫ﺑﯿﻦ‬ ‫واﻟﻨﺴﺒﺔ‬
3
5
.
‫اﻟﺤﻞ‬:‫اﻟﺒﺆرﺗﯿﻦ‬ ‫ﻣﻦ‬8c ‫اﻟﺴﯿﻨﺎت‬ ‫وﻋﻠﻰ‬
‫ﻛﻨﺴﺒﺔ‬ ‫ﻣﺤﻮرﯾﮫ‬ ‫ﻃﻮﻟﻲ‬ ‫ﺑﯿﻦ‬ ‫اﻟﻨﺴﺒﺔ‬
3
5

3 2 3
5 2 5
b
b a
a
  
2 2 2 2 2 2
2 2
25 9 16 4
64 64 8
25 25 25 5
1
100 36
a b c a a a a
x y
a b
         
     
Q7:‫إﺣﺪى‬‫اﻟﻤﻜﺎﻓﺊ‬ ‫اﻟﻘﻄﻊ‬ ‫ﺑﺆرة‬ ‫ھﻲ‬ ‫ﺑﺆرﺗﯿﮫ‬2
24y x ‫ﻣﻦ‬ ‫وﯾﻤﺮ‬( 10,0)‫اﻷﺻﻞ‬ ‫ﻧﻘﻄﺔ‬ ‫وﻣﺮﻛﺰه‬.
‫اﻟﺤﻞ‬:6 4 24p p    ‫اﻟ‬ ‫واﻟﻘﻄﻊ‬‫ﻟﻠﯿﺴﺎر‬ ‫ﻓﺘﺤﺘﮫ‬ ‫ﻤﻜﺎﻓﺊ‬‫ھﻲ‬ ‫اﻟﻤﻜﺎﻓﺊ‬ ‫اﻟﻘﻄﻊ‬ ‫ﺑﺆرة‬( 6,0)
‫ھﻤﺎ‬ ‫اﻟﻨﺎﻗﺺ‬ ‫اﻟﻘﻄﻊ‬ ‫ﺑﺆرﺗﺎ‬( 6,0)6c ‫اﻟﺴﯿﻨﺎت‬ ‫ﻋﻠﻰ‬
‫ﻣﻦ‬ ‫ﯾﻤﺮ‬ ‫اﻟﻨﺎﻗﺺ‬( 10,0)10a ‫اﻟﻤﺤﻮر‬ ‫ﻧﻔﺲ‬ ‫ﻋﻠﻰ‬ ‫واﻟﺮأﺳﯿﻦ‬ ‫اﻟﺒﺆرﺗﯿﻦ‬ ‫ﻷن‬ ‫اﻟﺴﯿﻨﺎت‬ ‫ﻋﻠﻰ‬
2 2 2 2 2
2 2
100 36 64 1
100 64
x y
a b c b b the equation        
Q8:‫اﻟﻤﻜﺎﻓﺊ‬ ‫اﻟﻘﻄﻊ‬ ‫ﺑﺆرة‬ ‫ھﻲ‬ ‫ﺑﺆرﺗﯿﮫ‬ ‫إﺣﺪى‬2
24x y ‫ﻣﻦ‬ ‫وﯾﻤﺮ‬( 10,0)‫ﻧﻘﻄﺔ‬ ‫وﻣﺮﻛﺰه‬‫اﻷﺻﻞ‬
‫اﻟﺤ‬‫ﻞ‬:6 4 24p p    ‫ﻟﻸﺳﻔﻞ‬ ‫ﻓﺘﺤﺘﮫ‬ ‫اﻟﻤﻜﺎﻓﺊ‬ ‫واﻟﻘﻄﻊ‬‫ھﻲ‬ ‫اﻟﻤﻜﺎﻓﺊ‬ ‫اﻟﻘﻄﻊ‬ ‫ﺑﺆرة‬(0 , 6)
‫ھﻤﺎ‬ ‫اﻟﻨﺎﻗﺺ‬ ‫اﻟﻘﻄﻊ‬ ‫ﺑﺆرﺗﺎ‬(0, 6)6c ‫ﻋﻠﻰ‬‫اﻟﺼﺎدات‬
‫ﻣﻦ‬ ‫ﯾﻤﺮ‬ ‫اﻟﻨﺎﻗﺺ‬( 10,0)10b ‫ﻟﻠﺒﺆرﺗ‬ ‫اﻟﻤﻌﺎﻛﺲ‬ ‫اﻟﻤﺤﻮر‬ ‫ﻋﻠﻰ‬ ‫ﻷﻧﮭﺎ‬‫ﯿﻦ‬.
2 2 2 2 2
2 2
100 36 136 1
100 136
x y
a b c a a the equation        
Q9:‫ﺑﺎﻟﺒﻌﺪﯾﻦ‬ ‫اﻟﺮأﺳﯿﻦ‬ ‫ﻋﻦ‬ ‫ﺗﺒﻌﺪ‬ ‫اﻟﺒﺆرﺗﯿﻦ‬ ‫وإﺣﺪى‬ ‫اﻟﺴﯿﻨﺎت‬ ‫ﻣﺤﻮر‬ ‫ﻋﻠﻰ‬ ‫ﺑﺆرﺗﺎه‬2،8‫ﻃﻮل‬ ‫وﺣﺪة‬‫ﻧﻘﻄﺔ‬ ‫وﻣﺮﻛﺰه‬
‫اﻷﺻﻞ‬.
‫اﻟﺤﻞ‬:‫اﻟﻔﻜﺮة‬ ‫ﯾﻮﺿﺢ‬ ‫اﻟﺮﺳﻢ‬.
‫اﻟﺒﻌﺪﯾﻦ‬ ‫ﻣﺠﻤﻮع‬=8+2=102 10a 5a 
‫ﻓﺮق‬‫اﻟﺒﻌﺪﯾﻦ‬=8–2=63 2 6c c  
8
2
2
KAMIL MOSA ALNASSIRY90
x
B
C D
2 ( 2,0)F  1(2,0)F
(2,3)A
A
y
2 2 2 2 2
2 2
25 9 16
1
25 16
a b c b b
x y
the equation
     
 
Q10:‫اﻟﻤﻜﺎﻓﺌﯿﻦ‬ ‫اﻟﻘﻄﻌﯿﻦ‬ ‫ﺑﺆرﺗﻲ‬ ‫ھﻤﺎ‬ ‫ﺑﺆرﺗﺎه‬2 2
24 , 24x y x y  ‫ﻣﻨﻄﻘﺘﮫ‬ ‫وﻣﺴﺎﺣﺔ‬80‫ﻣﺮﺑﻌﺔ‬ ‫وﺣﺪة‬
‫اﻟﺤﻞ‬:6 4 24p p  ‫اﻟﺼ‬ ‫وﻋﻠﻰ‬ ‫اﻟﺒﺆري‬ ‫اﻟﺒﻌﺪ‬‫ﺎدات‬‫اﻟﻤﻜﺎﻓﺌﯿﻦ‬ ‫ﺑﺆرﺗﺎ‬(0, 6)‫اﻟﻘﻄﻊ‬ ‫ﺑﺆرﺗﻲ‬ ‫وھﻤﺎ‬
‫اﻟﻨﺎﻗﺺ‬c = 6‫اﻟﺼﺎدات‬ ‫ﻋﻠﻰ‬.
  
2 2 2 2
4 2 4 2
2
2 2
2 2 2
80
80
2
6400
36 6400 36 36 6400 0
80
100 64 0 100 10 8 1
10 64 100
A a b a b b
a
a
a b c a a a a a
a
x y
a a a a b the equation
    
  
   
  

        
        
-----------------------
Q11:‫اﻷﺻﻐﺮ‬ ‫ﻣﺤﻮره‬ ‫ﻧﺼﻒ‬ ‫ﻃﻮل‬=5‫اﻟﻤﺮﻛﺰي‬ ‫واﺧﺘﻼﻓﮫ‬ ، ‫اﻟﺴﯿﻨﺎت‬ ‫وﻋﻠﻰ‬=
11
6
‫اﻻ‬ ‫ﻧﻘﻄﺔ‬ ‫وﻣﺮﻛﺰه‬‫ﺻﻞ‬.
‫اﻟﺤﻞ‬:b = 5‫اﻟﺴﯿﻨﺎت‬ ‫وﻋﻠﻰ‬a , c‫اﻟﺼﺎدات‬ ‫ﻋﻠﻰ‬
2 2 2 2 2 2 2
2
2 2
11 11
6 6
36 11 25
25 25 36
36 36 36
36 6 5 1
25 36
c c
e c a
a a
a b c a a a a
the equation of th
x y
e ellia a but psb e
 
  
 
  
     
    
Q12:‫ﺑﺆرﺗﺎه‬1 2(2,0) , ( 2,0)F F ‫وأن‬1F‫ﻣﻨﺘﺼﻒ‬AD‫وأن‬2F‫ﻣﻨﺘﺼﻒ‬CB‫اﻟﻤﺴﺘﻄﯿﻞ‬ ‫ﻣﺤﯿﻂ‬ ‫وأن‬
ABCD‫ﯾﺴﺎوي‬20‫ﻃﻮل‬ ‫وﺣﺪة‬.
‫اﻟﺤﻞ‬:2c ‫اﻟﺴﯿﻨﺎت‬ ‫وﻋﻠﻰ‬
‫اﻟﺒﺆرﺗﯿﻦ‬ ‫ﺑﯿﻦ‬ ‫اﻟﻤﺴﺎﻓﺔ‬=2 c=4‫ﻃﻮل‬ ‫وﺣﺪة‬
‫ﻓﺎن‬ ‫ﻟﺬا‬:AB=4‫أﯾﻀﺎ‬
‫اﻟﻤﺤﯿﻂ‬) =‫ﻃﻮل‬+‫ﻋﺮض‬(×2
20=2)AB AD(
10=4 AD
AD = 6
1 3AF ‫ﺑﺎﻟﺘﻨﺼﯿﻒ‬‫وﯾﻤﺜﻞ‬
KAMIL MOSA ALNASSIRY91
‫ﻟﻠﻨﻘﻄﺔ‬ ‫ﺻﺎدي‬ ‫إﺣﺪاﺛﻲ‬A‫اﻟﺮأس‬ ‫ﻓﺎن‬ ‫ﻟﺬا‬(2,3)A
‫اﻟﺴﺆال‬ ‫ﻣﻦ‬ ‫اﻟﻤﺘﺒﻘﻲ‬ ‫ﻟﻠﺤﻞ‬‫ﻃﺮق‬ ‫ﺛﻼث‬:
‫اﻟﺘﻌﺮﯾ‬ ‫ﻧﺴﺘﺨﺪم‬ ‫اﻷوﻟﻰ‬ ‫اﻟﻄﺮﯾﻘﺔ‬‫ﻒ‬:1 3AF 
2 2
2 (2 2) (3 0) 5A F     
‫اﻟﺘﻌﺮﯾﻒ‬:
1 2
2 2
2 2 2 2
2
2 2
2 2
2 3 5 2 4
1 6 4 1 2
1 1
1 6 12
A F A F a a a
b b
x y x y
a b
a b c
T h e eq uatio n
     


    


   
‫اﻟﺜﺎﻧﯿﺔ‬ ‫اﻟﻄﺮﯾﻘﺔ‬:‫اﻟﻨﻘﻄﺔ‬ 2,3‫اﻟﻨﺎﻗﺺ‬ ‫اﻟﻘﻄﻊ‬ ‫ﻣﻌﺎدﻟﺔ‬ ‫ﺗﺤﻘﻖ‬
2 2
2 2
1
x y
a b
 
2 2
2 2 2 2
2 2
2 2
2 3
1 4 9 .........(1)
a b
b a a b
a b

   
‫ﻟﻜﻦ‬:2 2 22 2
....... ..(4 . 2)ba b c a    
‫ﻋﻠﻰ‬ ‫ﻧﺤﺼﻞ‬ ‫آﻧﯿﺎ‬ ‫اﻟﻤﻌﺎدﻟﺘﯿﻦ‬ ‫ﺣﻞ‬ ‫ﻣﻦ‬2 2
,a b‫اﻟﺤﻞ‬ ‫أﻛﻤﻞ‬.
‫اﻟﻄﺮﯾﻘﺔ‬‫اﻟﺜﺎﻟﺜﺔ‬:‫اﻟﺒﺆري‬ ‫اﻟﻮﺗﺮ‬ ‫ﻃﻮل‬‫اﻟﻌﻤﻮدي‬AD=6‫اﻟﻌﻤﻮدي‬ ‫اﻟﺒﺆري‬ ‫اﻟﻮﺗﺮ‬ ‫ﻃﻮل‬ ‫ﻟﻜﻦ‬=
2
2b
a
‫ﻋﻠﻰ‬ ‫ﻧﺤﺼﻞ‬ ‫ﻣﻨﮭﻤﺎ‬
2
2 2
3 ...(1) 6
b
b a
a
  
2 2 2 2 2 2
2 2
3 4 3 4 0 ( 4)( 1) 0 4 12
1
16 12
a a a a a a a b
x
a b c
the equation of ellpise
y
             
 
 
Q13:‫اﻟﻨﻘﻄﺘﯿﻦ‬ ‫ﻣﻦ‬ ‫ﯾﻤﺮ‬
6
( 2,2) , (3, )
2
‫اﻟﺴﯿﻨﺎت‬ ‫ﻣﺤﻮر‬ ‫ﻧﻘﻂ‬ ‫ﻣﻦ‬ ‫وﺑﺆرﺗﺎه‬‫اﻻﺻﻞ‬ ‫ﻧﻘﻄﺔ‬ ‫وﻣﺮﻛﺰه‬.
‫اﻟﺤﻞ‬:1(( 2,2)‫اﻟﻤﻌﺎدﻟﺔ‬ ‫ﺗﺤﻘﻖ‬
2 2
2 2
1
x y
a b
 22
4
1 ......... 1
4
( )
ba
 
2(
6
(3, )
2
‫اﻟﻤﻌﺎدﻟﺔ‬ ‫ﺗﺤﻘﻖ‬
2 2
2 2
1
x y
a b
 22
6
1 ....... .(2)
4
9
.
a b
 
KAMIL MOSA ALNASSIRY92
‫اﻟﺤﻞ‬ ‫اﺟﻞ‬ ‫ﻣﻦ‬‫آﻧﯿﺎ‬‫اﻟﻤﻌﺎدﻟﺔ‬ ‫ﻃﺮﻓﻲ‬ ‫ﻧﻀﺮب‬‫اﻷوﻟﻰ‬‫ﻓﻲ‬9‫ﻓﻲ‬ ‫اﻟﺜﺎﻧﯿﺔ‬ ‫اﻟﻤﻌﺎدﻟﺔ‬ ‫وﻃﺮﻓﻲ‬)- 4: (
2
36
a 2
36
9 .........(1)
b
 
2
36
a

2
6
4 .........(2)
b

  
2
2
30
5 6b
b
  ‫اﻻوﻟﻰ‬ ‫اﻟﻤﻌﺎدﻟﺔ‬ ‫ﻗﻲ‬ ‫ﻧﻌﻮض‬:
2 2
2
2 2
4 4 4 2
1 12 1
6 6 12 6
the equation
x y
a
a a
        
‫أﺧﺮى‬ ‫أﻣﺜﻠﺔ‬:
Q1:‫ﻟﺘﻜﻦ‬( 6, 0)A ‫وﻟﺘﻜﻦ‬(6, 0)B‫وﻟﺘﻜﻦ‬C(x , y )‫ﺑﺤﯿ‬ ‫اﻟﻤﺴﺘﻮي‬ ‫ﻓﻲ‬ ‫ﻣﺘﺤﺮﻛﺔ‬ ‫ﻧﻘﻄﺔ‬‫ﺚ‬‫اﻟﻤﺜﻠﺚ‬ ‫ﻣﺤﯿﻂ‬ ‫أن‬
ABC‫ﯾﺴﺎوي‬32‫ﻃﻮل‬ ‫وﺣﺪة‬،‫ﻧﻘﻂ‬ ‫ﻣﺠﻤﻮﻋﺔ‬ ‫ﺗﻤﺜﻞ‬ ‫ﻣﺎذا‬C.
‫اﻟﺤﻞ‬:
‫اﻟﻤﺤﯿﻂ‬=1 2 3L L L 
2 312 32L L  
2 3 20L L ‫اﻟﻘﻄﻊ‬ ‫ﺗﻌﺮﯾﻒ‬ ‫ﯾﻤﺜﻞ‬ ‫اﻟﻨﺎﺗﺞ‬‫اﻟﺜﺎﺑﺖ‬ ‫اﻟﻌﺪد‬ ‫ﺣﯿﺚ‬ ‫اﻟﻨﺎﻗﺺ‬=20‫واﻟﻨﻘﻄﺘﯿﻦ‬A ,B‫اﻟﺒﺆرﺗﯿﻦ‬ ‫ﺗﻤﺜﻞ‬.
‫اﻟﻤﺮﻛﺰ‬: 0, 0
2 20 10a a ،12 2 12 6AB c  
2 2 2 2 2
2 2
100 36 64 : 1
100 64
the equation
x y
a b c b b        
Q2:‫ﻟﺘﻜﻦ‬10 sin , 6 cosy x     ‫اﻟﻤﺠﻤﻮﻋﺔ‬ ‫ﺗﻤﺜﻠﮭﺎ‬ ‫اﻟﺘﻲ‬ ‫اﻟﻤﺠﻤﻮﻋﺔ‬ ‫ﺟﺪ‬ ،( )y f x
‫اﻟﺤﻞ‬:2
2
coscos
6 36
x x
    
2
2
sinsin
10 100
y y
     
2
2 2
2
1 1
100 3
sin
6
cos
y x
but       
‫وﺑﺆرﺗﺎه‬ ‫اﻷﺻﻞ‬ ‫ﻧﻘﻄﺔ‬ ‫ﻣﺮﻛﺰه‬ ‫اﻟﺬي‬ ‫اﻟﻨﺎﻗﺺ‬ ‫ﻗﻄﻊ‬ ‫ﻣﻌﺎدﻟﺔ‬ ‫ﺗﻤﺜﻞ‬‫ﻣﺤﻮر‬ ‫ﻋﻠﻰ‬‫اﻟﺼﺎدات‬.
( 6, 0)A  (6, 0)B3L
1L 2L
( , )C x y
KAMIL MOSA ALNASSIRY93
Q3:‫اﻟﻨﺎﻗﺺ‬ ‫اﻟﻘﻄﻊ‬2 2
4 8x w y ‫ﺑﺆرﺗﺎه‬ 0 , 6‫ﻗﯿﻤﺔ‬ ‫ﺟﺪ‬w.
‫اﻟﺤﻞ‬:‫اﻟﺒﺆرﺗﺎن‬ 0, 6‫ﻋﻠﻰ‬ ‫ﻧﺤﺼﻞ‬ ،6c‫و‬‫اﻟﺼﺎدات‬ ‫ﻋﻠﻰ‬
‫اﻟﻘ‬ ‫ﻟﻠﺼﯿﻐﺔ‬ ‫ﻧﺤﻮﻟﮭﺎ‬ ‫ﻟﺬا‬ ‫واﺣﺪ‬ ‫ﻣﺠﮭﻮل‬ ‫اﻟﻤﻌﺎدﻟﺔ‬ ‫ﻓﻲ‬‫ﻋﻠﻰ‬ ‫ﻃﺮﻓﯿﮭﺎ‬ ‫ﺑﻘﺴﻤﺔ‬ ‫ﯿﺎﺳﯿﺔ‬8
2 2 2
2 2 2
4 8 1 1
8 2 82
x w x
w
y
x w y y         
‫ﻓﺎن‬ ‫ﻟﺬا‬ ‫اﻟﺼﺎدات‬ ‫ﻋﻠﻰ‬ ‫اﻟﺒﺆرﺗﺎن‬a 2
‫ﺗﺤﺖ‬ ‫ﻣﻮﺟﻮدة‬ ‫ﺗﻜﻮن‬y2
‫أي‬
2 2 8
2b a
w
  
2 2 2 8
2 6 1a b c w
w
     
Q4:‫اﻟﻨﺎﻗﺺ‬ ‫اﻟﻘﻄﻊ‬2 2
32h x k y  ‫ﻣﺤﻮر‬ ‫ﻋﻠﻰ‬ ‫ﺑﺆرﺗﺎه‬y‫ﺗﺴﺎوي‬ ‫ﺑﯿﻨﮭﻤﺎ‬ ‫واﻟﻤﺴﺎﻓﺔ‬‫ﺑﺆرة‬ ‫ﺑﯿﻦ‬ ‫اﻟﻤﺴﺎﻓﺔ‬
‫اﻟﻤﻜﺎﻓﺊ‬ ‫اﻟﻘﻄﻊ‬2
4 6 0y x ‫ﯾﺴﺎوي‬ ‫ﻣﺤﻮرﯾﮫ‬ ‫ﻃﻮﻟﻲ‬ ‫ﻣﺮﺑﻌﻲ‬ ‫وﻣﺠﻤﻮع‬ ‫ودﻟﯿﻠﮫ‬ ،40‫ﻗﯿﻤﺔ‬ ‫ﺟﺪ‬m , n.
‫اﻟﺤﻞ‬:2
4 6y x ، ‫ﻟﻠﯿﺴﺎر‬ ‫ﻓﺘﺤﺘﮫ‬ ‫ﻣﻜﺎﻓﺊ‬ ‫ﻗﻄﻊ‬6 4 4 6p p   =‫اﻟﺒﺆري‬ ‫اﻟﺒﻌﺪ‬
‫ودﻟ‬ ‫ﻣﻜﺎﻓﺊ‬ ‫أي‬ ‫ﺑﺆرة‬ ‫ﺑﯿﻦ‬ ‫اﻟﻤﺴﺎﻓﺔ‬‫ﺗﺴﺎوي‬ ‫ﯿﻠﮫ‬2 p
‫ﺗﺴﺎوي‬ ‫ودﻟﯿﻠﮫ‬ ‫اﻟﻤﻌﻄﻰ‬ ‫اﻟﻤﻜﺎﻓﺊ‬ ‫ﺑﺆرة‬ ‫ﺑﯿﻦ‬ ‫اﻟﻤﺴﺎﻓﺔ‬2 6‫أي‬6 2 2 6c c      
‫ﯾﺴﺎوي‬ ‫ﻣﺤﻮرﯾﮫ‬ ‫ﻃﻮﻟﻲ‬ ‫ﻣﺮﺑﻌﻲ‬ ‫وﻣﺠﻤﻮع‬40:   
2 22 2
2 102 ......(1)40b ba a   
‫ﻟﻜﻦ‬
2 2 2 2 2
6a b a b c    ‫اﻷوﻟ‬ ‫اﻟﻤﻌﺎدﻟﺔ‬ ‫ﻓﻲ‬ ‫ﺗﻌﻮض‬‫ﻋﻠﻰ‬ ‫ﻓﻨﺤﺼﻞ‬ ‫ﻰ‬:
2 2 2 2 2 2 2
10 6 10 2 4 2 8a b b b b b a           
‫اﻟﻤﻌﺎدﻟﺔ‬ ‫ﻓﺘﻜﻮن‬:
2 2 2 2 32
2 2
2 2
2 2
1 1 16 4 32
2 8
32
:
x y x y
x y
b a
But h x k y
Hence h k
    
   
   

     
 
Q5:‫اﻟﻨﺎﻗﺺ‬ ‫اﻟﻘﻄﻊ‬:2 2
4h x y k  ‫ﻣﺠﺎﻟﮫ‬= 6,6‫وﻣﺪاه‬ ،= 9,9
‫ﻗﯿﻤﺔ‬ ‫ﺟﺪ‬h , k ,‫اﻟﺤﻘﯿﻘﯿﺔ‬
‫اﻟﺤﻞ‬:‫ا‬‫ﻗﯿﻢ‬ ‫ﻣﺠﻤﻮﻋﺔ‬ ‫ﯾﻤﺜﻞ‬ ‫ﻟﻤﺠﺎل‬x‫ﻣﻦ‬ ‫ﯾﻤﺮ‬ ‫اﻟﻨﺎﻗﺺ‬ ‫ﻓﺎﻟﻘﻄﻊ‬ 6, 0
‫ﻗﯿﻢ‬ ‫ﻣﺠﻤﻮﻋﺔ‬ ‫ﯾﻤﺜﻞ‬ ‫اﻟﻤﺪى‬y‫ﻣﻦ‬ ‫ﯾﻤﺮ‬ ‫اﻟﻨﺎﻗﺺ‬ ‫ﻓﺎﻟﻘﻄﻊ‬ 0, 9
KAMIL MOSA ALNASSIRY94
9a ‫اﻟﺼﺎدات‬ ‫وﻋﻠﻰ‬ ‫اﻷﻛﺒﺮ‬ ‫ﻷﻧﮫ‬
6b ‫اﻟ‬ ‫ﻋﻠﻰ‬‫ﺴﯿﻨﺎت‬
‫اﻟﻨﺎﻗﺺ‬ ‫اﻟﻘﻄﻊ‬ ‫ﻣﻌﺎدﻟﺔ‬:
2 2
2 2
2 2
81 4
9 31 4
36 81
24
: 4
9 ; 324
x y
x y
But we have the equation x yh k
Then h k
  
    
 
 
   
 
 
Q5:‫ﻗﻄﻊ‬‫ﻧﺎﻗﺺ‬‫ﻛﻨﺴﺒﺔ‬ ‫ﻣﺤﻮرﯾﮫ‬ ‫ﻃﻮﻟﻲ‬ ‫ﺑﯿﻦ‬ ‫واﻟﻨﺴﺒﺔ‬ ‫اﻷﺻﻞ‬ ‫ﻧﻘﻄﺔ‬ ‫ﻣﺮﻛﺰه‬ ‫ﺻﺎدي‬
1
2
‫اﻟﻤﻜﺎﻓﺊ‬ ‫اﻟﻘﻄﻊ‬ ‫وﯾﻘﻄﻊ‬
2
8y x‫ﻋﻨﺪ‬x = 2‫اﻟﻌﺎﻣﺔ‬ ‫ﺑﺎﻟﺼﯿﻐﺔ‬ ‫ﻣﻌﺎدﻟﺘﮫ‬ ‫ﺟﺪ‬.
‫اﻟﺤﻞ‬:2 22 1
2
2 2
4
b
a b a
a
b   
2
8y x‫ﻟﻜﻦ‬ 2
y = 4 y = 8 2 2x   ‫ھﻲ‬ ‫اﻟﺘﻘﺎﻃﻊ‬ ‫ﻧﻘﻂ‬ 2, 4
‫ﻣﻌﺎدﻟﺘﮫ‬ ‫ﻓﺘﺤﻘﻖ‬ ‫اﻟﻨﺎﻗﺺ‬ ‫اﻟﻘﻄﻊ‬ ‫ﻋﻰ‬ ‫ﺗﻘﻊ‬ ‫اﻟﺘﻘﺎﻃﻊ‬ ‫ﻧﻘﻂ‬:
 
22
2 2 2 2 2 2
2 2
2
4 16 4 4
1 1 1
4
8
1 = 4 88 = 32
yx
b a b b b b
b a
b
       
    
‫اﻟﻘﯿﺎﺳﯿﺔ‬ ‫اﻟﺼﯿﻐﺔ‬ ‫ﺗﻜﻮن‬ ‫ﻟﺬا‬‫ھﻲ‬:
22
1
8 32
yx
 
‫ﻓﻲ‬ ‫اﻟﻤﻌﺎدﻟﺔ‬ ‫ﻃﺮﻓﻲ‬ ‫ﺿﺮب‬ ‫وﻣﻦ‬32‫ﻋﻠﻰ‬ ‫ﻧﺤﺼﻞ‬:
2 2
4 32 0x y  ‫اﻟﻨﺎﻗﺺ‬ ‫اﻟﻘﻄﻊ‬ ‫ﻣﻌﺎدﻟﺔ‬ ‫وھﻲ‬
‫ﺑﺎﻟﺼﯿﻐ‬‫ﺔ‬‫اﻟﻌﺎﻣﺔ‬
 2 , 4
 2 , 4
2
8y x
KAMIL MOSA ALNASSIRY95
‫ﺗﺪرﯾﺐ‬)2-2(
‫اﻷﺳ‬ ‫ﻓﻲ‬ ‫اﻟﻨﺎﻗﺼﺔ‬ ‫اﻟﻘﻄﻮع‬‫اﻻﺣﺪاﺛﯿﯿﻦ‬ ‫ﻣﺤﻮري‬ ‫ﻋﻠﻰ‬ ‫ﻣﻨﻄﺒﻘﯿﻦ‬ ‫وﻣﺤﻮرﯾﮭﺎ‬ ‫اﻷﺻﻞ‬ ‫ﻧﻘﻄﺔ‬ ‫ﻣﺮﻛﺰھﺎ‬ ‫اﻟﺘﺎﻟﯿﺔ‬ ‫ﺌﻠﺔ‬.
‫س‬1(‫ﻟﺘﻜﻦ‬a‫اﻟﻤﻜﺎﻓﺊ‬ ‫اﻟﻘﻄﻊ‬ ‫ﺑﺆرة‬ ‫ھﻲ‬2
24 0x y 
‫ﻟﺘﻜﻦ‬b‫اﻟﻤﻜﺎﻓﺊ‬ ‫اﻟﻘﻄﻊ‬ ‫ﺑﺆرة‬ ‫ھﻲ‬2
32 0y x 
‫أ‬(‫ﻣﻦ‬ ‫ﯾﻤﺮ‬ ‫اﻟﺬي‬ ‫اﻟﻨﺎﻗﺺ‬ ‫اﻟﻘﻄﻊ‬ ‫ﻣﻌﺎدﻟﺔ‬ ‫ﺟﺪ‬a , b
‫ب‬(‫ﺟﺪ‬‫ھﻲ‬ ‫ﺑﺆرﺗﯿﮫ‬ ‫أﺣﺪى‬ ‫اﻟﺬي‬ ‫اﻟﻨﺎﻗﺺ‬ ‫اﻟﻘﻄﻊ‬ ‫ﻣﻌﺎدﻟﺔ‬a‫ﻣﻦ‬ ‫وﯾﻤﺮ‬b.
‫ج‬(‫ھﻲ‬ ‫ﺑﺆرﺗﯿﮫ‬ ‫أﺣﺪى‬ ‫اﻟﺬي‬ ‫اﻟﻨﺎﻗﺺ‬ ‫اﻟﻘﻄﻊ‬ ‫ﻣﻌﺎدﻟﺔ‬ ‫ﺟﺪ‬a‫ﻛﻨﺴﺒﺔ‬ ‫ﻣﺤﻮرﯾﮫ‬ ‫ﻃﻮﻟﻲ‬ ‫ﺑﯿﻦ‬ ‫اﻟﻨﺴﺒﺔ‬ ‫ﺑﺄن‬ ‫ﻋﻠﻤﺖ‬ ‫إذا‬
5
4
‫د‬(‫ھﻲ‬ ‫ﺑﺆرﺗﯿﮫ‬ ‫أﺣﺪى‬ ‫اﻟﺬي‬ ‫اﻟﻨﺎﻗﺺ‬ ‫اﻟﻘﻄﻊ‬ ‫ﻣﻌﺎدﻟﺔ‬ ‫ﺟﺪ‬b‫ﻋﻨﺪ‬ ‫اﻟﺼﺎدات‬ ‫وﯾﻘﻄﻊ‬10y  
‫ھـ‬(‫ھﻲ‬ ‫ﺑﺆرﺗﯿﮫ‬ ‫أﺣﺪى‬ ‫اﻟﺬي‬ ‫اﻟﻨﺎﻗﺺ‬ ‫اﻟﻘﻄﻊ‬ ‫ﻣﻌﺎدﻟﺔ‬ ‫ﺟﺪ‬b‫ﻋﻨﺪ‬ ‫اﻟﺴﯿﻨﺎت‬ ‫وﯾﻘﻄﻊ‬10x  
‫و‬(‫اﻻول‬ ‫اﻟﻤﻜﺎﻓﺊ‬ ‫ﺑﺆرة‬ ‫ﺑﯿﻦ‬ ‫اﻟﻤﺴﺎﻓﺔ‬ ‫ﯾﺴﺎوي‬ ‫اﻷﺻﻐﺮ‬ ‫ﻣﺤﻮره‬ ‫ﻃﻮل‬ ‫واﻟﺬي‬ ‫اﻟﺴﯿﻨﻲ‬ ‫اﻟﻨﺎﻗﺺ‬ ‫اﻟﻘﻄﻊ‬ ‫ﻣﻌﺎدﻟﺔ‬ ‫ﺟﺪ‬
‫ﯾﺴﺎوي‬ ‫اﻟﻤﺮﻛﺰي‬ ‫اﺧﺘﻼﻓﮫ‬ ‫ﺑﺎن‬ ‫ﻋﻠﻤﺖ‬ ‫اذا‬ ‫ودﻟﯿﻠﺔ‬0.8
‫س‬2(‫اﻟﻤﻜﺎﻓﺊ‬ ‫اﻟﻘﻄﻊ‬ ‫ﺑﺆرة‬ ‫ھﻲ‬ ‫ﺑﺆرﺗﯿﮫ‬ ‫إﺣﺪى‬ ‫اﻟﺬي‬ ‫اﻟﻨﺎﻗﺺ‬ ‫اﻟﻘﻄﻊ‬ ‫ﻣﻌﺎدﻟﺔ‬ ‫ﺟﺪ‬2
8y x‫اﻟﻨﻘﻄﺔ‬ ‫ﻣﻦ‬ ‫واﻟﻤﺎر‬
 2, 3
‫س‬3(‫اﻟﻤﻜﺎﻓﺊ‬ ‫اﻟﻘﻄﻊ‬ ‫ﺑﺆرة‬ ‫ھﻲ‬ ‫ﺑﺆرﺗﯿﮫ‬ ‫إﺣﺪى‬ ‫اﻟﺬي‬ ‫اﻟﻨﺎﻗﺺ‬ ‫اﻟﻘﻄﻊ‬ ‫ﻣﻌﺎدﻟﺔ‬ ‫ﺟﺪ‬2
24 0y x ‫ﻧﻘﻄﺘﻲ‬ ‫ﻣﻦ‬ ‫وﯾﻤﺮ‬
‫اﻟﻤﻨﺤﻨﻲ‬ ‫ﺗﻘﺎﻃﻊ‬2 2
16 64 0x y y   ‫اﻟﺴﯿﻨﺎت‬ ‫ﻣﺤﻮر‬ ‫ﻣﻊ‬.
‫س‬4(‫اﻟﻨﺎﻗﺺ‬ ‫اﻟﻘﻄﻊ‬ ‫ﻣﻌﺎدﻟﺔ‬ ‫ﺟﺪ‬‫اﻟﺼﺎدي‬‫اﻟﺬي‬‫ﺗﺴﺎوي‬ ‫ﺑﺆرﺗﯿﮫ‬ ‫ﺑﯿﻦ‬ ‫اﻟﻤﺴﺎﻓﺔ‬16‫وﺣﺪة‬‫اﻷﻛﺒﺮ‬ ‫ﻣﺤﻮره‬ ‫وﻃﻮل‬
‫ﯾﺴﺎوي‬3‫اﻷﺻﻐﺮ‬ ‫ﻣﺤﻮره‬ ‫ﻃﻮل‬ ‫أﻣﺜﺎل‬.
‫س‬5(‫ﻣﺤ‬ ‫ﻋﻠﻰ‬ ‫ﻣﻨﻄﺒﻘﯿﻦ‬ ‫ﻣﺤﻮرﯾﮫ‬ ‫اﻟﺬي‬ ‫اﻟﻨﺎﻗﺺ‬ ‫اﻟﻘﻄﻊ‬ ‫ﻣﻌﺎدﻟﺔ‬ ‫ﺟﺪ‬‫واﻟﺬي‬ ‫اﻷﺻﻞ‬ ‫ﻧﻘﻄﺔ‬ ‫وﻣﺮﻛﺰه‬ ‫اﻻﺣﺪاﺛﯿﯿﻦ‬ ‫ﻮري‬
‫ﻃﻮﻟﮭﺎ‬ ‫ﻗﻄﻌﺔ‬ ‫اﻟﺴﯿﻨﺎت‬ ‫ﻣﺤﻮر‬ ‫ﻣﻦ‬ ‫ﯾﻘﻄﻊ‬12‫ﻃﻮﻟﮭﺎ‬ ‫ﻗﻄﻌﺔ‬ ‫اﻟﺼﺎدات‬ ‫ﻣﺤﻮر‬ ‫وﻣﻦ‬ ‫وﺣﺪة‬20‫وﺣﺪة‬
‫س‬6(‫اﻟﻤﻜﺎﻓﺊ‬ ‫اﻟﻘﻄﻊ‬ ‫ﺑﺆرة‬ ‫رأﺳﯿﮫ‬ ‫أﺣﺪ‬ ‫اﻟﺬي‬ ‫اﻟﻨﺎﻗﺺ‬ ‫اﻟﻘﻄﻊ‬ ‫ﻣﻌﺎدﻟﺔ‬ ‫ﺟﺪ‬2
40 0y x ‫ﺑﯿﻦ‬ ‫اﻟﻨﺴﺒﺔ‬ ‫ﺑﺄن‬ ‫ﻋﻠﻤﺖ‬ ‫إذا‬
‫ﻃ‬ ‫اﻟﻰ‬ ‫ﺑﺆرﺗﯿﮫ‬ ‫ﺑﯿﻦ‬ ‫اﻟﻤﺴﺎﻓﺔ‬‫ﻛﻨﺴﺒﺔ‬ ‫اﻷﺻﻐﺮ‬ ‫ﻣﺤﻮره‬ ‫ﻮل‬
4
3
‫س‬7(‫اﻟﻨﻘﻄﺘﯿﻦ‬ ‫ﻣﻦ‬ ‫واﻟﻤﺎر‬ ‫اﻟﺼﺎدات‬ ‫ﻣﺤﻮر‬ ‫ﻧﻘﻂ‬ ‫ﻣﻦ‬ ‫ﺑﺆرﺗﯿﮫ‬ ‫اﻟﺬي‬ ‫اﻟﻨﺎﻗﺺ‬ ‫اﻟﻘﻄﻊ‬ ‫ﻣﻌﺎدﻟﺔ‬ ‫ﺟﺪ‬   2, 2 , 2, 0
‫س‬8(a b c‫ﺣﯿﺚ‬ ‫ﻣﺜﻠﺚ‬   0, 4 ; 0, 4a b ‫وأن‬a , b‫ھﻤﺎ‬‫ﻧﺎﻗﺺ‬ ‫ﻟﻘﻄﻊ‬ ‫ﺑﺆرﺗﺎن‬c‫ﻓﺈذا‬ ‫ﻧﻘﻄﮫ‬ ‫ﻣﻦ‬‫ﻛﺎن‬
‫اﻟﻤﺜﻠﺚ‬ ‫ﻣﺤﯿﻂ‬20‫اﻟﻨﺎﻗﺺ‬ ‫اﻟﻘﻄﻊ‬ ‫ﻣﻌﺎدﻟﺔ‬ ‫ﻓﺠﺪ‬ ‫ﻃﻮل‬ ‫وﺣﺪة‬
‫س‬9(‫اﻟﻨﺎﻗﺺ‬ ‫اﻟﻘﻄﻊ‬2 2
8 2x y k ‫اﻟﻤﻜﺎﻓﺊ‬ ‫اﻟﻘﻄﻊ‬ ‫ﺑﺆرة‬ ‫ﺑﯿﻦ‬ ‫اﻟﻤﺴﺎﻓﺔ‬ ‫ﺗﺴﺎوي‬ ‫ﺑﺆرﺗﯿﮫ‬ ‫ﺑﯿﻦ‬ ‫اﻟﻤﺴﺎﻓﺔ‬
2
4 6y x‫ﻗﯿﻤﺔ‬ ‫ﺟﺪ‬ ، ‫ودﻟﯿﻠﮫ‬k.
KAMIL MOSA ALNASSIRY96
‫س‬10(‫اﻟﻨﺎﻗﺺ‬ ‫اﻟﻘﻄﻊ‬2 2 2 2
9 9x k y k ‫اﻟﻤﻜﺎﻓﺊ‬ ‫اﻟﻘﻄﻊ‬ ‫ﺑﺆرة‬ ‫ھﻲ‬ ‫ﺑﺆرﺗﯿﮫ‬ ‫إﺣﺪى‬:21
4 0
4
y x 
‫ﻗﯿﻤﺔ‬ ‫ﺟﺪ‬ ،k.
‫س‬11(‫ﺎﻓﺔ‬‫اﻟﻤﺴ‬ ‫ﺎوي‬‫ﺗﺴ‬ ‫ﮫ‬‫ﺑﺆرﺗﯿ‬ ‫ﯿﻦ‬‫ﺑ‬ ‫ﺎﻓﺔ‬‫واﻟﻤﺴ‬ ‫اﻟﺼﺎدات‬ ‫ﻣﺤﻮر‬ ‫ﻧﻘﻂ‬ ‫ﻣﻦ‬ ‫ﺑﺆرﺗﺎه‬ ‫اﻟﺬي‬ ‫اﻟﻨﺎﻗﺺ‬ ‫اﻟﻘﻄﻊ‬ ‫ﻣﻌﺎدﻟﺔ‬ ‫ﺟﺪ‬
‫اﻟﻤﻜﺎﻓﺊ‬ ‫اﻟﻘﻄﻊ‬ ‫ﺑﺆرة‬ ‫ﺑﯿﻦ‬2
24 0y x ‫ودﻟﯿﻠﮫ‬‫ﺎوي‬‫ﺗﺴ‬ ‫ﺎﻗﺺ‬‫اﻟﻨ‬ ‫اﻟﻘﻄﻊ‬ ‫ﻣﻨﻄﻘﺔ‬ ‫ﻣﺴﺎﺣﺔ‬ ‫ﻛﺎﻧﺖ‬ ‫و‬ ،80
‫ﻣﺮﺑﻌﺔ‬ ‫وﺣﺪة‬.
‫س‬12(‫ﺎﻓﺊ‬‫اﻟﻤﻜ‬ ‫ﻊ‬‫اﻟﻘﻄ‬ ‫ﺆرة‬‫ﺑ‬ ‫ھﻲ‬ ‫ﺑﺆرﺗﯿﮫ‬ ‫اﺣﺪى‬ ‫اﻟﺬي‬ ‫اﻟﻨﺎﻗﺺ‬ ‫اﻟﻘﻄﻊ‬ ‫ﻣﻌﺎدﻟﺔ‬ ‫ﺟﺪ‬2
24 0x y ‫ﻊ‬‫ﯾﻘﻄ‬ ‫ﺬي‬‫واﻟ‬
‫ﻃﻮﻟﮭﺎ‬ ‫ﻗﻄﻌﺔ‬ ‫ﻧﻔﺴﮫ‬ ‫اﻟﻤﻜﺎﻓﺊ‬ ‫اﻟﻘﻄﻊ‬ ‫دﻟﯿﻞ‬ ‫ﻣﻦ‬10‫وﺣﺪات‬.
‫س‬13(m , n‫ﻟ‬ ‫ﺑﺆرﺗﺎن‬‫ﻣﺤـﻮره‬ ‫ﻧﺎﻗﺺ‬ ‫ﻘﻄﻊ‬‫اﻷﻛﺒﺮ‬‫اﻟﺼﺎدات‬ ‫ﻣﺤﻮر‬ ‫ﻋﻠـﻰ‬p‫ﻟﯿﻜﻦ‬ ‫و‬ ، ‫ﻧﻘﻄﮫ‬ ‫ﻣﻦ‬p d‫ارﺗﻔﺎع‬ ‫ﯾﻤﺜﻞ‬
‫اﻟﻤﺜﻠﺚ‬p m n‫ﺣﯿﺚ‬p m p n‫ﯾﺴﺎوي‬ ‫اﻟﻤﺜﻠﺚ‬ ‫ھﺬا‬ ‫ﻣﺤﯿﻂ‬ ‫وﻟﯿﻜﻦ‬ ،36‫ﻛﺎن‬ ‫ﻓﺈذا‬ ‫ﻃﻮل‬ ‫وﺣﺪة‬:
3
8
p d m n‫ا‬ ‫ھﺬا‬ ‫ﻣﻌﺎدﻟﺔ‬ ‫ﻓﺠﺪ‬ ،‫ﻟﻘﻄﻊ‬.
‫س‬14(‫اﻟﻤﻜﺎﻓﺊ‬ ‫اﻟﻘﻄﻊ‬ ‫ﯾﻘﻄﻊ‬ ‫واﻟﺬي‬ ‫اﻟﺼﺎدات‬ ‫ﻣﺤﻮر‬ ‫ﻧﻘﻂ‬ ‫ﻣﻦ‬ ‫ﺑﺆرﺗﺎه‬ ‫اﻟﺬي‬ ‫اﻟﻨﺎﻗﺺ‬ ‫اﻟﻘﻄﻊ‬ ‫ﻣﻨﻄﻘﺔ‬ ‫ﻣﺴﺎﺣﺔ‬ ‫ﺟﺪ‬
2
8 0x y ‫ﯾﺴﺎوي‬ ‫اﻟﺼﺎدي‬ ‫أﺣﺪﺛﯿﮭﻤﺎ‬ ‫ﻧﻘﻄﺘﯿﻦ‬ ‫ﻓﻲ‬ ،)2(‫اﻟﻨﺎﻗﺺ‬ ‫اﻟﻘﻄﻊ‬ ‫ﻣﺤﻮري‬ ‫ﻃﻮﻟﻲ‬ ‫ﺑﯿﻦ‬ ‫اﻟﻨﺴﺒﺔ‬ ‫وإن‬
‫ﻛﻨﺴﺒﺔ‬1:2.
‫س‬15(‫ﺟﺪ‬‫اﻟﻨﻘﻄﺘﯿﻦ‬ ‫ﻣﻦ‬ ‫اﻟﻤﺎر‬ ‫اﻟﺼﺎدي‬ ‫اﻟﻨﺎﻗﺺ‬ ‫اﻟﻘﻄﻊ‬ ‫ﻣﻌﺎدﻟﺔ‬ 
3
1, 2 , ( , 2 )
2

‫س‬16:‫اﻟﻨﻘﻄﺘﯿﻦ‬ ‫ﻣﻦ‬ ‫ﯾﻤﺮ‬ ‫اﻟﺬي‬ ‫اﻟﺴﯿﻨﻲ‬ ‫اﻟﻨﺎﻗﺺ‬ ‫اﻟﻘﻄﻊ‬ ‫ﻣﻌﺎدﻟﺔ‬ ‫ﺟﺪ‬ 0, 8‫اﻟﻤﺮﻛﺰي‬ ‫اﺧﺘﻼﻓﮫ‬ ‫واﻟﺬي‬0.6
‫س‬17:‫اﻟﻘ‬ ‫ﺑﺆرة‬ ‫ﻣﻦ‬ ‫ﯾﻤﺮ‬ ‫اﻟﺬي‬ ‫اﻟﻨﺎﻗﺺ‬ ‫اﻟﻘﻄﻊ‬ ‫ﻣﻌﺎدﻟﺔ‬ ‫ﺟﺪ‬‫اﻟﻤﻜﺎﻓﺊ‬ ‫ﻄﻊ‬2
24 0x y ‫ﻣﻨﻄﻘﺘﮫ‬ ‫وﻣﺴﺎﺣﺔ‬2
60unit
‫س‬18:‫ﯾﺴﺎوي‬ ‫ﻣﺤﻮرﯾﮫ‬ ‫ﻃﻮﻟﻲ‬ ‫ﺑﯿﻦ‬ ‫اﻟﻔﺮق‬ ‫واﻟﺬي‬ ‫اﻟﺼﺎدي‬ ‫اﻟﻨﺎﻗﺺ‬ ‫اﻟﻘﻄﻊ‬ ‫ﻣﻌﺎدﻟﺔ‬ ‫ﺟﺪ‬8‫ﻣﻨﻄﻘﺘﮫ‬ ‫وﻣﺴﺎﺣﺔ‬ ‫ﻃﻮل‬ ‫وﺣﺪة‬
‫ﺗﺴﺎوي‬2
60unit.
‫س‬19:‫اﻟﻨﺎﻗﺺ‬ ‫اﻟﻘﻄﻊ‬2 2
8 2x y k ‫ﯾﺴﺎوي‬ ‫ﻣﺤﻮرﯾﮫ‬ ‫ﻃﻮﻟﻲ‬ ‫ﻣﺮﺑﻌﻲ‬ ‫ﻣﺠﻤﻮع‬40‫ﻗﯿﻤﺔ‬ ‫ﺟﺪ‬k.
‫س‬20:‫اﻟﺪاﺋﺮة‬ ‫ﺗﻘﺎﻃﻊ‬ ‫ﻧﻘﻂ‬ ‫ﻣﻦ‬ ‫ﯾﻤﺮ‬ ‫اﻟﺬي‬ ‫اﻟﺼﺎدي‬ ‫اﻟﻨﺎﻗﺺ‬ ‫اﻟﻘﻄﻊ‬ ‫ﻣﻌﺎدﻟﺔ‬ ‫ﺟﺪ‬2 2
100x y ‫اﻟﺼﺎدات‬ ‫ﻣﺤﻮر‬ ‫ﻣﻊ‬
‫اﻟﻤﻜﺎﻓﺊ‬ ‫اﻟﻘﻄﻊ‬ ‫دﻟﯿﻞ‬ ‫ﯾﺼﻨﻌﮫ‬ ‫اﻟﺬي‬ ‫اﻟﻮﺗﺮ‬ ‫ﻃﻮل‬ ‫ﯾﺴﺎوي‬ ‫اﻷﺻﻐﺮ‬ ‫ﻣﺤﻮره‬ ‫وﻃﻮل‬2
24 0y x ‫اﻟﺪ‬ ‫ﻧﻔﺲ‬ ‫ﻣﻊ‬‫اﺋﺮة‬.
‫س‬20:‫وﯾﻤﺮ‬ ‫اﻷﺻﻞ‬ ‫ﻧﻘﻄﺔ‬ ‫رأﺳﮫ‬ ‫اﻟﺬي‬ ‫اﻟﻤﻜﺎﻓﺊ‬ ‫اﻟﻘﻄﻊ‬ ‫ﺑﺆرة‬ ‫ھﻲ‬ ‫ﺑﺆرﺗﯿﮫ‬ ‫إﺣﺪى‬ ‫اﻟﺬي‬ ‫اﻟﻨﺎﻗﺺ‬ ‫اﻟﻘﻄﻊ‬ ‫ﻣﻌﺎدﻟﺔ‬ ‫ﺟﺪ‬
‫ﺑﺎﻟﻨﻘﻄﺘﯿﻦ‬ 2 6 , 1 ‫ﺑﻤﻘﺪار‬ ‫اﻟﺼﻐﯿﺮ‬ ‫ﻣﺤﻮره‬ ‫ﻃﻮل‬ ‫ﻋﻠﻰ‬ ‫ﯾﺰﯾﺪ‬ ‫اﻟﻜﺒﯿﺮ‬ ‫ﻣﺤﻮره‬ ‫وﻃﻮل‬4‫ﻃﻮل‬ ‫وﺣﺪة‬.
KAMIL MOSA ALNASSIRY97
‫س‬21:‫ﻣﻌﺎدﻟﺘﮫ‬ ‫ﺻﺎدي‬ ‫ﻧﺎﻗﺺ‬ ‫ﻗﻄﻊ‬2 2
6h x y k ‫ﺑﺎﻟﺒﻌﺪﯾﻦ‬ ‫اﻟﺮأﺳﯿﻦ‬ ‫ﻋﻦ‬ ‫ﺗﺒﻌﺪ‬ ‫ﺑﺆرﺗﯿﮫ‬ ‫إﺣﺪى‬2,12‫ﺟﺪي‬
‫ﻗﯿﻤﺔ‬h , k
‫س‬22:‫ﻧﻘﻄﺔ‬ ‫ﻣﺮﻛﺰه‬ ‫اﻟﺬي‬ ‫اﻟﻨﺎﻗﺺ‬ ‫اﻟﻘﻄﻊ‬ ‫ﻣﻌﺎدﻟﺔ‬ ‫ﺟﺪ‬‫اﻷﺻﻞ‬‫ﯾﻤﺮ‬ ‫واﻟﺬي‬ ‫اﻻﺣﺪاﺛﯿﯿﻦ‬ ‫ﻣﺤﻮري‬ ‫ﻋﻠﻰ‬ ‫ﻣﻨﻄﺒﻘﯿﻦ‬ ‫وﻣﺤﻮرﯾﮫ‬
‫اﻟﻨﻘﻄﺘﯿﻦ‬ ‫ﻣﻦ‬   4, 2 , 1, 3
‫س‬23:‫وارﺳﻤﮫ‬ ‫اﻟﺘﺎﻟﻲ‬ ‫اﻟﻘﻄﻊ‬ ‫ﻋﻨﺎﺻﺮ‬ ‫ﺣﺪد‬:
   2 2 2 2
1 9 25 18 100 116 0 9 25 9x y x y b x y      
‫ﺍﻟﻨﺎﺻﺮﻱ‬ ‫ﻣﻮﺳﻰ‬ ‫ﻛﺎﻣﻞ‬98
Hyperbola‫ا‬‫ا‬ ‫ا‬
Foci
1 2(   ,0) ( ,0)F c and F c 
2 a
( , )P x y
1 2 2   –      PF PF a     1 2d d 2a
1 2  ,  d d
2 2 2 2
1 2( ) ; ( )d x c y d x c y      
2 2 2 2
( ) ( ) 2x c y x c y a     
2 2 2 2
( ) ( ) 2x c y x c y a      
2 2 2 2
( ) ( ) 2x c y x c y a      
   
2 2
2 2 2 2
( ) ( ) 2x c y x c y a     
2 2 2 2 2 2 2
( ) ( ) 4 ( ) 4x c y x c y a x c y a        
y2
Subtract y 2
and square the binomials
2 2 2 2 2 2
2 2 4 ( ) 4xc c x xc c a x c y a       
2 2 2
4 4 4 ( )xc a a x c y    
4
2 2 2
( )xc a a x c y    
   
222 2 2
  ( )xc a a x c y    
 2 2 2 4 2 2 2 2
2 2x c xca a a x xc c y     
2 2 2 4 2 2 2 2 2 2 2
2 2x c xca a a x xca a c a y     
2 2 4 2 2 2 2 2 2
x c a a x a c a y   
x’s and y’s2 2 2 2 2 2 2 2 4
x c a x a y a c a   
   2 2 2 2 2 2 2 2
x c a a y a c a   
‫ﺍﻟﻨﺎﺻﺮﻱ‬ ‫ﻣﻮﺳﻰ‬ ‫ﻛﺎﻣﻞ‬99
a2
(c2
– a2
)
 
   
 
 
2 2 2 2 2 22 2
2 2 2 2 2 2 2 2 2
x c a a c aa y
a c a a c a a c a
 
 
  
 
2 2
2 2 2
1
x y
a c a
 

b2
= c2
– a2
2 2
2 2
1
x y
a b
 2 2 2
c  a  b 
1foci   ,0c2vertices   ,0a
3asymptotes
b
y x
a
 4directrices
a
x
e
 
xy
2a
2 b
2 c

2 2 2
c b c a ba c        
   
b
y x
a
 x-axis
   
a
y x
b
 y-axis

2
a
c
‫ﺍﻟﻨﺎﺻﺮﻱ‬ ‫ﻣﻮﺳﻰ‬ ‫ﻛﺎﻣﻞ‬100
2
 
a
x
c
 
2
 
a
y
c
 
Length of latus rectum
2
2b
a
 Major Axis Horizontal  Major Axis Vertical
Equation:
2 2
2 2
1
x y
a b
  Equation:
2 2
2 2
1
y x
a b
 
Center: 0,0 Center: 0,0
Vertices: 0,a Vertices: a,0
Foci: 0,c Foci: c,0
y-intercepts: b,0 x-intercepts: 0,b
Asymptotes
b
y x
a
 
Asymptotes
a
y x
b
 
a
x
e
  Directrices
a
y
e
  Directrices
2(h , k )Shifted
  
 Major Axis Horizontal
  
Major Axis Vertical
   
2 2
2 2
1
x h y k
a b
 
 
   
2 2
2 2
1
y k x h
a b
 
 
Center: k,h Center: k,h
Vertices: k,ah  Vertices: ak,h 
Foci: k,ch  Foci: ck,h 
Asymptotes
( )
b
y k x h
a
  
Asymptotes
( )
a
y k x h
b
  
directrices
a
x h
e
  directrices
a
y k
e
 
‫ﺍﻟﻨﺎﺻﺮﻱ‬ ‫ﻣﻮﺳﻰ‬ ‫ﻛﺎﻣﻞ‬101
 conjugate axis2 b
 transverse axis2 a
 
b
a

 
a
b


ca
2 2 2
a b c 
Standard form
2 2 2 2
2 2 2 2
( ) ( ) ( ) ( )
1 1
y k x h x h y k
or
a b a b
   
   
The general form of the equation is
2 2 2
Ax   Cy   Dx Ey F  0     ,       4  > 0B AC     

a
x h
e
  x
a
y k
e
  y
1Q2 2
9 16 144x y 
144
2 2
1
16 9
x y
 
( 0 , 0 )
a2
= 16a = 4 4 , 0
b2
= 9b = 3 0, 3
2 2 2 2
16 9a b c c c          
8 = 2a
10 = 2c
6 = 2b
3
4
y x 
‫ﺍﻟﻨﺎﺻﺮﻱ‬ ‫ﻣﻮﺳﻰ‬ ‫ﻛﺎﻣﻞ‬102
2 2
9 4 72 8 176 0 : 2x y x y Q    
 
2 2 2 2
2 2 2 2
2 2( 1) 36
2 2
9 16 9 1
9 72 4 8 176 9( 8 ) 4( 2 ) 176
( 8 ) 4( 2 1) 176 4 1 9( 4) 4( 1) 36
( 1) ( 4)
4( 1) 9( 4) 36 1
9
6
4
x x y y x x y y
x x y y x y
y x
y x


 
  
         
                
 
     
(4,1)4x 
4
a2
= 93 = a1 2(4,2) , (4, 2) (4,1 3)V V   
b2
= 42 = b(4 2,1)
 
2 2 2 2
1 2
9 4 13
: 4 ,1 13 (4,1 13) , (4,1 13)
a b c c c
the foci F F
     
   
2 6a 
2 4b 
( )
a
y k x h
b
   
3
1 ( 4)
2
y x   
13
1
3
c
e
a
  
Q1 0, 12 0x y 
 0, 11a 
2y x2
a
b

2
a
b 
1
2
b 
2 2
2 2
2 2
4 1 1
y x
y x
a b
    
(4,1 13) 
(4,1 13) 
‫ﺍﻟﻨﺎﺻﺮﻱ‬ ‫ﻣﻮﺳﻰ‬ ‫ﻛﺎﻣﻞ‬103
Q2  10,0
3
4
     10,010c 
x
b
a

3 3
4 4
b
b a
a
  
2 2 2 2 2 225 16 9
8 100
16 16 16
a a a a a b c             
3 3
8
4 4
b b b a           
2 2
1
64 36
x y
 
: 3Q 0 , 10
5
4
c = 10
5
4
e 
c
e
a

5
4
c
a
c = 10
5 10
4 a
a = 8
2 2 2 2
6 64 100b b a b c      
2 2
1
64 36
y x
 
: 4Q 0 , 3 0 , 1
3 ; 1c a 
2 2 2 2
8 1 9b a b c     b =
2 2
1
1 8
y x
 
: 5Q  6 , 0  4 , 0
6 ; 4c a 
2 2 2 2
20 16 36b a b c     b =
2 2
1
16 20
x y
 
Q6y   2 , 2 , 4 , 13
(2 , 2 )
2 2
2 2
1
y x
a b
 2 2
4 4
(1)........ 1
a b
 ( 4) 
 4 , 13
2 2
2 2
1
y x
a b
 2 2
13 16
(2)........ 1
a b
 
2 2
16 16
(1)........ 4
a b

  
2 2
13 16
(2)........ 1
a b
 
2
2
3
3 1a
a


  12 4
3
b 
2 2
3
1
1 4
y x
 
‫ﺍﻟﻨﺎﺻﺮﻱ‬ ‫ﻣﻮﺳﻰ‬ ‫ﻛﺎﻣﻞ‬104
Q7  2 15 , 0 4 , 3
2 15c ;
2 2 22
60 60a a bb    (1)....
2 2
2 2
1
x y
a b
  4 , 3
2 2
2 2
2 2
2 2
16 3
(2)..... 16 3          1
a b
b a a b
a b

    
2 22 2
16 3 ( )60 60( )b bb b 
  2 2 2 4 2 2 2 2 4
45 45 4 180 0 16 180 3 60b b b b b b b b b           =0 -41
2 2 2 2
15 60 45 60a a a b      
2 2
1
15 45
x y
 
Q8x
1
7
2
4 3
2    4 2 3  3  bb  
2 2 2 2 2
2
7 7 12
2 4
a b a b a
e
a a a
  
  
  
122 22
  4  48            16a a  7 a
2 2
1
16 12
x y
 
Q92 2
12m x y n ,
2 2
4 4x y m , n
2 2
4 4x y y
2 2
1
1 4
x y
 
2
4a a = 2   1 20,4 , 0, 4V V 
2
1b b = 1
   
2 2 2 2
1 20, 3 , 0, 3 3 4 1F F c c a b c        
‫ﺍﻟﻨﺎﺻﺮﻱ‬ ‫ﻣﻮﺳﻰ‬ ‫ﻛﺎﻣﻞ‬105
3a 
c = 2
2 2 2 2
3 4b a b c    
b =1
  2 2 2 236
2 2
2 2
2 2
1 1
3 1
12
y x y x
a b
x
m x y n  ‫ﻦ‬ ‫ﻟﻜ‬

     
 
- 36 +12 y = 36 :
m = -36 , n = 36
1
1 4, 0 14, 24
2 0, 43y x
3x   4, 3 , 2,1
27
8P (x , y )1 2 (0,3) , F (0,  3)F 
1 2    10PF PF 
ca
y
1(0,2)V
1(0, 3)F
1(0, 3)F 
2 (0, 2)V 
ac
Exercises 2.3
‫ﺍﻟﻨﺎﺻﺮﻱ‬ ‫ﻣﻮﺳﻰ‬ ‫ﻛﺎﻣﻞ‬106
9
( a )  6 , 02
(b)( - 8 , 0)(8 , 0 )x – 4 y = 0
(c)y-axis3 x + y = 0 , 3x – y = 0
 2 3,12
1024
10 0,  46
112
24 0y x 8
122 2
5 20x y 2
132
20 0y x 14
14210
1512
16
2 2
5 16x y 2
20 0y x 
172  10 5.  4 / 3
18 0,  4 5
192
16 0x y 2 2
25x y 
202 2
0.005  0.01  1x y 
4
212
16 0y x  20 / 3 , 4
222 2
4 4x y 
4
5
‫ﺍﻟﻨﺎﺻﺮﻱ‬ ‫ﻣﻮﺳﻰ‬ ‫ﻛﺎﻣﻞ‬107
236
 1 ,   2 5
242 2
5  9 180x y 2
8 0y x 
25.2 2
    36h x m y 2 2
5  9 180x y 
2
8 0y x h , m
262 2
  4 0h y x h  10
h
27
2
20 0x y 
4 24 ,  50
28y
2
8 0x y 
108
           
       
         
   
1
1 0     a constant                       2        a real number
3   ( ) ( )      a constant      
4   ( ) ( )  
5    Chain Rule                 ( ) '( )
n nd d
c c x n x n
dx dx
d d
cf x c f x c
dx dx
d d d
f x g x f x g x
dx dx dx
d du dy dy
f u f u OR
dx dx dx

 

    
 
 
 
   
 
2 2
1
 
6   Product Rule                 ( ) ' '
' '
7     Quotient Rule              
8               
 
  9     
( )
du dv
d x
n
x d
n n
du
du dx
d du dv
uv v u OR u v uv
dx dx dx
v ud u u v uv
OR
dx
d a a n
dx bx b
v v v
d a a n
dx xx b g

  
  
 
 
   
   

 
 


 
   
   
       
       2
1
( )
( )
( )
                              10     ( )
2  ( )
11    sin cos                              12   cos sin   
13    tan sec                           14    cot csc
n
g x
b g x
d g x
g x
dx g x
d du d du
u u u u
dx dx dx dx
d du d
u u u
dx dx dx




    
   
       
       
       
15    sec sec  tan                     16    csc csc  cot
1
17   ln                              18   log    
ln
1
19   ln                  20       
u u
a
u u
du
u
dx
d du d du
u u u u u u
dx dx dx dx
d du d du
a a a u
dx dx dx u a dx
d du d du
u e e
dx u dx dx dx

   
   
     
   
 
1
ln lnln
log ln 1 = 0 ln = 1
ln
ln   
         19   
       ;     ;    ;    ;   
     = ln x -ln y   ;   ln   = ln              x + ln y  ln x  ;                  
                
= n ln x
 a
n n
x
n
x a x ax
x
d
x n
e
a
x
x y
x
y
x
d
a e e


  
KAMIL ALNASSIRY109
‫اﻟﺘﻔﺎﺿﻞ‬ ‫ﻋﻠﻰ‬ ‫ﺗﻄﺒﯿﻘﺎت‬
Application of the Derivative
‫ﺍﻟﻌﻠﻴﺎ‬ ‫ﺍﻟﺮﺗﺐ‬ ‫ﺫﺍﺕ‬ ‫ﺍﳌﺸﺘﻘﺎﺕ‬Higher-order derivative
‫ﻛﺎﻧﺖ‬ ‫إذا‬( )y f x‫ﻣﺸﺘﻘﺘﮭﺎ‬ ‫ﻓﺎن‬ ‫اﻻﺷﺘﻘﺎق‬ ‫ﺷﺮوط‬ ‫ﻓﯿﮭﺎ‬ ‫ﺗﺘﻮﻓﺮ‬ ‫داﻟﺔ‬‫اﻷوﻟﻰ‬First Derivative‫ھﻲ‬
( )
dy
y f x
dx
  ‫وﺗﻤﺜﻞ‬‫د‬‫ﺟﺪﯾﺪة‬ ‫اﻟﺔ‬
‫اﻟﺠﺪﯾﺪة‬ ‫واﻟﺪاﻟﺔ‬‫إذا‬‫اﻟﺠﺪﯾﺪ‬ ‫اﻟﺪاﻟﺔ‬ ‫ﻣﺸﺘﻘﺔ‬ ‫ﻓﺎن‬ ‫أﯾﻀﺎ‬ ‫اﻻﺷﺘﻘﺎق‬ ‫ﺷﺮوط‬ ‫ﻓﯿﮭﺎ‬ ‫ﺗﻮﻓﺮت‬‫اﻟﺜﺎﻧﯿﺔ‬ ‫اﻟﻤﺸﺘﻘﺔ‬ ‫ﺗﻤﺜﻞ‬ ‫ة‬
Second Derivative‫و‬‫ﻟﮭﺎ‬ ‫ﯾﺮﻣﺰ‬‫ﺑﺎﻟﺮﻣﺰ‬
2
2
( )
d y
y f x
dx
  ‫اﻟﻤﺘﻐﯿﺮ‬ ‫ﻓﻲ‬ ‫ﺟﺪﯾﺪة‬ ‫داﻟﺔ‬ ‫وھﺬه‬x‫وإذا‬
‫اﻟﻤﺸﺘﻘﺔ‬ ‫إﯾﺠﺎد‬ ‫ﻓﺈن‬ ‫اﻻﺷﺘﻘﺎق‬ ‫ﺷﺮوط‬ ‫ﻓﯿﮭﺎ‬ ‫ﺗﻮﻓﺮت‬‫اﻷﺧﯿﺮة‬ ‫ﻟﻠﺪاﻟﺔ‬‫ﺛﺎﻟﺜﺔ‬ ‫ﻣﺸﺘﻘﺔ‬ ‫ﯾﺴﻤﻰ‬Third Derivative
‫ﺑﺎﻟﺼﻮرة‬ ‫ﯾﻜﺘﺐ‬:
3
3
( )
d y
y f x
dx
  
‫ﻣﺘﺘﺎﻟﯿﺔ‬ ‫ﻣﺸﺘﻘﺎت‬ ‫إﯾﺠﺎد‬ ‫ﯾﻤﻜﻦ‬ ‫اﻟﻤﻨﻮال‬ ‫ھﺬا‬ ‫وﻋﻠﻰ‬‫وﺑﺪء‬‫ا‬‫ﺑﺎﺳﻢ‬ ‫اﻟﻤﺸﺘﻘﺎت‬ ‫ھﺬه‬ ‫ﻋﻠﻰ‬ ‫ﯾﻄﻠﻖ‬ ‫اﻟﺜﺎﻧﯿﺔ‬ ‫اﻟﻤﺸﺘﻘﺔ‬ ‫ﻣﻦ‬
‫اﻟﻌﻠﯿﺎ‬ ‫اﻟﻤﺸﺘﻘﺎت‬Higher Derivatives‫اﻟﺮﺗﺒﺔ‬ ‫ﻣﻦ‬ ‫اﻟﻤﺸﺘﻘﺔ‬ ‫وﺗﻜﺘﺐ‬n‫ﯾﻠﻲ‬ ‫ﻛﻤﺎ‬:
( ) ( )
( )
n
n n
n
d y
y f x
dx
 ‫ﺣﯿﺚ‬n‫ﻣﻮﺟﺐ‬ ‫ﺻﺤﯿﺢ‬ ‫ﻋﺪد‬.
‫اﻟﻤﺘﺘﺎﻟﯿﺔ‬ ‫ﻟﻠﻤﺸﺘﻘﺎت‬ ‫ﻣﺨﺘﻠﻔﺔ‬ ‫رﻣﻮز‬ ‫ﻋﻠﻰ‬ ‫وﻟﻨﺘﻌﺮف‬‫ﯾﻠﻲ‬ ‫وﻛﻤﺎ‬:
(4) ( )
( ), ( ), ( ), ( ), , ( )n
f x f x f x f x f x   
2 3 4
, , , , , n
x x x x xD y D y D y D y D y
(4) ( )
, , , , , n
y y y y y   
2 3 4
2 3 4
, , , , ,
n
n
dy d y d y d d y
dx dx dx dx dx

‫ﻟﻨﺎ‬ ‫ﯾﺘﻀﺢ‬ ‫اﻟﻌﻠﯿﺎ‬ ‫اﻟﻤﺸﺘﻘﺎت‬ ‫ﺗﻌﺮﯾﻒ‬ ‫وﻣﻦ‬‫أن‬:
2
2
d y d dy
dx dx dx
 
  
 
‫وأن‬:
3 2
3 2
,
d y d d y
dx dx dx
 
  
 
KAMIL ALNASSIRY110
‫اﻟﻤﺘﺘﺎﻟ‬ ‫ﻟﻠﻤﺸﺘﻘﺎت‬ ‫وﻛﻤﺜﺎل‬‫اﻟﺘﺎﻟﯿﺔ‬ ‫اﻟﺪاﻟﺔ‬ ‫ﻟﻨﺄﺧﺬ‬ ‫ﯿﺔ‬:( )s f t‫ﺣﯿﺚ‬s‫أي‬ ‫ﻋﻨﺪ‬ ‫ﻣﺘﺤﺮك‬ ‫ﺟﺴﻢ‬ ‫إزاﺣﺔ‬ ‫ﺗﻤﺜﻞ‬
‫زﻣﻦ‬،t‫اﻷوﻟﻰ‬ ‫ﻓﺎﻟﻤﺸﺘﻘﺔ‬ ‫ﺛﺎﻧﯿﺔ‬( )
ds
f t
dt
، ‫اﻟﺠﺴﻢ‬ ‫ﻟﺬﻟﻚ‬ ‫اﻟﻠﺤﻈﯿﺔ‬ ‫اﻟﺴﺮﻋﺔ‬ ‫ﺗﻤﺜﻞ‬
‫اﻟﺜﺎﻧﯿﺔ‬ ‫واﻟﻤﺸﺘﻘﺔ‬
2
2
( )
d S
f t
dt

‫اﻟﺘﻌﺠﯿﻞ‬ ‫أي‬ ‫اﻟﺴﺮﻋﺔ‬ ‫ﺗﻐﯿﺮ‬ ‫ﺳﺮﻋﺔ‬ ‫ﺗﻤﺜﻞ‬Acceleration‫اﻟﻤﺘﺤﺮك‬ ‫ﻟﻠﺠﺴﻢ‬.
‫ﻟﻠﺰﻣﻦ‬ ‫ﺑﺎﻟﻨﺴﺒﺔ‬ ‫ﻟﻺزاﺣﺔ‬ ‫اﻟﺜﺎﻟﺜﺔ‬ ‫اﻟﻤﺸﺘﻘﺔ‬ ‫أﻣﺎ‬t‫ﺛﺎﻧﯿﺔ‬
3
3
( )
d s
f t
d t
‫اﻟﺘﻌﺠﯿﻞ‬ ‫ﻟﺘﻐﯿﺮ‬ ‫اﻟﻠﺤﻈﻲ‬ ‫اﻟﻤﻌﺪل‬ ‫ﺗﻤﺜﻞ‬ ‫ﻓﮭﻲ‬
‫اﻟﻔﯿﺰﯾﺎ‬ ‫اﻷﻣﺜﻠﺔ‬ ‫وﻣﻦ‬‫ﺋ‬‫اﻷ‬ ‫ﯿﺔ‬‫ﺧﺮى‬،‫ﺣﺴﺎب‬‫ﻋﻠﻰ‬ ‫ﯾﺘﻮﻗﻒ‬ ‫ﻣﺎ‬ ‫ﺳﯿﺎرة‬ ‫ﻓﺮاﻣﻞ‬ ‫ﻧﻈﺎم‬ ‫ﻓﻲ‬ ‫اﻷﻣﺎن‬ ‫درﺟﺔ‬‫أﻗﺼﻰ‬‫ﺗﺒﺎﻃﺆ‬
Deceleration‫اﻟﻔﺮاﻣﻞ‬ ‫ﺗﺤﺪﺛﮫ‬ ‫أن‬ ‫ﯾﻤﻜﻦ‬)‫ﺳﺎﻟﺐ‬ ‫ﺗﻌﺠﯿﻞ‬ ‫وھﻮ‬(.
‫وﻋﻨﺪ‬‫إﻃﻼق‬‫وھﺬه‬ ‫ﻃﺒﯿﺔ‬ ‫ﻟﺘﺄﺛﯿﺮات‬ ‫ﯾﺘﻌﺮض‬ ‫اﻟﺼﺎروخ‬ ‫داﺧﻞ‬ ‫اﻟﻤﺮﻛﺒﺔ‬ ‫ﻓﻲ‬ ‫اﻟﺬي‬ ‫اﻟﻔﻀﺎء‬ ‫ﻓﺮاﺋﺪ‬ ‫ﻟﻠﻔﻀﺎء‬ ‫ﺻﺎروخ‬
‫اﻟﺘﺄﺛﯿﺮات‬‫ﺗﻌﺘﻤﺪ‬‫ﯾﺘﻌﺮ‬ ‫اﻟﺬي‬ ‫اﻟﺘﻌﺠﯿﻞ‬ ‫ﻋﻠﻰ‬‫اﻟﺮاﺋﺪ‬ ‫ھﺬا‬ ‫ﻟﮫ‬ ‫ض‬.
‫اﻟﺜﺎﻟﺜﺔ‬ ‫اﻟﻤﺸﺘﻘﺔ‬ ‫وﺗﺴﺘﻌﻤﻞ‬‫ﻣﺎ‬ ‫ﻟﺪراﺳﺔ‬‫ﻗﻄﺎرات‬ ‫راﻛﺐ‬ ‫ﻟﮭﺎ‬ ‫ﯾﺘﻌﺮض‬‫اﻷﻧﻔﺎق‬.
‫ﻣﺜﺎل‬1:‫إذا‬‫ﻛﺎﻧﺖ‬2y Cos x‫ﻓﺠﺪ‬
4
4
d y
dx
‫اﻟﺤﻞ‬:2 2Sin x
dy
dx

2
2
4 2
d y
Cos x
dx
 
3
2 2Sin x
3
3
d y
dx

4
2 2Cos x
4
4
d y
dx

‫ﻣﺜﺎل‬2:‫ﻟﺘﻜﻦ‬
1
3
( ) 54f x x‫ﻋﻨﺪ‬ ‫اﻟﺜﺎﻧﯿﺔ‬ ‫اﻟﻤﺸﺘﻘﺔ‬ ‫ﻟﺪاﻟﺔ‬ ‫اﻟﻤﻤﺎس‬ ‫ﻣﻌﺎدﻟﺔ‬ ‫ﺟﺪ‬( x = - 8 )
‫اﻟﺤﻞ‬:
2
3
( ) 18f x x

 ‫وأن‬:
5
3
( ) 12f x x

  ‫وﻟﺘﻜﻦ‬ ‫اﻟﺪاﻟﺔ‬ ‫وﺗﻤﺜﻞ‬( ) ( )f x g x 
5
3
( ) 12g x x

  
5
3 13
12 3
12( 2 ) 12( 32)
32 8


       ( 8)g 
KAMIL ALNASSIRY111
‫ھﻲ‬ ‫اﻟﺘﻤﺎس‬ ‫ﻧﻘﻄﺔ‬:
3
8 ,
8
 
 
 
‫اﻟﻤﯿﻞ‬ ‫ﻧﺤﺘﺎج‬:‫ﻗﯿﻤﺔ‬ ‫ﺗﻌﻮﯾﺾ‬ ‫ﻣﻦ‬ ‫ﻧﺠﺪه‬x‫ﺑﺎﻟﻤﺸﺘﻘﺔ‬‫اﻷوﻟﻰ‬‫ﻟﻠﺪاﻟﺔ‬g
8
3
20x

( )g x‫ﻻﺣﻆ‬‫أﻧﮭﺎ‬‫اﻟﻤﺸﺘ‬ ‫ﺗﻤﺜﻞ‬‫ﻟﻠﺪاﻟﺔ‬ ‫اﻟﺜﺎﻟﺜﺔ‬ ‫ﻘﺔ‬f
‫اﻟﻤﻤﺎس‬ ‫ﻣﯿﻞ‬TangenttheofSlope
8
3 3
20 5
20( 2 )
256 64
m

     ( 8)g 
1
1
y y
x x


m
3
8
8
y
x



5
645 64 64 0x y  ‫اﻟﻤﻄﻠﻮب‬ ‫اﻟﻤﻤﺎس‬ ‫ﻣﻌﺎدﻟﺔ‬
‫ﻣﺜﺎل‬3:‫ﺑﺄن‬ ‫ﻋﻠﻤﺖ‬ ‫إذا‬2 2
1y x ‫أن‬ ‫ﻋﻠﻰ‬ ‫ﻓﺒﺮھﻦ‬:
2
2
2
( ) 1 0
d y dy
y
dx dx
  
‫اﻟﺤﻞ‬:‫ﺿﻤﻨﯿﺔ‬ ‫ﻋﻼﻗﺔ‬ ‫ھﻲ‬ ‫اﻟﻤﻌﻄﺎة‬ ‫اﻟﻌﻼﻗﺔ‬،‫ﻟﻠﻤﺘﻐﯿﺮ‬ ‫ﺑﺎﻟﻨﺴﺒﺔ‬ ‫اﻟﻄﺮﻓﯿﻦ‬ ‫ﻧﺸﺘﻖ‬x
2 2 0
dy
y x
dx
 ‫ﻋﻠﻰ‬ ‫اﻟﻤﻌﺎدﻟﺔ‬ ‫ﻃﺮﻓﻲ‬ ‫ﻗﺴﻤﺔ‬ ‫وﻣﻦ‬2‫ﻋﻠﻰ‬ ‫ﻧﺤﺼﻞ‬:
0
dy
y x
dx
 ‫ﻟﻠﻤﺘﻐﯿﺮ‬ ‫ﺑﺎﻟﻨﺴﺒﺔ‬ ‫اﻟﻄﺮﻓﯿﻦ‬ ‫ﻧﺸﺘﻖ‬ ‫ﺛﻢ‬x‫أ‬ ‫ﺗﻨﺲ‬ ‫وﻻ‬‫ﻣﺘﻐﯿﺮﯾﻦ‬ ‫ﺿﺮب‬ ‫ﺣﺎﻟﺔ‬ ‫ھﻮ‬ ‫اﻷول‬ ‫اﻟﺤﺪ‬ ‫ن‬:
2
2
1 0
d y dy dy
y
dx dx dx
  
2
2
2
( ) 1 0
d y dy
y
dx dx
  ‫اﻟﻤﻄﻠﻮب‬ ‫ﯾﺘﻢ‬ ‫وﺑﮭﺬا‬
‫ﺗﺪﺭﻳﺐ‬)3 - 1(
‫س‬1:‫ﺟﺪ‬
2
2
d y
dx
‫ﯾﻠﻲ‬ ‫ﻣﻤﺎ‬ ‫ﻟﻜﻞ‬:
a(4 0,, 0, 0xy x y   b(2 ,, 2y x x   
c(
2
,, 2
2
x
y x
x

  

d(2 5
(1 2 )y x e(2 4 5 0,, 0, 2yx y y x    
‫س‬2:‫ﺟﺪ‬(1)f ‫ﻣﻤﺎ‬ ‫ﻟﻜﻞ‬‫ﯾﺄﺗﻲ‬:
1(
3
( )
2
f x
x


2(( ) sinf x x3(( ) 4 6 2f x x 
‫س‬3:‫ﻛﺎﻧﺖ‬ ‫إذا‬tany x،,,x n n  ‫أن‬ ‫ﻓﺒﺮھﻦ‬
2
2
2
2 (1 )
d y
y y
dx
 
‫س‬4:‫ﻛﺎﻧﺖ‬ ‫إذا‬siny x x‫أن‬ ‫ﻓﺒﺮھﻦ‬
2
2
2cos
d y
y x
dx
 
‫س‬5:‫ﻛﺎﻧﺖ‬ ‫إذا‬2
( )g u au bu c  ‫وأن‬(1) 4g   ،(1) 3g  ،(1) 5g ‫اﻟﺜﻮاﺑﺖ‬ ‫ﻗﯿﻤﺔ‬ ‫ﻓﺠﺪ‬, ,a b c
‫ﺍﻟﻨﺎﺻﺮﻱ‬ ‫ﻣﻮﺳﻰ‬ ‫ﻛﺎﻣﻞ‬112
Related Rate‫ط‬‫ر‬‫ا‬ ‫ت‬‫د‬‫ا‬
‫إذا‬‫وﺟﺪ‬‫أﻛﺜﺮ‬‫ﻣﺘﻐﯿﺮ‬ ‫ﻋﻠﻰ‬ ‫اﻟﻤﺘﻐﯿﺮات‬ ‫ھﺬه‬ ‫ﻣﻦ‬ ‫ﻛﻞ‬ ‫ﻗﯿﻤﺔ‬ ‫ﺗﺘﻮﻗﻒ‬ ‫ﺑﺤﯿﺚ‬ ‫ﻣﺘﻐﯿﺮ‬ ‫ﻣﻦ‬‫ﯾﺴﻤﻰ‬ ‫واﺣﺪ‬)‫ﺑﺎراﻣﺘﺮ‬(‫ﻣﺜﻞ‬
‫ﻣﺜﻼ‬ ‫ﻣﺮﺗﺒﻄﺔ‬ ‫ﻟﻠﻤﺘﻐﯿﺮات‬ ‫ﻓﯿﻘﺎل‬ ‫ﻟﺘﻐﯿﺮه‬ ‫ﺗﺒﻌﺎ‬ ‫اﻟﻤﺘﻐﯿﺮات‬ ‫ﻛﻞ‬ ‫ﻓﺘﺘﻐﯿﺮ‬ ‫اﻟﺰﻣﻦ‬:
( )x f t،( )y g t
‫ﻓﺎﻟﻤﺘﻐﯿﺮﯾﻦ‬x , y‫ﺗﺎﺑﻌﯿﻦ‬ ‫ﻣﺘﻐﯿﺮﯾﻦ‬‫ﻣﺮﺗﺒﻂ‬ ‫ﻣﻨﮭﻤﺎ‬ ‫ﻛﻞ‬‫اﻟﻤﺴﺘﻘﻞ‬ ‫ﺑﺎﻟﻤﺘﻐﯿﺮ‬t‫اﻟﻤﺘﻐﯿﺮﯾﻦ‬ ‫رﺑﻂ‬ ‫اﻟﻤﻤﻜﻦ‬ ‫ﻓﻤﻦ‬ ،
‫ﺑﺒ‬‫ﻌﻀﮭﻤﺎ‬‫وﯾﻤﻜﻦ‬ ،‫ﻛﻞ‬ ‫ﺗﻐﯿﺮ‬ ‫ﻣﻌﺪل‬ ‫ﻧﺠﺪ‬ ‫أن‬‫ﯾﻠﻲ‬ ‫وﻛﻤﺎ‬ ‫ﻣﻨﮭﻤﺎ‬:( )
dy
g t
dt
،( )
dx
f t
dt
‫ﯾﻤ‬ ‫واﻟﻨﺎﺗﺠﯿﻦ‬‫ﺜﻼن‬
‫ﻣﻦ‬ ‫ﻛﻞ‬ ‫ﻟﺘﻐﯿﺮ‬ ‫اﻟﺰﻣﻨﯿﯿﻦ‬ ‫اﻟﻤﻌﺪﻟﯿﻦ‬x،y
‫ﺑﻤﻌﺎدﻟﺔ‬ ‫ﻣﺎ‬ ‫ﻣﺴﺄﻟﺔ‬ ‫ﻓﻲ‬ ‫اﻟﻤﺘﻐﯿﺮﯾﻦ‬ ‫ﺑﯿﻦ‬ ‫اﻟﺮﺑﻂ‬ ‫ﯾﺘﻮﻓﺮ‬ ‫وﻗﺪ‬‫ﻟﻠﺰﻣﻦ‬ ‫ﺑﺎﻟﻨﺴﺒﺔ‬ ‫اﻟﻄﺮﻓﯿﻦ‬ ‫ﻧﺸﺘﻖ‬ ‫اﻟﺤﺎﻟﺔ‬ ‫ھﺬه‬ ‫ﻓﻲ‬t
‫اﻟﻤﻌﺎدﻟﺔ‬ ‫ﻣﺜﻼ‬2 2
4 6 0x y x x   ‫ﻣﻦ‬ ‫ﻛﻞ‬ ‫ﻟﺘﻐﯿﺮ‬ ‫اﻟﺰﻣﻨﻲ‬ ‫اﻟﻤﻌﺪل‬ ‫إﯾﺠﺎد‬ ‫ﻣﻨﮭﺎ‬ ‫ﯾﻤﻜﻦ‬y،x‫ﯾﻠﻲ‬ ‫وﻛﻤﺎ‬:
2 2
( 4 6 ) (0)t TD x y x x D    
2 2 4 6 0
dx dy dy dx
x y
dt dt dt dt
   
‫ﻓﯿﻜﻮن‬:‫ﻟﺘﻐﯿﺮ‬ ‫اﻟﺰﻣﻨﻲ‬ ‫اﻟﻤﻌﺪل‬y‫ﯾﺴﺎوي‬
dy
dt
‫ﻟﺘﻐﯿﺮ‬ ‫اﻟﺰﻣﻨﻲ‬ ‫واﻟﻤﻌﺪل‬x‫ﯾﺴﺎوي‬
dx
dt
‫ﻣﻼﺣﻈﺔ‬:‫ﺳﺆال‬ ‫أي‬ ‫ﻟﺤﻞ‬‫اﻟﻤﻮﺿﻮع‬ ‫ھﺬا‬ ‫ﻓﻲ‬‫أﻣﻜﻦ‬ ‫إن‬ ‫ﯾﻠﻲ‬ ‫ﻣﺎ‬ ‫إﺗﺒﺎع‬ ‫ﺣﺎول‬:
1(‫اﻟﺴﺆال‬ ‫ﺣﻞ‬ ‫ﻓﻲ‬ ‫اﻟﻤﺴﺘﻌﻤﻞ‬ ‫واﻟﻘﺎﻧﻮن‬ ‫اﻟﺜﻮاﺑﺖ‬ ‫ورﻣﻮز‬ ‫اﻟﻤﺘﻐﯿﺮات‬ ‫رﻣﻮز‬ ‫وﺣﺪد‬ ‫ارﺳﻢ‬.
2(‫ﺑﯿﻦ‬ ‫ﻋﻼﻗﺔ‬ ‫إﯾﺠﺎد‬ ‫ﺣﺎول‬‫اﻟﻤﺘﻐﯿﺮات‬‫ﻟﻜﻲ‬‫اﻟﻤﺘﻐﯿﺮات‬ ‫ﻋﺪد‬ ‫ﻣﻦ‬ ‫ﺗﻘﻠﻞ‬.
3(‫اﻟـ‬ ‫ﻋﺪد‬ ‫اﺟﻌﻞ‬)‫اﻟﻤﺘﻐﯿﺮات‬ ‫ﻋﺪد‬ ‫ﯾﺴﺎوي‬ ‫ﻋﻨﺪﻣﺎ‬(
4(‫اﻻﺷﺘﻘﺎق‬ ‫ﻗﺒﻞ‬ ‫ﺑﻌﻮض‬ ‫اﻟﺜﺎﺑﺖ‬.
5(‫ﻟﻠﻤﺘﻐﯿﺮ‬ ‫ﺑﺎﻟﻨﺴﺒﺔ‬ ‫اﻟﻄﺮﻓﯿﻦ‬ ‫ﻧﺸﺘﻖ‬)‫اﻟﺰﻣﻦ‬(t‫ﻟﻠﺰﻣﻦ‬ ‫دوال‬ ‫ھﻲ‬ ‫اﻟﻤﺘﻐﯿﺮات‬ ‫ﻷن‬t،‫ﻻ‬ ‫اﻟﻤﺘﻐﯿﺮ‬ ‫أن‬ ‫ﺗﻨﺲ‬ ‫وﻻ‬
‫اﻻﺷﺘﻘﺎق‬ ‫ﺑﻌﺪ‬ ‫إﻻ‬ ‫ﯾﻌﻮض‬.
6(‫ﻣﻦ‬ ‫اﻟﺴﺆال‬ ‫ﻣﻌﻄﯿﺎت‬ ‫ﻋﻮض‬‫اﻟﻤﺘﻐﯿﺮا‬‫ت‬‫اﻻﺷﺘﻘﺎق‬ ‫ﺑﻌﺪ‬.
‫ﻣﻼﺣﻈﺔ‬:
‫إذا‬‫اﻟﺰﻣﻨﻲ‬ ‫اﻟﻤﻌﺪل‬ ‫ﻗﯿﻞ‬‫ﻟﺰﯾﺎدة‬‫اﻟ‬‫ﺤ‬‫ﺠﻢ‬=3
4 mincm4
dv
dt
 ‫أن‬ ‫ﺣﯿﺚ‬v‫ﻟﺤﻈﺔ‬ ‫أﯾﺔ‬ ‫ﻋﻨﺪ‬ ‫اﻟﺤﺠﻢ‬ ‫ﯾﻤﺜﻞ‬
‫ﻟﻨﻘﺼﺎن‬ ‫اﻟﺰﻣﻨﻲ‬ ‫اﻟﻤﻌﺪل‬ ‫ﻗﯿﻞ‬ ‫إذا‬ ‫و‬‫اﻟﺤﺠﻢ‬=3
4 mincm4
dv
dt
 
‫ﺍﻟﻨﺎﺻﺮﻱ‬ ‫ﻣﻮﺳﻰ‬ ‫ﻛﺎﻣﻞ‬113
‫أﻣﺜﻠﺔ‬
‫ﻣﺜﺎﻝ‬1:‫ﺧﺰﺍﻥ‬‫ﺑﺎﳌ‬ ‫ﳑﻠﻮء‬‫ﺣﺮﻓﻪ‬ ‫ﻃﻮﻝ‬ ‫ﻣﻜﻌﺐ‬ ‫ﺷﻜﻞ‬ ‫ﻋﻠﻰ‬ ‫ﺎء‬2m‫ﺍﳌﺎء‬ ‫ﺑﺪء‬‫ﲟﺪﻝ‬ ‫ﻣﻨﻪ‬ ‫ﻳﺘﺴﺮﺏ‬3
0 4m h r‫ﺟﺪ‬:
‫ﻣﻌ‬‫ﺪ‬‫ﺗﻐﲑ‬ ‫ﻝ‬‫ﺍﺭﺗﻔﺎﻉ‬‫ﺍﻟﺴﺎﺋﻞ‬‫ﺍﳋﺰﺍﻥ‬ ‫ﰲ‬‫ﺯﻣﻦ‬ ‫ﺃﻱ‬ ‫ﻋﻨﺪ‬t.
‫اﻟﺤﻞ‬:(a‫اﻟﺨﺰان‬ ‫ﻓﻲ‬ ‫اﻟﺴﺎﺋﻞ‬ ‫ﺣﺠﻢ‬ ‫ﻟﯿﻜﻦ‬=V0 4
dV
dt
  
‫اﻟﺨﺰان‬ ‫ﻓﻲ‬ ‫اﻟﻤﺎء‬ ‫ارﺗﻔﺎع‬ ‫وﻟﯿﻜﻦ‬=h‫واﻟﻤﻄﻠﻮب‬
dh
dt
‫ﻣﺴﺘﻄﯿﻠﺔ‬ ‫ﺳﻄﻮح‬ ‫ﻣﺘﻮازي‬ ‫ﺷﻜﻞ‬ ‫ﯾﺄﺧﺬ‬ ‫اﻟﺴﺎﺋﻞ‬‫اﻟﺒﻌﺪﯾﻦ‬ ‫ﺛﺎﺑﺘﺔ‬ ‫و‬ ‫ﻣﺮﺑﻌﺔ‬ ‫ﻗﺎﻋﺪﺗﮫ‬
2 2 4V h V h    
4
dV dh
dt dt

0 4 4
dh
dt
  ‫اﻻرﺗﻔﺎع‬ ‫ﺗﻐﯿﺮ‬ ‫ﻣﻌﺪل‬0 1
dh
m h r
dt
  
(b‫اﻟﺰﻣﻦ‬t
| |
V
dv
dt
t
8
0 4
20t hr 
‫ﻣﺜﺎﻝ‬2:‫ﻣﻌﺪﻥ‬ ‫ﻗﻄﻌﺔ‬‫ﻣﺴﺘﻄﻴﻠ‬‫ﺔ‬‫ﺫ‬‫ﺍﺕ‬‫ﺗﺴﺎﻭﻱ‬ ‫ﺛﺎﺑﺘﺔ‬ ‫ﻣﺴﺎﺣﺔ‬2
96 cm‫ﻃﻮﳍ‬ ‫ﺑﺪﺃ‬‫ﺎ‬‫ﺑﺎﻟﻨﻘﺼﺎﻥ‬‫ﲟﻌﺪﻝ‬2  seccm،‫ﻣﻌﺪﻝ‬ ‫ﺟﺪ‬
‫ﻋﺮﺿﻬ‬ ‫ﰲ‬ ‫ﺍﻟﺰﻳﺎﺩﺓ‬‫ﺎ‬‫ﻋﺮﺿﻬ‬ ‫ﻳﻜﻮﻥ‬ ‫ﻋﻨﺪﻣﺎ‬ ‫ﻭﺫﻟﻚ‬‫ﺎ‬8 cm.
‫اﻟﺤﻞ‬:‫اﻟﻤﺴﺘﻄﯿﻞ‬ ‫ﻃﻮل‬ ‫ﻧﻔﺮض‬ ‫ﻣﺎ‬ ‫ﻟﺤﻈﺔ‬ ‫ﻓﻲ‬=x cm
‫اﻟﻤﺴﺘﻄﯿ‬ ‫وﻋﺮض‬‫ﻞ‬=y cm‫اﻟﻤﺴﺘﻄﯿﻞ‬ ‫ﻗﻄﺮ‬ ‫وأن‬=r cm
dx
dt
‫اﻟﻄﻮل‬ ‫ﺗﻐﯿﺮ‬ ‫ﻣﻌﺪل‬2 
dy
dt
=‫اﻟﻌﺮض‬ ‫ﺗﻐﯿﺮ‬ ‫ﻣﻌﺪل‬? 
dr
dt
=‫اﻟﻘﻄﺮ‬ ‫ﺗﻐﯿﺮ‬ ‫ﻣﻌﺪل‬? 
A xy 96 xy‫وﻋﻨﺪﻣﺎ‬8 y12 x
96 ( )t tD D xy0
dy dx
x y
dt dt
 0 12 8 ( 2)
dy
dt
   
⇐
4
sec
3
dy
cm
dt
=‫اﻟﻌﺮض‬ ‫ﻓﻲ‬ ‫اﻟﺰﯾﺎدة‬ ‫ﻣﻌﺪل‬
x
y
2
h
2
‫ﺍﻟﻨﺎﺻﺮﻱ‬ ‫ﻣﻮﺳﻰ‬ ‫ﻛﺎﻣﻞ‬114
‫ﻣﺜﺎل‬3:‫ﺣﺮﻓﮫ‬ ‫ﻃﻮل‬ ‫ﺻﻠﺪ‬ ‫ﻣﻜﻌﺐ‬8 cm‫ﺑﻤﻌﺪل‬ ‫ﺑﺎﻻﻧﺼﮭﺎر‬ ‫اﻟﺠﻠﯿﺪ‬ ‫ﺑﺪأ‬ ‫ﻓﺈذا‬ ، ‫اﻟﺠﻠﯿﺪ‬ ‫ﻣﻦ‬ ‫ﺑﻄﺒﻘﺔ‬ ‫ﻣﻐﻄﻰ‬3
6 scm
‫اﻟﺴﻤﻚ‬ ‫ھﺬا‬ ‫ﻓﯿﮭﺎ‬ ‫ﯾﻜﻮن‬ ‫اﻟﺘﻲ‬ ‫اﻟﻠﺤﻈﺔ‬ ‫ﻓﻲ‬ ‫اﻟﺠﻠﯿﺪ‬ ‫ﺳﻤﻚ‬ ‫ﻧﻘﺼﺎن‬ ‫ﺗﻐﯿﺮ‬ ‫ﻣﻌﺪل‬ ‫ﻓﺠﺪ‬1 cm.
‫اﻟﺤﻞ‬:‫ﻟﺤﻈﺔ‬ ‫أﯾﺔ‬ ‫ﻓﻲ‬ ‫اﻟﺠﻠﯿﺪ‬ ‫ﺳﻤﻚ‬ ‫ﻧﻔﺮض‬=x cm‫واﻟﻤﻄﻠﻮب‬
dx
dt
‫ﻋﻨﺪﻣﺎ‬1x 
‫اﻟﺠﻠﯿﺪ‬ ‫ﺣﺠﻢ‬ ‫وﻧﻔﺮض‬=3
v cm=‫ﺑﺎﻟﺠﻠﯿﺪ‬ ‫اﻟﻤﻐﻄﻰ‬ ‫اﻟﻤﻜﻌﺐ‬ ‫ﺣﺠﻢ‬–‫اﻷﺻﻠﻲ‬ ‫اﻟﻤﻜﻌﺐ‬ ‫ﺣﺠﻢ‬
3 3
(8 2 ) 8snowv x  
3(8 2 )(2)
dv dx
x
dt dt
 
‫ﻋﻠﻰ‬ ‫ﻧﺤﺼﻞ‬ ‫اﻟﻤﻌﻄﺎة‬ ‫اﻟﻘﯿﻢ‬ ‫ﻋﻦ‬ ‫وﺑﺎﻟﺘﻌﻮﯾﺾ‬:
2
6 3(8 2 1) 2
dx
dt
     
0 01 s
dx
cm
dt
 
‫اﻟﺠﻠﯿﺪ‬ ‫ﺳﻤﻚ‬ ‫ﻧﻘﺼﺎن‬ ‫ﻣﻌﺪل‬=0 01 scm
‫ﻣﺜﺎل‬4:‫ﻃﻮﻟﮫ‬ ‫ﺳﻠﻢ‬10m‫ﺑﻄﺮﻓﮫ‬ ‫ﯾﺘﻜﺊ‬‫اﻷﺳﻔﻞ‬‫أرض‬ ‫ﻋﻠﻰ‬‫أﻓﻘﯿﺔ‬‫ﻓﺈذا‬ ، ‫رأﺳﻲ‬ ‫ﺣﺎﺋﻂ‬ ‫ﻋﻠﻰ‬ ‫اﻟﻌﻠﻮي‬ ‫وﺑﻄﺮﻓﮫ‬
‫اﻟﻄ‬ ‫اﻧﺰﻟﻖ‬‫ﺮ‬‫ف‬‫اﻷﺳﻔﻞ‬‫ﺑﻤﻌﺪل‬ ‫اﻟﺤﺎﺋﻂ‬ ‫ﻋﻦ‬ ‫ﻣﺒﺘﻌﺪا‬2 sm‫ﺑﻌﺪ‬ ‫ﻋﻠﻰ‬ ‫اﻷﺳﻔﻞ‬ ‫اﻟﻄﺮف‬ ‫ﯾﻜﻮن‬ ‫وﻋﻨﺪﻣﺎ‬8m‫ﻋﻦ‬
‫ﺟﺪ‬ ‫اﻟﺤﺎﺋﻂ‬:
1(‫اﻟﻌﻠﻮي‬ ‫اﻟﻄﺮف‬ ‫اﻧﺰﻻق‬ ‫ﻣﻌﺪل‬.
2(‫ﻟﻸرض‬ ‫اﻟﻌﻠﻮي‬ ‫اﻟﻄﺮف‬ ‫ﯾﺼﻞ‬ ‫ﻟﻜﻲ‬ ‫اﻟﻼزم‬ ‫اﻟﺰﻣﻦ‬.
3(‫واﻷرض‬ ‫اﻟﺴﻠﻢ‬ ‫ﺑﯿﻦ‬ ‫اﻟﺰاوﯾﺔ‬ ‫ﺗﻐﯿﺮ‬ ‫ﺳﺮﻋﺔ‬.
‫اﻟﺤﻞ‬:‫اﻟﻠﺤﻈﺔ‬ ‫ﻧﻔﺲ‬ ‫ﻓﻲ‬ ‫ﻧﻔﺮض‬:
‫اﻟﺤﺎﺋﻂ‬ ‫ﻋﻦ‬ ‫اﻷﺳﻔﻞ‬ ‫اﻟﻄﺮف‬ ‫ﺑﻌﺪ‬=x2
dx
dt

‫اﻷرض‬ ‫ﻋﻦ‬ ‫اﻷﻋﻠﻰ‬ ‫اﻟﻄﺮف‬ ‫ﺑﻌﺪ‬=y
‫واﻷرض‬ ‫اﻟﺴﻠﻢ‬ ‫ﺑﯿﻦ‬ ‫اﻟﺰاوﯾﺔ‬ ‫ﻗﯿﺎس‬=redian
1(‫ﻣﻦ‬‫ﻋﻠﻰ‬ ‫ﻧﺤﺼﻞ‬ ‫ﻓﯿﺜﺎﻏﻮرس‬ ‫ﻣﺒﺮھﻨﺔ‬ ‫ﺗﻄﺒﯿﻖ‬:
2 2
100x y ‫وﻋﻨﺪﻣﺎ‬8x 6y 
‫ﻧﺠﺪ‬:
2 2
( ) (100)t tD x y D 2 2 0
dx dy
x y
dt dt
 
x x
8
8 2x


x
y

10
‫ﺍﻟﻨﺎﺻﺮﻱ‬ ‫ﻣﻮﺳﻰ‬ ‫ﻛﺎﻣﻞ‬115
‫ﻋﻠﻰ‬ ‫ﻧﺤﺼﻞ‬ ‫اﻟﻤﻌﻠﻮﻣﺔ‬ ‫اﻟﻘﯿﻢ‬ ‫ﻋﻦ‬ ‫وﺑﺎﻟﺘﻌﻮﯾﺾ‬:
( 2) (8)(2) ( 2) (6) 0
dy
dt
 
8
/
3
dy
m s
dt

 =‫اﻟﻌﻠﻮي‬ ‫اﻟﻄﺮف‬ ‫اﻧﺰﻻق‬ ‫ﻣﻌﺪل‬
2(‫اﻟﺰﻣﻦ‬=‫اﻹزاﺣﺔ‬‫اﻟﺴﺮﻋﺔ‬=
6
2 25
8
3
y
s
dy
dt

 


3(sin
10
y
 ‫ﻧﺠﺪ‬sin
10
t t
y
D D 
1
cos
10
d dy
dt dt

 
‫ﻋﻦ‬ ‫وﺑﺎﻟﺘﻌﻮﯾﺾ‬cos
10
x
 
‫ﻋﻠﻰ‬ ‫ﻧﺤﺼﻞ‬:
1
10 10
x d dy
dt dt

‫ﺑﻘﯿﻤﺔ‬ ‫اﻟﺘﻌﻮﯾﺾ‬ ‫وﻣﻦ‬x‫ﻗﯿﻤﺔ‬ ‫وﻋﻦ‬
dy
dt
‫ﻋﻠﻰ‬ ‫ﻧﺤﺼﻞ‬:
8 1 8 1
/
10 10 3 3
d d
rad s
dt dt
     
     
   
 
‫ﻣﺜﺎل‬5:‫إﻧﺎء‬‫ﻗﺎﻋﺪﺗﮫ‬ ‫ﻣﺨﺮوﻃﻲ‬‫أﻓﻘﯿﺔ‬‫ﯾﺴﺎوي‬ ‫ارﺗﻔﺎﻋﮫ‬ ‫ﻟﻸﺳﻔﻞ‬ ‫ورأﺳﮫ‬24cm‫ﻗﺎﻋﺪﺗﮫ‬ ‫ﻗﻄﺮ‬ ‫وﻃﻮل‬16cm
‫ﺑﻤﻌﺪل‬ ‫ﺳﺎﺋﻞ‬ ‫ﻓﯿﮫ‬ ‫ﯾﺼﺐ‬ 
3
5 /cm s‫ﺑﻤﻌﺪل‬ ‫اﻟﺴﺎﺋﻞ‬ ‫ﻣﻨﮫ‬ ‫ﯾﺘﺴﺮب‬ ‫ﺑﯿﻨﻤﺎ‬3
1 /cm s‫ﻣﻌﺪل‬ ‫ﺟﺪ‬ ،‫ﺗﻐﯿﺮ‬‫ﻋﻤﻖ‬
‫اﻟﺴﺎﺋﻞ‬ ‫ﻋﻤﻖ‬ ‫ﻓﯿﮭﺎ‬ ‫ﯾﻜﻮن‬ ‫اﻟﺘﻲ‬ ‫اﻟﻠﺤﻈﺔ‬ ‫ﻓﻲ‬ ‫اﻟﺴﺎﺋﻞ‬12 cm.
‫اﻟﺤﻞ‬:‫اﻟﺴﺎﺋﻞ‬ ‫ﺑﻌﺪي‬ ‫ﻧﻔﺮض‬)‫اﻟﻘﻄﺮ‬ ‫ﻧﺼﻒ‬=r‫واﻻرﺗﻔﺎع‬=h(
‫اﻟﺴﺎﺋﻞ‬ ‫ﺣﺠﻢ‬ ‫ﻧﻔﺮض‬)‫اﻟﻤﺨﺮو‬ ‫ﺣﺠﻢ‬ ‫وﻟﯿﺲ‬‫ط‬= (V
‫اﻟﻤﺠﺎور‬ ‫اﻟﺸﻜﻞ‬ ‫ﻓﻲ‬‫اﺳﺘﻌﻤﺎل‬ ‫ﻣﻦ‬tan ‫ﻋﻠﻰ‬ ‫ﻧﺤﺼﻞ‬ ‫ﻣﺜﻠﺜﯿﻦ‬ ‫ﺗﺸﺎﺑﮫ‬ ‫أو‬
8
tan
24
r
h
  
1
3
r h
1 2
3
V r h 
1 1 12 3( )
3 3 27
V h h h  
r
h

8
24
‫ﺍﻟﻨﺎﺻﺮﻱ‬ ‫ﻣﻮﺳﻰ‬ ‫ﻛﺎﻣﻞ‬116
‫ﻟﻠﺰﻣﻦ‬ ‫ﺑﺎﻟﻨﺴﺒﺔ‬ ‫اﻟﻄﺮﻓﯿﻦ‬ ‫ﻧﺸﺘﻖ‬t
......(1
1 2 .
9
)
dV dh
h
dt dt

‫اﻟﻤﺨﺮوط‬ ‫ﻓﻲ‬ ‫اﻟﻤﺨﺮوط‬ ‫ﻓﻲ‬ ‫اﻟﺴﺎﺋﻞ‬ ‫ﺣﺠﻢ‬ ‫ﺗﻐﯿﺮ‬ ‫ﻣﻌﺪل‬=‫اﻟﺼﺐ‬ ‫ﻣﻌﺪل‬–‫اﻟﺘﺴﺮب‬ ‫ﻣﻌﺪل‬
5 1 4
dV
dt
  
‫ﻓﻲ‬ ‫وﺑﺎﻟﺘﻌﻮﯾﺾ‬)1(‫ﯾﻨﺘﺞ‬:

1
/
4
dh
cm s
dt 

21
4 (12)
9
dh
dt
 
‫ﻣﺜﺎل‬6:‫ﺑﺴﺮﻋﺔ‬ ‫ﻟﻸﻋﻠﻰ‬ ‫ﯾﺮﺗﻔﻊ‬ ‫ﻣﻨﻄﺎد‬15 / minm‫اﻷرض‬ ‫ﻋﻠﻰ‬ ‫اﻟﻤﻮﻗﻊ‬ ‫ﻧﻔﺲ‬ ‫وﻣﻦ‬ ‫اﻟﻠﺤﻈﺔ‬ ‫ﻧﻔﺲ‬ ‫وﻓﻲ‬
‫ﺑﺴﺮﻋﺔ‬ ‫ﺳﯿﺎرة‬ ‫ﺗﻨﻄﻠﻖ‬20 / minm،‫ﻓ‬‫ﻣﺮور‬ ‫ﺑﻌﺪ‬ ‫اﻟﻤﻨﻄﺎد‬ ‫ﻋﻦ‬ ‫اﻟﺴﯿﺎرة‬ ‫اﺑﺘﻌﺎد‬ ‫ﻣﻌﺪل‬ ‫ﺠﺪ‬5min
‫اﻟﺤﻞ‬:
‫اﻟﺒﺪء‬ ‫ﻧﻘﻄﺔ‬ ‫ﻋﻦ‬ ‫اﻟﺴﯿﺎرة‬ ‫ﺑﻌﺪ‬ ‫ﻧﻔﺮض‬‫ﻣﺮور‬ ‫ﺑﻌﺪ‬t‫ﺛﺎﻧﯿﺔ‬=x20
dx
dt

‫ﻧﻔﺮض‬‫ﺑﻌﺪ‬‫اﻟﻤﻨﻄﺎ‬‫اﻟﻠﺤﻈﺔ‬ ‫ﻧﻔﺲ‬ ‫ﻓﻲ‬ ‫اﻷرض‬ ‫ﻋﻦ‬ ‫د‬t=y15
dy
dt

‫واﻟﻤﻨﻄﺎد‬ ‫اﻟﺴﯿﺎرة‬ ‫ﺑﯿﻦ‬ ‫اﻟﺒﻌﺪ‬ ‫ﻧﻔﺮض‬‫اﻟﻠﺤﻈﺔ‬ ‫ﻧﻔﺲ‬ ‫ﻓﻲ‬t=z?
dz
dt

‫اﻹزاﺣ‬‫ﺔ‬=‫اﻟﺴﺮﻋﺔ‬×‫وﻋﻨﺪﻣﺎ‬ ، ‫اﻟﺰﻣﻦ‬5t 20 (20) (5) 100x t m  
15 (15) (5) 75y t m  
‫ﻋﻠﻰ‬ ‫ﻧﺤﺼﻞ‬ ‫ﻓﯿﺜﺎﻏﻮرس‬ ‫ﻣﺒﺮھﻨﺔ‬ ‫ﺗﻄﺒﯿﻖ‬ ‫وﻣﻦ‬:2 2 2x y z 
‫ﺍﻟﻨﺎﺻﺮﻱ‬ ‫ﻣﻮﺳﻰ‬ ‫ﻛﺎﻣﻞ‬117
‫وﻋﻨﺪﻣﺎ‬100 , 75x y ‫ﻋﻠﻰ‬ ‫ﻧﺤﺼﻞ‬125z 
‫ﻃﺮﯾﻘﺘﯿﻦ‬ ‫ﻟﻠﺘﻜﻤﻠﺔ‬:
‫اﻟﻄﺮﯾﻘﺔ‬1:2 2 2
dx dy dz
x y z
dt dt dt
 2 2 2( ) ( )
d d
x y z
dt dt
  
‫ﻋﻠﻰ‬ ‫ﻧﺤﺼﻞ‬ ‫اﻟﻤﻌﻠﻮﻣﺔ‬ ‫اﻟﻘﯿﻢ‬ ‫ﻋﻦ‬ ‫وﺑﺎﻟﺘﻌﻮﯾﺾ‬:
25 / min
dz
m
dt
(2)(100)(20) (2)(75)(15) (2)(125)
dz
dt
  
‫ﻣﺜﺎل‬7:‫ﻟﺘﻜﻦ‬a‫اﻟﻤﻜﺎﻓﺊ‬ ‫اﻟﻘﻄﻊ‬ ‫ﻣﻨﺤﻨﻲ‬ ‫ﻋﻠﻰ‬ ‫ﻣﺘﺤﺮﻛﺔ‬ ‫ﻧﻘﻄﺔ‬y 2
= 4 x‫ﻋﻦ‬ ‫اﺑﺘﻌﺎدھﺎ‬ ‫ﻣﻌﺪل‬ ‫ﯾﻜﻮن‬ ‫ﺑﺤﯿﺚ‬
‫اﻟﻨﻘﻄﺔ‬(7 , 0 )‫ﯾﺴﺎوي‬0.2 unit/sec‫ﻟﻠﻨﻘﻄﺔ‬ ‫اﻟﺴﯿﻨﻲ‬ ‫أﻹﺣﺪاﺛﻲ‬ ‫ﻟﺘﻐﯿﺮ‬ ‫اﻟﺰﻣﻦ‬ ‫اﻟﻤﻌﺪل‬ ‫ﺟﺪ‬ ،a
‫ﯾﻜﻮن‬ ‫ﻋﻨﺪﻣﺎ‬x = 4.
‫اﻟﺤﻞ‬:‫ﻟﺘﻜﻦ‬a ( x , y )‫وﻟﺘﻜﻦ‬b ( 7,0 )‫اﻟﻤ‬ ‫وﻟﺘﻜﻦ‬‫ﺑﯿﻦ‬ ‫ﺴﺎﻓﺔ‬a , b‫ﺗﺴﺎوي‬D
2
2 2 2 2
4
2
2
4, 0.2
2
( 7) ( 0) 14 49
14 49 4
10 49
2 10 8 10
0.2
102 10 49
1 / sec
y x
dD
x
dt
D x y D x x y
D x x x
D x x
dD x dx dx
dt dt dtx x
dx
unit
dt

 
        
    
   
 
   
 
  

‫ﻣﺜﺎل‬8:‫ﻃﻮﻟﮭﺎ‬ ‫ﺳﻠﻚ‬ ‫ﻗﻄﻌﺔ‬12cm‫ﻗﻄﻌﺖ‬‫إﻟﻰ‬‫ﻣﺘﺴﺎوي‬ ‫ﻣﺜﻠﺜﺎ‬ ‫ﻣﻨﮭﺎ‬ ‫ﻓﺘﻜﻮن‬ ‫اﻷوﻟﻰ‬ ‫اﻟﻘﻄﻌﺔ‬ ‫ﻃﻮﯾﺖ‬ ، ‫ﻗﻄﻌﺘﯿﻦ‬
‫ﻣﺮﺑﻌﺎ‬ ‫ﻛﻮﻧﺎ‬ ‫اﻟﺜﺎﻧﯿﺔ‬ ‫اﻟﻘﻄﻌﺔ‬ ‫وﻣﻦ‬ ‫اﻷﺿﻼع‬‫ﺑﻤﻌﺪل‬ ‫اﻟﻤﺮﺑﻊ‬ ‫ﺿﻠﻊ‬ ‫ﻃﻮل‬ ‫ازداد‬ ‫ﻓﺈذا‬0.3 cm/min‫ﻣﻘﺪار‬ ‫ﻓﺠﺪ‬
‫اﻟﻤﺜﻠ‬ ‫ﺿﻠﻊ‬ ‫ﻃﻮل‬ ‫ﻧﻘﺼﺎن‬‫اﻟﻠﺤﻈﺔ‬ ‫ﻧﻔﺲ‬ ‫ﻓﻲ‬ ‫ﺚ‬.
‫اﻟﺤﻞ‬:‫ﻧﻔﺮض‬‫اﻟﻤﺜﻠﺚ‬ ‫ﺿﻠﻊ‬ ‫ﻃﻮل‬=x3s x ‫اﻟﻤﺜﻠﺚ‬ ‫ﻣﺤﯿﻂ‬
‫ﻧﻔﺮض‬‫اﻟﻤﺮﺑﻊ‬ ‫ﺿﻠﻊ‬ ‫ﻃﻮل‬=y4s y ‫اﻟﻤﺮﺑﻊ‬ ‫ﻣﺤﯿﻂ‬
= ? , 0.3
dydx
dt dt

3 4 12x y 3 4 0
dydx
dt dt
   3 4 0.3 0
dx
dt
  
0.4 / min
dx
cm
dt
  ‫ﻃﻮ‬ ‫ﺗﻐﯿﺮ‬ ‫ﻣﻌﺪل‬ ‫ﯾﻤﺜﻞ‬‫ل‬‫اﻟﻀﻠﻊ‬ ‫ﻃﻮل‬ ‫ﻧﻘﺼﺎن‬ ‫ﻣﻌﺪل‬ ‫ﯾﻜﻮن‬ ‫ﻟﺬا‬ ‫اﻟﻤﺜﻠﺚ‬ ‫ﺿﻠﻊ‬
=0.4 / mincm
4y
xy
12 = 4y + 3 x
3x
‫ﺍﻟﻨﺎﺻﺮﻱ‬ ‫ﻣﻮﺳﻰ‬ ‫ﻛﺎﻣﻞ‬118
‫اﻷﺳﺌﻠﺔ‬)3-3(
‫س‬1:‫اﻟﻄﺮف‬ ‫اﻧﺰﻟﻖ‬ ‫ﻓﺈذا‬ ‫رأﺳﻲ‬ ‫ﺣﺎﺋﻂ‬ ‫ﻋﻠﻰ‬ ‫اﻷﻋﻠﻰ‬ ‫وﺑﻄﺮﻓﮫ‬ ‫أﻓﻘﯿﺔ‬ ‫ارض‬ ‫ﻋﻠﻰ‬ ‫اﻷﺳﻔﻞ‬ ‫ﺑﻄﺮﻓﮫ‬ ‫ﯾﺘﻜﺊ‬ ‫ﺳﻠﻢ‬‫اﻷﺳﻔﻞ‬
‫ﻋﻦ‬ ً‫ا‬‫ﻣﺒﺘﻌﺪ‬‫ﺑﻤﻌﺪل‬ ‫اﻟﺤﺎﺋﻂ‬2 /m s‫ﻋﻨﺪﻣﺎ‬ ‫اﻟﻌﻠﻮي‬ ‫اﻟﻄﺮف‬ ‫اﻧﺰﻻق‬ ‫ﻣﻌﺪل‬ ‫ﻓﺠﺪ‬ ،‫ﻗﯿﺎس‬ ‫ﯾﻜﻮن‬‫اﻟﺴﻠﻢ‬ ‫ﺑﯿﻦ‬ ‫اﻟﺰاوﯾﺔ‬
‫واﻷرض‬‫ﺗﺴﺎوي‬
4

.‫ج‬):2 /m s(
‫س‬2::‫ﯾﺴﺎوي‬ ‫ﺛﺎﺑﺖ‬ ‫ﺣﺠﻢ‬ ‫ذات‬ ‫ﻗﺎﺋﻤﺔ‬ ‫داﺋﺮﯾﺔ‬ ‫اﺳﻄﻮاﻧﺔ‬3
320 cm‫ﺑﻤﻌﺪل‬ ‫ارﺗﻔﺎﻋﮭﺎ‬ ‫ﯾﺰداد‬0.5 cm/sec‫ﺟﺪ‬
‫اﻟﻘﻄﺮ‬ ‫ﻧﺼﻒ‬ ‫ﻓﯿﮭﺎ‬ ‫ﯾﻜﻮن‬ ‫اﻟﺘﻲ‬ ‫اﻟﻠﺤﻈﺔ‬ ‫ﻓﻲ‬ ‫ﻗﺎﻋﺪﺗﮭﺎ‬ ‫ﻗﻄﺮ‬ ‫ﻧﺼﻒ‬ ‫ﺑﻄﻮل‬ ‫اﻟﻨﻘﺼﺎن‬ ‫ﻣﻌﺪل‬8cm.
‫ج‬)0.4 / seccm(
‫س‬3:‫ﻃﻮﻟﮫ‬ ‫ﻋﻤﻮد‬7.2 m‫ﻃﻮﻟﮫ‬ ‫رﺟﻞ‬ ‫،ﯾﺘﺤﺮك‬ ‫ﻣﺼﺒﺎح‬ ‫ﻧﮭﺎﯾﺘﮫ‬ ‫ﻓﻲ‬1.8m‫وﺑﺴﺮﻋﺔ‬ ‫اﻟﻌﻤﻮد‬ ‫ﻋﻦ‬ ‫ﻣﺒﺘﻌﺪا‬
30 / minm‫اﻟﺮﺟﻞ‬ ‫ﻇﻞ‬ ‫ﻃﻮل‬ ‫ﺗﻐﯿﺮ‬ ‫ﻣﻌﺪل‬ ‫ﺟﺪ‬ ،.‫ج‬)10 / minm(
‫س‬4:‫ﻟﺘﻜﻦ‬a‫اﻟﻤﻜﺎﻓﺊ‬ ‫اﻟﻘﻄﻊ‬ ‫ﻋﻠﻰ‬ ‫ﺗﺘﺤﺮك‬ ‫ﻧﻘﻄﺔ‬2
y x‫اﻟﻨﻘﻄﺔ‬ ‫أﺣﺪاﺛﯿﻲ‬ ‫ﺟﺪ‬ ،a‫اﻟﺰﻣﻨﻲ‬ ‫اﻟﻤﻌﺪل‬ ‫ﯾﻜﻮن‬ ‫ﻋﻨﺪﻣﺎ‬
‫اﻟﻨﻘﻄﺔ‬ ‫ﻋﻦ‬ ‫ﻻﺑﺘﻌﺎدھﺎ‬
3
(0, )
2
‫ﻟﻠﻨﻘﻄﺔ‬ ‫اﻟﺼﺎدي‬ ‫اﻻﺣﺪاﺛﻲ‬ ‫ﻟﺘﻐﯿﺮ‬ ‫اﻟﺰﻣﻨﻲ‬ ‫اﻟﻤﻌﺪل‬ ‫ﺛﻠﺜﻲ‬ ‫ﯾﺴﺎوي‬a.
‫ج‬:( 2,2)
‫س‬5:‫ﻧﺎﻗﺺ‬ ‫ﻗﻄﻊ‬ ‫ﺷﻜﻞ‬ ‫ﻋﻠﻰ‬ ‫ﻣﻌﺪﻧﯿﺔ‬ ‫ﻗﻄﻌﺔ‬‫ﺑ‬‫ﻤﺴﺎﺣﮫ‬‫ﺗﺴﺎوي‬ ‫ﺛﺎﺑﺘﺔ‬60‫ﻣﺤﻮره‬ ‫ﻃﻮل‬ ‫أزداد‬ ‫ﻓﺈذا‬ ، ‫ﻣﺮﺑﻌﺔ‬ ‫وﺣﺪة‬
‫ﺑﻨﺴﺒﺔ‬ ‫اﻷﺻﻐﺮ‬0. 2‫ﻃﻮل‬ ‫وﺣﺪة‬‫ﻃﻮل‬ ‫ﯾﻜﻮن‬ ‫ﻋﻨﺪﻣﺎ‬ ‫اﻷﻛﺒﺮ‬ ‫ﻣﺤﻮره‬ ‫ﻃﻮل‬ ‫ﻓﻲ‬ ‫اﻟﻨﻘﺼﺎن‬ ‫ﻣﻌﺪل‬ ‫ﻓﺠﺪ‬ ، ‫دﻗﯿﻘﺔ‬
‫اﻷﺻﻐﺮ‬ ‫ﻣﺤﻮره‬12‫ﻃﻮل‬ ‫وﺣﺪة‬.‫ج‬:
1
3
‫س‬6:‫ﻟﻠﺪاﺋﺮة‬ ‫ﺗﻨﺘﻤﻲ‬ ‫اﻟﺘﻲ‬ ‫اﻟﻨﻘﻂ‬ ‫ﺟﺪ‬2 2
4 8 108x y x y   ‫اﻟﻤ‬ ‫ﯾﻜﻮن‬ ‫ﻋﻨﺪھﺎ‬ ‫واﻟﺘﻲ‬‫ﻟﺘﻐﯿﺮ‬ ‫اﻟﺰﻣﻨﻲ‬ ‫ﻌﺪل‬x
‫ﻟﺘﻐﯿﺮ‬ ‫اﻟﺰﻣﻨﻲ‬ ‫اﻟﻤﻌﺪل‬ ‫ﯾﺴﺎوي‬y‫ﻟﻠﺰﻣﻦ‬ ‫ﺑﺎﻟﻨﺴﺒﺔ‬t.‫ج‬:(6, 4) , ( 10,12) 
‫س‬7:‫وﯾﺴﺎوي‬ ‫ﺛﺎﺑﺖ‬ ‫ﺳﺎﻗﯿﮫ‬ ‫ﻣﻦ‬ ‫ﻛﻞ‬ ‫ﻃﻮل‬ ‫اﻟﺴﺎﻗﯿﻦ‬ ‫ﻣﺘﺴﺎوي‬ ‫ﻣﺜﻠﺚ‬10 cm‫ﺑﻤﻌﺪل‬ ‫ﻗﺎﻋﺪﺗﮫ‬ ‫ﻃﻮل‬ ‫ازداد‬ ‫ﻓﺈذا‬
6 /cm s‫ﯾﺴﺎوي‬ ‫ﻗﺎﻋﺪﺗﮫ‬ ‫ﻃﻮل‬ ‫ﻓﯿﮭﺎ‬ ‫ﯾﻜﻮن‬ ‫اﻟﺘﻲ‬ ‫اﻟﻠﺤﻈﺔ‬ ‫ﻓﻲ‬ ‫ارﺗﻔﺎﻋﮫ‬ ‫ﺗﻐﯿﺮ‬ ‫ﻣﻌﺪل‬ ‫ﻓﺠﺪ‬16 cm
‫ج‬:4 /cm s
‫س‬8:‫ﻣﺴﺘﻄﯿﻠﺔ‬ ‫ﺳﻄﻮح‬ ‫ﻣﺘﻮازي‬‫أﺑﻌﺎده‬‫ﻗﺎﻋﺪ‬ ‫ﺗﺒﻘﻰ‬ ‫ﺑﺤﯿﺚ‬ ‫ﺗﺘﻐﯿﺮ‬‫اﻟﻘﺎﻋﺪة‬ ‫ﺿﻠﻊ‬ ‫ﻃﻮل‬ ‫،ﯾﺰداد‬ ‫اﻟﺸﻜﻞ‬ ‫ﻣﺮﺑﻌﺔ‬ ‫ﺗﮫ‬
‫ﺑﻤﻌﺪل‬3 /cm s‫ﺑﻤﻌﺪل‬ ‫ﯾﺘﻨﺎﻗﺺ‬ ‫وارﺗﻔﺎﻋﮫ‬ ،5 /cm s‫ﺿﻠﻊ‬ ‫ﻃﻮل‬ ‫ﯾﻜﻮن‬ ‫ﻋﻨﺪﻣﺎ‬ ‫اﻟﺤﺠﻢ‬ ‫ﺗﻐﯿﺮ‬ ‫ﻣﻌﺪل‬ ‫ﺟﺪ‬ ،
‫اﻟﻘﺎﻋﺪة‬4 cm‫واﻻرﺗﻔﺎع‬3 cm‫ج‬:8 /cu cm s
‫س‬9:‫ﺑﻤﻌﺪل‬ ‫ﻣﺴﺎﺣﺘﮭﺎ‬ ‫ﺗﺰداد‬ ‫اﻷﺿﻼع‬ ‫ﻣﺘﺴﺎوي‬ ‫ﻣﺜﻠﺚ‬ ‫ﺷﻜﻞ‬ ‫ﻋﻠﻰ‬ ‫ﻣﻌﺪﻧﯿﺔ‬ ‫ﻗﻄﻌﺔ‬23

8
cm s‫ﻋﻠﻰ‬ ‫ﺗﺤﺎﻓﻆ‬ ‫ﺑﺤﯿﺚ‬
‫ﺿﻠﻌﮭﺎ‬ ‫ﻃﻮل‬ ‫ﯾﻜﻮن‬ ‫اﻟﺘﻲ‬ ‫اﻟﻠﺤﻈﺔ‬ ‫ﻓﻲ‬ ‫ﺑﺎرﺗﻔﺎﻋﮭﺎ‬ ‫اﻟﺘﻐﯿﺮ‬ ‫ﻣﻌﺪل‬ ‫ﺟﺪ‬ ، ‫ﺷﻜﻠﮭﺎ‬25 cm.
‫ج‬)0.005 3 /cm s(
KAMIL ALNASSIRY 119
‫ﺗﻌﺮﯾﻒ‬
‫ﻟﺘﻜﻦ‬f‫اﻟﻤﻐﻠﻘﺔ‬ ‫اﻟﻔﺘﺮة‬ ‫ﻋﻠﻰ‬ ‫ﻣﺴﺘﻤﺮة‬ ‫داﻟﺔ‬ ,a b‫وﻟﺘﻜﻦ‬ ,c a b‫أن‬ ‫ﯾﻘﺎل‬ ،:
1(( )f c‫ﻣﻄﻠﻘﺔ‬ ‫ﻋﻈﻤﻰ‬ ‫ﻗﯿﻤﺔ‬ ‫ﺗﻜﻮن‬)Absolute Maximum Valueِِِِِِِِ(‫ﻟـ‬f‫ﻓﻲ‬ ,a b‫ﻛﺎن‬ ‫إذا‬:
 ,x a b ( ) ( )f c f x
2(( )f c‫ﻣﻄﻠﻘﺔ‬ ‫ﺻﻐﺮى‬ ‫ﻗﯿﻤﺔ‬ ‫ﺗﻜﻮن‬)Minimum ValueAbsolute(‫ﻟـ‬f‫ﻓﻲ‬ ,a b‫ﻛﺎن‬ ‫إذا‬:
 ,x a b ( ) ( )f c f x
‫ﺍﻟﻘﻴﻤ‬‫ﺔ‬‫ﺍﳌﻄﻠﻘﺔ‬ ‫ﺍﻟﻘﺼﻮﻯ‬‫ﻟﺪﺍﻟﺔ‬)(Absolute extrema of the function
‫ﺗﻌﺮﯾﻒ‬:‫ﺍﳊﺮﺟﺔ‬ ‫ﺍﻟﻨﻘﺎﻁ‬(Critical Points )
‫ﻟﺘﻜﻦ‬f‫اﻟﻨﻘﻄﺔ‬ ‫وﻟﺘﻜﻦ‬ ، ‫داﻟﺔ‬P(c , f (c) )‫اﻟﺪاﻟﺔ‬ ‫ﻧﻘﻂ‬ ‫ﻣﻦ‬‫إذا‬‫اﻟﺸﺮﻃﯿﻦ‬ ‫اﺣﺪ‬ ‫ﺣﻘﻘﺖ‬:
1(( ) 0f c ،2(( )f c‫ﻣﻮﺟﻮدة‬ ‫ﻏﯿﺮ‬
‫اﻷول‬ ‫اﻟﻨﻮع‬ ‫ﻋﻠﻰ‬ ‫دراﺳﺘﻨﺎ‬ ‫ﻓﻲ‬ ‫وﺳﻨﻘﺘﺼﺮ‬.
‫ﻣﺜﺎل‬:‫ﻟﻠﺪاﻟﺔ‬ ‫اﻟﺤﺮﺟﺔ‬ ‫اﻟﻨﻘﻂ‬ ‫ﺟﺪ‬f ( x ) = x3
-3x2
-9x
‫اﻟﺤﻞ‬:  2
       3 6 9    f x x x   
2 2
0   3 6 9   3 (  x -2 x - 3) = 0x x    
‫ﺣﺮﺟﺘﺎن‬ ‫ﻧﻘﻄﺘﺎن‬3 (  x -3 ) ( x +1) = 0 x = 3 or x = -1
‫ﻧﻘﻄﺔ‬‫ﺣﺮﺟﺔ‬    3     27 27 27 27 (3, 27)     f       
‫ﺣﺮﺟﺔ‬ ‫ﻧﻘﻄﺔ‬     1      1 3 9 5 ( 1, 5)     f        
‫ﻣﻼﺣﻈﺔ‬:‫اﻟﺘﻌﺮﯾﻒ‬ ‫ﻣﻦ‬‫ﻣﻐﻠﻘﺔ‬ ‫ﻓﺘﺮة‬ ‫ﻋﻠﻰ‬ ‫ﻣﺴﺘﻤﺮة‬ ‫ﻟﺪاﻟﺔ‬ ‫اﻟﻤﻄﻠﻘﺔ‬ ‫اﻟﻘﯿﻢ‬ ‫ﻹﯾﺠﺎد‬ ‫اﻟﺴﺎﺑﻖ‬ ,a b‫ﯾﻠﻲ‬ ‫ﻛﻤﺎ‬ ‫اﻟﺤﻞ‬ ‫ﺗﺮﺗﯿﺐ‬ ‫ﯾﻤﻜﻦ‬:
1(‫ﻋﻨﺪ‬ ‫وﻟﺘﻜﻦ‬ ‫اﻟﻤﻌﻄﺎة‬ ‫ﻟﻠﻔﺘﺮة‬ ‫ﯾﻨﺘﻤﻲ‬ ‫ﻣﻦ‬ ‫ﻣﻨﮭﺎ‬ ‫وﻧﺨﺘﺎر‬ ، ‫اﻟﺤﺮﺟﺔ‬ ‫اﻟﻨﻘﻂ‬ ‫ﻧﺠﺪ‬x = c‫ﻧﻘﻄﺔ‬ ‫ﺗﻮﺟﺪ‬.
2(‫ﻧﺠﺪ‬:( ) , ( ) , ( )f a f b f c
3(‫اﻟﺴﺎﺑﻘﺔ‬ ‫اﻷﻋﺪاد‬ ‫أﻛﺒﺮ‬=‫ﻗﯿﻤﺔ‬ ‫أﻋﻈﻢ‬)‫ﻣﻄﻠﻘﺔ‬ ‫ﻋﻈﻤﻰ‬ ‫ﻗﯿﻤﺔ‬(
4(‫اﻟﺴﺎﺑﻘﺔ‬ ‫اﻷﻋﺪاد‬ ‫أﺻﻐﺮ‬=‫ﻗﯿﻤﺔ‬ ‫أﺻﻐﺮ‬)‫ﻣﻄﻠﻘﺔ‬ ‫ﺻﻐﺮى‬ ‫ﻗﯿﻤﺔ‬. (
KAMIL ALNASSIRY 120
y
x
)( 1, 3
)( 2, 6
)( 8, 10
)( 6, -2
 
 
‫اﻟﻤﺨﻄ‬ ‫ﻓﻲ‬‫ﻂ‬‫أن‬ ‫ﻻﺣﻆ‬ ‫اﻟﻤﺠﺎور‬:
10=‫ﻟﻠﺪاﻟﺔ‬ ‫ﻗﯿﻤﺔ‬ ‫أﻋﻈﻢ‬
-2=‫ﻟﻠﺪاﻟﺔ‬ ‫ﻗﯿﻤﺔ‬ ‫أﺻﻐﺮ‬
‫ﻣﺜﺎل‬:‫اﻟﺘﺎﻟﯿﺔ‬ ‫ﻟﻠﺪوال‬ ‫اﻟﻤﻄﻠﻘﺔ‬ ‫اﻟﻘﺼﻮى‬ ‫اﻟﻘﯿﻢ‬ ‫ﺟﺪ‬: 3 2
( ) 3 9 2 , 4f x x x x on   
‫اﻟﺤﻞ‬:
2
( ) 3 6 9f x x x   
2
( ) 0 0 3( 2 3) 0 3( 3)( 1)when f x x x x x         
‫ﺣﺮﺟﺔ‬ ‫ﻧﻘﻂ‬3 1x x    
‫ﻧﺠﺪ‬:( 1) 1 3 9 5f      
(3) 27 27 27 27f     
(4) 64 48 36 20f     
( 2) 8 12 18 2f      
‫ﻋﺪد‬ ‫أﻛﺒﺮ‬=5=‫ﻟﻠﺪاﻟﺔ‬ ‫ﻗﯿﻤﺔ‬ ‫أﻋﻈﻢ‬
‫ﻋﺪد‬ ‫أﺻﻐﺮ‬=27=‫ﻟﻠﺪاﻟﺔ‬ ‫ﻗﯿﻤﺔ‬ ‫أﺻﻐﺮ‬
‫اﻟﻨﺎﺻﺮي‬ ‫ﻣﻮﺳﻰ‬ ‫ﻛﺎﻣﻞ‬121
( 0 , 1 )
( -2 , 3 )
( 1 , 2 )
‫ظ‬‫ﺻﻐﺮ‬ ‫ﻗﯿﻤﺔ‬ ‫أو‬ ‫ﻋﻈﻤﻰ‬ ‫ﻗﯿﻤﺔ‬ ‫ﻟﻠﺪاﻟﺔ‬ ‫ﻛﺎن‬ ‫اذا‬‫ى‬‫ﻋﻨﺪ‬c‫ﺣﯿﺚ‬ ,c a b‫ﺗﻜﻮن‬ ‫أن‬ ‫ﯾﺸﺘﺮط‬ ‫ﻓﻼ‬( ) 0f c 
‫ل‬‫ﻟﺘﻜﻦ‬ : 2,1 , ( ) 1f f x x       
3x = -2
‫ھﻲ‬ ‫ﻗﯿﻤﺔ‬ ‫أﺻﻐﺮ‬ ‫وﺗﻤﺘﻠﻚ‬1‫وﻣﻮﺟﻮد‬‫ﻋﻨﺪ‬ ‫ة‬x = 0‫وﻟﻜﻦ‬
(0)f ‫ﻏﯿ‬‫ﺮ‬‫ﻋﻨﺪھﺎ‬ ‫ﻟﻼﺷﺘﻘﺎق‬ ‫ﻗﺎﺑﻠﺔ‬ ‫ﻏﯿﺮ‬ ‫اﻟﺪاﻟﺔ‬ ‫ﻷن‬ ‫ﻣﻮﺟﻮدة‬
‫ر‬‫رول‬Rolle`s Theorem
Michel Rolle
x
1f ,a b
2 ,a b
3( ) ( )f a f b
Rolle`s Theorem
f ,a b( , )a b
( ) ( )f a f bc( , )a b( ) 0f c 
 , ( )b f b
a b1c
2c
 , ( )a f a
‫ﻋﻨﺪ‬ ‫اﻟﻤﻤﺎس‬1c‫اﻟﺴﯿﻨﺎت‬ ‫ﻣﺤﻮر‬ ‫ﯾﻮازي‬
‫ﻋﻨﺪ‬ ‫اﻟﻤﻤﺎس‬2c‫اﻟﺴﯿﻨﺎت‬ ‫ﻣﺤﻮر‬ ‫ﯾﻮازي‬
y
‫اﻟﻨﺎﺻﺮي‬ ‫ﻣﻮﺳﻰ‬ ‫ﻛﺎﻣﻞ‬122
1 2,c c
‫ﻣﺜﺎﻝ‬:‫ﻗﻴﻢ‬ ‫ﻭﺟﺪ‬ ‫ﻣﻨﻬﺎ‬ ‫ﻟﻜﻞ‬ ‫ﺗﺘﺤﻘﻖ‬ ‫ﺭﻭﻝ‬ ‫ﻧﻈﺮﻳﺔ‬ ‫ﺃﻥ‬ ‫ﻫﻞ‬ ‫ﺍﻟﺘﺎﻟﻴﺔ‬ ‫ﺍﻟﺪﻭﺍﻝ‬ ‫ﻣﻦ‬ ‫ﻟﻜﻞ‬ ‫ﺑﲔ‬c‫ﺍﳌﻤﻜﻨﺔ‬.
12
( ) (2 )f x x  0,4
 0,4
(0,4)
2
(0) (2 0) 4f   
2
(4) (2 4) 4f   (0) (4)f f 

( ) 2(2 )f x x   
( ) 2(2 )f c c   
0 2(2 )c  2c  
22 3
( ) 9 3f x x x x   1,1
 1,1
( 1,1)
( 1) 9 3 51f      
5(1) 9 3 1f    ( 1) (1)f f  
c
3
2
1 ( 1,2]
1 [ 4, 1]
( ) { x if x
if x
f x   
   

 ( ) 4,2D x  
2
1
1
2
1
lim ( 1) 2
lim ( 1) 11
lim ( ) { x
x
x L
Lx
f x 

  
  

1 2L L
1
lim ( )
x
f x


‫اﻟﻨﺎﺻﺮي‬ ‫ﻣﻮﺳﻰ‬ ‫ﻛﺎﻣﻞ‬123
1x  

A, B
( ) ( )y f b f a
x b a
 

 
y
x
0
A
B
a b
‫اﻟﻮﺗﺮ‬ ‫ﻣﯿﻞ‬=
   f b f a
b a


‫اﻟﻤﻤﺎس‬ ‫ﻣﯿﻞ‬=
 f c
 y f x
‫اﻟﻤﻤﺎس‬‫اﻟﻮﺗﺮ‬ ‫ﯾﻮازي‬
c

(6 3)‫ر‬‫ط‬‫و‬‫ا‬ ‫ا‬(
f ,a b
( , )a bc( , )a b
( ) ( )
( )
f b f a
f c
b a



Or,
]
‫اﻟﻨﺎﺻﺮي‬ ‫ﻣﻮﺳﻰ‬ ‫ﻛﺎﻣﻞ‬124
C( )f c
( ) ( )
( )
f b f a
f c
b a

  

c
12
( ) 6 4f x x x   1,7
( ) 2 6 ( ) 2 6f x x f c c     
( ) ( ) (7) ( 1) 11 1
7
0
1
1 8
f b f a f f
b a
   
  
 
0 2 6 3c c   
22
( ) 25f x x  4,0
1 4,0a  
2
2( ) 5a af  
2
22
2lim ( ) 25 5lim
x a x a
f x x a
 
   
lim ( ) ( )
x a
f x f a

a
a
( )f x 4,0x  
( ) ( )f a f b
( ) 0f c 
‫اﻟﻨﺎﺻﺮي‬ ‫ﻣﻮﺳﻰ‬ ‫ﻛﺎﻣﻞ‬125
2 2
25
( ) ( )
25
x
f x f c
x
c
c

  




‫اﻟﻮﺗﺮ‬ ‫ﻣﯿﻞ‬
1
2
( ) ( ) (0) ( 4) 5 3
0 4 4
f b f a f f
b a
   
  
 
2
1
2 25
c
c



2
25 2c c  
2 2 2
25 4 5 5c c c c      
3   
23
( ) 1 , 1, 3f x x x   
 1, 3a  
   
22
3 3
lim ( ) 1lim 1
x a x a
af x x
 
  
 
23
1( ) af a 
 lim ( )
x a
f x f a

 fx = a
a 1, 3f 1, 3
 1, 3x  
3
2
( )
3 1
f
x
x 

  ; x = 11 1, 3 01x x    1f 
 1, 3
  3 2
: 0, , : ( ) 4f b f x x x  
f
2
3
c b
2 2 2 4 16
( ) 3 8 ( ) 3 8 ( ) 4
3 3 3
f x x x f c c c f           
3 2
2( ) ( ) ( ) (0) 4 0
4
0
f b f a f b f b b
b b
b a b b
   
   
 
2 2 2
4 4 4 4 0 ( 2) 0 2b b b b b b            
‫اﻟﻨﺎﺻﺮي‬ ‫ﻣﻮﺳﻰ‬ ‫ﻛﺎﻣﻞ‬126
( ) ( ) ( )h f a f a h f a   
‫ﺑﺎﺳﺘﺨﺪﺍﻡ‬ ‫ﺍﻟﺘﻘﺮﻳﺐ‬‫ﻣﱪﻫﻨﺔ‬‫ﺍﳌﺘﻮﺳﻄﺔ‬ ‫ﺍﻟﻘﻴﻤﺔ‬
)Approximation Using Mean Value Theorem(
‫ﺑﺎﺳﺘﺨﺪا‬ ‫اﻟﺘﻘﺮﯾﺐ‬ ‫ﻟﻨﺤﺎول‬ ‫واﻵن‬‫م‬‫ﺷﺮﺣﮭﺎ‬ ‫ﺳﺒﻖ‬ ‫واﻟﺘﻲ‬ ‫اﻟﻤﺘﻮﺳﻄﺔ‬ ‫اﻟﻘﯿﻤﺔ‬ ‫ﻧﻈﺮﯾﺔ‬:
‫أي‬ ‫اﻟﻤﯿﻞ‬ ‫ﻧﻔﺲ‬ ‫ﻟﮭﻤﺎ‬ ‫ﯾﻜﻮن‬ ‫ﻟﺬا‬ ‫ﻣﺘﻮازﯾﺎن‬ ‫واﻟﻮﺗﺮ‬ ‫اﻟﻤﻤﺎس‬ ‫اﻟﻤﺴﺘﻘﯿﻢ‬:
( ) ( )
( )
f b f a
f c
b a
 

‫اﻗﺘﺮاب‬ ‫ﯾﻜﻮن‬ ‫وﻋﻨﺪﻣﺎ‬b‫ﻣﻦ‬a‫اﻟﺤﺎﻟﺔ‬ ‫ھﺬه‬ ‫ﻓﻲ‬ ‫ﺗﻜﻮن‬ ‫ﻛﺎﻓﯿﺎ‬ ‫ﻗﺮﺑﺎ‬h‫ﻣﻦ‬ ‫ﻛﺎﻓﯿﺎ‬ ‫ﻗﺮﺑﺎ‬ ‫اﻟﻮﺗﺮ‬ ‫وﯾﻘﺘﺮب‬ ‫ﺻﻐﯿﺮة‬a
‫أن‬ ‫أي‬‫ﻋﻨﺪ‬ ‫اﻟﻤﻤﺎس‬c‫ﻣﻦ‬ ‫ﺟﺪا‬ ‫ﻗﺮﯾﺒﺎ‬ ‫ﺳﯿﻜﻮن‬a‫ﻓﯿﻜﻮن‬:
( ) ( )
( )
f a h f a
f c
h
 
 ( ) ( ) ( )h f c f a h f a    
‫ﯿﻢ‬ ‫ﻗ‬ ‫ﺴﺎب‬ ‫ﻟﺤ‬ :‫ﻗﺪﻣﺔ‬‫ﻣ‬‫ﺔ‬3
8.006‫ھﻲ‬ ‫ھﻨﺎ‬ ‫اﻟﻤﺴﺘﻌﻤﻠﺔ‬ ‫اﻟﺪاﻟﺔ‬:
3
:f x x‫ﻧﺠﺪ‬ ‫ﻣﻨﮭﺎ‬
‫ﻣﻮﺟﻮدة‬ ‫واﻟﺤﺎﺳﺒﺔ‬ ‫اﻹﺟﮭﺎد‬ ‫ھﺬا‬ ‫ﻟﻤﺎذا‬ ‫اﻟﻘﺎرئ‬ ‫ﯾﺘﺴﺎءل‬ ‫ﻟﻜﻦ‬ ،‫اﻟﺴﺎﺑﻖ‬ ‫ﻟﻠﻌﺪد‬ ‫ﺗﻘﺮﯾﺒﺎ‬،‫ﻣﺤﻖ‬ ‫أﻧﺖ‬ ‫ﻧﻌﻢ‬ ‫ﻧﻘﻮل‬
‫ﻓﯿﮭﺎ‬ ‫ﺗﻘﺮب‬ ‫اﻟﺘﻲ‬ ‫اﻟﻄﺮﯾﻘﺔ‬ ‫ﻋﻠﻰ‬ ‫ﻣﺒﺮﻣﺠﺔ‬ ‫آﻟﺔ‬ ‫ﻣﺠﺮد‬ ‫ھﻲ‬ ‫اﻟﺤﺎﺳﺒﺔ‬ ‫أن‬ ‫ﺗﻌﻠﻢ‬ ‫ھﻞ‬ ‫ﻟﻜﻦ‬‫اﻟﻌﺪد‬ ‫ھﺬا‬.‫وﻟﻨ‬‫ﻠ‬‫ﻧﻈﺮة‬ ‫ﻖ‬
‫اﻟﺨﻮارزﻣﻲ‬ ‫ﻣﻮﺳﻰ‬ ‫ﺑﻦ‬ ‫ﻣﺤﻤﺪ‬ ‫ﻓﻤﺜﻼ‬ ، ‫ﻋﻠﻤﺎﺋﻨﺎ‬ ‫ﺑﻌﺾ‬ ‫ﺑﮫ‬ ‫ﻗﺎم‬ ‫ﻣﺎ‬ ‫ﻋﻠﻰ‬)‫اﻷول‬ ‫اﻟﻨﺼﻒ‬ ‫ﻓﻲ‬ ‫ﺑﻐﺪاد‬ ‫ﻓﻲ‬ ‫ﻋﺎش‬
‫اﻟﺘﺎﺳﻊ‬ ‫اﻟﻘﺮن‬ ‫ﻣﻦ‬(‫اﻟﻌﺪد‬ ‫ﻗﺮب‬ ‫ﻓﻠﻘﺪ‬2
a b‫إﻟﻰ‬
2
b
a
a
‫ﯾﺠﺪ‬ ‫أن‬ ‫ﯾﺴﺘﻄﯿﻊ‬ ‫اﻟﻘﺎﻋﺪة‬ ‫ھﺬه‬ ‫ﻃﺮق‬ ‫وﻋﻦ‬
‫و‬ ‫اﻟﺘﺮﺑﯿﻌﯿﺔ‬ ‫اﻟﺠﺬور‬‫ھﺬا‬ ‫ﻋﻤﻢ‬ ‫وﻟﻘﺪ‬ ، ‫اﻟﺘﻔﺎﺿﻞ‬ ‫ﺑﺎﺳﺘﺨﺪام‬ ‫إﻻ‬ ‫إﻟﯿﮫ‬ ‫ﻧﺼﻞ‬ ‫أن‬ ‫ﯾﻤﻜﻦ‬ ‫وﻻ‬ ‫ﺻﺤﯿﺢ‬ ‫ﺗﻘﺮﯾﺐ‬ ‫ھﻮ‬
‫اﻟﻄﻮﺳﻲ‬ ‫اﻟﺪﯾﻦ‬ ‫ﻧﺼﯿﺮ‬ ‫ﻣﺤﻤﺪ‬ ‫اﻻﺳﺘﻨﺘﺎج‬)1201–1274(‫ﯾﻠﻲ‬ ‫ﻛﻤﺎ‬ ‫اﻟﻨﻮﻧﻲ‬ ‫اﻟﺠﺬر‬ ‫ﻗﺮب‬ ‫ﻋﻨﺪﻣﺎ‬:
( 1)
nn
n n
b
a b a
a a
  
 
‫ﺣﯿﺚ‬)
n
a b(
Let b a h b a h    
‫اﻟﻨﺎﺻﺮي‬ ‫ﻣﻮﺳﻰ‬ ‫ﻛﺎﻣﻞ‬127
( ) ( ) ( )f a h f a h f a  
‫اﻟﻘﺎﻧﻮن‬ ‫ﻋﻠﻰ‬ ‫ﺳﻨﻄﻠﻖ‬‫اﻷﺧﯿﺮ‬‫اﺳﻢ‬)‫ﻟﻠﺪاﻟﺔ‬ ‫اﻟﺘﻘﺮﯾﺒﻲ‬ ‫اﻟﺘﻐﯿﺮ‬(‫إذا‬‫ﺗﻐﯿﺮت‬x‫ﻣﻦ‬ ‫س‬a‫إﻟﻰ‬a h
‫ﻧﺤﺼﻞ‬ ‫وﻣﻨﮫ‬:
‫ﻟﻠﺪاﻟﺔ‬ ‫اﻟﺘﻘﺮﯾﺒﯿﺔ‬ ‫اﻟﻘﯿﻤﺔ‬ ‫ﻗﺎﻧﻮن‬ ‫اﻷﺧﯿﺮ‬ ‫وﯾﻤﺜﻞ‬.
‫ﻣﺜﺎﻝ‬:‫ﻟﺘﻜﻦ‬( )f x x‫ﺗﻘﺮﻳﺒﻴﺔ‬ ‫ﻭﺑﺼﻮﺭﺓ‬ ‫ﺟﺪ‬(26)f
‫اﻟﺤﻞ‬:26=25+1‫ﻟﺘﻜﻦ‬25a‫وﻟﺘﻜﻦ‬1h
1(‫اﻟﺪاﻟﺔ‬: : 25,26 , ( )f f x x 
‫أن‬ ‫ﻻﺣﻆ‬:25 , 26a b 
2(‫اﻟﻤﺸﺘﻘﺔ‬:
1
( )
2
f x
x
 
3(‫اﻟﻨﻈﺮﯾﺔ‬ ‫ﺗﻄﺒﯿﻖ‬:(26) (25 1) (25) 1 (25)f f f f    
1
(26) 25 5.1
2 25
f   
‫ﻣﺜﺎﻝ‬23:‫ﺣﺮﻓﻪ‬ ‫ﻃﻮﻝ‬ ‫ﻣﻜﻌﺐ‬9.98 cm‫ﺍﳌﺘﻮﺳﻄﺔ‬ ‫ﺍﻟﻘﻴﻤﺔ‬ ‫ﻧﻈﺮﻳﺔ‬ ‫ﺑﺎﺳﺘﺨﺪﺍﻡ‬ ‫ﺗﻘﺮﻳﺒﻴﺔ‬ ‫ﺑﺼﻮﺭﺓ‬ ‫ﺣﺠﻤﻪ‬ ‫ﺟﺪ‬.
‫اﻟﺤﻞ‬:‫ﺣﺠ‬‫اﻟﻤﻜﻌﺐ‬ ‫ﻢ‬) =‫اﻟﻀﻠﻊ‬ ‫ﻃﻮل‬(
3

3
( )V x g x 
10 , 0.02Let a x h   
‫اﻟﺼﯿﻐﺔ‬ ‫ﻋﻠﻰ‬ ‫ﺗﻜﻮن‬ ‫اﻟﺪاﻟﺔ‬ ‫أن‬ ‫أي‬:  3
: 9.98 ,10 , ( )g g x x 
2 2
( ) 3 (10) 3(10) 300g x x g    
3
(10) 10 1000g  
(9.98) (10 ( 0.02)) (10) ( 0.02) (10)g g g g      
(9.98) 1000 ( 0.02) (300)g   
(9.98) 994g cub cm=‫اﻟﻤﻜﻌﺐ‬ ‫ﺣﺠﻢ‬
‫اﻟﻨﺎﺻﺮي‬ ‫ﻣﻮﺳﻰ‬ ‫ﻛﺎﻣﻞ‬128
.98
1
b
x a

 
.02h b a   
‫ﻣﺜﺎﻝ‬:‫ﻟﺘﻜﻦ‬
3 2
( )f x x‫ﺗﻐﲑﺕ‬ ‫ﻓﺈﺫﺍ‬x‫ﻣﻦ‬8‫ﺇﱃ‬8.06‫ﻟﻠﺪﺍﻟﺔ‬ ‫ﺍﻟﺘﻘﺮﻳﺒﻲ‬ ‫ﺍﻟﺘﻐﲑ‬ ‫ﻣﻘﺪﺍﺭ‬ ‫ﻓﻤﺎ‬.
‫اﻟﺤﻞ‬:1(‫اﻟﺪاﻟﺔ‬:  3 2
: 8,8.06 : ( )f f x x 
2(‫اﻟﻤﺸﺘﻘﺔ‬:3
2
( )
3
f x
x
 
3
2 1
( ) (8) 0.333
33 8
f a f    
‫اﻟﺘﻘﺮﯾﺒﻲ‬ ‫اﻟﺘﻐﯿﺮ‬=( ) (0.06) (0.333) 0.01998h f a  
‫ﻣﺜﺎﻝ‬:‫ﺣﺮﻓﺔ‬ ‫ﻃﻮﻝ‬ ‫ﻣﻜﻌﺐ‬10 cm:‫ﺑﺴﻤﻚ‬ ‫ﺍﳉﻠﻴﺪ‬ ‫ﻣﻦ‬ ‫ﺑﻄﺒﻘﺔ‬ ‫ﻣﻐﻄﻰ‬0.3 cm‫ﺑﺼﻮﺭﺓ‬ ‫ﺍﳉﻠﻴﺪ‬ ‫ﻛﻤﻴﺔ‬ ‫ﺟﺪ‬
‫ﺗﻘﺮﻳﺒﻴﺔ‬.
‫اﻟﺤﻞ‬:‫اﻟﺪاﻟ‬‫ﺔ‬:
3
( )V x f x 
‫اﻟﻤﺸﺘﻘﺔ‬:
2
( ) 3f x x 
2
( ) (10) (3) (10) 300f a f   
‫اﻟﺠﻠﯿﺪ‬ ‫ﻛﻤﯿﺔ‬=‫اﻟﻤﻜﻌﺐ‬ ‫ﺣﺠﻢ‬ ‫ﻓﻲ‬ ‫اﻟﺰﯾﺎدة‬ ‫ﻣﻘﺪار‬=‫اﻟﺤﺠﻢ‬ ‫ﺑﺪاﻟﺔ‬ ‫اﻟﺘﻐﯿﺮ‬ ‫ﻣﻘﺪار‬=
3
( ) (0.6)(300) 180h f a cm  
‫ﻣﺜﺎﻝ‬:‫ﻟﺜﻼ‬ ‫ﻭﻣﻘﺮﺑﺎ‬ ‫ﺗﻘﺮﻳﺒﻴﺔ‬ ‫ﻭﺑﺼﻮﺭﺓ‬ ‫ﺟﺪ‬‫ﻣﻦ‬ ‫ﻛﻼ‬ ‫ﺍﻷﻗﻞ‬ ‫ﻋﻠﻰ‬ ‫ﻋﺸﺮﻳﺔ‬ ‫ﻣﺮﺍﺗﺐ‬ ‫ﺛﺔ‬:
a(3 45
(0.98) (0.98) 3 
‫اﻟﺤﻞ‬:‫اﻟﻤﺠﺎل‬ ‫ﻟﺬﻛﺮ‬ ‫ﺣﺎﺟﺔ‬ ‫ﻻ‬:
1(‫اﻟﺪاﻟﺔ‬:
3
45
( ) 3f x x x  
2(‫اﻟﻤﺸﺘﻘﺔ‬:
2
35
3
( ) 4
5
f x x x

  
3(‫ﺑﺎﻟﺪاﻟﺔ‬ ‫ﺗﻌﻮﯾﺾ‬:
3
45
( ) (1) 1 1 3 5f a f    
3
8.06
8 2
b
x a

  
0.06h b a  
10.6
10
b
x a

 
0.6h b a  
‫اﻟﻨﺎﺻﺮي‬ ‫ﻣﻮﺳﻰ‬ ‫ﻛﺎﻣﻞ‬129
3
7.8
8 2
b
x a

  
.2h b a   
17
16 24
b
x a

  
1h b a  
4(‫ﺑﺎﻟﻤﺸﺘﻘﺔ‬ ‫ﺗﻌﻮﯾﺾ‬:
2
35
3
( ) (1) ( )(1) (4)(1) 4.6
5
f a f

    
5(‫ﺗﻌﻮﯾﺾ‬‫ﺑﺎﻟﻨﻈﺮﯾﺔ‬:( ) ( ) ( )f a h f a h f a  
(0.98) (1) ( 0.02) (1)f f f    
(0.98) 5 ( 0.02) (4.6)f    
(0.98) 5 0.092 4.908f   
3 45
(0.98) (0.98) 3 4.908  
b(3
7.8
‫اﻟﺤﻞ‬:1(‫اﻟﺪاﻟﺔ‬:
3
( )f x x
2(‫اﻟﻤﺸﺘﻘﺔ‬:
3 2
1
( )
3
f x
x
 
3(‫ﺑﺎﻟﺪاﻟﺔ‬ ‫اﻟﺘﻌﻮﯾﺾ‬:
3
( ) (8) 8 2f a f  
4(‫ﺑﺎﻟﻤﺸﺘﻘﺔ‬ ‫اﻟﺘﻌﻮﯾﺾ‬:3 2
1 1
( ) (8) 0.083
123 8
f a f    
5(‫اﻟﻨﻈﺮﯾﺔ‬ ‫اﺳﺘﻌﻤﺎل‬:( ) ( ) ( )f a h f a h f a  
(7.8) (8) ( 0.2) (8) 2 (0.2)(0.083) 2 0.0166 1.9834f f f        
‫أي‬:3
7.8 1.9834
c(4
17 17
‫اﻟﺤﻞ‬:1(‫اﻟﺪاﻟﺔ‬:‫ﻟﺘﻜﻦ‬
1 1
2 4
( )f x x x 
2(‫اﻟﻤﺸﺘﻘﺔ‬:
1 3
2 4
1 1
( )
2 4
f x x x

  
3(‫ﺑﺎﻟﺪاﻟﺔ‬ ‫ﺗﻌﻮﯾﺾ‬:
1 1
4 42 4
(16) (2 ) (2 ) 4 62f     
‫اﻟﻨﺎﺻﺮي‬ ‫ﻣﻮﺳﻰ‬ ‫ﻛﺎﻣﻞ‬130
3
0.120
0.125 (0.5)
b
x a

  
0.005h b a   
4(‫ﺑﺎﻟﻤﺸﺘﻘﺔ‬ ‫ﺗﻌﻮﯾﺾ‬:
1 3
4 4 2 3 2 32 4
1 1 1 1 1 1
(16) (2 ) (2 ) (2 ) (2 ) 0.5( ) 0.75( )
2 4 2 4 2 2
f

 
      
2 3
(0.5) (0.5) (0.25)(0.5) (0.5) (0.25) (0.25)(0.125)
0.125 0.031 0.156
   
  
3(‫اﻟﻨﻈﺮﯾﺔ‬ ‫ﺗﻄﺒﻖ‬:( ) ( ) ( )f a h f a h f a   
(17) (16) 1 (16)f f f   
(17) 6 1 0.156f   
(17) 6 1 0.156f   
(17) 6.156f 
4
17 17 6.156  
d(3
0.12
‫اﻟﺤﻞ‬:1(‫اﻟﺪ‬‫اﻟﺔ‬:
1
3
( )f x x
2(‫اﻟﻤﺸﺘﻘﺔ‬
2
3
1
( )
3
f x x

 
3(‫ﺑﺎﻟﺪاﻟﺔ‬ ‫ﺗﻌﻮﯾﺾ‬:
1
3 3
( ) ((0.5 0.) 5)f x  
4(‫ﺑﺎﻟﻤﺸﺘﻘﺔ‬ ‫ﺗﻌﻮﯾﺾ‬:
2
3 2 23
1 1 1 1 4
( ) [(0.5) ] ( ) (2) 1.
3 3 2 3
333
3
f x


     
5(‫اﻟﻨﻈﺮﯾﺔ‬ ‫ﺗﻄﺒﯿﻖ‬:( ) ( ) ( )f a h f a h f a   
(0.12) (0.125) ( 0.005) (1.333)f f   
(0.12) 0.5 0.0006665
(0.12) 0.493335
f
f
 

3
0.12 0.493335 
ّّّّّ===================================================
‫اﻟﻨﺎﺻﺮي‬ ‫ﻣﻮﺳﻰ‬ ‫ﻛﺎﻣﻞ‬131
‫ﺱ‬1:‫ﻗﻴﻤﺔ‬ ‫ﺟﺪ‬c‫ﺗﻌﻴ‬ ‫ﺍﻟﺘﻲ‬‫ﻨ‬‫ﺭ‬ ‫ﻣﱪﻫﻨﺔ‬ ‫ﻬﺎ‬‫ﻭ‬‫ﻳﻠﻲ‬ ‫ﳑﺎ‬ ‫ﻛﻞ‬ ‫ﰲ‬ ‫ﻭﻝ‬:
 
   
3
4
2 1
) ( ) 3 , 1,2 ) ( ) 2 , ,2
2
) ( ) ( 1) , 1,3 ) ( ) cos2 2cos , 0,2
a f x x x x b f x x x
x
c f x x c x x x 
 
               
      
‫ﺱ‬2(‫ﻳﻠﻲ‬ ‫ﳑﺎ‬ ‫ﻟﻜﻞ‬ ‫ﺗﻘﺮﻳﺒﺎ‬ ‫ﺟﺪ‬:
1(
1
101
2(3
1
9
3(   
3 4
1.04 3 1.04)4(3
63 635(
1
2
‫س‬3(‫ﻧﺼ‬ ‫ﻛﺮة‬‫ﻗﻄﺮھﺎ‬ ‫ﻒ‬6 cm‫ﺳﻤﻜﮫ‬ ‫ﺑﻄﻼء‬ ‫ﻃﻠﯿﺖ‬0.1 cm‫ﺗﻘﺮﯾﺒﯿﺔ‬ ‫ﺑﺼﻮرة‬ ‫اﻟﻄﻼء‬ ‫ﻛﻤﯿﺔ‬ ‫ﺟﺪ‬.
‫س‬4(‫ﺣﺠﻤﮭﺎ‬ ‫ﻛﺮة‬84 .cub cm‫ﺗﻘﺮﯾﺒﯿﺔ‬ ‫ﺑﺼﻮرة‬ ‫ﻗﻄﺮھﺎ‬ ‫ﻧﺼﻒ‬ ‫ﺟﺪ‬ ،.
‫س‬5(‫ﯾ‬ ‫ارﺗﻔﺎﻋﮫ‬ ‫ﻛﺎن‬ ‫ﻓﺈذا‬ ‫ﻗﺎﻋﺪﺗﮫ‬ ‫ﻗﻄﺮ‬ ‫ﻃﻮل‬ ‫ﯾﺴﺎوي‬ ‫ارﺗﻔﺎﻋﮫ‬ ، ‫ﻗﺎﺋﻢ‬ ‫داﺋﺮي‬ ‫ﻣﺨﺮوط‬‫ﺴﺎوي‬2.98 cm
‫ﺗﻘﺮﯾﺒﯿﺔ‬ ‫ﺑﺼﻮرة‬ ‫ﺣﺠﻤﮫ‬ ‫ﻓﺠﺪ‬.
‫ﺱ‬6:‫ﲢﻘﻖ‬ ‫ﺍﻟﺘﺎﻟﻴﺔ‬ ‫ﺍﻟﺪﻭﺍﻝ‬ ‫ﻣﻦ‬ ‫ﺩﺍﻟﺔ‬ ‫ﻛﻞ‬ ‫ﺃﻥ‬ ‫ﺑﲔ‬‫ﻣﱪﻫﻨﺔ‬‫ﻣﻨﻬﺎ‬ ‫ﻛﻞ‬ ‫ﺟﻮﺍﺭ‬ ‫ﺍﳌﻌﻄﺎﺓ‬ ‫ﺍﻟﻔﱰﺓ‬ ‫ﻋﻠﻰ‬ ‫ﺭﻭﻝ‬:
   4 3
1) ( ) ( 1) , 1,3 2) ( ) , 1,1f x x h x x x     
   2 2
3) ( ) 3 , 1,4 4) ( ) 25 , 3,3x x x x x      
‫ﺱ‬7:‫ﺗﻄﺒﻴﻖ‬ ‫ﺇﻣﻜﺎﻧﻴﺔ‬ ‫ﺍﺧﺘﱪ‬‫ﻣﱪﻫﻨﺔ‬‫ﺍﳌﺘﻮﺳﻄ‬ ‫ﺍﻟﻘﻴﻤﺔ‬‫ﺇﺯﺍءﻫﺎ‬ ‫ﺍﳌﻌﻄﺎﺓ‬ ‫ﺍﻟﻔﱰﺓ‬ ‫ﻋﻠﻰ‬ ‫ﺍﻟﺘﺎﻟﻴﺔ‬ ‫ﻟﻠﺪﻭﺍﻝ‬ ‫ﺔ‬
‫ﻗﻴﻢ‬ ‫ﻓﺠﺪ‬ ‫ﺍﻟﻨﻈﺮﻳﺔ‬ ‫ﲢﻘﻘﺖ‬ ‫ﻭﺍﻥ‬ ‫ﺍﻟﺴﺒﺐ‬ ‫ﺫﻛﺮ‬ ‫ﻣﻊ‬c‫ﺍﳌﻤﻜﻨﺔ‬.
   3 2 2
1) ( ) 1, 1,3 2) ( ) 4 5 , 1,5f x x x x h x x x        
   23
4
3) ( ) , 1,2 4) ( ) ( 1) , 2,7
2
g x x x
x
    

‫ﻛﺎ‬‫ﺍﻟﻨﺎﺻﺮﻱ‬ ‫ﻣﻮﺳﻰ‬ ‫ﻣﻞ‬132
‫ﻓﺤﺺ‬‫ﻭﺍﻟﺘﻨﺎﻗﺺ‬ ‫ﺍﻟﺘﺰﺍﻳﺪ‬‫ﻟﻠﺪﺍﻟﺔ‬
Test for increasing or decreasing functions
‫واﻟﻤﺒﺮھﻨ‬‫ﺔ‬‫اﻟﺴﺎﺑﻘﺔ‬‫أن‬ ‫ﯾﻤﻜﻦ‬‫ﺗﻮﺿﺢ‬‫ﻛ‬‫ﯾﻠﻲ‬ ‫ﻤﺎ‬:
1(‫ﺗﺰاﯾﺪ‬ ‫وﺿﻊ‬ ‫ﻓﻲ‬ ‫ﻓﺎﻟﺪاﻟﺔ‬ ‫ﻣﻮﺟﺐ‬ ‫ﻣﯿﻠﮫ‬ ‫ﻟﻠﻤﻨﺤﻨﻲ‬ ‫اﻟﻤﻤﺎس‬ ‫ﻛﺎن‬ ‫إذا‬.
2(‫وﺿ‬ ‫ﻓﻲ‬ ‫ﻓﺎﻟﺪاﻟﺔ‬ ‫ﺳﺎﻟﺐ‬ ‫ﻣﯿﻠﮫ‬ ‫ﻟﻠﻤﻨﺤﻨﻲ‬ ‫اﻟﻤﻤﺎس‬ ‫ﻛﺎن‬ ‫إذا‬‫ﺗﻨﺎﻗﺺ‬ ‫ﻊ‬.
‫ﺍﻟﺘﺎﻟﻴﺔ‬ ‫ﻟﻸﻣﺜﻠﺔ‬‫ﺍﻟﺘﺎﻟﻴﺔ‬ ‫ﻟﻠﺪﻭﺍﻝ‬ ‫ﻭﺍﻟﺘﻨﺎﻗﺺ‬ ‫ﺍﻟﺘﺰﺍﻳﺪ‬ ‫ﻣﻨﺎﻃﻖ‬ ‫ﺟﺪ‬:
‫ﻣﺜﺎل‬1:
2 3
( ) 9 3f x x x x  
‫اﻟﺤﻞ‬:‫ﻧﺠﺪ‬‫اﻟﺤﺮﺟﺔ‬ ‫اﻟﻨﻘﻂ‬ ‫أوﻻ‬:
2
( ) 9 6 3f x x x   
2
0 9 6 3x x  
2
0 3( 2 3)x x   
‫اﻟﺤﺮﺟﺔ‬ ‫اﻟﻨﻘﻂ‬:0 3( 3)( 1) 3 , 1x x x x         
‫ﻣﺒﺮھﻨﺔ‬:‫ﻟﺘﻜﻦ‬f‫داﻟﺔ‬‫اﻟﻤﻔﺘﻮﺣﺔ‬ ‫اﻟﻔﺘﺮة‬ ‫ﻋﻠﻰ‬ ‫ﻟﻠﺘﻔﺎﺿﻞ‬ ‫ﻗﺎﺑﻠﺔ‬(a , b)‫ﻛﺎﻧﺖ‬ ‫ﻓﺈذا‬:
1(( ) 0 , ( , )f x x a b   f‫ﻣﺘﺰاﯾﺪة‬)Increasing(‫اﻟﻔﺘﺮة‬ ‫ﻋﻠﻰ‬(a , b)
2(( ) 0 , ( , )f x x a b   f‫ﻣﺘﻨﺎ‬‫ﻗﺼﺔ‬)Decreasing(‫اﻟﻔﺘﺮة‬ ‫ﻋﻠﻰ‬(a , b)
‫ﻛﺎ‬‫ﺍﻟﻨﺎﺻﺮﻱ‬ ‫ﻣﻮﺳﻰ‬ ‫ﻣﻞ‬133
‫ﺛﺎﻧﯿ‬‫ﺎ‬:‫ﺑﻘﯿﻢ‬ ‫ﺑﺎﻟﺘﻌﻮﯾﺾ‬ ‫اﻷوﻟﻰ‬ ‫اﻟﻤﺸﺘﻘﺔ‬ ‫أﻋﺪاد‬ ‫ﺧﻂ‬ ‫ﻧﺨﺘﺒﺮ‬‫ﻟﻠﺤﺮﺟﺔ‬ ‫ﻣﺠﺎورة‬
f‫ﻣﺘﻨﺎﻗﺼﺔ‬‫ﻓﻲ‬:1( : 3x x 2( : 1x x  
f‫ﻣﺘﺰاﯾﺪة‬:‫اﻟﻤﻔﺘﻮﺣﺔ‬ ‫اﻟﻔﺘﺮة‬ ‫ﻓﻲ‬( 1,3)x  
‫ﻣﺜﺎل‬31:3 2
( )f x x
‫اﻟﺤﻞ‬:3
2
( )
3
f x
x
 
( )f x‫ﻛﺎﻧﺖ‬ ‫إذا‬ ‫ﻣﻌﺮﻓﺔ‬ ‫ﻏﯿﺮ‬0x 0x ‫ﺣﺮﺟﺔ‬ ‫ﻧﻘﻄﺔ‬‫واﻟﺪاﻟﺔ‬f‫ﻋﻨﺪھﺎ‬ ‫ﻣﻌﺮﻓﺔ‬.
f‫ﻣﺘﺰاﯾﺪة‬‫ﻓﻲ‬: : 0x x ،f‫ﻣﺘﻨﺎﻗﺼﺔ‬‫ﻓﻲ‬: : 0x x 
‫ﺗﻌﺮﯾﻒ‬:‫واﻟﺘﻘﻌﺮ‬ ‫اﻟﺘﺤﺪب‬)Convexity and Concavity(
‫ﻛﺎﻧﺖ‬ ‫إذا‬f‫ﻟ‬ ‫ﻗﺎﺑﻠﺔ‬ ‫داﻟﺔ‬‫اﻟﻤﻔﺘﻮﺣﺔ‬ ‫اﻟﻔﺘﺮة‬ ‫ﻓﻲ‬ ‫ﻼﺷﺘﻘﺎق‬( , )a b‫اﻟﻤﻨﺤﻨﻲ‬ ‫ﻓﺎن‬( )y f x‫ﻟﮫ‬ ‫ﯾﻘﺎل‬:
1(‫اﻟﻤﻔﺘﻮﺣﺔ‬ ‫اﻟﻔﺘﺮة‬ ‫ﻋﻠﻰ‬ ‫ﻣﺤﺪﺑﺎ‬( , )a b‫ﻛﺎﻧﺖ‬ ‫إذا‬( )f x‫اﻟﻔﺘﺮة‬ ‫ﺧﻼل‬ ‫ﻣﺴﺘﻤﺮ‬ ‫ﺗﻨﺎﻗﺺ‬ ‫ﻓﻲ‬.
2(‫اﻟﻤﻔﺘﻮﺣﺔ‬ ‫اﻟﻔﺘﺮة‬ ‫ﻋﻠﻰ‬ ‫ﻣﻘﻌﺮا‬( , )a b‫ﻛﺎﻧﺖ‬ ‫إذا‬( )f x‫اﻟﻔﺘﺮة‬ ‫ﺧﻼل‬ ‫ﻣﺴﺘﻤﺮ‬ ‫ﺗﺰاﯾﺪ‬ ‫ﻓﻲ‬.
( 1, 3)x  1x   3x 
(3 ) ?f 
  (3 ) ?
( 1 ) ?
f
f


  
   
( 1 ) ?f 
   
-----+ + + + +------
1 3
0
( )f x
+ + + + +------
‫إﺷﺎرة‬
‫ﻛﺎ‬‫ﺍﻟﻨﺎﺻﺮﻱ‬ ‫ﻣﻮﺳﻰ‬ ‫ﻣﻞ‬134
‫ﻣﻦ‬ ‫ﻻﺣﻆ‬‫اﻟﺴﺎﺑﻘﺔ‬ ‫اﻷﺷﻜﺎل‬:‫ﯾﻜﻮن‬‫ﻣﺤﺪﺑ‬ ‫اﻟﻤﻨﺤﻨﻲ‬‫ﺎ‬، ‫ﻣﻤﺎﺳﺎﺗﮫ‬ ‫ﺗﺤﺖ‬ ‫ﯾﻜﻮن‬ ‫ﻋﻨﺪﻣﺎ‬
‫ﯾﻜﻮن‬‫ﻣﻤﺎﺳﺎﺗﮫ‬ ‫ﻓﻮق‬ ‫ﯾﻜﻮن‬ ‫ﻋﻨﺪﻣﺎ‬ ‫ﻣﻘﻌﺮا‬ ‫اﻟﻤﻨﺤﻨﻲ‬.
‫اﻟﺴﺎﺑﻖ‬ ‫اﻟﺘﻌﺮﯾﻒ‬ ‫وﻣﻦ‬‫أن‬ ‫ﻧﺴﺘﻨﺘﺞ‬:1(‫ﻋﻨﺪﻣﺎ‬ ‫ﻣﺤﺪﺑﺔ‬ ‫اﻟﺪاﻟﺔ‬( )f x‫ﻣﺘﻨﺎﻗﺼﺔ‬( ) 0f x 
2(‫ﻋﻨﺪﻣﺎ‬ ‫ﻣﻘﻌﺮة‬ ‫اﻟﺪاﻟﺔ‬( )f x‫ﻣﺘﺰاﯾﺪة‬( ) 0f x 
‫أن‬ ‫ﻧﺴﺘﻨﺞ‬ ‫اﻟﺴﺎﺑﻖ‬ ‫اﻟﺘﻌﺮﯾﻒ‬ ‫ﻣﻦ‬‫وﺗﻘﻌﺮ‬ ‫ﺗﺤﺪب‬ ‫ﺑﯿﻦ‬ ‫ﺗﻔﺼﻞ‬ ‫اﻻﻧﻘﻼب‬ ‫ﻧﻘﻄﺔ‬‫ﻣﺘﺘﺎﻟﯿﯿﻦ‬.
‫اﻟﺴﺎﺑﻖ‬ ‫اﻟﺘﻌﺮﯾﻒ‬ ‫وﻣﻦ‬‫أﯾﻀﺎ‬‫أن‬ ‫ﻧﺴﺘﻨﺞ‬‫ﺧﻼﻟﮭ‬ ‫أﺣﺪاھﻤﺎ‬ ‫ﻓﺘﺮﺗﯿﻦ‬ ‫ﺑﯿﻦ‬ ‫ﺗﻔﺼﻞ‬ ‫اﻻﻧﻘﻼب‬ ‫ﻧﻘﻄﺔ‬‫ﺎ‬( )f x
‫ﻣﻮﺟﺒﺔ‬‫ﺗﻜﻮ‬ ‫اﻟﺜﺎﻧﯿﺔ‬ ‫واﻟﻤﻨﻄﻘﺔ‬‫ن‬‫ﺧﻼﻟﮭﺎ‬( )f x‫ﺳﺎﻟﺒﺔ‬‫أن‬ ‫أي‬( ) 0f c ‫أو‬( )f c‫ﻣﻮﺟﻮدة‬ ‫ﻏﯿﺮ‬
y
x
‫ﻣﺤﺪب‬ ‫ﻣﻨﺤﻨﻲ‬
‫و‬‫ﻣﺘﺰاﯾﺪ‬
y
x
‫ﻣﺤﺪب‬ ‫ﻣﻨﺤﻨﻲ‬
‫و‬‫ﻣﺘﻨﺎﻗﺺ‬
y
x
‫ﻣﻨﺤﻨﻲ‬‫ﻣﻘﻌﺮ‬
‫وﻣﺘﻨﺎﻗﺺ‬
y
x
‫ﻣﻨﺤﻨﻲ‬‫ﻣﻘﻌﺮ‬
‫و‬‫ﻣﺘﺰاﯾﺪ‬
‫ﺍﻻﻧﻘﻼﺏ‬ ‫ﻧﻘﻄﺔ‬)Inflection Point(
‫ﻛﺎن‬ ‫إذا‬ , ( )P c f c‫اﻟﺪاﻟﺔ‬ ‫ﻣﻨﺤﻨﻲ‬ ‫ﻋﻠﻰ‬ ‫ﻧﻘﻄﺔ‬( )y f x‫ﻟﻠﻨﻘﻄﺔ‬ ‫ﻓﯿﻘﺎل‬P‫إذا‬ ‫اﻧﻘﻼب‬ ‫ﻧﻘﻄﺔ‬ ‫أﻧﮭﺎ‬
‫اﻟﺘﺎﻟﯿﯿﻦ‬ ‫اﻟﺸﺮﻃﯿﻦ‬ ‫ﺣﻘﻘﺖ‬:
1(f‫ﻋﻨﺪ‬ ‫ﻣﺴﺘﻤﺮة‬ ‫داﻟﺔ‬c.
2(‫ﻣﻔﺘﻮﺣﺔ‬ ‫ﻓﺘﺮة‬ ‫إﯾﺠﺎد‬ ‫أﻣﻜﻦ‬ ‫إذا‬( , )a b‫ﺿﻤﻦ‬( )D f‫اﻟﻨﻘﻄﺔ‬ ‫ﺗﺤﻮي‬ ‫اﻟﻔﺘﺮة‬ ‫وھﺬه‬c‫ﯾﻜﻮن‬ ‫ﺑﺤﯿﺚ‬
‫اﻟﻔﺘﺮة‬ ‫ﻓﻲ‬ ‫ﻣﺤﺪﺑﺎ‬ ‫اﻟﻤﻨﺤﻨﻲ‬( , )a c‫اﻟﻔﺘﺮة‬ ‫ﻓﻲ‬ ‫وﻣﻘﻌﺮا‬( , )c b‫ﺑﺎﻟﻌﻜﺲ‬ ‫أو‬.
‫ﻛﺎ‬‫ﺍﻟﻨﺎﺻﺮﻱ‬ ‫ﻣﻮﺳﻰ‬ ‫ﻣﻞ‬135
‫ﺍﻟﺘﺎﻟﻴﺔ‬ ‫ﻟﻠﺪﻭﺍﻝ‬‫ﺍﻟﺘﺎﻟﻴﺔ‬ ‫ﻟﻠﺪﻭﺍﻝ‬ ‫ﺃﻣﻜﻦ‬ ‫ﺇﻥ‬ ‫ﺍﻻﻧﻘﻼﺏ‬ ‫ﻭﻧﻘﻂ‬ ‫ﻭﺍﻟﺘﻘﻌﺮ‬ ‫ﺍﻟﺘﺤﺪﺏ‬ ‫ﻣﻨﺎﻃﻖ‬ ‫ﺟﺪ‬:
‫ﻣ‬‫ﺜﺎل‬1:3 4( ) 4f x x x 
‫اﻟﺤﻞ‬:3 4( ) 4f x x x 
2 3 2( ) 12 4 ( ) 24 12f x x x f x x x      
‫ﻟﻼﻧﻘﻼب‬ ‫ﻣﺮﺷﺤﺔ‬0 12 (2 ) 0 , 2x x x x      
‫اﻟﻨﺎﺗﺠﺔ‬ ‫ﻟﻠﻨﻘﻂ‬ ‫ﻣﺠﺎورة‬ ‫ﻗﯿﻢ‬ ‫ﻧﺨﺘﺒﺮ‬
‫ﺍﻟﺜﺎﻧﻴﺔ‬ ‫ﺑﺎﳌﺸﺘﻘﺔ‬ ‫ﻭﺑﺎﻟﺘﻌﻮﻳﺾ‬
‫ﺟﻮار‬2‫اﻟﯿﻤﯿﻦ‬ ‫ﻣﻦ‬:(3) 12*4(2 3)f    
‫ﺟﻮار‬2‫وﺟﻮار‬ ‫اﻟﯿﺴﺎر‬ ‫ﻣﻦ‬0‫اﻟﯿﻤﯿﻦ‬ ‫ﻣﻦ‬:(1) 12*1(2 1)f    
‫ﺟﻮار‬0‫ﻣﻦ‬‫اﻟﯿﺴﺎر‬:( 1) 12*( 1)(2 1)f      
f‫ﻣﺤﺪﺑﺔ‬‫ﻓﻲ‬: 1) : 2x x ‫و‬ 2) : 0x x 
f‫اﻟﻤﻔﺘﻮﺣﺔ‬ ‫اﻟﻔﺘﺮة‬ ‫ﻓﻲ‬ ‫ﻣﻘﻌﺮة‬:(0,2)
‫اﻧﻘﻼب‬ ‫ﻧﻘﻄﺔ‬(0) 0 (0,0)f  
‫اﻧﻘﻼب‬ ‫ﻧﻘﻄﺔ‬(2) 16 (2,16)f  
‫ﻣﺜﺎل‬2:3
( )f x x
‫اﻟﺤﻞ‬:3 32 5
1 2
( ) ( )
3 9
f x f x
x x

   
(0)f ‫ﻣﻌﺮﻓﺔ‬ ‫ﻏﯿﺮ‬‫أ‬ ‫و‬‫ن‬0x ‫اﻧﻘﻼب‬ ‫ﻧﻘﻄﺔ‬ ‫ﺗﻜﻮن‬ ‫أن‬ ‫ﻣﺮﺷﺤﺔ‬
0 2
‫إﺷﺎرة‬( )f x
---- ------+ + + + +
f‫ﻣﻘﻌﺮة‬f‫ﻣﺤﺪﺑﺔ‬ f‫ﻣﺤﺪﺑﺔ‬
0
‫إﺷﺎرة‬( )f x
+ + + ------
f‫ﻣﺤﺪﺑﺔ‬f‫ﻣﻘﻌﺮة‬
‫ﻛﺎ‬‫ﺍﻟﻨﺎﺻﺮﻱ‬ ‫ﻣﻮﺳﻰ‬ ‫ﻣﻞ‬136
f‫ﻣﺤﺪﺑﺔ‬‫ﻓﻲ‬: : 0x x 
f‫ﻣﻘﻌﺮة‬‫ﻓﻲ‬: : 0x x 
(0) 0f ،(0,0)‫اﻧﻘﻼب‬ ‫ﻧﻘﻄﺔ‬
‫ﻣﺜﺎل‬3:
1
( ) , 0f x x x
x
  
‫اﻟﺤﻞ‬:2 3
1 2
( ) 1 ( )f x f x
x x
      
(0)f ‫ﻣﻌﺮﻓﺔ‬ ‫ﻏﯿﺮ‬
f‫ﻣﺤﺪﺑﺔ‬‫ﻓﻲ‬: : 0x x  
f‫ﻣﻘﻌﺮة‬‫ﻓﻲ‬: : 0x x  
‫ﻷن‬ ‫اﻧﻘﻼب‬ ‫ﻧﻘﻄﺔ‬ ‫ﺗﻮﺟﺪ‬ ‫ﻻ‬0‫اﻟﺪاﻟﺔ‬ ‫ﻟﻤﺠﺎل‬ ‫ﯾﻨﺘﻤﻲ‬ ‫ﻻ‬.
‫ﻣﺜﺎل‬4:
4
( ) 4 ( 2)h x x  
‫اﻟﺤﻞ‬:
2
( ) 12( 2)h x x   3
( ) 4( 2)h x x   
‫ﻟﻼﻧﻘﻼب‬ ‫ﻣﺮﺷﺤﺔ‬
2
0 12( 2) 2x x     
‫اﻟﺪاﻟﺔ‬h‫ﻣﺤﺪﺑﺔ‬‫ﻓﻲ‬:   1) : 2 , 2) : 2x x x x   
‫اﻟﺪاﻟﺔ‬ ‫ﻷن‬ ‫اﻧﻘﻼب‬ ‫ﻧﻘﻄﺔ‬ ‫ﺗﻮﺟﺪ‬ ‫ﻻ‬‫ﻓﻘﻂ‬ ‫ﻣﺤﺪﺑﺔ‬.
0
‫إﺷﺎرة‬( )f x
---- + + + + +
f‫ﻣﻘﻌﺮة‬f‫ﻣﺤﺪﺑﺔ‬

- 2
‫إﺷﺎرة‬
( )h x ------
h‫ﻣﺤﺪﺑﺔ‬h‫ﻣﺤﺪﺑﺔ‬
---
‫ﻛﺎ‬‫ﺍﻟﻨﺎﺻﺮﻱ‬ ‫ﻣﻮﺳﻰ‬ ‫ﻣﻞ‬137
‫ﻣﺜﺎل‬5:
2
( ) 3 2f x x x  
‫اﻟﺤﻞ‬:( ) 2 2 ( ) 2 0f x x f x        
‫ﻓﻲ‬ ‫ﻣﺤﺪﺑﺔ‬ ‫اﻟﺪاﻟﺔ‬‫اﻧﻘﻼب‬ ‫ﻧﻘﻄﺔ‬ ‫ﺗﻮﺟﺪ‬ ‫ﻻ‬ ‫ﻟﺬا‬.
‫ﻣﺜﺎل‬6:
4 2
( ) 3 3f x x x  
‫اﻟﺤﻞ‬:
3 2
( ) 4 6 ( ) 12 6 0f x x x f x x       
‫ﻓﻲ‬ ‫ﻣﻘﻌﺮة‬ ‫اﻟﺪاﻟﺔ‬‫اﻧﻘﻼب‬ ‫ﻧﻘﻄﺔ‬ ‫ﺗﻮﺟﺪ‬ ‫ﻻ‬ ‫ﻟﺬا‬.
‫اﻟﻨﮭﺎﯾﺔ‬‫اﻟﻤﺤﻠﯿﺔ‬ ‫اﻟﻘﺼﻮى‬)Local Extreme(
‫ﺑﺘﻌﺒﯿﺮ‬ ‫اﻟﻘﻮل‬ ‫ﯾﻤﻜﻦ‬ ‫أو‬‫آﺧﺮ‬:
‫ﺗﺴﻤﻰ‬( )f c‫ﺣﯿﺚ‬( )c D f‫ﻣﻔﺘﻮﺣﺔ‬ ‫ﻓﺘﺮة‬ ‫إﯾﺠﺎد‬ ‫أﻣﻜﻦ‬ ‫إذا‬( , )a b‫ﻋﻨﺪ‬ ‫ﻗﯿﻤﺔ‬ ‫أﻋﻈﻢ‬ ‫ﺗﺤﻮي‬c
‫ﻟـ‬ ‫ﻓﯿﻘﺎل‬( )f c‫ﻣﺤﻠﯿﺔ‬ ‫ﻋﻈﻤﻰ‬ ‫ﻧﮭﺎﯾﺔ‬ ‫أﻧﮭﺎ‬)Local Maximum(
‫و‬‫ﻣﻔﺘﻮﺣﺔ‬ ‫ﻓﺘﺮة‬ ‫إﯾﺠﺎد‬ ‫أﻣﻜﻦ‬ ‫إذا‬( , )a b‫أ‬ ‫ﺗﺤﻮي‬‫ﺻﻐﺮ‬‫ﻋﻨﺪ‬ ‫ﻗﯿﻤﺔ‬c‫ﻟـ‬ ‫ﻓﯿﻘﺎل‬( )f c‫ﺻﻐﺮى‬ ‫ﻧﮭﺎﯾﺔ‬ ‫أﻧﮭﺎ‬
‫ﻣﺤﻠﯿﺔ‬)Local Minimum(
‫ﻋﻈﻤﻰ‬
‫ﻣﺤﻠﯿﺔ‬
x
y
‫ﻋﻈﻤﻰ‬
‫ﻣﺤﻠﯿﺔ‬
‫ﺻﻐﺮى‬
‫ﻣﺤﻠﯿﺔ‬
‫ﺻﻐﺮى‬
‫ﻣﺤﻠﯿﺔ‬
‫ﻋﻈﻤﻰ‬
‫ﻣﺤﻠﯿﺔ‬
‫ﺻﻐﺮى‬
‫ﻣﺤﻠﯿﺔ‬
‫ﺻﻐﺮى‬ ‫أو‬
‫ﻣﺤﻠﯿﺔ‬
‫ﻋﻈﻤﻰ‬
‫ﻣﺤﻠﯿﺔ‬
‫ﺗﻌﺮﯾﻒ‬:1(‫ﺗﺴﻤﻰ‬( )f c‫ﺣﯿﺚ‬( )c D f‫ﻣﺤﻠﯿﺔ‬ ‫ﻋﻈﻤﻰ‬ ‫ﻧﮭﺎﯾﺔ‬)Local Maximum(‫إذا‬
‫ﻣﻔﺘﻮﺣﺔ‬ ‫ﻓﺘﺮة‬ ‫إﯾﺠﺎد‬ ‫أﻣﻜﻦ‬( , )a b‫أن‬ ‫و‬( , )c a b‫أن‬ ‫ﺑﺤﯿﺚ‬:( ) ( )f x f c
‫ﻗﯿﻢ‬ ‫ﻟﺠﻤﯿﻊ‬( , )x a b
2(‫ﺗﺴﻤﻰ‬( )f c‫ﺣﯿﺚ‬( )c D f‫ﻣﺤﻠﯿﺔ‬ ‫ﺻﻐﺮى‬ ‫ﻧﮭﺎﯾﺔ‬)Local Minimum(‫أﻣﻜﻦ‬ ‫إذا‬
‫ﻣﻔﺘﻮﺣﺔ‬ ‫ﻓﺘﺮة‬ ‫إﯾﺠﺎد‬( , )a b‫أن‬ ‫و‬( , )c a b‫أن‬ ‫ﺑﺤﯿﺚ‬:( ) ( )f x f c
‫ﻗﯿﻢ‬ ‫ﻟﺠﻤﯿﻊ‬( , )x a b
‫ﻛﺎ‬‫ﺍﻟﻨﺎﺻﺮﻱ‬ ‫ﻣﻮﺳﻰ‬ ‫ﻣﻞ‬138
‫ﻣﻼﺣﻈﺔ‬:‫ﺣﺮﺟﺔ‬ ‫ﻧﻘﻄﺔ‬ ‫ھﻲ‬ ‫ﻣﺤﻠﯿﺔ‬ ‫ﻧﮭﺎﯾﺔ‬ ‫ﻧﻘﻄﺔ‬ ‫ﻛﻞ‬.
‫ﻣﺒﺮھﻨﺔ‬
‫ﻟﺘﻜﻦ‬f‫اﻟﻔﺘﺮة‬ ‫ﻓﻲ‬ ‫ﻣﺴﺘﻤﺮة‬ ‫داﻟﺔ‬ ,a b‫اﻟﻔﺘﺮة‬ ‫ﻓﻲ‬ ‫ﻟﻼﺷﺘﻘﺎق‬ ‫وﻗﺎﺑﻠﺔ‬( , )a b‫ﻛﺎﻧﺖ‬ ‫ﻓﺈذا‬ ،:
1(( ) 0f x ‫ﻟﻜﻞ‬x‫اﻟﻔﺘﺮة‬ ‫ﻓﻲ‬( , )a c;( ) 0f x ‫ﻟﻜﻞ‬x‫اﻟﻔﺘﺮة‬ ‫ﻓﻲ‬( , )c b،
‫ﻓﺈن‬( )f c‫ﻋﻨﺪ‬ ‫ﻣﺤﻠﯿﺔ‬ ‫ﻋﻈﻤﻰ‬ ‫ﻧﮭﺎﯾﺔ‬ ‫ﺗﻤﺜﻞ‬c.
2(( ) 0f x ‫ﻟﻜﻞ‬x‫اﻟﻔﺘﺮة‬ ‫ﻓﻲ‬( , )a c;( ) 0f x ‫ﻟﻜﻞ‬x‫اﻟﻔﺘﺮة‬ ‫ﻓﻲ‬( , )c b،
‫ﻓﺈن‬( )f c‫ﻋﻨﺪ‬ ‫ﻣﺤﻠﯿﺔ‬ ‫ﺻﻐﺮى‬ ‫ﻧﮭﺎﯾﺔ‬ ‫ﺗﻤﺜﻞ‬c.
ba
‫ﻣﺤﻠﯿﺔ‬ ‫ﻋﻈﻤﻰ‬ ‫ﻧﮭﺎﯾﺔ‬=( )f c=‫ﺻﺎﺩﻱ‬ ‫ﺍﺣﺪﺍﺛﻲ‬
-----+++++
‫ﻛﺎ‬‫ﺍﻟﻨﺎﺻﺮﻱ‬ ‫ﻣﻮﺳﻰ‬ ‫ﻣﻞ‬139
‫ﺍﻷﻣﺜﻠﺔ‬ ‫ﰲ‬‫ﺍﻟﺘﺎﻟﻴﺔ‬‫ﺍﻟﺪﻭﺍﻝ‬ ‫ﺍﺭﺳﻢ‬‫ﺍﳌ‬‫ﻌﻄﺎﺓ‬‫ﺍﻟﻨﻬﺎﻳﺎﺕ‬ ‫ﻧﻘﺎﻁ‬ ، ‫ﻭﺍﻟﺘﻨﺎﻗﺺ‬ ‫ﺍﻟﺘﺰﺍﻳﺪ‬ ‫ﻣﻨﺎﻃﻖ‬ ‫ﺇﳚﺎﺩ‬ ‫ﺑﻌﺪ‬
‫ﺍﶈ‬‫ﺍﻻﻧﻘﻼﺏ‬ ‫ﻧﻘﻂ‬ ‫ﺛﻢ‬ ، ‫ﻭﺍﻟﺘﻘﻌﺮ‬ ‫ﺍﻟﺘﺤﺪﺏ‬ ‫ﻣﻨﺎﻃﻖ‬ ، ‫ﻠﻴﺔ‬.
‫ﻣﺜﺎل‬1:
5
( ) (2 )f x x 
‫اﻟﺤﻞ‬:
4
( ) 5(2 )f x x  
‫ﺣﺮﺟﺔ‬ ‫ﻧﻘﻄﺔ‬
4
0 5(2 ) 2x x    
f‫ﻣﺘﻨﺎﻗﺼﺔ‬2x ;2x 
‫ﻓﻘﻂ‬ ‫ﻣﺘﻨﺎﻗﺼﺔ‬ ‫اﻟﺪاﻟﺔ‬ ‫ﻷن‬ ‫ﻣﺤﻠﯿﺔ‬ ‫ﻧﮭﺎﯾﺔ‬ ‫ﺗﻮﺟﺪ‬ ‫ﻻ‬.
3
( ) 20(2 )f x x  
‫ﻟﻼﻧﻘﻼب‬ ‫ﻣﺮﺷﺤﺔ‬
3
0 20(2 ) 2x x   
f‫ﻣﻘﻌﺮة‬‫ﻓﻲ‬ : 2x x ;f‫ﻣﺤﺪﺑﺔ‬‫ﻓﻲ‬2x 
‫اﻧﻘﻼب‬ ‫ﻧﻘﻄﺔ‬5
(2) (2 2) 0 ; (2,0)f   
‫ﻣﺜﺎل‬2:3
( ) 3f x x x 
2
‫ـــــــــــــــــــــــــــــ‬•‫ــــــــــــــــــــــــــــــ‬‫إ‬‫ﺷﺎرة‬( )f x
---------------
2
‫ـــــــــــــــــــــــــــــ‬•‫ــــــــــــــــــــــــــــــ‬‫اﺷﺎرة‬( )f x
-----+ + + +
y
x
‫ﻛﺎ‬‫ﺍﻟﻨﺎﺻﺮﻱ‬ ‫ﻣﻮﺳﻰ‬ ‫ﻣﻞ‬140
‫اﻟﺤﻞ‬:
2
( ) 3 3f x x  
‫ﺣﺮﺟﺘﺎن‬ ‫ﻧﻘﻄﺘﺎن‬2 2
0 3 3 0 3(1 1)x x x      
f‫ﻣﺘﻨﺎﻗﺼﺔ‬‫ﻓﻲ‬:   1) : 1 , : 1x x x x     
f‫ﻣﺘﺰاﯾﺪ‬‫ة‬‫اﻟﻤﻔﺘﻮﺣﺔ‬ ‫اﻟﻔﺘﺮة‬ ‫ﻓﻲ‬:( 1 , 1)
( 1) 3 1 2f      2=‫ﻣﺤﻠ‬ ‫ﺻﻐﺮى‬ ‫ﻧﮭﺎﯾﺔ‬‫ﯿ‬‫ﺔ‬
( 1, 2)  ‫ﻧﻘ‬ ‫وھﻲ‬ ‫ﻣﺤﻠﯿﺔ‬ ‫ﺻﻐﺮى‬ ‫ﻧﮭﺎﯾﺔ‬ ‫ﻧﻘﻄﺔ‬ ‫ھﻲ‬‫ﺣﺮﺟﺔ‬ ‫ﻄﺔ‬
(1) 3 1 2f   2=‫ﻣﺤﻠ‬ ‫ﻋﻈﻤﻰ‬ ‫ﻧﮭﺎﯾﺔ‬‫ﯿ‬‫ﺔ‬
(1, 2) ‫ﺣﺮﺟﺔ‬ ‫ﻧﻘﻄﺔ‬ ‫وھﻲ‬ ‫ﻣﺤﻠﯿﺔ‬ ‫ﻋﻈﻤﻰ‬ ‫ﻧﮭﺎﯾﺔ‬ ‫ﻧﻘﻄﺔ‬ ‫ھﻲ‬
( ) 6f x x  
0x 0 6x 
f‫ﻣﺤﺪﺑﺔ‬‫ﻓﻲ‬ | 0x x ;f‫ﻣﻘﻌﺮة‬‫ﻓﻲ‬ | 0x x 
(0) 0 (3)(0) 0 (0, 0 )inff lection      
.
-1 1
‫إﺷﺎرة‬( )f x
---- ------+ + + + +
f‫ﻣ‬‫ﺘﺰاﯾﺪة‬f‫ﻣﺘﻨﺎﻗﺼﺔ‬ f‫ﻣﺘﻨﺎﻗﺼﺔ‬
0
‫إﺷﺎرة‬( )f x
+ + + ------
f‫ﻣ‬‫ﺤﺪﺑﺔ‬f‫ﻣ‬‫ﻘﻌﺮة‬
‫ﻛﺎ‬‫ﺍﻟﻨﺎﺻﺮﻱ‬ ‫ﻣﻮﺳﻰ‬ ‫ﻣﻞ‬141
‫ﻣﺜﺎل‬3:
4 2
( ) 3 2f x x x  
‫اﻟﺤﻞ‬:
3
( ) 4 6f x x x  
‫ﺣﺮﺟﺔ‬ ‫ﻧﻘﻄﺔ‬0x 2
0 (4 6)x x 
f‫ﻣﺘﺰاﯾﺪة‬0x ;f‫ﻣﺘﻨﺎﻗﺼﺔ‬0x 
2=‫ﻣﺤﻠﯿﺔ‬ ‫ﺻﻐﺮى‬ ‫ﻧﮭﺎﯾﺔ‬(0) 0 0 2 2f     
(0, 2) ‫ﺣﺮﺟﺔ‬ ‫ﻧﻘﻄﺔ‬ ‫وھﻲ‬ ‫ﻣﺤﻠﯿﺔ‬ ‫ﺻﻐﺮى‬ ‫ﻧﮭﺎﯾﺔ‬ ‫ﻧﻘﻄﺔ‬ ‫ھﻲ‬
‫ﻣﻮﺟﺐ‬ ‫ﻋﺪد‬ ‫ﻣﺮﺑﻌﯿﻦ‬ ‫ﻣﺠﻤﻮع‬
2
( ) 12 6 0f x x   
f‫ﻓﻲ‬ ‫ﻣﻘﻌﺮة‬‫اﻧﻘﻼب‬ ‫ﻧﻘﻄﺔ‬ ‫ﺗﻮﺟﺪ‬ ‫ﻻ‬ ‫ﻟﺬا‬
‫ﻣﺜﺎل‬4:
4 2
( ) 8 2f x x x  
‫اﻟﺤﻞ‬:
3
( ) 4 16f x x x  
‫ﻧﻘﻂ‬‫ﺣﺮﺟﺔ‬
2
0 4 ( 4) 0 ; 2; 2x x x x x      
0 2
‫إﺷﺎرة‬
 f x --- + + + + +
2
+ + + ---
0
‫إﺷﺎرة‬( )f x
+ + +----
‫ﻛﺎ‬‫ﺍﻟﻨﺎﺻﺮﻱ‬ ‫ﻣﻮﺳﻰ‬ ‫ﻣﻞ‬142
f‫ﻣﺘ‬‫ﻨﺎﻗﺼﺔ‬ 1) (0 , 2) , 2) | 2x x x     
f‫ﻣﺘﺰاﯾﺪة‬ 1) ( 2 , 0) , 2) : 2x x x   
‫ﻣﺤﻠﯿﺔ‬ ‫ﺻﻐﺮى‬ ‫ﻧﮭﺎﯾﺔ‬=
4 2
(2) 2 (8)2 2 18f     
‫ﻣﺤﻠﯿﺔ‬ ‫ﺻﻐﺮى‬ ‫ﻧﮭﺎﯾﺔ‬=( 2) 16 32 2 18f      
‫ﻣﺤﻠﯿﺔ‬ ‫ﻋﻈﻤﻰ‬ ‫ﻧﮭﺎﯾﺔ‬=(0) 0 0 2 2f     
(2, 18) ‫ﺣﺮﺟﺔ‬ ‫ﻧﻘﻄﺔ‬ ‫وھﻲ‬ ‫ﻣﺤﻠﯿﺔ‬ ‫ﺻﻐﺮى‬ ‫ﻧﮭﺎﯾﺔ‬ ‫ﻧﻘﻄﺔ‬.
( 2, 18)  ‫ﺻﻐ‬ ‫ﻧﮭﺎﯾﺔ‬ ‫ﻧﻘﻄﺔ‬‫ﺣﺮﺟﺔ‬ ‫ﻧﻘﻄﺔ‬ ‫وھﻲ‬ ‫ﻣﺤﻠﯿﺔ‬ ‫ﺮى‬.
( 0, 2) ‫ﺣﺮﺟﺔ‬ ‫ﻧﻘﻄﺔ‬ ‫وھﻲ‬ ‫ﻣﺤﻠﯿﺔ‬ ‫ﻋﻈﻤﻰ‬ ‫ﻧﮭﺎﯾﺔ‬ ‫ﻧﻘﻄﺔ‬.
2
( ) 12 16f x x  
‫ﻟﻼﻧﻘﻼب‬ ‫ﻣﺮﺷﺤﺘﺎن‬ ‫ﻧﻘﻄﺘﺎن‬
2 2
0 4(3 4)
3
x x    
f‫ﻣﻘﻌﺮة‬:
2
1)
3
x ‫و‬
2
2)
3
x  
f‫ﻣﺤﺪﺑﺔ‬‫اﻟﻤﻔﺘﻮﺣﺔ‬ ‫اﻟﻔﺘﺮة‬ ‫ﻓﻲ‬:
2 2
( , )
3 3

2 16 32 86
( ) 2
9 3 93
f     
2 86
( , )
93
=‫اﻧﻘﻼب‬ ‫ﻧﻘﻄﺔ‬
2 16 32 86
( ) 2
9 3 93
f

    
2 86
( , )
93

=‫اﻧﻘﻼب‬ ‫ﻧﻘﻄﺔ‬
‫ﻣﺜﺎل‬5:
2
( ) 3 2f x x x  
2
3

2
3
‫إﺷﺎرة‬
( )f x + ++ + + +------
f‫ﻣ‬‫ﺤﺪﺑﺔ‬f‫ﻣ‬‫ﻘﻌﺮة‬ f‫ﻣ‬‫ﻘﻌﺮة‬
‫ﻛﺎ‬‫ﺍﻟﻨﺎﺻﺮﻱ‬ ‫ﻣﻮﺳﻰ‬ ‫ﻣﻞ‬143
‫اﻟﺤﻞ‬:
( ) 2 2f x x   
‫ﺣﺮﺟﺔ‬ ‫ﻧﻘﻄﺔ‬0 2 2 1x x     
f‫ﻣﺘﺰاﯾﺪة‬1x  ;f‫ﻣﺘﻨﺎﻗﺼﺔ‬1x  
‫ﻣﺤﻠﯿﺔ‬ ‫ﻋﻈﻤﻰ‬ ‫ﻧﮭﺎﯾﺔ‬( 1) 3 2 1 4f      
( 1,4) ‫ﻣﺤﻠﯿﺔ‬ ‫ﻋﻈﻤﻰ‬ ‫ﻧﮭﺎﯾﺔ‬ ‫ﻧﻘﻄﺔ‬
f‫ﻓﻲ‬ ‫ﻣﺤﺪﺑﺔ‬‫اﻧﻘﻼب‬ ‫ﻧﻘﻄﺔ‬ ‫ﺗﻮﺟﺪ‬ ‫ﻻ‬ ‫ﻟﺬا‬( ) 2 0f x    
1
‫ـــــــــــــــــــــــــــــ‬•‫ـــــــــ‬‫ـــــــــــــــــــــ‬ f x
-------+ + + +
144
‫ﻃﺮﻳﻘﺔ‬‫ﻓﺤﺺ‬‫ﺍﻟﻨﻬﺎﻳﺎ‬‫ﺕ‬‫ﺍﶈﻠﻴﺔ‬‫ﺑ‬‫ﺍﻟﺜﺎﻧﻴﺔ‬ ‫ﺎﳌﺸﺘﻘﺔ‬)Second Derivative Test(
‫ﻣﺜﺎل‬1:‫ﻟﻠﺪوال‬ ‫اﻟﻤﺤﻠﯿﺔ‬ ‫اﻟﻨﮭﺎﯾﺎت‬ ‫ﺟﺪ‬ ‫اﻟﺜﺎﻧﯿﺔ‬ ‫اﻟﻤﺸﺘﻘﺔ‬ ‫ﺑﺎﺳﺘﺨﺪام‬:
2
) ( ) 6 3 1a f x x x   
‫اﻟﺤﻞ‬:
( ) 6 6f x x  
0 6 6 1x x ‫ﺔ‬ ‫ﺣﺮﺟ‬   
( ) 6 (1) 6 0f x f      
‫أﺻﺒﺢ‬:(1) 0f  ‫و‬(1) 0f  ‫اﻟـ‬ ‫ﻋﻨﺪ‬ ‫ﻣﺤﻠﯿﺔ‬ ‫ﻋﻈﻤﻰ‬ ‫ﻧﮭﺎﯾﺔ‬ ‫ﺗﻮﺟﺪ‬1
(1) 6 3 1 2f ‫ﺔ‬ ‫ﻧﮭﺎﯾﺔﻋﻈﻤىﻤﺤﻠﯿ‬    
2
4
) ( ) , 0b f x x x
x
   
3
8
( ) 1 ,f x
x
  
‫اﻟﺤﺮﺟﺔ‬ ‫اﻟﻨﻘﻄﺔ‬
3
3 3
2
8 8
0 1 1 8x
x x
x         
4
24
( ) ,f x
x
  
24
( 2) 0 ,
16
f     
‫أﺻﺒﺢ‬:( 2) 0f   ‫و‬( 2) 0f   ‫اﻟـ‬ ‫ﻋﻨﺪ‬ ‫ﻣﺤﻠﯿﺔ‬ ‫ﻋﻈﻤﻰ‬ ‫ﻧﮭﺎﯾﺔ‬ ‫ﺗﻮﺟﺪ‬2
‫ﻣﺒﺮھﻨﺔ‬:‫ﻛﺎﻧﺖ‬ ‫إذا‬;f f ‫ﻟﻼﺷﺘﻘﺎق‬ ‫ﻗﺎﺑﻠﺘﯿﻦ‬‫ﻓﻲ‬( , )a b‫وﻛﺎن‬( , )c a b  ‫وأن‬ ،( ) 0f c 
‫و‬‫ﻛﺎﻧﺖ‬:
1(( ) 0f c ‫ﻓﺎن‬( )f c‫ﻟﻠﺪاﻟﺔ‬ ‫ﻣﺤﻠﯿﺔ‬ ‫ﻋﻈﻤﻰ‬ ‫ﻧﮭﺎﯾﺔ‬ ‫ﺗﻤﺜﻞ‬f.
2(( ) 0f c ‫ﻓﺎن‬( )f c‫ﻟﻠﺪاﻟﺔ‬ ‫ﻣﺤﻠﯿﺔ‬ ‫ﺻﻐﺮى‬ ‫ﻧﮭﺎﯾﺔ‬ ‫ﺗﻤﺜﻞ‬f.
145
( 2) 2 1 3f ‫ﺔ‬ ‫ﻧﮭﺎﯾﺔﻋﻈﻤىﻤﺤﻠﯿ‬      
3 2
) ( ) 3 9b f x x x x   
‫اﻟﺤﻞ‬:
2
( ) 3 6 9f x x x   
2
0 3( 2 3) 0 3( 3) ( 1)
3 1
x x x x
x or x ‫ﺎن‬ ‫ﺣﺮﺟﺘ‬
      
   
( ) 6 6f x x  
‫ﻋﻨﺪﻣﺎ‬3x 
‫ﻣﺤﻠﯿﺔ‬ ‫ﺻﻐﺮى‬ ‫ﻧﮭﺎﯾﺔ‬(3) 18 6 12 0 (3) 27 27 27 27f f           
‫ﻋﻨﺪﻣﺎ‬1x  
‫ﻣﺤﻠﯿﺔ‬ ‫ﻋﻈﻤﻰ‬ ‫ﻧﮭﺎﯾﺔ‬( 1) 6 6 12 0 ( 1) 5f f           
4
( ) ( ) 4 ( 1)c f x x   
‫اﻟﺤﻞ‬:
3
( ) 4( 1)f x x   
3
0 4( 1) 1x x ‫ﺔ‬ ‫ﺣﺮﺟ‬    
2
( ) 12( 1)f x x   
‫اﻷوﻟﻰ‬ ‫اﻟﻤﺸﺘﻘﺔ‬ ‫أﻋﺪاد‬ ‫ﺧﻂ‬ ‫ﻟﻄﺮﯾﻘﺔ‬ ‫ﻧﺮﺟﻊ‬ ‫ﻓﺎﺷﻠﺔ‬ ‫اﻟﻄﺮﯾﻘﺔ‬ ‫ھﺬه‬( 1) 0f    
3
( ) 4( 1)f x x   
‫ﻧﮭﺎﯾﺔ‬‫ﻣﺤﻠﯿﺔ‬ ‫ﻋﻈﻤﻰ‬
4
( 1) 4 ( 1 1) 4f       
-1
‫ـــــــــــــــــــــــــــــــــــــــ‬( )f x
-----+ + +
146
‫ﻭﺍﻻ‬ ‫ﺍﶈﻠﻴﺔ‬ ‫ﻟﻠﻨﻬﺎﻳﺎﺕ‬ ‫ﺍﻟﺜﻮﺍﺑﺖ‬‫ﻭ‬ ‫ﻧﻘﻼﺏ‬...
‫ﻣﺜﻼ‬:1(‫ﻟﻠﺪاﻟﺔ‬ ‫ﻛﺎن‬ ‫إذا‬f‫ﻋﻨﺪ‬ ‫ﻣﺤﻠﯿﺔ‬ ‫ﻋﻈﻤﻰ‬ ‫ﻧﮭﺎﯾﺔ‬ ‫ﻧﻘﻄﺔ‬x = 1‫ﻋﻨﺪ‬ ‫ﻣﺤﻠﯿﺔ‬ ‫ﺻﻐﺮى‬ ‫ﻧﮭﺎﯾﺔ‬ ‫وﻧﻘﻄﺔ‬x = -2
2(‫ﻟﻠﺪاﻟﺔ‬ ‫ﻛﺎن‬ ‫إذا‬f‫ھﻲ‬ ‫ﻣﺤﻠﯿﺔ‬ ‫ﻋﻈﻤﻰ‬ ‫ﻧﮭﺎﯾﺔ‬ ‫ﻧﻘﻄﺔ‬ 1, 5،..............
3(‫ﻟﻠﺪاﻟﺔ‬ ‫ﻛﺎن‬ ‫إذا‬f‫ھﻲ‬ ‫اﻧﻘﻼب‬ ‫ﻧﻘﻄﺔ‬ 1, 5،..............
4(‫ﻛﺎﻧﺖ‬ ‫إذا‬ 1, 5‫اﻟﺪاﻟﺔ‬ ‫ﻟﻤﻨﺤﻨﻲ‬ ‫اﻟﻤﻤﺎس‬ ‫ﻋﻨﺪھﺎ‬ ‫ﻧﻘﻄﺔ‬ ‫ھﻲ‬f،‫اﻟﺴﯿﻨﺎت‬ ‫ﻣﺤﻮر‬ ‫ﯾﻮازي‬..............
5(‫ﻟﻠﺪاﻟﺔ‬ ‫ﻛﺎن‬ ‫إذا‬f‫ﻋﻨﺪ‬ ‫ﻣﺤﻠﯿﺔ‬ ‫ﺻﻐﺮى‬ ‫ﻧﮭﺎﯾﺔ‬x = 1‫ﻋﻨﺪ‬ ‫اﻧﻘﻼب‬ ‫وﻧﻘﻄﺔ‬x = -2،......
‫ﺍﳌﻌﻄﻴﺎﺕ‬
‫ﺭﻗﻢ‬
‫ﺍﻟﺘﻄﺒﻴﻖ‬
‫ﺍﳊﻞ‬ ‫ﺗﻨﻔﻴﺬ‬ ‫ﻃﺮﻳﻘﺔ‬
‫ﻟﻨﻘﻄﺔ‬ ‫ﻣﺮﺗﺐ‬ ‫زوج‬ ‫ﻣﻮﺟﻮد‬:‫أو‬ ‫ﻣﺤﻠﯿﺔ‬ ‫ﻧﮭﺎﯾﺔ‬
‫ﺗﻤﺎس‬ ‫أو‬ ‫اﻧﻘﻼب‬ ‫أو‬ ‫ﺣﺮﺟﺔ‬1
‫اﻟﻤﻌﺎدﻟﺔ‬ ‫ﺗﺤﻘﻖ‬ ‫اﻟﻨﻘﻄﺔ‬
‫أن‬ ‫ﺗﻨﺲ‬ ‫وﻻ‬( )f x y
‫اﻟﺴﯿﻨﻲ‬ ‫اﻻﺣﺪاﺛﻲ‬ ‫ﻣﻮﺟﻮد‬ x k:
‫ا‬ ‫ﻟﻨﻘﻄﺔ‬‫اﻟﺤﺮﺟﺔ‬ ‫أو‬ ‫اﻟﻤﺤﻠﯿﺔ‬ ‫ﻟﻨﮭﺎﯾﺔ‬
2
1(‫ﻧﺠﺪ‬ f x
2(‫ﻧﺠﺪ‬ f k
3(‫ﻧﺠﻌﻞ‬  0f k 
‫اﻟﺴﯿﻨﻲ‬ ‫اﻻﺣﺪاﺛﻲ‬ ‫ﻣﻮﺟﻮد‬ x h:
‫اﻻﻧﻘﻼب‬ ‫ﻟﻨﻘﻄﺔ‬
3
1(‫ﻧﺠﺪ‬ f x
2(‫ﻧﺠﺪ‬ f h
3(‫ﻧﺠﻌﻞ‬  0f h 
‫ﻣﻮﺟﻮدة‬‫اﻟﻤﺤﻠﯿﺔ‬ ‫اﻟﻨﮭﺎﯾﺔ‬:‫ﻣﻮﺟﻮد‬ ‫أي‬
‫اﻟﺼﺎدي‬ ‫اﻻﺣﺪاﺛﻲ‬
‫ﺗﻜﻮن‬ ‫أن‬ ‫وﯾﺸﺘﺮط‬x‫ﻣﺠﮭﻮﻟﺔ‬
4
‫اﻋﺘﯿﺎد‬ ‫ﯾﺤﻞ‬‫أﻋﺪاد‬ ‫ﺧﻂ‬ ‫إﺷﺎرات‬ ‫ﺑﺎﺳﺘﺨﺪام‬ ‫ي‬
‫ﻋﻦ‬ ‫ﻟﻠﺒﺤﺚ‬ ‫اﻷوﻟﻰ‬ ‫اﻟﻤﺸﺘﻘﺔ‬x‫اﻟﻤﻨﺎﺳﺒﺔ‬
‫ﻟـ‬y‫اﻟﻤﻌﻄﻰ‬
‫أو‬ ‫اﻟﻤﻤﺎس‬ ‫ﻣﻌﺎدﻟﺔ‬ ‫ﻣﻮﺟﻮدة‬
‫أو‬ ‫اﻟﻤﻤﺎس‬ ‫ﻣﯿﻞ‬ ‫ﻣﻮﺟﻮد‬
‫ﻣﻌﺎدﻟﺘﻲ‬ ‫ﻣﻮﺟﻮدة‬‫اﻟﻤﻨﺤﻨﯿﯿﻦ‬
5
‫ﻧﻄﺒﻖ‬:‫ﻧﻘﻄﺔ‬ ‫ﻓﻲ‬ ‫ﻣﺘﺴﺎوﯾﺎن‬ ‫اﻟﻤﯿﻼن‬
‫اﻟﺘﻤﺎس‬
‫أي‬:‫اﻻول‬ ‫ﻣﯿﻞ‬=‫اﻟﺜﺎﻧﻲ‬ ‫ﻣﯿﻞ‬
147
6(‫ﻟﻠﺪاﻟﺔ‬ ‫ﻛﺎن‬ ‫إذا‬f‫ﻣﺤﻠ‬ ‫ﻋﻈﻤﻰ‬ ‫ﻧﮭﺎﯾﺔ‬ ‫ﻧﻘﻄﺔ‬‫اﻟﺴﯿﻨﺎت‬ ‫ﻟﻤﺤﻮر‬ ‫ﺗﻨﺘﻤﻲ‬ ‫ﯿﺔ‬............
7(‫ﻟﻠﺪاﻟﺔ‬ ‫ﻛﺎن‬ ‫إذا‬f‫اﻟﺼﺎدات‬ ‫ﻟﻤﺤﻮر‬ ‫ﺗﻨﺘﻤﻲ‬ ‫ﻣﺤﻠﯿﺔ‬ ‫ﻋﻈﻤﻰ‬ ‫ﻧﮭﺎﯾﺔ‬ ‫ﻧﻘﻄﺔ‬............
8(‫ﻟﻠﺪاﻟﺔ‬ ‫ﻛﺎن‬ ‫إذا‬f‫ﻣﺤﺪﺑﺔ‬> 1x‫وﻣﻘﻌﺮة‬< 1x‫ﻋﻨﺪ‬ ‫وﻣﺴﺘﻤﺮة‬x = 1،...
9(‫اﻟﻤﺴﺘﻘﯿﻢ‬ ‫ﻛﺎن‬ ‫إذا‬12 x - y – 11= 0‫ﻟﻠﺪاﻟﺔ‬ ‫ﻟﻤﻨﺤﻨﻲ‬ ‫ﻣﻤﺎﺳﺎ‬f‫ھﻲ‬ ‫اﻧﻘﻼب‬ ‫ﻧﻘﻄﺔ‬ ‫ﻓﻲ‬ 1, 5.....
10(‫اﻟﺪاﻟﺔ‬ ‫ﻟﻤﻨﺤﻨﻲ‬ ‫اﻟﻤﻤﺎس‬ ‫ﻣﯿﻞ‬ ‫ﻛﺎن‬ ‫إذا‬f‫اﻟﻨﻘﻄﺔ‬ ‫ﻓﻲ‬ 1, 5‫ﯾﺴﺎوي‬– 12.....
11(‫ﻛﺎن‬ ‫إذا‬11‫اﻟﺪاﻟﺔ‬ ‫ﻟﻤﻨﺤﻨﻲ‬ ‫اﻟﻤﺤﻠﯿﺔ‬ ‫اﻟﺼﻐﺮى‬ ‫اﻟﻨﮭﺎﯾﺔ‬ ‫ﺗﺴﺎوي‬f....
12(‫اﻟﻨﻘﻄﺔ‬ ‫ﻛﺎﻧﺖ‬ ‫إذا‬ , 5b‫اﻟﺪاﻟﺔ‬ ‫ﻟﻤﻨﺤﻨﻲ‬ ‫ﻣﺤﻠﯿﺔ‬ ‫ﻋﻈﻤﻰ‬ ‫ﻧﮭﺎﯾﺔ‬ ‫ﻧﻘﻄﺔ‬ ‫ھﻲ‬f...........
ALNASSIRY
‫ﻋﻨﺪ‬ ‫اﻟﻤﻤﺎس‬ ‫ﻣﯿﻞ‬ ‫ﺟﺪ‬x = -1‫ﯾﻠﻲ‬ ‫ﻣﻤﺎ‬ ‫ﻟﻜﻞ‬:  3
1 ( ) 8 5f x x x  
‫اﻟﺤﻞ‬:2
( ) 3 8 ( 1) = 3 - 8 = -5 = mf x x f    
 
6
2 ( ) ; x 1
1
f x
x
 

‫اﻟﺤﻞ‬:
   
22 2
6 6 3
( ) ( 1) = - = m
21 1 1
f x f
x
     
  
 3 x + 3y + 5 = 0
‫اﻟﺤﻞ‬:    3
1
x + 3y + 5 = 0 1 3 0
3
dy dyd d
m
dx dx dx dx
      
‫ﻣﺜﺎل‬2:‫اﻟﻨﻘﻄﺔ‬ ‫ﻛﺎﻧﺖ‬ ‫إذا‬( 1,5)‫اﻟﺪاﻟﺔ‬ ‫ﻟﻤﻨﺤﻨﻲ‬ ‫ﺣﺮﺟﺔ‬ ‫ﻧﻘﻄﺔ‬ ‫ھﻲ‬
3 2
( )f x ax bx cx  ‫وﻟﻠﺪاﻟﺔ‬
‫ﻋﻨﺪ‬ ‫اﻧﻘﻼب‬ ‫ﻧﻘﻄﺔ‬1x ‫ﻓﺠﺪ‬‫اﻟﺜﻮاﺑﺖ‬ ‫ﻗﯿﻤﺔ‬, ,a b c‫اﻟﺤﺮﺟﺔ‬ ‫اﻟﻨﻘﻄﺔ‬ ‫ﻧﻮع‬ ‫ﺑﯿﻦ‬ ‫ﺛﻢ‬.
‫اﻟﺤﻞ‬:( 1,5)‫ﺣﺮﺟﺔ‬ ‫ﻧﻘﻄﺔ‬1) ( 1) 5 ; 2) ( 1) 0f f    
1) ( 1) 5 5.........(1)f a b c     
2
( ) 3 2f x ax bx c   
2) ( 1) 0 ( 1) 3 2f f a b c       
0 3 2a b c   
148
‫ﻋﻨﺪ‬1‫اﻧﻘﻼب‬ ‫ﻧﻘﻄﺔ‬ ‫ﺗﻮﺟﺪ‬(1) 0f  
( ) 6 2
(1) 6 2
0 6 2 ...............(3)
f x ax b
f a b
a b
  
  
 
‫آﻧﯿﺎ‬ ‫اﻟﺜﻼث‬ ‫اﻟﻤﻌﺎدﻻت‬ ‫ﺗﺤﻞ‬:0 3 2a b c   
5 .........(1)a b c   
‫ـــــــــــــ‬‫ــــــــــــــــــــــــــــــــــــــــــــ‬
5 2 .........(4)a b 
‫ﻋﻠﻰ‬ ‫اﻟﻤﻌﺎدﻟﺔ‬ ‫ﻃﺮﻓﻲ‬ ‫ﺑﻘﺴﻤﺔ‬2‫ﻋﻠﻰ‬ ‫ﻧﺤﺼﻞ‬:0 6 2 ...............(3)a b 
‫ـــــــــــــــــــــــــــــــــــــــــــــــــــــــــ‬
5 2 .........(4)a b 
0 3 ...............(3)a b 
‫ﻋﻠﻰ‬ ‫ﻧﺤﺼﻞ‬ ‫اﻟﻤﻌﺎدﻟﺘﯿﻦ‬ ‫ﻃﺮﻓﻲ‬ ‫ﺑﺠﻤﻊ‬:‫ـــــــــــــــــــــــــــــــــــــــــــــــــــــــــ‬
5 5 1a a 
‫اﻟﻤﻌﺎدﻟﺘﯿﻦ‬ ‫ﺑﺈﺣﺪى‬ ‫وﺑﺎﻟﺘﻌﻮﯾﺾ‬3‫أو‬4‫ﻋﻠﻰ‬ ‫ﻧﺤﺼﻞ‬:3b  ‫اﻟﻤﻌ‬ ‫ﻓﻲ‬ ‫ﻧﻌﻮض‬ ‫ﺛﻢ‬‫ﺎدﻟﺔ‬)1(‫ﻟﻨﺠﺪ‬:
9c  
3 2
( ) 3 9f x x x x  
2
( ) 3 6 9 ( ) 6 6f x x x f x x     
‫ﻧﮭﺎﯾﺔ‬ ‫ﺗﻮﺟﺪ‬‫ﻋﻈﻤﻰ‬‫اﻟﻨﻘﻄﺔ‬ ‫ﻋﻨﺪ‬ ‫ﻣﺤﻠﯿﺔ‬( 1,5)( 1) 6 6 12 0f         
‫ﻣﺜﺎل‬3:‫ﻟﺘﻜﻦ‬f‫اﻟﻤﺴﺘﻘﯿﻢ‬ ‫وﻟﯿﻜﻦ‬ ، ‫اﻟﺜﺎﻧﯿﺔ‬ ‫اﻟﺪرﺟﺔ‬ ‫ﻣﻦ‬ ‫اﻟﺤﺪود‬ ‫ﻛﺜﯿﺮة‬ ‫داﻟﺔ‬2 9 0x y  ‫ﻣﻤﺎﺳﺎ‬
‫اﻟﺪاﻟﺔ‬ ‫ﻟﻤﻨﺤﻨﻲ‬f‫اﻟﻨﻘﻄﺔ‬ ‫ﻓﻲ‬2x ‫ﻋﻨﺪ‬ ‫ﻣﺤﻠﯿﺔ‬ ‫ﻋﻈﻤﻰ‬ ‫ﻧﮭﺎﯾﺔ‬ ‫ﻧﻘﻄﺔ‬ ‫وﻟﻠﻤﻨﺤﻨﻲ‬ ،1x ‫ﻣﻌﺎدﻟﺔ‬ ‫ﺟﺪ‬ ،
‫اﻟﻤﻨﺤﻨﻲ‬.
‫اﻟﺤﻞ‬:
‫ﻟﺘﻜﻦ‬:‫اﻟﺜﺎﻧﯿﺔ‬ ‫اﻟﺪرﺟﺔ‬ ‫ﻣﻦ‬ ‫اﻟﺤﺪود‬ ‫ﻛﺜﯿﺮة‬ ‫داﻟﺔ‬)a  0(2( )f x ax bx c  
2x ‫ﺗﻤﺎس‬ ‫ﻧﻘﻄﺔ‬2 2 9 0 5y y    ‫ھﻲ‬ ‫اﻟﺘﻤﺎس‬ ‫ﻧﻘﻄﺔ‬(2,5)
‫ﺗﺤﻘﻖ‬‫اﻟﺪاﻟﺔ‬f:2( )f x ax bx c  
149
.........4 .5 12 ( )a b c  
‫اﻟﻤﺴﺘﻘﯿﻢ‬ ‫ﻟﻜﻦ‬2 9 0x y  ‫ﻟﻠﻤﻨﺤﻨﻲ‬ ‫ﻣﻤﺎﺳﺎ‬2( )f x ax bx c  ‫ﻋﻨﺪ‬2x 
‫ﻧﺠﺪ‬ ‫اﻟﻤﻤﺎس‬ ‫ﻣﻦ‬‫ﻣﯿﻞ‬:9 2y x 2y  ‫اﻟﻤﻤﺎس‬ ‫ﻣﯿﻞ‬=2
‫اﻟﻤﻤﺎس‬ ‫ﻣﯿﻞ‬ ‫ﻧﺠﺪ‬ ‫اﻟﻤﻨﺤﻨﻲ‬ ‫ﻣﻌﺎدﻟﺔ‬ ‫ﻣﻦ‬:2( )f x ax bx c  
( ) 2f x ax b  (2) 4f a b  ‫اﻟﻤﻤﺎس‬ ‫ﻣﯿﻞ‬=4a b
‫اﻟﻨﻘﻄﺔ‬ ‫ﻧﻔﺲ‬ ‫ﻓﻲ‬ ‫وﺣﯿﺪ‬ ‫ﻣﻤﺎس‬ ‫ﻟﻠﻤﻨﺤﻨﻲ‬ ‫ﻟﻜﻦ‬‫ﻣﺘﺴﺎوﯾﺎن‬ ‫اﻟﻤﯿﻼن‬:....4 )2 ...(2a b  
‫ﻋﻨﺪ‬1x ‫ﻣﺤﻠﯿﺔ‬ ‫ﻧﮭﺎﯾﺔ‬ ‫ﺗﻮﺟﺪ‬1x ‫ﺣﺮﺟﺔ‬ ‫ﻧﻘﻄﺔ‬0(1)f  
2( )f x ax bx c  
( ) 2 (1) 2 ...... )2 (0 3f x ax b f a a bb       
‫آﻧﯿﺎ‬ ‫اﻟﺤﻞ‬:....2 4 ...(2)a b  
.... . 3)0 2 . (a b 
‫ــــــــــــــــــــــــــــــــــــ‬‫ﺑﻄﺮح‬‫ﻋﻠﻰ‬ ‫ﻧﺤﺼﻞ‬ ‫اﻟﻤﻌﺎدﻟﺘﯿﻦ‬ ‫ﻃﺮﻓﻲ‬:1a  
‫اﻟﻤﻌﺎدﻟﺘﯿﻦ‬ ‫إﺣﺪى‬ ‫ﻓﻲ‬ ‫ﺗﻌﻮض‬2b 
‫ﻋﻠﻰ‬ ‫ﻧﺤﺼﻞ‬ ‫اﻷوﻟﻰ‬ ‫اﻟﻤﻌﺎدﻟﺔ‬ ‫ﻓﻲ‬ ‫ﺗﻌﻮض‬:5c 
‫ھﻲ‬ ‫اﻟﻤﻨﺤﻨﻲ‬ ‫ﻣﻌﺎدﻟﺔ‬:2( ) 2 5f x x x   
‫ﻣﺜﺎل‬3:‫ﻛﺎ‬ ‫إذا‬‫ﻟﻠﺪ‬ ‫ن‬‫ا‬‫ﻟﺔ‬3 2( ) 3f x ax x c  ‫ﺗﺴﺎوي‬ ‫ﻣﺤﻠﯿﺔ‬ ‫ﻋﻈﻤﻰ‬ ‫ﻧﮭﺎﯾﺔ‬8‫ﻋﻨﺪ‬ ‫اﻧﻘﻼب‬ ‫وﻧﻘﻄﺔ‬
1x ‫ﻗﯿﻤﺔ‬ ‫ﻓﺠﺪ‬,a c.
‫اﻟﺤﻞ‬:‫ﻋﻨﺪ‬1x ‫اﻧﻘﻼب‬ ‫ﻧﻘﻄﺔ‬ ‫ﺗﻮﺟﺪ‬0(1)f  
2( ) 3 6 ( ) 6 6
(1) 6 6
0 6 6 1
f x ax x f x ax
f a
a a
    
  
    
 


3 2( ) 3f x x x c   
8=‫ﻣﺤﻠﺔ‬ ‫ﻋﻈﻤﻰ‬ ‫ﻧﮭﺎﯾﺔ‬8=‫ﻋﻦ‬ ‫اﻟﺒﺤﺚ‬ ‫ﻓﯿﺠﺐ‬ ‫ﺻﺎدي‬ ‫إﺣﺪاﺛﻲ‬‫أﻹﺣﺪاﺛﻲ‬‫ﻟﮫ‬ ‫اﻟﻤﻨﺎﺳﺐ‬ ‫اﻟﺴﯿﻨﻲ‬:
150
2( ) 3 6f x x x   
20 3 6 3 ( 2) 0 2x x x x x or x ‫ﺎن‬ ‫ﺣﺮﺟﺘ‬       
‫اﻟﻨﻘﻄﺔ‬ ‫أن‬ ‫ﻧﺴﺘﻨﺘﺞ‬ ‫اﻷوﻟﻰ‬ ‫اﻟﻤﺸﺘﻘﺔ‬ ‫أﻋﺪاد‬ ‫اﻟﺨﻂ‬ ‫ﻣﻦ‬:(2,8)‫ﻣﺤﻠﯿﺔ‬ ‫ﻋﻈﻤﻰ‬ ‫ﻧﮭﺎﯾﺔ‬ ‫ﻧﻘﻄﺔ‬ ‫ھﻲ‬)‫ﻣﻌﺎدﻟﺔ‬ ‫ﺗﺤﻘﻖ‬
‫اﻟﻤﻨﺤﻨﻲ‬(‫ﻧﻘﻄﮫ‬ ‫ﻣﻦ‬ ‫ﻷﻧﮭﺎ‬.
8 128 4c c    3 2( ) 3f x x x c    
‫ﻣﺜﺎل‬4:‫ﻟﺘﻜﻦ‬2
( ) , 0
a
f x x x
x
  
1(‫ﺍﻟﺪﺍﻟﺔ‬ ‫ﺃﻥ‬ ‫ﺑﺮﻫﻦ‬f‫ﲤﺘ‬ ‫ﻻ‬‫ﻗﻴﻤﺔ‬ ‫ﺗﻜﻦ‬ ‫ﻣﻬﻤﺎ‬ ‫ﳏﻠﻴﺔ‬ ‫ﻋﻈﻤﻰ‬ ‫ﻧﻬﺎﻳﺔ‬ ‫ﻠﻚ‬a.
2(‫ﻗﻴﻤﺔ‬ ‫ﺟﺪ‬a‫ﻋﻨﺪ‬ ‫ﺍﻧﻘﻼﺏ‬ ‫ﻧﻘﻄﺔ‬ ‫ﻟﻠﺪﺍﻟﺔ‬ ‫ﻛﺎﻥ‬ ‫ﺇﺫﺍ‬1
‫اﻟﺤﻞ‬:‫اﻟﺜﺎﻧﯿﺔ‬ ‫اﻟﻤﺸﺘﻘﺔ‬ ‫ﻃﺮﯾﻘﺔ‬ ‫ﻧﻄﺒﻖ‬.
‫ﺣﺮﺟﺔ‬
3
3
3
2
2
: 2 2 4 6 0
2
2
( )
2
( )
2
a
a
Then
a
f x But x
x
a
f
a


   
    
  

‫اﻟﺤﺮﺟﺔ‬ ‫ﻋﻨﺪ‬ ‫ﻣﺤﻠﯿﺔ‬ ‫ﺻﻐﺮى‬ ‫ﻧﮭﺎﯾﺔ‬ ‫ﺗﻮﺟﺪ‬ ‫ﻟﺬا‬
‫ﻗﯿﻤﺔ‬ ‫ﺗﻜﻦ‬ ‫ﻣﮭﻤﺎ‬ ‫ﻣﺤﻠﯿﺔ‬ ‫ﻋﻈﻤﻰ‬ ‫ﻧﮭﺎﯾﺔ‬ ‫ﺗﻮﺟﺪ‬ ‫ﻻ‬a
(2)‫ا‬ ‫ﻧﻘﻄﺔ‬ ‫ﻟﻠﺪاﻟﺔ‬‫ﻋﻨﺪ‬ ‫ﻧﻘﻼب‬x = 1‫ﻋﻠﻰ‬ ‫ﻧﺤﺼﻞ‬:2
2
(1) 0 1
1
a
f a     
0 2
‫ــــــــــــــــــــــــــــــــــــــــــــــــــــــــــــ‬( )f x
-----+ + + +-----
 
3 3
2
2
3
2
0
22
1 ( ) ( ) 2 ( ) 0
2 2
a
a x
a
x
a a
f x x f x x when f x
x x
a
x x
x

 
      
        
   
151
‫س‬1:‫ﻣﻨﮭﺎ‬ ‫ﻛﻼ‬ ‫وارﺳﻢ‬ ‫واﻟﺘﻘﻌﺮ‬ ‫اﻟﺘﺤﺪب‬ ‫وﻣﻨﺎﻃﻖ‬ ‫اﻟﻤﺤﻠﯿﺔ‬ ‫واﻟﻨﮭﺎﯾﺎت‬ ‫واﻟﺘﻨﺎﻗﺺ‬ ‫اﻟﺘﺰاﯾﺪ‬ ‫ﻣﻨﺎﻃﻖ‬ ‫ﺟﺪ‬ ‫اﻟﺘﺎﻟﯿﺔ‬ ‫ﻟﻠﺪوال‬:
1(3
( ) 12f x x x 2(2 4
( ) 2f x x x 3(5
5( ) xf x 
4(2
6( ) 2f x x x  5(3
4 (1 )( ) xf x  6(2
( ) ( 2)( 1)f x x x  
7(3
( 4)( ) x xf x 8(3
3 2( ) x xf x  
‫س‬2:‫ﻟﺘﻜﻦ‬2 2
( ) 6 bf x ax x  ‫أن‬ ‫ﺣﯿﺚ‬ ،b ،{4,8}a‫ﻗﯿﻤﺔ‬ ‫ﺟﺪ‬a‫اﻟﺤﺎﻻت‬ ‫ﻣﻦ‬ ‫ﻟﻜﻞ‬
‫اﻟﺘﺎﻟﯿﺔ‬:1(‫ﻣﺤﺪﺑﺔ‬ ‫اﻟﺪاﻟﺔ‬2(‫ﻣﻘﻌﺮة‬ ‫اﻟﺪاﻟﺔ‬3(‫ﻣﺤﻠﯿﺔ‬ ‫ﻋﻈﻤﻰ‬ ‫ﻧﮭﺎﯾﺔ‬ ‫ﻟﻠﺪاﻟﺔ‬.
‫س‬3:‫إذا‬‫ﻛﺎﻧﺖ‬(2.6)‫اﻟﺪاﻟﺔ‬ ‫ﻟﻤﻨﺤﻨﻲ‬ ‫ﺣﺮﺟﺔ‬ ‫ﻧﻘﻄﺔ‬ ‫ھﻲ‬4
( )( ) a x bf x  ‫ﻗﯿﻤﺔ‬ ‫ﻓﺠﺪ‬,a b‫ﻧﻮع‬ ‫وﺑﯿﻦ‬
‫اﻟﺤﺮﺟﺔ‬ ‫اﻟﻨﻘﻄﺔ‬.
‫س‬4:‫ﻛﺎن‬ ‫اذا‬3 2
( ) cxf x ax bx  12 ,( ) 1 xg x  ‫ﻣﻦ‬ ‫ﻛﻞ‬ ‫وﻛﺎن‬,g f‫ﻓﻲ‬ ‫ﻣﺘﻤﺎﺳﺎن‬
‫اﻻ‬ ‫ﻧﻘﻄﺔ‬‫ﻧﻘﻼب‬(1, 11)‫اﻟﺜﻮاﺑﺖ‬ ‫ﻗﯿﻤﺔ‬ ‫ﻓﺠﺪ‬, ,a b c.
‫س‬5:‫ﻛﺎﻧﺖ‬ ‫اذا‬6‫اﻟﺪاﻟﺔ‬ ‫ﻟﻤﻨﺤﻨﻲ‬ ‫اﻟﺼﻐﺮى‬ ‫اﻟﻨﮭﺎﯾﺔ‬ ‫ﺗﻤﺜﻞ‬2 3
( ) 3 cf x x x  ‫ﻗﯿﻢ‬ ‫ﻓﺠﺪ‬c‫ﻣﻌﺎدﻟﺔ‬ ‫ﺟﺪ‬ ‫ﺛﻢ‬
‫اﻧﻘﻼﺑﮫ‬ ‫ﻧﻘﻄﺔ‬ ‫ﻓﻲ‬ ‫اﻟﻤﻨﺤﻨﻲ‬ ‫ﻣﻤﺎس‬.
‫س‬6::‫اذا‬‫ﻛﺎن‬3 2
( ) cxf x ax bx  ‫وﻛﺎﻧﺖ‬f‫ﻣﻘﻌﺮة‬x ‫وﻣﺤﺪﺑﺔ‬x 
‫ﻋﻨﺪ‬ ‫وﻣﺴﺘﻤﺮة‬1x ‫ﻟﻠﺪاﻟﺔ‬ ‫و‬f‫ﻣﺤﻠﯿﺔ‬ ‫ﻋﻈﻤﻰ‬ ‫ﻧﮭﺎﯾﺔ‬ ‫ﻧﻘﻄﺔ‬‫ھﻲ‬( 1,5)،‫اﻟﺜﻮاﺑﺖ‬ ‫ﻗﯿﻤﺔ‬ ‫ﻓﺠﺪ‬, ,a b c.
‫س‬7:‫ﻟﺘﻜﻦ‬2
( ) , 0
a
f x x x
x
  
1(‫اﻟﺪاﻟﺔ‬ ‫أن‬ ‫ﺑﺮھﻦ‬f‫ﻗﯿﻤﺔ‬ ‫ﺗﻜﻦ‬ ‫ﻣﮭﻤﺎ‬ ‫ﻣﺤﻠﯿﺔ‬ ‫ﻋﻈﻤﻰ‬ ‫ﻧﮭﺎﯾﺔ‬ ‫ﺗﻤﺘﻠﻚ‬ ‫ﻻ‬a.
2(‫ﻗﯿﻤﺔ‬ ‫ﺟﺪ‬a‫اﻧﻘﻼ‬ ‫ﻧﻘﻄﺔ‬ ‫ﻟﻠﺪاﻟﺔ‬ ‫ﻛﺎن‬ ‫إذا‬‫ﻋﻨﺪ‬ ‫ب‬1
‫س‬8:‫إذا‬‫ﻛﺎن‬3 2
9( ) xf x ax bx  ‫وﻛﺎن‬0(3)f  ،5( 1)f  ‫ﻗﯿﻤﺔ‬ ‫ﻓﺠﺪ‬,a b.
KAMIL ALNASSIRY152 
‫اﻟﺘﻨﺎﻇﺮ‬Symmetry
‫زوﺟﯿﺔ‬ ‫دوال‬ ‫أﻧﮭﺎ‬ ‫ﻣﻦ‬ ‫اﻟﺼﺎدات‬ ‫ﻣﺤﻮر‬ ‫ﻣﻊ‬ ‫اﻟﻤﺘﻨﺎﻇﺮة‬ ‫ﻟﻠﺪوال‬ ‫ﯾﻘﺎل‬Even Functions
‫ﻓﺮدﯾﺔ‬ ‫دوال‬ ‫أﻧﮭﺎ‬ ‫ﻣﻦ‬ ‫اﻷﺻﻞ‬ ‫ﻧﻘﻄﺔ‬ ‫ﺣﻮل‬ ‫اﻟﻤﺘﻨﺎﻇﺮة‬ ‫ﻟﻠﺪوال‬ ‫وﯾﻘﺎل‬Odd Functions
‫ﻣﺜﺎل‬:‫اﻟﺘﺎﻟﯿﺔ‬ ‫اﻟﺪوال‬ ‫ﻣﻦ‬ ‫ﻟﻜﻞ‬ ‫وﺟﺪ‬ ‫إن‬ ‫اﻟﺘﻨﺎﻇﺮ‬ ‫ﻧﻮع‬ ‫ﺑﺮھﻦ‬:
4 2
1) ( ) 3 5f x x x  
‫اﻟﺤﻞ‬:‫ﻣﺠﺎل‬ ‫أوﺳﻊ‬:( )D f 
; ( )x x ‫ﻖ‬ ‫وﯾﺤﻘ‬     
4 2 4 2
( ) ( ) 3( ) 5 3 5 ( )f x x x x x f x         
‫اﻟﺼﺎدات‬ ‫ﻣﺤﻮر‬ ‫ﻣﻊ‬ ‫ﻣﺘﻨﺎﻇﺮة‬ ‫اﻟﺪاﻟﺔ‬‫زوﺟﯿﺔ‬ ‫اﻟﺪاﻟﺔ‬
35
2) ( ) 4 8f x x x x  
‫اﻟﺤﻞ‬:( )D f 
; ( )x x ‫ﻖ‬ ‫وﯾﺤﻘ‬     
5 3 5 3
( ) ( ) 4( ) 8( ) 4 8f x x x x x x x          
‫اﻷﺻﻞ‬ ‫ﻧﻘﻄﺔ‬ ‫ﺣﻮل‬ ‫ﻣﺘﻨﺎﻇﺮة‬ ‫اﻟﺪاﻟﺔ‬‫ﻓﺮدﯾﺔ‬ ‫اﻟﺪاﻟﺔ‬
5 3
( 4 8 ) ( )x x x f x    
‫ﺗﻌﺮﯾﻒ‬:‫ﻟﺘﻜﻦ‬f‫اﻟﻔﺘﺮة‬ ‫ﻋﻠﻰ‬ ‫ﻣﻌﺮﻓﺔ‬ ‫داﻟﺔ‬I
1(f‫اﻟﺼﺎدات‬ ‫ﻣﺤﻮر‬ ‫ﻣﻊ‬ ‫ﻣﺘﻨﺎﻇﺮة‬)y-axis symmetry(‫اﻟﺸﺮﻃﯿﻦ‬ ‫ﺣﻘﻘﺖ‬ ‫إذا‬:
‫أ‬(, ( )x I x I    ‫ﺗﻨﺎﻇ‬ ‫ﯾﺴﻤﻰ‬ ‫وھﺬا‬‫اﻟﻤﺠﺎل‬ ‫ﺮ‬.
‫ب‬(( ) ( )f x f x ‫ﻟﻜﻞ‬ ‫أي‬( , )x y‫ﻓﺈن‬ ‫اﻟﺪاﻟﺔ‬ ‫ﻧﻘﻂ‬ ‫ﻣﻦ‬‫ﯾﻮﺟﺪ‬( , )x y‫ﻣﻦ‬
‫اﻟﺪاﻟﺔ‬ ‫ﻧﻘﻂ‬.
2(f‫اﻷﺻﻞ‬ ‫ﻧﻘﻄﺔ‬ ‫ﻣﻊ‬ ‫ﻣﺘﻨﺎﻇﺮة‬)Origin symmetry(‫اﻟﺸﺮﻃﯿﻦ‬ ‫ﺣﻘﻘﺖ‬ ‫إذا‬:
‫أ‬(, ( )x I x I    ‫اﻟﻤﺠﺎل‬ ‫ﺗﻨﺎﻇﺮ‬ ‫ﯾﺴﻤﻰ‬ ‫وھﺬا‬.
‫ب‬(( ) ( )f x f x  ‫ﻟﻜﻞ‬ ‫أي‬( , )x y‫ﻓﺈن‬ ‫اﻟﺪاﻟﺔ‬ ‫ﻧﻘﻂ‬ ‫ﻣﻦ‬‫ﯾﻮﺟﺪ‬( , )x y ‫ﻣﻦ‬
‫اﻟﺪاﻟﺔ‬ ‫ﻧﻘﻂ‬.
KAMIL ALNASSIRY153 
2
3
5
3) ( )
x
x
f x



‫اﻟﺤﻞ‬:( )D f 
; ( )x x ‫ﻖ‬ ‫وﯾﺤﻘ‬     
2 2
3( ) 3
( ) ( )
( ) 5 5
x x
f x f x
x x
 
    
  
 
‫اﻷﺻﻞ‬ ‫ﻧﻘﻄﺔ‬ ‫ﺣﻮل‬ ‫ﻣﺘﻨﺎﻇﺮة‬ ‫اﻟﺪاﻟﺔ‬‫ﻓﺮدﯾﺔ‬ ‫اﻟﺪاﻟﺔ‬
3
5
4) ( )
x
x
f x



‫اﻟﺤﻞ‬: ( ) / 5D f  
‫ﻷن‬ ‫ﻣﺘﻨﺎﻇﺮ‬ ‫ﻏﯿﺮ‬ ‫اﻟﻤﺠﺎل‬5 ( )D f‫وأن‬5 ( )D f ‫وﻻ‬ ‫اﻟﺼﺎدات‬ ‫ﻣﻊ‬ ‫ﻻ‬ ‫ﺗﻨﺎﻇﺮ‬ ‫ﯾﻮﺟﺪ‬ ‫ﻻ‬
‫اﻷﺻﻞ‬ ‫ﻧﻘﻄﺔ‬ ‫ﺣﻮل‬.
 0,25) ( ) ,f x Sin x x  
‫اﻟﺤﻞ‬:( ) 0,2D f   
‫ﻷن‬ ‫ﻣﺘﻨﺎﻇﺮ‬ ‫ﻏﯿﺮ‬ ‫اﻟﻤﺠﺎل‬2 ( )D f ‫وأن‬2 ( )D f ‫اﻟﺼﺎدات‬ ‫ﻣﻊ‬ ‫ﻻ‬ ‫ﺗﻨﺎﻇﺮ‬ ‫ﯾﻮﺟﺪ‬ ‫ﻻ‬
‫اﻷﺻﻞ‬ ‫ﻧﻘﻄﺔ‬ ‫ﺣﻮل‬ ‫وﻻ‬.
6) ( )f x Sin x
‫اﻟﺤﻞ‬:( )D f  
; ( )x x ‫ﻖ‬ ‫وﯾﺤﻘ‬     
( ) ( ) ( )f x Sin x Sin x f x      
‫اﻷﺻﻞ‬ ‫ﻧﻘﻄﺔ‬ ‫ﺣﻮل‬ ‫ﻣﺘﻨﺎﻇﺮة‬ ‫اﻟﺪاﻟﺔ‬‫ﻓﺮدﯾﺔ‬ ‫اﻟﺪاﻟﺔ‬
KAMIL ALNASSIRY154 
‫واﻟﻌﻤﻮدﯾﺔ‬ ‫اﻷﻓﻘﯿﺔ‬ ‫اﻟﻤﺤﺎذﯾﺔ‬ ‫اﻟﻤﺴﺘﻘﯿﻤﺎت‬)Vertical asymptotes andHorizontal(
‫ﻣﺒﺮھﻨﺔ‬
1(‫اﻟﻌﻤﻮدي‬ ‫اﻟﻤﺤﺎذي‬:‫ﺑﺼﻮرة‬ ‫اﻟﺪاﻟﺔ‬ ‫ﻛﺎﻧﺖ‬ ‫إذا‬
( )
( )
( )
x
f x
g x


‫اﻟﻤﺤﺎذ‬ ‫ﻓﺈن‬‫ي‬‫اﻟﻤﻌﺎد‬ ‫ﺣﻞ‬ ‫ھﻮ‬ ‫اﻟﻌﻤﻮدي‬‫ﻟﺔ‬( ) 0g x 
2(‫اﻷﻓﻘﻲ‬ ‫اﻟﻤﺤﺎذي‬:(a‫اﻟﻤﻘﺎ‬ ‫درﺟﺔ‬ ‫ﻣﻦ‬ ‫أﺻﻐﺮ‬ ‫اﻟﺒﺴﻂ‬ ‫درﺟﺔ‬ ‫ﻛﺎﻧﺖ‬ ‫اذا‬‫م‬‫ﻓﺈن‬0y ‫اﻷﻓﻘﻲ‬ ‫اﻟﻤﺤﺎذي‬ ‫ھﻮ‬
(b‫ﻟﻠﺼ‬ ‫اﻟﺪاﻟﺔ‬ ‫ﺣﻮل‬ ‫اﻟﻤﻘﺎم‬ ‫درﺟﺔ‬ ‫ﺗﺴﺎوي‬ ‫أو‬ ‫أﻛﺒﺮ‬ ‫اﻟﺒﺴﻂ‬ ‫درﺟﺔ‬ ‫ﻛﺎﻧﺖ‬ ‫إذا‬‫ﯿﻐﺔ‬:( )
( )
( )
( )
F x
f x h x
g x
 
‫ﻓﯿﻜﻮن‬ ‫اﻟﻤﻘﺎم‬ ‫درﺟﺔ‬ ‫ﻣﻦ‬ ‫أﻗﻞ‬ ‫اﻟﺒﺴﻂ‬ ‫درﺟﺔ‬ ‫ﺷﺮط‬( )y h x‫أﻓﻘﯿﺎ‬ ‫اﻟﻤﺤﺎذي‬ ‫ھﺬا‬ ‫وﯾﻜﻮن‬ ، ‫اﻟﻤﺤﺎذي‬ ‫ھﻮ‬
‫ﻛﺎﻧﺖ‬ ‫إذا‬( )h x‫ﻣﺎﺋﻞ‬ ‫ﻣﺤﺎذي‬ ‫ﯾﻤﺜﻞ‬ ‫أو‬ ‫ﺻﻔﺮ‬ ‫اﻟﺪرﺟﺔ‬ ‫ﻣﻦ‬Slant asymptotes‫اﻟﺪرﺟﺔ‬ ‫ﻣﻦ‬ ‫ﻛﺎﻧﺖ‬ ‫إذا‬
‫اﻷوﻟﻰ‬‫ﻛﺎن‬ ‫إذا‬ ‫ﻣﻨﺤﻨﻲ‬ ‫ﺷﻜﻞ‬ ‫ﻋﻠﻰ‬ ‫ﻣﺤﺎذي‬ ‫وﯾﻤﺜﻞ‬( )g x‫ﻓﻮق‬ ‫ﻓﻤﺎ‬ ‫اﻟﺜﺎﻧﯿﺔ‬ ‫اﻟﺪرﺟﺔ‬ ‫ﻣﻦ‬.
‫ﻣﺜﺎل‬‫اﻟﺘﺎﻟﯿﺔ‬ ‫اﻟﺪوال‬ ‫ﻣﻦ‬ ‫ﻟﻜﻞ‬ ‫اﻟﻤﺤﺎذﯾﺎت‬ ‫ﺟﺪ‬:
2
1) ( ) 3
1
f x
x
 

‫اﻟﺤﻞ‬:1 1 0x x    ‫ﻋﻤﻮدي‬ ‫ﻣﺤﺎذي‬ ‫ﻣﺴﺘﻘﯿﻢ‬
3y ‫أﻓﻘﻲ‬ ‫ﻣﺤﺎذي‬ ‫ﻣﺴﺘﻘﯿﻢ‬
2 1
2) ( )
1
x
f x
x



‫اﻟﺤﻞ‬:1x  ‫ﻋﻤﻮدي‬ ‫ﻣﺤﺎذي‬ ‫ﻣﺴﺘﻘﯿﻢ‬
‫اﻟﻘﯿﺎﺳﯿﺔ‬ ‫ﻟﻠﺼﯿﻐﺔ‬ ‫ﻧﺤﻮل‬:‫ﻋﻠﻰ‬ ‫ﻓﻨﺤﺼﻞ‬ ‫ﻃﻮﯾﻠﺔ‬ ‫ﻗﺴﻤﺔ‬ ‫اﻟﻤﻘﺎم‬ ‫ﻋﻠﻰ‬ ‫اﻟﺒﺴﻂ‬ ‫ﻧﻘﺴﻢ‬:2
3
( )
1
f x
x
 

2y ‫أﻓﻘﻲ‬ ‫ﻣﺤﺎذي‬ ‫ﻣﺴﺘﻘﯿﻢ‬
KAMIL ALNASSIRY155 
2
2
3) ( )
1
x
f x
x


‫اﻟﺤﻞ‬:‫ﻣﺮﺑﻌﯿﻦ‬ ‫ﻣﺠﻤﻮع‬ ‫اﻟﻤﻘﺎم‬ ‫ﻷن‬ ‫ﻋﻤﻮدي‬ ‫ﻣﺤﺎذي‬ ‫ﻣﺴﺘﻘﯿﻢ‬ ‫إﯾﺠﺎد‬ ‫ﻣﻤﻜﻦ‬ ‫ﻏﯿﺮ‬.
‫اﻟﻘﯿﺎﺳﯿﺔ‬ ‫ﻟﻠﺼﯿﻐﺔ‬ ‫ﻧﺤﻮل‬2
2
( ) 0
1
x
f x
x
  

0y ‫أﻓﻘﻲ‬ ‫ﻣﺤﺎذي‬ ‫ﻣﺴﺘﻘﯿﻢ‬
‫اﻟﺘﻔﺎﺿﻞ‬ ‫ﺑﺎﺳﺘﺨﺪام‬ ‫اﻟﺮﺳﻢ‬Curve Sketching Using Differentiation
‫أﻣﻜﻦ‬ ‫إن‬ ‫ﯾﻠﻲ‬ ‫ﻣﺎ‬ ‫ﻧﺘﺒﻊ‬ ‫داﻟﺔ‬ ‫ﻟﺮﺳﻢ‬:
1(‫ﻟﻠﺪاﻟﺔ‬ ‫ﻣﺠﺎل‬ ‫أوﺳﻊ‬ ‫ﻧﺠﺪ‬Domain
2(‫اﻟﻤﺤﺎذﯾﺎت‬ ‫ﻧﺠﺪ‬Asymptotes‫ﻟﻠﺪاﻟﺔ‬‫ﻓ‬ ‫اﻟﻨﺴﺒﯿﺔ‬‫ﻘﻂ‬.
3(‫اﻟﺪاﻟﺔ‬ ‫ﻓﺮدﯾﺔ‬ ‫أو‬ ‫زوﺟﯿﺔ‬ ‫ﻧﺒﺮھﻦ‬Odevity of the function)‫اﻟﺘﻨﺎﻇﺮ‬Symmetry. (
4(‫واﻟﺼﺎدي‬ ‫اﻟﺴﯿﻨﻲ‬ ‫اﻟﻤﺤﻮرﯾﻦ‬ ‫ﻣﻊ‬ ‫اﻟﻤﻨﺤﻨﻲ‬ ‫ﺗﻘﺎﻃﻊ‬ ‫ﻧﻘﻂ‬ ‫ﻧﺠﺪ‬
The intersection of the curve and y axis or x axis.
5(‫رﺗﺎﺑﺔ‬ ‫أدرس‬‫اﻟﺪاﻟﺔ‬Monotonic function‫ﻟﻠﺪاﻟﺔ‬ ‫واﻟﺘﻨﺎﻗﺺ‬ ‫اﻟﺘﺰاﯾﺪ‬ ‫ﻣﻨﺎﻃﻖ‬ ‫إﯾﺠﺎد‬ ‫ﺣﯿﺚ‬ ‫ﻣﻦ‬
The increasing and decreasing interval of the function
‫اﻟﺤﺮﺟﺔ‬ ‫اﻟﻨﻘﻂ‬ ‫وﺟﺪ‬)critical point(‫إﺷﺎ‬ ‫ﺗﻔﺤﺺ‬ ‫وﻣﻦ‬ ،‫اﻟﺒﺪاﯾﺔ‬ ‫ﻓﻲ‬‫ﺑﻄﺮﯾﻘﺔ‬ ‫أو‬ ‫اﻷوﻟﻰ‬ ‫اﻟﻤﺸﺘﻘﺔ‬ ‫رات‬
‫ﻟﻠﺪاﻟﺔ‬ ‫اﻟﻤﺤﻠﯿﺔ‬ ‫اﻟﻨﮭﺎﯾﺎت‬ ‫ﻧﺠﺪ‬ ‫اﻟﺜﺎﻧﯿﺔ‬ ‫اﻟﻤﺸﺘﻘﺔ‬
6(‫و‬ ‫اﻟﺪاﻟﺔ‬ ‫وﺗﻘﻌﺮ‬ ‫ﺗﺤﺪب‬ ‫ﻧﺪرس‬‫ﻧ‬‫اﻻﻧﻘﻼب‬ ‫ﻧﻘﻂ‬ ‫ﺠﺪ‬Concavity and inflection points
7(‫ﻧﻘﻂ‬ ‫ﻧﺤﺘﺎج‬ ‫ﻗﺪ‬‫ﻣﺴﺎﻋﺪة‬‫اﻟﻤﻨﺤﻨﯿﺎت‬ ‫ﻣﺘﻌﺪدة‬ ‫ﺗﻜﻮن‬ ‫اﻟﺪاﻟﺔ‬ ‫ﻷن‬ ‫اﻟﻌﻤﻮدي‬ ‫اﻟﻤﺤﺎذي‬ ‫ﺗﻮﻓﺮ‬ ‫إذا‬ ‫وﺧﺎﺻﺔ‬.
‫أﻣﺜﻠﺔ‬:‫اﻟﺘﺎﻟﯿﺔ‬ ‫اﻟﺪوال‬ ‫اﻟﺘﻔﺎﺿﻞ‬ ‫ﺑﺎﺳﺘﺨﺪام‬ ‫ارﺳﻢ‬:
3 2
.1: ( ) 6 9 1ex f x x x x   
1(‫ﻣﺠﺎل‬ ‫أوﺳﻊ‬=
2(‫اﻟﻤﺤﺎذﯾﺎ‬‫ت‬:‫ﻟﯿﺴﺖ‬ ‫اﻟﺪاﻟﺔ‬ ‫ﻷن‬ ‫ﺗﻮﺟﺪ‬ ‫ﻻ‬‫ﻧﺴﺒﯿﺔ‬
3(‫اﻟﺘﻨﺎﻇ‬‫ﺮ‬:‫ﻻ‬ ‫ﺗﻨﺎﻇﺮ‬ ‫ﯾﻮﺟﺪ‬ ‫ﻻ‬‫ﻷن‬ ‫اﻟﺼﺎدات‬ ‫ﻣﻊ‬( ) ( )f x f x 
‫ﻷن‬ ‫اﻷﺻﻞ‬ ‫ﻧﻘﻄﺔ‬ ‫ﺣﻮل‬ ‫وﻻ‬( ) ( )f x f x  
4(‫اﻟﺘﻘﺎﻃﻊ‬:( )a‫اﻟﺴﯿﻨﺎت‬ ‫ﻣﺤﻮر‬ ‫ﻣﻊ‬)‫ﯾﻌﻮض‬0y (
KAMIL ALNASSIRY156 
3 2
0 6 9 1x x x   ‫ﻣ‬‫ﻓﺘﺘﺮك‬ ‫ﺣﻠﮭﺎ‬ ‫ﯾﺼﻌﺐ‬ ‫اﻟﺜﺎﻟﺜﺔ‬ ‫اﻟﺪرﺟﺔ‬ ‫ﻣﻦ‬ ‫ﻌﺎدﻟﺔ‬
( )b‫اﻟﺼﺎدات‬ ‫ﻣﻊ‬)‫ﯾﻌﻮض‬0x ‫اﻟﺼﺎدات‬ ‫ﻣﺤﻮر‬ ‫ﻣﻌﺎدﻟﺔ‬ ‫ﻷﻧﮭﺎ‬(1y (0,1)‫اﻟﺘﻘﺎﻃﻊ‬ ‫ﻧﻘﻄﺔ‬
5(‫واﻟﺘﻨﺎﻗﺺ‬ ‫اﻟﺘﺰاﯾﺪ‬. Increasing/Decreasing:
a) Take the first derivative:
2
( ) 3 12 9f x x x   
b) Set it equal to zero:
2
3 12 9 0x x  
x: c) Solve for
2
3( 4 3) 0x x  
3( 1)( 3) 0x x  
1x and3x ‫ﺣﺮﺟﺘﺎن‬ ‫ﻧﻘﻄﺘﺎن‬
‫اﻹﺷﺎرات‬ ‫ﺗﺤﻠﯿﻞ‬Sign analysis
f‫ﻣﺘﺰاﯾﺪة‬‫ﻓﻲ‬:1( |x x ‫و‬2( :x x 
f‫ﻣﺘﻨﺎﻗﺼﺔ‬:x 
‫اﻟﻤﺤﻠ‬ ‫اﻟﻨﮭﺎﯾﺎت‬‫ﯿﺔ‬:
1x and3x ‫اﻟﺼﺎدي‬ ‫اﻻﺣﺪاﺛﻲ‬ ‫ﻟﻨﺠﺪ‬
‫ﻣﺤﻠﯿﺔ‬ ‫ﻋﻈﻤﻰ‬ ‫ﻧﮭﺎﯾﺔ‬=
3 2
(1) (1) 6(1) 9(1) 1 5f     
‫ﻣﺤﻠﯿﺔ‬ ‫ﺻﻐﺮى‬ ‫ﻧﮭﺎﯾﺔ‬=
3 2
(3) (3) 6(3) 9(3) 1 1f     
Critical points‫ﺣﺮﺟﺔ‬ ‫ﻧﻘﺎط‬(1,5)and(3,1) 
‫واﻟﺘﻘﻌﺮ‬ ‫اﻟﺘﺤﺪب‬6. Concave up/Concave down
( ) 6 12f x x  
‫ﻟﻼﻧﻘﻼب‬ ‫ﻣﺮﺷﺤﺔ‬6 12 0 2x x   
1 3
‫إﺷﺎرة‬( )f x
--- + ++ + 0  0 
min 
max 
KAMIL ALNASSIRY157 
+
2
_
‫اﺷﺎرة‬f ''(x)
f‫اﻟﻔﺘﺮة‬ ‫ﻓﻲ‬ ‫ﻣﺤﺪﺑﺔ‬‫ﻓﻲ‬( ,2).‫ﺗﻜﺘﺐ‬ ‫أو‬ : 2x x .
f‫اﻟﻔﺘﺮة‬ ‫ﻓﻲ‬ ‫ﻣﻘﻌﺮة‬(2, )‫ﺗﻜﺘﺐ‬ ‫أو‬ : 2x x .
‫اﻻﻧﻘﻼب‬ ‫ﻧﻘﻄﺔ‬Inflection point)2x (
3 2
(2) (2) 6(2) 9(2) 1 3y f     
‫ھﻲ‬ ‫اﻻﻧﻘﻼب‬ ‫ﻧﻘﻄﺔ‬:(2,3)
‫ﻧ‬‫اﻟﻨﻘﻄﺔ‬ ‫ﻮع‬yx
Max‫ﻣﺤﻠﯿﺔ‬ ‫ﻋﻈﻤﻰ‬ ‫ﻧﮭﺎﯾﺔ‬ ‫ﻧﻘﻄﺔ‬51
Min‫ﻣﺤﻠﯿﺔ‬ ‫ﺻﻐﺮى‬ ‫ﻧﮭﺎﯾﺔ‬ ‫ﻧﻘﻄﺔ‬13
Inflexion‫اﻧﻘﻼب‬32
y – intercept‫اﻟﺼﺎدات‬ ‫ﻣﻊ‬ ‫ﺗﻘﺎﻃﻊ‬10
KAMIL ALNASSIRY158 
3 4
2: ( ) 4 27ex f x x x  
1‫ﻣﺠﺎل‬ ‫أوﺳﻊ‬=
2‫اﻟﻤﺤﺎذﯾﺎ‬‫ت‬:‫ا‬ ‫ﻷن‬ ‫ﺗﻮﺟﺪ‬ ‫ﻻ‬‫ﻟﯿﺴﺖ‬ ‫ﻟﺪاﻟﺔ‬‫ﻧﺴﺒﯿﺔ‬
1(‫اﻟﺘﻨﺎﻇ‬‫ﺮ‬:‫ﻧﻘﻄﺔ‬ ‫ﺣﻮل‬ ‫وﻻ‬ ‫اﻟﺼﺎدات‬ ‫ﻣﻊ‬ ‫ﻻ‬ ‫ﺗﻨﺎﻇﺮ‬ ‫ﯾﻮﺟﺪ‬ ‫ﻻ‬‫اﻷﺻﻞ‬.......
4(‫اﻟﺘﻘﺎﻃﻊ‬a(‫اﻟﺴﯿﻨﺎت‬ ‫ﻣﺤﻮر‬ ‫ﻣﻊ‬)y=0(
3 4
4 27 0x x  
‫ﺣﻠﮭﺎ‬ ‫ﯾﺼﻌﺐ‬ ‫اﻟﺮاﺑﻌﺔ‬ ‫اﻟﺪرﺟﺔ‬ ‫ﻣﻦ‬ ‫ﻣﻌﺎدﻟﺔ‬
(b‫اﻟﺼﺎدات‬ ‫ﻣﺤﻮر‬ ‫ﻣﻊ‬)0x ((0) 27f  
‫ھﻲ‬ ‫اﻟﺘﻘﺎﻃﻊ‬ ‫ﻧﻘﻄﺔ‬:(0, 27)
5(
2 3
'( ) 12 4f x x x 
22 3
(3 ) 0
0 3
12 4 0 4 x
x or x ‫ﺎن‬ ‫ﺣﺮﺟﺘ‬
x x x   
 
  
‫ﻣﺘﺰاﯾﺪة‬ ‫اﻟﺪاﻟﺔ‬:   1) : 0 ; 2) 0,3x x x  
‫ﻓﻲ‬ ‫ﻣﺘﻨﺎﻗﺼﺔ‬ ‫اﻟﺪاﻟﺔ‬: : 3x x 
‫ﻣﺤﻠﯿﺔ‬ ‫ﻋﻈﻤﻰ‬ ‫ﻧﮭﺎﯾﺔ‬(3) 108 81 27 0f    
‫ھﻲ‬ ‫اﻟﻤﺤﻠﯿﺔ‬ ‫اﻟﻌﻈﻤﻰ‬ ‫اﻟﻨﮭﺎﯾﺔ‬ ‫ﻧﻘﻄﺔ‬( 3 , 0)‫ﺣﺮﺟﺔ‬ ‫ﻧﻘﻄﺔ‬ ‫وھﻲ‬
‫إﺷﺎرة‬
( )f x
0 3
- - - - -+ + +
max
+ + ++
KAMIL ALNASSIRY159 
2
6) ( ) 24 12f x x x  
‫اﻧﻘﻼب‬ ‫ﻧﻘﻂ‬ ‫ﺗﻜﻮن‬ ‫أن‬ ‫ﻣﺮﺷﺤﺔ‬0 12 (2 ) 2 , 0x x x x   
‫ﻣﻘﻌﺮة‬ ‫اﻟﺪاﻟﺔ‬‫اﻟﻔﺘﺮ‬ ‫ﻓﻲ‬‫اﻟﻤﻔﺘﻮﺣﺔ‬ ‫ة‬:(0,2)
‫اﻟﺪاﻟﺔ‬‫ﻣﺤﺪﺑﺔ‬‫اﻟﻔﺘﺮﺗﯿﻦ‬ ‫ﻓﻲ‬:1( : 0x x 2( : 2x x 
‫ﺔاﻧﻘﻼب‬ ‫ﻧﻘﻄ‬(0) 27 (0, 27)f   
‫ﺔاﻧﻘﻼب‬ ‫ﻧﻘﻄ‬(2) 32 16 27 (2 , 11)f     
‫إﺷﺎرة‬
( )f x
0
---+ + + + +---
2
KAMIL ALNASSIRY160 
2
3: ( ) 3 2Ex f x x x  
1(‫ﻣﺠﺎل‬ ‫أوﺳﻊ‬=
2(‫اﻟﺘﻨﺎﻇﺮ‬:‫اﻷﺻﻞ‬ ‫ﻧﻘﻄﺔ‬ ‫ﺣﻮل‬ ‫وﻻ‬ ‫اﻟﺼﺎدات‬ ‫ﻣﻊ‬ ‫ﻻ‬ ‫ﺗﻨﺎﻇﺮ‬ ‫ﯾﻮﺟﺪ‬ ‫ﻻ‬.
3(‫اﻟﻤﺤﺎذﯾﺎ‬‫ت‬:‫ﻏﯿﺮ‬ ‫اﻟﺪاﻟﺔ‬ ‫ﻻن‬ ‫ﺗﻮﺟﺪ‬ ‫ﻻ‬‫ﻧﺴﺒﯿﺔ‬.
4(‫اﻟﺘﻘﺎﻃﻊ‬:
a(‫اﻟﺴﯿﻨﺎت‬ ‫ﻣﺤﻮر‬ ‫ﻣﻊ‬)y = 0(
2
0 3 2
0 (3 ) (1 ) 3 ; 1
x x
x x x x
  
      
‫ھﻲ‬ ‫اﻟﺴﯿﻨﺎت‬ ‫ﻣﺤﻮر‬ ‫ﻣﻊ‬ ‫اﻟﺪاﻟﺔ‬ ‫ﺗﻘﺎﻃﻊ‬ ‫ﻧﻘﻂ‬:( 3,0) ; (1, 0)
b(‫اﻟﺼﺎدات‬ ‫ﻣﺤﻮر‬ ‫ﻣﻊ‬)x = 0((0) 3f (0 ,3)‫اﻟﺘﻘﺎﻃﻊ‬ ‫ﻧﻘﻄﺔ‬ ‫ھﻲ‬
5(( ) 2 2f x x   
‫ﺣﺮﺟﺔ‬ ‫ﻧﻘﻄﺔ‬0 2 2 1x x     
‫ﻣﺘﺰاﯾﺪة‬ ‫اﻟﺪاﻟﺔ‬‫ﻓﻲ‬: : 1x x  
‫ﻣﺘﻨﺎﻗﺼﺔ‬ ‫اﻟﺪاﻟﺔ‬‫ﻓﻲ‬: : 1x x  
‫ﻣﺤﻠﯿﺔ‬ ‫ﻋﻈﻤﻰ‬ ‫ﻧﮭﺎﯾﺔ‬( 1) 3 2 1 4f      
( 1, 4 )‫ﺣﺮﺟﺔ‬ ‫ﻧﻘﻄﺔ‬ ‫وھﻲ‬ ‫ﻣﺤﻠﯿﺔ‬ ‫ﻋﻈﻤﻰ‬ ‫ﻧﮭﺎﯾﺔ‬ ‫ﻧﻘﻄﺔ‬ ‫ھﻲ‬.
1
- - - -+ + +
‫اﺷﺎرة‬( )f x
max
KAMIL ALNASSIRY161 
5(‫ﻓﻲ‬ ‫ﻣﺤﺪﺑﺔ‬ ‫اﻟﺪاﻟﺔ‬‫اﻧﻘﻼب‬ ‫ﻧﻘﻄﺔ‬ ‫ﺗﻮﺟﺪ‬ ‫ﻻ‬ ‫ﻟﺬا‬( ) 2 0f x   
3
.4: ( ) (2 ) 8Ex f x x  
1(‫ﻟﻠﺪاﻟﺔ‬ ‫ﻣﺠﺎل‬ ‫أوﺳﻊ‬=
2(‫اﻟﻤﺤﺎذﯾﺎت‬:‫ﻏﯿﺮ‬ ‫اﻟﺪاﻟﺔ‬ ‫ﻷن‬ ‫ﻣﺤﺎذﯾﺎت‬ ‫ﺗﻮﺟﺪ‬ ‫ﻻ‬‫ﻧﺴﺒﯿﺔ‬.
3(‫اﻟﺘﻨﺎﻇﺮ‬:‫اﻷﺻﻞ‬ ‫ﻧﻘﻄﺔ‬ ‫ﺣﻮل‬ ‫وﻻ‬ ‫اﻟﺼﺎدات‬ ‫ﻣﻊ‬ ‫ﻻ‬ ‫ﺗﻨﺎﻇﺮ‬ ‫ﯾﻮﺟﺪ‬ ‫ﻻ‬...
4(‫اﻟﺘﻘﺎﻃﻊ‬:
A(‫اﻟﺴﯿﻨﺎت‬ ‫ﻣﻊ‬)y = 0(
‫اﻟﺘﻘﺎﻃﻊ‬ ‫ﻧﻘﻄﺔ‬
3 3
0 (2 ) 8 (2 ) 8
2 2 4 (4 , 0)
x x
x x
      
      
B(‫اﻟﺼﺎدات‬ ‫ﻣﻊ‬)x = 0(y=16‫ھﻲ‬ ‫اﻟﺘﻘﺎﻃﻊ‬ ‫ﻧﻘﻄﺔ‬) :0 , 16(
5(
2
( ) 3(2 )f x x   
‫ﺣﺮﺟﺔ‬ ‫ﻧﻘﻄﺔ‬
2
0 3(2 ) 2x x    
KAMIL ALNASSIRY162 
‫ﻣﺘﻨﺎﻗﺼﺔ‬ ‫اﻟﺪاﻟﺔ‬:1) 2 ; 2) 2x x   
‫ﻓﻘﻂ‬ ‫ﻣﺘﻨﺎﻗﺼﺔ‬ ‫اﻟﺪاﻟﺔ‬ ‫ﻷن‬ ‫ﻣﺤﻠﯿﺔ‬ ‫ﻧﮭﺎﯾﺔ‬ ‫ﺗﻮﺟﺪ‬ ‫ﻻ‬.
6(
( ) 6 (2 ) ( ) 0f x x when f x     
‫ﻟﻼﻧﻘﻼب‬ ‫ﻣﺮﺷﺤﺔ‬0 6 (2 ) 2x x   
‫ﻣﺤﺪﺑﺔ‬ ‫اﻟﺪاﻟﺔ‬:0x 
‫ﻣﻘﻌﺮة‬ ‫اﻟﺪاﻟﺔ‬:0x 
‫اﻧﻘﻼب‬ ‫ﻧﻘﻄﺔ‬
3
( ) (2 2) 8 8 (2, 8)f x     
2
- - - -
‫ﺗﺤﺪب‬
+ + +
‫ﺗﻘﻌﺮ‬
‫اﺷﺎرة‬
( )f x
2
- - - -- - -
‫إﺷﺎرة‬
( )f x
KAMIL ALNASSIRY163 
5.5: ( )Ex f x x x 
1(‫ﻟﻠﺪاﻟﺔ‬ ‫ﻣﺠﺎل‬ ‫أوﺳﻊ‬=
2(‫اﻟﻤﺤﺎذﯾﺎت‬:‫ﻏﯿﺮ‬ ‫اﻟﺪاﻟﺔ‬ ‫ﻷن‬ ‫ﻣﺤﺎذﯾﺎت‬ ‫ﺗﻮﺟﺪ‬ ‫ﻻ‬‫ﻧﺴﺒﯿﺔ‬.
3(‫اﻟﺘﻨﺎﻇﺮ‬:‫ﻣﻮﺟﻮد‬
‫اﻟﺒﺮھﺎن‬:, ( )x x ‫ﻖ‬ ‫وﺗﺤﻘ‬     
5 5 5
( ) ( ) ( ) ( ) ( )f x x x x x x x f x            
f‫اﻷﺻﻞ‬ ‫ﻧﻘﻄﺔ‬ ‫ﺣﻮل‬ ‫ﻣﺘﻨﺎﻇﺮة‬
4(‫اﻟ‬‫ﺘﻘﺎﻃﻊ‬:
A(‫اﻟﺴﯿﻨﺎت‬ ‫ﻣﻊ‬)y = 0(50 x x  0x ‫ھﻲ‬ ‫اﻟﺘﻘﺎﻃﻊ‬ ‫ﻧﻘﻄﺔ‬(0,0)
B(‫اﻟﺼﺎدات‬ ‫ﻣﻊ‬)x = 0()y = 0(‫ھﻲ‬ ‫اﻟﺘﻘﺎﻃﻊ‬ ‫ﻧﻘﻄﺔ‬(0,0)
5(
4( ) 5 1 0f x x    
‫ﻓﻲ‬ ‫ﻣﺘﺰاﯾﺪة‬ ‫اﻟﺪاﻟﺔ‬‫ﺣﺮﺟﺔ‬ ‫ﻧﻘﻄﺔ‬ ‫ﺗﻮﺟﺪ‬ ‫ﻻ‬ ، ‫ﻣﺤﻠﯿﺔ‬ ‫ﻧﮭﺎﯾﺔ‬ ‫ﺗﻮﺟﺪ‬ ‫ﻻ‬ ‫ﻟﺬا‬.
6(3( ) 20f x x 
30 20 0x x  
‫اﻟﻔﺘﺮة‬ ‫ﻋﻠﻰ‬ ‫ﻣﻘﻌﺮة‬ ‫اﻟﺪاﻟﺔ‬ : 0x x 
‫اﻟﻔﺘﺮة‬ ‫ﻋﻠﻰ‬ ‫ﻣﺤﺪﺑﺔ‬ ‫اﻟﺪاﻟﺔ‬ : 0x x 
(0 , 0 )‫اﻧﻘﻼب‬ ‫ﻧﻘﻄﺔ‬(0) 0f  
0
- - - - + + +
‫اﺷﺎرة‬
( )f x
KAMIL ALNASSIRY164 
3 1
6: ( )
1
x
Q f x
x



1(‫ﻣﺠﺎل‬ ‫أوﺳﻊ‬= / 1
2(‫اﻟﻤﺤﺎذﯾﺎت‬:
A(‫اﻟﻌﻤﻮدي‬) :x = -1(
B(‫اﻷﻓﻘﻲ‬:‫ﺑﺎﻟﻘﺴﻤﺔ‬‫اﻟﻄﻮﯾﻠ‬‫ﺔ‬‫اﻟﻘﯿﺎﺳﯿﺔ‬ ‫ﻟﻠﺼﯿﻐﺔ‬ ‫اﻟﺪاﻟﺔ‬ ‫ﺗﺤﻮل‬
4
( ) 3
1
f x
x
 

Y = 3‫أﻓﻘﻲ‬ ‫ﻣﺤﺎذي‬ ‫ﻣﺴﺘﻘﯿﻢ‬
3(‫اﻟﺘﻨﺎﻇﺮ‬:‫اﻷﺻﻞ‬ ‫ﻧﻘﻄﺔ‬ ‫ﺣﻮل‬ ‫وﻻ‬ ‫اﻟﺼﺎدات‬ ‫ﻣﻊ‬ ‫ﻻ‬ ‫ﺗﻨﺎﻇﺮ‬ ‫ﯾﻮﺟﺪ‬ ‫ﻻ‬....
4(‫اﻟﺘﻘﺎﻃﻊ‬:
A(‫اﻟﺴﯿﻨﺎت‬ ‫ﻣﺤﻮر‬ ‫ﻣﻊ‬)y = 0(
1
3
x ‫ھﻲ‬ ‫اﻟﺘﻘﺎﻃﻊ‬ ‫ﻧﻘﻄﺔ‬1
, 0
3
 
 
 
B(‫اﻟﺼﺎدات‬ ‫ﻣﺤﻮر‬ ‫ﻣﻊ‬)x = 0(y = -1‫ھﻲ‬ ‫اﻟﺘﻘﺎﻃﻊ‬ ‫ﻧﻘﻄﺔ‬(0, 1)
5(
4
( ) 3
1
f x
x
 

4
( ) 0
2( 1)
f x
x
  

KAMIL ALNASSIRY165 
  x   1      ‫ﺎل‬ ‫اﻟﻤﺠ‬  
‫ﺣﺮﺟﺔ‬ ‫ﻧﻘﻄﺔ‬ ‫وﻻ‬ ‫ﻣﺤﻠﯿﺔ‬ ‫ﻧﮭﺎﯾﺔ‬ ‫ﺗﻮﺟﺪ‬ ‫ﻻ‬ ‫ﻟﺬا‬.
‫ﻣﺘﺰاﯾﺪة‬ ‫اﻟﺪاﻟﺔ‬:1 ; 1x x     
)‫اﻟﺪاﻟﺔ‬ ‫أن‬ ‫اﻟﻘﻮل‬ ‫ﯾﻤﻜﻦ‬ ‫ﻻ‬ ‫ﻟﻤﺎذا‬‫ﻣﺘﺰاﯾﺪة‬‫ﻓﻲ‬ / 1‫؟‬(‫ﻗﻠﯿﻼ‬ ‫ﻓﻜﺮ‬.
6(
8
( ) 0
3( 1)
f x
x
  

  x   1      ‫ﺎل‬ ‫اﻟﻤﺠ‬  
‫اﻧﻘﻼب‬ ‫ﻧﻘﻄﺔ‬ ‫ﺗﻮﺟﺪ‬ ‫ﻻ‬ ‫ﻟﺬا‬
‫ﻣﺤﺪﺑﺔ‬ ‫اﻟﺪاﻟﺔ‬:1x  
‫ﻣﺤﺪﺑﺔ‬ ‫اﻟﺪاﻟﺔ‬:1x  
7(‫ﻣﺴﺎﻋﺪة‬ ‫ﻧﻘﻂ‬:‫أن‬ ‫ﺑﻤﺎ‬)x = -1(‫اﻟﻨﻘﻂ‬ ‫ﻣﻦ‬ ‫ﻣﺠﻤﻮﻋﺘﯿﻦ‬ ‫ﻓﻨﺴﺘﻌﻤﻞ‬ ‫ﻋﻤﻮدي‬ ‫ﻣﺤﺎذي‬ ‫ﻣﺴﺘﻘﯿﻢ‬:
- - - -+ + +
‫إﺷﺎرة‬
( )f x
1
o

+ + ++ + +
‫اﺷﺎرة‬
( )f x
1
o

KAMIL ALNASSIRY166 
6
7: ( )
2 1
Q f x
x


1(‫ﻣﺠﺎل‬ ‫أوﺳﻊ‬=
2(‫اﻟﻤﺤﺎذﯾﺎت‬:‫اﻟﻌﻤﻮد‬‫ي‬‫ﻣﺮﺑﻌﯿﻦ‬ ‫ﻣﺠﻤﻮع‬ ‫اﻟﻤﻘﺎم‬ ‫ﻷن‬ ‫ﻣﻮﺟﻮد‬ ‫ﻏﯿﺮ‬
‫اﻷﻓﻘﻲ‬)y = 0(
3(‫اﻟﺘﻨﺎﻇﺮ‬:‫ﻣﻮﺟﻮد‬
X = -1
y
x
y = 3
KAMIL ALNASSIRY167 
‫إﺷﺎرة‬
( )f x
0
+ + + - - -
max
‫اﻟﺒﺮھﺎن‬:2 2
6 6
( ) ( )
( ) 1 1
f x f x
x x
   
  
‫اﻟﺪاﻟﺔ‬‫زوﺟﯿﺔ‬)‫اﻷﺻﻞ‬ ‫ﻧﻘﻄﺔ‬ ‫ﺣﻮل‬ ‫ﻣﺘﻨﺎﻇﺮة‬(
4(‫اﻟﺘ‬‫اﻟﻤﺤﻮرﯾﻦ‬ ‫ﻣﻊ‬ ‫ﻘﺎﻃﻊ‬:a(‫اﻟﺴﯿﻨﺎت‬ ‫ﻣﻊ‬)‫ﻣﻤﻜﻦ‬ ‫ﻏﯿﺮ‬(
b(‫اﻟﺼﺎدات‬ ‫ﻣﻊ‬)x=0(‫ﻋﻠﻰ‬ ‫ﻧﺤﺼﻞ‬y = 6‫ھﻲ‬ ‫اﻟﺘﻘﺎﻃﻊ‬ ‫ﻧﻘﻂ‬)0 , 6(
5(
6(2 ) 12
( )
2 2 2 2( 1) ( 1)
x x
f x
x x
   
 
‫اﻟﻤﺸﺘﻘﺔ‬ ‫وﻋﻨﺪﻣﺎ‬=0‫ﻋﻠﻰ‬ ‫ﻧﺤﺼﻞ‬:‫اﻟﺒﺴﻂ‬=00x ‫ﺣﺮﺟﺔ‬ ‫ﻧﻘﻄﺔ‬
‫ﻣﺘﺰاﯾﺪة‬ ‫اﻟﺪاﻟﺔ‬‫اﻟﻔﺘﺮة‬ ‫ﻓﻲ‬ : 0x x 
‫ﻣﺘﻨﺎﻗﺼﺔ‬ ‫اﻟﺪاﻟﺔ‬‫ﻓﻲ‬ : 0x x 
‫ﻣﺤﻠﯿﺔ‬ ‫ﻋﻈﻤﻰ‬ ‫ﻧﮭﺎﯾﺔ‬
6
(0) 6
0 1
f   

(0,6)‫ﻧﮭﺎﯾ‬ ‫ﻧﻘﻄﺔ‬ ‫ھﻲ‬‫ﺔ‬‫ﻣﺤﻠﯿﺔ‬ ‫ﻋﻈﻤﻰ‬
6(
2 2( 1) ( 12 ) 2*( 12) *
2 4(
2( 1)*
1)
2
( )
x x
x
x x
f x
  

   
2( 1)x  2 212( 1) 48
42( 1)
x x
x
   
  
 3
236 12
32( 1)
x
x



‫اﻟﺜﺎﻧﯿﺔ‬ ‫اﻟﻤﺸﺘﻘﺔ‬ ‫وﻋﻨﺪﻣﺎ‬=0‫ﻋﻠﻰ‬ ‫ﻧﺤﺼﻞ‬)‫اﻟﺒﺴﻂ‬=0(236 12 0x  
KAMIL ALNASSIRY168 
212(3 1) 0x  
1
3
x  ‫ﻟﻼﻧﻘﻼب‬ ‫ﻣﺮﺷﺤﺔ‬ ‫ﻧﻘﻂ‬
‫ﻣﻘﻌﺮة‬ ‫اﻟﺪاﻟﺔ‬:‫ﻓﻲ‬
1 1
1) | 2) :
3 3
x x x x
   
           
   
‫ﻣﺤﺪﺑﺔ‬ ‫اﻟﺪاﻟﺔ‬:‫ﻓﻲ‬‫اﻟﻤﻔﺘﻮﺣﺔ‬ ‫اﻟﻔﺘﺮة‬
1 1
( , )
3 3

1 6 3 9
( )
1 3 23 1
3
f     


1 9
( , )
23
‫اﻧﻘﻼ‬ ‫ﻧﻘﻄﺘﺎ‬‫ب‬
‫إﺷﺎرة‬
( )f x
1
3
1
3

+ + +-------+ + +
KAMIL ALNASSIRY169 
‫اﻟﺘﺎﻟﯿﺔ‬ ‫اﻟﺪوال‬ ‫ﺑﺎﻟﺘﻔﺎﺿﻞ‬ ‫ﻣﻌﻠﻮﻣﺎﺗﻚ‬ ‫ﺑﺎﺳﺘﺨﺪام‬ ‫ارﺳﻢ‬:
4
5
3 2
3
3
2 3
2 2
1: ( ) 1 (1 )
2: ( ) 1 (1 )
3: ( ) 6 12
4: ( ) 6 2
5: ( ) 6
6: ( ) 3 9
7 : ( ) ( 2)
Q f x x
Q f x x
Q f x x x x
Q f x x x
Q f x x x
Q f x x x x
Q f x x
  
  
  
  
 
  
 
2
5
2
2
2
2
2
2
8:
9:   ( ) 3 10
10: ( )
11: 4 0
3
12: ( )
2
13: ( )
1
4
14: ( )
( 1)
6
15: (
( ) ( 2)( 1
)
3
1
)
16: ( )
1
Q
Q f x x x
Q f x x
Q x y
Q f x
x
x
Q f x
x
Q f x
x
Q f
f x x x
x
x
x
Q f x
x
  

 











 


‫ﺍﻟﻨﺎﺻﺮﻱ‬‫ﻣﻮﺳﻰ‬‫ﻛﺎﻣﻞ‬
170
‫ﺍﶈﻠﻴﺔ‬ ‫ﺍﻟﻨﻬﺎﻳﺎﺕ‬ ‫ﻋﻠﻰ‬ ‫ﻋﻤﻠﻴﺔ‬ ‫ﺗﻄﺒﻴﻘﺎﺕ‬)‫ﺍﻟﻘﺼﻮﻯ‬(.
‫اﻛﺒﺮ‬ ‫ﺗﻌﯿﯿﻦ‬ ‫ﻓﯿﮭﺎ‬ ‫ﯾﻄﻠﺐ‬ ‫ﻣﺴﺎﺋﻞ‬ ، ‫وﻏﯿﺮھﺎ‬ ‫واﻻﻗﺘﺼﺎد‬ ‫واﻟﮭﻨﺪﺳﺔ‬ ‫اﻟﻌﻠﻮم‬ ‫ﻓﻲ‬ ‫ﻗﻀﺎﯾﺎ‬ ‫ﻋﺪة‬ ‫ﺗﺘﻀﻤﻦ‬ ‫أن‬ ‫ﻟﻠﺘﻄﺒﯿﻘﺎت‬ ‫ﯾﻤﻜﻦ‬
‫ﻧﺼﯿﺔ‬ ‫ﻣﺴﺎﺋﻞ‬ ‫ﺗﺴﻤﻰ‬ ‫ﻟﺬا‬ ‫واﻟﻜﻠﻤﺎت‬ ‫ﺑﺎﻟﺠﻤﻞ‬ ‫اﻟﻤﺴﺎﺋﻞ‬ ‫ھﺬه‬ ‫وﺗﺼﺎغ‬ ، ‫ﻣﺘﻐﯿﺮة‬ ‫ﻟﻜﯿﺔ‬ ‫ﻗﯿﻤﺔ‬ ‫اﺻﻐﺮ‬ ‫أو‬ ‫ﻗﯿﻤﺔ‬‫وﺳﻮف‬ ،
‫ﻓﻲ‬ ‫اﻟﻤﺴﺎﺋﻞ‬ ‫ﺑﻌﺾ‬ ‫ﻧﻘﺪم‬‫اﻟﻨﺼﯿﺔ‬ ‫اﻟﻜﻠﻤﺎت‬ ‫ﺗﺤﻮﯾﻞ‬ ‫اﺳﻠﻮب‬ ‫ﺗﻮﺿﺢ‬ ‫ﻣﺤﻠﻮﻟﺔ‬ ‫ﻛﺄﻣﺜﻠﺔ‬ ‫اﻟﻤﻮاﺿﯿﻊ‬ ‫ھﺬه‬ ‫ﻣﻦ‬ ‫ﺑﻌﺾ‬‫إﻟﻲ‬
‫ﺛﻢ‬ ‫وﻣﻦ‬ ، ‫دوال‬ ، ‫ﻣﻌﺎدﻻت‬ ، ‫رﯾﺎﺿﯿﺔ‬ ‫ﺻﯿﻎ‬‫إﯾﺠﺎد‬‫اﻟﻤﻄﻠﻮﺑﺔ‬ ‫اﻟﺼﻐﺮى‬ ‫أو‬ ‫اﻟﻌﻈﻤﻰ‬ ‫اﻟﻘﯿﻢ‬.
‫ﻓﻤﺜﻼ‬ ‫اﻟﺴﺆال‬ ‫ﺑﺪاﯾﺔ‬ ‫ﻓﻲ‬ ‫اﻟﺪاﻟﺔ‬ ‫ﻋﻠﻰ‬ ‫اﻟﺘﻌﺮف‬ ‫ﯾﺠﺐ‬ ‫اﻟﻤﺤﻠﯿﺔ‬ ‫اﻟﻨﮭﺎﯾﺎت‬ ‫ﻋﻠﻰ‬ ‫ﻋﻤﻠﯿﺔ‬ ‫ﺗﻄﺒﯿﻘﺎت‬ ‫ﻣﻮﺿﻮﻋﻨﺎ‬ ‫وﻓﻲ‬:
‫أ‬ ، ‫اﺳﻄﻮاﻧﺔ‬ ‫أﻛﺒﺮ‬‫ﻣﺨﺮوط‬ ‫أﻛﺒﺮ‬ ، ‫اﺳﻄﻮاﻧﺔ‬ ‫ﺻﻐﺮ‬...‫ﯾﻌﺘﻤﺪ‬ ‫ﻣﺠﺴﻢ‬ ‫ﻷي‬ ‫واﻟﺼﻐﺮ‬ ‫اﻟﻜﺒﺮ‬ ‫ﻷن‬ ‫اﻟﺤﺠﻢ‬ ‫داﻟﺔ‬ ‫ھﻲ‬ ‫اﻟﺪاﻟﺔ‬
‫رﻗﯿﻖ‬ ‫ﻣﻌﺪن‬ ‫ﻣﻦ‬ ‫ﻣﻤﻜﻨﺔ‬ ‫ﻛﻤﯿﺔ‬ ‫أﻗﻞ‬ ‫ﻗﯿﻞ‬ ‫إذا‬ ‫أﻣﺎ‬ ، ‫ﺣﺠﻤﮫ‬ ‫ﻋﻠﻰ‬‫ﺗﻜﻔﻲ‬‫ھﻲ‬ ‫اﻟﺪاﻟﺔ‬ ‫اﻟﺤﺎﻟﺔ‬ ‫ھﺬه‬ ‫ﻓﻲ‬ ، ‫ﻣﺠﺴﻢ‬ ‫ﻟﺼﻨﻊ‬
‫اﻟﻤﺴﺎﺣﺔ‬.
‫ﯾﻠﻲ‬ ‫ﻣﺎ‬ ‫ﻧﺘﺒﻊ‬ ‫ﺳﺆال‬ ‫أي‬ ‫وﻟﺤﻞ‬:
1(‫واﻟ‬ ‫اﻟﻤﺘﻐﯿﺮات‬ ‫ﻣﺆﺷﺮا‬ ‫ﻟﻠﻤﺴﺄﻟﺔ‬ ‫ﺗﻮﺿﯿﺤﯿﺎ‬ ‫ﺷﻜﻼ‬ ‫ارﺳﻢ‬‫اﻟﻤﻌﻄﺎة‬ ‫ﻤﻌﻠﻮﻣﺎت‬.
2(‫اﻟﻤﺘﻐﯿﺮ‬ ‫وﻣﻦ‬ ‫اﻟﺜﺎﺑﺖ‬ ‫ﻣﻦ‬ ‫اﻷﺑﻌﺎد‬ ‫ﻓﻲ‬ ‫ﺣﺪد‬.
3(‫اﻟﻜﻤﯿﺔ‬ ‫ﻧﻌﺘﺒﺮ‬Q‫واﺣﺪ‬ ‫ﻣﺘﻐﯿﺮ‬ ‫ﺑﺪﻻﻟﺔ‬ ‫ﻋﻨﮭﺎ‬ ‫وﻧﻌﺒﺮ‬ ‫واﻟﺼﻐﺮى‬ ‫اﻟﻌﻈﻤﻰ‬ ‫ﻗﯿﻤﺘﮭﺎ‬ ‫اﻟﻤﻄﻠﻮب‬ ‫اﻟﺪاﻟﺔ‬‫وﻟﯿﻜﻦ‬x
‫ﻗﯿﻢ‬ ‫ﺗﻌﯿﯿﻦ‬ ‫ﻣﻊ‬x‫اﻟﻤﺤﺘﻤﻠﺔ‬)‫ﻓﺘﺮة‬ ‫ﻋﺎدة‬ ‫ﺗﻤﺜﻞ‬.(
4(‫أﺣﺪھﻤﺎ‬ ‫ﻓﺠﺪ‬ ‫ﻣﺘﻐﯿﺮﯾﻦ‬ ‫اﻟﻤﺴﺄﻟﺔ‬ ‫ﻓﻲ‬ ‫وﺟﺪ‬ ‫إذا‬‫اﻵﺧﺮ‬ ‫ﺑﺪﻻﻟﺔ‬.
5(‫اﻟﺜﺎﻧﯿﺔ‬ ‫اﻟﻤﺸﺘﻘﺔ‬ ‫ﺑﻄﺮﯾﻘﺔ‬ ‫أو‬ ‫اﻷوﻟﻰ‬ ‫اﻟﻤﺸﺘﻘﺔ‬ ‫ﺑﻄﺮﯾﻘﺔ‬ ‫إﻣﺎ‬ ‫اﻟﻨﻘﻂ‬ ‫ھﺬه‬ ‫وأﺧﺘﺒﺮ‬ ‫اﻟﺤﺮﺟﺔ‬ ‫اﻟﻨﻘﻂ‬ ‫ﺟﺪ‬.
‫أﻣﺜﻠــــــــــــــــﺔ‬:
Ex61:‫ﯾﻤﻜﻦ‬ ‫ﻣﺎ‬ ‫أﺻﻐﺮ‬ ‫اﻟﻨﺎﺗﺞ‬ ‫ﯾﻜﻮن‬ ‫ﻣﺮﺑﻌﮫ‬ ‫إﻟﻰ‬ ‫أﺿﯿﻒ‬ ‫إذا‬ ‫اﻟﺬي‬ ‫اﻟﻌﺪد‬ ‫ﺟﺪ‬.
‫اﻟﻌﺪد‬ ‫ﻟﯿﻜﻦ‬=x‫اﻟﻌﺪد‬ ‫ﻣﺮﺑﻊ‬=x2
‫اﻹﺿﺎﻓﺔ‬ ‫ﻧﺎﺗﺞ‬ ‫وﻟﯿﻜﻦ‬=Q
2
( )Q f x x x  
( ) 1 2f x x  
‫اﻟﺤﺮﺟﺔ‬ ‫اﻟﻨﻘﻄﺔ‬ ‫وھﻮ‬ ‫اﻟﻤﻄﻠﻮب‬ ‫اﻟﻌﺪد‬ ‫ﯾﻤﺜﻞ‬
1
0 1 2
2
x x

   
1
( ) 2 ( ) 2 0
2
f x f     1
2
x  
‫اﻟﻌﺪد‬ ‫ﻋﻨﺪ‬ ‫ﻣﺤﻠﯿﺔ‬ ‫ﺻﻐﺮى‬ ‫ﻧﮭﺎﯾﺔ‬ ‫اﻟﻤﺠﻤﻮع‬ ‫ﻟﺪاﻟﺔ‬
1
2
x  
‫ﺍﻟﻨﺎﺻﺮﻱ‬‫ﻣﻮﺳﻰ‬‫ﻛﺎﻣﻞ‬
171
Ex62:‫ﺑﻌﺪاھﺎ‬ ‫اﻟﺸﻜﻞ‬ ‫ﻣﺮﺑﻌﺔ‬ ‫اﻟﻨﺤﺎس‬ ‫ﻣﻦ‬ ‫ﻗﻄﻌﺔ‬ ‫ﻣﻦ‬ ‫ﻣﻔﺘﻮح‬ ‫ﺻﻨﺪوق‬ ‫ﺻﻨﻊ‬12,12 cm‫أرﺑﻌﺔ‬ ‫ﺑﻘﺺ‬ ‫وذﻟﻚ‬
‫ﻣﻨﮭﺎ‬ ‫اﻟﺒﺎرزة‬ ‫اﻷﺟﺰاء‬ ‫ﺛﻨﻲ‬ ‫ﺛﻢ‬ ‫اﻷرﺑﻌﺔ‬ ‫أرﻛﺎﻧﮭﺎ‬ ‫ﻣﻦ‬ ‫اﻷﺑﻌﺎد‬ ‫ﻣﺘﺴﺎوﯾﺔ‬ ‫ﻣﺮﺑﻌﺎت‬.‫اﻟﻌﻠﺒﺔ؟‬ ‫ﻟﮭﺬه‬ ‫اﻷﻋﻈﻢ‬ ‫اﻟﺤﺠﻢ‬ ‫ھﻮ‬ ‫ﻣﺎ‬
‫اﻟﺤﻞ‬:
‫ﯾﺴﺎوي‬ ‫اﻟﻤﻘﻄﻮع‬ ‫اﻟﺮﺑﻊ‬ ‫ﺿﻠﻊ‬ ‫ﻃﻮل‬ ‫ﻧﻔﺮض‬x cm
‫ھﻲ‬ ‫اﻟﺼﻨﺪوق‬ ‫أﺑﻌﺎد‬:12 2 ; 12 2 ;x x x 
‫اﻟﺤﺠﻢ‬=‫اﻟﺜﻼﺛﺔ‬ ‫أﺑﻌﺎده‬ ‫ﺿﺮب‬ ‫ﺣﺎﺻﻞ‬:
(12 2 ) (12 2 )*v x x x  
2
( ) (12 2 )v f x x x  
4
( ) (144 48 4 )V f x x x x   
2 3
( ) 144 48 4V f x x x x   
2
( ) 144 96 12
dv
f x x x
dx
   
2
0 12(12 8 ) 12(6 )(2 )x x x x     
‫اﻟﺤﺮﺟﺔ‬ ‫اﻟﻨﻘﻂ‬2 ; 6x x  
‫أن‬ ‫اﻟﺸﻜﻞ‬ ‫ﻣﻦ‬ ‫ﻻﺣﻆ‬6‫ﺗﮭﻤﻞ‬
‫ﻋﻨﺪ‬ ‫ﺑﯿﻨﻤﺎ‬2‫ﻧﮭﺎﯾﺔ‬ ‫ﺗﻮﺟﺪ‬‫وﺗﺴﺎوي‬ ‫ﻟﻠﺤﺠﻢ‬ ‫ﻋﻈﻤﻰ‬
2 3
(2) 2(12 4) 128V f cm   
xx
x
x
x x
x
12 2x
x
2
0
‫إﺷﺎرة‬( )f x
---+ +
max
6
min
+ +
‫ﺍﻟﻨﺎﺻﺮﻱ‬‫ﻣﻮﺳﻰ‬‫ﻛﺎﻣﻞ‬
172
h-12
12
12
h
xx
Ex63:‫ﻣﺘﺴﺎ‬ ‫ﻣﺜﻠﺚ‬ ‫أﻛﺒﺮ‬ ‫ﺑﻌﺪي‬ ‫ﺟﺪ‬‫ﻗﻄﺮھﺎ‬ ‫ﻧﺼﻒ‬ ‫داﺋﺮة‬ ‫داﺧﻞ‬ ‫ﯾﻮﺿﻊ‬ ‫أن‬ ‫ﯾﻤﻜﻦ‬ ‫اﻟﺴﺎﻗﯿﻦ‬ ‫وي‬12 cm‫أن‬ ‫ﺑﺮھﻦ‬ ‫ﺛﻢ‬
‫ﻛﻨﺴﺒﺔ‬ ‫اﻟﺪاﺋﺮة‬ ‫ﻣﺴﺎﺣﺔ‬ ‫إﻟﻰ‬ ‫اﻟﻤﺜﻠﺚ‬ ‫ﻣﺴﺎﺣﺔ‬
3 3
4
‫اﻟﺤﻞ‬:
1(‫اﻟﻤﺜﻠﺚ‬ ‫ﺑﻌﺪي‬ ‫ﻧﻔﺮض‬:2 ,x h)‫اﻟﻤﺘﻐﯿﺮات‬(
2(‫اﻟﻤﺘﻐﯿﺮات‬ ‫ﺑﯿﻦ‬ ‫ﻋﻼﻗﺔ‬ ‫ﻟﻨﺠﺪ‬:
‫ﻓﯿﺜﺎ‬‫ﻏ‬‫ﻮرس‬:
2 2( 12) 144x h  
2 2 24 144 144x h h   
2 224x h h 
224x h h 
3(‫اﻟﺪاﻟﺔ‬) :‫اﻟﻤﺜﻠﺚ‬ ‫ﻣﺴﺎﺣﺔ‬(
1
*
2
A b h
1
*2 *
2
A x h h x 
4(‫اﻟﺘﻌﻮﯾﺾ‬:
2( ) 24A f h h h h  
‫اﻟﻤﺠﺎل‬ ‫ﻻﺣﻆ‬:0 24h ‫أن‬ ‫ﯾﻌﻨﻲ‬ ‫وھﺬا‬h‫اﻟﺠﺬر‬ ‫ﺗﻮﺣﯿﺪ‬ ‫ﻓﯿﻤﻜﻦ‬ ‫ﻣﻮﺟﺒﺔ‬
5(‫اﻟﻤﺸﺘﻘﺔ‬ ‫ﻗﺒﻞ‬ ‫اﻟﺘﺒﺴﯿﻂ‬
2 2( ) (24 )A f h h h h  
3 4( ) 24A f h h h  
6(‫اﻟﻤﺴﺎﺣﺔ‬ ‫ﻟﺪاﻟﺔ‬ ‫اﻟﺤﺮﺟﺔ‬ ‫اﻟﻨﻘﻂ‬ ‫ﻧﺠﺪ‬:
3272 4
( )
3 424
h hdA
f h
dh h h
 

‫ﺍﻟﻨﺎﺻﺮﻱ‬‫ﻣﻮﺳﻰ‬‫ﻛﺎﻣﻞ‬
173
‫وﻋﻨﺪﻣﺎ‬( ) 0f h 2 372 4 0h h 
24 (18 ) 0 18h h h cm   
‫ﻧﺘﻌﺮف‬ ‫اﻟﻤﺠﺎور‬ ‫اﻟﻤﺨﻄﻂ‬ ‫وﻣﻦ‬‫ﻋﻠ‬‫ﻰ‬‫اﻟﻤﺴﺎﺣﺔ‬ ‫ﻟﺪاﻟﺔ‬ ‫أن‬‫ﻧﮭﺎﯾﺔ‬‫اﻟـ‬ ‫ﻋﻨﺪ‬ ‫ﻋﻈﻤﻰ‬18
‫اﻻرﺗﻔﺎع‬=h = 18 cm
‫اﻟﻘﺎﻋﺪة‬ ‫ﻃﻮل‬=2x
2 224 24*18 18
18(24 18) 18*6 36*3 6 3
x h h x
x cm
    
    
‫اﻟﻘﺎﻋﺪة‬ ‫ﻃﻮل‬=12 3 cm
‫اﻟﺪاﺋﺮة‬ ‫ﻣﺲ‬:2
1A r2 2
1 *12 144A cm  
‫اﻟﻤﺜﻠﺚ‬ ‫ﻣﺲ‬:2
1
*
2
A b h
2
2 6 3*18 108 3A cm 
‫اﻟﻤﺜﻠﺚ‬ ‫ﻣﺲ‬‫اﻟﺪاﺋﺮة‬ ‫ﻣﺲ‬:
2
1
108 3 3 3
144 4
A
A  
 
18
0
‫إﺷﺎرة‬( )f h
---+ +
max
24
‫ﺍﻟﻨﺎﺻﺮﻱ‬‫ﻣﻮﺳﻰ‬‫ﻛﺎﻣﻞ‬
174
b
c r
n s
p
a
y
18
x
18 -x
24
Ex64:‫ﻗﺎﻋﺪﺗﮫ‬ ‫ﻃﻮل‬ ‫ﻣﺜﻠﺚ‬ ‫داﺧﻞ‬ ‫ﯾﻮﺿﻊ‬ ‫أن‬ ‫ﯾﻤﻜﻦ‬ ‫ﻣﺴﺘﻄﯿﻞ‬ ‫أﻛﺒﺮ‬ ‫ﺑﻌﺪي‬ ‫ﺟﺪ‬24 cm‫وارﺗﻔﺎﻋ‬‫ﮫ‬18 cm‫ﺑﺤﯿﺚ‬
‫أ‬‫رؤوﺳ‬ ‫ﻣﻦ‬ ‫ﻣﺘﺠﺎورﯾﻦ‬ ‫رأﺳﯿﻦ‬ ‫ن‬‫ﮫ‬‫ﺳﺎﻗﯿﮫ‬ ‫ﻋﻠﻰ‬ ‫ﺗﻘﻌﺎن‬ ‫اﻟﺒﺎﻗﯿﯿﻦ‬ ‫واﻟﺮأﺳﯿﻦ‬ ‫اﻟﻘﺎﻋﺪة‬ ‫ﻋﻠﻰ‬ ‫ﺗﻘﻌﺎن‬.
‫اﻟﺤﻞ‬:
1(‫اﻟﻤﺴﺘﻄﯿﻞ‬ ‫ﺑﻌﺪي‬ ‫ﻣﻦ‬ ‫ﻛﻞ‬ ‫ﻃﻮل‬ ‫ﻧﻔﺮض‬:x , y cm
2(‫اﻟﻤﺘﻐﯿﺮات‬ ‫ﺑﯿﻦ‬ ‫اﻟﻌﻼﻗﺔ‬:‫اﻟﻤﺜﻠﺜﺎن‬:bns , bcr‫ﺗﺘﻨﺎﺳﺐ‬ ‫ﻟﺬا‬ ‫اﻟﻤﺘﻨﺎﻇﺮة‬ ‫زواﯾﺎھﻤﺎ‬ ‫ﻟﺘﺴﺎوي‬ ‫ﻣﺘﺸﺎﺑﮭﺎن‬
‫أﺿﻼﻋﮭﻤ‬‫ﺎ‬‫اﻟﻤﺘﻨﺎﻇ‬‫ارﺗﻔﺎﻋﯿﮭﻤﺎ‬ ‫وﻛﺬﻟﻚ‬ ‫ﺮة‬.
18
24 18
ns ba y x
cr bp

  
24
(18 )
4
(18
318
)xy x y    
3(‫اﻟﺪاﻟﺔ‬:‫اﻟﻤﺴﺘﻄﯿﻞ‬ ‫ﻣﺴﺎﺣﺔ‬=‫ﻃﻮﻟﮫ‬ ‫ﺿﺮب‬ ‫ﺣﺎﺻﻞ‬×‫ﻋﺮﺿﮫ‬A x y
4(‫واﺣﺪ‬ ‫ﻣﺘﻐﯿﺮ‬ ‫ﺑﺪﻻﻟﺔ‬ ‫اﻟﺘﺤﻮل‬:
4
(18 )
3
*A x x
‫ﺍﻟﻨﺎﺻﺮﻱ‬‫ﻣﻮﺳﻰ‬‫ﻛﺎﻣﻞ‬
175
5(‫اﻟﻤﺸﺘﻘﺔ‬ ‫ﻗﺒﻞ‬ ‫اﻟﺘﺒﺴﯿﻂ‬:
24
( ) ( 18 )
3
f x A x x  ‫ﺣﯿﺚ‬0 18x 
6(‫اﻟﺤﺮﺟﺔ‬ ‫اﻟﻨﻘﻂ‬ ‫ﻧﺠﺪ‬:
4
( ) ( 18 2 )
3
f x x  
‫وﻋﻨﺪﻣﺎ‬( ) 0f x 9x ‫اﻟﺤﺮﺟﺔ‬ ‫اﻟﻨﻘﻄﺔ‬
4 8
( ) ( 2)
3 3
f x    
8
(9) 0
3
f    
‫ﻋﻨﺪ‬ ‫ﻣﺤﻠﯿﺔ‬ ‫ﻋﻈﻤﻰ‬ ‫ﻧﮭﺎﯾﺔ‬ ‫اﻟﻤﺴﺎﺣﺔ‬ ‫ﻟﺪاﻟﺔ‬ ‫ﯾﻌﻨﻲ‬ ‫وھﺬا‬9x cm‫اﻟﺒﻌﺪﯾﻦ‬ ‫أﺣﺪ‬ ‫وﯾﻤﺜﻞ‬.
‫اﻵﺧﺮ‬ ‫اﻟﺒﻌﺪ‬
4
(18 9) 12
3
y cm  ;
4
(18 )
3
y x 
Ex65(‫ﻃﻮﻟﮫ‬ ‫ﺳﻠﻚ‬ ‫ﻣﻦ‬ ‫ﺷﻜﻞ‬L cm‫ﻣﺴﺎﺣﺔ‬ ‫أﻛﺒﺮ‬ ‫ذو‬ ‫ﻣﺴﺘﻄﯿﻼ‬.
‫اﻟﺤﻞ‬:
1(‫اﻟﻤﺴﺘﻄﯿﻞ‬ ‫ﺑﻌﺪي‬ ‫ﻧﻔﺮض‬x , y cm‫اﻟﻤﺘﻐﯿﺮات‬
2(‫ﻟﻠﻤﺴﺘﻄﯿﻞ‬ ‫ﻣﺤﯿﻄﺎ‬ ‫ﯾﻤﺜﻞ‬ ‫اﻟﺜﺎﺑﺖ‬ ‫اﻟﺴﻠﻚ‬ ‫ﻃﻮل‬( )*2x y L 
2
L
y x 
3(‫اﻟﻤﺴﺘﻄﯿﻞ‬ ‫ﻣﺴﺎﺣﺔ‬ ‫ﻟﺘﻜﻦ‬=A*A x y
4(*( )
2
L
A x x 
5(
2
( )
2
L
A f x x x  
6(( ) 2
2
L
f x x  
‫وﻋﻨﺪﻣﺎ‬( ) 0f x 
‫ﻓﺎن‬:‫ﺣﺮﺟﺔ‬
4
L
x cm
‫ﺍﻟﻨﺎﺻﺮﻱ‬‫ﻣﻮﺳﻰ‬‫ﻛﺎﻣﻞ‬
176
h
8
8
h+8

a
b
c
n
d
r
‫ﻣﺤﻠﯿﺔ‬ ‫ﻋﻈﻤﻰ‬ ‫ﻧﮭﺎﯾﺔ‬ ‫اﻟﻤﺴﺎﺣﺔ‬ ‫ﻟﺪاﻟﺔ‬ ‫أن‬ ‫ﯾﻌﻨﻲ‬ ‫وھﺬا‬
( ) 0 2 2
( ) 2 0
4 4
f x
L L
when x f
    
   
2 4 4
L L L
y cm  
‫وﻣﺴﺎﺣﺘﮫ‬ ‫ﻣﺮﺑﻊ‬ ‫ھﻮ‬ ‫اﻟﻤﺘﻜﻮن‬ ‫اﻟﻤﺴﺘﻄﯿﻞ‬
2 21
16
L cm
Ex66:‫ﻗﻄﺮھﺎ‬ ‫ﻧﺼﻒ‬ ‫ﻛﺮة‬ ‫ﯾﺤﯿﻂ‬ ‫ﻗﺎﺋﻢ‬ ‫داﺋﺮي‬ ‫ﻣﺨﺮوط‬ ‫أﺻﻐﺮ‬ ‫ﻗﻄﺮ‬ ‫وﻧﺼﻒ‬ ‫ارﺗﻔﺎع‬ ‫ﺟﺪ‬8 cm.
1(‫اﻟﻤﺨﺮوط‬ ‫ﺑﻌﺪي‬ ‫ﻧﻔﺮض‬ ‫اﻟﺮﺳﻢ‬ ‫ﺑﻌﺪ‬, 8r h cm‫ﺣﺠﻤﮫ‬ ‫وﻟﯿﻜﻦ‬=V
2(‫اﻟﻌﻼﻗﺔ‬:2
8
tan
864 adnabc
r
hh


 

‫ﻋﻠﻰ‬ ‫ﻧﺤﺼﻞ‬ ‫اﻟﻄﺮﻓﯿﻦ‬ ‫وﺑﺘﺮﺑﯿﻊ‬:
2
2 2
64
64 ( 8)
r
h h

 
2
2
64
( 8)( 8) ( 8)
r
h x h

  
2 8
64*
8
h
r
h



3(‫اﻟﺪاﻟﺔ‬:
21
*( 8)
3
V r h 
4(‫واﺣﺪ‬ ‫ﺑﻤﺘﻐﯿﺮ‬ ‫اﻟﺪاﻟﺔ‬ ‫ﺗﻜﻮن‬ ‫أن‬ ‫أﺟﻞ‬ ‫ﻣﻦ‬ ‫اﻟﺘﻌﻮﯾﺾ‬:
1 8
64* * *( 8)
3 8
h
V h
h


 

5(‫ﺗﺒﺴﯿﻂ‬:8h :
2
64 ( 8)
( ) *
3 8
h
V f h
h
 
 

‫ﺍﻟﻨﺎﺻﺮﻱ‬‫ﻣﻮﺳﻰ‬‫ﻛﺎﻣﻞ‬
177
24
8
‫إﺷﺎرة‬( )f h
+ +--
min
2
2
64 ( 8)*2( 8) ( 8) *1
( ) *
3 ( 8)
h h h
f h
h
    
 

2 2
64 ( 8)(2 16 8) 64 ( 24)( 8)
( ) * *
3 ( 8) 3 ( 8)
h h h h h
f h
h h
      
  
 
6(‫اﻟﺤﺮﺟﺔ‬ ‫اﻟﻨﻘﻂ‬ ‫ﻧﺠﺪ‬:‫اﻟﻤﺸﺘﻘﺔ‬ ‫وﻋﻨﺪﻣﺎ‬=0‫اﻟﺒﺴﻂ‬ ‫ﻓﺎن‬=024 0h  
24h ‫ﺣﺮﺟﺔ‬
‫ﻧﮭﺎﯾﺔ‬ ‫اﻟﺤﺠﻢ‬ ‫ﻟﺪاﻟﺔ‬ ‫أن‬ ‫ﻧﺴﺘﻨﺞ‬ ‫اﻷوﻟﻰ‬ ‫اﻟﻤﺸﺘﻘﺔ‬ ‫اﺧﺘﺒﺎر‬ ‫ﻣﺨﻄﻂ‬ ‫ﻣﻦ‬
‫ﻋﻨﺪﻣﺎ‬ ‫ﻣﺤﻠﯿﺔ‬ ‫ﺻﻐﺮى‬24h 
‫اﻷﺑﻌﺎد‬(‫اﻻرﺗﻔﺎع‬:h+8 = 32 cm
‫اﻟﻘﻄﺮ‬ ‫ﻧﺼﻒ‬r(
2 24 8
64* 128 8 2
24 8
r r cm

   

Ex67(‫داﺋﺮﯾﺔ‬ ‫اﺳﻄﻮاﻧﺔ‬ ‫ﻗﻄﺮ‬ ‫ﻧﺼﻒ‬ ‫ﯾﺴﺎوي‬ ‫ﻛﺮة‬ ‫ﻗﻄﺮ‬ ‫ﻧﺼﻒ‬ ‫ﻛﺎن‬ ‫اذا‬‫ﻗﺎﺋﻤﺔ‬‫اﻟﻜﺮة‬ ‫ﺣﺠﻤﻲ‬ ‫ﻣﺠﻤﻮع‬ ‫وﻛﺎن‬ ،
‫ﯾﺴﺎوي‬ ‫واﻻﺳﻄﻮاﻧﺔ‬
3
90 cm‫اﻟﻜﻠﯿﺔ‬ ‫ﻣﺴﺎﺣﺘﯿﮭﻤﺎ‬ ‫ﻣﺠﻤﻮع‬ ‫ﯾﻜﻮن‬ ‫ﻋﻨﺪﻣﺎ‬ ‫اﻟﻜﺮة‬ ‫ﻗﻄﺮ‬ ‫ﻧﺼﻒ‬ ‫ﺟﺪ‬‫ﻣﺎ‬ ‫أﺻﻐﺮ‬
‫ﯾﻤﻜﻦ‬.
‫اﻟﺤﻞ‬:
1(‫اﻻﺳﻄﻮاﻧﺔ‬ ‫ﺑﻌﺪي‬ ‫ﻧﻔﺮض‬:‫اﻟ‬ ‫ﻧﺼﻒ‬‫ﻘﻄﺮ‬=r‫واﻻرﺗﻔﺎع‬=h‫ﻟﻜﺮ‬ ‫ﻗﻄﺮا‬ ‫ﻧﺼﻒ‬‫ة‬=r‫ﺑﺎﻟﺴﻨﺘﯿﻤﺘﺮ‬
2(‫اﻟﻌﻼﻗﺔ‬:‫اﻟﻜﺮة‬ ‫ﺣﺠﻢ‬+‫اﻻﺳﻄﻮاﻧﺔ‬ ‫ﺣﺠﻢ‬=
3
90 cm
3 2 2 34 4
* 90 * 90
3 3
r r h r h r         
2
90 4
3
h r
r
  
‫ﺍﻟﻨﺎﺻﺮﻱ‬‫ﻣﻮﺳﻰ‬‫ﻛﺎﻣﻞ‬
178
3(‫اﻟﺪاﻟﺔ‬:‫اﻟﻜﺮة‬ ‫ﻣﺴﺎﺣﺔ‬+‫ﻣﺴﺎ‬‫اﻻﺳﻄﻮاﻧﺔ‬ ‫ﺣﺔ‬
Sylinder SphereA A A 
2 2
2 2 4 SphereSylinder
r h r rA     
4(‫واﺣﺪ‬ ‫ﻟﻤﺘﻐﯿﺮ‬ ‫اﻟﺘﺤﻮﯾﻞ‬:2
2 290 4
2 ( )
3
2 4rA r
r
rr      
5(‫اﻻﺷﺘﻘﺎق‬ ‫ﻗﺒﻞ‬ ‫ﻣﺎ‬ ‫ﺗﺒﺴﯿﻂ‬:
2 290 4
( ) 2 ( 6)
3
A f r r
r
r     
6(‫ﻟﻠﺼﻔﺮ‬ ‫اﻟﻤﺸﺘﻘﺔ‬ ‫وﻧﺴﺎوي‬ ‫ﻧﺸﺘﻖ‬:2
90 8
( ) 2 1)
3
2(
dA
f r r
dr r
r 

    
2
3
2
2
90 8
0 2 ( ) 12
3
r
r r
r

 


    
3 3 3 3
0 270 8 18 10 270 27 3r r r r r cm         
‫اﻟﻤ‬ ‫ﻟﻤﺠﻤﻮع‬ ‫أن‬ ‫ﯾﻌﻨﻲ‬ ‫وھﺬا‬‫اﻟﻘﻄﺮ‬ ‫ﻧﺼﻒ‬ ‫ﻋﻨﺪﻣﺎ‬ ‫ﻣﺤﻠﯿﺔ‬ ‫ﺻﻐﺮى‬ ‫ﻧﮭﺎﯾﺔ‬ ‫ﺴﺎﺣﺘﯿﻦ‬=3 cm
Ex68:‫ﯾﺴﺎوى‬ ‫وﻣﺮﺑﻊ‬ ‫داﺋﺮة‬ ‫ﻣﺤﯿﻄﻲ‬ ‫ﻣﺠﻤﻮع‬60 cm‫اﻟﺸﻜﻠﯿﻦ‬ ‫ﻣﺴﺎﺣﺘﻲ‬ ‫ﻣﺠﻤﻮع‬ ‫ﯾﻜﻮن‬ ‫ﻋﻨﺪﻣﺎ‬ ‫اﻧﮫ‬ ‫اﺛﺒﺖ‬
‫اﻟﻤﺮﺑﻊ‬ ‫ﺿﻠﻊ‬ ‫ﻃﻮل‬ ‫ﯾﺴﺎوي‬ ‫اﻟﺪاﺋﺮة‬ ‫ﻗﻄﺮ‬ ‫ﻃﻮل‬ ‫ﻓﺎن‬ ‫ﯾﻤﻜﻦ‬ ‫ﻣﺎ‬ ‫أﺻﻐﺮ‬.
‫اﻟﺤﻞ‬:
1(‫اﻟﻔﺮﺿﯿﺔ‬:‫اﻟﺪاﺋﺮة‬ ‫ﻗﻄﺮ‬ ‫ﻧﺼﻒ‬ ‫ﻧﻔﺮض‬=r cm‫ﺿﻠﻊ‬ ‫ﻃﻮل‬ ‫وﻧﻔﺮض‬‫اﻟﻤﺮﺑﻊ‬=x cm
2(‫اﻟﻌﻼﻗﺔ‬:60=‫اﻟﻤﺮﺑﻊ‬ ‫ﻣﺤﯿﻂ‬+‫اﻟﺪاﺋﺮة‬ ‫ﻣﺤﯿﻂ‬60 4 2x r 
1
(30 2 )r x

 
3(‫اﻟﺪاﻟﺔ‬:
2 2
;Squere circleA A A A x r    
4(‫واﺣﺪ‬ ‫ﻟﻤﺘﻐﯿﺮ‬ ‫اﻟﺘﺤﻮﯾﻞ‬:
2
2 1
(30 2 )A x x 

 
    
3
270 8 270 8 80
( ) 2 ( ) 12 ; (3) 2 ( ) 12 0
3 27 3 3
f r f
r

             
‫ﺍﻟﻨﺎﺻﺮﻱ‬‫ﻣﻮﺳﻰ‬‫ﻛﺎﻣﻞ‬
179
5(‫ﺗﺒﺴﯿﻂ‬:
2 21
( ) (900 120 4 )A f x x x x

    
6(‫ﻧﺸﺘﻖ‬......
1
( ) 2 ( 120 8 )f x x x

    
‫اﻟﻤﺸﺘﻘﺔ‬ ‫وﻋﻨﺪﻣﺎ‬=0‫ﻋﻠﻰ‬ ‫ﻧﺤﺼﻞ‬:
21
0 2 ( 120 8 ) 0 60 4x x x x




       
60 4x x 
‫ﻟﻜﻦ‬60 4 2x r 4x 2 4r x x   
2r  x 
2r x‫اﻟﻤﻄﻠﻮب‬ ‫ﯾﺘﻢ‬ ‫وﺑﮭﺬا‬.
Ex69(‫ﻃﻮﻟﮭﺎ‬ ‫ﺳﻠﻚ‬ ‫ﻗﻄﻌﺔ‬60 cm‫اﻟﺠﺰء‬ ‫ﻣﻦ‬ ‫ﺟﺰأﯾﻦ‬ ‫اﻟﻰ‬ ‫ﻗﺴﻤﺖ‬‫اﻷول‬‫ﺻﻨﻊ‬ ‫اﻟﺜﺎﻧﻲ‬ ‫اﻟﺠﺰء‬ ‫وﻣﻦ‬ ‫داﺋﺮة‬ ‫ﺻﻨﻊ‬
‫اﻟﺪ‬ ‫ﻗﻄﺮ‬ ‫ﺑﺮھﻦ‬ ، ‫ﻣﺮﺑﻊ‬‫ﺻﻐﺮى‬ ‫ﻧﮭﺎﯾﺔ‬ ‫اﻟﺸﻜﻠﯿﻦ‬ ‫ﻣﺴﺎﺣﺘﻲ‬ ‫ﻟﻤﺠﻤﻮع‬ ‫ﯾﻜﻮن‬ ‫ﻋﻨﺪﻣﺎ‬ ‫اﻟﻤﺮﺑﻊ‬ ‫ﺿﻠﻊ‬ ‫ﻃﻮل‬ ‫ﯾﺴﺎوي‬ ‫اﺋﺮة‬
‫ﻣﺤﻠﯿﺔ‬.
‫اﻟﺴﺎﺑﻖ‬ ‫اﻟﺴﺆال‬ ‫ﺣﻞ‬ ‫ﯾﻌﺎد‬.
Ex70(‫اﻟﺰاﺋﺪ‬ ‫ﻟﻠﻘﻄﻊ‬ ‫ﺗﻨﺘﻤﻲ‬ ‫ﻧﻘﺎط‬ ‫أو‬ ‫ﻧﻘﻄﺔ‬ ‫ﺟﺪ‬
2 2
3y x ‫ﻟﻠﻨﻘﻄﺔ‬ ‫ﯾﻤﻜﻦ‬ ‫ﻣﺎ‬ ‫أﻗﺮب‬ ‫ﺗﻜﻮن‬ ‫ﺑﺤﯿﺚ‬(0,4)
‫اﻟﺤﻞ‬:
1(‫اﻟﻔﺮﺿﯿﺔ‬:‫اﻟﻨﻘﻄﺔ‬ ‫ﻧﻔﺮض‬(x , y)‫ﻣ‬ ‫ھﻲ‬‫ل‬ ‫ﻣﻌﺎدﻟﺘﮫ‬ ‫ﻓﺘﺤﻘﻖ‬ ‫اﻟﻤﻨﺤﻨﻲ‬ ‫ﻧﻘﻂ‬ ‫ﻦ‬
2(‫اﻟﻌﻼﻗﺔ‬:‫اﻟﻨﻘﻄﺔ‬(x , y)‫ھﻲ‬ ‫ﻓﺎﻟﻌﻼﻗﺔ‬ ‫ﻣﻌﺎدﻟﺘﮫ‬ ‫ﻓﺘﺤﻘﻖ‬ ‫اﻟﻤﻨﺤﻨﻲ‬ ‫ﻧﻘﻂ‬ ‫ﻣﻦ‬ ‫ھﻲ‬:
2 2
3y x 
‫اﻟﺤﺎﺟﺔ‬ ‫ﺣﺴﺐ‬ ‫ﻧﺠﺪ‬ ‫ﻣﻨﮭﺎ‬:
2 2 2 2
3 3y x or x y   
3(‫اﻟﻤﺴﺎﻓﺔ‬ ‫ﻗﺎﻧﻮن‬:2 2
2 1 2 1( ) ( )D x x y y   
2 2 2 2
( 0) ( 4) 8 16D x y x y y       
4(‫واﺣﺪ‬ ‫ﻟﻤﺘﻐﯿﺮ‬ ‫ﺗﺤﻮﯾﻞ‬:2 2
3 8 16D y y y    
5(‫ﻟﻼﺷﺘﻘﺎق‬ ‫ﻟﻠﺘﺠﮭﯿﺰ‬ ‫ﺗﺒﺴﯿﻂ‬:2
( ) 2 8 13D f y y y   
‫ﺍﻟﻨﺎﺻﺮﻱ‬‫ﻣﻮﺳﻰ‬‫ﻛﺎﻣﻞ‬
180
2
‫إﺷﺎرة‬( )f y
+ +--
min
y
x
X = 12
( , )
•
a x y
b
12
c
d
y
x
6(‫ﻧﺸﺘﻖ‬:...2
4 8
( )
2 2 8 13
y
f y
y y

 
 
‫اﻟﻤﺸﺘﻘﺔ‬ ‫وﻋﻨﺪﻣﺎ‬=0‫اﻟﺒﺴﻂ‬ ‫ﻓﺎن‬=04y – 8 = 0y = 2
‫ﻟﻜﻦ‬:
2 2
3x y 
2
4 3 1x   1x  
‫ھﻲ‬ ‫اﻟﻨﻘﻄﺔ‬:(1,2) ( 1,2)or 
َE71(‫اﻟﻤﻜﺎﻓﺊ‬ ‫ﺑﺎﻟﻘﻄﻊ‬ ‫اﻟﻤﺤﺪدة‬ ‫اﻟﻤﻨﻄﻘﺔ‬ ‫داﺧﻞ‬ ‫ﻟﻤﺴﺘﻄﯿﻞ‬ ‫ﻣﺴﺎﺣﺔ‬ ‫أﻛﺒﺮ‬ ‫ﺟﺪ‬
2
y x‫واﻟﻤﺴ‬‫ﺘﻘﯿﻢ‬12x 
‫اﻟﺤﻞ‬:
‫أوﻻ‬ ‫ﻧﺮﺳﻢ‬:‫اﻟﯿﻤﯿﻦ‬ ‫ﻣﻦ‬ ‫اﻟﺴﯿﻨﺎت‬ ‫ﻣﺤﻮر‬ ‫ﻋﻠﻰ‬ ‫وﺑﺆرﺗﮫ‬ ‫اﻷﺻﻞ‬ ‫ﻧﻘﻄﺔ‬ ‫رأﺳﮫ‬ ‫اﻟﻤﻜﺎﻓﺊ‬ ‫اﻟﻘﻄﻊ‬.
1(‫اﻟﻔﺮﺿﯿﺔ‬:‫اﻟﺮأس‬ ‫ﻧﻔﺮض‬( , )a x y
‫ﻧﺴﺘﻨﺘﺞ‬ ‫ارﺳﻢ‬ ‫ﻣﻦ‬:‫اﻟﻌﺮض‬12ad x 
‫واﻟﻄﻮل‬:2ab y
2(‫اﻟﻤﻌﻄﺎة‬ ‫اﻟﻤﻌﺎدﻟﺔ‬ ‫ھﻲ‬ ‫اﻟﻌﻼﻗﺔ‬
2
y x
3(‫اﻟﺪاﻟ‬‫ﺔ‬:2 (12 )A y x 
4(‫واﺣﺪ‬ ‫ﻟﻤﺘﻐﯿﺮ‬ ‫اﻟﺘﺤﻮل‬
2
2 (12 )A y y 
5(‫اﻟﺘﺒﺴﯿﻂ‬:
3
( ) 2(12 )A f y y y  
6(‫و‬ ‫ﻧﺸﺘﻖ‬: ...
2
( ) 2(12 3 )f y y  
2
0 2(12 3 )y 2y 
‫ﯾﻤﻜﻦ‬ ‫ﻣﺎ‬ ‫أﻛﺒﺮ‬ ‫اﻟﻤﺴﺎﺣﺔ‬ ‫داﻟﺔ‬ ‫أن‬ ‫ﯾﻌﻨﻲ‬ ‫وھﺬا‬( ) 2(0 6 ) (2) 24 0f y y f     
‫ھﻲ‬ ‫ﻣﺴﺎﺣﺔ‬ ‫أﻛﺒﺮ‬:
2
(2) 2(12 2 8) 32A f unit    
‫ﺍﻟﻨﺎﺻﺮﻱ‬‫ﻣﻮﺳﻰ‬‫ﻛﺎﻣﻞ‬
181
E72(‫اﻟ‬ ‫أﺿﯿﻒ‬ ‫إذا‬ ‫اﻟﺬي‬ ‫اﻟﻌﺪد‬ ‫ﺟﺪ‬‫ﻰ‬‫ﯾﻜﻮ‬ ‫اﻟﻀﺮﺑﻲ‬ ‫ﻧﻈﯿﺮه‬‫ﯾﻤﻜﻦ‬ ‫ﻣﺎ‬ ‫أﻛﺒﺮ‬ ‫اﻟﻨﺎﺗﺞ‬ ‫ن‬.
‫اﻟﺤﻞ‬:
‫ھﻮ‬ ‫اﻟﻌﺪد‬ ‫ﻟﯿﻜﻦ‬x‫ﯾﻜﻮن‬ ‫اﻟﻀﺮﺑﻲ‬ ‫ﻧﻈﯿﺮه‬ ‫ﻓﺎن‬ ‫ﻟﺬا‬
1
x
1
( ) : 0f x x x
x
  
2
1
( ) 1f x
x
  
‫اﻟﻤﺸﺘﻘﺔ‬ ‫وﻋﻨﺪﻣﺎ‬=0‫ﻓﺎن‬:‫ﺣﺮﺟﺘﺎن‬
2
2
1
0 1 1 1x
x
      
3
2
( )f x
x
  
1(‫ﻋﻨﺪﻣﺎ‬1x ‫ﻓﺎن‬3
2
(1) 2 0
1
f     ‫اﻟﻤﻄﻠﻮب‬ ‫ﯾﺤﻘﻖ‬ ‫ﻻ‬ ‫اﻟﻌﺪد‬ ‫ھﺬا‬ ‫ﻧﻼﺣﻆ‬
2(‫ﻋﻨﺪﻣﺎ‬1x  ‫ﻓﺎن‬
2
( 1) 2 0
1
f       

‫اﻟﻌﺪد‬( - 1 )‫اﻟﻤﻄﻠﻮب‬ ‫اﻟﻌﺪد‬ ‫ھﻮ‬
‫ﺗﺪرﯾﺐ‬)3-6(
Q1(‫ﻣﺠﻤﻮﻋﮭﻤﺎ‬ ‫ﻋﺪدﯾﻦ‬ ‫ﺟﺪ‬12‫ﯾﻤﻜﻦ‬ ‫ﻣﺎ‬ ‫اﺻﻐﺮ‬ ‫ﻣﺮﺑﻌﯿﮭﻤﺎ‬ ‫وﻣﺠﻤﻮع‬.
Q2(‫ﻣﺠﻤﻮﻋﮭﻤﺎ‬ ‫ﻣﻮﺟﺒﯿﻦ‬ ‫ﻋﺪدﯾﻦ‬ ‫ﺟﺪ‬75‫ﻣﺮﺑﻊ‬ ‫ﻓﻲ‬ ‫اﺣﺪھﻤﺎ‬ ‫ﺿﺮب‬ ‫وﺣﺎﺻﻞ‬‫اﻵﺧﺮ‬‫اﻛﺒﺮ‬‫ﯾﻤﻜﻦ‬ ‫ﻣﺎ‬.
Q3(‫ﻣﺠﻤﻮﻋﮭﻤﺎ‬ ‫ﻋﺪدﯾﻦ‬ ‫ﺟﺪ‬24‫ﯾﻤﻜﻦ‬ ‫ﻣﺎ‬ ‫اﺻﻐﺮ‬ ‫ﻣﻜﻌﺒﯿﮭﻤﺎ‬ ‫وﻣﺠﻤﻮع‬.
Q4(‫ﻣﺴ‬ ‫اﻛﺒﺮ‬ ‫أن‬ ‫اﺛﺒﺖ‬‫ﻣﺮﺑﻊ‬ ‫ھﻮ‬ ‫ﻣﻌﻠﻮﻣﺔ‬ ‫داﺋﺮة‬ ‫داﺧﻞ‬ ‫ﯾﻮﺿﻊ‬ ‫أن‬ ‫ﯾﻤﻜﻦ‬ ‫ﺘﻄﯿﻞ‬.
Q5(‫ﻗﻄﺮھﺎ‬ ‫ﻧﺼﻒ‬ ‫ﻛﺮة‬ ‫داﺧﻞ‬ ‫ﺗﻮﺿﻊ‬ ‫ﻗﺎﺋﻤﺔ‬ ‫داﺋﺮﯾﺔ‬ ‫اﺳﻄﻮاﻧﺔ‬ ‫اﻛﺒﺮ‬ ‫ارﺗﻔﺎع‬ ‫ﺟﺪ‬4 3 cm.
َQ6(‫ﻗﻄﺮھﺎ‬ ‫ﻧﺼﻒ‬ ‫داﺋﺮة‬ ‫ﻧﺼﻒ‬ ‫داﺧﻞ‬ ‫ﯾﻮﺿﻊ‬ ‫ﻣﺴﺘﻄﯿﻞ‬ ‫أﻛﺒﺮ‬ ‫ﺑﻌﺪي‬ ‫ﺟﺪ‬4 2 cm.
Q7(‫ﻣﺴﺘﻄﯿﻞ‬ ‫أﻛﺒﺮ‬ ‫ﻣﺤﯿﻂ‬ ‫ﺟﺪ‬‫ﻗﻄﺮه‬ ‫ﻃﻮل‬4 2 cm.
Q8(‫ﺳﺎﻗﯿﮫ‬ ‫ﻣﻦ‬ ‫ﻛﻞ‬ ‫ﻃﻮل‬ ‫اﻟﺴﺎﻗﯿﻦ‬ ‫ﻣﺘﺴﺎوي‬ ‫ﻟﻤﺜﻠﺚ‬ ‫ﻣﺴﺎﺣﺔ‬ ‫أﻛﺒﺮ‬ ‫ﺟﺪ‬8 2 cm.
Q9(‫ﺑﺴﻌﺔ‬ ‫ﻗﺎﺋﻤﺔ‬ ‫داﺋﺮﯾﺔ‬ ‫اﺳﻄﻮاﻧﺔ‬ ‫ﻟﺼﻨﻊ‬ ‫ﺗﻜﻔﻲ‬ ‫رﻗﯿﻖ‬ ‫ﻣﻌﺪن‬ ‫ﻣﻦ‬ ‫ﻣﻤﻜﻨﺔ‬ ‫ﻛﻤﯿﺔ‬ ‫أﻗﻞ‬ ‫ﺟﺪ‬
3
288 cm.
‫ﺍﻟﻨﺎﺻﺮﻱ‬‫ﻣﻮﺳﻰ‬‫ﻛﺎﻣﻞ‬
182
Q10(‫داﺋ‬ ‫ﻻﺳﻄﻮاﻧﺔ‬ ‫ﺳﻌﺔ‬ ‫أﻛﺒﺮ‬ ‫ﺟﺪ‬‫ﺻﻨﻌﮭﺎ‬ ‫ﻓﻲ‬ ‫اﻟﻤﺴﺘﻌﻤﻞ‬ ‫اﻟﻤﻌﺪن‬ ‫ﻣﺴﺎﺣﺔ‬ ‫ﻗﺎﺋﻤﺔ‬ ‫ﺮﯾﺔ‬
2 2
6a cm
Q11(‫ﺳﺎﻗﯿﮫ‬ ‫ﻣﻦ‬ ‫ﻛﻞ‬ ‫ﻃﻮل‬ ‫اﻟﺴﺎﻗﯿﻦ‬ ‫ﻣﺘﺴﺎوي‬ ‫ﻣﺜﻠﺚ‬30 cm‫ﻗﺎﻋﺪﺗﮫ‬ ‫وﻃﻮل‬36 cm‫ﻣﺴﺘﻄﯿﻞ‬ ‫أﻛﺒﺮ‬ ‫ﺑﻌﺪي‬ ‫ﺟﺪ‬ ،
‫اﻟﻤﺜﻠﺚ‬ ‫ھﺬا‬ ‫داﺧﻞ‬ ‫ﯾﻮﺿﻊ‬.
Q12(‫اﻟﻨﻘﻄﺔ‬ ‫ﻣﻦ‬ ‫ﯾﻤﺮ‬ ‫اﻟﺬي‬ ‫اﻟﻤﺴﺘﻘﯿﻢ‬ ‫ﻣﻌﺎدﻟﺔ‬ ‫ﺟﺪ‬(6 , 8 )‫ﻟﻤﺤﻮ‬ ‫ا‬ ‫ﻣﻊ‬ ‫ﯾﺼﻨﻊ‬ ‫واﻟﺬي‬‫رﯾﻦ‬‫اﻷول‬ ‫اﻟﺮﺑﻊ‬ ‫ﻓﻲ‬‫أﺻﻐﺮ‬
‫ﻣﺜﻠﺚ‬.
Q13(‫اﻟﻤﻨﺤﻨﻲ‬ ‫ﻣﻨﻄﻘﺔ‬ ‫داﺧﻞ‬ ‫ﯾﻮﺿﻊ‬ ‫ﻟﻤﺴﺘﻄﯿﻞ‬ ‫ﻣﺤﯿﻂ‬ ‫اﻛﺒﺮ‬ ‫ﺟﺪ‬
2 2
2 6x y .
Q14(‫ﺑﺎﻟﺪاﻟﺔ‬ ‫اﻟﻤﺤﺪدة‬ ‫اﻟﻤﻨﻄﻘﺔ‬ ‫داﺧﻞ‬ ‫ﯾﻮﺿﻊ‬ ‫ﻣﺴﺘﻄﯿﻞ‬ ‫اﻛﺒﺮ‬ ‫ﻣﺤﯿﻂ‬ ‫ﺟﺪ‬2
( ) 12f x x ‫اﻟﺴﯿﻨﺎت‬ ‫وﻣﺤﻮر‬.
Q15(‫ﻗﺎﺋﻤ‬ ‫داﺋﺮﯾﺔ‬ ‫اﺳﻄﻮاﻧﺔ‬ ‫اﻛﺒﺮ‬ ‫ﻣﺴﺎﺣﺔ‬ ‫ﺟﺪ‬‫ارﺗﻔﺎﻋﮫ‬ ‫ﻗﺎﺋﻢ‬ ‫داﺋﺮي‬ ‫ﻣﺨﺮوط‬ ‫داﺧﻞ‬ ‫ﺗﻮﺿﻊ‬ ‫ﺔ‬24 cm‫ﻗﻄﺮ‬ ‫وﻃﻮل‬
‫ﻗﺎﻋﺪﺗﮫ‬24 cm.
Q16(‫ﻣﺴﺘﻄﯿﻞ‬ ‫ﺷﻜﻞ‬ ‫ﻋﻠﻰ‬ ‫ﻧﺎﻓﺬة‬‫ﯾﺴﺎوي‬ ‫اﻟﻤﺜﻠﺚ‬ ‫ارﺗﻔﺎع‬ ‫أن‬ ‫ﺑﺤﯿﺚ‬ ‫اﻟﺴﺎﻗﯿﻦ‬ ‫ﻣﺘﺴﺎوي‬ ‫ﻣﺜﻠﺚ‬ ‫ﯾﻌﻠﻮه‬
3
8
‫ﻗﺎﻋﺪﺗﮫ‬ ‫ﻃﻮل‬
‫ﯾﺴﺎوي‬ ‫اﻟﻨﺎﻓﺬة‬ ‫ﻣﺤﯿﻂ‬ ‫ﻛﺎن‬ ‫ﻓﺈذا‬12‫ا‬ ‫ﺑﻤﺮور‬ ‫اﻟﻨﺎﻓﺬة‬ ‫ﺗﺴﻤﺢ‬ ‫ﻟﻜﻲ‬ ‫اﻧﮫ‬ ‫ﻓﺒﺮھﻦ‬ ‫ﻣﺘﺮا‬‫اﺣﺪ‬ ‫ﻓﺎن‬ ‫اﻟﻀﻮء‬ ‫ﻣﻦ‬ ‫ﻗﺪر‬ ‫ﻛﺒﺮ‬
‫ﯾﺴﺎوي‬ ‫اﻟﻤﺴﺘﻄﯿﻞ‬ ‫ﺑﻌﺪي‬
3
4
‫اﻵﺧﺮ‬ ‫اﻟﺒﻌﺪ‬.
Q17(‫ﻗﻄﺮھﺎ‬ ‫ﻧﺼﻒ‬ ‫ﻛﺮة‬ ‫داﺧﻞ‬ ‫ﺗﻮﺿﻊ‬ ‫ﻗﺎﺋﻤﺔ‬ ‫داﺋﺮﯾﺔ‬ ‫اﺳﻄﻮاﻧﺔ‬ ‫اﻛﺒﺮ‬ ‫أﺑﻌﺎد‬ ‫ﺟﺪ‬2a cm.
Q18(‫ﺣﺠﻤﮫ‬ ‫ﻣﺴﺘﻄﯿﻠﺔ‬ ‫ﺳﻄﻮح‬ ‫ﻣﺘﻮازي‬3
72cm‫و‬‫ﻗﺎﻋﺪﺗﮫ‬ ‫ﻃﻮل‬‫ﻋ‬ ‫ﺿﻌﻒ‬‫ﺗﻜﻮن‬ ‫ﻋﻨﺪﻣﺎ‬ ‫ﻗﻄﺮه‬ ‫ﻃﻮل‬ ‫ﺟﺪ‬ ‫ﺮﺿﮭﺎ‬
‫ﯾﻤﻜﻦ‬ ‫ﻣﺎ‬ ‫أﺻﻐﺮ‬ ‫ﻣﺴﺎﺣﺘﮫ‬.
Q19(‫وﺗﺮه‬ ‫ﻃﻮل‬ ‫اﻟﺰاوﯾﺔ‬ ‫ﻗﺎﺋﻢ‬ ‫ﻣﺜﻠﺚ‬ ‫دوران‬ ‫ﻣﻦ‬ ‫ﻧﺎﺷﺊ‬ ‫ﻗﺎﺋﻢ‬ ‫داﺋﺮي‬ ‫ﻣﺨﺮوط‬ ‫اﻛﺒﺮ‬ ‫ﺑﻌﺪي‬ ‫ﺟﺪ‬6 3 cm‫دورة‬
‫اﻟﻘﺎﺋﻤﯿﻦ‬ ‫ﺿﻠﻌﯿﮫ‬ ‫اﺣﺪ‬ ‫ﺣﻮل‬ ‫واﺣﺪة‬.
Q20(‫اﻟﻤﻮﺟﺐ‬ ‫اﻟﺠﺰء‬ ‫ﻋﻠﻰ‬ ‫واﻗﻌﯿﻦ‬ ‫ﻣﻨﮫ‬ ‫ﻣﺘﺠﺎورﯾﻦ‬ ‫ﺿﻠﻌﯿﻦ‬ ‫ﻣﺴﺘﻄﯿﻞ‬‫ﻟﻜﻞ‬‫واﻟﺼﺎدي‬ ‫اﻟﺴﯿﻨﻲ‬ ‫اﻟﻤﺤﻮرﯾﻦ‬ ‫ﻣﻦ‬
‫واﻟﺮأس‬‫اﻟﺮاﺑﻊ‬‫اﻟﻤﻨﺤﻨﻲ‬ ‫ﻋﻠﻰ‬ ‫ﯾﻘﻊ‬
1
,y x o
x
 ‫أﺻﻐﺮ‬ ‫ﺟﺪ‬‫ﻣﺤﯿﻂ‬‫اﻟﻤﺴﺘﻄﯿﻞ‬ ‫ﻟﮭﺬا‬.
(Q21‫ﻟﻠﻤﻨﺤﻨﻲ‬ ‫ﻟﻠﻤﺎس‬ ‫ﻣﯿﻞ‬ ‫أﺻﻐﺮ‬ ‫ﺟﺪ‬
1 3 2( ) 2 2
3
f x x x x   .
183
‫ﻋﻠﻰ‬ ‫ﯾﻌﺘﻤﺪ‬ ‫ﻣﺎ‬ ‫ﻓﺘﺮة‬ ‫ﻋﻠﻰ‬ ‫اﻟﺘﻜﺎﻣﻞ‬ ‫دراﺳﺔ‬ ‫أﺳﺎﺳﯿﺎت‬ ‫إن‬:
1(‫اﻟﺤﻘﯿﻘﯿﺔ‬ ‫اﻷﻋﺪاد‬ ‫ﻣﺠﻤﻮﻋﺔ‬ ‫ھﻮ‬ ‫ﻣﺠﺎﻟﮭﺎ‬ ‫اﻟﻤﻌﻄﺎة‬ ‫اﻟﺪاﻟﺔ‬.
2(‫ﻣﻐﻠﻘﺔ‬ ‫اﻟﻤﻌﻄﺎة‬ ‫اﻟﻔﺘﺮة‬.
‫اﻟﻤﻐﻠﻘﺔ‬ ‫اﻟﻔﺘﺮة‬ ‫ﺗﺠﺰﺋﺔ‬
‫ﺗﻌﺮﯾﻒ‬:‫اﻟﻨﻘﻂ‬ ‫ﻣﺠﻤﻮﻋﺔ‬ ‫ﺗﺴﻤﻰ‬ 0 1 2 ,  ,  ,.....,  nx x x x‫ﺗﺠﺰئ‬)subintervals(‫ﻟﻠﻔﺘﺮة‬)interval(
‫اﻟﻤﻐﻠﻘﺔ‬  , a b‫اﻟﺸﺮﻃﺎن‬ ‫ﺗﺤﻘﻖ‬ ‫ﻓﻘﻂ‬ ‫وإذا‬ ‫إذا‬:
‫اﻟﺘﺮﺗﯿﺐ‬ ‫ﻋﻼﻗﺔ‬ ‫ﻋﻠﻰ‬ ‫ﺗﺤﺎﻓﻆ‬ ‫أي‬
0
0 1 2
1)         ,      
2)      <     .....  
n
n
a x b x
x x x x
 
  
‫اﻟﻼﺗﯿﻨﻲ‬ ‫ﺑﺎﻟﺮﻣﺰ‬ ‫ﻟﻠﺘﺠﺰﺋﺔ‬ ‫وﯾﺮﻣﺰ‬)Sigma(‫ھﻮ‬ ‫اﻟﻜﺒﯿﺮ‬ ‫ﺣﺮﻓﮭﺎ‬ ‫ﺑﯿﻨﻤﺎ‬ ‫اﻟﺼﻐﯿﺮ‬ ‫ﺑﺎﻟﺤﺮف‬‫رﻣﺰا‬ ‫وھﻤﺎ‬
‫اﻟﺠﻤﻊ‬
‫ﻣﺜﺎل‬1: 0.5  , 1 ,4  , 11 ‫ﻟﻠﻔﺘﺮة‬ ‫ﺗﺠﺰئ‬ ‫ھﻲ‬ 0.5 , 11‫ھﻲ‬ ‫اﻟﺠﺰﺋﯿﺔ‬ ‫ﻓﺘﺮاﺗﮭﺎ‬ ‫ﺗﻜﻮن‬ ‫و‬:
       0.5 , 1    ,    1 , 4    ,   4 , 7     ,     7 ,  11 
‫ﻣﺜﺎل‬2: 2  , 4 ,1  , 7 , 11 ‫ﻟﻠﻔﺘﺮة‬ ‫ﺗﺠﺰﺋﺔ‬ ‫ﻟﯿﺴﺖ‬ ‫ھﻲ‬ 2 , 11‫اﻟﺸﺮط‬ ‫ﻟﻔﻘﺪان‬ ‫وذﻟﻚ‬‫اﻟﻤﺤﺎﻓﻈﺔ‬ ‫ﻟﻌﺪم‬ ‫اﻟﺜﺎﻧﻲ‬
‫ﻋﻠﻰ‬‫اﻟﺘﺮﺗﯿﺐ‬.
‫ﻣﺜﺎل‬3: 3  , 1 ,1  , 4 , 11 ‫ﻟﻠﻔﺘﺮة‬ ‫ﺗﺠﺰئ‬ ‫ﻟﯿﺴﺖ‬ ‫ھﻲ‬ 2 , 11‫اﻷول‬ ‫اﻟﺸﺮط‬ ‫ﻟﻔﻘﺪان‬ ‫وذﻟﻚ‬.
‫ﻣﺜﺎل‬4: 2  , 1 ,4  , 7 , 10 ‫ﻟﻠﻔﺘﺮة‬ ‫ﺗﺠﺰئ‬ ‫ھﻲ‬ 2 , 10‫ﻷن‬ ‫ﻣﻨﺘﻈﻢ‬ ‫ﺗﺠﺰئ‬ ‫ﯾﺴﻤﻰ‬ ‫اﻷﺧﯿﺮ‬ ‫وھﺬا‬‫ﺣﺪوده‬
‫ﺗﺸﻜﻞ‬
‫ﺣﺴﺎﺑﯿﺔ‬ ‫ﻣﺘﺘﺎﻟﯿﺔ‬.‫ھﻲ‬ ‫اﻟﺠﺰﺋﯿﺔ‬ ‫اﻟﻔﺘﺮات‬ ‫وﺗﻜﻮن‬:
       2 , 1   ,   1 , 4    ,   4 , 7    ,    7 ,  10‫ﻓﺘﺮة‬ ‫ﻛﻞ‬ ‫ﻃﻮل‬=3
‫ﻣﻐﻠﻘﺔ‬ ‫ﻟﻔﺘﺮة‬ ‫اﻟﻤﻨﺘﻈﻤﺔ‬ ‫اﻟﺘﺠﺰﺋﺔ‬.
‫ﻟﺘﻜﻦ‬  ,      a b  
184
‫اﻟﻔﺘﺮة‬ ‫ﻧﻘﺴﻢ‬       a x b ‫ﺟ‬ ‫ﻓﺘﺮات‬ ‫اﻟﻰ‬‫ﻋﺪدھﺎ‬ ‫ﺰﺋﯿﺔ‬n‫ﺣﯿﺚ‬n ‫ﺑﺤﯿﺚ‬ ‫ﻣﻮﺟﺐ‬ ‫ﺻﺤﯿﺢ‬ ‫ﻋﺪد‬   1n ‫وﻃﻮل‬
‫ﻣﻨﮭﺎ‬ ‫ﻓﺘﺮة‬ ‫ﻛﻞ‬h‫ﻓﯿﻜﻮن‬:
 
     
 
       
b a
h
n

                       n h b a  
‫ﻓﯿﻜﻮن‬0     a x،      nb x‫ھﻲ‬ ‫اﻟﺘﻘﺴﯿﻢ‬ ‫ﻧﻘﻂ‬ ‫وﺗﻜﻮن‬:1 2 3    1  ,      ,       , .....,  nx x x x 
‫وﯾﻜﻮن‬:1 2 3         ,         2    ,           3    , ....,          r   rx a h x a h x a h x a h       
‫ھﻲ‬ ‫اﻷﺧﯿﺮة‬ ‫اﻟﺘﻘﺴﯿﻢ‬ ‫ﻧﻘﻄﺔ‬ ‫ﺗﻜﻮن‬ ‫ﻋﺎﻣﺔ‬ ‫وﺑﺼﻮرة‬:
1         ,                 n                         n n nx a h x a x a xb a bh        
‫ھﻮ‬ ‫اﻟﺘﺠﺰﺋﺔ‬ ‫ﻟﻌﻨﺼﺮ‬ ‫اﻟﻌﺎم‬ ‫اﻟﺤﺪ‬ ‫وﻗﺎﻧﻮن‬:
   
       r      or            r             r r
b a
x a h x a
n

    
‫ﻣﻼﺣﻈﺔ‬:h‫ﯾﻤﺜﻞ‬x‫ﻓ‬‫و‬ ‫واﻟﻐﺎﯾﺎت‬ ‫اﻟﻤﺴﺎﺣﺎت‬ ‫ﻓﻲ‬ ‫اﻻﺳﺘﻌﻤﺎﻻت‬ ‫ﻣﻦ‬ ‫ﻛﺜﯿﺮ‬ ‫ﻲ‬........
‫ﻣﺜﻞ‬1:‫ﻟﻠﻔﺘﺮة‬ ‫اﻟﺮﺑﺎﻋﯿﺔ‬ ‫اﻟﺘﺠﺰﺋﺔ‬ ‫ﺟﺪ‬ 2 , 10 
‫اﻟﺤﻞ‬:     2  ,      10   ,     4a b n   
    10 ( 2 )
         =   = 3
4
b a
h
n
  
‫اﻻول‬ ‫ﺣﺪھﺎ‬ ‫ﻋﺪدﯾﺔ‬ ‫ﻣﺘﺘﺎﻟﯿﺔ‬ ‫أﺳﺎس‬ ‫ﯾﻤﺜﻞ‬=-2
‫اﻷﺳﺎس‬ ‫ھﺬا‬ ‫ﯾﻀﺎف‬)3(‫ﻋﻨﺼﺮ‬ ‫ﻟﻜﻞ‬‫ﯾﻠﯿﮫ‬ ‫اﻟﺬي‬ ‫اﻟﻌﻨﺼﺮ‬ ‫ﻋﻠﻰ‬ ‫ﻧﺤﺼﻞ‬.
 
0
1 0
2 1
3 2
4 3 4
   =  2 
x       2 3 1 
x       1 3 4
x       4 3 7
x       7 3 10              2 , 1 , 4 , 7 ,10
a x
x h
x h
x h
x h 
 
     
    
    
       
‫اﻟﺘﺠﺰئ‬ ‫ھﻲ‬ ‫اﻷﺻﻠﯿﺔ‬ ‫ﻟﻠﻔﺘﺮة‬ ‫اﻟﻤﻨﺘﻈﻤﺔ‬ ‫اﻟﺘﺠﺰﺋﺔ‬ ‫أن‬ ‫ﻻﺣﻆ‬:       2 , 1   ,   1 , 4   ,    4 , 7   ,   7 , 10  
a b
x0 x 1 x 2 x r - 1 x r 
‫اﻟﻔﺘﺮة‬‫اﻟﺮﺗﺒﺔ‬ ‫ﻣﻦ‬r 
x n - x n 
185
       
4
1
1 2 3 4
(2 1) 2(1) 1 2(2) 1 2(3) 1 2(4) 1
1 3
i
i i i i
i

      
         

 

5 7 16  
‫ﻣﺜﺎل‬2:‫ﺟﺪ‬24    ‫ﻟﻠﻔﺘﺮة‬ 2 , 10 
‫اﻟﺤﻞ‬:
    10 ( 2 )
         =   = 0.5
24
b a
h
n
  

 24 
25 
      2 ,  1.5 ,  1 , ....   ,  9 ,  9.5  , 10
elements
    
‫ﻣﻼﺣﻈﺔ‬:‫ﯾﻜﻮن‬ ‫اﻟﻤﻨﺘﻈﻢ‬ ‫اﻟﺘﺠﺰئ‬ ‫ﻓﻲ‬:
1(‫اﻟﺘﺠﺰﺋﺔ‬ ‫ﻋﻨﺎﺻﺮ‬ ‫ﻋﺪد‬=‫اﻟﺠﺰﺋﯿﺔ‬ ‫اﻟﻔﺘﺮات‬ ‫ﻋﺪد‬+1‫ﯾﺴﺎوي‬ ‫أي‬n + 1
2(‫وﯾﺴﺎوي‬ ‫ﻣﺘﺴﺎو‬ ‫اﻟﺠﺰﺋﯿﺔ‬ ‫اﻟﻔﺘﺮات‬ ‫أﻃﻮال‬
   
 
b a
h
n


3(‫ﻟﻠﻔﺘﺮة‬ ‫اﻟﻜﻠﯿﺔ‬ ‫اﻟﻔﺘﺮة‬ ‫ﻃﻮل‬  ,   a b‫ﯾﺴﺎوي‬   b a‫وﯾﺴﺎوي‬‫اﻟﺠﺰﺋﯿﺔ‬ ‫اﻟﻔﺘﺮات‬ ‫ﻣﺠﻤﻮع‬‫أن‬ ‫أي‬ ‫ﺟﻤﯿﻌﮭﺎ‬:
‫ﻣﻼﺣﻈﺔ‬:‫ﻟﻜﻦ‬ ‫ﺗﻜﻤﻠﺔ‬ ‫وﻟﮫ‬ ‫واﺳﻊ‬ ‫اﻟﻤﻮﺿﻮع‬‫اﻟﻌﺎﺟﺰ‬ ‫ﻣﻨﮭﺠﻨﺎ‬‫اﻟﻘﺪر‬ ‫ﺑﮭﺬا‬ ‫اﻛﺘﻔﻲ‬ ‫ﻟﺬا‬ ‫ﻟﻠﺘﺠﺰﺋﺔ‬ ‫ﺷﺮح‬ ‫أي‬ ‫اﻟﻰ‬ ‫ﯾﺘﻄﺮق‬ ‫ﻟﻢ‬
‫اﻟﺠﻤﻊ‬ ‫رﻣﺰ‬Sigma Notation
‫ﻣﺠﻤﻮع‬n‫اﻟﺤﺪود‬ ‫ﻣﻦ‬:naaa ,,, 21 
‫ﺑﺎﻟﺼﻮرة‬ ‫ﯾﻜﺘﺐ‬



n
i
ni aaaa
1
21 ‫ﯾﺴﻤﻰ‬ ‫ﺣﯿﺚ‬i‫اﻟﺠﻤﻊ‬ ‫ﺑﺪﻟﯿﻞ‬index of summation
‫ﻣﺜﺎل‬:‫ﺟﺪ‬‫ﻣﺠﻤﻮع‬


4
1
12
i
i
‫اﻟﺤﻞ‬:
   1
   1
( )       
n
r
r r
x x b a


  
186
 
 
 
 
 
0 1 2
1
1
1
1
0
1
1
0
...
min  ( ):
max  ( ):
( , )
( , )           
n
i i i
i i i
n
i i i
i
n
i i i
i
Partition a x x x x b
Define
m f x x x x
M f x x x x
Lower sum L f m x x
Upper sum U f M x x











      
  
  
 
 


‫اﻟﺪاﻟﺔ‬ ‫ﻟﺪﯾﻨﺎ‬ ‫ﻟﻨﻔﺘﺮض‬f ‫وأن‬( ) 0f x ‫ﻣﺴﺘﻤﺮة‬‫اﻟﻔﺘﺮة‬ ‫ﻋﻠﻰ‬ ‫وﻣﺤﺪدة‬bxa 
‫و‬‫ﻟﻨﺤﺎول‬‫إﯾﺠﺎد‬‫اﻟﻤﻨﺤﻨﻲ‬ ‫ﺗﺤﺖ‬ ‫اﻟﻤﺴﺎﺣﺔ‬ f‫ﺑﺎﻟﻤﺴﺘﻘﯿﻤﯿﻦ‬ ‫واﻟﻤﺤﺪدة‬x = a to x = b
‫اﻟﻔﺘﺮة‬ ‫ﻧﺨﻀﻊ‬ ‫اﻟﻌﻤﻞ‬ ‫ﺑﮭﺬا‬ ‫وﻟﻠﻘﯿﺎم‬bxa ‫اﻟﻰ‬ ‫ﻟﺘﺠﺰئ‬n‫اﻟﻤﺘﺴﺎوﯾﺔ‬ ‫اﻟﺠﺰﺋﯿﺔ‬ ‫اﻟﻔﺘﺮات‬ ‫ﻣﻦ‬‫ﻧﺠﺪ‬ ‫ﻟﻜﻲ‬n‫ﻣﻦ‬
‫اﻟﻤﻨﺤﻨﻲ‬ ‫ﺗﺤﺖ‬ ‫اﻟﻤﺴﺘﻄﯿﻼت‬f ‫وﻟﻨﻌﺘﺒﺮ‬nxxxx ,,, 210‫ا‬ ‫ﻧﻘﻂ‬‫ﻛﻞ‬ ‫ﻋﺮض‬ ‫ﻓﯿﻜﻮن‬ ‫ﺟﺰﺋﯿﺔ‬ ‫ﻓﺘﺮة‬ ‫ﻟﻜﻞ‬ ‫ﻟﻨﮭﺎﯾﺎت‬
‫اﻟﻤﺴﺘﻄﯿﻞ‬ ‫ﻃﻮل‬ ‫و‬ ‫ﺟﺰﺋﯿﺔ‬ ‫ﻓﺘﺮة‬ ‫ﻛﻞ‬ ‫ﻃﻮل‬ ‫ھﻮ‬ ‫ﻣﺴﺘﻄﯿﻞ‬( )if x‫اﻟﻤﺴﺘﻄﯿﻼت‬ ‫ﻣﻦ‬ ‫ﻧﻮﻋﯿﻦ‬ ‫ﻣﻊ‬ ‫وﻧﺘﻌﺎﻣﻞ‬
‫اﻻول‬ ‫اﻟﻨﻮع‬:‫ﻋﻠﻮي‬ ‫ﻣﺠﻤﻮع‬Upper sum
‫اﻟﺜﺎﻧﻲ‬ ‫واﻟﻨﻮع‬:‫ﺳﻔﻠﻲ‬ ‫ﻣﺠﻤﻮع‬)‫أدﻧﻰ‬(Lower sum‫ﯾﻠﻲ‬ ‫وﻛﻤﺎ‬:
187
‫اﻟ‬ ‫وﻻﺳﺘﺨﺪام‬‫واﻟﯿﺴﺮى‬ ‫اﻟﯿﻤﻨﻰ‬ ‫اﻟﻄﺮﻓﯿﺔ‬ ‫ﻨﻘﻂ‬‫واﻟﺤﺮﺟﺔ‬‫ﯾﻠﻲ‬ ‫ﻣﺎ‬ ‫ﻧﺘﺒﻊ‬.
1(‫ھﻲ‬ ‫اﻟﻨﻘﻂ‬ ‫ھﺬه‬ ‫ﻣﻦ‬ ‫واﺣﺪة‬ ‫وﻟﺘﻜﻦ‬ ‫اﻟﺤﺮﺟﺔ‬ ‫واﻟﻨﻘﻂ‬ ‫اﻟﻤﺤﻠﯿﺔ‬ ‫اﻟﻨﮭﺎﯾﺎت‬ ‫ﻟﻨﺠﺪ‬ ‫اﻷوﻟﻰ‬ ‫اﻟﻤﺸﺘﻘﺔ‬ ‫ﻧﺠﺪ‬x c‫وﻟﻨﺒﺤﺚ‬
‫واﻟﺘﻨﺎﻗﺺ‬ ‫اﻟﺘﺰاﯾﺪ‬.
2(‫ھﻮ‬ ‫واﺣﺪ‬ ‫ﺗﺠﺰئ‬ ‫ﻟﻨﺄﺧﺬ‬ ,a b
3(‫اﻟﻔﺘﺮة‬ ‫ﻃﻮل‬)‫اﻟﺘ‬‫ﺠﺰئ‬= (b a=‫اﻟﻤﺴﺘﻄﯿﻞ‬ ‫ﻋﺮض‬.
4(‫اﻻرﺗﻔﺎع‬ ‫وﯾﻤﺜﻞ‬ ‫اﻟﻤﺴﺘﻄﯿﻞ‬ ‫ﻃﻮل‬ ‫ﻧﺠﺪ‬
(A‫اﻟﺪاﻟ‬ ‫ﻛﺎﻧﺖ‬ ‫إذا‬‫ﺔ‬‫ﻣﻦ‬ ‫ﻛﻞ‬ ‫ﻣﻦ‬ ‫اﻟﺴﯿﻨﺎت‬ ‫ﻣﺤﻮر‬ ‫ﻋﻠﻰ‬ ‫ﻟﻸﻋﻠﻰ‬ ‫ﻋﻤﻮدﯾﻦ‬ ‫ارﺳﻢ‬ ‫ﻣﺘﺰاﯾﺪة‬a ,b‫ﻓﻲ‬ ‫اﻟﺪاﻟﺔ‬ ‫ﺑﯿﺎن‬ ‫ﯾﻘﻄﻌﺎ‬
‫اﻟﻌﻠﻮي‬ ‫اﻟﻤﺴﺘﻄﯿﻞ‬ ‫ﻃﻮل‬ ‫ﺗﻌﻄﻲ‬ ‫أﻃﻮﻟﮭﻤﺎ‬ ‫ﻧﻘﻄﺘﯿﻦ‬upper‫وﺳﺘﻜﻮن‬
‫اﻟﻄﺮﻓﯿ‬ ‫اﻟﻨﻘﻄﺔ‬‫اﻟﯿﻤﻨﻰ‬ ‫ﺔ‬ f b
‫اﻟﺴﻔﻠﻲ‬ ‫اﻟﻤﺴﺘﻄﯿﻞ‬ ‫ﻃﻮل‬ ‫ﯾﻌﻄﻲ‬ ‫وأﺻﻐﺮھﻤﺎ‬Lower‫اﻟﯿﺴﺮى‬ ‫اﻟﻄﺮﻓﯿﺔ‬ ‫اﻟﻨﻘﻄﺔ‬ ‫وﺳﺘﻜﻮن‬ f a
‫اﻟﺨﻄﺄ‬ ‫ﻋﻦ‬ ‫ﻛﺘﺎﺑﻨﺎ‬ ‫وﻣﺆﻟﻔﻲ‬ ‫اﻟﻄﺎﻟﺐ‬ ‫ﺳﯿﺒﻌﺪ‬ ‫وارﺳﻢ‬ ‫اﻟﺘﺎﻟﯿﺔ‬ ‫اﻷﺷﻜﺎل‬ ‫ﻓﻲ‬ ‫ﺟﯿﺪا‬ ‫دﻗﻖ‬.
a b a b
A M
a b
( )f a m
( )f b M
a b
Lower
Upper
A m
 ‫اﻟﺮﺳﻤﺎن‬
‫ﻣﻌﺎ‬
mA  = L( , ) ( )( )f f a b a   
A = U( , ) ( ) ( )M f bf b a   
188
B(‫اﻟﺪاﻟ‬ ‫ﻛﺎﻧﺖ‬ ‫إذا‬‫ﺔ‬‫ﻣﻦ‬ ‫ﻛﻞ‬ ‫ﻣﻦ‬ ‫اﻟﺴﯿﻨﺎت‬ ‫ﻣﺤﻮر‬ ‫ﻋﻠﻰ‬ ‫ﻟﻸﻋﻠﻰ‬ ‫ﻋﻤﻮدﯾﻦ‬ ‫ارﺳﻢ‬ ‫ﻣﺘﻨﺎﻗﺼﺔ‬a, b‫ﻓﻲ‬ ‫اﻟﺪاﻟﺔ‬ ‫ﺑﯿﺎن‬ ‫ﯾﻘﻄﻌﺎ‬
‫اﻟﻌﻠﻮي‬ ‫ﻟﻠﻤﺴﺘﻄﯿﻞ‬ ‫اﻟﻤﺴﺘﻄﯿﻞ‬ ‫ﻃﻮل‬ ‫ﺗﻌﻄﻲ‬ ‫أﻃﻮﻟﮭﻤﺎ‬ ‫ﻧﻘﻄﺘﯿﻦ‬upper‫وﺳﺘﻜﻮن‬ ‫اﻟﯿﺴﺮى‬ ‫اﻟﻄﺮﻓﯿﺔ‬ ‫اﻟﻨﻘﻄﺔ‬f (a)
‫اﻟﺴﻔﻠﻲ‬ ‫اﻟﻤﺴﺘﻄﯿﻞ‬ ‫ﻃﻮل‬ ‫ﯾﻌﻄﻲ‬ ‫وأﺻﻐﺮھﻤﺎ‬Lower‫اﻟﯿﻤﻨﻰ‬ ‫اﻟﻄﺮﻓﯿﺔ‬ ‫اﻟﻨﻘﻄﺔ‬ ‫وﺳﺘﻜﻮن‬( )f b
C(‫ﻋﻨﺪ‬ ‫ﻣﺤﻠﯿﺔ‬ ‫ﻧﮭﺎﯾﺔ‬ ‫ﻧﻘﻄﺔ‬ ‫ﺗﺤﻮي‬ ‫اﻟﺪاﻟﺔ‬ ‫ﻛﺎﻧﺖ‬ ‫اذا‬x = c
‫ﻣﻦ‬ ‫أﻋﻤﺪة‬ ‫ﺛﻼﺛﺔ‬ ‫ﻧﺮﺳﻢ‬ ,   , a b c‫ﺗﻜﻮن‬‫ﺻﺎدي‬ ‫إﺣﺪاﺛﻲ‬ ‫أﻋﻠﻰ‬‫ارﺗﻔﺎع‬ ‫ﺗﻤﺜﻞ‬ ‫اﻟﺜﻼث‬ ‫اﻟﻨﻘﻂ‬ ‫ﻣﻦ‬ ‫ﻟﻨﻘﻄﺔ‬)‫ﻃﻮل‬(
‫اﻷﻋﻠﻰ‬ ‫اﻟﻤﺴﺘﻄﯿﻞ‬Upper‫ﺻﺎدي‬ ‫إﺣﺪاﺛﻲ‬ ‫أوﻃﺄ‬ ‫و‬‫اﻷدﻧﻰ‬ ‫اﻟﻤﺴﺘﻄﯿﻞ‬ ‫ﻃﻮل‬ ‫ﺗﻤﺜﻞ‬ ‫اﻟﺜﻼث‬ ‫اﻟﻨﻘﻂ‬ ‫ﻣﻦ‬ ‫ﻟﻨﻘﻄﺔ‬Lower
.
a b a b
A M
a b
( )f b m
( )f a M
a b
Lower
Upper
A m
 ‫اﻟﺮﺳﻤﺎن‬
‫ﻣﻌﺎ‬
mA  = L(  ,  ) ( ) ( )f b af b   
A = U(  ,  ) ( ) ( )M bff a a   
189
‫ﻛﺎﻵﺗﻲ‬ ‫ﺳﺒﻖ‬ ‫ﻣﺎ‬ ‫ﺗﻠﺨﯿﺺ‬ ‫وﯾﻤﻜﻦ‬:
 ‫اذا ﻗﺴﻤﺖ اﻟﻔﺘﺮة‬bxa  ‫ اﻟﻰ‬n ‫ ﻣﻦ اﻟﻔﺘﺮات اﻟﺠﺰﺋﯿﺔ اﻟﻤﺘﺴﺎوﯾﺔ‬ ‫وﺗﻜﻮﻧﺖ‬n ‫ ﻣﻦ اﻟﻤﺴﺘﻄﯿﻼت ﺗﺤﺖ اﻟﻤﻨﺤﻨﻲ‬f 
 ‫وﻛﺎﻧﺖ‬nxxxx ,,, 210 ‫ ﻧﻘﻂ اﻟﻨﮭﺎﯾﺎت ﻟﻜﻞ ﻓﺘﺮة ﻓﺎن‬: 
 
1
0 1 1
0
0 1 1
Left Hand
Total Area from
( ) ( ) ( ) ( )
endpoint sum
                                                                 
  (Lo
        ( ) ( ) (
r
)
we )
n
i n
i
n
f x x f x x f x x f x x
a x b
f x f x f x x




         
 
      

 

( , )L f 
a b
A M
a b
( )f b m( )f a M
a b
Lower
Upper
A m
 ‫اﻟﺮﺳﻤﺎن‬
‫ﻣﻌﺎ‬
mA  = L(  ,  ) ( ) ( )f b af b   A = U(  ,  ) ( ) ( )M f f c b a   
c a bc
A M
A m
c
mA  = L(  ,  ) ( ) ( )f c af b   
A M
A = U(  ,  ) ( ) ( )M f f a b a   
190
 
1 2
1
1 2
Right Hand
Total Area from
( ) ( ) ( ) ( )
endpoint sum
                                                                      
  (Upper)
   ( ) ( ) ( )
n
i n
i
n
f x x f x x f x x f x x
a x b
f x f x f x x

         
 
    

 

( , )U f 
‫ﻣﺜﺎل‬:‫ﻟﻠﺪاﻟﺔ‬ ‫اﻷدﻧﻰ‬ ‫اﻟﺠﻤﻊ‬ ‫وﺣﺎﺻﻞ‬ ‫اﻷﻋﻠﻰ‬ ‫اﻟﺠﻤﻊ‬ ‫ﺣﺎﺻﻞ‬ ‫ﺟﺪ‬f(x) =9 – x 2
‫اﻟﻔﺘﺮة‬ ‫ﻋﻠﻰ‬
]-2 , 3[‫ﻟﻠﺘﺠﺰئ‬( 2, 1,2,3)   
‫اﻟﺤﻞ‬:
‫ھﻲ‬ ‫اﻟﺠﺰﺋﯿﺔ‬ ‫اﻟﻔﺘﺮات‬:     2 , 1 , 2        
( ) 2f x x  
‫اﻟﻤﺸﺘﻘﺔ‬ ‫وﻋﻨﺪﻣﺎ‬=0‫ﻓﺎن‬x = 0‫ﻧﻘﻄﺔ‬‫ﺣﺮﺟﺔ‬.‫اﻟﻔﺘﺮة‬ ‫ﻓﻲ‬ ‫وﺗﻜﻮن‬ 1   ‫ﻓﻲ‬ ‫ﻗﯿﻤﺔ‬ ‫أﻋﻈﻢ‬ ‫ﻟﻠﺪاﻟﺔ‬ ‫وﺗﻜﻮن‬
‫ھﻲ‬ ‫اﻟﻔﺘﺮة‬ ‫ھﺬه‬( ) (0) 9f M f 
‫ﻣﺘﺰاﯾﺪة‬ ‫واﻟﺪاﻟﺔ‬x ‫وﻣﺘﻨﺎﻗﺼﺔ‬x 
‫ﻹﯾﺠﺎد‬ ,L f ‫ﺑﺎﺳﺘﺨﺪام‬ ‫ﻧﺠﺪه‬ ‫اﻷدﻧﻰ‬ ‫اﻟﺠﻤﻊ‬ ‫ﺣﺎﺻﻞ‬ ‫أي‬‫ﻟﻠﺪاﻟﺔ‬ ‫ﻗﯿﻤﺔ‬ ‫أﺻﻐﺮ‬f‫اﻟﻔﺘﺮات‬ ‫ﻓﻲ‬ ‫وھﻲ‬
‫اﻟﺠﺰﺋﯿﺔ‬‫اﻟﺴﺎﺑﻘﺔ‬‫ﺑﺎﻟﺮﻣﺰ‬ ‫ﻟﮫ‬ ‫وﯾﺮﻣﺰ‬‫ﯾﻠﻲ‬ ‫ﻛﻤﺎ‬:
1(‫اﻟﻔﺘﺮة‬ ‫ﻓﻲ‬ 2  ‫ﻟﻠﺪاﻟﺔ‬ ‫ﻗﯿﻤﺔ‬ ‫أﺻﻐﺮ‬f‫ﺗﻮ‬‫ﻓﺘﻜﻮن‬ ‫ﻓﯿﮭﺎ‬ ‫ﻣﺘﺰاﯾﺪة‬ ‫اﻟﺪاﻟﺔ‬ ‫ﻷن‬ ‫اﻷﯾﺴﺮ‬ ‫اﻟﻄﺮف‬ ‫ﻋﻨﺪ‬ ‫ﺟﺪ‬
‫ھﻲ‬ ‫اﻟﻤﺴﺘﻄﯿﻞ‬ ‫ﻣﺴﺎﺣﺔ‬: 1 ( 2) 1 5 1 5A f    
2(‫اﻟﻔﺘﺮة‬ ‫ﻓﻲ‬ 1  ‫أﺻﻐﺮﻗﯿﻤﺔ‬‫اﻟﻤﺴﺘﻄﯿﻞ‬ ‫ﻣﺴﺎﺣﺔ‬ ‫ﻓﺘﻜﻮن‬ ‫ﻓﯿﮭﺎ‬ ‫ﻣﺘﻨﺎﻗﺼﺔ‬ ‫اﻟﺪاﻟﺔ‬ ‫ﻷن‬ ‫اﻷﯾﻤﻦ‬ ‫اﻟﻄﺮف‬ ‫ﻋﻨﺪ‬
‫ھﻲ‬:
 
 if m
 2 (2) 3 5 3 15A f
width
   



191
3  ( ‫ﻓﻲ اﻟﻔﺘﺮة‬ 2     ‫أﺻﻐﺮ ﻗﯿﻤﺔ ﻟﻠﺪاﻟﺔ‬f ‫   ﺗﻮﺟﺪ‬‫ﻋﻨﺪ اﻟﻄﺮف اﻷﯾﻤﻦ ﻷن اﻟﺪاﻟﺔ ﻣﺘﻨﺎﻗﺼﺔ ﻓﯿﮭﺎ ﻓﺘﻜﻮن‬
‫ھﻲ‬ ‫اﻟﻤﺴﺘﻄﯿﻞ‬ ‫ﻣﺴﺎﺣﺔ‬: 3 ( ) 1 03 1 0A f   
‫ﻹﯾﺠﺎد‬ ,U f ‫ﺑﺎﺳﺘﺨﺪام‬ ‫ﻧﺠﺪه‬ ‫اﻷﻋﻠﻰ‬ ‫اﻟﺠﻤﻊ‬ ‫ﺣﺎﺻﻞ‬ ‫أي‬‫أ‬‫ﻋﻈﻢ‬‫ﻟﻠﺪ‬ ‫ﻗﯿﻤﺔ‬‫اﻟﺔ‬f‫وھﻲ‬‫ﻓﻲ‬
‫ﯾﻠﻲ‬ ‫ﻛﻤﺎ‬ ‫اﻟﺴﺎﺑﻘﺔ‬ ‫اﻟﺠﺰﺋﯿﺔ‬ ‫اﻟﻔﺘﺮات‬:
1(‫اﻟﻔﺘﺮة‬ ‫ﻓﻲ‬ 2    ‫ﻟﻠﺪاﻟﺔ‬ ‫ﻗﯿﻤﺔ‬ ‫أﺻﻐﺮ‬f‫ﻓﺘﻜﻮن‬ ‫ﻓﯿﮭﺎ‬ ‫ﻣﺘﺰاﯾﺪة‬ ‫اﻟﺪاﻟﺔ‬ ‫ﻷن‬ ‫اﻷﯾﻤﻦ‬ ‫اﻟﻄﺮف‬ ‫ﻋﻨﺪ‬ ‫ﺗﻮﺟﺪ‬
‫ھﻲ‬ ‫اﻟﻤﺴﺘﻄﯿﻞ‬ ‫ﻣﺴﺎﺣﺔ‬: 1 ( 1) 1 8 1 8A f    
2(‫اﻟﻔﺘﺮة‬ ‫ﻓﻲ‬ 1  ‫اﻟﻨﻘﻄﺔ‬ ‫ﻋﻨﺪ‬ ‫ھﻲ‬ ‫ﻟﻠﺪاﻟﺔ‬ ‫ﻗﯿﻤﺔ‬ ‫أﻋﻈﻢ‬x = 0‫وﻟﻘﺪ‬ ‫اﻟﺤﺮﺟﺔ‬‫ﺑﻤﺆﻟﻔﻲ‬ ‫ﯾﺴﻤﻰ‬ ‫ﻣﺎ‬ ‫ﻓﺸﻞ‬
‫ذﻟﻚ‬ ‫إﯾﻀﺎح‬ ‫ﻓﻲ‬ ‫اﻟﻜﺘﺎب‬‫ﻓﺘﻜﻮن‬f (0) = 9‫ھﻲ‬ ‫اﻟﻤﺴﺘﻄﯿﻞ‬ ‫ﻣﺴﺎﺣﺔ‬ ‫ﻓﺘﻜﻮن‬ ‫ﻗﯿﻤﺔ‬ ‫أﻋﻈﻢ‬ ‫ھﻲ‬:
3(‫اﻟﻔﺘﺮة‬ ‫ﻓﻲ‬ 2 ‫ﻟﻠﺪاﻟﺔ‬ ‫ﻗﯿﻤﺔ‬ ‫أﺻﻐﺮ‬f‫ﻋﻨﺪ‬ ‫ﺗﻮﺟﺪ‬‫ﻓﺘﻜﻮن‬ ‫ﻓﯿﮭﺎ‬ ‫ﻣﺘﻨﺎﻗﺼﺔ‬ ‫اﻟﺪاﻟﺔ‬ ‫ﻷن‬ ‫اﻷﯾﺴﺮ‬ ‫اﻟﻄﺮف‬
‫ھﻲ‬ ‫اﻟﻤﺴﺘﻄﯿﻞ‬ ‫ﻣﺴﺎﺣﺔ‬: 3 (2) 1 5 1 5A f   
    1 2 3
1
, 8 27 5 40Upper sum
n
i
i
f M x U f A A A

             
 if M
 2 (0) 3 9 3 27A f
width
   



    1 2 3
1
, 5 15 0 20Lower sum
n
i
i
f m x L f A A A

            
192
‫ﻟـ‬ ‫اﻟﺼﺤﯿﺤﺔ‬ ‫اﻟﻘﯿﻤﺔ‬ ‫إن‬
3
2
( )f x dx

‫ھﻲ‬
1
33
3
‫اﻻﻋﻠﻰ‬ ‫اﻟﻤﺠﻤﻮع‬ ‫ﺑﯿﻦ‬ ‫ﻣﺤﺼﻮرة‬ ‫ﻓﮭﻲ‬40‫واﻟﻤﺠﻤﻮع‬
‫اﻷدﻧﻰ‬27‫ﺗﺴﺎوي‬ ‫اﻟﺘﻘﺮﯾﺒﯿﺔ‬ ‫واﻟﻤﺴﺎﺣﺔ‬:
   , , 40 23 1
31
2 2 2
U f L f
A
      
  
‫ﻣﺜﺎل‬:‫ﺟﺪ‬1
b
a
dx
‫اﻟﻤﻨﺤﻨﻲ‬ ‫ﺗﺤﺖ‬ ‫اﻟﻤﺴﺎﺣﺔ‬ ‫اﻟﻤﻄﻠﻮب‬( ) 1f x ‫اﻟﺮأﺳﯿﯿﻦ‬ ‫واﻟﻤﺴﺘﻘﯿﻤﯿﻦ‬x = a , x = b
‫ﻃﻮﻟﮫ‬ ‫ﻣﺴﺘﻄﯿﻞ‬ ‫ﻣﺴﺎﺣﺔ‬ ‫ﺗﺴﺎوي‬ ‫اﻟﻤﺴﺎﺣﺔ‬ ‫وھﺬه‬b – a
‫وﻋﺮﺿ‬‫وﺣﺪة‬ ‫ﯾﺴﺎوي‬ ‫ﮫ‬‫واﺣﺪة‬ ‫ﻃﻮل‬
‫ﺗﺴﺎوي‬ ‫ﻣﺴﺎﺣﺘﮫ‬ ‫ﻟﺬا‬uint2
b – a
‫أي‬:
 
2
( , ) ( , ) ( )A U f L f b a unit        
‫ﻓﺎن‬ ‫ﻟﺬا‬:1
b
a
dx b a  
‫اﻟﺤﻞ‬:‫اﻟﻤﻨﺤﻨﻲ‬ ‫ﺗﺤﺖ‬ ‫اﻟﻤﺴﺎﺣﺔ‬ ‫اﻟﻤﻄﻠﻮب‬)‫اﻟﺴﯿﻨﺎت‬ ‫وﻣﺤﻮر‬ ‫اﻟﻤﻨﺤﻨﻲ‬ ‫ﺑﯿﻦ‬(
‫اﻟﺮأﺳﯿﯿﻦ‬ ‫واﻟﻤﺴﺘﻘﯿﻤﯿﻦ‬x = -1 , x = 3
‫ﺷﺒﮫ‬ ‫ﯾﻤﺜﻞ‬ ‫اﻟﺸﻜﻞ‬‫اﻟﻤﺘﻮازﯾﺘﯿﻦ‬ ‫ﻗﺎﻋﺪﺗﯿﮫ‬ ‫ﻣﻦ‬ ‫ﻛﻞ‬ ‫ﻃﻮل‬ ‫ﻣﻨﺤﺮف‬
5 , 1‫ﯾﺴﺎوي‬ ‫وارﺗﻔﺎﻋﮫ‬3 – (-1) = 4
‫اﻟﻤﺴﺎﺣﺔ‬=  21
5 1 *4 12
2
unit 
‫ﻟﺬا‬: 
3
1
3 12x dx

  
193
‫ﻣﺜﺎل‬:‫ﺟﺪ‬ 
3
1
2x dx

 
‫اﻟﻤﺴﺎﺣﺔ‬A1‫ﻗﺎﻋﺪﺗﮫ‬ ‫ﻃﻮل‬ ‫ﻟﻤﺜﻠﺚ‬ ‫ھﻲ‬=2‫وارﺗﻔﺎع‬=1
A1 = 1/2(2*1) = 1
‫اﻟﻤﺴﺎﺣﺔ‬A2‫ﻗﺎﻋﺪﺗﮫ‬ ‫ﻃﻮل‬ ‫ﻟﻤﺜﻠﺚ‬ ‫ھﻲ‬=2‫وارﺗﻔﺎع‬=2
A2= 1/2*(2*2)= 2
 
3
2
1 2
1
2 1 2 3 ( )x dx A A A unit


         
‫ﻣﺜﺎل‬:‫اﻟﻤﺴﺎﺣﺔ‬ ‫ﻹﯾﺠﺎد‬ ‫واﻷﯾﺴﺮ‬ ‫اﻷﯾﻤﻦ‬ ‫اﻟﻄﺮﻓﻲ‬ ‫اﻟﻤﺠﻤﻮع‬ ‫اﺳﺘﻌﻤﻞ‬‫اﻟﺘﻘﺮﯾﺒﯿﺔ‬‫اﻟﻤﻨﺤﻨﻲ‬ ‫ﺗﺤﺖ‬12
 xy‫ﻋﻠﻰ‬
‫اﻟﻔﺘﺮة‬[0, 2]‫ﺑﺎﺳﺘﻌﻤﺎل‬n = 4.
‫اﻟﺤﻞ‬:‫اﻻدﻧﻰ‬ ‫اﻟﻤﺠﻤﻮع‬ ‫ﻧﺠﺪ‬.Lower sum
‫اﻟﻤﺴﺘﻄﯿﻼت‬ ‫ﻋﺪد‬=4
‫ﻣﺴﺘﻄﯿﻞ‬ ‫ﻛﻞ‬ ‫ﻋﺮض‬=
2 0
0.5
4
x b a
n n
  
  
‫اﻟﻤﺴﺘﻄﯿﻞ‬ ‫ﻃﻮل‬)1(( 10)f ‫ﻓﻲ‬]0 , 0.5[
‫اﻟﻤﺴﺘﻄﯿﻞ‬ ‫ﻃﻮل‬)2(( ) 5.5 20 1.f ‫ﻓﻲ‬]10.5 ,[
‫اﻟﻤﺴﺘﻄﯿﻞ‬ ‫ﻃﻮل‬)3(( 21)f ‫ﻓﻲ‬]1.51 ,[
‫اﻟﻤﺴﺘﻄﯿﻞ‬ ‫ﻃﻮل‬)4((1.5) 3.25f ‫ﻓﻲ‬]21.5 ,[
‫اﻟﻜﻠﯿﺔ‬ ‫اﻟﻤﺴﺎﺣﺔ‬=‫اﻻرﺑﻌﺔ‬ ‫اﻟﻤﺴﺘﻄﯿﻼت‬ ‫ﻣﺴﺎﺣﺎت‬ ‫ﻣﺠﻤﻮع‬
‫اﻷ‬ ‫اﻟﻤﺠﻤﻮع‬ ‫ﺛﺎﻧﯿﺎ‬ ‫ﻟﻨﺠﺪ‬‫ﻋﻠﻰ‬:Upper sum
‫اﻟﻤﺴﺘﻄﯿﻞ‬ ‫ﻃﻮل‬)1(( ) 5.5 20 1.f ‫ﻓﻲ‬]0 , 0.5[
‫اﻟﻤﺴﺘﻄﯿﻞ‬ ‫ﻃﻮل‬)2(( ) 21f   ‫ﻓﻲ‬]10.5 ,[
 
3
0
0 1 2 3
0 1 2 3
Left Hand
Total Area from
( ) ( ) ( ) ( ) ( )  (Lower)
0 2
endpoint sum
                                                                         ( ) ( ) ( ) ( )
i
if x x f x x f x x f x x f x x
x
f x f x f x f x x

          
 
    


   41 1.25 3.75 ,2 0.5 L f           
194
‫اﻟﻤﺴﺘﻄﯿﻞ‬ ‫ﻃﻮل‬)3((1.5) 3.25f ‫ﻓﻲ‬]1.51 ,[
‫اﻟﻤﺴﺘﻄﯿﻞ‬ ‫ﻃﻮل‬)4(( ) 52f   ‫ﻓﻲ‬]21.5 ,[
‫اﻟﻜﻠﯿﺔ‬ ‫اﻟﻤﺴﺎﺣﺔ‬=‫اﻻرﺑﻌﺔ‬ ‫اﻟﻤﺴﺘﻄﯿﻼت‬ ‫ﻣﺴﺎﺣﺎت‬ ‫ﻣﺠﻤﻮع‬
2
: 3.75 5.75T otal A ria
Ude
Hence
L eft R igt
S um S um
r
y x
  
  
  

 
  
  0, 2  
‫اﻟﺘﻘﺮﯾﺒﯿﺔ‬ ‫اﻟﻤﺴﺎﺣﺔ‬=
( , ) ( , ) 5.75 3.75
4.75
2 2
U f L f  
  
‫ﻣﺜﺎل‬:‫ﺑﺎﺳﺘﺨﺪا‬‫م‬‫ﺗﺤﺖ‬ ‫ﻟﻠﻤﺴﺎﺣﺔ‬ ‫ﺗﻘﺮﯾﺒﺎ‬ ‫ﺟﺪ‬ ‫واﻟﺴﻔﻠﻰ‬ ‫اﻟﻌﻠﯿﺎ‬ ‫اﻟﻤﺠﺎﻣﯿﻊ‬
‫اﻟﻤﻨﺤﻨﻲ‬2
( ) 1f x x ‫ﺑﺎﻟﻤﺴﺘﻘﯿﻤﯿ‬ ‫واﻟﻤﺤﺪدة‬‫ﻦ‬x = - 1 , x = 2
‫وﺑﺎﺳﺘﺨﺪام‬n = 6.
‫اﻟﺤﻞ‬:‫أن‬ ‫اﻟﻤﺠﺎور‬ ‫اﻟﺸﻜﻞ‬ ‫ﻓﻲ‬ ‫ﻻﺣﻆ‬)0 ,1(‫ﻋﻠﻰ‬ ‫ﺑﯿﻨﻤﺎ‬ ‫ﻣﺘﻨﺎﻗﺺ‬ ‫ﯾﺴﺎرھﺎ‬ ‫ﻓﻲ‬ ‫واﻟﻤﻨﺤﻨﻲ‬ ‫ﺣﺮﺟﺔ‬ ‫ﻧﻘﻄﺔ‬‫ﯾﻤﯿﻨﮭﺎ‬
‫ﻣﺘﺰاﯾﺪ‬.‫ﺗﺰاﯾﺪ‬ ‫وﺟﻮد‬ ‫ﺑﺴﺒﺐ‬ ‫اﻟﯿﺴﺮى‬ ‫اﻟﯿﺪ‬ ‫وﻗﺎﻋﺪة‬ ‫اﻟﯿﻤﻨﻰ‬ ‫اﻟﯿﺪ‬ ‫ﻗﺎﻋﺪة‬ ‫ﺑﺎﺳﺘﻌﻤﺎل‬ ‫اﻟﺘﻘﺮﯾﺐ‬ ‫ﺳﯿﻜﻮن‬ ‫ﻟﺬا‬
‫ﺑـ‬ ‫اﻟﯿﺴﺮى‬ ‫اﻟﯿﺪ‬ ‫ﻗﺎﻋﺪة‬ ‫ﻋﻠﻰ‬ ‫ﯾﺼﻄﻠﺢ‬ ‫واﻟﺘﻲ‬ ‫اﻟﺪاﻟﺔ‬ ‫ﺑﻨﻔﺲ‬ ‫وﺗﻨﺎﻗﺺ‬(LRAM).‫ﻟﻠﻌﺒﺎرة‬ ‫ﻣﺨﺘﺼﺮ‬ ‫وھﻲ‬:
Left-hand Rectangular Approximation Method
‫ﺑﺎﻻﺧﺘﺼﺎر‬ ‫ﺗﻜﺘﺐ‬ ‫اﻟﯿﻤﻨﻰ‬ ‫اﻟﯿﺪ‬ ‫ﻗﺎﻋﺪة‬ ‫ﺑﯿﻨﻤﺎ‬)RRAM(‫ﻟﻠﻌﺒﺎرة‬ ‫ﻣﺨﺘﺼﺮ‬ ‫وھﻲ‬:
Right-hand Rectangular Approximation Method
   , 1, 2a b     
‫ﻋﺮض‬Width‫ﯾﺴﺎوي‬ ‫ﻣﺴﺘﻄﯿﻞ‬ ‫ﻛﻞ‬
2 1 1
6 6 2
b a
x
 
   
 
1 2 3 4
1
1 2 3 4
4
Right Hand
Total Area from
( ) ( ) ( ) ( ) ( )  ( )
0 2
endpoint sum
                                                                      
Upper
   ( ) ( ) ( ) ( )
i
if x x f x x f x x f x x f x x
x
f x f x f x f x x

          
 
    


   451.25 2 0. .75 ,5 L f             
195
‫اﻟﺘﻘﺮﯾﺒﯿﺔ‬ ‫اﻟﻤﺴﺎﺣﺔ‬= 
25.375 6.875
6.125
2 2
L RA A
A unit
 
   
‫ﻣﺜﺎل‬:‫ﺗﺤﺖ‬ ‫اﻟﻤﺴﺎﺣﺔ‬ ‫ﺟﺪ‬ ‫اﻟﻤﺴﺘﻄﯿﻼت‬ ‫ﻣﺠﻤﻮع‬ ‫ﺑﺎﺳﺘﺨﺪام‬ ‫و‬ ‫اﻟﻤﺠﺎور‬ ‫اﻟﺸﻜﻞ‬ ‫ﻣﻦ‬
‫اﻟﻤﺠﻤﻮع‬ ‫ﻧﻮع‬ ‫وﻣﺎ‬ ‫اﻟﻤﻨﺤﻨﻲ‬.
‫ﺑﺎﺳﺘﺨﺪ‬ ‫ﺗﻜﺘﺐ‬ ‫أن‬ ‫وﯾﻤﻜﻦ‬‫ﯾﻠﻲ‬ ‫وﻛﻤﺎ‬ ‫اﻟﺠﻤﻊ‬ ‫رﻣﺰ‬ ‫ام‬:
‫ﻣﺠﻤﻮع‬ ‫وﺗﻤﺜﻞ‬)‫أدﻧﻰ‬(
196
 
   
1 2 3 4
4
1 (0) (1) (2) (3)
1 1 2 5 10 18 ,
mA A A A A
f f f f
L f
   
     
      
 
   
1 2 3 4
4
1 (1) (2) (3) (4)
1 2 5 10 17 34 ,
MA A A A A f f f f
U f
         

      
‫ﻣﺜﺎل‬:‫اﻟﻤﻨﺤﻨﻲ‬ ‫ﺗﺤﺖ‬ ‫اﻟﺘﻘﺮﯾﺒﯿﺔ‬ ‫اﻟﻤﺴﺎﺣﺔ‬ ‫ﺟﺪ‬
2
( ) 1f x x 
‫ﺑﺎﻟﻤﺴﺘﻘﯿﻤﯿﻦ‬ ‫واﻟﻤﺤﺪدة‬ ‫اﻟﺴﯿﻨﺎت‬ ‫ﻣﺤﻮر‬ ‫وﻓﻮق‬
‫اﻟﺮأﺳﯿﯿﻦ‬x = 0 , x = 4‫ﺑﺎﻋﺘﺒﺎر‬n= 4
‫اﻟﺤﻞ‬:‫أوﻻ‬ ‫ﻟﻨﺠﺪ‬:4( , )L f  ‫ا‬ ‫ﻣﺠﻤﻮع‬‫دﻧﻰ‬
‫اﻟﻔﺘﺮة‬ ‫ﻓﻲ‬ ‫ﻣﺘﺰاﯾﺪة‬ ‫اﻟﺪاﻟﺔ‬ 0,4
‫ﻧﺴﺘﻌﻤﻞ‬ ‫ﻟﺬا‬‫اﻟﯿﺴﺮى‬ ‫اﻟﻄﺮﻓﯿﺔ‬ ‫اﻟﻨﻘﻂ‬‫اﻟﺠﺰﺋﯿﺔ‬ ‫ﻟﻠﻔﺘﺮات‬
       ,1 , ,2 , ,3 , 3,0 41 2      
‫واﺣﺪة‬ ‫وﺣﺪة‬ ‫ﺗﺴﺎوي‬ ‫ﻓﺘﺮة‬ ‫ﻛﻞ‬ ‫وﻃﻮل‬
‫ﻟﻨﺠﺪ‬‫ﺛﺎﻧﯿﺎ‬:4( , )U f  ‫اﻷﻋﻠﻰ‬ ‫اﻟﻤﺠﻤﻮع‬:Upper sum
‫ا‬ ‫ﻓﻲ‬ ‫ﻣﺘﺰاﯾﺪة‬ ‫اﻟﺪاﻟﺔ‬‫ﻟﻔﺘﺮة‬ 0,4
‫ﻧﺴﺘﻌﻤﻞ‬ ‫ﻟﺬا‬‫اﻟﯿ‬ ‫اﻟﻄﺮﻓﯿﺔ‬ ‫اﻟﻨﻘﻂ‬‫ﻤﻨﻰ‬‫اﻟﺠﺰﺋﯿﺔ‬ ‫ﻟﻠﻔﺘﺮات‬       0, , 1, , 2, , 31 2 ,3 4       
‫واﺣﺪة‬ ‫وﺣﺪة‬ ‫ﺗﺴﺎوي‬ ‫ﻓﺘﺮة‬ ‫ﻛﻞ‬ ‫وﻃﻮل‬
‫اﻟﺘﻘﺮﯾﺒﯿﺔ‬ ‫اﻟﻤﺴﺎﺣﺔ‬=
 
2( , ) ( , ) 34 18
26
2 2
U f L f
unit
  
   
197
 
   
1 2 3 4
4
1 (1) (2) (3) (4)
1 16 13 8 1 36 ,
mA A A A A f f f f
L f
         

      
 
1 2 3 4
4
(0) 1 (1) 1 (2) 1 (3)
17 16 13 8 54 ,
MA A A A A
f f f f
U f
   
      
     
‫ﻣﺜﺎل‬:‫ﻟﻠﺘﻜﺎﻣﻞ‬ ‫ﺗﻘﺮﯾﺒﯿﺔ‬ ‫ﻗﯿﻤﺔ‬ ‫ﺟﺪ‬
4
2
0
(17 )x dx 
‫اﻟﺘﺠﺰئ‬ ‫ﺑﺎﺳﺘﺨﺪام‬ 0,1,2,3,4 
‫اﻟﺤﻞ‬:‫ﻻﯾﺠﺎد‬ ‫ﻟﺬا‬ ‫ﻣﺘﻨﺎﻗﺼﺔ‬ ‫اﻟﺪاﻟﺔ‬‫اﻟﻤﺴﺎﺣﺔ‬
‫اﻟﯿﻤﻨﻰ‬ ‫اﻟﻄﺮﻓﯿﺔ‬ ‫اﻟﻨﻘﻂ‬ ‫ﻧﺴﺘﻌﻤﻞ‬ ‫اﻷدﻧﻰ‬.
‫اﻟﻤﺠﺎور‬ ‫اﻟﻤﺨﻄﻂ‬ ‫راﺟﻊ‬
‫واﺣﺪة‬ ‫ﻃﻮل‬ ‫وﺣﺪة‬ ‫ﯾﺴﺎوي‬ ‫ﻣﺴﺘﻄﯿﻞ‬ ‫ﻛﻞ‬ ‫ﻋﺮض‬
‫اﻻرﺑﻌﺔ‬ ‫اﻟﻤﺘﻄﯿﻼت‬ ‫أﻃﻮال‬ ‫ﻟﻨﺠﺪ‬.
(1) 17 1 16f   ‫ﻟﻠﻤﺴﺘﻄﯿ‬‫رﻗﻢ‬ ‫ﻞ‬)1(
2
(2) 17 2 13f   ‫رﻗﻢ‬ ‫ﻟﻠﻤﺴﺘﻄﯿﻞ‬)2(
2
(3) 17 3 8f   ‫رﻗﻢ‬ ‫ﻟﻠﻤﺴﺘﻄﯿﻞ‬)3(
2
(4) 17 4 1f   ‫رﻗﻢ‬ ‫ﻟﻠﻤﺴﺘﻄﯿﻞ‬)4(
‫اﻟﻤﺴﺎﺣﺔ‬ ‫وﻟﻨﺠﺪ‬‫ﺑﺎﺳﺘﻌﻤﺎ‬‫ل‬‫اﻟﻤﺠﻤﻮع‬‫اﻷﻋﻠﻰ‬
‫وذﻟﻚ‬‫ﺑﺎﺳﺘﺨﺪا‬‫م‬‫اﻟﺪاﻟﺔ‬ ‫ﻷن‬ ‫اﻟﯿﺴﺮى‬ ‫اﻟﻄﺮﻓﯿﺔ‬ ‫اﻟﻨﻘﻂ‬
‫ﻣﺘﻨﺎﻗﺼﺔ‬.
‫اﻟﻤﺴ‬‫اﻟﺘﻘﺮﯾﺒﯿﺔ‬ ‫ﺎﺣﺔ‬=
 
2( , ) ( , ) 54 36
45
2 2
U f L f
unit
  
   
198
‫ﻣﻼﺣﻈﺔ‬:‫وزادت‬ ‫اﻟﻤﻨﺤﻨﻲ‬ ‫ﺗﺤﺖ‬ ‫اﻟﻤﺴﺎﺣﺔ‬ ‫ﺗﻤﺜﯿﻞ‬ ‫دﻗﺔ‬ ‫زادت‬ ‫ﻛﻠﻤﺎ‬ ‫اﻟﻮاﺣﺪة‬ ‫ﻟﻠﻔﺘﺮة‬ ‫اﻟﺘﺠﺰﺋﺎت‬ ‫ﻋﺪد‬ ‫زاد‬ ‫ﻛﻠﻤﺎ‬
‫اﻟﻤﺴﺎﺣﺔ‬ ‫ﺗﻠﻚ‬ ‫ﺣﺴﺎب‬ ‫دﻗﺔ‬ ‫ﻟﺬﻟﻚ‬ ‫ﺗﺒﻌﺎ‬.‫وﻃﺒﻌﺎ‬‫ﻣﺘﺴﺎوﯾﺔ‬ ‫اﻟﺘﻘﺴﯿﻤﺎت‬ ‫ﺗﻜﻮن‬ ‫أن‬ ‫اﻟﻀﺮوري‬ ‫ﻣﻦ‬ ‫ﻟﯿﺲ‬‫زﯾﺎدة‬ ‫ﻓﯿﻤﻜﻦ‬
‫اﻟﺘﻲ‬ ‫اﻟﻤﻨﺎﻃﻖ‬ ‫ﻓﻲ‬ ‫ﻋﺪدھﺎ‬‫اﻟﺪاﻟﺔ‬ ‫ﻣﻨﺤﻨﻲ‬ ‫ﻓﯿﮭﺎ‬ ‫ﯾﻠﺘﻮي‬‫ﻛﺜﯿﺮا‬.‫ﻻ‬ ‫ﻣﻨﺎﻃﻖ‬ ‫ﻓﻲ‬ ‫اﻟﻤﺘﺴﺎوي‬ ‫ﻏﯿﺮ‬ ‫اﻟﺘﻘﺴﯿﻢ‬ ‫ﻧﺤﺘﺎج‬ ‫ﻻ‬ ‫اﻧﻨﺎ‬ ‫أي‬
‫اﻟﻤﺪرﺳﻲ‬ ‫ﻛﺘﺎﺑﻨﺎ‬ ‫ﻣﺆﻟﻔﻲ‬ ‫أن‬ ‫وﻗﻠﺖ‬ ‫اﻻﻧﺘﺮﻧﯿﺖ‬ ‫ﻋﻠﻰ‬ ‫ﻧﺸﺮت‬ ‫أن‬ ‫ﺳﺒﻖ‬ ‫ﻓﻠﻘﺪ‬ ‫اﻟﺘﻮاءات‬ ‫ﺗﺤﻮي‬)‫ﯾﻘﺪم‬ ‫أن‬ ‫اﻟﻤﺴﺘﺤﯿﻞ‬ ‫ﻣﻦ‬
‫ﺧﺒﺮة‬ ‫وﺑﻘﻠﺔ‬ ‫ﻓﯿﮭﻢ‬ ‫ﺗﺴﻠﻂ‬ ‫ﻣﻦ‬(‫اﻟﻤﻨﺤﻨﻰ‬ ‫ﺗﺤﺖ‬ ‫ﻟﻠﻤﺴﺎﺣﺔ‬ ‫واﻓﯿﺎ‬ ‫ﺷﺮﺣﺎ‬)‫اﷲ‬ ‫ﺳﺎﻣﺤﮭﻢ‬(‫ﻛ‬ ‫ﻓﻮﺿﻊ‬‫اﻟﻤﻮﺿﻮع‬ ‫ﺎﺗﺐ‬
‫اﻟﺴﯿﻨﺎت‬ ‫ﻣﺤﻮر‬ ‫ﻓﻮق‬ ‫ﺑﺎﻟﻤﺴﺎﺣﺔ‬ ‫ﯾﻜﺘﻔﻲ‬ ‫أن‬ ‫ﻋﻠﯿﮫ‬ ‫وﻛﺎن‬ ‫اﻟﻤﻮاﺿﯿﻊ‬ ‫ﻣﻦ‬ ‫ﺧﻠﻄﺔ‬.‫أن‬ ‫ﻣﺠﺒﺮﯾﻦ‬ ‫وﻧﺤﻦ‬‫أﻋﻄﯿﻨﺎ‬‫ﻣﺜﺎﻻ‬
‫اﻟﻤﻘﺮر‬ ‫اﻟﻤﻨﮭﺞ‬ ‫ﻟﻤﺠﺎرات‬ ‫ﻣﻨﺘﻈﻤﺔ‬ ‫ﻏﯿﺮ‬ ‫ﻟﺘﺠﺰﺋﺎت‬)‫واﻻﺳﺎﺗﺬة‬ ‫ﻟﻠﻄﻠﺒﺔ‬ ‫اﻋﺘﺬاري‬ ‫اﻗﺪم‬ ‫ﻟﺬا‬.(
‫ﻣﺜﺎل‬:‫ﻟﺘﻜﻦ‬  2
: 1,4 , ( ) 1f f x x     
‫ﻗﯿﻤﺔ‬ ‫ﺟﺪ‬‫ﻟﻠﻤﺴﺎﺣﺔ‬ ‫ﺗﻘﺮﯾﺒﯿﺔ‬A‫اذاﻛﺎن‬ ‫اﻟﻤﻨﺤﻨﻲ‬ ‫ﺗﺤﺖ‬:
       1, 2 , 4 1, 2 , 4a b             
‫ﻣﺠﺎﻟﮭﺎ‬ ‫ﻓﻲ‬ ‫ﻣﺘﺰاﯾﺔ‬ ‫اﻟﺪاﻟﺔ‬
)a(‫ھﻲ‬ ‫اﻟﺠﺰﺋﯿﺔ‬ ‫اﻟﻔﺘﺮات‬   1 4, ,2     ‫ﻟﻠﻤﺴﺘﻄﯿﻞ‬ ‫ﻋﺮﺿﺎ‬ ‫ﺗﻤﺜﻞ‬ ‫ﻓﺘﺮة‬ ‫ﻛﻞ‬ ‫ﻃﻮل‬
‫ﻟﻨﺠﺪ‬‫اﻷﻋﻠﻰ‬ ‫اﻟﻤﺠﻤﻮع‬:Upper sum‫اﻟﯿﻤﻨﻰ‬ ‫اﻟﻄﺮﻓﯿﺔ‬ ‫اﻟﻨﻘﻂ‬ ‫ﻧﺴﺘﻌﻤﻞ‬‫ار‬ ‫ﻻﯾﺠﺎد‬‫اﻟﻤﺴﺘﻄﯿﻞ‬ ‫ﻃﻮل‬ ‫أو‬ ‫ﺗﻔﺎع‬
‫ﻷن‬‫ﻣﺘﺰاﯾﺪة‬ ‫اﻟﺪاﻟﺔ‬.
 ( , ) ( )(2 12 4
5
) ( ) 4 2
1 2 317 9
MA U f f f
upper sum
      
         
‫ﻟﻨﺠﺪ‬‫اﻟﻤﺠﻤﻮع‬‫اﻷدﻧﻰ‬:lower sum‫اﻟﯿﺴﺮى‬ ‫اﻟﻄﺮﻓﯿﺔ‬ ‫اﻟﻨﻘﻂ‬ ‫ﻧﺴﺘﻌﻤﻞ‬‫اﻟﻤﺴﺘﻄﯿﻞ‬ ‫ﻃﻮل‬ ‫أو‬ ‫ارﺗﻔﺎع‬ ‫ﻻﯾﺠﺎد‬
‫ﻷن‬‫ﻣﺘﺰاﯾﺪة‬ ‫اﻟﺪاﻟﺔ‬.
 ( , ) ( )(2 1) ( ) 4 21 2
2 51 2 12
mA L f f f
lower sum
      
         
 
2( , ) ( , ) 39 12
25.5
2 2
U f L f
A unit
  
    
)b(‫اﻟﺠﺰﺋﯿﺔ‬ ‫اﻟﻔﺘﺮات‬‫ھﻲ‬     2 3 41, , ,        ‫ﻟﻠﻤﺴﺘﻄﯿﻞ‬ ‫ﻋﺮﺿﺎ‬ ‫ﺗﻤﺜﻞ‬ ‫ﻓﺘﺮة‬ ‫ﻛﻞ‬ ‫ﻃﻮل‬
‫ﻟﻨﺠﺪ‬‫اﻷﻋﻠﻰ‬ ‫اﻟﻤﺠﻤﻮع‬:Upper sum‫اﻟﻤﺴﺘﻄﯿﻞ‬ ‫ﻃﻮل‬ ‫أو‬ ‫ارﺗﻔﺎع‬ ‫ﻻﯾﺠﺎد‬ ‫اﻟﯿﻤﻨﻰ‬ ‫اﻟﻄﺮﻓﯿﺔ‬ ‫اﻟﻨﻘﻂ‬ ‫ﻧﺴﺘﻌﻤﻞ‬
‫ﻣﺘﺰاﯾﺪة‬ ‫اﻟﺪاﻟﺔ‬ ‫ﻷن‬.
199
   ( , ) ( )(2 1) ( ) 3 2 ( ) 42 3 4
5 10 17
3
1 1 1 32
MA U f f f f
upper sum
        
             
‫ﻟﻨﺠﺪ‬‫اﻟﻤﺠﻤﻮع‬‫اﻷدﻧﻰ‬:lower sum‫اﻟﻄﺮﻓﯿ‬ ‫اﻟﻨﻘﻂ‬ ‫ﻧﺴﺘﻌﻤﻞ‬‫اﻟﻤﺴﺘﻄﯿﻞ‬ ‫ﻃﻮل‬ ‫أو‬ ‫ارﺗﻔﺎع‬ ‫ﻻﯾﺠﺎد‬ ‫اﻟﯿﺴﺮى‬ ‫ﺔ‬
‫ﻣﺘﺰاﯾﺪة‬ ‫اﻟﺪاﻟﺔ‬ ‫ﻷن‬.
   ( , ) ( )(2 1) ( ) 3 2 ( )1 2 3
2 5 10
4 3
1 1 1 17
mA L f f f f
lower sum
        
             
 
2( , ) ( , ) 32 17
24.5
2 2
U f L f
A unit
  
    
‫اﻟﻔﺮع‬ ‫ﻓﻲ‬ ‫ﻻﺣﻆ‬)a(‫ھﻲ‬ ‫اﻟﻤﺴﺘﻄﯿﻼت‬ ‫ﻋﺪد‬ ‫أن‬2‫اﻟﻤﺴﺎﺣﺔ‬ ‫ﻓﻜﺎن‬25.5
‫اﻟﻔﺮع‬ ‫وﻓﻲ‬)b(‫ھﻲ‬ ‫اﻟﻤﺴﺘﻄﯿﻼت‬ ‫ﻋﺪد‬ ‫أن‬3‫اﻟﻤﺴﺎﺣﺔ‬ ‫ﻓﻜﺎن‬24.5
‫ﺑﯿ‬‫ھﻲ‬ ‫اﻟﻤﻀﺒﻮﻃﺔ‬ ‫اﻟﻤﺴﺎﺣﺔ‬ ‫ﻨﻤﺎ‬24‫اﻟﻤﺴﺎﺣﺔ‬ ‫ﻣﻦ‬ ‫أﻛﺜﺮ‬ ‫ﻧﻘﺘﺮب‬ ‫ﻓﺎﻧﻨﺎ‬ ‫اﻟﻤﺴﺘﻄﯿﻼت‬ ‫ﻋﺪد‬ ‫زاد‬ ‫ﻛﻠﻤﺎ‬ ‫أي‬
‫اﻟﻤﻄﻠﻮﺑﺔ‬.
‫ﻣﺜﺎل‬:‫ﻟﻠﺘﻜﺎﻣﻞ‬ ‫ﺗﻘﺮﯾﺒﯿﺔ‬ ‫ﻗﯿﻤﺔ‬ ‫ﺟﺪ‬
1
2
0
x dx‫اﻟﺘﺠﺰﺋﺔ‬ ‫ﺑﺎﺳﺘﺨﺪام‬
1 1 3
0, , , ,1
4 2 4

 
  
 
1
2
0
0 1 2 3
0 1 2 3
1
1 2 3
0, , , ,1
4 4 4
4 ( )
1 1 9
0, , ,
16 4 16
1 1 9
, , , 1
16 4 16
1
0,1, 2,3
4
four eq ual intervals
i i
x dx
Partition
n
m m m m
M M M M
x x for i


 
   
 

   
   
  

200
 
 
 
1
1
0
1
1
0
( , )
1 1 1 9 14
( , ) 0
4 16 4 16 64
( , )
1 1 1 9 30
( , ) 1
4 16 4 16 64
1 1 30 14 11
( , ) ( , )
2 2 64 64 32
n
i i
i
n
i i
i
i
i
Lower m
U
sum L f x x
L
pper M
f
sum U f x x
U f
U f L f




 






 
 
      
 
 
      
 
     
 


Estimateof the integral
‫ﻣﺜﺎل‬:‫ﻟﺘﻜﻦ‬ : 1, 5 , ( ) 3 3f f x x      
‫ﻟﻠﺘﻜﺎﻣﻞ‬ ‫ﺗﻘﺮﯾﺒﯿﺔ‬ ‫ﻗﯿﻤﺔ‬ ‫ﺟﺪ‬
5
1
( )f x dx‫اﻟﺘﺠﺰﺋﺔ‬ ‫ﺑﺎﺳﺘﺨﺪام‬ 1, 2, 3, 5       ‫ﻣﻦ‬ ‫ﺗﺤﻘﻖ‬ ‫ﺛﻢ‬
‫ھﻨﺪﺳﯿﺎ‬ ‫اﻟﻨﺎﺗﺞ‬.
 
0 1 2
0 1 2
1, 2,3,5
3 ( )
(1) , (20 3 6
3 6 1
) , (3)
(2) , (3) , (5) 2
three intervals
Partition
n
m f m f m f
M f M f M f
    

     
     
     
   
0 3 6
3 6 1
( , ) (1) (1) (2) 15
( , ) 1 1 2 33
1 1
( , ) ( , ) 33 15 24
2
2 2
Estimateof the integral
Lower sum L f
Upper sum U f
U f L f


 
   
   
    
‫ھﻨﺪﺳﯿﺎ‬:‫ﻣﺜﻠﺚ‬ ‫ﻣﺴﺎﺣﺔ‬ ‫ﯾﻤﺜﻞ‬ ‫اﻟﺸﻜﻞ‬
‫ﻗﺎﻋﺪﺗﮫ‬ ‫ﻃﻮل‬)5-1 = 4(‫ﯾﺴﺎوي‬ ‫وارﺗﻔﺎﻋﮫ‬12
   
21 1
(4) 12 24
2 2
A b h unit      
201
‫ﻣﺮاﺟﻌ‬‫ﻟﻘﻮاﻧﯿﻦ‬ ‫ﺔ‬‫اﻟﻤﺸﺘﻘﺔ‬Derivatives
Basic Properties and Formulas
If f (x) and g( x) are differentiable functions
c and n are any real numbers
Common Derivatives
Chain Rule Variants
202
2
2
( )m f x dx M

 
‫أﺳﺎﺳﯿﺔ‬ ‫ﻣﺒﺮھﻨﺎت‬Fundamental Theorem
Part I:‫اذا‬‫ﻛﺎﻧﺖ‬f‫داﻟﺔ‬‫ﻋﻠﻰ‬ ‫ﻣﺴﺘﻤﺮة‬‫اﻟﻔﺘﺮة‬]a , b[‫ﻣﺴﺘﻤﺮة‬ ‫داﻟﺔ‬ ‫ﻓﺈن‬
‫اﻟﻔﺘﺮة‬ ‫ﻋﻠﻰ‬]a , b[‫وأن‬ ‫أﯾﻀﺎ‬
Part II:‫ﻛﺎﻧﺖ‬ ‫اذا‬f‫اﻟﻔﺘﺮة‬ ‫ﻋﻠﻰ‬ ‫ﻣﺴﺘﻤﺮة‬ ‫داﻟﺔ‬]a , b[‫وأن‬)x(F‫اﻟﻌﻜﺴﯿﺔ‬ ‫اﻟﻤﺸﺘﻘﺔ‬ ‫ﯾﻤﺜﻞ‬
‫ﻟﻠﺪاﻟﺔ‬f(x)‫ﻓﺈن‬ ‫أي‬
Properties
‫اﻟﻤﺤﺪد‬ ‫اﻟﺘﻜﺎﻣﻞ‬ ‫ﺧﻮاص‬ ‫ﻋﻠﻰ‬ ‫أﻣﺜﻠﺔ‬:
‫ﻣﺜﺎل‬1:‫اﻟﺪاﻟﺔ‬ ‫ﻛﺎﻧﺖ‬ ‫إذا‬f‫ﻋﻠﻰ‬ ‫ﻣﺴﺘﻤﺮة‬]-2, 2[‫وﻛﺎن‬6‫وﻛﺎﻧﺖ‬ ‫ﻟﻠﺪاﻟﺔ‬ ‫ﻗﯿﻢ‬ ‫أﻋﻈﻢ‬ ‫ﺗﻤﺜﻞ‬2‫أﺻﻐﺮ‬ ‫ﺗﻤﺜﻞ‬
‫ﻟﻠﺪاﻟﺔ‬ ‫ﻗﯿﻢ‬
‫ﻗﯿﻤﺔ‬ ‫ﻓﺠﺪ‬M , m‫ﺗﺤﻘﻖ‬ ‫اﻟﺘﻲ‬
‫اﻟﺤﻞ‬:‫اﻷﺧﯿﺮة‬ ‫اﻟﻤﺒﺮھﻨﺔ‬ ‫ﻧﻄﺒﻖ‬:
203
 
1 6
6 2
( ) 16 ( ) 3 32f x dx and f x dx

         1
2
( )f x dx


-2 1 6 1 6
6 1
( ( 6) 16 ) 1f dd fx xx x      
6 1 6
2 2 1
( ) ( ) ( )f x dx f x dx f x dx
 
       
1 1
2 2
8 16( ) ( ) ( ) 24f x dx f x dx
 
      
 
6
2
6 6 6
2 2 2
6
2
( ) 3 32 ( ) 3 32
( ) 3(6 2) 3 )2 ( 8
f x dx f x dx dx
f x dx f x dx
  

       
      
  

4
2
3
25  x dx


0.x 
   
 
2 2 2 2
2 2 2 2
2 2
2 2
2 2
2 2
2 ( ) 6 2 ( ) 6 ( )
( ) ( ) 8 ; 24
2 6
2 2 2 6(2 2) 8 24
f x dx f x dx dx f x dx
f x dx f x dx m M
x x
   
 
 
          
           
   
 
‫ﻣﻼﺣﻈﺔ‬ ‫ﯾﻤﻜﻦ‬‫أن‬:( , ) 8 ; ( , ) 24L f U f    ‫اﻟﺘﻘﺮﯾﺒﺔ‬ ‫اﻟﻤﺴﺎﺣﺔ‬ ‫اﯾﺠﺎد‬ ‫ﯾﻤﻜﻦ‬ ‫اﻟﻌﺪدﯾﻦ‬ ‫ﻣﺘﻮﺳﻂ‬ ‫ﻣﻦ‬ ‫ﻟﺬا‬
.
‫اﻟﻤﺴﺎﺣﺔ‬ ‫وھﺬه‬‫اﻷﺧﯿﺮة‬‫ﺑﺎﺳﺘﺨﺪام‬‫ﻓﺘﺮة‬‫واﺣﺪ‬‫ة‬‫اﻷﻋ‬ ‫اﻟﺤﺪﯾﻦ‬ ‫ﻣﻦ‬ ‫ﻟﻜﻞ‬‫ﻠﻰ‬‫واﻷدﻧﻰ‬.
‫ﻣﺜﺎل‬2:‫اﻟﺘﻜﺎﻣﻞ‬ ‫ﻗﯿﻤﺔ‬ ‫ﻟﺘﻘﺮﯾﺐ‬ ‫اﻟﺨﻮاص‬ ‫اﺳﺘﺨﺪم‬
‫اﻟﺤﻞ‬:‫ﻓﻠﻨﺄﺧﺬ‬ ‫اﻟﺤﺮﺟﺔ‬ ‫اﻟﻨﻘﻄﺔ‬ ‫ﻟﻨﺠﺪ‬
‫اﻟﺤﺮﺟﺔ‬ ‫اﻟﻨﻘﻄﺔ‬ ‫ﻋﻠﻰ‬ ‫ﻧﺤﺼﻞ‬ ‫ﺗﻜﻮن‬ ‫وﻋﻨﺪﻣﺎ‬
‫اﻟﺪاﻟﺔ‬ ‫ﻣﺪى‬ ‫ﻋﻠﻰ‬ ‫ﻓﻨﺤﺼﻞ‬the range of f(x)
‫ﻣﺜﺎل‬3:‫ﻟﺘﻜﻦ‬f‫وﻟﯿﻜﻦ‬ ، ‫ﻣﺴﺘﻤﺮة‬ ‫داﻟﺔ‬
‫ﻓﺠﺪ‬
‫اﻟﺤﻞ‬:
‫اﻻﺟﺰاء‬ ‫ﻣﺠﻤﻮع‬ ‫ﯾﺴﺎوي‬ ‫اﻟﻜﻞ‬.
2
( ) 25 .f x x 
2
( )f x

 
2
x
2
[ 3,4]
25
x
x
  

( ) 0,f x 
2
max min
( ) 25 . ( 5    0) , ( 3) 4 (4)f x x f f f           
   
 
4
4
3
3
2
3 ( ) 5, and  thus 3 4 3 21 35.( ) 5 4 3   ( )
35 21
28 
2
f x f x dx f x dx
A unit


      

 
  
204
6
0
( )f x dx

 
 
1
0, ( ) 2
6 2
1 1
lim ( ) lim 2 2
2 2
lim ( ) ( ) Continuous
x a x a
x a
a F a Sin a
F x Sin x
defined
exits
Hence
Sin a
F x F a F at a

 

 
      
  
   

 


0,
6
 
  
( ) 2 ( ) 2 0 ,
6
F x Cos x F a Cos a a
         
 
1
( ) 2 ( ) 2 ( )
2
F x Sin x F x Cos x f x    
6
0
1 1
( ) 0 1
3 2 2
f x dx Cos Cos

 
         

   
32
2
3 1 1
: 2 , ; ( )
4 1
x x
f f x find f x dx
x x 
   
          
  

   
 2
1
1
1
2
1
2 lim 3 1 4
lim
3 1 : 2 1
4 m 43 li 4: 1
x
x
x
x x L
f x
x
x
x
x
x L
f
x x


 

 
     
   
 
    
   
  
   
 
 
1 2
1
1
lim 4
(1) 3 1 4
lim (1) 1
exits
defined
x
x
L L f x
f
Hence f x f f continuous at x


   
   
       

‫ﻣﺜﺎل‬4:‫اﻟﺪاﻟﺔ‬ ‫أن‬ ‫ﺑﺮھﻦ‬F‫ﻟﻠﺪاﻟﺔ‬ ‫ﻣﻘﺎﺑﻠﺔ‬ ‫داﻟﺔ‬ ‫ھﻲ‬f‫أن‬ ‫ﺣﯿﺚ‬
   3 2
: 1,2 ; ( ) 6 2 : 1,2 ; ( ) 6 3F F x x x and f f x x              
‫اﻟﺒﺮھﺎن‬:‫ﺑﺎﻟﻘﺎﻋﺪة‬ ‫اﻟﻤﻌﺮﻓﺔ‬ ‫اﻟﺪاﻟﺔ‬3
( ) 6 2F x x x  ‫ﻣﺴﺘ‬ ‫داﻟﺔ‬ ‫ھﻲ‬‫ﻛﺜﯿﺮةاﻟﺤﺪود‬ ‫ﻷﻧﮭﺎ‬ ‫ﻟﻼﺷﺘﻘﺎق‬ ‫وﻗﺎﺑﻠﺔ‬ ‫ﻤﺮة‬
‫وأن‬2
( ) 6 3 ( )F x x f x   ‫ﻓﺎن‬ ‫ﻟﺬا‬F‫ﻟﻠﺪاﻟﺔ‬ ‫اﻟﻤﻘﺎﺑﻠﺔ‬ ‫اﻟﺪاﻟﺔ‬ ‫ھﻲ‬f.
‫ﻣﺜﺎل‬5:‫اﻟﺪاﻟﺔ‬ ‫أن‬ ‫ﺑﺮھﻦ‬F‫ﻟﻠﺪاﻟﺔ‬ ‫ﻣﻘﺎﺑﻠﺔ‬ ‫داﻟﺔ‬ ‫ھﻲ‬f‫أن‬ ‫ﺣﯿﺚ‬
1
: 0, ; ( ) 2 : 0, ; ( ) 2
6 6 2
F F x Cos x and f f x Sin x
    
                
 
‫ﺟﺪ‬ ‫ﺛﻢ‬
‫اﻟﺤﻞ‬:1
( ) 2
2
F x Sin x
‫ﻟﻜﻦ‬a‫ﻓﻲ‬ ‫ﻣﺴﺘﻤﺮة‬ ‫ﻓﺎﻟﺪاﻟﺔ‬ ‫ﻟﺬا‬ ‫اﻟﻔﺘﺮة‬ ‫ﻋﻨﺎﺻﺮ‬ ‫ﻣﻦ‬ ‫ﻋﻨﺼﺮ‬ ‫ﻛﻞ‬ ‫ﺗﻤﺜﻞ‬
‫ﻣﻮﺟﻮدة‬
‫اﻟﻤﻔﺘﻮﺣﺔ‬ ‫اﻟﻔﺘﺮة‬ ‫ﻓﻲ‬ ‫ﻟﻼﺷﺘﻘﺎق‬ ‫ﻗﺎﺑﻠﺔ‬ ‫اﻟﺪاﻟﺔ‬ ‫ﺗﻜﻮن‬ ‫ﻟﺬا‬.
‫اﻟﺪاﻟﺔ‬F‫ﻟﻠﺪاﻟﺔ‬ ‫اﻟﻤﻘﺎﺑﻠﺔ‬ ‫اﻟﺪاﻟﺔ‬ ‫ھﻲ‬f
‫ﻣﺜﺎل‬6:‫ﻟ‬‫ﺘﻜﻦ‬
‫اﻟﺤﻞ‬:
205
 
 
2
2
1 1 1
1
6 (1 ) 6 6 : 2
6 (1 ) 6
1
16 : 3
x x
Sign x
x x x x x
f x
x x x x x
x
x
   
  
       
   
      

 
 
   
     
2 2
1 32 3
3 1 3 1 3
2 2 1 2 1
3 2
2 1
( ) ( ) ( )
3 2 (12 16
6 6 6 6
3 2 2 3 54 27 3 2 55)
x x xf x dx f x dx f x dx dx dxx
x x x x
  

 
     
          
                   
    
   
3
2
: 2,4 6 |1 | ; : ( )f Such that f x x x find f x dx

         
   
2
: 2, 6 3 ; ( ) 30 ,
b
f b Such that f x x f x dx find b

            
 
 
  
2
2
2 2
32 2 2
30 , 30 3 3 30
3 3 12 6 30 3 3 36 0 12 0
4 3
( ) 6
0 3
3
b b
b
dx dx x x
b b b b b b
b
f
b b
x x

 

           
            
     
 
‫اﻟﻔﺘﺮة‬ ‫ﻓﻲ‬ ‫ﻣﺴﺘﻤﺮة‬ ‫واﻟﺪاﻟﺔ‬]-2 , 1[‫اﻟﻔﺘﺮة‬ ‫ﻓﻲ‬ ‫وﻣﺴﺘﻤﺮة‬]1 , 3[‫اﻟﺪاﻟﺔ‬ ‫ﺗﻜﻮن‬ ‫ﻟﺬا‬ ‫اﻟﺤﺪود‬ ‫ﻛﺜﯿﺮﺗﺎ‬ ‫ﻷﻧﮭﻤﺎ‬f
‫اﻟﻤﺠﺎل‬ ‫ﻋﻨﺎﺻﺮ‬ ‫ﺟﻤﯿﻊ‬ ‫ﻓﻲ‬ ‫ﻣﺴﺘﻤﺮة‬ ‫ﻷﻧﮭﺎ‬ ‫ﻣﺴﺘﻤﺮة‬.
 
   
2
1
3 1 3 1 3
2 2 1 2
33 2
2 1
1
( ) ( ) ( )
1 1 ( 8 2)
3 1 4
2 18 2 28
f x dx f x dx f x dx x dx dxx
x x x


 

   
          
              
    
‫ﻣﺜﺎل‬7:‫ﻟﺘﻜﻦ‬
‫اﻟﺤﻞ‬:
‫ﻃﺮﯾ‬ ‫ﺑﻨﻔﺲ‬ ‫ﺑﺮھﻦ‬‫ﻣﺴﺘﻤﺮة‬ ‫اﻟﺪاﻟﺔ‬ ‫أن‬ ‫اﻟﺴﺒﻖ‬ ‫اﻟﻤﺜﺎل‬ ‫ﻘﺔ‬.
‫ﻣﺜﺎل‬8:‫ﻛﺎﻧﺖ‬ ‫اذا‬:
‫اﻟﺤﻞ‬:
206
       
4
1 3 5 5 5
14 4 4
2 22 2 2 2 2
1 1 1
1
2 2 2 62
2 1 32 1
5 5 5 5
a x x dx x dx x dx x
    
             
  

  
       
41 4 4 4
8 8
33 3 3 3 3
1 1
1
3 3 3 45
2 1 16 1
4 4 4 4
b x dx x dx x
   
           
  

 
     
3
2 32 2 32 2
0 0
0
1 1
sin cos sin cos sin sin sin0
3 3 2
1 1
(1 0)
3 3
d x x dx x x dx x

 
    
               
  
 
           
 
9 3 31 39
2 22 22 2
1
1
9
1
1 1 2 2
5 4 5 4 7 3
5 5 3 15
2 632
343 27
1
4
5 15
5 xx x xd xe d
  
        
   
  

 
 

     
41 1 1 14 4
22 2 2 2
1 1
1
1
2 2 2 1 2(2 1) 2f dx x dx x
x
    
            
  
 
   
3 /4 3 /4
/2/2
3 1 2
cos cos cos 0
4 2
n
2 2
si xg x dx
 

    
            




 
 4
1
2 12
1
x xx x
h dx
x
  
 


 
1x 
 
4 43 3
4
2 2
1
1 1
3
2 2
2 2
2 3
3 3
2 4
(2 ) 12 1 3
3 3
dx x x x x
 

   
         
   
 
      
 

    
    
  
4 8
23 2
1 1 0
9 4 3 /4
1 1 /2
5 2
4 1
21 0
sin cos
1
5 4 sin
2
11
a x x dx b x dx d x x dx
e x dx f dx g x dx
x
x x x x
h dx i dx
x xx



     
     
  
   
 
  
  
     
     
24
1
32 64
5 52 2 2 2
3 21 1 1
6
5y
k x x dx
x
l y x dx m y x dy n dy
x
  

     

  
‫ﻣﺜﺎل‬9:‫ﻣﻦ‬ ‫ﻛﻼ‬ ‫ﺟﺪ‬:
‫اﻟﺤﻞ‬
207
  
2 3 2 2
1
2
2
1
20 0
5
( 1) ( 1)( 1
11
x x x x x x x x
dxe i dx
x x xx
   




 
   2
)
1x x 
1
0
2 2
( 1)( 1
dx
x x x x
 
  


2
)
1x x 
1
1 1
3 2 4 3
0 0
0
1 1 1 1 7
( )
4 3 4 3 12
dx x x dx x x
 
           

 
     
3 124 4 4
2 2
1 1 1
45 3
2 22 2
1
6 12 36 12 36
2 2 2
6 36 2
5 3 5
k x x dx x x x dx x x x dx
x x x


 
             
 
 
    
 
  
 
5
2 2 2
6 2 24 2    
3
2 2 812
6 24
5 5
 
    
 

 
2 7 7
52 2 2 2 2 25 5 5
1 1
1
17
25
5 5
( )
7 7
5
( )
7
y
y y
l y x dx y x dx x y y y y
y y
 
          
 
 
 
 
2 7 7
52 2 2 2 2 25 5 5
1 1
1
17
25
5 5
( )
7 7
5
( )
7
y
y y
l y x dx y x dx x y y y y
y y
 
          
 
 
 
   
2
2 2
5 5 5 52 2 2 2 2 3 2
1 1
1
5 2
1 1
8 1
3 3
7
3
m y x dy x y dx x y x
x
 
         

 
 
1 1
2 1 1 23 2 264 64 64
3 3 3 3
3 21 1 1
5 3 1
5 5
1 3
3
x
n dx x x dx x x dx
x
       
            
     
 
  
2
3
      
643 33
23 2 22
1
5 2 5 4 2 2(1 8) 14x
   
           
  
208
 
   
ln( )
( )
1 0
( )
/ – ( )
( )
ln 1
ln a
log (x) = ln(x) ln e x
ln ln
ln a x ln a
ln a ln
ln
x
e
n
e
x x n x
x
x
        

    

 
 
   

Derivatives of Exponential Functions
   
   
1) 2) ln
1 1
log ( ) ln( )
ln( )
u u
u u
a
d e d bdu du
e b b
dx dx dx dx
d du d du
u u
dx u a dx dx u dx
     


  



 

 
Properties of Logarithms
loga x
a x log x
a a x  0 ,  1 ,     0a a x  
Product rule: log log loga a axy x y 
Quotient rule: log log loga a a
x
x y
y
 
Power rule: log logy
a ax y x
Change of base formula:
ln
log
ln
a
x
x
a

209
:Examples
2
2
2
2) [ln( 1)]
1
d u x
x Chain ru
x
le
d u x

   


1
3) [ ln( )] ( ) ln (1) 1 ln  
d
x x x x x Pro
dx x
duct rule     
4
5 4 1 5[ln( )]
4) [ln( )]  5[ln( )]
d x
x x
dx x x
power rule  
‫أﻣﺜﻠﺔ‬‫أﺧﺮى‬:‫ﺟﺪ‬y ‫ﯾﻠﻲ‬ ‫ﻣﻤﺎ‬:
 1 ( )( )( )2
y 3 1 5 2 7x 4x x    
‫ﻟﻮﻏ‬ ‫ﻧﺄﺧﺬ‬‫ﺎ‬‫اﻟﻄﺮﻓﯿﻦ‬ ‫رﯾﺘﻢ‬Take natural log of each side
( ( )( )( ))
( ) ( ) ( )
2
2
ln y ln 3 1 5 2 7x 4
ln y ln 3 1 ln 5 2 ln 7x 4
x x
x x
    
     
‫ﻟﻠﻤﺘﻐﯿﺮ‬ ‫ﺑﺎﻟﻨﺴﺒﺔ‬ ‫اﻟﻄﺮﻓﯿﻦ‬ ‫ﻧﺸﺘﻖ‬x
22
3 5 14
3 1 5
3 5 14
3 1 5 42 7 4 2 7
y x x
y y
x x xy x x x
  

   
 
  
   
‫اﺳﺘﺒﺪل‬y‫ﺑﺪﻻﻟﺔ‬x
 
2 3
5 2
(
       2  
2)
1
Take natural log of each
x
y
x x
side

  

 
2 3
2 2
5 2
( 2 ) 1
ln ln ln 3 ln ( 2 ) (ln ln 1 )
51
x
y y x x x
x x

       

‫اﻟﻄﺮﻓﯿﻦ‬ ‫ﻧﺸﺘﻖ‬)Differentiate both sides(
22 2 2
6 1 2
2 5( 1)
6 1 2
2 5( 1)
y x x
y xx x
x x
y y
xx x
 


        
   

2 1
1) [ln2 ]
2
d u
x
d
Chai
x u
l
x x
n ru e

    
 2
2
3 5 14
(3    1)(5   -  2)(7   4)
3 1 5 2 7 4
x
y x x x
x x x
       
   
210
ln
log
ln
: a
u
u
a
Logs with other bases
ln l
n ln
n
lnl
        :
lln n
x
x
x a x
x a x x a
a
a xd d d
a e e e a a
dx d
e
x x
a e
a
d
   
    
  
     
Exponential functions with other bases

 
 
 2
2 2
2
5
.
ln 1 1
(log ) *
ln ln
ln
(log ( sin )
ln5
1 1 2 cos
* (2 c
sin
2
sin
os )
ln5 ( ) ln5( s n )
1
i
a
ex
d d u du
u
dx dx a a u dx
d d
x x
dx dx
x x
x x
x x
x x
x x
 
   
 
 
  
 
 

 





3
3 2
( ) x x
f x e  

3 3
3 2 3 2 3 2
( ) (3 2 ) ( 2 3 )x x x x
f x e x x x e   
       
2 3
22 2 5
6 1 2
       
( 2)
1
  :
2 5( 1)
x x
Replace y with function of x y
xx x
x
x x
 
    
  
‫أﻣﺜﻠﺔ‬:
 ‫ﻣﺜﺎل‬1 :       ‫ﺟﺪ اﻟﻤﺸﺘﻘﺔ ﻟﻠﺪاﻟﺔ‬ 
 
 ‫اﻟﺤﻞ‬                                                : 
 
                                                    
 
 
 
 
 ‫ﻣﺜﺎل‬2A :       ‫ﺟﺪ اﻟﻤﺸﺘﻘﺔ ﻟﻠﺪاﻟﺔ‬
sin(2 1)
( )f e 
 
 
 ‫اﻟﺤﻞ‬   :                                        
 sin(2 1) sin(2 1)
( ) sin(2 1) 2cos (2 1)f e e 
          
 
‫ﻣﺜﺎل‬2B            ( 2 2
2 2
1 2 2
( 2 5)
2 5
ln( 2 5)
2 5
dy d x
x x
dx x x
y
dx
x x
x x
  

     
   
  
 
 ‫ﻣﺜﺎل‬2C        ( ( 3 ) 3 ln 3x xd
dx
  
211
ln ln 5 ln sin 3 ln cos 2 ln tany x x x   
(ln ) (ln5 lnsin3 ln cos 2 ln tan )
d d
y x x x
dx dx
   
 
 ‫ﻣﺜﺎل‬ :2D            ( 2( log )
1 1
ln 2 ln
d
x
x xd
  
 
 ‫أﻣﺜﻠﺔ أﺧﺮى‬  :  ‫ﺟﺪ اﻟﻤﺸﺘﻘﺔ‬
dy
dx
 ‫   ﻣﻦ اﻟﻌﻼﻗﺎت اﻟﺘﺎﻟﯿﺔ‬.  ‫ﻣﺜﺎل‬3          :2
3
ln( )
1
x
y
x


 
 
 ‫اﻟﺤﻞ‬                                                               : 21
ln(3 ) ln( 1)
2
y x x   
 
1 1
2 3
dy
dx
 3
x
 2 2 2
1 1 1 2 1
2
1 2 1 2 1
x x
x
x x x x
     
         
      
 
 
 ‫ﻣﺜﺎل‬4       :                                                  5sin3 cos2 tany x x x   
 
 ‫اﻟﺨﻞ‬                                                            : 
 
 
 
2
1 3cos3 2sin 2 1 sec
0
sin3 cos 2 2 tan
dy x x x
y dx x x x x
      
 
21
(5sin3 cos2 tan )( 3cot3 2tan 2 sec cot )
2
dy
x x x x x x x
dx x
     
 
 ‫ﻣﺜﺎل‬5              :                                 1 , 0x
y x x x   
 
 ‫اﻟﺤﻞ‬   : ‫ﻣﻦ أﺧﺬ اﻟﻠﻮﻏﺎرﯾﺘﻢ اﻟﻄﺒﯿﻌﻲ ﻟﻠﻄﺮﻓﯿﻦ ﻧﺤﺼﻞ ﻋﻠﻰ‬: 
ln lny x x 
1 1
(ln ) ( ln ) ln (1 ln )xd d dy dy
y x x x x x x
dx dx y dx x dx
         
 
 
 
 
212
2
6 2 3 2 5
dy
x y x x
dx
     
‫ﻣﺜﺎل‬6         : 
2
ln(3 2 5)x x
y e  
  
 ‫    اﻟﺤﻞ‬ : ‫ﻣﻦ اﻟﺨﺎﺻﯿﺔ‬
( )ln u
e u  ‫  ﻧﺴﺘﻨﺘﺞ أن‬                   : 
 
         
‫ﻣﺜﺎل‬8A   : 
         ‫ا‬ 
   
 
 
 
  
213
2 33x    xdx c 
‫اﻟﻤﺤﺪد‬ ‫ﻏﯿﺮ‬ ‫اﻟﺘﻜﺎﻣﻞ‬ ‫ﺗﻌﺮﯾﻒ‬The Definition of Indefinite Integral
‫اﻟﺘﻔﺎ‬ ‫ﻋﻠﻢ‬ ‫أن‬ ‫ﺣﯿﺚ‬ ، ‫اﻻﺷﺘﻘﺎق‬ ‫ﻟﻌﻤﻠﯿﺔ‬ ‫اﻟﻌﻜﺴﯿﺔ‬ ‫اﻟﻌﻤﻠﯿﺔ‬ ‫ھﻮ‬ ‫اﻟﻤﺤﺪد‬ ‫ﻏﯿﺮ‬ ‫اﻟﺘﻜﺎﻣﻞ‬ ‫أو‬ ‫اﻟﻌﻜﺴﯿﺔ‬ ‫اﻟﻤﺸﺘﻘﺔ‬‫ﯾﺨﺘﺺ‬ ‫ﺿﻞ‬
‫ﻟﻠﺪاﻟﺔ‬ ‫اﻟﻤﺸﺘﻘﺔ‬ ‫ﺑﺈﯾﺠﺎد‬f‫ﯾﺨﺘﺺ‬ ‫اﻟﻤﺤﺪد‬ ‫ﻏﯿﺮ‬ ‫اﻟﺘﻜﺎﻣﻞ‬ ‫ﻓﺎن‬‫ﺑﺈﯾﺠﺎد‬‫اﻟﻌﻜﺴﯿﺔ‬ ‫اﻟﻤﺸﺘﻘﺔ‬F‫ﻟﻠﺪاﻟﺔ‬f‫ﺑﺎﻟﺘﻌﺮﯾﻒ‬ ‫ﻛﻤﺎ‬:
‫ﻣﺜﺎل‬:‫ﻟﻠﺪاﻟﺔ‬ ‫اﻷﺻﻠﯿﺔ‬ ‫اﻟﺪاﻟﺔ‬ ‫ﺟﺪ‬ 2( )   3     ,        ,f x x x     
‫اﻟﺤﻞ‬:‫اﻟﺪاﻟﺔ‬ ‫اﯾﺠﺎد‬ ‫ﻧﺮﯾﺪ‬F‫ﺗﻜﻮن‬ ‫اﻟﺘﻲ‬‫ﻣﺸﺘﻘﺎﺗﮭﺎ‬‫اﻷوﻟﻰ‬‫ﻟـ‬ ‫ﻣﺴﺎوﯾﺔ‬3 x2
‫وﺑﻤﻌﻨﻰ‬ ،‫آﺧﺮ‬‫ﯾﺮاد‬‫إﯾﺠﺎد‬F‫ﺑﺤﯿﺚ‬
2( )   3F x x ‫ﻗﯿﻢ‬ ‫ﻟﻜﻞ‬x‫اﻟﺤﻘﯿﻘﯿﺔ‬.
‫ان‬ ‫ﻧﻌﻠﻢ‬ ‫ﺑﺎﻟﻤﺸﺘﻘﺔ‬ ‫ﺧﺒﺮﺗﻨﺎ‬ ‫وﻣﻦ‬3( ) F x x‫و‬ ‫اﻟﺪاﻟﺔ‬ ‫ھﻲ‬‫و‬ ‫ھﻲ‬‫اﻟﺪوال‬ ‫ﻣﻦ‬ ‫اﺣﺪة‬‫اﻟﻤﻄﻠﻮب‬ ‫ﺗﺤﻘﻖ‬ ‫اﻟﺘﻲ‬.
‫اﻷﺻﻠﯿﺔ‬ ‫اﻟﺪوال‬ ‫ﻣﻦ‬ ‫ﻣﻨﺘﮫ‬ ‫ﻏﯿﺮ‬ ‫ﻋﺪد‬ ‫ھﻨﺎﻟﻚ‬ ‫أن‬ ‫أي‬‫ﻣﺜﻞ‬3 3 34   ,      2     ,    x x x c  
‫اﻟﺘﻜﺎﻣﻞ‬ ‫ﺛﺎﺑﺖ‬ ‫ﯾﺴﻤﻰ‬ ‫ﺣﻘﯿﻘﻲ‬ ‫ﺛﺎﺑﺖ‬ ‫ﺑﻌﺪد‬ ‫ﻓﻘﻂ‬ ‫ﺗﺨﺘﻠﻒ‬ ‫اﻟﺪوال‬ ‫ﻓﮭﺬه‬‫اﻻﺧﺘﯿﺎري‬ ‫اﻟﺜﺎﺑﺖ‬ ‫او‬Arbitrary constant
‫اﻟﻤﺤﺪود‬ ‫ﻏﯿﺮ‬ ‫اﻟﺘﻜﺎﻣﻞ‬ ‫رﻣﺰ‬)Notation for Indefinite Integral(
‫اﻟﺮﻣﺰ‬ ‫اﻟﻤﺤﺪود‬ ‫ﻏﯿﺮ‬ ‫اﻟﺘﻜﺎﻣﻞ‬ ‫ﻓﻲ‬ ‫ﯾﺴﺘﻌﻤﻞ‬.....  dx‫وﯾﻌﺮف‬‫ﻟﯿﺒﻨﯿﺰ‬ ‫ﺑﺮﻣﺰ‬)Lebiniz(‫اﯾﺠﺎد‬ ‫ﻋﻤﻠﯿﺔ‬ ‫ﻋﻠﻰ‬ ‫ﻟﻠﺪﻻﻟﺔ‬
‫اﻟﻤﺤﺪود‬ ‫ﻏﯿﺮ‬ ‫اﻟﺘﻜﺎﻣﻞ‬.‫ﺑﺎﻟﺮﻣﺰ‬ ‫ﻟﮫ‬ ‫ﯾﺮﻣﺰ‬ ‫اﻟﺴﺎﺑﻖ‬ ‫ﻓﺎﻟﻤﺜﺎل‬:
  ( )      ( )f x dx F x c ‫ﺣﯿﺚ‬( ) ( )F x f x ‫ﯾﻌﻄﻲ‬ ‫اﻟﺘﻜﺎﻣﻞ‬ ‫ھﺬا‬ ‫وان‬:
‫اﻟﻤﺸﺘﻘﺎت‬ ‫ﻋﺎﺋﻠﺔ‬‫اﻟﻌﻜﺴﯿﺔ‬Family of Antiderivatives‫أي‬ ‫ﻋﻨﺪ‬ ‫اھﺎ‬ ‫اﻟﻤﺎس‬ ‫ﻣﯿﻞ‬ ‫ﻓﺠﻤﯿﻌﮭﺎ‬x‫ﻟﺬﻟﻚ‬ ‫ﻣﺘﺴﺎو‬
‫ﻓﮭﻲ‬‫ﻣﺘﻮازﯾﺔ‬ ‫ﻣﻨﺤﻨﯿﺎت‬.
‫اﻟﺮﻣﺰ‬ ‫ﺗﺴﻤﯿﺔ‬ ‫ﻋﻠﻰ‬ ‫اﺻﻄﻠﺢ‬ ‫ﻓﻠﻘﺪ‬‫ﺑﺎﺳﻢ‬‫إﺷﺎرة‬‫اﻟﺘﻜﺎﻣﻞ‬)Integration Sign(‫وان‬f ( x )‫اﻟﻤﻮﺟﻮدة‬
‫اﻟﺼﯿﻐﺔ‬ ‫ﻓﻲ‬  ( ) f x dx
‫ﺗﻌﺮﯾﻒ‬:
‫ﻟﺪ‬ ‫ﯾﻘﺎل‬‫اﻟﺔ‬F‫أﻧﮭﺎ‬‫ﻋﻜﺴﯿﺔ‬ ‫ﻣﺸﺘﻘﺔ‬)Antiderivative(‫ﻟﺪاﻟﺔ‬f‫اﻟﻔﺘﺮة‬ ‫ﻓﻲ‬I‫ﻛﺎن‬ ‫إذا‬:
( )    ( )      ,       F x f x x I   
214
‫اﻟﻤﻜﺎﻣﻠﺔ‬ ‫اﻟﺪاﻟﺔ‬ ‫ﺑﺎﺳﻢ‬Integrand‫واﻟﺮﻣﺰ‬d x‫ﻋﻠﻰ‬ ‫وﯾﺪل‬ ‫اﻟﺘﻔﺎﺿﻞ‬ ‫رﻣﺰ‬ ‫ھﻮ‬‫اﻟﻤﺮاد‬ ‫اﻟﺘﻜﺎﻣﻞ‬ ‫ﻋﻤﻠﯿﺔ‬ ‫أن‬
‫ﻟﻠﻤﺘﻐﯿﺮ‬ ‫ﺑﺎﻟﻨﺴﺒﺔ‬ ‫ﺗﻜﻮن‬ ‫إﺟﺮاؤھﺎ‬x‫ﻓﻘﻂ‬‫اﻟﺘﻜﺎﻣﻞ‬ ‫ﻣﺘﻐﯿﺮ‬ ‫وﯾﺴﻤﻰ‬Variable of Integrating‫اﻋﺘﺒﺎر‬ ‫ﻣﻊ‬ ،
‫اﻟﻤﺘﺒﻘﯿﺔ‬ ‫اﻟﺮﻣﻮز‬-‫وﺟﺪت‬ ‫ان‬–‫ﻣﺜﻼ‬ ‫ﻛﺜﻮاﺑﺖ‬:
‫اﻟﺮﻣﺰﯾﻦ‬ ‫ﻣﻊ‬ ‫اﻟﺘﻌﺎﻣﻞ‬ ‫ﺗﻢ‬z , y‫ﻛﺜﻮاﺑﺖ‬.
2
(3 2 2 )  3 2  z x y dx z x y x c     
‫ﻣﺒﺮھﻨﺔ‬)1: (‫ﻧ‬‫ﺘﯿ‬‫ﺠﺔ‬‫ﻣﻦ‬‫ﻣﺒﺎﺷﺮة‬ ‫اﻟﻌﻜﺴﯿﺔ‬ ‫اﻟﻤﺸﺘﻘﺔ‬ ‫ﺗﻌﺮﯾﻒ‬:
 
       
      1    ( )     ( )
2    ( )       ( )
d
f x dx f x
dx
d
f x dx f x c
dx
 
   


 
   
3 3
:   1 :    s in          s in
               2 :   ta n 3        ta n 3
d
e x am p le d x
d x x x
d
x x d x x x c
d x

 
  
 


‫ﻣﺒﺮھﻨﺔ‬2-‫اﻟﻘﻮة‬ ‫ﻗﺎﻋﺪة‬Power Role:
1
                ,      1
1
n
n x
x dx c n
n

  

‫ﻣﺜﺎل‬:
7
2 75
5 5
5
              + c
7 7
5
x
x dx c x  
‫ﻣﺒﺮھﻨﺔ‬3:‫ﻣﻦ‬ ‫ﻛﻞ‬ ‫ﻛﺎن‬ ‫اذا‬g , f‫أﺻﻠﯿﺔ‬ ‫داﻟﺔ‬)‫ﻣﺤﺪود‬ ‫ﻏﯿﺮ‬ ‫ﺗﻜﺎﻣﻼ‬(‫ﻛﺎن‬ ‫وإذا‬k‫ﻓﺎن‬ ‫ﺛﺎﺑﺘﺎ‬ ‫ﻋﺪدا‬:
 
   
   
1       ( )      ( ) 
2       ( )   ( )      ( )    ( ) 
3       ( )   ( )      ( )    ( ) 
k f x dx k f x dx
f x g x dx f x dx g x dx
f x g x dx f x dx g x dx

  
  
 
  
  
‫اﻟﺒﺮھﺎن‬:
 
   
1    D     ( )      D     ( )       ( )
2  D         ( )   ( )    D   ( )  D   ( )    
                                                       ( ) ( )
x x
x x x
k f x dx k f x dx k f x
f x g x dx f x dx g x dx
f x g x
      
   
       
     
 
 
  
‫ﻃﺮﯾﻘﺔ‬ ‫ﺑﻨﻔﺲ‬ ‫اﻟﺜﺎﻟﺚ‬ ‫اﻟﺠﺰء‬ ‫وﺑﺮھﺎن‬‫اﻟﺜﺎﻧﻲ‬ ‫اﻟﺠﺰء‬.
215
   
 
   
 
2
10
92
10
9
2
9
2
(1)      3 6 3   6 6
3 6 3   6 6
. :  let   u = 3 6 3              6 6
:                
10
                                         
  
3
  
6
                 
3
1
Ex am ple x x x d
S olu x x du x dx
u
then u du
x
x x x dx
x x
c
  
 
    
 





 
0
c
 
 
2 2
3 2
1 2 3
3 2
1 2 3
6 10 3   6   10   3 
                                  = 6    10   3
3 2
                                  2 5 3 6  10 
                                  
x x dx x dx x dx dx
x x
c c x c
x x x c c c
    
   
       
   
     
   
3 2
2 5 3x x x c   
‫ﻣﺜﺎل‬:
‫ﻣﺒﺮھﻨﺔ‬4:‫اﻟﻌﺎﻣﺔ‬ ‫اﻟﻘﻮى‬ ‫ﻗﺎﻋﺪة‬)Generalized Power Role(:
‫ﻟﺘﻜﻦ‬u = g(x)‫ﻟﻠﺘﻔﺎﺿﻞ‬ ‫ﻗﺎﺑﻠﺔ‬ ‫داﻟﺔ‬‫وأن‬   1n ‫و‬    ( ) du g x dx‫ﻓﺎن‬:
 
 
1
( )
( )   ( )   
1
n
g xn
g x g x dx c
n

  

‫ﻣﺒﺮھﻨﺔ‬5:‫اﻟﻄﺒﯿﻌﻲ‬ ‫اﻟﻠﻮﻏﺎرﯾﺘﻢ‬ ‫ﺗﺤﻮي‬ ‫اﻟﺘﻲ‬ ‫اﻟﺪوال‬ ‫ﺗﻜﺎﻣﻞ‬
 
 
1 ( )
ln ln | | ln | ( )
     
|
( )
   
2
kx
kx
dx f x
x C du u C dx f x C
x u f x
e
e dx C
k

          
      
  
Integration involving the natural log function
‫أﻣﺜﻠﺔ‬:
216
 
3
2
3 3
     3 :        3 3  
2  3
     .  : I =      3         3 
x
Example I x x dx
x
Sol x x dx x x c
 
   
 
       


6 7 7 2
1 1
7 2
1 1 1 1 1
       sin ( 4) 
2 2 7 14 2
1
                       sin ( 4)   
14
u du u c x c
x c
 
       
 
  

   
   
   
   
   
5           
. :   let  g(x) =       g (x) = -      ;      ( )         ( ) 1
  :               ( ) + ( )  g (x)  
                                     
x x
x x
x x
Example I e x e dx
Sol e e let f x x f x
then I e x e dx g x f x f x dx
 
 
 
 
    
       

 
     
              =   ( )     ( )   x
g x f x dx g x f x c x e c
       

 
   
6
2 2 2
6 2 6
2 2
2
1
. :  Let   sin( 4)                 cos 4  2        cos 4   
2
1
  :    sin ( 4
4  :   I = sin ( 4)cos( 4) 
   ) 
2
    cos( 4) 
Exampl
Sol x u du x x dx x x dx du
He
e x x x dx
x x dxnce I x u du
         
  
 
   

217
Table of Integration Formulas
( )f x dx( )f x
1
, 1
1
n
x
c n
n

  

n
x
, 0In x c x 
1
x
cosx c cosx
sin x csin x
2 1
, ,
2
sec
n
x nIn x c 
 
  
 
 tan x
sin , ,In x c x n n  cot x
2 1
, ,
2
tan
n
x nx c 
 
  
 
 2
sec x
cot , ,x c x n n   2
csc x
2 1
, ,
2
sec tan
n
x nIn x x c 
 
  
 
  secx
csc cot , ,In x x c x n n   cscx
x
e cx
e
, 0 , 1
x
a
c a a
In a
  x
a
  1
( )
, 1
1
n
g x
c n
n

  

 ( ) ( )n
g x g x
‫ﺑﺎﻟﺘﻌﻮﻳﺾ‬ ‫ﺍﻟﺘﻜﺎﻣﻞ‬Integration by Substitution:
‫اﻟﺘﻜﺎﻣﻞ‬ ‫ﻣﺘﻐﯿﺮ‬ ‫ﺗﻐﯿﯿﺮ‬ ‫ﺑﻄﺮﯾﻘﺔ‬ ‫اﻟﻄﺮﯾﻘﺔ‬ ‫ھﺬه‬ ‫أﯾﻀﺎ‬ ‫ﺗﺴﻤﻰ‬Change of Variables‫اﻟﮭﺎﻣﺔ‬ ‫اﻟﻄﺮق‬ ‫إﺣﺪى‬ ‫وھﻲ‬
‫اﻟﻌﻜ‬ ‫اﻟﻤﺸﺘﻘﺔ‬ ‫إﯾﺠﺎد‬ ‫ﻓﻲ‬ ‫ﻧﻔﺸﻞ‬ ‫ﻋﻨﺪﻣﺎ‬ ‫ﻣﺒﺎﺷﺮة‬ ‫وﺗﺴﺘﺨﺪم‬ ، ‫ﻟﺪاﻟﺔ‬ ‫اﻟﻌﻜﺴﯿﺔ‬ ‫اﻟﻤﺸﺘﻘﺔ‬ ‫ﻹﯾﺠﺎد‬‫ﻣﻦ‬ ‫اﻟﺤﺪس‬ ‫ﺑﻄﺮﯾﻘﺔ‬ ‫ﺴﯿﺔ‬
‫ﻟﻠﺘﻜﺎﻣﻞ‬ ‫اﻟﺴﺎﺑﻖ‬ ‫اﻟﺮﺋﯿﺴﻲ‬ ‫اﻟﺠﺪول‬.
218
‫أﻣﺜﻠﺔ‬:
 
 
2sin
2 sin  
3 cos
2sin 1
2 sin 2ln |3 cos |
3 cos
3 cos
3 co
2 2ln | |
s
d Let u du d
d d
du
u C
u
x C

  


  



      

        




  

  
   
sin 1
3 tan sin
cos cos
ln | cos | ln |sec |
‫ﺘﻘﺔ‬ ‫اﻟﻤﺸ‬
C Cd d d

    
 
             
 
 
2 2
2
2
2
4 2 2  
2 2 u u x
x
x x
xe dx Let u x du x dx
e du e Cxe dx e x dx e C
     
       

 
 
 
2
2
2
2 2
4
1  3 2
3
4 1
2 2 2ln | 3|
3
2 2ln | |
3
x
dx Let u x du xdx
x
x
dx xdx x C
x x
du
u C
u
      

   
 
  

 
 
 
2 tan 2
2 tan tan tan2
5 sec tan      
sec sec u u x
x
x x
x e dx Let u x du se
e du e C e C
c x dx
x e dx e x dx
      
         

 
 
 
2 2
(log7 ) ln7 1 ln7
6 :
1 ln7 1
1
 7      
ln10 ln10
1 1 (ln7 )
ln10 ln10 ln10 ln10 2 2ln
1
ln7
10
u ln x du dx
x
u x
u d
x x x
dx dx dx Let
x x x
x
dx x dx
x
u C C
x
  

   
     

    
   
   
      
   
    
  
 
 
  2 2
1 2 2
7    
1 1 1 1
2 ln | 1| ln | 1|
2 2 21 1
x
x x
x x
x
x
x x
e dx
Let u e du e dx
e e
e dx du u u
du u du u c e c
ue e u u u u

 

     

           
   

   
219
       
1 1
00
3
8 3 ln 1 3 ln 1 ln 2 3 0 ln 2 3ln 2
1
dx x
x
                 
         
ln2ln2 ln2
ln2
0 0 0
1
9 ln 2 ln 2 ln 2 1
2 2
4
ln(2 2) ln3 ln
3
x
x x
x x
e
dx e dx e e
e e
           
   
 
         
2 2 2
1 1 1
2 ln 1 1 1 5
10 2 ln 2 ln 2 1 2 0
2 2 2
ee ex
dx x dx x
x x


               
    
     
 
1 1 1
11 ln 1 ln
1 1
ln ln 1 ??? ln
1
x
x x
x x x
x
x x
x
e
dx e dx e c c
e e e
e
c x e c e x
e
 

 
            
   
 
         
 
 
     
2 2 21
12 2 4
2
x x x x x x
e e dx e e dx e e c  
            
        4 4 4
3 2 3 2 3 3 2 31 1
13 5 5 8 5
8 8ln5
x x x
x dx x dx c  
      
     
210log ln 1 1
14 ln ln
ln10 ln10 2ln1
1
0
x x
dx dx x x
x x
x cd
x
 
       
 
  
   
4
4 4
3/
3/ 3/
5 5
1 1
15
12
2
1
1
2
x
x xe
dx e e c
xx
dx
 
   



  
     
 
3 35 5 2 5 3 2 3
2 3 2 42
16 ( 1) ( 1)
1
( 1) (2
8
1)
2
1
x x x x x x x
x
x x
x x
e e e dx e e e dx e e e dx
d cee ex
  
        
    
  

     
sin3 1 1 1
17 3sin3 ln 1 3
1 cos3 3 1 cos3 3
x
dx x dx cos x c
x x
       
  
220
   
     
1 1
18 : 1 2 1
1 2
1 1 1
2 1 2 1 2 ln 2 1 ln 1
1
dx Let x u dx du dx u du
x x
I dx u du du u u c x x c
u ux
         

 
                   
  

  
   2 21 1
19 : 1 2 4 1
21
1 1
1
dx Let x u dx u du dx u u du
xx
I dx
ux
           

  


  2
4 1u u    
3
31 1
4 4 1 1
3 3
du u u c x x c
  
          
   
  6 5
3
5 3
5
3 2 23
1
21 0 : 6
1 1
6 6 6
( 1) 1
dx x Let x u dx u du
x x
u u
I dx u du du du
u u u u ux x
        

       
  

   
‫ﻃﻮﯾﻠﺔ‬ ‫ﻗﺴﻤﺔ‬ ‫ﻧﻘﺴﻢ‬ ‫اﻟﻤﻘﺎم‬ ‫درﺟﺔ‬ ‫ﺗﺴﺎوي‬ ‫أو‬ ‫أﻛﺒﺮ‬ ‫اﻟﺒﺴﻂ‬ ‫درﺟﺔ‬ ‫ﻷن‬
u +1
2
1u u 
3
u
3
u
1
2
2
2
1
u
u
u
u u
u
 


  



 
‫اﻷول‬ ‫ﻋﻠﻰ‬ ‫اﻷول‬ ‫ﻧﻘﺴﻢ‬
3
2u
u
u

‫اﻟﻘﺴﻤﺔ‬ ‫ﺧﺎرج‬u5
‫ﻋﻠﯿﮫ‬ ‫اﻟﻤﻘﺴﻮم‬ ‫ﻓﻲ‬ ‫ﯾﻀﺮب‬
u+1
، ‫ﺑﺎﻟﻄﺮح‬ ‫ﺛﻢ‬
‫اﻟﻌﻤﻠﯿﺔ‬ ‫ﻧﻔﺲ‬ ‫ﻛﺮر‬
221
 
     
   
2 2
4 2 5 3
5
2
3
22 1 1 : 1 2
2 2
1 2 2 2
5 3
2 2
1 1
5 3
1
x x dx x Let x u x u dx u du
I x dx u u du u u du u u c
x x
x u
c
               
           
   



  
 
     
1
2 2
2
2
1 2 2
4 2 5 3
2 1 1
1
2
23 3 :
3
3 2
2 1 1 2
2
3 2 2 6 2
5
64 2 8
16 2
5 5 5
x x dx Let x u x u dx u du
w hen x u w hen x u
xI x dx u u du u u du u uu




            
          
 
           
   

 

  
 
 
   
 
 
3
1
32
2
3 2
2 33
2
6 3
1
24 6
61 1 1
6 3
2 36
3 3 1 3 66
x
xx
I dx x x dx c
x
x
d
x
x
x
x
c


  
 
  
 
          
 
 

 
   
   
3
2
2 3
1 1
2
3
3 3
25 6
1 1 1
2 ln 6
26
6
26
x
x
dx
x
x
I dx dx x dx x c
x x
   
      
  

 

  

 26 0 , 1
1 1
ln
ln
1 1 1
ln ln ln
ln
1
ln x
I dx Let x u dx du
x x x
I dx du u c x c
x x u
dx x x
x
   
       
          
  


 
 
 
       
3 3 33 3 3 3 2 33
1 4
43
3 6
33 3
3
2 33
27
2 2 2
1 1 3 1
2 2 2
3 3 4 4
2
3
I x x x dx x x x d
x x x dx
x
x x x dx
x dx x c x c

              

 
       

 


 

2 3 2
3 6 6
1 1 1
6 1 6 ln 1
1 3 2
2 3 6 6ln 1
I u u du u u u u c
u
x x x x c
   
               
      

222
 
7
2 2
2
7 7 8
2
2 3 2
28 ( ) (
1 2 3 2
)
1 2 3 1 2 3 1 2 3
2 16
2
x
dx f x f x
x x
x x x
x
x
I dx dx c
x x x
x x
x x

        
         
            
  
  

 
      



 

   
 
7
9 2
7
7
72 2
2
2 3 2
29 ( ) ( )
1 1 1 2 3
2 3
2 3 2
( ) ( )
1 2 3
1 2
2 3
2
:
2
x
dx f x f x
x x
x
I x dx dx
x x x x
x
f x f x
x
x x
then
x x x
I

        
 
        
 



  



   
 
  


 


7 8
2
2 1 2 3
16
x x
dx c
x x x
      
       
     
           
       
 
1
2
5 5
115 55
2
1 1
513
2
2
1
5 5 5 5
1
2 4 2 1 2 4 2 2 130
2 1 2 1 2
2 2 1
1 2
2 32
16 2 1 3
13 13
dx
x x dx x dx
x
x x x x x
I



   
            
     
 
      
 
   

 
13
2
1
13
 
   
 
1594290
 
 
   
34
4
3 13 34 4
4 4
1 3
2 2
31 1
1 1 1 1
( ) 1 ( )
1 2
1
1 2
2
3
1
2
2
1
x x
dx x
x
x x x x x x
I dx dx dx dx
xx
x
I
x x
f x x f x
x
dx x dx x c
x x


  
   
        
    
  
        
 
 

   
 
 
 
   
   
7
7 7
7 8
3 5
32 0
7
3 5 3 51
7 7
( ) 3 5 ( )
1 2 2 1
3 5 3 5 ...
87 5 35
5
2
5
2
x
dx x
x
x x
I dx dx
x x
f x x f x
x dx x c
x
I
x


 
 
  
   
    

     
  
          
 

 

223
 
   
23 6 3 6 3
4 4 4 4 4
2 4 3 3
3
3
4 8 161 1 16
33 8
5 5 5
1 1 1 1 16
8 16 8ln
5 5 3 3
1 8 16
ln
15 5 15
x x x x x
dx dx dx
x x x x x
x dx dx x dx x x x c
x
x x c
x
 
    
       
 
   
            
   
  
  
 
 
   
3
13
3
4 4
3 3
2 3
34
2 3 2
2 2 3
3
2 3 1
2 3 2 3
3
3
2
4 2
1
2
x
x
x
x x
e x
dx
x
e x
dx dx e dx x dx
x xx x
e x c e x c
  
 
  
    
           
   
       

  

   
 
 
 
 
     
 
   
 
7
9
7 7
7 2 2
7 7
2 2
2
2 1
35
2 1
2 1 1 2 1 1
2 12 1 2 1 2 1
1 1 1 2 1
1
2 1 2
2 1
12 1 2 1
2 4
( ) 1 ( )
2 1 2 1
1 2
1
4 2 1
x
dx
x
x x
dx dx
xx x x
dx dx
x
x
xx x
f x f x
x x
I
x

 

  
    
   
    
       
    
    
 
 
  




 
 
 
2
7 8
1 2 1
32
4
12 1 2x
x
dx c
x
 
    
 

 
     
3 2 6
2 2 6 2 2
2 2 6 6 7 6
8 7 2 8 2 7
35 6)
6) 6 2
1 1
6) 6 ) 6
2 2
1 1 6 1 1 6
6) 6)
2 8 7 2 8 7
2
x x dx
x x x dx let u x u x du x dx
x x u u u ux dx du du
u u c x x
  
             
       
  
    
 
      



  
c

 
224
 
 
 
   
7
9
7 7 7
7 2 2 2
2
7
2
8
7 8
1
36
1 1 1 1 1 1
1
1
1 1 1
1
8 8
1
1
1 1
1
x
dx
x
x x
dx dx d
x
du
x
x x x x x x
let u du dx
x
I dx u c c
x
u
x x

 
    
          
   
   
    
   
     
             
    




  
 
 
 
   
4
2
0
4 4
3
0 0
3 4
3 4
2 2
0 3
0
2
37 6 9
3 3
1 1
3 3 3 3
2 2
9 16 9
9 0 12 9 5
2 2 2
x x dx
x dx x dx
x dx x dx x x x x
 

 
 


   
       
   
                   
    
                


 
 
   
   
       
5
7
5 5
6 5 6
6
5 656 5 66
5
38 5 4
5 4 5 4
5 4
1 1 1 1
5 4
30 30 18
30
30 5
0 180
4
x x dx
I x x dx x x dx
Le x dx
x u
t u x du
I x dx u u c cxd
 
      
     
      

 

 
 
 
 
 
 
3
2
2
2
2
1 3 11  
2 2 22
3
2 2
39              25       2  
25
1 1 25
2 225
1 1 2
          25    50   
2 2 3
1
25 25  25
3
2  
x
dx L et x u du x dx
x
x u
I du
ux
u u du u u c
x x c
x dx

    


  

   
        
   
    

 

225
Formulas and Identities
Tangent and Cotangent Identities
Sum and Difference Formulas
Double and half Angle Formulas
226
 
 
 
2 2 2
2
1 cos 3 sin
1 sin 6
12
cos3 sin 3
1 sin 6 2sin 3 cos3 2sin 3 cos3 cos3 sin 3
cos3 s n 3
:
3
i
x
dx
x x
x x x x x x x
x x
then I
x x

 

       



 

 cos3 sin 3x x
1 1
sin 3 cos3
3 3
dx x x c   
      
 
2 2
  10
4 4 2 2
1
1 cos 5 sin 52 cos 5 sin 5 cos 5 sin 5
1
        cos10 sin10
10
COS X
x xb x x dx x x dx
x dx x k
 
  
 



 

EXAMPLES 
 
   
     
 
        
 
2 2 2
1
3
3
1 1
2 3
2 3
4 4 sin 4 cos
1 cos sin3
2 sin cos cos2 sin3
3 sin cos 2sin 4 cos4
1
1 sin8 cos8
8
4 sin 1 3 sin 1 3 c
4
1 1
3
3
os 1 3
1 3
5 cos
5
3
d c
d c
d d
d x c
d d c
d
  
    
     
  
    


   
     
     

  
    
      
 
 





 

 

 
 
     
     
 
2
2
1 3 1 3
cos sin
5 5
6 sec 4 tan4
7 csc6 cot6 csc6
8 cos cos si
5 3 5
3 5 3
1
4
1
6
1
n3
1
9 sin sin cos3
3
sin3 1 sin
3 3
3
1
3 3 c
10
cos
os
3
3
3
d c
d c
x x dx x c
d d c
d d c c
d
 

  
    
    




      
       
     
 
   
     
 
          
 
 







 
 
 
 
2
2
2
2
3 1 1
cos3 cos3 cos 3
sec3 tan3 sec 3 sec3 tan3
5 5
11 csc 3 cot3
2si
1 1
3 3
5
n 3 62
d
d d c
d d c


  
      
   

 
  
 
      
    
 
 
227
 
 
2 2
2
2
13 sin
1 1 1
sin 6 sin cos
6 6 6
1
co
3 3 6
3
3s
6
d Let u du d
I d d u cu u
c
    
 

    
     



 
   

 
  2
1 2
3 3
2
3
3
23
2 23
3
1
14 sec
sec sec 3t
1
3
1
an
3tan
3 3
3
d Let u du d
I d u du u c
c
  








     
    




 
  

 

  

 
 
1 1
2 2
1
2
6 sin
15
6 sin
6 sin 6 sin
6 2 co
1
s 12 2co
2
1
2
2
2 s
2
d
I d d Let u du d
I d d d u du
I u c c




  
 
     
  



 

 
         
      


 

        
 
 

 
   
 
 
 
3
3
2
6cos3
1
15 cos3 3 2sin3 3 2sin3
3 2s
1 1 2
6cos3
6 6 6 3
in3
3 2sin3
1
9
d Let u du d
I d u d uu
c
c
    
 

         
      



  
    

 
part-3
‫ﺑﺎﻟﺸﻜﻞ‬ ‫اﻟﺘﻲ‬ ‫اﻟﺪوال‬ ‫ﺗﻜﺎﻣﻞ‬
n
f(x) f (x) [  ] 
‫ﺣﯿﺚ‬f(x)‫ﻣﺜﻠﺜﯿﺔ‬ ‫داﻟﺔ‬
228
 
   
3
3 3
4
4
2co17 cos 2 sin2 cos2
cos2
co
s2
1 1 1
2sin2
2 8
8
s
1
2
2
xx x dx Let u x du dx
I x dx u du
x c
x u c
        
 
  
 
 
   

 

 
 
     
5
7
5
5
5
5
5 6 6
2
2
2
2
sin 4
18
cos 4
sin 4
tan 4
c
1
sec 4
cos 4os 4
tan4
1 1 1 1
tan4 tan 4
24 2
4sec 4
4sec 4
4 4 4du
u
x
dx
x
x
I dx x dx
x
Le
x
x
x
x d
t u x du dx
I x u udu c x cx
  
   
    
  

 
   

 
 

 
   
   
1 1 3 1 3 1
2 2 2 2 2 2
sin2
19
1 sin
1 sin cos
s
cos
in 1
2 2
1 sin
2 4
2 ) 2 ( 2 ) 1 sin 4 1 sin
3 3
xdx du
x
dx
x
Let x u du xdx
x u
Then I
x u
u u du u u c x x c

  

      

    

            

 

 
1 tan
20
1 tan
1 tan cos cos sin
       ;    
1 tan cos cos sin
                                cos s (cos sin )
(cos
in  
1 1
       |
co
sin )
s sin
d
d d
Let u ddu
Then I Indu
u
d



   
 
   
   







  

 
    
 
     


 


 
 
                                       
|
| cos             sin  |
u c
In c 

 



 
 
 
2 22
20 1 sin8   1 2sin  cos  
2sin 4  cos4   sin 4 cos4
1 1
sin 4 cos4
4 4
sin 4
cos4   sin4x + c 
4 4
sin 4
x x
x x
b x dx dx
x x dx x x dx
x x dx x
     
   
 
   

  
 
 
 

229
 
 
 
2
2 2
2 3 3
sin6
sin3  cos3
-3si
20 cos3
        cos3 2 cos 3  sin3
   cos3  
2
     2 cos 3  si
n3
-3sin3 cos 3  
3
2 2 2
cos 3
3 9 9
n3
x dx
x dx x xdx
Let x u du dx
Then I x xdx x
u d
x
x x
x
u u
x
c x c
dx
  
    
   
     
       





 
 

 
  
 
2 2
2
2
2
8 4
sin4
- 
21 cos sin
        2cos 4 1 2 cos 4  sin 4  sin 4
   cos4  
     2 cos 4  sin 4  sin
4sin4
- 4si
4
2 1
cos 4    4 sin4
4 4
1
n
 
2
4
x x
x
x
dx
x dx x xdx xdx
Let x u du dx
Then I x xdx xdx
x xdx x
u
dx
  
      
   

    
  
 


  
 
 

3 31 1 1 1 1
      cos 4 cos4
4 6 4 6 4
du du u u c x x c      


 
  2 2
2
2
2
8 4
cos4
 4c
21 cos cos
        1 2sin 4 cos4    sin 4 cos
   sin 4  
      cos4    sin 4 cos
1 1
4cos4    sin 4 4cos
4 2
1 1
  u  
4
s
2
o 4
b dx
x dx x dx x dx
Let x u du dx
Then I x dx x dx
x dx x dx
du
x
du
x x
x
  
      
   
    
 
 




  
 
 
 
3 31 1 1 1
     sin4  sin 4
4 6 4 6
u u c x x c     

‫اﻟﺪاﺋﺮﯾﺔ‬ ‫اﻟﺪوال‬ ‫ﺗﻜﺎﻣﻞ‬ ‫ﻓﻲ‬ ‫اﻟﻘﻮاﻋﺪ‬ ‫ﺑﻌﺾ‬:
‫أوﻻ‬:‫ﻣﺨﺘﻠﻔﺔ‬ ‫اﻟﺰواﯾﺎ‬:‫ﻧﺤﺘﺎج‬ ‫ﻗﺪ‬:
2 2
2
2
1)       sin 2 2cos  sin
  cos2 cos sin
2)                      2cos 1
               1 2sin
x x x
x x
x
x

 
 
 
230
 
 
 
3
2 2
2 3
22 sin
        sin sin 1 cos sin
1
sin cos sin   cos cos  
3
x dx
x x dx x x dx
x dx x x dx x x c

 
 
  
 
   
      


 
 
 
 
 
3
2 2
2 3
22 sin
        sin sin 1 cos sin
1
sin cos sin   cos cos  
3
x dx
x x dx x x dx
x dx x x dx x x c

 
 
  
 
   
      


 
 
 
 
4
4 4 2
4
3
2
6
4
23 sin 3
        sin sin cos3 1 sin 3
        sin cos3   sin cos3         
                      Let   sin3x = u du = 3c
cos
cos3 cos 3
1
 
os3x
I = sin cos           
3
3
x dx
x dx x x x dx
x x dx
x
x x
Th
x x dx
dx
xen
 
      

 

 
 
 


 
 
    6
4 6 5 7
5 7
1
  sin cos3  
3
1 1 1 1
                   =   
3 3 15 21
1 1
                   sin sin .
15
 
21
x dx x x dx
u du u du u u c
x x c

 

 
  
 



 
‫ﺛﺎﻧﻴﺎ‬:‫ﺍﳌﺜﻠﺜ‬ ‫ﺍﻟﺪﺍﻟﺔ‬‫ﻴﺔ‬‫ﺃ‬‫ﺃﻷﺳﻲ‬ ‫ﺍﻟﻘﻮﺱ‬ ‫ﺩﺍﺧﻞ‬ ‫ﻣﺸﺘﻘﺔ‬ ‫ﺗﻮﻓﺮ‬ ‫ﻭﺑﺪﻭﻥ‬ ‫ﺳﻴﺔ‬.
‫اﻟﻨﻮع‬‫اﻷول‬:‫ﺑﺼﯿﻐﺔ‬
2 1
sin n
x
‫ﺗﺠﺰأ‬‫إﻟﻰ‬
2
sin sinn
x x ‫ﯾﻄﺒﻖ‬ ‫اﻟﺰوﺟﻲ‬ ‫وﻟﻸس‬
2 2
sin 1x cos x ‫ﺣﯿﺚ‬n‫ﻣﻮﺟﺐ‬ ‫ﺻﺤﯿﺢ‬ ‫ﻋﺪد‬
‫اﻟﺜﺎﻧﻲ‬ ‫اﻟﻨﻮع‬:‫ﺑﺸﻜﻞ‬ ‫ﺗﻜﻮن‬ ‫اﻟﺪاﻟﺔ‬
2 2
sin         cosn n
x or x‫اﻟﺸﻜﻞ‬ ‫إﻟﻰ‬ ‫ﺣﻮل‬:
   2 2
sin          cos
n n
x or x
‫اﻟﻤﺘﻄﺎﺑﻘﺔ‬ ‫اﺳﺘﻌﻤﻞ‬ ‫ﺛﻢ‬:   2 21 1
sin 1 cos 2            cos 1 cos2  
2 2
x x or x x   
231
   2 1 1 1
24 sin 5 1 cos10 sin10
2 2 10
x dx x dx x x c
 
      
 

 
   2 1 1 1
25 cos 3 1 cos6 sin 6
2 2 6
x dx x dx x x c
 
      
 
 


 
     
   
2 24 2
22
1
26 cos 3 cos 3 1 cos6
4
1 1 1
1 2cos6 cos 6 1 2cos 6 1 cos12   
4 4 2
1 1 1 1 3 1 1
sin 6 sin12 sin 6 sin12
4 3 2 12 8 12 96
x dx x dx x dx
x x dx x x dx
x x x x c x x x c
   
 
        
  
     

    
  

  
 
     
     
2 2
2 2
1 1
27 sin 4  cos 4 1 cos 8 1 cos8
2 2
1 1 1
            1 cos 8 sin 8 1 cos16
4 4 8
1 1
                sin16
8 16
x x dx x x dx
x dx x dx x dx
x x c
    
    
 
   
 



 
  

   
   
2
1
 
2
sin 1 1 1 1 1
28   1 cos2    cos2
2 22
1 1 1 1
               cos 2 sin 2
2 2 2
x
dx x dx dx x dx
x x x x
x dx x dx x x c
x

      
 
 

    
 

   
 
 
 
2 2
2
2
1 1 1 sin 1 sin 1 sin
29                
1 sin 1 sin 1 sin 1 sin cos
1 sin 1
                sec tan  sec   tan sec
cos cos cos
x x x
dx dx dx dx
x x x x x
x
dx x x x dx x x c
x x x
  
    
   
 
  

     
 

   
 
 
  
  
 
     
3 33
2
3
2
2
cos 1 sincos 1 sin
30           
1 sin 1 sin 1 sin
cos 1 sin
                   cos 1 si
cos
1 s
n  
cos
1
         
in
   1 sin   c 1 sin
2
os  
x xx xx
x
dx dx
x dx
dx
x x x
x x
dx x x dx
x
x x c


   
  

  


   

  
 

‫ﺛﺎ‬‫اﻟﺿرب‬ ‫ﻟﺛﺎ‬‫اﻟﻣراﻓق‬ ‫ﺑﺎﺳﺗﻌﻣﺎل‬.
232
 
 
sin
31                cos
cos
sin 1
 T hen     I    
tan sin   
-sin       
cos cos
1
              ln | | ln | cos | ln | sec |
x
dx dx L et u x du
x
x
dx
x x
du u c x c x c
u
x x dx
x dx
    
  


        

 
 

 
 
2
2
2
sec tan sec sec  tan
32   sec      =         
sec tan sec tan
              sec tan
sec sec  tan
 T hen     I    
sec tan
1
   
sec
sec  tan sec x
                
sec tan
  
x x x x x
dx x dx dx
x x x x
L et u x x du
x x x
dx
x
x x t dx
x x
x x
 
  
 
   







  

  2
1
             
(sec sec  tan
  ln | | ln | sec
) 
tan |du u c x x c
u
x x x dx
     


   22
33   sec 1    tan    tan  dx x dx xx x c     
 


 
   
   
2 2
2
4 2 2
22 2 2 2
3
34   tan tan   
           tan   sec   tan tan  sec  
1
             
tan tan   sec 1
  se
tan ta
3
 
n
c 1
dx x dx x dx
x x dx x dx x x dx d
x x x
x x
x x x c
   
   
   

 

  
   
   
   
2 2
2
2
2
3
4 2
2
35   sec 3 sec 3   
1 1
           tan 3   3 s
se
ec 3   sec 3
3 3
1 1
         
c 3 sec 3   tan 3
   tan t
1
  
9
3
an
3
dx x dx x dx
x x dx x dx
x x
x x x
c
   
 
  
 

  
 
 
 
34
3
3 4 4
36  tan 4 x sec 4 sec 4 tan4 x  
1
           sec 4  
4
             
sec 4  
4 sec 4  tan4 x  
4 sec 4  tan              sec 4      
1 1 1
T hen       I = sec 4
4
 
6 6
x
1 1
4
x
x d x
x d
d x x x dx
x
L et u x d xu
u d u u c x c
  

  
   
 


 


‫أﺧرى‬ ‫ﺗﻛﺎﻣﻼت‬ ‫راﺑﻌﺎ‬tan   ,  cot    ,  sec      ,  cscx x x x
233
 
 
 
1
2
1
 
2
1
 
2
1
2
cot
sin
c
37   cotx csc   cotx  csc  
           cotx csc csc      
       csc otx  csc  
-cotx  
 
          csc    
            
csc
       2  2 csc
x
x
x
dx x dx x dx
x x d x
L et u x du dx
T he xn I x d x ud u
u c x c


  

  
    
 

   

  

 
   
 
 
3
23
2
2 2 2
3 3 3
2 2 2
2
2
2
2
3
2
3 8 2 2 co s 2   2   2  
3
           2 sin    = -2   sin   2 co s 2 co s 2 co s
1 co
2
 
s 2
          2
s
1 0
2 in
2
x d x d x dx
x d x x x x
x x
d


  
  
 




   
 
     
  
  
 
   
 
 ln ( 2 )ln ( 2 )2
2 2
3  00
2
ln( 4 )  ln ( 2 )
1
3 9 2 2 co s 2    
2
1 1
          (1 1) = 4 2 0
2 2
            
x x x x
x d x e e d x e e
e e


 
      
     
 
234
a b
( )y f x
R1
R2
R3
0                      2
31 2
1  0  5    2   AA A
  
‫ﺍﻟﺴﻴﻨﺎﺕ‬ ‫ﻭﳏﻮﺭ‬ ‫ﺩﺍﻟﺔ‬ ‫ﺑﲔ‬ ‫ﺍﳌﺴﺎﺣﺔ‬
‫ﻟﺘﻜﻦ‬f‫اﻟﻔﺘﺮة‬ ‫ﻓﻲ‬ ‫ﻣﺴﺘﻤﺮة‬ ‫داﻟﺔ‬ ,a b
‫اﻟﺪاﻟﺔ‬ ‫ﻣﻨﺤﻨﻲ‬ ‫ﺑﯿﻦ‬ ‫اﻟﻤﺤﺪدة‬ ‫اﻟﻤﺴﺎﺣﺔ‬f‫و‬‫ﻣﺤﻮر‬
‫اﻟﺴﯿﻨﺎت‬‫اﻟﻤﺴ‬‫اﻟﺮأﺳﯿﯿﻦ‬ ‫ﺘﻘﯿﻤﻦ‬
  ,  x a x b ‫ﺗﺴﺎوي‬A
‫أﻣﺜﻠﺔ‬:
‫س‬1:‫اﻟﻤﺴﺎﺣﺔ‬ ‫ﺟﺪ‬‫ﺑﯿﻦ‬2
( ) 3 6f x x x ‫اﻟﺴﯿﻨﺎت‬ ‫وﻣﺤﻮر‬.
‫اﻟﺴﯿﻨﺎت‬ ‫ﻣﺤﻮر‬ ‫ﻣﻊ‬ ‫اﻟﺘﻘﺎﻃﻊ‬ ‫أوﻻ‬ ‫ﻟﻨﺠﺪ‬ ‫اﻟﺤﻞ‬) .y = 0(
  2
0             2     3 2 0 0 3 6x or x x x x x       
‫س‬2:‫ﺑﯿﻦ‬ ‫اﻟﻤﺴﺎﺣﺔ‬ ‫ﺟﺪ‬2
( ) 3 6f x x x ‫اﻟﻔﺘﺮة‬ ‫وﻋﻠﻰ‬ ‫اﻟﺴﯿﻨﺎت‬ ‫وﻣﺤﻮر‬ 1 ,5.
‫اﻟﺤﻞ‬:
5 5
2
1 1
  ( )     3 6    A f x dx x x dx
 
   
  2
0             2     3 2 0 0 3 6x or x x x x x       
1 2 3         ( )  Area of R  – Area of  R    Area of R     
b
a
A f x dx  
   
2 2  2 22 2 3 2
 00 0
3 6   3 6   3  8 12 4 
  
A x x dx x x dx x x unit           
235
 31 2   
       
2 4
 
4 2
  AA A   
   
‫س‬3:‫ﺑﯿﻦ‬ ‫اﻟﻤﺴﺎﺣﺔ‬ ‫ﺟﺪ‬( ) 2f x  ‫اﻟﻔﺘﺮة‬ ‫وﻋﻠﻰ‬ ‫اﻟﺴﯿﻨﺎت‬ ‫وﻣﺤﻮر‬ 1 ,5.
‫اﻟﺤﻞ‬:( ) 2 0f x   ‫اﻟﺴﯿﻨﺎت‬ ‫ﻣﺤﻮر‬ ‫ﻣﻊ‬ ‫ﺗﻘﺎﻃﻊ‬ ‫ﯾﻮﺟﺪ‬ ‫ﻻ‬ ‫أي‬
 
5
 55 2
1   1
1
  2    2  2  5 2 2 6 2  A dx dx x unit
 

         
‫س‬3:‫ﺑﯿﻦ‬ ‫اﻟﻤﺴﺎﺣﺔ‬ ‫ﺟﺪ‬( ) cos2f x x‫اﻟﻔﺘﺮة‬ ‫وﻋﻠﻰ‬ ‫اﻟﺴﯿﻨﺎت‬ ‫وﻣﺤﻮر‬ ,
2 2
  
  
.
‫اﻟﺤﻞ‬:
                2               
2
                 2     
4
 
4
   
2
 0 cos2x
x
x
x or
x
 
 
  
  

 

     
             
0 2 5
2 2 2
1 2  3
1 0 2
 0  2  53 2 3 2 3 2
  1 0  2
2
      3 6 3 6 3 6
              3 3 3
          0 1 3     8 12 0 +  125 75 8 12 4 4 54 62 
A A A A x x dx x x dx x x dx
x x x x x x
unit


        
                
            
  
     
 
2
1 2 3
2
     
4 4 2
         
4 4 2
     
2 4 4
     
2 4 4
  ( )               
1 1 1
  cos 2   cos 2   cos 2      = sin 2   sin 2   sin 2  
2 2 2
1 1
   =     sin sin    sin sin
2 2 2 2 2
A f x dx A A A or
x dx x dx x dx x x x


  
  
  
  
  




 
 
    
    
     
          
     

  
 
     
2
1
 sin sin
2 2
1
    1 1
2
1 1
1 0 1 0 2  
2 2
unit



 
   
 
     
236
‫اﻻوﻟﻰ‬ ‫ﻟﻠﻤﺴﺎﺣﺔ‬ ‫اﻟﺴﯿﻨﺎت‬ ‫ﻣﺤﻮر‬ ‫ﺗﺤﺖ‬ ‫ﺗﻜﻮن‬ ‫اﻟﻤﺴﺎﺣﺔ‬ ‫ﺣﯿﺚ‬ ‫اﻟﻤﻄﻠﻘﺔ‬ ‫اﻟﻘﯿﻤﺔ‬ ‫ﻋﻦ‬ ‫اﻻﺳﺘﻐﻨﺎء‬ ‫ﯾﻤﻜﻦ‬ ‫اﻟﺮﺳﻢ‬ ‫ﻣﻦ‬
‫اﻟﺜﺎﻧﯿﺔ‬ ‫ﻟﻠﻤﺴﺎﺣﺔ‬ ‫اﻟﺴﻨﺎت‬ ‫ﻣﺤﻮر‬ ‫وﻓﻮق‬ ‫واﻟﺜﺎﻟﺜﺔ‬.
‫اﻟﺪوال‬
‫واﺣﺪة‬ ‫داﻟﺔ‬ ‫ھﻲ‬.‫وھﻲ‬( ) cos2f x x
‫س‬4:‫ﺟ‬‫ﺑﯿﻦ‬ ‫اﻟﻤﺴﺎﺣﺔ‬ ‫ﺪ‬( ) sin3f x x‫اﻟﻔﺘﺮة‬ ‫وﻋﻠﻰ‬ ‫اﻟﺴﯿﻨﺎت‬ ‫وﻣﺤﻮر‬0 ,
2
 
  
.
‫اﻟﺤﻞ‬:
3x = 0  or    3x =         0 s 3
 x = 0    or   x =  
in
   
3
x

  

‫س‬5:‫ﺑﯿﻦ‬ ‫اﻟﻤﺴﺎﺣﺔ‬ ‫ﻛﺎﻧﺖ‬ ‫اذا‬( )f x x‫اﻟﻔﺘﺮة‬ ‫ﻋﻠﻰ‬ ‫اﻟﺴﯿﻨﺎت‬ ‫وﻣﺤﻮر‬ 0 ,a‫ﺗﺴﺎوي‬
16
3
‫ﻗﯿﻤﺔ‬ ‫ﻓﺠﺪ‬a.
‫اﻟﺤﻞ‬:
‫ﻓﻼ‬ ‫اﻟﺴﯿﻨﺎت‬ ‫ﻣﺤﻮر‬ ‫ﻓﻮق‬ ‫اﻟﻤﺴﺎﺣﺔ‬ ‫أن‬ ‫ﻻﺣﻆ‬
‫اﻟﻤﻄﻠﻘﺔ‬ ‫اﻟﻘﯿﻤﺔ‬ ‫ﻻﺳﺘﻌﻤﺎل‬ ‫ﺣﺎﺟﺔ‬.
2 2 2 2
( ) cos2   ;   ( ) 2cos 1    ;   ( ) 1 2sin   ;   ( ) cos sinf x x f x x f x x f x x x      
   
       
2
1 2
2
2
   
3 2
   
3 2
0
 
30
 
3
  ( )             
1 1
  sin 3   sin 3      = cos 3   cos 3  
3 3
1 1
  1 1    
1 1 3
 =      cos cos 0     cos co 0 1 1 s  
3 3 2 3 3
A f x dx A A or
x dx x dx x x
unit


 
 



 

  
   
    

 
    
 

 
237
1 2   
2 2    3 A A
  
0
16 2
                   
3 3
a
A x dx  
 3
2
 0
16
 
3
a
x
 
 
 
3
2
3
32
              2  16
                                  8         64         4
a
a a a
 
     
‫س‬6:‫ﻟﺘﻜﻦ‬  4 2
: 2,3     ;     ( ) 3 4f f x x x    
‫اﻟﺴﯿﻨﺎت‬ ‫وﻣﺤﻮر‬ ‫اﻟﺪاﻟﺔ‬ ‫ﻣﻨﺤﻨﻲ‬ ‫ﺑﯿﻦ‬ ‫اﻟﻤﺴﺎﺣﺔ‬ ‫ﺟﺪ‬.
‫اﻟﺤﻞ‬:  4 2 2 2
0 3 4              4 1 0                      2x x x x x         
   
2 3
4 2 4 2
3 3
4 2
2 2
2  3
5 3 5 3
  2  2
2 2
  3 4    +    3 4    ( )       = 3 4   =  
1 1
                 =    4   4
5 5
32 32 243 32 64 21
          8 8 8 8 27 12 8 8 32
5 5 5 5 5
A f x dx x x dx
x x x
x x dx x
x
x x
x
d
x
 

  
   
       
   
   
               
 
 
  


  
 2
1
23
5
64 211 147 192
            32 23 9        
5 5 5 5
unit

      
‫ﻣﻨﺤﻨﻴﲔ‬ ‫ﺑﲔ‬ ‫ﺍﳌﺴﺎﺣﺔ‬g , f‫ﺑﺎﳌﺴﺘﻘﻴﻤﻦ‬ ‫ﻭﺍﶈﺪﺩﺓ‬x = a , x = b
238
1 2   
1 0    1 A A
  
   
2
       ( )                
b
a
A f x g x dx unit 
‫ﻣﻼﺣﻈﺔ‬)1: (‫ﻣﻄﻠﻘﺔ‬ ‫ﻗﯿﻤﺔ‬ ‫ﯾﺤﻮي‬ ‫ﺳﺆال‬ ‫ﻛﺄي‬ ‫اﻟﺴﺆال‬ ‫ﯾﺤﻞ‬ ‫اﻟﺮﺳﻢ‬ ‫ﺑﺪون‬.
)2(‫اﻟﻤﻄﻠﻘ‬ ‫اﻟﻘﯿﻤﺔ‬ ‫ﻋﻦ‬ ‫اﻻﺳﺘﻐﻨﺎء‬ ‫ﯾﻤﻜﻦ‬ ‫اﻟﺮﺳﻢ‬ ‫ﺣﺎﻟﺔ‬ ‫ﻓﻲ‬‫ﻣﻮﺿﺢ‬ ‫ﻛﻤﺎ‬ ‫اﻷدﻧﻰ‬ ‫وﻣﻦ‬ ‫اﻷﻋﻠﻰ‬ ‫ﻣﻦ‬ ‫وﺳﻨﺘﻌﻤﻞ‬ ‫ﺔ‬
‫ﺗﺴﺎوي‬ ‫اﻟﻤﺴﺎﺣﺔ‬ ‫وﺗﻜﻮن‬ ‫ﺑﺎﻟﺸﻜﻞ‬    ( )      
b
upper lowera
A f x g x dx

 
  
 

)3(‫ﻟﻄﻠﺒﺘﻨﺎ‬ ‫اﻟﺮﺳﻢ‬ ‫ﻟﺼﻌﻮﺑﺔ‬ ‫وﻧﺘﯿﺠﺔ‬)‫اﷲ‬ ‫ﺳﺎﻋﺪھﻢ‬(‫ﯾﻠﻲ‬ ‫ﻣﺎ‬ ‫ﻧﺘﺒﻊ‬:
‫اﻧﯿﺎ‬ ‫اﻟﻤﻌﺎدﻟﺘﯿﻦ‬ ‫ﺑﺤﻞ‬ ‫اﻟﻤﻨﺤﻨﯿﯿﻦ‬ ‫ﺗﻘﺎﻃﻊ‬ ‫ﻧﻘﻂ‬ ‫ﻧﺠﺪ‬)‫ﻧﺠﻌﻞ‬( ) ( )f x g x(‫اﻟﺘﻘﺎﻃﻊ‬ ‫ﻧﻘﻂ‬ ‫وﺗﻜﻮن‬‫اﻟﺘﻜﺎﻣﻞ‬ ‫ﺣﺪود‬ ‫ھﻲ‬
‫ذﻟﻚ‬ ‫ﻏﯿﺮ‬ ‫اﻟﺴﺆال‬ ‫ﻓﻲ‬ ‫ﯾﺬﻛﺮ‬ ‫ﻣﺎﻟﻢ‬.
‫أﻣﺜﻠﺔ‬: 1‫اﻟﻤﻨﺤﻨﯿﯿﻦ‬ ‫ﺑﯿﻦ‬ ‫اﻟﻤﺴﺎﺣﺔ‬ ‫ﺟﺪ‬:3
( )    ;    g(x) = xf x x
‫اﻟﺤﻞ‬:
 2 3 3
1 2 x = 0  ,  1  ,   -1     x 1 = 0            - x = 0              = x      yx x x y     
   
 
 0  10 1
3 3 4 2 4 2
 1  0 1 0
2
1 1 1 1
       +               
4 2 4 2
1 1 1 1 1
       0     0      
4 2 4 2 2
A x x dx x x dx x x x x
unit

   
            
   
         
   
 
 2‫اﻟﻤﻨﺤﻨﯿﯿﻦ‬ ‫ﺑﯿﻦ‬ ‫اﻟﻤﺴﺎﺣﺔ‬ ‫ﺟﺪ‬:3
  ;   y = xy x
‫اﻟﺤﻞ‬:
   
 
 0  10 1 4 4
2 23 3 3 3
 1 0  1  0
2
1 3 1 3
        +              
2 4 2 4
1 3 1 3 1
       0     0      
2 4 2 4 2
A x x dx x x dx x x x x
unit
 
   
         
   
   
         
   
 
 
 3
2 3 3 3
1 2 x = 0  ,  1  ,   -1     x 1 = 0        - x  = 0    = x              = x      yx x x x y      
239
 3‫اﻟﻤﻨﺤﻨﯿﯿﻦ‬ ‫ﺑﯿﻦ‬ ‫اﻟﻤﺴﺎﺣﺔ‬ ‫ﺟﺪ‬:    sin   ;   y = cosy x x‫اﻟﻔﺘﺮة‬ ‫وﻋﻠﻰ‬ , 
2 2
  
  
‫اﻟﺤﻞ‬:
‫ﻟﻔﯿﻤﺔ‬ ‫واﺣﺪة‬ ‫اﺟﺎﺑﺔ‬ ‫اﺳﺘﻌﻤﻠﺖ‬x‫أﻷو‬ ‫ﻟﻠﺮﺑﻌﯿﻦ‬ ‫اﻟﻤﻌﻄﺎة‬ ‫اﻟﻔﺘﺮة‬ ‫ﻷن‬‫ﻓﻘﻂ‬ ‫واﻟﺮاﺑﻊ‬ ‫ل‬.
 4‫اﻟﻤﻨﺤﻨﻲ‬ ‫ﺑﯿﻦ‬ ‫اﻟﻤﺴﺎﺣﺔ‬ ‫ﺟﺪ‬:    ( ) sin 2   ;   g(x) = sinf x x x‫اﻟﻔﺘﺮة‬ ‫وﻋﻠﻰ‬0 , 
2
 
  
‫اﻟﺤﻞ‬:
-sinx = 0        -sin  = 0          sin 2 = sin            ( )   g(x)
                           sin ( 2cos 1 ) 0     
1
sin 0 0                cos            
2sinx cosx sin
    
2
2
3
x x x f x
x x
x x or
x
x x

   
  
     
1 2          sin = cos                  y     
4
x x yx

   
       
   
 
 
4 2
   
4 2
  
2 4
 
2 4
2
     cos sin    +      cos sin       sin cos     sin cos
1 1 1 1
       1 0     1 0  
2 2 2 2
2 2
        1  1 2  1  1 2 2  1= 2  1 = 2 2  
2 2
A x x dx x x dx x x x x
unit
 
 
 
 


      
   
           
   
        
 
   
   3 2 3 2
 0   0
3
3
1
     sin2x -sinx        -sinx       cos     cos2 cos  
2
1 2 1 1 1 2
     cos cos - cos0 co
1
s
s0  cos cos   cos cos
2 3 6 2 2 2 2 3 3
1
     
in2x cos
 
2
 
4
2A dx dx xx x x
   


    

   
            
      
                
      

 
 
21 1 1 1 1 1
1 0    
2 2 2 4 2 2
unit
     
             
     
240
1 
 1  4 A

 5‫اﻟﻤﻨﺤﻨﯿﯿﻦ‬ ‫ﺑﯿﻦ‬ ‫اﻟﻤﺴﺎﺣﺔ‬ ‫ﺟﺪ‬  2
   g = 4 2x x x :‫واﻟﻤﺴﺘﻘﯿﻢ‬6 0x y  
‫اﻟﺤﻞ‬:2
2 1y  = 6- x     ;   y = 4 2x x 
   2 2
1 24 1  = 0          3 4 0               4 2 = 6- x         y = y  x x x x x x         
  x = 4    ;   x = -1        
 
   
 44
 42 3 2 3 2
 -1
 -11
2
 
1 3 1
    3 4     4 2 9 24  
3 2 6
1 125
128 144 96 2 9 24     
6 6
A x x dx x x x x x x
unit

 
            
         

 6‫اﻟﻤﻨﺤﻨﻲ‬ ‫ﺑﯿﻦ‬ ‫اﻟﻤﺴﺎﺣﺔ‬ ‫ﺟﺪ‬:
1
    ( )   ;   g(x) = x -1
2
f x x‫وﻋﻠﻰ‬‫اﻟﻔﺘﺮة‬ 2 , 5
‫اﻟﺤﻞ‬:
 
2 2 2
2
1 1
 x  -4x + 4 = 0          x  = 4x -4          x  = x -1                        = x -1
4 2
               2 0     x = 2
x
x
  
   
    
      
55 5
3 32 2
222
3 23
2 1
         1          8 1    3
1 1
  1   
3 4
1 1 7
     8 4    75 8 1    12 64 75 8 12  
  
2 1
2
2
 
1 12 12
xA dx x x xx x
unit
 
       
 
 
 
 
     
 




 7‫اﻟﻤﻨﺤﻨﻲ‬ ‫ﺑﯿﻦ‬ ‫اﻟﻤﺴﺎﺣﺔ‬ ‫ﺟﺪ‬:    ( ) sin   ;   g(x) = 2 sinx +1f x x‫اﻟﻔﺘﺮة‬ ‫وﻋﻠﻰ‬
3
0 , 
2
 
  
‫اﻟﺤﻞ‬:      sinx = -1                2 sinx +
3
1x sin=
2
= x

 
     
3
2 3
2
2
0
0
3 3
    1 sin     cos 0 (0 1) 1  
2 2
A x dx x x unit


 
         
241
1 2   
0   2   A A
  
 8‫اﻟﻤﻨﺤﻨﻲ‬ ‫ﺑﯿﻦ‬ ‫اﻟﻤﺴﺎﺣﺔ‬ ‫ﺟﺪ‬:    ( ) sin   ;   g(x) = sinx cosxf x x‫اﻟﻔﺘﺮة‬ ‫وﻋﻠﻰ‬ 0 , 2
‫اﻟﺤﻞ‬:
  sin x  cos x -1  = 0         sin x cos x -  = 0               sin x cos x =
          cos x =1        or    x =        sin x = 0           x = 0     , x = 0
x x

 
  
sin sin
 9‫اﻟﻤﻨﺤﻨﯿﯿ‬ ‫ﺑﯿﻦ‬ ‫اﻟﻤﺴﺎﺣﺔ‬ ‫ﺟﺪ‬‫ﻦ‬:‫واﻟﻤﺴﺘﻘﯿﻤﯿﻦ‬
  –  1   ,     2x x 
‫اﻟﺤﻞ‬:
   
 
2
0
   2
22 2
 0  
                     
1 1
            0 1 0 1 0 1 0 1 4  
2 2
A x x x dx x x x dx
x x x x unit
 

 

   
   
               
   
 sin cos sin sin cos sin
sin cos sin cos
2
( ) 1 and  ( ) 3f x x g x x   
   
2
2
1
   1 3  A x x dx

     
 
2
2
1
2  x x dx

  
2
3 2
1
2
3 2
x x
x


  

8 1 1
2 4 2
3 3 2
   
        
   
 
215
    
2
unit
242
‫ﺍﳊ‬‫ﺍﻟﺪﻭﺭﺍﻧﻴﺔ‬ ‫ﺠﻮﻡ‬VOLUMES OF REVOLUTION
‫دوراﻧﯿ‬ ‫ﯾﺴﻤﻰﺟﺴﻤﺎ‬ ‫اﻟﺪوران‬ ‫ﻣﻦ‬ ‫اﻟﻨﺎﺷﺊ‬ ‫اﻟﺠﺴﻢ‬ ‫ﻓﺈن‬ ‫ﺛﺎﺑﺖ‬ ‫ﻣﺴﺘﻘﯿﻢ‬ ‫ﺣﻮل‬ ‫ﻛﺎﻣﻠﺔ‬ ‫دورة‬ ‫ﻣﺴﺘﻮﯾﺔ‬ ‫ﻣﻨﻄﻘﺔ‬ ‫دارت‬ ‫إذا‬‫ﺎ‬.
‫اﻟﺪوراﻧﻲ‬ ‫اﻟﺠﺴﻢ‬ ‫ﺣﺠﻢ‬:‫اﻟﻤﺴﺘﻤﺮة‬ ‫اﻟﺪاﻟﺔ‬ ‫ﺗﺤﺖ‬ ‫اﻟﻮاﻗﻌﺔ‬ ‫اﻟﻤﻨﻄﻘﺔ‬ ‫دارت‬ ‫إذا‬f‫ﻓﻲ‬ ‫ﺳﺎﻟﺒﺔ‬ ‫واﻟﻐﯿﺮ‬ a b,‫واﻟﻤﺤﺪدة‬
‫ﺑﺎﻟﻤﺴﺘﻘﯿﻤﻦ‬ , x = bx a‫ﺑﺎﻟﻘﺎﻧﻮن‬ ‫ﯾﻌﻄﻰ‬ ‫اﻟﺤﺠﻢ‬ ‫ھﺬا‬ ‫ﻓﺎن‬ ‫اﻟﺴﯿﻨﺎت‬ ‫ﻣﺤﻮر‬ ‫ﺣﻮل‬ ‫ﻛﺎﻣﻠﺔ‬ ‫دورة‬:
   
2 3
        ( )
b
a
V R x dx unit 
‫واذا‬‫ﺑﺎﻟﻤﺴﺘﻘﯿﻤﯿﻦ‬ ‫واﻟﻤﺤﺪدة‬ ‫اﻟﺼﺎدات‬ ‫ﻣﺤﻮر‬ ‫ﺣﻮل‬ ‫اﻟﻤﺴﺘﻮﯾﺔ‬ ‫اﻟﻤﻨﻄﻘﺔ‬ ‫دارت‬ , y = dy c‫دورة‬
‫ﺑﺎﻟﻘﺎﻧﻮن‬ ‫ﯾﻌﻄﻰ‬ ‫اﻟﺪوران‬ ‫ﻣﻦ‬ ‫اﻟﻨﺎﺷﺊ‬ ‫اﻟﺤﺠﻢ‬ ‫ﻓﺎن‬ ‫ﻛﺎﻣﻠﺔ‬:
   
2 3
        ( )
d
c
V R y dy unit 
‫ﻣﺜﺎل‬)1(‫اﻟﻤﻨﺤﻨﻲ‬ ‫ﺑﯿﻦ‬ ‫اﻟﻤﺴﺎﺣﺔ‬ ‫دارت‬( ) cosf x x‫اﻻو‬ ‫اﻟﺮﺑﻊ‬ ‫ﻓﻲ‬‫ﺟﺪ‬ ، ‫اﻟﺴﯿﻨﺎت‬ ‫ﻣﺤﻮر‬ ‫ﺣﻮل‬ ‫ﻛﺎﻣﻠﺔ‬ ‫دورة‬ ‫ل‬
‫اﻟﺪوران‬ ‫ﻣﻦ‬ ‫اﻟﻨﺎﺷﺊ‬ ‫اﻟﺠﺴﻢ‬ ‫ﺣﺠﻢ‬.
‫اﻟﺤﻞ‬:‫ھﻲ‬ ‫اﻟﻔﺘﺮة‬ ‫ﺗﻜﻮن‬ ‫اﻻول‬ ‫اﻟﺮﺑﻊ‬ ‫ﻓﻲ‬0
2
,
 
 
 
   
  22 322 2
0 0
 0
1 1
  1 2 2 0 0
2 2 2 2 2 4
cos cos sinV x dx x dx x x unit

 
   
 
   
           
   
 
243
‫ﻣﺜﺎل‬)2(‫اﻟﻤﻨﺤﻨﻲ‬ ‫ﺑﯿﻦ‬ ‫اﻟﻤﺴﺎﺣﺔ‬ ‫دارت‬2
2( )f x x x ‫ﺣﺠﻢ‬ ‫ﺟﺪ‬ ، ‫ﻛﺎﻣﻠﺔ‬ ‫دورة‬ ‫اﻟﺴﯿﻨﺎت‬ ‫ﻣﺤﻮر‬ ‫وﻓﻮق‬
‫اﻟﺪوران‬ ‫ﻣﻦ‬ ‫اﻟﻨﺎﺷﺊ‬ ‫اﻟﺠﺴﻢ‬.
‫اﻟﺴﯿﻨﺎت‬ ‫ﻣﺤﻮر‬ ‫ﻣﻊ‬ ‫اﻟﺘﻘﺎﻃﻊ‬ ‫ﻟﻨﺠﺪ‬:
2
   ;                2 0                2 0x = 2  x = 0 ( )x x x x     
   
   
 2
2 2 2
2 3 4 3 4 5
0 0 0
 0
 2 33 4 5
 0
2
2 2 4 1
4 4
3 5
16
     20 15 3 160 240 96 0  
15 15 15
2V dx dx x x x dx x x x
x x x unit
y x x   
  
 
        
 
         
  
‫ﻣﺜﺎل‬)3(‫ﻧﺎﻗﺺ‬ ‫ﻗﻄﻊ‬ ‫ﻣﻨﺤﻨﻲ‬ ‫ﺑﯿﻦ‬ ‫اﻟﻤﺴﺎﺣﺔ‬ ‫دارت‬2
 16 4( )f x x ‫ﻛﺎﻣﻠﺔ‬ ‫دورة‬ ‫اﻟﺴﯿﻨﺎت‬ ‫ﻣﺤﻮر‬ ‫وﻓﻮق‬
‫اﻟﺪوران‬ ‫ﻣﻦ‬ ‫اﻟﻨﺎﺷﺊ‬ ‫اﻟﺠﺴﻢ‬ ‫ﺣﺠﻢ‬ ‫ﺟﺪ‬ ،.
‫اﻟﺴﯿﻨﺎت‬ ‫ﻣﺤﻮر‬ ‫ﻣﻊ‬ ‫اﻟﺘﻘﺎﻃﻊ‬ ‫ﻟﻨﺠﺪ‬:2
         02  16 4 x x   
 
   
2 2
 2
2 2  2
3 3
  22 2
  2
3
4
16 48 4
3 3
128
   =  96 32 96 32      
6
 
3
1 4
3
( )
V y dx dx x x xx x
unit

  
 
 

 
         
 
    
 
‫ﻣﺜﺎل‬)3(‫ﻣﻜﺎﻓﺊ‬ ‫ﻗﻄﻊ‬ ‫ﻣﻨﺤﻨﻲ‬ ‫ﺑﯿﻦ‬ ‫اﻟﻤﺴﺎﺣﺔ‬ ‫دارت‬2
y x‫اﻟﻔﺘﺮة‬ ‫ﻓﻲ‬ ‫اﻟﺼﺎدات‬ ‫ﻣﺤﻮر‬ ‫و‬ 0 2,، ‫ﻛﺎﻣﻠﺔ‬ ‫دورة‬
‫اﻟﺪوران‬ ‫ﻣﻦ‬ ‫اﻟﻨﺎﺷﺊ‬ ‫اﻟﺠﺴﻢ‬ ‫ﺣﺠﻢ‬ ‫ﺟﺪ‬.
‫اﻟﺤﻞ‬:    0    0        4 2,when x why en x y    
     
 4
4 4 32
0 0
 0
2 1
16 8  
2 2
V dy dyx y y unit

   
 
     
 
 
‫ﻣﺜﺎل‬)3(‫اﻟﺪاﻟﺔ‬ ‫ﻣﻨﺤﻨﻲ‬ ‫ﺑﯿﻦ‬ ‫اﻟﻤﺤﺼﻮرة‬ ‫اﻟﻤﺴﺎﺣﺔ‬ ‫دوران‬ ‫ﻣﻦ‬ ‫اﻟﻨﺎﺗﺞ‬ ‫اﻟﺤﺠﻢ‬ ‫ﺟﺪ‬  2
1f x x ‫واﻟﻤﺴﺘﻘﯿﻢ‬
4y ‫ﻛﺎﻣﻠﺔ‬ ‫دورة‬ ‫اﻟﺴﯿﻨﻲ‬ ‫اﻟﻤﺤﻮر‬ ‫ﺣﻮل‬.
‫اﻟﺤﻞ‬:‫اﻟﺘﻘﺎﻃﻊ‬ ‫ﻧﻘﻂ‬ ‫ﻧﺠﺪ‬‫ﻣﻊ‬y:   1,4The interval      1 0y x   
   
 4
4 4  4 32 2
 11 0
 1
2 1 9
2  
2 2
1
2
V dy dy y y y y unitx y

   
 
          
 
 
244
‫ﻣﺜﺎل‬)4(‫داﺋﺮة‬ ‫ﻧﺼﻒ‬ ‫ﻣﺴﺎﺣﺔ‬ ‫دوران‬ ‫ﻣﻦ‬ ‫اﻟﻨﺎﺗﺞ‬ ‫اﻟﻜﺮة‬ ‫اﻟﺤﺠﻢ‬ ‫ﺟﺪ‬.
‫اﻟﺤﻞ‬:‫ھﻲ‬ ‫اﻟﺪاﺋﺮة‬ ‫ﻟﺘﻜﻦ‬2 2 2
x y r ‫اﻟﺴﯿﻨﻲ‬ ‫اﻟﻤﺤﻮر‬ ‫ﺣﻮل‬ ‫اﻟﺪوران‬ ‫وﻟﯿﻜﻦ‬
‫ﻣﺜﺎل‬)5(‫اﻟﺪاﻟﺔ‬ ‫ﻣﻨﺤﻨﻲ‬ ‫ﺑﯿﻦ‬ ‫اﻟﻤﺤﺼﻮرة‬ ‫اﻟﻤﺴﺎﺣﺔ‬ ‫دوران‬ ‫ﻣﻦ‬ ‫اﻟﻨﺎﺗﺞ‬ ‫اﻟﺤﺠﻢ‬ ‫ﺟﺪ‬
 
1
x =1  ,  x = 4  , y = 0,  
x
f x
x

‫ﻛﺎﻣﻠﺔ‬ ‫دورة‬ ‫اﻟﺴﯿﻨﻲ‬ ‫اﻟﻤﺤﻮر‬ ‫ﺣﻮل‬.
‫اﻟﺤﻞ‬:
    
1
2
4 4 4 4
1 1
 
2 2
41
 
2
1
3
1
1
1 2 1 1
       4 8 4 1
1 2
4 4 0 7 4    ln (l ln ) n
x x x
y x
x xx
V dx dy dx dx
unitx x x
   
  

   

       
         
 
      
   
 
   
 
   
‫ﺗﺪرﯾﺐ‬
‫س‬1:‫اﻟﺴﯿﻨﺎت‬ ‫وﻣﺤﻮر‬ ‫اﻟﺘﺎﻟﯿﺔ‬ ‫اﻟﺪوال‬ ‫ﺑﯿﻦ‬ ‫اﻟﻤﺴﺎﺣﺔ‬ ‫ﺟﺪ‬:
 
 
 
3
2
2
1 ( )   4 16                                                    : 32
1
2 ( )                                                        ans :
6
3 ( ) 3 6      ,   3  ,   1                    ans : 5
f x x x ans
f x x x
f x x x x x
 
 
    
 
 
 
 
3
6
4 ( )  x  + x    ,  x = -2   ,   x = 2                         ans :12
5 ( ) 7       ,  1   ,   9                           :10 7
6 ( ) sin 2      ,                                : 2
2 2
7 ( ) sin
f x
f x x x ans
f x x x ans
f x
 

   
 
    
  cos    ,    0 ,                          : 2 2x x x ans 
 ,0r ,0r
   
     
2 2 2 2
 
 
  33 3 3 3
3
33
 
332
1
3
4
  16
2
    3 3 2 2       3   
3 3 3 3
r
r r
r r
r
r
r
y r x r x x
r x
V dx dx
r r r r r r unr itx 

  
  
 


 
    
 
           
 
  
 
245
‫س‬2:‫ﺑﯿﻦ‬ ‫اﻟﻤﺴﺎﺣﺔ‬ ‫ﺟﺪ‬:
 
 
 
2
1 2
2
1
1 ( )     ,    ( )                                                    :
6
1
2    sin 2   ,     cos      :  ,                               :
2 2
3 ( )     ,     ( )                      
f x x f x x ans
y x y x on ans
f x x g x x


 
 
    
 
 
 
 
3 3
2
2
1
                           :
3
4 ( ) 2    ,    ( ) 7 2                                 :8
5 ( )    ,    2 2 0                                      : 4.5
6         4    ,   4          
ans
f x x x h x x x ans
f x x x x y ans
y x y
   
    
 
64
                                           : 
3
ans
4( ) 2 6f x x  2,b
24b: 2ans
‫س‬5:‫اﻟﻤﺴﺎﺋ‬ ‫ﻓﻲ‬‫اﻟﻤﺴﺘﻘﯿﻢ‬ ‫ﺣﻮل‬ ‫اﻟﻤﺴﺘﻮﯾﺔ‬ ‫اﻟﺴﻄﺢ‬ ‫ﻗﻄﻌﺔ‬ ‫ﺑﺪوران‬ ‫اﻟﻨﺎﺗﺞ‬ ‫اﻟﺠﺴﻢ‬ ‫اﻟﺠﺴﻢ‬ ‫ﺣﺠﻢ‬ ‫ﺟﺪ‬ ‫اﻟﺘﺎﻟﯿﺔ‬ ‫ﻞ‬‫اﻟﻤﻌﻄﻰ‬
)‫اﻟﻤﻜﻌﺒﺔ‬ ‫ﺑﺎﻟﻮﺣﺪات‬ ‫اﻹﺟﺎﺑﺔ‬(
 
 
2
                                                                                                      .
1        5  ,   0  ,   0  ,   2                                    2500
2      8  ,   
ans
x x y y x about x
x y
   

 
 
2 2
2
2 3
0  ,   - y =16                                         256 / 3
3       16    ,    0  ,   4                                           32
4     2  ,    0  ,  y = x                        
x about x
y x y x about y
x y about x



  
 
   
 
 
2 4 2
2 2
                         4
4
5                y = x 1                                                     
35
6              4  +9 y = 36                                                     16
7  
x about x
x about x




2 2
            4  +9 y = 36                                                    24x about y 
‫س‬6:‫ﯾﻠﻲ‬ ‫ﻣﻤﺎ‬ ‫ﻟﻜﻞ‬ ‫اﻟﻤﺸﺘﻘﺔ‬ ‫ﺟﺪ‬:
           
       
     
5
3 sin
  1   y = ln(8x + 3)                 2    ln                3   y = ln                   4 ln ln
1
5 ln                      6  y = ln             7  y = ln 5 2           8  y = 2
1
  9   y = 3                 10
x
x
e
y x x y x
x
y x x x
x
y x
 
 
  
 
      
lnln ln
                       11 y = ln           12
xx x
x y
x

246
‫س‬7:‫ﯾﻠﻲ‬ ‫ﻣﻤﺎ‬ ‫ﻟﻜﻞ‬ ‫اﻟﻌﻜﺴﯿﺔ‬ ‫اﻟﻤﺸﺘﻘﺎت‬ ‫ﺟﺪ‬:
       
       
 
3
4
3
4
2
1 3 1
  1                    2                       3      dx          4      dx
5 4 7 ln1
cos 2 ln dx
  5      dx            6      dx        7                  8      dx
1 sin 2 1
  9      dx         
1
x
x
x
dx dx
x x x xx
x x x
x x x x x
e
e
 
  

   
   
    
   
3
2
2
        10      dx           11    2   dx
sec 4 1
  12       dx                              13  
2 tan 4 sec 4 1
x x x
x
e e e
x
dx
x x e

 
 
 
‫س‬8:‫ﺟﺪ‬
‫س‬ ‫أﺟﻮﺑﺔ‬8:
         
         
1 1 1 1
1               2 2  - 1            3      -          4             5            
4 22 3
2 4
6     -            7                    8    -                9              10   
3 16 8 8 3
  
       
        
 
3
34 2
2 2 2 2
2 4 2
3
34
4
0 0
2
2 2
2
cot
1 sin                       2                3 sin 2 cos cos cot  
sin
4 sin                    5 sin              6 1 sin 2 cos sin  
7 sin  cos x        
x
x dx dx x x x x dx
x
x dx cec x x dx x x x dx
x dx
 
  






 
 
  
  
    
 
3
4 2
2 2
0
2
3
4
3
2
8 sin  cos2x             9 cos  cos 2  
10 cos cos  
x dx x x dx
x x dx
 




 

(247)
‫ﻓﻲ‬ ‫اﻟﺒﻌﺪ‬ ,a b‫اﻟﺰﻣﻦ‬ ‫ﻣﻦ‬= 
b
a
V t dt‫ﺳﺎﻟﺒ‬ ‫أو‬ ‫ﻣﻮﺟﺒﺎ‬ ‫اﻟﻨﺎﺗﺞ‬ ‫ﯾﻜﻮن‬ ‫أن‬ ‫وﯾﻤﻜﻦ‬ ، ‫ﻃﻮل‬ ‫وﺣﺪة‬‫ﺎ‬‫ﺻﻔﺮ‬ ‫أو‬
‫ﻣﺘﺠﮫ‬ ‫ﻷﻧﮫ‬.
‫ﻓﻲ‬ ‫اﻟﻤﺴﺎﻓﺔ‬ ,a b‫اﻟﺰﻣﻦ‬ ‫ﻣﻦ‬= 
b
a
dtV t‫ﻃﻮل‬ ‫وﺣﺪة‬‫داﺋﻤﺎ‬ ‫ﻣﻮﺟﺒﺔ‬ ‫وﺗﻜﻮن‬ ،.
‫ﻣﺜﺎل‬:‫ﯾﺴﺎوي‬ ‫ﺑﺘﻌﺠﯿﻞ‬ ‫ﻣﺴﺘﻘﯿﻢ‬ ‫ﺧﻂ‬ ‫ﻋﻠﻰ‬ ‫ﺟﺴﻢ‬ ‫ﯾﺘﺤﺮك‬ 
2
12 6 / sect cm‫ﺗﺼﺒﺢ‬ ‫اﻷوﻟﻰ‬ ‫اﻟﺜﺎﻧﯿﺔ‬ ‫ﻧﮭﺎﯾﺔ‬ ‫وﻓﻲ‬ ،
‫ﺳﺮﻋﺘﮫ‬9 / seccm‫ﺑﻌﺪ‬ ‫ﻋﻠﻰ‬ ‫وﯾﻜﻮن‬5cm:
1(‫زﻣﻦ‬ ‫أي‬ ‫ﻋﻨﺪ‬ ‫اﻟﺠﺴﻢ‬ ‫ﺑﻌﺪ‬ ‫ﺟﺪ‬t
2(‫ﻋ‬ ‫اﻟﺠﺴﻢ‬ ‫ﺗﻌﺠﯿﻞ‬ ‫ﺟﺪ‬‫اﻟﺒﺪء‬ ‫ﻟﻨﻘﻄﺔ‬ ‫ﻋﻮدﺗﮫ‬ ‫ﻨﺪ‬.
3(‫ﺧﻼل‬ ‫ﯾﻘﻄﻌﮭﺎ‬ ‫اﻟﺘﻲ‬ ‫اﻟﻤﺴﺎﻓﺔ‬ ‫ﺟﺪ‬5‫اﻟﺤﺮﻛﺔ‬ ‫ﺑﺪء‬ ‫ﻋﻠﻰ‬ ‫ﺛﻮاﻧﻲ‬.
4(‫ﻣﺮور‬ ‫ﺑﻌﺪ‬ ‫ﺑﻌﺪه‬ ‫ﺟﺪ‬5‫ﺛﻮاﻧﻲ‬
5(‫ﻣﺮور‬ ‫ﺑﻌﺪ‬ ‫ﺑﻌﺪه‬ ‫ﺟﺪ‬5‫اﻟﺤﺮﻛﺔ‬ ‫ﺑﺪء‬ ‫ﻋﻠﻰ‬ ‫ﺛﻮاﻧﻲ‬
6(‫اﻟﺠﺴﻢ‬ ‫ﺳﺮﻋﺔ‬ ‫ﺗﺼﺒﺢ‬ ‫وأﯾﻦ‬ ‫ﻣﺘﻰ‬63 / seccm
‫اﻟﺤﻞ‬:1( 
2
( ) 6 12 / seca t t cm ‫اﻟﺘﻌﺠﯿﻞ‬ ‫داﻟﺔ‬
‫اﻟﺴﺮﻋﺔ‬=‫اﻟﺘﻌﺠﯿﻞ‬ ‫ﺗﻜﺎﻣﻞ‬: 2
1( ) 12t - 3 + c ( ) 12 6v t v t t dt t   
‫اﻟﻤﺴﺎﻓﺔ‬ ، ‫اﻟﺘﻌﺠﯿﻞ‬ ، ‫اﻟﺴﺮﻋﺔ‬ ، ‫اﻹزاﺣﺔ‬ ، ‫اﻟﺒﻌﺪ‬:‫ﻟﻠﺰﻣﻦ‬ ‫دوال‬ ‫ﻛﻠﮭﺎ‬ t
(248)
‫ﻟﻜﻦ‬(1) 9v ‫ﻣﻌﻄﻰ‬1 10 9 12 3c c    ‫ﻓﺎن‬ ‫ﻟﺬا‬:
2
( ) 12 3 / secv t t t cm ‫اﻟﺴﺮﻋﺔ‬ ‫داﻟﺔ‬ ‫ﺗﻤﺜﻞ‬
‫اﻟﺒﻌﺪ‬=‫أي‬ ‫اﻟﺴﺮﻋﺔ‬ ‫ﺗﻜﺎﻣﻞ‬( ) ( )s t v t dt 
 
2 3
2
2
( ) 12 3
( ) 6
s t t t d t
s t t t c 


 
‫وﻋﻨﺪﻣﺎ‬t = 1‫ﻓﺈن‬s = 5
2 25 6 1 = 0c c   
‫اﻟﺒﻌﺪ‬ ‫داﻟﺔ‬2 3
( ) 6s t t then ce  
2(‫اﻟﺒﺪء‬ ‫ﻟﻨﻘﻄﺔ‬ ‫ﻋﻮدﺗﮫ‬ ‫ﻋﻨﺪ‬ ‫اﻟﺠﺴﻢ‬ ‫ﺗﻌﺠﯿﻞ‬ ‫ﺟﺪ‬.
‫ﺑ‬ ‫وذﻟﻚ‬ ‫اﻟﺒﺪء‬ ‫ﻟﻨﻘﻄﺔ‬ ‫اﻟﻌﻮدة‬ ‫زﻣﻦ‬ ‫ﻧﺠﺪ‬‫ﻟﻠﺼﻔﺮ‬ ‫اﻟﺒﻌﺪ‬ ‫ﻤﺴﺎواة‬
2 2 3
0 (6 ) 0 6t t t t      t = 0‫أو‬ ‫اﻻﺑﺘﺪاء‬ ‫زﻣﻦ‬t = 6 sec‫اﻟﻌﻮدة‬ ‫زﻣﻦ‬
( ) 6 12a t t ‫اﻟﺘﻌﺠﯿﻞ‬ ‫داﻟﺔ‬2
(6) 6 6 12 24 / seca cm  =‫اﻟﻌﻮدة‬ ‫ﻟﺤﻈﺔ‬ ‫اﻟﺘﻌﺠﯿﻞ‬.
3(‫ﺧﻼل‬ ‫ﯾﻘﻄﻌﮭﺎ‬ ‫اﻟﺘﻲ‬ ‫اﻟﻤﺴﺎﻓﺔ‬ ‫ﺟﺪ‬5‫اﻟﺤﺮﻛﺔ‬ ‫ﺑﺪء‬ ‫ﻋﻠﻰ‬ ‫ﺛﻮاﻧﻲ‬.
‫اﻟﻔﺘﺮة‬ ‫ﻓﻲ‬ ‫اﻟﻤﺴﺎﻓﺔ‬ 0,5‫ﺗﺴﺎوي‬:
5
0
( )D v t dt 
5 2
0
12 3D t t dt 
‫ﻣﻄﻠﻘﺔ‬ ‫ﻗﯿﻤﺔ‬ ‫ﻛﺘﻜﺎﻣﻞ‬ ‫ﯾﺤﻞ‬ ‫واﻵن‬:‫اﻟﻤﻄﻠﻖ‬ ‫داﺧﻞ‬=0
  2
t = 4 3 4 0 12 3 0t t t t     0 4 5
   
5 4 52 2
0 0
2
2 3 2 3
4
4 5
0 4
12 3 12 312
96 64 1
3
6 6
50 125 (96 64) 39
D dt t tt t
t
dt t t dt
cm
t t t


    
    
   
    

 
  
4(‫ﻣﺮور‬ ‫ﺑﻌﺪ‬ ‫ﺑﻌﺪه‬ ‫ﺟﺪ‬5‫ﺛﻮاﻧﻲ‬.‫ﺑﺎﻟﺰﻣﻦ‬ ‫اﻟﺒﻌﺪ‬ ‫ﺑﺪاﻟﺔ‬ ‫ﯾﻌﻮض‬ ‫ﻟﻠﺤﻞ‬5
2 3
( ) 6 (5) 150 125 = 25cms t t t s    
5(‫ﻣﺮور‬ ‫ﺑﻌﺪ‬ ‫ﺑﻌﺪه‬ ‫ﺟﺪ‬5‫اﻟﺤﺮﻛﺔ‬ ‫ﺑﺪء‬ ‫ﻋﻠﻰ‬ ‫ﺛﻮاﻧﻲ‬.‫اﻟﻔﺘﺮة‬ ‫ﻓﻲ‬ ‫اﻟﺒﻌﺪ‬ ‫اﻟﻤﻄﻠﻮب‬ 0, 5‫ﺛﺎﻧﯿﺔ‬)‫اﻟﺴﺮﻋﺔ‬ ‫ﺗﻜﺎﻣﻞ‬(
 
55 2 2 3
0 0
12 3 6 150 125 25s t t dt t t cm      
6(‫اﻟﺠﺴﻢ‬ ‫ﺳﺮﻋﺔ‬ ‫ﺗﺼﺒﺢ‬ ‫وأﯾﻦ‬ ‫ﻣﺘﻰ‬63 / seccm)‫اﻟﺰﻣﻦ‬ ‫ﻋﻠﻰ‬ ‫ﻟﻠﺤﺼﻮل‬ ‫اﻟﺴﺮﻋﺔ‬ ‫ﺑﺪاﻟﺔ‬ ‫ﯾﻌﻮض‬(.
  
3
2 2 2 2
2 3
( ) 12 3 63 12 3 3 12 63 0 4 21 0
7 3 0
( ) 6 (7) 6 49 7 49
7 sec
49 cm
v t t t t t t t t t
t t
s t t t s
t

             
   
     

  
(249)
‫ﻣﺜﺎل‬:‫ﺔ‬‫ﺑﺎﻟﻤﻌﺎدﻟ‬ ‫ﺎس‬‫ﺗﻘ‬ ‫ﺮﻋﺘﮫ‬‫ﺳ‬ ‫أن‬ ‫ﺚ‬‫ﺑﺤﯿ‬ ‫ﺘﻘﯿﻢ‬‫ﻣﺴ‬ ‫ﻂ‬‫ﺧ‬ ‫ﻋﻠﻰ‬ ‫ﺟﺴﻢ‬ ‫ﯾﺘﺤﺮك‬( ) 6 6 / secv t t cm ‫ﺪ‬‫وﺑﻌ‬ ،
‫واﺣﺪة‬ ‫ﺛﺎﻧﯿﺔ‬ ‫ﻣﺮور‬‫ﺑﻌﺪ‬ ‫ﻋﻠﻰ‬ ‫ﯾﻜﻮن‬8‫ﺳﻢ‬
1(‫زﻣﻦ‬ ‫أي‬ ‫ﻋﻨﺪ‬ ‫اﻟﺠﺴﻢ‬ ‫ﺑﻌﺪ‬ ‫ﺟﺪ‬t2(‫ﻣﺮور‬ ‫ﺑﻌﺪ‬ ‫اﻟﺠﺴﻢ‬ ‫ﺑﻌﺪ‬ ‫ﺟﺪ‬3‫ﺛﻮاﻧﻲ‬
3(‫ﻣﺮور‬ ‫ﺑﻌﺪ‬ ‫اﻟﺠﺴﻢ‬ ‫ﺑﻌﺪ‬ ‫ﺟﺪ‬3‫اﻻﺑﺘﺪاء‬ ‫ﻋﻠﻰ‬ ‫ﺛﻮاﻧﻲ‬4(‫اﻟﺜﺎﻟﺜﺔ‬ ‫اﻟﺜﺎﻧﯿﺔ‬ ‫ﺧﻼل‬ ‫اﻟﺠﺴﻢ‬ ‫ﯾﻘﻄﻌﮭﺎ‬ ‫اﻟﺘﻲ‬ ‫اﻟﻤﺴﺎﻓﺔ‬ ‫ﺟﺪ‬.
‫اﻟﺤـﻞ‬:( ) 6 6 / secv t t cm ‫اﻟﺴﺮﻋﺔ‬ ‫داﻟﺔ‬
1(‫زﻣﻦ‬ ‫أي‬ ‫ﻋﻨﺪ‬ ‫اﻟﺠﺴﻢ‬ ‫ﺑﻌﺪ‬ ‫ﺟﺪ‬t)‫ﻣﺤﺪد‬ ‫ﻏﯿﺮ‬ ‫ﺗﻜﺎﻣﻼ‬ ‫اﻟﺴﺮﻋﺔ‬ ‫داﻟﺔ‬ ‫ﺗﻜﺎﻣﻞ‬(
  2
( ) ( ) 6 6 dt ( ) = 3t 6ss t d tv t tt ct    
‫وﻋﻨﺪﻣﺎ‬t = 1‫ﻓﺎن‬s = 8‫اﻟﺘﻜﺎﻣﻞ‬ ‫ﺛﺎﺑﺖ‬ ‫ﻹﯾﺠﺎد‬ ‫ﺗﻌﻮض‬.
(1) 8
2
( ) = 3t 6 8 3 6 1
s
s t t c c c

        
‫اﻟﺒﻌﺪ‬ ‫داﻟﺔ‬ ‫ﻓﺈن‬ ‫ﻟﺬا‬‫ﺗﻜﻮن‬:2
( ) = 3t 6 1s t t 
2(‫ﻣﺮور‬ ‫ﺑﻌﺪ‬ ‫اﻟﺠﺴﻢ‬ ‫ﺑﻌﺪ‬ ‫ﺟﺪ‬3‫ﺛﻮاﻧﻲ‬)‫ﺑـ‬ ‫اﻟﺒﻌﺪ‬ ‫ﺑﺪاﻟﺔ‬ ‫ﯾﻌﻮض‬t = 3(
2
( ) = 3t 6 1 (3) = 27 18 1 44s t t s cm     
3(‫ﻣﺮور‬ ‫ﺑﻌﺪ‬ ‫اﻟﺠﺴﻢ‬ ‫ﺑﻌﺪ‬ ‫ﺟﺪ‬3‫اﻻﺑﺘﺪاء‬ ‫ﻋﻠﻰ‬ ‫ﺛﻮاﻧﻲ‬)‫اﻟﻔﺘﺮة‬ ‫ﻋﻠﻰ‬ ‫اﻟﺴﻌﺔ‬ ‫ﺗﻜﺎﻣﻞ‬ 0, 3(
‫اﻟﺒﻌﺪ‬= 
33 3 2
0 0 0
( ) 6 6 3 + 6t 27 18 45s v t dt t dt t cm         
4(‫اﻟﺜﺎﻟﺜﺔ‬ ‫اﻟﺜﺎﻧﯿﺔ‬ ‫ﺧﻼل‬ ‫اﻟﺠﺴﻢ‬ ‫ﯾﻘﻄﻌﮭﺎ‬ ‫اﻟﺘﻲ‬ ‫اﻟﻤﺴﺎﻓﺔ‬ ‫ﺟﺪ‬
‫اﻟﺜﺎﻟﺜﺔ‬ ‫اﻟﺜﺎﻧﯿﺔ‬ ‫ﺧﻼل‬ ‫اﻟﻤﺴﺎﻓﺔ‬:‫اﻟﻔﺘﺮة‬ ‫ﻋﻠﻰ‬ ‫اﻟﻤﺴﺎﻓﺔ‬ ‫أي‬ 2, 3‫وأن‬‫اﻟﺴ‬ ‫داﻟﺔ‬‫ﺮ‬‫ﻻﺳﺘﻌﻤﺎل‬ ‫ﺣﺎﺟﺔ‬ ‫ﻓﻼ‬ ‫ﻣﻮﺟﺒﺔ‬ ‫ﻋﺔ‬
‫اﻟﻤﻄﻠﻘﺔ‬ ‫اﻟﻘﯿﻤﺔ‬.
   
33 3 2
2 2 2
( ) 6 6 3 + 6t 27 18 12 12 21D v t dt t dt t cm           
(250)
‫ﺎل‬ ‫ﻣﺜ‬:‫ﺎوي‬ ‫ﯾﺴ‬ ‫ﻞ‬ ‫ﺑﺘﻌﺠﯿ‬ ‫ﺘﻘﯿﻢ‬ ‫ﻣﺴ‬ ‫ﻂ‬ ‫ﺧ‬ ‫ﻰ‬ ‫ﻋﻠ‬ ‫ﻢ‬ ‫ﺟﺴ‬ ‫ﺮك‬ ‫ﯾﺘﺤ‬2
6 6 / sect cm‫ﻮن‬ ‫ﺗﻜ‬ ‫ﺪة‬ ‫واﺣ‬ ‫ﺔ‬ ‫ﺛﺎﻧﯿ‬ ‫ﺮور‬ ‫ﻣ‬ ‫ﺪ‬ ‫وﺑﻌ‬
‫ﺳﺮﻋﺘﮫ‬12 / seccm‫ﺧﻼل‬ ‫اﻟﺠﺴﻢ‬ ‫ﯾﻘﻄﻌﮭﺎ‬ ‫اﻟﺘﻲ‬ ‫اﻟﻜﻠﯿﺔ‬ ‫اﻟﻤﺴﺎﻓﺔ‬ ‫ﺟﺪ‬5‫اﻻﺑﺘﺪاء‬ ‫ﻋﻠﻰ‬ ‫ﺛﻮاﻧﻲ‬.
‫اﻟﺤـﻞ‬:2
( ) 6 6 / seca t t cm ‫اﻟﺘﻌﺠﯿﻞ‬ ‫داﻟﺔ‬
‫اﻟﺴﺮﻋـﺔ‬=‫اﻟﺘﻌﺠﯿـﻞ‬ ‫ﺗﻜﺎﻣـﻞ‬
  2
( ) ( ) ( ) 6 6 ( ) 3 6v t a t dt v t t dt v t t t c        
‫ﻟﻜﻦ‬(1) 12v  c = -9 12 3 6 c     
2
( ) 3 6 9v t t t  ‫اﻟﺴﺮﻋــﺔ‬ ‫داﻟﺔ‬
  
2 2
0 3( 2 3) 0 3 6 9
t = 3sec 0 3 3 1
t t t t
t t
      
   
   
3 52 2
0 3
3 6 9 3 6 9D t t dt t t dt      
3 53 2 3 2
0 3
3 9 3 9
27 27 27 0 125 75 45 (27 27 27) 59
D t t t t t t
cm
           
          
‫ﻣﺜﺎل‬:‫ﯾﺴﺎوي‬ ‫ﻣﻨﺘﻈﻢ‬ ‫ﺑﺘﻌﺠﯿﻞ‬ ‫ﻣﺴﺘﻘﯿﻢ‬ ‫ﺧﻂ‬ ‫ﻋﻠﻰ‬ ‫ﺟﺴﻢ‬ ‫ﯾﺘﺤﺮك‬2
4 / seccm.‫ﺗﺴﺎوي‬ ‫اﺑﺘﺪاﺋﯿﺔ‬ ‫وﺑﺴﺮﻋﺔ‬
8 / seccm‫ﺑﻌﺪ‬ ‫ﻋﻠﻰ‬ ‫ﯾﻜﻮن‬ ‫واﺣﺪة‬ ‫ﺛﺎﻧﯿﺔ‬ ‫ﻣﺮور‬ ‫وﺑﻌﺪ‬ ،12cm.
1(‫زﻣﻦ‬ ‫أي‬ ‫ﻋﻨﺪ‬ ‫اﻟﺠﺴﻢ‬ ‫ﺑﻌﺪ‬ ‫ﺟﺪ‬t.2(‫ﺧﻼل‬ ‫ﯾﻘﻄﻌﮭﺎ‬ ‫اﻟﺘﻲ‬ ‫اﻟﻤﺴﺎﻓﺔ‬ ‫ﺟﺪ‬4‫اﻟﺤﺮﻛﺔ‬ ‫ﺑﺪء‬ ‫ﻋﻠﻰ‬ ‫ﺛﻮاﻧﻲ‬
3(‫اﻟﺮاﺑﻌﺔ‬ ‫اﻟﺜﺎﻧﯿﺔ‬ ‫ﺧﻼل‬ ‫اﻟﺠﺴﻢ‬ ‫ﯾﻘﻄﻌﮭﺎ‬ ‫اﻟﺘﻲ‬ ‫اﻟﻤﺴﺎﻓﺔ‬ ‫ﺟﺪ‬.
‫اﻟﺤﻞ‬:‫اﻟﺘﻌﺠﯿﻞ‬ ‫داﻟﺔ‬ ‫ھﻲ‬ ‫واﺣﺪة‬ ‫داﻟﺔ‬ ‫ﻣﻮﺟﻮدة‬2
( ) 4 cm / seca t 
‫اﻟﺴﺮﻋﺔ‬=‫اﻟﺘﻌﺠﯿﻞ‬ ‫ﺗﻜﺎﻣﻞ‬( ) 4v t dt 
1( ) 4v t t c  ‫ﻟﻜﻦ‬(0) 8v ‫ﻣﻌﻄﺎة‬
1 1v (t) = 4 t + 8 c = 0 8 0 c    ‫اﻟﺴﺮﻋﺔ‬ ‫داﻟﺔ‬
‫اﻟﺒﻌﺪ‬ ‫داﻟﺔ‬=‫اﻟﺴﺮﻋﺔ‬ ‫داﻟﺔ‬ ‫ﺗﻜﺎﻣﻞ‬( ) (4 8) ( ) ( )s t t dt s t v t dt    
2
2( ) 2 8s t t t c   ‫ﻟﻜﻦ‬(1) 12s 2 2c = 2 12 2 8 c    
2
( ) 2 8 2s t t t  ‫زﻣﻦ‬ ‫أي‬ ‫ﻋﻨﺪ‬ ‫اﻟﺒﻌﺪ‬ ‫داﻟﺔ‬t
vst
8--0
--121
530
(251)
2(‫ﺧﻼل‬ ‫ﯾﻘﻄﻌﮭﺎ‬ ‫اﻟﺘﻲ‬ ‫اﻟﻤﺴﺎﻓﺔ‬ ‫ﺟﺪ‬4‫اﻟﺤﺮﻛﺔ‬ ‫ﺑﺪء‬ ‫ﻋﻠﻰ‬ ‫ﺛﻮاﻧﻲ‬.
v (t) = 4 t + 8 > 0 ‫اﻟﻘﯿﻤ‬ ‫ﻻﺳﺘﻌﻤﺎل‬ ‫ﺣﺎﺟﺔ‬ ‫ﻻ‬ ‫ﻟﺬا‬‫اﻟﻤﺴﺎﻓﺔ‬ ‫إﯾﺠﺎد‬ ‫ﻓﻲ‬ ‫اﻟﻤﻄﻠﻘﺔ‬ ‫ﺔ‬.
4 42
00
2 + 8t (4 8)
32 32 0 64
D t D t dt
D cm
     
   

3(‫اﻟﺮاﺑﻌﺔ‬ ‫اﻟﺜﺎﻧﯿﺔ‬ ‫ﺧﻼل‬ ‫اﻟﺠﺴﻢ‬ ‫ﯾﻘﻄﻌﮭﺎ‬ ‫اﻟﺘﻲ‬ ‫اﻟﻤﺴﺎﻓﺔ‬ ‫ﺟﺪ‬.
v (t) = 4 t + 8 > 0 ‫اﻟﻤﺴﺎﻓﺔ‬ ‫إﯾﺠﺎد‬ ‫ﻓﻲ‬ ‫اﻟﻤﻄﻠﻘﺔ‬ ‫اﻟﻘﯿﻤﺔ‬ ‫ﻻﺳﺘﻌﻤﺎل‬ ‫ﺣﺎﺟﺔ‬ ‫ﻻ‬ ‫ﻟﺬا‬.
4 42
33
2 + 8t (4 8)
32 32 (18 24) 22
D t D t dt
D cm
     
    

‫س‬:‫و‬ ‫ﻜﻮن‬‫اﻟﺴ‬ ‫ﻦ‬‫ﻣ‬ ‫ﻣﺎدﯾﺔ‬ ‫ﻧﻘﻄﺔ‬ ‫ﺗﺘﺤﺮك‬‫ﺪ‬‫ﺑﻌ‬t‫ﺮﻋﺘﮭﺎ‬‫ﺳ‬ ‫ﺒﺤﺖ‬‫أﺻ‬ ‫ﺔ‬‫اﻟﺤﺮﻛ‬ ‫ﺪء‬‫ﺑ‬ ‫ﻦ‬‫ﻣ‬ ‫ﺔ‬‫ﺛﺎﻧﯿ‬2
100 6 / sect t m
‫ﻋﻨﺪھﺎ‬ ‫اﻟﺘﻌﺠﯿﻞ‬ ‫اﺣﺴﺐ‬ ‫ﺛﻢ‬ ‫ﻣﻨﮫ‬ ‫ﺑﺪأت‬ ‫اﻟﺬي‬ ‫اﻷول‬ ‫ﻣﻮﺿﻌﮭﺎ‬ ‫إﻟﻰ‬ ‫اﻟﻨﻘﻄﺔ‬ ‫ﻟﻌﻮدة‬ ‫اﻟﻼزم‬ ‫اﻟﺰﻣﻦ‬ ‫أوﺟﺪ‬.
‫اﻟﺤﻞ‬:2
( ) 100 6 / secv t t t m ‫اﻟﺴﺮﻋﺔ‬ ‫داﻟﺔ‬
 2
( ) ( ) 100 6 dts t v t dt t t   
‫اﻟﺒﻌﺪ‬ ‫داﻟﺔ‬
3
( ) = 50t 2s t t c 
‫ﻋﻨﺪﻣﺎ‬ ‫ﻟﻜﻦ‬t = 0‫اﻹزاﺣﺔ‬ ‫ﻓﺎن‬=0c = 0 0 0 0 c    
2 3
( ) 50 2s t t t ‫اﻟﺒﻌﺪ‬ ‫داﻟﺔ‬‫ﯾﻌﻨﻲ‬ ‫اﻻﺑﺘﺪاء‬ ‫ﻟﻨﻘﻄﺔ‬ ‫اﻟﺠﺴﻢ‬ ‫ﻋﻮدة‬ ،‫اﻹزاﺣﺔ‬=0
2 2 3
0 2 t (25 ) 0 0 50 2t t t       
0t ‫أو‬ ‫اﻟﺒﺪء‬ ‫زﻣﻦ‬25sect ‫اﻟﺒﺪء‬ ‫ﻟﻨﻘﻄﺔ‬ ‫اﻟﻌﻮدة‬ ‫زﻣﻦ‬
‫اﻟﺘﻌﺠﯿﻞ‬=‫اﻟﺴﺮﻋﺔ‬ ‫ﻣﺸﺘﻘﺔ‬
100 - 12 t( ) = (t)= av t‫اﻟﺘﻌﺠﯿﻞ‬ ‫داﻟﺔ‬
‫اﻟﺘﻌﺠﯿﻞ‬2
(25) 100 12 25 200 / seca m    
vst
000
252
‫ﺍﻟﺘﻔﺎﺿﻠﻴﺔ‬ ‫ﺍﳌﻌﺎﺩﻻﺕ‬
‫ﺍﻟﺘﻔﺎﺿﻠﻴﺔ‬ ‫ﺍﳌﻌﺎﺩﻟﺔ‬The differential equation:‫اﻟﺘﻔﺎﺿﻼت‬ ‫أو‬ ‫اﻟﻤﺸﺘﻘﺎت‬ ‫ﻋﻠﻰ‬ ‫ﺗﺤﻮي‬ ‫ﻣﻌﺎدﻟﺔ‬ ‫ھﻲ‬.
‫ﻣﺜﻼ‬:
4 53 2
3 2
1) 2 5 0
2) (2 3 )
d y d y
y
dx dx
dy x y dy
   
     
   
 
‫ﺍﻟﺘﻔﺎﺿﻠﻴﺔ‬ ‫ﺍﳌﻌﺎﺩﻟﺔ‬ ‫ﺭﺗﺒﺔ‬The order of a differential equation:‫ﻓﯿﮭﺎ‬ ‫ﺗﻈﮭﺮ‬ ‫ﻣﺸﺘﻘﺔ‬ ‫أﻋﻠﻰ‬ ‫رﺗﺒﺔ‬ ‫ھﻲ‬
‫ﻣﺜﺎل‬ ‫ﻓﻤﺜﻼ‬)1(‫رﺗﺒﺔ‬‫اﻟﺜﺎﻟﺜﺔ‬ ‫ھﻲ‬ ‫اﻟﻤﻌﺎدﻟﺔ‬.
‫ﺍﻟﺘﻔﺎﺿﻠﻴﺔ‬ ‫ﺍﳌﻌﺎﺩﻟﺔ‬ ‫ﺩﺭﺟﺔ‬:‫أس‬ ‫ھﻮ‬)‫ﻗﻮة‬(‫ﻓﺎﻟﻤﻌﺎدﻟﺔ‬ ، ‫ﻓﯿﮭﺎ‬ ‫ﺗﻈﮭﺮ‬ ‫ﻟﻤﺸﺘﻘﺔ‬ ‫رﺗﺒﺔ‬ ‫أﻛﺒﺮ‬)1(‫ا‬ ‫اﻟﺪرﺟﺔ‬ ‫ﻣﻦ‬‫ﻟﺮاﺑﻌﺔ‬.
‫ﺍﻟﺘﻔﺎﺿﻠﻴﺔ‬ ‫ﺍﳌﻌﺎﺩﻟﺔ‬ ‫ﺣﻞ‬:‫اﻟﻤﻌﺎدﻟﺔ‬ ‫وﺗﺤﻘﻖ‬ ‫اﻟﺘﻔﺎﺿﻼت‬ ‫أو‬ ‫اﻟﻤﺸﺘﻘﺎت‬ ‫ﻣﻦ‬ ‫ﺧﺎﻟﯿﺔ‬ ‫اﻟﻤﺘﻐﯿﺮات‬ ‫ﺑﯿﻦ‬ ‫ﻋﻼﻗﺔ‬ ‫أﯾﺔ‬ ‫ھﻮ‬
‫ﻣ‬ ‫وﺗﺠﻌﻠﮭﺎ‬‫ﺘ‬‫ﻄﺎﺑﻘﺔ‬.
‫أﺧﺮى‬ ‫أﻣﺜﻠﺔ‬:Example 1
‫أن‬ ‫ﺑﺮھﻦ‬:
3
2
( )y x x

‫اﻟﺘﻔﺎﺿﻠﯿﺔ‬ ‫ﻟﻠﻤﻌﺎدﻟﺔ‬ ‫ﺣﻞ‬ ‫ھﻮ‬
‫اﻟﺤﻞ‬:‫ﺑﺤﺎﺟﺔ‬ ‫ﻧﺤﻦ‬‫ﻹﯾﺠﺎد‬‫اﻟﺜﺎﻧﯿﺔ‬ ‫اﻟﻤﺸﺘﻘﺔ‬:
‫اﻟﺘﻔﺎﺿﻠﯿﺔ‬ ‫اﻟﻤﻌﺎدﻟﺔ‬ ‫ﻓﻲ‬ ‫اﻟﺪوال‬ ‫ھﺬه‬ ‫ﻧﻌﻮض‬:
‫ﻟﻠﻤﻌﺎدﻟﺔ‬ ‫ﺣﻞ‬ ‫ھﻲ‬ ‫اﻟﻤﻌﻄﺎة‬ ‫ﻓﺎﻟﻤﻌﺎدﻟﺔ‬ ‫اﻟﺘﻔﺎﺿﻠﯿﺔ‬ ‫اﻟﻤﻌﺎدﻟﺔ‬ ‫ﺗﺤﻘﻘﺖ‬.
‫أﺧﺮى‬ ‫أﻣﺜﻠﺔ‬:Example 2
‫أن‬ ‫ﺑﺮھﻦ‬:
‫اﻟﺘﻔﺎﺿﻠﯿﺔ‬ ‫ﻟﻠﻤﻌﺎدﻟﺔ‬ ‫ﺣﻞ‬ ‫ھﻮ‬:
dy
y x
dx
 
253
‫اﻟﺤﻞ‬:
‫اﻷﯾﻤﻦ‬ ‫اﻟﻄﺮف‬ ‫ﻓﻲ‬ ‫ﻧﻌﻮض‬:
‫ﻓﺎ‬ ‫اﻟﺘﻔﺎﺿﻠﯿﺔ‬ ‫اﻟﻤﻌﺎدﻟﺔ‬ ‫ﺗﺤﻘﻘﺖ‬‫ﻟﻠﻤﻌﺎدﻟﺔ‬ ‫ﺣﻞ‬ ‫ھﻲ‬ ‫اﻟﻤﻌﻄﺎة‬ ‫ﻟﻤﻌﺎدﻟﺔ‬
Example3
‫أن‬ ‫ﺑﺮھﻦ‬:siny x‫ﺣ‬ ‫ھﻮ‬‫ﻟﻠﻤﻌﺎدﻟﺔ‬ ‫ﻞ‬0y y  
‫اﻟﺤﻞ‬:s 0ncos i xy x y y y yy            
‫اﻟﻤﻄﻠﻮب‬ ‫ﯾﺘﻢ‬.
Example 4 :‫أن‬ ‫ﺑﺮھﻦ‬:tany x‫ﻟﻠﻤﻌﺎدﻟﺔ‬ ‫ﺣﻞ‬ ‫ھﻮ‬
2
2 (1 )y y y  
‫اﻟﺤﻞ‬:
22 2
tatan s 1nec 1y x y x x y      
‫اﻟﻤﻄﻠﻮب‬ ‫ﯾﺘﻢ‬ ‫ﺑﮭﺬا‬ 2 2
1 2 2 1y y y y y y y y           
Example 5:‫أن‬ ‫ﺑﺮھﻦ‬2 2
2 1x y ‫ﻟﻠﻤﻌﺎدﻟﺔ‬ ‫ﺣﻞ‬ ‫ھﻮ‬:
3
2y y   
‫اﻟﺤﻞ‬:
2 2 2
2 1 4 2 0
x
x y x y y y
y

        
2 2
( , ) 1
2 2 2 2
3
3 3 3
2
( 2) 2
2 ( 2) 2
2 4 2( 2 ) 2
2
f x y
x
y x
x y x y yy
y y y
y y y y
y x y x
y y y y y
y y y


  
   
       
    
            
‫اﻟﻤﻄﻠﻮب‬ ‫ﯾﺘﻢ‬.
Example 6‫أن‬ ‫ﺑﺮھﻦ‬  sin 5y x x‫ﻟﻠﻤﻌﺎدﻟﺔ‬ ‫ﺣﻼ‬:2 5 0xy y yx   
‫اﻟﺤﻞ‬:
   
. . .
sin 5 5cos5
( ) ( 5cos5 ) 5 ( 5sin 5 )
2 5
L H S equation
yx
d d
yx x y xy x
dx dx
d d
y xy x y x y y x
dx dx
y x y yx ‫ﺎﻟﻤﻄﻠﻮب‬ ‫ﯾﺘﻤ‬
    
           
    
254
Example 7:‫أن‬ ‫ﺑﯿﻦ‬:
x
y a e
‫ﻟﻠﻤﻌﺎدﻟﺔ‬ ‫ﺣﻼ‬ ‫ھﻮ‬0 , ,y y a  
‫اﻟﺤﻞ‬:
   
   
x x
x x
d d
y a e y a e
dx dx
d d
y a e y a e y y
dx dx
 
 
   
       
‫اﻟﻤﻄﻠﻮب‬ ‫ﯾﺘﻢ‬.
Example8:‫أن‬ ‫ﺑﯿﻦ‬
2
 Ln y x c ‫ﻟﻠﻤﻌﺎدﻟﺔ‬ ‫ﺣﻼ‬ ‫ھﻮ‬:
2
4 2y x y y  
‫ا‬‫ﻟﺤﻞ‬:
   
   
2
2
1
2 2
2 2 2 2 (2 ) 2
4 2
d d
Ln y x c y x y x y
dx dx y
d d
y x y y x y y x x y y
dx dx
y x y y
        
            
  
‫اﻟﻤﻄﻠﻮب‬ ‫ﯾﺘﻢ‬.
Example9:‫ﺑﯿﻦ‬‫ﻛﻼ‬‫اﻟﺘﺎﻟﯿﺔ‬ ‫اﻟﺪوال‬ ‫ﻣﻦ‬
sin
1) sin 1 , 2) , 3) sinx
y x y e y x
   
‫ﻟﻠﻤﻌﺎدﻟﺔ‬ ‫ﺣﻼ‬ ‫ھﻮ‬:
1
cos sin 2 0
2
y y x x   
‫اﻟﺤﻞ‬:1(‫اﻟ‬‫ﺪاﻟﺔ‬‫اﻷوﻟﻰ‬:cos sin 1y x y x    
‫ﺑﺎﻟﻤﻌﺎد‬ ‫ﯾﻌﻮﺿﺎن‬‫اﻟﺘﻔﺎﺿﻠﯿﺔ‬ ‫ﻟﺔ‬:
1 1
. . . cos sin 2 cos (sin 1)cos
2 2
L H S y y x x x x x       2 sin cos
cos
x x
x

sin cosx x cosx sin cosx x 0 . . .R H S 
‫ﻟﮭﺎ‬ ‫ﺣﻞ‬ ‫ﻓﮭﻲ‬ ‫اﻟﺘﻔﺎﺿﻠﯿﺔ‬ ‫اﻟﻤﻌﺎدﻟﺔ‬ ‫ﺣﻘﻘﺖ‬ ‫اﻷوﻟﻰ‬ ‫اﻟﺪاﻟﺔ‬.
2(‫اﻟ‬‫ﺪاﻟﺔ‬‫اﻟﺜﺎﻧﯿﺔ‬
sin sin
cos x x
y x e y e 
     ‫ﻟﻠﻤﻌﺎدﻟﺔ‬ ‫اﻷﯾﺴﺮ‬ ‫ﺑﺎﻟﻄﺮف‬ ‫ﯾﻌﻮﺿﺎن‬
‫اﻟﺘﻔﺎﺿﻠﯿﺔ‬.
sin sin1 1
. . . cos sin 2 cos cos sin 2
2 2
1
sin 2 . . .
2
x x
L H S y y x x x e e x x
x R H S
 
       
  
‫اﻟﺘﻔﺎﺿﻠﯿﺔ‬ ‫اﻟﻤﻌﺎدﻟﺔ‬ ‫ﺗﺤﻘﻖ‬ ‫ﻟﻢ‬ ‫اﻟﺜﺎﻧﯿﺔ‬ ‫اﻟﺪاﻟﺔ‬ ‫ﻟﺬا‬‫ﻟﯿﺴ‬ ‫ﻓﮭﻲ‬‫ﺖ‬‫ﻟﮭﺎ‬ ‫ﺣﻼ‬.
255
3(‫اﻟﺜﺎﻟﺜﺔ‬ ‫اﻟﺪاﻟﺔ‬:cos siny x y x   ‫اﻟﺘﻔﺎﺿﻠﯿﺔ‬ ‫ﻟﻠﻤﻌﺎدﻟﺔ‬ ‫اﻷﯾﺴﺮ‬ ‫ﺑﺎﻟﻄﺮف‬ ‫ﯾﻌﻮﺿﺎن‬.
1 1
. . . cos sin 2 cos sin cos
2 2
L H S y y x x x x x       ( 2 sin cos )
cos . . .
x x
x R H S 
‫ﻟﮭﺎ‬ ‫ﺣﻼ‬ ‫ﻟﯿﺲ‬ ‫ﻓﮭﻲ‬ ‫اﻟﺘﻔﺎﺿﻠﯿﺔ‬ ‫اﻟﻤﻌﺎدﻟﺔ‬ ‫ﺗﺤﻘﻖ‬ ‫ﻟﻢ‬ ‫اﻟﺜﺎﻟﺜﺔ‬ ‫اﻟﺪاﻟﺔ‬ ‫ﻟﺬا‬.
Example10‫اﻟﺪاﻟﺔ‬ ‫ﻛﺎﻧﺖ‬ ‫إذا‬:
1
,
3
cx x
y e e c  ‫اﻟﺘﻔﺎﺿﻠﯿﺔ‬ ‫ﻟﻠﻤﻌﺎدﻟﺔ‬ ‫ﺣﻼ‬ ‫ھﻲ‬
2 2 xy y e ‫ﻗﯿﻤﺔ‬ ‫ﻓﺠﺪ‬c.
‫اﻟﺤﻞ‬:‫اﻟﺪاﻟﺔ‬
1
3
cx x
y e e ‫وﻣﺸﺘﻘﺘﮭﺎ‬
1
3
cx x
y c e e  ‫اﻟﺘﻔﺎﺿﻠﯿﺔ‬ ‫اﻟﻤﻌﺎدﻟﺔ‬ ‫ﺗﺤﻘﻖ‬:
1 1
2 2( )
3 3
1
3
x cx x cx x x
cx x
y y e c e e e e e
c e e
       

2
2
3
cx x
e e  x
e  2 0
0 , 2 0 2
cx
cx
c e
e c c
  
     
(11)Example‫اﻟﻤﻌﺎدﻟﺔ‬ ‫ﺑﺮھﻦ‬2
c
y
x
 ‫ﺣﯿﺚ‬ ، 0 ,x  ‫اﻟﺘﻔﺎﺿﻠﯿﺔ‬ ‫ﻟﻠﻤﻌﺎدﻟﺔ‬ ‫ﺣﻞ‬ ‫ھﻲ‬
1
(2 )
dy
y
dx x
 
‫اﻟﺤﻞ‬:2
2
dy c c
y
dx x x

   ‫ﺑﺎﻟﻤﻌﺎدﻟﺔ‬ ‫ﺗﻌﻮﺿﺎن‬‫اﻟﺘﻔﺎﺿﻠﯿﺔ‬:
2
1 1
(2 ) ( 2
dy c
y
dx x x x

    2
c
x
  2 2
)
c c
x x
 
 
‫ﻋ‬‫اﻟﻤﻄﻠﻮب‬ ‫ﻓﯿﺘﻢ‬ ‫ﺻﺎﺋﺒﺔ‬ ‫ﺒﺎرة‬.
(12)Example:‫أن‬ ‫ﺑﺮھﻦ‬ 
2
      1     ,    0y c x c  ‫اﻟﻤﻌﺎدﻟﺔ‬ ‫ﺣﻠﻮل‬ ‫ﻣﻦ‬ ‫ﺣﻼ‬ ‫ھﻮ‬ 1 2
dy
x y
dx
 
‫اﻟﺤﻞ‬: 
2
      1     , x -1  ,   0y c x c   ‫اﻟﻄﺮﻓﯿﻦ‬ ‫ﻟﻮﻏﺎرﯾﺘﻢ‬ ‫ﻧﺄﺧﺬ‬:      Ln  2   1   Ln y c Ln x  
‫اﻟﻄﺮﻓﯿﻦ‬ ‫ﻣﺸﺘﻘﺔ‬ ‫ﺑﺈﯾﺠﺎد‬‫ﻋﻠﻰ‬ ‫ﻧﺤﺼﻞ‬: 
1 2
1 2          0
1
dy dy
x y
dx y dx x
     

‫اﻟﻤﻄﻠﻮب‬ ‫ﯾﺘﻢ‬.
256
(13)Example:‫اﻟﺘﻔﺎﺿﻠﯿﺔ‬ ‫ﻟﻠﻤﻌﺎدﻟﺔ‬ ‫اﻟﻌﺎم‬ ‫اﻟﺤﻞ‬ ‫ﺟﺪ‬:
3
3 3
8
12sin 2
d y
x
dx x
 
‫اﻟﺤﻞ‬:‫ﯾﺘﻜﺎﻣ‬‫ﻞ‬‫اﻟﻄﺮﻓﯿﻦ‬‫ﻣﺘﺘﺎﻟﯿﺔ‬ ‫ﻣﺮات‬ ‫ﺛﻼث‬‫ﻟﻠﻤﺘﻐﯿﺮ‬ ‫ﺑﺎﻟﻨﺴﺒﺔ‬x
3
3 2
8
   12sin 2      
d y
dx x dx
dx x
 
   
 
 
(14)Example:‫ﻟﺘﻜﻦ‬y = f (x)‫ﻟﻠﺪاﻟ‬ ‫وﻟﯿﻜﻦ‬‫ﺔ‬f‫ھﻲ‬ ‫اﻧﻘﻼب‬ ‫ﻧﻘﻄﺔ‬( 1 , - 11 )‫ﺣﺮﺟﺔ‬ ‫ﻧﻘﻄﺔ‬ ‫وﻟﻠﺪاﻟﺔ‬
‫ﻋﻨﺪ‬x = -1‫ن‬ ‫ﻛﺎ‬ ‫ﻓﺈذا‬  6f x ‫اﻟﻤﻨﺤﻨﻲ‬ ‫ﻣﻌﺎدﻟﺔ‬ ‫ﻓﺠﺪ‬.
     6           6            6 x + c     f x f x dx dx f x       
‫ﻟﻜﻦ‬( 1 , - 11 )‫اﻧﻘﻼب‬ ‫ﻧﻘﻄﺔ‬    3 1 0f  ‫و‬ 1 1 11f 
    3 1 0f    6 x + cf x  1 6 +c = 0f  c = -
6  6 x -6f x 
‫اﻟﻄﺮﻓﯿﻦ‬ ‫ﻧﻜﺎﻣﻞ‬:  6 x -6f x 
      2
  6 x -6        3 x -6x + b  f x dx dx f x    
‫ﻋﻨﺪ‬x = -1‫ﺣﺮﺟﺔ‬ ‫ﻧﻘﻄﺔ‬ ‫ﺗﻮﺟﺪ‬: 2 1 0f   
‫ﻟﻜﻦ‬ 1 3 6    0    f b            9    b         2
3 x -6x -9   f x 
‫ﺑﻘﻲ‬‫ﺗﻄﺒﯿﻖ‬ 1‫ﻟﻼﻧﻘﻼب‬:  2
3 x -6x -9 f x ‫ﯾﺘﻜﺎﻣ‬‫ﻞ‬‫اﻟﻄﺮﻓﯿﻦ‬:
     2 3 2
  3 x -6x -9              =   x -3x -9x +hf x dx dx f x   
 1: 1   =   1-3-9 +h = -11+hf‫ﻟﻜﻦ‬ 1 1 11f    h = 0      -11= -11+ h    
‫اﻟﻤﻌﺎدﻟﺔ‬ ‫ﺗﻜﻮن‬:  3 2
  =   x -3x -9xf x
(15)Example:‫ﻟﻠﻤﻌﺎدﻟﺔ‬ ‫اﻟﻌﺎم‬ ‫اﻟﺤﻞ‬ ‫ﺟﺪ‬
3 2
2
1
   sec tan  secy x x x
x
   
‫اﻟﺤﻞ‬: 2
2
1
    sec   sec  tan    sec tany x x x x x
x
     
2 2
1 12 2 2 2
1 2 1 2
4 4
    6cos2  + c            6cos2  + c       
4 4
       3 sin 2  c             3 sin 2  c  
                                                     
d y d y
x dx x dx
dx x dx x
dy
x x c dx x x c dx
dx x x
 
        
 
 
           
 
 
 
1 2 3
3 1
             y =    cos2x + 4Ln x  + c  +  x + c          
2 2
x c
257
  2
1
    sec  tan
d
y x x
dx x
   ‫ﺑﺎﻟ‬ ‫اﻟﻄﺮﻓﯿﻦ‬ ‫ﻧﻜﺎﻣﻞ‬ ‫ﺛﻢ‬‫ﻟﻠﻤﺘﻐﯿﺮ‬ ‫ﻨﺴﺒﺔ‬x
   
 
   
2
1
1
1 2
1
    sec  tan      
1
           =   sec  tan                      
1
         =  sec  tan               
        sec
d
y dx x x dx dx
dx x
y x x c
x
y dx x x dx dx c dx
x
y x Ln x c x c
   
   
   
   
  
   
: (16)Example:‫ﻟﺘﻜﻦ‬y = f (x)‫ﻟﻠﺪاﻟﺔ‬ ‫وﻟﯿﻜﻦ‬f‫ھﻲ‬ ‫ﺣﺮﺟﺔ‬ ‫ﻧﻘﻄﺔ‬    1 , 4‫وﻛﺎن‬    6-6xf x 
‫اﻟﺪاﻟﺔ‬ ‫ﻣﻨﺤﻨﻲ‬ ‫ﻣﻌﺎدﻟﺔ‬ ‫ﻓﺠﺪ‬.
‫اﻟﺤﻞ‬:( - 1 , 4)‫ﺣﺮﺟﺔ‬ ‫ﻧﻘﻄﺔ‬‫ﻧﺤﺼﻞ‬‫ﻋﻠﻰ‬:‫ﻧﻄﺒﻖ‬ 2‫اﻟﺤﺮﺟﺔ‬ ‫ﻋﻨﺪ‬ ‫اﻷوﻟﻰ‬ ‫اﻟﻤﺸﺘﻘﺔ‬=0
‫ﻧﻄﺒﻖ‬ 1‫اﻟﻤﻨﺤﻨﻲ‬ ‫ﻣﻌﺎدﻟﺔ‬ ‫ﺗﺤﻘﻖ‬ ‫اﻟﻨﻘﻄﺔ‬.
     
   
   
2
1
2
1 1
2 2 3
2
2 2
      6-6x                 6 3
    1     6 3          0 9         6 3 9
   6 3 9                ( ) 3 9
( 1) 3 1 9         ( 1) 4        4 13     
d
f x dx dx f x x x c
dx
f c c f x x x
f x dx x x dx f x x x x c
f c but f then c
     
             
        
         
 
2 3
2
( ) 3 9 9
   = -9
          
c
tf x x x he equat onx i   
: (17)Example‫اﻟﺪاﻟﺔ‬ ‫ﻟﻤﻨﺤﻨﻲ‬ ‫اﻟﻤﻤﺎس‬ ‫ﻣﯿﻞ‬ ‫ﻛﺎن‬ ‫اذا‬f‫ﻧﻘﻄﺔ‬ ‫اﯾﺔ‬ ‫ﻋﻨﺪ‬ ,x y‫ﯾﺴﺎوي‬ ‫اﻟﺪاﻟﺔ‬ ‫ﻧﻘﻂ‬ ‫ﻣﻦ‬
2
6 6x x‫وﻛﺎﻧﺖ‬6‫اﻟ‬ ‫اﻟﻨﮭﺎﯾﺔ‬ ‫ﺗﻤﺜﻞ‬‫ﻌﻈﻤﻰ‬‫اﻟﻤﻨﺤﻨﻲ‬ ‫ﻣﻌﺎدﻟﺔ‬ ‫ﻓﺠﺪ‬ ، ‫اﻟﺪاﻟﺔ‬ ‫ﻟﻤﻨﺤﻨﻲ‬ ‫اﻟﻤﺤﻠﯿﺔ‬.
‫اﻟﺤﻞ‬:6=‫ﻧﮭﺎﯾﺔ‬‫ﻋﻈﻤﻰ‬‫ﻣﺤﻠﯿﺔ‬=‫إﺣﺪاﺛﻲ‬‫ﻗﯿﻤﺔ‬ ‫ﻋﻦ‬ ‫ﻓﻠﻨﺒﺤﺚ‬ ‫ﺻﺎدي‬x‫ﻟﮭﺎ‬ ‫اﻟﻤﻨﺎﺳﺒﺔ‬.
‫ﺣﺮﺟﺘﺎن‬ ‫ﻧﻘﻄﺘﺎن‬   2
( ) 6 6          0   6 (1 )          0       1f x x x x x x or x        
‫أن‬ ‫ﻧﻼﺣﻆ‬ ‫اﻷوﻟﻰ‬ ‫اﻟﻤﺸﺘﻘﺔ‬ ‫أﻋﺪاد‬ ‫ﺧﻂ‬ ‫ﻣﻦ‬
 1 , 6‫ﻣﺤﻠﯿﺔ‬ ‫ﻋﻈﻤﻰ‬ ‫ﻧﮭﺎﯾﺔ‬ ‫ﻧﻘﻄﺔ‬ ‫ھﻲ‬
‫اﻟﻤﻨﺤﻨﻲ‬ ‫ﻣﻌﺎدﻟﺔ‬ ‫ﺗﺤﻘﻖ‬ ‫وھﻲ‬.
258
 2 32 2
( ) 6 6        (    ( )  6 6        3 2  ) f x x x cf x x x f x dx x x dx        
‫اﻟﻨﻘﻄﺔ‬ ‫ﻧﻌﻮض‬ 1 , 6: 6  3 2        5c c  
‫ﻟ‬‫ھﻲ‬ ‫اﻟﻤﻨﺤﻨﻲ‬ ‫ﻣﻌﺎدﻟﺔ‬ ‫ﺗﻜﻮن‬ ‫ﺬا‬:
2 3
( ) 3 2 5f x x x  
: (17)Example‫ﻟﮫ‬ ‫اﻟﺬي‬ ‫اﻟﻤﻨﺤﻨﻲ‬ ‫ﻣﻌﺎدﻟﺔ‬ ‫ﺟﺪ‬
2
2
   12 4
d y
x
dx
 ‫اﻟﻤﺴﺘﻘﯿﻢ‬ ‫وﻛﺎن‬2 6x y ‫ﻋﻨﺪ‬ ‫ﻟﮫ‬ ‫ﻣﻤﺎﺳﺎ‬
‫اﻟﻨﻘﻄﺔ‬x = 2.
‫اﻟﺤﻞ‬:2 6x y ‫و‬x = 2‫ﻋﻠﻰ‬ ‫ﻧﺤﺼﻞ‬ ‫ﺑﺎﻟﺘﻌﻮﯾﺾ‬y = -2         2  2 6y   
‫ھﻲ‬ ‫اﻟﺘﻤﺎس‬ ‫ﻧﻘﻄﺔ‬: 2 ,  2
‫اﻟﻤﻨﺤﻨﻲ‬ ‫ﻣﻌﺎدﻟﺔ‬ ‫ﻣﻦ‬ ‫واﻟﻤﯿﻞ‬ ‫اﻟﻤﻤﺎس‬ ‫ﻣﻌﺎدﻟﺔ‬ ‫ﻣﻦ‬ ‫اﻟﻤﻤﺎس‬ ‫ﻣﯿﻞ‬ ‫ﻧﺠﺪ‬.
‫اﻟﻤﻤﺎس‬ ‫ﻣﻌﺎدﻟﺔ‬ ‫ﻣﻦ‬:12 6        2 6     2  
dy
x y y x S
dx
       
‫اﻟﻤﻨﺤﻨﻲ‬ ‫ﻣﻌﺎدﻟﺔ‬ ‫ﻣﻦ‬: 
2 2
2
2 2
   12 4             12 4           6  -4x + c  
d y d y dy
x dx x dx x
dx dx dx
      
   
2
2
     (2,   2)
  6 2  - 4 2 + c = 1 = S6 + c
a t
dy
dx 

1 2    2 16                     14S S cc     
 2 2 3 2
Hence     6  - 4x -14                dy = 6  - 4x -14       2 2 14
dy
x x dx y x x x b
dx
      
 2 ,  2‫اﻟﻤﻨﺤﻨﻲ‬ ‫ﻣﻌﺎدﻟﺔ‬ ‫ﺗﺤﻘﻖ‬:     
3 2
2 2 2 2 2 14 2              18b b      
‫ﺗﻜﻮن‬ ‫اﻟﻤﻨﺤﻨﻲ‬ ‫ﻣﻌﺎدﻟﺔ‬ ‫ﻟﺬا‬:
3 2
2 2 14 18y x x x   
KAMIL ALNASSIRY 259
‫ﺑﺘﻜﺎﻣ‬‫ﻞ‬‫اﻟﻤﻌﺎدﻟﺔ‬ ‫ﺗﺤﻞ‬ ‫اﻟﻄﺮﻓﯿﻦ‬
1st – order differential equation ‫ﺍﻷﻭﱃ‬ ‫ﺍﻟﺮﺗﺒﺔ‬ ‫ﻣﻦ‬ ‫ﺍﻟﺘﻔﺎﺿﻠﻴﺔ‬ ‫ﺍﳌﻌﺎﺩﻟﺔ‬.
‫ﻣﻨﮭﺎ‬ ‫ﻣﺨﺘﻠﻔﺔ‬ ‫ﺻﯿﻎ‬ ‫اﻟﻤﻌﺎدﻟﺔ‬ ‫ﻟﮭﺬه‬:
1. Derivative form: ‫اﻟﻤﺸﺘﻘﺔ‬ ‫ﺻﯿﻐﺔ‬
1 0( ) ( ) ( )
dy
a x a x y g x
dx
 
2. Differential form: ‫ﺻﯿﻐﺔ‬‫اﻟﺘﻔﺎﺿﻠ‬‫ﺔ‬
( , ) ( , ) 0M x y dy N x y dx 
3. General form: ‫اﻟﻌﺎﻣﺔ‬ ‫اﻟﺼﯿﻐﺔ‬
( , ) , , 0
dy dy
f x y Or f x y
dx dx
 
  
 
‫ﺍﻷﻭﱃ‬ ‫ﻭﺍﻟﺪﺭﺟﺔ‬ ‫ﺍﻷﻭﱃ‬ ‫ﺍﻟﺮﺗﺒﺔ‬ ‫ﻣﻦ‬ ‫ﺍﻟﺘﻔﺎﺿﻠﻴﺔ‬ ‫ﺍﳌﻌﺎﺩﻟﺔ‬ ‫ﺣﻞ‬ ‫ﻃﺮﻕ‬ ‫ﺑﻌﺾ‬.
Solution of Differential Equation
1(‫ﺍﳌﺘﻐﲑﺍﺕ‬ ‫ﻓﺼﻞ‬ ‫ﻃﺮﻳﻘﺔ‬Separation of variables
‫ﺑﺼﻮر‬ ‫اﻟﺘﻲ‬ ‫اﻟﺘﻔﺎﺿﻠﯿﺔ‬ ‫ﻓﺎﻟﻤﻌﺎدﻟﺔ‬‫ة‬:
‫ﺑﺎﻟﺸﻜﻞ‬ ‫اﻟﻤﺘﻐﯿﺮات‬ ‫ﻓﺼﻞ‬ ‫وﯾﻤﻜﻦ‬:
KAMIL ALNASSIRY 260
EXAMPLE 1 ‫اﻟﻤﻌﺎدﻟﺔ‬ ‫ﺣﻞ‬:
( ) ( )f x dx g y dy   ‫ﻣﺘﻐﯿﺮﯾﮭﺎ‬ ‫وﺑﻔﺼﻞ‬ ‫اﻟﺘﻔﺎﺿﻼت‬ ‫ﺑﺼﯿﻐﺔ‬ ‫اﻟﻤﻌﺎدﻟﺔ‬ ‫ﺗﻜﺘﺐ‬:
‫ﺛﻢ‬‫اﻟﻤﺸﺘﻘﺔ‬ ‫ﻣﻘﺎﺑﻼت‬ ‫ﻧﺴﺘﺨﺪم‬.
‫اﻟﺘﻔﺎﺿﻠﯿﺔ‬ ‫اﻟﻤﻌﺎدﻟﺔ‬
‫اﻟﻤﺘﻐﯿﺮات‬ ‫ﻓﺼﻞ‬
‫اﻟﻤﺸﺘﻘﺔ‬ ‫ﻣﻘﺎﺑﻼت‬
2EXAMPLE
2
y x y  ‫اﻟﺘﻔﺎﺿﻠﯿﺔ‬ ‫اﻟﻤﻌﺎدﻟﺔ‬ ‫ﺣﻞ‬
‫اﻟﺤﻞ‬:
 
3 3 3
1
1
2 2 2
1 1 1
3 3 3 3
1
1
y if y 0 =
1
e y = c
3
x c x x
c
dy
y x x dx dy x dx
y y
Ln y x c y e y e e

      
         
 
3 :EXAMPLE 2( 3) 0y dx xy dy   ‫اﻟﺘﻔﺎﺿﻠﯿﺔ‬ ‫اﻟﻤﻌﺎدﻟﺔ‬ ‫ﺣﻞ‬:
 2 3 2 3
2 3
: 2( 3) 0
2
2( 3)
3
2 2 3 3
3 3
2 3
1 2 ln( ) ln( ) 3 ln( 3)
3
ln( ) ln ( 3) ln ( 3)
( 3) y
S olution y dx xy dy
y
y dx xy dy dx dy
x y
y y
dx dy dx dy
x y x y
dx dy x c y y
x y
cx y y cx y y
cx y e
  
    

 
   
 
 
        
 
       
  
   
 
KAMIL ALNASSIRY 261
4 :EXAMPLE
2
3 tan (1 ) sec 0x x
e y dx e y dy   ‫اﻟﺘﻔﺎﺿﻠﯿﺔ‬ ‫اﻟﻤﻌﺎدﻟﺔ‬ ‫ﺣﻞ‬:
     
2
2 2
3
3
: 3 tan ( 1) sec
sec 3 3 sec
tan 1 1 tan
3 ln( 1) ln ln tan ln ( 1) ln tan
( 1) tan
x x
x x
x x
x x
x
Solution e y dx e y dy
y e e y
dy dx dx dy
y e e y
e c y c e y
c e y
  
   
 
       
  
 
5 :EXAMPLE
y x x ydy
e e
dx
 
  ‫اﻟﺘﻔﺎﺿﻠﯿﺔ‬ ‫اﻟﻤﻌﺎدﻟﺔ‬ ‫ﺣﻞ‬:
 
   
1
:
1
y x x y y x x
x x y x x
y
y x x y x x
dy dy
Solution e e e e e e e
dx dx
dy e e dx e dy e e dx
e
e e e c e e e c
 
  
   
    
     
       
 
3
6 : cos sin
dy
EXAMPLE Solve the differential equation x x
dx

3 3
2
3 2
: sin cos sin cos
cos 1
sin cos sec
2 2
dy
Solution x x dy x x dx
dx
x
dy x x dx y c y x c
 


   
       
 
2
7 :
dy
EXAMPLE Solve the differential equation x y xy
dx
 
3 2 3 2 3 2
1
1
2 2
2 3 2
1
1 1 1 1 1 1
3 2 3 2 3 2
: ( ) ( )
1 1 1
( )
3 2
y = c
x x c x x x x
c
dy dy
Solution y x x x x dx
dx y
dy x x dx Ln y x x c
y
y e y e e e
   
    
      
      
 
KAMIL ALNASSIRY 262
  8 : 1 1
dy
EXAMPLE Solve the differential equation x y
dx
  
 
2 2
1
1
2 2
1 1
2 2 2
1
1 1
2 2
1
: 1 ( 1)
1 1
1
ln 1 1 1
2
1 1
x x c x x
c
x x x x
dy
Solution x dx dy x dx
y y
y x x c y e y e e
y ce y ce
  
 
    
 
           
      
 
KAMIL ALNASSIRY 263
 
32
10: 4 1EXAMPLE Solve the differential equation y y y  
3
2 2
2 3
3
2 2
3 1
2 22 2
2
2
( 1)
: 4 ( 1) 4 4
( 1)
1
( 1) 4 ( 1) ( 2) 4
2
1 1
4 1
41
dy y y
Solution y y y dy dx
dx y
y
y y dy dx y x c
x c y
x cy
 

      

       
 
     

 
2
2
2
11: 2 1 4
1
y x dy
EXAMPLE Solve the differential equation y x
dxx
  

       
2
2
2
2 2 2 2
: 2 1 4
1
1 1 4
y x dy
Solution y x
dxx
d d
y x x y
dx dx
  

 
        
‫ﺑﺼﻮرة‬ ‫ﯾﻜﺘﺐ‬ ‫أن‬ ‫وﯾﻤﻜﻦ‬ ‫داﻟﺘﯿﻦ‬ ‫ﺿﺮب‬ ‫ﻣﺸﺘﻘﺔ‬ ‫ﯾﻤﺜﻞ‬ ‫اﻷﯾﺴﺮ‬ ‫اﻟﻄﺮف‬ ‫أن‬ ‫ﻻﺣﻆ‬:
2 2
1 4
d
y x
dx
   
 
2 2
1 4
d
y x dx dx
dx
        
 ‫اﻟﻄﺮﻓﯿﻦ‬ ‫ﻧﻜﺎﻣﻞ‬:
2 2
1 4y x x c the implicit function   
12: :EXAMPLE Solve the differential equation
‫اﻟﺤﻞ‬:
KAMIL ALNASSIRY 264
Initial value problem (IVP)
‫ﺍﺑﺘﺪﺍﺋﻴﺔ‬ ‫ﺑﻘﻴﻤﺔ‬ ‫ﺍﳌﺸﺮﻭﻃﺔ‬ ‫ﺍﳌﺴﺄﻟﺔ‬
13 :EXAMPLE
2
, 0 0x ydy
e y when x
dx

   ‫اﻟﺘﻔﺎﺿﻠﯿﺔ‬ ‫اﻟﻤﻌﺎدﻟﺔ‬ ‫ﺣﻞ‬:
2 2 2
2
2
2
2 2
, 0
:
1
, 0
2
1 3
1
2 2
1 3 3 2 2
2 2 2 3 3
y x x y x
y
y x
x
y x y y
x x
y
dy dy
Solution e e e dx e dy e dx
dx e
e e c when x
c c
e
e e e e y Ln the equation
e e


  

    
    
     

        
 
 
3 1
14: 2 ; 0
2
x
EXAMPLE Solve the differential equation y e y y if x   
KAMIL ALNASSIRY 265
2
3
13
2
2
2
: 2 2 2
2
1 1
4 0 4 4 8
2
1 1
4 8
4 8
x x x
x
x
x
dy y
Solution e dx y dy e dx e c
y
e c But y when x c c
y
e y the implicit function
y e


     

            

    

 
15:EXAMPLE Solve the differential equation
Apply the initial condition to get the value of c
16:EXAMPLE Solve the differential equation
KAMIL ALNASSIRY 266
Homogenous Differential Equations
‫اﻟﻤﺘﺠﺎﻧﺴﺔ‬ ‫اﻟﺘﻔﺎﺿﻠﯿﺔ‬ ‫اﻟﻤﻌﺎدﻟﺔ‬
‫ﺑﺼﻮﺭﺓ‬ ‫ﺍﻟﺘﻲ‬ ‫ﺍﻟﺘﻔﺎﺿﻠﻴﺔ‬ ‫ﺍﳌﻌﺎﺩﻟﺔ‬( , )
dy
f x y
dx
‫ﺣﻘﻘﺖ‬ ‫ﺍﺫﺍ‬ ‫ﻣﺘﺠﺎﻧﺴﺔ‬
‫ﺑﺎﻟﺼﯿﻐﺔ‬ ‫ﻛﺘﺎﺑﺘﮭﺎ‬ ‫ﯾﻤﻜﻦ‬ ‫اﻟﺘﻲ‬ ‫اﻟﻤﻌﺎدﻟﺔ‬ ‫ھﻲ‬ ‫أو‬
dy y
f
dx x
 
  
 
‫أﻣﺜﻠﺔ‬:‫اﻟﺘﺎﻟﯿﺔ‬ ‫اﻟﺘﻔﺎﺿﻠﯿﺔ‬ ‫اﻟﻤﻌﺎدﻻت‬ ‫ﺣﻞ‬:
2 2
Example1 : 2 0
dy
xy y x
dx
  
‫ﻋﻠﻰ‬ ‫واﻟﻤﻘﺎم‬ ‫اﻟﺒﺴﻂ‬ ‫ﻧﻘﺴﻢ‬ 2
0x 
2 2
:
dy y x
Soluton
dx xy


‫ﻣﺘﺠﺎﻧﺴﺔ‬ ‫ﻓﺎﻟﻤﻌﺎدﻟﺔ‬ ‫ﻟﺬا‬
2
1
( )
2
y
dy yx
f
ydx x
x
 
 
  
 
 
 
‫ﻧﻔﺮض‬......(1)y v x
....... (2)
dv
v x
dx
dy
dx
 
‫ﻧﻌﻮض‬)1(،)2(‫اﻟﻤﻌﺎدﻟﺔ‬ ‫ﻓﻲ‬:
2
1
2
dy
dx
y
x
y
x
 
 
  
 
 
 
2 2 2
2
2
2
12
2 2 2 2 2 2
2
1 1 1 2 1
2 2 2 1
2 1
n( 1) n n 1 n n
1
n n n n n
dv v dv v dv v v
v x x v x dv dx
dx v dx v dx v v x
v y
dv dx L v L x c L L x L c
v x x
y x y x y x
L L x L c L L c c
x x x
    
        

   
           
    
     
         
   
 
2 2
y x c x  
   , ,n
f tx ty t f x y for all t 
KAMIL ALNASSIRY 267
Sol. Let y ux dy udx xdu   
‫ﺑﺪل‬ ‫اﻟﺘﻔﺎﺿﻠﯿﺔ‬ ‫ﺑﺎﻟﻤﻌﺎدﻟﺔ‬ ‫ﻧﻌﻮض‬y‫وﺑﺪل‬dy
‫اﻟ‬ ‫أن‬ ‫ﻻﺣﻆ‬‫ﻣﺘﺠﺎﻧﺴﺔ‬ ‫ﻓﺎﻟﻤﻌﺎدﻟﺔ‬ ‫اﻟﺪرﺟﺔ‬ ‫ﻧﻔﺲ‬ ‫ﻣﻦ‬ ‫ھﻲ‬ ‫اﻟﺜﻼﺛﺔ‬ ‫ﺤﺪود‬
2 2
Example3 3 9: 4
dy
xy x y
dx
 
 
   
 
2 2
2 2 2
2 2 3 2 2 2
3 2 2 2 2 2
2
: 3 4 9 0
,
3 . 4 9
3 3 4 9
3 4 6 4 6
3
4 6
int
solution x y dy x y dx
let y ux dy udx x du
x ux udx x du x u x dx
x u dx ux du x dx u x dx
ux du x dx u x dx x u dx
udu dx
u x
egrating both sides
  
  
   
   
   




 2 2
Example 2 : 0y xy x dx xydy Homogenous   
   2 2 2 2 2
2 2
0u x ux x dx u x udx xdu
u x dx
    
2 2 2 2
ux dx x dx x u dx   3
0 0
( 1)
1
1
1 1 1 1 1 1
(1 )
1 1 1
ln( 1) ln ln 1 ln
ln 1 ln ln( )
y
c
x
x u du u dx dx u x du
u dx u x du
u
du dx
u x
u u
du dx du dx du dx
u x u x u x
y y
u u x c x c
x x
y y y
x c y x c or y x e
x x x

     
   


 
      
  
 
          
 
 
          
 
     
KAMIL ALNASSIRY 268
2
2
2
2
3
4 6
4 6
12
1
4
1
ln ln
4
1
ln 4 6 ln .
4
udu dx
let z u
u x
d z u du
dz dx
z x
z x c
y
x c
x
  


 
 
 
   
 
 
 
Example4: , 0
1
(
3
) .
3
x
x
x
y
dy yx
dy
f Hom
y x
dx x
ogenous
ydx x
x
y dy dv
let v y v x v x
x dx dx
y
 

  

     



‫ﻣﻦ‬ ‫ﻛﻞ‬ ‫ﺑﺪل‬ ‫اﻟﺘﻔﺎﺿﻠﯿﺔ‬ ‫ﺑﺎﻟﻤﻌﺎدﻟﺔ‬ ‫ﻧﻌﻮض‬
dy
dx
‫و‬
y
x
2 2
2 2
1
1 1
3 33
1 3 2 1
3 3
( 3) 1 ( 1 2 ) 1
( 1) ( 1)
( 1)
(
y
d y d v v d v vx v x x v
yd x d x v d x v
x
d v v v v d v v v
x x
d x v d x v
v v
d v d x d v d x
v x v x
v

 
      
 
    
    
 
    
  
 
 
2
( 1)v 
2
2 1
) in t
( 1)
d v d x eg ratin g b o th sid es
v x
 

KAMIL ALNASSIRY 269
2
2
1 2 1
( )
( 1) ( 1)
1 1
2 ( 1)
( 1)
2 2
( 1) ( 1)
1 1
2 2
( ) 1 ( )
1
dv dx
v v x
dv v dv dx
v x
Ln v Ln x c Ln x Ln v c
v v
y x
Ln x Ln c Ln y x c
yx y x
x


 
 

  


          
 
  
         
    
 
 
  
‫اﻟﺜﺎﻧﯿﺔ‬ ‫اﻟﺪرﺟﺔ‬ ‫ﻣﻦ‬ ‫اﻟﺤﺪود‬ ‫ﻛﻞ‬ ‫ﻷن‬ ‫ﻣﺘﺠﺎﻧﺴﺔ‬ ‫اﻟﻤﻌﺪﻟﺔ‬ 2 2
Exam 0ple5: y xy dx x dy  
 
  
2 2
2 2
2 2 2
. 0
,
( ) 0
solu y x y dx x dy
let y ux dy udx x du
ux x ux dx x udx x du
u x dx u x dx
  
  
    
  2
ux dx
2
( 0 )
3
2
2
2
0
0
int
1
ln ln
ln
x
x du
du dx
u dx x du
u x
egrating both sides
du dx x
x c x c
u x u y
x
y
c x
 
  
   

       

 

 
KAMIL ALNASSIRY 270
( 2 ) (2 3 )Example( 06) : x y dx x y d Homogenousy   
( 0)
( 2 ) (2 3 ) 0
1 2
( 2 )
( )
2 3 2 3
x
x y dx x y dy
y
dy x y dy yx
f
ydx x y dx x
x
 
    
 
        
 
y dy dv
let v y xv v x
x dx dx
     
 
2
2
2
2 2
1 2
1 2
2 32 3
1 2 1 2 2 3
2 3 2 3
(1 4 3 ) 2 3 1
2 3 1 4 3
int
2 3 1 1 4 6 1
1 4 3 2 1 4 3
1
ln(1 4
2
y
vdy dvx
v x
ydx dx v
x
dv v dv v v v
x v x
dx v dx v
dv v v v
x dv dx
dx v v v x
egrating both sides
v v
dv dx dv dx
v v x v v x
 
         

     
    
 
    
  
  
   
   
   

   
 
2
2
1
2 2 2
1
2
2 2 2
2 22
2 2 2 2
3 ) ln
ln(1 4 3 ) 2 ln 2 ln(1 4 3 ) ln( )
ln (1 4 3 ) ln 4 3
4 3 4 3c
v v x c
v v x c v v x c
y y
x c x xy y c
x x
x xy y e x xy y c
   
         
 
        
 
       
KAMIL ALNASSIRY 271
2
2 2
2 2
2
( 0 ) 2
2 2
( )E x a m p le ( 7 )
( )
1
0
( )
x
d y y x
y x d x x y d y
y x d
d x x y
y
x x y d y
d y yx f
yd x x
x
 
 

     


  


‫ﻣﺘﺠﺎﻧﺴﺔ‬ ‫اﻟﺘﻔﺎﺿﻠﯿﺔ‬ ‫اﻟﻤﻌﺎدﻟﺔ‬.
y dy
let v y xv
x dx
dv
v x
dx
    
2
2 22
2 2 2
2 2
2
( 4 )
2 2
1 1
1
1 1
1 1 2
1 1
1 2 1 2
1 4 1
4 1 2
1
(1 2 ) ( ) (1 2 ) 4 ( ) 4
4
(1
y
d y v d v vx x v
yd x v d x v
x
d v v v d v v
x x
d x v d x v
v v
d v d x d v d x
v x v x
v
d v d x
v x
L n v L n
d v
x c L n v
v x
d x
L n x c
L n
 

 
     
 
  
   

  
 
 
 


 

     
 
 
2 2
2 4 2 4
2
4 2 2
2 4
1
2 ) ( ) ( ) (1 2 ) ( )
( 1 2 ) 2
y y c
L n L n c L n L n
x x x x
y c
x x y c
x x
     
    
 
2
3
2
3
3 3
3 3
2
E x am p le(8)
( )
( )
( )
H o mx y d x x o gen ou s
dy x y
y x dy x y d
y
x
d
dx y
y
x
 
    

KAMIL ALNASSIRY 272
3
( 0)
3
( )
( ) 1
x
y
dy yx f
ydx x
x
 
  

‫ﻣﺘﺠﺎﻧﺴﺔ‬ ‫اﻟﺘﻔﺎﺿﻠﯿﺔ‬ ‫اﻟﻤﻌﺎدﻟﺔ‬.
y dy dv
let v y xv v x
x dx dx
     
3
3
3
( )
1( ) 1
1
y
d y d v vx v x
yd x d x v
x
d v v d v v
x v x
d x v d x
    

   

4
v v 
3 3
3 3
1
3
13
3
3
4 4
4 4
3
1 13 3
3 3
1 13 3
3
13
3 3
3
1
1 1 1 1 1
( )
1 1 1 1 1 1
( ) ( )
1
ln ln ln ( ) ln
3 3
ln ( ) ln ln ( )
3 3
ln
3
x x
c y y
x
c
y
v
v
d v d x d v d x
v x v v x
d v d x d v d x
v v x v v x
y x
v x c x c
v x y
y x y x
x c x c
x y x y
x
y c o r
y
y e e y c e
y e




    

 
    
        
      
 
   

 
2
2 2
2
2
2
2
E xam p le(9)
( )
(
( ) 0
) ( )
dy x y y
x y y dx x dy
dx x
dy y y y
f
dx
y x y d x x d
x x x
y

    
  


 
KAMIL ALNASSIRY 273
‫ﻣﺘﺠﺎﻧﺴﺔ‬ ‫اﻟﺘﻔﺎﺿﻠﯿﺔ‬ ‫اﻟﻤﻌﺎدﻟﺔ‬.
y dy dv
let v y xv v x
x dx dx
     
2
( )
dy y y
v
dx x x
  
dv
x v
dx
  2
2 2
1 1
1
ln ln ln( )
ln( )
v
dv dx
dv dx
v x v x
x x
x c cx y
v y cx
 

   
     
 
(1 2 )Ex 2 (ample(10) : 1 )
x x
y y x
e dx e dy o
y
   
‫ﺗﻔﺎﺿﻠﯿﺔ‬ ‫ﻣﻌﺎدﻟﺔ‬ ‫ھﻲ‬ ‫اﻟﻤﻌﺎدﻟﺔ‬‫ﻣﺘﺠﺎﻧﺴﺔ‬:
(1 2 ) 2 (1 )
(1 2 )( ) 2 (1 )
2 2
x x
y y
v v
v v
x
let v x y v d x y d v v d y
y
x
e d x e d y o
y
e y d v v d y e v d y
y d v v d y y e d v v e d y
     
    
    
   2 2v v
e d y v e d y  0
2 2
2 ) (1 2 )
1 2 1 1 2 1
2 2
( 2 ) ( ) ( )
( 2 ) ( ) ( )
( 2 ) ( )
( 2 ) ( 2 )
v v
v v
v v
v v
v
v
v
x
v y
v d y e d y y d v y e d v
v e d y y e d v
e e
d v d y d v d y
v e y v e y
L n v e L n y L n c
L n v e L n y L n c
L n y v e L n c
x
y v e c y e c
y

   
     
   
  
 
    
   
    
    
 
KAMIL ALNASSIRY 274
‫ﺗﺪرﯾﺐ‬)1(
‫س‬1:‫اﻟﺪوال‬ ‫ﻣﻦ‬ ‫ﻛﻼ‬ ‫ان‬ ‫ﺑﯿﻦ‬:1 2) 3 ; ) 2 ; )x x
a y x b y e c y C e C x   
‫اﻟﺘﻔﺎﺿﻠﯿﺔ‬ ‫ﻟﻠﻤﻌﺎدﻟﺔ‬ ‫ﺣﻞ‬ ‫ھﻲ‬:(1 ) 0y x y x y    
‫س‬2:‫أن‬ ‫ﺑﺮھﻦ‬sin cos cosy x x x ‫اﻟﺘﻔﺎﺿﻠﯿﺔ‬ ‫ﻟﻠﻤﻌﺎدﻟﺔ‬ ‫ﺣﻞ‬ ‫ھﻲ‬
2
tan cos , (0) 1 int
2 2
y y x x y on the erval x
 
     
‫س‬3:‫أن‬ ‫ﺑﺮھﻦ‬
1
, 0y x x
x
  ‫اﻟﺘﻔﺎﺿﻠﯿﺔ‬ ‫ﻟﻠﻤﻌﺎدﻟﺔ‬ ‫ﺣﻞ‬ ‫ھﻮ‬2x y y x  
‫س‬4:‫اﻟﺘﺎﻟﯿﺔ‬ ‫اﻟﺘﻔﺎﺿﻠﯿﺔ‬ ‫اﻟﻤﻌﺎدﻻت‬ ‫ﺣﻞ‬ ‫ﺟﺪ‬:
1(2 2
2 ( )xy dy x y dx 
2(sin ( ) cos ( ) 0
y y
x ydx xdy y xdy ydx
x x
   
3(2 2
0y dx x dy 
4(3 3 2
( ) 3 0x y dx x y dy  
5(( sin cos ) cos 0
y y y
x y dx dy
x x x
  
6(
y
x
dy y
e
dx x
 
‫اﻷﺟﻮﺑﺔ‬:
1(3 2
( 3 ) 1C x x y 
2(sin
y
xy C
x

3(y x Cxy  
4(4 3
4x x y C 
5(sin
y
x C
x

6(
y
x
C
e Ln
x


KAMIL ALNASSIRY 275
‫ﺗﺪرﯾﺐ‬)2: (‫اﻟﺘﺎﻟﯿﺔ‬ ‫اﻟﺘﻔﺎﺿﻠﯿﺔ‬ ‫اﻟﻤﻌﺎدﻟﺔ‬ ‫ﺣﻞ‬ ‫ﺟﺪ‬) :‫ﻛﺘﺎب‬ ‫ﻣﻦ‬Stewart Calculus(
‫ﺑـ‬ ‫اﻟﻤﺆﺷﺮة‬ ‫اﻷﺳﺌﻠﺔ‬*‫اﻟﻌﻠﻤﻲ‬ ‫اﻟﺴﺎدس‬ ‫ﻣﻨﮭﺎج‬ ‫ﻓﻲ‬ ‫ﺣﻠﮭﺎ‬ ‫اﻟﻀﺮوري‬ ‫ﻣﻦ‬ ‫ﻟﯿﺲ‬.
‫ﺟﺪ‬‫ﻧﻘﻄﺔ‬ ‫أﯾﺔ‬ ‫ﻋﻨﺪ‬ ‫ﻣﯿﻠﮫ‬ ‫اﻟﺬي‬ ‫اﻟﻤﻨﺤﻨﻲ‬ ‫ﻣﻌﺎدﻟﺔ‬( x , y )‫ﯾﺴﺎوي‬ ‫ﻧﻘﻄﮫ‬ ‫ﻣﻦ‬19.
3
4 x y‫ﯾﺴﺎوي‬ ‫اﻟﺼﺎدي‬ ‫ﻣﻘﻄﻌﮫ‬ ‫واﻟﺬي‬7.
‫اﻟﻨﻘﻄﺔ‬ ‫ﻣﻦ‬ ‫اﻟﻤﺎر‬ ‫اﻟﻤﻨﺤﻨﻲ‬ ‫ﻣﻌﺎدﻟﺔ‬ ‫ﺟﺪ‬( 1 , 1 )‫ﻧﻘﻄﺔ‬ ‫أﯾﺔ‬ ‫ﻋﻨﺪ‬ ‫ﻣﯿﻠﮫ‬(x , y )20.
‫ﯾﺴﺎوي‬2 3
/y x
KAMIL ALNASSIRY 276
‫ﺗﺪرﯾﺐ‬)3(‫اﻟﻤﺘﻐﯿﺮات‬ ‫ﻓﺼﻞ‬ ‫ﻋﻠﻰ‬)‫ﻣﻨﻘﻮل‬(
   
   
 
2
2
2
1 2 1 2
3 4 3 e
5 cos
x y y
dy dy
xy x y
dx dx
dy dy
e x
dx dx
dy
y y
dx
 
 
 
  
    
   
 
2
sin
2
6
7 sec 8
9 1 10 2 0
11 cos
y x
x y
y x
x y
dy
x e
dx
dy dy e
x e
dx dx e
dy
y x dy y dx
dx
dy
y y
dx





 
   
  
 
       
   
 
2
2
2 2 2
2
3 1
12
1
13 sec sec 14 cos sin 0
15 2 16 y = xye
17 sec cos 0
y x
y xdy
dx y
y y y x y x dy x dx
y xe x
x dy x y dx



   
  
   
   
 
2
2
2
2
18 2 3 csc 0
19 20
21
1
y
x
x
x y
x dx y x dy
dy e dy
dx xy dx
dx e
y
dy e
e

  
 
 


KAMIL ALNASSIRY 277
======================================
 1
 2
 3
 4
 5
KAMIL ALNASSIRY 278
 7
 6
 8
 9
KAMIL ALNASSIRY 279
 10
 11
 12
 13
 14
KAMIL ALNASSIRY 280
 15
 16
 17
 18
KAMIL ALNASSIRY 281
 19
 20
 21
Kamil Alnassiry -282-
A
X
YS
B
M
O
1
 AB X

 2X
 1XAB

‫ﺣﺮﻑ‬ ‫ﺃﻭ‬ ‫ﻣﺸﱰﻛﺔ‬ ‫ﺣﺎﻓﺔ‬
Dihedral angle
2 Y XAB

   X AB Y 

AB

3‫ﺔ‬‫اﻟﺰاوﯾ‬ ‫ﺮأ‬‫ﺗﻘ‬
‫اﻟﺰوﺟﯿﺔ‬:M AB K 

]‫ﻣﺸﱰﻙ‬ ‫ﺣﺮﻑ‬ ‫ﳍﻤﺎ‬ ‫ﳐﺘﻠﻔﲔ‬ ‫ﻣﺴﺘﻮﻳﲔ‬ ‫ﻭﺟﻬﻲ‬ ‫ﺍﲢﺎﺩ‬ ‫ﻫﻲ‬[
‫ﺍﻟﺰﻭﺟﻴﺔ‬ ‫ﻟﻠﺰﺍﻭﻳﺔ‬ ‫ﺍﻟﻌﺎﺋﺪﺓ‬ ‫ﺍﻟﺰﺍﻭﻳﺔ‬ ‫ﺗﻌﺮﻳﻒ‬
AB

O AB

OM AB
 
 OM X

OS AB
 
 OS Y

MOSAB

A
B
X
Y
2
M
3
A
B
K
Kamil Alnassiry -283-
1 AB MOS

2
3
4(‫ﺍﳌﺴﺘﻮﻳﲔ‬ ‫ﻓﺎﻥ‬ ‫ﻗﺎﺋﻤﺔ‬ ‫ﺍﻟﺰﻭﺟﻴﺔ‬ ‫ﺍﻟﺰﺍﻭﻳﺔ‬ ‫ﻛﺎﻧﺖ‬ ‫ﻭﺇﺫﺍ‬ ‫ﻗﺎﺋﻤﺔ‬ ‫ﺍﻟﺰﻭﺟﻴﺔ‬ ‫ﺍﻟﺰﺍﻭﻳﺔ‬ ‫ﻓﺎﻥ‬ ‫ﻣﺴﺘﻮﻳﺎﻥ‬ ‫ﺗﻌﺎﻣﺪ‬ ‫ﺇﺫﺍ‬
‫ﻣﺘﻌﺎﻣﺪﺍﻥ‬.
‫ﻧﺘﻴﺠﺘﻬﺎ‬ ‫ﻭ‬ ‫ﺍﻟﺜﻼﺛﺔ‬ ‫ﺍﻷﻋﻤﺪﺓ‬ ‫ﻣﱪﻫﻨﺔ‬:
 L X

1
 A X
1
 K X
‫ﺟﻴﺪﺍ‬ ‫ﻭﺍﺣﻔﻈﻬﺎ‬ ‫ﺃﻓﻬﻤﻬﺎ‬
L

K
AM
X
 
 
 
K X
M L
K
A
M L
A 

 

 
 
 
 
 
A X
MK L
A L
K
M


 

 
 
‫ﺍﻟﻨﺎﺻﺮﻱ‬‫ﻣﻮﺳﻰ‬‫ﻛﺎﻣﻞ‬
284
E
X
Y
A
B
C
D
THEOREM 7
   Y X   X Y A B 

 D C Y

DC AB
 
 DC X

‫ﺍﳌﻌﻄﻴﺎﺕ‬Given   Y X   X Y AB 

 DC Y

DC AB
 
D
‫ﺇﺛﺒﺎﺗﻪ‬ ‫ﺍﳌﻄﻠﻮﺏ‬Prove DC X

‫ﺍﻟﱪﻫﺎﻥ‬Proof:
STATEMENTSREASONS
1DXDE

DE AB
 
2DC AB
 
 DC Y

DE AB
 
 DE X

3CDEAB

4   Y X
AB

90
5CDE90
‫ﺍﻟﻨﺎﺻﺮﻱ‬‫ﻣﻮﺳﻰ‬‫ﻛﺎﻣﻞ‬
285
6CD DE
 
7CD DE
 
ABCD 
 
 ,AB DE X
 
8 XCD 

Q.E.D.
Corollary7
   Y X
   ,C Y CD X 

 CD Y

   Y X C Y ,CD X

 CD Y

‫ﺍﻟﻨﺎﺻﺮﻱ‬‫ﻣﻮﺳﻰ‬‫ﻛﺎﻣﻞ‬
286
STATEMENTS
REASONS
1   X Y AB 

2   ;AB X AB Y 
 
3C YCE AB
 
‫ﻣﻌﻠﻮﻣﺔ‬ ‫ﻧﻘﻄﺔ‬ ‫ﻣﻦ‬
4 CE X

5 CD X

6CD CE
 
‫ﻧﻘﻄﺔ‬ ‫ﻣﻦ‬
‫ﻣﻌﻠﻮﻣﺔ‬
7 CE Y

8 CD Y

Q.E.D.
2‫ﻣﱪﻫﻨﺔ‬ ‫ﻧﺘﻴﺠﺔ‬ ‫ﺍﺳﺘﻌﻤﺎﻝ‬ ‫ﻃﺮﻳﻘﺔ‬)7(
C AB

 AB Y

   Y X CD X

 CD Y

‫ﺍﻟﻨﺎﺻﺮﻱ‬‫ﻣﻮﺳﻰ‬‫ﻛﺎﻣﻞ‬
287
D
C
X
Y
B
A
E
8
 AB X

B AB Y

   Y X
 AB X

B AB Y

   Y X
STATEMENTS
REASONS
1   X Y DC


2   ;DC X DC X 
 
3   B ; BX B Y DC  


4B XBE DC
 
5 AB Y

 AB X

6AB DC
 
1
7BE DC
 
 BE X

AB DC
 
 AB Y

8ABE
DC

9 AB X

10AB BE
 
11ABE= 90o
SAB BE
 
‫ﺍﻟﻨﺎﺻﺮﻱ‬‫ﻣﻮﺳﻰ‬‫ﻛﺎﻣﻞ‬
288
X
A
B
C
D
Y
•• •
•
12
    90o
Y DC X  

13   Y X
Q.E.D.
3
4;AB CD
 
 ,AB CD X
 
 ,AB CD Y
 
   X Y
‫ﻭﺣﻴﺪ‬
 AB X

     ; ; ;......Y H ZAB

       ; ; ;......Y H Z X
‫ﺍﻟﻨﺎﺻﺮﻱ‬‫ﻣﻮﺳﻰ‬‫ﻛﺎﻣﻞ‬
289
9
AB

 X
AB

 X
AB 

 X
AB

X
STATEMENTSREASONS
1C AB

2 CE X

3,AB CE
 
 Y
4CE

 Y CE X

5   Y X8
6 Y ZAB

   Z X
7 CE X

2
8 CE Z

9   ,CE Z AB Z 
 
10   ,CE Y AB Y 
 
3
11   Y Z4
Q.E.D.
‫ﺍﻟﻨﺎﺻﺮﻱ‬‫ﻣﻮﺳﻰ‬‫ﻛﺎﻣﻞ‬
290
9
1   X Y AB 

 Z
2       ,X Z Y Z 
 AB Z

1 AB Z

2AB

 Z
   ,X YAB

 Z
9
AB

 Z
AB

 ZQ.E.D.
-291-
1ABC30O
s A 5BD cm
D AC B 

5BD cm
STATEMENTS
REASONS
1
2BE A CB 
 
3 D CB A B

4A C

DE

5AEBE
6
1
30 5
2 10
o EB EB
Sin EB
AB
    
7DBEB
8
5
tan 1
5
DB
DEB
BE
  
945o
s BED 
10D AC B 

45o
Q.E.D.
D
C
E
A
B
H
30
10
5
-292-
2ABC AF ABC
BD CFBE CA
1 DE CAF
2ED CF
 XCAF
 YABC
1   ,AF X AF Y    X Y
2   X Y BE YBE CA
 BE X
3 BE X
BD CFED CF
3   X Y AB X

,BD AB BC AB 
,BD BC Y
,D C
 CD X
H
,B D B C
 
1,A B B D A B B C 
   
 AB H

2 AB H

 BA X

   X H
3   X H   X Y   X H CD 

 CD X

X
Y E A
D
B
C
F
YD
C
AB
H
H
X
-293-
 6 1
1
DCE
   X AB Y 

 DCE AB

,DC AB EC AB 
   
 D CE AB

2
 AB Y

 AB X


   X Y
 AB X

1 AB X

2 AB X  

1 AB X

   X Y
2 AB X  

 M XMMH AB
 

 AB X


 MH X

 AB Y

 MH Y

 MH X

 MH Y

   X Y 
E
A
B
C
D
Y
X

C
B
H
D
A
B
Y
A
M
X

-294-
3
   X y   Z X
   Z Y
   Z X
 Z X
   Z X AB 

HAB

 ,HM AB HM Z 
  
   Z X
 HM X 

   X y
 HM Y 

   ,HM Y HM Z 
 
   Z Y 
4, , ,A B C DAB ACE ABAED
A BC D 

CD BD
AEDA BC D 

,AE BC DE BC 
   
,AEC AEBE
AC ABAE
AEC AEB  BE EC
,DEC DEBE
BE ECDE
AEC AEB  
DB DC


X
Y
Z
H
M
AB
CD
A
B
C
D
E
-295-
5
 X   Y Z AB 

 CD Z

 CE Y

,CD CE
 
 X
 AB X

 H,CD CE
 
   ,CE X CD X
 
  
   H X
   ,CD H CD Z 
 

   H Z 
   H Y   Y Z AB 

 AB H

   H X
 AB X 

6ABACD
   CDA CDB
1 AC ABD
AD BD
DC BDAABD
2BD DC
BD DA
 BD CDA
 BD BDC
   BDC CDA
A
X
Y
Z
H
E
B
C
D
B
D
A
C
-296-

X
‫ﻣﺴﺘﻮ‬ ‫ﻋﻠﻰ‬ ‫ﺍﻟﻌﻤﻮﺩﻱ‬ ‫ﺍﻹﺳﻘﺎﻁ‬
1
A AC XCCA X
2
1 AC XC
 BD XD
CD XAB
3Inclied Line
4Angle of Inclination
90 > > 0o

2AB

 XB AC XC
BC

AB

 X
5
2CosBC AB  
6
X
-297-
4
 XABC AB X
XDHAB
HEBC
DH HE
DHAB
HEBC
, ,BH AD CE X
,AD BH CE BH 
 Z,AD BH
 Y,CE BH
   Z X DH
 AB X
AB‫ﺍﻟﺘﻘﻄﻊ‬ ‫ﺧﻂ‬ ‫ﻳﻮﺍﺯﻱ‬DH
 BH X
BH DH
DHAB 
BH AB‫ﺍﻟﻮﺍﺣﺪ‬ ‫ﺍﳌﺴﺘﻮﻯ‬ ‫ﰲ‬
BC AB
 AB Y‫ﻣﺴﺘﻘﻴﻤﲔ‬‫ﻣﺘﻘﺎﻃﻌﲔ‬
DHAB 
DH Y 
DHHE 
X
D
H
E
C
BA
Y
Z
-298-
5
ABC13AB AC cm 10BC cm BC X
 X60o
1ABC X
2
 A XAD AD XD
CDAC X
BDAB

 X
BC X
DBCABC X1
 A X AD X
AE BC
DE BC
A E DBC
BC60o
60o
S A E D 
A B CAE BC
5B E E C cm 
AEBE2 2
13 5 12A E cm  
ADED
60o ED
Cos
AE

1
ED = 6 cm
2 12
ED
  
1
Triangle BCD = ( ) ( )
2
AreaOf BC ED
1
(10 )(6 )
2
A 2
30 ( )A cm
BCDABC60o
Cos
60
A
B
C
D
E
13
5
5
X
-299-
‫ﺗﺪﺭﻳﺐ‬ 6 2
1
 AB X
AB XAB
,A B X,C D
CD AB X
AC BD
 AB X
AB ‫ﺧ‬ ‫ﻳﻮﺍﺯﻱ‬‫ﺍﻟﺘﻘﺎﻃﻊ‬ ‫ﻂ‬CD
ABDC
A B C D
2
   ,X Y
L

   ,X Y
 XA YB
L

   ,X Y
DL

D DE X

E
   X Y
 DE Y

F
AE

L

 X
DAEL

 X
Y
X
D
A B
C
X
Y
A E
D
F
B
L

Z
-300-
DBFL

 Y
 Z,DB DF
 Z   ,X Y,AE BF
DAEDBF
3
AB CD
 
,AB CD
 
 X
,B D
AB

 XCD

 X
A AE XE
C CF XF
FD CD X
EB AB X
BAB X
DCD X
 Y,AB AE
 Z,CD CF
AB CD
 

AE CF
   Y Z ‫ﻣﺴﺘﻮﻳﻴﻬﻤ‬ ‫ﺗﻮﺍﺯﻯ‬‫ﺎ‬
   Y X EB   Z X FD
,FD EB
AB CD
 

DB‫ﺍﻟﺰ‬ ‫ﺗﺴﺎﻭﺕ‬‫ﺍ‬‫ﺑﺎﻟﻘﻴﺎﺱ‬ ‫ﻭﻳﺘﺎﻥ‬
X
Y
Z
A
B
C
D
E
F
-301-
4
,AB AC X
A B A C1
AB X2AC X
12
1AB X
 AD X
,AD BD AD DC 
,ADB ADCC
A B A CAD
0
AB AC
AD AD
 
0
AD AD
AB AC
 2= Sin
AD
AC
1= Sin
AD
AB

1 2<Sin Sin 0 ,
2
 
 
 
‫ﺩﺍﻟﺔ‬‫ﻣﺘﺰﺍﻳﺪﺓ‬
21
5
,AB AC X1AB X
2AC X12
A B A C
1AB X AD X
,AD BD AD BC 
,ADB ADCC
122 1>Sin Sin 
AD AD
AC AB

AC AB
AD AD

AD
AC AB
X
D
C
A
B 1 2
-302-
6
1AB X
 BC X2
,AB BC
12
AAE BCE
 BC X E BC E X
1AB X
 AD X
 D X
ADA X
AEAE X
AE AD 
AB
AE AD
AB AB
2 1= Sin , = Sin
AE AD
AB AB
 
2 1Sin Sin 
 0 ,90o
2 1 2 1Sin Sin >    
2 1> 
X
2
A
B
C
D
E
1
303
‫ﳌﺴﺎﺣﺎﺕ‬ ‫ﻗﻮﺍﻧﲔ‬‫ﺍﻷﺷﻜﺎﻝ‬ ‫ﺑﻌﺾ‬ ‫ﻭﳊﺠﻮﻡ‬
Cube
3
V x
2
6A x 1
3
Pyramid
V b h 
x
x
x
Rectangular prism
x
y
z
2( ) 2
V x y z
A x y z xy

   
h
b
2
2 +2A r h r  
l
2
2
1
:
3
1
( 2 )
2
Cone V r h
A r l r

 

  
304
‫ﺍﳌﻨﺘﻈﻢ‬ ‫ﺍﻷﺭﺑﻌﺔ‬ ‫ﺍﻟﻮﺟﻮﻩ‬ ‫ﺫﻭ‬ ‫ﺗﻌﺮﻳﻒ‬:
4
60o
2 21 1 1 3
60
3
42 2 2 2
o
A a b Sin a a Sin a a     
 
22 23
4 3
4
sA a a unit  
‫ﺗﻌﺮﻳﻒ‬:‫ﺍﻟﻘﺎﻋﺪﺓ‬ ‫ﻭﻳﻘﻄﻊ‬ ‫ﺍﻟﺮﺃﺱ‬ ‫ﻣﻦ‬ ‫ﳝﺮ‬ ‫ﲟﺴﺘﻮ‬ ‫ﻗﺎﺋﻢ‬ ‫ﺩﺍﺋﻲ‬ ‫ﳐﺮﻭﻁ‬ ‫ﻗﻄﻊ‬ ‫ﺇﺫﺍ‬
‫ﻛﺎﻣﻠﺔ‬ ‫ﺩﻭﺭﺓ‬
1
2
3
4
5
a
a
a
a
a
305
r
h
‫ﲤﺎﺭﻳﻦ‬ 6 1
1 2
724 cm 2
132 cm
 2
110 cm
=xyz
132x y = 132 ......(1) 
110z y = 110 ......(2) 
724
2
 2 x z + 2 y z + 2 x y = 724 2 z + 2x y = 724......(3)
x z + y z + x y = 362
x z +11
x y   
 
0 +132 = 362 120........(3)x z 
3
x y 132 12 12
= z .....(4)
110 10 10
x
x
z y z
   
21 2
1 2 0 1 2 0 1 0 0 1 0
1 0
x z z z z z       
z y = 110 ......(2) 10 110 11y y   
x y = 132 ......(1) x 11= 132 12x   
10 , 11 ,12 cm
2 
2
400 cm 
3
2000 cm
 
2
. 400L A cm 
3
2000V cm
r , h
400
 
 
2
400 2 200 = ....... 1r h r h

 

   
2
2000V r h    2
r   2
....2000 = 2...r hh 
 2
2000 2002000 = 20 1000 = 20r rr h hr r h        
x
y
z
306
3100cm8cm
1cm
VVV
2 2 2 2
2 1
3
8 100 7 100
(64 49) 100 1500 ( )
V r h r h
cm
   
 
     
   
4l unit 
3
32
12
l
unit
A- B C Dl 
 
3
32
12
l
V unit
60o
2 21 1 1 3
60
3
42 2 2 2
o
A a b Sin a a Sin a a     M
UD BC U D B 
NC DBN C D
BN , C UM
MCDBA M
AMh
MUBU
 1 / 23
30 =
2
o lUB
C os
M B x
 
1
3
x l 
l
30
x
A
h
BC
D
1
2
l
1
2
l
1
2
l
1
2
l
MN
U
7
8
100
307
M AMB
     
2 2 2 2 2 21
3
2
3
A B A M B M l h l h l     
31 1
3 3
V b h  2 2
4 3
l
 
  
 
 
 
3
32
1 2
l
l U n it
515 cm
8 cm
102 cm2
12
MCh = 15cm
BD8cm
MBD102cm2
EC BD 
EBD
MBD
EM BD
1MCEC
     
2 2 2
ME MC EC      
2 2 2
1 15 87 EE MM   
2MBD       
1 1
102= 1712
2 2
MBDBD A BD MEBD      
EBDBE = ED= 6 cm 
308
4
10
C
D B
3CEDE
           
2 2 2 2 2 2
6 8r = 10 r DC ED EC     
4MCDC
           
2 2 2 2 2 2
cm 15 10l = 325 l MD MC CD     
r = 10h = 15l = 325
   
2 321 1
10 15 = 500
3 3
V r h cm     
 
2
10 325A rl cm  
 
22
r 10 325 100A rl cm      
610 cm4 cm
C10cmC4 cm
CDBD
     
2 2 2
CB CD DB 
     
2 2 2
10 4 DB 6DB cm 
A
 
22
36A r cm  
309
7
3
4
r
h
b
3
4
r h
, , ,A B D E
b
h r
1 24V V
1
3
b
1
4
3
h b   
4 4
h r
h h r
 
  
 
  
4 3
3
r = h
4
r h  
D
r
h
h - r
b
C
A
B
E

ملزمة الرياضيات لشيخ الرياضيات - كامل موسى الناصري

  • 1.
    ‫ﺍﻟﻨﺎﺻﺮﻱ‬‫ﻣﻮﺳﻰ‬‫ﻛﺎﻣﻞ‬)1( ‫ﺍﳌﺮﻛﺒﺔ‬ ‫ﺃﻷﻋﺪﺍﺩ‬The ComplexNumbers ‫اﻟﻤﻘﺪﻣﺔ‬:‫اﻟﺜﺎﻧﯿﺔ‬ ‫اﻟﺪرﺟﺔ‬ ‫ﻣﻌﺎدﻟﺔ‬ ‫ﺣﻞ‬ ‫ﻓﻲ‬ ‫ﺳﺎﺑﻘﺎ‬ ‫ﺗﻌﻠﻤﺖ‬‫إذا‬‫ﻛﺎن‬D‫ھﻮ‬ ‫واﻟﺬي‬ ‫اﻟﻤﻤﯿﺰ‬ ‫اﻟﻤﻘﺪار‬ 2 4b a c‫ﺳﺎﻟﺒﺎ‬ ‫ﻓ‬‫ﻠ‬‫ﻓﻲ‬ ‫ﺣﻞ‬ ‫ﻟﻠﻤﻌﺎدﻟﺔ‬ ‫ﯿﺲ‬)‫اﻟﺤﻘﯿﻘﯿﺔ‬ ‫اﻷﻋﺪاد‬ ‫ﻣﺠﻤﻮﻋﺔ‬(.‫اﻟﺜﺎﻧ‬ ‫اﻟﺪرﺟﺔ‬ ‫ﻣﻦ‬ ‫واﻟﻤﻌﺎدﻟﺔ‬‫ﺑﺎﻟﺸﻜﻞ‬ ‫واﻟﺘﻲ‬ ‫ﯿﺔ‬ 2 0 ( 0)x a a  ‫ﻓﻲ‬ ‫ﺣﻞ‬ ‫ﻟﮭﺎ‬ ‫ﻟﯿﺲ‬، ‫أﯾﻀﺎ‬‫ﻧ‬ ‫ﺣﯿﺚ‬‫ﻋﺪد‬ ‫أي‬ ‫وﺟﻮد‬ ‫ﻋﺪم‬ ‫ﻼﺣﻆ‬ ‫ﻓﻲ‬ ‫ﺣﻞ‬ ‫ﻟﮭﺎ‬ ‫ﻟﯿﺲ‬ ‫ﯾﻘﺎل‬ ‫ﻟﺬا‬ ‫ﯾﺤﻘﻘﮭﺎ‬ ‫ﺣﻘﯿﻘﻲ‬‫ﻧﺤﻦ‬ ‫ﻟﺬا‬‫ﺑﺤﺎﺟﺔ‬‫ﻣﻦ‬ ‫اﻟﻨﻮع‬ ‫ھﺬا‬ ‫ﺣﻞ‬ ‫ﻓﯿﮫ‬ ‫ﯾﻤﻜﻦ‬ ‫ﻟﻨﻈﺎم‬ ‫اﺳﺘﻌﻤﻞ‬ ‫ﻓﻠﻘﺪ‬ ، ‫اﻟﻤﻌﺎدﻻت‬‫اوﯾﻠﺮ‬)Euler(‫اﻟﺮﻣﺰ‬i‫ﯾﺴﺎوي‬ ‫ﻣﺮﺑﻌﮫ‬ ‫ﻋﺪد‬ ‫ﻋﻦ‬ ‫ﻟﻠﺘﻌﺒﯿﺮ‬  1 ‫أي‬‫ﺑﺎ‬ ‫ﯾﻌﻨﻲ‬‫ﻟﺮﻣﺰ‬i‫ﺑـ‬1،‫ﻓﺄﺻﺒﺢ‬ 2 1i  ‫ﻓ‬‫اﻟﻤﻌﺎدﻟﺔ‬ ‫ﻤﺜﻼ‬: 2 1 0x   2 2 x ix i ‫ﺣﻠﯿﻦ‬ ‫ﻟﻠﻤﻌﺎدﻟﺔ‬ ‫أي‬. ‫اﻟﻤﻌﺎدﻟﺔ‬ ‫أﻣﺎ‬: 2 6 25 0x x  ‫ﻓ‬‫أﯾﻀﺎ‬ ‫ﻟﮭﺎ‬ ‫ﻠﯿﺲ‬‫ﻓﻲ‬ ‫ﺣﻞ‬ ‫وﺗﻜﻮن‬ 2 6 25x x  2 6 9 25 9x x      2 ( 3) 16x    2 ( 3) 16 ( 1)x      2 2 ( 3) 16x i  3 4x i  3 4x i  ‫ھﻤﺎ‬ ‫ﺣﻠﯿﻦ‬ ‫ﻟﻠﻤﻌﺎدﻟﺔ‬ ‫أـﺼﺒﺢ‬:3 4 , 3 4x i x i    ‫اﯾﻠﺮ‬ ‫أوﺟﺪ‬ ‫ﺳﺒﻖ‬ ‫ﻣﻤﺎ‬‫ﻣﻌﻘﺪ‬ ‫ﻋﺪدي‬ ‫ﻧﻈﺎم‬)‫ﻣﺮﻛﺐ‬(‫ﻣﻦ‬ ‫ﻣﺮﺗﺒﺔ‬ ‫أزواج‬ ‫ﻣﺠﻤﻮﻋﺔ‬ ‫ﻟﯿﺤﻮي‬‫اﻷﻋﺪاد‬‫اﻟﺤﻘﯿﻘﯿﺔ‬ (a , b)‫اﻟﻌﺪد‬ ‫اﻟﻤﺮﺗﺐ‬ ‫اﻟﺰوج‬ ‫ھﺬا‬ ‫ﯾﺴﺎوي‬ ‫ﺣﯿﺚ‬; 1z a bi where i    ‫اﻟﻌﺪد‬ ‫ﻋﻠﻰ‬ ‫وأﻃﻠﻖ‬i‫اﻟﻮﺣﺪة‬ ‫اﺳﻢ‬‫اﻟﺘﺨﯿﻠﯿﺔ‬Imaginary Unit‫ﯾﺴﺎوي‬ ‫ﻣﺮﺑﻌﮫ‬ ‫ﻋﺪد‬ ‫ﻋﻦ‬ ‫ﻟﻠﺘﻌﺒﯿﺮ‬-1 ‫اﻟﻤﺮﻛﺐ‬ ‫اﻟﻌﺪد‬ ‫أﻣﺎ‬a bi‫اﻟﻘﯿﺎﺳﯿﺔ‬ ‫اﻟﺼﯿﻐﺔ‬ ‫ﻓﺄﺳﻤﺎه‬‫اﻻﻋﺘﯿﺎدﯾ‬ ‫أو‬‫ﺔ‬‫ﻟﻠﻌﺪد‬ ‫اﻟﻤﺮﻛﺐ‬Standard Form of Complex Number   .‫ﻓﺄ‬ ‫اﻟﻤﺮﻛﺒﺔ‬ ‫اﻷﻋﺪاد‬ ‫ﻣﺠﻤﻮﻋﺔ‬ ‫أﻣﺎ‬‫ﻋﻄﯿﺖ‬ ‫اﻟﺮﻣﺰ‬‫ﯾﻠﻲ‬ ‫ﻛﻤﺎ‬ ‫اﻟﻤﺮﻛﺒﺔ‬ ‫اﻷﻋﺪاد‬ ‫ﻣﺠﻤﻮﻋﺔ‬ ‫ﺗﻌﺮف‬ ‫ﻟﺬا‬:  | ; ,z z x y i x y      ‫ﻣﻼﺣﻈﺔ‬:  22 1 1  ,  sin      1 1 1ce       ‫اﻋﺘﺬار‬:‫اﺳﺘﻌﻤﻠﺖ‬‫اﻻﻧﻜﻠﯿﺰﯾﺔ‬ ‫اﻟﻠﻐﺔ‬‫اﻟﻌﺮﺑﯿﺔ‬ ‫ﻟﻠﻐﺔ‬ ‫ﺑﺎﻟﻨﺴﺒﺔ‬ ‫ﺿﻌﯿﻒ‬ ‫اﻟﻄﺒﺎﻋﺔ‬ ‫ﺑﺮﻧﺎﻣﺞ‬ ‫ﻷن‬ ‫اﻟﺘﺮﻣﯿﺰ‬ ‫ﺿﻤﻦ‬
  • 2.
    ‫ﺍﻟﻨﺎﺻﺮﻱ‬‫ﻣﻮﺳﻰ‬‫ﻛﺎﻣﻞ‬)2( ‫ﻣ‬‫وﺗﺴﻤﯿﺎت‬ ‫ﺼﻄﻠﺤﺎت‬ ‫ﻟﯿﻜﻦ‬z =x + i y‫ﻣﺮﻛﺒﺎ‬ ‫ﻋﺪدا‬ (1‫اﻟﺤﻘﯿﻘﻲ‬ ‫ﻟﻠﻌﺪد‬ ‫ﯾﻘﺎل‬x‫أﻧﮫ‬)‫اﻟﺤﻘﯿﻘﻲ‬ ‫اﻟﺠﺰء‬Real part(‫ﺑﺎﺧﺘﺼﺎر‬ ‫ﻟﮫ‬ ‫وﯾﺮﻣﺰ‬:Re ( z ) = x (2‫اﻟﺤﻘﯿﻘﻲ‬ ‫ﻟﻠﻌﺪد‬ ‫ﯾﻘﺎل‬y‫أﻧﮫ‬)‫اﻟﺘﺨﯿﻠﻲ‬ ‫اﻟﺠﺰء‬Imaginary part(‫ﺑﺎﺧﺘﺼﺎر‬ ‫ﻟﮫ‬ ‫وﯾﺮﻣﺰ‬:Im ( z ) = y (3‫إذا‬‫ﻛﺎن‬y = 0‫ﻋﻨﺪﺋﺬ‬ ‫ﻓﯿﻜﻦ‬z = x‫وﯾﺼﺒﺢ‬z‫ﺣﻘﯿﻘﯿﺎ‬ ‫ﻋﺪدا‬ ‫ﺑﺎﻟﺼﻮرة‬ ‫ﻣﺮﻛﺒﺎ‬ ‫ﻋﺪدا‬ ‫ھﻮ‬ ‫ﺣﻘﯿﻘﻲ‬ ‫ﻋﺪد‬ ‫ﻛﻞ‬ ‫أن‬ ‫أي‬z = x + 0i‫اﻟﺤﻘﯿﻘﯿﺔ‬ ‫اﻷﻋﺪاد‬ ‫ﻣﺠﻤﻮﻋﺔ‬ ‫ﺗﻜﻮن‬ ‫ﻟﺬا‬ ‫اﻟﻤﺮﻛﺒﺔ‬ ‫اﻷﻋﺪاد‬ ‫ﻣﺠﻤﻮﻋﺔ‬ ‫ﻣﻦ‬ ‫ﺟﺰﺋﯿﺔ‬ ‫ﻣﺠﻤﻮﻋﺔ‬ ‫ھﻲ‬. (4‫إذا‬‫ﻛﺎن‬x = 0‫ﺑﺎﻟﺸﻜﻞ‬ ‫اﻟﻤﺮﻛﺐ‬ ‫اﻟﻌﺪد‬ ‫ﻓﯿﺼﺒﺢ‬z = y i‫اﻟﻤ‬ ‫اﻟﻌﺪد‬ ‫ﻋﻠﻰ‬ ‫وﯾﻄﻠﻖ‬‫اﺳﻢ‬ ‫اﻟﺤﺎﻟﺔ‬ ‫ھﺬه‬ ‫ﻓﻲ‬ ‫ﺮﻛﺐ‬: ‫ﺑﺤﺖ‬ ‫ﻣﺮﻛﺐ‬ ‫ﻋﺪد‬Pure imaginary number (5‫اﻻﻋﺘﯿﺎدي‬ ‫أو‬ ‫اﻟﺠﺒﺮي‬ ‫اﻟﺸﻜﻞ‬z = x + i y‫أﺧﺮى‬ ‫ﺻﯿﻐﺔ‬ ‫ﻟﮫ‬‫ھﻲ‬z = ( x , y )‫ﺑﺎﻟﺼﯿﻐﺔ‬ ‫ﺗﺴﻤﻰ‬ ‫اﻟﺪﯾﻜﺎرﺗﯿﺔ‬‫ﻟﯿﻤﺜﻞ‬ ‫اﻟﻤﺮﻛﺐ‬ ‫ﻟﻠﻌﺪد‬z‫ﻓﻲ‬ ‫وﺣﯿﺪة‬ ‫ﻧﻘﻄﺔ‬‫ا‬‫اﻟﻤﺮﻛ‬ ‫ﻟﻤﺴﺘﻮى‬‫ﺐ‬( Complex plane). ‫ﻣﺜﻼ‬:‫ﺑﯿﺎﻧﯿﺎ‬ ‫ﻣﻤﺜﻠﺔ‬ ‫اﻟﺘﺎﻟﯿﺔ‬ ‫اﻟﻤﺮﻛﺒﺔ‬ ‫اﻷﻋﺪاد‬:2 +5i , - 5 +i , 4 – 3i , -5i Real axis Imaginaryaxis - 5 i - 5+ i 2 + 5 i 4 – 3 i
  • 3.
    ‫ﺍﻟﻨﺎﺻﺮﻱ‬‫ﻣﻮﺳﻰ‬‫ﻛﺎﻣﻞ‬)3( ‫ﻣﺜﻼ‬:‫اﻟﻤﺮﻛﺐ‬ ‫ﻟﻠﻌﺪد‬z‫ﺟﺪ‬ ‫اﻟﺘﺎﻟﻲ‬:Im(z), Re(z) 1 1 11) 2 3 Re( ) 2 ; Im( ) 3z i z z      2 2 22) 2 3 Re( ) 3 ; Im( ) 2z i z z      3 3 33) 2 3 Re( ) 2 ; Im( ) 3z i a b i z a z b          4 4 44) 5 Re( ) 0 ; Im( ) 5z i z z    5 5 55) 6 Re( ) 6 ; Im( ) 0z z z      6 5 66) Re( ) ; Im( ) a h h h a i b b z z z       ‫ﺍﳌﺮﻛﺒﺔ‬ ‫ﺍﻷﻋﺪﺍﺩ‬ ‫ﻋﻠﻰ‬ ‫ﺍﻟﻀﺮﺏ‬ ‫ﻭﻋﻤﻠﻴﺔ‬ ‫ﺍﳉﻤﻊ‬ ‫ﻋﻤﻠﻴﺔ‬ ‫ﺧﻮﺍﺹ‬ ‫أﻷﻋﺪاد‬ ‫ﺧﺬ‬, ,z w v  1(‫ﺗﻮﻓﺮ‬‫اﻟﺠﻤﻌﻲ‬ ‫اﻟﻤﺤﺎﯾﺪ‬ ‫اﻟﻌﻨﺼﺮ‬‫واﻟﻮﺣﯿﺪ‬)( additive unit‫ﺣﯿﺚ‬ ‫اﻟﺼﻔﺮ‬ ‫وھﻮ‬:z + 0 = z. 2(‫ﻣﺮﻛﺐ‬ ‫ﻋﺪد‬ ‫ﻟﻜﻞ‬z‫اﻟﺠﻤﻌﻲ‬ ‫ﻧﻈﺮﯾﮫ‬ ‫ﯾﻮﺟﺪ‬- z‫وﯾﺤﻘﻖ‬:Additive inverses z + (-z)= 0 3(‫ﻋﻠﻰ‬ ‫ﺗﺠﻤﯿﻌﯿﺔ‬ ‫اﻟﺠﻤﻊ‬ ‫ﻋﻤﻠﯿﺔ‬‫ﻣﺠﻤﻮﻋﺔ‬‫اﻷﻋﺪاد‬‫اﻟﻤﺮﻛﺒﺔ‬:Addition is associative        z w v z w v 4(‫ﻋﻤﻠﯿﺔ‬‫اﻟﺠﻤﻊ‬‫اﻟﻤﺮﻛﺒﺔ‬ ‫اﻷﻋﺪاد‬ ‫ﻣﺠﻤﻮﻋﺔ‬ ‫ﻋﻠﻰ‬ ‫ﺗﺒﺪﯾﻠﯿﮫ‬Addition is commutative  z w w z    5(‫ﻋﻠﻰ‬ ‫اﻟﻀﺮب‬ ‫ﻋﻤﻠﯿﺔ‬ ‫ﻓﻲ‬‫اﻷﻋﺪاد‬‫اﻟﻤﺤﺎﯾﺪ‬ ‫اﻟﻌﻨﺼﺮ‬ ‫ﯾﺘﻮﻓﺮ‬ ‫اﻟﻤﺮﻛﺒﺔ‬‫اﻟﻮﺣﯿﺪ‬‫اﻟﻮاﺣﺪ‬ ‫وھﻮ‬:           Multiplicative unit           z · 1   z 6(‫ﻣﺮﻛﺐ‬ ‫ﻋﺪد‬ ‫ﻟﻜﻞ‬z،0z ‫ھﻮ‬ ‫اﻟﻀﺮﺑﻲ‬ ‫ﻣﻌﻜﻮﺳﮫ‬ ‫ﯾﻮﺟﺪ‬ 1 z  ‫وﯾﺤﻘﻖ‬:   1          Multiplicative             z · z    1inverse   7(‫ﺗﺠﻤﯿﻌﯿﺔ‬ ‫اﻟﻤﺮﻛﺒﺔ‬ ‫اﻷﻋﺪاد‬ ‫ﻋﻠﻰ‬ ‫اﻟﻀﺮب‬ ‫ﻋﻤﻠﯿﺔ‬:  ( Multiplication is associative)                 z w   v  z ( w v).
  • 4.
    ‫ﺍﻟﻨﺎﺻﺮﻱ‬‫ﻣﻮﺳﻰ‬‫ﻛﺎﻣﻞ‬)4( 8(‫ا‬ ‫اﻷﻋﺪاد‬ ‫ﻋﻠﻰ‬‫اﻟﻀﺮب‬ ‫ﻋﻤﻠﯿﺔ‬‫ﺗﺒﺪﯾﻠﯿﮫ‬ ‫ﻟﻤﺮﻛﺒﺔ‬:  Multiplicationis commutative                    z w   wz  9(‫اﻟﺠﻤﻊ‬ ‫ﻋﻤﻠﯿﺔ‬ ‫ﻋﻠﻰ‬ ‫ﺗﻮزﯾﻌﯿﺔ‬ ‫اﻟﻀﺮب‬ ‫ﻋﻤﻠﯿﺔ‬:  Distributivity of multiplication over addition               z    w   v     z w   z v    ‫ﻣ‬‫ﻦ‬:(1 , (2 ,(3 , (4‫ﻧﺴﺘﻨ‬‫ﺞ‬‫أن‬:( , )‫ﺗﺒﺪﯾﻠﯿﮫ‬ ‫زﻣﺮة‬ ‫ﺗﻤﺜﻞ‬....( 11 ) ‫ﻣﻦ‬:(5 , (6 ,(7 , (8‫ﻧﺴﺘﻨ‬‫ﺞ‬‫أن‬:( , ) ‫ﺗﺒﺪﯾﻠﯿﮫ‬ ‫زﻣﺮة‬ ‫ﺗﻤﺜﻞ‬......(12) ‫ﻣﻦ‬(9‫وﻣﻊ‬(11)‫و‬(12)‫ﻧﺴﺘﻨﺘﺞ‬( , , ) ‫ﺣﻘﻼ‬‫و‬‫اﻟﻤﺮﻛﺒﺔ‬ ‫اﻷﻋﺪاد‬ ‫ﺣﻘﻞ‬ ‫ﯾﺴﻤﻰ‬. ‫اﻟ‬ ‫اﻷﻋﺪاد‬ ‫ﻋﻠﻰ‬ ‫ﯾﻄﺒﻖ‬ ‫اﻟﺤﻘﯿﻘﯿﺔ‬ ‫اﻷﻋﺪاد‬ ‫ﻧﻈﺎم‬ ‫أن‬ ‫ﻧﺴﺘﻨﺘﺞ‬ ‫ﺳﺒﻖ‬ ‫ﻣﻤﺎ‬‫ﻤﺮﻛﺒﺔ‬.   21 1i i     4p  ‫اﻟﻜﺒﯿﺮة‬ ‫ﻟﻠﻘﻮى‬ ‫وﺧﺎﺻﺔ‬ ‫اﻟﺘﺎﻟﯿﺔ‬ ‫اﻟﻘﺎﻋﺪة‬ ‫وﺿﻊ‬ ‫وﻧﺴﺘﻄﯿﻊ‬:‫ﻟﺘﻜﻦ‬ ‫وﻟﺘﻜﻦ‬q‫ﻗ‬ ‫ﺧﺎرج‬ ‫ﺗﺴﺎوي‬‫ﺴﻤﺔ‬p‫ﻋﻠﻰ‬4‫اﻟﺒﺎﻗﻲ‬ ‫وﻟﯿﻜﻦ‬r‫اﻟﻘﻮل‬ ‫ﯾﻤﻜﻦ‬ ‫اﻟﺒﺎﻗﻲ‬ ‫ﻧﻈﺮﯾﺔ‬ ‫وﺑﻤﻮﺟﺐ‬ . ., 4 0 4i e p q r where r    44 4 4( ) 1 1p q r q qr r r rHence i i i i i i i i i               34 32 2 4 8 2 1: ( ) 1ex i i i i      63 4 15 3 3 2 2: ( ) 1ex i i i i i i i        1992 4 498 3: ( ) 1ex i i  ‫ﻗﻮى‬i‫اﻟﺼﺤﯿﺤﺔ‬)The powers of i(
  • 5.
    ‫ﺍﻟﻨﺎﺻﺮﻱ‬‫ﻣﻮﺳﻰ‬‫ﻛﺎﻣﻞ‬)5( 18 18 1820 2 4: 1 1ex i i i i i          31 32 33 34 31 32 33 34 31 32 33 34 4 31 32 33 34 36 5 4 3 2 4 5: ( ) 1 ( ) , ( ) ; 9 1 q ex i i i i i i i i i i i i i q i i i i i q i i i i i i                                              2 1i i   0i i   7 7 7 7 7 4 2 6:( 4 ) ( 4 1) (2 ) 2 128 128 ex i i i i i i             ‫اﻟﻘﻮل‬ ‫ﯾﻤﻜﻦ‬ ‫اﻟﺴﺎﺑﻘﺔ‬ ‫اﻷﻣﺜﻠﺔ‬ ‫ﻣﻦ‬:‫إذا‬‫ﻛﺎن‬n‫ﻓﺎن‬ ‫ﺻﺤﯿﺤﺎ‬ ‫ﻋﺪدا‬ 1,1, ,n i i i   ‫وأن‬: 4 4 1 4 2 4 3 mod 4 1 ; ; 1 ; ;n n n n n n i i i i i i i i          Modulo operation finds the remainder of division of one number by another. n mod 4‫ﺗﻌﻨﻲ‬)‫اﻟﺒﺎﻗﻲ‬(‫اﻟﻌﺪد‬ ‫ﻟﻘﺴﻤﺔ‬n‫ﻋﻠﻰ‬4‫ﻣﺜﻼ‬ ،   25 mod 4 1 , 25 mod 7 4  ‫ﯾﻠﻲ‬ ‫ﻟﻤﺎ‬ ‫اﻧﺘﺒﮫ‬:‫اﻟﺘ‬ ‫اﻟﻌﺒﺎرة‬‫ﺧﺎﻃﺌﺔ‬ ‫ﺎﻟﯿﺔ‬ 1 1 ( 1) ( 1) 1 1          ‫واﻟﺼﺤﯿﺢ‬: 2 1 1 1i i i        ‫ﻣﺮﻛﺒﯿﻦ‬ ‫ﻋﺪدﯾﻦ‬ ‫ﺗﺴﺎوي‬ ‫ﺗﻌﺮﯾﻒ‬Equality of Complex Numbers 1 2,let z a bi z c di    a bi c di a c and b d      ‫أي‬:1 2 1 2Re( ) Re( ) Im( ) Im( )z z and z z  
  • 6.
    ‫ﺍﻟﻨﺎﺻﺮﻱ‬‫ﻣﻮﺳﻰ‬‫ﻛﺎﻣﻞ‬)6( Ex: ‫ﻗﯿﻤﺔ‬ ‫ﺟﺪ‬x ,y‫اﻟﻌﻼﻗﺔ‬ ‫ﺗﺤﻘﻖ‬ ‫واﻟﺘﻲ‬ ‫اﻟﺤﻘﯿﻘﯿﯿﻦ‬:x2 - 2xy i – y2 = 4i – 3 ‫اﻟﺤﻞ‬:(1‫اﻟﻘﯿﺎﺳﯿﺔ‬ ‫ﻟﻠﺼﯿﻐﺔ‬ ‫اﻟﻤﻌﺎدﻟﺔ‬ ‫ﻃﺮﻓﻲ‬ ‫ﺣﻮل‬ a b i‫اﻟﻤﺮﻛﺐ‬ ‫ﻟﻠﻌﺪد‬‫ﯾﻠﻲ‬ ‫وﻛﻤﺎ‬: 2  2 (  –   ) ( 2 )    – 3 4  x y xy i i    (2‫ﻣﺮﻛﺒﯿﻦ‬ ‫ﻋﺪدﯾﻦ‬ ‫ﺗﺴﺎوي‬ ‫ﺗﻌﺮﯾﻒ‬ ‫ﻃﺒﻖ‬: 2 2 1 2Re( 3 ..........( 1) Re( ) )x y ez z q    1 2 2 4 2 ....... Im( ) Im( ) ...( 2) xy y eq x z z        ‫ﻗﯿﻤﺔ‬ ‫ﺗﻌﻮض‬y‫اﻷوﻟﻰ‬ ‫اﻟﻤﻌﺎدﻟﺔ‬ ‫ﻓﻲ‬: 2 ( ) 2 4 2 2 4 2 2 2 4 3 ..........( 1) 4 3 3 4 0 ( 4)( 1) x x eq x x x x x x x                 2 2 4 0 4 4 4 1 2x x x i ‫ﻞ‬ ‫ﺗﮭﻤ‬              or 2 2 1 0 1 1 2 1 2 1 2 x x x but y x When x y When x y                 ‫ﻣﺮﻛﺒﲔ‬ ‫ﻋﺪﺩﻳﻦ‬ ‫ﻭﻃﺮﺡ‬ ‫ﲨﻊ‬:AAddddiittiioonn aanndd SSuubbttrraaccttiioonn ooff CCoommpplleexx NNuummbbeerrss ‫  ﻋﺪدا ﻣﺮﻛﺒﺎ ﻓﺈن‬  a + b i , c +d i   ‫ﻛﺎن‬ ‫إذا‬‫ﻣﻦ‬ ‫ﻛﻞ‬ (        ) (        ) = (a+c)+(b+d)    a b i c d i i   Sum:‫اﻟﻤﺠﻤﻮع‬
  • 7.
    ‫ﺍﻟﻨﺎﺻﺮﻱ‬‫ﻣﻮﺳﻰ‬‫ﻛﺎﻣﻞ‬)7( (     ) (      ) = (      )+( -     ) ‫ﺮح‬ ‫اﻟﻄ‬ =  (    ) ( ) :a bi c di a bi c di a c b d i         subtraction ‫ﺍﳌﺮﻛﺒﺔ‬ ‫ﺃﻷﻋﺪﺍﺩ‬ ‫ﺿﺮﺏ‬)Multiplying Complex Numbers:( ‫اﻟﺤﻘﯿﻘﯿﺔ‬ ‫ﻟﻸﻋﺪاد‬ ‫اﻟﺤﺪود‬ ‫ﻛﺜﯿﺮات‬ ‫ﻓﻲ‬ ‫اﻟﻀﺮب‬ ‫ﻋﻤﻠﯿﺔ‬ ‫ﻧﻔﺲ‬ ‫ھﻲ‬ ‫اﻟﻤﺮﻛﺒﺔ‬ ‫ﻟﻸﻋﺪاد‬ ‫اﻟﻀﺮب‬ ‫ﻋﻤﻠﯿﺔ‬ ‫إن‬. 1:Ex 2 ( )( ) ( ) ( ) ( ) ( ) a b i c d i a c d i b i c d i ac ad i b c i b d i ac ad i b c i b d ac b d ad b c i                   2 2 : ( 2 4 )(3 2 ) 6 4 1 2 8 6 4 1 2 8 2 1 6 E x i i i i i i i i              2 ( 4 1)(3 9) ( 2 1)(3 3 ) 6 6 3 3 9 3i i i i i i             2 :Ex 2 2 3 : ( 2 4 ) 4 16 16 12 16E x i i i i        2 24 4 2 2 2 2 4 : (1 4 ) (1 2 ) (1 2 ) 1 4 4 ( 3 4 ) 9 2 4 16 7 24 E x i i i i i i i i                         16 8 21 1 1 5: ( ) 1 1 i i Ex i i                2 2i i  1 2 2i i  8 8 82 ( ) ( 1) 1 2 i i            2 1i        3 3 2 2 2 2 2 2 6 : (1 2 ) (1 2 ) (1 2 ) (1 2 ) (1 2 ) (1 2 ) (1 4 4 )(1 2 ) (1 4 4 )(1 2 ) ( 3 4 )(1 2 ) ( 3 4 )(1 2 ) 3 6 4 8 3 6 4 8 11 2 11 2 4 E x i i i i i i i i i i i i i i i i i i i i i i i i i                                                         
  • 8.
    ‫ﺍﻟﻨﺎﺻﺮﻱ‬‫ﻣﻮﺳﻰ‬‫ﻛﺎﻣﻞ‬)8( 2 7 : (2)( ) 3Ex i x iy i     22 2 (2 )(   ) 3 2 2       2i x i y x y i x i y i i i           2 ( i ) 2     2  ( ........ ) ( ...... ) ( )2 2) 2 3 3 ( 2 x yy i x i i x i y x iy               1 2 7 1 2 7 1 2 7 4 3 7 8 9 : , ( ) ( ) 1 n n n n E x i n i i i i i i i i               ‫ﺍﳌﺮﻛﺐ‬ ‫ﺍﻟﻌﺪﺩ‬ ‫ﻣﺮﺍﻓﻖ‬Complex conjugate ‫ﺗﻌﺮﯾﻒ‬: ‫ﻛﺎن‬ ‫إذا‬z x yi ‫ﻣﺮاﻓﻖ‬ ‫ﻓﺈن‬z‫ﺑﺎﻟﺼﻮرة‬ ‫ﯾﻜﺘﺐ‬z z x yi   ‫وأن‬: 1) ; 2)z z z z     ‫اﻟﻌﺪد‬ ‫أن‬ ‫ھﻮ‬ ‫ﻟﻠﻤﺮاﻓﻖ‬ ‫اﻟﮭﻨﺪﺳﻲ‬ ‫واﻟﺘﻔﺴﯿﺮ‬‫وﻣﺮاﻓﻘﮫ‬ ‫اﻟﻤﺮﻛﺐ‬‫ﻣﺤﻮر‬ ‫ﻣﻊ‬ ‫ﻣﺘﻨﺎﻇﺮان‬x-axis‫اﻟﺘﺎﻟﻲ‬ ‫اﻟﺸﻜﻞ‬ ‫ﻓﻲ‬ ‫ﻛﻤﺎ‬ ‫اﻟﺘﺮاﻓﻖ‬ ‫ﺧﻮاص‬ ‫واﻟﯿﻚ‬:
  • 9.
    ‫ﺍﻟﻨﺎﺻﺮﻱ‬‫ﻣﻮﺳﻰ‬‫ﻛﺎﻣﻞ‬)9( 7(z‫ﺣﻘﯿﻘﯿﺎ‬ ‫ﻋﺪدا‬‫إذا‬‫وإذا‬‫ﻓﻘﻂ‬ 8(‫ﺑﺎﻟﻌﻼﻗﺔ‬ ‫ﯾﺮﺗﺒﻄﺎن‬‫واﻟﺘﺨﯿﻠﻲ‬ ‫اﻟﺤﻘﯿﻘﻲ‬ ‫اﻟﺠﺰأﯾﻦ‬:Re( ) ; Im( ) 2 2 z z z z z z i     9(‫إذا‬‫ﻛﺎن‬     z x y i ‫ﻓﺈن‬: 2 2 z z x y   ‫ﻣﺜﺎل‬ ‫ﻣﻦ‬ ‫اﻟﺘﺎﻟﯿﺔ‬ ‫اﻷﻣﺜﻠﺔ‬9‫ﻣﺜﺎل‬ ‫اﻟﻰ‬19‫اﻻﻋﺘﯿﺎدﯾﺔ‬ ‫ﺑﺎﻟﺼﯿﻐﺔ‬ ‫ﻣﻘﺎدﯾﺮھﺎ‬ ‫أﻛﺘﺐ‬)‫اﻟﻘﯿﺎﺳﯿﺔ‬(‫اﻟﻤﺮﻛﺐ‬ ‫ﻟﻠﻌﺪد‬: 2 2 2 3 9 : 3 2 3 3 2(3 ) 3 (3 ) 6 2 9 3 3 3 9 9 1 9 7 9 7 10 10 10 i E x i i i i i i i i i i i i i i S am ple                       3 2 3 2  10:   2 2 i i Ex i i    2 ( i  2 3  2  2 3  3 ) 1 2 2 2 i i i i          ‫وا‬ ‫اﻟﺒﺴﻂ‬ ‫ﺑﻀﺮب‬ ‫اﻟﺴﺆال‬ ‫ﺣﻞ‬ ‫ﯾﻤﻜﻦ‬ ‫و‬‫اﻟﻤﻘﺎم‬ ‫ﺑﻤﺮاﻓﻖ‬ ‫ﻟﻤﻘﺎم‬. 2 2 2 2 2 1 11: 3 1 2 2 3 4 2  12 6  4  2  3 3  4 2  4 2  16 4  10 10  10 10 1 1 20 20 20 2 2 i i Ex i i i i i i i i i i i i i i i i i i i                              2 2 7 3 12: 1 12 7 3 1 7 3 1 2 3 7 14 3 3 2 3 1 2 31 12 1 1 2 3 1 2 3 13 13 3 1 3 13 Ex i i i i i ii i i i                           
  • 10.
    ‫ﺍﻟﻨﺎﺻﺮﻱ‬‫ﻣﻮﺳﻰ‬‫ﻛﺎﻣﻞ‬)10( 3 2 3 3 33 2 2 2 2 3 13:( ) 1 3 1 3 3 2 4 ( ) ( ) ( ) (1 2 ) 1 1 1 2 (1 2 )(1 2 ) (1 2 )(1 4 4 ) (1 2 )( 3 4 ) 3 4 6 8 11 2 i Ex i i i i i i i i i i i i i i i i i i i i i i                                     1 2 2 14: (4 3 ) (2 1) 4 3 1 2 4 8 3 6 10 5 2 1 2 1 2 1 4 5 Ex i i i i i i i i i i i i                         2 2 2 2 1 1 15 : (2 ) (2 ) 1 1 1 1 4 4 4 4 3 4 3 4 3 4 (3 4 ) 3 (3 4 )(3 4 ) Ex i i i i i i i i i i i i                     4 3i  2 4 8 0 9 16 25 i i i     2 2 (1 ) (1 ) 16: 1 1 1 i i Ex i i       2 2i i  1 1 i   2 2i i  2 2 1 1 1 2 (1 ) 2 (1 ) 2 (1 )(1 ) i i i i i i i i i i i i                2 2 2i i  2 2 2 4 2 0 1 2 i i i        2 2 2 2 2 3 1 7 ) 1 2 2 3 2 1 3 2 . ( ) ( ) 1 2 1 1 2 2 2 2 6 3 2 1 3 5 5 1 4 2 5 1 3 5 5 3 ( ) ( )     2 1 2 1 2 2 5 5 2 3 ( ) ( )  2 i i E x x y i i i i i i i i an s x y x y i i i i i i i i i i i i i i x y x y i i i x i y x i y i xy i x y x y                                                 
  • 11.
    ‫ﺍﻟﻨﺎﺻﺮﻱ‬‫ﻣﻮﺳﻰ‬‫ﻛﺎﻣﻞ‬)11(                   7 1 6 9 71 7 0 1 70 69 70 1 7 0 2 1 18 : 1 1 1 1 1 : 1 1 11 1 1 1 1 1 (1 ) 1 1 i E X A M PL E i i i i i S o lutio n i i ii i i i i i i i                             2 2i i  7 0 2 70 7 0 m o d 4 2 2 1 2 2 2 2 2 2 0 2 i i i i i                       2 73 2 73 2 3 4 5 6 7 68 69 70 71 72 73 19:1 ..... : 1 ..... (1 ) ( ) ..... ( ) EXAMPLE i i i Solution i i i i i i i i i i i i i i i i                        ‫ھﻮ‬ ‫اﻟﺤﺪود‬ ‫ﻋﺪد‬ ‫ان‬73+1=74‫ﻋﻠﻰ‬ ‫ﺗﻘﺴﻢ‬ ‫ﺣﺪا‬4‫ﻓﯿﻨﺘﺞ‬18‫واﻟﺒﺎﻗﻲ‬2‫اﻟﻰ‬ ‫اﻟﻤﻘﺪار‬ ‫ﯾﻘﺴﻢ‬ ‫ﻟﺬا‬ ،18 ‫اﻟﺤﺪ‬ ‫ﻣﻦ‬ ‫ﺑﺪءا‬ ‫ﻣﺘﺘﺎﻟﯿﺔ‬ ‫ﻟﺤﺪود‬ ‫ﻣﺠﻤﻮﻋﺔ‬‫ﻧﺎﺗﺞ‬ ‫اﻷول‬‫اﻷﺧﯿﺮﯾﻦ‬ ‫اﻟﺤﺪﯾﻦ‬ ‫ﻟﯿﺒﻘﻰ‬ ‫ﺻﻔﺮ‬ ‫ﺗﺴﺎوي‬ ‫ﻣﺠﻤﻮﻋﺔ‬ ‫ﻛﻞ‬. ‫ﯾﺴﺎوي‬ ‫اﻟﻨﺎﺗﺞ‬:    18 1872 73 4 4 1i i i i i i      ‫آﺧﺮ‬ ‫ﻧﻮع‬ ‫ﻣﻦ‬ ‫أﻣﺜﻠﺔ‬:‫ﺟﺬراھﺎ‬ ‫اﻟﺘﻲ‬ ‫اﻟﺜﺎﻧﯿﺔ‬ ‫اﻟﺪرﺟﺔ‬ ‫ﻣﻦ‬ ‫اﻟﻤﻌﺎدﻟﺔ‬ ‫ﺟﺪ‬M , L‫أن‬ ‫ھﻞ‬ ‫ﺑﯿﻦ‬ ‫ﺛﻢ‬M , L‫ﻣﺘﺮاﻓﻘﺎن‬. 2 : 3 4 1 4 4 (3 4 ) (1 4 ) 3 12 4 16 19 8 ,           20: 3 4 ; 1   4        Ex solution M L i i M L i i i i i i M L ‫ﺘﺮاﻓﻘﯿﻦ‬ ‫ﻏﯿﺮﻣ‬ M i L i                           ‫ھﻲ‬ ‫اﻟﺜﺎﻧﯿﺔ‬ ‫اﻟﺪرﺟﺔ‬ ‫ﻣﻦ‬ ‫اﻟﻤﻌﺎدﻟﺔ‬: 2 ( ) 0x M L x M L     ‫ھﻲ‬ ‫اﻟﻤﻄﻠﻮﺑﺔ‬ ‫ﻓﺎﻟﻤﻌﺎدﻟﺔ‬ ‫ﻟﺬا‬: 2 4 19 8 0x x i   
  • 12.
    ‫ﺍﻟﻨﺎﺻﺮﻱ‬‫ﻣﻮﺳﻰ‬‫ﻛﺎﻣﻞ‬)12( 2 1 :5 1 ; 5 1 : 5 1s o lu tio n M E x M i L i L i        5 1i  2 2 1 0 , (5 1) (5 1) 2 5 1 2 6 1 0 2 6 0 i M L ‫ﺘﺮاﻓﻘﯿﻦ‬ ‫ﻏﯿﺮﻣ‬ M L i i i X i X T h e e q u atio n                  5 5 9 2 22 : , 1 3 4 i i Ex M L i i       ‫اﻟﺤﻞ‬:‫ﻣﻦ‬ ‫ﺑﺎﻟﺘﺨﻠﺺ‬ ‫اﻟﺠﺬرﯾﻦ‬ ‫ﻧﺒﺴﻂ‬i‫ﺑ‬‫ﺎﻟﻤﻘﺎم‬ 2 2 5 5 1 3 5 15 5 15 20 10 1 3 1 3 1 9 10 20 10 2 10 10 i i i i i i M i i i i i                  2 2 9 2 4 36 9 8 2 34 17 4 4 16 17 34 17 2 17 17 i i i i i i L x i i i i                  1) 2M L i   2 i  2 4 2) (2 )(2 ) 4 5M L i i i             M , L‫ھﻲ‬ ‫واﻟﻤﻌﺎدﻟﺔ‬ ، ‫ﻣﺘﺮاﻓﻘﺎن‬: 2 4 5 0x x   ‫اﻷﺳﺌﻠﺔ‬ ‫ﻣﻦ‬ ‫آﺧﺮ‬ ‫ﻧﻮع‬: ‫ﻣﺜﺎل‬23:‫ﯾﺴﺎوي‬ ‫ﻣﺠﻤﻮﻋﮭﻤﺎ‬ ‫اﻟﻠﺬﯾﻦ‬ ‫اﻟﺘﺮﺑﯿﻌﯿﺔ‬ ‫اﻟﻤﻌﺎدﻟﺔ‬ ‫ﺟﺬرا‬ ‫ﺟﺪ‬2‫ﺿﺮﺑﮭﻤﺎ‬ ‫وﺣﺎﺻﻞ‬=17. ‫اﻟ‬‫ﺤﻞ‬:‫اﻟﺠﺬرﯾﻦ‬ ‫ﻟﯿﻜﻦ‬m , n ‫أن‬ ‫وﺑﻤﺎ‬:2 ; 17 ,m n m n m n are conjugate        :Let m a bi n a bi m n a bi         a bi  2 2 2 2 2 2 2 2 2 2 1 ( )( ) 17 1 4 1 4 , 1 4 a a a m n a bi a bi a b i a b b b i i ‫ﺔ‬ ‫ﺟﺬرااﻟﻤﻌﺎدﻟ‬                     
  • 13.
    ‫ﺍﻟﻨﺎﺻﺮﻱ‬‫ﻣﻮﺳﻰ‬‫ﻛﺎﻣﻞ‬)13( ‫ﻣﺜﺎل‬24(‫ﺟﺬرﯾﮭﺎ‬ ‫أﺣﺪ‬ ‫واﻟﺘﻲ‬‫اﻟﺤﻘﯿﻘﯿﺔ‬ ‫اﻟﻤﻌﺎﻣﻼت‬ ‫ذات‬ ‫اﻟﺘﺮﺑﯿﻌﯿﺔ‬ ‫اﻟﻤﻌﺎدﻟﺔ‬ ‫ﺟﺪ‬5 2i ‫اﻟﺤﻞ‬:‫ﻓﺈن‬ ‫ﻟﺬا‬ ‫ﺣﻘﯿﻘﯿﺔ‬ ‫أﻋﺪاد‬ ‫اﻟﻤﻌﺎﻣﻼت‬ ‫أن‬ ‫ﺑﻤﺎ‬‫ﻣﺘﺮاﻓﻘﺎن‬ ‫اﻟﺠﺬرﯾﻦ‬ ‫إذن‬‫اﻟﺠﺬرا‬‫ن‬‫ھﻤﺎ‬:5 2 , 5 2i i ‫اﻟﺤﻞ‬ ‫أﻛﻤﻞ‬. 25:Ex ‫أن‬ ‫ﺑﺮھﻦ‬3 i‫اﻟﻤﻌﺎدﻟﺔ‬ ‫ﺟﺬري‬ ‫أﺣﺪ‬ ‫ھﻮ‬: 2 8 16 2 0x x i   ‫اﻵﺧﺮ‬ ‫اﻟﺠﺬر‬ ‫ﺟﺪ‬ ‫ﺛﻢ‬. ‫اﻟﺤﻞ‬:‫اﻟﺠﺬرﯾﻦ‬ ‫ﻧﻔﺮض‬:m , n‫وأن‬m = 3 + i‫أن‬ ‫ﻓﯿﺠﺐ‬ ‫ﻟﻠﻤﻌﺎدﻟﺔ‬ ‫ﺟﺬرا‬ ‫ھﻮ‬ ‫ﻋﺪد‬ ‫أي‬ ‫ﯾﻜﻮن‬ ‫وﻟﻜﻲ‬ ، ‫ﯾﺤﻘﻘﮭﺎ‬: ‫أن‬ ‫أي‬3 + i‫ﺟﺬرﯾﮭﺎ‬ ‫أﺣﺪ‬ ‫ﻓﮭﻮ‬ ‫اﻟﻤﻌﺎدﻟﺔ‬ ‫ﺣﻘﻖ‬. ‫أن‬ ‫ﻧﻼﺣﻆ‬ ‫اﻟﻘﯿﺎﺳﯿﺔ‬ ‫اﻟﻤﻌﺎدﻟﺔ‬ ‫ﻣﻊ‬ ‫اﻟﻤﻌﻄﺎة‬ ‫اﻟﻤﻌﺎدة‬ ‫ﻣﻘﺎرﻧﺔ‬ ‫وﻣﻦ‬:  2 2 8 16 2 0 ( ) 0 8 ; 16 2 3 3 8 5 x x i x m n x m n m n m n i But m i i n n i ‫ﺬراﻵﺧﺮ‬ ‫اﻟﺠ‬                        26:Eq ‫اﻟﻤﻌﺎدﻟﺔ‬ ‫ﺟﺬري‬ ‫أﺣﺪ‬ ‫ﻛﺎن‬ ‫إذا‬ 2 12 6 0x x x i c   ‫ﻗﯿﻤﺔ‬ ‫ﻓﺠﺪ‬ ‫اﻵﺧﺮ‬ ‫أﻣﺜﺎل‬ ‫ﺛﻼﺛﺔ‬ ‫ھﻮ‬c ‫اﻟﺤﻞ‬:‫اﻟﺠﺬرﯾﻦ‬ ‫ﻧﻔﺮض‬:m , n‫وأن‬m = 3n‫اﻟﻘﯿﺎﺳﯿﺔ‬ ‫ﻟﻠﺼﯿﻐﺔ‬ ‫اﻟﻤﻌﺎدﻟﺔ‬ ‫ﻧﺤﻮل‬ ،: 2 2 (12 16 ) 0 ( ) 0 12 16 3 12 16 4 12 16 3 4 3(3 4 ) 9 12 x i x c x m n x m n m n i n n i n i n i ‫ﺬراﻻول‬ ‫اﻟﺠ‬ m i i ‫ﺬراﻟﺜﺎﻧﻲ‬ ‫اﻟﺠ‬                             ‫ﻃﺮﯾﻘﺘﯿﻦ‬ ‫اﻟﺤﻞ‬ ‫ﻟﺒﺎﻗﻲ‬:‫ﻓﻨ‬ ‫اﻟﻤﻌﺎدﻟﺔ‬ ‫ﯾﺤﻘﻖ‬ ‫اﻟﺠﺬرﯾﻦ‬ ‫أﺣﺪ‬ ‫اﻷوﻟﻰ‬‫ﻗﯿﻤﺔ‬ ‫ﻋﻠﻰ‬ ‫ﺤﺼﻞ‬c ‫واﻟﺜﺎﻧﯿﺔ‬:‫اﻟﺠﺬرﯾﻦ‬ ‫ﺿﺮب‬ ‫ﺣﺎﺻﻞ‬=c‫اﻟﺜﺎﻧﯿﺔ‬ ‫وﻟﻨﻄﺒﻖ‬: 2 (3 4 )(9 12 ) 27 36 36 48 21 72c i i i i i i          2 2 ( ? ) 8( ? ) 16 2 0 (3 ) 8( 3 ) 16 2 0 9 6 i i i i i            2 24 8i i   16 2i  0 9 1 24 16 0 0 0 ‫ﺎﺋﺒﺔ‬ ‫ﻋﺒﺎرةﺻ‬       
  • 14.
    ‫ﺍﻟﻨﺎﺻﺮﻱ‬‫ﻣﻮﺳﻰ‬‫ﻛﺎﻣﻞ‬)14( ‫اﺧﺮ‬ ‫ﻧﻮع‬:‫ﻟﻠﻌﺪد‬ ‫أﻟﻀﺮﺑﻲ‬‫اﻟﻨﻈﯿﺮ‬ ‫اﻟﻤﺮﻛﺐ‬ ‫ﻟﻠﻌﺪد‬ ‫اﻻﻋﺘﯿﺎدﯾﺔ‬ ‫وﺑﺎﻟﺼﯿﻐﺔ‬ ‫ﺟﺪ‬: 1 2 27 : 2 4 1 4 2 4 2 4 2 : 4 2 4 2 4 2 16 4 20 1 1 5 10 Ex i i i i solution let z i z i i i i ‫ﺮﺑﻲ‬ ‫اﻟﻨﻈﯿﺮاﻟﻀ‬                          2 . 2 8 : 1 2 1E x z i so l z i     2 ( i  1 2 1 1 2 1 2 ) 1 2 1 2 1 2 1 4 1 2 1 2 5 5 5 i i i z i i i i i ‫ﺮﺑﻲ‬ ‫اﻟﻨﻈﯿﺮاﻟﻀ‬                  1 2 2 2 2 2 2 2 2 2 2 2 2 2 2 2 2 . 9 : 2 2 2 2 a bi a bi sol z a bi a bi a abi b i a a bi Ex z a b abi b a b ab i a b i a b a b a b i                        ‫ﻧﻮع‬‫اﺧﺮ‬:30:Ex ‫ﻟﺘﻜﻦ‬: 7 11  , 1   i x i a b i x y i       ‫ﻣﻦ‬ ‫ﻛﻼ‬ ‫وﻟﯿﻜﻦ‬a , b‫ﻗﯿﻤﺔ‬ ‫ﺟﺪ‬ ، ‫ﻣﺘﺮاﻓﻘﯿﻦ‬x , y ‫اﻟﺤﻞ‬: 2 2 7 1 7 7 6 8 3 4 1 1 1 2 i i i i i i a i i i i                b = 3- 4i‫ﻷن‬b‫ﻟـ‬ ‫ﻣﺮاﻓﻖ‬a 11 3 4 x i i x yi     2 (3 4 )( ) 11 3 3 4 4 11 3 3 4 4 11 2 3 4 4 11 0 ( 2 4 ) (3 4 11) 0 0 i x yi x i x yi xi yi x i x yi xi y x i x yi xi y i x y y x i i                             
  • 15.
    ‫ﺍﻟﻨﺎﺻﺮﻱ‬‫ﻣﻮﺳﻰ‬‫ﻛﺎﻣﻞ‬)15( ‫ﻋﻠﻰ‬ ‫ﻧﺤﺼﻞ‬ ‫ﻣﺮﻛﺒﯿﻦ‬‫ﻋﺪدﯾﻦ‬ ‫ﺗﺴﺎوي‬ ‫ﺗﻌﺮﯾﻒ‬ ‫وﻣﻦ‬: ‫ﺗﺪرﯾﺐ‬ 1 1 ‫ﻣﻦ‬ ‫اﻷﺳﺌﻠﺔ‬1‫اﻟﻰ‬14‫ﻟﻠﺼﯿﻐﺔ‬ ‫اﻟﻤﻘﺪار‬ ‫ﺣﻮل‬: 18(‫أن‬ ‫ﺑﺮھﻦ‬:   w w c z z       [Hint: ‫ﺐ‬ ‫  اﻛﺘ‬z =a+b i , w = c+d i ‫ﻟﻠﺼﯿﻐﺔ‬ ‫ﺣﻮل‬a b i‫اﻟﻤﻘﺎدﯾﺮﻣﻦ‬19‫اﻟﻰ‬31     3 19 (2 )(3 2 ) 6 1 1 20 3 x y i x y i i i i                   4 4 1 2 3 49 39 37 8 7 8 7 7 8 2 3 (21) 1 2 (22) 2 2 (23) 1 ..... 1 (24) 1 (25) ,n n n i i x y i i i i i i i i i i i i i n                                                  2 1 24 4 2 25 1 3 26 3 27 3 28 1 29 2 i i i i x iy x iy i i                  2 2 7 3 30 1 12 2 2 31 1 2 1 2 i i i i        2 4 0 .........( . 1) 2 3 4 11 0 .......( .2) 8 4 x y eq y x eq y x        0 3 4y x   11 0 11 11 0 1 2 4 0 2 y y x x           
  • 16.
    ‫ﺍﻟﻨﺎﺻﺮﻱ‬‫ﻣﻮﺳﻰ‬‫ﻛﺎﻣﻞ‬)16( .(32)‫أن‬ ‫ﺑﺮھﻦ‬2 4i‫اﻟﻤﻌﺎدﻟﺔ‬ ‫ﺟﺬري‬ ‫أﺣﺪ‬ ‫ھﻮ‬ 2 4 20 0x x    33‫ﻛﺎن‬ ‫إذا‬ 7 13 , 2 4 i i m n i i       1(‫أن‬ ‫ﺑﺮھﻦ‬,m n‫ﻣﻦ‬ ‫ﻛﻼ‬ ‫ﺟﺪ‬ ‫ﺛﻢ‬ ‫ﻣﺘﺮاﻓﻘﺎن‬: 2 2 3 3 , , ,m n m n m n m n    2(‫ﺟﺬراھﺎ‬ ‫اﻟﺘﻲ‬ ‫اﻟﺘﺮﺑﯿﻌﯿﺔ‬ ‫اﻟﻤﻌﺎدﻟﺔ‬ ‫ﺟﺪ‬,m n .(34)‫ﺑﺎﻟﺼﯿﻐﺔ‬ ‫اﻟﺘﺎﻟﯿﺔ‬ ‫ﻟﻸﻋﺪاد‬ ‫اﻟﻀﺮﺑﻲ‬ ‫اﻟﻨﻈﯿﺮ‬ ‫ﺟﺪ‬a b i‫ﻣﻦ‬ ‫ﻛﻼ‬:    1 , 1 3i i i      : 35‫اﻟﻤﺘﻄﺎﺑﻘ‬ ‫ﺻﺤﺔ‬ ‫ﺑﺮھﻦ‬‫ﺔ‬: 1  tan cos2  sin 2 1  tan i i i         ‫ﺣﯿﺚ‬ 2   ,   2 n n       ‫أﻣﺜﻠﺔ‬:‫ﻳﻠﻲ‬ ‫ﳑﺎ‬ ‫ﻛﻼ‬ ‫ﺃﻛﺜﺮ‬ ‫ﺃﻭ‬ ‫ﻣﺮﻛﺒﲔ‬ ‫ﻋﺪﺩﻳﻦ‬ ‫ﺿﺮﺏ‬ ‫ﳊﺎﺻﻞ‬ ‫ﺣﻠﻞ‬: ‫ﯾﺴﺘﻐﻞ‬ ‫أﺳﺌﻠﺔ‬‫ﻓ‬‫ﯿﮭﺎ‬2 1i  ‫اﻟﺤﺪﯾﻦ‬ ‫أﺣﺪ‬ ‫ﯾﻀﺮب‬ ‫ﻓﺮق‬ ‫اﻟﻰ‬ ‫ﻣﺠﻤﻮع‬ ‫ﻓﻠﺘﺤﻮﯾﻞ‬× 2 i 2 2 2 31: 9 2 . 9 25 (3 5 ) 3 5 ( 5 ) E sol z x i x i x z x x i       2 2 2 2 2 . 4 9 (2 3 )(2 3 32: 9 ) 4E sol z x y i x yi x y x z x y i       4 2 2 2 2 2 2 . ( 9) 33: 5 36 ( 4) ( 9)( 4 ) ( 3)( 3)( 2 )( 2 )sol z x x x x i x x x i x Ex z x x i              2 2 2 . (4 ) 9 (4 3 34: (4 )(4 ) 9 3 )sol z x i x i Ex z x x i            2 . 16 9 16 9  35: 25 (4 3 )(4 3 )sol z i Ex z i i        2 2 . 81 36 81 36  (9 6  )(9 6  ) 9 13 9(9 4) 9(9 4  ) 9(3 2 36:   )(3 2  ) 117 sol z i i i or z i Ex z i i                 
  • 17.
    ‫ﺍﻟﻨﺎﺻﺮﻱ‬‫ﻣﻮﺳﻰ‬‫ﻛﺎﻣﻞ‬)17( 3 3 22 3 2 2 . 8 (2 )( 37: 8 4 4 2   ) (2 )(4 2   1) ( 12 )( 2   ) sol z x i x i x x i i x i x x i x i x x i E z x i x                 3 3 3 3 3 3 2 3 2 21 1 1 . (216   ) (216 1 38: 5 ) (6   )(36 6    ) 4 4 4 1 (6   )( 6     ) 4   1 4 4 36 sol z x i y x i Ex y x y i x xy i i x y i x y z x i y x i              2 2 2 39: 6 . 6 16 ( 8 )( 2 ) 16E s x z x ol z x xi xi i x i x i         2 2 2 2 2 2 2 1 . 6 25 ( 6) 9 2 6 9 9 25 ( 3) 16 ( 3) 16 ( 3 4  )( 3 4 40: 6 25   ) sol z x x added and subtract x E x x x i x i x x z x x i                           2 2 2 2 2 2 2 1 . 8 ? 52 ( 8) 41 16 2 8 16 16 52 ( 4) 36 ( 4) 36 ( 4 6 ) : 8 ( 4 ) 2 6 5 sol z x x Added and subtract x x x x i x i Ex z x x x i                            2 2 2 2 1 1 . 1 ( 1) 42 : 2 4 1 1 1 4 4 1 sol z x x Added and su Ex a z x x btract x x              
  • 18.
    ‫ﺍﻟﻨﺎﺻﺮﻱ‬‫ﻣﻮﺳﻰ‬‫ﻛﺎﻣﻞ‬)18( 2 2 2 2 22 2 2 2 2 2 2 4 1 3 ( ) 2 4 1 3 1 3 1 3 ( ) ( )( ) 3: 4 9 25 2 4 2 2 2 2 . 4 9 25 (2 3 25 )(2 3 25 ) Ex z x x x i x i x i sol z x i Sin y x i Sin y x i Sin y Sin y                     ‫اﻷوﻟﻰ‬ ‫اﻟﺪرﺟﺔ‬ ‫ﻣﻦ‬ ‫ﻋﻮاﻣﻞ‬ ‫ﺿﺮب‬ ‫ﻟﺤﺎﺻﻞ‬ ‫ﺣﻠﻞ‬: 3 44 : 8Ex b x                      23 2 2 2 2 .: 8 2 2 4 2 2 1 1 4 2 1 3 2 1 3 2 1 3 1 3 Sol x x x x x x x x x x x i x x i x i                                      ‫أﺧﺮى‬ ‫ﻓﻜﺮة‬:‫ﺑﺎﳌ‬ ‫ﺍﻟﻀﺮﺏ‬ ‫ﺑﺪﻭﻥ‬‫ﺑﺼﻴﻐﺔ‬ ‫ﺍﻛﺘﺐ‬ ‫ﺮﺍﻓﻖ‬a + bi‫ﺍﳌﺮﻛﺐ‬ ‫ﺍﻟﻌﺪﺩ‬: 2 5 44: 3 i Ex z i   ‫اﻟﺤﻞ‬:‫اﻟﻤﻘﺎم‬ ‫ﻟﯿﻜﻦ‬z = 3 + i;2 2 9 1 10z z a b      ‫و‬‫ﺗﻨﺲ‬ ‫ﻻ‬‫ﻣﻦ‬‫اﻟﻤﺮﻛﺐ‬ ‫اﻟﻌﺪد‬ ‫وﺣﺪة‬ ‫ﺗﻌﺮﯾﻒ‬ 2 2 1 1i i      ‫ﻧﻀﺮب‬‫وﻣﻘﺎم‬ ‫ﺑﺴﻂ‬‫اﻟﻌﺪد‬)5i(‫ﻓﻲ‬10 25 (10) (9 1) (9 ) (3 ) (3 ) 10 2 2 3 3 3 i i i i i i z i i i                2 3 i i   21 1 1 3 (3 ) (3 ) (3 1) 2 2 2 2 2 i i i i i i           4 45: 2 4 3 i Ex z i    ‫اﻟﺤﻞ‬:‫اﻟﻤﻘﺎم‬  z = 4 + 3 i 2 2 16 9 25     z z a b      
  • 19.
    ‫ﺍﻟﻨﺎﺻﺮﻱ‬‫ﻣﻮﺳﻰ‬‫ﻛﺎﻣﻞ‬)19( 24 4 (25) (169) (4 3 ) (4 3 )(16 9 ) 25 25 2 4 3 4 3 4 3 i i i i ii z i i i                 4 25 4 3 i i    24 4 4 12 16 (4 3 ) (4 3 ) (4 3) 25 25 25 25 25 i i i i i i                 ‫ﻧﻮع‬‫ﻣﺮﻛﺒﯿﻦ‬ ‫ﻋﺪدﯾﻦ‬ ‫ﺗﺴﺎوي‬ ‫ﺗﻌﺮﯾﻒ‬ ‫ﻋﻠﻰ‬ ‫آﺧﺮ‬: ‫ﻗﻴﻤﺔ‬ ‫ﺟﺪ‬x , y‫ﺍﳊﻘﻴﻘﻴﲔ‬‫ﺍﳌﻌﺎﺩﻟﺔ‬ ‫ﳛﻘﻘﺎﻥ‬ ‫ﻭﺍﻟﻠﺬﻳﻦ‬: 2 1 3 2 1 .:                    ( 2 3 ) ( ) 1 1 2 2 1 46: 1 2 i i i Ex x i i i sol x y i i i i i y i i i                   2 ( i  ) 2 2 2 2 2 2 6 3 2 ( ) ( ) 1 4 i i i i i i x y i i i             1 3 5 5 1 3 ( ) ( ) ( ) (1 ) 2 5 2 2 1 3 2 2 i i x y i i x i y i x x i y y i i                   ‫ﻟﻠﺼﯿﻐﺔ‬ ‫اﻟﻤﻌﺎدﻟﺔ‬ ‫ﻃﺮﻓﻲ‬ ‫ﻧﺤﻮل‬:a + b i 3 2 3 ( ) ( ) 0 2 1 1 ( ) 2 1 2 x y x x i y i i x y iy i              ‫ﺗﻌﺮﯾﻒ‬ ‫وﻣﻦ‬‫ﻋﻠﻰ‬ ‫ﻧﺤﺼﻞ‬ ‫ﻣﺮﻛﺒﯿﻦ‬ ‫ﻋﺪدﯾﻦ‬ ‫ﺗﺴﺎوي‬: 2 1 2 1 Re ( . . ) Im ( . . 1 Re ( . . ) 0 .....( 1) 2 3 Im ( . . ) 1 .....( 2) 2 1 1 ) 1 2 z z z z R H S x y eq R H S x y eq x x y L H S L H S                  
  • 20.
    ‫ﺍﻟﻨﺎﺻﺮﻱ‬‫ﻣﻮﺳﻰ‬‫ﻛﺎﻣﻞ‬)20( 2 2 21 1 .                1 .47 : (1 3     (1 6 9 ) 1 3 3 1 1 ) (1 )(1 3 ) 1 i Ex x i i sol x i i y i i i i i i y i i i                                1  2 2i i  1 2 1 2 ( 8 6 ) 4 2 2 6   4 2 ( 8 ) ( 6 )  4 2 1 Re Re 4 2 1 Im Im 8 6 2 6( ) 2 5 2 8z z z z x i y i i x i y i y x y i i y and x x y y y x                                         2 2 2 3 6 3 2 .                         (1 ) (1 ) 2 2 6 6 3 2 ( 6 3 .48: (1 ) 2 1 4 i i sol i i x yi i i i i i x yi i i Ex i x yi i                         2 2i i  2 ) (1 ) 6 5 5 2 2 5 6 6 1 2 2 1 6 6 1 1 1 1 6 6 3 3 3 ; 3 2 i i i i x yi i i i x yi x yi i x yi x yi i i i i x yi i x y                                              ‫ﻟﻠﻨﺘﺎﺋﺞ‬ ‫ﺟﺪوﻻ‬ ‫ﻧﻈﻢ‬:‫اﻟﻄﺒﻊ‬ ‫ﻟﻤﺴﺎﺣﺔ‬ ‫اﺧﺘﺼﺎرا‬ ‫ﻟﻠﻨﺘﺎﺋﺞ‬ ‫ﺟﺪاول‬ ‫اﻧﻈﻢ‬ ‫وﻟﻢ‬ -3x 3y
  • 21.
    ‫ﺍﻟﻨﺎﺻﺮﻱ‬‫ﻣﻮﺳﻰ‬‫ﻛﺎﻣﻞ‬)21( 1 2 1 2 2 2 .                       2   2   4  1 8 2   2   8 2   2   3 8   (2 2 )  3 8 Re Re   3 ......( 1) Im Im 2 2 8 4 ....( .49: ( 2  )( 2 2  ) 1 4 . 8   3 ) z z z z sol x y x i i y i i x i i y i xy x i i y i x y x y i i Ex x i x y eq an y i i x d x y x y y xy eq                                       ‫اﻟﻤﻌﺎد‬ ‫ﺗﺤﻞ‬‫ﺑﺎﻷوﻟﻰ‬ ‫اﻟﺜﺎﻧﯿﺔ‬ ‫اﻟﻤﻌﺎدﻟﺔ‬ ‫ﺑﺘﻌﻮﯾﺾ‬ ‫آﻧﯿﺎ‬ ‫ﻟﺘﯿﻦ‬: 2 2 (4 ) 3 4 3 4 3 0 ( 3)( 1) 0 3 1 4 1 4 1 3 ; 3 4 3 1 x x x x x x x x x or x But y x when x y when x y                             5 2   2 3   2 23 0 2 2 2 2 5 2   4   2 6 3   2   23 0 5 5 5 2   4   2 (6 3 2   2 3 23 50: 0 2 2 ) 23 0   4 3   2 5 2 2 6   0 8   2 3   2 6 x y i i x y i i i i i i x x i y i y x x i y i y x x x yi x yi i y i y x xi y i y x i yi x i y i y x y y i x i Ex i i x y x                                                                23 0 ( 8 23) ( 6 2 ) 0 0x y y x i i           1 2 1 2 (2) Re Re 8 23 0 ......( 1) Im Im 6 2 0 3 .....( 2) 8(3 ) 23 0 23 23 0 1 3 z z z z x y eq and y x x y eq y y y y then x                           2 51: ( ) 4 4 2 0 2x yi x yi i Ex x and y x yi                 2 4 4 0 52 :( ) 16 x yi x and y Ex x yi          
  • 22.
    ‫ﺍﻟﻨﺎﺻﺮﻱ‬‫ﻣﻮﺳﻰ‬‫ﻛﺎﻣﻞ‬)22( 2 2 22 2 2 2 2 2 8 2 8 ( ) (2 ) 0 53:( ) 8 8 x xyi y i i x Ex x yi xyi y i i x y xy i i                1 2 1 2 2 2 Re Re 0 ......( 1) 4 Im Im 2 8 .....( 2) z z z z x y eq and xy y eq x           2 2 4 2 2 2 16 0 16 0 ( 4)( 4) 0 2 2 x ‫ﻞ‬ ‫ﯾﮭﻤ‬ x x x x x x y                 1 2 1 2 2 2 2 2 2 2 2 2 2 2 2 ( ) 2 4 2 4 2 2 2 2 2   12 16 2   12 16 ( ) (2 ) 16 Re Re ......( 1) 8 Im Im 2 16 .....( 2) 64 12 64 12 12 64 0 5 ( 16 4 : ( ) 12 16 12 12 )( 4 z z z z x ‫ي‬ x xy i y i i x xy i y i xy i i eq and xy y eq Ex x yi x x x x x x x x x x x i y y                                            8 ) 0 4 4 2 ; 4 2 ‫ﻞ‬ ‫ھﻤ‬ x but y x when x y when x y                - 44x 2- 2y 2 2 2 2 3 3 (3 ) . (   ) (   ) 3 3 10 3 3 1     ( ) 10 10 10 3 1 3 1 10 3 .55 : (   ) 3 10 10 10 i Ex i i i sol x y i x y i i i i x y i x y i x y i i W hen x y or W e x y i h n                                 
  • 23.
    ‫ﺍﻟﻨﺎﺻﺮﻱ‬‫ﻣﻮﺳﻰ‬‫ﻛﺎﻣﻞ‬)23( 2 2 2 2 2 .2 .56: 2 (2 )( 4 (2 )( 4 ) 2 )Ex x yi i x y sol x yi i x y i x yi           (2 ) ( 2 )i x yi   ( 2 ) 1 2 1 (2 )( 2 ) 2 2 2 2 2 1 2 1 2 2 ; 5 5 5 5 10 x yi i i x yi x yi i i i x yi x yi i x y                         1 2 2 2 2 2 2 2 2 2 2 7 4 2 14 7 8 4 10 15 .   2 3 2 2 5 5   2 3 2 3 (   ) 2   (   ) 4 3 2 4 3 2 4 3 ( ) ( 7 4 .57 : (   ) 2   2 ) 4 3 Re   2 z i i i i i sol m n i i i i m n i i m and n i Ex x y i m n i W hen m B ut x y i m n i x y i i x n x yi y i i x xyi y i x y i i i i x y                                                      2 1 2 2 2 2 (4 ) 2 4 2 4 2 2 2 2 Re 4 ......( 1) 3 Im Im 2 3 .....( 2) 2 9 4 4 9 16 4 16 9 0 4 3 3 (2 9)(2 1) 2 2 0 3 3 2 z z z x ‫ﻞ‬ ‫ﯾﮭﻤ‬ x y eq and x y y eq x x x x x x x x x x but y x w hen x y                              2 2 3   2 1 ; 2 3 1 2 2 w hen x y      
  • 24.
    ‫ﺍﻟﻨﺎﺻﺮﻱ‬‫ﻣﻮﺳﻰ‬‫ﻛﺎﻣﻞ‬)24( ‫ﻛﻞ‬i‫ﺍﻟﻔﺮﺿﻴﺔ‬ ‫ﻃﺮﻳﻘﺔ‬ ‫ﻧﺴﺘﻌﻤﻞ‬‫ﺍﳉﺬﺭﺍﻟﱰﺑﻴﻌﻲ‬ ‫ﲢﺖ‬ 10 .                      .58: ( )        6 8    10 6 8 sol x y E y i i x x i i       ‫ﻧﻔﺮض‬:8 6 ,i a bi a b     ‫ﻋﻠ‬ ‫ﻧﺤﺼﻞ‬ ‫اﻟﻄﺮﻓﯿﻦ‬ ‫وﺑﺘﺮﺑﯿﻊ‬‫ﻰ‬: 1 2 1 2 2 2 2 2 2 2 2 2 ( ) 2 4 2 4 2 2 2 2 ( ) 8 6 2 8 6 ( ) (2 ) 8 6 Re Re 8 ......( 1) 3 Im Im 2 6 .....( 2) 9 8 9 8 8 9 0 ( 1)( 9) 0 z z z z a ‫ﻞ‬ ‫ﯾﮭﻤ‬ a bi i a abi b i a b ab i i a b eq and ab b eq a a a a a a a a a                                           3 1 1 3 ; 8 6 1 3 1 3 ; 8 6 1 3 a but b a when a b then i i when x b then i i                      ‫اﻷوﻟﻰ‬ ‫اﻟﺤﺎﻟﺔ‬:‫ﻋﻨﺪﻣﺎ‬8 6 1 3i i   ‫ﺗﺼﺒﺢ‬ ‫اﻟﻤﻌﺎدﻟﺔ‬: 10 1 3 x yi i    10 1 3 10 1 3 1 3 i x yi i i        (1 3 ) 10 i 1 3 1 , 3i then x y     ‫اﻟﺜﺎﻧﯿﺔ‬ ‫اﻟﺤﺎﻟﺔ‬:‫ﻋﻨﺪﻣﺎ‬8 6 1 3i i    ‫ﺗﺼﺒﺢ‬ ‫اﻟﻤﻌﺎدﻟﺔ‬: 10 1 3 x yi i     10 1 3 10 1 3 1 3 i x yi i i           ( 1 3 ) 10 i  1 3 1 , 3i then x y      2 2 14 53  59: 1 2 7 x x EXAMPLE x xy i x i               2 2 2 2 2 .: 14 53 14 49 49 53 7 4 7 4 7 2 7 2 sol x x x x x x i x i x i                  
  • 25.
    ‫ﺍﻟﻨﺎﺻﺮﻱ‬‫ﻣﻮﺳﻰ‬‫ﻛﺎﻣﻞ‬)25( ‫ﺑﺎﻟﻤﻌﺎدﻟﺔ‬ ‫ﯾﻌﻮض‬ ‫اﻟﺘﺤﻠﯿﻞ‬‫ﻧﺎﺗﺞ‬: 2 7 2 1 x i x xy i        7 2 2 7 x i x i            2 2 2 2 2 1 7 2 6 2 6 2 Re : 6 6 0 3 2 0 3 2 Im : 2 2 1 3 2 / 3 x xy i x i x xy i x i x xy i x i x x x x x x x or x xy when x y when x y                                         ( . 60Ex‫ﻟﻠﻌﺪﺩ‬ ‫ﺍﻟﱰﺑﻴﻌﻴﺎﻥ‬ ‫ﺍﳉﺬﺭﺍﻥ‬ ‫ﺟﺪ‬: 8 1 3  ‫اﻟﺤﻞ‬:‫اﻟﻤﺮﻛﺐ‬ ‫ﻟﻠﻌﺪد‬ ‫اﻟﻘﯿﺎﺳﯿﺔ‬ ‫ﻟﻠﺼﯿﻐﺔ‬ ‫اﻟﻌﺪد‬ ‫ﻧﺤﻮل‬: 8 8 8 1 3 8(1 3) 2 2 3 41 3 1 1 3 1 3 1 3 i i i i i                ‫ﻧﻔﺮض‬2 2 3 i x yi  ‫اﻟﻄﺮﻓﯿ‬ ‫وﺑﺘﺮﺑﯿﻊ‬‫ﻦ‬‫ﻋﻠﻰ‬ ‫ﻧﺤﺼﻞ‬: 2 ( ) 2 2 3x yi i   2 2 2 2 2 2 2 2 2 2 3 2 2 2 3 ( ) (2 ) 2 2 3 x xyi y i i x xyi y i x y xy i i                1 2 1 2 2 2 2 ( ) 2 4 2 4 2 2 2 2 Re Re 2 ......( 1) 3 Im Im 2 2 3 .....( 2) 3 2 3 2 2 3 0 3 ( 3)( 1) 0 3 3 1 ; 2 2 3 3 3 1 ; 2 2 3 3 z z z z x ‫ﻞ‬ ‫ﯾﮭﻤ‬ x y eq and x y y eq x x x x x x x x x x but y x w hen x y then i i w hen w hen x y then i i                                             ‫ﻣﻼﺣﻈﺔ‬1:‫ﻋﺎﻣﺔ‬ ‫ﺑﺼﻮرة‬ ‫اﻟﺠﺬور‬ ‫ان‬‫ﻻﺣﻘﺎ‬ ‫دﯾﻤﻮاﻓﺮ‬ ‫ﻣﺒﺮھﻨﺔ‬ ‫ﺑﻤﻮﺟﺐ‬ ‫ﺳﺘﺤﻞ‬.
  • 26.
    ‫ﺍﻟﻨﺎﺻﺮﻱ‬‫ﻣﻮﺳﻰ‬‫ﻛﺎﻣﻞ‬)26( ‫ﻣﻼﺣﻈﺔ‬2:‫ﻟﻠﻌﺪد‬ ‫اﻟﺘﺮﺑﯿﻌﻲ‬ ‫اﻟﺠﺬر‬‫ﻧﺠﺪ‬ ‫أن‬ ‫ﯾﻤﻜﻦ‬z x yi ‫اﻟﻄﺮﯾﻘﺔ‬ ‫ھﺬه‬ ‫وﺗﺴﺘﻌﻤﻞ‬‫ﻟﻠﺘﺤﻘﻴﻖ‬‫ﻏﯿﺮ‬ ‫ﻷﻧﮭﺎ‬ ‫اﻟﺒﺎﺋﺲ‬ ‫ﻣﻨﮭﺠﻨﺎ‬ ‫ﻓﻲ‬ ‫ﻣﻮﺟﻮدة‬‫ﻛﺴﺆال‬ ‫اﺳﺘﻨﺘﺎﺟﮭﺎ‬ ‫ﯾﻤﻜﻦ‬ ‫ﺣﯿﺚ‬.‫وھﻲ‬‫ﻟﻸﻃﻼﻉ‬ The modulus or absolute value of a complex number z ‫ﻧﺠﺪ‬‫ﺍﳌﺮ‬ ‫ﺍﻟﻌﺪﺩ‬ ‫ﻣﻘﻴﺎﺱ‬‫ﻛﺐ‬   ‫ﻟﯿﻜﻦ‬=r=|z|‫ﺣﯿﺚ‬2 2 r x y ،‫ر‬=‫اﻟﻤﻘﯿﺎس‬ ‫اﻟﺘﺮﺑﯿﻌﻲ‬ ‫اﻟﺠﺬر‬ ‫ﻹﯾﺠﺎد‬ ‫اﻟﻘﺎﻋﺪة‬ ‫ﻧﻄﺒﻖ‬ 2 2( ) r x y x iy i r x      ‫ﻣﺜﻼ‬:8 6i ‫اﻟﺤﻞ‬:2 2 64 36 10r x y    ‫ﺣﯿﺚ‬8,    6x y   10 8 6 6 8 6 9 3 2 2(10 8) 36 i i i i            .61Ex:‫ﻟﻠﻌﺪﺩ‬ ‫ﺍﻟﱰﺑﻴﻌﻴﺎﻥ‬ ‫ﺍﳉﺬﺭﺍﻥ‬ ‫ﺟﺪ‬4 3i ‫اﻟﺤﻞ‬:‫اﻟﻤﻘﯿﺎس‬=16 9 5 r  ‫ﺣﯿﺚ‬x = 4 , y = 3 5 4 3 3 1 4 3 ( ) ( ) 2 2(5 4) 2 2 i i i          ‫آﺧﺮ‬ ‫ﺗﻄﺒﯿﻖ‬‫ﺗﺴﺎ‬ ‫ﻓﻲ‬‫ﻣﺮﻛﺒﯿﻦ‬ ‫ﻋﺪدﯾﻦ‬ ‫وي‬ 62(EX.‫اﻟﻤﺮﻛﺐ‬ ‫اﻟﻌﺪد‬ ‫ﻛﺎن‬ ‫إذا‬ 1 ,   2‫اﻟﻤﻌﺎدﻟﺔ‬ ‫ﺟﺬري‬ ‫اﺣﺪ‬ ‫ھﻮ‬2 2 2 7 0x x bx a     ‫ﻗﯿﻤﺔ‬ ‫ﻓﺠﺪ‬a , b‫اﻟﺤﻘﯿﻘﯿﯿﻦ‬. ‫اﻟﺤﻞ‬:‫أن‬ ‫ﺑﻤﺎ‬‫اﻟﻤﺮﻛﺐ‬ ‫اﻟﻌﺪد‬1 – 2i‫اﻟﻤﻌﺎدﻟﺔ‬ ‫ﯾﺤﻘﻖ‬ ‫ﻓﮭﻮ‬ ‫ﻟﺬا‬ ‫اﻟﻤﻌﺎدﻟﺔ‬ ‫ﺟﺬري‬ ‫أﺣﺪ‬ ‫ھﻮ‬: 2 2 2 2 2 7 0 2( ? ) 2( ? ) ( ? ) 7 0 2(1 2 ) 2(1 2 ) (1 2 ) 7 0 2(1 4 4 ) 2(1 2 ) (1 2 ) 7 0 6 8 2 4 2 7 0 15 4 2 0 ( 15 ) ( 4 2 ) 0 0 4 2 0 2 15 0 15 2 0 x x bx a b a i i b i a i i b i a i i b bi a b a i bi b a b i i b b and b a a a                                                                         17 .63Ex:‫ﻟﻠﻌﺪﺩ‬ ‫ﺍﻟﱰﺑﻴﻌﻴﺎﻥ‬ ‫ﺍﳉﺬﺭﺍﻥ‬ ‫ﺟﺪ‬32 ‫اﻟﺤﻞ‬: 4 2          32  1      32         32z i z z z              
  • 27.
    ‫ﺍﻟﻨﺎﺻﺮﻱ‬‫ﻣﻮﺳﻰ‬‫ﻛﺎﻣﻞ‬)27( ‫اﻟﺴﺆاﻟﯿﻦ‬ ‫ﻓﻲ‬)1-2(‫اﻟﻤﺮﻛﺐ‬ ‫اﻟﻌﺪد‬‫ﺟﺪ‬z‫ﯾﺤﻘﻖ‬ ‫واﻟﺬي‬: 1:4 7 3 ( ) ; 2:3 2 4 ( ) :3 4Q z i i z Q z z i z ans i       ‫ﺑﺎﻟﺼﯿﻐﺔ‬ ‫اﻛﺘﺐ‬ ‫ﺑﺎﻟﻤﺮاﻓﻖ‬ ‫اﻟﻀﺮب‬ ‫ﺑﺪون‬‫اﻟﻌﺪد‬ ‫اﻟﻤﺮﻛﺐ‬ ‫ﻟﻠﻌﺪد‬ ‫اﻻﻋﺘﯿﺎدﯾﺔ‬: 25 3 : 2 4 i Q i  ‫ﻣﻦ‬ ‫ﻛﻼ‬ ‫أﻛﺜﺮ‬ ‫أو‬ ‫ﻣﺮﻛﺒﯿﻦ‬ ‫ﻋﺪدﯾﻦ‬ ‫ﺿﺮب‬ ‫ﻟﺤﺎﺻﻞ‬ ‫ﺣﻠﻞ‬:4:Q                 4 4 4 2 2 2 3 3    90 45  - 16y           + 12x 8        - 27            +    25 a b c x d x e x x f x g x i h x ; ; ; -64 - 8 +12 ; -6x + 25 ; ; 5 i ‫اﻷﺳﺌﻠﺔ‬‫ﻣﻦ‬5‫اﻟﻰ‬16‫ﻗﯿﻤﺔ‬ ‫ﺟﺪ‬x , y‫اﻟﺘﺎﻟﯿﺔ‬ ‫ﺗﺤﻘﻖ‬ ‫واﻟﺘﻲ‬: 2 5: 2   3 4Q x y i i             2 2 2 2 2 2 1 2 6:( ) 16;           7:   1                  8:     3 8 4 2 9:                             10: 4     1   8 8 4 12 52 11: 6             ;           12: ( 4 6 i Q x yi Q x y i Q x y a bi x y i i i Q x y i Q x y i x y i i i i x x Q x y i x Q xy x i                                          2 2 2 4 8 2 ) 1 1 5 25 4(1 5 )1 200 13: 3 2 8                 14:  3 2           ;   15:      4 3 2 16:   2   7 5      whene  z = -1= 2i x y i i i i Q x i y i Q x y Q x y i i i Q z z x y i i                      ‫ﻣﻦ‬ ‫ﻟﻜﻞ‬ ‫اﻟﺘﺮﺑﯿﻌﯿﺎن‬ ‫اﻟﺠﺬران‬ ‫ﺟﺪ‬:17 :  Q 100 7 3 :                ;           B:                 ;                : 11-24 3     ;     E : -i 16 3 1 12 :  4 3                     ;            :  16 12               ;                  :  4 2 3 2  A D F i G i H i            ‫ﺗﺴﺘﻄﯿﻊ‬ ‫ھﻞ‬‫إﺟﺎﺑﺔ‬‫اﻟﻔﺮﻋﯿﻦ‬G , H‫ﺑﺎﻻ‬‫ﻋﺘﻤﺎد‬‫ﻋﻠﻰ‬‫إﺟﺎﺑﺔ‬F‫؟‬ ‫ﺗﺪﺭﻳﺐ‬)1 - 2(
  • 28.
    ‫ﺍﻟﻨﺎﺻﺮﻱ‬‫ﻣﻮﺳﻰ‬‫ﻛﺎﻣﻞ‬ 28 ‫ﺍﳌﻌﺎﺩﻻﺕ‬ ‫ﺣﻞ‬ ‫ﻓﻲ‬‫اﻟﺘﺎﻟﯿﺔ‬ ‫اﻟﻤﻌﺎدﻻت‬‫ﻣﻦ‬ ‫ﻛﻞ‬ ‫ﺣﻞ‬ ‫ﺟﺪ‬:   2 2 . 8 8 2 2 2 2 , 2 2 .58: 8 0 sol x x i S i Ex i x             2 2 .59: 8 . 8 8 0 ‫ﯿﺔ‬ ‫ﻓﺮﺿ‬ sol x Ex x i i x i        2 2 2 2 2 : 8 ( ) 8 ( ) (2 ) 8 0 ...(1) 4 2 8 ...(2) ‫ﺎﻟﻄﺮﻓﯿﻦ‬ ‫ﺑﺘﺮﺑﯿﻌ‬ L et i a bi a bi i a b ab i i a b ab b a                    ‫ﻋﻠﻰ‬ ‫ﻧﺤﺼﻞ‬ ‫وﺑﺎﻟﺘﻌﻮﯾﺾ‬:   2 2 4 2 2 2 , 2 2 16 0 16 0 ( 4)( 4) 0 2 4 4 2 2 8 (2 2 ) 2 2 ‫ﻞ‬ ‫ﯾﮭﻤ‬ a i a a a a a a but b b a Hence i i Hence S i                               4 2 2 2 2 2 . ( 64)( 9) 0 ( .60 64 8) ( : 55 576 0 9 3) 8, 8, 3, 3 sol z z z z or z z i S q z i i E z                    2 .61: 4 8 4 0Ex i z i z i    ‫ﻓﻲ‬ ‫ﻃﺮﻓﯿﮭﺎ‬ ‫ﺑﻀﺮب‬ ‫اﻟﺜﺎﻧﯿﺔ‬ ‫اﻟﺪرﺟﺔ‬ ‫ﻣﻌﺎﻣﻞ‬ ‫ﻣﻦ‬ ‫ﻧﺘﺨﻠﺺ‬ ‫ﻟﻠﺤﻞ‬)-i(‫ﻋﻠﻰ‬ ‫ﻓﻨﺤﺼﻞ‬: 2 4 8 4 0z z i    ‫ﺑﺎﻟﻘﺎﻧﻮن‬ ‫ﺗﺤﻞ‬ ‫اﻟﺜﺎﻧﯿﺔ‬ ‫اﻟﺪرﺟﺔ‬ ‫ﻣﻦ‬ ‫ﻣﻌﺎدﻟﺔ‬ ‫ﻛﻞ‬)‫اﻟﺪﺳﺘﻮر‬: (
  • 29.
    ‫ﺍﻟﻨﺎﺻﺮﻱ‬‫ﻣﻮﺳﻰ‬‫ﻛﺎﻣﻞ‬ 29 2 2 1 , 4, 8 4 ; 4 16 4(8 4) 32 4 4 32 4 4 2 2 2 2 2 2 2 ‫ﯿﺔ‬ ‫ﻓﺮﺿ‬ a b c i D b ac i i b b ac i i z i a                          ‫اﻟﺘﺮﺑﯿﻌﻲ‬ ‫اﻟﺠﺬر‬ ‫أوﻻ‬ ‫ﻧﺠﺪ‬: 2 2 2 2 2 : 2 ( ) 2 ( ) (2 ) 2 0 ...(1) 1 2 2 ...(2) ‫ﺎﻟﻄﺮﻓﯿﻦ‬ ‫ﺑﺘﺮﺑﯿﻌ‬ L et i a bi a bi i a b ab i i a b ab b a                    2 2 4 2 2 2 ( ) 1 0 1 0 ( 1)( 1) 0 1 1 1 1 2 (1 ) 1 ‫ﻞ‬ ‫ﯾﮭﻤ‬ a a a a a a a but b b hence i i a                         ‫اﻟﻔﺮﺿﯿﺔ‬ ‫ﻗﺒﻞ‬ ‫ﻟﻤﺎ‬ ‫ﻧﻌﻮد‬ ‫ﺛﻢ‬:2 2 2z i     2 2 2 2 2(1 ) 2 2 2 4 2 (1) 2 2 2 2 (2) 4 2 , 2 z i i z i i The root or z i i The root Hence S i i                    .(62)Exa‫أن‬ ‫اﺛﺒﺖ‬1‫ﺟ‬ ‫أﺣﺪ‬ ‫ھﻮ‬‫ﺬور‬‫اﻟﻤﻌﺎدﻟﺔ‬ 3 2 1 0z z  ‫اﻵﺧﺮﯾﻦ‬ ‫اﻟﺠﺬرﯾﻦ‬ ‫ﺟﺪ‬ ‫ﺛﻢ‬. ‫اﻟﺤﻞ‬:‫اﻟﻌﺪد‬ ‫ﯾﻜﻮن‬ ‫ﻟﻜﻲ‬1‫ﯾﺤﻘﻘﮭﺎ‬ ‫أن‬ ‫ﻓﯿﺠﺐ‬ ‫اﻟﻤﻌﺎدﻟﺔ‬ ‫ﺟﺬور‬ ‫أﺣﺪ‬. ‫ﺻﺎﺋﺒﺔ‬ ‫ﻋﺒﺎرة‬ 3 1: 2 1 0 1 2 1 0 0 0z z z          z = 1. ‫أﺻﺒﺢ‬x – 1‫اﻟﺤﺪود‬ ‫ﻣﺘﻌﺪد‬ ‫ﻋﻮاﻣﻞ‬ ‫أﺣﺪ‬ ‫ھﻮ‬‫ﺗﺮﺗﯿﺐ‬ ‫ﺑﻌﺪ‬ ‫اﻟﻄﻮﯾﻠﺔ‬ ‫اﻟﻘﺴﻤﺔ‬ ‫ﻧﺴﺘﻌﻤﻞ‬ ‫اﻷﺧﺮى‬ ‫اﻟﻌﻮاﻣﻞ‬ ‫وﻹﯾﺠﺎد‬ ‫ﺗﻨﺎزﻟﯿﺎ‬ ‫ﺗﺮﺗﯿﺒﺎ‬ ‫اﻟﺤﺪود‬. ‫اﻟﻘﺴﻤﺔ‬ ‫ﺧﺎرج‬ ‫أن‬ ‫ﻧﻼﺣﻆ‬ ‫اﻟﻄﻮﯾﻠﺔ‬ ‫اﻟﻘﺴﻤﺔ‬ ‫ﺑﻌﺪ‬ ‫ھﻮ‬2 2 2 1z z   ‫اﻟﻤﻌﺎدﻟﺔ‬ ‫ﺗﻜﻮن‬ ‫ﻟﺬا‬:  2 1 2 2 1 0Z z z     ‫اﻣﺎ‬Z – 1= 0‫اﻟﻰ‬ ‫ﯾﺆدي‬Z = 1‫اﻷول‬ ‫اﻟﺠﺬر‬ 2 3 2 2 1 21 z z zZ     3 1 2 z z    2 2 2 2 z z   2 1 2 z z   2 1 1 0 z Z Z     
  • 30.
    ‫ﺍﻟﻨﺎﺻﺮﻱ‬‫ﻣﻮﺳﻰ‬‫ﻛﺎﻣﻞ‬ 30 ‫ﺃﻭ‬ 2 2 2 10z z   ‫اﻟﺜﺎﻧﯿﺔ‬ ‫اﻟﺪرﺟﺔ‬ ‫ﻣﻦ‬ ‫ﻣﻌﺎدﻟﺔ‬ ‫وھﺬه‬ ‫اﻟﻄﺮﻓﯿ‬ ‫ﯾﻀﺮب‬‫ﻦ‬×( - 1 )‫ﻋﻠﻰ‬ ‫ﻓﻨﺤﺼﻞ‬: 2 2 2 1 0z z   ‫ﺑﺎﻟﺪﺳﺘﻮر‬ ‫ﺗﺤﻞ‬.a = 2 , b = 2 , c = 1 ‫واﻟﺜﺎﻟﺚ‬ ‫اﻟﺜﺎﻧﻲ‬ ‫اﻟﺠﺬران‬ 2 2 4 4(2)(1)4 2 4 2 2 1 1 2 2(2) 4 4 2 2 b b ac i z i a                  ‫ﺍﻟﺘﻜﻌﻴﺒﻴﺔ‬ ‫ﺍﳉﺬﻭﺭ‬ ( .62Ex‫ﺟﺪ‬‫اﻟﺘﻜﻌﯿﺒﯿﺔ‬ ‫اﻟﺠﺬور‬8 i‫ﺑﯿﺎﻧﯿﺎ‬ ‫اﻟﺠﺬور‬ ‫وﻣﺜﻞ‬. 2 ( ) 3 3 3 3 2 2 2 2 0 1 8 8 8 0 ( 2 ) ( 2 4 ) 0 2 0 2 (1) 2 4 0 1 , 2 , 4 4 2 4 16 2 12 2 2 3 3 2 2 2 2 : 2 ( 2, 0) 1 3 ( i L et z i z i z i z i z z i i z i z root Or z z i a b i c b b ac i i i z i a T HE roots z root z i                                                2 2 2 3,1) 2 3 ( 3 ,1) 3 | | 2 root z i root z r a b          ‫ﺑﺪاﯾﺘﮫ‬ ‫ﻣﺘﺠﮭﺎ‬ ‫ﺗﺸﻜﻞ‬ ‫اﻷﺻﻞ‬ ‫ﻧﻘﻄﺔ‬ ‫ﻣﻊ‬ ‫ﻧﻘﻄﺔ‬ ‫وﻛﻞ‬ ‫أرﻛﺎﻧﺪ‬ ‫ﻣﺴﺘﻮى‬ ‫ﻓﻲ‬ ‫ﻧﻘﺎط‬ ‫ﺛﻼث‬ ‫ھﻮ‬ ‫اﻟﺠﺬور‬ ‫ﻟﮭﺬه‬ ‫اﻟﺒﯿﺎﻧﻲ‬ ‫اﻟﺘﻤﺜﯿﻞ‬ ‫وﻃﻮﻟﮫ‬ ‫اﻷﺻﻞ‬ ‫ﻧﻘﻄﺔ‬2‫ﻣﺘﺘ‬ ‫ﻣﺘﺠﮭﯿﻦ‬ ‫ﺑﯿﻦ‬ ‫اﻟﺰاوﯾﺔ‬ ‫وﻗﯿﺎس‬ ، ‫ﻃﻮل‬ ‫وﺣﺪة‬‫ﺗﺴﺎوي‬ ‫ﺎﻟﯿﯿﻦ‬ 2 3  ‫ﻗﻄﺮﯾﺔ‬ ‫ﻧﺼﻒ‬ ‫زاوﯾﺔ‬ ‫ﻧﻘﻄﺔ‬ ‫ﻣﺮﻛﺰھﺎ‬ ‫داﺋﺮة‬ ‫ﻣﻦ‬ ‫ﻧﻘﻂ‬ ‫ھﻲ‬ ‫اﻟﺜﻼﺛﺔ‬ ‫واﻟﻨﻘﺎط‬‫اﻷﺻﻞ‬‫اﻟﻤﻌﺎدﻟﺔ‬ ‫ﺟﺬور‬ ‫ﻣﻦ‬ ‫ﺟﺬر‬ ‫ﻛﻞ‬ ‫ﻣﻘﯿﺎس‬ ‫ﻗﻄﺮھﺎ‬ ‫وﻧﺼﻒ‬ ‫ﯾﺴﺎوي‬ ‫واﻟﺬي‬2 2 | | 2z a b  . ‫ﻣﻼﺣﻈﺔ‬:‫ﺑﺎﺳﺘﺨﺪام‬ ‫اﻟﺠﺬور‬ ‫ھﺬه‬ ‫إﯾﺠﺎد‬ ‫ﯾﻤﻜﻦ‬ ‫اﻟﺘﻲ‬ ‫دﯾﻤﻮاﻓﺮ‬ ‫ﻣﺒﺮھﻨﺔ‬‫ﻻﺣﻘﺎ‬ ‫ﺳﺘﺄﺗﻲ‬.x x = 1 r = 2 y 2z 0z 1z 2 3  2 3  2 3 
  • 31.
    ‫ﺍﻟﻨﺎﺻﺮﻱ‬‫ﻣﻮﺳﻰ‬‫ﻛﺎﻣﻞ‬ 31 ‫ﻣﻦ‬ ‫اﻷﺳﺌﻠﺔ‬Q1‫اﻟﻰ‬Q6‫ﻓﻲ‬ ‫اﻟﻤﻌﺎدﻻت‬‫ﺣﻞ‬ ‫ﺟﺪ‬    2 2 2 2 3 2 2 2 4 5 6 1: 8 7 1 0 ; : 5 5 3i ; Q : 7 13 1 0 3 :z 2 4 3 0 ; : 4 1 3 0 ; : 12 5 0 1 Q x i x Q i z i z i i Q z i z Q z z i Q z i i                              7:Q‫ﻛﺎن‬ ‫اذا‬2‫اﻟﺜﻼﺛﺔ‬ ‫اﻟﺠﺬور‬ ‫أﺣﺪ‬ ‫ھﻮ‬‫ﻟﻠﻤﻌﺎدﻟﺔ‬3 2 8 4 8 0z Z Z   ‫اﻵﺧﺮﯾﻦ‬ ‫اﻟﺠﺬرﯾﻦ‬ ‫ﻓﺠﺪ‬. 8:Q‫ﺟﺪ‬55 48i ‫ا‬ ‫ُو‬‫ﻓﻲ‬ ‫اﻟﻨﺎﺗﺞ‬ ‫ﺳﺘﺨﺪم‬‫إﯾﺠﺎد‬‫اﻟﻤﻌﺎدﻟﺔ‬ ‫ﺟﺬري‬:2 (1 2 ) 13(1 ) 0z i z i     9:Q‫اﻟﻤﺮﻛﺐ‬ ‫اﻟﻌﺪد‬ ‫ﺟﺪ‬z‫ﯾﺤﻘﻖ‬ ‫واﻟﺬي‬ 22 18 24 0z z i    : 10Q‫ا‬ ‫اﻟﺠﺬور‬ ‫ﺟﺪ‬‫ﻟﺘﻜﻌﯿﺒﯿﺔ‬‫ﻟﻠﻌﺪد‬i‫ﺑﯿﺎﻧﯿﺎ‬ ‫اﻟﺠﺬور‬ ‫وﻣﺜﻞ‬.                         1 .: 1 , ; 2 1 , 4 ; 3 4 ,3 ; 4 1 , 1 5 ; 8 5 3 , 2 ; 6 2 3 , 2 4 ; (7) 3 ; (8) 38- , 1 5 , Ans i i i i i i i i i i i i i i i                                2 3 1 3 9 4 3 , 4 3 ; 10 , 2 2 i i i i i        ‫ﺗﺪﺭﻳﺐ‬( 1 – 3 )
  • 32.
    ALNASSIRYKAMIL32 ‫ﺍﻟﺼﺤﻴﺢ‬ ‫ﻟﻠﻮﺍﺣﺪ‬ ‫ﺍﻟﺘﻜﻌﻴﺒﻴﺔ‬‫ﺍﳉﺬﻭﺭ‬ 3 3 2 2 2 1 1 0 ( 1)( 1) 0 1 0 1 1 0 ; 1 4 1 1 4 1 2 3 2 13 2 2 Let x x x x x Either x x or x x a b c b b a ic x a                                     1 1z 0 1z 0 1z  2 1 3 2 2 z i  1z 2 1z  3 1 3 2 2 z i   2 2z 2z   2 1 , ,  1 3 2 2 i   2 1 3 2 2 i    1 3 2 2 i   2 1 3 2 2 i    Omegaw 1 2 ,  2 2 2 1 2 2 1 3 ( ) ( ) 2 2 1 3 3 1 3 4 2 4 2 2 z i i i i z          
  • 33.
    ALNASSIRYKAMIL33 2 2 1( )zz 22 1 3 1 3 2 2 2 2 i i     1 3 1 3 2 2 2 2 i i     3 1 2 3 1 3 1 2 2 z z z i     1 3 2 2   2 1 1 1 0 2 2 1 0 i            2 1 0    2 2 2 2 2 1 , 1 1 , 1 1 ........                          40 2 3 1 1 1       3 1n n    mod 385 3 24 : ( ) 1 1Ex         ( .63Ex 14 25 16 32 7 8 7 37 ) ) ) 3 6 ) ) ) 1 1 a b c d e f             
  • 34.
    ALNASSIRYKAMIL34 14 3 42 2 ) ( )a       25 3 8 1 ) ( )b       16 32 3 5 3 10 2 2 ) ( ) ( ) 1c                 7 8 3 2 3 2 2 2 ) ( ) ( ) 1d i                 3 7 3 2 2 2 3 3 3 3 3 ) 3 1 1 ( ) 1 e                      37 3 12 2 6 6 6 6 ) 11 1 ( ) 6 f                   2 6 ( )i i i    2 ( i  ) 6i  64:Ex 53 1 3 1 3 i i       53 2 53 53 53 53 1 3 1 3 1 3 . 1 3 1 3 1 3 1 2 3 3 2 2 3 1 3 4 4 2 2 i i i Sol i i i i i i                                                  1 3 2 2 i    3 17 2 2 1 353 ( ) 2 2 i         ( 65Ex 2 1 0x x   50 100 x x 2 1 0x x   1a b c   2 24 1 1 4 1 3 1 3 2 2 2 2 2 b b ac i x i or a               
  • 35.
    ALNASSIRYKAMIL35 1x  50 10050 100 3 16 2 3 33 2 ( ) ( ) 1x x                   2 2 x  50 100 2 50 2 100 100 200 3 33 1 3 66 2 2 ( ) ( ) ( ) ( ) 1 x x                        ‫ﺍﻷ‬ ‫ﺣﻞ‬ ‫ﻃﺮﻳﻘﺔ‬‫ﲢﻮﻱ‬ ‫ﺍﻟﺘﻲ‬ ‫ﺳﺌﻠﺔ‬ 2 , ‫ﺍﻟﺘﺎﻟﻴﺔ‬ ‫ﺍﻟﺘﺴﻠﺴﻞ‬ ‫ﻧﺘﺒﻊ‬: 2 20 20 3n      7n  20 20 203 21n              2 3  3 2 2 4 4 67 : 4Ex        2 1 0    ( 68Ex 2 6 (1 3 )   2 1     2 6 6 6 6 (1 3 ) ( 3 ) (2 ) 64 64 1 64                   3 3 32 2 3 3 69 : 5 3 5 3 5(1 ) 3 5 2 8 8 Ex                            3 
  • 36.
    ALNASSIRYKAMIL36 22 2 3 2 2 2 12 12 136 1992 13 6 1992 1 13 6 1992 (13 3 6 1992 70: 13 6 199 992 2 6 1 ) Ex                                       3 122 24 3 8 12 12 12 1 1 ( ) 1                               6 3 362 2 2 2 2 ( 71: a ba b a b Ex a b a a b b a b a b a b                                   2 ) a b 2 ( a b    ) a b    6 62 6 ( 1) 1             2 1    2 3 3 2 3 3 2( 1 ) 3 3 2 2 5                   72 82Ex to Ex 2 2 2 2 22 2 5 5 5(3 ) 5(3 ) : . . 5 5 75 72 : 3 3 (3 )(3 ) 15 3 3 169 E S x Sol L H                                     2 5 15  2 22 2 3 2 3 2 22 2 2 3 4 2 2 5 5( ) 9 3 3 9 3 3 5( ) 5( ) 25( 2 ) 10 3( ) 10 3 169 25( 2 ) 25( 1 2) 75 . . 169 169 169 R H S                                                                         
  • 37.
    ALNASSIRYKAMIL37 2 2 22 2 2 (2 )2 : . . 1 1 1 73: 2 2 3 (2 )(2 ) Sol L H E S x                         2 2  2 22 2 3 2 4 3 2 2 2 4 2 2 5 2( ) 2 2 1 2 1 . . . (5 2) 9 9 3 R H S                                           1 1 1 2 2 22 2 2 1 2 1 2 2 2 2 4 1 2 1 2 1 : . . 1 1 . . 1 2 74 . : 1 Sol L H S i R E i H x S                                                             2 2 2 2 1 10( ) 1 10 9 9 3 : 1 10 10 3 75: 1 . . 1 . . . 1 3( ) 1 3 4 4 2 3 3 2 So Ex i l L H S i R H S                             3 4 2 3 2 2 14 7 1 3 2 3 2 0 5 2 1 2 76: 2 3 ( ) ( ) 1 1 1 1 2 : . . . . . . ( ) 2 2 1 2 3 Sol L H S x H S E R                                           2 2 4 2 2 2 : . . . (1 ) 5 77: (1 ) (5 3 5 ) 4 (1 ) 3 1Sol L H S Ex i i                        2 2i i    2 2 2 2 2 2 5 3 (4 ) ( 2 ) 4 4 4( ) 4( 1) 4 . . .i R H S                             
  • 38.
    ALNASSIRYKAMIL38 22 3 2 3 2 22 2 2 4 2 6 2 2 2 2 3 3 2 . . . 2( 1) 5(1 ) ( 2 3 ) ( 5 2 ) (9 ) 9 9 . . 2 .79 : (2 2) (5 5 ) 9 . L H S R E H x S                                                       2 3 4 4 2 2 2 3 2 2 2 2 2 78 : ( 3 ) ( 3 : . . . 6 9 ( 6 9 ) 6 9 ( 6 6 ) ) 8 3 9 S ol L H S i Ex i i i i                                       9 6          2 2 9 ) ( 8 8 ) 8( 1 ) 8 8 16 1 3 . . . 8 16 2 2 1 3 8 16( ) 8 2 2 i i i B ut i T hen L H S i i i i                                     8 8 3 8 3( 1) . .3 .8i R H S         62 2 2 3 62 5 1 .8 5 (5 0 : : . . 5 1 5 . i i i i Sol L H S i i Ex i                        2 ) (5 i   6 6 4 2 6 3 2 2 2 22 2 2 2 2 2 22 2 2 2 2 2 2 1 1 . . . ( ) 1) . . . 7(1 ) 4 7(1 ) 4 97 4 81: (7 4 7 ) (7 7 4 7 4 ) i i i R Ex H S L H S                                                                     4 9 2 2 2 2 2 1 1 9 9 9             2 9 1 . . . 9 R H S   
  • 39.
    ALNASSIRYKAMIL39 ‫ﺍﻷﺳﺌﻠﺔ‬ ‫ﻣﻦ‬ ‫ﺃﺧﺮﻯ‬‫ﺃﺷﻜﺎﻝ‬: ( :83Ex 4 2  a b i 2 2  2 2 2 2 2 2 2 2 6 2 6(2 ) 6(2 ) 6(2 ) 2 2 4 2 2 1 5 2( ) 5 2 6 z                             2 (2 ) 3  2 1 3 4 2 4 2( ) 4 1 3 3 3 2 2 i i i           ( :84Ex 5 5 ( 1 3 ) ( 1 3 )i i     5 5 5 5 5 2 5 5 10 3 2 3 3 2 1 3 1 3 ( 1 3 ) ( 1 3 ) 2( ) 2( ) 2 2 2 2 (2 ) (2 ) 32 32 32 ( ) 32 32 i i i i                                                 2 2 1 1 . . . . (5 )( ) 5 4 3( 1 ) 3 2( 1 ) 1 1 1 1 (5 )( 1 1 .82 : (5 )( ) (5 )( ) 5 4 3 3 ) 3 2 2 2 2 2 (2 ) 2 (5 )( ) (5 )( ( ) 5 4 3 3 2 2 )( 2 ) Sol L H S Ex                                                                      2   ) 4 2  2 2 2 ) 4 4 4 (5 )( ) (5 )( ) (5 )( ) 4 4 ( 1 ) 5 ( 5                              4 )( 5     ) 4 . . .R H S 
  • 40.
    ALNASSIRYKAMIL40 ‫ﺃﺧﺮﻯ‬ ‫ﺃﻣﺜﻠﺔ‬:‫ﺟﺬﺭﺍﻫﺎ‬ ‫ﺍﻟﺘﻲ‬‫ﺍﻟﱰﺑﻴﻌﻴﺔ‬ ‫ﺍﳌﻌﺎﺩﻟﺔ‬ ‫ﺟﺪ‬M , N‫ﺃﻥ‬ ‫ﻫﻞ‬ ‫ﻭﺑﲔ‬M ,N‫ﻣﱰﺍﻓﻘﺎﻥ‬. 2 2 2 2 2 3 2 :85 1 ; 1 . 1 1 2 ( ) 2 , (1 ) 1 ) 1 1 ( Sol M N i i i i Hence M N are not congugate Ex M i N i M N i i i i i                                     2 ( ) 1i     2 ( 1) : (2 ) 0 i i The equation x i x i          2 2 2 3 . 3 2 86 : , 3 2 : 2Ex M i N S i o i M i l i i            2 ( i 2 2 ) 2 3 2 : 3 i i N i i         2 ( i 2 ) 3 2i i   2 2 2 2 2 2 2 2 2 3 2 3 2 4 2 2 2 2 3 3 2 5 5 5 ( ) 5 , (2 3 )(3 2 ) 6 4 9 6 6 4 9 6 6( ) 13 6 13 7 . : 5 7 0 M N i i i i i i i i M N‫ﺘﺮاﻓﻘﯿﻦ‬ ‫ﻏﯿﺮﻣ‬ M N i i i i i i i i The Equ x i x                                                             2 2 2 2 2 2 2 3 2 3 2 2 3 2 (1 3 ) (1 3 ) . : 1 3 1 3 (1 3 )(1 3 ) 3 3 3 3 1 3 3 9 1 3( ) 9 6 1 5 1 .8 7 : , 1 3 7 3 3 0 1 E x N N o l M M S                                                            
  • 41.
    ALNASSIRYKAMIL41 2 3 2 2 22 1 1 3 1 3 (1 3 )(1 3 ) 7 , 5 1 . : 0 7 5 1 0 7 7 M N M N are congugate The equ x x x x                           3 2 3 2 2 2 2 2 2 3 2 2 2 3 3 . : 3 ; 3 3 3 2 3( ) 2 3 , ( 3 ) ( 3 ) 3 3 9 1 3 ( ) 9 1 3 9 8 3 . : (2 3) 3 ( 3 . 88 : , 8 3 ) 0 Sol M i i N i i M N i i i i M N ‫ﺘﺮاﻓﻘﯿﻦ‬ ‫ﻏﯿﺮﻣ‬ M N i i i i i i i i The e Ex M i u x i i i q x N                                                                       : 1Q 2 2 7 1 i i i i         : 2Qx ,y  2 17 34 3 1 1 1 i x i y i           3 8Q to Q         2 2 2 2 2 3 3 2 22 2 2 2 2 2 3: 2 , 2 ; 4: 1 6 2 , 2 5 5: 1 , 3 3 ; 6: 2 2 1 , 2 2 2 2 2 7 : , 1 3 1 3 i Q Q i Q Q Q                                       10 20 ; Q8:1- 1 , 1- 1   : 9Q 2 1  ‫ﺗﺪﺭﻳﺐ‬)1 - 4(
  • 42.
    ALNASSIRYKAMIL42 : 10Q1 3ai   2 2 2a a  : 11Q 17 1 3 1 3           2 1 0z z   : 12Q2 1 0z b z  b1  : 13Q 2 3 i    2 2 2 1 1 2 1 2 6 1                        : 14Q2 3 , 2 3x i y i    2 2 2 x y  15 22Q to Q     2 2 22 2 2 2 2011 2 2 2 2 5 3 1 1 15: 1 0 ; 16: 5 3 92 5 2 2 2 5 2 3 1 15 1 1 17 : ; 18: 2 3 3 7 5 4 16 9 2 3 9 19: Q Q Q Q a b c d Q a b                                                 12 22 2 2 59 1 1 2 2 1 1 1 1 ; 20: 7 8 9 7 8 9 3 1 1 1 2 21: 1 ; 22: 1 2 3 2 5 5 Q c d i Q Q                                                 2 2 2 2 2 1:2 , 2 ; 2: 3 , 1 3: 4 4 8 8 0 4: 4 4 8 8 0 ; 5: 10 37 0 ; 6: 25 144 0 7 : 7 3 3 0 ; Q i i Q x y Q z i z i Q z i z i Q z z Q z z Q z z                           2 2 8: 2 0 : 9: 3 3 0 12: 3 i ; 14: 13 11 Q z i z i Q z z Q Q or         
  • 43.
    KAMIL ALNASSIRY43 ‫ﺍﳌﺮﻛﺒﺔ‬ ‫ﻟﻸﻋﺪﺍﺩ‬‫ﺍﳍﻨﺪﺳﻲ‬ ‫ﺍﻟﺘﻤﺜﻴﻞ‬Geometrical representation of Complex Numbers ‫ﺃﺭﮔﺎﻧﺪ‬ ‫ﳐﻄﻂ‬Argand diagram Real axis Imaginary axis ‫ﺍﻟﻘﻄﺒﻲ‬ ‫ﺍﶈﻮﺭ‬Polar axis ‫ﺍﳌﺴﺘﻮﻱ‬ ‫ﰲ‬ ‫ﻗﻄﺒﻴﺔ‬ ‫ﺇﺣﺪﺍﺛﻴﺎﺕ‬Polar coordinate in the plane r Polar axis za , bz( , )r  r 2 22 2 2 cos ; sin 1tan so t so na a r b r or r a r a b b b a a b             
  • 44.
    KAMIL ALNASSIRY44 Example6 2, 3 4 1 2 z i z i    1 2 1 2,z z z z  1 21) z z 1 2 (6 2 ) (3 4 ) (6 3) (2 4) 9 2z z i i i i           1 26 2 (6 , 2) , 3 4 (3, 4)z i m z i n         Om1z  n2z  m , n , O , hh h = ( 9 , - 2 )1 2 9 2z z i    1 22) z z 1 2 1 2( ) (6 2 ) ( 3 4 ) (6 3) (2 4) 3 6z z z z i i i i               1 2 6 2 (6,2) 3 4 ( 3,4) m z i n z i            h 1 2(3,6) 3 6 3 6h i z z i      
  • 45.
    KAMIL ALNASSIRY45 ‫ﺍﳌﺮﻛﺐ‬ ‫ﻟﻠﻌﺪﺩ‬‫ﺍﻟﻘﻄﺒﻴﺔ‬ ‫ﺍﻟﺼﻮﺭﺓ‬Polar form of the complex number (cos sin )z r i   z r cis ccosinessine  r( )z x y i  2 2 | |z r x y  r > 0|z| complex numberThe modulus of 1 2,z z 1 2 1 2 1 1 2 2 1 2 1 2 1) | | | | | | | | 2) | | 3) | | | | | | z z z z z z z z z z z z        ‫ﺍﳌﺮﻛﺐ‬ ‫ﺍﻟﻌﺪﺩ‬ ‫ﻣﺴﺘﻮﻯ‬ ‫ﰲ‬ ‫ﺑﻨﻘﻄﺔ‬ ‫ﳝﺜﻞ‬ ‫ﺍﳌﺮﻛﺐ‬ ‫ﺍﻟﻌﺪﺩ‬ ‫ﺃﻥ‬‫ﻫﻲ‬ ‫ﳐﺘﻠﻔﺔ‬ ‫ﺻﻴﻎ‬ ‫ﻭﻟﻪ‬: 1‫ﺩﻳﻜﺎﺭﺗﻴﺔ‬ ‫ﺻﻴﻐﺔ‬rectangular co-ordinates( , )x yArgand 2‫ﺍﻋﺘ‬ ‫ﺻﻴﻐﺔ‬‫ﺟﱪﻳﺔ‬ ‫ﺃﻭ‬ ‫ﻴﺎﺩﻳﺔ‬Rectangular or Cartesian formz x i y  3‫ﺻﻴﻐﺔ‬‫ﺍﺣﺪﺍﺛﻴﺎﺕ‬‫ﻗﻄﺒﻴﺔ‬( , ) ‫ﺮة‬ ‫اﻟﻤﺨﺘﺼ‬ r 1 tan y x    4‫ﻗﻄﺒﻴ‬ ‫ﺻﻴﻐﺔ‬‫ﺔ‬‫ﻭ‬‫ﻣﺜﻠﺜﻴﻪ‬(cos sin )z r i   5‫ﺃﺳﻴﺔ‬ ‫ﺻﻴﻐﺔ‬Euler's formula i z r e  e
  • 46.
    KAMIL ALNASSIRY46 ‫ﺍﳌﺮﻛﺐ‬ ‫ﺍﻟﻌﺪﺩ‬‫ﺳﻌﺔ‬Amplitude (Argument)of Complex Number A nti clockwise rotatin ‫ﺍﳌﺮﻛﺐ‬ ‫ﻟﻠﻌﺪﺩ‬ ‫ﺍﻷﺳﺎﺳﻴﺔ‬ ‫ﺍﻟﺴﻌﺔ‬z a bi (Principal value of an argument ) ( )Arg zz  , 20   ( )arg z( ) 2 ;arg z n n     AAa Principal value of an argument The principal value of anargument is the valuewhich lies between and  ‫ﺍﻷﻭﻝ‬ ‫ﺍﻟﺮﺑﻊ‬ ‫ﰲ‬( )Arg z   ‫ﺍﻟﺜﺎﻧﻲ‬ ‫ﺍﻟﺮﺑﻊ‬ ‫ﰲ‬( )Arg z      ‫ﺍﻟﺮﺍﺑﻊ‬ ‫ﺍﻟﺮﺑﻊ‬ ‫ﰲ‬( )Arg z    ‫ﺍﻟﺜﺎﻟﺚ‬ ‫ﺍﻟﺮﺑﻊ‬ ‫ﻭﰲ‬( )Arg z         
  • 47.
    KAMIL ALNASSIRY47 , 0, 0z a bi a b    1( , )z a b  2 2 2 z r a b   cos , sin a a r r   tan b a   3, , 3 4 6    (cos ,sin )  1 3 ( , ) 2 2 3 1 ( , ) 2 2 1 1 ( , ) 2 2  3  6  4  z   Z z  Z      z  Z      z  Z 2    
  • 48.
    KAMIL ALNASSIRY48 4a orb a = b = 0 z = 0 ‫ﺇﺣﺪﺍﺛﻴﺎﺗﻪ‬‫ﺍﻟﻘﻄﺒﻴﺔ‬‫ﺍﳌﺜﻠﺜﻴﺔ‬ : 89)Example2 2 3i  1 2 3 2 ( 2 3 , 2 ) 2ed z i quadrant Then            22 2 2 2 ( 2 3) 2 4r x y      3 ( 2 3 , 2 ) 3 1 ( , ) 4 2 2 z r     co s , sin 2 3 3 2 1 co s , sin 4 2 4 2 3 1 , 2 2 6 5 ( ) 6 6 x y r r B u t A rg z                                   5 5 (4, ) (4, 2 ) , k 6 6 z or z k       5 5 4(cos sin ) 6 6 z i     (1,0) 0 (1,0)   (0,1) 2    3 (0,-1) 2  
  • 49.
    KAMIL ALNASSIRY49 2 :(90)z i Example  a = 0 2 2 2 (0, 2) 4 2 z o i z r x y          2 cos 0 , sin 1 2 3 (cos ,sin ) (0, 1) int 2 x y r r circle                  u 3 3 2 , or 2 , 2 2 2 z z k                  3 3 2(cos sin ) 2 2 z i     7 3 : ( 91) 1 12 Examplez      2 2 2 7 3 7 1 3 7 3 1 2 3 1 12 1 1 12 1 2 3 1 2 3 7 14 3 3 6 13 13 3 1 3 1 12 13 1 3 (1 , 3 ) ( , ) 4 2 | | 1 3 2 th i i i i i i i i i z i Quadrant z r x y z                                               cos , sin 1 3 cos , sin 2 2 1 3 , 2 2 3 5 ( ) 2 2 3 3 x y r r But A rg z                               
  • 50.
    KAMIL ALNASSIRY50 5 arg( )2 2 , 3 z n k k          5 5 2 , 2 , 2 3 3 z or z k                  5 5 2 cos sin 3 3 z i         42 14 : ( 92) 2 i Example i z     2 2 2 42 14 2 84 42 28 14 70 70 14 14 2 2 4 1 5 | | 196 196 196 2 14 2 14 14 ( 14,14 ) ( , ) 2ed i i i i i i i i i z r x y z i Quadrant z                                           cos , sin 14 1 14 1 cos , sin 14 2 2 14 2 2 1 1 , 42 2 3 ( ) 4 4 x y r r But A rg z                                  ‫ﺍ‬‫ﺍﻻﻋﺘﻴﺎﺩﻳﺔ‬ ‫ﺃﻭ‬ ‫ﺍﳉﱪﻳﺔ‬ ‫ﻟﺼﻴﻐﺔ‬‫ﺍﻟﻘﻴﺎﺳﻴﺔ‬ ‫ﺃﻭ‬:14 14z i   ‫ﺍﻟﺪﻳﻜﺎﺭﺗﻴﺔ‬ ‫ﺍﻟﺼﻴﻐﺔ‬: 14 ,14z   ‫ﺍﻟﻘﻄﺒﻴﺔ‬ ‫ﺍﻻﺣﺪﺍﺛﻴﺎﺕ‬: 3 3 14 2 , 14 2 , 2 4 4 z or z k                  ‫ﺍﳌﺜﻠﺜﻴﺔ‬ ‫ﺍﻟﺼﻴﻐﺔ‬)‫ﺍﻟﻘﻄﺒﻴﺔ‬(: 3 3 14 2 cos sin 4 4 z i         ‫ﺍﻷﺳﻴﺔ‬ ‫ﺍﻟﺼﻴﻐﺔ‬ 3 4 14 2 i z e  
  • 51.
    KAMIL ALNASSIRY51 .(93)Ex 11 6  8 11 6 3 1 (cos,sin ) ( , ) 2 2      11 11 3 1 (cos sin ) 8(cos sin ) 8( ( ) ) 6 6 2 2 4 3 4 z r i i i i              .(94)Ex 3 4  12 3 4 1 1 (cos ,sin ) ( , ) 2 2     3 3 1 1 (cos sin ) 12(cos sin ) 12( ( ) ) 4 4 2 2 1 1 1 1 1 12 2 ( ( ) ) 12 2( ) 6 2 6 2 2 22 2 2 z r i i i i i i                     .(95)Ex 27 2  7 mod (2 ) 27 24 3 3 3 rg( ) : 12 2 2 2 2 A z            3 ( ) (0, 1) (cos ,sin ) 2 (cos sin ) 7(0 1 ) 7 Arg z z r i i i                6a i2 3  a 2 3 1 3 ( , ) (cos ,sin ) 2 2      2 2 1 3 1 3 (cos sin ) ( ) 3 3 2 2 2 2 : 6 1 3 6 2 2 z r i r i r r i z a i hence r r i a i                 B ut
  • 52.
    KAMIL ALNASSIRY52 1 2 12 3 Im( ) Im( ) 6 2 2 2 1 1 Re( ) Re( ) 2 2 z z r r z z r a a             2 2 2  ‫ﻣﻬﻤﺔ‬ ‫ﻗﻮﺍﻋﺪ‬: 1 2 1 2 1 2 1 1 2 2 1) arg( ) arg( ) arg( ) mod 2 2) arg arg( ) arg( ) mod 2 3) If 0 and is any integer then arg( ) arg( ) mod 2 If z and z are two non zero complex numbers then z z z z z z z z z n nz n z                   7 mod 2 11 77 2) arg ( 3 ) 7 :96 2 2 3 5 5 5 1) arg arg (2 2 3 ) arg( 1 ) 1 3 4 12 arg( 3 ) 7 6 6 5 5 (12 ) 6 6 i E i i i x i i                                   
  • 53.
    KAMIL ALNASSIRY53 ‫ﻓﻴﻬﻤ‬ ‫ﺍﻟﺘﺎﻟﻴﲔ‬‫ﺍﳉﺪﻭﻟﲔ‬‫ﺎ‬‫ﻓﺎﺋﺪﺓ‬‫ﻭﻣﻬﻤ‬‫ﲔ‬‫ﺟﺪﺍ‬:‫ﺍ‬ ‫ﻟﻠﻌﺪﺩ‬ ‫ﻧﻈﺮﺓ‬ ‫ﻣﻦ‬‫ﳌﺮﻛﺐ‬ ‫ﺍﻷﺳﺎﺳﻴﺔ‬ ‫ﺳﻌﺘﻪ‬ ‫ﻋﻠﻰ‬ ‫ﺗﺘﻌﺮﻑ‬ ‫ﺃﻥ‬ ‫ﳝﻜﻦ‬ ‫ﺍﻟﻘﻴﺎﺳﻴﺔ‬ ‫ﻭﺑﺎﻟﺼﻴﻐﺔ‬. a ai 3a a i 3a a i 0a i a i ‫اﻟﻌﺪد‬‫ﺑﺎﻟﺸﻜﻞ‬ 4  6  3  0 or  3 2 2 or   ‫اﻟﻌﺎﺋﻠﺔ‬ 97 :Ex Arg ( z ) Family Quadrant z 3 4 4      4  ( , ) 2nd Q   8 8i  5 2 3 3      3  ( , ) 4th Q   6 6 3 i 7 6 6      6  ( , ) 3rd Q   6 3 6 i  3 2  ‫ﻋﺎﺋﻠﺔ‬ ‫ﺑﺪون‬ ‫اﻟﻤﺤﻮر‬ ‫ﻋﻠﻰ‬ 6 3 i 7 6 6      6  ( , ) 3rd Q   6 2 2( 3 ) i i     
  • 54.
    KAMIL ALNASSIRY54 ‫ﺍﻟﻘﻄﺒﻴﺔ‬ ‫ﺑﺎﻟﺼﻴﻐﺔ‬‫ﻋﺪﺩﻳﻦ‬ ‫ﻭﻗﺴﻤﺔ‬ ‫ﺿﺮﺏ‬ Products and Quotients of Complex Numbers in Polar Form Let z1 and z2 be complex numbers, where     1 2 1 2 1 2 1 2 1 2 1 2 1 2 1 21 2 cos sin1 2 1 2 cos cos sin sin (sin cos cos sin cos( ) sin( ) : z z r r i r r This mean i s                                              ‫ﻣﺮﻛﺒﲔ‬ ‫ﻋﺪﺩﻳﻦ‬ ‫ﻗﺴﻤﺔ‬ 1 1 1 2 2 2 1 2 1 2 1 2 : (cos sin ) / (cos sin ) / [cos ( ) sin ( )] ‫ﻤﺔ‬ ‫ﻗﺴ‬ r i r i r r i               The quotient 1 1 1 2 2 2 1 1 2 1 2 2 : | | 1. | | 2. arg arg( ) arg( ). This means z z r z z r z z z z             
  • 55.
    KAMIL ALNASSIRY55 ‫ﻣﱪﻫﻨﺔ‬‫ﺩﳝﻮﺍﻓﲑ‬De Moivre’stheorem n  cos sin cos sin . n i n i n      97 : Prove that (cos sin ) cos sin ,n Ex i n i n n        cos( ) cos( ) sin( ) sin ( )n n and n n         . . (cos sin ) cos sin( ) nn L H S i i         cos sin( ) cos sin( ) n i n i n        cos sin( ) cos sin( ) . .n i n n i n R H S        (cos sin )z r i   (cos sin )n n z r n i n  
  • 56.
    KAMIL ALNASSIRY56 6 2 2 6 66 6 98 : Prove that (1 3 ) 64 . W rite z in polar form : z = r(cos + i sin ) r = 1 3 2 5 arg( ) 2 use De M oivre's Theorem 3 3 5 5 5 5 (1 3 ) ( ) 2(cos sin 2 cos( 6) sin( 6) 3 3 3 3 Ex i S ol a b z then i z i i                                     mod 2 64( cos10 sin 10 ) 64( cos 0 sin 0) 64i i            6 66 6 3 21 3 (1 3 ) 2( ) 2( ) 64 64( ) 64 2 2 i i                   24 1 1 1 1 1 2 2 2 2 2 1 1 2 2 1 3 .99) Pr 1 3 : 1 3 | | 2 ; arg( ) 3 3 | | 2 ; arg( ) 6 | | 2 | | 1 ; arg( ) arg( ) arg( ) | | 2 3 6 3 i Ex If z ove that z i Sol let z i z r z let z i z r z z z z z z z                                   1 1 2 1 2 2 24 24 mod 2 | | cos( ) sin( ) cos sin | | 6 6 cos sin cos 24 sin 24 6 6 6 6 cos4 sin 4 cos0 sin 0 1 (0) 1 z z i i z then z i i i i i                                     ( .100)Ex 6 4 ( 2 6 ) ( 1)i i  
  • 57.
    KAMIL ALNASSIRY57   11 1 1 1 6 4 6 6 6 6 1 .: 5 2 6 | | 2 6 2 2 ; arg( ) 2 3 3 5 5 (cos sin ) 2 2 (cos sin ) 3 3 5 5 5 5 ( ) 2 2 (cos sin ) 2 2 cos sin 3 3 3 3 5 5 512 cos( *6) sin( ( 2 6 ) ( 1 *6) 512(cos10 3 3 )Sol Let z Let z i z z z r i i z i i i i i                                                      mod 2 sin10 ) 512(cos0 sin0) 512i i       2 2 2 2 2 3 1 1 | | 1 1 2 ; arg( ) 4 4 3 3 (cos sin ) 2 (cos sin ) 4 4 Let z i i z z z r i i                            4 4 4 2 mod 2 6 4 1 2 3 3 3 3 ( ) 2 (cos sin ) 2 cos 4 sin 4 4 4 4 4 4(cos3 sin3 ) 4(cos sin ) 4 ( ) ( ) 512( 4) 2048 z i i i i z z z                                      .102: cos sin : 1 1 1) 2cos 2) 2 sin 1 1 3) 2cos 4) 2 sinn n n n Ex If z i then prove that z z i z z z n z i n z z                 1 11 1) cos sin (cos sin ) cos sin cos( ) sin( ) cos sin z z z i i z i i i                            cos sini   2cos
  • 58.
    KAMIL ALNASSIRY58    1 11 2 ) cos sin (cos sin ) cos sin cos( ) sin( ) cos sin cos sin cos z z z i i z i i i i                                  sin cosi    2 sin 1 3 ) (cos sin ) (cos sin ) cos sin cos ( ) sin ( ) cos sin n n n n n n i z z z i i z n i n n i n n i n                               cos sinn i n   2cos n     1 4 ) (cos sin ) (cos sin ) cos sin cos ( ) sin ( ) cos sin cos sin cos n n n n n n z z z i i z n i n n i n n i n n i n n                                  sin cosi n n   sin 2 sini n i n   ‫ﺗﻌﺮﻳﻒ‬:‫ﻛﺎﻥ‬ ‫ﺍﺫﺍ‬z‫ﻋﺪﺩﺍ‬‫ﻭﺃﻥ‬ ‫ﻣﺮﻛﺒﺎ‬n‫ﻓﺈﻥ‬ ‫ﻣﻮﺟﺒﺎ‬ ‫ﺻﺤﻴﺤﺎ‬ ‫ﻋﺪﺩﺍ‬ 1 n z‫ﻟﻠﻌﺪﺩ‬ ‫ﺍﻟﻨﻮﻧﻲ‬ ‫ﺍﳉﺬﺭ‬ ‫ﻫﻮ‬z n(cos sin )z r i     1 1 1 2 2 (cos sin ) cos ( ) sin( )n n n k k z r i r i n n                k0 , 1 , 2 , 3 , ….., (k -1 )‫ﺣﻴﺚ‬k‫ﺍﳉﺬﺭ‬ ‫ﺭﺗﺒﺔ‬ k0 , 1 , 2 k0 , 1 , 2 , 3 , 4 , 5
  • 59.
    KAMIL ALNASSIRY59 Ex103)- 32  5 1 1 1 5 5 5 1 5 (cos sin ) , , 32 32 , arg( ) 32 32(cos sin ) 2 2 32 (cos sin ) (2 ) cos ( ) sin( ) 5 5 2 2 2 cos ( ) sin( ) 5 5 L et z r i z z r z T hen z i k k z i i k k z i                                                123 2 n  n ( 104)Ex4 4 3i 4 4 3i z  1 3 z 2 2 4 4 3 (4, 4 3 ) 4 2 | | 16 48 8 4 1 5 cos 2 8 2 3 3 3 5 5 (cos sin ) 2 (cos sin ) 3 3 th i Quadrant z r a b a r z r i z i                                                  0 1 2 3 4 0 : 2(cos sin ) 5 5 3 3 1: 2(cos sin ) 2 5 5 2 : 2(cos sin ) 2 3 7 7 3 : 2(cos sin ) 4 5 5 9 9 4 : 2(cos sin ) 5 5 5 w hen k z i ‫ﺬراﻷول‬ ‫اﻟﺠ‬ w hen k z i root w hen k z i root w hen k z i root w hen k z i root                               
  • 60.
    KAMIL ALNASSIRY60 0 1 1 1 33 1 3 5 5 2 2 5 5 3 38 (cos sin ) 2 cos ( ) sin ( ) 3 3 3 3 5 6 5 6 2 cos ( ) sin ( ) 9 9 5 5 : 2 (cos sin ) (1) 9 9 11 11 : 2 (cos sin ) (2)1 9 0 9 when k when k wh k k z i i k k z i z i Root z ot e i Ro                                             2 17 17 : 2 (cos sin ) (3) 9 2 9 n z i Rootk     ( 105)Exu 2 3 ( 2 2 3)u i   (cos sin ) ; 2 2 3 ( 2, 2 3) 2 . | | 4 4 3 4 2 1 2 cos 4 2 3 3 3 2 2 4 ( cos sin ) 3 3 nd Let z r i z i z qua z r z i                                             1 1 22 1 3 3 2 23 3 3 3 3 0 1 2 3 2 2 4 4 4 ( cos sin ) 4 ( cos( ) sin( ) 3 3 3 3 4 4 2 2 3 316 cos sin 3 3 4 6 4 6 16 cos sin 9 9 4 4 0 : 16 (cos sin ) 9 9 1: 16 z z i i k k i k k z i when k z i ‫ﺬراﻷول‬ ‫اﻟﺠ‬ when k z                                                          3 3 2 10 10 (cos sin ) 9 9 16 16 2 : 16(cos sin ) 9 9 i ‫ﺬراﻟﺜﺎﻧﻲ‬ ‫اﻟﺠ‬ when k z i ‫ﺬراﻟﺜﺎﻟﺚ‬ ‫اﻟﺠ‬        
  • 61.
    KAMIL ALNASSIRY61 ( 106)Ex 6 640z i    1 6 6 664 0 64 64z i z i z i          2 2 1 11 6 66 1 2 3 3 3 64 ; 64 ; arg( ) 64(cos sin ) 2 2 2 3 3 3 3 1 3 64 64(cos sin ) 2(cos sin ) ,,, ( 2 ) 2 2 2 2 6 2 3 4 3 4 2(cos sin ) 12 12 2(cos sin ) 2 2 4 4 7 2(cos sin 1 0 1 2 i g r a b g i z i i i k k k i z i i z i let k let k                                                    3 4 5 6 7 ) 12 11 11 2(cos sin ) 12 12 5 5 2(cos sin ) 2 2 4 4 1 2 3 4 9 19 2(cos sin ) 12 12 23 23 2(cos sin )5 12 12 z i z i i z let k let k let k let k i z i                             2 2 6 3n      60‫ه‬ 0z 5z 4z 1z 2z 3z Real axis Imaginary axis
  • 62.
    KAMIL ALNASSIRY62   3 1 :(106) 1 3 i Let z Ex i    z 5 5 sin , cos 12 12       3 2 . : 1 1 (1Sol i i    2 2i i      2 3 1 1 1 1 2 2 1 1 1 2 )(1 ) 2 2 2 2 1 2 2 1 3 2 2 3 2 2 3 2 3 2 2 3 2 4 4 41 3 1 3 1 3 2 2 2,2 2 . 3 tan 1 4 4 4 | | 2 2 3 3 2 2(cos sin ) 4 4 1 (1, 3 ) 1 . nd st i i i i i i i i i z i ‫ﺔ‬ ‫ﺟﺒﺮﯾ‬ i i i Let z i z Quad r z a b z i Let z i Quad                                                                  2 2 2 2 2 2 2 2 1 2 | | 2 3 tan 3 1 3 2(cos sin ) 3 3 3 3 2 2(cos sin ) 3 3 5 54 4 2 cos( ) sin( ) 2(cos sin ) 4 3 4 3 12 122(cos sin ) 3 3 r z a b z i iz z i i z i                                           2 3 2 2 3 2 4 4 5 2 3 2 5 2 3 2 6 2 : 2 cos cos 12 4 12 44 2 5 2 3 2 3 1 2 5 5 2(cos sin ) 12 6 2 : 2 sin 12 4 42 12 2 Re. Im. 2 ‫ﺔ‬ ‫ﻣﺜﻠﺜﯿ‬ But z i parts parts z i ‫ﺔ‬ ‫ﺟﺒﺮﯾ‬                         
  • 63.
    KAMIL ALNASSIRY63 ( 107)Ex   9 4 cos sin cos sini i                    9 4 5 4 4 45 : cos sin cos sin cos sin cos sin cos sin cos sin cos sin cos sin cos5 Solution i i i i i i i i                                 2 2 sin5 cos sin cos5 sin5i i          sin sin ; cos cos                     49 4 9 cos sin cos sin cos sin cos( ) sin( ) cos9 sin9 cos( 4 ) sin( 4 ) cos(9 4 ) sin(9 4 ) cos5 sin5 i i i i i i i i                                     ( 108)Ex     5 3 cos2 sin 2 cos3 sin 3 i i           5 3 cos2 sin2 cos10 sin10 cos(10 9) sin(10 9) cos sin cos9 sin9cos3 sin3 i i i i ii                      ( 109)Ex1 26 cos sin ; 8 cos sin 4 4 2 2 z i z i                   1 2z z 1 2 6 cos( ) sin( 8 4 2 4 2 z i z             3 3 cos( ) sin( ) = cos( ) sin( ) 4 4 4 4 4 4 i i                    ( 109)Ex 3 2 1 0z z z      4 3 2 1 1 1z z z z z     4 1 0z  1           4 2 2 2 2 2 1 1 1 1 1 1 0z z z z z i z z z i z i             1 ,z z i   11, ,i i  4 2 1 0z z    6 2 4 2 1 1 1 0z z z z     
  • 64.
    KAMIL ALNASSIRY64 : 1Q 31 2 2 z i  32 z : 2Qsin3 , cos3 sin , cos  : 3Q 1 3 1 3 3 2 1 2 2 i z i i i       zz 4 a + b i : 4Qa a+ b i               1 1 2 2 = 2 2 ; 2 1 3 4 3 4 8 3 8 1 4 4 3 3 ; 4 2 3 2 1 3 i i i i i i i i i i i                 b                         5 5 5 5 45 8 6 (1) 1 3 1 3 32 ; (2) 1 3 1 3 32 3 3 2 cos6 sin 6 16 3 16 ; 4 2 cos75 sin75 2 2 3 5 1 16 ; 6 1 8 ; i i i i i i i i i i i i                                               20 3 3 9 4 3 1 3 1 3 7 2 2 2 2 1 3 1 33 1 8 ; 9 ; 10 1 2 2 82 2 1 3 i i i i ii i i i i                           : 5Q             9 11 11 9 1 cos sin cos sin cos2 sin 2 cos sin 2 cos20 sin 20 cos sin i i i i i i                      : 6Q 2 2 1 (1, ) Prove that : tan 1 z If z i z       ‫ﺗﺪﺭﻳﺐ‬1 – 5
  • 65.
    KAMIL ALNASSIRY65 : 6Q     20 24 25 1 3 3 1 ; ; (c) 1 1 2 i i a i b i                           15 15 20 20 1 3 1 3 1 1 i i d i i        : 6Q       3 3 6 6 ; 2 2 ; 1 27a i b i c d  1 1 3 2 2 i 23 3 cos3 4cos 3cos ; sin3 3sin 4sin         3 2 2 3 cos sin 3 3 z i         81 81 3 2 2 i  6               12 12 9 2 1 ; 2 1 3 ; 2 3 ; 64a i b i c d    7  3 1 3 1 , , - 2 2 2 2 a i i i     1 3 3 1 1 3 3 1 1 , , 2 2 2 2 b i i i           1 3 1 3 1 3 1 3 1 , 1 , , , , . 2 2 2 2 2 2 2 2 d i i i i         3 3 3 3 3 3 3 3 3 , - 3 , , , - , - 2 2 2 2 2 2 2 2 e i i i i i i   
  • 66.
    66 ‫ﺍﳌﺨﺮﻭﻃﻴﺔ‬ ‫ﺍﻟﻘﻄﻮﻉ‬Conic Sections eccentricitye Focusof conicdirectrix e e Type 0 circle 0< e <1 ellipse 1 Parabola e > 1 hyperbola
  • 67.
    67 D directrix B B  v F L L M ( ,)x y ( , 0)p x p  the discriminant2 4B A C 12 4 0B A C  22 4 0B A C  32 4 0B A C  (2.1)( Parabola ) focusdirectrix The axis of parabola DF  DFVertex ( distinct points )Cord Latus rectum V F B B  L L D F  B( x , y ) F(a , o)x = - a BF 2 2 ...( ) ( ... 1)0) (BF x p y    BM ( ) .....(2)BM x x p x p      
  • 68.
    68 BF = BM 22 ( ) ( 0)x p y x p     2 x 2 2p x p  2 2 y x  2 2px p  2 4y p x  ( p , 0 )x = - p 4p pa http:www.alnassiry.com v.b.
  • 69.
    69 x y ( 2,0)  22 x=2 1 2 8y x a 21 8 x y   bx c 2 4y p x 2 8 4p p     ( 2,0)2x  ( d 0x x = - 12 8 8y y   P = 24p8  2, 2p  2, 4  2 2 2 5x ya 22 5 y x b 2 5 2 x yy c 2 2 5 2 4 x y x p y   5 5 5 4 0 , 2 8 8 5 : 8 p p focus directrix y            
  • 70.
    70 x y 5 (0, ) 8  5 8 y   ( d 0y2y 2 5 5x x   1( 3,0) ( 3,0)(0,0)0y  3 ( ,0) ( 3,0)p p     ( 3,0)(0,0)2 2 12 4y x y px     2 1 2 y  1 0, 2       1 2 p   2 2 2 4x y x py     3 1, 8  1, 8 2 4y px  1, 82 4y px  2 2 64 4(16) 16 64 4 ( 1)y x y x p p           4   2,10 , 2,10  2 4x py   2,10  2 21 2 4 (10) 4 10 p p x py       
  • 71.
    71 x y 2 x=2 8 8 2 2 221 4 4 5 10 x y x y x py             52x 16 16 16 8 2   2, 8 2 4y px    2 8 8 4 (2)p p     2 4y px   2 2 32 4 8y x y x   2 4 12 0y a x x  (-3,5)a 2 ...y  2 4y pxx p  x p (-3,5)3 3p p      2 12y x2 4(3 )y a x  a = 0 12 4(3 )a    (2,-8) 2 (0, ) 3 a a (2,-8) 2 4x p y (2,-8) 2 4x p y     21 2 4 8 8 p p     
  • 72.
    72 2 21 1 4 28 x y x y             0, p 1 0, 8       2 (0, ) 3 a 19 1 2 8 8 3 a a      Shifting Conic Sections (h , k)x , y x-h , y-k Horizontal Orientations Horizontal OrientationsVertical OrientationsentationsVertical Ori     2 4y k p x h      2 4y k p x h       2 4x h p y k      2 4x h p y k    Vertex k,hVertex k,hVertex k,hVertex k,h Focus:  kph , Focus:  kph , Focus:  pkh , Focus:  pkh , Directrix: phx  Directrix: phx  Directrix: pky  Directrix: pky  1k 2h 3 1 2 1 2 , 2 2 v vx y x x y y     ‫ﺑﺆﺭﺓ‬ ‫ﳓﺘﺎﺝ‬ ‫ﺍﳌﻜﺎﻓﺊ‬ ‫ﺍﻟﻘﻄﻊ‬ ‫ﺗﻌﺮﻳﻒ‬ ‫ﻧﺴﺘﺨﺪﻡ‬ ‫ﺣﱴ‬‫ﻭﺩﻟﻴﻞ‬
  • 73.
    73 2 1 2 2 4 DD v F Dx x x x x         ‫ﻣﺜﺎﻝ‬:‫ﺍﳌﻜﺎﻓﺊ‬ ‫ﻟﻠﻘﻄﻊ‬ ‫ﺍﻟﺪﻟﻴﻞ‬ ‫ﻭﻣﻌﺎﺩﻟﺔ‬ ‫ﻭﺍﻟﺒﺆﺭﺓ‬ ‫ﺍﻟﺮﺃﺱ‬ ‫ﺟﺪ‬‫ﻣﻌﺎﺩﻟﺘﻪ‬ ‫ﺍﻟﺬﻱ‬: 12 ( 2) 8(3 )y x   2 ( 2) 8( 3)y x    1(3,2)2y = 23 42 4 8p p     52(3,2)( 2)shifted  (3 2,2) (1,2) 6x = ? 1 2 5 3 2 D v D D Fx x x x x       x = 5
  • 74.
    74 22 8 12 520x y x    2 12 52 8x x y    x 2 1 ( 12) 36 2        36 36 2 2 2 312 16 8 12 52 8 ( 6 6) 16 8 36x x y x x y x y                ‫ﻣﻌﺎﻣﻞ‬y‫ﻣﻮﺟﺒ‬ ‫ﻳﻜﻮﻥ‬ ‫ﺃﻥ‬ ‫ﳚﺐ‬‫ﻭﻳﺴﺎﻭﻱ‬ ‫ﺎ‬‫ﻭﺍﺣﺪ‬ 2 ( 6) 8( 2)x y    6 0 6x x   ;2 0 2y y    (6, - 2) x = 6x=6 y - 4 p = -8p = 2 ( 6 , - 2)2( 6 , -2-2)( 6 , - 4) (6 , - 2)2( 6 , -2+2)( 6 , 0) y = 0
  • 75.
    75 3 2 6 12 90y y x    9 2 2 2 ( 3) 12 6 19 92 9 6 12 9y x y y x y y x                2 ( 3) 12( 0)y x    x = 0 , y = - 3(0 , - 3) y2 = - 4 p x y = -3x - 12 = - 4 pp = 3 (0 , - 3)3(0 – 3 , -3)( -3 . -3) (0 , - 3)3(0 + 3 , -3)( 3 . -3) x = 3 4 p12 2 ( 4) 8( 2)x y    (-4 , 2)- 8 = -4 pp = 2 X + 4 = 0x = - 4y  4 , 22 4 , 2 2  4 , 0  4 , 22 4 , 2 2  4 , 4 y = 4 4p8
  • 76.
    76 ( - 3, 6 ) y = 6x = - 3 y = 6xp = 6 2 2 24 4x xy py     x = - 3yp = 3 2 2 12 4yy pxx  
  • 77.
    77 1 1 0, 82, 0h35y   42 3 0x  5 1, 4 6 1, 47   2,8 , 2, 8 8   1, 6 , 1, 6   9 4, 8 10 4, 8 114x 16 122 12 0x y 12 2       2 2 2 2 22 2 1) 2 ; 2) 4 0 ; 3) 4 ; 4) 12 5) 2 12 3 ; 6) 1 5 ; 7) 2 12 25 0 ; 8) x y y x x y y x x x x y y y x                = 0 ; 2 12 2 0y x x   3 1 0, 322 3 0x   3 1, 6 42 6x k y y 8y k 5   2 2 2 1 18k y k x x k x     k  2 , 5, 0 , : 5k f D x    62 4 0y x 10 96± Exercises ( 2 -1)
  • 78.
    KAMIL MOSA ALNASSIRY78 Ellipses ‫ﺍﻟﻨﺎﻗﺺ‬‫ﺍﻟﻘﻄﻊ‬ ‫ﻣﻨﮭﺎ‬ ‫ﻧﻘﻄﺔ‬ ‫أﯾﺔ‬ ‫ﺑﻌﺪي‬ ‫ﻣﺠﻤﻮع‬ ‫ﯾﻜﻮن‬ ‫اﻟﺘﻲ‬ ‫اﻟﻤﺴﺘﻮي‬ ‫ﻓﻲ‬ ‫اﻟﻨﻘﻂ‬ ‫ﻣﺠﻤﻮﻋﺔ‬ ‫ھﻮ‬P(x , y )‫ﺛﺎﺑﺘﺘﯿﻦ‬ ‫ﻧﻘﻄﺘﯿﻦ‬ ‫ﻋﻦ‬ F1(c, 0 ),F2( c, 0 )‫ﺛﺎﺑﺘﺎ‬ ‫ﻋﺪدا‬ ‫ﯾﺴﺎوي‬ ‫ﺑﺎﻟﺒﺆرﺗﯿﻦ‬ ‫ﺗﺴﻤﯿﺎن‬( 2 a ). ‫اﻟﻨﺎﻗﺺ‬ ‫اﻟﻘﻄﻊ‬ ‫ﻣﻌﺎدﻟﺔ‬ ‫ﺗﻤﺜﻞ‬‫اﻟﺴﯿﻨﺎت‬ ‫ﻣﺤﻮر‬ ‫ﻋﻠﻰ‬ ‫وﺑﺆرﺗﺎه‬ ‫اﻷﺻﻞ‬ ‫ﻧﻘﻄﺔ‬ ‫ﻣﺮﻛﺰه‬ ‫اﻟﺬي‬. ‫ﯾﻠﻲ‬ ‫وﻛﻤﺎ‬ ‫اﻟﻨﺎﻗﺺ‬ ‫ﻟﻠﻘﻄﻊ‬ ‫اﻟﻌﺎﻣﺔ‬ ‫اﻟﻤﻌﻠﻮﻣﺎت‬ ‫وﺿﻊ‬ ‫وﯾﻤﻜﻦ‬: ‫اﻟﺘﻌﺮﯾﻒ‬ ‫ﻣﻦ‬ ‫اﻟﻘﯿﺎﺳﯿﺔ‬ ‫اﻟﻤﻌﺎدﻟﺔ‬ ‫اﺷﺘﻘﺎق‬: PF1+PF2 = 2a‫أن‬ ‫و‬0 < a ‫اﻟﻨﺎﻗﺺ‬ ‫اﻟﻘﻄﻊ‬ ‫رﺳﻢ‬ ‫ﻃﺮق‬ ‫إﺣﺪى‬ ‫ﯾﻤﺜﻞ‬ ‫اﻟﻤﺠﺎور‬ ‫اﻟﺸﻜﻞ‬ ‫ﻻﺣﻆ‬‫اﻟﺘﻲ‬ ‫ﺧﯿ‬ ‫ﻓﯿﮭﺎ‬ ‫ﯾﺴﺘﻌﻤﻞ‬‫ﺛﺎﺑﺖ‬ ‫ﻃﻮﻟﮫ‬ ‫ﻂ‬2a‫ﺑﻤﺴﻤﺎرﯾﻦ‬ ‫ﺑﻄﺮﻓﯿﮫ‬ ‫ﻣﺜﺒﺖ‬‫ﯾﻤﺜﻼن‬ ‫اﻟﻨﺎﻗﺺ‬ ‫اﻟﻘﻄﻊ‬ ‫ﻋﻠﻰ‬ ‫ﻧﺤﺼﻞ‬ ‫اﻟﺨﯿﻂ‬ ‫ﺑﺸﺪ‬ ‫و‬ ‫اﻟﻘﻠﻢ‬ ‫ﺣﺮﻛﺔ‬ ‫وﻣﻦ‬ ‫اﻟﺒﺆرﺗﯿﻦ‬. 2 2 2 2 ( ) ( ) 2x yx y cc a     2 2 2 2 ( ) 2 ( )x cx a yc y      2 2 ( )x c y  2 2 2 2 4 4 ( ) ( )a a x c y x c y       4 2 2 ( ) 4a x c y   4cx  2 a 2 2 2 2 2 2 2 4 ( 2 ) 2a x xc c y c x a cx a      2 2 2 2a x a cx 2 2 2 2 2 2 2 2a c a y c x a cx    4 a 2 2 2 2 2 2 2 2 2 2 2 ( ) ( )a c x a y a a c Let b a c      2 2 2 2 2 2 2 2 b x a y a b a b    2 2 2 2 1 Standard equation of an ellipse x y a b  
  • 79.
    KAMIL MOSA ALNASSIRY79 Notation‫ﻣﻼﺣﻈﺎت‬ A', A: vertices‫اﻟﺮأﺳﺎن‬ ; ( ,0)a d', d: directrices ‫;اﻟﺪﻟﯿﻼن‬ 0 a x e   F = focus‫اﻟﺒﺆرة‬ ; ( ,0)c A'A = 2a = major axis ‫أﻷ‬ ‫اﻟﻤﺤﻮر‬‫ﻛﺒﺮ‬ PF1 + PF2 = 2a; M =center ‫اﻟﻤﺮﻛﺰ‬ B'B = 2b = minor axis ‫اﻷﺻﻐﺮ‬ ‫اﻟﻤﺤﻮر‬ F1F2 = 2c =‫اﻟﺒﺆرﺗﯿﻦ‬ ‫ﺑﯿﻦ‬ ‫اﻟﻤﺴﺎﻓﺔ‬ ‫ﺑﯿﻦ‬ ‫اﻟﻤﺴﺎﻓﺔ‬‫اﻟﻤﺮﻛ‬‫ﺰ‬‫واﻟﺒﺆرة‬ = c = 2 2 a b Eccentricity ‫اﻟﻤﺮﻛﺰي‬ ‫اﻻﺧﺘﻼف‬ (e = ‫اﻟﻌﻤﻮدي‬ ‫اﻟﺒﺆري‬ ‫اﻟﻮﺗﺮ‬ ) < 1 ‫اﻟﺪﻟﯿﻠﯿﻦ‬ ‫ﻣﻦ‬ ‫وأي‬ ‫اﻟﻤﺮﻛﺰ‬ ‫ﺑﯿﻦ‬ ‫اﻟﻤﺴﺎﻓﺔ‬ = a e Area a b p = ‫اﻟﻨﺎﻗﺺ‬ ‫اﻟﻘﻄﻊ‬ ‫ﻣﺤﯿﻂ‬ ‫اﻟﻌﺎﻣﺔ‬ ‫اﻟﻤﻌﺎدﻟﺔ‬:‫اﻟﻘﻄﻊ‬ ‫ﻣﺤﻮري‬ ‫ﻋﻨﺪﻣﺎ‬ ‫ﯾﻮازﯾﺎ‬‫ن‬‫ا‬ ‫ﻣﺤﻮري‬‫ﻹ‬‫ﺣﺪاﺛﯿﯿﻦ‬ Ax2 + Cy2 +Dx + Ey +F = 0 ; AC > 0 ‫ﻃﻮل‬‫اﻟﻌﻤﻮدي‬ ‫اﻟﺒﺆري‬ ‫اﻟﻮﺗﺮ‬(*) 2 2b a  Ellipse Circumference‫اﻟﻨﺎﻗﺺ‬ ‫اﻟﻘﻄﻊ‬ ‫ﻣﺤﯿﻂ‬‫إﯾﺠﺎده‬‫ﺗﺠﺪ‬ ‫ﻣﻮﻗﻌﻲ‬ ‫وﻓﻲ‬ ‫ﺟﺪا‬ ‫ﻣﻌﻘﺪ‬ ‫وھﻮ‬ ‫اﻟﺘﻜﺎﻣﻞ‬ ‫ﻃﺮﯾﻖ‬ ‫ﻋﻦ‬ ‫اﻟﻤﺤﯿﻂ‬ ‫ﺑﺤﺴﺎب‬ ‫ﺧﺎﺻﺔ‬ ‫ﺑﺮﻣﺠﺔ‬.
  • 80.
    KAMIL MOSA ALNASSIRY80 1(‫اﻷﺻﻞ‬‫ﻧﻘﻄﺔ‬ ‫اﻟﻤﺮﻛﺰ‬ ‫أﻓﻘﻲ‬ ‫اﻷﻛﺒﺮ‬ ‫اﻟﻤﺤﻮر‬‫ﺷﺎﻗﻮﻟﻲ‬ ‫اﻷﻛﺒﺮ‬ ‫اﻟﻤﺤﻮر‬ ‫اﻟﻤﻌﺎدﻟﺔ‬: 2 2 2 2 1 x y a b   Vertices , 0a‫اﻟﺮأﺳﺎن‬ Foci , 0c‫اﻟﺒﺆرﺗﺎ‬‫ن‬ y-intercepts 0, b‫اﻟﺼﺎدات‬ ‫ﻣﻊ‬ ‫ﺗﻘﺎﻃﻊ‬ ‫اﻟﻤﻌﺎدﻟﺔ‬: 2 2 2 2 1 x y b a   Vertices 0, a‫اﻟﺮأﺳﺎن‬ Foci 0, c‫اﻟﺒﺆرﺗﺎن‬ x-intercept , 0b‫اﻟﺴﯿﻨﺎت‬ ‫ﻣﻊ‬ ‫اﻟﺘﻘﺎﻃﻊ‬ 2(‫اﻟﻤﺮﻛﺰ‬( h , k ) ‫أﻓﻘﻲ‬ ‫اﻷﻛﺒﺮ‬ ‫اﻟﻤﺤﻮر‬Major Axis Horizontal‫ﺷﺎﻗﻮﻟﻲ‬ ‫اﻷﻛﺒﺮ‬ ‫اﻟﻤﺤﻮر‬Major Axis Vertical     2 2 2 2 1 x h y k a b     Vertices ,h a k‫اﻟﺮأﺳﺎن‬ Foci ,h c k‫اﻟﺒﺆرﺗﺎن‬     2 2 2 2 1 x h y k b a     Vertices ,h k a‫اﻟﺮأﺳﺎ‬‫ن‬ Foci ,h k c‫اﻟﺒﺆرﺗﺎن‬ ‫اﻻﻧﺴﺤﺎ‬ ‫ﻓﻜﺮة‬ ‫ﺗﻮﺿﯿﺢ‬‫ب‬:
  • 81.
    KAMIL MOSA ALNASSIRY81 ‫ﻣﺜﺎل‬:‫ﻣﺴﺘﺨﺪﻣ‬‫ﺎ‬‫ﺑﺆرﺗﺎه‬‫اﻟﺬي‬ ‫اﻟﻨﺎﻗﺺ‬ ‫اﻟﻘﻄﻊ‬ ‫ﻣﻌﺎدﻟﺔ‬ ‫ﺟﺪ‬ ، ‫اﻟﻨﺎﻗﺺ‬ ‫اﻟﻘﻄﻊ‬ ‫ﺗﻌﺮﯾﻒ‬(4,0) , (-4,0)‫أن‬ ‫ﻋﻠﻤﺖ‬ ‫اذا‬ ‫ﯾﺴﺎوي‬ ‫اﻟﺜﺎﺑﺖ‬ ‫اﻟﻌﺪد‬10‫ﻃﻮل‬ ‫وﺣﺪة‬. ‫اﻟﺤﻞ‬:‫ﻟﺘﻜﻦ‬P(X,Y)‫اﻟﻤﻨﺤﻨﻲ‬ ‫ﻧﻘﻂ‬ ‫ﻣﻦ‬. 1PF‫ﺑﯿﻦ‬ ‫اﻟﺒﻌﺪ‬( , )p x y‫واﻟﺒﺆرة‬‫اﻷوﻟﻰ‬(4,0) 2 2 1 ( 4) ( 0)x yPF    2PF=‫ﺑﯿﻦ‬ ‫اﻟﻤﺴﺎﻓﺔ‬( , )p x y‫اﻟﺜﺎﻧﯿﺔ‬ ‫واﻟﺒﺆرة‬( 4,0) 2 2 2 ( 4) ( 0)x yPF    ‫اﻟﺘﻌﺮﯾﻒ‬:‫ﺑﺆرﺗﯿﮫ‬ ‫ﻋﻦ‬ ‫ﻋﻠﯿﮫ‬ ‫ﺗﻘﻊ‬ ‫ﻧﻘﻄﺔ‬ ‫أﯾﺔ‬ ‫ﺑﻌﺪي‬ ‫ﻣﺠﻤﻮع‬=‫اﻟﺜﺎﺑﺖ‬ ‫اﻟﻌﺪد‬ 2 2 1 22 2 ( 4) ( 0) ( 4) 1( 00)xPF x y yPF        1(‫ﺟﮭﺔ‬ ‫ﻓﻲ‬ ‫اﻟﺠﺬرﯾﻦ‬ ‫أﺣﺪ‬ ‫ﻧﺒﻘﻲ‬...2(‫اﻟﻄﺮﻓﯿﻦ‬ ‫ﻧﺮﺑﻊ‬.....3(‫ﻋﻠﻰ‬ ‫اﻟﻄﺮﻓﯿﻦ‬ ‫وﻧﻘﺴﻢ‬ ‫ﻧﺒﺴﻂ‬)4(‫داﺋﻤﺎ‬ 4(‫ﻧﺒﻘﻲ‬‫اﻟﻤﺘﺒﻘﻲ‬ ‫اﻟﺠﺬر‬‫أﺧﺮى‬ ‫ﻣﺮة‬‫ﺟﮭﺔ‬ ‫ﻓﻲ‬ ‫ﻟﻮﺣﺪه‬....5(‫اﻟﻄﺮﻓﯿﻦ‬ ‫ﻧﺮﺑﻊ‬.................. 22 2 2 1) ( 4) ( 0) 1 ( 4) (0 0)x y x y          2 2 2 22 2 2) ( 4) ( 0) 1 ( 4) ( )0 0x yy x       2 3) x 8 16x  2 y 2 22 20 8 16100 x x y x    8 16x  2 y 4 2 22 2 4) 100 16 5 8 1616 28 5 420 xx x x xy x y                2 22 2 5 8 1) 2 465 5x x y x      2 222 225( 8 516 ) 25 204 0x xx y x x     2 400 25 625 200y x   2 16x 2 2(225) 2 2 9 25 225 1 25 9 x y x y       ‫ﻣﺜﺎل‬:‫ﺧﺼﺎﺋﺼﮫ‬ ‫ﻛﺎﻓﺔ‬ ‫ذﻛﺮ‬ ‫ﻣﻊ‬ ‫اﻟﺘﺎﻟﯿﺔ‬ ‫اﻟﻨﺎﻗﺼﺔ‬ ‫اﻟﻘﻄﻮع‬ ‫ارﺳﻢ‬: ‫ﻋﻠﻰ‬ ‫ﻃﺮﻓﯿﮭﺎ‬ ‫ﺑﻘﺴﻤﺔ‬ ‫اﻟﻘﯿﺎﺳﯿﺔ‬ ‫ﻟﻠﺼﯿﻐﺔ‬ ‫اﻟﻤﻌﺎدﻟﺔ‬ ‫ﻧﺤﻮل‬5762 2 1: 9 16 576Q x y  2 2 2 2 2 2 9 16 1 1 1 576 576576 576 64 36 9 16 ‫ﯿﺔ‬ ‫ﻗﯿﺎﺳ‬ x y x y x y         ‫اﻟﻤﺮﻛ‬‫ﺰ‬(0,0)‫و‬‫ھﻮ‬ ‫اﻷﻛﺒﺮ‬ ‫اﻟﻌﺪد‬64‫ﺗﺤﺖ‬x2 ‫اﻟﺴﯿﻨﺎت‬ ‫ﻣﺤﻮر‬ ‫ﻋﻠﻰ‬ ‫واﻟﺒﺆرﺗﯿﻦ‬ ‫اﻟﺮأﺳﯿﻦ‬ ‫ﻟﺬا‬.
  • 82.
    KAMIL MOSA ALNASSIRY82 ‫اﻟﺮأﺳﺎن‬ 2 1264: 8 (8,0) , ( 8,0)a a V V    ‫ﻣﻊ‬ ‫اﻟﻤﻨﺤﻨﻲ‬ ‫ﺗﻘﺎﻃﻊ‬ ‫ﻧﻘﻄﺘﺎ‬ ‫وھﻤﺎ‬ ‫اﻷﺻﻐﺮ‬ ‫اﻟﻤﺤﻮر‬ ‫ﻃﺮﻓﻲ‬‫اﻟﺼﺎدات‬ 2 36: 6 (0,6) , (0, 6)b b    2 2 2 2 6 4 3 6 2 8 2 7ca b c c      ‫اﻟﺒﺆرﺗﺎن‬1 2(2 7,0) , ( 2 7,0)F F  ‫اﻷﻛﺒﺮ‬ ‫اﻟﻤﺤﻮر‬ ‫ﻃﻮل‬:2 16 inta u ‫اﻷﺻﻐﺮ‬ ‫اﻟﻤﺤﻮر‬ ‫ﻃﻮل‬:2 12 intb u ‫اﻟﺒﺆرﺗﯿﻦ‬ ‫ﺑﯿﻦ‬ ‫اﻟﻤﺴﺎﻓﺔ‬:2 4 7 intc u ‫اﻟﻌﻤﻮدي‬ ‫اﻟﺒﺆري‬ ‫اﻟﻮﺗﺮ‬ ‫ﻃﻮل‬)‫ﻟﻼﻃﻼع‬(: 2 2 72 9 8 b a   ‫ھﻲ‬ ‫اﻟﻨﺎﻗﺺ‬ ‫اﻟﻘﻄﻊ‬ ‫ﻋﻠﻰ‬ ‫ﻧﻘﻂ‬ ‫أرﺑﻊ‬ ‫ﻣﻌﺮﻓﺔ‬ ‫ﯾﻤﻜﻦ‬ ‫اﻟﻌﻤﻮدي‬ ‫اﻟﺒﺆري‬ ‫اﻟﻮﺗﺮ‬ ‫ﻣﻦ‬ ‫ﻻﺣﻆ‬ 9 9 2 7 , , 2 7 , 2 2               ‫اﻻﺧﺘﻼف‬‫اﻟﻤﺮﻛﺰي‬: 2 7 7 1 8 4 c e a     ‫اﻟﺪﻟﯿﻠﯿﻦ‬ ‫ﻣﻌﺎدﻟﺘﻲ‬.....x ‫اﻟﺴﯿﻨﺎت‬ ‫ﻋﻠﻰ‬ ‫اﻟﺒﺆرﺗﯿﻦ‬ ‫ﻷن‬: 2 64 2 7 a a x x x e c       ‫ﻟﻼﻃﻼع‬ ‫اﻟﻨﺎﻗﺺ‬ ‫اﻟﻘﻄﻊ‬ ‫ﻣﻨﻄﻘﺔ‬ ‫ﻣﺴﺎﺣﺔ‬:  2 48A a b unit   ‫اﻟﻨﺎﻗﺺ‬ ‫اﻟﻘﻄﻊ‬ ‫ﻣﺤﯿﻂ‬: 2 2 64 36 2 2 2 50 10 2 2 2 a b p unit          V2 x y F2 V1 ‫دﻟﯿﻞ‬ F1 ‫دﻟﯿﻞ‬ 32 7 7 x  32 7 7 x  
  • 83.
    KAMIL MOSA ALNASSIRY83 ‫ﻋﻠﻰ‬‫ﻃﺮﻓﯿﮭﺎ‬ ‫ﺑﻘﺴﻤﺔ‬ ‫اﻟﻘﯿﺎﺳﯿﺔ‬ ‫ﻟﻠﺼﯿﻐﺔ‬ ‫اﻟﻤﻌﺎدﻟﺔ‬ ‫ﻧﺤﻮل‬92 2 2: 25 9 9Q x y  2 2 2 2 25 9 1 1 99 9 1 25 ‫ﯿﺔ‬ ‫ﻗﯿﺎﺳ‬ x y x y     ‫ھﻮ‬ ‫اﻷﻛﺒﺮ‬ ‫اﻟﻌﺪد‬1‫ﺗﺤﺖ‬y2 ‫ﻓﺎﻟﻤﺮﻛ‬ ‫ﻟﺬا‬‫ﺰ‬(0,0)‫ﻋ‬ ‫واﻟﺒﺆرﺗﯿﻦ‬ ‫واﻟﺮأﺳﯿﻦ‬‫اﻟﺼﺎدات‬ ‫ﻣﺤﻮر‬ ‫ﻠﻰ‬. ‫اﻟﺮأﺳﺎن‬ 2 1 21: 1 (0,1) , (0, 1)a a V V    ‫ﻣﻊ‬ ‫اﻟﻤﻨﺤﻨﻲ‬ ‫ﺗﻘﺎﻃﻊ‬ ‫ﻧﻘﻄﺘﺎ‬ ‫وھﻤﺎ‬ ‫اﻷﺻﻐﺮ‬ ‫اﻟﻤﺤﻮر‬ ‫ﻃﺮﻓﻲ‬x, 2 9 3 3 3 : ( ,0) , ( ,0) 25 5 5 5 b b    2 2 2 2 225 9 16 4 25 25 25 5 c ca b c c       ‫اﻟﺒﺆرﺗﺎن‬1 2 4 4 (0, ) , (0, ) 5 5 F F  ‫اﻷﻛﺒﺮ‬ ‫اﻟﻤﺤﻮر‬ ‫ﻃﻮل‬:2 2a unit ‫اﻷ‬ ‫اﻟﻤﺤﻮر‬ ‫ﻃﻮل‬‫ﺻﻐﺮ‬: 6 2 5 b unit ‫اﻟﺒﺆرﺗﯿﻦ‬ ‫ﺑﯿﻦ‬ ‫اﻟﻤﺴﺎﻓﺔ‬: 8 2 5 c unit ‫اﻟﻤﺮﻛﺰي‬ ‫اﻻﺧﺘﻼف‬: 4 1 5 c e a    ‫ﻣﻨﻄﻘﺔ‬ ‫ﻣﺴﺎﺣﺔ‬‫اﻟﻨﺎﻗﺺ‬ ‫اﻟﻘﻄﻊ‬:  23 5 A a b unit   ‫اﻟﻨﺎﻗﺺ‬ ‫اﻟﻘﻄﻊ‬ ‫ﻣﺤﯿﻂ‬: 2 2 9 1 17252 2 2 2 2 5 a b p unit       
  • 84.
    KAMIL MOSA ALNASSIRY84 22 ( 2) ( 3) 3 : 1 16 25 x y Q     ‫اﻟﺤﻞ‬:‫اﻟﻘﯿﺎﺳﻲ‬ ‫ﺑﺎﻟﻮﺿﻊ‬ ‫ھﻲ‬ ‫اﻟﻤﻌﺎدﻟﺔ‬: 1(‫اﻟﻤﺮﻛﺰ‬:2 32 0 3 0;x yx h y k        ‫ﻟ‬‫اﻟﻤﺮﻛﺰ‬ ‫ﯾﻜﻮن‬ ‫ﺬا‬:(2 , 3) 2(‫اﻟﺘﻤﺎﺛﻞ‬ ‫ﻣﺤﻮر‬:‫اﻷﻛﺒﺮ‬ ‫اﻟﻌﺪد‬=25‫اﻟـ‬ ‫ﺗﺤﺖ‬ ‫ﻣﻮﺟﻮد‬y + 3‫اﻟﺘﻤﺎﺛﻞ‬ ‫ﻣﺤﻮر‬ ‫ن‬ ‫ﻓﺎ‬ ‫ﻟﺬا‬‫ﻟﻤﺤﻮر‬ ‫ﻣﻮاز‬y‫ھﻮ‬ x – 2 = 0x = 2‫اﻟ‬ ‫اﻻﺣﺪاﺛﻲ‬ ‫ﻧﻔﺲ‬ ‫ﻟﮭﻤﺎ‬ ‫واﻟﺮأﺳﯿﻦ‬ ‫اﻟﺒﺆرﺗﯿﻦ‬ ‫أي‬‫ﺴﯿﻨﻲ‬‫وھﻮ‬x = 2‫وأﺳﻒ‬ ‫أﻋﻠﻰ‬ ‫ﻓﺎﻟﺴﺤﺐ‬ 3(‫اﻟﺮأﺳﺎن‬:2 25a 5a ‫اﻟﺮأﺳﺎ‬‫ن‬‫ھﻤﺎ‬:(2, )k a(2, 3 5)  ‫اﻟﺮأﺳﺎن‬ ‫ﻟﺬا‬:1 2(2 , 2) , (2 , 8)V V  4(‫اﻷﺻﻐﺮ‬ ‫اﻟﻤﺤﻮر‬ ‫ﻃﺮﻓﻲ‬:2 16 4b b ‫اﻟﻨﻘﻄﺘﺎن‬(2 , 3)b , 3)(6 , 3) , ( 2   5(‫اﻟﺒﺆرﺗﺎن‬: 2 2 2 2 25 16 3a b c c c     ‫ﻣﻘﺪار‬ ‫أن‬ ‫أي‬‫إزاﺣﺔ‬‫اﻟﺮأس‬‫اﻋﻠﻲ‬‫وأﺳﻔﻞ‬ ‫ھﻮ‬3‫وﺣﺪات‬.‫اﻟﺒﺆرﺗﺎن‬ ‫أي‬(2 , 3 )c ‫اﻟﺒﺆرﺗﺎن‬(2 , 3 3) ‫اﻟﺒﺆرﺗﺎن‬ 1 2(2 , 0) , (2 , 6)F F  6(‫أﻛﺒﺮ‬ ‫ﻣﺤﻮر‬ ‫ﻃﻮل‬=2a=10‫ﻃﻮل‬ ‫وﺣﺪة‬،7(‫أﺻﻐﺮ‬ ‫ﻣﺤﻮر‬ ‫ﻃﻮل‬=2 b=8‫ﻃﻮل‬ ‫وﺣﺪة‬ 8(‫اﻟﺒﺆرﺗﯿﻦ‬ ‫ﺑﯿﻦ‬ ‫اﻟﻤﺴﺎﻓﺔ‬=2 c=6‫ﻃﻮل‬ ‫وﺣﺪة‬9(‫اﻟﻤﺮﻛﺰي‬ ‫اﻻﺧﺘﻼف‬= 3 5 c e a   10(‫اﻟﻨﺎﻗﺺ‬ ‫اﻟﻘﻄﻊ‬ ‫ﻣﻨﻄﻘﺔ‬ ‫ﻣﺴﺎﺣﺔ‬=2 20A ab u   11(‫اﻟﻨﺎﻗﺺ‬ ‫اﻟﻘﻄﻊ‬ ‫ﻣﺤﯿﻂ‬= 2 2 25 16 41 2 2 2 2 2 2 unit a b p      
  • 85.
    KAMIL MOSA ALNASSIRY85 22 4: 4 4 8 4 0E x y x y     ‫اﻟﺤﻞ‬:‫اﻟﻤﺘﻐﯿﺮﯾﻦ‬ ‫ﻣﻦ‬ ‫ﻟﻜﻞ‬ ‫اﻟﻤﺮﺑﻊ‬ ‫إﻛﻤﺎل‬ ‫ﻃﺮﯾﻘﺔ‬ ‫ﻧﺴﺘﻌﻤﻞ‬:  2 2 4 ? 4 2 4 ? 4?? ??x x y y          ‫اﻟﺤﺪود‬ ‫ﺗﺮﺗﯿﺐ‬ ‫ﺗﻢ‬:‫ﻣﻌﺎﻣﻼت‬ ‫ﻣﻦ‬ ‫ﻛﻼ‬ ‫ﻧﺠﻌﻞ‬ ‫ذﻟﻚ‬ ‫ﺑﻌﺪ‬2 2 ,x y‫ﻣﺸﺘﺮك‬ ‫ﻋﺎﻣﻞ‬ ‫ﺑﺈﯾﺠﺎد‬ ‫وذك‬ ‫اﻟﺼﺤﯿﺢ‬ ‫اﻟﻮاﺣﺪ‬ )‫ﻣﻌﺎﻣﻞ‬ ‫ﻧﺼﻒ‬x(‫ﯾﺮﺑﻊ‬:‫ﻟﻠﻄﺮﻓﯿﻦ‬ ‫ﯾﻀﺎف‬ ‫ﺛﻢ‬.‫ﻟـ‬ ‫ﺑﺎﻟﻨﺴﺒﺔ‬ ‫اﻟﺤﺎل‬ ‫ﻛﺬﻟﻚ‬y 2 2 2 2 2 2 (4) 4 4 ( 2 ) 4 4 ( 2) 4( 1) ( 2) ( 1) 4 1 4( 1 4 1 1) 4 x x y x y y y x                     ‫اﻟﺤﻞ‬:‫اﻟﻘﯿﺎﺳ‬ ‫ﺑﺎﻟﻮﺿﻊ‬ ‫ھﻲ‬ ‫اﻟﻤﻌﺎدﻟﺔ‬‫ﻲ‬: 1(‫اﻟﻤﺮﻛﺰ‬:2 0 2 ; 1 0 1x x h y y k          ‫اﻟﻤﺮﻛﺰ‬ ‫ﯾﻜﻮن‬ ‫ﻟﺬا‬:( 2 ,1) 2(‫اﻟﺘﻤﺎﺛﻞ‬ ‫ﻣﺤﻮر‬:‫اﻷﻛﺒﺮ‬ ‫اﻟﻌﺪد‬=4‫اﻟـ‬ ‫ﺗﺤﺖ‬ ‫ﻣﻮﺟﻮد‬x + 2‫ﻟﻤﺤﻮر‬ ‫ﻣﻮاز‬ ‫اﻟﺘﻤﺎﺛﻞ‬ ‫ﻣﺤﻮر‬ ‫ن‬ ‫ﻓﺎ‬ ‫ﻟﺬا‬x‫ھﻮ‬ y – 1 = 0y = 1‫اﻟﺒ‬ ‫أي‬‫وھﻮ‬ ‫اﻟﺼﺎدي‬ ‫اﻻﺣﺪاﺛﻲ‬ ‫ﻧﻔﺲ‬ ‫ﻟﮭﺎ‬ ‫واﻟﺮأﺳﯿﻦ‬ ‫ﺆرﺗﯿﻦ‬y = 1‫ﻓﺎﻟﺴﺤﺐ‬ ‫وﯾﺴﺎر‬ ‫ﯾﻤﯿﻦ‬. 3(‫اﻟﺮأﺳﺎن‬:2 4a 2a ‫اﻟﺮأﺳﺎ‬‫ن‬‫ھﻤﺎ‬:( , )h a k( 2 2,1)  ‫اﻟﺮأﺳﺎن‬ ‫ﻟﺬا‬:1 2( 4 ,1) , (0 ,1)V V 4(‫اﻷﺻﻐﺮ‬ ‫اﻟﻤﺤﻮر‬ ‫ﻃﺮﻓﻲ‬:2 1 1b b ‫اﻟﻨﻘﻄﺘﺎن‬( 2 ,1 )b ,2)( 2 ,0) , ( 2  5(‫اﻟﺒﺆرﺗﺎن‬: 2 2 2 2 4 1 3a b c c c     ‫ﻣﻘﺪار‬ ‫أن‬ ‫أي‬‫إزاﺣﺔ‬‫اﻟﺮأس‬‫ﯾﺴﺎر‬ ‫و‬ ‫ﯾﻤﯿﻦ‬ ‫ھﻮ‬3‫وﺣﺪات‬.‫اﻟﺒﺆرﺗﺎن‬ ‫أي‬( 2 ,1)c ‫اﻟﺒﺆرﺗﺎن‬( 2 3 ,1) ‫اﻟﺒﺆرﺗﺎن‬ 1 2( 2 3 ,1) , ( 2 3 ,1)F F    6(‫أﻛﺒﺮ‬ ‫ﻣﺤﻮر‬ ‫ﻃﻮل‬=2a=4‫ﻃﻮل‬ ‫وﺣﺪة‬ 7(‫أﺻﻐﺮ‬ ‫ﻣﺤﻮر‬ ‫ﻃﻮل‬=2 b=2‫ﻃﻮل‬ ‫وﺣﺪة‬ 8(‫اﻟﺒﺆرﺗﯿﻦ‬ ‫ﺑﯿﻦ‬ ‫اﻟﻤﺴﺎﻓﺔ‬=2 c=2 3‫ﻃﻮل‬ ‫وﺣﺪة‬ 9(‫اﻟﻤﺮﻛﺰي‬ ‫اﻻﺧﺘﻼف‬= 3 2 c e a   10(‫اﻟﻨﺎﻗﺺ‬ ‫اﻟﻘﻄﻊ‬ ‫ﻣﻨﻄﻘﺔ‬ ‫ﻣﺴﺎﺣﺔ‬=2 2A ab u   11(‫اﻟﻨﺎﻗﺺ‬ ‫اﻟﻘﻄﻊ‬ ‫ﻣﺤﯿﻂ‬= 2 2 4 1 5 2 2 2 2 2 2 a b p unit       
  • 86.
    KAMIL MOSA ALNASSIRY86 ‫ا‬  ‫ت‬‫ة‬‫ا‬ ‫ا‬ ‫د‬  ‫أ‬  ‫ﻣﺮﻛﺰه‬ ‫اﻟﺬي‬‫ﺍﻷﺻﻞ‬ ‫ﻧﻘﻄﺔ‬‫واﻟﺬي‬ ‫اﻻﺣﺪاﺛﺜﯿﻦ‬ ‫ﻣﺤﻮري‬ ‫ﻋﻠﻰ‬ ‫ﻣﻨﻄﺒﻘﯿﻦ‬ ‫وﻣﺤﻮرﯾﮫ‬: 1(‫ﺑﺆرﺗﺎه‬(0, 6)c = 6‫اﻟﺼ‬ ‫وﻋﻠﻰ‬‫ﺎدات‬ 2(‫رأﺳﺎه‬(0, 6)a = 6‫اﻟﺼﺎدات‬ ‫وﻋﻠﻰ‬ 3(‫ﻣﻦ‬ ‫ﯾﻤﺮ‬(0, 6)6 6a or b ‫اﻟﺴﺆال‬ ‫ﻣﻌﻠﻮﻣﺎت‬ ‫ﺑﺎﻗﻲ‬ ‫ﻋﻠﻰ‬ ‫ﯾﺘﻮﻗﻒ‬ ‫اﻟﺘﺤﺪﯾﺪ‬. 4(‫ﺑﺆرﺗﺎه‬(0, 6)‫ﻣﻦ‬ ‫وﯾﻤﺮ‬( 10,0)6 = c‫اﻟﺼﺎدا‬ ‫وﻋﻠﻰ‬‫ت‬‫ﻟﻜﻦ‬a , c‫اﻟﻤﺤﻮر‬ ‫ﻧﻔﺲ‬ ‫ﻋﻠﻰ‬ ‫ﺗﻘﻌﺎن‬ ‫ﺑﯿﻨﻤﺎ‬b‫اﻟﻤﻌﺎﻛﺲ‬ ‫اﻟﻤﺤﻮر‬ ‫ﻓﻌﻠﻰ‬10 = b 5(‫ﺑﺆرﺗﺎه‬(0, 6)‫وﯾﻤ‬‫ﻣﻦ‬ ‫ﺮ‬(0, 10)6 = c‫اﻟﺼﺎدا‬ ‫وﻋﻠﻰ‬‫ت‬‫ﻟﻜﻦ‬a , c‫اﻟﻤﺤﻮر‬ ‫ﻧﻔﺲ‬ ‫ﻋﻠﻰ‬ ‫ﺗﻘﻌﺎن‬ ‫ﺑﯿﻨﻤﺎ‬b‫اﻟﻤﻌﺎﻛﺲ‬ ‫اﻟﻤﺤﻮر‬ ‫ﻓﻌﻠﻰ‬10 = a 6(‫اﻟﻤﺴ‬‫ﺎ‬‫ﺗﺴﺎوي‬ ‫ﺑﺆرﺗﯿﮫ‬ ‫ﺑﯿﻦ‬ ‫ﻓﺔ‬12‫ﻃﻮل‬ ‫وﺣﺪة‬‫ﻣﻦ‬ ‫وﯾﻤﺮ‬( 0 , 6 )2c = 12c = 6 ‫ﻣﻦ‬ ‫ﯾﻤﺮ‬ ‫ﻟﻜﻨﮫ‬(0, 6)6‫إﻣﺎ‬ ‫ﺗﻌﻨﻲ‬ ‫ﻟﻠﻨﻘﻄﺔ‬a = 6‫أو‬b = 6‫أﺣﺪھﻤﺎ‬ ‫ﺗﺤﺪﯾﺪ‬ ‫ﯾﺠﺐ‬ ‫واﻵن‬ ‫ﻓﯿﺜﺎﻏﻮرس‬ ‫ﻣﺒﺮھﻨﺔ‬ ‫ﻣﻦ‬a c‫ﻗﯿﻤﺔ‬a‫اﻟـ‬ ‫ﻣﻦ‬ ‫أﻛﺒﺮ‬6‫ﻓﺎن‬ ‫ﻟﺬا‬6a  6 = b‫اﻟﺼﺎدات‬ ‫وﻋﻠﻰ‬a , c‫اﻟﺴﯿﻨﺎت‬ ‫ﻋﻠﻰ‬. 7(‫اﻟﻤﺴﺘﻘﯿﻢ‬ ‫ﯾﻤﺲ‬y = -88 8a or b  V2 x y F2 V1 ‫دﻟﯿﻞ‬ F1 ‫دﻟﯿﻞ‬ 4 2 3 x    C ( 2 ,2) ,0)( 2 ‫ﻣﺤﻮر‬ ‫اﻟﺘﻤﺎﺛﻞ‬ 4 * 2 3 x   
  • 87.
    KAMIL MOSA ALNASSIRY87 8(‫ﻣﺪاه‬=8 , 8‫ﻣﺠﺎﻟﮫ‬ ،= 6 , 6‫اﻟﻤﺪى‬=‫ﻣﻦ‬ ‫ﯾﻘﻄﻊ‬ ‫اﻟﻘﻄﻊ‬ ‫أن‬ ‫ﯾﻌﻨﻲ‬ ‫ص‬ ‫ﻗﯿﻢ‬ ‫ﻣﺠﻤﻮﻋﺔ‬ ‫ﻃﻮﻟﮭﺎ‬ ‫ﻗﻄﻌﺔ‬ ‫اﻟﺼﺎدات‬=16‫اﻟﻤﺠﺎل‬ ،=‫اﻟﺴﯿﻨﻲ‬ ‫اﻟﻤﻘﻄﻊ‬ ‫أن‬ ‫ﯾﻌﻨﻲ‬ ‫وھﺬا‬ ‫س‬ ‫ﻗﯿﻢ‬ ‫ﻣﺠﻤﻮﻋﺔ‬=12 ‫أﺣﺪھﻤﺎ‬ ‫اﻟﻤﻘﻄﻌﯿﻦ‬=2 a‫واﻵﺧﺮ‬ ، ‫اﻷﻛﺒﺮ‬ ‫وھﻮ‬=2 b‫اﻷﺻﻐﺮ‬ ‫وھﻮ‬ 2 a=16a = 8،2 b=12b = 6 9(‫ﻛﻨﺴﺒﺔ‬ ‫ﻣﺤﻮرﯾﮫ‬ ‫ﻃﻮﻟﻲ‬ ‫ﺑﯿﻦ‬ ‫اﻟﻨﺴﺒﺔ‬2:5 2 2 2 2 5 5 b b a a   ‫ﻣﺜﺎﻝ‬:‫ﻳﻠﻲ‬ ‫ﳑﺎ‬ ‫ﻛﻼ‬ ‫ﳛﻘﻖ‬ ‫ﺍﻟﺬﻱ‬ ‫ﺍﻟﻨﺎﻗﺺ‬ ‫ﺍﻟﻘﻄﻊ‬ ‫ﻣﻌﺎﺩﻟﺔ‬ ‫ﺟﺪ‬: : 1Q‫ﺑﺆرﺗﺎه‬(0,6) , (0, 6)‫ﯾﺴﺎوي‬ ‫اﻟﺜﺎﺑﺖ‬ ‫اﻟﻌﺪد‬ ‫وأن‬20. ‫اﻟﺤﻞ‬:‫ﻧﺴﺘﻨ‬ ‫اﻟﺒﺆرﺗﯿﻦ‬ ‫ﻣﻦ‬‫أن‬ ‫ﺘﺞ‬:1(‫اﻷﺻﻞ‬ ‫ﻧﻘﻄﺔ‬ ‫اﻟﻤﺮﻛﺰ‬2(‫اﻟ‬ ‫ﻣﺤﻮر‬ ‫ھﻮ‬ ‫اﻟﻘﻄﻊ‬ ‫ﻣﺤﻮر‬‫ﺼﺎدات‬3(6c  ‫اﻟﺜﺎﺑﺖ‬ ‫اﻟﻌﺪد‬=20 = 2 aa = 10‫و‬‫ﻓﯿﺜﺎﻏﻮرس‬ ‫ﻣﺒﺮھﻨﺔ‬ ‫ﺗﻄﺒﯿﻖ‬ ‫ﻣﻦ‬‫ﻋﻠﻰ‬ ‫ﻧﺤﺼﻞ‬b 2 2 22 100 36 8b ba b c      ‫اﻟﻤﻄﻠﻮﺑﺔ‬ ‫اﻟﻤﻌﺎدﻟﺔ‬ 2 2 2 2 2 2 1 1 64 100 x y x y b a     : 2Q‫و‬ ‫اﻷﺻﻞ‬ ‫ﻧﻘﻄﺔ‬ ‫ﻣﺮﻛﺰه‬‫إﺣﺪ‬‫ى‬‫اﻟﻤﻜﺎﻓﺊ‬ ‫اﻟﻘﻄﻊ‬ ‫ﺑﺆرة‬ ‫ھﻲ‬ ‫ﺑﺆرﺗﯿﮫ‬2 24y x ‫اﻟﻨﻘﻄﺘﯿﻦ‬ ‫ﻣﻦ‬ ‫وﯾﻤﺮ‬ 0, 10 ‫اﻟﺤﻞ‬:2 24y x ، ‫ﻟﻠﯿﺴﺎر‬ ‫اﻟﻤﻜﺎﻓﺊ‬ ‫اﻟﻘﻄﻊ‬4 24p  6p ‫اﻟﻤﻜﺎﻓﺊ‬ ‫ﺑﺆرة‬( 6,0) ‫اﻟﻨﺎﻗﺺ‬ ‫ﺑﺆرﺗﺎ‬( 6,0)6c ‫اﻟﺴﯿﻨﺎت‬ ‫وﻋﻠﻰ‬‫أﯾﻀﺎ‬ ‫اﻟﺴﯿﻨﺎت‬ ‫ﻋﻠﻰ‬ ‫اﻟﺮأﺳﺎن‬ ‫ﻣﻦ‬ ‫ﯾﻤﺮ‬ 0, 1010b ‫ﻟﻠﺒﺆرة‬ ‫اﻟﻤﻌﺎﻛﺲ‬ ‫اﻟﻤﺤﻮر‬ ‫ﻋﻠﻰ‬ ‫ﻷﻧﮭﺎ‬ 2 2 2 22 2 2 2 2 2 2 2 10 6 136 1 1 136 36 a a x y a b b y c x            َََََQ3:‫اﻟﻤﻜﺎﻓﺊ‬ ‫اﻟﻘﻄﻊ‬ ‫ﺑﺆرة‬ ‫ھﻲ‬ ‫رأﺳﯿﮫ‬ ‫وأﺣﺪ‬ ‫اﻷﺻﻞ‬ ‫ﻧﻘﻄﺔ‬ ‫ﻣﺮﻛﺰة‬2 40x y ‫ﯾﺰﯾﺪ‬ ‫اﻷﺻﻐﺮ‬ ‫ﻣﺤﻮره‬ ‫وﻃﻮل‬ ‫ﺑﻤﻘﺪار‬ ‫ﺑﺆرﺗﯿﮫ‬ ‫ﺑﯿﻦ‬ ‫اﻟﻤﺴﺎﻓﺔ‬ ‫ﻋﻠﻰ‬4‫وﺣﺪات‬. ‫اﻟﺤﻞ‬:2 40x y ‫ﻣﻦ‬‫وأن‬ ‫اﻟﺼﺎدات‬ ‫ﻣﺤﻮر‬ ‫ھﻮ‬ ‫اﻟﻘﻄﻊ‬ ‫ﻣﺤﻮر‬ ‫أن‬ ‫ﻧﺴﺘﻨﺘﺞ‬ ‫اﻟﻤﻌﺎدﻟﺔ‬ ‫ھﺬه‬4 40p   10p ‫ھﻲ‬ ‫اﻟﻤﻜﺎﻓﺊ‬ ‫اﻟﻘﻄﻊ‬ ‫ﺑﺆرة‬(0, 10)‫ھﻤﺎ‬ ‫اﻟﻨﺎﻗﺺ‬ ‫اﻟﻘﻄﻊ‬ ‫رأﺳﺎ‬(0, 10) 10a ‫اﻟﺼﺎدات‬ ‫وﻋﻠﻰ‬. ‫اﻟﺜﺎﻧﻲ‬ ‫اﻟﻤﻌﻄﻰ‬: (2) 2 2 4 2 2b c b c b c         2 2 2 2 2 2 2 2 2 100 ( 2) 100 4 4 2 4 96 0 2 48 0 ( 8)( 6) a b c c c c c c c c c c c c                      
  • 88.
    KAMIL MOSA ALNASSIRY88 ‫إﻣﺎ‬c= - 8‫ﻷن‬ ‫ﻣﻤﻜﻦ‬ ‫ﻏﯿﺮ‬, ,a b c‫ﻣﻮﺟﺒﺔ‬ ‫أﻋﺪاد‬. ‫أو‬6c 6 2 8b   ‫ھﻲ‬ ‫اﻟﻤﻌﺎدﻟﺔ‬ 2 2 1 64 100 x y   Q4:‫ﺑﺆرﺗﺎه‬( 6 , 0 )‫اﻟﻤﻜﺎﻓﺊ‬ ‫اﻟﻘﻄﻊ‬ ‫ﺑﺆرة‬ ‫ﻣﻦ‬ ‫وﯾﻤﺮ‬2 12 2 11 0y x y   ‫اﻟﻘﻄﻊ‬ ‫ﻣﻤﺎس‬ ‫ﻣﻌﺎدﻟﺔ‬ ‫ﺟﺪ‬ ‫ﺛﻢ‬ ‫اﻟﻤﻜﺎﻓﺊ‬ ‫اﻟﻘﻄﻊ‬ ‫ﺑﺆرة‬ ‫ﻓﻲ‬ ‫اﻟﻨﺎﻗﺺ‬. ‫اﻟﺤﻞ‬:‫ﺑﺆرﺗﺎه‬( 6 , 0 )6c ‫اﻟ‬ ‫وﻋﻠﻰ‬‫ﺴﯿﻨﺎت‬ ‫أوﻻ‬ ‫اﻟﻘﯿﺎﺳﯿﺔ‬ ‫ﻟﻠﺼﯿﻐﺔ‬ ‫اﻟﻤﻌﺎدﻟﺔ‬ ‫ﻓﻨﺤﻮل‬ ‫اﻟﻤﻜﺎﻓﺊ‬ ‫اﻟﻘﻄﻊ‬ ‫ﺑﺆرة‬ ‫ﻟﻨﺠﺪ‬: 2 2 2 2 12 2 11 0 2 ? 12 11 ? 2 1 12 11 1 ( 1) 12( 1) 12 4 3 ( 1 3 , 1 ( 1, 1) 2 )) ( , 1 y x y y y x y y x y x p p F V F                              ‫اﻟﻤﻜﺎﻓﺊ‬ ‫اﻟﻘﻄﻊ‬ ‫ﺑﺆرة‬ ‫ﻣﻦ‬ ‫ﯾﻤﺮ‬ ‫اﻟﻨﺎﻗﺺ‬ ‫اﻟﻘﻄﻊ‬ ‫ﻟﻜﻦ‬:(2 , 1)F ‫اﻟﻨﺎﻗﺺ‬ ‫ﻣﻌﺎدﻟﺔ‬ ‫ﻓﺘﺤﻘﻖ‬: 2 2 2 2 1 x y a b   2 2 2 2 2 2 2 2 ( ) 4 1 1 4 ......(1) a b b a a b a b        2 2 2 2 2 : ........6 .(2)a b c bBut a   ‫اﻟﻤﻌﺎدﻟﺔ‬ ‫ﺗﻌﻮض‬)2(‫اﻟﻤﻌﺎدﻟﺔ‬ ‫ﻓﻲ‬)1(: 2 2 2 2 2 2 2 6 2 2 2 2 2 2 2 4 2 4 2 2 4 4 ( ) 5 6 6 6 0 ( 3)( 2) 0 6 6 2 8 a b a b a b b b b b b b b b b b a b b                          ‫ھﻲ‬ ‫اﻟﻨﺎﻗﺺ‬ ‫اﻟﻘﻄﻊ‬ ‫ﻣﻌﺎدﻟﺔ‬: 2 2 1 8 2 x y   ‫اﻟﻤﻤﺎس‬ ‫ﻣﻌﺎدﻟﺔ‬ ‫إﯾﺠﺎد‬:‫ﻓﻲ‬ ‫اﻟﻤﻌﺎدﻟﺔ‬ ‫ﻃﺮﻓﻲ‬ ‫ﻧﻀﺮب‬82 2 4 8x y ‫ﻟﻠﻤﺘﻐﯿﺮ‬ ‫ﺑﺎﻟﻨﺴﺒﺔ‬ ‫اﻟﻄﺮﻓﯿﻦ‬ ‫ﻧﺸﺘﻖ‬x 2 8 0 4 dy dy x x y dx dx y     ‫اﻟﻤﻤﺎس‬ ‫ﻣﯿﻞ‬ 2 1 4 2(2, 1) dy dx at     ‫اﻟﻤﻤﺎس‬ ‫ﻣﻌﺎدﻟﺔ‬1 1 1 1 2 4 0 2 2 y y y m x y x x x            Q5:‫ﺑﺆرﺗﺎه‬( 8.0)‫ﯾﺴﺎوي‬ ‫اﻟﻤﺮﻛﺰي‬ ‫واﺧﺘﻼﻓﮫ‬ 4 5 . ‫اﻟﺤﻞ‬:‫اﻟﺒﺆرﺗﯿﻦ‬ ‫ﻣﻦ‬8c ‫اﻟﺴﯿﻨﺎت‬ ‫وﻋﻠﻰ‬
  • 89.
    KAMIL MOSA ALNASSIRY89 22 2 2 2 2 2 4 8 10 5 100 64 36 : 1 100 36 c e a a a x y a b c b b the equation               Q6:‫ﺑﺆرﺗﺎه‬( 8.0)‫ﻛﻨﺴﺒﺔ‬ ‫ﻣﺤﻮرﯾﮫ‬ ‫ﻃﻮﻟﻲ‬ ‫ﺑﯿﻦ‬ ‫واﻟﻨﺴﺒﺔ‬ 3 5 . ‫اﻟﺤﻞ‬:‫اﻟﺒﺆرﺗﯿﻦ‬ ‫ﻣﻦ‬8c ‫اﻟﺴﯿﻨﺎت‬ ‫وﻋﻠﻰ‬ ‫ﻛﻨﺴﺒﺔ‬ ‫ﻣﺤﻮرﯾﮫ‬ ‫ﻃﻮﻟﻲ‬ ‫ﺑﯿﻦ‬ ‫اﻟﻨﺴﺒﺔ‬ 3 5  3 2 3 5 2 5 b b a a    2 2 2 2 2 2 2 2 25 9 16 4 64 64 8 25 25 25 5 1 100 36 a b c a a a a x y a b                 Q7:‫إﺣﺪى‬‫اﻟﻤﻜﺎﻓﺊ‬ ‫اﻟﻘﻄﻊ‬ ‫ﺑﺆرة‬ ‫ھﻲ‬ ‫ﺑﺆرﺗﯿﮫ‬2 24y x ‫ﻣﻦ‬ ‫وﯾﻤﺮ‬( 10,0)‫اﻷﺻﻞ‬ ‫ﻧﻘﻄﺔ‬ ‫وﻣﺮﻛﺰه‬. ‫اﻟﺤﻞ‬:6 4 24p p    ‫اﻟ‬ ‫واﻟﻘﻄﻊ‬‫ﻟﻠﯿﺴﺎر‬ ‫ﻓﺘﺤﺘﮫ‬ ‫ﻤﻜﺎﻓﺊ‬‫ھﻲ‬ ‫اﻟﻤﻜﺎﻓﺊ‬ ‫اﻟﻘﻄﻊ‬ ‫ﺑﺆرة‬( 6,0) ‫ھﻤﺎ‬ ‫اﻟﻨﺎﻗﺺ‬ ‫اﻟﻘﻄﻊ‬ ‫ﺑﺆرﺗﺎ‬( 6,0)6c ‫اﻟﺴﯿﻨﺎت‬ ‫ﻋﻠﻰ‬ ‫ﻣﻦ‬ ‫ﯾﻤﺮ‬ ‫اﻟﻨﺎﻗﺺ‬( 10,0)10a ‫اﻟﻤﺤﻮر‬ ‫ﻧﻔﺲ‬ ‫ﻋﻠﻰ‬ ‫واﻟﺮأﺳﯿﻦ‬ ‫اﻟﺒﺆرﺗﯿﻦ‬ ‫ﻷن‬ ‫اﻟﺴﯿﻨﺎت‬ ‫ﻋﻠﻰ‬ 2 2 2 2 2 2 2 100 36 64 1 100 64 x y a b c b b the equation         Q8:‫اﻟﻤﻜﺎﻓﺊ‬ ‫اﻟﻘﻄﻊ‬ ‫ﺑﺆرة‬ ‫ھﻲ‬ ‫ﺑﺆرﺗﯿﮫ‬ ‫إﺣﺪى‬2 24x y ‫ﻣﻦ‬ ‫وﯾﻤﺮ‬( 10,0)‫ﻧﻘﻄﺔ‬ ‫وﻣﺮﻛﺰه‬‫اﻷﺻﻞ‬ ‫اﻟﺤ‬‫ﻞ‬:6 4 24p p    ‫ﻟﻸﺳﻔﻞ‬ ‫ﻓﺘﺤﺘﮫ‬ ‫اﻟﻤﻜﺎﻓﺊ‬ ‫واﻟﻘﻄﻊ‬‫ھﻲ‬ ‫اﻟﻤﻜﺎﻓﺊ‬ ‫اﻟﻘﻄﻊ‬ ‫ﺑﺆرة‬(0 , 6) ‫ھﻤﺎ‬ ‫اﻟﻨﺎﻗﺺ‬ ‫اﻟﻘﻄﻊ‬ ‫ﺑﺆرﺗﺎ‬(0, 6)6c ‫ﻋﻠﻰ‬‫اﻟﺼﺎدات‬ ‫ﻣﻦ‬ ‫ﯾﻤﺮ‬ ‫اﻟﻨﺎﻗﺺ‬( 10,0)10b ‫ﻟﻠﺒﺆرﺗ‬ ‫اﻟﻤﻌﺎﻛﺲ‬ ‫اﻟﻤﺤﻮر‬ ‫ﻋﻠﻰ‬ ‫ﻷﻧﮭﺎ‬‫ﯿﻦ‬. 2 2 2 2 2 2 2 100 36 136 1 100 136 x y a b c a a the equation         Q9:‫ﺑﺎﻟﺒﻌﺪﯾﻦ‬ ‫اﻟﺮأﺳﯿﻦ‬ ‫ﻋﻦ‬ ‫ﺗﺒﻌﺪ‬ ‫اﻟﺒﺆرﺗﯿﻦ‬ ‫وإﺣﺪى‬ ‫اﻟﺴﯿﻨﺎت‬ ‫ﻣﺤﻮر‬ ‫ﻋﻠﻰ‬ ‫ﺑﺆرﺗﺎه‬2،8‫ﻃﻮل‬ ‫وﺣﺪة‬‫ﻧﻘﻄﺔ‬ ‫وﻣﺮﻛﺰه‬ ‫اﻷﺻﻞ‬. ‫اﻟﺤﻞ‬:‫اﻟﻔﻜﺮة‬ ‫ﯾﻮﺿﺢ‬ ‫اﻟﺮﺳﻢ‬. ‫اﻟﺒﻌﺪﯾﻦ‬ ‫ﻣﺠﻤﻮع‬=8+2=102 10a 5a  ‫ﻓﺮق‬‫اﻟﺒﻌﺪﯾﻦ‬=8–2=63 2 6c c   8 2 2
  • 90.
    KAMIL MOSA ALNASSIRY90 x B CD 2 ( 2,0)F  1(2,0)F (2,3)A A y 2 2 2 2 2 2 2 25 9 16 1 25 16 a b c b b x y the equation         Q10:‫اﻟﻤﻜﺎﻓﺌﯿﻦ‬ ‫اﻟﻘﻄﻌﯿﻦ‬ ‫ﺑﺆرﺗﻲ‬ ‫ھﻤﺎ‬ ‫ﺑﺆرﺗﺎه‬2 2 24 , 24x y x y  ‫ﻣﻨﻄﻘﺘﮫ‬ ‫وﻣﺴﺎﺣﺔ‬80‫ﻣﺮﺑﻌﺔ‬ ‫وﺣﺪة‬ ‫اﻟﺤﻞ‬:6 4 24p p  ‫اﻟﺼ‬ ‫وﻋﻠﻰ‬ ‫اﻟﺒﺆري‬ ‫اﻟﺒﻌﺪ‬‫ﺎدات‬‫اﻟﻤﻜﺎﻓﺌﯿﻦ‬ ‫ﺑﺆرﺗﺎ‬(0, 6)‫اﻟﻘﻄﻊ‬ ‫ﺑﺆرﺗﻲ‬ ‫وھﻤﺎ‬ ‫اﻟﻨﺎﻗﺺ‬c = 6‫اﻟﺼﺎدات‬ ‫ﻋﻠﻰ‬.    2 2 2 2 4 2 4 2 2 2 2 2 2 2 80 80 2 6400 36 6400 36 36 6400 0 80 100 64 0 100 10 8 1 10 64 100 A a b a b b a a a b c a a a a a a x y a a a a b the equation                                   ----------------------- Q11:‫اﻷﺻﻐﺮ‬ ‫ﻣﺤﻮره‬ ‫ﻧﺼﻒ‬ ‫ﻃﻮل‬=5‫اﻟﻤﺮﻛﺰي‬ ‫واﺧﺘﻼﻓﮫ‬ ، ‫اﻟﺴﯿﻨﺎت‬ ‫وﻋﻠﻰ‬= 11 6 ‫اﻻ‬ ‫ﻧﻘﻄﺔ‬ ‫وﻣﺮﻛﺰه‬‫ﺻﻞ‬. ‫اﻟﺤﻞ‬:b = 5‫اﻟﺴﯿﻨﺎت‬ ‫وﻋﻠﻰ‬a , c‫اﻟﺼﺎدات‬ ‫ﻋﻠﻰ‬ 2 2 2 2 2 2 2 2 2 2 11 11 6 6 36 11 25 25 25 36 36 36 36 36 6 5 1 25 36 c c e c a a a a b c a a a a the equation of th x y e ellia a but psb e                      Q12:‫ﺑﺆرﺗﺎه‬1 2(2,0) , ( 2,0)F F ‫وأن‬1F‫ﻣﻨﺘﺼﻒ‬AD‫وأن‬2F‫ﻣﻨﺘﺼﻒ‬CB‫اﻟﻤﺴﺘﻄﯿﻞ‬ ‫ﻣﺤﯿﻂ‬ ‫وأن‬ ABCD‫ﯾﺴﺎوي‬20‫ﻃﻮل‬ ‫وﺣﺪة‬. ‫اﻟﺤﻞ‬:2c ‫اﻟﺴﯿﻨﺎت‬ ‫وﻋﻠﻰ‬ ‫اﻟﺒﺆرﺗﯿﻦ‬ ‫ﺑﯿﻦ‬ ‫اﻟﻤﺴﺎﻓﺔ‬=2 c=4‫ﻃﻮل‬ ‫وﺣﺪة‬ ‫ﻓﺎن‬ ‫ﻟﺬا‬:AB=4‫أﯾﻀﺎ‬ ‫اﻟﻤﺤﯿﻂ‬) =‫ﻃﻮل‬+‫ﻋﺮض‬(×2 20=2)AB AD( 10=4 AD AD = 6 1 3AF ‫ﺑﺎﻟﺘﻨﺼﯿﻒ‬‫وﯾﻤﺜﻞ‬
  • 91.
    KAMIL MOSA ALNASSIRY91 ‫ﻟﻠﻨﻘﻄﺔ‬‫ﺻﺎدي‬ ‫إﺣﺪاﺛﻲ‬A‫اﻟﺮأس‬ ‫ﻓﺎن‬ ‫ﻟﺬا‬(2,3)A ‫اﻟﺴﺆال‬ ‫ﻣﻦ‬ ‫اﻟﻤﺘﺒﻘﻲ‬ ‫ﻟﻠﺤﻞ‬‫ﻃﺮق‬ ‫ﺛﻼث‬: ‫اﻟﺘﻌﺮﯾ‬ ‫ﻧﺴﺘﺨﺪم‬ ‫اﻷوﻟﻰ‬ ‫اﻟﻄﺮﯾﻘﺔ‬‫ﻒ‬:1 3AF  2 2 2 (2 2) (3 0) 5A F      ‫اﻟﺘﻌﺮﯾﻒ‬: 1 2 2 2 2 2 2 2 2 2 2 2 2 2 3 5 2 4 1 6 4 1 2 1 1 1 6 12 A F A F a a a b b x y x y a b a b c T h e eq uatio n                    ‫اﻟﺜﺎﻧﯿﺔ‬ ‫اﻟﻄﺮﯾﻘﺔ‬:‫اﻟﻨﻘﻄﺔ‬ 2,3‫اﻟﻨﺎﻗﺺ‬ ‫اﻟﻘﻄﻊ‬ ‫ﻣﻌﺎدﻟﺔ‬ ‫ﺗﺤﻘﻖ‬ 2 2 2 2 1 x y a b   2 2 2 2 2 2 2 2 2 2 2 3 1 4 9 .........(1) a b b a a b a b      ‫ﻟﻜﻦ‬:2 2 22 2 ....... ..(4 . 2)ba b c a     ‫ﻋﻠﻰ‬ ‫ﻧﺤﺼﻞ‬ ‫آﻧﯿﺎ‬ ‫اﻟﻤﻌﺎدﻟﺘﯿﻦ‬ ‫ﺣﻞ‬ ‫ﻣﻦ‬2 2 ,a b‫اﻟﺤﻞ‬ ‫أﻛﻤﻞ‬. ‫اﻟﻄﺮﯾﻘﺔ‬‫اﻟﺜﺎﻟﺜﺔ‬:‫اﻟﺒﺆري‬ ‫اﻟﻮﺗﺮ‬ ‫ﻃﻮل‬‫اﻟﻌﻤﻮدي‬AD=6‫اﻟﻌﻤﻮدي‬ ‫اﻟﺒﺆري‬ ‫اﻟﻮﺗﺮ‬ ‫ﻃﻮل‬ ‫ﻟﻜﻦ‬= 2 2b a ‫ﻋﻠﻰ‬ ‫ﻧﺤﺼﻞ‬ ‫ﻣﻨﮭﻤﺎ‬ 2 2 2 3 ...(1) 6 b b a a    2 2 2 2 2 2 2 2 3 4 3 4 0 ( 4)( 1) 0 4 12 1 16 12 a a a a a a a b x a b c the equation of ellpise y                   Q13:‫اﻟﻨﻘﻄﺘﯿﻦ‬ ‫ﻣﻦ‬ ‫ﯾﻤﺮ‬ 6 ( 2,2) , (3, ) 2 ‫اﻟﺴﯿﻨﺎت‬ ‫ﻣﺤﻮر‬ ‫ﻧﻘﻂ‬ ‫ﻣﻦ‬ ‫وﺑﺆرﺗﺎه‬‫اﻻﺻﻞ‬ ‫ﻧﻘﻄﺔ‬ ‫وﻣﺮﻛﺰه‬. ‫اﻟﺤﻞ‬:1(( 2,2)‫اﻟﻤﻌﺎدﻟﺔ‬ ‫ﺗﺤﻘﻖ‬ 2 2 2 2 1 x y a b  22 4 1 ......... 1 4 ( ) ba   2( 6 (3, ) 2 ‫اﻟﻤﻌﺎدﻟﺔ‬ ‫ﺗﺤﻘﻖ‬ 2 2 2 2 1 x y a b  22 6 1 ....... .(2) 4 9 . a b  
  • 92.
    KAMIL MOSA ALNASSIRY92 ‫اﻟﺤﻞ‬‫اﺟﻞ‬ ‫ﻣﻦ‬‫آﻧﯿﺎ‬‫اﻟﻤﻌﺎدﻟﺔ‬ ‫ﻃﺮﻓﻲ‬ ‫ﻧﻀﺮب‬‫اﻷوﻟﻰ‬‫ﻓﻲ‬9‫ﻓﻲ‬ ‫اﻟﺜﺎﻧﯿﺔ‬ ‫اﻟﻤﻌﺎدﻟﺔ‬ ‫وﻃﺮﻓﻲ‬)- 4: ( 2 36 a 2 36 9 .........(1) b   2 36 a  2 6 4 .........(2) b     2 2 30 5 6b b   ‫اﻻوﻟﻰ‬ ‫اﻟﻤﻌﺎدﻟﺔ‬ ‫ﻗﻲ‬ ‫ﻧﻌﻮض‬: 2 2 2 2 2 4 4 4 2 1 12 1 6 6 12 6 the equation x y a a a          ‫أﺧﺮى‬ ‫أﻣﺜﻠﺔ‬: Q1:‫ﻟﺘﻜﻦ‬( 6, 0)A ‫وﻟﺘﻜﻦ‬(6, 0)B‫وﻟﺘﻜﻦ‬C(x , y )‫ﺑﺤﯿ‬ ‫اﻟﻤﺴﺘﻮي‬ ‫ﻓﻲ‬ ‫ﻣﺘﺤﺮﻛﺔ‬ ‫ﻧﻘﻄﺔ‬‫ﺚ‬‫اﻟﻤﺜﻠﺚ‬ ‫ﻣﺤﯿﻂ‬ ‫أن‬ ABC‫ﯾﺴﺎوي‬32‫ﻃﻮل‬ ‫وﺣﺪة‬،‫ﻧﻘﻂ‬ ‫ﻣﺠﻤﻮﻋﺔ‬ ‫ﺗﻤﺜﻞ‬ ‫ﻣﺎذا‬C. ‫اﻟﺤﻞ‬: ‫اﻟﻤﺤﯿﻂ‬=1 2 3L L L  2 312 32L L   2 3 20L L ‫اﻟﻘﻄﻊ‬ ‫ﺗﻌﺮﯾﻒ‬ ‫ﯾﻤﺜﻞ‬ ‫اﻟﻨﺎﺗﺞ‬‫اﻟﺜﺎﺑﺖ‬ ‫اﻟﻌﺪد‬ ‫ﺣﯿﺚ‬ ‫اﻟﻨﺎﻗﺺ‬=20‫واﻟﻨﻘﻄﺘﯿﻦ‬A ,B‫اﻟﺒﺆرﺗﯿﻦ‬ ‫ﺗﻤﺜﻞ‬. ‫اﻟﻤﺮﻛﺰ‬: 0, 0 2 20 10a a ،12 2 12 6AB c   2 2 2 2 2 2 2 100 36 64 : 1 100 64 the equation x y a b c b b         Q2:‫ﻟﺘﻜﻦ‬10 sin , 6 cosy x     ‫اﻟﻤﺠﻤﻮﻋﺔ‬ ‫ﺗﻤﺜﻠﮭﺎ‬ ‫اﻟﺘﻲ‬ ‫اﻟﻤﺠﻤﻮﻋﺔ‬ ‫ﺟﺪ‬ ،( )y f x ‫اﻟﺤﻞ‬:2 2 coscos 6 36 x x      2 2 sinsin 10 100 y y       2 2 2 2 1 1 100 3 sin 6 cos y x but        ‫وﺑﺆرﺗﺎه‬ ‫اﻷﺻﻞ‬ ‫ﻧﻘﻄﺔ‬ ‫ﻣﺮﻛﺰه‬ ‫اﻟﺬي‬ ‫اﻟﻨﺎﻗﺺ‬ ‫ﻗﻄﻊ‬ ‫ﻣﻌﺎدﻟﺔ‬ ‫ﺗﻤﺜﻞ‬‫ﻣﺤﻮر‬ ‫ﻋﻠﻰ‬‫اﻟﺼﺎدات‬. ( 6, 0)A  (6, 0)B3L 1L 2L ( , )C x y
  • 93.
    KAMIL MOSA ALNASSIRY93 Q3:‫اﻟﻨﺎﻗﺺ‬‫اﻟﻘﻄﻊ‬2 2 4 8x w y ‫ﺑﺆرﺗﺎه‬ 0 , 6‫ﻗﯿﻤﺔ‬ ‫ﺟﺪ‬w. ‫اﻟﺤﻞ‬:‫اﻟﺒﺆرﺗﺎن‬ 0, 6‫ﻋﻠﻰ‬ ‫ﻧﺤﺼﻞ‬ ،6c‫و‬‫اﻟﺼﺎدات‬ ‫ﻋﻠﻰ‬ ‫اﻟﻘ‬ ‫ﻟﻠﺼﯿﻐﺔ‬ ‫ﻧﺤﻮﻟﮭﺎ‬ ‫ﻟﺬا‬ ‫واﺣﺪ‬ ‫ﻣﺠﮭﻮل‬ ‫اﻟﻤﻌﺎدﻟﺔ‬ ‫ﻓﻲ‬‫ﻋﻠﻰ‬ ‫ﻃﺮﻓﯿﮭﺎ‬ ‫ﺑﻘﺴﻤﺔ‬ ‫ﯿﺎﺳﯿﺔ‬8 2 2 2 2 2 2 4 8 1 1 8 2 82 x w x w y x w y y          ‫ﻓﺎن‬ ‫ﻟﺬا‬ ‫اﻟﺼﺎدات‬ ‫ﻋﻠﻰ‬ ‫اﻟﺒﺆرﺗﺎن‬a 2 ‫ﺗﺤﺖ‬ ‫ﻣﻮﺟﻮدة‬ ‫ﺗﻜﻮن‬y2 ‫أي‬ 2 2 8 2b a w    2 2 2 8 2 6 1a b c w w       Q4:‫اﻟﻨﺎﻗﺺ‬ ‫اﻟﻘﻄﻊ‬2 2 32h x k y  ‫ﻣﺤﻮر‬ ‫ﻋﻠﻰ‬ ‫ﺑﺆرﺗﺎه‬y‫ﺗﺴﺎوي‬ ‫ﺑﯿﻨﮭﻤﺎ‬ ‫واﻟﻤﺴﺎﻓﺔ‬‫ﺑﺆرة‬ ‫ﺑﯿﻦ‬ ‫اﻟﻤﺴﺎﻓﺔ‬ ‫اﻟﻤﻜﺎﻓﺊ‬ ‫اﻟﻘﻄﻊ‬2 4 6 0y x ‫ﯾﺴﺎوي‬ ‫ﻣﺤﻮرﯾﮫ‬ ‫ﻃﻮﻟﻲ‬ ‫ﻣﺮﺑﻌﻲ‬ ‫وﻣﺠﻤﻮع‬ ‫ودﻟﯿﻠﮫ‬ ،40‫ﻗﯿﻤﺔ‬ ‫ﺟﺪ‬m , n. ‫اﻟﺤﻞ‬:2 4 6y x ، ‫ﻟﻠﯿﺴﺎر‬ ‫ﻓﺘﺤﺘﮫ‬ ‫ﻣﻜﺎﻓﺊ‬ ‫ﻗﻄﻊ‬6 4 4 6p p   =‫اﻟﺒﺆري‬ ‫اﻟﺒﻌﺪ‬ ‫ودﻟ‬ ‫ﻣﻜﺎﻓﺊ‬ ‫أي‬ ‫ﺑﺆرة‬ ‫ﺑﯿﻦ‬ ‫اﻟﻤﺴﺎﻓﺔ‬‫ﺗﺴﺎوي‬ ‫ﯿﻠﮫ‬2 p ‫ﺗﺴﺎوي‬ ‫ودﻟﯿﻠﮫ‬ ‫اﻟﻤﻌﻄﻰ‬ ‫اﻟﻤﻜﺎﻓﺊ‬ ‫ﺑﺆرة‬ ‫ﺑﯿﻦ‬ ‫اﻟﻤﺴﺎﻓﺔ‬2 6‫أي‬6 2 2 6c c       ‫ﯾﺴﺎوي‬ ‫ﻣﺤﻮرﯾﮫ‬ ‫ﻃﻮﻟﻲ‬ ‫ﻣﺮﺑﻌﻲ‬ ‫وﻣﺠﻤﻮع‬40:    2 22 2 2 102 ......(1)40b ba a    ‫ﻟﻜﻦ‬ 2 2 2 2 2 6a b a b c    ‫اﻷوﻟ‬ ‫اﻟﻤﻌﺎدﻟﺔ‬ ‫ﻓﻲ‬ ‫ﺗﻌﻮض‬‫ﻋﻠﻰ‬ ‫ﻓﻨﺤﺼﻞ‬ ‫ﻰ‬: 2 2 2 2 2 2 2 10 6 10 2 4 2 8a b b b b b a            ‫اﻟﻤﻌﺎدﻟﺔ‬ ‫ﻓﺘﻜﻮن‬: 2 2 2 2 32 2 2 2 2 2 2 1 1 16 4 32 2 8 32 : x y x y x y b a But h x k y Hence h k                       Q5:‫اﻟﻨﺎﻗﺺ‬ ‫اﻟﻘﻄﻊ‬:2 2 4h x y k  ‫ﻣﺠﺎﻟﮫ‬= 6,6‫وﻣﺪاه‬ ،= 9,9 ‫ﻗﯿﻤﺔ‬ ‫ﺟﺪ‬h , k ,‫اﻟﺤﻘﯿﻘﯿﺔ‬ ‫اﻟﺤﻞ‬:‫ا‬‫ﻗﯿﻢ‬ ‫ﻣﺠﻤﻮﻋﺔ‬ ‫ﯾﻤﺜﻞ‬ ‫ﻟﻤﺠﺎل‬x‫ﻣﻦ‬ ‫ﯾﻤﺮ‬ ‫اﻟﻨﺎﻗﺺ‬ ‫ﻓﺎﻟﻘﻄﻊ‬ 6, 0 ‫ﻗﯿﻢ‬ ‫ﻣﺠﻤﻮﻋﺔ‬ ‫ﯾﻤﺜﻞ‬ ‫اﻟﻤﺪى‬y‫ﻣﻦ‬ ‫ﯾﻤﺮ‬ ‫اﻟﻨﺎﻗﺺ‬ ‫ﻓﺎﻟﻘﻄﻊ‬ 0, 9
  • 94.
    KAMIL MOSA ALNASSIRY94 9a‫اﻟﺼﺎدات‬ ‫وﻋﻠﻰ‬ ‫اﻷﻛﺒﺮ‬ ‫ﻷﻧﮫ‬ 6b ‫اﻟ‬ ‫ﻋﻠﻰ‬‫ﺴﯿﻨﺎت‬ ‫اﻟﻨﺎﻗﺺ‬ ‫اﻟﻘﻄﻊ‬ ‫ﻣﻌﺎدﻟﺔ‬: 2 2 2 2 2 2 81 4 9 31 4 36 81 24 : 4 9 ; 324 x y x y But we have the equation x yh k Then h k                     Q5:‫ﻗﻄﻊ‬‫ﻧﺎﻗﺺ‬‫ﻛﻨﺴﺒﺔ‬ ‫ﻣﺤﻮرﯾﮫ‬ ‫ﻃﻮﻟﻲ‬ ‫ﺑﯿﻦ‬ ‫واﻟﻨﺴﺒﺔ‬ ‫اﻷﺻﻞ‬ ‫ﻧﻘﻄﺔ‬ ‫ﻣﺮﻛﺰه‬ ‫ﺻﺎدي‬ 1 2 ‫اﻟﻤﻜﺎﻓﺊ‬ ‫اﻟﻘﻄﻊ‬ ‫وﯾﻘﻄﻊ‬ 2 8y x‫ﻋﻨﺪ‬x = 2‫اﻟﻌﺎﻣﺔ‬ ‫ﺑﺎﻟﺼﯿﻐﺔ‬ ‫ﻣﻌﺎدﻟﺘﮫ‬ ‫ﺟﺪ‬. ‫اﻟﺤﻞ‬:2 22 1 2 2 2 4 b a b a a b    2 8y x‫ﻟﻜﻦ‬ 2 y = 4 y = 8 2 2x   ‫ھﻲ‬ ‫اﻟﺘﻘﺎﻃﻊ‬ ‫ﻧﻘﻂ‬ 2, 4 ‫ﻣﻌﺎدﻟﺘﮫ‬ ‫ﻓﺘﺤﻘﻖ‬ ‫اﻟﻨﺎﻗﺺ‬ ‫اﻟﻘﻄﻊ‬ ‫ﻋﻰ‬ ‫ﺗﻘﻊ‬ ‫اﻟﺘﻘﺎﻃﻊ‬ ‫ﻧﻘﻂ‬:   22 2 2 2 2 2 2 2 2 2 4 16 4 4 1 1 1 4 8 1 = 4 88 = 32 yx b a b b b b b a b              ‫اﻟﻘﯿﺎﺳﯿﺔ‬ ‫اﻟﺼﯿﻐﺔ‬ ‫ﺗﻜﻮن‬ ‫ﻟﺬا‬‫ھﻲ‬: 22 1 8 32 yx   ‫ﻓﻲ‬ ‫اﻟﻤﻌﺎدﻟﺔ‬ ‫ﻃﺮﻓﻲ‬ ‫ﺿﺮب‬ ‫وﻣﻦ‬32‫ﻋﻠﻰ‬ ‫ﻧﺤﺼﻞ‬: 2 2 4 32 0x y  ‫اﻟﻨﺎﻗﺺ‬ ‫اﻟﻘﻄﻊ‬ ‫ﻣﻌﺎدﻟﺔ‬ ‫وھﻲ‬ ‫ﺑﺎﻟﺼﯿﻐ‬‫ﺔ‬‫اﻟﻌﺎﻣﺔ‬  2 , 4  2 , 4 2 8y x
  • 95.
    KAMIL MOSA ALNASSIRY95 ‫ﺗﺪرﯾﺐ‬)2-2( ‫اﻷﺳ‬‫ﻓﻲ‬ ‫اﻟﻨﺎﻗﺼﺔ‬ ‫اﻟﻘﻄﻮع‬‫اﻻﺣﺪاﺛﯿﯿﻦ‬ ‫ﻣﺤﻮري‬ ‫ﻋﻠﻰ‬ ‫ﻣﻨﻄﺒﻘﯿﻦ‬ ‫وﻣﺤﻮرﯾﮭﺎ‬ ‫اﻷﺻﻞ‬ ‫ﻧﻘﻄﺔ‬ ‫ﻣﺮﻛﺰھﺎ‬ ‫اﻟﺘﺎﻟﯿﺔ‬ ‫ﺌﻠﺔ‬. ‫س‬1(‫ﻟﺘﻜﻦ‬a‫اﻟﻤﻜﺎﻓﺊ‬ ‫اﻟﻘﻄﻊ‬ ‫ﺑﺆرة‬ ‫ھﻲ‬2 24 0x y  ‫ﻟﺘﻜﻦ‬b‫اﻟﻤﻜﺎﻓﺊ‬ ‫اﻟﻘﻄﻊ‬ ‫ﺑﺆرة‬ ‫ھﻲ‬2 32 0y x  ‫أ‬(‫ﻣﻦ‬ ‫ﯾﻤﺮ‬ ‫اﻟﺬي‬ ‫اﻟﻨﺎﻗﺺ‬ ‫اﻟﻘﻄﻊ‬ ‫ﻣﻌﺎدﻟﺔ‬ ‫ﺟﺪ‬a , b ‫ب‬(‫ﺟﺪ‬‫ھﻲ‬ ‫ﺑﺆرﺗﯿﮫ‬ ‫أﺣﺪى‬ ‫اﻟﺬي‬ ‫اﻟﻨﺎﻗﺺ‬ ‫اﻟﻘﻄﻊ‬ ‫ﻣﻌﺎدﻟﺔ‬a‫ﻣﻦ‬ ‫وﯾﻤﺮ‬b. ‫ج‬(‫ھﻲ‬ ‫ﺑﺆرﺗﯿﮫ‬ ‫أﺣﺪى‬ ‫اﻟﺬي‬ ‫اﻟﻨﺎﻗﺺ‬ ‫اﻟﻘﻄﻊ‬ ‫ﻣﻌﺎدﻟﺔ‬ ‫ﺟﺪ‬a‫ﻛﻨﺴﺒﺔ‬ ‫ﻣﺤﻮرﯾﮫ‬ ‫ﻃﻮﻟﻲ‬ ‫ﺑﯿﻦ‬ ‫اﻟﻨﺴﺒﺔ‬ ‫ﺑﺄن‬ ‫ﻋﻠﻤﺖ‬ ‫إذا‬ 5 4 ‫د‬(‫ھﻲ‬ ‫ﺑﺆرﺗﯿﮫ‬ ‫أﺣﺪى‬ ‫اﻟﺬي‬ ‫اﻟﻨﺎﻗﺺ‬ ‫اﻟﻘﻄﻊ‬ ‫ﻣﻌﺎدﻟﺔ‬ ‫ﺟﺪ‬b‫ﻋﻨﺪ‬ ‫اﻟﺼﺎدات‬ ‫وﯾﻘﻄﻊ‬10y   ‫ھـ‬(‫ھﻲ‬ ‫ﺑﺆرﺗﯿﮫ‬ ‫أﺣﺪى‬ ‫اﻟﺬي‬ ‫اﻟﻨﺎﻗﺺ‬ ‫اﻟﻘﻄﻊ‬ ‫ﻣﻌﺎدﻟﺔ‬ ‫ﺟﺪ‬b‫ﻋﻨﺪ‬ ‫اﻟﺴﯿﻨﺎت‬ ‫وﯾﻘﻄﻊ‬10x   ‫و‬(‫اﻻول‬ ‫اﻟﻤﻜﺎﻓﺊ‬ ‫ﺑﺆرة‬ ‫ﺑﯿﻦ‬ ‫اﻟﻤﺴﺎﻓﺔ‬ ‫ﯾﺴﺎوي‬ ‫اﻷﺻﻐﺮ‬ ‫ﻣﺤﻮره‬ ‫ﻃﻮل‬ ‫واﻟﺬي‬ ‫اﻟﺴﯿﻨﻲ‬ ‫اﻟﻨﺎﻗﺺ‬ ‫اﻟﻘﻄﻊ‬ ‫ﻣﻌﺎدﻟﺔ‬ ‫ﺟﺪ‬ ‫ﯾﺴﺎوي‬ ‫اﻟﻤﺮﻛﺰي‬ ‫اﺧﺘﻼﻓﮫ‬ ‫ﺑﺎن‬ ‫ﻋﻠﻤﺖ‬ ‫اذا‬ ‫ودﻟﯿﻠﺔ‬0.8 ‫س‬2(‫اﻟﻤﻜﺎﻓﺊ‬ ‫اﻟﻘﻄﻊ‬ ‫ﺑﺆرة‬ ‫ھﻲ‬ ‫ﺑﺆرﺗﯿﮫ‬ ‫إﺣﺪى‬ ‫اﻟﺬي‬ ‫اﻟﻨﺎﻗﺺ‬ ‫اﻟﻘﻄﻊ‬ ‫ﻣﻌﺎدﻟﺔ‬ ‫ﺟﺪ‬2 8y x‫اﻟﻨﻘﻄﺔ‬ ‫ﻣﻦ‬ ‫واﻟﻤﺎر‬  2, 3 ‫س‬3(‫اﻟﻤﻜﺎﻓﺊ‬ ‫اﻟﻘﻄﻊ‬ ‫ﺑﺆرة‬ ‫ھﻲ‬ ‫ﺑﺆرﺗﯿﮫ‬ ‫إﺣﺪى‬ ‫اﻟﺬي‬ ‫اﻟﻨﺎﻗﺺ‬ ‫اﻟﻘﻄﻊ‬ ‫ﻣﻌﺎدﻟﺔ‬ ‫ﺟﺪ‬2 24 0y x ‫ﻧﻘﻄﺘﻲ‬ ‫ﻣﻦ‬ ‫وﯾﻤﺮ‬ ‫اﻟﻤﻨﺤﻨﻲ‬ ‫ﺗﻘﺎﻃﻊ‬2 2 16 64 0x y y   ‫اﻟﺴﯿﻨﺎت‬ ‫ﻣﺤﻮر‬ ‫ﻣﻊ‬. ‫س‬4(‫اﻟﻨﺎﻗﺺ‬ ‫اﻟﻘﻄﻊ‬ ‫ﻣﻌﺎدﻟﺔ‬ ‫ﺟﺪ‬‫اﻟﺼﺎدي‬‫اﻟﺬي‬‫ﺗﺴﺎوي‬ ‫ﺑﺆرﺗﯿﮫ‬ ‫ﺑﯿﻦ‬ ‫اﻟﻤﺴﺎﻓﺔ‬16‫وﺣﺪة‬‫اﻷﻛﺒﺮ‬ ‫ﻣﺤﻮره‬ ‫وﻃﻮل‬ ‫ﯾﺴﺎوي‬3‫اﻷﺻﻐﺮ‬ ‫ﻣﺤﻮره‬ ‫ﻃﻮل‬ ‫أﻣﺜﺎل‬. ‫س‬5(‫ﻣﺤ‬ ‫ﻋﻠﻰ‬ ‫ﻣﻨﻄﺒﻘﯿﻦ‬ ‫ﻣﺤﻮرﯾﮫ‬ ‫اﻟﺬي‬ ‫اﻟﻨﺎﻗﺺ‬ ‫اﻟﻘﻄﻊ‬ ‫ﻣﻌﺎدﻟﺔ‬ ‫ﺟﺪ‬‫واﻟﺬي‬ ‫اﻷﺻﻞ‬ ‫ﻧﻘﻄﺔ‬ ‫وﻣﺮﻛﺰه‬ ‫اﻻﺣﺪاﺛﯿﯿﻦ‬ ‫ﻮري‬ ‫ﻃﻮﻟﮭﺎ‬ ‫ﻗﻄﻌﺔ‬ ‫اﻟﺴﯿﻨﺎت‬ ‫ﻣﺤﻮر‬ ‫ﻣﻦ‬ ‫ﯾﻘﻄﻊ‬12‫ﻃﻮﻟﮭﺎ‬ ‫ﻗﻄﻌﺔ‬ ‫اﻟﺼﺎدات‬ ‫ﻣﺤﻮر‬ ‫وﻣﻦ‬ ‫وﺣﺪة‬20‫وﺣﺪة‬ ‫س‬6(‫اﻟﻤﻜﺎﻓﺊ‬ ‫اﻟﻘﻄﻊ‬ ‫ﺑﺆرة‬ ‫رأﺳﯿﮫ‬ ‫أﺣﺪ‬ ‫اﻟﺬي‬ ‫اﻟﻨﺎﻗﺺ‬ ‫اﻟﻘﻄﻊ‬ ‫ﻣﻌﺎدﻟﺔ‬ ‫ﺟﺪ‬2 40 0y x ‫ﺑﯿﻦ‬ ‫اﻟﻨﺴﺒﺔ‬ ‫ﺑﺄن‬ ‫ﻋﻠﻤﺖ‬ ‫إذا‬ ‫ﻃ‬ ‫اﻟﻰ‬ ‫ﺑﺆرﺗﯿﮫ‬ ‫ﺑﯿﻦ‬ ‫اﻟﻤﺴﺎﻓﺔ‬‫ﻛﻨﺴﺒﺔ‬ ‫اﻷﺻﻐﺮ‬ ‫ﻣﺤﻮره‬ ‫ﻮل‬ 4 3 ‫س‬7(‫اﻟﻨﻘﻄﺘﯿﻦ‬ ‫ﻣﻦ‬ ‫واﻟﻤﺎر‬ ‫اﻟﺼﺎدات‬ ‫ﻣﺤﻮر‬ ‫ﻧﻘﻂ‬ ‫ﻣﻦ‬ ‫ﺑﺆرﺗﯿﮫ‬ ‫اﻟﺬي‬ ‫اﻟﻨﺎﻗﺺ‬ ‫اﻟﻘﻄﻊ‬ ‫ﻣﻌﺎدﻟﺔ‬ ‫ﺟﺪ‬   2, 2 , 2, 0 ‫س‬8(a b c‫ﺣﯿﺚ‬ ‫ﻣﺜﻠﺚ‬   0, 4 ; 0, 4a b ‫وأن‬a , b‫ھﻤﺎ‬‫ﻧﺎﻗﺺ‬ ‫ﻟﻘﻄﻊ‬ ‫ﺑﺆرﺗﺎن‬c‫ﻓﺈذا‬ ‫ﻧﻘﻄﮫ‬ ‫ﻣﻦ‬‫ﻛﺎن‬ ‫اﻟﻤﺜﻠﺚ‬ ‫ﻣﺤﯿﻂ‬20‫اﻟﻨﺎﻗﺺ‬ ‫اﻟﻘﻄﻊ‬ ‫ﻣﻌﺎدﻟﺔ‬ ‫ﻓﺠﺪ‬ ‫ﻃﻮل‬ ‫وﺣﺪة‬ ‫س‬9(‫اﻟﻨﺎﻗﺺ‬ ‫اﻟﻘﻄﻊ‬2 2 8 2x y k ‫اﻟﻤﻜﺎﻓﺊ‬ ‫اﻟﻘﻄﻊ‬ ‫ﺑﺆرة‬ ‫ﺑﯿﻦ‬ ‫اﻟﻤﺴﺎﻓﺔ‬ ‫ﺗﺴﺎوي‬ ‫ﺑﺆرﺗﯿﮫ‬ ‫ﺑﯿﻦ‬ ‫اﻟﻤﺴﺎﻓﺔ‬ 2 4 6y x‫ﻗﯿﻤﺔ‬ ‫ﺟﺪ‬ ، ‫ودﻟﯿﻠﮫ‬k.
  • 96.
    KAMIL MOSA ALNASSIRY96 ‫س‬10(‫اﻟﻨﺎﻗﺺ‬‫اﻟﻘﻄﻊ‬2 2 2 2 9 9x k y k ‫اﻟﻤﻜﺎﻓﺊ‬ ‫اﻟﻘﻄﻊ‬ ‫ﺑﺆرة‬ ‫ھﻲ‬ ‫ﺑﺆرﺗﯿﮫ‬ ‫إﺣﺪى‬:21 4 0 4 y x  ‫ﻗﯿﻤﺔ‬ ‫ﺟﺪ‬ ،k. ‫س‬11(‫ﺎﻓﺔ‬‫اﻟﻤﺴ‬ ‫ﺎوي‬‫ﺗﺴ‬ ‫ﮫ‬‫ﺑﺆرﺗﯿ‬ ‫ﯿﻦ‬‫ﺑ‬ ‫ﺎﻓﺔ‬‫واﻟﻤﺴ‬ ‫اﻟﺼﺎدات‬ ‫ﻣﺤﻮر‬ ‫ﻧﻘﻂ‬ ‫ﻣﻦ‬ ‫ﺑﺆرﺗﺎه‬ ‫اﻟﺬي‬ ‫اﻟﻨﺎﻗﺺ‬ ‫اﻟﻘﻄﻊ‬ ‫ﻣﻌﺎدﻟﺔ‬ ‫ﺟﺪ‬ ‫اﻟﻤﻜﺎﻓﺊ‬ ‫اﻟﻘﻄﻊ‬ ‫ﺑﺆرة‬ ‫ﺑﯿﻦ‬2 24 0y x ‫ودﻟﯿﻠﮫ‬‫ﺎوي‬‫ﺗﺴ‬ ‫ﺎﻗﺺ‬‫اﻟﻨ‬ ‫اﻟﻘﻄﻊ‬ ‫ﻣﻨﻄﻘﺔ‬ ‫ﻣﺴﺎﺣﺔ‬ ‫ﻛﺎﻧﺖ‬ ‫و‬ ،80 ‫ﻣﺮﺑﻌﺔ‬ ‫وﺣﺪة‬. ‫س‬12(‫ﺎﻓﺊ‬‫اﻟﻤﻜ‬ ‫ﻊ‬‫اﻟﻘﻄ‬ ‫ﺆرة‬‫ﺑ‬ ‫ھﻲ‬ ‫ﺑﺆرﺗﯿﮫ‬ ‫اﺣﺪى‬ ‫اﻟﺬي‬ ‫اﻟﻨﺎﻗﺺ‬ ‫اﻟﻘﻄﻊ‬ ‫ﻣﻌﺎدﻟﺔ‬ ‫ﺟﺪ‬2 24 0x y ‫ﻊ‬‫ﯾﻘﻄ‬ ‫ﺬي‬‫واﻟ‬ ‫ﻃﻮﻟﮭﺎ‬ ‫ﻗﻄﻌﺔ‬ ‫ﻧﻔﺴﮫ‬ ‫اﻟﻤﻜﺎﻓﺊ‬ ‫اﻟﻘﻄﻊ‬ ‫دﻟﯿﻞ‬ ‫ﻣﻦ‬10‫وﺣﺪات‬. ‫س‬13(m , n‫ﻟ‬ ‫ﺑﺆرﺗﺎن‬‫ﻣﺤـﻮره‬ ‫ﻧﺎﻗﺺ‬ ‫ﻘﻄﻊ‬‫اﻷﻛﺒﺮ‬‫اﻟﺼﺎدات‬ ‫ﻣﺤﻮر‬ ‫ﻋﻠـﻰ‬p‫ﻟﯿﻜﻦ‬ ‫و‬ ، ‫ﻧﻘﻄﮫ‬ ‫ﻣﻦ‬p d‫ارﺗﻔﺎع‬ ‫ﯾﻤﺜﻞ‬ ‫اﻟﻤﺜﻠﺚ‬p m n‫ﺣﯿﺚ‬p m p n‫ﯾﺴﺎوي‬ ‫اﻟﻤﺜﻠﺚ‬ ‫ھﺬا‬ ‫ﻣﺤﯿﻂ‬ ‫وﻟﯿﻜﻦ‬ ،36‫ﻛﺎن‬ ‫ﻓﺈذا‬ ‫ﻃﻮل‬ ‫وﺣﺪة‬: 3 8 p d m n‫ا‬ ‫ھﺬا‬ ‫ﻣﻌﺎدﻟﺔ‬ ‫ﻓﺠﺪ‬ ،‫ﻟﻘﻄﻊ‬. ‫س‬14(‫اﻟﻤﻜﺎﻓﺊ‬ ‫اﻟﻘﻄﻊ‬ ‫ﯾﻘﻄﻊ‬ ‫واﻟﺬي‬ ‫اﻟﺼﺎدات‬ ‫ﻣﺤﻮر‬ ‫ﻧﻘﻂ‬ ‫ﻣﻦ‬ ‫ﺑﺆرﺗﺎه‬ ‫اﻟﺬي‬ ‫اﻟﻨﺎﻗﺺ‬ ‫اﻟﻘﻄﻊ‬ ‫ﻣﻨﻄﻘﺔ‬ ‫ﻣﺴﺎﺣﺔ‬ ‫ﺟﺪ‬ 2 8 0x y ‫ﯾﺴﺎوي‬ ‫اﻟﺼﺎدي‬ ‫أﺣﺪﺛﯿﮭﻤﺎ‬ ‫ﻧﻘﻄﺘﯿﻦ‬ ‫ﻓﻲ‬ ،)2(‫اﻟﻨﺎﻗﺺ‬ ‫اﻟﻘﻄﻊ‬ ‫ﻣﺤﻮري‬ ‫ﻃﻮﻟﻲ‬ ‫ﺑﯿﻦ‬ ‫اﻟﻨﺴﺒﺔ‬ ‫وإن‬ ‫ﻛﻨﺴﺒﺔ‬1:2. ‫س‬15(‫ﺟﺪ‬‫اﻟﻨﻘﻄﺘﯿﻦ‬ ‫ﻣﻦ‬ ‫اﻟﻤﺎر‬ ‫اﻟﺼﺎدي‬ ‫اﻟﻨﺎﻗﺺ‬ ‫اﻟﻘﻄﻊ‬ ‫ﻣﻌﺎدﻟﺔ‬  3 1, 2 , ( , 2 ) 2  ‫س‬16:‫اﻟﻨﻘﻄﺘﯿﻦ‬ ‫ﻣﻦ‬ ‫ﯾﻤﺮ‬ ‫اﻟﺬي‬ ‫اﻟﺴﯿﻨﻲ‬ ‫اﻟﻨﺎﻗﺺ‬ ‫اﻟﻘﻄﻊ‬ ‫ﻣﻌﺎدﻟﺔ‬ ‫ﺟﺪ‬ 0, 8‫اﻟﻤﺮﻛﺰي‬ ‫اﺧﺘﻼﻓﮫ‬ ‫واﻟﺬي‬0.6 ‫س‬17:‫اﻟﻘ‬ ‫ﺑﺆرة‬ ‫ﻣﻦ‬ ‫ﯾﻤﺮ‬ ‫اﻟﺬي‬ ‫اﻟﻨﺎﻗﺺ‬ ‫اﻟﻘﻄﻊ‬ ‫ﻣﻌﺎدﻟﺔ‬ ‫ﺟﺪ‬‫اﻟﻤﻜﺎﻓﺊ‬ ‫ﻄﻊ‬2 24 0x y ‫ﻣﻨﻄﻘﺘﮫ‬ ‫وﻣﺴﺎﺣﺔ‬2 60unit ‫س‬18:‫ﯾﺴﺎوي‬ ‫ﻣﺤﻮرﯾﮫ‬ ‫ﻃﻮﻟﻲ‬ ‫ﺑﯿﻦ‬ ‫اﻟﻔﺮق‬ ‫واﻟﺬي‬ ‫اﻟﺼﺎدي‬ ‫اﻟﻨﺎﻗﺺ‬ ‫اﻟﻘﻄﻊ‬ ‫ﻣﻌﺎدﻟﺔ‬ ‫ﺟﺪ‬8‫ﻣﻨﻄﻘﺘﮫ‬ ‫وﻣﺴﺎﺣﺔ‬ ‫ﻃﻮل‬ ‫وﺣﺪة‬ ‫ﺗﺴﺎوي‬2 60unit. ‫س‬19:‫اﻟﻨﺎﻗﺺ‬ ‫اﻟﻘﻄﻊ‬2 2 8 2x y k ‫ﯾﺴﺎوي‬ ‫ﻣﺤﻮرﯾﮫ‬ ‫ﻃﻮﻟﻲ‬ ‫ﻣﺮﺑﻌﻲ‬ ‫ﻣﺠﻤﻮع‬40‫ﻗﯿﻤﺔ‬ ‫ﺟﺪ‬k. ‫س‬20:‫اﻟﺪاﺋﺮة‬ ‫ﺗﻘﺎﻃﻊ‬ ‫ﻧﻘﻂ‬ ‫ﻣﻦ‬ ‫ﯾﻤﺮ‬ ‫اﻟﺬي‬ ‫اﻟﺼﺎدي‬ ‫اﻟﻨﺎﻗﺺ‬ ‫اﻟﻘﻄﻊ‬ ‫ﻣﻌﺎدﻟﺔ‬ ‫ﺟﺪ‬2 2 100x y ‫اﻟﺼﺎدات‬ ‫ﻣﺤﻮر‬ ‫ﻣﻊ‬ ‫اﻟﻤﻜﺎﻓﺊ‬ ‫اﻟﻘﻄﻊ‬ ‫دﻟﯿﻞ‬ ‫ﯾﺼﻨﻌﮫ‬ ‫اﻟﺬي‬ ‫اﻟﻮﺗﺮ‬ ‫ﻃﻮل‬ ‫ﯾﺴﺎوي‬ ‫اﻷﺻﻐﺮ‬ ‫ﻣﺤﻮره‬ ‫وﻃﻮل‬2 24 0y x ‫اﻟﺪ‬ ‫ﻧﻔﺲ‬ ‫ﻣﻊ‬‫اﺋﺮة‬. ‫س‬20:‫وﯾﻤﺮ‬ ‫اﻷﺻﻞ‬ ‫ﻧﻘﻄﺔ‬ ‫رأﺳﮫ‬ ‫اﻟﺬي‬ ‫اﻟﻤﻜﺎﻓﺊ‬ ‫اﻟﻘﻄﻊ‬ ‫ﺑﺆرة‬ ‫ھﻲ‬ ‫ﺑﺆرﺗﯿﮫ‬ ‫إﺣﺪى‬ ‫اﻟﺬي‬ ‫اﻟﻨﺎﻗﺺ‬ ‫اﻟﻘﻄﻊ‬ ‫ﻣﻌﺎدﻟﺔ‬ ‫ﺟﺪ‬ ‫ﺑﺎﻟﻨﻘﻄﺘﯿﻦ‬ 2 6 , 1 ‫ﺑﻤﻘﺪار‬ ‫اﻟﺼﻐﯿﺮ‬ ‫ﻣﺤﻮره‬ ‫ﻃﻮل‬ ‫ﻋﻠﻰ‬ ‫ﯾﺰﯾﺪ‬ ‫اﻟﻜﺒﯿﺮ‬ ‫ﻣﺤﻮره‬ ‫وﻃﻮل‬4‫ﻃﻮل‬ ‫وﺣﺪة‬.
  • 97.
    KAMIL MOSA ALNASSIRY97 ‫س‬21:‫ﻣﻌﺎدﻟﺘﮫ‬‫ﺻﺎدي‬ ‫ﻧﺎﻗﺺ‬ ‫ﻗﻄﻊ‬2 2 6h x y k ‫ﺑﺎﻟﺒﻌﺪﯾﻦ‬ ‫اﻟﺮأﺳﯿﻦ‬ ‫ﻋﻦ‬ ‫ﺗﺒﻌﺪ‬ ‫ﺑﺆرﺗﯿﮫ‬ ‫إﺣﺪى‬2,12‫ﺟﺪي‬ ‫ﻗﯿﻤﺔ‬h , k ‫س‬22:‫ﻧﻘﻄﺔ‬ ‫ﻣﺮﻛﺰه‬ ‫اﻟﺬي‬ ‫اﻟﻨﺎﻗﺺ‬ ‫اﻟﻘﻄﻊ‬ ‫ﻣﻌﺎدﻟﺔ‬ ‫ﺟﺪ‬‫اﻷﺻﻞ‬‫ﯾﻤﺮ‬ ‫واﻟﺬي‬ ‫اﻻﺣﺪاﺛﯿﯿﻦ‬ ‫ﻣﺤﻮري‬ ‫ﻋﻠﻰ‬ ‫ﻣﻨﻄﺒﻘﯿﻦ‬ ‫وﻣﺤﻮرﯾﮫ‬ ‫اﻟﻨﻘﻄﺘﯿﻦ‬ ‫ﻣﻦ‬   4, 2 , 1, 3 ‫س‬23:‫وارﺳﻤﮫ‬ ‫اﻟﺘﺎﻟﻲ‬ ‫اﻟﻘﻄﻊ‬ ‫ﻋﻨﺎﺻﺮ‬ ‫ﺣﺪد‬:    2 2 2 2 1 9 25 18 100 116 0 9 25 9x y x y b x y      
  • 98.
    ‫ﺍﻟﻨﺎﺻﺮﻱ‬ ‫ﻣﻮﺳﻰ‬ ‫ﻛﺎﻣﻞ‬98 Hyperbola‫ا‬‫ا‬‫ا‬ Foci 1 2(   ,0) ( ,0)F c and F c  2 a ( , )P x y 1 2 2   –      PF PF a     1 2d d 2a 1 2  ,  d d 2 2 2 2 1 2( ) ; ( )d x c y d x c y       2 2 2 2 ( ) ( ) 2x c y x c y a      2 2 2 2 ( ) ( ) 2x c y x c y a       2 2 2 2 ( ) ( ) 2x c y x c y a           2 2 2 2 2 2 ( ) ( ) 2x c y x c y a      2 2 2 2 2 2 2 ( ) ( ) 4 ( ) 4x c y x c y a x c y a         y2 Subtract y 2 and square the binomials 2 2 2 2 2 2 2 2 4 ( ) 4xc c x xc c a x c y a        2 2 2 4 4 4 ( )xc a a x c y     4 2 2 2 ( )xc a a x c y         222 2 2   ( )xc a a x c y      2 2 2 4 2 2 2 2 2 2x c xca a a x xc c y      2 2 2 4 2 2 2 2 2 2 2 2 2x c xca a a x xca a c a y      2 2 4 2 2 2 2 2 2 x c a a x a c a y    x’s and y’s2 2 2 2 2 2 2 2 4 x c a x a y a c a       2 2 2 2 2 2 2 2 x c a a y a c a   
  • 99.
    ‫ﺍﻟﻨﺎﺻﺮﻱ‬ ‫ﻣﻮﺳﻰ‬ ‫ﻛﺎﻣﻞ‬99 a2 (c2 –a2 )           2 2 2 2 2 22 2 2 2 2 2 2 2 2 2 2 x c a a c aa y a c a a c a a c a          2 2 2 2 2 1 x y a c a    b2 = c2 – a2 2 2 2 2 1 x y a b  2 2 2 c  a  b  1foci   ,0c2vertices   ,0a 3asymptotes b y x a  4directrices a x e   xy 2a 2 b 2 c  2 2 2 c b c a ba c             b y x a  x-axis     a y x b  y-axis  2 a c
  • 100.
    ‫ﺍﻟﻨﺎﺻﺮﻱ‬ ‫ﻣﻮﺳﻰ‬ ‫ﻛﺎﻣﻞ‬100 2   a x c  2   a y c   Length of latus rectum 2 2b a  Major Axis Horizontal  Major Axis Vertical Equation: 2 2 2 2 1 x y a b   Equation: 2 2 2 2 1 y x a b   Center: 0,0 Center: 0,0 Vertices: 0,a Vertices: a,0 Foci: 0,c Foci: c,0 y-intercepts: b,0 x-intercepts: 0,b Asymptotes b y x a   Asymptotes a y x b   a x e   Directrices a y e   Directrices 2(h , k )Shifted     Major Axis Horizontal    Major Axis Vertical     2 2 2 2 1 x h y k a b         2 2 2 2 1 y k x h a b     Center: k,h Center: k,h Vertices: k,ah  Vertices: ak,h  Foci: k,ch  Foci: ck,h  Asymptotes ( ) b y k x h a    Asymptotes ( ) a y k x h b    directrices a x h e   directrices a y k e  
  • 101.
    ‫ﺍﻟﻨﺎﺻﺮﻱ‬ ‫ﻣﻮﺳﻰ‬ ‫ﻛﺎﻣﻞ‬101  conjugateaxis2 b  transverse axis2 a   b a    a b   ca 2 2 2 a b c  Standard form 2 2 2 2 2 2 2 2 ( ) ( ) ( ) ( ) 1 1 y k x h x h y k or a b a b         The general form of the equation is 2 2 2 Ax   Cy   Dx Ey F  0     ,       4  > 0B AC       a x h e   x a y k e   y 1Q2 2 9 16 144x y  144 2 2 1 16 9 x y   ( 0 , 0 ) a2 = 16a = 4 4 , 0 b2 = 9b = 3 0, 3 2 2 2 2 16 9a b c c c           8 = 2a 10 = 2c 6 = 2b 3 4 y x 
  • 102.
    ‫ﺍﻟﻨﺎﺻﺮﻱ‬ ‫ﻣﻮﺳﻰ‬ ‫ﻛﺎﻣﻞ‬102 22 9 4 72 8 176 0 : 2x y x y Q       2 2 2 2 2 2 2 2 2 2( 1) 36 2 2 9 16 9 1 9 72 4 8 176 9( 8 ) 4( 2 ) 176 ( 8 ) 4( 2 1) 176 4 1 9( 4) 4( 1) 36 ( 1) ( 4) 4( 1) 9( 4) 36 1 9 6 4 x x y y x x y y x x y y x y y x y x                                           (4,1)4x  4 a2 = 93 = a1 2(4,2) , (4, 2) (4,1 3)V V    b2 = 42 = b(4 2,1)   2 2 2 2 1 2 9 4 13 : 4 ,1 13 (4,1 13) , (4,1 13) a b c c c the foci F F           2 6a  2 4b  ( ) a y k x h b     3 1 ( 4) 2 y x    13 1 3 c e a    Q1 0, 12 0x y   0, 11a  2y x2 a b  2 a b  1 2 b  2 2 2 2 2 2 4 1 1 y x y x a b      (4,1 13)  (4,1 13) 
  • 103.
    ‫ﺍﻟﻨﺎﺻﺮﻱ‬ ‫ﻣﻮﺳﻰ‬ ‫ﻛﺎﻣﻞ‬103 Q2 10,0 3 4      10,010c  x b a  3 3 4 4 b b a a    2 2 2 2 2 225 16 9 8 100 16 16 16 a a a a a b c              3 3 8 4 4 b b b a            2 2 1 64 36 x y   : 3Q 0 , 10 5 4 c = 10 5 4 e  c e a  5 4 c a c = 10 5 10 4 a a = 8 2 2 2 2 6 64 100b b a b c       2 2 1 64 36 y x   : 4Q 0 , 3 0 , 1 3 ; 1c a  2 2 2 2 8 1 9b a b c     b = 2 2 1 1 8 y x   : 5Q  6 , 0  4 , 0 6 ; 4c a  2 2 2 2 20 16 36b a b c     b = 2 2 1 16 20 x y   Q6y   2 , 2 , 4 , 13 (2 , 2 ) 2 2 2 2 1 y x a b  2 2 4 4 (1)........ 1 a b  ( 4)   4 , 13 2 2 2 2 1 y x a b  2 2 13 16 (2)........ 1 a b   2 2 16 16 (1)........ 4 a b     2 2 13 16 (2)........ 1 a b   2 2 3 3 1a a     12 4 3 b  2 2 3 1 1 4 y x  
  • 104.
    ‫ﺍﻟﻨﺎﺻﺮﻱ‬ ‫ﻣﻮﺳﻰ‬ ‫ﻛﺎﻣﻞ‬104 Q7 2 15 , 0 4 , 3 2 15c ; 2 2 22 60 60a a bb    (1).... 2 2 2 2 1 x y a b   4 , 3 2 2 2 2 2 2 2 2 16 3 (2)..... 16 3          1 a b b a a b a b       2 22 2 16 3 ( )60 60( )b bb b    2 2 2 4 2 2 2 2 4 45 45 4 180 0 16 180 3 60b b b b b b b b b           =0 -41 2 2 2 2 15 60 45 60a a a b       2 2 1 15 45 x y   Q8x 1 7 2 4 3 2    4 2 3  3  bb   2 2 2 2 2 2 7 7 12 2 4 a b a b a e a a a          122 22   4  48            16a a  7 a 2 2 1 16 12 x y   Q92 2 12m x y n , 2 2 4 4x y m , n 2 2 4 4x y y 2 2 1 1 4 x y   2 4a a = 2   1 20,4 , 0, 4V V  2 1b b = 1     2 2 2 2 1 20, 3 , 0, 3 3 4 1F F c c a b c        
  • 105.
    ‫ﺍﻟﻨﺎﺻﺮﻱ‬ ‫ﻣﻮﺳﻰ‬ ‫ﻛﺎﻣﻞ‬105 3a c = 2 2 2 2 2 3 4b a b c     b =1   2 2 2 236 2 2 2 2 2 2 1 1 3 1 12 y x y x a b x m x y n  ‫ﻦ‬ ‫ﻟﻜ‬          - 36 +12 y = 36 : m = -36 , n = 36 1 1 4, 0 14, 24 2 0, 43y x 3x   4, 3 , 2,1 27 8P (x , y )1 2 (0,3) , F (0,  3)F  1 2    10PF PF  ca y 1(0,2)V 1(0, 3)F 1(0, 3)F  2 (0, 2)V  ac Exercises 2.3
  • 106.
    ‫ﺍﻟﻨﺎﺻﺮﻱ‬ ‫ﻣﻮﺳﻰ‬ ‫ﻛﺎﻣﻞ‬106 9 (a )  6 , 02 (b)( - 8 , 0)(8 , 0 )x – 4 y = 0 (c)y-axis3 x + y = 0 , 3x – y = 0  2 3,12 1024 10 0,  46 112 24 0y x 8 122 2 5 20x y 2 132 20 0y x 14 14210 1512 16 2 2 5 16x y 2 20 0y x  172  10 5.  4 / 3 18 0,  4 5 192 16 0x y 2 2 25x y  202 2 0.005  0.01  1x y  4 212 16 0y x  20 / 3 , 4 222 2 4 4x y  4 5
  • 107.
    ‫ﺍﻟﻨﺎﺻﺮﻱ‬ ‫ﻣﻮﺳﻰ‬ ‫ﻛﺎﻣﻞ‬107 236 1 ,   2 5 242 2 5  9 180x y 2 8 0y x  25.2 2     36h x m y 2 2 5  9 180x y  2 8 0y x h , m 262 2   4 0h y x h  10 h 27 2 20 0x y  4 24 ,  50 28y 2 8 0x y 
  • 108.
    108                                  1 1 0     a constant                       2        a real number 3   ( ) ( )      a constant       4   ( ) ( )   5    Chain Rule                 ( ) '( ) n nd d c c x n x n dx dx d d cf x c f x c dx dx d d d f x g x f x g x dx dx dx d du dy dy f u f u OR dx dx dx                      2 2 1   6   Product Rule                 ( ) ' ' ' ' 7     Quotient Rule               8                    9      ( ) du dv d x n x d n n du du dx d du dv uv v u OR u v uv dx dx dx v ud u u v uv OR dx d a a n dx bx b v v v d a a n dx xx b g                                                    2 1 ( ) ( ) ( )                               10     ( ) 2  ( ) 11    sin cos                              12   cos sin    13    tan sec                           14    cot csc n g x b g x d g x g x dx g x d du d du u u u u dx dx dx dx d du d u u u dx dx dx                                      15    sec sec  tan                     16    csc csc  cot 1 17   ln                              18   log     ln 1 19   ln                  20        u u a u u du u dx d du d du u u u u u u dx dx dx dx d du d du a a a u dx dx dx u a dx d du d du u e e dx u dx dx dx                      1 ln lnln log ln 1 = 0 ln = 1 ln ln             19           ;     ;    ;    ;         = ln x -ln y   ;   ln   = ln              x + ln y  ln x  ;                                    = n ln x  a n n x n x a x ax x d x n e a x x y x y x d a e e     
  • 109.
    KAMIL ALNASSIRY109 ‫اﻟﺘﻔﺎﺿﻞ‬ ‫ﻋﻠﻰ‬‫ﺗﻄﺒﯿﻘﺎت‬ Application of the Derivative ‫ﺍﻟﻌﻠﻴﺎ‬ ‫ﺍﻟﺮﺗﺐ‬ ‫ﺫﺍﺕ‬ ‫ﺍﳌﺸﺘﻘﺎﺕ‬Higher-order derivative ‫ﻛﺎﻧﺖ‬ ‫إذا‬( )y f x‫ﻣﺸﺘﻘﺘﮭﺎ‬ ‫ﻓﺎن‬ ‫اﻻﺷﺘﻘﺎق‬ ‫ﺷﺮوط‬ ‫ﻓﯿﮭﺎ‬ ‫ﺗﺘﻮﻓﺮ‬ ‫داﻟﺔ‬‫اﻷوﻟﻰ‬First Derivative‫ھﻲ‬ ( ) dy y f x dx   ‫وﺗﻤﺜﻞ‬‫د‬‫ﺟﺪﯾﺪة‬ ‫اﻟﺔ‬ ‫اﻟﺠﺪﯾﺪة‬ ‫واﻟﺪاﻟﺔ‬‫إذا‬‫اﻟﺠﺪﯾﺪ‬ ‫اﻟﺪاﻟﺔ‬ ‫ﻣﺸﺘﻘﺔ‬ ‫ﻓﺎن‬ ‫أﯾﻀﺎ‬ ‫اﻻﺷﺘﻘﺎق‬ ‫ﺷﺮوط‬ ‫ﻓﯿﮭﺎ‬ ‫ﺗﻮﻓﺮت‬‫اﻟﺜﺎﻧﯿﺔ‬ ‫اﻟﻤﺸﺘﻘﺔ‬ ‫ﺗﻤﺜﻞ‬ ‫ة‬ Second Derivative‫و‬‫ﻟﮭﺎ‬ ‫ﯾﺮﻣﺰ‬‫ﺑﺎﻟﺮﻣﺰ‬ 2 2 ( ) d y y f x dx   ‫اﻟﻤﺘﻐﯿﺮ‬ ‫ﻓﻲ‬ ‫ﺟﺪﯾﺪة‬ ‫داﻟﺔ‬ ‫وھﺬه‬x‫وإذا‬ ‫اﻟﻤﺸﺘﻘﺔ‬ ‫إﯾﺠﺎد‬ ‫ﻓﺈن‬ ‫اﻻﺷﺘﻘﺎق‬ ‫ﺷﺮوط‬ ‫ﻓﯿﮭﺎ‬ ‫ﺗﻮﻓﺮت‬‫اﻷﺧﯿﺮة‬ ‫ﻟﻠﺪاﻟﺔ‬‫ﺛﺎﻟﺜﺔ‬ ‫ﻣﺸﺘﻘﺔ‬ ‫ﯾﺴﻤﻰ‬Third Derivative ‫ﺑﺎﻟﺼﻮرة‬ ‫ﯾﻜﺘﺐ‬: 3 3 ( ) d y y f x dx    ‫ﻣﺘﺘﺎﻟﯿﺔ‬ ‫ﻣﺸﺘﻘﺎت‬ ‫إﯾﺠﺎد‬ ‫ﯾﻤﻜﻦ‬ ‫اﻟﻤﻨﻮال‬ ‫ھﺬا‬ ‫وﻋﻠﻰ‬‫وﺑﺪء‬‫ا‬‫ﺑﺎﺳﻢ‬ ‫اﻟﻤﺸﺘﻘﺎت‬ ‫ھﺬه‬ ‫ﻋﻠﻰ‬ ‫ﯾﻄﻠﻖ‬ ‫اﻟﺜﺎﻧﯿﺔ‬ ‫اﻟﻤﺸﺘﻘﺔ‬ ‫ﻣﻦ‬ ‫اﻟﻌﻠﯿﺎ‬ ‫اﻟﻤﺸﺘﻘﺎت‬Higher Derivatives‫اﻟﺮﺗﺒﺔ‬ ‫ﻣﻦ‬ ‫اﻟﻤﺸﺘﻘﺔ‬ ‫وﺗﻜﺘﺐ‬n‫ﯾﻠﻲ‬ ‫ﻛﻤﺎ‬: ( ) ( ) ( ) n n n n d y y f x dx  ‫ﺣﯿﺚ‬n‫ﻣﻮﺟﺐ‬ ‫ﺻﺤﯿﺢ‬ ‫ﻋﺪد‬. ‫اﻟﻤﺘﺘﺎﻟﯿﺔ‬ ‫ﻟﻠﻤﺸﺘﻘﺎت‬ ‫ﻣﺨﺘﻠﻔﺔ‬ ‫رﻣﻮز‬ ‫ﻋﻠﻰ‬ ‫وﻟﻨﺘﻌﺮف‬‫ﯾﻠﻲ‬ ‫وﻛﻤﺎ‬: (4) ( ) ( ), ( ), ( ), ( ), , ( )n f x f x f x f x f x    2 3 4 , , , , , n x x x x xD y D y D y D y D y (4) ( ) , , , , , n y y y y y    2 3 4 2 3 4 , , , , , n n dy d y d y d d y dx dx dx dx dx  ‫ﻟﻨﺎ‬ ‫ﯾﺘﻀﺢ‬ ‫اﻟﻌﻠﯿﺎ‬ ‫اﻟﻤﺸﺘﻘﺎت‬ ‫ﺗﻌﺮﯾﻒ‬ ‫وﻣﻦ‬‫أن‬: 2 2 d y d dy dx dx dx        ‫وأن‬: 3 2 3 2 , d y d d y dx dx dx       
  • 110.
    KAMIL ALNASSIRY110 ‫اﻟﻤﺘﺘﺎﻟ‬ ‫ﻟﻠﻤﺸﺘﻘﺎت‬‫وﻛﻤﺜﺎل‬‫اﻟﺘﺎﻟﯿﺔ‬ ‫اﻟﺪاﻟﺔ‬ ‫ﻟﻨﺄﺧﺬ‬ ‫ﯿﺔ‬:( )s f t‫ﺣﯿﺚ‬s‫أي‬ ‫ﻋﻨﺪ‬ ‫ﻣﺘﺤﺮك‬ ‫ﺟﺴﻢ‬ ‫إزاﺣﺔ‬ ‫ﺗﻤﺜﻞ‬ ‫زﻣﻦ‬،t‫اﻷوﻟﻰ‬ ‫ﻓﺎﻟﻤﺸﺘﻘﺔ‬ ‫ﺛﺎﻧﯿﺔ‬( ) ds f t dt ، ‫اﻟﺠﺴﻢ‬ ‫ﻟﺬﻟﻚ‬ ‫اﻟﻠﺤﻈﯿﺔ‬ ‫اﻟﺴﺮﻋﺔ‬ ‫ﺗﻤﺜﻞ‬ ‫اﻟﺜﺎﻧﯿﺔ‬ ‫واﻟﻤﺸﺘﻘﺔ‬ 2 2 ( ) d S f t dt  ‫اﻟﺘﻌﺠﯿﻞ‬ ‫أي‬ ‫اﻟﺴﺮﻋﺔ‬ ‫ﺗﻐﯿﺮ‬ ‫ﺳﺮﻋﺔ‬ ‫ﺗﻤﺜﻞ‬Acceleration‫اﻟﻤﺘﺤﺮك‬ ‫ﻟﻠﺠﺴﻢ‬. ‫ﻟﻠﺰﻣﻦ‬ ‫ﺑﺎﻟﻨﺴﺒﺔ‬ ‫ﻟﻺزاﺣﺔ‬ ‫اﻟﺜﺎﻟﺜﺔ‬ ‫اﻟﻤﺸﺘﻘﺔ‬ ‫أﻣﺎ‬t‫ﺛﺎﻧﯿﺔ‬ 3 3 ( ) d s f t d t ‫اﻟﺘﻌﺠﯿﻞ‬ ‫ﻟﺘﻐﯿﺮ‬ ‫اﻟﻠﺤﻈﻲ‬ ‫اﻟﻤﻌﺪل‬ ‫ﺗﻤﺜﻞ‬ ‫ﻓﮭﻲ‬ ‫اﻟﻔﯿﺰﯾﺎ‬ ‫اﻷﻣﺜﻠﺔ‬ ‫وﻣﻦ‬‫ﺋ‬‫اﻷ‬ ‫ﯿﺔ‬‫ﺧﺮى‬،‫ﺣﺴﺎب‬‫ﻋﻠﻰ‬ ‫ﯾﺘﻮﻗﻒ‬ ‫ﻣﺎ‬ ‫ﺳﯿﺎرة‬ ‫ﻓﺮاﻣﻞ‬ ‫ﻧﻈﺎم‬ ‫ﻓﻲ‬ ‫اﻷﻣﺎن‬ ‫درﺟﺔ‬‫أﻗﺼﻰ‬‫ﺗﺒﺎﻃﺆ‬ Deceleration‫اﻟﻔﺮاﻣﻞ‬ ‫ﺗﺤﺪﺛﮫ‬ ‫أن‬ ‫ﯾﻤﻜﻦ‬)‫ﺳﺎﻟﺐ‬ ‫ﺗﻌﺠﯿﻞ‬ ‫وھﻮ‬(. ‫وﻋﻨﺪ‬‫إﻃﻼق‬‫وھﺬه‬ ‫ﻃﺒﯿﺔ‬ ‫ﻟﺘﺄﺛﯿﺮات‬ ‫ﯾﺘﻌﺮض‬ ‫اﻟﺼﺎروخ‬ ‫داﺧﻞ‬ ‫اﻟﻤﺮﻛﺒﺔ‬ ‫ﻓﻲ‬ ‫اﻟﺬي‬ ‫اﻟﻔﻀﺎء‬ ‫ﻓﺮاﺋﺪ‬ ‫ﻟﻠﻔﻀﺎء‬ ‫ﺻﺎروخ‬ ‫اﻟﺘﺄﺛﯿﺮات‬‫ﺗﻌﺘﻤﺪ‬‫ﯾﺘﻌﺮ‬ ‫اﻟﺬي‬ ‫اﻟﺘﻌﺠﯿﻞ‬ ‫ﻋﻠﻰ‬‫اﻟﺮاﺋﺪ‬ ‫ھﺬا‬ ‫ﻟﮫ‬ ‫ض‬. ‫اﻟﺜﺎﻟﺜﺔ‬ ‫اﻟﻤﺸﺘﻘﺔ‬ ‫وﺗﺴﺘﻌﻤﻞ‬‫ﻣﺎ‬ ‫ﻟﺪراﺳﺔ‬‫ﻗﻄﺎرات‬ ‫راﻛﺐ‬ ‫ﻟﮭﺎ‬ ‫ﯾﺘﻌﺮض‬‫اﻷﻧﻔﺎق‬. ‫ﻣﺜﺎل‬1:‫إذا‬‫ﻛﺎﻧﺖ‬2y Cos x‫ﻓﺠﺪ‬ 4 4 d y dx ‫اﻟﺤﻞ‬:2 2Sin x dy dx  2 2 4 2 d y Cos x dx   3 2 2Sin x 3 3 d y dx  4 2 2Cos x 4 4 d y dx  ‫ﻣﺜﺎل‬2:‫ﻟﺘﻜﻦ‬ 1 3 ( ) 54f x x‫ﻋﻨﺪ‬ ‫اﻟﺜﺎﻧﯿﺔ‬ ‫اﻟﻤﺸﺘﻘﺔ‬ ‫ﻟﺪاﻟﺔ‬ ‫اﻟﻤﻤﺎس‬ ‫ﻣﻌﺎدﻟﺔ‬ ‫ﺟﺪ‬( x = - 8 ) ‫اﻟﺤﻞ‬: 2 3 ( ) 18f x x   ‫وأن‬: 5 3 ( ) 12f x x    ‫وﻟﺘﻜﻦ‬ ‫اﻟﺪاﻟﺔ‬ ‫وﺗﻤﺜﻞ‬( ) ( )f x g x  5 3 ( ) 12g x x     5 3 13 12 3 12( 2 ) 12( 32) 32 8          ( 8)g 
  • 111.
    KAMIL ALNASSIRY111 ‫ھﻲ‬ ‫اﻟﺘﻤﺎس‬‫ﻧﻘﻄﺔ‬: 3 8 , 8       ‫اﻟﻤﯿﻞ‬ ‫ﻧﺤﺘﺎج‬:‫ﻗﯿﻤﺔ‬ ‫ﺗﻌﻮﯾﺾ‬ ‫ﻣﻦ‬ ‫ﻧﺠﺪه‬x‫ﺑﺎﻟﻤﺸﺘﻘﺔ‬‫اﻷوﻟﻰ‬‫ﻟﻠﺪاﻟﺔ‬g 8 3 20x  ( )g x‫ﻻﺣﻆ‬‫أﻧﮭﺎ‬‫اﻟﻤﺸﺘ‬ ‫ﺗﻤﺜﻞ‬‫ﻟﻠﺪاﻟﺔ‬ ‫اﻟﺜﺎﻟﺜﺔ‬ ‫ﻘﺔ‬f ‫اﻟﻤﻤﺎس‬ ‫ﻣﯿﻞ‬TangenttheofSlope 8 3 3 20 5 20( 2 ) 256 64 m       ( 8)g  1 1 y y x x   m 3 8 8 y x    5 645 64 64 0x y  ‫اﻟﻤﻄﻠﻮب‬ ‫اﻟﻤﻤﺎس‬ ‫ﻣﻌﺎدﻟﺔ‬ ‫ﻣﺜﺎل‬3:‫ﺑﺄن‬ ‫ﻋﻠﻤﺖ‬ ‫إذا‬2 2 1y x ‫أن‬ ‫ﻋﻠﻰ‬ ‫ﻓﺒﺮھﻦ‬: 2 2 2 ( ) 1 0 d y dy y dx dx    ‫اﻟﺤﻞ‬:‫ﺿﻤﻨﯿﺔ‬ ‫ﻋﻼﻗﺔ‬ ‫ھﻲ‬ ‫اﻟﻤﻌﻄﺎة‬ ‫اﻟﻌﻼﻗﺔ‬،‫ﻟﻠﻤﺘﻐﯿﺮ‬ ‫ﺑﺎﻟﻨﺴﺒﺔ‬ ‫اﻟﻄﺮﻓﯿﻦ‬ ‫ﻧﺸﺘﻖ‬x 2 2 0 dy y x dx  ‫ﻋﻠﻰ‬ ‫اﻟﻤﻌﺎدﻟﺔ‬ ‫ﻃﺮﻓﻲ‬ ‫ﻗﺴﻤﺔ‬ ‫وﻣﻦ‬2‫ﻋﻠﻰ‬ ‫ﻧﺤﺼﻞ‬: 0 dy y x dx  ‫ﻟﻠﻤﺘﻐﯿﺮ‬ ‫ﺑﺎﻟﻨﺴﺒﺔ‬ ‫اﻟﻄﺮﻓﯿﻦ‬ ‫ﻧﺸﺘﻖ‬ ‫ﺛﻢ‬x‫أ‬ ‫ﺗﻨﺲ‬ ‫وﻻ‬‫ﻣﺘﻐﯿﺮﯾﻦ‬ ‫ﺿﺮب‬ ‫ﺣﺎﻟﺔ‬ ‫ھﻮ‬ ‫اﻷول‬ ‫اﻟﺤﺪ‬ ‫ن‬: 2 2 1 0 d y dy dy y dx dx dx    2 2 2 ( ) 1 0 d y dy y dx dx   ‫اﻟﻤﻄﻠﻮب‬ ‫ﯾﺘﻢ‬ ‫وﺑﮭﺬا‬ ‫ﺗﺪﺭﻳﺐ‬)3 - 1( ‫س‬1:‫ﺟﺪ‬ 2 2 d y dx ‫ﯾﻠﻲ‬ ‫ﻣﻤﺎ‬ ‫ﻟﻜﻞ‬: a(4 0,, 0, 0xy x y   b(2 ,, 2y x x    c( 2 ,, 2 2 x y x x      d(2 5 (1 2 )y x e(2 4 5 0,, 0, 2yx y y x     ‫س‬2:‫ﺟﺪ‬(1)f ‫ﻣﻤﺎ‬ ‫ﻟﻜﻞ‬‫ﯾﺄﺗﻲ‬: 1( 3 ( ) 2 f x x   2(( ) sinf x x3(( ) 4 6 2f x x  ‫س‬3:‫ﻛﺎﻧﺖ‬ ‫إذا‬tany x،,,x n n  ‫أن‬ ‫ﻓﺒﺮھﻦ‬ 2 2 2 2 (1 ) d y y y dx   ‫س‬4:‫ﻛﺎﻧﺖ‬ ‫إذا‬siny x x‫أن‬ ‫ﻓﺒﺮھﻦ‬ 2 2 2cos d y y x dx   ‫س‬5:‫ﻛﺎﻧﺖ‬ ‫إذا‬2 ( )g u au bu c  ‫وأن‬(1) 4g   ،(1) 3g  ،(1) 5g ‫اﻟﺜﻮاﺑﺖ‬ ‫ﻗﯿﻤﺔ‬ ‫ﻓﺠﺪ‬, ,a b c
  • 112.
    ‫ﺍﻟﻨﺎﺻﺮﻱ‬ ‫ﻣﻮﺳﻰ‬ ‫ﻛﺎﻣﻞ‬112 RelatedRate‫ط‬‫ر‬‫ا‬ ‫ت‬‫د‬‫ا‬ ‫إذا‬‫وﺟﺪ‬‫أﻛﺜﺮ‬‫ﻣﺘﻐﯿﺮ‬ ‫ﻋﻠﻰ‬ ‫اﻟﻤﺘﻐﯿﺮات‬ ‫ھﺬه‬ ‫ﻣﻦ‬ ‫ﻛﻞ‬ ‫ﻗﯿﻤﺔ‬ ‫ﺗﺘﻮﻗﻒ‬ ‫ﺑﺤﯿﺚ‬ ‫ﻣﺘﻐﯿﺮ‬ ‫ﻣﻦ‬‫ﯾﺴﻤﻰ‬ ‫واﺣﺪ‬)‫ﺑﺎراﻣﺘﺮ‬(‫ﻣﺜﻞ‬ ‫ﻣﺜﻼ‬ ‫ﻣﺮﺗﺒﻄﺔ‬ ‫ﻟﻠﻤﺘﻐﯿﺮات‬ ‫ﻓﯿﻘﺎل‬ ‫ﻟﺘﻐﯿﺮه‬ ‫ﺗﺒﻌﺎ‬ ‫اﻟﻤﺘﻐﯿﺮات‬ ‫ﻛﻞ‬ ‫ﻓﺘﺘﻐﯿﺮ‬ ‫اﻟﺰﻣﻦ‬: ( )x f t،( )y g t ‫ﻓﺎﻟﻤﺘﻐﯿﺮﯾﻦ‬x , y‫ﺗﺎﺑﻌﯿﻦ‬ ‫ﻣﺘﻐﯿﺮﯾﻦ‬‫ﻣﺮﺗﺒﻂ‬ ‫ﻣﻨﮭﻤﺎ‬ ‫ﻛﻞ‬‫اﻟﻤﺴﺘﻘﻞ‬ ‫ﺑﺎﻟﻤﺘﻐﯿﺮ‬t‫اﻟﻤﺘﻐﯿﺮﯾﻦ‬ ‫رﺑﻂ‬ ‫اﻟﻤﻤﻜﻦ‬ ‫ﻓﻤﻦ‬ ، ‫ﺑﺒ‬‫ﻌﻀﮭﻤﺎ‬‫وﯾﻤﻜﻦ‬ ،‫ﻛﻞ‬ ‫ﺗﻐﯿﺮ‬ ‫ﻣﻌﺪل‬ ‫ﻧﺠﺪ‬ ‫أن‬‫ﯾﻠﻲ‬ ‫وﻛﻤﺎ‬ ‫ﻣﻨﮭﻤﺎ‬:( ) dy g t dt ،( ) dx f t dt ‫ﯾﻤ‬ ‫واﻟﻨﺎﺗﺠﯿﻦ‬‫ﺜﻼن‬ ‫ﻣﻦ‬ ‫ﻛﻞ‬ ‫ﻟﺘﻐﯿﺮ‬ ‫اﻟﺰﻣﻨﯿﯿﻦ‬ ‫اﻟﻤﻌﺪﻟﯿﻦ‬x،y ‫ﺑﻤﻌﺎدﻟﺔ‬ ‫ﻣﺎ‬ ‫ﻣﺴﺄﻟﺔ‬ ‫ﻓﻲ‬ ‫اﻟﻤﺘﻐﯿﺮﯾﻦ‬ ‫ﺑﯿﻦ‬ ‫اﻟﺮﺑﻂ‬ ‫ﯾﺘﻮﻓﺮ‬ ‫وﻗﺪ‬‫ﻟﻠﺰﻣﻦ‬ ‫ﺑﺎﻟﻨﺴﺒﺔ‬ ‫اﻟﻄﺮﻓﯿﻦ‬ ‫ﻧﺸﺘﻖ‬ ‫اﻟﺤﺎﻟﺔ‬ ‫ھﺬه‬ ‫ﻓﻲ‬t ‫اﻟﻤﻌﺎدﻟﺔ‬ ‫ﻣﺜﻼ‬2 2 4 6 0x y x x   ‫ﻣﻦ‬ ‫ﻛﻞ‬ ‫ﻟﺘﻐﯿﺮ‬ ‫اﻟﺰﻣﻨﻲ‬ ‫اﻟﻤﻌﺪل‬ ‫إﯾﺠﺎد‬ ‫ﻣﻨﮭﺎ‬ ‫ﯾﻤﻜﻦ‬y،x‫ﯾﻠﻲ‬ ‫وﻛﻤﺎ‬: 2 2 ( 4 6 ) (0)t TD x y x x D     2 2 4 6 0 dx dy dy dx x y dt dt dt dt     ‫ﻓﯿﻜﻮن‬:‫ﻟﺘﻐﯿﺮ‬ ‫اﻟﺰﻣﻨﻲ‬ ‫اﻟﻤﻌﺪل‬y‫ﯾﺴﺎوي‬ dy dt ‫ﻟﺘﻐﯿﺮ‬ ‫اﻟﺰﻣﻨﻲ‬ ‫واﻟﻤﻌﺪل‬x‫ﯾﺴﺎوي‬ dx dt ‫ﻣﻼﺣﻈﺔ‬:‫ﺳﺆال‬ ‫أي‬ ‫ﻟﺤﻞ‬‫اﻟﻤﻮﺿﻮع‬ ‫ھﺬا‬ ‫ﻓﻲ‬‫أﻣﻜﻦ‬ ‫إن‬ ‫ﯾﻠﻲ‬ ‫ﻣﺎ‬ ‫إﺗﺒﺎع‬ ‫ﺣﺎول‬: 1(‫اﻟﺴﺆال‬ ‫ﺣﻞ‬ ‫ﻓﻲ‬ ‫اﻟﻤﺴﺘﻌﻤﻞ‬ ‫واﻟﻘﺎﻧﻮن‬ ‫اﻟﺜﻮاﺑﺖ‬ ‫ورﻣﻮز‬ ‫اﻟﻤﺘﻐﯿﺮات‬ ‫رﻣﻮز‬ ‫وﺣﺪد‬ ‫ارﺳﻢ‬. 2(‫ﺑﯿﻦ‬ ‫ﻋﻼﻗﺔ‬ ‫إﯾﺠﺎد‬ ‫ﺣﺎول‬‫اﻟﻤﺘﻐﯿﺮات‬‫ﻟﻜﻲ‬‫اﻟﻤﺘﻐﯿﺮات‬ ‫ﻋﺪد‬ ‫ﻣﻦ‬ ‫ﺗﻘﻠﻞ‬. 3(‫اﻟـ‬ ‫ﻋﺪد‬ ‫اﺟﻌﻞ‬)‫اﻟﻤﺘﻐﯿﺮات‬ ‫ﻋﺪد‬ ‫ﯾﺴﺎوي‬ ‫ﻋﻨﺪﻣﺎ‬( 4(‫اﻻﺷﺘﻘﺎق‬ ‫ﻗﺒﻞ‬ ‫ﺑﻌﻮض‬ ‫اﻟﺜﺎﺑﺖ‬. 5(‫ﻟﻠﻤﺘﻐﯿﺮ‬ ‫ﺑﺎﻟﻨﺴﺒﺔ‬ ‫اﻟﻄﺮﻓﯿﻦ‬ ‫ﻧﺸﺘﻖ‬)‫اﻟﺰﻣﻦ‬(t‫ﻟﻠﺰﻣﻦ‬ ‫دوال‬ ‫ھﻲ‬ ‫اﻟﻤﺘﻐﯿﺮات‬ ‫ﻷن‬t،‫ﻻ‬ ‫اﻟﻤﺘﻐﯿﺮ‬ ‫أن‬ ‫ﺗﻨﺲ‬ ‫وﻻ‬ ‫اﻻﺷﺘﻘﺎق‬ ‫ﺑﻌﺪ‬ ‫إﻻ‬ ‫ﯾﻌﻮض‬. 6(‫ﻣﻦ‬ ‫اﻟﺴﺆال‬ ‫ﻣﻌﻄﯿﺎت‬ ‫ﻋﻮض‬‫اﻟﻤﺘﻐﯿﺮا‬‫ت‬‫اﻻﺷﺘﻘﺎق‬ ‫ﺑﻌﺪ‬. ‫ﻣﻼﺣﻈﺔ‬: ‫إذا‬‫اﻟﺰﻣﻨﻲ‬ ‫اﻟﻤﻌﺪل‬ ‫ﻗﯿﻞ‬‫ﻟﺰﯾﺎدة‬‫اﻟ‬‫ﺤ‬‫ﺠﻢ‬=3 4 mincm4 dv dt  ‫أن‬ ‫ﺣﯿﺚ‬v‫ﻟﺤﻈﺔ‬ ‫أﯾﺔ‬ ‫ﻋﻨﺪ‬ ‫اﻟﺤﺠﻢ‬ ‫ﯾﻤﺜﻞ‬ ‫ﻟﻨﻘﺼﺎن‬ ‫اﻟﺰﻣﻨﻲ‬ ‫اﻟﻤﻌﺪل‬ ‫ﻗﯿﻞ‬ ‫إذا‬ ‫و‬‫اﻟﺤﺠﻢ‬=3 4 mincm4 dv dt  
  • 113.
    ‫ﺍﻟﻨﺎﺻﺮﻱ‬ ‫ﻣﻮﺳﻰ‬ ‫ﻛﺎﻣﻞ‬113 ‫أﻣﺜﻠﺔ‬ ‫ﻣﺜﺎﻝ‬1:‫ﺧﺰﺍﻥ‬‫ﺑﺎﳌ‬‫ﳑﻠﻮء‬‫ﺣﺮﻓﻪ‬ ‫ﻃﻮﻝ‬ ‫ﻣﻜﻌﺐ‬ ‫ﺷﻜﻞ‬ ‫ﻋﻠﻰ‬ ‫ﺎء‬2m‫ﺍﳌﺎء‬ ‫ﺑﺪء‬‫ﲟﺪﻝ‬ ‫ﻣﻨﻪ‬ ‫ﻳﺘﺴﺮﺏ‬3 0 4m h r‫ﺟﺪ‬: ‫ﻣﻌ‬‫ﺪ‬‫ﺗﻐﲑ‬ ‫ﻝ‬‫ﺍﺭﺗﻔﺎﻉ‬‫ﺍﻟﺴﺎﺋﻞ‬‫ﺍﳋﺰﺍﻥ‬ ‫ﰲ‬‫ﺯﻣﻦ‬ ‫ﺃﻱ‬ ‫ﻋﻨﺪ‬t. ‫اﻟﺤﻞ‬:(a‫اﻟﺨﺰان‬ ‫ﻓﻲ‬ ‫اﻟﺴﺎﺋﻞ‬ ‫ﺣﺠﻢ‬ ‫ﻟﯿﻜﻦ‬=V0 4 dV dt    ‫اﻟﺨﺰان‬ ‫ﻓﻲ‬ ‫اﻟﻤﺎء‬ ‫ارﺗﻔﺎع‬ ‫وﻟﯿﻜﻦ‬=h‫واﻟﻤﻄﻠﻮب‬ dh dt ‫ﻣﺴﺘﻄﯿﻠﺔ‬ ‫ﺳﻄﻮح‬ ‫ﻣﺘﻮازي‬ ‫ﺷﻜﻞ‬ ‫ﯾﺄﺧﺬ‬ ‫اﻟﺴﺎﺋﻞ‬‫اﻟﺒﻌﺪﯾﻦ‬ ‫ﺛﺎﺑﺘﺔ‬ ‫و‬ ‫ﻣﺮﺑﻌﺔ‬ ‫ﻗﺎﻋﺪﺗﮫ‬ 2 2 4V h V h     4 dV dh dt dt  0 4 4 dh dt   ‫اﻻرﺗﻔﺎع‬ ‫ﺗﻐﯿﺮ‬ ‫ﻣﻌﺪل‬0 1 dh m h r dt    (b‫اﻟﺰﻣﻦ‬t | | V dv dt t 8 0 4 20t hr  ‫ﻣﺜﺎﻝ‬2:‫ﻣﻌﺪﻥ‬ ‫ﻗﻄﻌﺔ‬‫ﻣﺴﺘﻄﻴﻠ‬‫ﺔ‬‫ﺫ‬‫ﺍﺕ‬‫ﺗﺴﺎﻭﻱ‬ ‫ﺛﺎﺑﺘﺔ‬ ‫ﻣﺴﺎﺣﺔ‬2 96 cm‫ﻃﻮﳍ‬ ‫ﺑﺪﺃ‬‫ﺎ‬‫ﺑﺎﻟﻨﻘﺼﺎﻥ‬‫ﲟﻌﺪﻝ‬2 seccm،‫ﻣﻌﺪﻝ‬ ‫ﺟﺪ‬ ‫ﻋﺮﺿﻬ‬ ‫ﰲ‬ ‫ﺍﻟﺰﻳﺎﺩﺓ‬‫ﺎ‬‫ﻋﺮﺿﻬ‬ ‫ﻳﻜﻮﻥ‬ ‫ﻋﻨﺪﻣﺎ‬ ‫ﻭﺫﻟﻚ‬‫ﺎ‬8 cm. ‫اﻟﺤﻞ‬:‫اﻟﻤﺴﺘﻄﯿﻞ‬ ‫ﻃﻮل‬ ‫ﻧﻔﺮض‬ ‫ﻣﺎ‬ ‫ﻟﺤﻈﺔ‬ ‫ﻓﻲ‬=x cm ‫اﻟﻤﺴﺘﻄﯿ‬ ‫وﻋﺮض‬‫ﻞ‬=y cm‫اﻟﻤﺴﺘﻄﯿﻞ‬ ‫ﻗﻄﺮ‬ ‫وأن‬=r cm dx dt ‫اﻟﻄﻮل‬ ‫ﺗﻐﯿﺮ‬ ‫ﻣﻌﺪل‬2  dy dt =‫اﻟﻌﺮض‬ ‫ﺗﻐﯿﺮ‬ ‫ﻣﻌﺪل‬?  dr dt =‫اﻟﻘﻄﺮ‬ ‫ﺗﻐﯿﺮ‬ ‫ﻣﻌﺪل‬?  A xy 96 xy‫وﻋﻨﺪﻣﺎ‬8 y12 x 96 ( )t tD D xy0 dy dx x y dt dt  0 12 8 ( 2) dy dt     ⇐ 4 sec 3 dy cm dt =‫اﻟﻌﺮض‬ ‫ﻓﻲ‬ ‫اﻟﺰﯾﺎدة‬ ‫ﻣﻌﺪل‬ x y 2 h 2
  • 114.
    ‫ﺍﻟﻨﺎﺻﺮﻱ‬ ‫ﻣﻮﺳﻰ‬ ‫ﻛﺎﻣﻞ‬114 ‫ﻣﺜﺎل‬3:‫ﺣﺮﻓﮫ‬‫ﻃﻮل‬ ‫ﺻﻠﺪ‬ ‫ﻣﻜﻌﺐ‬8 cm‫ﺑﻤﻌﺪل‬ ‫ﺑﺎﻻﻧﺼﮭﺎر‬ ‫اﻟﺠﻠﯿﺪ‬ ‫ﺑﺪأ‬ ‫ﻓﺈذا‬ ، ‫اﻟﺠﻠﯿﺪ‬ ‫ﻣﻦ‬ ‫ﺑﻄﺒﻘﺔ‬ ‫ﻣﻐﻄﻰ‬3 6 scm ‫اﻟﺴﻤﻚ‬ ‫ھﺬا‬ ‫ﻓﯿﮭﺎ‬ ‫ﯾﻜﻮن‬ ‫اﻟﺘﻲ‬ ‫اﻟﻠﺤﻈﺔ‬ ‫ﻓﻲ‬ ‫اﻟﺠﻠﯿﺪ‬ ‫ﺳﻤﻚ‬ ‫ﻧﻘﺼﺎن‬ ‫ﺗﻐﯿﺮ‬ ‫ﻣﻌﺪل‬ ‫ﻓﺠﺪ‬1 cm. ‫اﻟﺤﻞ‬:‫ﻟﺤﻈﺔ‬ ‫أﯾﺔ‬ ‫ﻓﻲ‬ ‫اﻟﺠﻠﯿﺪ‬ ‫ﺳﻤﻚ‬ ‫ﻧﻔﺮض‬=x cm‫واﻟﻤﻄﻠﻮب‬ dx dt ‫ﻋﻨﺪﻣﺎ‬1x  ‫اﻟﺠﻠﯿﺪ‬ ‫ﺣﺠﻢ‬ ‫وﻧﻔﺮض‬=3 v cm=‫ﺑﺎﻟﺠﻠﯿﺪ‬ ‫اﻟﻤﻐﻄﻰ‬ ‫اﻟﻤﻜﻌﺐ‬ ‫ﺣﺠﻢ‬–‫اﻷﺻﻠﻲ‬ ‫اﻟﻤﻜﻌﺐ‬ ‫ﺣﺠﻢ‬ 3 3 (8 2 ) 8snowv x   3(8 2 )(2) dv dx x dt dt   ‫ﻋﻠﻰ‬ ‫ﻧﺤﺼﻞ‬ ‫اﻟﻤﻌﻄﺎة‬ ‫اﻟﻘﯿﻢ‬ ‫ﻋﻦ‬ ‫وﺑﺎﻟﺘﻌﻮﯾﺾ‬: 2 6 3(8 2 1) 2 dx dt       0 01 s dx cm dt   ‫اﻟﺠﻠﯿﺪ‬ ‫ﺳﻤﻚ‬ ‫ﻧﻘﺼﺎن‬ ‫ﻣﻌﺪل‬=0 01 scm ‫ﻣﺜﺎل‬4:‫ﻃﻮﻟﮫ‬ ‫ﺳﻠﻢ‬10m‫ﺑﻄﺮﻓﮫ‬ ‫ﯾﺘﻜﺊ‬‫اﻷﺳﻔﻞ‬‫أرض‬ ‫ﻋﻠﻰ‬‫أﻓﻘﯿﺔ‬‫ﻓﺈذا‬ ، ‫رأﺳﻲ‬ ‫ﺣﺎﺋﻂ‬ ‫ﻋﻠﻰ‬ ‫اﻟﻌﻠﻮي‬ ‫وﺑﻄﺮﻓﮫ‬ ‫اﻟﻄ‬ ‫اﻧﺰﻟﻖ‬‫ﺮ‬‫ف‬‫اﻷﺳﻔﻞ‬‫ﺑﻤﻌﺪل‬ ‫اﻟﺤﺎﺋﻂ‬ ‫ﻋﻦ‬ ‫ﻣﺒﺘﻌﺪا‬2 sm‫ﺑﻌﺪ‬ ‫ﻋﻠﻰ‬ ‫اﻷﺳﻔﻞ‬ ‫اﻟﻄﺮف‬ ‫ﯾﻜﻮن‬ ‫وﻋﻨﺪﻣﺎ‬8m‫ﻋﻦ‬ ‫ﺟﺪ‬ ‫اﻟﺤﺎﺋﻂ‬: 1(‫اﻟﻌﻠﻮي‬ ‫اﻟﻄﺮف‬ ‫اﻧﺰﻻق‬ ‫ﻣﻌﺪل‬. 2(‫ﻟﻸرض‬ ‫اﻟﻌﻠﻮي‬ ‫اﻟﻄﺮف‬ ‫ﯾﺼﻞ‬ ‫ﻟﻜﻲ‬ ‫اﻟﻼزم‬ ‫اﻟﺰﻣﻦ‬. 3(‫واﻷرض‬ ‫اﻟﺴﻠﻢ‬ ‫ﺑﯿﻦ‬ ‫اﻟﺰاوﯾﺔ‬ ‫ﺗﻐﯿﺮ‬ ‫ﺳﺮﻋﺔ‬. ‫اﻟﺤﻞ‬:‫اﻟﻠﺤﻈﺔ‬ ‫ﻧﻔﺲ‬ ‫ﻓﻲ‬ ‫ﻧﻔﺮض‬: ‫اﻟﺤﺎﺋﻂ‬ ‫ﻋﻦ‬ ‫اﻷﺳﻔﻞ‬ ‫اﻟﻄﺮف‬ ‫ﺑﻌﺪ‬=x2 dx dt  ‫اﻷرض‬ ‫ﻋﻦ‬ ‫اﻷﻋﻠﻰ‬ ‫اﻟﻄﺮف‬ ‫ﺑﻌﺪ‬=y ‫واﻷرض‬ ‫اﻟﺴﻠﻢ‬ ‫ﺑﯿﻦ‬ ‫اﻟﺰاوﯾﺔ‬ ‫ﻗﯿﺎس‬=redian 1(‫ﻣﻦ‬‫ﻋﻠﻰ‬ ‫ﻧﺤﺼﻞ‬ ‫ﻓﯿﺜﺎﻏﻮرس‬ ‫ﻣﺒﺮھﻨﺔ‬ ‫ﺗﻄﺒﯿﻖ‬: 2 2 100x y ‫وﻋﻨﺪﻣﺎ‬8x 6y  ‫ﻧﺠﺪ‬: 2 2 ( ) (100)t tD x y D 2 2 0 dx dy x y dt dt   x x 8 8 2x   x y  10
  • 115.
    ‫ﺍﻟﻨﺎﺻﺮﻱ‬ ‫ﻣﻮﺳﻰ‬ ‫ﻛﺎﻣﻞ‬115 ‫ﻋﻠﻰ‬‫ﻧﺤﺼﻞ‬ ‫اﻟﻤﻌﻠﻮﻣﺔ‬ ‫اﻟﻘﯿﻢ‬ ‫ﻋﻦ‬ ‫وﺑﺎﻟﺘﻌﻮﯾﺾ‬: ( 2) (8)(2) ( 2) (6) 0 dy dt   8 / 3 dy m s dt   =‫اﻟﻌﻠﻮي‬ ‫اﻟﻄﺮف‬ ‫اﻧﺰﻻق‬ ‫ﻣﻌﺪل‬ 2(‫اﻟﺰﻣﻦ‬=‫اﻹزاﺣﺔ‬‫اﻟﺴﺮﻋﺔ‬= 6 2 25 8 3 y s dy dt      3(sin 10 y  ‫ﻧﺠﺪ‬sin 10 t t y D D  1 cos 10 d dy dt dt    ‫ﻋﻦ‬ ‫وﺑﺎﻟﺘﻌﻮﯾﺾ‬cos 10 x   ‫ﻋﻠﻰ‬ ‫ﻧﺤﺼﻞ‬: 1 10 10 x d dy dt dt  ‫ﺑﻘﯿﻤﺔ‬ ‫اﻟﺘﻌﻮﯾﺾ‬ ‫وﻣﻦ‬x‫ﻗﯿﻤﺔ‬ ‫وﻋﻦ‬ dy dt ‫ﻋﻠﻰ‬ ‫ﻧﺤﺼﻞ‬: 8 1 8 1 / 10 10 3 3 d d rad s dt dt                   ‫ﻣﺜﺎل‬5:‫إﻧﺎء‬‫ﻗﺎﻋﺪﺗﮫ‬ ‫ﻣﺨﺮوﻃﻲ‬‫أﻓﻘﯿﺔ‬‫ﯾﺴﺎوي‬ ‫ارﺗﻔﺎﻋﮫ‬ ‫ﻟﻸﺳﻔﻞ‬ ‫ورأﺳﮫ‬24cm‫ﻗﺎﻋﺪﺗﮫ‬ ‫ﻗﻄﺮ‬ ‫وﻃﻮل‬16cm ‫ﺑﻤﻌﺪل‬ ‫ﺳﺎﺋﻞ‬ ‫ﻓﯿﮫ‬ ‫ﯾﺼﺐ‬  3 5 /cm s‫ﺑﻤﻌﺪل‬ ‫اﻟﺴﺎﺋﻞ‬ ‫ﻣﻨﮫ‬ ‫ﯾﺘﺴﺮب‬ ‫ﺑﯿﻨﻤﺎ‬3 1 /cm s‫ﻣﻌﺪل‬ ‫ﺟﺪ‬ ،‫ﺗﻐﯿﺮ‬‫ﻋﻤﻖ‬ ‫اﻟﺴﺎﺋﻞ‬ ‫ﻋﻤﻖ‬ ‫ﻓﯿﮭﺎ‬ ‫ﯾﻜﻮن‬ ‫اﻟﺘﻲ‬ ‫اﻟﻠﺤﻈﺔ‬ ‫ﻓﻲ‬ ‫اﻟﺴﺎﺋﻞ‬12 cm. ‫اﻟﺤﻞ‬:‫اﻟﺴﺎﺋﻞ‬ ‫ﺑﻌﺪي‬ ‫ﻧﻔﺮض‬)‫اﻟﻘﻄﺮ‬ ‫ﻧﺼﻒ‬=r‫واﻻرﺗﻔﺎع‬=h( ‫اﻟﺴﺎﺋﻞ‬ ‫ﺣﺠﻢ‬ ‫ﻧﻔﺮض‬)‫اﻟﻤﺨﺮو‬ ‫ﺣﺠﻢ‬ ‫وﻟﯿﺲ‬‫ط‬= (V ‫اﻟﻤﺠﺎور‬ ‫اﻟﺸﻜﻞ‬ ‫ﻓﻲ‬‫اﺳﺘﻌﻤﺎل‬ ‫ﻣﻦ‬tan ‫ﻋﻠﻰ‬ ‫ﻧﺤﺼﻞ‬ ‫ﻣﺜﻠﺜﯿﻦ‬ ‫ﺗﺸﺎﺑﮫ‬ ‫أو‬ 8 tan 24 r h    1 3 r h 1 2 3 V r h  1 1 12 3( ) 3 3 27 V h h h   r h  8 24
  • 116.
    ‫ﺍﻟﻨﺎﺻﺮﻱ‬ ‫ﻣﻮﺳﻰ‬ ‫ﻛﺎﻣﻞ‬116 ‫ﻟﻠﺰﻣﻦ‬‫ﺑﺎﻟﻨﺴﺒﺔ‬ ‫اﻟﻄﺮﻓﯿﻦ‬ ‫ﻧﺸﺘﻖ‬t ......(1 1 2 . 9 ) dV dh h dt dt  ‫اﻟﻤﺨﺮوط‬ ‫ﻓﻲ‬ ‫اﻟﻤﺨﺮوط‬ ‫ﻓﻲ‬ ‫اﻟﺴﺎﺋﻞ‬ ‫ﺣﺠﻢ‬ ‫ﺗﻐﯿﺮ‬ ‫ﻣﻌﺪل‬=‫اﻟﺼﺐ‬ ‫ﻣﻌﺪل‬–‫اﻟﺘﺴﺮب‬ ‫ﻣﻌﺪل‬ 5 1 4 dV dt    ‫ﻓﻲ‬ ‫وﺑﺎﻟﺘﻌﻮﯾﺾ‬)1(‫ﯾﻨﺘﺞ‬:  1 / 4 dh cm s dt   21 4 (12) 9 dh dt   ‫ﻣﺜﺎل‬6:‫ﺑﺴﺮﻋﺔ‬ ‫ﻟﻸﻋﻠﻰ‬ ‫ﯾﺮﺗﻔﻊ‬ ‫ﻣﻨﻄﺎد‬15 / minm‫اﻷرض‬ ‫ﻋﻠﻰ‬ ‫اﻟﻤﻮﻗﻊ‬ ‫ﻧﻔﺲ‬ ‫وﻣﻦ‬ ‫اﻟﻠﺤﻈﺔ‬ ‫ﻧﻔﺲ‬ ‫وﻓﻲ‬ ‫ﺑﺴﺮﻋﺔ‬ ‫ﺳﯿﺎرة‬ ‫ﺗﻨﻄﻠﻖ‬20 / minm،‫ﻓ‬‫ﻣﺮور‬ ‫ﺑﻌﺪ‬ ‫اﻟﻤﻨﻄﺎد‬ ‫ﻋﻦ‬ ‫اﻟﺴﯿﺎرة‬ ‫اﺑﺘﻌﺎد‬ ‫ﻣﻌﺪل‬ ‫ﺠﺪ‬5min ‫اﻟﺤﻞ‬: ‫اﻟﺒﺪء‬ ‫ﻧﻘﻄﺔ‬ ‫ﻋﻦ‬ ‫اﻟﺴﯿﺎرة‬ ‫ﺑﻌﺪ‬ ‫ﻧﻔﺮض‬‫ﻣﺮور‬ ‫ﺑﻌﺪ‬t‫ﺛﺎﻧﯿﺔ‬=x20 dx dt  ‫ﻧﻔﺮض‬‫ﺑﻌﺪ‬‫اﻟﻤﻨﻄﺎ‬‫اﻟﻠﺤﻈﺔ‬ ‫ﻧﻔﺲ‬ ‫ﻓﻲ‬ ‫اﻷرض‬ ‫ﻋﻦ‬ ‫د‬t=y15 dy dt  ‫واﻟﻤﻨﻄﺎد‬ ‫اﻟﺴﯿﺎرة‬ ‫ﺑﯿﻦ‬ ‫اﻟﺒﻌﺪ‬ ‫ﻧﻔﺮض‬‫اﻟﻠﺤﻈﺔ‬ ‫ﻧﻔﺲ‬ ‫ﻓﻲ‬t=z? dz dt  ‫اﻹزاﺣ‬‫ﺔ‬=‫اﻟﺴﺮﻋﺔ‬×‫وﻋﻨﺪﻣﺎ‬ ، ‫اﻟﺰﻣﻦ‬5t 20 (20) (5) 100x t m   15 (15) (5) 75y t m   ‫ﻋﻠﻰ‬ ‫ﻧﺤﺼﻞ‬ ‫ﻓﯿﺜﺎﻏﻮرس‬ ‫ﻣﺒﺮھﻨﺔ‬ ‫ﺗﻄﺒﯿﻖ‬ ‫وﻣﻦ‬:2 2 2x y z 
  • 117.
    ‫ﺍﻟﻨﺎﺻﺮﻱ‬ ‫ﻣﻮﺳﻰ‬ ‫ﻛﺎﻣﻞ‬117 ‫وﻋﻨﺪﻣﺎ‬100, 75x y ‫ﻋﻠﻰ‬ ‫ﻧﺤﺼﻞ‬125z  ‫ﻃﺮﯾﻘﺘﯿﻦ‬ ‫ﻟﻠﺘﻜﻤﻠﺔ‬: ‫اﻟﻄﺮﯾﻘﺔ‬1:2 2 2 dx dy dz x y z dt dt dt  2 2 2( ) ( ) d d x y z dt dt    ‫ﻋﻠﻰ‬ ‫ﻧﺤﺼﻞ‬ ‫اﻟﻤﻌﻠﻮﻣﺔ‬ ‫اﻟﻘﯿﻢ‬ ‫ﻋﻦ‬ ‫وﺑﺎﻟﺘﻌﻮﯾﺾ‬: 25 / min dz m dt (2)(100)(20) (2)(75)(15) (2)(125) dz dt    ‫ﻣﺜﺎل‬7:‫ﻟﺘﻜﻦ‬a‫اﻟﻤﻜﺎﻓﺊ‬ ‫اﻟﻘﻄﻊ‬ ‫ﻣﻨﺤﻨﻲ‬ ‫ﻋﻠﻰ‬ ‫ﻣﺘﺤﺮﻛﺔ‬ ‫ﻧﻘﻄﺔ‬y 2 = 4 x‫ﻋﻦ‬ ‫اﺑﺘﻌﺎدھﺎ‬ ‫ﻣﻌﺪل‬ ‫ﯾﻜﻮن‬ ‫ﺑﺤﯿﺚ‬ ‫اﻟﻨﻘﻄﺔ‬(7 , 0 )‫ﯾﺴﺎوي‬0.2 unit/sec‫ﻟﻠﻨﻘﻄﺔ‬ ‫اﻟﺴﯿﻨﻲ‬ ‫أﻹﺣﺪاﺛﻲ‬ ‫ﻟﺘﻐﯿﺮ‬ ‫اﻟﺰﻣﻦ‬ ‫اﻟﻤﻌﺪل‬ ‫ﺟﺪ‬ ،a ‫ﯾﻜﻮن‬ ‫ﻋﻨﺪﻣﺎ‬x = 4. ‫اﻟﺤﻞ‬:‫ﻟﺘﻜﻦ‬a ( x , y )‫وﻟﺘﻜﻦ‬b ( 7,0 )‫اﻟﻤ‬ ‫وﻟﺘﻜﻦ‬‫ﺑﯿﻦ‬ ‫ﺴﺎﻓﺔ‬a , b‫ﺗﺴﺎوي‬D 2 2 2 2 2 4 2 2 4, 0.2 2 ( 7) ( 0) 14 49 14 49 4 10 49 2 10 8 10 0.2 102 10 49 1 / sec y x dD x dt D x y D x x y D x x x D x x dD x dx dx dt dt dtx x dx unit dt                                  ‫ﻣﺜﺎل‬8:‫ﻃﻮﻟﮭﺎ‬ ‫ﺳﻠﻚ‬ ‫ﻗﻄﻌﺔ‬12cm‫ﻗﻄﻌﺖ‬‫إﻟﻰ‬‫ﻣﺘﺴﺎوي‬ ‫ﻣﺜﻠﺜﺎ‬ ‫ﻣﻨﮭﺎ‬ ‫ﻓﺘﻜﻮن‬ ‫اﻷوﻟﻰ‬ ‫اﻟﻘﻄﻌﺔ‬ ‫ﻃﻮﯾﺖ‬ ، ‫ﻗﻄﻌﺘﯿﻦ‬ ‫ﻣﺮﺑﻌﺎ‬ ‫ﻛﻮﻧﺎ‬ ‫اﻟﺜﺎﻧﯿﺔ‬ ‫اﻟﻘﻄﻌﺔ‬ ‫وﻣﻦ‬ ‫اﻷﺿﻼع‬‫ﺑﻤﻌﺪل‬ ‫اﻟﻤﺮﺑﻊ‬ ‫ﺿﻠﻊ‬ ‫ﻃﻮل‬ ‫ازداد‬ ‫ﻓﺈذا‬0.3 cm/min‫ﻣﻘﺪار‬ ‫ﻓﺠﺪ‬ ‫اﻟﻤﺜﻠ‬ ‫ﺿﻠﻊ‬ ‫ﻃﻮل‬ ‫ﻧﻘﺼﺎن‬‫اﻟﻠﺤﻈﺔ‬ ‫ﻧﻔﺲ‬ ‫ﻓﻲ‬ ‫ﺚ‬. ‫اﻟﺤﻞ‬:‫ﻧﻔﺮض‬‫اﻟﻤﺜﻠﺚ‬ ‫ﺿﻠﻊ‬ ‫ﻃﻮل‬=x3s x ‫اﻟﻤﺜﻠﺚ‬ ‫ﻣﺤﯿﻂ‬ ‫ﻧﻔﺮض‬‫اﻟﻤﺮﺑﻊ‬ ‫ﺿﻠﻊ‬ ‫ﻃﻮل‬=y4s y ‫اﻟﻤﺮﺑﻊ‬ ‫ﻣﺤﯿﻂ‬ = ? , 0.3 dydx dt dt  3 4 12x y 3 4 0 dydx dt dt    3 4 0.3 0 dx dt    0.4 / min dx cm dt   ‫ﻃﻮ‬ ‫ﺗﻐﯿﺮ‬ ‫ﻣﻌﺪل‬ ‫ﯾﻤﺜﻞ‬‫ل‬‫اﻟﻀﻠﻊ‬ ‫ﻃﻮل‬ ‫ﻧﻘﺼﺎن‬ ‫ﻣﻌﺪل‬ ‫ﯾﻜﻮن‬ ‫ﻟﺬا‬ ‫اﻟﻤﺜﻠﺚ‬ ‫ﺿﻠﻊ‬ =0.4 / mincm 4y xy 12 = 4y + 3 x 3x
  • 118.
    ‫ﺍﻟﻨﺎﺻﺮﻱ‬ ‫ﻣﻮﺳﻰ‬ ‫ﻛﺎﻣﻞ‬118 ‫اﻷﺳﺌﻠﺔ‬)3-3( ‫س‬1:‫اﻟﻄﺮف‬‫اﻧﺰﻟﻖ‬ ‫ﻓﺈذا‬ ‫رأﺳﻲ‬ ‫ﺣﺎﺋﻂ‬ ‫ﻋﻠﻰ‬ ‫اﻷﻋﻠﻰ‬ ‫وﺑﻄﺮﻓﮫ‬ ‫أﻓﻘﯿﺔ‬ ‫ارض‬ ‫ﻋﻠﻰ‬ ‫اﻷﺳﻔﻞ‬ ‫ﺑﻄﺮﻓﮫ‬ ‫ﯾﺘﻜﺊ‬ ‫ﺳﻠﻢ‬‫اﻷﺳﻔﻞ‬ ‫ﻋﻦ‬ ً‫ا‬‫ﻣﺒﺘﻌﺪ‬‫ﺑﻤﻌﺪل‬ ‫اﻟﺤﺎﺋﻂ‬2 /m s‫ﻋﻨﺪﻣﺎ‬ ‫اﻟﻌﻠﻮي‬ ‫اﻟﻄﺮف‬ ‫اﻧﺰﻻق‬ ‫ﻣﻌﺪل‬ ‫ﻓﺠﺪ‬ ،‫ﻗﯿﺎس‬ ‫ﯾﻜﻮن‬‫اﻟﺴﻠﻢ‬ ‫ﺑﯿﻦ‬ ‫اﻟﺰاوﯾﺔ‬ ‫واﻷرض‬‫ﺗﺴﺎوي‬ 4  .‫ج‬):2 /m s( ‫س‬2::‫ﯾﺴﺎوي‬ ‫ﺛﺎﺑﺖ‬ ‫ﺣﺠﻢ‬ ‫ذات‬ ‫ﻗﺎﺋﻤﺔ‬ ‫داﺋﺮﯾﺔ‬ ‫اﺳﻄﻮاﻧﺔ‬3 320 cm‫ﺑﻤﻌﺪل‬ ‫ارﺗﻔﺎﻋﮭﺎ‬ ‫ﯾﺰداد‬0.5 cm/sec‫ﺟﺪ‬ ‫اﻟﻘﻄﺮ‬ ‫ﻧﺼﻒ‬ ‫ﻓﯿﮭﺎ‬ ‫ﯾﻜﻮن‬ ‫اﻟﺘﻲ‬ ‫اﻟﻠﺤﻈﺔ‬ ‫ﻓﻲ‬ ‫ﻗﺎﻋﺪﺗﮭﺎ‬ ‫ﻗﻄﺮ‬ ‫ﻧﺼﻒ‬ ‫ﺑﻄﻮل‬ ‫اﻟﻨﻘﺼﺎن‬ ‫ﻣﻌﺪل‬8cm. ‫ج‬)0.4 / seccm( ‫س‬3:‫ﻃﻮﻟﮫ‬ ‫ﻋﻤﻮد‬7.2 m‫ﻃﻮﻟﮫ‬ ‫رﺟﻞ‬ ‫،ﯾﺘﺤﺮك‬ ‫ﻣﺼﺒﺎح‬ ‫ﻧﮭﺎﯾﺘﮫ‬ ‫ﻓﻲ‬1.8m‫وﺑﺴﺮﻋﺔ‬ ‫اﻟﻌﻤﻮد‬ ‫ﻋﻦ‬ ‫ﻣﺒﺘﻌﺪا‬ 30 / minm‫اﻟﺮﺟﻞ‬ ‫ﻇﻞ‬ ‫ﻃﻮل‬ ‫ﺗﻐﯿﺮ‬ ‫ﻣﻌﺪل‬ ‫ﺟﺪ‬ ،.‫ج‬)10 / minm( ‫س‬4:‫ﻟﺘﻜﻦ‬a‫اﻟﻤﻜﺎﻓﺊ‬ ‫اﻟﻘﻄﻊ‬ ‫ﻋﻠﻰ‬ ‫ﺗﺘﺤﺮك‬ ‫ﻧﻘﻄﺔ‬2 y x‫اﻟﻨﻘﻄﺔ‬ ‫أﺣﺪاﺛﯿﻲ‬ ‫ﺟﺪ‬ ،a‫اﻟﺰﻣﻨﻲ‬ ‫اﻟﻤﻌﺪل‬ ‫ﯾﻜﻮن‬ ‫ﻋﻨﺪﻣﺎ‬ ‫اﻟﻨﻘﻄﺔ‬ ‫ﻋﻦ‬ ‫ﻻﺑﺘﻌﺎدھﺎ‬ 3 (0, ) 2 ‫ﻟﻠﻨﻘﻄﺔ‬ ‫اﻟﺼﺎدي‬ ‫اﻻﺣﺪاﺛﻲ‬ ‫ﻟﺘﻐﯿﺮ‬ ‫اﻟﺰﻣﻨﻲ‬ ‫اﻟﻤﻌﺪل‬ ‫ﺛﻠﺜﻲ‬ ‫ﯾﺴﺎوي‬a. ‫ج‬:( 2,2) ‫س‬5:‫ﻧﺎﻗﺺ‬ ‫ﻗﻄﻊ‬ ‫ﺷﻜﻞ‬ ‫ﻋﻠﻰ‬ ‫ﻣﻌﺪﻧﯿﺔ‬ ‫ﻗﻄﻌﺔ‬‫ﺑ‬‫ﻤﺴﺎﺣﮫ‬‫ﺗﺴﺎوي‬ ‫ﺛﺎﺑﺘﺔ‬60‫ﻣﺤﻮره‬ ‫ﻃﻮل‬ ‫أزداد‬ ‫ﻓﺈذا‬ ، ‫ﻣﺮﺑﻌﺔ‬ ‫وﺣﺪة‬ ‫ﺑﻨﺴﺒﺔ‬ ‫اﻷﺻﻐﺮ‬0. 2‫ﻃﻮل‬ ‫وﺣﺪة‬‫ﻃﻮل‬ ‫ﯾﻜﻮن‬ ‫ﻋﻨﺪﻣﺎ‬ ‫اﻷﻛﺒﺮ‬ ‫ﻣﺤﻮره‬ ‫ﻃﻮل‬ ‫ﻓﻲ‬ ‫اﻟﻨﻘﺼﺎن‬ ‫ﻣﻌﺪل‬ ‫ﻓﺠﺪ‬ ، ‫دﻗﯿﻘﺔ‬ ‫اﻷﺻﻐﺮ‬ ‫ﻣﺤﻮره‬12‫ﻃﻮل‬ ‫وﺣﺪة‬.‫ج‬: 1 3 ‫س‬6:‫ﻟﻠﺪاﺋﺮة‬ ‫ﺗﻨﺘﻤﻲ‬ ‫اﻟﺘﻲ‬ ‫اﻟﻨﻘﻂ‬ ‫ﺟﺪ‬2 2 4 8 108x y x y   ‫اﻟﻤ‬ ‫ﯾﻜﻮن‬ ‫ﻋﻨﺪھﺎ‬ ‫واﻟﺘﻲ‬‫ﻟﺘﻐﯿﺮ‬ ‫اﻟﺰﻣﻨﻲ‬ ‫ﻌﺪل‬x ‫ﻟﺘﻐﯿﺮ‬ ‫اﻟﺰﻣﻨﻲ‬ ‫اﻟﻤﻌﺪل‬ ‫ﯾﺴﺎوي‬y‫ﻟﻠﺰﻣﻦ‬ ‫ﺑﺎﻟﻨﺴﺒﺔ‬t.‫ج‬:(6, 4) , ( 10,12)  ‫س‬7:‫وﯾﺴﺎوي‬ ‫ﺛﺎﺑﺖ‬ ‫ﺳﺎﻗﯿﮫ‬ ‫ﻣﻦ‬ ‫ﻛﻞ‬ ‫ﻃﻮل‬ ‫اﻟﺴﺎﻗﯿﻦ‬ ‫ﻣﺘﺴﺎوي‬ ‫ﻣﺜﻠﺚ‬10 cm‫ﺑﻤﻌﺪل‬ ‫ﻗﺎﻋﺪﺗﮫ‬ ‫ﻃﻮل‬ ‫ازداد‬ ‫ﻓﺈذا‬ 6 /cm s‫ﯾﺴﺎوي‬ ‫ﻗﺎﻋﺪﺗﮫ‬ ‫ﻃﻮل‬ ‫ﻓﯿﮭﺎ‬ ‫ﯾﻜﻮن‬ ‫اﻟﺘﻲ‬ ‫اﻟﻠﺤﻈﺔ‬ ‫ﻓﻲ‬ ‫ارﺗﻔﺎﻋﮫ‬ ‫ﺗﻐﯿﺮ‬ ‫ﻣﻌﺪل‬ ‫ﻓﺠﺪ‬16 cm ‫ج‬:4 /cm s ‫س‬8:‫ﻣﺴﺘﻄﯿﻠﺔ‬ ‫ﺳﻄﻮح‬ ‫ﻣﺘﻮازي‬‫أﺑﻌﺎده‬‫ﻗﺎﻋﺪ‬ ‫ﺗﺒﻘﻰ‬ ‫ﺑﺤﯿﺚ‬ ‫ﺗﺘﻐﯿﺮ‬‫اﻟﻘﺎﻋﺪة‬ ‫ﺿﻠﻊ‬ ‫ﻃﻮل‬ ‫،ﯾﺰداد‬ ‫اﻟﺸﻜﻞ‬ ‫ﻣﺮﺑﻌﺔ‬ ‫ﺗﮫ‬ ‫ﺑﻤﻌﺪل‬3 /cm s‫ﺑﻤﻌﺪل‬ ‫ﯾﺘﻨﺎﻗﺺ‬ ‫وارﺗﻔﺎﻋﮫ‬ ،5 /cm s‫ﺿﻠﻊ‬ ‫ﻃﻮل‬ ‫ﯾﻜﻮن‬ ‫ﻋﻨﺪﻣﺎ‬ ‫اﻟﺤﺠﻢ‬ ‫ﺗﻐﯿﺮ‬ ‫ﻣﻌﺪل‬ ‫ﺟﺪ‬ ، ‫اﻟﻘﺎﻋﺪة‬4 cm‫واﻻرﺗﻔﺎع‬3 cm‫ج‬:8 /cu cm s ‫س‬9:‫ﺑﻤﻌﺪل‬ ‫ﻣﺴﺎﺣﺘﮭﺎ‬ ‫ﺗﺰداد‬ ‫اﻷﺿﻼع‬ ‫ﻣﺘﺴﺎوي‬ ‫ﻣﺜﻠﺚ‬ ‫ﺷﻜﻞ‬ ‫ﻋﻠﻰ‬ ‫ﻣﻌﺪﻧﯿﺔ‬ ‫ﻗﻄﻌﺔ‬23 8 cm s‫ﻋﻠﻰ‬ ‫ﺗﺤﺎﻓﻆ‬ ‫ﺑﺤﯿﺚ‬ ‫ﺿﻠﻌﮭﺎ‬ ‫ﻃﻮل‬ ‫ﯾﻜﻮن‬ ‫اﻟﺘﻲ‬ ‫اﻟﻠﺤﻈﺔ‬ ‫ﻓﻲ‬ ‫ﺑﺎرﺗﻔﺎﻋﮭﺎ‬ ‫اﻟﺘﻐﯿﺮ‬ ‫ﻣﻌﺪل‬ ‫ﺟﺪ‬ ، ‫ﺷﻜﻠﮭﺎ‬25 cm. ‫ج‬)0.005 3 /cm s(
  • 119.
    KAMIL ALNASSIRY 119 ‫ﺗﻌﺮﯾﻒ‬ ‫ﻟﺘﻜﻦ‬f‫اﻟﻤﻐﻠﻘﺔ‬ ‫اﻟﻔﺘﺮة‬‫ﻋﻠﻰ‬ ‫ﻣﺴﺘﻤﺮة‬ ‫داﻟﺔ‬ ,a b‫وﻟﺘﻜﻦ‬ ,c a b‫أن‬ ‫ﯾﻘﺎل‬ ،: 1(( )f c‫ﻣﻄﻠﻘﺔ‬ ‫ﻋﻈﻤﻰ‬ ‫ﻗﯿﻤﺔ‬ ‫ﺗﻜﻮن‬)Absolute Maximum Valueِِِِِِِِ(‫ﻟـ‬f‫ﻓﻲ‬ ,a b‫ﻛﺎن‬ ‫إذا‬:  ,x a b ( ) ( )f c f x 2(( )f c‫ﻣﻄﻠﻘﺔ‬ ‫ﺻﻐﺮى‬ ‫ﻗﯿﻤﺔ‬ ‫ﺗﻜﻮن‬)Minimum ValueAbsolute(‫ﻟـ‬f‫ﻓﻲ‬ ,a b‫ﻛﺎن‬ ‫إذا‬:  ,x a b ( ) ( )f c f x ‫ﺍﻟﻘﻴﻤ‬‫ﺔ‬‫ﺍﳌﻄﻠﻘﺔ‬ ‫ﺍﻟﻘﺼﻮﻯ‬‫ﻟﺪﺍﻟﺔ‬)(Absolute extrema of the function ‫ﺗﻌﺮﯾﻒ‬:‫ﺍﳊﺮﺟﺔ‬ ‫ﺍﻟﻨﻘﺎﻁ‬(Critical Points ) ‫ﻟﺘﻜﻦ‬f‫اﻟﻨﻘﻄﺔ‬ ‫وﻟﺘﻜﻦ‬ ، ‫داﻟﺔ‬P(c , f (c) )‫اﻟﺪاﻟﺔ‬ ‫ﻧﻘﻂ‬ ‫ﻣﻦ‬‫إذا‬‫اﻟﺸﺮﻃﯿﻦ‬ ‫اﺣﺪ‬ ‫ﺣﻘﻘﺖ‬: 1(( ) 0f c ،2(( )f c‫ﻣﻮﺟﻮدة‬ ‫ﻏﯿﺮ‬ ‫اﻷول‬ ‫اﻟﻨﻮع‬ ‫ﻋﻠﻰ‬ ‫دراﺳﺘﻨﺎ‬ ‫ﻓﻲ‬ ‫وﺳﻨﻘﺘﺼﺮ‬. ‫ﻣﺜﺎل‬:‫ﻟﻠﺪاﻟﺔ‬ ‫اﻟﺤﺮﺟﺔ‬ ‫اﻟﻨﻘﻂ‬ ‫ﺟﺪ‬f ( x ) = x3 -3x2 -9x ‫اﻟﺤﻞ‬:  2        3 6 9    f x x x    2 2 0   3 6 9   3 (  x -2 x - 3) = 0x x     ‫ﺣﺮﺟﺘﺎن‬ ‫ﻧﻘﻄﺘﺎن‬3 (  x -3 ) ( x +1) = 0 x = 3 or x = -1 ‫ﻧﻘﻄﺔ‬‫ﺣﺮﺟﺔ‬    3     27 27 27 27 (3, 27)     f        ‫ﺣﺮﺟﺔ‬ ‫ﻧﻘﻄﺔ‬     1      1 3 9 5 ( 1, 5)     f         ‫ﻣﻼﺣﻈﺔ‬:‫اﻟﺘﻌﺮﯾﻒ‬ ‫ﻣﻦ‬‫ﻣﻐﻠﻘﺔ‬ ‫ﻓﺘﺮة‬ ‫ﻋﻠﻰ‬ ‫ﻣﺴﺘﻤﺮة‬ ‫ﻟﺪاﻟﺔ‬ ‫اﻟﻤﻄﻠﻘﺔ‬ ‫اﻟﻘﯿﻢ‬ ‫ﻹﯾﺠﺎد‬ ‫اﻟﺴﺎﺑﻖ‬ ,a b‫ﯾﻠﻲ‬ ‫ﻛﻤﺎ‬ ‫اﻟﺤﻞ‬ ‫ﺗﺮﺗﯿﺐ‬ ‫ﯾﻤﻜﻦ‬: 1(‫ﻋﻨﺪ‬ ‫وﻟﺘﻜﻦ‬ ‫اﻟﻤﻌﻄﺎة‬ ‫ﻟﻠﻔﺘﺮة‬ ‫ﯾﻨﺘﻤﻲ‬ ‫ﻣﻦ‬ ‫ﻣﻨﮭﺎ‬ ‫وﻧﺨﺘﺎر‬ ، ‫اﻟﺤﺮﺟﺔ‬ ‫اﻟﻨﻘﻂ‬ ‫ﻧﺠﺪ‬x = c‫ﻧﻘﻄﺔ‬ ‫ﺗﻮﺟﺪ‬. 2(‫ﻧﺠﺪ‬:( ) , ( ) , ( )f a f b f c 3(‫اﻟﺴﺎﺑﻘﺔ‬ ‫اﻷﻋﺪاد‬ ‫أﻛﺒﺮ‬=‫ﻗﯿﻤﺔ‬ ‫أﻋﻈﻢ‬)‫ﻣﻄﻠﻘﺔ‬ ‫ﻋﻈﻤﻰ‬ ‫ﻗﯿﻤﺔ‬( 4(‫اﻟﺴﺎﺑﻘﺔ‬ ‫اﻷﻋﺪاد‬ ‫أﺻﻐﺮ‬=‫ﻗﯿﻤﺔ‬ ‫أﺻﻐﺮ‬)‫ﻣﻄﻠﻘﺔ‬ ‫ﺻﻐﺮى‬ ‫ﻗﯿﻤﺔ‬. (
  • 120.
    KAMIL ALNASSIRY 120 y x )( 1,3 )( 2, 6 )( 8, 10 )( 6, -2     ‫اﻟﻤﺨﻄ‬ ‫ﻓﻲ‬‫ﻂ‬‫أن‬ ‫ﻻﺣﻆ‬ ‫اﻟﻤﺠﺎور‬: 10=‫ﻟﻠﺪاﻟﺔ‬ ‫ﻗﯿﻤﺔ‬ ‫أﻋﻈﻢ‬ -2=‫ﻟﻠﺪاﻟﺔ‬ ‫ﻗﯿﻤﺔ‬ ‫أﺻﻐﺮ‬ ‫ﻣﺜﺎل‬:‫اﻟﺘﺎﻟﯿﺔ‬ ‫ﻟﻠﺪوال‬ ‫اﻟﻤﻄﻠﻘﺔ‬ ‫اﻟﻘﺼﻮى‬ ‫اﻟﻘﯿﻢ‬ ‫ﺟﺪ‬: 3 2 ( ) 3 9 2 , 4f x x x x on    ‫اﻟﺤﻞ‬: 2 ( ) 3 6 9f x x x    2 ( ) 0 0 3( 2 3) 0 3( 3)( 1)when f x x x x x          ‫ﺣﺮﺟﺔ‬ ‫ﻧﻘﻂ‬3 1x x     ‫ﻧﺠﺪ‬:( 1) 1 3 9 5f       (3) 27 27 27 27f      (4) 64 48 36 20f      ( 2) 8 12 18 2f       ‫ﻋﺪد‬ ‫أﻛﺒﺮ‬=5=‫ﻟﻠﺪاﻟﺔ‬ ‫ﻗﯿﻤﺔ‬ ‫أﻋﻈﻢ‬ ‫ﻋﺪد‬ ‫أﺻﻐﺮ‬=27=‫ﻟﻠﺪاﻟﺔ‬ ‫ﻗﯿﻤﺔ‬ ‫أﺻﻐﺮ‬
  • 121.
    ‫اﻟﻨﺎﺻﺮي‬ ‫ﻣﻮﺳﻰ‬ ‫ﻛﺎﻣﻞ‬121 (0 , 1 ) ( -2 , 3 ) ( 1 , 2 ) ‫ظ‬‫ﺻﻐﺮ‬ ‫ﻗﯿﻤﺔ‬ ‫أو‬ ‫ﻋﻈﻤﻰ‬ ‫ﻗﯿﻤﺔ‬ ‫ﻟﻠﺪاﻟﺔ‬ ‫ﻛﺎن‬ ‫اذا‬‫ى‬‫ﻋﻨﺪ‬c‫ﺣﯿﺚ‬ ,c a b‫ﺗﻜﻮن‬ ‫أن‬ ‫ﯾﺸﺘﺮط‬ ‫ﻓﻼ‬( ) 0f c  ‫ل‬‫ﻟﺘﻜﻦ‬ : 2,1 , ( ) 1f f x x        3x = -2 ‫ھﻲ‬ ‫ﻗﯿﻤﺔ‬ ‫أﺻﻐﺮ‬ ‫وﺗﻤﺘﻠﻚ‬1‫وﻣﻮﺟﻮد‬‫ﻋﻨﺪ‬ ‫ة‬x = 0‫وﻟﻜﻦ‬ (0)f ‫ﻏﯿ‬‫ﺮ‬‫ﻋﻨﺪھﺎ‬ ‫ﻟﻼﺷﺘﻘﺎق‬ ‫ﻗﺎﺑﻠﺔ‬ ‫ﻏﯿﺮ‬ ‫اﻟﺪاﻟﺔ‬ ‫ﻷن‬ ‫ﻣﻮﺟﻮدة‬ ‫ر‬‫رول‬Rolle`s Theorem Michel Rolle x 1f ,a b 2 ,a b 3( ) ( )f a f b Rolle`s Theorem f ,a b( , )a b ( ) ( )f a f bc( , )a b( ) 0f c   , ( )b f b a b1c 2c  , ( )a f a ‫ﻋﻨﺪ‬ ‫اﻟﻤﻤﺎس‬1c‫اﻟﺴﯿﻨﺎت‬ ‫ﻣﺤﻮر‬ ‫ﯾﻮازي‬ ‫ﻋﻨﺪ‬ ‫اﻟﻤﻤﺎس‬2c‫اﻟﺴﯿﻨﺎت‬ ‫ﻣﺤﻮر‬ ‫ﯾﻮازي‬ y
  • 122.
    ‫اﻟﻨﺎﺻﺮي‬ ‫ﻣﻮﺳﻰ‬ ‫ﻛﺎﻣﻞ‬122 12,c c ‫ﻣﺜﺎﻝ‬:‫ﻗﻴﻢ‬ ‫ﻭﺟﺪ‬ ‫ﻣﻨﻬﺎ‬ ‫ﻟﻜﻞ‬ ‫ﺗﺘﺤﻘﻖ‬ ‫ﺭﻭﻝ‬ ‫ﻧﻈﺮﻳﺔ‬ ‫ﺃﻥ‬ ‫ﻫﻞ‬ ‫ﺍﻟﺘﺎﻟﻴﺔ‬ ‫ﺍﻟﺪﻭﺍﻝ‬ ‫ﻣﻦ‬ ‫ﻟﻜﻞ‬ ‫ﺑﲔ‬c‫ﺍﳌﻤﻜﻨﺔ‬. 12 ( ) (2 )f x x  0,4  0,4 (0,4) 2 (0) (2 0) 4f    2 (4) (2 4) 4f   (0) (4)f f   ( ) 2(2 )f x x    ( ) 2(2 )f c c    0 2(2 )c  2c   22 3 ( ) 9 3f x x x x   1,1  1,1 ( 1,1) ( 1) 9 3 51f       5(1) 9 3 1f    ( 1) (1)f f   c 3 2 1 ( 1,2] 1 [ 4, 1] ( ) { x if x if x f x          ( ) 4,2D x   2 1 1 2 1 lim ( 1) 2 lim ( 1) 11 lim ( ) { x x x L Lx f x          1 2L L 1 lim ( ) x f x  
  • 123.
    ‫اﻟﻨﺎﺻﺮي‬ ‫ﻣﻮﺳﻰ‬ ‫ﻛﺎﻣﻞ‬123 1x   A, B ( ) ( )y f b f a x b a      y x 0 A B a b ‫اﻟﻮﺗﺮ‬ ‫ﻣﯿﻞ‬=    f b f a b a   ‫اﻟﻤﻤﺎس‬ ‫ﻣﯿﻞ‬=  f c  y f x ‫اﻟﻤﻤﺎس‬‫اﻟﻮﺗﺮ‬ ‫ﯾﻮازي‬ c  (6 3)‫ر‬‫ط‬‫و‬‫ا‬ ‫ا‬( f ,a b ( , )a bc( , )a b ( ) ( ) ( ) f b f a f c b a    Or, ]
  • 124.
    ‫اﻟﻨﺎﺻﺮي‬ ‫ﻣﻮﺳﻰ‬ ‫ﻛﺎﻣﻞ‬124 C()f c ( ) ( ) ( ) f b f a f c b a      c 12 ( ) 6 4f x x x   1,7 ( ) 2 6 ( ) 2 6f x x f c c      ( ) ( ) (7) ( 1) 11 1 7 0 1 1 8 f b f a f f b a          0 2 6 3c c    22 ( ) 25f x x  4,0 1 4,0a   2 2( ) 5a af   2 22 2lim ( ) 25 5lim x a x a f x x a       lim ( ) ( ) x a f x f a  a a ( )f x 4,0x   ( ) ( )f a f b ( ) 0f c 
  • 125.
    ‫اﻟﻨﺎﺻﺮي‬ ‫ﻣﻮﺳﻰ‬ ‫ﻛﺎﻣﻞ‬125 22 25 ( ) ( ) 25 x f x f c x c c         ‫اﻟﻮﺗﺮ‬ ‫ﻣﯿﻞ‬ 1 2 ( ) ( ) (0) ( 4) 5 3 0 4 4 f b f a f f b a          2 1 2 25 c c    2 25 2c c   2 2 2 25 4 5 5c c c c       3    23 ( ) 1 , 1, 3f x x x     1, 3a       22 3 3 lim ( ) 1lim 1 x a x a af x x        23 1( ) af a   lim ( ) x a f x f a   fx = a a 1, 3f 1, 3  1, 3x   3 2 ( ) 3 1 f x x     ; x = 11 1, 3 01x x    1f   1, 3   3 2 : 0, , : ( ) 4f b f x x x   f 2 3 c b 2 2 2 4 16 ( ) 3 8 ( ) 3 8 ( ) 4 3 3 3 f x x x f c c c f            3 2 2( ) ( ) ( ) (0) 4 0 4 0 f b f a f b f b b b b b a b b           2 2 2 4 4 4 4 0 ( 2) 0 2b b b b b b            
  • 126.
    ‫اﻟﻨﺎﺻﺮي‬ ‫ﻣﻮﺳﻰ‬ ‫ﻛﺎﻣﻞ‬126 () ( ) ( )h f a f a h f a    ‫ﺑﺎﺳﺘﺨﺪﺍﻡ‬ ‫ﺍﻟﺘﻘﺮﻳﺐ‬‫ﻣﱪﻫﻨﺔ‬‫ﺍﳌﺘﻮﺳﻄﺔ‬ ‫ﺍﻟﻘﻴﻤﺔ‬ )Approximation Using Mean Value Theorem( ‫ﺑﺎﺳﺘﺨﺪا‬ ‫اﻟﺘﻘﺮﯾﺐ‬ ‫ﻟﻨﺤﺎول‬ ‫واﻵن‬‫م‬‫ﺷﺮﺣﮭﺎ‬ ‫ﺳﺒﻖ‬ ‫واﻟﺘﻲ‬ ‫اﻟﻤﺘﻮﺳﻄﺔ‬ ‫اﻟﻘﯿﻤﺔ‬ ‫ﻧﻈﺮﯾﺔ‬: ‫أي‬ ‫اﻟﻤﯿﻞ‬ ‫ﻧﻔﺲ‬ ‫ﻟﮭﻤﺎ‬ ‫ﯾﻜﻮن‬ ‫ﻟﺬا‬ ‫ﻣﺘﻮازﯾﺎن‬ ‫واﻟﻮﺗﺮ‬ ‫اﻟﻤﻤﺎس‬ ‫اﻟﻤﺴﺘﻘﯿﻢ‬: ( ) ( ) ( ) f b f a f c b a    ‫اﻗﺘﺮاب‬ ‫ﯾﻜﻮن‬ ‫وﻋﻨﺪﻣﺎ‬b‫ﻣﻦ‬a‫اﻟﺤﺎﻟﺔ‬ ‫ھﺬه‬ ‫ﻓﻲ‬ ‫ﺗﻜﻮن‬ ‫ﻛﺎﻓﯿﺎ‬ ‫ﻗﺮﺑﺎ‬h‫ﻣﻦ‬ ‫ﻛﺎﻓﯿﺎ‬ ‫ﻗﺮﺑﺎ‬ ‫اﻟﻮﺗﺮ‬ ‫وﯾﻘﺘﺮب‬ ‫ﺻﻐﯿﺮة‬a ‫أن‬ ‫أي‬‫ﻋﻨﺪ‬ ‫اﻟﻤﻤﺎس‬c‫ﻣﻦ‬ ‫ﺟﺪا‬ ‫ﻗﺮﯾﺒﺎ‬ ‫ﺳﯿﻜﻮن‬a‫ﻓﯿﻜﻮن‬: ( ) ( ) ( ) f a h f a f c h    ( ) ( ) ( )h f c f a h f a     ‫ﯿﻢ‬ ‫ﻗ‬ ‫ﺴﺎب‬ ‫ﻟﺤ‬ :‫ﻗﺪﻣﺔ‬‫ﻣ‬‫ﺔ‬3 8.006‫ھﻲ‬ ‫ھﻨﺎ‬ ‫اﻟﻤﺴﺘﻌﻤﻠﺔ‬ ‫اﻟﺪاﻟﺔ‬: 3 :f x x‫ﻧﺠﺪ‬ ‫ﻣﻨﮭﺎ‬ ‫ﻣﻮﺟﻮدة‬ ‫واﻟﺤﺎﺳﺒﺔ‬ ‫اﻹﺟﮭﺎد‬ ‫ھﺬا‬ ‫ﻟﻤﺎذا‬ ‫اﻟﻘﺎرئ‬ ‫ﯾﺘﺴﺎءل‬ ‫ﻟﻜﻦ‬ ،‫اﻟﺴﺎﺑﻖ‬ ‫ﻟﻠﻌﺪد‬ ‫ﺗﻘﺮﯾﺒﺎ‬،‫ﻣﺤﻖ‬ ‫أﻧﺖ‬ ‫ﻧﻌﻢ‬ ‫ﻧﻘﻮل‬ ‫ﻓﯿﮭﺎ‬ ‫ﺗﻘﺮب‬ ‫اﻟﺘﻲ‬ ‫اﻟﻄﺮﯾﻘﺔ‬ ‫ﻋﻠﻰ‬ ‫ﻣﺒﺮﻣﺠﺔ‬ ‫آﻟﺔ‬ ‫ﻣﺠﺮد‬ ‫ھﻲ‬ ‫اﻟﺤﺎﺳﺒﺔ‬ ‫أن‬ ‫ﺗﻌﻠﻢ‬ ‫ھﻞ‬ ‫ﻟﻜﻦ‬‫اﻟﻌﺪد‬ ‫ھﺬا‬.‫وﻟﻨ‬‫ﻠ‬‫ﻧﻈﺮة‬ ‫ﻖ‬ ‫اﻟﺨﻮارزﻣﻲ‬ ‫ﻣﻮﺳﻰ‬ ‫ﺑﻦ‬ ‫ﻣﺤﻤﺪ‬ ‫ﻓﻤﺜﻼ‬ ، ‫ﻋﻠﻤﺎﺋﻨﺎ‬ ‫ﺑﻌﺾ‬ ‫ﺑﮫ‬ ‫ﻗﺎم‬ ‫ﻣﺎ‬ ‫ﻋﻠﻰ‬)‫اﻷول‬ ‫اﻟﻨﺼﻒ‬ ‫ﻓﻲ‬ ‫ﺑﻐﺪاد‬ ‫ﻓﻲ‬ ‫ﻋﺎش‬ ‫اﻟﺘﺎﺳﻊ‬ ‫اﻟﻘﺮن‬ ‫ﻣﻦ‬(‫اﻟﻌﺪد‬ ‫ﻗﺮب‬ ‫ﻓﻠﻘﺪ‬2 a b‫إﻟﻰ‬ 2 b a a ‫ﯾﺠﺪ‬ ‫أن‬ ‫ﯾﺴﺘﻄﯿﻊ‬ ‫اﻟﻘﺎﻋﺪة‬ ‫ھﺬه‬ ‫ﻃﺮق‬ ‫وﻋﻦ‬ ‫و‬ ‫اﻟﺘﺮﺑﯿﻌﯿﺔ‬ ‫اﻟﺠﺬور‬‫ھﺬا‬ ‫ﻋﻤﻢ‬ ‫وﻟﻘﺪ‬ ، ‫اﻟﺘﻔﺎﺿﻞ‬ ‫ﺑﺎﺳﺘﺨﺪام‬ ‫إﻻ‬ ‫إﻟﯿﮫ‬ ‫ﻧﺼﻞ‬ ‫أن‬ ‫ﯾﻤﻜﻦ‬ ‫وﻻ‬ ‫ﺻﺤﯿﺢ‬ ‫ﺗﻘﺮﯾﺐ‬ ‫ھﻮ‬ ‫اﻟﻄﻮﺳﻲ‬ ‫اﻟﺪﯾﻦ‬ ‫ﻧﺼﯿﺮ‬ ‫ﻣﺤﻤﺪ‬ ‫اﻻﺳﺘﻨﺘﺎج‬)1201–1274(‫ﯾﻠﻲ‬ ‫ﻛﻤﺎ‬ ‫اﻟﻨﻮﻧﻲ‬ ‫اﻟﺠﺬر‬ ‫ﻗﺮب‬ ‫ﻋﻨﺪﻣﺎ‬: ( 1) nn n n b a b a a a      ‫ﺣﯿﺚ‬) n a b( Let b a h b a h    
  • 127.
    ‫اﻟﻨﺎﺻﺮي‬ ‫ﻣﻮﺳﻰ‬ ‫ﻛﺎﻣﻞ‬127 () ( ) ( )f a h f a h f a   ‫اﻟﻘﺎﻧﻮن‬ ‫ﻋﻠﻰ‬ ‫ﺳﻨﻄﻠﻖ‬‫اﻷﺧﯿﺮ‬‫اﺳﻢ‬)‫ﻟﻠﺪاﻟﺔ‬ ‫اﻟﺘﻘﺮﯾﺒﻲ‬ ‫اﻟﺘﻐﯿﺮ‬(‫إذا‬‫ﺗﻐﯿﺮت‬x‫ﻣﻦ‬ ‫س‬a‫إﻟﻰ‬a h ‫ﻧﺤﺼﻞ‬ ‫وﻣﻨﮫ‬: ‫ﻟﻠﺪاﻟﺔ‬ ‫اﻟﺘﻘﺮﯾﺒﯿﺔ‬ ‫اﻟﻘﯿﻤﺔ‬ ‫ﻗﺎﻧﻮن‬ ‫اﻷﺧﯿﺮ‬ ‫وﯾﻤﺜﻞ‬. ‫ﻣﺜﺎﻝ‬:‫ﻟﺘﻜﻦ‬( )f x x‫ﺗﻘﺮﻳﺒﻴﺔ‬ ‫ﻭﺑﺼﻮﺭﺓ‬ ‫ﺟﺪ‬(26)f ‫اﻟﺤﻞ‬:26=25+1‫ﻟﺘﻜﻦ‬25a‫وﻟﺘﻜﻦ‬1h 1(‫اﻟﺪاﻟﺔ‬: : 25,26 , ( )f f x x  ‫أن‬ ‫ﻻﺣﻆ‬:25 , 26a b  2(‫اﻟﻤﺸﺘﻘﺔ‬: 1 ( ) 2 f x x   3(‫اﻟﻨﻈﺮﯾﺔ‬ ‫ﺗﻄﺒﯿﻖ‬:(26) (25 1) (25) 1 (25)f f f f     1 (26) 25 5.1 2 25 f    ‫ﻣﺜﺎﻝ‬23:‫ﺣﺮﻓﻪ‬ ‫ﻃﻮﻝ‬ ‫ﻣﻜﻌﺐ‬9.98 cm‫ﺍﳌﺘﻮﺳﻄﺔ‬ ‫ﺍﻟﻘﻴﻤﺔ‬ ‫ﻧﻈﺮﻳﺔ‬ ‫ﺑﺎﺳﺘﺨﺪﺍﻡ‬ ‫ﺗﻘﺮﻳﺒﻴﺔ‬ ‫ﺑﺼﻮﺭﺓ‬ ‫ﺣﺠﻤﻪ‬ ‫ﺟﺪ‬. ‫اﻟﺤﻞ‬:‫ﺣﺠ‬‫اﻟﻤﻜﻌﺐ‬ ‫ﻢ‬) =‫اﻟﻀﻠﻊ‬ ‫ﻃﻮل‬( 3  3 ( )V x g x  10 , 0.02Let a x h    ‫اﻟﺼﯿﻐﺔ‬ ‫ﻋﻠﻰ‬ ‫ﺗﻜﻮن‬ ‫اﻟﺪاﻟﺔ‬ ‫أن‬ ‫أي‬:  3 : 9.98 ,10 , ( )g g x x  2 2 ( ) 3 (10) 3(10) 300g x x g     3 (10) 10 1000g   (9.98) (10 ( 0.02)) (10) ( 0.02) (10)g g g g       (9.98) 1000 ( 0.02) (300)g    (9.98) 994g cub cm=‫اﻟﻤﻜﻌﺐ‬ ‫ﺣﺠﻢ‬
  • 128.
    ‫اﻟﻨﺎﺻﺮي‬ ‫ﻣﻮﺳﻰ‬ ‫ﻛﺎﻣﻞ‬128 .98 1 b xa    .02h b a    ‫ﻣﺜﺎﻝ‬:‫ﻟﺘﻜﻦ‬ 3 2 ( )f x x‫ﺗﻐﲑﺕ‬ ‫ﻓﺈﺫﺍ‬x‫ﻣﻦ‬8‫ﺇﱃ‬8.06‫ﻟﻠﺪﺍﻟﺔ‬ ‫ﺍﻟﺘﻘﺮﻳﺒﻲ‬ ‫ﺍﻟﺘﻐﲑ‬ ‫ﻣﻘﺪﺍﺭ‬ ‫ﻓﻤﺎ‬. ‫اﻟﺤﻞ‬:1(‫اﻟﺪاﻟﺔ‬:  3 2 : 8,8.06 : ( )f f x x  2(‫اﻟﻤﺸﺘﻘﺔ‬:3 2 ( ) 3 f x x   3 2 1 ( ) (8) 0.333 33 8 f a f     ‫اﻟﺘﻘﺮﯾﺒﻲ‬ ‫اﻟﺘﻐﯿﺮ‬=( ) (0.06) (0.333) 0.01998h f a   ‫ﻣﺜﺎﻝ‬:‫ﺣﺮﻓﺔ‬ ‫ﻃﻮﻝ‬ ‫ﻣﻜﻌﺐ‬10 cm:‫ﺑﺴﻤﻚ‬ ‫ﺍﳉﻠﻴﺪ‬ ‫ﻣﻦ‬ ‫ﺑﻄﺒﻘﺔ‬ ‫ﻣﻐﻄﻰ‬0.3 cm‫ﺑﺼﻮﺭﺓ‬ ‫ﺍﳉﻠﻴﺪ‬ ‫ﻛﻤﻴﺔ‬ ‫ﺟﺪ‬ ‫ﺗﻘﺮﻳﺒﻴﺔ‬. ‫اﻟﺤﻞ‬:‫اﻟﺪاﻟ‬‫ﺔ‬: 3 ( )V x f x  ‫اﻟﻤﺸﺘﻘﺔ‬: 2 ( ) 3f x x  2 ( ) (10) (3) (10) 300f a f    ‫اﻟﺠﻠﯿﺪ‬ ‫ﻛﻤﯿﺔ‬=‫اﻟﻤﻜﻌﺐ‬ ‫ﺣﺠﻢ‬ ‫ﻓﻲ‬ ‫اﻟﺰﯾﺎدة‬ ‫ﻣﻘﺪار‬=‫اﻟﺤﺠﻢ‬ ‫ﺑﺪاﻟﺔ‬ ‫اﻟﺘﻐﯿﺮ‬ ‫ﻣﻘﺪار‬= 3 ( ) (0.6)(300) 180h f a cm   ‫ﻣﺜﺎﻝ‬:‫ﻟﺜﻼ‬ ‫ﻭﻣﻘﺮﺑﺎ‬ ‫ﺗﻘﺮﻳﺒﻴﺔ‬ ‫ﻭﺑﺼﻮﺭﺓ‬ ‫ﺟﺪ‬‫ﻣﻦ‬ ‫ﻛﻼ‬ ‫ﺍﻷﻗﻞ‬ ‫ﻋﻠﻰ‬ ‫ﻋﺸﺮﻳﺔ‬ ‫ﻣﺮﺍﺗﺐ‬ ‫ﺛﺔ‬: a(3 45 (0.98) (0.98) 3  ‫اﻟﺤﻞ‬:‫اﻟﻤﺠﺎل‬ ‫ﻟﺬﻛﺮ‬ ‫ﺣﺎﺟﺔ‬ ‫ﻻ‬: 1(‫اﻟﺪاﻟﺔ‬: 3 45 ( ) 3f x x x   2(‫اﻟﻤﺸﺘﻘﺔ‬: 2 35 3 ( ) 4 5 f x x x     3(‫ﺑﺎﻟﺪاﻟﺔ‬ ‫ﺗﻌﻮﯾﺾ‬: 3 45 ( ) (1) 1 1 3 5f a f     3 8.06 8 2 b x a     0.06h b a   10.6 10 b x a    0.6h b a  
  • 129.
    ‫اﻟﻨﺎﺻﺮي‬ ‫ﻣﻮﺳﻰ‬ ‫ﻛﺎﻣﻞ‬129 3 7.8 82 b x a     .2h b a    17 16 24 b x a     1h b a   4(‫ﺑﺎﻟﻤﺸﺘﻘﺔ‬ ‫ﺗﻌﻮﯾﺾ‬: 2 35 3 ( ) (1) ( )(1) (4)(1) 4.6 5 f a f       5(‫ﺗﻌﻮﯾﺾ‬‫ﺑﺎﻟﻨﻈﺮﯾﺔ‬:( ) ( ) ( )f a h f a h f a   (0.98) (1) ( 0.02) (1)f f f     (0.98) 5 ( 0.02) (4.6)f     (0.98) 5 0.092 4.908f    3 45 (0.98) (0.98) 3 4.908   b(3 7.8 ‫اﻟﺤﻞ‬:1(‫اﻟﺪاﻟﺔ‬: 3 ( )f x x 2(‫اﻟﻤﺸﺘﻘﺔ‬: 3 2 1 ( ) 3 f x x   3(‫ﺑﺎﻟﺪاﻟﺔ‬ ‫اﻟﺘﻌﻮﯾﺾ‬: 3 ( ) (8) 8 2f a f   4(‫ﺑﺎﻟﻤﺸﺘﻘﺔ‬ ‫اﻟﺘﻌﻮﯾﺾ‬:3 2 1 1 ( ) (8) 0.083 123 8 f a f     5(‫اﻟﻨﻈﺮﯾﺔ‬ ‫اﺳﺘﻌﻤﺎل‬:( ) ( ) ( )f a h f a h f a   (7.8) (8) ( 0.2) (8) 2 (0.2)(0.083) 2 0.0166 1.9834f f f         ‫أي‬:3 7.8 1.9834 c(4 17 17 ‫اﻟﺤﻞ‬:1(‫اﻟﺪاﻟﺔ‬:‫ﻟﺘﻜﻦ‬ 1 1 2 4 ( )f x x x  2(‫اﻟﻤﺸﺘﻘﺔ‬: 1 3 2 4 1 1 ( ) 2 4 f x x x     3(‫ﺑﺎﻟﺪاﻟﺔ‬ ‫ﺗﻌﻮﯾﺾ‬: 1 1 4 42 4 (16) (2 ) (2 ) 4 62f     
  • 130.
    ‫اﻟﻨﺎﺻﺮي‬ ‫ﻣﻮﺳﻰ‬ ‫ﻛﺎﻣﻞ‬130 3 0.120 0.125(0.5) b x a     0.005h b a    4(‫ﺑﺎﻟﻤﺸﺘﻘﺔ‬ ‫ﺗﻌﻮﯾﺾ‬: 1 3 4 4 2 3 2 32 4 1 1 1 1 1 1 (16) (2 ) (2 ) (2 ) (2 ) 0.5( ) 0.75( ) 2 4 2 4 2 2 f           2 3 (0.5) (0.5) (0.25)(0.5) (0.5) (0.25) (0.25)(0.125) 0.125 0.031 0.156        3(‫اﻟﻨﻈﺮﯾﺔ‬ ‫ﺗﻄﺒﻖ‬:( ) ( ) ( )f a h f a h f a    (17) (16) 1 (16)f f f    (17) 6 1 0.156f    (17) 6 1 0.156f    (17) 6.156f  4 17 17 6.156   d(3 0.12 ‫اﻟﺤﻞ‬:1(‫اﻟﺪ‬‫اﻟﺔ‬: 1 3 ( )f x x 2(‫اﻟﻤﺸﺘﻘﺔ‬ 2 3 1 ( ) 3 f x x    3(‫ﺑﺎﻟﺪاﻟﺔ‬ ‫ﺗﻌﻮﯾﺾ‬: 1 3 3 ( ) ((0.5 0.) 5)f x   4(‫ﺑﺎﻟﻤﺸﺘﻘﺔ‬ ‫ﺗﻌﻮﯾﺾ‬: 2 3 2 23 1 1 1 1 4 ( ) [(0.5) ] ( ) (2) 1. 3 3 2 3 333 3 f x         5(‫اﻟﻨﻈﺮﯾﺔ‬ ‫ﺗﻄﺒﯿﻖ‬:( ) ( ) ( )f a h f a h f a    (0.12) (0.125) ( 0.005) (1.333)f f    (0.12) 0.5 0.0006665 (0.12) 0.493335 f f    3 0.12 0.493335  ّّّّّ===================================================
  • 131.
    ‫اﻟﻨﺎﺻﺮي‬ ‫ﻣﻮﺳﻰ‬ ‫ﻛﺎﻣﻞ‬131 ‫ﺱ‬1:‫ﻗﻴﻤﺔ‬‫ﺟﺪ‬c‫ﺗﻌﻴ‬ ‫ﺍﻟﺘﻲ‬‫ﻨ‬‫ﺭ‬ ‫ﻣﱪﻫﻨﺔ‬ ‫ﻬﺎ‬‫ﻭ‬‫ﻳﻠﻲ‬ ‫ﳑﺎ‬ ‫ﻛﻞ‬ ‫ﰲ‬ ‫ﻭﻝ‬:       3 4 2 1 ) ( ) 3 , 1,2 ) ( ) 2 , ,2 2 ) ( ) ( 1) , 1,3 ) ( ) cos2 2cos , 0,2 a f x x x x b f x x x x c f x x c x x x                           ‫ﺱ‬2(‫ﻳﻠﻲ‬ ‫ﳑﺎ‬ ‫ﻟﻜﻞ‬ ‫ﺗﻘﺮﻳﺒﺎ‬ ‫ﺟﺪ‬: 1( 1 101 2(3 1 9 3(    3 4 1.04 3 1.04)4(3 63 635( 1 2 ‫س‬3(‫ﻧﺼ‬ ‫ﻛﺮة‬‫ﻗﻄﺮھﺎ‬ ‫ﻒ‬6 cm‫ﺳﻤﻜﮫ‬ ‫ﺑﻄﻼء‬ ‫ﻃﻠﯿﺖ‬0.1 cm‫ﺗﻘﺮﯾﺒﯿﺔ‬ ‫ﺑﺼﻮرة‬ ‫اﻟﻄﻼء‬ ‫ﻛﻤﯿﺔ‬ ‫ﺟﺪ‬. ‫س‬4(‫ﺣﺠﻤﮭﺎ‬ ‫ﻛﺮة‬84 .cub cm‫ﺗﻘﺮﯾﺒﯿﺔ‬ ‫ﺑﺼﻮرة‬ ‫ﻗﻄﺮھﺎ‬ ‫ﻧﺼﻒ‬ ‫ﺟﺪ‬ ،. ‫س‬5(‫ﯾ‬ ‫ارﺗﻔﺎﻋﮫ‬ ‫ﻛﺎن‬ ‫ﻓﺈذا‬ ‫ﻗﺎﻋﺪﺗﮫ‬ ‫ﻗﻄﺮ‬ ‫ﻃﻮل‬ ‫ﯾﺴﺎوي‬ ‫ارﺗﻔﺎﻋﮫ‬ ، ‫ﻗﺎﺋﻢ‬ ‫داﺋﺮي‬ ‫ﻣﺨﺮوط‬‫ﺴﺎوي‬2.98 cm ‫ﺗﻘﺮﯾﺒﯿﺔ‬ ‫ﺑﺼﻮرة‬ ‫ﺣﺠﻤﮫ‬ ‫ﻓﺠﺪ‬. ‫ﺱ‬6:‫ﲢﻘﻖ‬ ‫ﺍﻟﺘﺎﻟﻴﺔ‬ ‫ﺍﻟﺪﻭﺍﻝ‬ ‫ﻣﻦ‬ ‫ﺩﺍﻟﺔ‬ ‫ﻛﻞ‬ ‫ﺃﻥ‬ ‫ﺑﲔ‬‫ﻣﱪﻫﻨﺔ‬‫ﻣﻨﻬﺎ‬ ‫ﻛﻞ‬ ‫ﺟﻮﺍﺭ‬ ‫ﺍﳌﻌﻄﺎﺓ‬ ‫ﺍﻟﻔﱰﺓ‬ ‫ﻋﻠﻰ‬ ‫ﺭﻭﻝ‬:    4 3 1) ( ) ( 1) , 1,3 2) ( ) , 1,1f x x h x x x         2 2 3) ( ) 3 , 1,4 4) ( ) 25 , 3,3x x x x x       ‫ﺱ‬7:‫ﺗﻄﺒﻴﻖ‬ ‫ﺇﻣﻜﺎﻧﻴﺔ‬ ‫ﺍﺧﺘﱪ‬‫ﻣﱪﻫﻨﺔ‬‫ﺍﳌﺘﻮﺳﻄ‬ ‫ﺍﻟﻘﻴﻤﺔ‬‫ﺇﺯﺍءﻫﺎ‬ ‫ﺍﳌﻌﻄﺎﺓ‬ ‫ﺍﻟﻔﱰﺓ‬ ‫ﻋﻠﻰ‬ ‫ﺍﻟﺘﺎﻟﻴﺔ‬ ‫ﻟﻠﺪﻭﺍﻝ‬ ‫ﺔ‬ ‫ﻗﻴﻢ‬ ‫ﻓﺠﺪ‬ ‫ﺍﻟﻨﻈﺮﻳﺔ‬ ‫ﲢﻘﻘﺖ‬ ‫ﻭﺍﻥ‬ ‫ﺍﻟﺴﺒﺐ‬ ‫ﺫﻛﺮ‬ ‫ﻣﻊ‬c‫ﺍﳌﻤﻜﻨﺔ‬.    3 2 2 1) ( ) 1, 1,3 2) ( ) 4 5 , 1,5f x x x x h x x x            23 4 3) ( ) , 1,2 4) ( ) ( 1) , 2,7 2 g x x x x      
  • 132.
    ‫ﻛﺎ‬‫ﺍﻟﻨﺎﺻﺮﻱ‬ ‫ﻣﻮﺳﻰ‬ ‫ﻣﻞ‬132 ‫ﻓﺤﺺ‬‫ﻭﺍﻟﺘﻨﺎﻗﺺ‬‫ﺍﻟﺘﺰﺍﻳﺪ‬‫ﻟﻠﺪﺍﻟﺔ‬ Test for increasing or decreasing functions ‫واﻟﻤﺒﺮھﻨ‬‫ﺔ‬‫اﻟﺴﺎﺑﻘﺔ‬‫أن‬ ‫ﯾﻤﻜﻦ‬‫ﺗﻮﺿﺢ‬‫ﻛ‬‫ﯾﻠﻲ‬ ‫ﻤﺎ‬: 1(‫ﺗﺰاﯾﺪ‬ ‫وﺿﻊ‬ ‫ﻓﻲ‬ ‫ﻓﺎﻟﺪاﻟﺔ‬ ‫ﻣﻮﺟﺐ‬ ‫ﻣﯿﻠﮫ‬ ‫ﻟﻠﻤﻨﺤﻨﻲ‬ ‫اﻟﻤﻤﺎس‬ ‫ﻛﺎن‬ ‫إذا‬. 2(‫وﺿ‬ ‫ﻓﻲ‬ ‫ﻓﺎﻟﺪاﻟﺔ‬ ‫ﺳﺎﻟﺐ‬ ‫ﻣﯿﻠﮫ‬ ‫ﻟﻠﻤﻨﺤﻨﻲ‬ ‫اﻟﻤﻤﺎس‬ ‫ﻛﺎن‬ ‫إذا‬‫ﺗﻨﺎﻗﺺ‬ ‫ﻊ‬. ‫ﺍﻟﺘﺎﻟﻴﺔ‬ ‫ﻟﻸﻣﺜﻠﺔ‬‫ﺍﻟﺘﺎﻟﻴﺔ‬ ‫ﻟﻠﺪﻭﺍﻝ‬ ‫ﻭﺍﻟﺘﻨﺎﻗﺺ‬ ‫ﺍﻟﺘﺰﺍﻳﺪ‬ ‫ﻣﻨﺎﻃﻖ‬ ‫ﺟﺪ‬: ‫ﻣﺜﺎل‬1: 2 3 ( ) 9 3f x x x x   ‫اﻟﺤﻞ‬:‫ﻧﺠﺪ‬‫اﻟﺤﺮﺟﺔ‬ ‫اﻟﻨﻘﻂ‬ ‫أوﻻ‬: 2 ( ) 9 6 3f x x x    2 0 9 6 3x x   2 0 3( 2 3)x x    ‫اﻟﺤﺮﺟﺔ‬ ‫اﻟﻨﻘﻂ‬:0 3( 3)( 1) 3 , 1x x x x          ‫ﻣﺒﺮھﻨﺔ‬:‫ﻟﺘﻜﻦ‬f‫داﻟﺔ‬‫اﻟﻤﻔﺘﻮﺣﺔ‬ ‫اﻟﻔﺘﺮة‬ ‫ﻋﻠﻰ‬ ‫ﻟﻠﺘﻔﺎﺿﻞ‬ ‫ﻗﺎﺑﻠﺔ‬(a , b)‫ﻛﺎﻧﺖ‬ ‫ﻓﺈذا‬: 1(( ) 0 , ( , )f x x a b   f‫ﻣﺘﺰاﯾﺪة‬)Increasing(‫اﻟﻔﺘﺮة‬ ‫ﻋﻠﻰ‬(a , b) 2(( ) 0 , ( , )f x x a b   f‫ﻣﺘﻨﺎ‬‫ﻗﺼﺔ‬)Decreasing(‫اﻟﻔﺘﺮة‬ ‫ﻋﻠﻰ‬(a , b)
  • 133.
    ‫ﻛﺎ‬‫ﺍﻟﻨﺎﺻﺮﻱ‬ ‫ﻣﻮﺳﻰ‬ ‫ﻣﻞ‬133 ‫ﺛﺎﻧﯿ‬‫ﺎ‬:‫ﺑﻘﯿﻢ‬‫ﺑﺎﻟﺘﻌﻮﯾﺾ‬ ‫اﻷوﻟﻰ‬ ‫اﻟﻤﺸﺘﻘﺔ‬ ‫أﻋﺪاد‬ ‫ﺧﻂ‬ ‫ﻧﺨﺘﺒﺮ‬‫ﻟﻠﺤﺮﺟﺔ‬ ‫ﻣﺠﺎورة‬ f‫ﻣﺘﻨﺎﻗﺼﺔ‬‫ﻓﻲ‬:1( : 3x x 2( : 1x x   f‫ﻣﺘﺰاﯾﺪة‬:‫اﻟﻤﻔﺘﻮﺣﺔ‬ ‫اﻟﻔﺘﺮة‬ ‫ﻓﻲ‬( 1,3)x   ‫ﻣﺜﺎل‬31:3 2 ( )f x x ‫اﻟﺤﻞ‬:3 2 ( ) 3 f x x   ( )f x‫ﻛﺎﻧﺖ‬ ‫إذا‬ ‫ﻣﻌﺮﻓﺔ‬ ‫ﻏﯿﺮ‬0x 0x ‫ﺣﺮﺟﺔ‬ ‫ﻧﻘﻄﺔ‬‫واﻟﺪاﻟﺔ‬f‫ﻋﻨﺪھﺎ‬ ‫ﻣﻌﺮﻓﺔ‬. f‫ﻣﺘﺰاﯾﺪة‬‫ﻓﻲ‬: : 0x x ،f‫ﻣﺘﻨﺎﻗﺼﺔ‬‫ﻓﻲ‬: : 0x x  ‫ﺗﻌﺮﯾﻒ‬:‫واﻟﺘﻘﻌﺮ‬ ‫اﻟﺘﺤﺪب‬)Convexity and Concavity( ‫ﻛﺎﻧﺖ‬ ‫إذا‬f‫ﻟ‬ ‫ﻗﺎﺑﻠﺔ‬ ‫داﻟﺔ‬‫اﻟﻤﻔﺘﻮﺣﺔ‬ ‫اﻟﻔﺘﺮة‬ ‫ﻓﻲ‬ ‫ﻼﺷﺘﻘﺎق‬( , )a b‫اﻟﻤﻨﺤﻨﻲ‬ ‫ﻓﺎن‬( )y f x‫ﻟﮫ‬ ‫ﯾﻘﺎل‬: 1(‫اﻟﻤﻔﺘﻮﺣﺔ‬ ‫اﻟﻔﺘﺮة‬ ‫ﻋﻠﻰ‬ ‫ﻣﺤﺪﺑﺎ‬( , )a b‫ﻛﺎﻧﺖ‬ ‫إذا‬( )f x‫اﻟﻔﺘﺮة‬ ‫ﺧﻼل‬ ‫ﻣﺴﺘﻤﺮ‬ ‫ﺗﻨﺎﻗﺺ‬ ‫ﻓﻲ‬. 2(‫اﻟﻤﻔﺘﻮﺣﺔ‬ ‫اﻟﻔﺘﺮة‬ ‫ﻋﻠﻰ‬ ‫ﻣﻘﻌﺮا‬( , )a b‫ﻛﺎﻧﺖ‬ ‫إذا‬( )f x‫اﻟﻔﺘﺮة‬ ‫ﺧﻼل‬ ‫ﻣﺴﺘﻤﺮ‬ ‫ﺗﺰاﯾﺪ‬ ‫ﻓﻲ‬. ( 1, 3)x  1x   3x  (3 ) ?f    (3 ) ? ( 1 ) ? f f          ( 1 ) ?f      -----+ + + + +------ 1 3 0 ( )f x + + + + +------ ‫إﺷﺎرة‬
  • 134.
    ‫ﻛﺎ‬‫ﺍﻟﻨﺎﺻﺮﻱ‬ ‫ﻣﻮﺳﻰ‬ ‫ﻣﻞ‬134 ‫ﻣﻦ‬‫ﻻﺣﻆ‬‫اﻟﺴﺎﺑﻘﺔ‬ ‫اﻷﺷﻜﺎل‬:‫ﯾﻜﻮن‬‫ﻣﺤﺪﺑ‬ ‫اﻟﻤﻨﺤﻨﻲ‬‫ﺎ‬، ‫ﻣﻤﺎﺳﺎﺗﮫ‬ ‫ﺗﺤﺖ‬ ‫ﯾﻜﻮن‬ ‫ﻋﻨﺪﻣﺎ‬ ‫ﯾﻜﻮن‬‫ﻣﻤﺎﺳﺎﺗﮫ‬ ‫ﻓﻮق‬ ‫ﯾﻜﻮن‬ ‫ﻋﻨﺪﻣﺎ‬ ‫ﻣﻘﻌﺮا‬ ‫اﻟﻤﻨﺤﻨﻲ‬. ‫اﻟﺴﺎﺑﻖ‬ ‫اﻟﺘﻌﺮﯾﻒ‬ ‫وﻣﻦ‬‫أن‬ ‫ﻧﺴﺘﻨﺘﺞ‬:1(‫ﻋﻨﺪﻣﺎ‬ ‫ﻣﺤﺪﺑﺔ‬ ‫اﻟﺪاﻟﺔ‬( )f x‫ﻣﺘﻨﺎﻗﺼﺔ‬( ) 0f x  2(‫ﻋﻨﺪﻣﺎ‬ ‫ﻣﻘﻌﺮة‬ ‫اﻟﺪاﻟﺔ‬( )f x‫ﻣﺘﺰاﯾﺪة‬( ) 0f x  ‫أن‬ ‫ﻧﺴﺘﻨﺞ‬ ‫اﻟﺴﺎﺑﻖ‬ ‫اﻟﺘﻌﺮﯾﻒ‬ ‫ﻣﻦ‬‫وﺗﻘﻌﺮ‬ ‫ﺗﺤﺪب‬ ‫ﺑﯿﻦ‬ ‫ﺗﻔﺼﻞ‬ ‫اﻻﻧﻘﻼب‬ ‫ﻧﻘﻄﺔ‬‫ﻣﺘﺘﺎﻟﯿﯿﻦ‬. ‫اﻟﺴﺎﺑﻖ‬ ‫اﻟﺘﻌﺮﯾﻒ‬ ‫وﻣﻦ‬‫أﯾﻀﺎ‬‫أن‬ ‫ﻧﺴﺘﻨﺞ‬‫ﺧﻼﻟﮭ‬ ‫أﺣﺪاھﻤﺎ‬ ‫ﻓﺘﺮﺗﯿﻦ‬ ‫ﺑﯿﻦ‬ ‫ﺗﻔﺼﻞ‬ ‫اﻻﻧﻘﻼب‬ ‫ﻧﻘﻄﺔ‬‫ﺎ‬( )f x ‫ﻣﻮﺟﺒﺔ‬‫ﺗﻜﻮ‬ ‫اﻟﺜﺎﻧﯿﺔ‬ ‫واﻟﻤﻨﻄﻘﺔ‬‫ن‬‫ﺧﻼﻟﮭﺎ‬( )f x‫ﺳﺎﻟﺒﺔ‬‫أن‬ ‫أي‬( ) 0f c ‫أو‬( )f c‫ﻣﻮﺟﻮدة‬ ‫ﻏﯿﺮ‬ y x ‫ﻣﺤﺪب‬ ‫ﻣﻨﺤﻨﻲ‬ ‫و‬‫ﻣﺘﺰاﯾﺪ‬ y x ‫ﻣﺤﺪب‬ ‫ﻣﻨﺤﻨﻲ‬ ‫و‬‫ﻣﺘﻨﺎﻗﺺ‬ y x ‫ﻣﻨﺤﻨﻲ‬‫ﻣﻘﻌﺮ‬ ‫وﻣﺘﻨﺎﻗﺺ‬ y x ‫ﻣﻨﺤﻨﻲ‬‫ﻣﻘﻌﺮ‬ ‫و‬‫ﻣﺘﺰاﯾﺪ‬ ‫ﺍﻻﻧﻘﻼﺏ‬ ‫ﻧﻘﻄﺔ‬)Inflection Point( ‫ﻛﺎن‬ ‫إذا‬ , ( )P c f c‫اﻟﺪاﻟﺔ‬ ‫ﻣﻨﺤﻨﻲ‬ ‫ﻋﻠﻰ‬ ‫ﻧﻘﻄﺔ‬( )y f x‫ﻟﻠﻨﻘﻄﺔ‬ ‫ﻓﯿﻘﺎل‬P‫إذا‬ ‫اﻧﻘﻼب‬ ‫ﻧﻘﻄﺔ‬ ‫أﻧﮭﺎ‬ ‫اﻟﺘﺎﻟﯿﯿﻦ‬ ‫اﻟﺸﺮﻃﯿﻦ‬ ‫ﺣﻘﻘﺖ‬: 1(f‫ﻋﻨﺪ‬ ‫ﻣﺴﺘﻤﺮة‬ ‫داﻟﺔ‬c. 2(‫ﻣﻔﺘﻮﺣﺔ‬ ‫ﻓﺘﺮة‬ ‫إﯾﺠﺎد‬ ‫أﻣﻜﻦ‬ ‫إذا‬( , )a b‫ﺿﻤﻦ‬( )D f‫اﻟﻨﻘﻄﺔ‬ ‫ﺗﺤﻮي‬ ‫اﻟﻔﺘﺮة‬ ‫وھﺬه‬c‫ﯾﻜﻮن‬ ‫ﺑﺤﯿﺚ‬ ‫اﻟﻔﺘﺮة‬ ‫ﻓﻲ‬ ‫ﻣﺤﺪﺑﺎ‬ ‫اﻟﻤﻨﺤﻨﻲ‬( , )a c‫اﻟﻔﺘﺮة‬ ‫ﻓﻲ‬ ‫وﻣﻘﻌﺮا‬( , )c b‫ﺑﺎﻟﻌﻜﺲ‬ ‫أو‬.
  • 135.
    ‫ﻛﺎ‬‫ﺍﻟﻨﺎﺻﺮﻱ‬ ‫ﻣﻮﺳﻰ‬ ‫ﻣﻞ‬135 ‫ﺍﻟﺘﺎﻟﻴﺔ‬‫ﻟﻠﺪﻭﺍﻝ‬‫ﺍﻟﺘﺎﻟﻴﺔ‬ ‫ﻟﻠﺪﻭﺍﻝ‬ ‫ﺃﻣﻜﻦ‬ ‫ﺇﻥ‬ ‫ﺍﻻﻧﻘﻼﺏ‬ ‫ﻭﻧﻘﻂ‬ ‫ﻭﺍﻟﺘﻘﻌﺮ‬ ‫ﺍﻟﺘﺤﺪﺏ‬ ‫ﻣﻨﺎﻃﻖ‬ ‫ﺟﺪ‬: ‫ﻣ‬‫ﺜﺎل‬1:3 4( ) 4f x x x  ‫اﻟﺤﻞ‬:3 4( ) 4f x x x  2 3 2( ) 12 4 ( ) 24 12f x x x f x x x       ‫ﻟﻼﻧﻘﻼب‬ ‫ﻣﺮﺷﺤﺔ‬0 12 (2 ) 0 , 2x x x x       ‫اﻟﻨﺎﺗﺠﺔ‬ ‫ﻟﻠﻨﻘﻂ‬ ‫ﻣﺠﺎورة‬ ‫ﻗﯿﻢ‬ ‫ﻧﺨﺘﺒﺮ‬ ‫ﺍﻟﺜﺎﻧﻴﺔ‬ ‫ﺑﺎﳌﺸﺘﻘﺔ‬ ‫ﻭﺑﺎﻟﺘﻌﻮﻳﺾ‬ ‫ﺟﻮار‬2‫اﻟﯿﻤﯿﻦ‬ ‫ﻣﻦ‬:(3) 12*4(2 3)f     ‫ﺟﻮار‬2‫وﺟﻮار‬ ‫اﻟﯿﺴﺎر‬ ‫ﻣﻦ‬0‫اﻟﯿﻤﯿﻦ‬ ‫ﻣﻦ‬:(1) 12*1(2 1)f     ‫ﺟﻮار‬0‫ﻣﻦ‬‫اﻟﯿﺴﺎر‬:( 1) 12*( 1)(2 1)f       f‫ﻣﺤﺪﺑﺔ‬‫ﻓﻲ‬: 1) : 2x x ‫و‬ 2) : 0x x  f‫اﻟﻤﻔﺘﻮﺣﺔ‬ ‫اﻟﻔﺘﺮة‬ ‫ﻓﻲ‬ ‫ﻣﻘﻌﺮة‬:(0,2) ‫اﻧﻘﻼب‬ ‫ﻧﻘﻄﺔ‬(0) 0 (0,0)f   ‫اﻧﻘﻼب‬ ‫ﻧﻘﻄﺔ‬(2) 16 (2,16)f   ‫ﻣﺜﺎل‬2:3 ( )f x x ‫اﻟﺤﻞ‬:3 32 5 1 2 ( ) ( ) 3 9 f x f x x x      (0)f ‫ﻣﻌﺮﻓﺔ‬ ‫ﻏﯿﺮ‬‫أ‬ ‫و‬‫ن‬0x ‫اﻧﻘﻼب‬ ‫ﻧﻘﻄﺔ‬ ‫ﺗﻜﻮن‬ ‫أن‬ ‫ﻣﺮﺷﺤﺔ‬ 0 2 ‫إﺷﺎرة‬( )f x ---- ------+ + + + + f‫ﻣﻘﻌﺮة‬f‫ﻣﺤﺪﺑﺔ‬ f‫ﻣﺤﺪﺑﺔ‬ 0 ‫إﺷﺎرة‬( )f x + + + ------ f‫ﻣﺤﺪﺑﺔ‬f‫ﻣﻘﻌﺮة‬
  • 136.
    ‫ﻛﺎ‬‫ﺍﻟﻨﺎﺻﺮﻱ‬ ‫ﻣﻮﺳﻰ‬ ‫ﻣﻞ‬136 f‫ﻣﺤﺪﺑﺔ‬‫ﻓﻲ‬:: 0x x  f‫ﻣﻘﻌﺮة‬‫ﻓﻲ‬: : 0x x  (0) 0f ،(0,0)‫اﻧﻘﻼب‬ ‫ﻧﻘﻄﺔ‬ ‫ﻣﺜﺎل‬3: 1 ( ) , 0f x x x x    ‫اﻟﺤﻞ‬:2 3 1 2 ( ) 1 ( )f x f x x x        (0)f ‫ﻣﻌﺮﻓﺔ‬ ‫ﻏﯿﺮ‬ f‫ﻣﺤﺪﺑﺔ‬‫ﻓﻲ‬: : 0x x   f‫ﻣﻘﻌﺮة‬‫ﻓﻲ‬: : 0x x   ‫ﻷن‬ ‫اﻧﻘﻼب‬ ‫ﻧﻘﻄﺔ‬ ‫ﺗﻮﺟﺪ‬ ‫ﻻ‬0‫اﻟﺪاﻟﺔ‬ ‫ﻟﻤﺠﺎل‬ ‫ﯾﻨﺘﻤﻲ‬ ‫ﻻ‬. ‫ﻣﺜﺎل‬4: 4 ( ) 4 ( 2)h x x   ‫اﻟﺤﻞ‬: 2 ( ) 12( 2)h x x   3 ( ) 4( 2)h x x    ‫ﻟﻼﻧﻘﻼب‬ ‫ﻣﺮﺷﺤﺔ‬ 2 0 12( 2) 2x x      ‫اﻟﺪاﻟﺔ‬h‫ﻣﺤﺪﺑﺔ‬‫ﻓﻲ‬:   1) : 2 , 2) : 2x x x x    ‫اﻟﺪاﻟﺔ‬ ‫ﻷن‬ ‫اﻧﻘﻼب‬ ‫ﻧﻘﻄﺔ‬ ‫ﺗﻮﺟﺪ‬ ‫ﻻ‬‫ﻓﻘﻂ‬ ‫ﻣﺤﺪﺑﺔ‬. 0 ‫إﺷﺎرة‬( )f x ---- + + + + + f‫ﻣﻘﻌﺮة‬f‫ﻣﺤﺪﺑﺔ‬  - 2 ‫إﺷﺎرة‬ ( )h x ------ h‫ﻣﺤﺪﺑﺔ‬h‫ﻣﺤﺪﺑﺔ‬ ---
  • 137.
    ‫ﻛﺎ‬‫ﺍﻟﻨﺎﺻﺮﻱ‬ ‫ﻣﻮﺳﻰ‬ ‫ﻣﻞ‬137 ‫ﻣﺜﺎل‬5: 2 () 3 2f x x x   ‫اﻟﺤﻞ‬:( ) 2 2 ( ) 2 0f x x f x         ‫ﻓﻲ‬ ‫ﻣﺤﺪﺑﺔ‬ ‫اﻟﺪاﻟﺔ‬‫اﻧﻘﻼب‬ ‫ﻧﻘﻄﺔ‬ ‫ﺗﻮﺟﺪ‬ ‫ﻻ‬ ‫ﻟﺬا‬. ‫ﻣﺜﺎل‬6: 4 2 ( ) 3 3f x x x   ‫اﻟﺤﻞ‬: 3 2 ( ) 4 6 ( ) 12 6 0f x x x f x x        ‫ﻓﻲ‬ ‫ﻣﻘﻌﺮة‬ ‫اﻟﺪاﻟﺔ‬‫اﻧﻘﻼب‬ ‫ﻧﻘﻄﺔ‬ ‫ﺗﻮﺟﺪ‬ ‫ﻻ‬ ‫ﻟﺬا‬. ‫اﻟﻨﮭﺎﯾﺔ‬‫اﻟﻤﺤﻠﯿﺔ‬ ‫اﻟﻘﺼﻮى‬)Local Extreme( ‫ﺑﺘﻌﺒﯿﺮ‬ ‫اﻟﻘﻮل‬ ‫ﯾﻤﻜﻦ‬ ‫أو‬‫آﺧﺮ‬: ‫ﺗﺴﻤﻰ‬( )f c‫ﺣﯿﺚ‬( )c D f‫ﻣﻔﺘﻮﺣﺔ‬ ‫ﻓﺘﺮة‬ ‫إﯾﺠﺎد‬ ‫أﻣﻜﻦ‬ ‫إذا‬( , )a b‫ﻋﻨﺪ‬ ‫ﻗﯿﻤﺔ‬ ‫أﻋﻈﻢ‬ ‫ﺗﺤﻮي‬c ‫ﻟـ‬ ‫ﻓﯿﻘﺎل‬( )f c‫ﻣﺤﻠﯿﺔ‬ ‫ﻋﻈﻤﻰ‬ ‫ﻧﮭﺎﯾﺔ‬ ‫أﻧﮭﺎ‬)Local Maximum( ‫و‬‫ﻣﻔﺘﻮﺣﺔ‬ ‫ﻓﺘﺮة‬ ‫إﯾﺠﺎد‬ ‫أﻣﻜﻦ‬ ‫إذا‬( , )a b‫أ‬ ‫ﺗﺤﻮي‬‫ﺻﻐﺮ‬‫ﻋﻨﺪ‬ ‫ﻗﯿﻤﺔ‬c‫ﻟـ‬ ‫ﻓﯿﻘﺎل‬( )f c‫ﺻﻐﺮى‬ ‫ﻧﮭﺎﯾﺔ‬ ‫أﻧﮭﺎ‬ ‫ﻣﺤﻠﯿﺔ‬)Local Minimum( ‫ﻋﻈﻤﻰ‬ ‫ﻣﺤﻠﯿﺔ‬ x y ‫ﻋﻈﻤﻰ‬ ‫ﻣﺤﻠﯿﺔ‬ ‫ﺻﻐﺮى‬ ‫ﻣﺤﻠﯿﺔ‬ ‫ﺻﻐﺮى‬ ‫ﻣﺤﻠﯿﺔ‬ ‫ﻋﻈﻤﻰ‬ ‫ﻣﺤﻠﯿﺔ‬ ‫ﺻﻐﺮى‬ ‫ﻣﺤﻠﯿﺔ‬ ‫ﺻﻐﺮى‬ ‫أو‬ ‫ﻣﺤﻠﯿﺔ‬ ‫ﻋﻈﻤﻰ‬ ‫ﻣﺤﻠﯿﺔ‬ ‫ﺗﻌﺮﯾﻒ‬:1(‫ﺗﺴﻤﻰ‬( )f c‫ﺣﯿﺚ‬( )c D f‫ﻣﺤﻠﯿﺔ‬ ‫ﻋﻈﻤﻰ‬ ‫ﻧﮭﺎﯾﺔ‬)Local Maximum(‫إذا‬ ‫ﻣﻔﺘﻮﺣﺔ‬ ‫ﻓﺘﺮة‬ ‫إﯾﺠﺎد‬ ‫أﻣﻜﻦ‬( , )a b‫أن‬ ‫و‬( , )c a b‫أن‬ ‫ﺑﺤﯿﺚ‬:( ) ( )f x f c ‫ﻗﯿﻢ‬ ‫ﻟﺠﻤﯿﻊ‬( , )x a b 2(‫ﺗﺴﻤﻰ‬( )f c‫ﺣﯿﺚ‬( )c D f‫ﻣﺤﻠﯿﺔ‬ ‫ﺻﻐﺮى‬ ‫ﻧﮭﺎﯾﺔ‬)Local Minimum(‫أﻣﻜﻦ‬ ‫إذا‬ ‫ﻣﻔﺘﻮﺣﺔ‬ ‫ﻓﺘﺮة‬ ‫إﯾﺠﺎد‬( , )a b‫أن‬ ‫و‬( , )c a b‫أن‬ ‫ﺑﺤﯿﺚ‬:( ) ( )f x f c ‫ﻗﯿﻢ‬ ‫ﻟﺠﻤﯿﻊ‬( , )x a b
  • 138.
    ‫ﻛﺎ‬‫ﺍﻟﻨﺎﺻﺮﻱ‬ ‫ﻣﻮﺳﻰ‬ ‫ﻣﻞ‬138 ‫ﻣﻼﺣﻈﺔ‬:‫ﺣﺮﺟﺔ‬‫ﻧﻘﻄﺔ‬ ‫ھﻲ‬ ‫ﻣﺤﻠﯿﺔ‬ ‫ﻧﮭﺎﯾﺔ‬ ‫ﻧﻘﻄﺔ‬ ‫ﻛﻞ‬. ‫ﻣﺒﺮھﻨﺔ‬ ‫ﻟﺘﻜﻦ‬f‫اﻟﻔﺘﺮة‬ ‫ﻓﻲ‬ ‫ﻣﺴﺘﻤﺮة‬ ‫داﻟﺔ‬ ,a b‫اﻟﻔﺘﺮة‬ ‫ﻓﻲ‬ ‫ﻟﻼﺷﺘﻘﺎق‬ ‫وﻗﺎﺑﻠﺔ‬( , )a b‫ﻛﺎﻧﺖ‬ ‫ﻓﺈذا‬ ،: 1(( ) 0f x ‫ﻟﻜﻞ‬x‫اﻟﻔﺘﺮة‬ ‫ﻓﻲ‬( , )a c;( ) 0f x ‫ﻟﻜﻞ‬x‫اﻟﻔﺘﺮة‬ ‫ﻓﻲ‬( , )c b، ‫ﻓﺈن‬( )f c‫ﻋﻨﺪ‬ ‫ﻣﺤﻠﯿﺔ‬ ‫ﻋﻈﻤﻰ‬ ‫ﻧﮭﺎﯾﺔ‬ ‫ﺗﻤﺜﻞ‬c. 2(( ) 0f x ‫ﻟﻜﻞ‬x‫اﻟﻔﺘﺮة‬ ‫ﻓﻲ‬( , )a c;( ) 0f x ‫ﻟﻜﻞ‬x‫اﻟﻔﺘﺮة‬ ‫ﻓﻲ‬( , )c b، ‫ﻓﺈن‬( )f c‫ﻋﻨﺪ‬ ‫ﻣﺤﻠﯿﺔ‬ ‫ﺻﻐﺮى‬ ‫ﻧﮭﺎﯾﺔ‬ ‫ﺗﻤﺜﻞ‬c. ba ‫ﻣﺤﻠﯿﺔ‬ ‫ﻋﻈﻤﻰ‬ ‫ﻧﮭﺎﯾﺔ‬=( )f c=‫ﺻﺎﺩﻱ‬ ‫ﺍﺣﺪﺍﺛﻲ‬ -----+++++
  • 139.
    ‫ﻛﺎ‬‫ﺍﻟﻨﺎﺻﺮﻱ‬ ‫ﻣﻮﺳﻰ‬ ‫ﻣﻞ‬139 ‫ﺍﻷﻣﺜﻠﺔ‬‫ﰲ‬‫ﺍﻟﺘﺎﻟﻴﺔ‬‫ﺍﻟﺪﻭﺍﻝ‬ ‫ﺍﺭﺳﻢ‬‫ﺍﳌ‬‫ﻌﻄﺎﺓ‬‫ﺍﻟﻨﻬﺎﻳﺎﺕ‬ ‫ﻧﻘﺎﻁ‬ ، ‫ﻭﺍﻟﺘﻨﺎﻗﺺ‬ ‫ﺍﻟﺘﺰﺍﻳﺪ‬ ‫ﻣﻨﺎﻃﻖ‬ ‫ﺇﳚﺎﺩ‬ ‫ﺑﻌﺪ‬ ‫ﺍﶈ‬‫ﺍﻻﻧﻘﻼﺏ‬ ‫ﻧﻘﻂ‬ ‫ﺛﻢ‬ ، ‫ﻭﺍﻟﺘﻘﻌﺮ‬ ‫ﺍﻟﺘﺤﺪﺏ‬ ‫ﻣﻨﺎﻃﻖ‬ ، ‫ﻠﻴﺔ‬. ‫ﻣﺜﺎل‬1: 5 ( ) (2 )f x x  ‫اﻟﺤﻞ‬: 4 ( ) 5(2 )f x x   ‫ﺣﺮﺟﺔ‬ ‫ﻧﻘﻄﺔ‬ 4 0 5(2 ) 2x x     f‫ﻣﺘﻨﺎﻗﺼﺔ‬2x ;2x  ‫ﻓﻘﻂ‬ ‫ﻣﺘﻨﺎﻗﺼﺔ‬ ‫اﻟﺪاﻟﺔ‬ ‫ﻷن‬ ‫ﻣﺤﻠﯿﺔ‬ ‫ﻧﮭﺎﯾﺔ‬ ‫ﺗﻮﺟﺪ‬ ‫ﻻ‬. 3 ( ) 20(2 )f x x   ‫ﻟﻼﻧﻘﻼب‬ ‫ﻣﺮﺷﺤﺔ‬ 3 0 20(2 ) 2x x    f‫ﻣﻘﻌﺮة‬‫ﻓﻲ‬ : 2x x ;f‫ﻣﺤﺪﺑﺔ‬‫ﻓﻲ‬2x  ‫اﻧﻘﻼب‬ ‫ﻧﻘﻄﺔ‬5 (2) (2 2) 0 ; (2,0)f    ‫ﻣﺜﺎل‬2:3 ( ) 3f x x x  2 ‫ـــــــــــــــــــــــــــــ‬•‫ــــــــــــــــــــــــــــــ‬‫إ‬‫ﺷﺎرة‬( )f x --------------- 2 ‫ـــــــــــــــــــــــــــــ‬•‫ــــــــــــــــــــــــــــــ‬‫اﺷﺎرة‬( )f x -----+ + + + y x
  • 140.
    ‫ﻛﺎ‬‫ﺍﻟﻨﺎﺻﺮﻱ‬ ‫ﻣﻮﺳﻰ‬ ‫ﻣﻞ‬140 ‫اﻟﺤﻞ‬: 2 () 3 3f x x   ‫ﺣﺮﺟﺘﺎن‬ ‫ﻧﻘﻄﺘﺎن‬2 2 0 3 3 0 3(1 1)x x x       f‫ﻣﺘﻨﺎﻗﺼﺔ‬‫ﻓﻲ‬:   1) : 1 , : 1x x x x      f‫ﻣﺘﺰاﯾﺪ‬‫ة‬‫اﻟﻤﻔﺘﻮﺣﺔ‬ ‫اﻟﻔﺘﺮة‬ ‫ﻓﻲ‬:( 1 , 1) ( 1) 3 1 2f      2=‫ﻣﺤﻠ‬ ‫ﺻﻐﺮى‬ ‫ﻧﮭﺎﯾﺔ‬‫ﯿ‬‫ﺔ‬ ( 1, 2)  ‫ﻧﻘ‬ ‫وھﻲ‬ ‫ﻣﺤﻠﯿﺔ‬ ‫ﺻﻐﺮى‬ ‫ﻧﮭﺎﯾﺔ‬ ‫ﻧﻘﻄﺔ‬ ‫ھﻲ‬‫ﺣﺮﺟﺔ‬ ‫ﻄﺔ‬ (1) 3 1 2f   2=‫ﻣﺤﻠ‬ ‫ﻋﻈﻤﻰ‬ ‫ﻧﮭﺎﯾﺔ‬‫ﯿ‬‫ﺔ‬ (1, 2) ‫ﺣﺮﺟﺔ‬ ‫ﻧﻘﻄﺔ‬ ‫وھﻲ‬ ‫ﻣﺤﻠﯿﺔ‬ ‫ﻋﻈﻤﻰ‬ ‫ﻧﮭﺎﯾﺔ‬ ‫ﻧﻘﻄﺔ‬ ‫ھﻲ‬ ( ) 6f x x   0x 0 6x  f‫ﻣﺤﺪﺑﺔ‬‫ﻓﻲ‬ | 0x x ;f‫ﻣﻘﻌﺮة‬‫ﻓﻲ‬ | 0x x  (0) 0 (3)(0) 0 (0, 0 )inff lection       . -1 1 ‫إﺷﺎرة‬( )f x ---- ------+ + + + + f‫ﻣ‬‫ﺘﺰاﯾﺪة‬f‫ﻣﺘﻨﺎﻗﺼﺔ‬ f‫ﻣﺘﻨﺎﻗﺼﺔ‬ 0 ‫إﺷﺎرة‬( )f x + + + ------ f‫ﻣ‬‫ﺤﺪﺑﺔ‬f‫ﻣ‬‫ﻘﻌﺮة‬
  • 141.
    ‫ﻛﺎ‬‫ﺍﻟﻨﺎﺻﺮﻱ‬ ‫ﻣﻮﺳﻰ‬ ‫ﻣﻞ‬141 ‫ﻣﺜﺎل‬3: 42 ( ) 3 2f x x x   ‫اﻟﺤﻞ‬: 3 ( ) 4 6f x x x   ‫ﺣﺮﺟﺔ‬ ‫ﻧﻘﻄﺔ‬0x 2 0 (4 6)x x  f‫ﻣﺘﺰاﯾﺪة‬0x ;f‫ﻣﺘﻨﺎﻗﺼﺔ‬0x  2=‫ﻣﺤﻠﯿﺔ‬ ‫ﺻﻐﺮى‬ ‫ﻧﮭﺎﯾﺔ‬(0) 0 0 2 2f      (0, 2) ‫ﺣﺮﺟﺔ‬ ‫ﻧﻘﻄﺔ‬ ‫وھﻲ‬ ‫ﻣﺤﻠﯿﺔ‬ ‫ﺻﻐﺮى‬ ‫ﻧﮭﺎﯾﺔ‬ ‫ﻧﻘﻄﺔ‬ ‫ھﻲ‬ ‫ﻣﻮﺟﺐ‬ ‫ﻋﺪد‬ ‫ﻣﺮﺑﻌﯿﻦ‬ ‫ﻣﺠﻤﻮع‬ 2 ( ) 12 6 0f x x    f‫ﻓﻲ‬ ‫ﻣﻘﻌﺮة‬‫اﻧﻘﻼب‬ ‫ﻧﻘﻄﺔ‬ ‫ﺗﻮﺟﺪ‬ ‫ﻻ‬ ‫ﻟﺬا‬ ‫ﻣﺜﺎل‬4: 4 2 ( ) 8 2f x x x   ‫اﻟﺤﻞ‬: 3 ( ) 4 16f x x x   ‫ﻧﻘﻂ‬‫ﺣﺮﺟﺔ‬ 2 0 4 ( 4) 0 ; 2; 2x x x x x       0 2 ‫إﺷﺎرة‬  f x --- + + + + + 2 + + + --- 0 ‫إﺷﺎرة‬( )f x + + +----
  • 142.
    ‫ﻛﺎ‬‫ﺍﻟﻨﺎﺻﺮﻱ‬ ‫ﻣﻮﺳﻰ‬ ‫ﻣﻞ‬142 f‫ﻣﺘ‬‫ﻨﺎﻗﺼﺔ‬1) (0 , 2) , 2) | 2x x x      f‫ﻣﺘﺰاﯾﺪة‬ 1) ( 2 , 0) , 2) : 2x x x    ‫ﻣﺤﻠﯿﺔ‬ ‫ﺻﻐﺮى‬ ‫ﻧﮭﺎﯾﺔ‬= 4 2 (2) 2 (8)2 2 18f      ‫ﻣﺤﻠﯿﺔ‬ ‫ﺻﻐﺮى‬ ‫ﻧﮭﺎﯾﺔ‬=( 2) 16 32 2 18f       ‫ﻣﺤﻠﯿﺔ‬ ‫ﻋﻈﻤﻰ‬ ‫ﻧﮭﺎﯾﺔ‬=(0) 0 0 2 2f      (2, 18) ‫ﺣﺮﺟﺔ‬ ‫ﻧﻘﻄﺔ‬ ‫وھﻲ‬ ‫ﻣﺤﻠﯿﺔ‬ ‫ﺻﻐﺮى‬ ‫ﻧﮭﺎﯾﺔ‬ ‫ﻧﻘﻄﺔ‬. ( 2, 18)  ‫ﺻﻐ‬ ‫ﻧﮭﺎﯾﺔ‬ ‫ﻧﻘﻄﺔ‬‫ﺣﺮﺟﺔ‬ ‫ﻧﻘﻄﺔ‬ ‫وھﻲ‬ ‫ﻣﺤﻠﯿﺔ‬ ‫ﺮى‬. ( 0, 2) ‫ﺣﺮﺟﺔ‬ ‫ﻧﻘﻄﺔ‬ ‫وھﻲ‬ ‫ﻣﺤﻠﯿﺔ‬ ‫ﻋﻈﻤﻰ‬ ‫ﻧﮭﺎﯾﺔ‬ ‫ﻧﻘﻄﺔ‬. 2 ( ) 12 16f x x   ‫ﻟﻼﻧﻘﻼب‬ ‫ﻣﺮﺷﺤﺘﺎن‬ ‫ﻧﻘﻄﺘﺎن‬ 2 2 0 4(3 4) 3 x x     f‫ﻣﻘﻌﺮة‬: 2 1) 3 x ‫و‬ 2 2) 3 x   f‫ﻣﺤﺪﺑﺔ‬‫اﻟﻤﻔﺘﻮﺣﺔ‬ ‫اﻟﻔﺘﺮة‬ ‫ﻓﻲ‬: 2 2 ( , ) 3 3  2 16 32 86 ( ) 2 9 3 93 f      2 86 ( , ) 93 =‫اﻧﻘﻼب‬ ‫ﻧﻘﻄﺔ‬ 2 16 32 86 ( ) 2 9 3 93 f       2 86 ( , ) 93  =‫اﻧﻘﻼب‬ ‫ﻧﻘﻄﺔ‬ ‫ﻣﺜﺎل‬5: 2 ( ) 3 2f x x x   2 3  2 3 ‫إﺷﺎرة‬ ( )f x + ++ + + +------ f‫ﻣ‬‫ﺤﺪﺑﺔ‬f‫ﻣ‬‫ﻘﻌﺮة‬ f‫ﻣ‬‫ﻘﻌﺮة‬
  • 143.
    ‫ﻛﺎ‬‫ﺍﻟﻨﺎﺻﺮﻱ‬ ‫ﻣﻮﺳﻰ‬ ‫ﻣﻞ‬143 ‫اﻟﺤﻞ‬: () 2 2f x x    ‫ﺣﺮﺟﺔ‬ ‫ﻧﻘﻄﺔ‬0 2 2 1x x      f‫ﻣﺘﺰاﯾﺪة‬1x  ;f‫ﻣﺘﻨﺎﻗﺼﺔ‬1x   ‫ﻣﺤﻠﯿﺔ‬ ‫ﻋﻈﻤﻰ‬ ‫ﻧﮭﺎﯾﺔ‬( 1) 3 2 1 4f       ( 1,4) ‫ﻣﺤﻠﯿﺔ‬ ‫ﻋﻈﻤﻰ‬ ‫ﻧﮭﺎﯾﺔ‬ ‫ﻧﻘﻄﺔ‬ f‫ﻓﻲ‬ ‫ﻣﺤﺪﺑﺔ‬‫اﻧﻘﻼب‬ ‫ﻧﻘﻄﺔ‬ ‫ﺗﻮﺟﺪ‬ ‫ﻻ‬ ‫ﻟﺬا‬( ) 2 0f x     1 ‫ـــــــــــــــــــــــــــــ‬•‫ـــــــــ‬‫ـــــــــــــــــــــ‬ f x -------+ + + +
  • 144.
    144 ‫ﻃﺮﻳﻘﺔ‬‫ﻓﺤﺺ‬‫ﺍﻟﻨﻬﺎﻳﺎ‬‫ﺕ‬‫ﺍﶈﻠﻴﺔ‬‫ﺑ‬‫ﺍﻟﺜﺎﻧﻴﺔ‬ ‫ﺎﳌﺸﺘﻘﺔ‬)Second DerivativeTest( ‫ﻣﺜﺎل‬1:‫ﻟﻠﺪوال‬ ‫اﻟﻤﺤﻠﯿﺔ‬ ‫اﻟﻨﮭﺎﯾﺎت‬ ‫ﺟﺪ‬ ‫اﻟﺜﺎﻧﯿﺔ‬ ‫اﻟﻤﺸﺘﻘﺔ‬ ‫ﺑﺎﺳﺘﺨﺪام‬: 2 ) ( ) 6 3 1a f x x x    ‫اﻟﺤﻞ‬: ( ) 6 6f x x   0 6 6 1x x ‫ﺔ‬ ‫ﺣﺮﺟ‬    ( ) 6 (1) 6 0f x f       ‫أﺻﺒﺢ‬:(1) 0f  ‫و‬(1) 0f  ‫اﻟـ‬ ‫ﻋﻨﺪ‬ ‫ﻣﺤﻠﯿﺔ‬ ‫ﻋﻈﻤﻰ‬ ‫ﻧﮭﺎﯾﺔ‬ ‫ﺗﻮﺟﺪ‬1 (1) 6 3 1 2f ‫ﺔ‬ ‫ﻧﮭﺎﯾﺔﻋﻈﻤىﻤﺤﻠﯿ‬     2 4 ) ( ) , 0b f x x x x     3 8 ( ) 1 ,f x x    ‫اﻟﺤﺮﺟﺔ‬ ‫اﻟﻨﻘﻄﺔ‬ 3 3 3 2 8 8 0 1 1 8x x x x          4 24 ( ) ,f x x    24 ( 2) 0 , 16 f      ‫أﺻﺒﺢ‬:( 2) 0f   ‫و‬( 2) 0f   ‫اﻟـ‬ ‫ﻋﻨﺪ‬ ‫ﻣﺤﻠﯿﺔ‬ ‫ﻋﻈﻤﻰ‬ ‫ﻧﮭﺎﯾﺔ‬ ‫ﺗﻮﺟﺪ‬2 ‫ﻣﺒﺮھﻨﺔ‬:‫ﻛﺎﻧﺖ‬ ‫إذا‬;f f ‫ﻟﻼﺷﺘﻘﺎق‬ ‫ﻗﺎﺑﻠﺘﯿﻦ‬‫ﻓﻲ‬( , )a b‫وﻛﺎن‬( , )c a b  ‫وأن‬ ،( ) 0f c  ‫و‬‫ﻛﺎﻧﺖ‬: 1(( ) 0f c ‫ﻓﺎن‬( )f c‫ﻟﻠﺪاﻟﺔ‬ ‫ﻣﺤﻠﯿﺔ‬ ‫ﻋﻈﻤﻰ‬ ‫ﻧﮭﺎﯾﺔ‬ ‫ﺗﻤﺜﻞ‬f. 2(( ) 0f c ‫ﻓﺎن‬( )f c‫ﻟﻠﺪاﻟﺔ‬ ‫ﻣﺤﻠﯿﺔ‬ ‫ﺻﻐﺮى‬ ‫ﻧﮭﺎﯾﺔ‬ ‫ﺗﻤﺜﻞ‬f.
  • 145.
    145 ( 2) 21 3f ‫ﺔ‬ ‫ﻧﮭﺎﯾﺔﻋﻈﻤىﻤﺤﻠﯿ‬       3 2 ) ( ) 3 9b f x x x x    ‫اﻟﺤﻞ‬: 2 ( ) 3 6 9f x x x    2 0 3( 2 3) 0 3( 3) ( 1) 3 1 x x x x x or x ‫ﺎن‬ ‫ﺣﺮﺟﺘ‬            ( ) 6 6f x x   ‫ﻋﻨﺪﻣﺎ‬3x  ‫ﻣﺤﻠﯿﺔ‬ ‫ﺻﻐﺮى‬ ‫ﻧﮭﺎﯾﺔ‬(3) 18 6 12 0 (3) 27 27 27 27f f            ‫ﻋﻨﺪﻣﺎ‬1x   ‫ﻣﺤﻠﯿﺔ‬ ‫ﻋﻈﻤﻰ‬ ‫ﻧﮭﺎﯾﺔ‬( 1) 6 6 12 0 ( 1) 5f f            4 ( ) ( ) 4 ( 1)c f x x    ‫اﻟﺤﻞ‬: 3 ( ) 4( 1)f x x    3 0 4( 1) 1x x ‫ﺔ‬ ‫ﺣﺮﺟ‬     2 ( ) 12( 1)f x x    ‫اﻷوﻟﻰ‬ ‫اﻟﻤﺸﺘﻘﺔ‬ ‫أﻋﺪاد‬ ‫ﺧﻂ‬ ‫ﻟﻄﺮﯾﻘﺔ‬ ‫ﻧﺮﺟﻊ‬ ‫ﻓﺎﺷﻠﺔ‬ ‫اﻟﻄﺮﯾﻘﺔ‬ ‫ھﺬه‬( 1) 0f     3 ( ) 4( 1)f x x    ‫ﻧﮭﺎﯾﺔ‬‫ﻣﺤﻠﯿﺔ‬ ‫ﻋﻈﻤﻰ‬ 4 ( 1) 4 ( 1 1) 4f        -1 ‫ـــــــــــــــــــــــــــــــــــــــ‬( )f x -----+ + +
  • 146.
    146 ‫ﻭﺍﻻ‬ ‫ﺍﶈﻠﻴﺔ‬ ‫ﻟﻠﻨﻬﺎﻳﺎﺕ‬‫ﺍﻟﺜﻮﺍﺑﺖ‬‫ﻭ‬ ‫ﻧﻘﻼﺏ‬... ‫ﻣﺜﻼ‬:1(‫ﻟﻠﺪاﻟﺔ‬ ‫ﻛﺎن‬ ‫إذا‬f‫ﻋﻨﺪ‬ ‫ﻣﺤﻠﯿﺔ‬ ‫ﻋﻈﻤﻰ‬ ‫ﻧﮭﺎﯾﺔ‬ ‫ﻧﻘﻄﺔ‬x = 1‫ﻋﻨﺪ‬ ‫ﻣﺤﻠﯿﺔ‬ ‫ﺻﻐﺮى‬ ‫ﻧﮭﺎﯾﺔ‬ ‫وﻧﻘﻄﺔ‬x = -2 2(‫ﻟﻠﺪاﻟﺔ‬ ‫ﻛﺎن‬ ‫إذا‬f‫ھﻲ‬ ‫ﻣﺤﻠﯿﺔ‬ ‫ﻋﻈﻤﻰ‬ ‫ﻧﮭﺎﯾﺔ‬ ‫ﻧﻘﻄﺔ‬ 1, 5،.............. 3(‫ﻟﻠﺪاﻟﺔ‬ ‫ﻛﺎن‬ ‫إذا‬f‫ھﻲ‬ ‫اﻧﻘﻼب‬ ‫ﻧﻘﻄﺔ‬ 1, 5،.............. 4(‫ﻛﺎﻧﺖ‬ ‫إذا‬ 1, 5‫اﻟﺪاﻟﺔ‬ ‫ﻟﻤﻨﺤﻨﻲ‬ ‫اﻟﻤﻤﺎس‬ ‫ﻋﻨﺪھﺎ‬ ‫ﻧﻘﻄﺔ‬ ‫ھﻲ‬f،‫اﻟﺴﯿﻨﺎت‬ ‫ﻣﺤﻮر‬ ‫ﯾﻮازي‬.............. 5(‫ﻟﻠﺪاﻟﺔ‬ ‫ﻛﺎن‬ ‫إذا‬f‫ﻋﻨﺪ‬ ‫ﻣﺤﻠﯿﺔ‬ ‫ﺻﻐﺮى‬ ‫ﻧﮭﺎﯾﺔ‬x = 1‫ﻋﻨﺪ‬ ‫اﻧﻘﻼب‬ ‫وﻧﻘﻄﺔ‬x = -2،...... ‫ﺍﳌﻌﻄﻴﺎﺕ‬ ‫ﺭﻗﻢ‬ ‫ﺍﻟﺘﻄﺒﻴﻖ‬ ‫ﺍﳊﻞ‬ ‫ﺗﻨﻔﻴﺬ‬ ‫ﻃﺮﻳﻘﺔ‬ ‫ﻟﻨﻘﻄﺔ‬ ‫ﻣﺮﺗﺐ‬ ‫زوج‬ ‫ﻣﻮﺟﻮد‬:‫أو‬ ‫ﻣﺤﻠﯿﺔ‬ ‫ﻧﮭﺎﯾﺔ‬ ‫ﺗﻤﺎس‬ ‫أو‬ ‫اﻧﻘﻼب‬ ‫أو‬ ‫ﺣﺮﺟﺔ‬1 ‫اﻟﻤﻌﺎدﻟﺔ‬ ‫ﺗﺤﻘﻖ‬ ‫اﻟﻨﻘﻄﺔ‬ ‫أن‬ ‫ﺗﻨﺲ‬ ‫وﻻ‬( )f x y ‫اﻟﺴﯿﻨﻲ‬ ‫اﻻﺣﺪاﺛﻲ‬ ‫ﻣﻮﺟﻮد‬ x k: ‫ا‬ ‫ﻟﻨﻘﻄﺔ‬‫اﻟﺤﺮﺟﺔ‬ ‫أو‬ ‫اﻟﻤﺤﻠﯿﺔ‬ ‫ﻟﻨﮭﺎﯾﺔ‬ 2 1(‫ﻧﺠﺪ‬ f x 2(‫ﻧﺠﺪ‬ f k 3(‫ﻧﺠﻌﻞ‬  0f k  ‫اﻟﺴﯿﻨﻲ‬ ‫اﻻﺣﺪاﺛﻲ‬ ‫ﻣﻮﺟﻮد‬ x h: ‫اﻻﻧﻘﻼب‬ ‫ﻟﻨﻘﻄﺔ‬ 3 1(‫ﻧﺠﺪ‬ f x 2(‫ﻧﺠﺪ‬ f h 3(‫ﻧﺠﻌﻞ‬  0f h  ‫ﻣﻮﺟﻮدة‬‫اﻟﻤﺤﻠﯿﺔ‬ ‫اﻟﻨﮭﺎﯾﺔ‬:‫ﻣﻮﺟﻮد‬ ‫أي‬ ‫اﻟﺼﺎدي‬ ‫اﻻﺣﺪاﺛﻲ‬ ‫ﺗﻜﻮن‬ ‫أن‬ ‫وﯾﺸﺘﺮط‬x‫ﻣﺠﮭﻮﻟﺔ‬ 4 ‫اﻋﺘﯿﺎد‬ ‫ﯾﺤﻞ‬‫أﻋﺪاد‬ ‫ﺧﻂ‬ ‫إﺷﺎرات‬ ‫ﺑﺎﺳﺘﺨﺪام‬ ‫ي‬ ‫ﻋﻦ‬ ‫ﻟﻠﺒﺤﺚ‬ ‫اﻷوﻟﻰ‬ ‫اﻟﻤﺸﺘﻘﺔ‬x‫اﻟﻤﻨﺎﺳﺒﺔ‬ ‫ﻟـ‬y‫اﻟﻤﻌﻄﻰ‬ ‫أو‬ ‫اﻟﻤﻤﺎس‬ ‫ﻣﻌﺎدﻟﺔ‬ ‫ﻣﻮﺟﻮدة‬ ‫أو‬ ‫اﻟﻤﻤﺎس‬ ‫ﻣﯿﻞ‬ ‫ﻣﻮﺟﻮد‬ ‫ﻣﻌﺎدﻟﺘﻲ‬ ‫ﻣﻮﺟﻮدة‬‫اﻟﻤﻨﺤﻨﯿﯿﻦ‬ 5 ‫ﻧﻄﺒﻖ‬:‫ﻧﻘﻄﺔ‬ ‫ﻓﻲ‬ ‫ﻣﺘﺴﺎوﯾﺎن‬ ‫اﻟﻤﯿﻼن‬ ‫اﻟﺘﻤﺎس‬ ‫أي‬:‫اﻻول‬ ‫ﻣﯿﻞ‬=‫اﻟﺜﺎﻧﻲ‬ ‫ﻣﯿﻞ‬
  • 147.
    147 6(‫ﻟﻠﺪاﻟﺔ‬ ‫ﻛﺎن‬ ‫إذا‬f‫ﻣﺤﻠ‬‫ﻋﻈﻤﻰ‬ ‫ﻧﮭﺎﯾﺔ‬ ‫ﻧﻘﻄﺔ‬‫اﻟﺴﯿﻨﺎت‬ ‫ﻟﻤﺤﻮر‬ ‫ﺗﻨﺘﻤﻲ‬ ‫ﯿﺔ‬............ 7(‫ﻟﻠﺪاﻟﺔ‬ ‫ﻛﺎن‬ ‫إذا‬f‫اﻟﺼﺎدات‬ ‫ﻟﻤﺤﻮر‬ ‫ﺗﻨﺘﻤﻲ‬ ‫ﻣﺤﻠﯿﺔ‬ ‫ﻋﻈﻤﻰ‬ ‫ﻧﮭﺎﯾﺔ‬ ‫ﻧﻘﻄﺔ‬............ 8(‫ﻟﻠﺪاﻟﺔ‬ ‫ﻛﺎن‬ ‫إذا‬f‫ﻣﺤﺪﺑﺔ‬> 1x‫وﻣﻘﻌﺮة‬< 1x‫ﻋﻨﺪ‬ ‫وﻣﺴﺘﻤﺮة‬x = 1،... 9(‫اﻟﻤﺴﺘﻘﯿﻢ‬ ‫ﻛﺎن‬ ‫إذا‬12 x - y – 11= 0‫ﻟﻠﺪاﻟﺔ‬ ‫ﻟﻤﻨﺤﻨﻲ‬ ‫ﻣﻤﺎﺳﺎ‬f‫ھﻲ‬ ‫اﻧﻘﻼب‬ ‫ﻧﻘﻄﺔ‬ ‫ﻓﻲ‬ 1, 5..... 10(‫اﻟﺪاﻟﺔ‬ ‫ﻟﻤﻨﺤﻨﻲ‬ ‫اﻟﻤﻤﺎس‬ ‫ﻣﯿﻞ‬ ‫ﻛﺎن‬ ‫إذا‬f‫اﻟﻨﻘﻄﺔ‬ ‫ﻓﻲ‬ 1, 5‫ﯾﺴﺎوي‬– 12..... 11(‫ﻛﺎن‬ ‫إذا‬11‫اﻟﺪاﻟﺔ‬ ‫ﻟﻤﻨﺤﻨﻲ‬ ‫اﻟﻤﺤﻠﯿﺔ‬ ‫اﻟﺼﻐﺮى‬ ‫اﻟﻨﮭﺎﯾﺔ‬ ‫ﺗﺴﺎوي‬f.... 12(‫اﻟﻨﻘﻄﺔ‬ ‫ﻛﺎﻧﺖ‬ ‫إذا‬ , 5b‫اﻟﺪاﻟﺔ‬ ‫ﻟﻤﻨﺤﻨﻲ‬ ‫ﻣﺤﻠﯿﺔ‬ ‫ﻋﻈﻤﻰ‬ ‫ﻧﮭﺎﯾﺔ‬ ‫ﻧﻘﻄﺔ‬ ‫ھﻲ‬f........... ALNASSIRY ‫ﻋﻨﺪ‬ ‫اﻟﻤﻤﺎس‬ ‫ﻣﯿﻞ‬ ‫ﺟﺪ‬x = -1‫ﯾﻠﻲ‬ ‫ﻣﻤﺎ‬ ‫ﻟﻜﻞ‬:  3 1 ( ) 8 5f x x x   ‫اﻟﺤﻞ‬:2 ( ) 3 8 ( 1) = 3 - 8 = -5 = mf x x f       6 2 ( ) ; x 1 1 f x x    ‫اﻟﺤﻞ‬:     22 2 6 6 3 ( ) ( 1) = - = m 21 1 1 f x f x           3 x + 3y + 5 = 0 ‫اﻟﺤﻞ‬:    3 1 x + 3y + 5 = 0 1 3 0 3 dy dyd d m dx dx dx dx        ‫ﻣﺜﺎل‬2:‫اﻟﻨﻘﻄﺔ‬ ‫ﻛﺎﻧﺖ‬ ‫إذا‬( 1,5)‫اﻟﺪاﻟﺔ‬ ‫ﻟﻤﻨﺤﻨﻲ‬ ‫ﺣﺮﺟﺔ‬ ‫ﻧﻘﻄﺔ‬ ‫ھﻲ‬ 3 2 ( )f x ax bx cx  ‫وﻟﻠﺪاﻟﺔ‬ ‫ﻋﻨﺪ‬ ‫اﻧﻘﻼب‬ ‫ﻧﻘﻄﺔ‬1x ‫ﻓﺠﺪ‬‫اﻟﺜﻮاﺑﺖ‬ ‫ﻗﯿﻤﺔ‬, ,a b c‫اﻟﺤﺮﺟﺔ‬ ‫اﻟﻨﻘﻄﺔ‬ ‫ﻧﻮع‬ ‫ﺑﯿﻦ‬ ‫ﺛﻢ‬. ‫اﻟﺤﻞ‬:( 1,5)‫ﺣﺮﺟﺔ‬ ‫ﻧﻘﻄﺔ‬1) ( 1) 5 ; 2) ( 1) 0f f     1) ( 1) 5 5.........(1)f a b c      2 ( ) 3 2f x ax bx c    2) ( 1) 0 ( 1) 3 2f f a b c        0 3 2a b c   
  • 148.
    148 ‫ﻋﻨﺪ‬1‫اﻧﻘﻼب‬ ‫ﻧﻘﻄﺔ‬ ‫ﺗﻮﺟﺪ‬(1)0f   ( ) 6 2 (1) 6 2 0 6 2 ...............(3) f x ax b f a b a b         ‫آﻧﯿﺎ‬ ‫اﻟﺜﻼث‬ ‫اﻟﻤﻌﺎدﻻت‬ ‫ﺗﺤﻞ‬:0 3 2a b c    5 .........(1)a b c    ‫ـــــــــــــ‬‫ــــــــــــــــــــــــــــــــــــــــــــ‬ 5 2 .........(4)a b  ‫ﻋﻠﻰ‬ ‫اﻟﻤﻌﺎدﻟﺔ‬ ‫ﻃﺮﻓﻲ‬ ‫ﺑﻘﺴﻤﺔ‬2‫ﻋﻠﻰ‬ ‫ﻧﺤﺼﻞ‬:0 6 2 ...............(3)a b  ‫ـــــــــــــــــــــــــــــــــــــــــــــــــــــــــ‬ 5 2 .........(4)a b  0 3 ...............(3)a b  ‫ﻋﻠﻰ‬ ‫ﻧﺤﺼﻞ‬ ‫اﻟﻤﻌﺎدﻟﺘﯿﻦ‬ ‫ﻃﺮﻓﻲ‬ ‫ﺑﺠﻤﻊ‬:‫ـــــــــــــــــــــــــــــــــــــــــــــــــــــــــ‬ 5 5 1a a  ‫اﻟﻤﻌﺎدﻟﺘﯿﻦ‬ ‫ﺑﺈﺣﺪى‬ ‫وﺑﺎﻟﺘﻌﻮﯾﺾ‬3‫أو‬4‫ﻋﻠﻰ‬ ‫ﻧﺤﺼﻞ‬:3b  ‫اﻟﻤﻌ‬ ‫ﻓﻲ‬ ‫ﻧﻌﻮض‬ ‫ﺛﻢ‬‫ﺎدﻟﺔ‬)1(‫ﻟﻨﺠﺪ‬: 9c   3 2 ( ) 3 9f x x x x   2 ( ) 3 6 9 ( ) 6 6f x x x f x x      ‫ﻧﮭﺎﯾﺔ‬ ‫ﺗﻮﺟﺪ‬‫ﻋﻈﻤﻰ‬‫اﻟﻨﻘﻄﺔ‬ ‫ﻋﻨﺪ‬ ‫ﻣﺤﻠﯿﺔ‬( 1,5)( 1) 6 6 12 0f          ‫ﻣﺜﺎل‬3:‫ﻟﺘﻜﻦ‬f‫اﻟﻤﺴﺘﻘﯿﻢ‬ ‫وﻟﯿﻜﻦ‬ ، ‫اﻟﺜﺎﻧﯿﺔ‬ ‫اﻟﺪرﺟﺔ‬ ‫ﻣﻦ‬ ‫اﻟﺤﺪود‬ ‫ﻛﺜﯿﺮة‬ ‫داﻟﺔ‬2 9 0x y  ‫ﻣﻤﺎﺳﺎ‬ ‫اﻟﺪاﻟﺔ‬ ‫ﻟﻤﻨﺤﻨﻲ‬f‫اﻟﻨﻘﻄﺔ‬ ‫ﻓﻲ‬2x ‫ﻋﻨﺪ‬ ‫ﻣﺤﻠﯿﺔ‬ ‫ﻋﻈﻤﻰ‬ ‫ﻧﮭﺎﯾﺔ‬ ‫ﻧﻘﻄﺔ‬ ‫وﻟﻠﻤﻨﺤﻨﻲ‬ ،1x ‫ﻣﻌﺎدﻟﺔ‬ ‫ﺟﺪ‬ ، ‫اﻟﻤﻨﺤﻨﻲ‬. ‫اﻟﺤﻞ‬: ‫ﻟﺘﻜﻦ‬:‫اﻟﺜﺎﻧﯿﺔ‬ ‫اﻟﺪرﺟﺔ‬ ‫ﻣﻦ‬ ‫اﻟﺤﺪود‬ ‫ﻛﺜﯿﺮة‬ ‫داﻟﺔ‬)a  0(2( )f x ax bx c   2x ‫ﺗﻤﺎس‬ ‫ﻧﻘﻄﺔ‬2 2 9 0 5y y    ‫ھﻲ‬ ‫اﻟﺘﻤﺎس‬ ‫ﻧﻘﻄﺔ‬(2,5) ‫ﺗﺤﻘﻖ‬‫اﻟﺪاﻟﺔ‬f:2( )f x ax bx c  
  • 149.
    149 .........4 .5 12( )a b c   ‫اﻟﻤﺴﺘﻘﯿﻢ‬ ‫ﻟﻜﻦ‬2 9 0x y  ‫ﻟﻠﻤﻨﺤﻨﻲ‬ ‫ﻣﻤﺎﺳﺎ‬2( )f x ax bx c  ‫ﻋﻨﺪ‬2x  ‫ﻧﺠﺪ‬ ‫اﻟﻤﻤﺎس‬ ‫ﻣﻦ‬‫ﻣﯿﻞ‬:9 2y x 2y  ‫اﻟﻤﻤﺎس‬ ‫ﻣﯿﻞ‬=2 ‫اﻟﻤﻤﺎس‬ ‫ﻣﯿﻞ‬ ‫ﻧﺠﺪ‬ ‫اﻟﻤﻨﺤﻨﻲ‬ ‫ﻣﻌﺎدﻟﺔ‬ ‫ﻣﻦ‬:2( )f x ax bx c   ( ) 2f x ax b  (2) 4f a b  ‫اﻟﻤﻤﺎس‬ ‫ﻣﯿﻞ‬=4a b ‫اﻟﻨﻘﻄﺔ‬ ‫ﻧﻔﺲ‬ ‫ﻓﻲ‬ ‫وﺣﯿﺪ‬ ‫ﻣﻤﺎس‬ ‫ﻟﻠﻤﻨﺤﻨﻲ‬ ‫ﻟﻜﻦ‬‫ﻣﺘﺴﺎوﯾﺎن‬ ‫اﻟﻤﯿﻼن‬:....4 )2 ...(2a b   ‫ﻋﻨﺪ‬1x ‫ﻣﺤﻠﯿﺔ‬ ‫ﻧﮭﺎﯾﺔ‬ ‫ﺗﻮﺟﺪ‬1x ‫ﺣﺮﺟﺔ‬ ‫ﻧﻘﻄﺔ‬0(1)f   2( )f x ax bx c   ( ) 2 (1) 2 ...... )2 (0 3f x ax b f a a bb        ‫آﻧﯿﺎ‬ ‫اﻟﺤﻞ‬:....2 4 ...(2)a b   .... . 3)0 2 . (a b  ‫ــــــــــــــــــــــــــــــــــــ‬‫ﺑﻄﺮح‬‫ﻋﻠﻰ‬ ‫ﻧﺤﺼﻞ‬ ‫اﻟﻤﻌﺎدﻟﺘﯿﻦ‬ ‫ﻃﺮﻓﻲ‬:1a   ‫اﻟﻤﻌﺎدﻟﺘﯿﻦ‬ ‫إﺣﺪى‬ ‫ﻓﻲ‬ ‫ﺗﻌﻮض‬2b  ‫ﻋﻠﻰ‬ ‫ﻧﺤﺼﻞ‬ ‫اﻷوﻟﻰ‬ ‫اﻟﻤﻌﺎدﻟﺔ‬ ‫ﻓﻲ‬ ‫ﺗﻌﻮض‬:5c  ‫ھﻲ‬ ‫اﻟﻤﻨﺤﻨﻲ‬ ‫ﻣﻌﺎدﻟﺔ‬:2( ) 2 5f x x x    ‫ﻣﺜﺎل‬3:‫ﻛﺎ‬ ‫إذا‬‫ﻟﻠﺪ‬ ‫ن‬‫ا‬‫ﻟﺔ‬3 2( ) 3f x ax x c  ‫ﺗﺴﺎوي‬ ‫ﻣﺤﻠﯿﺔ‬ ‫ﻋﻈﻤﻰ‬ ‫ﻧﮭﺎﯾﺔ‬8‫ﻋﻨﺪ‬ ‫اﻧﻘﻼب‬ ‫وﻧﻘﻄﺔ‬ 1x ‫ﻗﯿﻤﺔ‬ ‫ﻓﺠﺪ‬,a c. ‫اﻟﺤﻞ‬:‫ﻋﻨﺪ‬1x ‫اﻧﻘﻼب‬ ‫ﻧﻘﻄﺔ‬ ‫ﺗﻮﺟﺪ‬0(1)f   2( ) 3 6 ( ) 6 6 (1) 6 6 0 6 6 1 f x ax x f x ax f a a a                  3 2( ) 3f x x x c    8=‫ﻣﺤﻠﺔ‬ ‫ﻋﻈﻤﻰ‬ ‫ﻧﮭﺎﯾﺔ‬8=‫ﻋﻦ‬ ‫اﻟﺒﺤﺚ‬ ‫ﻓﯿﺠﺐ‬ ‫ﺻﺎدي‬ ‫إﺣﺪاﺛﻲ‬‫أﻹﺣﺪاﺛﻲ‬‫ﻟﮫ‬ ‫اﻟﻤﻨﺎﺳﺐ‬ ‫اﻟﺴﯿﻨﻲ‬:
  • 150.
    150 2( ) 36f x x x    20 3 6 3 ( 2) 0 2x x x x x or x ‫ﺎن‬ ‫ﺣﺮﺟﺘ‬        ‫اﻟﻨﻘﻄﺔ‬ ‫أن‬ ‫ﻧﺴﺘﻨﺘﺞ‬ ‫اﻷوﻟﻰ‬ ‫اﻟﻤﺸﺘﻘﺔ‬ ‫أﻋﺪاد‬ ‫اﻟﺨﻂ‬ ‫ﻣﻦ‬:(2,8)‫ﻣﺤﻠﯿﺔ‬ ‫ﻋﻈﻤﻰ‬ ‫ﻧﮭﺎﯾﺔ‬ ‫ﻧﻘﻄﺔ‬ ‫ھﻲ‬)‫ﻣﻌﺎدﻟﺔ‬ ‫ﺗﺤﻘﻖ‬ ‫اﻟﻤﻨﺤﻨﻲ‬(‫ﻧﻘﻄﮫ‬ ‫ﻣﻦ‬ ‫ﻷﻧﮭﺎ‬. 8 128 4c c    3 2( ) 3f x x x c     ‫ﻣﺜﺎل‬4:‫ﻟﺘﻜﻦ‬2 ( ) , 0 a f x x x x    1(‫ﺍﻟﺪﺍﻟﺔ‬ ‫ﺃﻥ‬ ‫ﺑﺮﻫﻦ‬f‫ﲤﺘ‬ ‫ﻻ‬‫ﻗﻴﻤﺔ‬ ‫ﺗﻜﻦ‬ ‫ﻣﻬﻤﺎ‬ ‫ﳏﻠﻴﺔ‬ ‫ﻋﻈﻤﻰ‬ ‫ﻧﻬﺎﻳﺔ‬ ‫ﻠﻚ‬a. 2(‫ﻗﻴﻤﺔ‬ ‫ﺟﺪ‬a‫ﻋﻨﺪ‬ ‫ﺍﻧﻘﻼﺏ‬ ‫ﻧﻘﻄﺔ‬ ‫ﻟﻠﺪﺍﻟﺔ‬ ‫ﻛﺎﻥ‬ ‫ﺇﺫﺍ‬1 ‫اﻟﺤﻞ‬:‫اﻟﺜﺎﻧﯿﺔ‬ ‫اﻟﻤﺸﺘﻘﺔ‬ ‫ﻃﺮﯾﻘﺔ‬ ‫ﻧﻄﺒﻖ‬. ‫ﺣﺮﺟﺔ‬ 3 3 3 2 2 : 2 2 4 6 0 2 2 ( ) 2 ( ) 2 a a Then a f x But x x a f a                ‫اﻟﺤﺮﺟﺔ‬ ‫ﻋﻨﺪ‬ ‫ﻣﺤﻠﯿﺔ‬ ‫ﺻﻐﺮى‬ ‫ﻧﮭﺎﯾﺔ‬ ‫ﺗﻮﺟﺪ‬ ‫ﻟﺬا‬ ‫ﻗﯿﻤﺔ‬ ‫ﺗﻜﻦ‬ ‫ﻣﮭﻤﺎ‬ ‫ﻣﺤﻠﯿﺔ‬ ‫ﻋﻈﻤﻰ‬ ‫ﻧﮭﺎﯾﺔ‬ ‫ﺗﻮﺟﺪ‬ ‫ﻻ‬a (2)‫ا‬ ‫ﻧﻘﻄﺔ‬ ‫ﻟﻠﺪاﻟﺔ‬‫ﻋﻨﺪ‬ ‫ﻧﻘﻼب‬x = 1‫ﻋﻠﻰ‬ ‫ﻧﺤﺼﻞ‬:2 2 (1) 0 1 1 a f a      0 2 ‫ــــــــــــــــــــــــــــــــــــــــــــــــــــــــــــ‬( )f x -----+ + + +-----   3 3 2 2 3 2 0 22 1 ( ) ( ) 2 ( ) 0 2 2 a a x a x a a f x x f x x when f x x x a x x x                       
  • 151.
    151 ‫س‬1:‫ﻣﻨﮭﺎ‬ ‫ﻛﻼ‬ ‫وارﺳﻢ‬‫واﻟﺘﻘﻌﺮ‬ ‫اﻟﺘﺤﺪب‬ ‫وﻣﻨﺎﻃﻖ‬ ‫اﻟﻤﺤﻠﯿﺔ‬ ‫واﻟﻨﮭﺎﯾﺎت‬ ‫واﻟﺘﻨﺎﻗﺺ‬ ‫اﻟﺘﺰاﯾﺪ‬ ‫ﻣﻨﺎﻃﻖ‬ ‫ﺟﺪ‬ ‫اﻟﺘﺎﻟﯿﺔ‬ ‫ﻟﻠﺪوال‬: 1(3 ( ) 12f x x x 2(2 4 ( ) 2f x x x 3(5 5( ) xf x  4(2 6( ) 2f x x x  5(3 4 (1 )( ) xf x  6(2 ( ) ( 2)( 1)f x x x   7(3 ( 4)( ) x xf x 8(3 3 2( ) x xf x   ‫س‬2:‫ﻟﺘﻜﻦ‬2 2 ( ) 6 bf x ax x  ‫أن‬ ‫ﺣﯿﺚ‬ ،b ،{4,8}a‫ﻗﯿﻤﺔ‬ ‫ﺟﺪ‬a‫اﻟﺤﺎﻻت‬ ‫ﻣﻦ‬ ‫ﻟﻜﻞ‬ ‫اﻟﺘﺎﻟﯿﺔ‬:1(‫ﻣﺤﺪﺑﺔ‬ ‫اﻟﺪاﻟﺔ‬2(‫ﻣﻘﻌﺮة‬ ‫اﻟﺪاﻟﺔ‬3(‫ﻣﺤﻠﯿﺔ‬ ‫ﻋﻈﻤﻰ‬ ‫ﻧﮭﺎﯾﺔ‬ ‫ﻟﻠﺪاﻟﺔ‬. ‫س‬3:‫إذا‬‫ﻛﺎﻧﺖ‬(2.6)‫اﻟﺪاﻟﺔ‬ ‫ﻟﻤﻨﺤﻨﻲ‬ ‫ﺣﺮﺟﺔ‬ ‫ﻧﻘﻄﺔ‬ ‫ھﻲ‬4 ( )( ) a x bf x  ‫ﻗﯿﻤﺔ‬ ‫ﻓﺠﺪ‬,a b‫ﻧﻮع‬ ‫وﺑﯿﻦ‬ ‫اﻟﺤﺮﺟﺔ‬ ‫اﻟﻨﻘﻄﺔ‬. ‫س‬4:‫ﻛﺎن‬ ‫اذا‬3 2 ( ) cxf x ax bx  12 ,( ) 1 xg x  ‫ﻣﻦ‬ ‫ﻛﻞ‬ ‫وﻛﺎن‬,g f‫ﻓﻲ‬ ‫ﻣﺘﻤﺎﺳﺎن‬ ‫اﻻ‬ ‫ﻧﻘﻄﺔ‬‫ﻧﻘﻼب‬(1, 11)‫اﻟﺜﻮاﺑﺖ‬ ‫ﻗﯿﻤﺔ‬ ‫ﻓﺠﺪ‬, ,a b c. ‫س‬5:‫ﻛﺎﻧﺖ‬ ‫اذا‬6‫اﻟﺪاﻟﺔ‬ ‫ﻟﻤﻨﺤﻨﻲ‬ ‫اﻟﺼﻐﺮى‬ ‫اﻟﻨﮭﺎﯾﺔ‬ ‫ﺗﻤﺜﻞ‬2 3 ( ) 3 cf x x x  ‫ﻗﯿﻢ‬ ‫ﻓﺠﺪ‬c‫ﻣﻌﺎدﻟﺔ‬ ‫ﺟﺪ‬ ‫ﺛﻢ‬ ‫اﻧﻘﻼﺑﮫ‬ ‫ﻧﻘﻄﺔ‬ ‫ﻓﻲ‬ ‫اﻟﻤﻨﺤﻨﻲ‬ ‫ﻣﻤﺎس‬. ‫س‬6::‫اذا‬‫ﻛﺎن‬3 2 ( ) cxf x ax bx  ‫وﻛﺎﻧﺖ‬f‫ﻣﻘﻌﺮة‬x ‫وﻣﺤﺪﺑﺔ‬x  ‫ﻋﻨﺪ‬ ‫وﻣﺴﺘﻤﺮة‬1x ‫ﻟﻠﺪاﻟﺔ‬ ‫و‬f‫ﻣﺤﻠﯿﺔ‬ ‫ﻋﻈﻤﻰ‬ ‫ﻧﮭﺎﯾﺔ‬ ‫ﻧﻘﻄﺔ‬‫ھﻲ‬( 1,5)،‫اﻟﺜﻮاﺑﺖ‬ ‫ﻗﯿﻤﺔ‬ ‫ﻓﺠﺪ‬, ,a b c. ‫س‬7:‫ﻟﺘﻜﻦ‬2 ( ) , 0 a f x x x x    1(‫اﻟﺪاﻟﺔ‬ ‫أن‬ ‫ﺑﺮھﻦ‬f‫ﻗﯿﻤﺔ‬ ‫ﺗﻜﻦ‬ ‫ﻣﮭﻤﺎ‬ ‫ﻣﺤﻠﯿﺔ‬ ‫ﻋﻈﻤﻰ‬ ‫ﻧﮭﺎﯾﺔ‬ ‫ﺗﻤﺘﻠﻚ‬ ‫ﻻ‬a. 2(‫ﻗﯿﻤﺔ‬ ‫ﺟﺪ‬a‫اﻧﻘﻼ‬ ‫ﻧﻘﻄﺔ‬ ‫ﻟﻠﺪاﻟﺔ‬ ‫ﻛﺎن‬ ‫إذا‬‫ﻋﻨﺪ‬ ‫ب‬1 ‫س‬8:‫إذا‬‫ﻛﺎن‬3 2 9( ) xf x ax bx  ‫وﻛﺎن‬0(3)f  ،5( 1)f  ‫ﻗﯿﻤﺔ‬ ‫ﻓﺠﺪ‬,a b.
  • 152.
    KAMIL ALNASSIRY152  ‫اﻟﺘﻨﺎﻇﺮ‬Symmetry ‫زوﺟﯿﺔ‬ ‫دوال‬‫أﻧﮭﺎ‬ ‫ﻣﻦ‬ ‫اﻟﺼﺎدات‬ ‫ﻣﺤﻮر‬ ‫ﻣﻊ‬ ‫اﻟﻤﺘﻨﺎﻇﺮة‬ ‫ﻟﻠﺪوال‬ ‫ﯾﻘﺎل‬Even Functions ‫ﻓﺮدﯾﺔ‬ ‫دوال‬ ‫أﻧﮭﺎ‬ ‫ﻣﻦ‬ ‫اﻷﺻﻞ‬ ‫ﻧﻘﻄﺔ‬ ‫ﺣﻮل‬ ‫اﻟﻤﺘﻨﺎﻇﺮة‬ ‫ﻟﻠﺪوال‬ ‫وﯾﻘﺎل‬Odd Functions ‫ﻣﺜﺎل‬:‫اﻟﺘﺎﻟﯿﺔ‬ ‫اﻟﺪوال‬ ‫ﻣﻦ‬ ‫ﻟﻜﻞ‬ ‫وﺟﺪ‬ ‫إن‬ ‫اﻟﺘﻨﺎﻇﺮ‬ ‫ﻧﻮع‬ ‫ﺑﺮھﻦ‬: 4 2 1) ( ) 3 5f x x x   ‫اﻟﺤﻞ‬:‫ﻣﺠﺎل‬ ‫أوﺳﻊ‬:( )D f  ; ( )x x ‫ﻖ‬ ‫وﯾﺤﻘ‬      4 2 4 2 ( ) ( ) 3( ) 5 3 5 ( )f x x x x x f x          ‫اﻟﺼﺎدات‬ ‫ﻣﺤﻮر‬ ‫ﻣﻊ‬ ‫ﻣﺘﻨﺎﻇﺮة‬ ‫اﻟﺪاﻟﺔ‬‫زوﺟﯿﺔ‬ ‫اﻟﺪاﻟﺔ‬ 35 2) ( ) 4 8f x x x x   ‫اﻟﺤﻞ‬:( )D f  ; ( )x x ‫ﻖ‬ ‫وﯾﺤﻘ‬      5 3 5 3 ( ) ( ) 4( ) 8( ) 4 8f x x x x x x x           ‫اﻷﺻﻞ‬ ‫ﻧﻘﻄﺔ‬ ‫ﺣﻮل‬ ‫ﻣﺘﻨﺎﻇﺮة‬ ‫اﻟﺪاﻟﺔ‬‫ﻓﺮدﯾﺔ‬ ‫اﻟﺪاﻟﺔ‬ 5 3 ( 4 8 ) ( )x x x f x     ‫ﺗﻌﺮﯾﻒ‬:‫ﻟﺘﻜﻦ‬f‫اﻟﻔﺘﺮة‬ ‫ﻋﻠﻰ‬ ‫ﻣﻌﺮﻓﺔ‬ ‫داﻟﺔ‬I 1(f‫اﻟﺼﺎدات‬ ‫ﻣﺤﻮر‬ ‫ﻣﻊ‬ ‫ﻣﺘﻨﺎﻇﺮة‬)y-axis symmetry(‫اﻟﺸﺮﻃﯿﻦ‬ ‫ﺣﻘﻘﺖ‬ ‫إذا‬: ‫أ‬(, ( )x I x I    ‫ﺗﻨﺎﻇ‬ ‫ﯾﺴﻤﻰ‬ ‫وھﺬا‬‫اﻟﻤﺠﺎل‬ ‫ﺮ‬. ‫ب‬(( ) ( )f x f x ‫ﻟﻜﻞ‬ ‫أي‬( , )x y‫ﻓﺈن‬ ‫اﻟﺪاﻟﺔ‬ ‫ﻧﻘﻂ‬ ‫ﻣﻦ‬‫ﯾﻮﺟﺪ‬( , )x y‫ﻣﻦ‬ ‫اﻟﺪاﻟﺔ‬ ‫ﻧﻘﻂ‬. 2(f‫اﻷﺻﻞ‬ ‫ﻧﻘﻄﺔ‬ ‫ﻣﻊ‬ ‫ﻣﺘﻨﺎﻇﺮة‬)Origin symmetry(‫اﻟﺸﺮﻃﯿﻦ‬ ‫ﺣﻘﻘﺖ‬ ‫إذا‬: ‫أ‬(, ( )x I x I    ‫اﻟﻤﺠﺎل‬ ‫ﺗﻨﺎﻇﺮ‬ ‫ﯾﺴﻤﻰ‬ ‫وھﺬا‬. ‫ب‬(( ) ( )f x f x  ‫ﻟﻜﻞ‬ ‫أي‬( , )x y‫ﻓﺈن‬ ‫اﻟﺪاﻟﺔ‬ ‫ﻧﻘﻂ‬ ‫ﻣﻦ‬‫ﯾﻮﺟﺪ‬( , )x y ‫ﻣﻦ‬ ‫اﻟﺪاﻟﺔ‬ ‫ﻧﻘﻂ‬.
  • 153.
    KAMIL ALNASSIRY153  2 3 5 3) () x x f x    ‫اﻟﺤﻞ‬:( )D f  ; ( )x x ‫ﻖ‬ ‫وﯾﺤﻘ‬      2 2 3( ) 3 ( ) ( ) ( ) 5 5 x x f x f x x x             ‫اﻷﺻﻞ‬ ‫ﻧﻘﻄﺔ‬ ‫ﺣﻮل‬ ‫ﻣﺘﻨﺎﻇﺮة‬ ‫اﻟﺪاﻟﺔ‬‫ﻓﺮدﯾﺔ‬ ‫اﻟﺪاﻟﺔ‬ 3 5 4) ( ) x x f x    ‫اﻟﺤﻞ‬: ( ) / 5D f   ‫ﻷن‬ ‫ﻣﺘﻨﺎﻇﺮ‬ ‫ﻏﯿﺮ‬ ‫اﻟﻤﺠﺎل‬5 ( )D f‫وأن‬5 ( )D f ‫وﻻ‬ ‫اﻟﺼﺎدات‬ ‫ﻣﻊ‬ ‫ﻻ‬ ‫ﺗﻨﺎﻇﺮ‬ ‫ﯾﻮﺟﺪ‬ ‫ﻻ‬ ‫اﻷﺻﻞ‬ ‫ﻧﻘﻄﺔ‬ ‫ﺣﻮل‬.  0,25) ( ) ,f x Sin x x   ‫اﻟﺤﻞ‬:( ) 0,2D f    ‫ﻷن‬ ‫ﻣﺘﻨﺎﻇﺮ‬ ‫ﻏﯿﺮ‬ ‫اﻟﻤﺠﺎل‬2 ( )D f ‫وأن‬2 ( )D f ‫اﻟﺼﺎدات‬ ‫ﻣﻊ‬ ‫ﻻ‬ ‫ﺗﻨﺎﻇﺮ‬ ‫ﯾﻮﺟﺪ‬ ‫ﻻ‬ ‫اﻷﺻﻞ‬ ‫ﻧﻘﻄﺔ‬ ‫ﺣﻮل‬ ‫وﻻ‬. 6) ( )f x Sin x ‫اﻟﺤﻞ‬:( )D f   ; ( )x x ‫ﻖ‬ ‫وﯾﺤﻘ‬      ( ) ( ) ( )f x Sin x Sin x f x       ‫اﻷﺻﻞ‬ ‫ﻧﻘﻄﺔ‬ ‫ﺣﻮل‬ ‫ﻣﺘﻨﺎﻇﺮة‬ ‫اﻟﺪاﻟﺔ‬‫ﻓﺮدﯾﺔ‬ ‫اﻟﺪاﻟﺔ‬
  • 154.
    KAMIL ALNASSIRY154  ‫واﻟﻌﻤﻮدﯾﺔ‬ ‫اﻷﻓﻘﯿﺔ‬‫اﻟﻤﺤﺎذﯾﺔ‬ ‫اﻟﻤﺴﺘﻘﯿﻤﺎت‬)Vertical asymptotes andHorizontal( ‫ﻣﺒﺮھﻨﺔ‬ 1(‫اﻟﻌﻤﻮدي‬ ‫اﻟﻤﺤﺎذي‬:‫ﺑﺼﻮرة‬ ‫اﻟﺪاﻟﺔ‬ ‫ﻛﺎﻧﺖ‬ ‫إذا‬ ( ) ( ) ( ) x f x g x   ‫اﻟﻤﺤﺎذ‬ ‫ﻓﺈن‬‫ي‬‫اﻟﻤﻌﺎد‬ ‫ﺣﻞ‬ ‫ھﻮ‬ ‫اﻟﻌﻤﻮدي‬‫ﻟﺔ‬( ) 0g x  2(‫اﻷﻓﻘﻲ‬ ‫اﻟﻤﺤﺎذي‬:(a‫اﻟﻤﻘﺎ‬ ‫درﺟﺔ‬ ‫ﻣﻦ‬ ‫أﺻﻐﺮ‬ ‫اﻟﺒﺴﻂ‬ ‫درﺟﺔ‬ ‫ﻛﺎﻧﺖ‬ ‫اذا‬‫م‬‫ﻓﺈن‬0y ‫اﻷﻓﻘﻲ‬ ‫اﻟﻤﺤﺎذي‬ ‫ھﻮ‬ (b‫ﻟﻠﺼ‬ ‫اﻟﺪاﻟﺔ‬ ‫ﺣﻮل‬ ‫اﻟﻤﻘﺎم‬ ‫درﺟﺔ‬ ‫ﺗﺴﺎوي‬ ‫أو‬ ‫أﻛﺒﺮ‬ ‫اﻟﺒﺴﻂ‬ ‫درﺟﺔ‬ ‫ﻛﺎﻧﺖ‬ ‫إذا‬‫ﯿﻐﺔ‬:( ) ( ) ( ) ( ) F x f x h x g x   ‫ﻓﯿﻜﻮن‬ ‫اﻟﻤﻘﺎم‬ ‫درﺟﺔ‬ ‫ﻣﻦ‬ ‫أﻗﻞ‬ ‫اﻟﺒﺴﻂ‬ ‫درﺟﺔ‬ ‫ﺷﺮط‬( )y h x‫أﻓﻘﯿﺎ‬ ‫اﻟﻤﺤﺎذي‬ ‫ھﺬا‬ ‫وﯾﻜﻮن‬ ، ‫اﻟﻤﺤﺎذي‬ ‫ھﻮ‬ ‫ﻛﺎﻧﺖ‬ ‫إذا‬( )h x‫ﻣﺎﺋﻞ‬ ‫ﻣﺤﺎذي‬ ‫ﯾﻤﺜﻞ‬ ‫أو‬ ‫ﺻﻔﺮ‬ ‫اﻟﺪرﺟﺔ‬ ‫ﻣﻦ‬Slant asymptotes‫اﻟﺪرﺟﺔ‬ ‫ﻣﻦ‬ ‫ﻛﺎﻧﺖ‬ ‫إذا‬ ‫اﻷوﻟﻰ‬‫ﻛﺎن‬ ‫إذا‬ ‫ﻣﻨﺤﻨﻲ‬ ‫ﺷﻜﻞ‬ ‫ﻋﻠﻰ‬ ‫ﻣﺤﺎذي‬ ‫وﯾﻤﺜﻞ‬( )g x‫ﻓﻮق‬ ‫ﻓﻤﺎ‬ ‫اﻟﺜﺎﻧﯿﺔ‬ ‫اﻟﺪرﺟﺔ‬ ‫ﻣﻦ‬. ‫ﻣﺜﺎل‬‫اﻟﺘﺎﻟﯿﺔ‬ ‫اﻟﺪوال‬ ‫ﻣﻦ‬ ‫ﻟﻜﻞ‬ ‫اﻟﻤﺤﺎذﯾﺎت‬ ‫ﺟﺪ‬: 2 1) ( ) 3 1 f x x    ‫اﻟﺤﻞ‬:1 1 0x x    ‫ﻋﻤﻮدي‬ ‫ﻣﺤﺎذي‬ ‫ﻣﺴﺘﻘﯿﻢ‬ 3y ‫أﻓﻘﻲ‬ ‫ﻣﺤﺎذي‬ ‫ﻣﺴﺘﻘﯿﻢ‬ 2 1 2) ( ) 1 x f x x    ‫اﻟﺤﻞ‬:1x  ‫ﻋﻤﻮدي‬ ‫ﻣﺤﺎذي‬ ‫ﻣﺴﺘﻘﯿﻢ‬ ‫اﻟﻘﯿﺎﺳﯿﺔ‬ ‫ﻟﻠﺼﯿﻐﺔ‬ ‫ﻧﺤﻮل‬:‫ﻋﻠﻰ‬ ‫ﻓﻨﺤﺼﻞ‬ ‫ﻃﻮﯾﻠﺔ‬ ‫ﻗﺴﻤﺔ‬ ‫اﻟﻤﻘﺎم‬ ‫ﻋﻠﻰ‬ ‫اﻟﺒﺴﻂ‬ ‫ﻧﻘﺴﻢ‬:2 3 ( ) 1 f x x    2y ‫أﻓﻘﻲ‬ ‫ﻣﺤﺎذي‬ ‫ﻣﺴﺘﻘﯿﻢ‬
  • 155.
    KAMIL ALNASSIRY155  2 2 3) () 1 x f x x   ‫اﻟﺤﻞ‬:‫ﻣﺮﺑﻌﯿﻦ‬ ‫ﻣﺠﻤﻮع‬ ‫اﻟﻤﻘﺎم‬ ‫ﻷن‬ ‫ﻋﻤﻮدي‬ ‫ﻣﺤﺎذي‬ ‫ﻣﺴﺘﻘﯿﻢ‬ ‫إﯾﺠﺎد‬ ‫ﻣﻤﻜﻦ‬ ‫ﻏﯿﺮ‬. ‫اﻟﻘﯿﺎﺳﯿﺔ‬ ‫ﻟﻠﺼﯿﻐﺔ‬ ‫ﻧﺤﻮل‬2 2 ( ) 0 1 x f x x     0y ‫أﻓﻘﻲ‬ ‫ﻣﺤﺎذي‬ ‫ﻣﺴﺘﻘﯿﻢ‬ ‫اﻟﺘﻔﺎﺿﻞ‬ ‫ﺑﺎﺳﺘﺨﺪام‬ ‫اﻟﺮﺳﻢ‬Curve Sketching Using Differentiation ‫أﻣﻜﻦ‬ ‫إن‬ ‫ﯾﻠﻲ‬ ‫ﻣﺎ‬ ‫ﻧﺘﺒﻊ‬ ‫داﻟﺔ‬ ‫ﻟﺮﺳﻢ‬: 1(‫ﻟﻠﺪاﻟﺔ‬ ‫ﻣﺠﺎل‬ ‫أوﺳﻊ‬ ‫ﻧﺠﺪ‬Domain 2(‫اﻟﻤﺤﺎذﯾﺎت‬ ‫ﻧﺠﺪ‬Asymptotes‫ﻟﻠﺪاﻟﺔ‬‫ﻓ‬ ‫اﻟﻨﺴﺒﯿﺔ‬‫ﻘﻂ‬. 3(‫اﻟﺪاﻟﺔ‬ ‫ﻓﺮدﯾﺔ‬ ‫أو‬ ‫زوﺟﯿﺔ‬ ‫ﻧﺒﺮھﻦ‬Odevity of the function)‫اﻟﺘﻨﺎﻇﺮ‬Symmetry. ( 4(‫واﻟﺼﺎدي‬ ‫اﻟﺴﯿﻨﻲ‬ ‫اﻟﻤﺤﻮرﯾﻦ‬ ‫ﻣﻊ‬ ‫اﻟﻤﻨﺤﻨﻲ‬ ‫ﺗﻘﺎﻃﻊ‬ ‫ﻧﻘﻂ‬ ‫ﻧﺠﺪ‬ The intersection of the curve and y axis or x axis. 5(‫رﺗﺎﺑﺔ‬ ‫أدرس‬‫اﻟﺪاﻟﺔ‬Monotonic function‫ﻟﻠﺪاﻟﺔ‬ ‫واﻟﺘﻨﺎﻗﺺ‬ ‫اﻟﺘﺰاﯾﺪ‬ ‫ﻣﻨﺎﻃﻖ‬ ‫إﯾﺠﺎد‬ ‫ﺣﯿﺚ‬ ‫ﻣﻦ‬ The increasing and decreasing interval of the function ‫اﻟﺤﺮﺟﺔ‬ ‫اﻟﻨﻘﻂ‬ ‫وﺟﺪ‬)critical point(‫إﺷﺎ‬ ‫ﺗﻔﺤﺺ‬ ‫وﻣﻦ‬ ،‫اﻟﺒﺪاﯾﺔ‬ ‫ﻓﻲ‬‫ﺑﻄﺮﯾﻘﺔ‬ ‫أو‬ ‫اﻷوﻟﻰ‬ ‫اﻟﻤﺸﺘﻘﺔ‬ ‫رات‬ ‫ﻟﻠﺪاﻟﺔ‬ ‫اﻟﻤﺤﻠﯿﺔ‬ ‫اﻟﻨﮭﺎﯾﺎت‬ ‫ﻧﺠﺪ‬ ‫اﻟﺜﺎﻧﯿﺔ‬ ‫اﻟﻤﺸﺘﻘﺔ‬ 6(‫و‬ ‫اﻟﺪاﻟﺔ‬ ‫وﺗﻘﻌﺮ‬ ‫ﺗﺤﺪب‬ ‫ﻧﺪرس‬‫ﻧ‬‫اﻻﻧﻘﻼب‬ ‫ﻧﻘﻂ‬ ‫ﺠﺪ‬Concavity and inflection points 7(‫ﻧﻘﻂ‬ ‫ﻧﺤﺘﺎج‬ ‫ﻗﺪ‬‫ﻣﺴﺎﻋﺪة‬‫اﻟﻤﻨﺤﻨﯿﺎت‬ ‫ﻣﺘﻌﺪدة‬ ‫ﺗﻜﻮن‬ ‫اﻟﺪاﻟﺔ‬ ‫ﻷن‬ ‫اﻟﻌﻤﻮدي‬ ‫اﻟﻤﺤﺎذي‬ ‫ﺗﻮﻓﺮ‬ ‫إذا‬ ‫وﺧﺎﺻﺔ‬. ‫أﻣﺜﻠﺔ‬:‫اﻟﺘﺎﻟﯿﺔ‬ ‫اﻟﺪوال‬ ‫اﻟﺘﻔﺎﺿﻞ‬ ‫ﺑﺎﺳﺘﺨﺪام‬ ‫ارﺳﻢ‬: 3 2 .1: ( ) 6 9 1ex f x x x x    1(‫ﻣﺠﺎل‬ ‫أوﺳﻊ‬= 2(‫اﻟﻤﺤﺎذﯾﺎ‬‫ت‬:‫ﻟﯿﺴﺖ‬ ‫اﻟﺪاﻟﺔ‬ ‫ﻷن‬ ‫ﺗﻮﺟﺪ‬ ‫ﻻ‬‫ﻧﺴﺒﯿﺔ‬ 3(‫اﻟﺘﻨﺎﻇ‬‫ﺮ‬:‫ﻻ‬ ‫ﺗﻨﺎﻇﺮ‬ ‫ﯾﻮﺟﺪ‬ ‫ﻻ‬‫ﻷن‬ ‫اﻟﺼﺎدات‬ ‫ﻣﻊ‬( ) ( )f x f x  ‫ﻷن‬ ‫اﻷﺻﻞ‬ ‫ﻧﻘﻄﺔ‬ ‫ﺣﻮل‬ ‫وﻻ‬( ) ( )f x f x   4(‫اﻟﺘﻘﺎﻃﻊ‬:( )a‫اﻟﺴﯿﻨﺎت‬ ‫ﻣﺤﻮر‬ ‫ﻣﻊ‬)‫ﯾﻌﻮض‬0y (
  • 156.
    KAMIL ALNASSIRY156  3 2 06 9 1x x x   ‫ﻣ‬‫ﻓﺘﺘﺮك‬ ‫ﺣﻠﮭﺎ‬ ‫ﯾﺼﻌﺐ‬ ‫اﻟﺜﺎﻟﺜﺔ‬ ‫اﻟﺪرﺟﺔ‬ ‫ﻣﻦ‬ ‫ﻌﺎدﻟﺔ‬ ( )b‫اﻟﺼﺎدات‬ ‫ﻣﻊ‬)‫ﯾﻌﻮض‬0x ‫اﻟﺼﺎدات‬ ‫ﻣﺤﻮر‬ ‫ﻣﻌﺎدﻟﺔ‬ ‫ﻷﻧﮭﺎ‬(1y (0,1)‫اﻟﺘﻘﺎﻃﻊ‬ ‫ﻧﻘﻄﺔ‬ 5(‫واﻟﺘﻨﺎﻗﺺ‬ ‫اﻟﺘﺰاﯾﺪ‬. Increasing/Decreasing: a) Take the first derivative: 2 ( ) 3 12 9f x x x    b) Set it equal to zero: 2 3 12 9 0x x   x: c) Solve for 2 3( 4 3) 0x x   3( 1)( 3) 0x x   1x and3x ‫ﺣﺮﺟﺘﺎن‬ ‫ﻧﻘﻄﺘﺎن‬ ‫اﻹﺷﺎرات‬ ‫ﺗﺤﻠﯿﻞ‬Sign analysis f‫ﻣﺘﺰاﯾﺪة‬‫ﻓﻲ‬:1( |x x ‫و‬2( :x x  f‫ﻣﺘﻨﺎﻗﺼﺔ‬:x  ‫اﻟﻤﺤﻠ‬ ‫اﻟﻨﮭﺎﯾﺎت‬‫ﯿﺔ‬: 1x and3x ‫اﻟﺼﺎدي‬ ‫اﻻﺣﺪاﺛﻲ‬ ‫ﻟﻨﺠﺪ‬ ‫ﻣﺤﻠﯿﺔ‬ ‫ﻋﻈﻤﻰ‬ ‫ﻧﮭﺎﯾﺔ‬= 3 2 (1) (1) 6(1) 9(1) 1 5f      ‫ﻣﺤﻠﯿﺔ‬ ‫ﺻﻐﺮى‬ ‫ﻧﮭﺎﯾﺔ‬= 3 2 (3) (3) 6(3) 9(3) 1 1f      Critical points‫ﺣﺮﺟﺔ‬ ‫ﻧﻘﺎط‬(1,5)and(3,1)  ‫واﻟﺘﻘﻌﺮ‬ ‫اﻟﺘﺤﺪب‬6. Concave up/Concave down ( ) 6 12f x x   ‫ﻟﻼﻧﻘﻼب‬ ‫ﻣﺮﺷﺤﺔ‬6 12 0 2x x    1 3 ‫إﺷﺎرة‬( )f x --- + ++ + 0  0  min  max 
  • 157.
    KAMIL ALNASSIRY157  + 2 _ ‫اﺷﺎرة‬f ''(x) f‫اﻟﻔﺘﺮة‬‫ﻓﻲ‬ ‫ﻣﺤﺪﺑﺔ‬‫ﻓﻲ‬( ,2).‫ﺗﻜﺘﺐ‬ ‫أو‬ : 2x x . f‫اﻟﻔﺘﺮة‬ ‫ﻓﻲ‬ ‫ﻣﻘﻌﺮة‬(2, )‫ﺗﻜﺘﺐ‬ ‫أو‬ : 2x x . ‫اﻻﻧﻘﻼب‬ ‫ﻧﻘﻄﺔ‬Inflection point)2x ( 3 2 (2) (2) 6(2) 9(2) 1 3y f      ‫ھﻲ‬ ‫اﻻﻧﻘﻼب‬ ‫ﻧﻘﻄﺔ‬:(2,3) ‫ﻧ‬‫اﻟﻨﻘﻄﺔ‬ ‫ﻮع‬yx Max‫ﻣﺤﻠﯿﺔ‬ ‫ﻋﻈﻤﻰ‬ ‫ﻧﮭﺎﯾﺔ‬ ‫ﻧﻘﻄﺔ‬51 Min‫ﻣﺤﻠﯿﺔ‬ ‫ﺻﻐﺮى‬ ‫ﻧﮭﺎﯾﺔ‬ ‫ﻧﻘﻄﺔ‬13 Inflexion‫اﻧﻘﻼب‬32 y – intercept‫اﻟﺼﺎدات‬ ‫ﻣﻊ‬ ‫ﺗﻘﺎﻃﻊ‬10
  • 158.
    KAMIL ALNASSIRY158  3 4 2:( ) 4 27ex f x x x   1‫ﻣﺠﺎل‬ ‫أوﺳﻊ‬= 2‫اﻟﻤﺤﺎذﯾﺎ‬‫ت‬:‫ا‬ ‫ﻷن‬ ‫ﺗﻮﺟﺪ‬ ‫ﻻ‬‫ﻟﯿﺴﺖ‬ ‫ﻟﺪاﻟﺔ‬‫ﻧﺴﺒﯿﺔ‬ 1(‫اﻟﺘﻨﺎﻇ‬‫ﺮ‬:‫ﻧﻘﻄﺔ‬ ‫ﺣﻮل‬ ‫وﻻ‬ ‫اﻟﺼﺎدات‬ ‫ﻣﻊ‬ ‫ﻻ‬ ‫ﺗﻨﺎﻇﺮ‬ ‫ﯾﻮﺟﺪ‬ ‫ﻻ‬‫اﻷﺻﻞ‬....... 4(‫اﻟﺘﻘﺎﻃﻊ‬a(‫اﻟﺴﯿﻨﺎت‬ ‫ﻣﺤﻮر‬ ‫ﻣﻊ‬)y=0( 3 4 4 27 0x x   ‫ﺣﻠﮭﺎ‬ ‫ﯾﺼﻌﺐ‬ ‫اﻟﺮاﺑﻌﺔ‬ ‫اﻟﺪرﺟﺔ‬ ‫ﻣﻦ‬ ‫ﻣﻌﺎدﻟﺔ‬ (b‫اﻟﺼﺎدات‬ ‫ﻣﺤﻮر‬ ‫ﻣﻊ‬)0x ((0) 27f   ‫ھﻲ‬ ‫اﻟﺘﻘﺎﻃﻊ‬ ‫ﻧﻘﻄﺔ‬:(0, 27) 5( 2 3 '( ) 12 4f x x x  22 3 (3 ) 0 0 3 12 4 0 4 x x or x ‫ﺎن‬ ‫ﺣﺮﺟﺘ‬ x x x         ‫ﻣﺘﺰاﯾﺪة‬ ‫اﻟﺪاﻟﺔ‬:   1) : 0 ; 2) 0,3x x x   ‫ﻓﻲ‬ ‫ﻣﺘﻨﺎﻗﺼﺔ‬ ‫اﻟﺪاﻟﺔ‬: : 3x x  ‫ﻣﺤﻠﯿﺔ‬ ‫ﻋﻈﻤﻰ‬ ‫ﻧﮭﺎﯾﺔ‬(3) 108 81 27 0f     ‫ھﻲ‬ ‫اﻟﻤﺤﻠﯿﺔ‬ ‫اﻟﻌﻈﻤﻰ‬ ‫اﻟﻨﮭﺎﯾﺔ‬ ‫ﻧﻘﻄﺔ‬( 3 , 0)‫ﺣﺮﺟﺔ‬ ‫ﻧﻘﻄﺔ‬ ‫وھﻲ‬ ‫إﺷﺎرة‬ ( )f x 0 3 - - - - -+ + + max + + ++
  • 159.
    KAMIL ALNASSIRY159  2 6) () 24 12f x x x   ‫اﻧﻘﻼب‬ ‫ﻧﻘﻂ‬ ‫ﺗﻜﻮن‬ ‫أن‬ ‫ﻣﺮﺷﺤﺔ‬0 12 (2 ) 2 , 0x x x x    ‫ﻣﻘﻌﺮة‬ ‫اﻟﺪاﻟﺔ‬‫اﻟﻔﺘﺮ‬ ‫ﻓﻲ‬‫اﻟﻤﻔﺘﻮﺣﺔ‬ ‫ة‬:(0,2) ‫اﻟﺪاﻟﺔ‬‫ﻣﺤﺪﺑﺔ‬‫اﻟﻔﺘﺮﺗﯿﻦ‬ ‫ﻓﻲ‬:1( : 0x x 2( : 2x x  ‫ﺔاﻧﻘﻼب‬ ‫ﻧﻘﻄ‬(0) 27 (0, 27)f    ‫ﺔاﻧﻘﻼب‬ ‫ﻧﻘﻄ‬(2) 32 16 27 (2 , 11)f      ‫إﺷﺎرة‬ ( )f x 0 ---+ + + + +--- 2
  • 160.
    KAMIL ALNASSIRY160  2 3: () 3 2Ex f x x x   1(‫ﻣﺠﺎل‬ ‫أوﺳﻊ‬= 2(‫اﻟﺘﻨﺎﻇﺮ‬:‫اﻷﺻﻞ‬ ‫ﻧﻘﻄﺔ‬ ‫ﺣﻮل‬ ‫وﻻ‬ ‫اﻟﺼﺎدات‬ ‫ﻣﻊ‬ ‫ﻻ‬ ‫ﺗﻨﺎﻇﺮ‬ ‫ﯾﻮﺟﺪ‬ ‫ﻻ‬. 3(‫اﻟﻤﺤﺎذﯾﺎ‬‫ت‬:‫ﻏﯿﺮ‬ ‫اﻟﺪاﻟﺔ‬ ‫ﻻن‬ ‫ﺗﻮﺟﺪ‬ ‫ﻻ‬‫ﻧﺴﺒﯿﺔ‬. 4(‫اﻟﺘﻘﺎﻃﻊ‬: a(‫اﻟﺴﯿﻨﺎت‬ ‫ﻣﺤﻮر‬ ‫ﻣﻊ‬)y = 0( 2 0 3 2 0 (3 ) (1 ) 3 ; 1 x x x x x x           ‫ھﻲ‬ ‫اﻟﺴﯿﻨﺎت‬ ‫ﻣﺤﻮر‬ ‫ﻣﻊ‬ ‫اﻟﺪاﻟﺔ‬ ‫ﺗﻘﺎﻃﻊ‬ ‫ﻧﻘﻂ‬:( 3,0) ; (1, 0) b(‫اﻟﺼﺎدات‬ ‫ﻣﺤﻮر‬ ‫ﻣﻊ‬)x = 0((0) 3f (0 ,3)‫اﻟﺘﻘﺎﻃﻊ‬ ‫ﻧﻘﻄﺔ‬ ‫ھﻲ‬ 5(( ) 2 2f x x    ‫ﺣﺮﺟﺔ‬ ‫ﻧﻘﻄﺔ‬0 2 2 1x x      ‫ﻣﺘﺰاﯾﺪة‬ ‫اﻟﺪاﻟﺔ‬‫ﻓﻲ‬: : 1x x   ‫ﻣﺘﻨﺎﻗﺼﺔ‬ ‫اﻟﺪاﻟﺔ‬‫ﻓﻲ‬: : 1x x   ‫ﻣﺤﻠﯿﺔ‬ ‫ﻋﻈﻤﻰ‬ ‫ﻧﮭﺎﯾﺔ‬( 1) 3 2 1 4f       ( 1, 4 )‫ﺣﺮﺟﺔ‬ ‫ﻧﻘﻄﺔ‬ ‫وھﻲ‬ ‫ﻣﺤﻠﯿﺔ‬ ‫ﻋﻈﻤﻰ‬ ‫ﻧﮭﺎﯾﺔ‬ ‫ﻧﻘﻄﺔ‬ ‫ھﻲ‬. 1 - - - -+ + + ‫اﺷﺎرة‬( )f x max
  • 161.
    KAMIL ALNASSIRY161  5(‫ﻓﻲ‬ ‫ﻣﺤﺪﺑﺔ‬‫اﻟﺪاﻟﺔ‬‫اﻧﻘﻼب‬ ‫ﻧﻘﻄﺔ‬ ‫ﺗﻮﺟﺪ‬ ‫ﻻ‬ ‫ﻟﺬا‬( ) 2 0f x    3 .4: ( ) (2 ) 8Ex f x x   1(‫ﻟﻠﺪاﻟﺔ‬ ‫ﻣﺠﺎل‬ ‫أوﺳﻊ‬= 2(‫اﻟﻤﺤﺎذﯾﺎت‬:‫ﻏﯿﺮ‬ ‫اﻟﺪاﻟﺔ‬ ‫ﻷن‬ ‫ﻣﺤﺎذﯾﺎت‬ ‫ﺗﻮﺟﺪ‬ ‫ﻻ‬‫ﻧﺴﺒﯿﺔ‬. 3(‫اﻟﺘﻨﺎﻇﺮ‬:‫اﻷﺻﻞ‬ ‫ﻧﻘﻄﺔ‬ ‫ﺣﻮل‬ ‫وﻻ‬ ‫اﻟﺼﺎدات‬ ‫ﻣﻊ‬ ‫ﻻ‬ ‫ﺗﻨﺎﻇﺮ‬ ‫ﯾﻮﺟﺪ‬ ‫ﻻ‬... 4(‫اﻟﺘﻘﺎﻃﻊ‬: A(‫اﻟﺴﯿﻨﺎت‬ ‫ﻣﻊ‬)y = 0( ‫اﻟﺘﻘﺎﻃﻊ‬ ‫ﻧﻘﻄﺔ‬ 3 3 0 (2 ) 8 (2 ) 8 2 2 4 (4 , 0) x x x x               B(‫اﻟﺼﺎدات‬ ‫ﻣﻊ‬)x = 0(y=16‫ھﻲ‬ ‫اﻟﺘﻘﺎﻃﻊ‬ ‫ﻧﻘﻄﺔ‬) :0 , 16( 5( 2 ( ) 3(2 )f x x    ‫ﺣﺮﺟﺔ‬ ‫ﻧﻘﻄﺔ‬ 2 0 3(2 ) 2x x    
  • 162.
    KAMIL ALNASSIRY162  ‫ﻣﺘﻨﺎﻗﺼﺔ‬ ‫اﻟﺪاﻟﺔ‬:1)2 ; 2) 2x x    ‫ﻓﻘﻂ‬ ‫ﻣﺘﻨﺎﻗﺼﺔ‬ ‫اﻟﺪاﻟﺔ‬ ‫ﻷن‬ ‫ﻣﺤﻠﯿﺔ‬ ‫ﻧﮭﺎﯾﺔ‬ ‫ﺗﻮﺟﺪ‬ ‫ﻻ‬. 6( ( ) 6 (2 ) ( ) 0f x x when f x      ‫ﻟﻼﻧﻘﻼب‬ ‫ﻣﺮﺷﺤﺔ‬0 6 (2 ) 2x x    ‫ﻣﺤﺪﺑﺔ‬ ‫اﻟﺪاﻟﺔ‬:0x  ‫ﻣﻘﻌﺮة‬ ‫اﻟﺪاﻟﺔ‬:0x  ‫اﻧﻘﻼب‬ ‫ﻧﻘﻄﺔ‬ 3 ( ) (2 2) 8 8 (2, 8)f x      2 - - - - ‫ﺗﺤﺪب‬ + + + ‫ﺗﻘﻌﺮ‬ ‫اﺷﺎرة‬ ( )f x 2 - - - -- - - ‫إﺷﺎرة‬ ( )f x
  • 163.
    KAMIL ALNASSIRY163  5.5: ()Ex f x x x  1(‫ﻟﻠﺪاﻟﺔ‬ ‫ﻣﺠﺎل‬ ‫أوﺳﻊ‬= 2(‫اﻟﻤﺤﺎذﯾﺎت‬:‫ﻏﯿﺮ‬ ‫اﻟﺪاﻟﺔ‬ ‫ﻷن‬ ‫ﻣﺤﺎذﯾﺎت‬ ‫ﺗﻮﺟﺪ‬ ‫ﻻ‬‫ﻧﺴﺒﯿﺔ‬. 3(‫اﻟﺘﻨﺎﻇﺮ‬:‫ﻣﻮﺟﻮد‬ ‫اﻟﺒﺮھﺎن‬:, ( )x x ‫ﻖ‬ ‫وﺗﺤﻘ‬      5 5 5 ( ) ( ) ( ) ( ) ( )f x x x x x x x f x             f‫اﻷﺻﻞ‬ ‫ﻧﻘﻄﺔ‬ ‫ﺣﻮل‬ ‫ﻣﺘﻨﺎﻇﺮة‬ 4(‫اﻟ‬‫ﺘﻘﺎﻃﻊ‬: A(‫اﻟﺴﯿﻨﺎت‬ ‫ﻣﻊ‬)y = 0(50 x x  0x ‫ھﻲ‬ ‫اﻟﺘﻘﺎﻃﻊ‬ ‫ﻧﻘﻄﺔ‬(0,0) B(‫اﻟﺼﺎدات‬ ‫ﻣﻊ‬)x = 0()y = 0(‫ھﻲ‬ ‫اﻟﺘﻘﺎﻃﻊ‬ ‫ﻧﻘﻄﺔ‬(0,0) 5( 4( ) 5 1 0f x x     ‫ﻓﻲ‬ ‫ﻣﺘﺰاﯾﺪة‬ ‫اﻟﺪاﻟﺔ‬‫ﺣﺮﺟﺔ‬ ‫ﻧﻘﻄﺔ‬ ‫ﺗﻮﺟﺪ‬ ‫ﻻ‬ ، ‫ﻣﺤﻠﯿﺔ‬ ‫ﻧﮭﺎﯾﺔ‬ ‫ﺗﻮﺟﺪ‬ ‫ﻻ‬ ‫ﻟﺬا‬. 6(3( ) 20f x x  30 20 0x x   ‫اﻟﻔﺘﺮة‬ ‫ﻋﻠﻰ‬ ‫ﻣﻘﻌﺮة‬ ‫اﻟﺪاﻟﺔ‬ : 0x x  ‫اﻟﻔﺘﺮة‬ ‫ﻋﻠﻰ‬ ‫ﻣﺤﺪﺑﺔ‬ ‫اﻟﺪاﻟﺔ‬ : 0x x  (0 , 0 )‫اﻧﻘﻼب‬ ‫ﻧﻘﻄﺔ‬(0) 0f   0 - - - - + + + ‫اﺷﺎرة‬ ( )f x
  • 164.
    KAMIL ALNASSIRY164  3 1 6:( ) 1 x Q f x x    1(‫ﻣﺠﺎل‬ ‫أوﺳﻊ‬= / 1 2(‫اﻟﻤﺤﺎذﯾﺎت‬: A(‫اﻟﻌﻤﻮدي‬) :x = -1( B(‫اﻷﻓﻘﻲ‬:‫ﺑﺎﻟﻘﺴﻤﺔ‬‫اﻟﻄﻮﯾﻠ‬‫ﺔ‬‫اﻟﻘﯿﺎﺳﯿﺔ‬ ‫ﻟﻠﺼﯿﻐﺔ‬ ‫اﻟﺪاﻟﺔ‬ ‫ﺗﺤﻮل‬ 4 ( ) 3 1 f x x    Y = 3‫أﻓﻘﻲ‬ ‫ﻣﺤﺎذي‬ ‫ﻣﺴﺘﻘﯿﻢ‬ 3(‫اﻟﺘﻨﺎﻇﺮ‬:‫اﻷﺻﻞ‬ ‫ﻧﻘﻄﺔ‬ ‫ﺣﻮل‬ ‫وﻻ‬ ‫اﻟﺼﺎدات‬ ‫ﻣﻊ‬ ‫ﻻ‬ ‫ﺗﻨﺎﻇﺮ‬ ‫ﯾﻮﺟﺪ‬ ‫ﻻ‬.... 4(‫اﻟﺘﻘﺎﻃﻊ‬: A(‫اﻟﺴﯿﻨﺎت‬ ‫ﻣﺤﻮر‬ ‫ﻣﻊ‬)y = 0( 1 3 x ‫ھﻲ‬ ‫اﻟﺘﻘﺎﻃﻊ‬ ‫ﻧﻘﻄﺔ‬1 , 0 3       B(‫اﻟﺼﺎدات‬ ‫ﻣﺤﻮر‬ ‫ﻣﻊ‬)x = 0(y = -1‫ھﻲ‬ ‫اﻟﺘﻘﺎﻃﻊ‬ ‫ﻧﻘﻄﺔ‬(0, 1) 5( 4 ( ) 3 1 f x x    4 ( ) 0 2( 1) f x x    
  • 165.
    KAMIL ALNASSIRY165    x  1      ‫ﺎل‬ ‫اﻟﻤﺠ‬   ‫ﺣﺮﺟﺔ‬ ‫ﻧﻘﻄﺔ‬ ‫وﻻ‬ ‫ﻣﺤﻠﯿﺔ‬ ‫ﻧﮭﺎﯾﺔ‬ ‫ﺗﻮﺟﺪ‬ ‫ﻻ‬ ‫ﻟﺬا‬. ‫ﻣﺘﺰاﯾﺪة‬ ‫اﻟﺪاﻟﺔ‬:1 ; 1x x      )‫اﻟﺪاﻟﺔ‬ ‫أن‬ ‫اﻟﻘﻮل‬ ‫ﯾﻤﻜﻦ‬ ‫ﻻ‬ ‫ﻟﻤﺎذا‬‫ﻣﺘﺰاﯾﺪة‬‫ﻓﻲ‬ / 1‫؟‬(‫ﻗﻠﯿﻼ‬ ‫ﻓﻜﺮ‬. 6( 8 ( ) 0 3( 1) f x x       x   1      ‫ﺎل‬ ‫اﻟﻤﺠ‬   ‫اﻧﻘﻼب‬ ‫ﻧﻘﻄﺔ‬ ‫ﺗﻮﺟﺪ‬ ‫ﻻ‬ ‫ﻟﺬا‬ ‫ﻣﺤﺪﺑﺔ‬ ‫اﻟﺪاﻟﺔ‬:1x   ‫ﻣﺤﺪﺑﺔ‬ ‫اﻟﺪاﻟﺔ‬:1x   7(‫ﻣﺴﺎﻋﺪة‬ ‫ﻧﻘﻂ‬:‫أن‬ ‫ﺑﻤﺎ‬)x = -1(‫اﻟﻨﻘﻂ‬ ‫ﻣﻦ‬ ‫ﻣﺠﻤﻮﻋﺘﯿﻦ‬ ‫ﻓﻨﺴﺘﻌﻤﻞ‬ ‫ﻋﻤﻮدي‬ ‫ﻣﺤﺎذي‬ ‫ﻣﺴﺘﻘﯿﻢ‬: - - - -+ + + ‫إﺷﺎرة‬ ( )f x 1 o  + + ++ + + ‫اﺷﺎرة‬ ( )f x 1 o 
  • 166.
    KAMIL ALNASSIRY166  6 7: () 2 1 Q f x x   1(‫ﻣﺠﺎل‬ ‫أوﺳﻊ‬= 2(‫اﻟﻤﺤﺎذﯾﺎت‬:‫اﻟﻌﻤﻮد‬‫ي‬‫ﻣﺮﺑﻌﯿﻦ‬ ‫ﻣﺠﻤﻮع‬ ‫اﻟﻤﻘﺎم‬ ‫ﻷن‬ ‫ﻣﻮﺟﻮد‬ ‫ﻏﯿﺮ‬ ‫اﻷﻓﻘﻲ‬)y = 0( 3(‫اﻟﺘﻨﺎﻇﺮ‬:‫ﻣﻮﺟﻮد‬ X = -1 y x y = 3
  • 167.
    KAMIL ALNASSIRY167  ‫إﺷﺎرة‬ ( )fx 0 + + + - - - max ‫اﻟﺒﺮھﺎن‬:2 2 6 6 ( ) ( ) ( ) 1 1 f x f x x x        ‫اﻟﺪاﻟﺔ‬‫زوﺟﯿﺔ‬)‫اﻷﺻﻞ‬ ‫ﻧﻘﻄﺔ‬ ‫ﺣﻮل‬ ‫ﻣﺘﻨﺎﻇﺮة‬( 4(‫اﻟﺘ‬‫اﻟﻤﺤﻮرﯾﻦ‬ ‫ﻣﻊ‬ ‫ﻘﺎﻃﻊ‬:a(‫اﻟﺴﯿﻨﺎت‬ ‫ﻣﻊ‬)‫ﻣﻤﻜﻦ‬ ‫ﻏﯿﺮ‬( b(‫اﻟﺼﺎدات‬ ‫ﻣﻊ‬)x=0(‫ﻋﻠﻰ‬ ‫ﻧﺤﺼﻞ‬y = 6‫ھﻲ‬ ‫اﻟﺘﻘﺎﻃﻊ‬ ‫ﻧﻘﻂ‬)0 , 6( 5( 6(2 ) 12 ( ) 2 2 2 2( 1) ( 1) x x f x x x       ‫اﻟﻤﺸﺘﻘﺔ‬ ‫وﻋﻨﺪﻣﺎ‬=0‫ﻋﻠﻰ‬ ‫ﻧﺤﺼﻞ‬:‫اﻟﺒﺴﻂ‬=00x ‫ﺣﺮﺟﺔ‬ ‫ﻧﻘﻄﺔ‬ ‫ﻣﺘﺰاﯾﺪة‬ ‫اﻟﺪاﻟﺔ‬‫اﻟﻔﺘﺮة‬ ‫ﻓﻲ‬ : 0x x  ‫ﻣﺘﻨﺎﻗﺼﺔ‬ ‫اﻟﺪاﻟﺔ‬‫ﻓﻲ‬ : 0x x  ‫ﻣﺤﻠﯿﺔ‬ ‫ﻋﻈﻤﻰ‬ ‫ﻧﮭﺎﯾﺔ‬ 6 (0) 6 0 1 f     (0,6)‫ﻧﮭﺎﯾ‬ ‫ﻧﻘﻄﺔ‬ ‫ھﻲ‬‫ﺔ‬‫ﻣﺤﻠﯿﺔ‬ ‫ﻋﻈﻤﻰ‬ 6( 2 2( 1) ( 12 ) 2*( 12) * 2 4( 2( 1)* 1) 2 ( ) x x x x x f x         2( 1)x  2 212( 1) 48 42( 1) x x x         3 236 12 32( 1) x x    ‫اﻟﺜﺎﻧﯿﺔ‬ ‫اﻟﻤﺸﺘﻘﺔ‬ ‫وﻋﻨﺪﻣﺎ‬=0‫ﻋﻠﻰ‬ ‫ﻧﺤﺼﻞ‬)‫اﻟﺒﺴﻂ‬=0(236 12 0x  
  • 168.
    KAMIL ALNASSIRY168  212(3 1)0x   1 3 x  ‫ﻟﻼﻧﻘﻼب‬ ‫ﻣﺮﺷﺤﺔ‬ ‫ﻧﻘﻂ‬ ‫ﻣﻘﻌﺮة‬ ‫اﻟﺪاﻟﺔ‬:‫ﻓﻲ‬ 1 1 1) | 2) : 3 3 x x x x                     ‫ﻣﺤﺪﺑﺔ‬ ‫اﻟﺪاﻟﺔ‬:‫ﻓﻲ‬‫اﻟﻤﻔﺘﻮﺣﺔ‬ ‫اﻟﻔﺘﺮة‬ 1 1 ( , ) 3 3  1 6 3 9 ( ) 1 3 23 1 3 f        1 9 ( , ) 23 ‫اﻧﻘﻼ‬ ‫ﻧﻘﻄﺘﺎ‬‫ب‬ ‫إﺷﺎرة‬ ( )f x 1 3 1 3  + + +-------+ + +
  • 169.
    KAMIL ALNASSIRY169  ‫اﻟﺘﺎﻟﯿﺔ‬ ‫اﻟﺪوال‬‫ﺑﺎﻟﺘﻔﺎﺿﻞ‬ ‫ﻣﻌﻠﻮﻣﺎﺗﻚ‬ ‫ﺑﺎﺳﺘﺨﺪام‬ ‫ارﺳﻢ‬: 4 5 3 2 3 3 2 3 2 2 1: ( ) 1 (1 ) 2: ( ) 1 (1 ) 3: ( ) 6 12 4: ( ) 6 2 5: ( ) 6 6: ( ) 3 9 7 : ( ) ( 2) Q f x x Q f x x Q f x x x x Q f x x x Q f x x x Q f x x x x Q f x x                    2 5 2 2 2 2 2 2 8: 9:   ( ) 3 10 10: ( ) 11: 4 0 3 12: ( ) 2 13: ( ) 1 4 14: ( ) ( 1) 6 15: ( ( ) ( 2)( 1 ) 3 1 ) 16: ( ) 1 Q Q f x x x Q f x x Q x y Q f x x x Q f x x Q f x x Q f f x x x x x x Q f x x                     
  • 170.
    ‫ﺍﻟﻨﺎﺻﺮﻱ‬‫ﻣﻮﺳﻰ‬‫ﻛﺎﻣﻞ‬ 170 ‫ﺍﶈﻠﻴﺔ‬ ‫ﺍﻟﻨﻬﺎﻳﺎﺕ‬ ‫ﻋﻠﻰ‬‫ﻋﻤﻠﻴﺔ‬ ‫ﺗﻄﺒﻴﻘﺎﺕ‬)‫ﺍﻟﻘﺼﻮﻯ‬(. ‫اﻛﺒﺮ‬ ‫ﺗﻌﯿﯿﻦ‬ ‫ﻓﯿﮭﺎ‬ ‫ﯾﻄﻠﺐ‬ ‫ﻣﺴﺎﺋﻞ‬ ، ‫وﻏﯿﺮھﺎ‬ ‫واﻻﻗﺘﺼﺎد‬ ‫واﻟﮭﻨﺪﺳﺔ‬ ‫اﻟﻌﻠﻮم‬ ‫ﻓﻲ‬ ‫ﻗﻀﺎﯾﺎ‬ ‫ﻋﺪة‬ ‫ﺗﺘﻀﻤﻦ‬ ‫أن‬ ‫ﻟﻠﺘﻄﺒﯿﻘﺎت‬ ‫ﯾﻤﻜﻦ‬ ‫ﻧﺼﯿﺔ‬ ‫ﻣﺴﺎﺋﻞ‬ ‫ﺗﺴﻤﻰ‬ ‫ﻟﺬا‬ ‫واﻟﻜﻠﻤﺎت‬ ‫ﺑﺎﻟﺠﻤﻞ‬ ‫اﻟﻤﺴﺎﺋﻞ‬ ‫ھﺬه‬ ‫وﺗﺼﺎغ‬ ، ‫ﻣﺘﻐﯿﺮة‬ ‫ﻟﻜﯿﺔ‬ ‫ﻗﯿﻤﺔ‬ ‫اﺻﻐﺮ‬ ‫أو‬ ‫ﻗﯿﻤﺔ‬‫وﺳﻮف‬ ، ‫ﻓﻲ‬ ‫اﻟﻤﺴﺎﺋﻞ‬ ‫ﺑﻌﺾ‬ ‫ﻧﻘﺪم‬‫اﻟﻨﺼﯿﺔ‬ ‫اﻟﻜﻠﻤﺎت‬ ‫ﺗﺤﻮﯾﻞ‬ ‫اﺳﻠﻮب‬ ‫ﺗﻮﺿﺢ‬ ‫ﻣﺤﻠﻮﻟﺔ‬ ‫ﻛﺄﻣﺜﻠﺔ‬ ‫اﻟﻤﻮاﺿﯿﻊ‬ ‫ھﺬه‬ ‫ﻣﻦ‬ ‫ﺑﻌﺾ‬‫إﻟﻲ‬ ‫ﺛﻢ‬ ‫وﻣﻦ‬ ، ‫دوال‬ ، ‫ﻣﻌﺎدﻻت‬ ، ‫رﯾﺎﺿﯿﺔ‬ ‫ﺻﯿﻎ‬‫إﯾﺠﺎد‬‫اﻟﻤﻄﻠﻮﺑﺔ‬ ‫اﻟﺼﻐﺮى‬ ‫أو‬ ‫اﻟﻌﻈﻤﻰ‬ ‫اﻟﻘﯿﻢ‬. ‫ﻓﻤﺜﻼ‬ ‫اﻟﺴﺆال‬ ‫ﺑﺪاﯾﺔ‬ ‫ﻓﻲ‬ ‫اﻟﺪاﻟﺔ‬ ‫ﻋﻠﻰ‬ ‫اﻟﺘﻌﺮف‬ ‫ﯾﺠﺐ‬ ‫اﻟﻤﺤﻠﯿﺔ‬ ‫اﻟﻨﮭﺎﯾﺎت‬ ‫ﻋﻠﻰ‬ ‫ﻋﻤﻠﯿﺔ‬ ‫ﺗﻄﺒﯿﻘﺎت‬ ‫ﻣﻮﺿﻮﻋﻨﺎ‬ ‫وﻓﻲ‬: ‫أ‬ ، ‫اﺳﻄﻮاﻧﺔ‬ ‫أﻛﺒﺮ‬‫ﻣﺨﺮوط‬ ‫أﻛﺒﺮ‬ ، ‫اﺳﻄﻮاﻧﺔ‬ ‫ﺻﻐﺮ‬...‫ﯾﻌﺘﻤﺪ‬ ‫ﻣﺠﺴﻢ‬ ‫ﻷي‬ ‫واﻟﺼﻐﺮ‬ ‫اﻟﻜﺒﺮ‬ ‫ﻷن‬ ‫اﻟﺤﺠﻢ‬ ‫داﻟﺔ‬ ‫ھﻲ‬ ‫اﻟﺪاﻟﺔ‬ ‫رﻗﯿﻖ‬ ‫ﻣﻌﺪن‬ ‫ﻣﻦ‬ ‫ﻣﻤﻜﻨﺔ‬ ‫ﻛﻤﯿﺔ‬ ‫أﻗﻞ‬ ‫ﻗﯿﻞ‬ ‫إذا‬ ‫أﻣﺎ‬ ، ‫ﺣﺠﻤﮫ‬ ‫ﻋﻠﻰ‬‫ﺗﻜﻔﻲ‬‫ھﻲ‬ ‫اﻟﺪاﻟﺔ‬ ‫اﻟﺤﺎﻟﺔ‬ ‫ھﺬه‬ ‫ﻓﻲ‬ ، ‫ﻣﺠﺴﻢ‬ ‫ﻟﺼﻨﻊ‬ ‫اﻟﻤﺴﺎﺣﺔ‬. ‫ﯾﻠﻲ‬ ‫ﻣﺎ‬ ‫ﻧﺘﺒﻊ‬ ‫ﺳﺆال‬ ‫أي‬ ‫وﻟﺤﻞ‬: 1(‫واﻟ‬ ‫اﻟﻤﺘﻐﯿﺮات‬ ‫ﻣﺆﺷﺮا‬ ‫ﻟﻠﻤﺴﺄﻟﺔ‬ ‫ﺗﻮﺿﯿﺤﯿﺎ‬ ‫ﺷﻜﻼ‬ ‫ارﺳﻢ‬‫اﻟﻤﻌﻄﺎة‬ ‫ﻤﻌﻠﻮﻣﺎت‬. 2(‫اﻟﻤﺘﻐﯿﺮ‬ ‫وﻣﻦ‬ ‫اﻟﺜﺎﺑﺖ‬ ‫ﻣﻦ‬ ‫اﻷﺑﻌﺎد‬ ‫ﻓﻲ‬ ‫ﺣﺪد‬. 3(‫اﻟﻜﻤﯿﺔ‬ ‫ﻧﻌﺘﺒﺮ‬Q‫واﺣﺪ‬ ‫ﻣﺘﻐﯿﺮ‬ ‫ﺑﺪﻻﻟﺔ‬ ‫ﻋﻨﮭﺎ‬ ‫وﻧﻌﺒﺮ‬ ‫واﻟﺼﻐﺮى‬ ‫اﻟﻌﻈﻤﻰ‬ ‫ﻗﯿﻤﺘﮭﺎ‬ ‫اﻟﻤﻄﻠﻮب‬ ‫اﻟﺪاﻟﺔ‬‫وﻟﯿﻜﻦ‬x ‫ﻗﯿﻢ‬ ‫ﺗﻌﯿﯿﻦ‬ ‫ﻣﻊ‬x‫اﻟﻤﺤﺘﻤﻠﺔ‬)‫ﻓﺘﺮة‬ ‫ﻋﺎدة‬ ‫ﺗﻤﺜﻞ‬.( 4(‫أﺣﺪھﻤﺎ‬ ‫ﻓﺠﺪ‬ ‫ﻣﺘﻐﯿﺮﯾﻦ‬ ‫اﻟﻤﺴﺄﻟﺔ‬ ‫ﻓﻲ‬ ‫وﺟﺪ‬ ‫إذا‬‫اﻵﺧﺮ‬ ‫ﺑﺪﻻﻟﺔ‬. 5(‫اﻟﺜﺎﻧﯿﺔ‬ ‫اﻟﻤﺸﺘﻘﺔ‬ ‫ﺑﻄﺮﯾﻘﺔ‬ ‫أو‬ ‫اﻷوﻟﻰ‬ ‫اﻟﻤﺸﺘﻘﺔ‬ ‫ﺑﻄﺮﯾﻘﺔ‬ ‫إﻣﺎ‬ ‫اﻟﻨﻘﻂ‬ ‫ھﺬه‬ ‫وأﺧﺘﺒﺮ‬ ‫اﻟﺤﺮﺟﺔ‬ ‫اﻟﻨﻘﻂ‬ ‫ﺟﺪ‬. ‫أﻣﺜﻠــــــــــــــــﺔ‬: Ex61:‫ﯾﻤﻜﻦ‬ ‫ﻣﺎ‬ ‫أﺻﻐﺮ‬ ‫اﻟﻨﺎﺗﺞ‬ ‫ﯾﻜﻮن‬ ‫ﻣﺮﺑﻌﮫ‬ ‫إﻟﻰ‬ ‫أﺿﯿﻒ‬ ‫إذا‬ ‫اﻟﺬي‬ ‫اﻟﻌﺪد‬ ‫ﺟﺪ‬. ‫اﻟﻌﺪد‬ ‫ﻟﯿﻜﻦ‬=x‫اﻟﻌﺪد‬ ‫ﻣﺮﺑﻊ‬=x2 ‫اﻹﺿﺎﻓﺔ‬ ‫ﻧﺎﺗﺞ‬ ‫وﻟﯿﻜﻦ‬=Q 2 ( )Q f x x x   ( ) 1 2f x x   ‫اﻟﺤﺮﺟﺔ‬ ‫اﻟﻨﻘﻄﺔ‬ ‫وھﻮ‬ ‫اﻟﻤﻄﻠﻮب‬ ‫اﻟﻌﺪد‬ ‫ﯾﻤﺜﻞ‬ 1 0 1 2 2 x x      1 ( ) 2 ( ) 2 0 2 f x f     1 2 x   ‫اﻟﻌﺪد‬ ‫ﻋﻨﺪ‬ ‫ﻣﺤﻠﯿﺔ‬ ‫ﺻﻐﺮى‬ ‫ﻧﮭﺎﯾﺔ‬ ‫اﻟﻤﺠﻤﻮع‬ ‫ﻟﺪاﻟﺔ‬ 1 2 x  
  • 171.
    ‫ﺍﻟﻨﺎﺻﺮﻱ‬‫ﻣﻮﺳﻰ‬‫ﻛﺎﻣﻞ‬ 171 Ex62:‫ﺑﻌﺪاھﺎ‬ ‫اﻟﺸﻜﻞ‬ ‫ﻣﺮﺑﻌﺔ‬‫اﻟﻨﺤﺎس‬ ‫ﻣﻦ‬ ‫ﻗﻄﻌﺔ‬ ‫ﻣﻦ‬ ‫ﻣﻔﺘﻮح‬ ‫ﺻﻨﺪوق‬ ‫ﺻﻨﻊ‬12,12 cm‫أرﺑﻌﺔ‬ ‫ﺑﻘﺺ‬ ‫وذﻟﻚ‬ ‫ﻣﻨﮭﺎ‬ ‫اﻟﺒﺎرزة‬ ‫اﻷﺟﺰاء‬ ‫ﺛﻨﻲ‬ ‫ﺛﻢ‬ ‫اﻷرﺑﻌﺔ‬ ‫أرﻛﺎﻧﮭﺎ‬ ‫ﻣﻦ‬ ‫اﻷﺑﻌﺎد‬ ‫ﻣﺘﺴﺎوﯾﺔ‬ ‫ﻣﺮﺑﻌﺎت‬.‫اﻟﻌﻠﺒﺔ؟‬ ‫ﻟﮭﺬه‬ ‫اﻷﻋﻈﻢ‬ ‫اﻟﺤﺠﻢ‬ ‫ھﻮ‬ ‫ﻣﺎ‬ ‫اﻟﺤﻞ‬: ‫ﯾﺴﺎوي‬ ‫اﻟﻤﻘﻄﻮع‬ ‫اﻟﺮﺑﻊ‬ ‫ﺿﻠﻊ‬ ‫ﻃﻮل‬ ‫ﻧﻔﺮض‬x cm ‫ھﻲ‬ ‫اﻟﺼﻨﺪوق‬ ‫أﺑﻌﺎد‬:12 2 ; 12 2 ;x x x  ‫اﻟﺤﺠﻢ‬=‫اﻟﺜﻼﺛﺔ‬ ‫أﺑﻌﺎده‬ ‫ﺿﺮب‬ ‫ﺣﺎﺻﻞ‬: (12 2 ) (12 2 )*v x x x   2 ( ) (12 2 )v f x x x   4 ( ) (144 48 4 )V f x x x x    2 3 ( ) 144 48 4V f x x x x    2 ( ) 144 96 12 dv f x x x dx     2 0 12(12 8 ) 12(6 )(2 )x x x x      ‫اﻟﺤﺮﺟﺔ‬ ‫اﻟﻨﻘﻂ‬2 ; 6x x   ‫أن‬ ‫اﻟﺸﻜﻞ‬ ‫ﻣﻦ‬ ‫ﻻﺣﻆ‬6‫ﺗﮭﻤﻞ‬ ‫ﻋﻨﺪ‬ ‫ﺑﯿﻨﻤﺎ‬2‫ﻧﮭﺎﯾﺔ‬ ‫ﺗﻮﺟﺪ‬‫وﺗﺴﺎوي‬ ‫ﻟﻠﺤﺠﻢ‬ ‫ﻋﻈﻤﻰ‬ 2 3 (2) 2(12 4) 128V f cm    xx x x x x x 12 2x x 2 0 ‫إﺷﺎرة‬( )f x ---+ + max 6 min + +
  • 172.
    ‫ﺍﻟﻨﺎﺻﺮﻱ‬‫ﻣﻮﺳﻰ‬‫ﻛﺎﻣﻞ‬ 172 h-12 12 12 h xx Ex63:‫ﻣﺘﺴﺎ‬ ‫ﻣﺜﻠﺚ‬ ‫أﻛﺒﺮ‬‫ﺑﻌﺪي‬ ‫ﺟﺪ‬‫ﻗﻄﺮھﺎ‬ ‫ﻧﺼﻒ‬ ‫داﺋﺮة‬ ‫داﺧﻞ‬ ‫ﯾﻮﺿﻊ‬ ‫أن‬ ‫ﯾﻤﻜﻦ‬ ‫اﻟﺴﺎﻗﯿﻦ‬ ‫وي‬12 cm‫أن‬ ‫ﺑﺮھﻦ‬ ‫ﺛﻢ‬ ‫ﻛﻨﺴﺒﺔ‬ ‫اﻟﺪاﺋﺮة‬ ‫ﻣﺴﺎﺣﺔ‬ ‫إﻟﻰ‬ ‫اﻟﻤﺜﻠﺚ‬ ‫ﻣﺴﺎﺣﺔ‬ 3 3 4 ‫اﻟﺤﻞ‬: 1(‫اﻟﻤﺜﻠﺚ‬ ‫ﺑﻌﺪي‬ ‫ﻧﻔﺮض‬:2 ,x h)‫اﻟﻤﺘﻐﯿﺮات‬( 2(‫اﻟﻤﺘﻐﯿﺮات‬ ‫ﺑﯿﻦ‬ ‫ﻋﻼﻗﺔ‬ ‫ﻟﻨﺠﺪ‬: ‫ﻓﯿﺜﺎ‬‫ﻏ‬‫ﻮرس‬: 2 2( 12) 144x h   2 2 24 144 144x h h    2 224x h h  224x h h  3(‫اﻟﺪاﻟﺔ‬) :‫اﻟﻤﺜﻠﺚ‬ ‫ﻣﺴﺎﺣﺔ‬( 1 * 2 A b h 1 *2 * 2 A x h h x  4(‫اﻟﺘﻌﻮﯾﺾ‬: 2( ) 24A f h h h h   ‫اﻟﻤﺠﺎل‬ ‫ﻻﺣﻆ‬:0 24h ‫أن‬ ‫ﯾﻌﻨﻲ‬ ‫وھﺬا‬h‫اﻟﺠﺬر‬ ‫ﺗﻮﺣﯿﺪ‬ ‫ﻓﯿﻤﻜﻦ‬ ‫ﻣﻮﺟﺒﺔ‬ 5(‫اﻟﻤﺸﺘﻘﺔ‬ ‫ﻗﺒﻞ‬ ‫اﻟﺘﺒﺴﯿﻂ‬ 2 2( ) (24 )A f h h h h   3 4( ) 24A f h h h   6(‫اﻟﻤﺴﺎﺣﺔ‬ ‫ﻟﺪاﻟﺔ‬ ‫اﻟﺤﺮﺟﺔ‬ ‫اﻟﻨﻘﻂ‬ ‫ﻧﺠﺪ‬: 3272 4 ( ) 3 424 h hdA f h dh h h   
  • 173.
    ‫ﺍﻟﻨﺎﺻﺮﻱ‬‫ﻣﻮﺳﻰ‬‫ﻛﺎﻣﻞ‬ 173 ‫وﻋﻨﺪﻣﺎ‬( ) 0fh 2 372 4 0h h  24 (18 ) 0 18h h h cm    ‫ﻧﺘﻌﺮف‬ ‫اﻟﻤﺠﺎور‬ ‫اﻟﻤﺨﻄﻂ‬ ‫وﻣﻦ‬‫ﻋﻠ‬‫ﻰ‬‫اﻟﻤﺴﺎﺣﺔ‬ ‫ﻟﺪاﻟﺔ‬ ‫أن‬‫ﻧﮭﺎﯾﺔ‬‫اﻟـ‬ ‫ﻋﻨﺪ‬ ‫ﻋﻈﻤﻰ‬18 ‫اﻻرﺗﻔﺎع‬=h = 18 cm ‫اﻟﻘﺎﻋﺪة‬ ‫ﻃﻮل‬=2x 2 224 24*18 18 18(24 18) 18*6 36*3 6 3 x h h x x cm           ‫اﻟﻘﺎﻋﺪة‬ ‫ﻃﻮل‬=12 3 cm ‫اﻟﺪاﺋﺮة‬ ‫ﻣﺲ‬:2 1A r2 2 1 *12 144A cm   ‫اﻟﻤﺜﻠﺚ‬ ‫ﻣﺲ‬:2 1 * 2 A b h 2 2 6 3*18 108 3A cm  ‫اﻟﻤﺜﻠﺚ‬ ‫ﻣﺲ‬‫اﻟﺪاﺋﺮة‬ ‫ﻣﺲ‬: 2 1 108 3 3 3 144 4 A A     18 0 ‫إﺷﺎرة‬( )f h ---+ + max 24
  • 174.
    ‫ﺍﻟﻨﺎﺻﺮﻱ‬‫ﻣﻮﺳﻰ‬‫ﻛﺎﻣﻞ‬ 174 b c r n s p a y 18 x 18-x 24 Ex64:‫ﻗﺎﻋﺪﺗﮫ‬ ‫ﻃﻮل‬ ‫ﻣﺜﻠﺚ‬ ‫داﺧﻞ‬ ‫ﯾﻮﺿﻊ‬ ‫أن‬ ‫ﯾﻤﻜﻦ‬ ‫ﻣﺴﺘﻄﯿﻞ‬ ‫أﻛﺒﺮ‬ ‫ﺑﻌﺪي‬ ‫ﺟﺪ‬24 cm‫وارﺗﻔﺎﻋ‬‫ﮫ‬18 cm‫ﺑﺤﯿﺚ‬ ‫أ‬‫رؤوﺳ‬ ‫ﻣﻦ‬ ‫ﻣﺘﺠﺎورﯾﻦ‬ ‫رأﺳﯿﻦ‬ ‫ن‬‫ﮫ‬‫ﺳﺎﻗﯿﮫ‬ ‫ﻋﻠﻰ‬ ‫ﺗﻘﻌﺎن‬ ‫اﻟﺒﺎﻗﯿﯿﻦ‬ ‫واﻟﺮأﺳﯿﻦ‬ ‫اﻟﻘﺎﻋﺪة‬ ‫ﻋﻠﻰ‬ ‫ﺗﻘﻌﺎن‬. ‫اﻟﺤﻞ‬: 1(‫اﻟﻤﺴﺘﻄﯿﻞ‬ ‫ﺑﻌﺪي‬ ‫ﻣﻦ‬ ‫ﻛﻞ‬ ‫ﻃﻮل‬ ‫ﻧﻔﺮض‬:x , y cm 2(‫اﻟﻤﺘﻐﯿﺮات‬ ‫ﺑﯿﻦ‬ ‫اﻟﻌﻼﻗﺔ‬:‫اﻟﻤﺜﻠﺜﺎن‬:bns , bcr‫ﺗﺘﻨﺎﺳﺐ‬ ‫ﻟﺬا‬ ‫اﻟﻤﺘﻨﺎﻇﺮة‬ ‫زواﯾﺎھﻤﺎ‬ ‫ﻟﺘﺴﺎوي‬ ‫ﻣﺘﺸﺎﺑﮭﺎن‬ ‫أﺿﻼﻋﮭﻤ‬‫ﺎ‬‫اﻟﻤﺘﻨﺎﻇ‬‫ارﺗﻔﺎﻋﯿﮭﻤﺎ‬ ‫وﻛﺬﻟﻚ‬ ‫ﺮة‬. 18 24 18 ns ba y x cr bp     24 (18 ) 4 (18 318 )xy x y     3(‫اﻟﺪاﻟﺔ‬:‫اﻟﻤﺴﺘﻄﯿﻞ‬ ‫ﻣﺴﺎﺣﺔ‬=‫ﻃﻮﻟﮫ‬ ‫ﺿﺮب‬ ‫ﺣﺎﺻﻞ‬×‫ﻋﺮﺿﮫ‬A x y 4(‫واﺣﺪ‬ ‫ﻣﺘﻐﯿﺮ‬ ‫ﺑﺪﻻﻟﺔ‬ ‫اﻟﺘﺤﻮل‬: 4 (18 ) 3 *A x x
  • 175.
    ‫ﺍﻟﻨﺎﺻﺮﻱ‬‫ﻣﻮﺳﻰ‬‫ﻛﺎﻣﻞ‬ 175 5(‫اﻟﻤﺸﺘﻘﺔ‬ ‫ﻗﺒﻞ‬ ‫اﻟﺘﺒﺴﯿﻂ‬: 24 () ( 18 ) 3 f x A x x  ‫ﺣﯿﺚ‬0 18x  6(‫اﻟﺤﺮﺟﺔ‬ ‫اﻟﻨﻘﻂ‬ ‫ﻧﺠﺪ‬: 4 ( ) ( 18 2 ) 3 f x x   ‫وﻋﻨﺪﻣﺎ‬( ) 0f x 9x ‫اﻟﺤﺮﺟﺔ‬ ‫اﻟﻨﻘﻄﺔ‬ 4 8 ( ) ( 2) 3 3 f x     8 (9) 0 3 f     ‫ﻋﻨﺪ‬ ‫ﻣﺤﻠﯿﺔ‬ ‫ﻋﻈﻤﻰ‬ ‫ﻧﮭﺎﯾﺔ‬ ‫اﻟﻤﺴﺎﺣﺔ‬ ‫ﻟﺪاﻟﺔ‬ ‫ﯾﻌﻨﻲ‬ ‫وھﺬا‬9x cm‫اﻟﺒﻌﺪﯾﻦ‬ ‫أﺣﺪ‬ ‫وﯾﻤﺜﻞ‬. ‫اﻵﺧﺮ‬ ‫اﻟﺒﻌﺪ‬ 4 (18 9) 12 3 y cm  ; 4 (18 ) 3 y x  Ex65(‫ﻃﻮﻟﮫ‬ ‫ﺳﻠﻚ‬ ‫ﻣﻦ‬ ‫ﺷﻜﻞ‬L cm‫ﻣﺴﺎﺣﺔ‬ ‫أﻛﺒﺮ‬ ‫ذو‬ ‫ﻣﺴﺘﻄﯿﻼ‬. ‫اﻟﺤﻞ‬: 1(‫اﻟﻤﺴﺘﻄﯿﻞ‬ ‫ﺑﻌﺪي‬ ‫ﻧﻔﺮض‬x , y cm‫اﻟﻤﺘﻐﯿﺮات‬ 2(‫ﻟﻠﻤﺴﺘﻄﯿﻞ‬ ‫ﻣﺤﯿﻄﺎ‬ ‫ﯾﻤﺜﻞ‬ ‫اﻟﺜﺎﺑﺖ‬ ‫اﻟﺴﻠﻚ‬ ‫ﻃﻮل‬( )*2x y L  2 L y x  3(‫اﻟﻤﺴﺘﻄﯿﻞ‬ ‫ﻣﺴﺎﺣﺔ‬ ‫ﻟﺘﻜﻦ‬=A*A x y 4(*( ) 2 L A x x  5( 2 ( ) 2 L A f x x x   6(( ) 2 2 L f x x   ‫وﻋﻨﺪﻣﺎ‬( ) 0f x  ‫ﻓﺎن‬:‫ﺣﺮﺟﺔ‬ 4 L x cm
  • 176.
    ‫ﺍﻟﻨﺎﺻﺮﻱ‬‫ﻣﻮﺳﻰ‬‫ﻛﺎﻣﻞ‬ 176 h 8 8 h+8  a b c n d r ‫ﻣﺤﻠﯿﺔ‬ ‫ﻋﻈﻤﻰ‬ ‫ﻧﮭﺎﯾﺔ‬‫اﻟﻤﺴﺎﺣﺔ‬ ‫ﻟﺪاﻟﺔ‬ ‫أن‬ ‫ﯾﻌﻨﻲ‬ ‫وھﺬا‬ ( ) 0 2 2 ( ) 2 0 4 4 f x L L when x f          2 4 4 L L L y cm   ‫وﻣﺴﺎﺣﺘﮫ‬ ‫ﻣﺮﺑﻊ‬ ‫ھﻮ‬ ‫اﻟﻤﺘﻜﻮن‬ ‫اﻟﻤﺴﺘﻄﯿﻞ‬ 2 21 16 L cm Ex66:‫ﻗﻄﺮھﺎ‬ ‫ﻧﺼﻒ‬ ‫ﻛﺮة‬ ‫ﯾﺤﯿﻂ‬ ‫ﻗﺎﺋﻢ‬ ‫داﺋﺮي‬ ‫ﻣﺨﺮوط‬ ‫أﺻﻐﺮ‬ ‫ﻗﻄﺮ‬ ‫وﻧﺼﻒ‬ ‫ارﺗﻔﺎع‬ ‫ﺟﺪ‬8 cm. 1(‫اﻟﻤﺨﺮوط‬ ‫ﺑﻌﺪي‬ ‫ﻧﻔﺮض‬ ‫اﻟﺮﺳﻢ‬ ‫ﺑﻌﺪ‬, 8r h cm‫ﺣﺠﻤﮫ‬ ‫وﻟﯿﻜﻦ‬=V 2(‫اﻟﻌﻼﻗﺔ‬:2 8 tan 864 adnabc r hh      ‫ﻋﻠﻰ‬ ‫ﻧﺤﺼﻞ‬ ‫اﻟﻄﺮﻓﯿﻦ‬ ‫وﺑﺘﺮﺑﯿﻊ‬: 2 2 2 64 64 ( 8) r h h    2 2 64 ( 8)( 8) ( 8) r h x h     2 8 64* 8 h r h    3(‫اﻟﺪاﻟﺔ‬: 21 *( 8) 3 V r h  4(‫واﺣﺪ‬ ‫ﺑﻤﺘﻐﯿﺮ‬ ‫اﻟﺪاﻟﺔ‬ ‫ﺗﻜﻮن‬ ‫أن‬ ‫أﺟﻞ‬ ‫ﻣﻦ‬ ‫اﻟﺘﻌﻮﯾﺾ‬: 1 8 64* * *( 8) 3 8 h V h h      5(‫ﺗﺒﺴﯿﻂ‬:8h : 2 64 ( 8) ( ) * 3 8 h V f h h     
  • 177.
    ‫ﺍﻟﻨﺎﺻﺮﻱ‬‫ﻣﻮﺳﻰ‬‫ﻛﺎﻣﻞ‬ 177 24 8 ‫إﺷﺎرة‬( )f h ++-- min 2 2 64 ( 8)*2( 8) ( 8) *1 ( ) * 3 ( 8) h h h f h h         2 2 64 ( 8)(2 16 8) 64 ( 24)( 8) ( ) * * 3 ( 8) 3 ( 8) h h h h h f h h h             6(‫اﻟﺤﺮﺟﺔ‬ ‫اﻟﻨﻘﻂ‬ ‫ﻧﺠﺪ‬:‫اﻟﻤﺸﺘﻘﺔ‬ ‫وﻋﻨﺪﻣﺎ‬=0‫اﻟﺒﺴﻂ‬ ‫ﻓﺎن‬=024 0h   24h ‫ﺣﺮﺟﺔ‬ ‫ﻧﮭﺎﯾﺔ‬ ‫اﻟﺤﺠﻢ‬ ‫ﻟﺪاﻟﺔ‬ ‫أن‬ ‫ﻧﺴﺘﻨﺞ‬ ‫اﻷوﻟﻰ‬ ‫اﻟﻤﺸﺘﻘﺔ‬ ‫اﺧﺘﺒﺎر‬ ‫ﻣﺨﻄﻂ‬ ‫ﻣﻦ‬ ‫ﻋﻨﺪﻣﺎ‬ ‫ﻣﺤﻠﯿﺔ‬ ‫ﺻﻐﺮى‬24h  ‫اﻷﺑﻌﺎد‬(‫اﻻرﺗﻔﺎع‬:h+8 = 32 cm ‫اﻟﻘﻄﺮ‬ ‫ﻧﺼﻒ‬r( 2 24 8 64* 128 8 2 24 8 r r cm       Ex67(‫داﺋﺮﯾﺔ‬ ‫اﺳﻄﻮاﻧﺔ‬ ‫ﻗﻄﺮ‬ ‫ﻧﺼﻒ‬ ‫ﯾﺴﺎوي‬ ‫ﻛﺮة‬ ‫ﻗﻄﺮ‬ ‫ﻧﺼﻒ‬ ‫ﻛﺎن‬ ‫اذا‬‫ﻗﺎﺋﻤﺔ‬‫اﻟﻜﺮة‬ ‫ﺣﺠﻤﻲ‬ ‫ﻣﺠﻤﻮع‬ ‫وﻛﺎن‬ ، ‫ﯾﺴﺎوي‬ ‫واﻻﺳﻄﻮاﻧﺔ‬ 3 90 cm‫اﻟﻜﻠﯿﺔ‬ ‫ﻣﺴﺎﺣﺘﯿﮭﻤﺎ‬ ‫ﻣﺠﻤﻮع‬ ‫ﯾﻜﻮن‬ ‫ﻋﻨﺪﻣﺎ‬ ‫اﻟﻜﺮة‬ ‫ﻗﻄﺮ‬ ‫ﻧﺼﻒ‬ ‫ﺟﺪ‬‫ﻣﺎ‬ ‫أﺻﻐﺮ‬ ‫ﯾﻤﻜﻦ‬. ‫اﻟﺤﻞ‬: 1(‫اﻻﺳﻄﻮاﻧﺔ‬ ‫ﺑﻌﺪي‬ ‫ﻧﻔﺮض‬:‫اﻟ‬ ‫ﻧﺼﻒ‬‫ﻘﻄﺮ‬=r‫واﻻرﺗﻔﺎع‬=h‫ﻟﻜﺮ‬ ‫ﻗﻄﺮا‬ ‫ﻧﺼﻒ‬‫ة‬=r‫ﺑﺎﻟﺴﻨﺘﯿﻤﺘﺮ‬ 2(‫اﻟﻌﻼﻗﺔ‬:‫اﻟﻜﺮة‬ ‫ﺣﺠﻢ‬+‫اﻻﺳﻄﻮاﻧﺔ‬ ‫ﺣﺠﻢ‬= 3 90 cm 3 2 2 34 4 * 90 * 90 3 3 r r h r h r          2 90 4 3 h r r   
  • 178.
    ‫ﺍﻟﻨﺎﺻﺮﻱ‬‫ﻣﻮﺳﻰ‬‫ﻛﺎﻣﻞ‬ 178 3(‫اﻟﺪاﻟﺔ‬:‫اﻟﻜﺮة‬ ‫ﻣﺴﺎﺣﺔ‬+‫ﻣﺴﺎ‬‫اﻻﺳﻄﻮاﻧﺔ‬ ‫ﺣﺔ‬ SylinderSphereA A A  2 2 2 2 4 SphereSylinder r h r rA      4(‫واﺣﺪ‬ ‫ﻟﻤﺘﻐﯿﺮ‬ ‫اﻟﺘﺤﻮﯾﻞ‬:2 2 290 4 2 ( ) 3 2 4rA r r rr       5(‫اﻻﺷﺘﻘﺎق‬ ‫ﻗﺒﻞ‬ ‫ﻣﺎ‬ ‫ﺗﺒﺴﯿﻂ‬: 2 290 4 ( ) 2 ( 6) 3 A f r r r r      6(‫ﻟﻠﺼﻔﺮ‬ ‫اﻟﻤﺸﺘﻘﺔ‬ ‫وﻧﺴﺎوي‬ ‫ﻧﺸﺘﻖ‬:2 90 8 ( ) 2 1) 3 2( dA f r r dr r r        2 3 2 2 90 8 0 2 ( ) 12 3 r r r r           3 3 3 3 0 270 8 18 10 270 27 3r r r r r cm          ‫اﻟﻤ‬ ‫ﻟﻤﺠﻤﻮع‬ ‫أن‬ ‫ﯾﻌﻨﻲ‬ ‫وھﺬا‬‫اﻟﻘﻄﺮ‬ ‫ﻧﺼﻒ‬ ‫ﻋﻨﺪﻣﺎ‬ ‫ﻣﺤﻠﯿﺔ‬ ‫ﺻﻐﺮى‬ ‫ﻧﮭﺎﯾﺔ‬ ‫ﺴﺎﺣﺘﯿﻦ‬=3 cm Ex68:‫ﯾﺴﺎوى‬ ‫وﻣﺮﺑﻊ‬ ‫داﺋﺮة‬ ‫ﻣﺤﯿﻄﻲ‬ ‫ﻣﺠﻤﻮع‬60 cm‫اﻟﺸﻜﻠﯿﻦ‬ ‫ﻣﺴﺎﺣﺘﻲ‬ ‫ﻣﺠﻤﻮع‬ ‫ﯾﻜﻮن‬ ‫ﻋﻨﺪﻣﺎ‬ ‫اﻧﮫ‬ ‫اﺛﺒﺖ‬ ‫اﻟﻤﺮﺑﻊ‬ ‫ﺿﻠﻊ‬ ‫ﻃﻮل‬ ‫ﯾﺴﺎوي‬ ‫اﻟﺪاﺋﺮة‬ ‫ﻗﻄﺮ‬ ‫ﻃﻮل‬ ‫ﻓﺎن‬ ‫ﯾﻤﻜﻦ‬ ‫ﻣﺎ‬ ‫أﺻﻐﺮ‬. ‫اﻟﺤﻞ‬: 1(‫اﻟﻔﺮﺿﯿﺔ‬:‫اﻟﺪاﺋﺮة‬ ‫ﻗﻄﺮ‬ ‫ﻧﺼﻒ‬ ‫ﻧﻔﺮض‬=r cm‫ﺿﻠﻊ‬ ‫ﻃﻮل‬ ‫وﻧﻔﺮض‬‫اﻟﻤﺮﺑﻊ‬=x cm 2(‫اﻟﻌﻼﻗﺔ‬:60=‫اﻟﻤﺮﺑﻊ‬ ‫ﻣﺤﯿﻂ‬+‫اﻟﺪاﺋﺮة‬ ‫ﻣﺤﯿﻂ‬60 4 2x r  1 (30 2 )r x    3(‫اﻟﺪاﻟﺔ‬: 2 2 ;Squere circleA A A A x r     4(‫واﺣﺪ‬ ‫ﻟﻤﺘﻐﯿﺮ‬ ‫اﻟﺘﺤﻮﯾﻞ‬: 2 2 1 (30 2 )A x x          3 270 8 270 8 80 ( ) 2 ( ) 12 ; (3) 2 ( ) 12 0 3 27 3 3 f r f r               
  • 179.
    ‫ﺍﻟﻨﺎﺻﺮﻱ‬‫ﻣﻮﺳﻰ‬‫ﻛﺎﻣﻞ‬ 179 5(‫ﺗﺒﺴﯿﻂ‬: 2 21 ( )(900 120 4 )A f x x x x       6(‫ﻧﺸﺘﻖ‬...... 1 ( ) 2 ( 120 8 )f x x x       ‫اﻟﻤﺸﺘﻘﺔ‬ ‫وﻋﻨﺪﻣﺎ‬=0‫ﻋﻠﻰ‬ ‫ﻧﺤﺼﻞ‬: 21 0 2 ( 120 8 ) 0 60 4x x x x             60 4x x  ‫ﻟﻜﻦ‬60 4 2x r 4x 2 4r x x    2r  x  2r x‫اﻟﻤﻄﻠﻮب‬ ‫ﯾﺘﻢ‬ ‫وﺑﮭﺬا‬. Ex69(‫ﻃﻮﻟﮭﺎ‬ ‫ﺳﻠﻚ‬ ‫ﻗﻄﻌﺔ‬60 cm‫اﻟﺠﺰء‬ ‫ﻣﻦ‬ ‫ﺟﺰأﯾﻦ‬ ‫اﻟﻰ‬ ‫ﻗﺴﻤﺖ‬‫اﻷول‬‫ﺻﻨﻊ‬ ‫اﻟﺜﺎﻧﻲ‬ ‫اﻟﺠﺰء‬ ‫وﻣﻦ‬ ‫داﺋﺮة‬ ‫ﺻﻨﻊ‬ ‫اﻟﺪ‬ ‫ﻗﻄﺮ‬ ‫ﺑﺮھﻦ‬ ، ‫ﻣﺮﺑﻊ‬‫ﺻﻐﺮى‬ ‫ﻧﮭﺎﯾﺔ‬ ‫اﻟﺸﻜﻠﯿﻦ‬ ‫ﻣﺴﺎﺣﺘﻲ‬ ‫ﻟﻤﺠﻤﻮع‬ ‫ﯾﻜﻮن‬ ‫ﻋﻨﺪﻣﺎ‬ ‫اﻟﻤﺮﺑﻊ‬ ‫ﺿﻠﻊ‬ ‫ﻃﻮل‬ ‫ﯾﺴﺎوي‬ ‫اﺋﺮة‬ ‫ﻣﺤﻠﯿﺔ‬. ‫اﻟﺴﺎﺑﻖ‬ ‫اﻟﺴﺆال‬ ‫ﺣﻞ‬ ‫ﯾﻌﺎد‬. Ex70(‫اﻟﺰاﺋﺪ‬ ‫ﻟﻠﻘﻄﻊ‬ ‫ﺗﻨﺘﻤﻲ‬ ‫ﻧﻘﺎط‬ ‫أو‬ ‫ﻧﻘﻄﺔ‬ ‫ﺟﺪ‬ 2 2 3y x ‫ﻟﻠﻨﻘﻄﺔ‬ ‫ﯾﻤﻜﻦ‬ ‫ﻣﺎ‬ ‫أﻗﺮب‬ ‫ﺗﻜﻮن‬ ‫ﺑﺤﯿﺚ‬(0,4) ‫اﻟﺤﻞ‬: 1(‫اﻟﻔﺮﺿﯿﺔ‬:‫اﻟﻨﻘﻄﺔ‬ ‫ﻧﻔﺮض‬(x , y)‫ﻣ‬ ‫ھﻲ‬‫ل‬ ‫ﻣﻌﺎدﻟﺘﮫ‬ ‫ﻓﺘﺤﻘﻖ‬ ‫اﻟﻤﻨﺤﻨﻲ‬ ‫ﻧﻘﻂ‬ ‫ﻦ‬ 2(‫اﻟﻌﻼﻗﺔ‬:‫اﻟﻨﻘﻄﺔ‬(x , y)‫ھﻲ‬ ‫ﻓﺎﻟﻌﻼﻗﺔ‬ ‫ﻣﻌﺎدﻟﺘﮫ‬ ‫ﻓﺘﺤﻘﻖ‬ ‫اﻟﻤﻨﺤﻨﻲ‬ ‫ﻧﻘﻂ‬ ‫ﻣﻦ‬ ‫ھﻲ‬: 2 2 3y x  ‫اﻟﺤﺎﺟﺔ‬ ‫ﺣﺴﺐ‬ ‫ﻧﺠﺪ‬ ‫ﻣﻨﮭﺎ‬: 2 2 2 2 3 3y x or x y    3(‫اﻟﻤﺴﺎﻓﺔ‬ ‫ﻗﺎﻧﻮن‬:2 2 2 1 2 1( ) ( )D x x y y    2 2 2 2 ( 0) ( 4) 8 16D x y x y y        4(‫واﺣﺪ‬ ‫ﻟﻤﺘﻐﯿﺮ‬ ‫ﺗﺤﻮﯾﻞ‬:2 2 3 8 16D y y y     5(‫ﻟﻼﺷﺘﻘﺎق‬ ‫ﻟﻠﺘﺠﮭﯿﺰ‬ ‫ﺗﺒﺴﯿﻂ‬:2 ( ) 2 8 13D f y y y   
  • 180.
    ‫ﺍﻟﻨﺎﺻﺮﻱ‬‫ﻣﻮﺳﻰ‬‫ﻛﺎﻣﻞ‬ 180 2 ‫إﺷﺎرة‬( )f y ++-- min y x X = 12 ( , ) • a x y b 12 c d y x 6(‫ﻧﺸﺘﻖ‬:...2 4 8 ( ) 2 2 8 13 y f y y y      ‫اﻟﻤﺸﺘﻘﺔ‬ ‫وﻋﻨﺪﻣﺎ‬=0‫اﻟﺒﺴﻂ‬ ‫ﻓﺎن‬=04y – 8 = 0y = 2 ‫ﻟﻜﻦ‬: 2 2 3x y  2 4 3 1x   1x   ‫ھﻲ‬ ‫اﻟﻨﻘﻄﺔ‬:(1,2) ( 1,2)or  َE71(‫اﻟﻤﻜﺎﻓﺊ‬ ‫ﺑﺎﻟﻘﻄﻊ‬ ‫اﻟﻤﺤﺪدة‬ ‫اﻟﻤﻨﻄﻘﺔ‬ ‫داﺧﻞ‬ ‫ﻟﻤﺴﺘﻄﯿﻞ‬ ‫ﻣﺴﺎﺣﺔ‬ ‫أﻛﺒﺮ‬ ‫ﺟﺪ‬ 2 y x‫واﻟﻤﺴ‬‫ﺘﻘﯿﻢ‬12x  ‫اﻟﺤﻞ‬: ‫أوﻻ‬ ‫ﻧﺮﺳﻢ‬:‫اﻟﯿﻤﯿﻦ‬ ‫ﻣﻦ‬ ‫اﻟﺴﯿﻨﺎت‬ ‫ﻣﺤﻮر‬ ‫ﻋﻠﻰ‬ ‫وﺑﺆرﺗﮫ‬ ‫اﻷﺻﻞ‬ ‫ﻧﻘﻄﺔ‬ ‫رأﺳﮫ‬ ‫اﻟﻤﻜﺎﻓﺊ‬ ‫اﻟﻘﻄﻊ‬. 1(‫اﻟﻔﺮﺿﯿﺔ‬:‫اﻟﺮأس‬ ‫ﻧﻔﺮض‬( , )a x y ‫ﻧﺴﺘﻨﺘﺞ‬ ‫ارﺳﻢ‬ ‫ﻣﻦ‬:‫اﻟﻌﺮض‬12ad x  ‫واﻟﻄﻮل‬:2ab y 2(‫اﻟﻤﻌﻄﺎة‬ ‫اﻟﻤﻌﺎدﻟﺔ‬ ‫ھﻲ‬ ‫اﻟﻌﻼﻗﺔ‬ 2 y x 3(‫اﻟﺪاﻟ‬‫ﺔ‬:2 (12 )A y x  4(‫واﺣﺪ‬ ‫ﻟﻤﺘﻐﯿﺮ‬ ‫اﻟﺘﺤﻮل‬ 2 2 (12 )A y y  5(‫اﻟﺘﺒﺴﯿﻂ‬: 3 ( ) 2(12 )A f y y y   6(‫و‬ ‫ﻧﺸﺘﻖ‬: ... 2 ( ) 2(12 3 )f y y   2 0 2(12 3 )y 2y  ‫ﯾﻤﻜﻦ‬ ‫ﻣﺎ‬ ‫أﻛﺒﺮ‬ ‫اﻟﻤﺴﺎﺣﺔ‬ ‫داﻟﺔ‬ ‫أن‬ ‫ﯾﻌﻨﻲ‬ ‫وھﺬا‬( ) 2(0 6 ) (2) 24 0f y y f      ‫ھﻲ‬ ‫ﻣﺴﺎﺣﺔ‬ ‫أﻛﺒﺮ‬: 2 (2) 2(12 2 8) 32A f unit    
  • 181.
    ‫ﺍﻟﻨﺎﺻﺮﻱ‬‫ﻣﻮﺳﻰ‬‫ﻛﺎﻣﻞ‬ 181 E72(‫اﻟ‬ ‫أﺿﯿﻒ‬ ‫إذا‬‫اﻟﺬي‬ ‫اﻟﻌﺪد‬ ‫ﺟﺪ‬‫ﻰ‬‫ﯾﻜﻮ‬ ‫اﻟﻀﺮﺑﻲ‬ ‫ﻧﻈﯿﺮه‬‫ﯾﻤﻜﻦ‬ ‫ﻣﺎ‬ ‫أﻛﺒﺮ‬ ‫اﻟﻨﺎﺗﺞ‬ ‫ن‬. ‫اﻟﺤﻞ‬: ‫ھﻮ‬ ‫اﻟﻌﺪد‬ ‫ﻟﯿﻜﻦ‬x‫ﯾﻜﻮن‬ ‫اﻟﻀﺮﺑﻲ‬ ‫ﻧﻈﯿﺮه‬ ‫ﻓﺎن‬ ‫ﻟﺬا‬ 1 x 1 ( ) : 0f x x x x    2 1 ( ) 1f x x    ‫اﻟﻤﺸﺘﻘﺔ‬ ‫وﻋﻨﺪﻣﺎ‬=0‫ﻓﺎن‬:‫ﺣﺮﺟﺘﺎن‬ 2 2 1 0 1 1 1x x        3 2 ( )f x x    1(‫ﻋﻨﺪﻣﺎ‬1x ‫ﻓﺎن‬3 2 (1) 2 0 1 f     ‫اﻟﻤﻄﻠﻮب‬ ‫ﯾﺤﻘﻖ‬ ‫ﻻ‬ ‫اﻟﻌﺪد‬ ‫ھﺬا‬ ‫ﻧﻼﺣﻆ‬ 2(‫ﻋﻨﺪﻣﺎ‬1x  ‫ﻓﺎن‬ 2 ( 1) 2 0 1 f         ‫اﻟﻌﺪد‬( - 1 )‫اﻟﻤﻄﻠﻮب‬ ‫اﻟﻌﺪد‬ ‫ھﻮ‬ ‫ﺗﺪرﯾﺐ‬)3-6( Q1(‫ﻣﺠﻤﻮﻋﮭﻤﺎ‬ ‫ﻋﺪدﯾﻦ‬ ‫ﺟﺪ‬12‫ﯾﻤﻜﻦ‬ ‫ﻣﺎ‬ ‫اﺻﻐﺮ‬ ‫ﻣﺮﺑﻌﯿﮭﻤﺎ‬ ‫وﻣﺠﻤﻮع‬. Q2(‫ﻣﺠﻤﻮﻋﮭﻤﺎ‬ ‫ﻣﻮﺟﺒﯿﻦ‬ ‫ﻋﺪدﯾﻦ‬ ‫ﺟﺪ‬75‫ﻣﺮﺑﻊ‬ ‫ﻓﻲ‬ ‫اﺣﺪھﻤﺎ‬ ‫ﺿﺮب‬ ‫وﺣﺎﺻﻞ‬‫اﻵﺧﺮ‬‫اﻛﺒﺮ‬‫ﯾﻤﻜﻦ‬ ‫ﻣﺎ‬. Q3(‫ﻣﺠﻤﻮﻋﮭﻤﺎ‬ ‫ﻋﺪدﯾﻦ‬ ‫ﺟﺪ‬24‫ﯾﻤﻜﻦ‬ ‫ﻣﺎ‬ ‫اﺻﻐﺮ‬ ‫ﻣﻜﻌﺒﯿﮭﻤﺎ‬ ‫وﻣﺠﻤﻮع‬. Q4(‫ﻣﺴ‬ ‫اﻛﺒﺮ‬ ‫أن‬ ‫اﺛﺒﺖ‬‫ﻣﺮﺑﻊ‬ ‫ھﻮ‬ ‫ﻣﻌﻠﻮﻣﺔ‬ ‫داﺋﺮة‬ ‫داﺧﻞ‬ ‫ﯾﻮﺿﻊ‬ ‫أن‬ ‫ﯾﻤﻜﻦ‬ ‫ﺘﻄﯿﻞ‬. Q5(‫ﻗﻄﺮھﺎ‬ ‫ﻧﺼﻒ‬ ‫ﻛﺮة‬ ‫داﺧﻞ‬ ‫ﺗﻮﺿﻊ‬ ‫ﻗﺎﺋﻤﺔ‬ ‫داﺋﺮﯾﺔ‬ ‫اﺳﻄﻮاﻧﺔ‬ ‫اﻛﺒﺮ‬ ‫ارﺗﻔﺎع‬ ‫ﺟﺪ‬4 3 cm. َQ6(‫ﻗﻄﺮھﺎ‬ ‫ﻧﺼﻒ‬ ‫داﺋﺮة‬ ‫ﻧﺼﻒ‬ ‫داﺧﻞ‬ ‫ﯾﻮﺿﻊ‬ ‫ﻣﺴﺘﻄﯿﻞ‬ ‫أﻛﺒﺮ‬ ‫ﺑﻌﺪي‬ ‫ﺟﺪ‬4 2 cm. Q7(‫ﻣﺴﺘﻄﯿﻞ‬ ‫أﻛﺒﺮ‬ ‫ﻣﺤﯿﻂ‬ ‫ﺟﺪ‬‫ﻗﻄﺮه‬ ‫ﻃﻮل‬4 2 cm. Q8(‫ﺳﺎﻗﯿﮫ‬ ‫ﻣﻦ‬ ‫ﻛﻞ‬ ‫ﻃﻮل‬ ‫اﻟﺴﺎﻗﯿﻦ‬ ‫ﻣﺘﺴﺎوي‬ ‫ﻟﻤﺜﻠﺚ‬ ‫ﻣﺴﺎﺣﺔ‬ ‫أﻛﺒﺮ‬ ‫ﺟﺪ‬8 2 cm. Q9(‫ﺑﺴﻌﺔ‬ ‫ﻗﺎﺋﻤﺔ‬ ‫داﺋﺮﯾﺔ‬ ‫اﺳﻄﻮاﻧﺔ‬ ‫ﻟﺼﻨﻊ‬ ‫ﺗﻜﻔﻲ‬ ‫رﻗﯿﻖ‬ ‫ﻣﻌﺪن‬ ‫ﻣﻦ‬ ‫ﻣﻤﻜﻨﺔ‬ ‫ﻛﻤﯿﺔ‬ ‫أﻗﻞ‬ ‫ﺟﺪ‬ 3 288 cm.
  • 182.
    ‫ﺍﻟﻨﺎﺻﺮﻱ‬‫ﻣﻮﺳﻰ‬‫ﻛﺎﻣﻞ‬ 182 Q10(‫داﺋ‬ ‫ﻻﺳﻄﻮاﻧﺔ‬ ‫ﺳﻌﺔ‬‫أﻛﺒﺮ‬ ‫ﺟﺪ‬‫ﺻﻨﻌﮭﺎ‬ ‫ﻓﻲ‬ ‫اﻟﻤﺴﺘﻌﻤﻞ‬ ‫اﻟﻤﻌﺪن‬ ‫ﻣﺴﺎﺣﺔ‬ ‫ﻗﺎﺋﻤﺔ‬ ‫ﺮﯾﺔ‬ 2 2 6a cm Q11(‫ﺳﺎﻗﯿﮫ‬ ‫ﻣﻦ‬ ‫ﻛﻞ‬ ‫ﻃﻮل‬ ‫اﻟﺴﺎﻗﯿﻦ‬ ‫ﻣﺘﺴﺎوي‬ ‫ﻣﺜﻠﺚ‬30 cm‫ﻗﺎﻋﺪﺗﮫ‬ ‫وﻃﻮل‬36 cm‫ﻣﺴﺘﻄﯿﻞ‬ ‫أﻛﺒﺮ‬ ‫ﺑﻌﺪي‬ ‫ﺟﺪ‬ ، ‫اﻟﻤﺜﻠﺚ‬ ‫ھﺬا‬ ‫داﺧﻞ‬ ‫ﯾﻮﺿﻊ‬. Q12(‫اﻟﻨﻘﻄﺔ‬ ‫ﻣﻦ‬ ‫ﯾﻤﺮ‬ ‫اﻟﺬي‬ ‫اﻟﻤﺴﺘﻘﯿﻢ‬ ‫ﻣﻌﺎدﻟﺔ‬ ‫ﺟﺪ‬(6 , 8 )‫ﻟﻤﺤﻮ‬ ‫ا‬ ‫ﻣﻊ‬ ‫ﯾﺼﻨﻊ‬ ‫واﻟﺬي‬‫رﯾﻦ‬‫اﻷول‬ ‫اﻟﺮﺑﻊ‬ ‫ﻓﻲ‬‫أﺻﻐﺮ‬ ‫ﻣﺜﻠﺚ‬. Q13(‫اﻟﻤﻨﺤﻨﻲ‬ ‫ﻣﻨﻄﻘﺔ‬ ‫داﺧﻞ‬ ‫ﯾﻮﺿﻊ‬ ‫ﻟﻤﺴﺘﻄﯿﻞ‬ ‫ﻣﺤﯿﻂ‬ ‫اﻛﺒﺮ‬ ‫ﺟﺪ‬ 2 2 2 6x y . Q14(‫ﺑﺎﻟﺪاﻟﺔ‬ ‫اﻟﻤﺤﺪدة‬ ‫اﻟﻤﻨﻄﻘﺔ‬ ‫داﺧﻞ‬ ‫ﯾﻮﺿﻊ‬ ‫ﻣﺴﺘﻄﯿﻞ‬ ‫اﻛﺒﺮ‬ ‫ﻣﺤﯿﻂ‬ ‫ﺟﺪ‬2 ( ) 12f x x ‫اﻟﺴﯿﻨﺎت‬ ‫وﻣﺤﻮر‬. Q15(‫ﻗﺎﺋﻤ‬ ‫داﺋﺮﯾﺔ‬ ‫اﺳﻄﻮاﻧﺔ‬ ‫اﻛﺒﺮ‬ ‫ﻣﺴﺎﺣﺔ‬ ‫ﺟﺪ‬‫ارﺗﻔﺎﻋﮫ‬ ‫ﻗﺎﺋﻢ‬ ‫داﺋﺮي‬ ‫ﻣﺨﺮوط‬ ‫داﺧﻞ‬ ‫ﺗﻮﺿﻊ‬ ‫ﺔ‬24 cm‫ﻗﻄﺮ‬ ‫وﻃﻮل‬ ‫ﻗﺎﻋﺪﺗﮫ‬24 cm. Q16(‫ﻣﺴﺘﻄﯿﻞ‬ ‫ﺷﻜﻞ‬ ‫ﻋﻠﻰ‬ ‫ﻧﺎﻓﺬة‬‫ﯾﺴﺎوي‬ ‫اﻟﻤﺜﻠﺚ‬ ‫ارﺗﻔﺎع‬ ‫أن‬ ‫ﺑﺤﯿﺚ‬ ‫اﻟﺴﺎﻗﯿﻦ‬ ‫ﻣﺘﺴﺎوي‬ ‫ﻣﺜﻠﺚ‬ ‫ﯾﻌﻠﻮه‬ 3 8 ‫ﻗﺎﻋﺪﺗﮫ‬ ‫ﻃﻮل‬ ‫ﯾﺴﺎوي‬ ‫اﻟﻨﺎﻓﺬة‬ ‫ﻣﺤﯿﻂ‬ ‫ﻛﺎن‬ ‫ﻓﺈذا‬12‫ا‬ ‫ﺑﻤﺮور‬ ‫اﻟﻨﺎﻓﺬة‬ ‫ﺗﺴﻤﺢ‬ ‫ﻟﻜﻲ‬ ‫اﻧﮫ‬ ‫ﻓﺒﺮھﻦ‬ ‫ﻣﺘﺮا‬‫اﺣﺪ‬ ‫ﻓﺎن‬ ‫اﻟﻀﻮء‬ ‫ﻣﻦ‬ ‫ﻗﺪر‬ ‫ﻛﺒﺮ‬ ‫ﯾﺴﺎوي‬ ‫اﻟﻤﺴﺘﻄﯿﻞ‬ ‫ﺑﻌﺪي‬ 3 4 ‫اﻵﺧﺮ‬ ‫اﻟﺒﻌﺪ‬. Q17(‫ﻗﻄﺮھﺎ‬ ‫ﻧﺼﻒ‬ ‫ﻛﺮة‬ ‫داﺧﻞ‬ ‫ﺗﻮﺿﻊ‬ ‫ﻗﺎﺋﻤﺔ‬ ‫داﺋﺮﯾﺔ‬ ‫اﺳﻄﻮاﻧﺔ‬ ‫اﻛﺒﺮ‬ ‫أﺑﻌﺎد‬ ‫ﺟﺪ‬2a cm. Q18(‫ﺣﺠﻤﮫ‬ ‫ﻣﺴﺘﻄﯿﻠﺔ‬ ‫ﺳﻄﻮح‬ ‫ﻣﺘﻮازي‬3 72cm‫و‬‫ﻗﺎﻋﺪﺗﮫ‬ ‫ﻃﻮل‬‫ﻋ‬ ‫ﺿﻌﻒ‬‫ﺗﻜﻮن‬ ‫ﻋﻨﺪﻣﺎ‬ ‫ﻗﻄﺮه‬ ‫ﻃﻮل‬ ‫ﺟﺪ‬ ‫ﺮﺿﮭﺎ‬ ‫ﯾﻤﻜﻦ‬ ‫ﻣﺎ‬ ‫أﺻﻐﺮ‬ ‫ﻣﺴﺎﺣﺘﮫ‬. Q19(‫وﺗﺮه‬ ‫ﻃﻮل‬ ‫اﻟﺰاوﯾﺔ‬ ‫ﻗﺎﺋﻢ‬ ‫ﻣﺜﻠﺚ‬ ‫دوران‬ ‫ﻣﻦ‬ ‫ﻧﺎﺷﺊ‬ ‫ﻗﺎﺋﻢ‬ ‫داﺋﺮي‬ ‫ﻣﺨﺮوط‬ ‫اﻛﺒﺮ‬ ‫ﺑﻌﺪي‬ ‫ﺟﺪ‬6 3 cm‫دورة‬ ‫اﻟﻘﺎﺋﻤﯿﻦ‬ ‫ﺿﻠﻌﯿﮫ‬ ‫اﺣﺪ‬ ‫ﺣﻮل‬ ‫واﺣﺪة‬. Q20(‫اﻟﻤﻮﺟﺐ‬ ‫اﻟﺠﺰء‬ ‫ﻋﻠﻰ‬ ‫واﻗﻌﯿﻦ‬ ‫ﻣﻨﮫ‬ ‫ﻣﺘﺠﺎورﯾﻦ‬ ‫ﺿﻠﻌﯿﻦ‬ ‫ﻣﺴﺘﻄﯿﻞ‬‫ﻟﻜﻞ‬‫واﻟﺼﺎدي‬ ‫اﻟﺴﯿﻨﻲ‬ ‫اﻟﻤﺤﻮرﯾﻦ‬ ‫ﻣﻦ‬ ‫واﻟﺮأس‬‫اﻟﺮاﺑﻊ‬‫اﻟﻤﻨﺤﻨﻲ‬ ‫ﻋﻠﻰ‬ ‫ﯾﻘﻊ‬ 1 ,y x o x  ‫أﺻﻐﺮ‬ ‫ﺟﺪ‬‫ﻣﺤﯿﻂ‬‫اﻟﻤﺴﺘﻄﯿﻞ‬ ‫ﻟﮭﺬا‬. (Q21‫ﻟﻠﻤﻨﺤﻨﻲ‬ ‫ﻟﻠﻤﺎس‬ ‫ﻣﯿﻞ‬ ‫أﺻﻐﺮ‬ ‫ﺟﺪ‬ 1 3 2( ) 2 2 3 f x x x x   .
  • 183.
    183 ‫ﻋﻠﻰ‬ ‫ﯾﻌﺘﻤﺪ‬ ‫ﻣﺎ‬‫ﻓﺘﺮة‬ ‫ﻋﻠﻰ‬ ‫اﻟﺘﻜﺎﻣﻞ‬ ‫دراﺳﺔ‬ ‫أﺳﺎﺳﯿﺎت‬ ‫إن‬: 1(‫اﻟﺤﻘﯿﻘﯿﺔ‬ ‫اﻷﻋﺪاد‬ ‫ﻣﺠﻤﻮﻋﺔ‬ ‫ھﻮ‬ ‫ﻣﺠﺎﻟﮭﺎ‬ ‫اﻟﻤﻌﻄﺎة‬ ‫اﻟﺪاﻟﺔ‬. 2(‫ﻣﻐﻠﻘﺔ‬ ‫اﻟﻤﻌﻄﺎة‬ ‫اﻟﻔﺘﺮة‬. ‫اﻟﻤﻐﻠﻘﺔ‬ ‫اﻟﻔﺘﺮة‬ ‫ﺗﺠﺰﺋﺔ‬ ‫ﺗﻌﺮﯾﻒ‬:‫اﻟﻨﻘﻂ‬ ‫ﻣﺠﻤﻮﻋﺔ‬ ‫ﺗﺴﻤﻰ‬ 0 1 2 ,  ,  ,.....,  nx x x x‫ﺗﺠﺰئ‬)subintervals(‫ﻟﻠﻔﺘﺮة‬)interval( ‫اﻟﻤﻐﻠﻘﺔ‬  , a b‫اﻟﺸﺮﻃﺎن‬ ‫ﺗﺤﻘﻖ‬ ‫ﻓﻘﻂ‬ ‫وإذا‬ ‫إذا‬: ‫اﻟﺘﺮﺗﯿﺐ‬ ‫ﻋﻼﻗﺔ‬ ‫ﻋﻠﻰ‬ ‫ﺗﺤﺎﻓﻆ‬ ‫أي‬ 0 0 1 2 1)         ,       2)      <     .....   n n a x b x x x x x      ‫اﻟﻼﺗﯿﻨﻲ‬ ‫ﺑﺎﻟﺮﻣﺰ‬ ‫ﻟﻠﺘﺠﺰﺋﺔ‬ ‫وﯾﺮﻣﺰ‬)Sigma(‫ھﻮ‬ ‫اﻟﻜﺒﯿﺮ‬ ‫ﺣﺮﻓﮭﺎ‬ ‫ﺑﯿﻨﻤﺎ‬ ‫اﻟﺼﻐﯿﺮ‬ ‫ﺑﺎﻟﺤﺮف‬‫رﻣﺰا‬ ‫وھﻤﺎ‬ ‫اﻟﺠﻤﻊ‬ ‫ﻣﺜﺎل‬1: 0.5  , 1 ,4  , 11 ‫ﻟﻠﻔﺘﺮة‬ ‫ﺗﺠﺰئ‬ ‫ھﻲ‬ 0.5 , 11‫ھﻲ‬ ‫اﻟﺠﺰﺋﯿﺔ‬ ‫ﻓﺘﺮاﺗﮭﺎ‬ ‫ﺗﻜﻮن‬ ‫و‬:        0.5 , 1    ,    1 , 4    ,   4 , 7     ,     7 ,  11  ‫ﻣﺜﺎل‬2: 2  , 4 ,1  , 7 , 11 ‫ﻟﻠﻔﺘﺮة‬ ‫ﺗﺠﺰﺋﺔ‬ ‫ﻟﯿﺴﺖ‬ ‫ھﻲ‬ 2 , 11‫اﻟﺸﺮط‬ ‫ﻟﻔﻘﺪان‬ ‫وذﻟﻚ‬‫اﻟﻤﺤﺎﻓﻈﺔ‬ ‫ﻟﻌﺪم‬ ‫اﻟﺜﺎﻧﻲ‬ ‫ﻋﻠﻰ‬‫اﻟﺘﺮﺗﯿﺐ‬. ‫ﻣﺜﺎل‬3: 3  , 1 ,1  , 4 , 11 ‫ﻟﻠﻔﺘﺮة‬ ‫ﺗﺠﺰئ‬ ‫ﻟﯿﺴﺖ‬ ‫ھﻲ‬ 2 , 11‫اﻷول‬ ‫اﻟﺸﺮط‬ ‫ﻟﻔﻘﺪان‬ ‫وذﻟﻚ‬. ‫ﻣﺜﺎل‬4: 2  , 1 ,4  , 7 , 10 ‫ﻟﻠﻔﺘﺮة‬ ‫ﺗﺠﺰئ‬ ‫ھﻲ‬ 2 , 10‫ﻷن‬ ‫ﻣﻨﺘﻈﻢ‬ ‫ﺗﺠﺰئ‬ ‫ﯾﺴﻤﻰ‬ ‫اﻷﺧﯿﺮ‬ ‫وھﺬا‬‫ﺣﺪوده‬ ‫ﺗﺸﻜﻞ‬ ‫ﺣﺴﺎﺑﯿﺔ‬ ‫ﻣﺘﺘﺎﻟﯿﺔ‬.‫ھﻲ‬ ‫اﻟﺠﺰﺋﯿﺔ‬ ‫اﻟﻔﺘﺮات‬ ‫وﺗﻜﻮن‬:        2 , 1   ,   1 , 4    ,   4 , 7    ,    7 ,  10‫ﻓﺘﺮة‬ ‫ﻛﻞ‬ ‫ﻃﻮل‬=3 ‫ﻣﻐﻠﻘﺔ‬ ‫ﻟﻔﺘﺮة‬ ‫اﻟﻤﻨﺘﻈﻤﺔ‬ ‫اﻟﺘﺠﺰﺋﺔ‬. ‫ﻟﺘﻜﻦ‬  ,      a b  
  • 184.
    184 ‫اﻟﻔﺘﺮة‬ ‫ﻧﻘﺴﻢ‬      a x b ‫ﺟ‬ ‫ﻓﺘﺮات‬ ‫اﻟﻰ‬‫ﻋﺪدھﺎ‬ ‫ﺰﺋﯿﺔ‬n‫ﺣﯿﺚ‬n ‫ﺑﺤﯿﺚ‬ ‫ﻣﻮﺟﺐ‬ ‫ﺻﺤﯿﺢ‬ ‫ﻋﺪد‬   1n ‫وﻃﻮل‬ ‫ﻣﻨﮭﺎ‬ ‫ﻓﺘﺮة‬ ‫ﻛﻞ‬h‫ﻓﯿﻜﻮن‬:                   b a h n                         n h b a   ‫ﻓﯿﻜﻮن‬0     a x،      nb x‫ھﻲ‬ ‫اﻟﺘﻘﺴﯿﻢ‬ ‫ﻧﻘﻂ‬ ‫وﺗﻜﻮن‬:1 2 3    1  ,      ,       , .....,  nx x x x  ‫وﯾﻜﻮن‬:1 2 3         ,         2    ,           3    , ....,          r   rx a h x a h x a h x a h        ‫ھﻲ‬ ‫اﻷﺧﯿﺮة‬ ‫اﻟﺘﻘﺴﯿﻢ‬ ‫ﻧﻘﻄﺔ‬ ‫ﺗﻜﻮن‬ ‫ﻋﺎﻣﺔ‬ ‫وﺑﺼﻮرة‬: 1         ,                 n                         n n nx a h x a x a xb a bh         ‫ھﻮ‬ ‫اﻟﺘﺠﺰﺋﺔ‬ ‫ﻟﻌﻨﺼﺮ‬ ‫اﻟﻌﺎم‬ ‫اﻟﺤﺪ‬ ‫وﻗﺎﻧﻮن‬:            r      or            r             r r b a x a h x a n       ‫ﻣﻼﺣﻈﺔ‬:h‫ﯾﻤﺜﻞ‬x‫ﻓ‬‫و‬ ‫واﻟﻐﺎﯾﺎت‬ ‫اﻟﻤﺴﺎﺣﺎت‬ ‫ﻓﻲ‬ ‫اﻻﺳﺘﻌﻤﺎﻻت‬ ‫ﻣﻦ‬ ‫ﻛﺜﯿﺮ‬ ‫ﻲ‬........ ‫ﻣﺜﻞ‬1:‫ﻟﻠﻔﺘﺮة‬ ‫اﻟﺮﺑﺎﻋﯿﺔ‬ ‫اﻟﺘﺠﺰﺋﺔ‬ ‫ﺟﺪ‬ 2 , 10  ‫اﻟﺤﻞ‬:     2  ,      10   ,     4a b n        10 ( 2 )          =   = 3 4 b a h n    ‫اﻻول‬ ‫ﺣﺪھﺎ‬ ‫ﻋﺪدﯾﺔ‬ ‫ﻣﺘﺘﺎﻟﯿﺔ‬ ‫أﺳﺎس‬ ‫ﯾﻤﺜﻞ‬=-2 ‫اﻷﺳﺎس‬ ‫ھﺬا‬ ‫ﯾﻀﺎف‬)3(‫ﻋﻨﺼﺮ‬ ‫ﻟﻜﻞ‬‫ﯾﻠﯿﮫ‬ ‫اﻟﺬي‬ ‫اﻟﻌﻨﺼﺮ‬ ‫ﻋﻠﻰ‬ ‫ﻧﺤﺼﻞ‬.   0 1 0 2 1 3 2 4 3 4    =  2  x       2 3 1  x       1 3 4 x       4 3 7 x       7 3 10              2 , 1 , 4 , 7 ,10 a x x h x h x h x h                            ‫اﻟﺘﺠﺰئ‬ ‫ھﻲ‬ ‫اﻷﺻﻠﯿﺔ‬ ‫ﻟﻠﻔﺘﺮة‬ ‫اﻟﻤﻨﺘﻈﻤﺔ‬ ‫اﻟﺘﺠﺰﺋﺔ‬ ‫أن‬ ‫ﻻﺣﻆ‬:       2 , 1   ,   1 , 4   ,    4 , 7   ,   7 , 10   a b x0 x 1 x 2 x r - 1 x r  ‫اﻟﻔﺘﺮة‬‫اﻟﺮﺗﺒﺔ‬ ‫ﻣﻦ‬r  x n - x n 
  • 185.
    185        4 1 1 2 3 4 (2 1) 2(1) 1 2(2) 1 2(3) 1 2(4) 1 1 3 i i i i i i                       5 7 16   ‫ﻣﺜﺎل‬2:‫ﺟﺪ‬24    ‫ﻟﻠﻔﺘﺮة‬ 2 , 10  ‫اﻟﺤﻞ‬:     10 ( 2 )          =   = 0.5 24 b a h n      24  25        2 ,  1.5 ,  1 , ....   ,  9 ,  9.5  , 10 elements      ‫ﻣﻼﺣﻈﺔ‬:‫ﯾﻜﻮن‬ ‫اﻟﻤﻨﺘﻈﻢ‬ ‫اﻟﺘﺠﺰئ‬ ‫ﻓﻲ‬: 1(‫اﻟﺘﺠﺰﺋﺔ‬ ‫ﻋﻨﺎﺻﺮ‬ ‫ﻋﺪد‬=‫اﻟﺠﺰﺋﯿﺔ‬ ‫اﻟﻔﺘﺮات‬ ‫ﻋﺪد‬+1‫ﯾﺴﺎوي‬ ‫أي‬n + 1 2(‫وﯾﺴﺎوي‬ ‫ﻣﺘﺴﺎو‬ ‫اﻟﺠﺰﺋﯿﺔ‬ ‫اﻟﻔﺘﺮات‬ ‫أﻃﻮال‬       b a h n   3(‫ﻟﻠﻔﺘﺮة‬ ‫اﻟﻜﻠﯿﺔ‬ ‫اﻟﻔﺘﺮة‬ ‫ﻃﻮل‬  ,   a b‫ﯾﺴﺎوي‬   b a‫وﯾﺴﺎوي‬‫اﻟﺠﺰﺋﯿﺔ‬ ‫اﻟﻔﺘﺮات‬ ‫ﻣﺠﻤﻮع‬‫أن‬ ‫أي‬ ‫ﺟﻤﯿﻌﮭﺎ‬: ‫ﻣﻼﺣﻈﺔ‬:‫ﻟﻜﻦ‬ ‫ﺗﻜﻤﻠﺔ‬ ‫وﻟﮫ‬ ‫واﺳﻊ‬ ‫اﻟﻤﻮﺿﻮع‬‫اﻟﻌﺎﺟﺰ‬ ‫ﻣﻨﮭﺠﻨﺎ‬‫اﻟﻘﺪر‬ ‫ﺑﮭﺬا‬ ‫اﻛﺘﻔﻲ‬ ‫ﻟﺬا‬ ‫ﻟﻠﺘﺠﺰﺋﺔ‬ ‫ﺷﺮح‬ ‫أي‬ ‫اﻟﻰ‬ ‫ﯾﺘﻄﺮق‬ ‫ﻟﻢ‬ ‫اﻟﺠﻤﻊ‬ ‫رﻣﺰ‬Sigma Notation ‫ﻣﺠﻤﻮع‬n‫اﻟﺤﺪود‬ ‫ﻣﻦ‬:naaa ,,, 21  ‫ﺑﺎﻟﺼﻮرة‬ ‫ﯾﻜﺘﺐ‬    n i ni aaaa 1 21 ‫ﯾﺴﻤﻰ‬ ‫ﺣﯿﺚ‬i‫اﻟﺠﻤﻊ‬ ‫ﺑﺪﻟﯿﻞ‬index of summation ‫ﻣﺜﺎل‬:‫ﺟﺪ‬‫ﻣﺠﻤﻮع‬   4 1 12 i i ‫اﻟﺤﻞ‬:    1    1 ( )        n r r r x x b a     
  • 186.
    186          0 1 2 1 1 1 1 0 1 1 0 ... min  ( ): max  ( ): ( , ) ( , )            n i i i i i i n i i i i n i i i i Partition a x x x x b Define m f x x x x M f x x x x Lower sum L f m x x Upper sum U f M x x                               ‫اﻟﺪاﻟﺔ‬ ‫ﻟﺪﯾﻨﺎ‬ ‫ﻟﻨﻔﺘﺮض‬f ‫وأن‬( ) 0f x ‫ﻣﺴﺘﻤﺮة‬‫اﻟﻔﺘﺮة‬ ‫ﻋﻠﻰ‬ ‫وﻣﺤﺪدة‬bxa  ‫و‬‫ﻟﻨﺤﺎول‬‫إﯾﺠﺎد‬‫اﻟﻤﻨﺤﻨﻲ‬ ‫ﺗﺤﺖ‬ ‫اﻟﻤﺴﺎﺣﺔ‬ f‫ﺑﺎﻟﻤﺴﺘﻘﯿﻤﯿﻦ‬ ‫واﻟﻤﺤﺪدة‬x = a to x = b ‫اﻟﻔﺘﺮة‬ ‫ﻧﺨﻀﻊ‬ ‫اﻟﻌﻤﻞ‬ ‫ﺑﮭﺬا‬ ‫وﻟﻠﻘﯿﺎم‬bxa ‫اﻟﻰ‬ ‫ﻟﺘﺠﺰئ‬n‫اﻟﻤﺘﺴﺎوﯾﺔ‬ ‫اﻟﺠﺰﺋﯿﺔ‬ ‫اﻟﻔﺘﺮات‬ ‫ﻣﻦ‬‫ﻧﺠﺪ‬ ‫ﻟﻜﻲ‬n‫ﻣﻦ‬ ‫اﻟﻤﻨﺤﻨﻲ‬ ‫ﺗﺤﺖ‬ ‫اﻟﻤﺴﺘﻄﯿﻼت‬f ‫وﻟﻨﻌﺘﺒﺮ‬nxxxx ,,, 210‫ا‬ ‫ﻧﻘﻂ‬‫ﻛﻞ‬ ‫ﻋﺮض‬ ‫ﻓﯿﻜﻮن‬ ‫ﺟﺰﺋﯿﺔ‬ ‫ﻓﺘﺮة‬ ‫ﻟﻜﻞ‬ ‫ﻟﻨﮭﺎﯾﺎت‬ ‫اﻟﻤﺴﺘﻄﯿﻞ‬ ‫ﻃﻮل‬ ‫و‬ ‫ﺟﺰﺋﯿﺔ‬ ‫ﻓﺘﺮة‬ ‫ﻛﻞ‬ ‫ﻃﻮل‬ ‫ھﻮ‬ ‫ﻣﺴﺘﻄﯿﻞ‬( )if x‫اﻟﻤﺴﺘﻄﯿﻼت‬ ‫ﻣﻦ‬ ‫ﻧﻮﻋﯿﻦ‬ ‫ﻣﻊ‬ ‫وﻧﺘﻌﺎﻣﻞ‬ ‫اﻻول‬ ‫اﻟﻨﻮع‬:‫ﻋﻠﻮي‬ ‫ﻣﺠﻤﻮع‬Upper sum ‫اﻟﺜﺎﻧﻲ‬ ‫واﻟﻨﻮع‬:‫ﺳﻔﻠﻲ‬ ‫ﻣﺠﻤﻮع‬)‫أدﻧﻰ‬(Lower sum‫ﯾﻠﻲ‬ ‫وﻛﻤﺎ‬:
  • 187.
    187 ‫اﻟ‬ ‫وﻻﺳﺘﺨﺪام‬‫واﻟﯿﺴﺮى‬ ‫اﻟﯿﻤﻨﻰ‬‫اﻟﻄﺮﻓﯿﺔ‬ ‫ﻨﻘﻂ‬‫واﻟﺤﺮﺟﺔ‬‫ﯾﻠﻲ‬ ‫ﻣﺎ‬ ‫ﻧﺘﺒﻊ‬. 1(‫ھﻲ‬ ‫اﻟﻨﻘﻂ‬ ‫ھﺬه‬ ‫ﻣﻦ‬ ‫واﺣﺪة‬ ‫وﻟﺘﻜﻦ‬ ‫اﻟﺤﺮﺟﺔ‬ ‫واﻟﻨﻘﻂ‬ ‫اﻟﻤﺤﻠﯿﺔ‬ ‫اﻟﻨﮭﺎﯾﺎت‬ ‫ﻟﻨﺠﺪ‬ ‫اﻷوﻟﻰ‬ ‫اﻟﻤﺸﺘﻘﺔ‬ ‫ﻧﺠﺪ‬x c‫وﻟﻨﺒﺤﺚ‬ ‫واﻟﺘﻨﺎﻗﺺ‬ ‫اﻟﺘﺰاﯾﺪ‬. 2(‫ھﻮ‬ ‫واﺣﺪ‬ ‫ﺗﺠﺰئ‬ ‫ﻟﻨﺄﺧﺬ‬ ,a b 3(‫اﻟﻔﺘﺮة‬ ‫ﻃﻮل‬)‫اﻟﺘ‬‫ﺠﺰئ‬= (b a=‫اﻟﻤﺴﺘﻄﯿﻞ‬ ‫ﻋﺮض‬. 4(‫اﻻرﺗﻔﺎع‬ ‫وﯾﻤﺜﻞ‬ ‫اﻟﻤﺴﺘﻄﯿﻞ‬ ‫ﻃﻮل‬ ‫ﻧﺠﺪ‬ (A‫اﻟﺪاﻟ‬ ‫ﻛﺎﻧﺖ‬ ‫إذا‬‫ﺔ‬‫ﻣﻦ‬ ‫ﻛﻞ‬ ‫ﻣﻦ‬ ‫اﻟﺴﯿﻨﺎت‬ ‫ﻣﺤﻮر‬ ‫ﻋﻠﻰ‬ ‫ﻟﻸﻋﻠﻰ‬ ‫ﻋﻤﻮدﯾﻦ‬ ‫ارﺳﻢ‬ ‫ﻣﺘﺰاﯾﺪة‬a ,b‫ﻓﻲ‬ ‫اﻟﺪاﻟﺔ‬ ‫ﺑﯿﺎن‬ ‫ﯾﻘﻄﻌﺎ‬ ‫اﻟﻌﻠﻮي‬ ‫اﻟﻤﺴﺘﻄﯿﻞ‬ ‫ﻃﻮل‬ ‫ﺗﻌﻄﻲ‬ ‫أﻃﻮﻟﮭﻤﺎ‬ ‫ﻧﻘﻄﺘﯿﻦ‬upper‫وﺳﺘﻜﻮن‬ ‫اﻟﻄﺮﻓﯿ‬ ‫اﻟﻨﻘﻄﺔ‬‫اﻟﯿﻤﻨﻰ‬ ‫ﺔ‬ f b ‫اﻟﺴﻔﻠﻲ‬ ‫اﻟﻤﺴﺘﻄﯿﻞ‬ ‫ﻃﻮل‬ ‫ﯾﻌﻄﻲ‬ ‫وأﺻﻐﺮھﻤﺎ‬Lower‫اﻟﯿﺴﺮى‬ ‫اﻟﻄﺮﻓﯿﺔ‬ ‫اﻟﻨﻘﻄﺔ‬ ‫وﺳﺘﻜﻮن‬ f a ‫اﻟﺨﻄﺄ‬ ‫ﻋﻦ‬ ‫ﻛﺘﺎﺑﻨﺎ‬ ‫وﻣﺆﻟﻔﻲ‬ ‫اﻟﻄﺎﻟﺐ‬ ‫ﺳﯿﺒﻌﺪ‬ ‫وارﺳﻢ‬ ‫اﻟﺘﺎﻟﯿﺔ‬ ‫اﻷﺷﻜﺎل‬ ‫ﻓﻲ‬ ‫ﺟﯿﺪا‬ ‫دﻗﻖ‬. a b a b A M a b ( )f a m ( )f b M a b Lower Upper A m  ‫اﻟﺮﺳﻤﺎن‬ ‫ﻣﻌﺎ‬ mA  = L( , ) ( )( )f f a b a    A = U( , ) ( ) ( )M f bf b a   
  • 188.
    188 B(‫اﻟﺪاﻟ‬ ‫ﻛﺎﻧﺖ‬ ‫إذا‬‫ﺔ‬‫ﻣﻦ‬‫ﻛﻞ‬ ‫ﻣﻦ‬ ‫اﻟﺴﯿﻨﺎت‬ ‫ﻣﺤﻮر‬ ‫ﻋﻠﻰ‬ ‫ﻟﻸﻋﻠﻰ‬ ‫ﻋﻤﻮدﯾﻦ‬ ‫ارﺳﻢ‬ ‫ﻣﺘﻨﺎﻗﺼﺔ‬a, b‫ﻓﻲ‬ ‫اﻟﺪاﻟﺔ‬ ‫ﺑﯿﺎن‬ ‫ﯾﻘﻄﻌﺎ‬ ‫اﻟﻌﻠﻮي‬ ‫ﻟﻠﻤﺴﺘﻄﯿﻞ‬ ‫اﻟﻤﺴﺘﻄﯿﻞ‬ ‫ﻃﻮل‬ ‫ﺗﻌﻄﻲ‬ ‫أﻃﻮﻟﮭﻤﺎ‬ ‫ﻧﻘﻄﺘﯿﻦ‬upper‫وﺳﺘﻜﻮن‬ ‫اﻟﯿﺴﺮى‬ ‫اﻟﻄﺮﻓﯿﺔ‬ ‫اﻟﻨﻘﻄﺔ‬f (a) ‫اﻟﺴﻔﻠﻲ‬ ‫اﻟﻤﺴﺘﻄﯿﻞ‬ ‫ﻃﻮل‬ ‫ﯾﻌﻄﻲ‬ ‫وأﺻﻐﺮھﻤﺎ‬Lower‫اﻟﯿﻤﻨﻰ‬ ‫اﻟﻄﺮﻓﯿﺔ‬ ‫اﻟﻨﻘﻄﺔ‬ ‫وﺳﺘﻜﻮن‬( )f b C(‫ﻋﻨﺪ‬ ‫ﻣﺤﻠﯿﺔ‬ ‫ﻧﮭﺎﯾﺔ‬ ‫ﻧﻘﻄﺔ‬ ‫ﺗﺤﻮي‬ ‫اﻟﺪاﻟﺔ‬ ‫ﻛﺎﻧﺖ‬ ‫اذا‬x = c ‫ﻣﻦ‬ ‫أﻋﻤﺪة‬ ‫ﺛﻼﺛﺔ‬ ‫ﻧﺮﺳﻢ‬ ,   , a b c‫ﺗﻜﻮن‬‫ﺻﺎدي‬ ‫إﺣﺪاﺛﻲ‬ ‫أﻋﻠﻰ‬‫ارﺗﻔﺎع‬ ‫ﺗﻤﺜﻞ‬ ‫اﻟﺜﻼث‬ ‫اﻟﻨﻘﻂ‬ ‫ﻣﻦ‬ ‫ﻟﻨﻘﻄﺔ‬)‫ﻃﻮل‬( ‫اﻷﻋﻠﻰ‬ ‫اﻟﻤﺴﺘﻄﯿﻞ‬Upper‫ﺻﺎدي‬ ‫إﺣﺪاﺛﻲ‬ ‫أوﻃﺄ‬ ‫و‬‫اﻷدﻧﻰ‬ ‫اﻟﻤﺴﺘﻄﯿﻞ‬ ‫ﻃﻮل‬ ‫ﺗﻤﺜﻞ‬ ‫اﻟﺜﻼث‬ ‫اﻟﻨﻘﻂ‬ ‫ﻣﻦ‬ ‫ﻟﻨﻘﻄﺔ‬Lower . a b a b A M a b ( )f b m ( )f a M a b Lower Upper A m  ‫اﻟﺮﺳﻤﺎن‬ ‫ﻣﻌﺎ‬ mA  = L(  ,  ) ( ) ( )f b af b    A = U(  ,  ) ( ) ( )M bff a a   
  • 189.
    189 ‫ﻛﺎﻵﺗﻲ‬ ‫ﺳﺒﻖ‬ ‫ﻣﺎ‬‫ﺗﻠﺨﯿﺺ‬ ‫وﯾﻤﻜﻦ‬:  ‫اذا ﻗﺴﻤﺖ اﻟﻔﺘﺮة‬bxa  ‫ اﻟﻰ‬n ‫ ﻣﻦ اﻟﻔﺘﺮات اﻟﺠﺰﺋﯿﺔ اﻟﻤﺘﺴﺎوﯾﺔ‬ ‫وﺗﻜﻮﻧﺖ‬n ‫ ﻣﻦ اﻟﻤﺴﺘﻄﯿﻼت ﺗﺤﺖ اﻟﻤﻨﺤﻨﻲ‬f   ‫وﻛﺎﻧﺖ‬nxxxx ,,, 210 ‫ ﻧﻘﻂ اﻟﻨﮭﺎﯾﺎت ﻟﻜﻞ ﻓﺘﺮة ﻓﺎن‬:    1 0 1 1 0 0 1 1 Left Hand Total Area from ( ) ( ) ( ) ( ) endpoint sum                                                                     (Lo         ( ) ( ) ( r ) we ) n i n i n f x x f x x f x x f x x a x b f x f x f x x                            ( , )L f  a b A M a b ( )f b m( )f a M a b Lower Upper A m  ‫اﻟﺮﺳﻤﺎن‬ ‫ﻣﻌﺎ‬ mA  = L(  ,  ) ( ) ( )f b af b   A = U(  ,  ) ( ) ( )M f f c b a    c a bc A M A m c mA  = L(  ,  ) ( ) ( )f c af b    A M A = U(  ,  ) ( ) ( )M f f a b a   
  • 190.
    190   1 2 1 12 Right Hand Total Area from ( ) ( ) ( ) ( ) endpoint sum                                                                          (Upper)    ( ) ( ) ( ) n i n i n f x x f x x f x x f x x a x b f x f x f x x                       ( , )U f  ‫ﻣﺜﺎل‬:‫ﻟﻠﺪاﻟﺔ‬ ‫اﻷدﻧﻰ‬ ‫اﻟﺠﻤﻊ‬ ‫وﺣﺎﺻﻞ‬ ‫اﻷﻋﻠﻰ‬ ‫اﻟﺠﻤﻊ‬ ‫ﺣﺎﺻﻞ‬ ‫ﺟﺪ‬f(x) =9 – x 2 ‫اﻟﻔﺘﺮة‬ ‫ﻋﻠﻰ‬ ]-2 , 3[‫ﻟﻠﺘﺠﺰئ‬( 2, 1,2,3)    ‫اﻟﺤﻞ‬: ‫ھﻲ‬ ‫اﻟﺠﺰﺋﯿﺔ‬ ‫اﻟﻔﺘﺮات‬:     2 , 1 , 2         ( ) 2f x x   ‫اﻟﻤﺸﺘﻘﺔ‬ ‫وﻋﻨﺪﻣﺎ‬=0‫ﻓﺎن‬x = 0‫ﻧﻘﻄﺔ‬‫ﺣﺮﺟﺔ‬.‫اﻟﻔﺘﺮة‬ ‫ﻓﻲ‬ ‫وﺗﻜﻮن‬ 1   ‫ﻓﻲ‬ ‫ﻗﯿﻤﺔ‬ ‫أﻋﻈﻢ‬ ‫ﻟﻠﺪاﻟﺔ‬ ‫وﺗﻜﻮن‬ ‫ھﻲ‬ ‫اﻟﻔﺘﺮة‬ ‫ھﺬه‬( ) (0) 9f M f  ‫ﻣﺘﺰاﯾﺪة‬ ‫واﻟﺪاﻟﺔ‬x ‫وﻣﺘﻨﺎﻗﺼﺔ‬x  ‫ﻹﯾﺠﺎد‬ ,L f ‫ﺑﺎﺳﺘﺨﺪام‬ ‫ﻧﺠﺪه‬ ‫اﻷدﻧﻰ‬ ‫اﻟﺠﻤﻊ‬ ‫ﺣﺎﺻﻞ‬ ‫أي‬‫ﻟﻠﺪاﻟﺔ‬ ‫ﻗﯿﻤﺔ‬ ‫أﺻﻐﺮ‬f‫اﻟﻔﺘﺮات‬ ‫ﻓﻲ‬ ‫وھﻲ‬ ‫اﻟﺠﺰﺋﯿﺔ‬‫اﻟﺴﺎﺑﻘﺔ‬‫ﺑﺎﻟﺮﻣﺰ‬ ‫ﻟﮫ‬ ‫وﯾﺮﻣﺰ‬‫ﯾﻠﻲ‬ ‫ﻛﻤﺎ‬: 1(‫اﻟﻔﺘﺮة‬ ‫ﻓﻲ‬ 2  ‫ﻟﻠﺪاﻟﺔ‬ ‫ﻗﯿﻤﺔ‬ ‫أﺻﻐﺮ‬f‫ﺗﻮ‬‫ﻓﺘﻜﻮن‬ ‫ﻓﯿﮭﺎ‬ ‫ﻣﺘﺰاﯾﺪة‬ ‫اﻟﺪاﻟﺔ‬ ‫ﻷن‬ ‫اﻷﯾﺴﺮ‬ ‫اﻟﻄﺮف‬ ‫ﻋﻨﺪ‬ ‫ﺟﺪ‬ ‫ھﻲ‬ ‫اﻟﻤﺴﺘﻄﯿﻞ‬ ‫ﻣﺴﺎﺣﺔ‬: 1 ( 2) 1 5 1 5A f     2(‫اﻟﻔﺘﺮة‬ ‫ﻓﻲ‬ 1  ‫أﺻﻐﺮﻗﯿﻤﺔ‬‫اﻟﻤﺴﺘﻄﯿﻞ‬ ‫ﻣﺴﺎﺣﺔ‬ ‫ﻓﺘﻜﻮن‬ ‫ﻓﯿﮭﺎ‬ ‫ﻣﺘﻨﺎﻗﺼﺔ‬ ‫اﻟﺪاﻟﺔ‬ ‫ﻷن‬ ‫اﻷﯾﻤﻦ‬ ‫اﻟﻄﺮف‬ ‫ﻋﻨﺪ‬ ‫ھﻲ‬:    if m  2 (2) 3 5 3 15A f width       
  • 191.
    191 3  ( ‫ﻓﻲ اﻟﻔﺘﺮة‬ 2     ‫أﺻﻐﺮ ﻗﯿﻤﺔ ﻟﻠﺪاﻟﺔ‬f ‫   ﺗﻮﺟﺪ‬‫ﻋﻨﺪ اﻟﻄﺮف اﻷﯾﻤﻦ ﻷن اﻟﺪاﻟﺔ ﻣﺘﻨﺎﻗﺼﺔ ﻓﯿﮭﺎ ﻓﺘﻜﻮن‬ ‫ھﻲ‬‫اﻟﻤﺴﺘﻄﯿﻞ‬ ‫ﻣﺴﺎﺣﺔ‬: 3 ( ) 1 03 1 0A f    ‫ﻹﯾﺠﺎد‬ ,U f ‫ﺑﺎﺳﺘﺨﺪام‬ ‫ﻧﺠﺪه‬ ‫اﻷﻋﻠﻰ‬ ‫اﻟﺠﻤﻊ‬ ‫ﺣﺎﺻﻞ‬ ‫أي‬‫أ‬‫ﻋﻈﻢ‬‫ﻟﻠﺪ‬ ‫ﻗﯿﻤﺔ‬‫اﻟﺔ‬f‫وھﻲ‬‫ﻓﻲ‬ ‫ﯾﻠﻲ‬ ‫ﻛﻤﺎ‬ ‫اﻟﺴﺎﺑﻘﺔ‬ ‫اﻟﺠﺰﺋﯿﺔ‬ ‫اﻟﻔﺘﺮات‬: 1(‫اﻟﻔﺘﺮة‬ ‫ﻓﻲ‬ 2    ‫ﻟﻠﺪاﻟﺔ‬ ‫ﻗﯿﻤﺔ‬ ‫أﺻﻐﺮ‬f‫ﻓﺘﻜﻮن‬ ‫ﻓﯿﮭﺎ‬ ‫ﻣﺘﺰاﯾﺪة‬ ‫اﻟﺪاﻟﺔ‬ ‫ﻷن‬ ‫اﻷﯾﻤﻦ‬ ‫اﻟﻄﺮف‬ ‫ﻋﻨﺪ‬ ‫ﺗﻮﺟﺪ‬ ‫ھﻲ‬ ‫اﻟﻤﺴﺘﻄﯿﻞ‬ ‫ﻣﺴﺎﺣﺔ‬: 1 ( 1) 1 8 1 8A f     2(‫اﻟﻔﺘﺮة‬ ‫ﻓﻲ‬ 1  ‫اﻟﻨﻘﻄﺔ‬ ‫ﻋﻨﺪ‬ ‫ھﻲ‬ ‫ﻟﻠﺪاﻟﺔ‬ ‫ﻗﯿﻤﺔ‬ ‫أﻋﻈﻢ‬x = 0‫وﻟﻘﺪ‬ ‫اﻟﺤﺮﺟﺔ‬‫ﺑﻤﺆﻟﻔﻲ‬ ‫ﯾﺴﻤﻰ‬ ‫ﻣﺎ‬ ‫ﻓﺸﻞ‬ ‫ذﻟﻚ‬ ‫إﯾﻀﺎح‬ ‫ﻓﻲ‬ ‫اﻟﻜﺘﺎب‬‫ﻓﺘﻜﻮن‬f (0) = 9‫ھﻲ‬ ‫اﻟﻤﺴﺘﻄﯿﻞ‬ ‫ﻣﺴﺎﺣﺔ‬ ‫ﻓﺘﻜﻮن‬ ‫ﻗﯿﻤﺔ‬ ‫أﻋﻈﻢ‬ ‫ھﻲ‬: 3(‫اﻟﻔﺘﺮة‬ ‫ﻓﻲ‬ 2 ‫ﻟﻠﺪاﻟﺔ‬ ‫ﻗﯿﻤﺔ‬ ‫أﺻﻐﺮ‬f‫ﻋﻨﺪ‬ ‫ﺗﻮﺟﺪ‬‫ﻓﺘﻜﻮن‬ ‫ﻓﯿﮭﺎ‬ ‫ﻣﺘﻨﺎﻗﺼﺔ‬ ‫اﻟﺪاﻟﺔ‬ ‫ﻷن‬ ‫اﻷﯾﺴﺮ‬ ‫اﻟﻄﺮف‬ ‫ھﻲ‬ ‫اﻟﻤﺴﺘﻄﯿﻞ‬ ‫ﻣﺴﺎﺣﺔ‬: 3 (2) 1 5 1 5A f        1 2 3 1 , 8 27 5 40Upper sum n i i f M x U f A A A                 if M  2 (0) 3 9 3 27A f width            1 2 3 1 , 5 15 0 20Lower sum n i i f m x L f A A A              
  • 192.
    192 ‫ﻟـ‬ ‫اﻟﺼﺤﯿﺤﺔ‬ ‫اﻟﻘﯿﻤﺔ‬‫إن‬ 3 2 ( )f x dx  ‫ھﻲ‬ 1 33 3 ‫اﻻﻋﻠﻰ‬ ‫اﻟﻤﺠﻤﻮع‬ ‫ﺑﯿﻦ‬ ‫ﻣﺤﺼﻮرة‬ ‫ﻓﮭﻲ‬40‫واﻟﻤﺠﻤﻮع‬ ‫اﻷدﻧﻰ‬27‫ﺗﺴﺎوي‬ ‫اﻟﺘﻘﺮﯾﺒﯿﺔ‬ ‫واﻟﻤﺴﺎﺣﺔ‬:    , , 40 23 1 31 2 2 2 U f L f A           ‫ﻣﺜﺎل‬:‫ﺟﺪ‬1 b a dx ‫اﻟﻤﻨﺤﻨﻲ‬ ‫ﺗﺤﺖ‬ ‫اﻟﻤﺴﺎﺣﺔ‬ ‫اﻟﻤﻄﻠﻮب‬( ) 1f x ‫اﻟﺮأﺳﯿﯿﻦ‬ ‫واﻟﻤﺴﺘﻘﯿﻤﯿﻦ‬x = a , x = b ‫ﻃﻮﻟﮫ‬ ‫ﻣﺴﺘﻄﯿﻞ‬ ‫ﻣﺴﺎﺣﺔ‬ ‫ﺗﺴﺎوي‬ ‫اﻟﻤﺴﺎﺣﺔ‬ ‫وھﺬه‬b – a ‫وﻋﺮﺿ‬‫وﺣﺪة‬ ‫ﯾﺴﺎوي‬ ‫ﮫ‬‫واﺣﺪة‬ ‫ﻃﻮل‬ ‫ﺗﺴﺎوي‬ ‫ﻣﺴﺎﺣﺘﮫ‬ ‫ﻟﺬا‬uint2 b – a ‫أي‬:   2 ( , ) ( , ) ( )A U f L f b a unit         ‫ﻓﺎن‬ ‫ﻟﺬا‬:1 b a dx b a   ‫اﻟﺤﻞ‬:‫اﻟﻤﻨﺤﻨﻲ‬ ‫ﺗﺤﺖ‬ ‫اﻟﻤﺴﺎﺣﺔ‬ ‫اﻟﻤﻄﻠﻮب‬)‫اﻟﺴﯿﻨﺎت‬ ‫وﻣﺤﻮر‬ ‫اﻟﻤﻨﺤﻨﻲ‬ ‫ﺑﯿﻦ‬( ‫اﻟﺮأﺳﯿﯿﻦ‬ ‫واﻟﻤﺴﺘﻘﯿﻤﯿﻦ‬x = -1 , x = 3 ‫ﺷﺒﮫ‬ ‫ﯾﻤﺜﻞ‬ ‫اﻟﺸﻜﻞ‬‫اﻟﻤﺘﻮازﯾﺘﯿﻦ‬ ‫ﻗﺎﻋﺪﺗﯿﮫ‬ ‫ﻣﻦ‬ ‫ﻛﻞ‬ ‫ﻃﻮل‬ ‫ﻣﻨﺤﺮف‬ 5 , 1‫ﯾﺴﺎوي‬ ‫وارﺗﻔﺎﻋﮫ‬3 – (-1) = 4 ‫اﻟﻤﺴﺎﺣﺔ‬=  21 5 1 *4 12 2 unit  ‫ﻟﺬا‬:  3 1 3 12x dx    
  • 193.
    193 ‫ﻣﺜﺎل‬:‫ﺟﺪ‬  3 1 2x dx   ‫اﻟﻤﺴﺎﺣﺔ‬A1‫ﻗﺎﻋﺪﺗﮫ‬ ‫ﻃﻮل‬ ‫ﻟﻤﺜﻠﺚ‬ ‫ھﻲ‬=2‫وارﺗﻔﺎع‬=1 A1 = 1/2(2*1) = 1 ‫اﻟﻤﺴﺎﺣﺔ‬A2‫ﻗﺎﻋﺪﺗﮫ‬ ‫ﻃﻮل‬ ‫ﻟﻤﺜﻠﺚ‬ ‫ھﻲ‬=2‫وارﺗﻔﺎع‬=2 A2= 1/2*(2*2)= 2   3 2 1 2 1 2 1 2 3 ( )x dx A A A unit             ‫ﻣﺜﺎل‬:‫اﻟﻤﺴﺎﺣﺔ‬ ‫ﻹﯾﺠﺎد‬ ‫واﻷﯾﺴﺮ‬ ‫اﻷﯾﻤﻦ‬ ‫اﻟﻄﺮﻓﻲ‬ ‫اﻟﻤﺠﻤﻮع‬ ‫اﺳﺘﻌﻤﻞ‬‫اﻟﺘﻘﺮﯾﺒﯿﺔ‬‫اﻟﻤﻨﺤﻨﻲ‬ ‫ﺗﺤﺖ‬12  xy‫ﻋﻠﻰ‬ ‫اﻟﻔﺘﺮة‬[0, 2]‫ﺑﺎﺳﺘﻌﻤﺎل‬n = 4. ‫اﻟﺤﻞ‬:‫اﻻدﻧﻰ‬ ‫اﻟﻤﺠﻤﻮع‬ ‫ﻧﺠﺪ‬.Lower sum ‫اﻟﻤﺴﺘﻄﯿﻼت‬ ‫ﻋﺪد‬=4 ‫ﻣﺴﺘﻄﯿﻞ‬ ‫ﻛﻞ‬ ‫ﻋﺮض‬= 2 0 0.5 4 x b a n n       ‫اﻟﻤﺴﺘﻄﯿﻞ‬ ‫ﻃﻮل‬)1(( 10)f ‫ﻓﻲ‬]0 , 0.5[ ‫اﻟﻤﺴﺘﻄﯿﻞ‬ ‫ﻃﻮل‬)2(( ) 5.5 20 1.f ‫ﻓﻲ‬]10.5 ,[ ‫اﻟﻤﺴﺘﻄﯿﻞ‬ ‫ﻃﻮل‬)3(( 21)f ‫ﻓﻲ‬]1.51 ,[ ‫اﻟﻤﺴﺘﻄﯿﻞ‬ ‫ﻃﻮل‬)4((1.5) 3.25f ‫ﻓﻲ‬]21.5 ,[ ‫اﻟﻜﻠﯿﺔ‬ ‫اﻟﻤﺴﺎﺣﺔ‬=‫اﻻرﺑﻌﺔ‬ ‫اﻟﻤﺴﺘﻄﯿﻼت‬ ‫ﻣﺴﺎﺣﺎت‬ ‫ﻣﺠﻤﻮع‬ ‫اﻷ‬ ‫اﻟﻤﺠﻤﻮع‬ ‫ﺛﺎﻧﯿﺎ‬ ‫ﻟﻨﺠﺪ‬‫ﻋﻠﻰ‬:Upper sum ‫اﻟﻤﺴﺘﻄﯿﻞ‬ ‫ﻃﻮل‬)1(( ) 5.5 20 1.f ‫ﻓﻲ‬]0 , 0.5[ ‫اﻟﻤﺴﺘﻄﯿﻞ‬ ‫ﻃﻮل‬)2(( ) 21f   ‫ﻓﻲ‬]10.5 ,[   3 0 0 1 2 3 0 1 2 3 Left Hand Total Area from ( ) ( ) ( ) ( ) ( )  (Lower) 0 2 endpoint sum                                                                          ( ) ( ) ( ) ( ) i if x x f x x f x x f x x f x x x f x f x f x f x x                         41 1.25 3.75 ,2 0.5 L f           
  • 194.
    194 ‫اﻟﻤﺴﺘﻄﯿﻞ‬ ‫ﻃﻮل‬)3((1.5) 3.25f‫ﻓﻲ‬]1.51 ,[ ‫اﻟﻤﺴﺘﻄﯿﻞ‬ ‫ﻃﻮل‬)4(( ) 52f   ‫ﻓﻲ‬]21.5 ,[ ‫اﻟﻜﻠﯿﺔ‬ ‫اﻟﻤﺴﺎﺣﺔ‬=‫اﻻرﺑﻌﺔ‬ ‫اﻟﻤﺴﺘﻄﯿﻼت‬ ‫ﻣﺴﺎﺣﺎت‬ ‫ﻣﺠﻤﻮع‬ 2 : 3.75 5.75T otal A ria Ude Hence L eft R igt S um S um r y x                  0, 2   ‫اﻟﺘﻘﺮﯾﺒﯿﺔ‬ ‫اﻟﻤﺴﺎﺣﺔ‬= ( , ) ( , ) 5.75 3.75 4.75 2 2 U f L f      ‫ﻣﺜﺎل‬:‫ﺑﺎﺳﺘﺨﺪا‬‫م‬‫ﺗﺤﺖ‬ ‫ﻟﻠﻤﺴﺎﺣﺔ‬ ‫ﺗﻘﺮﯾﺒﺎ‬ ‫ﺟﺪ‬ ‫واﻟﺴﻔﻠﻰ‬ ‫اﻟﻌﻠﯿﺎ‬ ‫اﻟﻤﺠﺎﻣﯿﻊ‬ ‫اﻟﻤﻨﺤﻨﻲ‬2 ( ) 1f x x ‫ﺑﺎﻟﻤﺴﺘﻘﯿﻤﯿ‬ ‫واﻟﻤﺤﺪدة‬‫ﻦ‬x = - 1 , x = 2 ‫وﺑﺎﺳﺘﺨﺪام‬n = 6. ‫اﻟﺤﻞ‬:‫أن‬ ‫اﻟﻤﺠﺎور‬ ‫اﻟﺸﻜﻞ‬ ‫ﻓﻲ‬ ‫ﻻﺣﻆ‬)0 ,1(‫ﻋﻠﻰ‬ ‫ﺑﯿﻨﻤﺎ‬ ‫ﻣﺘﻨﺎﻗﺺ‬ ‫ﯾﺴﺎرھﺎ‬ ‫ﻓﻲ‬ ‫واﻟﻤﻨﺤﻨﻲ‬ ‫ﺣﺮﺟﺔ‬ ‫ﻧﻘﻄﺔ‬‫ﯾﻤﯿﻨﮭﺎ‬ ‫ﻣﺘﺰاﯾﺪ‬.‫ﺗﺰاﯾﺪ‬ ‫وﺟﻮد‬ ‫ﺑﺴﺒﺐ‬ ‫اﻟﯿﺴﺮى‬ ‫اﻟﯿﺪ‬ ‫وﻗﺎﻋﺪة‬ ‫اﻟﯿﻤﻨﻰ‬ ‫اﻟﯿﺪ‬ ‫ﻗﺎﻋﺪة‬ ‫ﺑﺎﺳﺘﻌﻤﺎل‬ ‫اﻟﺘﻘﺮﯾﺐ‬ ‫ﺳﯿﻜﻮن‬ ‫ﻟﺬا‬ ‫ﺑـ‬ ‫اﻟﯿﺴﺮى‬ ‫اﻟﯿﺪ‬ ‫ﻗﺎﻋﺪة‬ ‫ﻋﻠﻰ‬ ‫ﯾﺼﻄﻠﺢ‬ ‫واﻟﺘﻲ‬ ‫اﻟﺪاﻟﺔ‬ ‫ﺑﻨﻔﺲ‬ ‫وﺗﻨﺎﻗﺺ‬(LRAM).‫ﻟﻠﻌﺒﺎرة‬ ‫ﻣﺨﺘﺼﺮ‬ ‫وھﻲ‬: Left-hand Rectangular Approximation Method ‫ﺑﺎﻻﺧﺘﺼﺎر‬ ‫ﺗﻜﺘﺐ‬ ‫اﻟﯿﻤﻨﻰ‬ ‫اﻟﯿﺪ‬ ‫ﻗﺎﻋﺪة‬ ‫ﺑﯿﻨﻤﺎ‬)RRAM(‫ﻟﻠﻌﺒﺎرة‬ ‫ﻣﺨﺘﺼﺮ‬ ‫وھﻲ‬: Right-hand Rectangular Approximation Method    , 1, 2a b      ‫ﻋﺮض‬Width‫ﯾﺴﺎوي‬ ‫ﻣﺴﺘﻄﯿﻞ‬ ‫ﻛﻞ‬ 2 1 1 6 6 2 b a x         1 2 3 4 1 1 2 3 4 4 Right Hand Total Area from ( ) ( ) ( ) ( ) ( )  ( ) 0 2 endpoint sum                                                                        Upper    ( ) ( ) ( ) ( ) i if x x f x x f x x f x x f x x x f x f x f x f x x                         451.25 2 0. .75 ,5 L f             
  • 195.
    195 ‫اﻟﺘﻘﺮﯾﺒﯿﺔ‬ ‫اﻟﻤﺴﺎﺣﺔ‬=  25.3756.875 6.125 2 2 L RA A A unit       ‫ﻣﺜﺎل‬:‫ﺗﺤﺖ‬ ‫اﻟﻤﺴﺎﺣﺔ‬ ‫ﺟﺪ‬ ‫اﻟﻤﺴﺘﻄﯿﻼت‬ ‫ﻣﺠﻤﻮع‬ ‫ﺑﺎﺳﺘﺨﺪام‬ ‫و‬ ‫اﻟﻤﺠﺎور‬ ‫اﻟﺸﻜﻞ‬ ‫ﻣﻦ‬ ‫اﻟﻤﺠﻤﻮع‬ ‫ﻧﻮع‬ ‫وﻣﺎ‬ ‫اﻟﻤﻨﺤﻨﻲ‬. ‫ﺑﺎﺳﺘﺨﺪ‬ ‫ﺗﻜﺘﺐ‬ ‫أن‬ ‫وﯾﻤﻜﻦ‬‫ﯾﻠﻲ‬ ‫وﻛﻤﺎ‬ ‫اﻟﺠﻤﻊ‬ ‫رﻣﺰ‬ ‫ام‬: ‫ﻣﺠﻤﻮع‬ ‫وﺗﻤﺜﻞ‬)‫أدﻧﻰ‬(
  • 196.
    196      1 2 3 4 4 1 (0) (1) (2) (3) 1 1 2 5 10 18 , mA A A A A f f f f L f                        1 2 3 4 4 1 (1) (2) (3) (4) 1 2 5 10 17 34 , MA A A A A f f f f U f                   ‫ﻣﺜﺎل‬:‫اﻟﻤﻨﺤﻨﻲ‬ ‫ﺗﺤﺖ‬ ‫اﻟﺘﻘﺮﯾﺒﯿﺔ‬ ‫اﻟﻤﺴﺎﺣﺔ‬ ‫ﺟﺪ‬ 2 ( ) 1f x x  ‫ﺑﺎﻟﻤﺴﺘﻘﯿﻤﯿﻦ‬ ‫واﻟﻤﺤﺪدة‬ ‫اﻟﺴﯿﻨﺎت‬ ‫ﻣﺤﻮر‬ ‫وﻓﻮق‬ ‫اﻟﺮأﺳﯿﯿﻦ‬x = 0 , x = 4‫ﺑﺎﻋﺘﺒﺎر‬n= 4 ‫اﻟﺤﻞ‬:‫أوﻻ‬ ‫ﻟﻨﺠﺪ‬:4( , )L f  ‫ا‬ ‫ﻣﺠﻤﻮع‬‫دﻧﻰ‬ ‫اﻟﻔﺘﺮة‬ ‫ﻓﻲ‬ ‫ﻣﺘﺰاﯾﺪة‬ ‫اﻟﺪاﻟﺔ‬ 0,4 ‫ﻧﺴﺘﻌﻤﻞ‬ ‫ﻟﺬا‬‫اﻟﯿﺴﺮى‬ ‫اﻟﻄﺮﻓﯿﺔ‬ ‫اﻟﻨﻘﻂ‬‫اﻟﺠﺰﺋﯿﺔ‬ ‫ﻟﻠﻔﺘﺮات‬        ,1 , ,2 , ,3 , 3,0 41 2       ‫واﺣﺪة‬ ‫وﺣﺪة‬ ‫ﺗﺴﺎوي‬ ‫ﻓﺘﺮة‬ ‫ﻛﻞ‬ ‫وﻃﻮل‬ ‫ﻟﻨﺠﺪ‬‫ﺛﺎﻧﯿﺎ‬:4( , )U f  ‫اﻷﻋﻠﻰ‬ ‫اﻟﻤﺠﻤﻮع‬:Upper sum ‫ا‬ ‫ﻓﻲ‬ ‫ﻣﺘﺰاﯾﺪة‬ ‫اﻟﺪاﻟﺔ‬‫ﻟﻔﺘﺮة‬ 0,4 ‫ﻧﺴﺘﻌﻤﻞ‬ ‫ﻟﺬا‬‫اﻟﯿ‬ ‫اﻟﻄﺮﻓﯿﺔ‬ ‫اﻟﻨﻘﻂ‬‫ﻤﻨﻰ‬‫اﻟﺠﺰﺋﯿﺔ‬ ‫ﻟﻠﻔﺘﺮات‬       0, , 1, , 2, , 31 2 ,3 4        ‫واﺣﺪة‬ ‫وﺣﺪة‬ ‫ﺗﺴﺎوي‬ ‫ﻓﺘﺮة‬ ‫ﻛﻞ‬ ‫وﻃﻮل‬ ‫اﻟﺘﻘﺮﯾﺒﯿﺔ‬ ‫اﻟﻤﺴﺎﺣﺔ‬=   2( , ) ( , ) 34 18 26 2 2 U f L f unit       
  • 197.
    197      1 2 3 4 4 1 (1) (2) (3) (4) 1 16 13 8 1 36 , mA A A A A f f f f L f                     1 2 3 4 4 (0) 1 (1) 1 (2) 1 (3) 17 16 13 8 54 , MA A A A A f f f f U f                  ‫ﻣﺜﺎل‬:‫ﻟﻠﺘﻜﺎﻣﻞ‬ ‫ﺗﻘﺮﯾﺒﯿﺔ‬ ‫ﻗﯿﻤﺔ‬ ‫ﺟﺪ‬ 4 2 0 (17 )x dx  ‫اﻟﺘﺠﺰئ‬ ‫ﺑﺎﺳﺘﺨﺪام‬ 0,1,2,3,4  ‫اﻟﺤﻞ‬:‫ﻻﯾﺠﺎد‬ ‫ﻟﺬا‬ ‫ﻣﺘﻨﺎﻗﺼﺔ‬ ‫اﻟﺪاﻟﺔ‬‫اﻟﻤﺴﺎﺣﺔ‬ ‫اﻟﯿﻤﻨﻰ‬ ‫اﻟﻄﺮﻓﯿﺔ‬ ‫اﻟﻨﻘﻂ‬ ‫ﻧﺴﺘﻌﻤﻞ‬ ‫اﻷدﻧﻰ‬. ‫اﻟﻤﺠﺎور‬ ‫اﻟﻤﺨﻄﻂ‬ ‫راﺟﻊ‬ ‫واﺣﺪة‬ ‫ﻃﻮل‬ ‫وﺣﺪة‬ ‫ﯾﺴﺎوي‬ ‫ﻣﺴﺘﻄﯿﻞ‬ ‫ﻛﻞ‬ ‫ﻋﺮض‬ ‫اﻻرﺑﻌﺔ‬ ‫اﻟﻤﺘﻄﯿﻼت‬ ‫أﻃﻮال‬ ‫ﻟﻨﺠﺪ‬. (1) 17 1 16f   ‫ﻟﻠﻤﺴﺘﻄﯿ‬‫رﻗﻢ‬ ‫ﻞ‬)1( 2 (2) 17 2 13f   ‫رﻗﻢ‬ ‫ﻟﻠﻤﺴﺘﻄﯿﻞ‬)2( 2 (3) 17 3 8f   ‫رﻗﻢ‬ ‫ﻟﻠﻤﺴﺘﻄﯿﻞ‬)3( 2 (4) 17 4 1f   ‫رﻗﻢ‬ ‫ﻟﻠﻤﺴﺘﻄﯿﻞ‬)4( ‫اﻟﻤﺴﺎﺣﺔ‬ ‫وﻟﻨﺠﺪ‬‫ﺑﺎﺳﺘﻌﻤﺎ‬‫ل‬‫اﻟﻤﺠﻤﻮع‬‫اﻷﻋﻠﻰ‬ ‫وذﻟﻚ‬‫ﺑﺎﺳﺘﺨﺪا‬‫م‬‫اﻟﺪاﻟﺔ‬ ‫ﻷن‬ ‫اﻟﯿﺴﺮى‬ ‫اﻟﻄﺮﻓﯿﺔ‬ ‫اﻟﻨﻘﻂ‬ ‫ﻣﺘﻨﺎﻗﺼﺔ‬. ‫اﻟﻤﺴ‬‫اﻟﺘﻘﺮﯾﺒﯿﺔ‬ ‫ﺎﺣﺔ‬=   2( , ) ( , ) 54 36 45 2 2 U f L f unit       
  • 198.
    198 ‫ﻣﻼﺣﻈﺔ‬:‫وزادت‬ ‫اﻟﻤﻨﺤﻨﻲ‬ ‫ﺗﺤﺖ‬‫اﻟﻤﺴﺎﺣﺔ‬ ‫ﺗﻤﺜﯿﻞ‬ ‫دﻗﺔ‬ ‫زادت‬ ‫ﻛﻠﻤﺎ‬ ‫اﻟﻮاﺣﺪة‬ ‫ﻟﻠﻔﺘﺮة‬ ‫اﻟﺘﺠﺰﺋﺎت‬ ‫ﻋﺪد‬ ‫زاد‬ ‫ﻛﻠﻤﺎ‬ ‫اﻟﻤﺴﺎﺣﺔ‬ ‫ﺗﻠﻚ‬ ‫ﺣﺴﺎب‬ ‫دﻗﺔ‬ ‫ﻟﺬﻟﻚ‬ ‫ﺗﺒﻌﺎ‬.‫وﻃﺒﻌﺎ‬‫ﻣﺘﺴﺎوﯾﺔ‬ ‫اﻟﺘﻘﺴﯿﻤﺎت‬ ‫ﺗﻜﻮن‬ ‫أن‬ ‫اﻟﻀﺮوري‬ ‫ﻣﻦ‬ ‫ﻟﯿﺲ‬‫زﯾﺎدة‬ ‫ﻓﯿﻤﻜﻦ‬ ‫اﻟﺘﻲ‬ ‫اﻟﻤﻨﺎﻃﻖ‬ ‫ﻓﻲ‬ ‫ﻋﺪدھﺎ‬‫اﻟﺪاﻟﺔ‬ ‫ﻣﻨﺤﻨﻲ‬ ‫ﻓﯿﮭﺎ‬ ‫ﯾﻠﺘﻮي‬‫ﻛﺜﯿﺮا‬.‫ﻻ‬ ‫ﻣﻨﺎﻃﻖ‬ ‫ﻓﻲ‬ ‫اﻟﻤﺘﺴﺎوي‬ ‫ﻏﯿﺮ‬ ‫اﻟﺘﻘﺴﯿﻢ‬ ‫ﻧﺤﺘﺎج‬ ‫ﻻ‬ ‫اﻧﻨﺎ‬ ‫أي‬ ‫اﻟﻤﺪرﺳﻲ‬ ‫ﻛﺘﺎﺑﻨﺎ‬ ‫ﻣﺆﻟﻔﻲ‬ ‫أن‬ ‫وﻗﻠﺖ‬ ‫اﻻﻧﺘﺮﻧﯿﺖ‬ ‫ﻋﻠﻰ‬ ‫ﻧﺸﺮت‬ ‫أن‬ ‫ﺳﺒﻖ‬ ‫ﻓﻠﻘﺪ‬ ‫اﻟﺘﻮاءات‬ ‫ﺗﺤﻮي‬)‫ﯾﻘﺪم‬ ‫أن‬ ‫اﻟﻤﺴﺘﺤﯿﻞ‬ ‫ﻣﻦ‬ ‫ﺧﺒﺮة‬ ‫وﺑﻘﻠﺔ‬ ‫ﻓﯿﮭﻢ‬ ‫ﺗﺴﻠﻂ‬ ‫ﻣﻦ‬(‫اﻟﻤﻨﺤﻨﻰ‬ ‫ﺗﺤﺖ‬ ‫ﻟﻠﻤﺴﺎﺣﺔ‬ ‫واﻓﯿﺎ‬ ‫ﺷﺮﺣﺎ‬)‫اﷲ‬ ‫ﺳﺎﻣﺤﮭﻢ‬(‫ﻛ‬ ‫ﻓﻮﺿﻊ‬‫اﻟﻤﻮﺿﻮع‬ ‫ﺎﺗﺐ‬ ‫اﻟﺴﯿﻨﺎت‬ ‫ﻣﺤﻮر‬ ‫ﻓﻮق‬ ‫ﺑﺎﻟﻤﺴﺎﺣﺔ‬ ‫ﯾﻜﺘﻔﻲ‬ ‫أن‬ ‫ﻋﻠﯿﮫ‬ ‫وﻛﺎن‬ ‫اﻟﻤﻮاﺿﯿﻊ‬ ‫ﻣﻦ‬ ‫ﺧﻠﻄﺔ‬.‫أن‬ ‫ﻣﺠﺒﺮﯾﻦ‬ ‫وﻧﺤﻦ‬‫أﻋﻄﯿﻨﺎ‬‫ﻣﺜﺎﻻ‬ ‫اﻟﻤﻘﺮر‬ ‫اﻟﻤﻨﮭﺞ‬ ‫ﻟﻤﺠﺎرات‬ ‫ﻣﻨﺘﻈﻤﺔ‬ ‫ﻏﯿﺮ‬ ‫ﻟﺘﺠﺰﺋﺎت‬)‫واﻻﺳﺎﺗﺬة‬ ‫ﻟﻠﻄﻠﺒﺔ‬ ‫اﻋﺘﺬاري‬ ‫اﻗﺪم‬ ‫ﻟﺬا‬.( ‫ﻣﺜﺎل‬:‫ﻟﺘﻜﻦ‬  2 : 1,4 , ( ) 1f f x x      ‫ﻗﯿﻤﺔ‬ ‫ﺟﺪ‬‫ﻟﻠﻤﺴﺎﺣﺔ‬ ‫ﺗﻘﺮﯾﺒﯿﺔ‬A‫اذاﻛﺎن‬ ‫اﻟﻤﻨﺤﻨﻲ‬ ‫ﺗﺤﺖ‬:        1, 2 , 4 1, 2 , 4a b              ‫ﻣﺠﺎﻟﮭﺎ‬ ‫ﻓﻲ‬ ‫ﻣﺘﺰاﯾﺔ‬ ‫اﻟﺪاﻟﺔ‬ )a(‫ھﻲ‬ ‫اﻟﺠﺰﺋﯿﺔ‬ ‫اﻟﻔﺘﺮات‬   1 4, ,2     ‫ﻟﻠﻤﺴﺘﻄﯿﻞ‬ ‫ﻋﺮﺿﺎ‬ ‫ﺗﻤﺜﻞ‬ ‫ﻓﺘﺮة‬ ‫ﻛﻞ‬ ‫ﻃﻮل‬ ‫ﻟﻨﺠﺪ‬‫اﻷﻋﻠﻰ‬ ‫اﻟﻤﺠﻤﻮع‬:Upper sum‫اﻟﯿﻤﻨﻰ‬ ‫اﻟﻄﺮﻓﯿﺔ‬ ‫اﻟﻨﻘﻂ‬ ‫ﻧﺴﺘﻌﻤﻞ‬‫ار‬ ‫ﻻﯾﺠﺎد‬‫اﻟﻤﺴﺘﻄﯿﻞ‬ ‫ﻃﻮل‬ ‫أو‬ ‫ﺗﻔﺎع‬ ‫ﻷن‬‫ﻣﺘﺰاﯾﺪة‬ ‫اﻟﺪاﻟﺔ‬.  ( , ) ( )(2 12 4 5 ) ( ) 4 2 1 2 317 9 MA U f f f upper sum                  ‫ﻟﻨﺠﺪ‬‫اﻟﻤﺠﻤﻮع‬‫اﻷدﻧﻰ‬:lower sum‫اﻟﯿﺴﺮى‬ ‫اﻟﻄﺮﻓﯿﺔ‬ ‫اﻟﻨﻘﻂ‬ ‫ﻧﺴﺘﻌﻤﻞ‬‫اﻟﻤﺴﺘﻄﯿﻞ‬ ‫ﻃﻮل‬ ‫أو‬ ‫ارﺗﻔﺎع‬ ‫ﻻﯾﺠﺎد‬ ‫ﻷن‬‫ﻣﺘﺰاﯾﺪة‬ ‫اﻟﺪاﻟﺔ‬.  ( , ) ( )(2 1) ( ) 4 21 2 2 51 2 12 mA L f f f lower sum                    2( , ) ( , ) 39 12 25.5 2 2 U f L f A unit         )b(‫اﻟﺠﺰﺋﯿﺔ‬ ‫اﻟﻔﺘﺮات‬‫ھﻲ‬     2 3 41, , ,        ‫ﻟﻠﻤﺴﺘﻄﯿﻞ‬ ‫ﻋﺮﺿﺎ‬ ‫ﺗﻤﺜﻞ‬ ‫ﻓﺘﺮة‬ ‫ﻛﻞ‬ ‫ﻃﻮل‬ ‫ﻟﻨﺠﺪ‬‫اﻷﻋﻠﻰ‬ ‫اﻟﻤﺠﻤﻮع‬:Upper sum‫اﻟﻤﺴﺘﻄﯿﻞ‬ ‫ﻃﻮل‬ ‫أو‬ ‫ارﺗﻔﺎع‬ ‫ﻻﯾﺠﺎد‬ ‫اﻟﯿﻤﻨﻰ‬ ‫اﻟﻄﺮﻓﯿﺔ‬ ‫اﻟﻨﻘﻂ‬ ‫ﻧﺴﺘﻌﻤﻞ‬ ‫ﻣﺘﺰاﯾﺪة‬ ‫اﻟﺪاﻟﺔ‬ ‫ﻷن‬.
  • 199.
    199   ( , ) ( )(2 1) ( ) 3 2 ( ) 42 3 4 5 10 17 3 1 1 1 32 MA U f f f f upper sum                        ‫ﻟﻨﺠﺪ‬‫اﻟﻤﺠﻤﻮع‬‫اﻷدﻧﻰ‬:lower sum‫اﻟﻄﺮﻓﯿ‬ ‫اﻟﻨﻘﻂ‬ ‫ﻧﺴﺘﻌﻤﻞ‬‫اﻟﻤﺴﺘﻄﯿﻞ‬ ‫ﻃﻮل‬ ‫أو‬ ‫ارﺗﻔﺎع‬ ‫ﻻﯾﺠﺎد‬ ‫اﻟﯿﺴﺮى‬ ‫ﺔ‬ ‫ﻣﺘﺰاﯾﺪة‬ ‫اﻟﺪاﻟﺔ‬ ‫ﻷن‬.    ( , ) ( )(2 1) ( ) 3 2 ( )1 2 3 2 5 10 4 3 1 1 1 17 mA L f f f f lower sum                          2( , ) ( , ) 32 17 24.5 2 2 U f L f A unit         ‫اﻟﻔﺮع‬ ‫ﻓﻲ‬ ‫ﻻﺣﻆ‬)a(‫ھﻲ‬ ‫اﻟﻤﺴﺘﻄﯿﻼت‬ ‫ﻋﺪد‬ ‫أن‬2‫اﻟﻤﺴﺎﺣﺔ‬ ‫ﻓﻜﺎن‬25.5 ‫اﻟﻔﺮع‬ ‫وﻓﻲ‬)b(‫ھﻲ‬ ‫اﻟﻤﺴﺘﻄﯿﻼت‬ ‫ﻋﺪد‬ ‫أن‬3‫اﻟﻤﺴﺎﺣﺔ‬ ‫ﻓﻜﺎن‬24.5 ‫ﺑﯿ‬‫ھﻲ‬ ‫اﻟﻤﻀﺒﻮﻃﺔ‬ ‫اﻟﻤﺴﺎﺣﺔ‬ ‫ﻨﻤﺎ‬24‫اﻟﻤﺴﺎﺣﺔ‬ ‫ﻣﻦ‬ ‫أﻛﺜﺮ‬ ‫ﻧﻘﺘﺮب‬ ‫ﻓﺎﻧﻨﺎ‬ ‫اﻟﻤﺴﺘﻄﯿﻼت‬ ‫ﻋﺪد‬ ‫زاد‬ ‫ﻛﻠﻤﺎ‬ ‫أي‬ ‫اﻟﻤﻄﻠﻮﺑﺔ‬. ‫ﻣﺜﺎل‬:‫ﻟﻠﺘﻜﺎﻣﻞ‬ ‫ﺗﻘﺮﯾﺒﯿﺔ‬ ‫ﻗﯿﻤﺔ‬ ‫ﺟﺪ‬ 1 2 0 x dx‫اﻟﺘﺠﺰﺋﺔ‬ ‫ﺑﺎﺳﺘﺨﺪام‬ 1 1 3 0, , , ,1 4 2 4         1 2 0 0 1 2 3 0 1 2 3 1 1 2 3 0, , , ,1 4 4 4 4 ( ) 1 1 9 0, , , 16 4 16 1 1 9 , , , 1 16 4 16 1 0,1, 2,3 4 four eq ual intervals i i x dx Partition n m m m m M M M M x x for i                       
  • 200.
    200      1 1 0 1 1 0 ( , ) 1 1 1 9 14 ( , ) 0 4 16 4 16 64 ( , ) 1 1 1 9 30 ( , ) 1 4 16 4 16 64 1 1 30 14 11 ( , ) ( , ) 2 2 64 64 32 n i i i n i i i i i Lower m U sum L f x x L pper M f sum U f x x U f U f L f                                               Estimateof the integral ‫ﻣﺜﺎل‬:‫ﻟﺘﻜﻦ‬ : 1, 5 , ( ) 3 3f f x x       ‫ﻟﻠﺘﻜﺎﻣﻞ‬ ‫ﺗﻘﺮﯾﺒﯿﺔ‬ ‫ﻗﯿﻤﺔ‬ ‫ﺟﺪ‬ 5 1 ( )f x dx‫اﻟﺘﺠﺰﺋﺔ‬ ‫ﺑﺎﺳﺘﺨﺪام‬ 1, 2, 3, 5       ‫ﻣﻦ‬ ‫ﺗﺤﻘﻖ‬ ‫ﺛﻢ‬ ‫ھﻨﺪﺳﯿﺎ‬ ‫اﻟﻨﺎﺗﺞ‬.   0 1 2 0 1 2 1, 2,3,5 3 ( ) (1) , (20 3 6 3 6 1 ) , (3) (2) , (3) , (5) 2 three intervals Partition n m f m f m f M f M f M f                             0 3 6 3 6 1 ( , ) (1) (1) (2) 15 ( , ) 1 1 2 33 1 1 ( , ) ( , ) 33 15 24 2 2 2 Estimateof the integral Lower sum L f Upper sum U f U f L f                  ‫ھﻨﺪﺳﯿﺎ‬:‫ﻣﺜﻠﺚ‬ ‫ﻣﺴﺎﺣﺔ‬ ‫ﯾﻤﺜﻞ‬ ‫اﻟﺸﻜﻞ‬ ‫ﻗﺎﻋﺪﺗﮫ‬ ‫ﻃﻮل‬)5-1 = 4(‫ﯾﺴﺎوي‬ ‫وارﺗﻔﺎﻋﮫ‬12     21 1 (4) 12 24 2 2 A b h unit      
  • 201.
    201 ‫ﻣﺮاﺟﻌ‬‫ﻟﻘﻮاﻧﯿﻦ‬ ‫ﺔ‬‫اﻟﻤﺸﺘﻘﺔ‬Derivatives Basic Propertiesand Formulas If f (x) and g( x) are differentiable functions c and n are any real numbers Common Derivatives Chain Rule Variants
  • 202.
    202 2 2 ( )m fx dx M    ‫أﺳﺎﺳﯿﺔ‬ ‫ﻣﺒﺮھﻨﺎت‬Fundamental Theorem Part I:‫اذا‬‫ﻛﺎﻧﺖ‬f‫داﻟﺔ‬‫ﻋﻠﻰ‬ ‫ﻣﺴﺘﻤﺮة‬‫اﻟﻔﺘﺮة‬]a , b[‫ﻣﺴﺘﻤﺮة‬ ‫داﻟﺔ‬ ‫ﻓﺈن‬ ‫اﻟﻔﺘﺮة‬ ‫ﻋﻠﻰ‬]a , b[‫وأن‬ ‫أﯾﻀﺎ‬ Part II:‫ﻛﺎﻧﺖ‬ ‫اذا‬f‫اﻟﻔﺘﺮة‬ ‫ﻋﻠﻰ‬ ‫ﻣﺴﺘﻤﺮة‬ ‫داﻟﺔ‬]a , b[‫وأن‬)x(F‫اﻟﻌﻜﺴﯿﺔ‬ ‫اﻟﻤﺸﺘﻘﺔ‬ ‫ﯾﻤﺜﻞ‬ ‫ﻟﻠﺪاﻟﺔ‬f(x)‫ﻓﺈن‬ ‫أي‬ Properties ‫اﻟﻤﺤﺪد‬ ‫اﻟﺘﻜﺎﻣﻞ‬ ‫ﺧﻮاص‬ ‫ﻋﻠﻰ‬ ‫أﻣﺜﻠﺔ‬: ‫ﻣﺜﺎل‬1:‫اﻟﺪاﻟﺔ‬ ‫ﻛﺎﻧﺖ‬ ‫إذا‬f‫ﻋﻠﻰ‬ ‫ﻣﺴﺘﻤﺮة‬]-2, 2[‫وﻛﺎن‬6‫وﻛﺎﻧﺖ‬ ‫ﻟﻠﺪاﻟﺔ‬ ‫ﻗﯿﻢ‬ ‫أﻋﻈﻢ‬ ‫ﺗﻤﺜﻞ‬2‫أﺻﻐﺮ‬ ‫ﺗﻤﺜﻞ‬ ‫ﻟﻠﺪاﻟﺔ‬ ‫ﻗﯿﻢ‬ ‫ﻗﯿﻤﺔ‬ ‫ﻓﺠﺪ‬M , m‫ﺗﺤﻘﻖ‬ ‫اﻟﺘﻲ‬ ‫اﻟﺤﻞ‬:‫اﻷﺧﯿﺮة‬ ‫اﻟﻤﺒﺮھﻨﺔ‬ ‫ﻧﻄﺒﻖ‬:
  • 203.
    203   1 6 62 ( ) 16 ( ) 3 32f x dx and f x dx           1 2 ( )f x dx   -2 1 6 1 6 6 1 ( ( 6) 16 ) 1f dd fx xx x       6 1 6 2 2 1 ( ) ( ) ( )f x dx f x dx f x dx           1 1 2 2 8 16( ) ( ) ( ) 24f x dx f x dx            6 2 6 6 6 2 2 2 6 2 ( ) 3 32 ( ) 3 32 ( ) 3(6 2) 3 )2 ( 8 f x dx f x dx dx f x dx f x dx                        4 2 3 25  x dx   0.x        2 2 2 2 2 2 2 2 2 2 2 2 2 2 2 2 2 ( ) 6 2 ( ) 6 ( ) ( ) ( ) 8 ; 24 2 6 2 2 2 6(2 2) 8 24 f x dx f x dx dx f x dx f x dx f x dx m M x x                                      ‫ﻣﻼﺣﻈﺔ‬ ‫ﯾﻤﻜﻦ‬‫أن‬:( , ) 8 ; ( , ) 24L f U f    ‫اﻟﺘﻘﺮﯾﺒﺔ‬ ‫اﻟﻤﺴﺎﺣﺔ‬ ‫اﯾﺠﺎد‬ ‫ﯾﻤﻜﻦ‬ ‫اﻟﻌﺪدﯾﻦ‬ ‫ﻣﺘﻮﺳﻂ‬ ‫ﻣﻦ‬ ‫ﻟﺬا‬ . ‫اﻟﻤﺴﺎﺣﺔ‬ ‫وھﺬه‬‫اﻷﺧﯿﺮة‬‫ﺑﺎﺳﺘﺨﺪام‬‫ﻓﺘﺮة‬‫واﺣﺪ‬‫ة‬‫اﻷﻋ‬ ‫اﻟﺤﺪﯾﻦ‬ ‫ﻣﻦ‬ ‫ﻟﻜﻞ‬‫ﻠﻰ‬‫واﻷدﻧﻰ‬. ‫ﻣﺜﺎل‬2:‫اﻟﺘﻜﺎﻣﻞ‬ ‫ﻗﯿﻤﺔ‬ ‫ﻟﺘﻘﺮﯾﺐ‬ ‫اﻟﺨﻮاص‬ ‫اﺳﺘﺨﺪم‬ ‫اﻟﺤﻞ‬:‫ﻓﻠﻨﺄﺧﺬ‬ ‫اﻟﺤﺮﺟﺔ‬ ‫اﻟﻨﻘﻄﺔ‬ ‫ﻟﻨﺠﺪ‬ ‫اﻟﺤﺮﺟﺔ‬ ‫اﻟﻨﻘﻄﺔ‬ ‫ﻋﻠﻰ‬ ‫ﻧﺤﺼﻞ‬ ‫ﺗﻜﻮن‬ ‫وﻋﻨﺪﻣﺎ‬ ‫اﻟﺪاﻟﺔ‬ ‫ﻣﺪى‬ ‫ﻋﻠﻰ‬ ‫ﻓﻨﺤﺼﻞ‬the range of f(x) ‫ﻣﺜﺎل‬3:‫ﻟﺘﻜﻦ‬f‫وﻟﯿﻜﻦ‬ ، ‫ﻣﺴﺘﻤﺮة‬ ‫داﻟﺔ‬ ‫ﻓﺠﺪ‬ ‫اﻟﺤﻞ‬: ‫اﻻﺟﺰاء‬ ‫ﻣﺠﻤﻮع‬ ‫ﯾﺴﺎوي‬ ‫اﻟﻜﻞ‬. 2 ( ) 25 .f x x  2 ( )f x    2 x 2 [ 3,4] 25 x x     ( ) 0,f x  2 max min ( ) 25 . ( 5    0) , ( 3) 4 (4)f x x f f f                  4 4 3 3 2 3 ( ) 5, and  thus 3 4 3 21 35.( ) 5 4 3   ( ) 35 21 28  2 f x f x dx f x dx A unit               
  • 204.
    204 6 0 ( )f xdx      1 0, ( ) 2 6 2 1 1 lim ( ) lim 2 2 2 2 lim ( ) ( ) Continuous x a x a x a a F a Sin a F x Sin x defined exits Hence Sin a F x F a F at a                          0, 6      ( ) 2 ( ) 2 0 , 6 F x Cos x F a Cos a a             1 ( ) 2 ( ) 2 ( ) 2 F x Sin x F x Cos x f x     6 0 1 1 ( ) 0 1 3 2 2 f x dx Cos Cos                   32 2 3 1 1 : 2 , ; ( ) 4 1 x x f f x find f x dx x x                          2 1 1 1 2 1 2 lim 3 1 4 lim 3 1 : 2 1 4 m 43 li 4: 1 x x x x x L f x x x x x x L f x x                                        1 2 1 1 lim 4 (1) 3 1 4 lim (1) 1 exits defined x x L L f x f Hence f x f f continuous at x                    ‫ﻣﺜﺎل‬4:‫اﻟﺪاﻟﺔ‬ ‫أن‬ ‫ﺑﺮھﻦ‬F‫ﻟﻠﺪاﻟﺔ‬ ‫ﻣﻘﺎﺑﻠﺔ‬ ‫داﻟﺔ‬ ‫ھﻲ‬f‫أن‬ ‫ﺣﯿﺚ‬    3 2 : 1,2 ; ( ) 6 2 : 1,2 ; ( ) 6 3F F x x x and f f x x               ‫اﻟﺒﺮھﺎن‬:‫ﺑﺎﻟﻘﺎﻋﺪة‬ ‫اﻟﻤﻌﺮﻓﺔ‬ ‫اﻟﺪاﻟﺔ‬3 ( ) 6 2F x x x  ‫ﻣﺴﺘ‬ ‫داﻟﺔ‬ ‫ھﻲ‬‫ﻛﺜﯿﺮةاﻟﺤﺪود‬ ‫ﻷﻧﮭﺎ‬ ‫ﻟﻼﺷﺘﻘﺎق‬ ‫وﻗﺎﺑﻠﺔ‬ ‫ﻤﺮة‬ ‫وأن‬2 ( ) 6 3 ( )F x x f x   ‫ﻓﺎن‬ ‫ﻟﺬا‬F‫ﻟﻠﺪاﻟﺔ‬ ‫اﻟﻤﻘﺎﺑﻠﺔ‬ ‫اﻟﺪاﻟﺔ‬ ‫ھﻲ‬f. ‫ﻣﺜﺎل‬5:‫اﻟﺪاﻟﺔ‬ ‫أن‬ ‫ﺑﺮھﻦ‬F‫ﻟﻠﺪاﻟﺔ‬ ‫ﻣﻘﺎﺑﻠﺔ‬ ‫داﻟﺔ‬ ‫ھﻲ‬f‫أن‬ ‫ﺣﯿﺚ‬ 1 : 0, ; ( ) 2 : 0, ; ( ) 2 6 6 2 F F x Cos x and f f x Sin x                         ‫ﺟﺪ‬ ‫ﺛﻢ‬ ‫اﻟﺤﻞ‬:1 ( ) 2 2 F x Sin x ‫ﻟﻜﻦ‬a‫ﻓﻲ‬ ‫ﻣﺴﺘﻤﺮة‬ ‫ﻓﺎﻟﺪاﻟﺔ‬ ‫ﻟﺬا‬ ‫اﻟﻔﺘﺮة‬ ‫ﻋﻨﺎﺻﺮ‬ ‫ﻣﻦ‬ ‫ﻋﻨﺼﺮ‬ ‫ﻛﻞ‬ ‫ﺗﻤﺜﻞ‬ ‫ﻣﻮﺟﻮدة‬ ‫اﻟﻤﻔﺘﻮﺣﺔ‬ ‫اﻟﻔﺘﺮة‬ ‫ﻓﻲ‬ ‫ﻟﻼﺷﺘﻘﺎق‬ ‫ﻗﺎﺑﻠﺔ‬ ‫اﻟﺪاﻟﺔ‬ ‫ﺗﻜﻮن‬ ‫ﻟﺬا‬. ‫اﻟﺪاﻟﺔ‬F‫ﻟﻠﺪاﻟﺔ‬ ‫اﻟﻤﻘﺎﺑﻠﺔ‬ ‫اﻟﺪاﻟﺔ‬ ‫ھﻲ‬f ‫ﻣﺜﺎل‬6:‫ﻟ‬‫ﺘﻜﻦ‬ ‫اﻟﺤﻞ‬:
  • 205.
    205     2 2 11 1 1 6 (1 ) 6 6 : 2 6 (1 ) 6 1 16 : 3 x x Sign x x x x x x f x x x x x x x x                                          2 2 1 32 3 3 1 3 1 3 2 2 1 2 1 3 2 2 1 ( ) ( ) ( ) 3 2 (12 16 6 6 6 6 3 2 2 3 54 27 3 2 55) x x xf x dx f x dx f x dx dx dxx x x x x                                                     3 2 : 2,4 6 |1 | ; : ( )f Such that f x x x find f x dx                2 : 2, 6 3 ; ( ) 30 , b f b Such that f x x f x dx find b                      2 2 2 2 32 2 2 30 , 30 3 3 30 3 3 12 6 30 3 3 36 0 12 0 4 3 ( ) 6 0 3 3 b b b dx dx x x b b b b b b b f b b x x                                      ‫اﻟﻔﺘﺮة‬ ‫ﻓﻲ‬ ‫ﻣﺴﺘﻤﺮة‬ ‫واﻟﺪاﻟﺔ‬]-2 , 1[‫اﻟﻔﺘﺮة‬ ‫ﻓﻲ‬ ‫وﻣﺴﺘﻤﺮة‬]1 , 3[‫اﻟﺪاﻟﺔ‬ ‫ﺗﻜﻮن‬ ‫ﻟﺬا‬ ‫اﻟﺤﺪود‬ ‫ﻛﺜﯿﺮﺗﺎ‬ ‫ﻷﻧﮭﻤﺎ‬f ‫اﻟﻤﺠﺎل‬ ‫ﻋﻨﺎﺻﺮ‬ ‫ﺟﻤﯿﻊ‬ ‫ﻓﻲ‬ ‫ﻣﺴﺘﻤﺮة‬ ‫ﻷﻧﮭﺎ‬ ‫ﻣﺴﺘﻤﺮة‬.       2 1 3 1 3 1 3 2 2 1 2 33 2 2 1 1 ( ) ( ) ( ) 1 1 ( 8 2) 3 1 4 2 18 2 28 f x dx f x dx f x dx x dx dxx x x x                                         ‫ﻣﺜﺎل‬7:‫ﻟﺘﻜﻦ‬ ‫اﻟﺤﻞ‬: ‫ﻃﺮﯾ‬ ‫ﺑﻨﻔﺲ‬ ‫ﺑﺮھﻦ‬‫ﻣﺴﺘﻤﺮة‬ ‫اﻟﺪاﻟﺔ‬ ‫أن‬ ‫اﻟﺴﺒﻖ‬ ‫اﻟﻤﺜﺎل‬ ‫ﻘﺔ‬. ‫ﻣﺜﺎل‬8:‫ﻛﺎﻧﺖ‬ ‫اذا‬: ‫اﻟﺤﻞ‬:
  • 206.
    206        4 1 3 5 5 5 14 4 4 2 22 2 2 2 2 1 1 1 1 2 2 2 62 2 1 32 1 5 5 5 5 a x x dx x dx x dx x                                   41 4 4 4 8 8 33 3 3 3 3 1 1 1 3 3 3 45 2 1 16 1 4 4 4 4 b x dx x dx x                             3 2 32 2 32 2 0 0 0 1 1 sin cos sin cos sin sin sin0 3 3 2 1 1 (1 0) 3 3 d x x dx x x dx x                                            9 3 31 39 2 22 22 2 1 1 9 1 1 1 2 2 5 4 5 4 7 3 5 5 3 15 2 632 343 27 1 4 5 15 5 xx x xd xe d                                41 1 1 14 4 22 2 2 2 1 1 1 1 2 2 2 1 2(2 1) 2f dx x dx x x                            3 /4 3 /4 /2/2 3 1 2 cos cos cos 0 4 2 n 2 2 si xg x dx                             4 1 2 12 1 x xx x h dx x          1x    4 43 3 4 2 2 1 1 1 3 2 2 2 2 2 3 3 3 2 4 (2 ) 12 1 3 3 3 dx x x x x                                               4 8 23 2 1 1 0 9 4 3 /4 1 1 /2 5 2 4 1 21 0 sin cos 1 5 4 sin 2 11 a x x dx b x dx d x x dx e x dx f dx g x dx x x x x x h dx i dx x xx                                           24 1 32 64 5 52 2 2 2 3 21 1 1 6 5y k x x dx x l y x dx m y x dy n dy x               ‫ﻣﺜﺎل‬9:‫ﻣﻦ‬ ‫ﻛﻼ‬ ‫ﺟﺪ‬: ‫اﻟﺤﻞ‬
  • 207.
    207    23 2 2 1 2 2 1 20 0 5 ( 1) ( 1)( 1 11 x x x x x x x x dxe i dx x x xx              2 ) 1x x  1 0 2 2 ( 1)( 1 dx x x x x        2 ) 1x x  1 1 1 3 2 4 3 0 0 0 1 1 1 1 7 ( ) 4 3 4 3 12 dx x x dx x x                        3 124 4 4 2 2 1 1 1 45 3 2 22 2 1 6 12 36 12 36 2 2 2 6 36 2 5 3 5 k x x dx x x x dx x x x dx x x x                                   5 2 2 2 6 2 24 2     3 2 2 812 6 24 5 5             2 7 7 52 2 2 2 2 25 5 5 1 1 1 17 25 5 5 ( ) 7 7 5 ( ) 7 y y y l y x dx y x dx x y y y y y y                      2 7 7 52 2 2 2 2 25 5 5 1 1 1 17 25 5 5 ( ) 7 7 5 ( ) 7 y y y l y x dx y x dx x y y y y y y                        2 2 2 5 5 5 52 2 2 2 2 3 2 1 1 1 5 2 1 1 8 1 3 3 7 3 m y x dy x y dx x y x x                  1 1 2 1 1 23 2 264 64 64 3 3 3 3 3 21 1 1 5 3 1 5 5 1 3 3 x n dx x x dx x x dx x                                 2 3        643 33 23 2 22 1 5 2 5 4 2 2(1 8) 14x                   
  • 208.
    208      ln( ) ( ) 1 0 ( ) / – ( ) ( ) ln 1 ln a log (x) = ln(x) ln e x ln ln ln a x ln a ln a ln ln x e n e x x n x x x                          Derivatives of Exponential Functions         1) 2) ln 1 1 log ( ) ln( ) ln( ) u u u u a d e d bdu du e b b dx dx dx dx d du d du u u dx u a dx dx u dx                    Properties of Logarithms loga x a x log x a a x  0 ,  1 ,     0a a x   Product rule: log log loga a axy x y  Quotient rule: log log loga a a x x y y   Power rule: log logy a ax y x Change of base formula: ln log ln a x x a 
  • 209.
    209 :Examples 2 2 2 2) [ln( 1)] 1 du x x Chain ru x le d u x        1 3) [ ln( )] ( ) ln (1) 1 ln   d x x x x x Pro dx x duct rule      4 5 4 1 5[ln( )] 4) [ln( )]  5[ln( )] d x x x dx x x power rule   ‫أﻣﺜﻠﺔ‬‫أﺧﺮى‬:‫ﺟﺪ‬y ‫ﯾﻠﻲ‬ ‫ﻣﻤﺎ‬:  1 ( )( )( )2 y 3 1 5 2 7x 4x x     ‫ﻟﻮﻏ‬ ‫ﻧﺄﺧﺬ‬‫ﺎ‬‫اﻟﻄﺮﻓﯿﻦ‬ ‫رﯾﺘﻢ‬Take natural log of each side ( ( )( )( )) ( ) ( ) ( ) 2 2 ln y ln 3 1 5 2 7x 4 ln y ln 3 1 ln 5 2 ln 7x 4 x x x x            ‫ﻟﻠﻤﺘﻐﯿﺮ‬ ‫ﺑﺎﻟﻨﺴﺒﺔ‬ ‫اﻟﻄﺮﻓﯿﻦ‬ ‫ﻧﺸﺘﻖ‬x 22 3 5 14 3 1 5 3 5 14 3 1 5 42 7 4 2 7 y x x y y x x xy x x x                  ‫اﺳﺘﺒﺪل‬y‫ﺑﺪﻻﻟﺔ‬x   2 3 5 2 (        2   2) 1 Take natural log of each x y x x side        2 3 2 2 5 2 ( 2 ) 1 ln ln ln 3 ln ( 2 ) (ln ln 1 ) 51 x y y x x x x x           ‫اﻟﻄﺮﻓﯿﻦ‬ ‫ﻧﺸﺘﻖ‬)Differentiate both sides( 22 2 2 6 1 2 2 5( 1) 6 1 2 2 5( 1) y x x y xx x x x y y xx x                   2 1 1) [ln2 ] 2 d u x d Chai x u l x x n ru e        2 2 3 5 14 (3    1)(5   -  2)(7   4) 3 1 5 2 7 4 x y x x x x x x            
  • 210.
    210 ln log ln : a u u a Logs withother bases ln l n ln n lnl         : lln n x x x a x x a x x a a a xd d d a e e e a a dx d e x x a e a d                   Exponential functions with other bases       2 2 2 2 5 . ln 1 1 (log ) * ln ln ln (log ( sin ) ln5 1 1 2 cos * (2 c sin 2 sin os ) ln5 ( ) ln5( s n ) 1 i a ex d d u du u dx dx a a u dx d d x x dx dx x x x x x x x x x x                          3 3 2 ( ) x x f x e    3 3 3 2 3 2 3 2 ( ) (3 2 ) ( 2 3 )x x x x f x e x x x e            2 3 22 2 5 6 1 2         ( 2) 1   : 2 5( 1) x x Replace y with function of x y xx x x x x           ‫أﻣﺜﻠﺔ‬:  ‫ﻣﺜﺎل‬1 :       ‫ﺟﺪ اﻟﻤﺸﺘﻘﺔ ﻟﻠﺪاﻟﺔ‬     ‫اﻟﺤﻞ‬                                                :                                                                  ‫ﻣﺜﺎل‬2A :       ‫ﺟﺪ اﻟﻤﺸﺘﻘﺔ ﻟﻠﺪاﻟﺔ‬ sin(2 1) ( )f e       ‫اﻟﺤﻞ‬   :                                          sin(2 1) sin(2 1) ( ) sin(2 1) 2cos (2 1)f e e               ‫ﻣﺜﺎل‬2B            ( 2 2 2 2 1 2 2 ( 2 5) 2 5 ln( 2 5) 2 5 dy d x x x dx x x y dx x x x x                     ‫ﻣﺜﺎل‬2C        ( ( 3 ) 3 ln 3x xd dx   
  • 211.
    211 ln ln 5ln sin 3 ln cos 2 ln tany x x x    (ln ) (ln5 lnsin3 ln cos 2 ln tan ) d d y x x x dx dx        ‫ﻣﺜﺎل‬ :2D            ( 2( log ) 1 1 ln 2 ln d x x xd       ‫أﻣﺜﻠﺔ أﺧﺮى‬  :  ‫ﺟﺪ اﻟﻤﺸﺘﻘﺔ‬ dy dx  ‫   ﻣﻦ اﻟﻌﻼﻗﺎت اﻟﺘﺎﻟﯿﺔ‬.  ‫ﻣﺜﺎل‬3          :2 3 ln( ) 1 x y x        ‫اﻟﺤﻞ‬                                                               : 21 ln(3 ) ln( 1) 2 y x x      1 1 2 3 dy dx  3 x  2 2 2 1 1 1 2 1 2 1 2 1 2 1 x x x x x x x                             ‫ﻣﺜﺎل‬4       :                                                  5sin3 cos2 tany x x x       ‫اﻟﺨﻞ‬                                                            :        2 1 3cos3 2sin 2 1 sec 0 sin3 cos 2 2 tan dy x x x y dx x x x x          21 (5sin3 cos2 tan )( 3cot3 2tan 2 sec cot ) 2 dy x x x x x x x dx x          ‫ﻣﺜﺎل‬5              :                                 1 , 0x y x x x       ‫اﻟﺤﻞ‬   : ‫ﻣﻦ أﺧﺬ اﻟﻠﻮﻏﺎرﯾﺘﻢ اﻟﻄﺒﯿﻌﻲ ﻟﻠﻄﺮﻓﯿﻦ ﻧﺤﺼﻞ ﻋﻠﻰ‬:  ln lny x x  1 1 (ln ) ( ln ) ln (1 ln )xd d dy dy y x x x x x x dx dx y dx x dx                  
  • 212.
    212 2 6 2 32 5 dy x y x x dx       ‫ﻣﺜﺎل‬6         :  2 ln(3 2 5)x x y e       ‫    اﻟﺤﻞ‬ : ‫ﻣﻦ اﻟﺨﺎﺻﯿﺔ‬ ( )ln u e u  ‫  ﻧﺴﺘﻨﺘﺞ أن‬                   :              ‫ﻣﺜﺎل‬8A   :           ‫ا‬              
  • 213.
    213 2 33x   xdx c  ‫اﻟﻤﺤﺪد‬ ‫ﻏﯿﺮ‬ ‫اﻟﺘﻜﺎﻣﻞ‬ ‫ﺗﻌﺮﯾﻒ‬The Definition of Indefinite Integral ‫اﻟﺘﻔﺎ‬ ‫ﻋﻠﻢ‬ ‫أن‬ ‫ﺣﯿﺚ‬ ، ‫اﻻﺷﺘﻘﺎق‬ ‫ﻟﻌﻤﻠﯿﺔ‬ ‫اﻟﻌﻜﺴﯿﺔ‬ ‫اﻟﻌﻤﻠﯿﺔ‬ ‫ھﻮ‬ ‫اﻟﻤﺤﺪد‬ ‫ﻏﯿﺮ‬ ‫اﻟﺘﻜﺎﻣﻞ‬ ‫أو‬ ‫اﻟﻌﻜﺴﯿﺔ‬ ‫اﻟﻤﺸﺘﻘﺔ‬‫ﯾﺨﺘﺺ‬ ‫ﺿﻞ‬ ‫ﻟﻠﺪاﻟﺔ‬ ‫اﻟﻤﺸﺘﻘﺔ‬ ‫ﺑﺈﯾﺠﺎد‬f‫ﯾﺨﺘﺺ‬ ‫اﻟﻤﺤﺪد‬ ‫ﻏﯿﺮ‬ ‫اﻟﺘﻜﺎﻣﻞ‬ ‫ﻓﺎن‬‫ﺑﺈﯾﺠﺎد‬‫اﻟﻌﻜﺴﯿﺔ‬ ‫اﻟﻤﺸﺘﻘﺔ‬F‫ﻟﻠﺪاﻟﺔ‬f‫ﺑﺎﻟﺘﻌﺮﯾﻒ‬ ‫ﻛﻤﺎ‬: ‫ﻣﺜﺎل‬:‫ﻟﻠﺪاﻟﺔ‬ ‫اﻷﺻﻠﯿﺔ‬ ‫اﻟﺪاﻟﺔ‬ ‫ﺟﺪ‬ 2( )   3     ,        ,f x x x      ‫اﻟﺤﻞ‬:‫اﻟﺪاﻟﺔ‬ ‫اﯾﺠﺎد‬ ‫ﻧﺮﯾﺪ‬F‫ﺗﻜﻮن‬ ‫اﻟﺘﻲ‬‫ﻣﺸﺘﻘﺎﺗﮭﺎ‬‫اﻷوﻟﻰ‬‫ﻟـ‬ ‫ﻣﺴﺎوﯾﺔ‬3 x2 ‫وﺑﻤﻌﻨﻰ‬ ،‫آﺧﺮ‬‫ﯾﺮاد‬‫إﯾﺠﺎد‬F‫ﺑﺤﯿﺚ‬ 2( )   3F x x ‫ﻗﯿﻢ‬ ‫ﻟﻜﻞ‬x‫اﻟﺤﻘﯿﻘﯿﺔ‬. ‫ان‬ ‫ﻧﻌﻠﻢ‬ ‫ﺑﺎﻟﻤﺸﺘﻘﺔ‬ ‫ﺧﺒﺮﺗﻨﺎ‬ ‫وﻣﻦ‬3( ) F x x‫و‬ ‫اﻟﺪاﻟﺔ‬ ‫ھﻲ‬‫و‬ ‫ھﻲ‬‫اﻟﺪوال‬ ‫ﻣﻦ‬ ‫اﺣﺪة‬‫اﻟﻤﻄﻠﻮب‬ ‫ﺗﺤﻘﻖ‬ ‫اﻟﺘﻲ‬. ‫اﻷﺻﻠﯿﺔ‬ ‫اﻟﺪوال‬ ‫ﻣﻦ‬ ‫ﻣﻨﺘﮫ‬ ‫ﻏﯿﺮ‬ ‫ﻋﺪد‬ ‫ھﻨﺎﻟﻚ‬ ‫أن‬ ‫أي‬‫ﻣﺜﻞ‬3 3 34   ,      2     ,    x x x c   ‫اﻟﺘﻜﺎﻣﻞ‬ ‫ﺛﺎﺑﺖ‬ ‫ﯾﺴﻤﻰ‬ ‫ﺣﻘﯿﻘﻲ‬ ‫ﺛﺎﺑﺖ‬ ‫ﺑﻌﺪد‬ ‫ﻓﻘﻂ‬ ‫ﺗﺨﺘﻠﻒ‬ ‫اﻟﺪوال‬ ‫ﻓﮭﺬه‬‫اﻻﺧﺘﯿﺎري‬ ‫اﻟﺜﺎﺑﺖ‬ ‫او‬Arbitrary constant ‫اﻟﻤﺤﺪود‬ ‫ﻏﯿﺮ‬ ‫اﻟﺘﻜﺎﻣﻞ‬ ‫رﻣﺰ‬)Notation for Indefinite Integral( ‫اﻟﺮﻣﺰ‬ ‫اﻟﻤﺤﺪود‬ ‫ﻏﯿﺮ‬ ‫اﻟﺘﻜﺎﻣﻞ‬ ‫ﻓﻲ‬ ‫ﯾﺴﺘﻌﻤﻞ‬.....  dx‫وﯾﻌﺮف‬‫ﻟﯿﺒﻨﯿﺰ‬ ‫ﺑﺮﻣﺰ‬)Lebiniz(‫اﯾﺠﺎد‬ ‫ﻋﻤﻠﯿﺔ‬ ‫ﻋﻠﻰ‬ ‫ﻟﻠﺪﻻﻟﺔ‬ ‫اﻟﻤﺤﺪود‬ ‫ﻏﯿﺮ‬ ‫اﻟﺘﻜﺎﻣﻞ‬.‫ﺑﺎﻟﺮﻣﺰ‬ ‫ﻟﮫ‬ ‫ﯾﺮﻣﺰ‬ ‫اﻟﺴﺎﺑﻖ‬ ‫ﻓﺎﻟﻤﺜﺎل‬:   ( )      ( )f x dx F x c ‫ﺣﯿﺚ‬( ) ( )F x f x ‫ﯾﻌﻄﻲ‬ ‫اﻟﺘﻜﺎﻣﻞ‬ ‫ھﺬا‬ ‫وان‬: ‫اﻟﻤﺸﺘﻘﺎت‬ ‫ﻋﺎﺋﻠﺔ‬‫اﻟﻌﻜﺴﯿﺔ‬Family of Antiderivatives‫أي‬ ‫ﻋﻨﺪ‬ ‫اھﺎ‬ ‫اﻟﻤﺎس‬ ‫ﻣﯿﻞ‬ ‫ﻓﺠﻤﯿﻌﮭﺎ‬x‫ﻟﺬﻟﻚ‬ ‫ﻣﺘﺴﺎو‬ ‫ﻓﮭﻲ‬‫ﻣﺘﻮازﯾﺔ‬ ‫ﻣﻨﺤﻨﯿﺎت‬. ‫اﻟﺮﻣﺰ‬ ‫ﺗﺴﻤﯿﺔ‬ ‫ﻋﻠﻰ‬ ‫اﺻﻄﻠﺢ‬ ‫ﻓﻠﻘﺪ‬‫ﺑﺎﺳﻢ‬‫إﺷﺎرة‬‫اﻟﺘﻜﺎﻣﻞ‬)Integration Sign(‫وان‬f ( x )‫اﻟﻤﻮﺟﻮدة‬ ‫اﻟﺼﯿﻐﺔ‬ ‫ﻓﻲ‬  ( ) f x dx ‫ﺗﻌﺮﯾﻒ‬: ‫ﻟﺪ‬ ‫ﯾﻘﺎل‬‫اﻟﺔ‬F‫أﻧﮭﺎ‬‫ﻋﻜﺴﯿﺔ‬ ‫ﻣﺸﺘﻘﺔ‬)Antiderivative(‫ﻟﺪاﻟﺔ‬f‫اﻟﻔﺘﺮة‬ ‫ﻓﻲ‬I‫ﻛﺎن‬ ‫إذا‬: ( )    ( )      ,       F x f x x I   
  • 214.
    214 ‫اﻟﻤﻜﺎﻣﻠﺔ‬ ‫اﻟﺪاﻟﺔ‬ ‫ﺑﺎﺳﻢ‬Integrand‫واﻟﺮﻣﺰ‬dx‫ﻋﻠﻰ‬ ‫وﯾﺪل‬ ‫اﻟﺘﻔﺎﺿﻞ‬ ‫رﻣﺰ‬ ‫ھﻮ‬‫اﻟﻤﺮاد‬ ‫اﻟﺘﻜﺎﻣﻞ‬ ‫ﻋﻤﻠﯿﺔ‬ ‫أن‬ ‫ﻟﻠﻤﺘﻐﯿﺮ‬ ‫ﺑﺎﻟﻨﺴﺒﺔ‬ ‫ﺗﻜﻮن‬ ‫إﺟﺮاؤھﺎ‬x‫ﻓﻘﻂ‬‫اﻟﺘﻜﺎﻣﻞ‬ ‫ﻣﺘﻐﯿﺮ‬ ‫وﯾﺴﻤﻰ‬Variable of Integrating‫اﻋﺘﺒﺎر‬ ‫ﻣﻊ‬ ، ‫اﻟﻤﺘﺒﻘﯿﺔ‬ ‫اﻟﺮﻣﻮز‬-‫وﺟﺪت‬ ‫ان‬–‫ﻣﺜﻼ‬ ‫ﻛﺜﻮاﺑﺖ‬: ‫اﻟﺮﻣﺰﯾﻦ‬ ‫ﻣﻊ‬ ‫اﻟﺘﻌﺎﻣﻞ‬ ‫ﺗﻢ‬z , y‫ﻛﺜﻮاﺑﺖ‬. 2 (3 2 2 )  3 2  z x y dx z x y x c      ‫ﻣﺒﺮھﻨﺔ‬)1: (‫ﻧ‬‫ﺘﯿ‬‫ﺠﺔ‬‫ﻣﻦ‬‫ﻣﺒﺎﺷﺮة‬ ‫اﻟﻌﻜﺴﯿﺔ‬ ‫اﻟﻤﺸﺘﻘﺔ‬ ‫ﺗﻌﺮﯾﻒ‬:                 1    ( )     ( ) 2    ( )       ( ) d f x dx f x dx d f x dx f x c dx               3 3 :   1 :    s in          s in                2 :   ta n 3        ta n 3 d e x am p le d x d x x x d x x d x x x c d x           ‫ﻣﺒﺮھﻨﺔ‬2-‫اﻟﻘﻮة‬ ‫ﻗﺎﻋﺪة‬Power Role: 1                 ,      1 1 n n x x dx c n n      ‫ﻣﺜﺎل‬: 7 2 75 5 5 5               + c 7 7 5 x x dx c x   ‫ﻣﺒﺮھﻨﺔ‬3:‫ﻣﻦ‬ ‫ﻛﻞ‬ ‫ﻛﺎن‬ ‫اذا‬g , f‫أﺻﻠﯿﺔ‬ ‫داﻟﺔ‬)‫ﻣﺤﺪود‬ ‫ﻏﯿﺮ‬ ‫ﺗﻜﺎﻣﻼ‬(‫ﻛﺎن‬ ‫وإذا‬k‫ﻓﺎن‬ ‫ﺛﺎﺑﺘﺎ‬ ‫ﻋﺪدا‬:           1       ( )      ( )  2       ( )   ( )      ( )    ( )  3       ( )   ( )      ( )    ( )  k f x dx k f x dx f x g x dx f x dx g x dx f x g x dx f x dx g x dx                ‫اﻟﺒﺮھﺎن‬:       1    D     ( )      D     ( )       ( ) 2  D         ( )   ( )    D   ( )  D   ( )                                                            ( ) ( ) x x x x x k f x dx k f x dx k f x f x g x dx f x dx g x dx f x g x                                 ‫ﻃﺮﯾﻘﺔ‬ ‫ﺑﻨﻔﺲ‬ ‫اﻟﺜﺎﻟﺚ‬ ‫اﻟﺠﺰء‬ ‫وﺑﺮھﺎن‬‫اﻟﺜﺎﻧﻲ‬ ‫اﻟﺠﺰء‬.
  • 215.
    215            2 10 92 10 9 2 9 2 (1)      3 6 3   6 6 3 6 3   6 6 . :  let   u = 3 6 3              6 6 :                 10                                              3    6                   3 1 Ex am ple x x x d S olu x x du x dx u then u du x x x x dx x x c                    0 c     2 2 3 2 1 2 3 3 2 1 2 3 6 10 3   6   10   3                                    = 6    10   3 3 2                                   2 5 3 6  10                                     x x dx x dx x dx dx x x c c x c x x x c c c                                3 2 2 5 3x x x c    ‫ﻣﺜﺎل‬: ‫ﻣﺒﺮھﻨﺔ‬4:‫اﻟﻌﺎﻣﺔ‬ ‫اﻟﻘﻮى‬ ‫ﻗﺎﻋﺪة‬)Generalized Power Role(: ‫ﻟﺘﻜﻦ‬u = g(x)‫ﻟﻠﺘﻔﺎﺿﻞ‬ ‫ﻗﺎﺑﻠﺔ‬ ‫داﻟﺔ‬‫وأن‬   1n ‫و‬    ( ) du g x dx‫ﻓﺎن‬:     1 ( ) ( )   ( )    1 n g xn g x g x dx c n      ‫ﻣﺒﺮھﻨﺔ‬5:‫اﻟﻄﺒﯿﻌﻲ‬ ‫اﻟﻠﻮﻏﺎرﯾﺘﻢ‬ ‫ﺗﺤﻮي‬ ‫اﻟﺘﻲ‬ ‫اﻟﺪوال‬ ‫ﺗﻜﺎﻣﻞ‬     1 ( ) ln ln | | ln | ( )       | ( )     2 kx kx dx f x x C du u C dx f x C x u f x e e dx C k                       Integration involving the natural log function ‫أﻣﺜﻠﺔ‬:
  • 216.
    216   3 2 3 3     3 :        3 3   2  3      .  : I =      3         3  x Example I x x dx x Sol x x dx x x c                   6 7 7 2 1 1 7 2 1 1 1 1 1        sin ( 4)  2 2 7 14 2 1                        sin ( 4)    14 u du u c x c x c                                     5            . :   let  g(x) =       g (x) = -      ;      ( )         ( ) 1   :               ( ) + ( )  g (x)                                         x x x x x x Example I e x e dx Sol e e let f x x f x then I e x e dx g x f x f x dx                                             =   ( )     ( )   x g x f x dx g x f x c x e c                6 2 2 2 6 2 6 2 2 2 1 . :  Let   sin( 4)                 cos 4  2        cos 4    2 1   :    sin ( 4 4  :   I = sin ( 4)cos( 4)     )  2     cos( 4)  Exampl Sol x u du x x dx x x dx du He e x x x dx x x dxnce I x u du                    
  • 217.
    217 Table of IntegrationFormulas ( )f x dx( )f x 1 , 1 1 n x c n n      n x , 0In x c x  1 x cosx c cosx sin x csin x 2 1 , , 2 sec n x nIn x c          tan x sin , ,In x c x n n  cot x 2 1 , , 2 tan n x nx c          2 sec x cot , ,x c x n n   2 csc x 2 1 , , 2 sec tan n x nIn x x c           secx csc cot , ,In x x c x n n   cscx x e cx e , 0 , 1 x a c a a In a   x a   1 ( ) , 1 1 n g x c n n       ( ) ( )n g x g x ‫ﺑﺎﻟﺘﻌﻮﻳﺾ‬ ‫ﺍﻟﺘﻜﺎﻣﻞ‬Integration by Substitution: ‫اﻟﺘﻜﺎﻣﻞ‬ ‫ﻣﺘﻐﯿﺮ‬ ‫ﺗﻐﯿﯿﺮ‬ ‫ﺑﻄﺮﯾﻘﺔ‬ ‫اﻟﻄﺮﯾﻘﺔ‬ ‫ھﺬه‬ ‫أﯾﻀﺎ‬ ‫ﺗﺴﻤﻰ‬Change of Variables‫اﻟﮭﺎﻣﺔ‬ ‫اﻟﻄﺮق‬ ‫إﺣﺪى‬ ‫وھﻲ‬ ‫اﻟﻌﻜ‬ ‫اﻟﻤﺸﺘﻘﺔ‬ ‫إﯾﺠﺎد‬ ‫ﻓﻲ‬ ‫ﻧﻔﺸﻞ‬ ‫ﻋﻨﺪﻣﺎ‬ ‫ﻣﺒﺎﺷﺮة‬ ‫وﺗﺴﺘﺨﺪم‬ ، ‫ﻟﺪاﻟﺔ‬ ‫اﻟﻌﻜﺴﯿﺔ‬ ‫اﻟﻤﺸﺘﻘﺔ‬ ‫ﻹﯾﺠﺎد‬‫ﻣﻦ‬ ‫اﻟﺤﺪس‬ ‫ﺑﻄﺮﯾﻘﺔ‬ ‫ﺴﯿﺔ‬ ‫ﻟﻠﺘﻜﺎﻣﻞ‬ ‫اﻟﺴﺎﺑﻖ‬ ‫اﻟﺮﺋﯿﺴﻲ‬ ‫اﻟﺠﺪول‬.
  • 218.
    218 ‫أﻣﺜﻠﺔ‬:     2sin 2sin   3 cos 2sin 1 2 sin 2ln |3 cos | 3 cos 3 cos 3 co 2 2ln | | s d Let u du d d d du u C u x C                                             sin 1 3 tan sin cos cos ln | cos | ln |sec | ‫ﺘﻘﺔ‬ ‫اﻟﻤﺸ‬ C Cd d d                           2 2 2 2 2 4 2 2   2 2 u u x x x x xe dx Let u x du x dx e du e Cxe dx e x dx e C                      2 2 2 2 2 4 1  3 2 3 4 1 2 2 2ln | 3| 3 2 2ln | | 3 x dx Let u x du xdx x x dx xdx x C x x du u C u                         2 tan 2 2 tan tan tan2 5 sec tan       sec sec u u x x x x x e dx Let u x du se e du e C e C c x dx x e dx e x dx                         2 2 (log7 ) ln7 1 ln7 6 : 1 ln7 1 1  7       ln10 ln10 1 1 (ln7 ) ln10 ln10 ln10 ln10 2 2ln 1 ln7 10 u ln x du dx x u x u d x x x dx dx dx Let x x x x dx x dx x u C C x                                                      2 2 1 2 2 7     1 1 1 1 2 ln | 1| ln | 1| 2 2 21 1 x x x x x x x x x e dx Let u e du e dx e e e dx du u u du u du u c e c ue e u u u u                                
  • 219.
    219        1 1 00 3 8 3 ln 1 3 ln 1 ln 2 3 0 ln 2 3ln 2 1 dx x x                             ln2ln2 ln2 ln2 0 0 0 1 9 ln 2 ln 2 ln 2 1 2 2 4 ln(2 2) ln3 ln 3 x x x x x e dx e dx e e e e                             2 2 2 1 1 1 2 ln 1 1 1 5 10 2 ln 2 ln 2 1 2 0 2 2 2 ee ex dx x dx x x x                                1 1 1 11 ln 1 ln 1 1 ln ln 1 ??? ln 1 x x x x x x x x x x e dx e dx e c c e e e e c x e c e x e                                             2 2 21 12 2 4 2 x x x x x x e e dx e e dx e e c                        4 4 4 3 2 3 2 3 3 2 31 1 13 5 5 8 5 8 8ln5 x x x x dx x dx c                210log ln 1 1 14 ln ln ln10 ln10 2ln1 1 0 x x dx dx x x x x x cd x                    4 4 4 3/ 3/ 3/ 5 5 1 1 15 12 2 1 1 2 x x xe dx e e c xx dx                     3 35 5 2 5 3 2 3 2 3 2 42 16 ( 1) ( 1) 1 ( 1) (2 8 1) 2 1 x x x x x x x x x x x x e e e dx e e e dx e e e dx d cee ex                            sin3 1 1 1 17 3sin3 ln 1 3 1 cos3 3 1 cos3 3 x dx x dx cos x c x x           
  • 220.
    220          1 1 18 : 1 2 1 1 2 1 1 1 2 1 2 1 2 ln 2 1 ln 1 1 dx Let x u dx du dx u du x x I dx u du du u u c x x c u ux                                            2 21 1 19 : 1 2 4 1 21 1 1 1 dx Let x u dx u du dx u u du xx I dx ux                     2 4 1u u     3 31 1 4 4 1 1 3 3 du u u c x x c                     6 5 3 5 3 5 3 2 23 1 21 0 : 6 1 1 6 6 6 ( 1) 1 dx x Let x u dx u du x x u u I dx u du du du u u u u ux x                           ‫ﻃﻮﯾﻠﺔ‬ ‫ﻗﺴﻤﺔ‬ ‫ﻧﻘﺴﻢ‬ ‫اﻟﻤﻘﺎم‬ ‫درﺟﺔ‬ ‫ﺗﺴﺎوي‬ ‫أو‬ ‫أﻛﺒﺮ‬ ‫اﻟﺒﺴﻂ‬ ‫درﺟﺔ‬ ‫ﻷن‬ u +1 2 1u u  3 u 3 u 1 2 2 2 1 u u u u u u             ‫اﻷول‬ ‫ﻋﻠﻰ‬ ‫اﻷول‬ ‫ﻧﻘﺴﻢ‬ 3 2u u u  ‫اﻟﻘﺴﻤﺔ‬ ‫ﺧﺎرج‬u5 ‫ﻋﻠﯿﮫ‬ ‫اﻟﻤﻘﺴﻮم‬ ‫ﻓﻲ‬ ‫ﯾﻀﺮب‬ u+1 ، ‫ﺑﺎﻟﻄﺮح‬ ‫ﺛﻢ‬ ‫اﻟﻌﻤﻠﯿﺔ‬ ‫ﻧﻔﺲ‬ ‫ﻛﺮر‬
  • 221.
    221            2 2 4 2 5 3 5 2 3 22 1 1 : 1 2 2 2 1 2 2 2 5 3 2 2 1 1 5 3 1 x x dx x Let x u x u dx u du I x dx u u du u u du u u c x x x u c                                               1 2 2 2 2 1 2 2 4 2 5 3 2 1 1 1 2 23 3 : 3 3 2 2 1 1 2 2 3 2 2 6 2 5 64 2 8 16 2 5 5 5 x x dx Let x u x u dx u du w hen x u w hen x u xI x dx u u du u u du u uu                                                                  3 1 32 2 3 2 2 33 2 6 3 1 24 6 61 1 1 6 3 2 36 3 3 1 3 66 x xx I dx x x dx c x x d x x x x c                                       3 2 2 3 1 1 2 3 3 3 25 6 1 1 1 2 ln 6 26 6 26 x x dx x x I dx dx x dx x c x x                        26 0 , 1 1 1 ln ln 1 1 1 ln ln ln ln 1 ln x I dx Let x u dx du x x x I dx du u c x c x x u dx x x x                                           3 3 33 3 3 3 2 33 1 4 43 3 6 33 3 3 2 33 27 2 2 2 1 1 3 1 2 2 2 3 3 4 4 2 3 I x x x dx x x x d x x x dx x x x x dx x dx x c x c                                    2 3 2 3 6 6 1 1 1 6 1 6 ln 1 1 3 2 2 3 6 6ln 1 I u u du u u u u c u x x x x c                            
  • 222.
    222   7 2 2 2 77 8 2 2 3 2 28 ( ) ( 1 2 3 2 ) 1 2 3 1 2 3 1 2 3 2 16 2 x dx f x f x x x x x x x x I dx dx c x x x x x x x                                                              7 9 2 7 7 72 2 2 2 3 2 29 ( ) ( ) 1 1 1 2 3 2 3 2 3 2 ( ) ( ) 1 2 3 1 2 2 3 2 : 2 x dx f x f x x x x I x dx dx x x x x x f x f x x x x then x x x I                                                7 8 2 2 1 2 3 16 x x dx c x x x                                            1 2 5 5 115 55 2 1 1 513 2 2 1 5 5 5 5 1 2 4 2 1 2 4 2 2 130 2 1 2 1 2 2 2 1 1 2 2 32 16 2 1 3 13 13 dx x x dx x dx x x x x x x I                                             13 2 1 13         1594290         34 4 3 13 34 4 4 4 1 3 2 2 31 1 1 1 1 1 ( ) 1 ( ) 1 2 1 1 2 2 3 1 2 2 1 x x dx x x x x x x x x I dx dx dx dx xx x I x x f x x f x x dx x dx x c x x                                                           7 7 7 7 8 3 5 32 0 7 3 5 3 51 7 7 ( ) 3 5 ( ) 1 2 2 1 3 5 3 5 ... 87 5 35 5 2 5 2 x dx x x x x I dx dx x x f x x f x x dx x c x I x                                             
  • 223.
    223      23 6 3 6 3 4 4 4 4 4 2 4 3 3 3 3 4 8 161 1 16 33 8 5 5 5 1 1 1 1 16 8 16 8ln 5 5 3 3 1 8 16 ln 15 5 15 x x x x x dx dx dx x x x x x x dx dx x dx x x x c x x x c x                                                     3 13 3 4 4 3 3 2 3 34 2 3 2 2 2 3 3 2 3 1 2 3 2 3 3 3 2 4 2 1 2 x x x x x e x dx x e x dx dx e dx x dx x xx x e x c e x c                                                                     7 9 7 7 7 2 2 7 7 2 2 2 2 1 35 2 1 2 1 1 2 1 1 2 12 1 2 1 2 1 1 1 1 2 1 1 2 1 2 2 1 12 1 2 1 2 4 ( ) 1 ( ) 2 1 2 1 1 2 1 4 2 1 x dx x x x dx dx xx x x dx dx x x xx x f x f x x x I x                                                         2 7 8 1 2 1 32 4 12 1 2x x dx c x                   3 2 6 2 2 6 2 2 2 2 6 6 7 6 8 7 2 8 2 7 35 6) 6) 6 2 1 1 6) 6 ) 6 2 2 1 1 6 1 1 6 6) 6) 2 8 7 2 8 7 2 x x dx x x x dx let u x u x du x dx x x u u u ux dx du du u u c x x                                                 c   
  • 224.
    224          7 9 7 7 7 7 2 2 2 2 7 2 8 7 8 1 36 1 1 1 1 1 1 1 1 1 1 1 1 8 8 1 1 1 1 1 x dx x x x dx dx d x du x x x x x x x let u du dx x I dx u c c x u x x                                                                               4 2 0 4 4 3 0 0 3 4 3 4 2 2 0 3 0 2 37 6 9 3 3 1 1 3 3 3 3 2 2 9 16 9 9 0 12 9 5 2 2 2 x x dx x dx x dx x dx x dx x x x x                                                                                          5 7 5 5 6 5 6 6 5 656 5 66 5 38 5 4 5 4 5 4 5 4 1 1 1 1 5 4 30 30 18 30 30 5 0 180 4 x x dx I x x dx x x dx Le x dx x u t u x du I x dx u u c cxd                                       3 2 2 2 2 1 3 11   2 2 22 3 2 2 39              25       2   25 1 1 25 2 225 1 1 2           25    50    2 2 3 1 25 25  25 3 2   x dx L et x u du x dx x x u I du ux u u du u u c x x c x dx                                      
  • 225.
    225 Formulas and Identities Tangentand Cotangent Identities Sum and Difference Formulas Double and half Angle Formulas
  • 226.
    226      2 2 2 2 1 cos 3 sin 1 sin 6 12 cos3 sin 3 1 sin 6 2sin 3 cos3 2sin 3 cos3 cos3 sin 3 cos3 s n 3 : 3 i x dx x x x x x x x x x x x then I x x                    cos3 sin 3x x 1 1 sin 3 cos3 3 3 dx x x c             2 2   10 4 4 2 2 1 1 cos 5 sin 52 cos 5 sin 5 cos 5 sin 5 1         cos10 sin10 10 COS X x xb x x dx x x dx x dx x k              EXAMPLES                           2 2 2 1 3 3 1 1 2 3 2 3 4 4 sin 4 cos 1 cos sin3 2 sin cos cos2 sin3 3 sin cos 2sin 4 cos4 1 1 sin8 cos8 8 4 sin 1 3 sin 1 3 c 4 1 1 3 3 os 1 3 1 3 5 cos 5 3 d c d c d d d x c d d c d                                                                                          2 2 1 3 1 3 cos sin 5 5 6 sec 4 tan4 7 csc6 cot6 csc6 8 cos cos si 5 3 5 3 5 3 1 4 1 6 1 n3 1 9 sin sin cos3 3 sin3 1 sin 3 3 3 1 3 3 c 10 cos os 3 3 3 d c d c x x dx x c d d c d d c c d                                                                                      2 2 2 2 3 1 1 cos3 cos3 cos 3 sec3 tan3 sec 3 sec3 tan3 5 5 11 csc 3 cot3 2si 1 1 3 3 5 n 3 62 d d d c d d c                                        
  • 227.
    227     22 2 2 13 sin 1 1 1 sin 6 sin cos 6 6 6 1 co 3 3 6 3 3s 6 d Let u du d I d d u cu u c                                  2 1 2 3 3 2 3 3 23 2 23 3 1 14 sec sec sec 3t 1 3 1 an 3tan 3 3 3 d Let u du d I d u du u c c                                            1 1 2 2 1 2 6 sin 15 6 sin 6 sin 6 sin 6 2 co 1 s 12 2co 2 1 2 2 2 s 2 d I d d Let u du d I d d d u du I u c c                                                                           3 3 2 6cos3 1 15 cos3 3 2sin3 3 2sin3 3 2s 1 1 2 6cos3 6 6 6 3 in3 3 2sin3 1 9 d Let u du d I d u d uu c c                                        part-3 ‫ﺑﺎﻟﺸﻜﻞ‬ ‫اﻟﺘﻲ‬ ‫اﻟﺪوال‬ ‫ﺗﻜﺎﻣﻞ‬ n f(x) f (x) [  ]  ‫ﺣﯿﺚ‬f(x)‫ﻣﺜﻠﺜﯿﺔ‬ ‫داﻟﺔ‬
  • 228.
    228      3 3 3 4 4 2co17 cos 2 sin2 cos2 cos2 co s2 1 1 1 2sin2 2 8 8 s 1 2 2 xx x dx Let u x du dx I x dx u du x c x u c                                     5 7 5 5 5 5 5 6 6 2 2 2 2 sin 4 18 cos 4 sin 4 tan 4 c 1 sec 4 cos 4os 4 tan4 1 1 1 1 tan4 tan 4 24 2 4sec 4 4sec 4 4 4 4du u x dx x x I dx x dx x Le x x x x d t u x du dx I x u udu c x cx                                       1 1 3 1 3 1 2 2 2 2 2 2 sin2 19 1 sin 1 sin cos s cos in 1 2 2 1 sin 2 4 2 ) 2 ( 2 ) 1 sin 4 1 sin 3 3 xdx du x dx x Let x u du xdx x u Then I x u u u du u u c x x c                                       1 tan 20 1 tan 1 tan cos cos sin        ;     1 tan cos cos sin                                 cos s (cos sin ) (cos in   1 1        | co sin ) s sin d d d Let u ddu Then I Indu u d                                                                                              | | cos             sin  | u c In c              2 22 20 1 sin8   1 2sin  cos   2sin 4  cos4   sin 4 cos4 1 1 sin 4 cos4 4 4 sin 4 cos4   sin4x + c  4 4 sin 4 x x x x b x dx dx x x dx x x dx x x dx x                           
  • 229.
    229      2 2 2 2 3 3 sin6 sin3  cos3 -3si 20 cos3         cos3 2 cos 3  sin3    cos3   2      2 cos 3  si n3 -3sin3 cos 3   3 2 2 2 cos 3 3 9 9 n3 x dx x dx x xdx Let x u du dx Then I x xdx x u d x x x x u u x c x c dx                                            2 2 2 2 2 8 4 sin4 -  21 cos sin         2cos 4 1 2 cos 4  sin 4  sin 4    cos4        2 cos 4  sin 4  sin 4sin4 - 4si 4 2 1 cos 4    4 sin4 4 4 1 n   2 4 x x x x dx x dx x xdx xdx Let x u du dx Then I x xdx xdx x xdx x u dx                                    3 31 1 1 1 1       cos 4 cos4 4 6 4 6 4 du du u u c x x c             2 2 2 2 2 8 4 cos4  4c 21 cos cos         1 2sin 4 cos4    sin 4 cos    sin 4         cos4    sin 4 cos 1 1 4cos4    sin 4 4cos 4 2 1 1   u   4 s 2 o 4 b dx x dx x dx x dx Let x u du dx Then I x dx x dx x dx x dx du x du x x x                                     3 31 1 1 1      sin4  sin 4 4 6 4 6 u u c x x c       ‫اﻟﺪاﺋﺮﯾﺔ‬ ‫اﻟﺪوال‬ ‫ﺗﻜﺎﻣﻞ‬ ‫ﻓﻲ‬ ‫اﻟﻘﻮاﻋﺪ‬ ‫ﺑﻌﺾ‬: ‫أوﻻ‬:‫ﻣﺨﺘﻠﻔﺔ‬ ‫اﻟﺰواﯾﺎ‬:‫ﻧﺤﺘﺎج‬ ‫ﻗﺪ‬: 2 2 2 2 1)       sin 2 2cos  sin   cos2 cos sin 2)                      2cos 1                1 2sin x x x x x x x       
  • 230.
    230      3 2 2 2 3 22 sin         sin sin 1 cos sin 1 sin cos sin   cos cos   3 x dx x x dx x x dx x dx x x dx x x c                                  3 2 2 2 3 22 sin         sin sin 1 cos sin 1 sin cos sin   cos cos   3 x dx x x dx x x dx x dx x x dx x x c                                4 4 4 2 4 3 2 6 4 23 sin 3         sin sin cos3 1 sin 3         sin cos3   sin cos3                                Let   sin3x = u du = 3c cos cos3 cos 3 1   os3x I = sin cos            3 3 x dx x dx x x x dx x x dx x x x Th x x dx dx xen                              6 4 6 5 7 5 7 1   sin cos3   3 1 1 1 1                    =    3 3 15 21 1 1                    sin sin . 15   21 x dx x x dx u du u du u u c x x c                 ‫ﺛﺎﻧﻴﺎ‬:‫ﺍﳌﺜﻠﺜ‬ ‫ﺍﻟﺪﺍﻟﺔ‬‫ﻴﺔ‬‫ﺃ‬‫ﺃﻷﺳﻲ‬ ‫ﺍﻟﻘﻮﺱ‬ ‫ﺩﺍﺧﻞ‬ ‫ﻣﺸﺘﻘﺔ‬ ‫ﺗﻮﻓﺮ‬ ‫ﻭﺑﺪﻭﻥ‬ ‫ﺳﻴﺔ‬. ‫اﻟﻨﻮع‬‫اﻷول‬:‫ﺑﺼﯿﻐﺔ‬ 2 1 sin n x ‫ﺗﺠﺰأ‬‫إﻟﻰ‬ 2 sin sinn x x ‫ﯾﻄﺒﻖ‬ ‫اﻟﺰوﺟﻲ‬ ‫وﻟﻸس‬ 2 2 sin 1x cos x ‫ﺣﯿﺚ‬n‫ﻣﻮﺟﺐ‬ ‫ﺻﺤﯿﺢ‬ ‫ﻋﺪد‬ ‫اﻟﺜﺎﻧﻲ‬ ‫اﻟﻨﻮع‬:‫ﺑﺸﻜﻞ‬ ‫ﺗﻜﻮن‬ ‫اﻟﺪاﻟﺔ‬ 2 2 sin         cosn n x or x‫اﻟﺸﻜﻞ‬ ‫إﻟﻰ‬ ‫ﺣﻮل‬:    2 2 sin          cos n n x or x ‫اﻟﻤﺘﻄﺎﺑﻘﺔ‬ ‫اﺳﺘﻌﻤﻞ‬ ‫ﺛﻢ‬:   2 21 1 sin 1 cos 2            cos 1 cos2   2 2 x x or x x   
  • 231.
    231   2 1 1 1 24 sin 5 1 cos10 sin10 2 2 10 x dx x dx x x c                  2 1 1 1 25 cos 3 1 cos6 sin 6 2 2 6 x dx x dx x x c                            2 24 2 22 1 26 cos 3 cos 3 1 cos6 4 1 1 1 1 2cos6 cos 6 1 2cos 6 1 cos12    4 4 2 1 1 1 1 3 1 1 sin 6 sin12 sin 6 sin12 4 3 2 12 8 12 96 x dx x dx x dx x x dx x x dx x x x x c x x x c                                                    2 2 2 2 1 1 27 sin 4  cos 4 1 cos 8 1 cos8 2 2 1 1 1             1 cos 8 sin 8 1 cos16 4 4 8 1 1                 sin16 8 16 x x dx x x dx x dx x dx x dx x x c                                    2 1   2 sin 1 1 1 1 1 28   1 cos2    cos2 2 22 1 1 1 1                cos 2 sin 2 2 2 2 x dx x dx dx x dx x x x x x dx x dx x x c x                                2 2 2 2 1 1 1 sin 1 sin 1 sin 29                 1 sin 1 sin 1 sin 1 sin cos 1 sin 1                 sec tan  sec   tan sec cos cos cos x x x dx dx dx dx x x x x x x dx x x x dx x x c x x x                                                  3 33 2 3 2 2 cos 1 sincos 1 sin 30            1 sin 1 sin 1 sin cos 1 sin                    cos 1 si cos 1 s n   cos 1           in    1 sin   c 1 sin 2 os   x xx xx x dx dx x dx dx x x x x x dx x x dx x x x c                           ‫ﺛﺎ‬‫اﻟﺿرب‬ ‫ﻟﺛﺎ‬‫اﻟﻣراﻓق‬ ‫ﺑﺎﺳﺗﻌﻣﺎل‬.
  • 232.
    232     sin 31               cos cos sin 1  T hen     I     tan sin    -sin        cos cos 1               ln | | ln | cos | ln | sec | x dx dx L et u x du x x dx x x du u c x c x c u x x dx x dx                              2 2 2 sec tan sec sec  tan 32   sec      =          sec tan sec tan               sec tan sec sec  tan  T hen     I     sec tan 1     sec sec  tan sec x                  sec tan    x x x x x dx x dx dx x x x x L et u x x du x x x dx x x x t dx x x x x                         2 1               (sec sec  tan   ln | | ln | sec )  tan |du u c x x c u x x x dx            22 33   sec 1    tan    tan  dx x dx xx x c                    2 2 2 4 2 2 22 2 2 2 3 34   tan tan               tan   sec   tan tan  sec   1               tan tan   sec 1   se tan ta 3   n c 1 dx x dx x dx x x dx x dx x x dx d x x x x x x x x c                                2 2 2 2 2 3 4 2 2 35   sec 3 sec 3    1 1            tan 3   3 s se ec 3   sec 3 3 3 1 1           c 3 sec 3   tan 3    tan t 1    9 3 an 3 dx x dx x dx x x dx x dx x x x x x c                      34 3 3 4 4 36  tan 4 x sec 4 sec 4 tan4 x   1            sec 4   4               sec 4   4 sec 4  tan4 x   4 sec 4  tan              sec 4       1 1 1 T hen       I = sec 4 4   6 6 x 1 1 4 x x d x x d d x x x dx x L et u x d xu u d u u c x c                    ‫أﺧرى‬ ‫ﺗﻛﺎﻣﻼت‬ ‫راﺑﻌﺎ‬tan   ,  cot    ,  sec      ,  cscx x x x
  • 233.
    233      1 2 1   2 1   2 1 2 cot sin c 37   cotx csc   cotx  csc              cotx csc csc              csc otx  csc   -cotx               csc                  csc        2  2 csc x x x dx x dx x dx x x d x L et u x du dx T he xn I x d x ud u u c x c                                     3 23 2 2 2 2 3 3 3 2 2 2 2 2 2 2 3 2 3 8 2 2 co s 2   2   2   3            2 sin    = -2   sin   2 co s 2 co s 2 co s 1 co 2   s 2           2 s 1 0 2 in 2 x d x d x dx x d x x x x x x d                                          ln ( 2 )ln ( 2 )2 2 2 3  00 2 ln( 4 )  ln ( 2 ) 1 3 9 2 2 co s 2     2 1 1           (1 1) = 4 2 0 2 2              x x x x x d x e e d x e e e e                   
  • 234.
    234 a b ( )yf x R1 R2 R3 0                      2 31 2 1  0  5    2   AA A    ‫ﺍﻟﺴﻴﻨﺎﺕ‬ ‫ﻭﳏﻮﺭ‬ ‫ﺩﺍﻟﺔ‬ ‫ﺑﲔ‬ ‫ﺍﳌﺴﺎﺣﺔ‬ ‫ﻟﺘﻜﻦ‬f‫اﻟﻔﺘﺮة‬ ‫ﻓﻲ‬ ‫ﻣﺴﺘﻤﺮة‬ ‫داﻟﺔ‬ ,a b ‫اﻟﺪاﻟﺔ‬ ‫ﻣﻨﺤﻨﻲ‬ ‫ﺑﯿﻦ‬ ‫اﻟﻤﺤﺪدة‬ ‫اﻟﻤﺴﺎﺣﺔ‬f‫و‬‫ﻣﺤﻮر‬ ‫اﻟﺴﯿﻨﺎت‬‫اﻟﻤﺴ‬‫اﻟﺮأﺳﯿﯿﻦ‬ ‫ﺘﻘﯿﻤﻦ‬   ,  x a x b ‫ﺗﺴﺎوي‬A ‫أﻣﺜﻠﺔ‬: ‫س‬1:‫اﻟﻤﺴﺎﺣﺔ‬ ‫ﺟﺪ‬‫ﺑﯿﻦ‬2 ( ) 3 6f x x x ‫اﻟﺴﯿﻨﺎت‬ ‫وﻣﺤﻮر‬. ‫اﻟﺴﯿﻨﺎت‬ ‫ﻣﺤﻮر‬ ‫ﻣﻊ‬ ‫اﻟﺘﻘﺎﻃﻊ‬ ‫أوﻻ‬ ‫ﻟﻨﺠﺪ‬ ‫اﻟﺤﻞ‬) .y = 0(   2 0             2     3 2 0 0 3 6x or x x x x x        ‫س‬2:‫ﺑﯿﻦ‬ ‫اﻟﻤﺴﺎﺣﺔ‬ ‫ﺟﺪ‬2 ( ) 3 6f x x x ‫اﻟﻔﺘﺮة‬ ‫وﻋﻠﻰ‬ ‫اﻟﺴﯿﻨﺎت‬ ‫وﻣﺤﻮر‬ 1 ,5. ‫اﻟﺤﻞ‬: 5 5 2 1 1   ( )     3 6    A f x dx x x dx         2 0             2     3 2 0 0 3 6x or x x x x x        1 2 3         ( )  Area of R  – Area of  R    Area of R      b a A f x dx       2 2  2 22 2 3 2  00 0 3 6   3 6   3  8 12 4     A x x dx x x dx x x unit           
  • 235.
    235  31 2           2 4   4 2   AA A        ‫س‬3:‫ﺑﯿﻦ‬ ‫اﻟﻤﺴﺎﺣﺔ‬ ‫ﺟﺪ‬( ) 2f x  ‫اﻟﻔﺘﺮة‬ ‫وﻋﻠﻰ‬ ‫اﻟﺴﯿﻨﺎت‬ ‫وﻣﺤﻮر‬ 1 ,5. ‫اﻟﺤﻞ‬:( ) 2 0f x   ‫اﻟﺴﯿﻨﺎت‬ ‫ﻣﺤﻮر‬ ‫ﻣﻊ‬ ‫ﺗﻘﺎﻃﻊ‬ ‫ﯾﻮﺟﺪ‬ ‫ﻻ‬ ‫أي‬   5  55 2 1   1 1   2    2  2  5 2 2 6 2  A dx dx x unit              ‫س‬3:‫ﺑﯿﻦ‬ ‫اﻟﻤﺴﺎﺣﺔ‬ ‫ﺟﺪ‬( ) cos2f x x‫اﻟﻔﺘﺮة‬ ‫وﻋﻠﻰ‬ ‫اﻟﺴﯿﻨﺎت‬ ‫وﻣﺤﻮر‬ , 2 2       . ‫اﻟﺤﻞ‬:                 2                2                  2      4   4     2  0 cos2x x x x or x                                   0 2 5 2 2 2 1 2  3 1 0 2  0  2  53 2 3 2 3 2   1 0  2 2       3 6 3 6 3 6               3 3 3           0 1 3     8 12 0 +  125 75 8 12 4 4 54 62  A A A A x x dx x x dx x x dx x x x x x x unit                                                     2 1 2 3 2       4 4 2           4 4 2       2 4 4       2 4 4   ( )                1 1 1   cos 2   cos 2   cos 2      = sin 2   sin 2   sin 2   2 2 2 1 1    =     sin sin    sin sin 2 2 2 2 2 A f x dx A A A or x dx x dx x dx x x x                                                                       2 1  sin sin 2 2 1     1 1 2 1 1 1 0 1 0 2   2 2 unit                 
  • 236.
    236 ‫اﻻوﻟﻰ‬ ‫ﻟﻠﻤﺴﺎﺣﺔ‬ ‫اﻟﺴﯿﻨﺎت‬‫ﻣﺤﻮر‬ ‫ﺗﺤﺖ‬ ‫ﺗﻜﻮن‬ ‫اﻟﻤﺴﺎﺣﺔ‬ ‫ﺣﯿﺚ‬ ‫اﻟﻤﻄﻠﻘﺔ‬ ‫اﻟﻘﯿﻤﺔ‬ ‫ﻋﻦ‬ ‫اﻻﺳﺘﻐﻨﺎء‬ ‫ﯾﻤﻜﻦ‬ ‫اﻟﺮﺳﻢ‬ ‫ﻣﻦ‬ ‫اﻟﺜﺎﻧﯿﺔ‬ ‫ﻟﻠﻤﺴﺎﺣﺔ‬ ‫اﻟﺴﻨﺎت‬ ‫ﻣﺤﻮر‬ ‫وﻓﻮق‬ ‫واﻟﺜﺎﻟﺜﺔ‬. ‫اﻟﺪوال‬ ‫واﺣﺪة‬ ‫داﻟﺔ‬ ‫ھﻲ‬.‫وھﻲ‬( ) cos2f x x ‫س‬4:‫ﺟ‬‫ﺑﯿﻦ‬ ‫اﻟﻤﺴﺎﺣﺔ‬ ‫ﺪ‬( ) sin3f x x‫اﻟﻔﺘﺮة‬ ‫وﻋﻠﻰ‬ ‫اﻟﺴﯿﻨﺎت‬ ‫وﻣﺤﻮر‬0 , 2      . ‫اﻟﺤﻞ‬: 3x = 0  or    3x =         0 s 3  x = 0    or   x =   in     3 x      ‫س‬5:‫ﺑﯿﻦ‬ ‫اﻟﻤﺴﺎﺣﺔ‬ ‫ﻛﺎﻧﺖ‬ ‫اذا‬( )f x x‫اﻟﻔﺘﺮة‬ ‫ﻋﻠﻰ‬ ‫اﻟﺴﯿﻨﺎت‬ ‫وﻣﺤﻮر‬ 0 ,a‫ﺗﺴﺎوي‬ 16 3 ‫ﻗﯿﻤﺔ‬ ‫ﻓﺠﺪ‬a. ‫اﻟﺤﻞ‬: ‫ﻓﻼ‬ ‫اﻟﺴﯿﻨﺎت‬ ‫ﻣﺤﻮر‬ ‫ﻓﻮق‬ ‫اﻟﻤﺴﺎﺣﺔ‬ ‫أن‬ ‫ﻻﺣﻆ‬ ‫اﻟﻤﻄﻠﻘﺔ‬ ‫اﻟﻘﯿﻤﺔ‬ ‫ﻻﺳﺘﻌﻤﺎل‬ ‫ﺣﺎﺟﺔ‬. 2 2 2 2 ( ) cos2   ;   ( ) 2cos 1    ;   ( ) 1 2sin   ;   ( ) cos sinf x x f x x f x x f x x x                   2 1 2 2 2     3 2     3 2 0   30   3   ( )              1 1   sin 3   sin 3      = cos 3   cos 3   3 3 1 1   1 1     1 1 3  =      cos cos 0     cos co 0 1 1 s   3 3 2 3 3 A f x dx A A or x dx x dx x x unit                                     
  • 237.
    237 1 2    22    3 A A    0 16 2                     3 3 a A x dx    3 2  0 16   3 a x       3 2 3 32               2  16                                   8         64         4 a a a a         ‫س‬6:‫ﻟﺘﻜﻦ‬  4 2 : 2,3     ;     ( ) 3 4f f x x x     ‫اﻟﺴﯿﻨﺎت‬ ‫وﻣﺤﻮر‬ ‫اﻟﺪاﻟﺔ‬ ‫ﻣﻨﺤﻨﻲ‬ ‫ﺑﯿﻦ‬ ‫اﻟﻤﺴﺎﺣﺔ‬ ‫ﺟﺪ‬. ‫اﻟﺤﻞ‬:  4 2 2 2 0 3 4              4 1 0                      2x x x x x              2 3 4 2 4 2 3 3 4 2 2 2 2  3 5 3 5 3   2  2 2 2   3 4    +    3 4    ( )       = 3 4   =   1 1                  =    4   4 5 5 32 32 243 32 64 21           8 8 8 8 27 12 8 8 32 5 5 5 5 5 A f x dx x x dx x x x x x dx x x x x x d x                                                        2 1 23 5 64 211 147 192             32 23 9         5 5 5 5 unit         ‫ﻣﻨﺤﻨﻴﲔ‬ ‫ﺑﲔ‬ ‫ﺍﳌﺴﺎﺣﺔ‬g , f‫ﺑﺎﳌﺴﺘﻘﻴﻤﻦ‬ ‫ﻭﺍﶈﺪﺩﺓ‬x = a , x = b
  • 238.
    238 1 2    10    1 A A        2        ( )                 b a A f x g x dx unit  ‫ﻣﻼﺣﻈﺔ‬)1: (‫ﻣﻄﻠﻘﺔ‬ ‫ﻗﯿﻤﺔ‬ ‫ﯾﺤﻮي‬ ‫ﺳﺆال‬ ‫ﻛﺄي‬ ‫اﻟﺴﺆال‬ ‫ﯾﺤﻞ‬ ‫اﻟﺮﺳﻢ‬ ‫ﺑﺪون‬. )2(‫اﻟﻤﻄﻠﻘ‬ ‫اﻟﻘﯿﻤﺔ‬ ‫ﻋﻦ‬ ‫اﻻﺳﺘﻐﻨﺎء‬ ‫ﯾﻤﻜﻦ‬ ‫اﻟﺮﺳﻢ‬ ‫ﺣﺎﻟﺔ‬ ‫ﻓﻲ‬‫ﻣﻮﺿﺢ‬ ‫ﻛﻤﺎ‬ ‫اﻷدﻧﻰ‬ ‫وﻣﻦ‬ ‫اﻷﻋﻠﻰ‬ ‫ﻣﻦ‬ ‫وﺳﻨﺘﻌﻤﻞ‬ ‫ﺔ‬ ‫ﺗﺴﺎوي‬ ‫اﻟﻤﺴﺎﺣﺔ‬ ‫وﺗﻜﻮن‬ ‫ﺑﺎﻟﺸﻜﻞ‬    ( )       b upper lowera A f x g x dx          )3(‫ﻟﻄﻠﺒﺘﻨﺎ‬ ‫اﻟﺮﺳﻢ‬ ‫ﻟﺼﻌﻮﺑﺔ‬ ‫وﻧﺘﯿﺠﺔ‬)‫اﷲ‬ ‫ﺳﺎﻋﺪھﻢ‬(‫ﯾﻠﻲ‬ ‫ﻣﺎ‬ ‫ﻧﺘﺒﻊ‬: ‫اﻧﯿﺎ‬ ‫اﻟﻤﻌﺎدﻟﺘﯿﻦ‬ ‫ﺑﺤﻞ‬ ‫اﻟﻤﻨﺤﻨﯿﯿﻦ‬ ‫ﺗﻘﺎﻃﻊ‬ ‫ﻧﻘﻂ‬ ‫ﻧﺠﺪ‬)‫ﻧﺠﻌﻞ‬( ) ( )f x g x(‫اﻟﺘﻘﺎﻃﻊ‬ ‫ﻧﻘﻂ‬ ‫وﺗﻜﻮن‬‫اﻟﺘﻜﺎﻣﻞ‬ ‫ﺣﺪود‬ ‫ھﻲ‬ ‫ذﻟﻚ‬ ‫ﻏﯿﺮ‬ ‫اﻟﺴﺆال‬ ‫ﻓﻲ‬ ‫ﯾﺬﻛﺮ‬ ‫ﻣﺎﻟﻢ‬. ‫أﻣﺜﻠﺔ‬: 1‫اﻟﻤﻨﺤﻨﯿﯿﻦ‬ ‫ﺑﯿﻦ‬ ‫اﻟﻤﺴﺎﺣﺔ‬ ‫ﺟﺪ‬:3 ( )    ;    g(x) = xf x x ‫اﻟﺤﻞ‬:  2 3 3 1 2 x = 0  ,  1  ,   -1     x 1 = 0            - x = 0              = x      yx x x y             0  10 1 3 3 4 2 4 2  1  0 1 0 2 1 1 1 1        +                4 2 4 2 1 1 1 1 1        0     0       4 2 4 2 2 A x x dx x x dx x x x x unit                                        2‫اﻟﻤﻨﺤﻨﯿﯿﻦ‬ ‫ﺑﯿﻦ‬ ‫اﻟﻤﺴﺎﺣﺔ‬ ‫ﺟﺪ‬:3   ;   y = xy x ‫اﻟﺤﻞ‬:        0  10 1 4 4 2 23 3 3 3  1 0  1  0 2 1 3 1 3         +               2 4 2 4 1 3 1 3 1        0     0       2 4 2 4 2 A x x dx x x dx x x x x unit                                            3 2 3 3 3 1 2 x = 0  ,  1  ,   -1     x 1 = 0        - x  = 0    = x              = x      yx x x x y      
  • 239.
    239  3‫اﻟﻤﻨﺤﻨﯿﯿﻦ‬ ‫ﺑﯿﻦ‬‫اﻟﻤﺴﺎﺣﺔ‬ ‫ﺟﺪ‬:    sin   ;   y = cosy x x‫اﻟﻔﺘﺮة‬ ‫وﻋﻠﻰ‬ ,  2 2       ‫اﻟﺤﻞ‬: ‫ﻟﻔﯿﻤﺔ‬ ‫واﺣﺪة‬ ‫اﺟﺎﺑﺔ‬ ‫اﺳﺘﻌﻤﻠﺖ‬x‫أﻷو‬ ‫ﻟﻠﺮﺑﻌﯿﻦ‬ ‫اﻟﻤﻌﻄﺎة‬ ‫اﻟﻔﺘﺮة‬ ‫ﻷن‬‫ﻓﻘﻂ‬ ‫واﻟﺮاﺑﻊ‬ ‫ل‬.  4‫اﻟﻤﻨﺤﻨﻲ‬ ‫ﺑﯿﻦ‬ ‫اﻟﻤﺴﺎﺣﺔ‬ ‫ﺟﺪ‬:    ( ) sin 2   ;   g(x) = sinf x x x‫اﻟﻔﺘﺮة‬ ‫وﻋﻠﻰ‬0 ,  2      ‫اﻟﺤﻞ‬: -sinx = 0        -sin  = 0          sin 2 = sin            ( )   g(x)                            sin ( 2cos 1 ) 0      1 sin 0 0                cos             2sinx cosx sin      2 2 3 x x x f x x x x x or x x x               1 2          sin = cos                  y      4 x x yx                      4 2     4 2    2 4   2 4 2      cos sin    +      cos sin       sin cos     sin cos 1 1 1 1        1 0     1 0   2 2 2 2 2 2         1  1 2  1  1 2 2  1= 2  1 = 2 2   2 2 A x x dx x x dx x x x x unit                                                        3 2 3 2  0   0 3 3 1      sin2x -sinx        -sinx       cos     cos2 cos   2 1 2 1 1 1 2      cos cos - cos0 co 1 s s0  cos cos   cos cos 2 3 6 2 2 2 2 3 3 1       in2x cos   2   4 2A dx dx xx x x                                                                  21 1 1 1 1 1 1 0     2 2 2 4 2 2 unit                          
  • 240.
    240 1   1  4 A   5‫اﻟﻤﻨﺤﻨﯿﯿﻦ‬‫ﺑﯿﻦ‬ ‫اﻟﻤﺴﺎﺣﺔ‬ ‫ﺟﺪ‬  2    g = 4 2x x x :‫واﻟﻤﺴﺘﻘﯿﻢ‬6 0x y   ‫اﻟﺤﻞ‬:2 2 1y  = 6- x     ;   y = 4 2x x     2 2 1 24 1  = 0          3 4 0               4 2 = 6- x         y = y  x x x x x x            x = 4    ;   x = -1                44  42 3 2 3 2  -1  -11 2   1 3 1     3 4     4 2 9 24   3 2 6 1 125 128 144 96 2 9 24      6 6 A x x dx x x x x x x unit                             6‫اﻟﻤﻨﺤﻨﻲ‬ ‫ﺑﯿﻦ‬ ‫اﻟﻤﺴﺎﺣﺔ‬ ‫ﺟﺪ‬: 1     ( )   ;   g(x) = x -1 2 f x x‫وﻋﻠﻰ‬‫اﻟﻔﺘﺮة‬ 2 , 5 ‫اﻟﺤﻞ‬:   2 2 2 2 1 1  x  -4x + 4 = 0          x  = 4x -4          x  = x -1                        = x -1 4 2                2 0     x = 2 x x                    55 5 3 32 2 222 3 23 2 1          1          8 1    3 1 1   1    3 4 1 1 7      8 4    75 8 1    12 64 75 8 12      2 1 2 2   1 12 12 xA dx x x xx x unit                                7‫اﻟﻤﻨﺤﻨﻲ‬ ‫ﺑﯿﻦ‬ ‫اﻟﻤﺴﺎﺣﺔ‬ ‫ﺟﺪ‬:    ( ) sin   ;   g(x) = 2 sinx +1f x x‫اﻟﻔﺘﺮة‬ ‫وﻋﻠﻰ‬ 3 0 ,  2      ‫اﻟﺤﻞ‬:      sinx = -1                2 sinx + 3 1x sin= 2 = x          3 2 3 2 2 0 0 3 3     1 sin     cos 0 (0 1) 1   2 2 A x dx x x unit              
  • 241.
    241 1 2    0  2   A A     8‫اﻟﻤﻨﺤﻨﻲ‬ ‫ﺑﯿﻦ‬ ‫اﻟﻤﺴﺎﺣﺔ‬ ‫ﺟﺪ‬:    ( ) sin   ;   g(x) = sinx cosxf x x‫اﻟﻔﺘﺮة‬ ‫وﻋﻠﻰ‬ 0 , 2 ‫اﻟﺤﻞ‬:   sin x  cos x -1  = 0         sin x cos x -  = 0               sin x cos x =           cos x =1        or    x =        sin x = 0           x = 0     , x = 0 x x       sin sin  9‫اﻟﻤﻨﺤﻨﯿﯿ‬ ‫ﺑﯿﻦ‬ ‫اﻟﻤﺴﺎﺣﺔ‬ ‫ﺟﺪ‬‫ﻦ‬:‫واﻟﻤﺴﺘﻘﯿﻤﯿﻦ‬   –  1   ,     2x x  ‫اﻟﺤﻞ‬:       2 0    2 22 2  0                         1 1             0 1 0 1 0 1 0 1 4   2 2 A x x x dx x x x dx x x x x unit                                    sin cos sin sin cos sin sin cos sin cos 2 ( ) 1 and  ( ) 3f x x g x x        2 2 1    1 3  A x x dx          2 2 1 2  x x dx     2 3 2 1 2 3 2 x x x       8 1 1 2 4 2 3 3 2                    215      2 unit
  • 242.
    242 ‫ﺍﳊ‬‫ﺍﻟﺪﻭﺭﺍﻧﻴﺔ‬ ‫ﺠﻮﻡ‬VOLUMES OFREVOLUTION ‫دوراﻧﯿ‬ ‫ﯾﺴﻤﻰﺟﺴﻤﺎ‬ ‫اﻟﺪوران‬ ‫ﻣﻦ‬ ‫اﻟﻨﺎﺷﺊ‬ ‫اﻟﺠﺴﻢ‬ ‫ﻓﺈن‬ ‫ﺛﺎﺑﺖ‬ ‫ﻣﺴﺘﻘﯿﻢ‬ ‫ﺣﻮل‬ ‫ﻛﺎﻣﻠﺔ‬ ‫دورة‬ ‫ﻣﺴﺘﻮﯾﺔ‬ ‫ﻣﻨﻄﻘﺔ‬ ‫دارت‬ ‫إذا‬‫ﺎ‬. ‫اﻟﺪوراﻧﻲ‬ ‫اﻟﺠﺴﻢ‬ ‫ﺣﺠﻢ‬:‫اﻟﻤﺴﺘﻤﺮة‬ ‫اﻟﺪاﻟﺔ‬ ‫ﺗﺤﺖ‬ ‫اﻟﻮاﻗﻌﺔ‬ ‫اﻟﻤﻨﻄﻘﺔ‬ ‫دارت‬ ‫إذا‬f‫ﻓﻲ‬ ‫ﺳﺎﻟﺒﺔ‬ ‫واﻟﻐﯿﺮ‬ a b,‫واﻟﻤﺤﺪدة‬ ‫ﺑﺎﻟﻤﺴﺘﻘﯿﻤﻦ‬ , x = bx a‫ﺑﺎﻟﻘﺎﻧﻮن‬ ‫ﯾﻌﻄﻰ‬ ‫اﻟﺤﺠﻢ‬ ‫ھﺬا‬ ‫ﻓﺎن‬ ‫اﻟﺴﯿﻨﺎت‬ ‫ﻣﺤﻮر‬ ‫ﺣﻮل‬ ‫ﻛﺎﻣﻠﺔ‬ ‫دورة‬:     2 3         ( ) b a V R x dx unit  ‫واذا‬‫ﺑﺎﻟﻤﺴﺘﻘﯿﻤﯿﻦ‬ ‫واﻟﻤﺤﺪدة‬ ‫اﻟﺼﺎدات‬ ‫ﻣﺤﻮر‬ ‫ﺣﻮل‬ ‫اﻟﻤﺴﺘﻮﯾﺔ‬ ‫اﻟﻤﻨﻄﻘﺔ‬ ‫دارت‬ , y = dy c‫دورة‬ ‫ﺑﺎﻟﻘﺎﻧﻮن‬ ‫ﯾﻌﻄﻰ‬ ‫اﻟﺪوران‬ ‫ﻣﻦ‬ ‫اﻟﻨﺎﺷﺊ‬ ‫اﻟﺤﺠﻢ‬ ‫ﻓﺎن‬ ‫ﻛﺎﻣﻠﺔ‬:     2 3         ( ) d c V R y dy unit  ‫ﻣﺜﺎل‬)1(‫اﻟﻤﻨﺤﻨﻲ‬ ‫ﺑﯿﻦ‬ ‫اﻟﻤﺴﺎﺣﺔ‬ ‫دارت‬( ) cosf x x‫اﻻو‬ ‫اﻟﺮﺑﻊ‬ ‫ﻓﻲ‬‫ﺟﺪ‬ ، ‫اﻟﺴﯿﻨﺎت‬ ‫ﻣﺤﻮر‬ ‫ﺣﻮل‬ ‫ﻛﺎﻣﻠﺔ‬ ‫دورة‬ ‫ل‬ ‫اﻟﺪوران‬ ‫ﻣﻦ‬ ‫اﻟﻨﺎﺷﺊ‬ ‫اﻟﺠﺴﻢ‬ ‫ﺣﺠﻢ‬. ‫اﻟﺤﻞ‬:‫ھﻲ‬ ‫اﻟﻔﺘﺮة‬ ‫ﺗﻜﻮن‬ ‫اﻻول‬ ‫اﻟﺮﺑﻊ‬ ‫ﻓﻲ‬0 2 ,             22 322 2 0 0  0 1 1   1 2 2 0 0 2 2 2 2 2 4 cos cos sinV x dx x dx x x unit                               
  • 243.
    243 ‫ﻣﺜﺎل‬)2(‫اﻟﻤﻨﺤﻨﻲ‬ ‫ﺑﯿﻦ‬ ‫اﻟﻤﺴﺎﺣﺔ‬‫دارت‬2 2( )f x x x ‫ﺣﺠﻢ‬ ‫ﺟﺪ‬ ، ‫ﻛﺎﻣﻠﺔ‬ ‫دورة‬ ‫اﻟﺴﯿﻨﺎت‬ ‫ﻣﺤﻮر‬ ‫وﻓﻮق‬ ‫اﻟﺪوران‬ ‫ﻣﻦ‬ ‫اﻟﻨﺎﺷﺊ‬ ‫اﻟﺠﺴﻢ‬. ‫اﻟﺴﯿﻨﺎت‬ ‫ﻣﺤﻮر‬ ‫ﻣﻊ‬ ‫اﻟﺘﻘﺎﻃﻊ‬ ‫ﻟﻨﺠﺪ‬: 2    ;                2 0                2 0x = 2  x = 0 ( )x x x x               2 2 2 2 2 3 4 3 4 5 0 0 0  0  2 33 4 5  0 2 2 2 4 1 4 4 3 5 16      20 15 3 160 240 96 0   15 15 15 2V dx dx x x x dx x x x x x x unit y x x                                 ‫ﻣﺜﺎل‬)3(‫ﻧﺎﻗﺺ‬ ‫ﻗﻄﻊ‬ ‫ﻣﻨﺤﻨﻲ‬ ‫ﺑﯿﻦ‬ ‫اﻟﻤﺴﺎﺣﺔ‬ ‫دارت‬2  16 4( )f x x ‫ﻛﺎﻣﻠﺔ‬ ‫دورة‬ ‫اﻟﺴﯿﻨﺎت‬ ‫ﻣﺤﻮر‬ ‫وﻓﻮق‬ ‫اﻟﺪوران‬ ‫ﻣﻦ‬ ‫اﻟﻨﺎﺷﺊ‬ ‫اﻟﺠﺴﻢ‬ ‫ﺣﺠﻢ‬ ‫ﺟﺪ‬ ،. ‫اﻟﺴﯿﻨﺎت‬ ‫ﻣﺤﻮر‬ ‫ﻣﻊ‬ ‫اﻟﺘﻘﺎﻃﻊ‬ ‫ﻟﻨﺠﺪ‬:2          02  16 4 x x          2 2  2 2 2  2 3 3   22 2   2 3 4 16 48 4 3 3 128    =  96 32 96 32       6   3 1 4 3 ( ) V y dx dx x x xx x unit                               ‫ﻣﺜﺎل‬)3(‫ﻣﻜﺎﻓﺊ‬ ‫ﻗﻄﻊ‬ ‫ﻣﻨﺤﻨﻲ‬ ‫ﺑﯿﻦ‬ ‫اﻟﻤﺴﺎﺣﺔ‬ ‫دارت‬2 y x‫اﻟﻔﺘﺮة‬ ‫ﻓﻲ‬ ‫اﻟﺼﺎدات‬ ‫ﻣﺤﻮر‬ ‫و‬ 0 2,، ‫ﻛﺎﻣﻠﺔ‬ ‫دورة‬ ‫اﻟﺪوران‬ ‫ﻣﻦ‬ ‫اﻟﻨﺎﺷﺊ‬ ‫اﻟﺠﺴﻢ‬ ‫ﺣﺠﻢ‬ ‫ﺟﺪ‬. ‫اﻟﺤﻞ‬:    0    0        4 2,when x why en x y            4 4 4 32 0 0  0 2 1 16 8   2 2 V dy dyx y y unit                  ‫ﻣﺜﺎل‬)3(‫اﻟﺪاﻟﺔ‬ ‫ﻣﻨﺤﻨﻲ‬ ‫ﺑﯿﻦ‬ ‫اﻟﻤﺤﺼﻮرة‬ ‫اﻟﻤﺴﺎﺣﺔ‬ ‫دوران‬ ‫ﻣﻦ‬ ‫اﻟﻨﺎﺗﺞ‬ ‫اﻟﺤﺠﻢ‬ ‫ﺟﺪ‬  2 1f x x ‫واﻟﻤﺴﺘﻘﯿﻢ‬ 4y ‫ﻛﺎﻣﻠﺔ‬ ‫دورة‬ ‫اﻟﺴﯿﻨﻲ‬ ‫اﻟﻤﺤﻮر‬ ‫ﺣﻮل‬. ‫اﻟﺤﻞ‬:‫اﻟﺘﻘﺎﻃﻊ‬ ‫ﻧﻘﻂ‬ ‫ﻧﺠﺪ‬‫ﻣﻊ‬y:   1,4The interval      1 0y x         4 4 4  4 32 2  11 0  1 2 1 9 2   2 2 1 2 V dy dy y y y y unitx y                      
  • 244.
    244 ‫ﻣﺜﺎل‬)4(‫داﺋﺮة‬ ‫ﻧﺼﻒ‬ ‫ﻣﺴﺎﺣﺔ‬‫دوران‬ ‫ﻣﻦ‬ ‫اﻟﻨﺎﺗﺞ‬ ‫اﻟﻜﺮة‬ ‫اﻟﺤﺠﻢ‬ ‫ﺟﺪ‬. ‫اﻟﺤﻞ‬:‫ھﻲ‬ ‫اﻟﺪاﺋﺮة‬ ‫ﻟﺘﻜﻦ‬2 2 2 x y r ‫اﻟﺴﯿﻨﻲ‬ ‫اﻟﻤﺤﻮر‬ ‫ﺣﻮل‬ ‫اﻟﺪوران‬ ‫وﻟﯿﻜﻦ‬ ‫ﻣﺜﺎل‬)5(‫اﻟﺪاﻟﺔ‬ ‫ﻣﻨﺤﻨﻲ‬ ‫ﺑﯿﻦ‬ ‫اﻟﻤﺤﺼﻮرة‬ ‫اﻟﻤﺴﺎﺣﺔ‬ ‫دوران‬ ‫ﻣﻦ‬ ‫اﻟﻨﺎﺗﺞ‬ ‫اﻟﺤﺠﻢ‬ ‫ﺟﺪ‬   1 x =1  ,  x = 4  , y = 0,   x f x x  ‫ﻛﺎﻣﻠﺔ‬ ‫دورة‬ ‫اﻟﺴﯿﻨﻲ‬ ‫اﻟﻤﺤﻮر‬ ‫ﺣﻮل‬. ‫اﻟﺤﻞ‬:      1 2 4 4 4 4 1 1   2 2 41   2 1 3 1 1 1 2 1 1        4 8 4 1 1 2 4 4 0 7 4    ln (l ln ) n x x x y x x xx V dx dy dx dx unitx x x                                                         ‫ﺗﺪرﯾﺐ‬ ‫س‬1:‫اﻟﺴﯿﻨﺎت‬ ‫وﻣﺤﻮر‬ ‫اﻟﺘﺎﻟﯿﺔ‬ ‫اﻟﺪوال‬ ‫ﺑﯿﻦ‬ ‫اﻟﻤﺴﺎﺣﺔ‬ ‫ﺟﺪ‬:       3 2 2 1 ( )   4 16                                                    : 32 1 2 ( )                                                        ans : 6 3 ( ) 3 6      ,   3  ,   1                    ans : 5 f x x x ans f x x x f x x x x x                  3 6 4 ( )  x  + x    ,  x = -2   ,   x = 2                         ans :12 5 ( ) 7       ,  1   ,   9                           :10 7 6 ( ) sin 2      ,                                : 2 2 2 7 ( ) sin f x f x x x ans f x x x ans f x                 cos    ,    0 ,                          : 2 2x x x ans   ,0r ,0r           2 2 2 2       33 3 3 3 3 33   332 1 3 4   16 2     3 3 2 2       3    3 3 3 3 r r r r r r r r y r x r x x r x V dx dx r r r r r r unr itx                                        
  • 245.
    245 ‫س‬2:‫ﺑﯿﻦ‬ ‫اﻟﻤﺴﺎﺣﺔ‬ ‫ﺟﺪ‬:      2 1 2 2 1 1 ( )     ,    ( )                                                    : 6 1 2    sin 2   ,     cos      :  ,                               : 2 2 3 ( )     ,     ( )                       f x x f x x ans y x y x on ans f x x g x x                    3 3 2 2 1                            : 3 4 ( ) 2    ,    ( ) 7 2                                 :8 5 ( )    ,    2 2 0                                      : 4.5 6         4    ,   4           ans f x x x h x x x ans f x x x x y ans y x y            64                                            :  3 ans 4( ) 2 6f x x  2,b 24b: 2ans ‫س‬5:‫اﻟﻤﺴﺎﺋ‬ ‫ﻓﻲ‬‫اﻟﻤﺴﺘﻘﯿﻢ‬ ‫ﺣﻮل‬ ‫اﻟﻤﺴﺘﻮﯾﺔ‬ ‫اﻟﺴﻄﺢ‬ ‫ﻗﻄﻌﺔ‬ ‫ﺑﺪوران‬ ‫اﻟﻨﺎﺗﺞ‬ ‫اﻟﺠﺴﻢ‬ ‫اﻟﺠﺴﻢ‬ ‫ﺣﺠﻢ‬ ‫ﺟﺪ‬ ‫اﻟﺘﺎﻟﯿﺔ‬ ‫ﻞ‬‫اﻟﻤﻌﻄﻰ‬ )‫اﻟﻤﻜﻌﺒﺔ‬ ‫ﺑﺎﻟﻮﺣﺪات‬ ‫اﻹﺟﺎﺑﺔ‬(     2                                                                                                       . 1        5  ,   0  ,   0  ,   2                                    2500 2      8  ,    ans x x y y x about x x y          2 2 2 2 3 0  ,   - y =16                                         256 / 3 3       16    ,    0  ,   4                                           32 4     2  ,    0  ,  y = x                         x about x y x y x about y x y about x                 2 4 2 2 2                          4 4 5                y = x 1                                                      35 6              4  +9 y = 36                                                     16 7   x about x x about x     2 2             4  +9 y = 36                                                    24x about y  ‫س‬6:‫ﯾﻠﻲ‬ ‫ﻣﻤﺎ‬ ‫ﻟﻜﻞ‬ ‫اﻟﻤﺸﺘﻘﺔ‬ ‫ﺟﺪ‬:                           5 3 sin   1   y = ln(8x + 3)                 2    ln                3   y = ln                   4 ln ln 1 5 ln                      6  y = ln             7  y = ln 5 2           8  y = 2 1   9   y = 3                 10 x x e y x x y x x y x x x x y x                 lnln ln                        11 y = ln           12 xx x x y x 
  • 246.
    246 ‫س‬7:‫ﯾﻠﻲ‬ ‫ﻣﻤﺎ‬ ‫ﻟﻜﻞ‬‫اﻟﻌﻜﺴﯿﺔ‬ ‫اﻟﻤﺸﺘﻘﺎت‬ ‫ﺟﺪ‬:                   3 4 3 4 2 1 3 1   1                    2                       3      dx          4      dx 5 4 7 ln1 cos 2 ln dx   5      dx            6      dx        7                  8      dx 1 sin 2 1   9      dx          1 x x x dx dx x x x xx x x x x x x x x e e                        3 2 2         10      dx           11    2   dx sec 4 1   12       dx                              13   2 tan 4 sec 4 1 x x x x e e e x dx x x e        ‫س‬8:‫ﺟﺪ‬ ‫س‬ ‫أﺟﻮﺑﺔ‬8:                     1 1 1 1 1               2 2  - 1            3      -          4             5             4 22 3 2 4 6     -            7                    8    -                9              10    3 16 8 8 3                       3 34 2 2 2 2 2 2 4 2 3 34 4 0 0 2 2 2 2 cot 1 sin                       2                3 sin 2 cos cos cot   sin 4 sin                    5 sin              6 1 sin 2 cos sin   7 sin  cos x         x x dx dx x x x x dx x x dx cec x x dx x x x dx x dx                             3 4 2 2 2 0 2 3 4 3 2 8 sin  cos2x             9 cos  cos 2   10 cos cos   x dx x x dx x x dx         
  • 247.
    (247) ‫ﻓﻲ‬ ‫اﻟﺒﻌﺪ‬ ,ab‫اﻟﺰﻣﻦ‬ ‫ﻣﻦ‬=  b a V t dt‫ﺳﺎﻟﺒ‬ ‫أو‬ ‫ﻣﻮﺟﺒﺎ‬ ‫اﻟﻨﺎﺗﺞ‬ ‫ﯾﻜﻮن‬ ‫أن‬ ‫وﯾﻤﻜﻦ‬ ، ‫ﻃﻮل‬ ‫وﺣﺪة‬‫ﺎ‬‫ﺻﻔﺮ‬ ‫أو‬ ‫ﻣﺘﺠﮫ‬ ‫ﻷﻧﮫ‬. ‫ﻓﻲ‬ ‫اﻟﻤﺴﺎﻓﺔ‬ ,a b‫اﻟﺰﻣﻦ‬ ‫ﻣﻦ‬=  b a dtV t‫ﻃﻮل‬ ‫وﺣﺪة‬‫داﺋﻤﺎ‬ ‫ﻣﻮﺟﺒﺔ‬ ‫وﺗﻜﻮن‬ ،. ‫ﻣﺜﺎل‬:‫ﯾﺴﺎوي‬ ‫ﺑﺘﻌﺠﯿﻞ‬ ‫ﻣﺴﺘﻘﯿﻢ‬ ‫ﺧﻂ‬ ‫ﻋﻠﻰ‬ ‫ﺟﺴﻢ‬ ‫ﯾﺘﺤﺮك‬  2 12 6 / sect cm‫ﺗﺼﺒﺢ‬ ‫اﻷوﻟﻰ‬ ‫اﻟﺜﺎﻧﯿﺔ‬ ‫ﻧﮭﺎﯾﺔ‬ ‫وﻓﻲ‬ ، ‫ﺳﺮﻋﺘﮫ‬9 / seccm‫ﺑﻌﺪ‬ ‫ﻋﻠﻰ‬ ‫وﯾﻜﻮن‬5cm: 1(‫زﻣﻦ‬ ‫أي‬ ‫ﻋﻨﺪ‬ ‫اﻟﺠﺴﻢ‬ ‫ﺑﻌﺪ‬ ‫ﺟﺪ‬t 2(‫ﻋ‬ ‫اﻟﺠﺴﻢ‬ ‫ﺗﻌﺠﯿﻞ‬ ‫ﺟﺪ‬‫اﻟﺒﺪء‬ ‫ﻟﻨﻘﻄﺔ‬ ‫ﻋﻮدﺗﮫ‬ ‫ﻨﺪ‬. 3(‫ﺧﻼل‬ ‫ﯾﻘﻄﻌﮭﺎ‬ ‫اﻟﺘﻲ‬ ‫اﻟﻤﺴﺎﻓﺔ‬ ‫ﺟﺪ‬5‫اﻟﺤﺮﻛﺔ‬ ‫ﺑﺪء‬ ‫ﻋﻠﻰ‬ ‫ﺛﻮاﻧﻲ‬. 4(‫ﻣﺮور‬ ‫ﺑﻌﺪ‬ ‫ﺑﻌﺪه‬ ‫ﺟﺪ‬5‫ﺛﻮاﻧﻲ‬ 5(‫ﻣﺮور‬ ‫ﺑﻌﺪ‬ ‫ﺑﻌﺪه‬ ‫ﺟﺪ‬5‫اﻟﺤﺮﻛﺔ‬ ‫ﺑﺪء‬ ‫ﻋﻠﻰ‬ ‫ﺛﻮاﻧﻲ‬ 6(‫اﻟﺠﺴﻢ‬ ‫ﺳﺮﻋﺔ‬ ‫ﺗﺼﺒﺢ‬ ‫وأﯾﻦ‬ ‫ﻣﺘﻰ‬63 / seccm ‫اﻟﺤﻞ‬:1(  2 ( ) 6 12 / seca t t cm ‫اﻟﺘﻌﺠﯿﻞ‬ ‫داﻟﺔ‬ ‫اﻟﺴﺮﻋﺔ‬=‫اﻟﺘﻌﺠﯿﻞ‬ ‫ﺗﻜﺎﻣﻞ‬: 2 1( ) 12t - 3 + c ( ) 12 6v t v t t dt t    ‫اﻟﻤﺴﺎﻓﺔ‬ ، ‫اﻟﺘﻌﺠﯿﻞ‬ ، ‫اﻟﺴﺮﻋﺔ‬ ، ‫اﻹزاﺣﺔ‬ ، ‫اﻟﺒﻌﺪ‬:‫ﻟﻠﺰﻣﻦ‬ ‫دوال‬ ‫ﻛﻠﮭﺎ‬ t
  • 248.
    (248) ‫ﻟﻜﻦ‬(1) 9v ‫ﻣﻌﻄﻰ‬110 9 12 3c c    ‫ﻓﺎن‬ ‫ﻟﺬا‬: 2 ( ) 12 3 / secv t t t cm ‫اﻟﺴﺮﻋﺔ‬ ‫داﻟﺔ‬ ‫ﺗﻤﺜﻞ‬ ‫اﻟﺒﻌﺪ‬=‫أي‬ ‫اﻟﺴﺮﻋﺔ‬ ‫ﺗﻜﺎﻣﻞ‬( ) ( )s t v t dt    2 3 2 2 ( ) 12 3 ( ) 6 s t t t d t s t t t c      ‫وﻋﻨﺪﻣﺎ‬t = 1‫ﻓﺈن‬s = 5 2 25 6 1 = 0c c    ‫اﻟﺒﻌﺪ‬ ‫داﻟﺔ‬2 3 ( ) 6s t t then ce   2(‫اﻟﺒﺪء‬ ‫ﻟﻨﻘﻄﺔ‬ ‫ﻋﻮدﺗﮫ‬ ‫ﻋﻨﺪ‬ ‫اﻟﺠﺴﻢ‬ ‫ﺗﻌﺠﯿﻞ‬ ‫ﺟﺪ‬. ‫ﺑ‬ ‫وذﻟﻚ‬ ‫اﻟﺒﺪء‬ ‫ﻟﻨﻘﻄﺔ‬ ‫اﻟﻌﻮدة‬ ‫زﻣﻦ‬ ‫ﻧﺠﺪ‬‫ﻟﻠﺼﻔﺮ‬ ‫اﻟﺒﻌﺪ‬ ‫ﻤﺴﺎواة‬ 2 2 3 0 (6 ) 0 6t t t t      t = 0‫أو‬ ‫اﻻﺑﺘﺪاء‬ ‫زﻣﻦ‬t = 6 sec‫اﻟﻌﻮدة‬ ‫زﻣﻦ‬ ( ) 6 12a t t ‫اﻟﺘﻌﺠﯿﻞ‬ ‫داﻟﺔ‬2 (6) 6 6 12 24 / seca cm  =‫اﻟﻌﻮدة‬ ‫ﻟﺤﻈﺔ‬ ‫اﻟﺘﻌﺠﯿﻞ‬. 3(‫ﺧﻼل‬ ‫ﯾﻘﻄﻌﮭﺎ‬ ‫اﻟﺘﻲ‬ ‫اﻟﻤﺴﺎﻓﺔ‬ ‫ﺟﺪ‬5‫اﻟﺤﺮﻛﺔ‬ ‫ﺑﺪء‬ ‫ﻋﻠﻰ‬ ‫ﺛﻮاﻧﻲ‬. ‫اﻟﻔﺘﺮة‬ ‫ﻓﻲ‬ ‫اﻟﻤﺴﺎﻓﺔ‬ 0,5‫ﺗﺴﺎوي‬: 5 0 ( )D v t dt  5 2 0 12 3D t t dt  ‫ﻣﻄﻠﻘﺔ‬ ‫ﻗﯿﻤﺔ‬ ‫ﻛﺘﻜﺎﻣﻞ‬ ‫ﯾﺤﻞ‬ ‫واﻵن‬:‫اﻟﻤﻄﻠﻖ‬ ‫داﺧﻞ‬=0   2 t = 4 3 4 0 12 3 0t t t t     0 4 5     5 4 52 2 0 0 2 2 3 2 3 4 4 5 0 4 12 3 12 312 96 64 1 3 6 6 50 125 (96 64) 39 D dt t tt t t dt t t dt cm t t t                            4(‫ﻣﺮور‬ ‫ﺑﻌﺪ‬ ‫ﺑﻌﺪه‬ ‫ﺟﺪ‬5‫ﺛﻮاﻧﻲ‬.‫ﺑﺎﻟﺰﻣﻦ‬ ‫اﻟﺒﻌﺪ‬ ‫ﺑﺪاﻟﺔ‬ ‫ﯾﻌﻮض‬ ‫ﻟﻠﺤﻞ‬5 2 3 ( ) 6 (5) 150 125 = 25cms t t t s     5(‫ﻣﺮور‬ ‫ﺑﻌﺪ‬ ‫ﺑﻌﺪه‬ ‫ﺟﺪ‬5‫اﻟﺤﺮﻛﺔ‬ ‫ﺑﺪء‬ ‫ﻋﻠﻰ‬ ‫ﺛﻮاﻧﻲ‬.‫اﻟﻔﺘﺮة‬ ‫ﻓﻲ‬ ‫اﻟﺒﻌﺪ‬ ‫اﻟﻤﻄﻠﻮب‬ 0, 5‫ﺛﺎﻧﯿﺔ‬)‫اﻟﺴﺮﻋﺔ‬ ‫ﺗﻜﺎﻣﻞ‬(   55 2 2 3 0 0 12 3 6 150 125 25s t t dt t t cm       6(‫اﻟﺠﺴﻢ‬ ‫ﺳﺮﻋﺔ‬ ‫ﺗﺼﺒﺢ‬ ‫وأﯾﻦ‬ ‫ﻣﺘﻰ‬63 / seccm)‫اﻟﺰﻣﻦ‬ ‫ﻋﻠﻰ‬ ‫ﻟﻠﺤﺼﻮل‬ ‫اﻟﺴﺮﻋﺔ‬ ‫ﺑﺪاﻟﺔ‬ ‫ﯾﻌﻮض‬(.    3 2 2 2 2 2 3 ( ) 12 3 63 12 3 3 12 63 0 4 21 0 7 3 0 ( ) 6 (7) 6 49 7 49 7 sec 49 cm v t t t t t t t t t t t s t t t s t                             
  • 249.
    (249) ‫ﻣﺜﺎل‬:‫ﺔ‬‫ﺑﺎﻟﻤﻌﺎدﻟ‬ ‫ﺎس‬‫ﺗﻘ‬ ‫ﺮﻋﺘﮫ‬‫ﺳ‬‫أن‬ ‫ﺚ‬‫ﺑﺤﯿ‬ ‫ﺘﻘﯿﻢ‬‫ﻣﺴ‬ ‫ﻂ‬‫ﺧ‬ ‫ﻋﻠﻰ‬ ‫ﺟﺴﻢ‬ ‫ﯾﺘﺤﺮك‬( ) 6 6 / secv t t cm ‫ﺪ‬‫وﺑﻌ‬ ، ‫واﺣﺪة‬ ‫ﺛﺎﻧﯿﺔ‬ ‫ﻣﺮور‬‫ﺑﻌﺪ‬ ‫ﻋﻠﻰ‬ ‫ﯾﻜﻮن‬8‫ﺳﻢ‬ 1(‫زﻣﻦ‬ ‫أي‬ ‫ﻋﻨﺪ‬ ‫اﻟﺠﺴﻢ‬ ‫ﺑﻌﺪ‬ ‫ﺟﺪ‬t2(‫ﻣﺮور‬ ‫ﺑﻌﺪ‬ ‫اﻟﺠﺴﻢ‬ ‫ﺑﻌﺪ‬ ‫ﺟﺪ‬3‫ﺛﻮاﻧﻲ‬ 3(‫ﻣﺮور‬ ‫ﺑﻌﺪ‬ ‫اﻟﺠﺴﻢ‬ ‫ﺑﻌﺪ‬ ‫ﺟﺪ‬3‫اﻻﺑﺘﺪاء‬ ‫ﻋﻠﻰ‬ ‫ﺛﻮاﻧﻲ‬4(‫اﻟﺜﺎﻟﺜﺔ‬ ‫اﻟﺜﺎﻧﯿﺔ‬ ‫ﺧﻼل‬ ‫اﻟﺠﺴﻢ‬ ‫ﯾﻘﻄﻌﮭﺎ‬ ‫اﻟﺘﻲ‬ ‫اﻟﻤﺴﺎﻓﺔ‬ ‫ﺟﺪ‬. ‫اﻟﺤـﻞ‬:( ) 6 6 / secv t t cm ‫اﻟﺴﺮﻋﺔ‬ ‫داﻟﺔ‬ 1(‫زﻣﻦ‬ ‫أي‬ ‫ﻋﻨﺪ‬ ‫اﻟﺠﺴﻢ‬ ‫ﺑﻌﺪ‬ ‫ﺟﺪ‬t)‫ﻣﺤﺪد‬ ‫ﻏﯿﺮ‬ ‫ﺗﻜﺎﻣﻼ‬ ‫اﻟﺴﺮﻋﺔ‬ ‫داﻟﺔ‬ ‫ﺗﻜﺎﻣﻞ‬(   2 ( ) ( ) 6 6 dt ( ) = 3t 6ss t d tv t tt ct     ‫وﻋﻨﺪﻣﺎ‬t = 1‫ﻓﺎن‬s = 8‫اﻟﺘﻜﺎﻣﻞ‬ ‫ﺛﺎﺑﺖ‬ ‫ﻹﯾﺠﺎد‬ ‫ﺗﻌﻮض‬. (1) 8 2 ( ) = 3t 6 8 3 6 1 s s t t c c c           ‫اﻟﺒﻌﺪ‬ ‫داﻟﺔ‬ ‫ﻓﺈن‬ ‫ﻟﺬا‬‫ﺗﻜﻮن‬:2 ( ) = 3t 6 1s t t  2(‫ﻣﺮور‬ ‫ﺑﻌﺪ‬ ‫اﻟﺠﺴﻢ‬ ‫ﺑﻌﺪ‬ ‫ﺟﺪ‬3‫ﺛﻮاﻧﻲ‬)‫ﺑـ‬ ‫اﻟﺒﻌﺪ‬ ‫ﺑﺪاﻟﺔ‬ ‫ﯾﻌﻮض‬t = 3( 2 ( ) = 3t 6 1 (3) = 27 18 1 44s t t s cm      3(‫ﻣﺮور‬ ‫ﺑﻌﺪ‬ ‫اﻟﺠﺴﻢ‬ ‫ﺑﻌﺪ‬ ‫ﺟﺪ‬3‫اﻻﺑﺘﺪاء‬ ‫ﻋﻠﻰ‬ ‫ﺛﻮاﻧﻲ‬)‫اﻟﻔﺘﺮة‬ ‫ﻋﻠﻰ‬ ‫اﻟﺴﻌﺔ‬ ‫ﺗﻜﺎﻣﻞ‬ 0, 3( ‫اﻟﺒﻌﺪ‬=  33 3 2 0 0 0 ( ) 6 6 3 + 6t 27 18 45s v t dt t dt t cm          4(‫اﻟﺜﺎﻟﺜﺔ‬ ‫اﻟﺜﺎﻧﯿﺔ‬ ‫ﺧﻼل‬ ‫اﻟﺠﺴﻢ‬ ‫ﯾﻘﻄﻌﮭﺎ‬ ‫اﻟﺘﻲ‬ ‫اﻟﻤﺴﺎﻓﺔ‬ ‫ﺟﺪ‬ ‫اﻟﺜﺎﻟﺜﺔ‬ ‫اﻟﺜﺎﻧﯿﺔ‬ ‫ﺧﻼل‬ ‫اﻟﻤﺴﺎﻓﺔ‬:‫اﻟﻔﺘﺮة‬ ‫ﻋﻠﻰ‬ ‫اﻟﻤﺴﺎﻓﺔ‬ ‫أي‬ 2, 3‫وأن‬‫اﻟﺴ‬ ‫داﻟﺔ‬‫ﺮ‬‫ﻻﺳﺘﻌﻤﺎل‬ ‫ﺣﺎﺟﺔ‬ ‫ﻓﻼ‬ ‫ﻣﻮﺟﺒﺔ‬ ‫ﻋﺔ‬ ‫اﻟﻤﻄﻠﻘﺔ‬ ‫اﻟﻘﯿﻤﺔ‬.     33 3 2 2 2 2 ( ) 6 6 3 + 6t 27 18 12 12 21D v t dt t dt t cm           
  • 250.
    (250) ‫ﺎل‬ ‫ﻣﺜ‬:‫ﺎوي‬ ‫ﯾﺴ‬‫ﻞ‬ ‫ﺑﺘﻌﺠﯿ‬ ‫ﺘﻘﯿﻢ‬ ‫ﻣﺴ‬ ‫ﻂ‬ ‫ﺧ‬ ‫ﻰ‬ ‫ﻋﻠ‬ ‫ﻢ‬ ‫ﺟﺴ‬ ‫ﺮك‬ ‫ﯾﺘﺤ‬2 6 6 / sect cm‫ﻮن‬ ‫ﺗﻜ‬ ‫ﺪة‬ ‫واﺣ‬ ‫ﺔ‬ ‫ﺛﺎﻧﯿ‬ ‫ﺮور‬ ‫ﻣ‬ ‫ﺪ‬ ‫وﺑﻌ‬ ‫ﺳﺮﻋﺘﮫ‬12 / seccm‫ﺧﻼل‬ ‫اﻟﺠﺴﻢ‬ ‫ﯾﻘﻄﻌﮭﺎ‬ ‫اﻟﺘﻲ‬ ‫اﻟﻜﻠﯿﺔ‬ ‫اﻟﻤﺴﺎﻓﺔ‬ ‫ﺟﺪ‬5‫اﻻﺑﺘﺪاء‬ ‫ﻋﻠﻰ‬ ‫ﺛﻮاﻧﻲ‬. ‫اﻟﺤـﻞ‬:2 ( ) 6 6 / seca t t cm ‫اﻟﺘﻌﺠﯿﻞ‬ ‫داﻟﺔ‬ ‫اﻟﺴﺮﻋـﺔ‬=‫اﻟﺘﻌﺠﯿـﻞ‬ ‫ﺗﻜﺎﻣـﻞ‬   2 ( ) ( ) ( ) 6 6 ( ) 3 6v t a t dt v t t dt v t t t c         ‫ﻟﻜﻦ‬(1) 12v  c = -9 12 3 6 c      2 ( ) 3 6 9v t t t  ‫اﻟﺴﺮﻋــﺔ‬ ‫داﻟﺔ‬    2 2 0 3( 2 3) 0 3 6 9 t = 3sec 0 3 3 1 t t t t t t                3 52 2 0 3 3 6 9 3 6 9D t t dt t t dt       3 53 2 3 2 0 3 3 9 3 9 27 27 27 0 125 75 45 (27 27 27) 59 D t t t t t t cm                        ‫ﻣﺜﺎل‬:‫ﯾﺴﺎوي‬ ‫ﻣﻨﺘﻈﻢ‬ ‫ﺑﺘﻌﺠﯿﻞ‬ ‫ﻣﺴﺘﻘﯿﻢ‬ ‫ﺧﻂ‬ ‫ﻋﻠﻰ‬ ‫ﺟﺴﻢ‬ ‫ﯾﺘﺤﺮك‬2 4 / seccm.‫ﺗﺴﺎوي‬ ‫اﺑﺘﺪاﺋﯿﺔ‬ ‫وﺑﺴﺮﻋﺔ‬ 8 / seccm‫ﺑﻌﺪ‬ ‫ﻋﻠﻰ‬ ‫ﯾﻜﻮن‬ ‫واﺣﺪة‬ ‫ﺛﺎﻧﯿﺔ‬ ‫ﻣﺮور‬ ‫وﺑﻌﺪ‬ ،12cm. 1(‫زﻣﻦ‬ ‫أي‬ ‫ﻋﻨﺪ‬ ‫اﻟﺠﺴﻢ‬ ‫ﺑﻌﺪ‬ ‫ﺟﺪ‬t.2(‫ﺧﻼل‬ ‫ﯾﻘﻄﻌﮭﺎ‬ ‫اﻟﺘﻲ‬ ‫اﻟﻤﺴﺎﻓﺔ‬ ‫ﺟﺪ‬4‫اﻟﺤﺮﻛﺔ‬ ‫ﺑﺪء‬ ‫ﻋﻠﻰ‬ ‫ﺛﻮاﻧﻲ‬ 3(‫اﻟﺮاﺑﻌﺔ‬ ‫اﻟﺜﺎﻧﯿﺔ‬ ‫ﺧﻼل‬ ‫اﻟﺠﺴﻢ‬ ‫ﯾﻘﻄﻌﮭﺎ‬ ‫اﻟﺘﻲ‬ ‫اﻟﻤﺴﺎﻓﺔ‬ ‫ﺟﺪ‬. ‫اﻟﺤﻞ‬:‫اﻟﺘﻌﺠﯿﻞ‬ ‫داﻟﺔ‬ ‫ھﻲ‬ ‫واﺣﺪة‬ ‫داﻟﺔ‬ ‫ﻣﻮﺟﻮدة‬2 ( ) 4 cm / seca t  ‫اﻟﺴﺮﻋﺔ‬=‫اﻟﺘﻌﺠﯿﻞ‬ ‫ﺗﻜﺎﻣﻞ‬( ) 4v t dt  1( ) 4v t t c  ‫ﻟﻜﻦ‬(0) 8v ‫ﻣﻌﻄﺎة‬ 1 1v (t) = 4 t + 8 c = 0 8 0 c    ‫اﻟﺴﺮﻋﺔ‬ ‫داﻟﺔ‬ ‫اﻟﺒﻌﺪ‬ ‫داﻟﺔ‬=‫اﻟﺴﺮﻋﺔ‬ ‫داﻟﺔ‬ ‫ﺗﻜﺎﻣﻞ‬( ) (4 8) ( ) ( )s t t dt s t v t dt     2 2( ) 2 8s t t t c   ‫ﻟﻜﻦ‬(1) 12s 2 2c = 2 12 2 8 c     2 ( ) 2 8 2s t t t  ‫زﻣﻦ‬ ‫أي‬ ‫ﻋﻨﺪ‬ ‫اﻟﺒﻌﺪ‬ ‫داﻟﺔ‬t vst 8--0 --121 530
  • 251.
    (251) 2(‫ﺧﻼل‬ ‫ﯾﻘﻄﻌﮭﺎ‬ ‫اﻟﺘﻲ‬‫اﻟﻤﺴﺎﻓﺔ‬ ‫ﺟﺪ‬4‫اﻟﺤﺮﻛﺔ‬ ‫ﺑﺪء‬ ‫ﻋﻠﻰ‬ ‫ﺛﻮاﻧﻲ‬. v (t) = 4 t + 8 > 0 ‫اﻟﻘﯿﻤ‬ ‫ﻻﺳﺘﻌﻤﺎل‬ ‫ﺣﺎﺟﺔ‬ ‫ﻻ‬ ‫ﻟﺬا‬‫اﻟﻤﺴﺎﻓﺔ‬ ‫إﯾﺠﺎد‬ ‫ﻓﻲ‬ ‫اﻟﻤﻄﻠﻘﺔ‬ ‫ﺔ‬. 4 42 00 2 + 8t (4 8) 32 32 0 64 D t D t dt D cm            3(‫اﻟﺮاﺑﻌﺔ‬ ‫اﻟﺜﺎﻧﯿﺔ‬ ‫ﺧﻼل‬ ‫اﻟﺠﺴﻢ‬ ‫ﯾﻘﻄﻌﮭﺎ‬ ‫اﻟﺘﻲ‬ ‫اﻟﻤﺴﺎﻓﺔ‬ ‫ﺟﺪ‬. v (t) = 4 t + 8 > 0 ‫اﻟﻤﺴﺎﻓﺔ‬ ‫إﯾﺠﺎد‬ ‫ﻓﻲ‬ ‫اﻟﻤﻄﻠﻘﺔ‬ ‫اﻟﻘﯿﻤﺔ‬ ‫ﻻﺳﺘﻌﻤﺎل‬ ‫ﺣﺎﺟﺔ‬ ‫ﻻ‬ ‫ﻟﺬا‬. 4 42 33 2 + 8t (4 8) 32 32 (18 24) 22 D t D t dt D cm             ‫س‬:‫و‬ ‫ﻜﻮن‬‫اﻟﺴ‬ ‫ﻦ‬‫ﻣ‬ ‫ﻣﺎدﯾﺔ‬ ‫ﻧﻘﻄﺔ‬ ‫ﺗﺘﺤﺮك‬‫ﺪ‬‫ﺑﻌ‬t‫ﺮﻋﺘﮭﺎ‬‫ﺳ‬ ‫ﺒﺤﺖ‬‫أﺻ‬ ‫ﺔ‬‫اﻟﺤﺮﻛ‬ ‫ﺪء‬‫ﺑ‬ ‫ﻦ‬‫ﻣ‬ ‫ﺔ‬‫ﺛﺎﻧﯿ‬2 100 6 / sect t m ‫ﻋﻨﺪھﺎ‬ ‫اﻟﺘﻌﺠﯿﻞ‬ ‫اﺣﺴﺐ‬ ‫ﺛﻢ‬ ‫ﻣﻨﮫ‬ ‫ﺑﺪأت‬ ‫اﻟﺬي‬ ‫اﻷول‬ ‫ﻣﻮﺿﻌﮭﺎ‬ ‫إﻟﻰ‬ ‫اﻟﻨﻘﻄﺔ‬ ‫ﻟﻌﻮدة‬ ‫اﻟﻼزم‬ ‫اﻟﺰﻣﻦ‬ ‫أوﺟﺪ‬. ‫اﻟﺤﻞ‬:2 ( ) 100 6 / secv t t t m ‫اﻟﺴﺮﻋﺔ‬ ‫داﻟﺔ‬  2 ( ) ( ) 100 6 dts t v t dt t t    ‫اﻟﺒﻌﺪ‬ ‫داﻟﺔ‬ 3 ( ) = 50t 2s t t c  ‫ﻋﻨﺪﻣﺎ‬ ‫ﻟﻜﻦ‬t = 0‫اﻹزاﺣﺔ‬ ‫ﻓﺎن‬=0c = 0 0 0 0 c     2 3 ( ) 50 2s t t t ‫اﻟﺒﻌﺪ‬ ‫داﻟﺔ‬‫ﯾﻌﻨﻲ‬ ‫اﻻﺑﺘﺪاء‬ ‫ﻟﻨﻘﻄﺔ‬ ‫اﻟﺠﺴﻢ‬ ‫ﻋﻮدة‬ ،‫اﻹزاﺣﺔ‬=0 2 2 3 0 2 t (25 ) 0 0 50 2t t t        0t ‫أو‬ ‫اﻟﺒﺪء‬ ‫زﻣﻦ‬25sect ‫اﻟﺒﺪء‬ ‫ﻟﻨﻘﻄﺔ‬ ‫اﻟﻌﻮدة‬ ‫زﻣﻦ‬ ‫اﻟﺘﻌﺠﯿﻞ‬=‫اﻟﺴﺮﻋﺔ‬ ‫ﻣﺸﺘﻘﺔ‬ 100 - 12 t( ) = (t)= av t‫اﻟﺘﻌﺠﯿﻞ‬ ‫داﻟﺔ‬ ‫اﻟﺘﻌﺠﯿﻞ‬2 (25) 100 12 25 200 / seca m     vst 000
  • 252.
    252 ‫ﺍﻟﺘﻔﺎﺿﻠﻴﺔ‬ ‫ﺍﳌﻌﺎﺩﻻﺕ‬ ‫ﺍﻟﺘﻔﺎﺿﻠﻴﺔ‬ ‫ﺍﳌﻌﺎﺩﻟﺔ‬Thedifferential equation:‫اﻟﺘﻔﺎﺿﻼت‬ ‫أو‬ ‫اﻟﻤﺸﺘﻘﺎت‬ ‫ﻋﻠﻰ‬ ‫ﺗﺤﻮي‬ ‫ﻣﻌﺎدﻟﺔ‬ ‫ھﻲ‬. ‫ﻣﺜﻼ‬: 4 53 2 3 2 1) 2 5 0 2) (2 3 ) d y d y y dx dx dy x y dy                 ‫ﺍﻟﺘﻔﺎﺿﻠﻴﺔ‬ ‫ﺍﳌﻌﺎﺩﻟﺔ‬ ‫ﺭﺗﺒﺔ‬The order of a differential equation:‫ﻓﯿﮭﺎ‬ ‫ﺗﻈﮭﺮ‬ ‫ﻣﺸﺘﻘﺔ‬ ‫أﻋﻠﻰ‬ ‫رﺗﺒﺔ‬ ‫ھﻲ‬ ‫ﻣﺜﺎل‬ ‫ﻓﻤﺜﻼ‬)1(‫رﺗﺒﺔ‬‫اﻟﺜﺎﻟﺜﺔ‬ ‫ھﻲ‬ ‫اﻟﻤﻌﺎدﻟﺔ‬. ‫ﺍﻟﺘﻔﺎﺿﻠﻴﺔ‬ ‫ﺍﳌﻌﺎﺩﻟﺔ‬ ‫ﺩﺭﺟﺔ‬:‫أس‬ ‫ھﻮ‬)‫ﻗﻮة‬(‫ﻓﺎﻟﻤﻌﺎدﻟﺔ‬ ، ‫ﻓﯿﮭﺎ‬ ‫ﺗﻈﮭﺮ‬ ‫ﻟﻤﺸﺘﻘﺔ‬ ‫رﺗﺒﺔ‬ ‫أﻛﺒﺮ‬)1(‫ا‬ ‫اﻟﺪرﺟﺔ‬ ‫ﻣﻦ‬‫ﻟﺮاﺑﻌﺔ‬. ‫ﺍﻟﺘﻔﺎﺿﻠﻴﺔ‬ ‫ﺍﳌﻌﺎﺩﻟﺔ‬ ‫ﺣﻞ‬:‫اﻟﻤﻌﺎدﻟﺔ‬ ‫وﺗﺤﻘﻖ‬ ‫اﻟﺘﻔﺎﺿﻼت‬ ‫أو‬ ‫اﻟﻤﺸﺘﻘﺎت‬ ‫ﻣﻦ‬ ‫ﺧﺎﻟﯿﺔ‬ ‫اﻟﻤﺘﻐﯿﺮات‬ ‫ﺑﯿﻦ‬ ‫ﻋﻼﻗﺔ‬ ‫أﯾﺔ‬ ‫ھﻮ‬ ‫ﻣ‬ ‫وﺗﺠﻌﻠﮭﺎ‬‫ﺘ‬‫ﻄﺎﺑﻘﺔ‬. ‫أﺧﺮى‬ ‫أﻣﺜﻠﺔ‬:Example 1 ‫أن‬ ‫ﺑﺮھﻦ‬: 3 2 ( )y x x  ‫اﻟﺘﻔﺎﺿﻠﯿﺔ‬ ‫ﻟﻠﻤﻌﺎدﻟﺔ‬ ‫ﺣﻞ‬ ‫ھﻮ‬ ‫اﻟﺤﻞ‬:‫ﺑﺤﺎﺟﺔ‬ ‫ﻧﺤﻦ‬‫ﻹﯾﺠﺎد‬‫اﻟﺜﺎﻧﯿﺔ‬ ‫اﻟﻤﺸﺘﻘﺔ‬: ‫اﻟﺘﻔﺎﺿﻠﯿﺔ‬ ‫اﻟﻤﻌﺎدﻟﺔ‬ ‫ﻓﻲ‬ ‫اﻟﺪوال‬ ‫ھﺬه‬ ‫ﻧﻌﻮض‬: ‫ﻟﻠﻤﻌﺎدﻟﺔ‬ ‫ﺣﻞ‬ ‫ھﻲ‬ ‫اﻟﻤﻌﻄﺎة‬ ‫ﻓﺎﻟﻤﻌﺎدﻟﺔ‬ ‫اﻟﺘﻔﺎﺿﻠﯿﺔ‬ ‫اﻟﻤﻌﺎدﻟﺔ‬ ‫ﺗﺤﻘﻘﺖ‬. ‫أﺧﺮى‬ ‫أﻣﺜﻠﺔ‬:Example 2 ‫أن‬ ‫ﺑﺮھﻦ‬: ‫اﻟﺘﻔﺎﺿﻠﯿﺔ‬ ‫ﻟﻠﻤﻌﺎدﻟﺔ‬ ‫ﺣﻞ‬ ‫ھﻮ‬: dy y x dx  
  • 253.
    253 ‫اﻟﺤﻞ‬: ‫اﻷﯾﻤﻦ‬ ‫اﻟﻄﺮف‬ ‫ﻓﻲ‬‫ﻧﻌﻮض‬: ‫ﻓﺎ‬ ‫اﻟﺘﻔﺎﺿﻠﯿﺔ‬ ‫اﻟﻤﻌﺎدﻟﺔ‬ ‫ﺗﺤﻘﻘﺖ‬‫ﻟﻠﻤﻌﺎدﻟﺔ‬ ‫ﺣﻞ‬ ‫ھﻲ‬ ‫اﻟﻤﻌﻄﺎة‬ ‫ﻟﻤﻌﺎدﻟﺔ‬ Example3 ‫أن‬ ‫ﺑﺮھﻦ‬:siny x‫ﺣ‬ ‫ھﻮ‬‫ﻟﻠﻤﻌﺎدﻟﺔ‬ ‫ﻞ‬0y y   ‫اﻟﺤﻞ‬:s 0ncos i xy x y y y yy             ‫اﻟﻤﻄﻠﻮب‬ ‫ﯾﺘﻢ‬. Example 4 :‫أن‬ ‫ﺑﺮھﻦ‬:tany x‫ﻟﻠﻤﻌﺎدﻟﺔ‬ ‫ﺣﻞ‬ ‫ھﻮ‬ 2 2 (1 )y y y   ‫اﻟﺤﻞ‬: 22 2 tatan s 1nec 1y x y x x y       ‫اﻟﻤﻄﻠﻮب‬ ‫ﯾﺘﻢ‬ ‫ﺑﮭﺬا‬ 2 2 1 2 2 1y y y y y y y y            Example 5:‫أن‬ ‫ﺑﺮھﻦ‬2 2 2 1x y ‫ﻟﻠﻤﻌﺎدﻟﺔ‬ ‫ﺣﻞ‬ ‫ھﻮ‬: 3 2y y    ‫اﻟﺤﻞ‬: 2 2 2 2 1 4 2 0 x x y x y y y y           2 2 ( , ) 1 2 2 2 2 3 3 3 3 2 ( 2) 2 2 ( 2) 2 2 4 2( 2 ) 2 2 f x y x y x x y x y yy y y y y y y y y x y x y y y y y y y y                                    ‫اﻟﻤﻄﻠﻮب‬ ‫ﯾﺘﻢ‬. Example 6‫أن‬ ‫ﺑﺮھﻦ‬  sin 5y x x‫ﻟﻠﻤﻌﺎدﻟﺔ‬ ‫ﺣﻼ‬:2 5 0xy y yx    ‫اﻟﺤﻞ‬:     . . . sin 5 5cos5 ( ) ( 5cos5 ) 5 ( 5sin 5 ) 2 5 L H S equation yx d d yx x y xy x dx dx d d y xy x y x y y x dx dx y x y yx ‫ﺎﻟﻤﻄﻠﻮب‬ ‫ﯾﺘﻤ‬                      
  • 254.
    254 Example 7:‫أن‬ ‫ﺑﯿﻦ‬: x ya e ‫ﻟﻠﻤﻌﺎدﻟﺔ‬ ‫ﺣﻼ‬ ‫ھﻮ‬0 , ,y y a   ‫اﻟﺤﻞ‬:         x x x x d d y a e y a e dx dx d d y a e y a e y y dx dx                 ‫اﻟﻤﻄﻠﻮب‬ ‫ﯾﺘﻢ‬. Example8:‫أن‬ ‫ﺑﯿﻦ‬ 2  Ln y x c ‫ﻟﻠﻤﻌﺎدﻟﺔ‬ ‫ﺣﻼ‬ ‫ھﻮ‬: 2 4 2y x y y   ‫ا‬‫ﻟﺤﻞ‬:         2 2 1 2 2 2 2 2 2 (2 ) 2 4 2 d d Ln y x c y x y x y dx dx y d d y x y y x y y x x y y dx dx y x y y                          ‫اﻟﻤﻄﻠﻮب‬ ‫ﯾﺘﻢ‬. Example9:‫ﺑﯿﻦ‬‫ﻛﻼ‬‫اﻟﺘﺎﻟﯿﺔ‬ ‫اﻟﺪوال‬ ‫ﻣﻦ‬ sin 1) sin 1 , 2) , 3) sinx y x y e y x     ‫ﻟﻠﻤﻌﺎدﻟﺔ‬ ‫ﺣﻼ‬ ‫ھﻮ‬: 1 cos sin 2 0 2 y y x x    ‫اﻟﺤﻞ‬:1(‫اﻟ‬‫ﺪاﻟﺔ‬‫اﻷوﻟﻰ‬:cos sin 1y x y x     ‫ﺑﺎﻟﻤﻌﺎد‬ ‫ﯾﻌﻮﺿﺎن‬‫اﻟﺘﻔﺎﺿﻠﯿﺔ‬ ‫ﻟﺔ‬: 1 1 . . . cos sin 2 cos (sin 1)cos 2 2 L H S y y x x x x x       2 sin cos cos x x x  sin cosx x cosx sin cosx x 0 . . .R H S  ‫ﻟﮭﺎ‬ ‫ﺣﻞ‬ ‫ﻓﮭﻲ‬ ‫اﻟﺘﻔﺎﺿﻠﯿﺔ‬ ‫اﻟﻤﻌﺎدﻟﺔ‬ ‫ﺣﻘﻘﺖ‬ ‫اﻷوﻟﻰ‬ ‫اﻟﺪاﻟﺔ‬. 2(‫اﻟ‬‫ﺪاﻟﺔ‬‫اﻟﺜﺎﻧﯿﺔ‬ sin sin cos x x y x e y e       ‫ﻟﻠﻤﻌﺎدﻟﺔ‬ ‫اﻷﯾﺴﺮ‬ ‫ﺑﺎﻟﻄﺮف‬ ‫ﯾﻌﻮﺿﺎن‬ ‫اﻟﺘﻔﺎﺿﻠﯿﺔ‬. sin sin1 1 . . . cos sin 2 cos cos sin 2 2 2 1 sin 2 . . . 2 x x L H S y y x x x e e x x x R H S              ‫اﻟﺘﻔﺎﺿﻠﯿﺔ‬ ‫اﻟﻤﻌﺎدﻟﺔ‬ ‫ﺗﺤﻘﻖ‬ ‫ﻟﻢ‬ ‫اﻟﺜﺎﻧﯿﺔ‬ ‫اﻟﺪاﻟﺔ‬ ‫ﻟﺬا‬‫ﻟﯿﺴ‬ ‫ﻓﮭﻲ‬‫ﺖ‬‫ﻟﮭﺎ‬ ‫ﺣﻼ‬.
  • 255.
    255 3(‫اﻟﺜﺎﻟﺜﺔ‬ ‫اﻟﺪاﻟﺔ‬:cos sinyx y x   ‫اﻟﺘﻔﺎﺿﻠﯿﺔ‬ ‫ﻟﻠﻤﻌﺎدﻟﺔ‬ ‫اﻷﯾﺴﺮ‬ ‫ﺑﺎﻟﻄﺮف‬ ‫ﯾﻌﻮﺿﺎن‬. 1 1 . . . cos sin 2 cos sin cos 2 2 L H S y y x x x x x       ( 2 sin cos ) cos . . . x x x R H S  ‫ﻟﮭﺎ‬ ‫ﺣﻼ‬ ‫ﻟﯿﺲ‬ ‫ﻓﮭﻲ‬ ‫اﻟﺘﻔﺎﺿﻠﯿﺔ‬ ‫اﻟﻤﻌﺎدﻟﺔ‬ ‫ﺗﺤﻘﻖ‬ ‫ﻟﻢ‬ ‫اﻟﺜﺎﻟﺜﺔ‬ ‫اﻟﺪاﻟﺔ‬ ‫ﻟﺬا‬. Example10‫اﻟﺪاﻟﺔ‬ ‫ﻛﺎﻧﺖ‬ ‫إذا‬: 1 , 3 cx x y e e c  ‫اﻟﺘﻔﺎﺿﻠﯿﺔ‬ ‫ﻟﻠﻤﻌﺎدﻟﺔ‬ ‫ﺣﻼ‬ ‫ھﻲ‬ 2 2 xy y e ‫ﻗﯿﻤﺔ‬ ‫ﻓﺠﺪ‬c. ‫اﻟﺤﻞ‬:‫اﻟﺪاﻟﺔ‬ 1 3 cx x y e e ‫وﻣﺸﺘﻘﺘﮭﺎ‬ 1 3 cx x y c e e  ‫اﻟﺘﻔﺎﺿﻠﯿﺔ‬ ‫اﻟﻤﻌﺎدﻟﺔ‬ ‫ﺗﺤﻘﻖ‬: 1 1 2 2( ) 3 3 1 3 x cx x cx x x cx x y y e c e e e e e c e e          2 2 3 cx x e e  x e  2 0 0 , 2 0 2 cx cx c e e c c          (11)Example‫اﻟﻤﻌﺎدﻟﺔ‬ ‫ﺑﺮھﻦ‬2 c y x  ‫ﺣﯿﺚ‬ ، 0 ,x  ‫اﻟﺘﻔﺎﺿﻠﯿﺔ‬ ‫ﻟﻠﻤﻌﺎدﻟﺔ‬ ‫ﺣﻞ‬ ‫ھﻲ‬ 1 (2 ) dy y dx x   ‫اﻟﺤﻞ‬:2 2 dy c c y dx x x     ‫ﺑﺎﻟﻤﻌﺎدﻟﺔ‬ ‫ﺗﻌﻮﺿﺎن‬‫اﻟﺘﻔﺎﺿﻠﯿﺔ‬: 2 1 1 (2 ) ( 2 dy c y dx x x x      2 c x   2 2 ) c c x x     ‫ﻋ‬‫اﻟﻤﻄﻠﻮب‬ ‫ﻓﯿﺘﻢ‬ ‫ﺻﺎﺋﺒﺔ‬ ‫ﺒﺎرة‬. (12)Example:‫أن‬ ‫ﺑﺮھﻦ‬  2       1     ,    0y c x c  ‫اﻟﻤﻌﺎدﻟﺔ‬ ‫ﺣﻠﻮل‬ ‫ﻣﻦ‬ ‫ﺣﻼ‬ ‫ھﻮ‬ 1 2 dy x y dx   ‫اﻟﺤﻞ‬:  2       1     , x -1  ,   0y c x c   ‫اﻟﻄﺮﻓﯿﻦ‬ ‫ﻟﻮﻏﺎرﯾﺘﻢ‬ ‫ﻧﺄﺧﺬ‬:      Ln  2   1   Ln y c Ln x   ‫اﻟﻄﺮﻓﯿﻦ‬ ‫ﻣﺸﺘﻘﺔ‬ ‫ﺑﺈﯾﺠﺎد‬‫ﻋﻠﻰ‬ ‫ﻧﺤﺼﻞ‬:  1 2 1 2          0 1 dy dy x y dx y dx x        ‫اﻟﻤﻄﻠﻮب‬ ‫ﯾﺘﻢ‬.
  • 256.
    256 (13)Example:‫اﻟﺘﻔﺎﺿﻠﯿﺔ‬ ‫ﻟﻠﻤﻌﺎدﻟﺔ‬ ‫اﻟﻌﺎم‬‫اﻟﺤﻞ‬ ‫ﺟﺪ‬: 3 3 3 8 12sin 2 d y x dx x   ‫اﻟﺤﻞ‬:‫ﯾﺘﻜﺎﻣ‬‫ﻞ‬‫اﻟﻄﺮﻓﯿﻦ‬‫ﻣﺘﺘﺎﻟﯿﺔ‬ ‫ﻣﺮات‬ ‫ﺛﻼث‬‫ﻟﻠﻤﺘﻐﯿﺮ‬ ‫ﺑﺎﻟﻨﺴﺒﺔ‬x 3 3 2 8    12sin 2       d y dx x dx dx x           (14)Example:‫ﻟﺘﻜﻦ‬y = f (x)‫ﻟﻠﺪاﻟ‬ ‫وﻟﯿﻜﻦ‬‫ﺔ‬f‫ھﻲ‬ ‫اﻧﻘﻼب‬ ‫ﻧﻘﻄﺔ‬( 1 , - 11 )‫ﺣﺮﺟﺔ‬ ‫ﻧﻘﻄﺔ‬ ‫وﻟﻠﺪاﻟﺔ‬ ‫ﻋﻨﺪ‬x = -1‫ن‬ ‫ﻛﺎ‬ ‫ﻓﺈذا‬  6f x ‫اﻟﻤﻨﺤﻨﻲ‬ ‫ﻣﻌﺎدﻟﺔ‬ ‫ﻓﺠﺪ‬.      6           6            6 x + c     f x f x dx dx f x        ‫ﻟﻜﻦ‬( 1 , - 11 )‫اﻧﻘﻼب‬ ‫ﻧﻘﻄﺔ‬    3 1 0f  ‫و‬ 1 1 11f      3 1 0f    6 x + cf x  1 6 +c = 0f  c = - 6  6 x -6f x  ‫اﻟﻄﺮﻓﯿﻦ‬ ‫ﻧﻜﺎﻣﻞ‬:  6 x -6f x        2   6 x -6        3 x -6x + b  f x dx dx f x     ‫ﻋﻨﺪ‬x = -1‫ﺣﺮﺟﺔ‬ ‫ﻧﻘﻄﺔ‬ ‫ﺗﻮﺟﺪ‬: 2 1 0f    ‫ﻟﻜﻦ‬ 1 3 6    0    f b            9    b         2 3 x -6x -9   f x  ‫ﺑﻘﻲ‬‫ﺗﻄﺒﯿﻖ‬ 1‫ﻟﻼﻧﻘﻼب‬:  2 3 x -6x -9 f x ‫ﯾﺘﻜﺎﻣ‬‫ﻞ‬‫اﻟﻄﺮﻓﯿﻦ‬:      2 3 2   3 x -6x -9              =   x -3x -9x +hf x dx dx f x     1: 1   =   1-3-9 +h = -11+hf‫ﻟﻜﻦ‬ 1 1 11f    h = 0      -11= -11+ h     ‫اﻟﻤﻌﺎدﻟﺔ‬ ‫ﺗﻜﻮن‬:  3 2   =   x -3x -9xf x (15)Example:‫ﻟﻠﻤﻌﺎدﻟﺔ‬ ‫اﻟﻌﺎم‬ ‫اﻟﺤﻞ‬ ‫ﺟﺪ‬ 3 2 2 1    sec tan  secy x x x x     ‫اﻟﺤﻞ‬: 2 2 1     sec   sec  tan    sec tany x x x x x x       2 2 1 12 2 2 2 1 2 1 2 4 4     6cos2  + c            6cos2  + c        4 4        3 sin 2  c             3 sin 2  c                                                         d y d y x dx x dx dx x dx x dy x x c dx x x c dx dx x x                                  1 2 3 3 1              y =    cos2x + 4Ln x  + c  +  x + c           2 2 x c
  • 257.
    257   2 1    sec  tan d y x x dx x    ‫ﺑﺎﻟ‬ ‫اﻟﻄﺮﻓﯿﻦ‬ ‫ﻧﻜﺎﻣﻞ‬ ‫ﺛﻢ‬‫ﻟﻠﻤﺘﻐﯿﺮ‬ ‫ﻨﺴﺒﺔ‬x           2 1 1 1 2 1     sec  tan       1            =   sec  tan                       1          =  sec  tan                        sec d y dx x x dx dx dx x y x x c x y dx x x dx dx c dx x y x Ln x c x c                        : (16)Example:‫ﻟﺘﻜﻦ‬y = f (x)‫ﻟﻠﺪاﻟﺔ‬ ‫وﻟﯿﻜﻦ‬f‫ھﻲ‬ ‫ﺣﺮﺟﺔ‬ ‫ﻧﻘﻄﺔ‬    1 , 4‫وﻛﺎن‬    6-6xf x  ‫اﻟﺪاﻟﺔ‬ ‫ﻣﻨﺤﻨﻲ‬ ‫ﻣﻌﺎدﻟﺔ‬ ‫ﻓﺠﺪ‬. ‫اﻟﺤﻞ‬:( - 1 , 4)‫ﺣﺮﺟﺔ‬ ‫ﻧﻘﻄﺔ‬‫ﻧﺤﺼﻞ‬‫ﻋﻠﻰ‬:‫ﻧﻄﺒﻖ‬ 2‫اﻟﺤﺮﺟﺔ‬ ‫ﻋﻨﺪ‬ ‫اﻷوﻟﻰ‬ ‫اﻟﻤﺸﺘﻘﺔ‬=0 ‫ﻧﻄﺒﻖ‬ 1‫اﻟﻤﻨﺤﻨﻲ‬ ‫ﻣﻌﺎدﻟﺔ‬ ‫ﺗﺤﻘﻖ‬ ‫اﻟﻨﻘﻄﺔ‬.               2 1 2 1 1 2 2 3 2 2 2       6-6x                 6 3     1     6 3          0 9         6 3 9    6 3 9                ( ) 3 9 ( 1) 3 1 9         ( 1) 4        4 13      d f x dx dx f x x x c dx f c c f x x x f x dx x x dx f x x x x c f c but f then c                                          2 3 2 ( ) 3 9 9    = -9            c tf x x x he equat onx i    : (17)Example‫اﻟﺪاﻟﺔ‬ ‫ﻟﻤﻨﺤﻨﻲ‬ ‫اﻟﻤﻤﺎس‬ ‫ﻣﯿﻞ‬ ‫ﻛﺎن‬ ‫اذا‬f‫ﻧﻘﻄﺔ‬ ‫اﯾﺔ‬ ‫ﻋﻨﺪ‬ ,x y‫ﯾﺴﺎوي‬ ‫اﻟﺪاﻟﺔ‬ ‫ﻧﻘﻂ‬ ‫ﻣﻦ‬ 2 6 6x x‫وﻛﺎﻧﺖ‬6‫اﻟ‬ ‫اﻟﻨﮭﺎﯾﺔ‬ ‫ﺗﻤﺜﻞ‬‫ﻌﻈﻤﻰ‬‫اﻟﻤﻨﺤﻨﻲ‬ ‫ﻣﻌﺎدﻟﺔ‬ ‫ﻓﺠﺪ‬ ، ‫اﻟﺪاﻟﺔ‬ ‫ﻟﻤﻨﺤﻨﻲ‬ ‫اﻟﻤﺤﻠﯿﺔ‬. ‫اﻟﺤﻞ‬:6=‫ﻧﮭﺎﯾﺔ‬‫ﻋﻈﻤﻰ‬‫ﻣﺤﻠﯿﺔ‬=‫إﺣﺪاﺛﻲ‬‫ﻗﯿﻤﺔ‬ ‫ﻋﻦ‬ ‫ﻓﻠﻨﺒﺤﺚ‬ ‫ﺻﺎدي‬x‫ﻟﮭﺎ‬ ‫اﻟﻤﻨﺎﺳﺒﺔ‬. ‫ﺣﺮﺟﺘﺎن‬ ‫ﻧﻘﻄﺘﺎن‬   2 ( ) 6 6          0   6 (1 )          0       1f x x x x x x or x         ‫أن‬ ‫ﻧﻼﺣﻆ‬ ‫اﻷوﻟﻰ‬ ‫اﻟﻤﺸﺘﻘﺔ‬ ‫أﻋﺪاد‬ ‫ﺧﻂ‬ ‫ﻣﻦ‬  1 , 6‫ﻣﺤﻠﯿﺔ‬ ‫ﻋﻈﻤﻰ‬ ‫ﻧﮭﺎﯾﺔ‬ ‫ﻧﻘﻄﺔ‬ ‫ھﻲ‬ ‫اﻟﻤﻨﺤﻨﻲ‬ ‫ﻣﻌﺎدﻟﺔ‬ ‫ﺗﺤﻘﻖ‬ ‫وھﻲ‬.
  • 258.
    258  2 322 ( ) 6 6        (    ( )  6 6        3 2  ) f x x x cf x x x f x dx x x dx         ‫اﻟﻨﻘﻄﺔ‬ ‫ﻧﻌﻮض‬ 1 , 6: 6  3 2        5c c   ‫ﻟ‬‫ھﻲ‬ ‫اﻟﻤﻨﺤﻨﻲ‬ ‫ﻣﻌﺎدﻟﺔ‬ ‫ﺗﻜﻮن‬ ‫ﺬا‬: 2 3 ( ) 3 2 5f x x x   : (17)Example‫ﻟﮫ‬ ‫اﻟﺬي‬ ‫اﻟﻤﻨﺤﻨﻲ‬ ‫ﻣﻌﺎدﻟﺔ‬ ‫ﺟﺪ‬ 2 2    12 4 d y x dx  ‫اﻟﻤﺴﺘﻘﯿﻢ‬ ‫وﻛﺎن‬2 6x y ‫ﻋﻨﺪ‬ ‫ﻟﮫ‬ ‫ﻣﻤﺎﺳﺎ‬ ‫اﻟﻨﻘﻄﺔ‬x = 2. ‫اﻟﺤﻞ‬:2 6x y ‫و‬x = 2‫ﻋﻠﻰ‬ ‫ﻧﺤﺼﻞ‬ ‫ﺑﺎﻟﺘﻌﻮﯾﺾ‬y = -2         2  2 6y    ‫ھﻲ‬ ‫اﻟﺘﻤﺎس‬ ‫ﻧﻘﻄﺔ‬: 2 ,  2 ‫اﻟﻤﻨﺤﻨﻲ‬ ‫ﻣﻌﺎدﻟﺔ‬ ‫ﻣﻦ‬ ‫واﻟﻤﯿﻞ‬ ‫اﻟﻤﻤﺎس‬ ‫ﻣﻌﺎدﻟﺔ‬ ‫ﻣﻦ‬ ‫اﻟﻤﻤﺎس‬ ‫ﻣﯿﻞ‬ ‫ﻧﺠﺪ‬. ‫اﻟﻤﻤﺎس‬ ‫ﻣﻌﺎدﻟﺔ‬ ‫ﻣﻦ‬:12 6        2 6     2   dy x y y x S dx         ‫اﻟﻤﻨﺤﻨﻲ‬ ‫ﻣﻌﺎدﻟﺔ‬ ‫ﻣﻦ‬:  2 2 2 2 2    12 4             12 4           6  -4x + c   d y d y dy x dx x dx x dx dx dx            2 2      (2,   2)   6 2  - 4 2 + c = 1 = S6 + c a t dy dx   1 2    2 16                     14S S cc       2 2 3 2 Hence     6  - 4x -14                dy = 6  - 4x -14       2 2 14 dy x x dx y x x x b dx         2 ,  2‫اﻟﻤﻨﺤﻨﻲ‬ ‫ﻣﻌﺎدﻟﺔ‬ ‫ﺗﺤﻘﻖ‬:      3 2 2 2 2 2 2 14 2              18b b       ‫ﺗﻜﻮن‬ ‫اﻟﻤﻨﺤﻨﻲ‬ ‫ﻣﻌﺎدﻟﺔ‬ ‫ﻟﺬا‬: 3 2 2 2 14 18y x x x   
  • 259.
    KAMIL ALNASSIRY 259 ‫ﺑﺘﻜﺎﻣ‬‫ﻞ‬‫اﻟﻤﻌﺎدﻟﺔ‬‫ﺗﺤﻞ‬ ‫اﻟﻄﺮﻓﯿﻦ‬ 1st – order differential equation ‫ﺍﻷﻭﱃ‬ ‫ﺍﻟﺮﺗﺒﺔ‬ ‫ﻣﻦ‬ ‫ﺍﻟﺘﻔﺎﺿﻠﻴﺔ‬ ‫ﺍﳌﻌﺎﺩﻟﺔ‬. ‫ﻣﻨﮭﺎ‬ ‫ﻣﺨﺘﻠﻔﺔ‬ ‫ﺻﯿﻎ‬ ‫اﻟﻤﻌﺎدﻟﺔ‬ ‫ﻟﮭﺬه‬: 1. Derivative form: ‫اﻟﻤﺸﺘﻘﺔ‬ ‫ﺻﯿﻐﺔ‬ 1 0( ) ( ) ( ) dy a x a x y g x dx   2. Differential form: ‫ﺻﯿﻐﺔ‬‫اﻟﺘﻔﺎﺿﻠ‬‫ﺔ‬ ( , ) ( , ) 0M x y dy N x y dx  3. General form: ‫اﻟﻌﺎﻣﺔ‬ ‫اﻟﺼﯿﻐﺔ‬ ( , ) , , 0 dy dy f x y Or f x y dx dx        ‫ﺍﻷﻭﱃ‬ ‫ﻭﺍﻟﺪﺭﺟﺔ‬ ‫ﺍﻷﻭﱃ‬ ‫ﺍﻟﺮﺗﺒﺔ‬ ‫ﻣﻦ‬ ‫ﺍﻟﺘﻔﺎﺿﻠﻴﺔ‬ ‫ﺍﳌﻌﺎﺩﻟﺔ‬ ‫ﺣﻞ‬ ‫ﻃﺮﻕ‬ ‫ﺑﻌﺾ‬. Solution of Differential Equation 1(‫ﺍﳌﺘﻐﲑﺍﺕ‬ ‫ﻓﺼﻞ‬ ‫ﻃﺮﻳﻘﺔ‬Separation of variables ‫ﺑﺼﻮر‬ ‫اﻟﺘﻲ‬ ‫اﻟﺘﻔﺎﺿﻠﯿﺔ‬ ‫ﻓﺎﻟﻤﻌﺎدﻟﺔ‬‫ة‬: ‫ﺑﺎﻟﺸﻜﻞ‬ ‫اﻟﻤﺘﻐﯿﺮات‬ ‫ﻓﺼﻞ‬ ‫وﯾﻤﻜﻦ‬:
  • 260.
    KAMIL ALNASSIRY 260 EXAMPLE1 ‫اﻟﻤﻌﺎدﻟﺔ‬ ‫ﺣﻞ‬: ( ) ( )f x dx g y dy   ‫ﻣﺘﻐﯿﺮﯾﮭﺎ‬ ‫وﺑﻔﺼﻞ‬ ‫اﻟﺘﻔﺎﺿﻼت‬ ‫ﺑﺼﯿﻐﺔ‬ ‫اﻟﻤﻌﺎدﻟﺔ‬ ‫ﺗﻜﺘﺐ‬: ‫ﺛﻢ‬‫اﻟﻤﺸﺘﻘﺔ‬ ‫ﻣﻘﺎﺑﻼت‬ ‫ﻧﺴﺘﺨﺪم‬. ‫اﻟﺘﻔﺎﺿﻠﯿﺔ‬ ‫اﻟﻤﻌﺎدﻟﺔ‬ ‫اﻟﻤﺘﻐﯿﺮات‬ ‫ﻓﺼﻞ‬ ‫اﻟﻤﺸﺘﻘﺔ‬ ‫ﻣﻘﺎﺑﻼت‬ 2EXAMPLE 2 y x y  ‫اﻟﺘﻔﺎﺿﻠﯿﺔ‬ ‫اﻟﻤﻌﺎدﻟﺔ‬ ‫ﺣﻞ‬ ‫اﻟﺤﻞ‬:   3 3 3 1 1 2 2 2 1 1 1 3 3 3 3 1 1 y if y 0 = 1 e y = c 3 x c x x c dy y x x dx dy x dx y y Ln y x c y e y e e                     3 :EXAMPLE 2( 3) 0y dx xy dy   ‫اﻟﺘﻔﺎﺿﻠﯿﺔ‬ ‫اﻟﻤﻌﺎدﻟﺔ‬ ‫ﺣﻞ‬:  2 3 2 3 2 3 : 2( 3) 0 2 2( 3) 3 2 2 3 3 3 3 2 3 1 2 ln( ) ln( ) 3 ln( 3) 3 ln( ) ln ( 3) ln ( 3) ( 3) y S olution y dx xy dy y y dx xy dy dx dy x y y y dx dy dx dy x y x y dx dy x c y y x y cx y y cx y y cx y e                                               
  • 261.
    KAMIL ALNASSIRY 261 4:EXAMPLE 2 3 tan (1 ) sec 0x x e y dx e y dy   ‫اﻟﺘﻔﺎﺿﻠﯿﺔ‬ ‫اﻟﻤﻌﺎدﻟﺔ‬ ‫ﺣﻞ‬:       2 2 2 3 3 : 3 tan ( 1) sec sec 3 3 sec tan 1 1 tan 3 ln( 1) ln ln tan ln ( 1) ln tan ( 1) tan x x x x x x x x x Solution e y dx e y dy y e e y dy dx dx dy y e e y e c y c e y c e y                       5 :EXAMPLE y x x ydy e e dx     ‫اﻟﺘﻔﺎﺿﻠﯿﺔ‬ ‫اﻟﻤﻌﺎدﻟﺔ‬ ‫ﺣﻞ‬:       1 : 1 y x x y y x x x x y x x y y x x y x x dy dy Solution e e e e e e e dx dx dy e e dx e dy e e dx e e e e c e e e c                               3 6 : cos sin dy EXAMPLE Solve the differential equation x x dx  3 3 2 3 2 : sin cos sin cos cos 1 sin cos sec 2 2 dy Solution x x dy x x dx dx x dy x x dx y c y x c                   2 7 : dy EXAMPLE Solve the differential equation x y xy dx   3 2 3 2 3 2 1 1 2 2 2 3 2 1 1 1 1 1 1 1 3 2 3 2 3 2 : ( ) ( ) 1 1 1 ( ) 3 2 y = c x x c x x x x c dy dy Solution y x x x x dx dx y dy x x dx Ln y x x c y y e y e e e                         
  • 262.
    KAMIL ALNASSIRY 262  8 : 1 1 dy EXAMPLE Solve the differential equation x y dx      2 2 1 1 2 2 1 1 2 2 2 1 1 1 2 2 1 : 1 ( 1) 1 1 1 ln 1 1 1 2 1 1 x x c x x c x x x x dy Solution x dx dy x dx y y y x x c y e y e e y ce y ce                                 
  • 263.
    KAMIL ALNASSIRY 263  32 10: 4 1EXAMPLE Solve the differential equation y y y   3 2 2 2 3 3 2 2 3 1 2 22 2 2 2 ( 1) : 4 ( 1) 4 4 ( 1) 1 ( 1) 4 ( 1) ( 2) 4 2 1 1 4 1 41 dy y y Solution y y y dy dx dx y y y y dy dx y x c x c y x cy                               2 2 2 11: 2 1 4 1 y x dy EXAMPLE Solve the differential equation y x dxx             2 2 2 2 2 2 2 : 2 1 4 1 1 1 4 y x dy Solution y x dxx d d y x x y dx dx                ‫ﺑﺼﻮرة‬ ‫ﯾﻜﺘﺐ‬ ‫أن‬ ‫وﯾﻤﻜﻦ‬ ‫داﻟﺘﯿﻦ‬ ‫ﺿﺮب‬ ‫ﻣﺸﺘﻘﺔ‬ ‫ﯾﻤﺜﻞ‬ ‫اﻷﯾﺴﺮ‬ ‫اﻟﻄﺮف‬ ‫أن‬ ‫ﻻﺣﻆ‬: 2 2 1 4 d y x dx       2 2 1 4 d y x dx dx dx           ‫اﻟﻄﺮﻓﯿﻦ‬ ‫ﻧﻜﺎﻣﻞ‬: 2 2 1 4y x x c the implicit function    12: :EXAMPLE Solve the differential equation ‫اﻟﺤﻞ‬:
  • 264.
    KAMIL ALNASSIRY 264 Initialvalue problem (IVP) ‫ﺍﺑﺘﺪﺍﺋﻴﺔ‬ ‫ﺑﻘﻴﻤﺔ‬ ‫ﺍﳌﺸﺮﻭﻃﺔ‬ ‫ﺍﳌﺴﺄﻟﺔ‬ 13 :EXAMPLE 2 , 0 0x ydy e y when x dx     ‫اﻟﺘﻔﺎﺿﻠﯿﺔ‬ ‫اﻟﻤﻌﺎدﻟﺔ‬ ‫ﺣﻞ‬: 2 2 2 2 2 2 2 2 , 0 : 1 , 0 2 1 3 1 2 2 1 3 3 2 2 2 2 2 3 3 y x x y x y y x x y x y y x x y dy dy Solution e e e dx e dy e dx dx e e e c when x c c e e e e e y Ln the equation e e                                     3 1 14: 2 ; 0 2 x EXAMPLE Solve the differential equation y e y y if x   
  • 265.
    KAMIL ALNASSIRY 265 2 3 13 2 2 2 :2 2 2 2 1 1 4 0 4 4 8 2 1 1 4 8 4 8 x x x x x x dy y Solution e dx y dy e dx e c y e c But y when x c c y e y the implicit function y e                                15:EXAMPLE Solve the differential equation Apply the initial condition to get the value of c 16:EXAMPLE Solve the differential equation
  • 266.
    KAMIL ALNASSIRY 266 HomogenousDifferential Equations ‫اﻟﻤﺘﺠﺎﻧﺴﺔ‬ ‫اﻟﺘﻔﺎﺿﻠﯿﺔ‬ ‫اﻟﻤﻌﺎدﻟﺔ‬ ‫ﺑﺼﻮﺭﺓ‬ ‫ﺍﻟﺘﻲ‬ ‫ﺍﻟﺘﻔﺎﺿﻠﻴﺔ‬ ‫ﺍﳌﻌﺎﺩﻟﺔ‬( , ) dy f x y dx ‫ﺣﻘﻘﺖ‬ ‫ﺍﺫﺍ‬ ‫ﻣﺘﺠﺎﻧﺴﺔ‬ ‫ﺑﺎﻟﺼﯿﻐﺔ‬ ‫ﻛﺘﺎﺑﺘﮭﺎ‬ ‫ﯾﻤﻜﻦ‬ ‫اﻟﺘﻲ‬ ‫اﻟﻤﻌﺎدﻟﺔ‬ ‫ھﻲ‬ ‫أو‬ dy y f dx x        ‫أﻣﺜﻠﺔ‬:‫اﻟﺘﺎﻟﯿﺔ‬ ‫اﻟﺘﻔﺎﺿﻠﯿﺔ‬ ‫اﻟﻤﻌﺎدﻻت‬ ‫ﺣﻞ‬: 2 2 Example1 : 2 0 dy xy y x dx    ‫ﻋﻠﻰ‬ ‫واﻟﻤﻘﺎم‬ ‫اﻟﺒﺴﻂ‬ ‫ﻧﻘﺴﻢ‬ 2 0x  2 2 : dy y x Soluton dx xy   ‫ﻣﺘﺠﺎﻧﺴﺔ‬ ‫ﻓﺎﻟﻤﻌﺎدﻟﺔ‬ ‫ﻟﺬا‬ 2 1 ( ) 2 y dy yx f ydx x x              ‫ﻧﻔﺮض‬......(1)y v x ....... (2) dv v x dx dy dx   ‫ﻧﻌﻮض‬)1(،)2(‫اﻟﻤﻌﺎدﻟﺔ‬ ‫ﻓﻲ‬: 2 1 2 dy dx y x y x              2 2 2 2 2 2 12 2 2 2 2 2 2 2 1 1 1 2 1 2 2 2 1 2 1 n( 1) n n 1 n n 1 n n n n n dv v dv v dv v v v x x v x dv dx dx v dx v dx v v x v y dv dx L v L x c L L x L c v x x y x y x y x L L x L c L L c c x x x                                                           2 2 y x c x      , ,n f tx ty t f x y for all t 
  • 267.
    KAMIL ALNASSIRY 267 Sol.Let y ux dy udx xdu    ‫ﺑﺪل‬ ‫اﻟﺘﻔﺎﺿﻠﯿﺔ‬ ‫ﺑﺎﻟﻤﻌﺎدﻟﺔ‬ ‫ﻧﻌﻮض‬y‫وﺑﺪل‬dy ‫اﻟ‬ ‫أن‬ ‫ﻻﺣﻆ‬‫ﻣﺘﺠﺎﻧﺴﺔ‬ ‫ﻓﺎﻟﻤﻌﺎدﻟﺔ‬ ‫اﻟﺪرﺟﺔ‬ ‫ﻧﻔﺲ‬ ‫ﻣﻦ‬ ‫ھﻲ‬ ‫اﻟﺜﻼﺛﺔ‬ ‫ﺤﺪود‬ 2 2 Example3 3 9: 4 dy xy x y dx           2 2 2 2 2 2 2 3 2 2 2 3 2 2 2 2 2 2 : 3 4 9 0 , 3 . 4 9 3 3 4 9 3 4 6 4 6 3 4 6 int solution x y dy x y dx let y ux dy udx x du x ux udx x du x u x dx x u dx ux du x dx u x dx ux du x dx u x dx x u dx udu dx u x egrating both sides                        2 2 Example 2 : 0y xy x dx xydy Homogenous       2 2 2 2 2 2 2 0u x ux x dx u x udx xdu u x dx      2 2 2 2 ux dx x dx x u dx   3 0 0 ( 1) 1 1 1 1 1 1 1 1 (1 ) 1 1 1 ln( 1) ln ln 1 ln ln 1 ln ln( ) y c x x u du u dx dx u x du u dx u x du u du dx u x u u du dx du dx du dx u x u x u x y y u u x c x c x x y y y x c y x c or y x e x x x                                                             
  • 268.
    KAMIL ALNASSIRY 268 2 2 2 2 3 46 4 6 12 1 4 1 ln ln 4 1 ln 4 6 ln . 4 udu dx let z u u x d z u du dz dx z x z x c y x c x                      Example4: , 0 1 ( 3 ) . 3 x x x y dy yx dy f Hom y x dx x ogenous ydx x x y dy dv let v y v x v x x dx dx y                 ‫ﻣﻦ‬ ‫ﻛﻞ‬ ‫ﺑﺪل‬ ‫اﻟﺘﻔﺎﺿﻠﯿﺔ‬ ‫ﺑﺎﻟﻤﻌﺎدﻟﺔ‬ ‫ﻧﻌﻮض‬ dy dx ‫و‬ y x 2 2 2 2 1 1 1 3 33 1 3 2 1 3 3 ( 3) 1 ( 1 2 ) 1 ( 1) ( 1) ( 1) ( y d y d v v d v vx v x x v yd x d x v d x v x d v v v v d v v v x x d x v d x v v v d v d x d v d x v x v x v                                     2 ( 1)v  2 2 1 ) in t ( 1) d v d x eg ratin g b o th sid es v x   
  • 269.
    KAMIL ALNASSIRY 269 2 2 12 1 ( ) ( 1) ( 1) 1 1 2 ( 1) ( 1) 2 2 ( 1) ( 1) 1 1 2 2 ( ) 1 ( ) 1 dv dx v v x dv v dv dx v x Ln v Ln x c Ln x Ln v c v v y x Ln x Ln c Ln y x c yx y x x                                                   ‫اﻟﺜﺎﻧﯿﺔ‬ ‫اﻟﺪرﺟﺔ‬ ‫ﻣﻦ‬ ‫اﻟﺤﺪود‬ ‫ﻛﻞ‬ ‫ﻷن‬ ‫ﻣﺘﺠﺎﻧﺴﺔ‬ ‫اﻟﻤﻌﺪﻟﺔ‬ 2 2 Exam 0ple5: y xy dx x dy        2 2 2 2 2 2 2 . 0 , ( ) 0 solu y x y dx x dy let y ux dy udx x du ux x ux dx x udx x du u x dx u x dx              2 ux dx 2 ( 0 ) 3 2 2 2 0 0 int 1 ln ln ln x x du du dx u dx x du u x egrating both sides du dx x x c x c u x u y x y c x                        
  • 270.
    KAMIL ALNASSIRY 270 (2 ) (2 3 )Example( 06) : x y dx x y d Homogenousy    ( 0) ( 2 ) (2 3 ) 0 1 2 ( 2 ) ( ) 2 3 2 3 x x y dx x y dy y dy x y dy yx f ydx x y dx x x                     y dy dv let v y xv v x x dx dx         2 2 2 2 2 1 2 1 2 2 32 3 1 2 1 2 2 3 2 3 2 3 (1 4 3 ) 2 3 1 2 3 1 4 3 int 2 3 1 1 4 6 1 1 4 3 2 1 4 3 1 ln(1 4 2 y vdy dvx v x ydx dx v x dv v dv v v v x v x dx v dx v dv v v v x dv dx dx v v v x egrating both sides v v dv dx dv dx v v x v v x                                                         2 2 1 2 2 2 1 2 2 2 2 2 22 2 2 2 2 3 ) ln ln(1 4 3 ) 2 ln 2 ln(1 4 3 ) ln( ) ln (1 4 3 ) ln 4 3 4 3 4 3c v v x c v v x c v v x c y y x c x xy y c x x x xy y e x xy y c                                   
  • 271.
    KAMIL ALNASSIRY 271 2 22 2 2 2 ( 0 ) 2 2 2 ( )E x a m p le ( 7 ) ( ) 1 0 ( ) x d y y x y x d x x y d y y x d d x x y y x x y d y d y yx f yd x x x                   ‫ﻣﺘﺠﺎﻧﺴﺔ‬ ‫اﻟﺘﻔﺎﺿﻠﯿﺔ‬ ‫اﻟﻤﻌﺎدﻟﺔ‬. y dy let v y xv x dx dv v x dx      2 2 22 2 2 2 2 2 2 ( 4 ) 2 2 1 1 1 1 1 1 1 2 1 1 1 2 1 2 1 4 1 4 1 2 1 (1 2 ) ( ) (1 2 ) 4 ( ) 4 4 (1 y d y v d v vx x v yd x v d x v x d v v v d v v x x d x v d x v v v d v d x d v d x v x v x v d v d x v x L n v L n d v x c L n v v x d x L n x c L n                                              2 2 2 4 2 4 2 4 2 2 2 4 1 2 ) ( ) ( ) (1 2 ) ( ) ( 1 2 ) 2 y y c L n L n c L n L n x x x x y c x x y c x x              2 3 2 3 3 3 3 3 2 E x am p le(8) ( ) ( ) ( ) H o mx y d x x o gen ou s dy x y y x dy x y d y x d dx y y x        
  • 272.
    KAMIL ALNASSIRY 272 3 (0) 3 ( ) ( ) 1 x y dy yx f ydx x x       ‫ﻣﺘﺠﺎﻧﺴﺔ‬ ‫اﻟﺘﻔﺎﺿﻠﯿﺔ‬ ‫اﻟﻤﻌﺎدﻟﺔ‬. y dy dv let v y xv v x x dx dx       3 3 3 ( ) 1( ) 1 1 y d y d v vx v x yd x d x v x d v v d v v x v x d x v d x            4 v v  3 3 3 3 1 3 13 3 3 4 4 4 4 3 1 13 3 3 3 1 13 3 3 13 3 3 3 1 1 1 1 1 1 ( ) 1 1 1 1 1 1 ( ) ( ) 1 ln ln ln ( ) ln 3 3 ln ( ) ln ln ( ) 3 3 ln 3 x x c y y x c y v v d v d x d v d x v x v v x d v d x d v d x v v x v v x y x v x c x c v x y y x y x x c x c x y x y x y c o r y y e e y c e y e                                           2 2 2 2 2 2 2 E xam p le(9) ( ) ( ( ) 0 ) ( ) dy x y y x y y dx x dy dx x dy y y y f dx y x y d x x d x x x y             
  • 273.
    KAMIL ALNASSIRY 273 ‫ﻣﺘﺠﺎﻧﺴﺔ‬‫اﻟﺘﻔﺎﺿﻠﯿﺔ‬ ‫اﻟﻤﻌﺎدﻟﺔ‬. y dy dv let v y xv v x x dx dx       2 ( ) dy y y v dx x x    dv x v dx   2 2 2 1 1 1 ln ln ln( ) ln( ) v dv dx dv dx v x v x x x x c cx y v y cx                (1 2 )Ex 2 (ample(10) : 1 ) x x y y x e dx e dy o y     ‫ﺗﻔﺎﺿﻠﯿﺔ‬ ‫ﻣﻌﺎدﻟﺔ‬ ‫ھﻲ‬ ‫اﻟﻤﻌﺎدﻟﺔ‬‫ﻣﺘﺠﺎﻧﺴﺔ‬: (1 2 ) 2 (1 ) (1 2 )( ) 2 (1 ) 2 2 x x y y v v v v x let v x y v d x y d v v d y y x e d x e d y o y e y d v v d y e v d y y d v v d y y e d v v e d y                    2 2v v e d y v e d y  0 2 2 2 ) (1 2 ) 1 2 1 1 2 1 2 2 ( 2 ) ( ) ( ) ( 2 ) ( ) ( ) ( 2 ) ( ) ( 2 ) ( 2 ) v v v v v v v v v v v x v y v d y e d y y d v y e d v v e d y y e d v e e d v d y d v d y v e y v e y L n v e L n y L n c L n v e L n y L n c L n y v e L n c x y v e c y e c y                                         
  • 274.
    KAMIL ALNASSIRY 274 ‫ﺗﺪرﯾﺐ‬)1( ‫س‬1:‫اﻟﺪوال‬‫ﻣﻦ‬ ‫ﻛﻼ‬ ‫ان‬ ‫ﺑﯿﻦ‬:1 2) 3 ; ) 2 ; )x x a y x b y e c y C e C x    ‫اﻟﺘﻔﺎﺿﻠﯿﺔ‬ ‫ﻟﻠﻤﻌﺎدﻟﺔ‬ ‫ﺣﻞ‬ ‫ھﻲ‬:(1 ) 0y x y x y     ‫س‬2:‫أن‬ ‫ﺑﺮھﻦ‬sin cos cosy x x x ‫اﻟﺘﻔﺎﺿﻠﯿﺔ‬ ‫ﻟﻠﻤﻌﺎدﻟﺔ‬ ‫ﺣﻞ‬ ‫ھﻲ‬ 2 tan cos , (0) 1 int 2 2 y y x x y on the erval x         ‫س‬3:‫أن‬ ‫ﺑﺮھﻦ‬ 1 , 0y x x x   ‫اﻟﺘﻔﺎﺿﻠﯿﺔ‬ ‫ﻟﻠﻤﻌﺎدﻟﺔ‬ ‫ﺣﻞ‬ ‫ھﻮ‬2x y y x   ‫س‬4:‫اﻟﺘﺎﻟﯿﺔ‬ ‫اﻟﺘﻔﺎﺿﻠﯿﺔ‬ ‫اﻟﻤﻌﺎدﻻت‬ ‫ﺣﻞ‬ ‫ﺟﺪ‬: 1(2 2 2 ( )xy dy x y dx  2(sin ( ) cos ( ) 0 y y x ydx xdy y xdy ydx x x     3(2 2 0y dx x dy  4(3 3 2 ( ) 3 0x y dx x y dy   5(( sin cos ) cos 0 y y y x y dx dy x x x    6( y x dy y e dx x   ‫اﻷﺟﻮﺑﺔ‬: 1(3 2 ( 3 ) 1C x x y  2(sin y xy C x  3(y x Cxy   4(4 3 4x x y C  5(sin y x C x  6( y x C e Ln x  
  • 275.
    KAMIL ALNASSIRY 275 ‫ﺗﺪرﯾﺐ‬)2:(‫اﻟﺘﺎﻟﯿﺔ‬ ‫اﻟﺘﻔﺎﺿﻠﯿﺔ‬ ‫اﻟﻤﻌﺎدﻟﺔ‬ ‫ﺣﻞ‬ ‫ﺟﺪ‬) :‫ﻛﺘﺎب‬ ‫ﻣﻦ‬Stewart Calculus( ‫ﺑـ‬ ‫اﻟﻤﺆﺷﺮة‬ ‫اﻷﺳﺌﻠﺔ‬*‫اﻟﻌﻠﻤﻲ‬ ‫اﻟﺴﺎدس‬ ‫ﻣﻨﮭﺎج‬ ‫ﻓﻲ‬ ‫ﺣﻠﮭﺎ‬ ‫اﻟﻀﺮوري‬ ‫ﻣﻦ‬ ‫ﻟﯿﺲ‬. ‫ﺟﺪ‬‫ﻧﻘﻄﺔ‬ ‫أﯾﺔ‬ ‫ﻋﻨﺪ‬ ‫ﻣﯿﻠﮫ‬ ‫اﻟﺬي‬ ‫اﻟﻤﻨﺤﻨﻲ‬ ‫ﻣﻌﺎدﻟﺔ‬( x , y )‫ﯾﺴﺎوي‬ ‫ﻧﻘﻄﮫ‬ ‫ﻣﻦ‬19. 3 4 x y‫ﯾﺴﺎوي‬ ‫اﻟﺼﺎدي‬ ‫ﻣﻘﻄﻌﮫ‬ ‫واﻟﺬي‬7. ‫اﻟﻨﻘﻄﺔ‬ ‫ﻣﻦ‬ ‫اﻟﻤﺎر‬ ‫اﻟﻤﻨﺤﻨﻲ‬ ‫ﻣﻌﺎدﻟﺔ‬ ‫ﺟﺪ‬( 1 , 1 )‫ﻧﻘﻄﺔ‬ ‫أﯾﺔ‬ ‫ﻋﻨﺪ‬ ‫ﻣﯿﻠﮫ‬(x , y )20. ‫ﯾﺴﺎوي‬2 3 /y x
  • 276.
    KAMIL ALNASSIRY 276 ‫ﺗﺪرﯾﺐ‬)3(‫اﻟﻤﺘﻐﯿﺮات‬‫ﻓﺼﻞ‬ ‫ﻋﻠﻰ‬)‫ﻣﻨﻘﻮل‬(           2 2 2 1 2 1 2 3 4 3 e 5 cos x y y dy dy xy x y dx dx dy dy e x dx dx dy y y dx                     2 sin 2 6 7 sec 8 9 1 10 2 0 11 cos y x x y y x x y dy x e dx dy dy e x e dx dx e dy y x dy y dx dx dy y y dx                               2 2 2 2 2 2 3 1 12 1 13 sec sec 14 cos sin 0 15 2 16 y = xye 17 sec cos 0 y x y xdy dx y y y y x y x dy x dx y xe x x dy x y dx                     2 2 2 2 18 2 3 csc 0 19 20 21 1 y x x x y x dx y x dy dy e dy dx xy dx dx e y dy e e          
  • 277.
  • 278.
    KAMIL ALNASSIRY 278 7  6  8  9
  • 279.
    KAMIL ALNASSIRY 279 10  11  12  13  14
  • 280.
    KAMIL ALNASSIRY 280 15  16  17  18
  • 281.
    KAMIL ALNASSIRY 281 19  20  21
  • 282.
    Kamil Alnassiry -282- A X YS B M O 1 AB X   2X  1XAB  ‫ﺣﺮﻑ‬ ‫ﺃﻭ‬ ‫ﻣﺸﱰﻛﺔ‬ ‫ﺣﺎﻓﺔ‬ Dihedral angle 2 Y XAB     X AB Y   AB  3‫ﺔ‬‫اﻟﺰاوﯾ‬ ‫ﺮأ‬‫ﺗﻘ‬ ‫اﻟﺰوﺟﯿﺔ‬:M AB K   ]‫ﻣﺸﱰﻙ‬ ‫ﺣﺮﻑ‬ ‫ﳍﻤﺎ‬ ‫ﳐﺘﻠﻔﲔ‬ ‫ﻣﺴﺘﻮﻳﲔ‬ ‫ﻭﺟﻬﻲ‬ ‫ﺍﲢﺎﺩ‬ ‫ﻫﻲ‬[ ‫ﺍﻟﺰﻭﺟﻴﺔ‬ ‫ﻟﻠﺰﺍﻭﻳﺔ‬ ‫ﺍﻟﻌﺎﺋﺪﺓ‬ ‫ﺍﻟﺰﺍﻭﻳﺔ‬ ‫ﺗﻌﺮﻳﻒ‬ AB  O AB  OM AB    OM X  OS AB    OS Y  MOSAB  A B X Y 2 M 3 A B K
  • 283.
    Kamil Alnassiry -283- 1AB MOS  2 3 4(‫ﺍﳌﺴﺘﻮﻳﲔ‬ ‫ﻓﺎﻥ‬ ‫ﻗﺎﺋﻤﺔ‬ ‫ﺍﻟﺰﻭﺟﻴﺔ‬ ‫ﺍﻟﺰﺍﻭﻳﺔ‬ ‫ﻛﺎﻧﺖ‬ ‫ﻭﺇﺫﺍ‬ ‫ﻗﺎﺋﻤﺔ‬ ‫ﺍﻟﺰﻭﺟﻴﺔ‬ ‫ﺍﻟﺰﺍﻭﻳﺔ‬ ‫ﻓﺎﻥ‬ ‫ﻣﺴﺘﻮﻳﺎﻥ‬ ‫ﺗﻌﺎﻣﺪ‬ ‫ﺇﺫﺍ‬ ‫ﻣﺘﻌﺎﻣﺪﺍﻥ‬. ‫ﻧﺘﻴﺠﺘﻬﺎ‬ ‫ﻭ‬ ‫ﺍﻟﺜﻼﺛﺔ‬ ‫ﺍﻷﻋﻤﺪﺓ‬ ‫ﻣﱪﻫﻨﺔ‬:  L X  1  A X 1  K X ‫ﺟﻴﺪﺍ‬ ‫ﻭﺍﺣﻔﻈﻬﺎ‬ ‫ﺃﻓﻬﻤﻬﺎ‬ L  K AM X       K X M L K A M L A                A X MK L A L K M         
  • 284.
    ‫ﺍﻟﻨﺎﺻﺮﻱ‬‫ﻣﻮﺳﻰ‬‫ﻛﺎﻣﻞ‬ 284 E X Y A B C D THEOREM 7   Y X   X Y A B    D C Y  DC AB    DC X  ‫ﺍﳌﻌﻄﻴﺎﺕ‬Given   Y X   X Y AB    DC Y  DC AB   D ‫ﺇﺛﺒﺎﺗﻪ‬ ‫ﺍﳌﻄﻠﻮﺏ‬Prove DC X  ‫ﺍﻟﱪﻫﺎﻥ‬Proof: STATEMENTSREASONS 1DXDE  DE AB   2DC AB    DC Y  DE AB    DE X  3CDEAB  4   Y X AB  90 5CDE90
  • 285.
    ‫ﺍﻟﻨﺎﺻﺮﻱ‬‫ﻣﻮﺳﻰ‬‫ﻛﺎﻣﻞ‬ 285 6CD DE   7CDDE   ABCD     ,AB DE X   8 XCD   Q.E.D. Corollary7    Y X    ,C Y CD X    CD Y     Y X C Y ,CD X   CD Y 
  • 286.
    ‫ﺍﻟﻨﺎﺻﺮﻱ‬‫ﻣﻮﺳﻰ‬‫ﻛﺎﻣﻞ‬ 286 STATEMENTS REASONS 1  X Y AB   2   ;AB X AB Y    3C YCE AB   ‫ﻣﻌﻠﻮﻣﺔ‬ ‫ﻧﻘﻄﺔ‬ ‫ﻣﻦ‬ 4 CE X  5 CD X  6CD CE   ‫ﻧﻘﻄﺔ‬ ‫ﻣﻦ‬ ‫ﻣﻌﻠﻮﻣﺔ‬ 7 CE Y  8 CD Y  Q.E.D. 2‫ﻣﱪﻫﻨﺔ‬ ‫ﻧﺘﻴﺠﺔ‬ ‫ﺍﺳﺘﻌﻤﺎﻝ‬ ‫ﻃﺮﻳﻘﺔ‬)7( C AB   AB Y     Y X CD X   CD Y 
  • 287.
    ‫ﺍﻟﻨﺎﺻﺮﻱ‬‫ﻣﻮﺳﻰ‬‫ﻛﺎﻣﻞ‬ 287 D C X Y B A E 8  AB X  BAB Y     Y X  AB X  B AB Y     Y X STATEMENTS REASONS 1   X Y DC   2   ;DC X DC X    3   B ; BX B Y DC     4B XBE DC   5 AB Y   AB X  6AB DC   1 7BE DC    BE X  AB DC    AB Y  8ABE DC  9 AB X  10AB BE   11ABE= 90o SAB BE  
  • 288.
    ‫ﺍﻟﻨﺎﺻﺮﻱ‬‫ﻣﻮﺳﻰ‬‫ﻛﺎﻣﻞ‬ 288 X A B C D Y •• • • 12    90o Y DC X    13   Y X Q.E.D. 3 4;AB CD    ,AB CD X    ,AB CD Y      X Y ‫ﻭﺣﻴﺪ‬  AB X       ; ; ;......Y H ZAB         ; ; ;......Y H Z X
  • 289.
    ‫ﺍﻟﻨﺎﺻﺮﻱ‬‫ﻣﻮﺳﻰ‬‫ﻛﺎﻣﻞ‬ 289 9 AB   X AB   X AB   X AB  X STATEMENTSREASONS 1C AB  2 CE X  3,AB CE    Y 4CE   Y CE X  5   Y X8 6 Y ZAB     Z X 7 CE X  2 8 CE Z  9   ,CE Z AB Z    10   ,CE Y AB Y    3 11   Y Z4 Q.E.D.
  • 290.
    ‫ﺍﻟﻨﺎﺻﺮﻱ‬‫ﻣﻮﺳﻰ‬‫ﻛﺎﻣﻞ‬ 290 9 1  X Y AB    Z 2       ,X Z Y Z   AB Z  1 AB Z  2AB   Z    ,X YAB   Z 9 AB   Z AB   ZQ.E.D.
  • 291.
    -291- 1ABC30O s A 5BDcm D AC B   5BD cm STATEMENTS REASONS 1 2BE A CB    3 D CB A B  4A C  DE  5AEBE 6 1 30 5 2 10 o EB EB Sin EB AB      7DBEB 8 5 tan 1 5 DB DEB BE    945o s BED  10D AC B   45o Q.E.D. D C E A B H 30 10 5
  • 292.
    -292- 2ABC AF ABC BDCFBE CA 1 DE CAF 2ED CF  XCAF  YABC 1   ,AF X AF Y    X Y 2   X Y BE YBE CA  BE X 3 BE X BD CFED CF 3   X Y AB X  ,BD AB BC AB  ,BD BC Y ,D C  CD X H ,B D B C   1,A B B D A B B C       AB H  2 AB H   BA X     X H 3   X H   X Y   X H CD    CD X  X Y E A D B C F YD C AB H H X
  • 293.
    -293-  6 1 1 DCE   X AB Y    DCE AB  ,DC AB EC AB       D CE AB  2  AB Y   AB X      X Y  AB X  1 AB X  2 AB X    1 AB X     X Y 2 AB X     M XMMH AB     AB X    MH X   AB Y   MH Y   MH X   MH Y     X Y  E A B C D Y X  C B H D A B Y A M X 
  • 294.
    -294- 3   X y   Z X    Z Y    Z X  Z X    Z X AB   HAB   ,HM AB HM Z        Z X  HM X      X y  HM Y      ,HM Y HM Z       Z Y  4, , ,A B C DAB ACE ABAED A BC D   CD BD AEDA BC D   ,AE BC DE BC      ,AEC AEBE AC ABAE AEC AEB  BE EC ,DEC DEBE BE ECDE AEC AEB   DB DC   X Y Z H M AB CD A B C D E
  • 295.
    -295- 5  X  Y Z AB    CD Z   CE Y  ,CD CE    X  AB X   H,CD CE      ,CE X CD X         H X    ,CD H CD Z        H Z     H Y   Y Z AB    AB H     H X  AB X   6ABACD    CDA CDB 1 AC ABD AD BD DC BDAABD 2BD DC BD DA  BD CDA  BD BDC    BDC CDA A X Y Z H E B C D B D A C
  • 296.
    -296-  X ‫ﻣﺴﺘﻮ‬ ‫ﻋﻠﻰ‬ ‫ﺍﻟﻌﻤﻮﺩﻱ‬‫ﺍﻹﺳﻘﺎﻁ‬ 1 A AC XCCA X 2 1 AC XC  BD XD CD XAB 3Inclied Line 4Angle of Inclination 90 > > 0o  2AB   XB AC XC BC  AB   X 5 2CosBC AB   6 X
  • 297.
    -297- 4  XABC ABX XDHAB HEBC DH HE DHAB HEBC , ,BH AD CE X ,AD BH CE BH   Z,AD BH  Y,CE BH    Z X DH  AB X AB‫ﺍﻟﺘﻘﻄﻊ‬ ‫ﺧﻂ‬ ‫ﻳﻮﺍﺯﻱ‬DH  BH X BH DH DHAB  BH AB‫ﺍﻟﻮﺍﺣﺪ‬ ‫ﺍﳌﺴﺘﻮﻯ‬ ‫ﰲ‬ BC AB  AB Y‫ﻣﺴﺘﻘﻴﻤﲔ‬‫ﻣﺘﻘﺎﻃﻌﲔ‬ DHAB  DH Y  DHHE  X D H E C BA Y Z
  • 298.
    -298- 5 ABC13AB AC cm10BC cm BC X  X60o 1ABC X 2  A XAD AD XD CDAC X BDAB   X BC X DBCABC X1  A X AD X AE BC DE BC A E DBC BC60o 60o S A E D  A B CAE BC 5B E E C cm  AEBE2 2 13 5 12A E cm   ADED 60o ED Cos AE  1 ED = 6 cm 2 12 ED    1 Triangle BCD = ( ) ( ) 2 AreaOf BC ED 1 (10 )(6 ) 2 A 2 30 ( )A cm BCDABC60o Cos 60 A B C D E 13 5 5 X
  • 299.
    -299- ‫ﺗﺪﺭﻳﺐ‬ 6 2 1 AB X AB XAB ,A B X,C D CD AB X AC BD  AB X AB ‫ﺧ‬ ‫ﻳﻮﺍﺯﻱ‬‫ﺍﻟﺘﻘﺎﻃﻊ‬ ‫ﻂ‬CD ABDC A B C D 2    ,X Y L     ,X Y  XA YB L     ,X Y DL  D DE X  E    X Y  DE Y  F AE  L   X DAEL   X Y X D A B C X Y A E D F B L  Z
  • 300.
    -300- DBFL   Y  Z,DBDF  Z   ,X Y,AE BF DAEDBF 3 AB CD   ,AB CD    X ,B D AB   XCD   X A AE XE C CF XF FD CD X EB AB X BAB X DCD X  Y,AB AE  Z,CD CF AB CD    AE CF    Y Z ‫ﻣﺴﺘﻮﻳﻴﻬﻤ‬ ‫ﺗﻮﺍﺯﻯ‬‫ﺎ‬    Y X EB   Z X FD ,FD EB AB CD    DB‫ﺍﻟﺰ‬ ‫ﺗﺴﺎﻭﺕ‬‫ﺍ‬‫ﺑﺎﻟﻘﻴﺎﺱ‬ ‫ﻭﻳﺘﺎﻥ‬ X Y Z A B C D E F
  • 301.
    -301- 4 ,AB AC X AB A C1 AB X2AC X 12 1AB X  AD X ,AD BD AD DC  ,ADB ADCC A B A CAD 0 AB AC AD AD   0 AD AD AB AC  2= Sin AD AC 1= Sin AD AB  1 2<Sin Sin 0 , 2       ‫ﺩﺍﻟﺔ‬‫ﻣﺘﺰﺍﻳﺪﺓ‬ 21 5 ,AB AC X1AB X 2AC X12 A B A C 1AB X AD X ,AD BD AD BC  ,ADB ADCC 122 1>Sin Sin  AD AD AC AB  AC AB AD AD  AD AC AB X D C A B 1 2
  • 302.
    -302- 6 1AB X  BCX2 ,AB BC 12 AAE BCE  BC X E BC E X 1AB X  AD X  D X ADA X AEAE X AE AD  AB AE AD AB AB 2 1= Sin , = Sin AE AD AB AB   2 1Sin Sin   0 ,90o 2 1 2 1Sin Sin >     2 1>  X 2 A B C D E 1
  • 303.
    303 ‫ﳌﺴﺎﺣﺎﺕ‬ ‫ﻗﻮﺍﻧﲔ‬‫ﺍﻷﺷﻜﺎﻝ‬ ‫ﺑﻌﺾ‬‫ﻭﳊﺠﻮﻡ‬ Cube 3 V x 2 6A x 1 3 Pyramid V b h  x x x Rectangular prism x y z 2( ) 2 V x y z A x y z xy      h b 2 2 +2A r h r   l 2 2 1 : 3 1 ( 2 ) 2 Cone V r h A r l r       
  • 304.
    304 ‫ﺍﳌﻨﺘﻈﻢ‬ ‫ﺍﻷﺭﺑﻌﺔ‬ ‫ﺍﻟﻮﺟﻮﻩ‬‫ﺫﻭ‬ ‫ﺗﻌﺮﻳﻒ‬: 4 60o 2 21 1 1 3 60 3 42 2 2 2 o A a b Sin a a Sin a a        22 23 4 3 4 sA a a unit   ‫ﺗﻌﺮﻳﻒ‬:‫ﺍﻟﻘﺎﻋﺪﺓ‬ ‫ﻭﻳﻘﻄﻊ‬ ‫ﺍﻟﺮﺃﺱ‬ ‫ﻣﻦ‬ ‫ﳝﺮ‬ ‫ﲟﺴﺘﻮ‬ ‫ﻗﺎﺋﻢ‬ ‫ﺩﺍﺋﻲ‬ ‫ﳐﺮﻭﻁ‬ ‫ﻗﻄﻊ‬ ‫ﺇﺫﺍ‬ ‫ﻛﺎﻣﻠﺔ‬ ‫ﺩﻭﺭﺓ‬ 1 2 3 4 5 a a a a a
  • 305.
    305 r h ‫ﲤﺎﺭﻳﻦ‬ 6 1 12 724 cm 2 132 cm  2 110 cm =xyz 132x y = 132 ......(1)  110z y = 110 ......(2)  724 2  2 x z + 2 y z + 2 x y = 724 2 z + 2x y = 724......(3) x z + y z + x y = 362 x z +11 x y      0 +132 = 362 120........(3)x z  3 x y 132 12 12 = z .....(4) 110 10 10 x x z y z     21 2 1 2 0 1 2 0 1 0 0 1 0 1 0 x z z z z z        z y = 110 ......(2) 10 110 11y y    x y = 132 ......(1) x 11= 132 12x    10 , 11 ,12 cm 2  2 400 cm  3 2000 cm   2 . 400L A cm  3 2000V cm r , h 400     2 400 2 200 = ....... 1r h r h         2 2000V r h    2 r   2 ....2000 = 2...r hh   2 2000 2002000 = 20 1000 = 20r rr h hr r h         x y z
  • 306.
    306 3100cm8cm 1cm VVV 2 2 22 2 1 3 8 100 7 100 (64 49) 100 1500 ( ) V r h r h cm                 4l unit  3 32 12 l unit A- B C Dl    3 32 12 l V unit 60o 2 21 1 1 3 60 3 42 2 2 2 o A a b Sin a a Sin a a     M UD BC U D B  NC DBN C D BN , C UM MCDBA M AMh MUBU  1 / 23 30 = 2 o lUB C os M B x   1 3 x l  l 30 x A h BC D 1 2 l 1 2 l 1 2 l 1 2 l MN U 7 8 100
  • 307.
    307 M AMB      2 2 2 2 2 21 3 2 3 A B A M B M l h l h l      31 1 3 3 V b h  2 2 4 3 l            3 32 1 2 l l U n it 515 cm 8 cm 102 cm2 12 MCh = 15cm BD8cm MBD102cm2 EC BD  EBD MBD EM BD 1MCEC       2 2 2 ME MC EC       2 2 2 1 15 87 EE MM    2MBD        1 1 102= 1712 2 2 MBDBD A BD MEBD       EBDBE = ED= 6 cm 
  • 308.
    308 4 10 C D B 3CEDE            2 2 2 2 2 2 6 8r = 10 r DC ED EC      4MCDC             2 2 2 2 2 2 cm 15 10l = 325 l MD MC CD      r = 10h = 15l = 325     2 321 1 10 15 = 500 3 3 V r h cm        2 10 325A rl cm     22 r 10 325 100A rl cm       610 cm4 cm C10cmC4 cm CDBD       2 2 2 CB CD DB        2 2 2 10 4 DB 6DB cm  A   22 36A r cm  
  • 309.
    309 7 3 4 r h b 3 4 r h , ,,A B D E b h r 1 24V V 1 3 b 1 4 3 h b    4 4 h r h h r           4 3 3 r = h 4 r h   D r h h - r b C A B E