‫المملكة العربية السعودية‬
                                    ‫وزارة التعليم العالي‬
                                      ‫جامعة الطائف‬
                                    ‫إدارة النشر العلمي‬




     ‫املعادالت التفاضلية‬
                 ‫النظرية والتطبيق‬




       ‫الدكتور‬                        ‫الدكتور‬
‫عبد هللا عبد هللا موسى‬        ‫بخيت نفيع المطرفي‬




                    ‫الطبعة األولى‬
                  ‫1133هـ- 2312 م‬
‫المعادالت التفاضلية : النظرية والتطبيق‬
                                                     ‫د. بخيت نفيع مرزوق المطرفي‬
                                                    ‫د. عبد اهلل عبد اهلل محمد موسى‬
                                    ‫© حقوق النشر محفوظة لجامعة الطائف‬




                                                           ‫جامعة الطائف- الحوية‬
                                                              ‫رمز بريدي: 21974‬
                                                          ‫المملكة العربية السعودية‬

                                                      ‫(ح) جامعة الطائف 1127هـ‬
                                       ‫فهرسة مكتبة الملك فهد الوطنية أثناء النشر‬
                                                       ‫المطرفي، بخيت نفيع مرزوق‬
‫المع ــادالت التفاض ــلية: النظري ــة والتطبي ــق. / بخي ــت نفي ــع م ــرزوق المطرف ــي،‬
                                      ‫عبد اهلل عبد اهلل موسى- الطائف، 1127هـ‬
                                                              ‫091 ص، 17×24س‬
                                             ‫ردمك : 6-99-1603-106-319‬
                 ‫المعادالت التفاضلية أ. موسى، عبداهلل عبداهلل (مؤلف مشارك)‬
                                                                           ‫ب- العنوان‬
                        ‫9312/1127‬                                           ‫ديوي 565‬
                                                         ‫رقم اإليداع: 9312/1127‬
                                             ‫ردمك : 6-99-1603-106-319‬
                        ‫التصميم المعلوماتي والج افيكي د/مجدي حسين النحيف‬
                                               ‫ر‬


                         ‫الطبعة األولى: 1127ه/4704م‬
‫المقدمة‬


                                             ‫مقدمــــــــة‬
‫بســم اهلل الــرحمن الــرحيم، الحمــد هلل رب العــالمين، والص ـ و والس ـ م علــى خيــر خلــق‬
 ‫اهلل أجمعــين محمــد بــن عبــد اهلل، الرســوا الصــادق الوعــد األمــين صــلى اهلل عليـ وعلــى لـ‬
                                                                                  ‫وصحب أجمعين .. أما بعد‬

‫فهـ ا هــو أحــد المؤلفــات فــي سلســلة مؤلفــات عربيــة نســما اهلل أن يوف نــا إلكمالهــا وهــو‬
‫مؤل ــف بلاتن ــا العربي ــة ، تل ــك اللا ــة الثري ــة ف ــي مفرداته ــا الاني ــة ف ــي ألفاظه ــا .. لاــة ال ــرن‬
‫الكـريم، لاــة العــرب ولاــة العلــم. وأننــا ا ا ن ــدم هـ ا الجهــد المتواضــع الـ ي نضــيف الــى مــا‬
‫كتــب باللاــة العربيــة فــي علــم الرياضــيات البــد أن نـ كر أن هـ ا الكتــاب ال يـ احم أقرنـ فــى‬
       ‫ا‬     ‫ز‬
‫ه ا المضمار، وانما يضيف اليهم أفكار جديدو ومتطو و، فعلى ال مم مـن وجـود العديـد مـن‬
                        ‫ـر‬        ‫ر‬             ‫اً‬
‫ع ه ا المؤلف اال أننا نحسب ه ا الكتـاب قـد يسـد بعـق ال صـور‬‫الكتب العربية عن موضو‬
‫الموجود في بعق المواضيع وكـ لك معالجـة بعـق المواضـيع األخـر التـي لـم يـتم تناولهـا‬
                             ‫باإلضافة الى ث ائ باألمثلة المتنوعة التي ح العديد من األفكار.‬
                                                 ‫تطر‬                      ‫ر‬

‫وب لك ظهر الكتاب في صورت ه ه والتـي نظنهـا ناقصـة وتفت ـر الـى الكمـاا والكمـاا‬
‫هلل وحـده .. وحسـبنا أننـا حاولنـا واجتهــدنا فـي وضـع فـي صــو و الئ ـة. ومـا هـ ا الكتــاب اال‬
                               ‫ر‬
‫طيل ــة س ــنوات ع ــدو‬      ‫ثمـ ـ و جه ــد دؤوب وعم ــا متواص ــا م ــن التحص ــيا والت ــدريس والبحـ ـ‬
                                                                                                 ‫ر‬
‫للمــؤلفين، ويعــد ه ـ ا الكتــاب مرجع ـاً هام ـاً فــي المعــادالت التفاضــلية العاديــة، وه ـ ا الكتــاب‬
                                                                                              ‫د‬
‫موجـ ـ اساسـ ـاً لطـ ـ ب المرح ــا المتوس ــطة والمت ــمخ و م ــن كلي ــات الهندس ــة والمعاه ــد الفني ــة‬
                                                ‫ر‬                             ‫ا‬
‫العليا. كما أن يتج أيضاً لط ب العلوم التطبي ية األخر من رياضيات وفيزيـاء وكيميـاء.‬
‫ك ـ لك يتضــمن الكتــاب أج ـ اء كثي ـ و يمكــن أن تصــلم منهاج ـاً لط ـ ب الدرســات العليــا فــى‬
                   ‫ا‬                                      ‫زً ر‬
‫التخصصات الهندسية المختلفـة وكـ لك تخصصـات العلـوم التطبي يـة. ول ـد اعينـا أن تكـون‬
                ‫ر‬
‫معالج ــة المس ــائا العلمي ــة بطري ـ ـة رتيب ــة منهجي ــة تب ــدأ بالص ــيامة والنم ج ــة ث ــم تنت ــا ال ــي‬
‫اإلجـ ـ اءات والح ــا ث ــم أخيـ ـر تنته ــي بتفس ــير النت ــائل ومحاول ــة اعطائه ــا التفس ــير الهندس ــي‬
                                                                          ‫اً‬                        ‫ر‬
                                                                                                         ‫والفيزيائي‬

‫يبتدئ الكتاب بعرق لمفهوم المعادالت التفاضلية وتبسـيط كـا المفـاهيم الخاصـة بهـا‬
   ‫ومحاولة ج ب ال ئ لها، من خ ا تحليا بسيط وتتابع شيق. فـى األبـواب الثـاني والثالـ‬
                                                                    ‫ار‬

     ‫___________________________________________________________‬
                                 ‫- هـ-‬
‫المقدمة‬

‫والربــع تــم ت ــديم المعــادالت التفاضــلية مــن الرتبــة األولــى والدرجــة األولــى، وك ـ لك الرتــب‬
                                                                                                    ‫ا‬
‫العليــا وأيضــا المعــادالت التفاضــلية مــن الــدرجات العليــا وطــرق حلهــا مــع ت ــديم العديــد مــن‬
‫التطبي ــات الفيزيائيــة والهندســية لجعــا المحتــو أكثــر تشــوي ا وأقــرب لتحليــا ومحاكــاو نظــم‬
‫هندســية ومشــاكا واقعيــة عــن كونـ أداو لحــا مســائا رياضــية ، و يلنــا تلــك األبـواب بالعديــد‬
                                                                       ‫من التمارين العامة المتنوعة.‬

‫وقــد أع ــب لــك البــاب الخــامس وفي ـ تــم درســة حــا المعــادالت التفاضــلية بــالطرق‬
                                          ‫ا‬
‫الت ريبية ( استخدام المتسلس ت )، و لك عوضا عن حلها تحليليـاً، وتـم فـي البـاب السـادس‬
‫درســة حــا المعــادالت التفاضــلية عــددياً و لــك حــين يصــعب ايجــاد حــا تحليلــي لهــا، وتــم‬
                                                                                                 ‫ا‬
‫توظيف برنامل "المـات ب" ‪ MATLAB‬مـن خـ ا عمـا بـ امل لحـا المعـادالت التفاضـلية‬
                             ‫ر‬
‫عددياً وك لك استخدام لتوقيع تلك الحلوا بيانياً، وتـم سـرد العديـد مـن الطـرق، و يـا هـ ان‬
‫البابان بالعديد من التمـارين العامـة المتنوعـة. و فـي البـاب السـابع واألخيـر تـم ت ـديم تحويـا‬
‫يعــد تحويــا البـ س‬      ‫البـ س لمــا لـ مــن أهميــة بالاــة فــي حــا المعــادالت التفاضــلية، حيـ‬
‫من أقو األدوات المسـتخدمة لحـا المعـادالت التفاضـلية الخطيـة، وتـم تـ ييا البـاب بالعديـد‬
                                                                       ‫من التمارين العامة المتنوعة.‬

‫وختمنا الكتاب بملحق يحتوي على مرشد وجيـز فـي "المـات ب" ‪ ،MATLAB‬ولـيس‬
‫درجـات السـلم التـي البـد أن يرت يهـا‬       ‫يـر الباحـ‬     ‫ه ا سو مرشد لينير بداية الطريق بحيـ‬
‫يريد، ونرجو أن يكون ه ا الكتاب فاتحة لسلسلة مـن المؤلفـات التـي نسـما‬                   ‫ليصا الى حي‬
                               ‫ها خدمة للعلم واث اء للمعرفة .‬
                                          ‫ر‬                 ‫اهلل تعالى أن يساعدنا على انجاز‬

                                        ‫واهلل تعالى من و اء ال صد .....وهو ولي التوفيق.‬
                                                                     ‫ر‬

                    ‫المؤلفان‬
         ‫الطائف – محرم 1127هـ‬




     ‫___________________________________________________________‬
                                 ‫- وـ-‬
‫الفهـــــــــارس‬
‫فهرس المحتويات‬



                                                        ‫أوًا:ًفهرسًالمحتوياتً‬
                                                                          ‫ل‬
  ‫هـ-ًو‬    ‫المقدمــــــــةًًًًًًًًًًًًًًًًًًًًًًًًًًًًًًًًًًًًًًًًًًًًًًًًًًًًًًًًًًً‬
‫71-1ً‬        ‫البابًاألول:ً المبادىءًاألساسيةًوتصنيفًالمعادلتًالتفاضلية ً‬
‫79-91ً‬    ‫البابًالثانى:ً المعادلتًالتفاضليةًمنًالرتبةًاألولىًوالدرجةًاألولىًًًً‬
   ‫21‬                                                                        ‫‌ مقدم ـ ـ ــة‬
   ‫11‬                     ‫‌ لا : فصل المتغي ات )‪(Separation of variables‬‬
                                                     ‫ر‬                ‫أو‬
   ‫82‬            ‫‌ ثانيـ ـ ـ ـ ـ ـ ـ ا : معادلت يمكن تحويلها إلى معادلت يتم حلها بفصل‬
                                                                ‫المتغي ات‬
                                                                 ‫ر‬
   ‫23‬                 ‫‌ ثالث ـ ـ ـ ـ ـ ـ ـ ا : المعادلت التفاضلية ذات المعامالت المتجانسة‬
   ‫63‬          ‫‌ ابعـ ـ ـ ـ ـ ا : معادلت تفاضلية تؤول إلى معادلت تفاضلية متجانسة‬
                                                                             ‫ر‬
   ‫14‬                                ‫‌ خامس ا : المعادلة التفاضلية التامة (‪)Exact‬‬
   ‫54‬           ‫‌ سادسا : معادلت تفاضلية تُحول إلى تامة عن طريق عامل المكاملة‬
   ‫75‬                                   ‫‌ سابع ـ ا : المعادلت التفاضلية الخطية‬
   ‫06‬                       ‫‌ ثامنـ ـ ـ ا : معادلت تؤول إلى معادلت تفاضلية خطية‬
   ‫76‬                                                       ‫‌ تاسع ا : معادلة ريكاتي‬
   ‫07‬          ‫‌ عاشر : طريقة تغيير البا امت ات (‪)Variation of Parameters‬‬
                                          ‫ر ر‬                      ‫ا‬
   ‫27‬          ‫‌ الحادي عشر : تبديل المتغي ات المستقلة مكان المتغي ات التابعة‬
                        ‫ر‬                       ‫ر‬
   ‫67‬                         ‫‌ الثاني عشر : تطبيقات على المعادلت التفاضلية‬
‫971-99ً‬           ‫المعادلتًالتفاضليةًالخطيةًمنًالرتبًالعليا ً‬            ‫البابًالثالث:ً‬
  ‫101‬                                                                        ‫‌ مقدم ـ ـ ــة‬
  ‫901‬       ‫‌ لا : المعادلت التفاضلية الخطية المتجانسة ذات المعامالت الثابتة‬
                                                                          ‫أو‬
  ‫711‬              ‫‌ ثانيـ ـ ـ ـ ـ ـ ـ ا: طرق إيجاد الحل الخاص (‪) Particular Solution‬‬
  ‫711‬                              ‫(2-1) طريقة المؤثر التفاضلي العكسي‬               ‫‌‬    ‫‌‬

  ‫031‬                                       ‫(1-1) طريقة تغيير البارمت ات‬
                                             ‫ا ر‬                                    ‫‌‬    ‫‌‬

  ‫141‬                               ‫(3-1) طريقة المعامالت غير المحددة‬               ‫‌‬    ‫‌‬
‫___________________________________________________________‬
                            ‫-ط-‬
                              ‫‌‬
‫فهرس المحتويات‬



    ‫251‬          ‫‌ ثالث ـ ـ ـ ـ ـ ـ ـ ا: المعادلة التفاضلية الخطية المتجانسة ذات المعامالت المتغي ة‬
                 ‫ر‬
    ‫122‬                          ‫(2-3) معادلة كوشي أويلر )‪)Cauchy-Euler‬‬                   ‫‌‬       ‫‌‬

    ‫522‬                                                 ‫(1-3) معادلة ليجندر الخطية‬           ‫‌‬       ‫‌‬

    ‫602‬                   ‫(3-3) طريقة التحليل )‪(Method of Factorization‬‬                              ‫‌‬

    ‫302‬                           ‫(4-3) تخفيض الرتبة )‪(Reduction of order‬‬                            ‫‌‬

    ‫471‬                            ‫‌ ابعـ ـ ـ ـ ـ ا: مجموعة من المعادلت التفاضلية الخطية اآلنية‬
                                                                                            ‫ر‬
‫971-181ً‬        ‫البابًال ابع:ً المعادلتًالتفاضليةًمنًالرتبةًًاألولىًوالدرجاتًالعلياً‬
                                                                          ‫ر‬
    ‫382‬                                                                                  ‫‌ مقدم ـ ـ ــة‬
    ‫481‬        ‫‌ لا : معادلت تفاضلية تُستبدل بمعادلت تفاضلية من الدرجة األولى‬        ‫أو‬
    ‫681‬                              ‫‌ ثانيـ ـ ـ ـ ـ ـ ـ ا: معادلت يمكن حلها بالنسبة إلى ‪x‬‬
    ‫881‬                                    ‫‌ ثالث ـ ـ ـ ـ ـ ـ ـ ا: معادلت يمكن حلها بالنسبة الى ‪y‬‬
    ‫191‬                                 ‫‌ ابعـ ـ ـ ـ ـ ا : معادلة كليرو )‪(Clairaut Equation‬‬  ‫ر‬
    ‫491‬                            ‫‌ خامس ا: معادلة لج انج )‪(Lagrange's Equation‬‬
                                                           ‫ر‬
‫البابًالخامس:ً حلًالمعادلتًالتفاضليةًباستخدامًالمتسلسالتًالالنهائيةًًًً 240-771ً‬
    ‫102‬                                                                                  ‫‌ مقدم ـ ـ ــة‬
    ‫502‬                                                      ‫‌ لا : مفكوك تيلور (‪)Taylor‬‬
                                                                                      ‫أو‬
    ‫012‬                                                ‫‌ ثانيـ ـ ـ ـ ـ ـ ـ ا : الحل قرب النقطة العادية‬
    ‫222‬        ‫‌ ثالث ـ ـ ـ ـ ـ ـ ـا: الحل قرب النقطة الشاذة المنتظمة (فروبينيس) (‪)Frobenius‬‬
‫البابًالسادس: ً الحلولًالعدديةًللمعادلتًالتفاضليةًالعاديةًًًًًًًًًًًً 880-140ً‬
    ‫341‬                                                                                  ‫‌ مقدم ـ ـ ــة‬
    ‫442‬                 ‫‌ لا : طريقة أويلر( ‪ )Euler‬لحل المعادلت التفاضلية العادية‬
                                                                               ‫أو‬
    ‫352‬         ‫‌ ثانيـ ـ ـ ـ ـ ـ ـا: طريقة رونج كوتا من الرتبة الثانية لحل المعادلت التفاضلية‬
    ‫362‬                                      ‫‌ ثالث ـ ـ ـ ـ ـ ـ ـ ا: طريقة رونج كوتا من الرتبة ال ابعة‬
                                                ‫ر‬
    ‫172‬                 ‫‌ ابعـ ـ ـ ـ ـا: طريقة رونج كوتا من الرتبة ال ابعة لحل مجموعة من‬
                                         ‫ر‬                                           ‫ر‬
                                        ‫المعادلت التفاضلية ذات الرتبة األولى‬
 ‫___________________________________________________________‬
                             ‫-ي-‬
                               ‫‌‬
‫فهرس المحتويات‬



       ‫372‬            ‫‌ خامس ا : طريقة رونج كوتا من الرتبة ال ابعة لحل المعادلت التفاضلية‬
                                                ‫ر‬
                                                                   ‫من الرتبة الثانية‬
       ‫082‬               ‫‌ سادس ا : طريقة الفروق المحدودة لحل المعادلت التفاضلية العادية‬
    ‫933-780ً‬
‫ًًًًًًًًًًًًًًًًًًً‬         ‫البابًالسابع :ً تحويالتًًلبالسًًًًًًًًًًًًًًًًًًًًًًًًًًًً‬
       ‫192‬                                                                             ‫‌ مقدم ـ ـ ــة‬
       ‫492‬                                           ‫‌ لا : تحويالت لبالس لبعض الدوال‬
                                                                                   ‫أو‬
       ‫892‬                                             ‫‌ ثانيـ ـ ـ ـ ـ ـ ـ ا : خواص تحويالت لبالس‬
       ‫013‬                                             ‫‌ ثالث ـ ـ ـ ـ ـ ـ ـ ا: تحويالت لبالس العكسي‬
       ‫523‬              ‫‌ ابعـ ـ ـ ـ ـ ا: تحويالت لبالس لحل المعادلت التفاضلية الخطية العادية‬
                                                                                          ‫ر‬
                                                            ‫ذات المعامالت الثابتة‬
       ‫133‬                          ‫‌ خامس ا: حل مجموعة من المعادلت التفاضلية الخطية‬
       ‫333‬                ‫‌ سادسا : معادلة فولتر التكاملية (‪)Volterra integral equation‬‬
                                                                 ‫ا‬
  ‫443-733ً‬               ‫الـملحق : المرشدًالوجيزًفيً‪ًًًًًًًًًًًًًًًًً ًًًًًًًMATLAB‬‬
       ‫203‬                                                                              ‫الم اجع ً‬
                                                                                            ‫ر‬
       ‫963‬                                                                  ‫دليلًالمصطلحاتًً‬




   ‫___________________________________________________________‬
                               ‫-ك-‬
                                 ‫‌‬
‫فهرس األشكال‬



                                               ‫ثانيـــــــــــــً:ًفهرسًاألشكالً‬
                                                              ‫ا‬
 ‫3‬             ‫شكلً(1-1): عائلة الدوال ‪ y  x 2  c‬لقيم مختلفة من الثابت ‪c‬‬
 ‫12‬                                               ‫2‪x‬‬
                   ‫‪ y  ce‬لقيم 3‪ً c  1, 2, ‬‬   ‫2‬
                                                        ‫شكل(0-1):ًعائلة الدوال‬
 ‫41‬                                   ‫شكلً(1-0): قانون نيوتن الثاني للحركةً‬
 ‫01‬                                   ‫عة مع الزمنً‬‫شكلً(0-0): منحنى السر‬
 ‫05‬                                                    ‫شكلً(3-0): سقوط جسمً‬
 ‫95‬                ‫شكلً(4-2): هبوط الجهد لكل من المكثف والملف والمقاومةً‬
 ‫68‬                        ‫شكلً(5-0): دائ ة كهربية تحتوي على مقاومة وملف‬
                                                        ‫ر‬
 ‫28‬                       ‫شكلً(4-0): دائ ة كهربية تحتوي على مقاومة مكثف.‬
                                                        ‫ر‬
 ‫18‬                       ‫شكلً(9-0): دائ ة كهربية تحتوي على مقاومة وملف.‬
                                                        ‫ر‬
 ‫08‬                                        ‫شكلً(8-0): مشكلة تخفيف التركيز‬
 ‫58‬                                 ‫شكلً(7-0): تحت المماس وتحت العمودى‬
 ‫88‬          ‫شكلً(21-0): عائلة المنحنيات التي تمثل المعادلة ) ‪x  4(y  c‬‬
               ‫2‬



 ‫98‬                                         ‫شكلً(11-0): المسا ات المتعامدة‬
                                                       ‫ر‬
 ‫29‬                                  ‫شكلً(01-0): تمثيل المسا ات المتعامدة‬
                                                ‫ر‬
 ‫09‬                       ‫شكلً(31-0):ًدائ ة كهربية تحتوي على مقاومة وملف‬
                                                       ‫ر‬
‫061‬                 ‫شكلً(1-5): العالقة ما بين الحل التحليلي والحل بمفكوك تيلور‬
‫861‬        ‫شكلً(2-5): العالقة مابين الحل بالطرق العددية والحل بمفكوك تيلورً‬
‫611‬                                   ‫ليجندر ) ‪Pn (x‬‬   ‫شكلً(3-5): كثي ات حدود‬
                                                             ‫ر‬
‫241‬                          ‫شكلً(1-6): الخطوة األولى باستخدام طريقة أويلر‬
‫041‬                         ‫شكلً(2-6): العالقة التكررية باستخدام طريقة أويلر‬
                                                    ‫ا‬
‫941‬                ‫شكلً(3-6): مقارنة الحل التقريبيي عند 2.0 ‪ h ‬بالحل التام‬
‫941‬   ‫شكلً(4-4): تأثير تغير طول الخطوة على دقة الحل باستخدام طريقةًأويل.ً‬
‫221‬            ‫شكلً(5-4): الحل التقريبي باستخدام طريقة أويلر والحل التحليلي.‬
‫821‬     ‫شكلً(4-4): مقارنة الحل التقريبي بطريقة هينز، عند 1.0 ‪ h ‬بالحل التام‬

‫___________________________________________________________‬
                            ‫-س-‬
                              ‫‌‬
‫فهرس األشكال‬



‫101‬     ‫شكلً(9-4): مقارنة الحل التقريبي للثالثة طرق بطول خطوة مقدا ه 2.0 ‪h ‬‬
                ‫ر‬
‫201‬    ‫شكلً(8-4): نتائج الحل باستخدام طريقة رونج من الرتبة ال ابعة والحل التام‬
                      ‫ر‬
‫651‬                            ‫شكلً(7-4): تغير درجة الحر ة بالكلفن مع الزمن‬
                                                ‫ار‬
‫551‬                            ‫شكلً(21-4): العالقة مابين كل من ‪ y,v‬مع ‪x‬‬
‫551‬                                        ‫شكلً(11-4): وصف حركة البندول‬
‫951‬                               ‫شكلً(01-6): الحركة المخمدة لحركة البندول‬
‫281‬                                   ‫شكلً(31-4): عتب مثبت على دعامات‬
‫281‬   ‫شكلً(41-4):الفروق المحدوده باستخدام طريقة التقريب الفرقي المقسم األوسط‬
‫181‬     ‫شكلً(51-6): الفروق المحدوده من 0 ‪ x ‬إلى 57 ‪ x ‬باستخدام 52 ‪h ‬‬
‫481‬    ‫شكلً(61-6): الفروق المحدوده من 0 ‪ x ‬إلى 1 ‪ x ‬باستخدام 52.0 ‪h ‬‬
‫191‬                                              ‫شكلً(1-7): التصال المجز‬
                                                 ‫أ‬
‫491‬                                              ‫شكلً(2-7): دالة خطوة الوحدة‬
‫491‬                               ‫شكلً(3-7): حالة خاصة من دالة خطوة الوحدة‬
‫663‬                       ‫شكلً(4-7): الدالة )‪ G (t‬كدالة في دالة خطوة الوحدة‬
‫563‬                   ‫شكلً(5-7): دالة دورية دورتها 0>‪ p‬معرفة لقيم 0> ‪t‬‬
‫863‬                    ‫شكلً(6-7): دالة دورية دورتها 1= ‪ p‬معرفة لقيم 0> ‪t‬‬
‫963‬                 ‫شكلً(9-9): دالة دورية دورتها ‪ p = 2‬معرفة لقيم 0> ‪t‬‬
‫143‬                                 ‫شكل(م-1): ظهر أيقونة البرنامج فور إعداده‬
‫343‬                           ‫شكل(م-0): الواجهة األساسية للبرنامج فور تشغيلة‬
‫443‬                                                  ‫شكل(م-3): نافذة األوامرً‬
‫443‬                                             ‫شكل(م-4): نافذة فضاء العملً‬
‫443‬                                             ‫شكل(م-5): نافذة فضاء العملً‬
‫443‬                                          ‫شكل(م-4): نافذة المسار الحاليً‬
‫243‬               ‫شكل(م-9): نافذة الوامروفضاء العمل لدخال بعض المتغي اتً‬
                    ‫ر‬
‫243‬                                                   ‫شكل(م-8): التخصيصً‬


‫___________________________________________________________‬
                            ‫-ع-‬
                              ‫‌‬
‫فهرس األشكال‬



‫043‬                                         ‫شكل(م-7):ًبناء دوال لالدخالً‬
‫043‬                                               ‫شكل(م-21):ًبناء متجهً‬
‫543‬                                   ‫شكل(م-11):ًإدخال متغيرين هما ‪a,b‬‬
‫543‬                       ‫شكل(م-01):ًنافذة الوامروفضاء العمل للمتغي اتً‬
                            ‫ر‬
‫543‬                  ‫شكل(م-31):ًبناء ملف بيانات وتحميلة فى فضاء العمل‬
‫843‬                                              ‫شكل(م-41):ًفضاء العمل‬
‫943‬                       ‫شكل(م-51):ًعمليات غير تقليدية على المصفوفات‬
‫623‬                          ‫شكل(م-41):ًالستعانة ‪ help‬الخاص ‪matlab‬‬
‫223‬                               ‫شكل(م-91): الدالة ‪ max‬إليجاد أكبر قيمة‬
‫323‬                                                ‫شكل(م-81):ًجملة ‪For‬‬
‫323‬                                   ‫شكل(م-71):ًصو ة ى لجملة ‪For‬‬
                                                 ‫ر أخر‬
‫423‬                                      ‫شكل(م-20): بناء مسا ات متداخلة‬
                                                  ‫ر‬
‫423‬                                             ‫شكل(م-10): جملة ‪while‬‬
‫223‬                                                  ‫شكل(م-00): جملة ‪If‬‬
‫523‬                                          ‫شكل(م-30): بناء ‪Script file‬‬
‫823‬                                         ‫شكل(م-40): تنفيذ ‪Script file‬‬
‫823‬                                  ‫شكل(م-50): تنفيذ ‪ Script file‬مباش ة‬
                                     ‫ر‬
‫923‬            ‫شكل(م-40): بناء دالة بسيطة لتقوم بإيجاد جذور معادلة تربيعية‬
‫923‬            ‫شكل(م-90): إيجاد جذور المعادلة التربيعية 0 ‪x 2  2x  3 ‬‬
‫603‬                    ‫شكل(م-80): بناء الملف وادخال المتغي ات 3 ‪v1,v 2 ,v‬‬
                                    ‫ر‬
‫203‬                                  ‫شكل(م-70): منحنى المتغي ات 2 ‪v1,v‬‬
                                             ‫ر‬
‫203‬                                 ‫شكل(م-23):ًأستخدام المر ‪ًhold on‬‬
‫103‬                                 ‫شكل(م-13):ًرسمً 2 ‪ v1,v‬وكذلك 3 ‪v1,v‬‬
‫103‬                                  ‫شكل(م-03):ًأستخدام المرً‪Subplot‬‬
‫103‬                        ‫شكل(م-33):ًتقسم نافذة الرسم الى نافذتينً )2 ‪(1 ‬‬



‫___________________________________________________________‬
                            ‫-ف-‬
                              ‫‌‬
‫فهرس األشكال‬



‫303‬                            ‫شكل(م-43):ًتخصيص المتغي ات الرمزية‬
                                        ‫ر‬
‫403‬                     ‫شكل(م-53):ًبناء دالة بإستخدام المتغي ات الرمزية‬
                                 ‫ر‬
‫403‬                      ‫شكل(م-43):ًأيجاد التفاضل والتكامل لدالة رمزية‬




‫___________________________________________________________‬
                            ‫-ص-‬‫‌‬
‫فهرس الجداول‬



                                         ‫ثالثــــــــــــــ اً:ًفهرسًالجداولً‬

‫342‬               ‫جدولً(1-3): مجموعة الدوال األساسية لمجموعة من الدوال‬
‫821‬               ‫جدولً(1-4): مثال على طريقة رونج كوتا من الرتبة ال ابعة‬
                     ‫ر‬
‫591‬                  ‫جدولً(1-9)ً:ًتحويالت لبالس لمجموعة من الدوالًً‬
‫943‬               ‫جدول(م-1):ًالعمليات التى يمكن إج اؤها على المصفوفاتً‬
                                    ‫ر‬
‫623‬                             ‫جدول(م-0):ًدوال تتعامل مع كميات قياسية‬
‫223‬                             ‫جدول(م-3):ًدوال تتعامل مع كميات متجهة‬
‫123‬                                   ‫جدول(م-4):ًبعضًدوال المصفوفات‬
‫023‬                                   ‫جدول(م-5): العالقات فى ‪Matlab‬‬
‫023‬                           ‫جدول(م-4): العالقات المنطقية فى ‪ًMatlab‬‬
‫203‬              ‫جدول(م-9): عالمات للتحكم في ع ولون ونقشة خط الرسمً‬
                                       ‫نو‬
                                                                            ‫‌‬
                                                                            ‫‌‬
                                                                            ‫‌‬
                                                                            ‫‌‬
                                                                            ‫‌‬
                                                                            ‫‌‬
                                                                            ‫‌‬
                                                                            ‫‌‬
                                                                            ‫‌‬
                                                                            ‫‌‬
                                                                            ‫‌‬
                                                                           ‫‌‌‬
                                                                            ‫‌‬




‫___________________________________________________________‬
                            ‫-ش-‬
                              ‫‌‬
‫الباب السادس‬

       ‫احللول العددية‬
‫للمعادالت التفاضلية العادية‬
‫الباب السادس‬


                                                                                                               ‫مقدمة‬
‫عح ي تييطلطرق‬                ‫حلحلطلييأم تييطلطرق حلحعأمأم ي‬             ‫لييمن اييل حل ييال عييل اييل حلا ييطرق‬
      ‫م ي اح أ يأ قناط م ي . لي ح اييطل قتيير اييل حلتعي‬                      ‫ييل طرمييق حييرل حلعييل أ ي‬       ‫حلحقرمتمي‬
  ‫لييع نيير ح ييأنط ح ي‬             ‫حلحلطلييأم ،‬      ‫ييل طييرق خ ي إل جمدييطر عأ ي ل حقرمتم ي لا ي م حلا ييطرق‬
                                                                                                ‫ر‬
 ‫حلحقرمتي . عيير ييك حأييع حلطييرق ي طييرق حلعأي ل حل ررمي‬                              ‫حلعصي ل أي عأاييط حلييرلمق‬
      ‫مأي يير لعي ييل حلا ي ييطرق‬      ‫متي يير ي ي ح حلتي ييطو تحقي ييرمك طرمق ي ي‬   ‫‪ Numerical‬عم ي ي‬        ‫‪Solution‬‬
‫حيك‬       ‫حلحلطلأم ال حلرحت حق ل ، م قو لع طرمق ر نج ا حط ال حلررد حلثطنم حل حت ي ،‬
               ‫ر‬
 ‫حلحلطليأم‬          ‫حلحلطلأم ال حلرحت حأل ل ، مليط عيل حلا يطرق‬                           ‫ال حلا طرق‬          ‫عل ادا‬
‫إ ييحخرحك طرمقي ي حلل يير ق حلاع يير رم لع ييل‬                   ‫ا ييل حلرحتي ي حلثطنمي ي . حط ييرق حلت ييطو مل ييط إلي ي‬
 ‫حخأييل ي ح حلتييطو حقييرمك حل رميير اييل حلت ي حاج حلاصيياا تتم ي‬
                  ‫ر‬                                                                    ‫حلحلطلييأم حل طرم ي‬     ‫حلا ييطرق‬
                 ‫حلدار حلاطأ و لع طتاط.‬                   ‫"حلاطحالو" لاعطاطة ا ظك طرق حلعل تاط م حر حل ل‬




‫___________________________________________________‬
                       ‫-342-‬
‫حل المعادالت التفاضلية باستخدام المتسلسالت الالنهائية‬


              ‫أوالا : طريقة أويلر(‪ )Euler‬لحل المعادالت التفاضلية العادية‬
  ‫حلحلطليأم حل طرمي حلحي حاي ل أي‬              ‫لعيل حلا يطرق‬         ‫ررمي‬   ‫طرمق‬        ‫مأر‬     ‫طرمق‬
                                                                                                    ‫حلص ة‬
                                                                                                    ‫ر‬
                ‫‪dy‬‬
                   ‫)1.6( --------------- 0‪ f  x , y  , y  x 0   y‬‬
                ‫‪dx‬‬
‫حلررد ي حأل ل ي ،‬         ‫حلحلطلييأم حل طرم ي اييل حلرحت ي حأل ل ي‬      ‫ي ت ي لع حح طاييل اييال حلا ييطرق‬
‫حلا طرلي ي حلحلطلييأم لححنط ييو اييال حلصيي ة‬
‫ر‬                                                     ‫ن ي ر نييط حلحناميير نييد قت يير اييل إ ييطرة صييمطت‬
                                                   ‫مأر.‬      ‫(6.6) عح مح ن عأاط تط حخرحك طرمق‬

                     ‫مأر‬        ‫أ ص ة طرمق‬
                                     ‫ر‬                ‫مثال (1-6) : احو حلا طرل حلحلطلأم حآلحم‬
                                    ‫‪dy‬‬
                                       ‫5 ‪ 2y  e  x , y  0  ‬‬
                                    ‫‪dx‬‬
                                                   ‫حلع ييل‬
‫أ ي حلص ي ة (6.6) ل ي ح نعييط ل إ ييطرة صييمطتحاط‬
                                      ‫ر‬                          ‫نالعييظ ل حلا طرل ي حلحلطلييأم لم ي‬
                                                                      ‫لحا ل أ حلص ة (6.6) ااط مأ‬
                                                                                   ‫ر‬
                                    ‫‪dy‬‬
                                        ‫5 ‪ e  x  2y, y  0  ‬‬
                                    ‫‪dx‬‬
                                     ‫تاقطرنحاط تطلص ة (6.6) ندر ل ‪f  x, y   e x  2 y‬‬
                                                                         ‫ر‬

                    ‫مأر‬       ‫أ ص ة ا طرل‬
                                    ‫ر‬                ‫مثال (2-6) : حاحو حلا طرل حلحلطلأم حآلحم‬
                            ‫‪dy‬‬
                    ‫‪ey‬‬         ‫5 ‪ x 2y 2  2Sin (3x ), y  0  ‬‬
                            ‫‪dx‬‬
                                                   ‫حلع ييل‬
‫أي ي حلصي ي ة (6.6) لي ي ح نع ييط ل إ ييطرة ص ييمطتحاط‬
                                         ‫ر‬                        ‫نالع ييظ ل حلا طرلي ي حلحلطل ييأم لم ي ي‬
                                                                      ‫لحا ل أ حلص ة (6.6) ااط مأ‬
                                                                                   ‫ر‬
                                    ‫2 ‪dy 2Sin (3x )  x 2y‬‬
                                        ‫‪‬‬                   ‫5 ‪, y  0 ‬‬
                                    ‫‪dx‬‬            ‫‪ey‬‬
                                       ‫2 ‪2Sin (3x )  x 2y‬‬
‫‪ f  x , y  ‬حآلل ي ي ي ي ي ي يينعط ل‬                     ‫تاقطرنحاط تطلص ة (6.6) ندر ل‬
                                                                         ‫ر‬
                                              ‫‪ey‬‬
 ‫حلحلطلييأم حل طرم ي ، تلييرل ل عييل حلا طرل ي‬            ‫مأيير لعييل حلا ييطرق‬     ‫حعأمييل رر ي طرمق ي‬
                                                                                             ‫ح‬

‫___________________________________________________‬
                       ‫-442-‬
‫الباب السادس‬

‫ل 0‪ y  y‬ن ي يير‬      ‫محلي ي ي‬     ‫ي ي ي حلرحلي ي ي ) ‪ y(x‬اا ي ييط حي ي ي حل ي ييال (6-6) عمي ي ي‬   ‫حلحلطل ي ييأم‬
‫أي ي إححي ي حل ل 0 ‪ . x 0 ‬تاي ي ح حي ي ل حلام ييل لي ييأرحل ) ‪ y(x‬ي ي ‪، f  x , y ‬‬
                                                                       ‫ر‬                            ‫0‪. x  x‬‬
‫إل اييال اييل‬     ‫ع ييو حل الل ي (6.6) تا ي ح ح ي ل حلامييل نيير 0 ‪ x  x‬ي ‪ f  x 0 , y0 ‬عم ي‬
                                            ‫0‪. y  x 0   y‬‬         ‫0‪ y0 ، x‬ا أ ا ال حل رط حقتحرح‬




                     ‫مأر‬         ‫شكل (1-6) : حلخط ة حأل ل تط حخرحك طرمق‬
                   ‫0‪y1  y‬‬
‫حلح ي ن ييحطمال‬             ‫أ ي حلص ي ة‬
                            ‫ر‬                        ‫ي‬      ‫اييل حل ييال نديير ل حلامييل نيير 0 ‪x  x‬‬
                   ‫0 ‪x1  x‬‬
                                                                               ‫اناط حلعص ل أ حل الل‬
                                 ‫0‪y1  y‬‬
           ‫‪f  x 0 , y0  ‬‬                       ‫‪ y1  y0  f  x 0 , y0  x1  x 0 ‬‬
                                 ‫0 ‪x1  x‬‬
  ‫أ إ حتطر ننط لانط تح ام 0‪ x1  x‬تط ل حلخطي ة مرايل ليد تيطلرال ‪ ، h‬لنعصيل أي‬
                                                                                                          ‫حل الل‬
                  ‫)2.6( --------------------- ‪y1  y0  f  x 0 , y0  h‬‬
‫1‪ y‬ح تر يل حلقماي حلحقرمتمي (‪ )approximate value‬ل ي ) ‪ y(x‬نير 1‪x  x‬‬                                ‫إل‬      ‫عم‬
‫(‪ ،)Predicted value‬لع ييطو 2 ‪y‬‬                      ‫حلاح ل ي ي‬      ‫عمطنييط مطأ ييق أماييط حلقماي ي حلحنتؤم ي‬
                                                           ‫لي ) ‪ y(x‬نر 2 ‪x  x‬‬            ‫حلقما حلحقرمت‬
                  ‫)3.6( --------------------- ‪y2  y1  f  x1, y1  h‬‬
                                                                               ‫‪x 2  x1  h‬‬         ‫إل‬      ‫عم‬
   ‫حل الل حل طا‬       ‫ح حاطرح أ اط تق ال حل اللحمل (6.6) (3.6) ماال حلح صل إل‬
                                                                                                          ‫حلحطلم‬


‫___________________________________________________‬
                       ‫-542-‬
‫حل المعادالت التفاضلية باستخدام المتسلسالت الالنهائية‬

                                    ‫‪y(xi 1 )  y(xi )  f  xi , yi  h ‬‬
                                                                         ‫‪‬‬
                                                                         ‫‪‬‬
                                    ‫‪xi 1  xi  h‬‬                       ‫‪‬‬
                                                                         ‫‪‬‬
                                                   ‫حلح ماال إخحصطر احطتحاط أ حل ال حلحطل‬
                                                                         ‫ح‬
                  ‫‪yi 1  y  xi   f  xi , yi  h ‬‬
                                                     ‫‪‬‬
                                                     ‫)4.6( ---------------- ‪‬‬
                  ‫‪xi 1  xi  h‬‬                     ‫‪‬‬
                                                     ‫‪‬‬
        ‫مأر ا‬      ‫أماط‬     ‫عمطنط مطأق‬     ‫مأر،‬       ‫حل الل حلحاررم (4.6) تطرمق‬
                                                                    ‫ح‬                            ‫ح ا‬
                      ‫(‪ )Euler-Cauchy method‬حل ال حلحطل م ل حأع حل الل حلحاررم‬
                        ‫ح‬




                     ‫مأر‬     ‫شكل (2-6) : حل الل حلحاررم تط حخرحك طرمق‬
                                             ‫ح‬
 ‫ني يير 1 ‪ x ‬تا أ ام ي ي‬        ‫‪y  y  x‬‬     ‫مثااااال (3-6) : دي يير عي ييل حلا طرل ي ي حلحلطلي ييأم‬
                                                                                           ‫1 ‪y(0) ‬‬
                                                ‫حلع ييل‬
 ‫حلرردي‬       ‫ي ا طرلي حلطليأم خطمي اييل حلرحتي حأل لي‬          ‫ل حأييع حلا طرلي‬    ‫ايل حل حلي‬
     ‫ليع اايط حي حلتيطو حلثيطن‬     ‫ن حطمال عأاط أ إ حتطر ناط ا طرل حلطلأم خطم‬                     ‫حأل ل‬
                                                                      ‫ما ل عأاط أ حل ال حلحطل‬
                 ‫)5.6( ------------------------ ‪y( x)  x  1  2e x‬‬
‫يل‬      ‫ا رحي ايرإل رلي حأيع حلطرمقي ،‬        ‫حآلل نق ك تعأاط ررمط لحنامر ح طلمي حلطرمقي‬
                                                          ‫ماال لمطرة حلرل لاط امف ماال لع ؟‬




‫___________________________________________________‬
                       ‫-642-‬
‫الباب السادس‬

‫يال ا طرلي‬    ‫أي‬     ‫نق ك تلرل حل 2.0 ‪ h ‬نق ك ت لال حلا طرل حلحلطلأم‬               ‫ح حلترحم‬
                                                                 ‫أ حلص ة‬
                                                                 ‫ر‬                 ‫مأر لحصت‬
                               ‫‪y  y  x  y  x  y‬‬
                   ‫تا ح ح ل ‪ f (x, y )  x  y‬حلح مل ح حل الل (4.6) نعصل أ‬
             ‫)2.0( ‪yi 1  yi  f  xi , yi  h  yi 1  yi   xi  yi ‬‬
                                                           ‫اناط نعصل أ حل الل حلحطلم‬
                   ‫‪yi 1  0.8yi  (0.2)  xi ‬‬       ‫‪, i  0,1, 2, 3, 4 ‬‬
                                                                         ‫‪‬‬
                                                                         ‫‪‬‬
                   ‫1 ‪y(0) ‬‬                                              ‫‪‬‬
                                                                         ‫‪‬‬
                      ‫حآلل ن ل ل 4 ,3 ,2 ,1,0 ‪ i ‬ح حل الل حل طتق لنعصل أ‬
‫8.0 ‪y1  (0.8)y 0  (0.2)x 0  (0.8)(1)  (0.2)(0) ‬‬
‫86.0 ‪y 2  (0.8)y1  (0.2)x1  (0.8)(0.8)  (0.2)(0..2) ‬‬
‫426.0 ‪y3  (0.8)y 2  (0.2)x 2  (0.8)(0.68)  (0.2)(0.4) ‬‬
‫916.0 ‪y 4  (0.8)y3  (0.2)x 3  (0.8)(0.624)  (0.2)(0.6) ‬‬
‫556.0 ‪y5  (0.8)y 4  (0.2)x 4  (0.8)(0.691)  (0.2)(0.8) ‬‬
                              ‫تا ح ح ل حلعل حل رري لأا طرل حلحلطلأم تا أ ام 2.0 ‪h ‬‬
‫1 ‪y ( x  0) ‬‬
‫8.0 ‪y ( x  0.2) ‬‬
‫86.0 ‪y ( x  0.4) ‬‬
‫426.0 ‪y ( x  0.6) ‬‬
‫916.0 ‪y ( x  0.8) ‬‬
‫556.0 ‪y ( x  1) ‬‬
 ‫أ ي حلص ي ة (6.6) عم ي‬
            ‫ر‬                  ‫حآلل يينق ك تحصييامك ترنييطاج جمدييطر عييل ي ا طرل ي حلطلييأم‬
                                          ‫ااط مأ‬   ‫إرخطل ت ل حلتمطنط‬         ‫معحطج حلترنطاج إل‬
                                              ‫إرخطل لما ط ل حلخط ة مرال لاط تطلرال ‪h‬‬
              ‫إرخطل حلرحل ) ‪ f (x , y‬لأا طرل حلحلطلأم ت ر ل اط أ حلص ة (6.6)‬
                    ‫ر‬
                                       ‫لما ال ال 0 ‪. y 0 ، x‬‬            ‫إرخطل حل رط حقتحرح‬
                     ‫إرخطل لما ‪ x‬حلاطأ و نر ط ع طو لما ‪ y‬نرال لاط تطلرال ‪xf‬‬


‫___________________________________________________‬
                       ‫-742-‬
‫حل المعادالت التفاضلية باستخدام المتسلسالت الالنهائية‬



                     ‫‪clear all‬‬
                     ‫‪syms f x y‬‬
                     ‫;)'=‪h = input('step size‬‬
                     ‫;)'=)‪f = input('the function f(x,y‬‬
                     ‫;)'=0‪X(1) = input('x‬‬
                     ‫;)'=0‪Y(1) = input('y‬‬
                     ‫;)'=‪xf = input('xf‬‬
                     ‫‪for i=1:(xf-X(1))/h‬‬
                        ‫;‪X(i+1)=X(i)+h‬‬
                        ‫;)‪y=Y(i‬‬
                        ‫;)‪x=X(i‬‬
                        ‫;)‪Y(i+1)=Y(i)+h*subs(f‬‬
                     ‫‪end‬‬
                     ‫‪Y‬‬

    ‫مأر‬    ‫أ حلص ة (6.6) تط حخرحك طرمق‬
                               ‫ر‬                     ‫برنامج (1-6): عل ا طرل حلطلأم‬

                   ‫حتط ط ااط مظار ح حلنطح ة حلحطلم‬     ‫نر حنلم حلترنطاج نق ك ت رخطل حلتمطنط‬

‫2.0=‪step size‬‬
‫‪the function f(x,y)=x-y‬‬
‫0=0‪x‬‬
‫1=0‪y‬‬
‫1=‪xf‬‬
‫=‪Y‬‬
   ‫0086.0 0008.0 0000.1‬               ‫0426.0‬     ‫2916.0‬       ‫4556.0‬
‫>>‬

‫حل طرمي اايط حير‬     ‫حلقمك حلح عصأنط أمايط ايل حلع يطتط‬         ‫نالعظ نط ل لمك حلرحل ‪y‬‬
‫حلدايير حل ل ي . حل ييال (3-6) م ل ي حلعييل حل ييرري حلحقرمت ي (‪ )Approximate‬حلعييل‬
                             ‫اط حاثأ حلا طرل (5.6)‬           ‫حلحطك (‪ )Exact‬لأا طرل حلحلطلأم‬




‫___________________________________________________‬
                       ‫-842-‬
‫الباب السادس‬

                       ‫1‬


                     ‫59.0‬


                      ‫9.0‬


                     ‫58.0‬


                      ‫8.0‬
                 ‫‪y‬‬



                     ‫57.0‬

                                                                                     ‫‪Exact solution‬‬
                      ‫7.0‬


                     ‫56.0‬
                                                                 ‫)2.0=‪approximated solution(h‬‬


                            ‫0‬    ‫1.0‬         ‫2.0‬         ‫3.0‬         ‫4.0‬     ‫5.0‬    ‫6.0‬     ‫7.0‬      ‫8.0‬        ‫9.0‬         ‫1‬
                                                                              ‫‪x‬‬


     ‫نر 2.0 ‪ h ‬تطلعل حلحطك لأا طرل حلحلطلأم‬                                                  ‫شكل (3-6): اقطرن حلعل حلحقرمتم‬

‫حآلل نق ك تحغممر لما ط ل حلخط ة ‪ h‬لا رح ارإل حنثمر ط أ حلعل حلي ي عصيأنط‬
  ‫لييمك ي 6.2 ، 6.2 ، 52.2 حييك حلعص ي ل أ ي‬                                                        ‫ط ي ل حلخط ي ة ثييال‬                  ‫أم يد، ليير خ ي‬
‫ليع ااييط حي حل ييال‬            ‫حيك حي لم اك أي نليين حلاعيط ر‬                                              ‫حليثال‬              ‫حلعيل حي اييل ايل حلعييطق‬
‫ي عييل حقرمت ي ( ت ميير‬                 ‫(4-6)، اييط ح نالعييظ اييل ي ح حل ييال ؟ حلعييل نيير 2.0 ‪ h ‬ي‬
‫نير 50.0 ‪، h ‬‬              ‫ل لما حلعيل حلحيطك) حي عيمل ل ليرتاك لأعيل حلحيطك ي حلعيل حلحقرمتي‬
‫لرو اط ما ل لأعيل‬               ‫تاط م ن اأاط صغر لما ط ل حلخط ة ‪ h‬اأاط اطل حلعل حلحقرمت‬
‫حلصييلر ح ي ل حلعييل حلحقرمت ي محقييطرو اييل حلعييل‬                                        ‫نييد نييراط حييؤ ل ‪ h‬إل ي‬                     ‫ي ح م ني‬   ‫حلحييطك،‬
                                                                                                                                                     ‫حلحطك.‬
                                        ‫1‬


                                     ‫59.0‬


                                       ‫9.0‬


                                     ‫58.0‬


                                       ‫8.0‬
                                 ‫‪y‬‬




                                     ‫57.0‬

                                                                                             ‫‪Exact solution‬‬
                                       ‫7.0‬
                                                                                                     ‫)50.0=‪(h‬‬
                                     ‫56.0‬                                                             ‫)1.0=‪(h‬‬

                                                                                                  ‫)2.0=‪(h‬‬
                                             ‫0‬     ‫1.0‬         ‫2.0‬     ‫3.0‬    ‫4.0‬    ‫5.0‬    ‫6.0‬      ‫7.0‬    ‫8.0‬       ‫9.0‬       ‫1‬
                                                                                      ‫‪x‬‬




      ‫مل.‬      ‫شكل (4-6): حنثمر حغمر ط ل حلخط ة أ رل حلعل تط حخرحك طرمق‬



‫___________________________________________________‬
                       ‫-942-‬
‫حل المعادالت التفاضلية باستخدام المتسلسالت الالنهائية‬

 ‫مثااال (4-6) : تط ييحخرحك ط ي ل خط ي ة 50.0، ديير حلعييل حل ييرري لأا طرل ي حلحلطلييأم‬
‫أمييد ايال حلعييل‬      ‫مأيير، ليطرل حلعيل حلي ي عصيأ‬        ‫حلحطلمي لقيمك 1 ‪ 0  x ‬تط ييحخرحك طرمقي‬
                                                              ‫2 ‪ y  x‬لأا طرل حلحلطلأم‬       ‫حلحعأمأ‬
                               ‫0 ‪y  e y - e x  2x , y(0) ‬‬
                                             ‫2‬




                                                 ‫حلعل‬
                                             ‫ل‬     ‫أ حلص ة (6.5) تا ن‬
                                                              ‫ر‬                   ‫حلا طرل حلحلطلأم‬
                                      ‫‪y   e y - e x  2x‬‬
                                                        ‫2‬




                                             ‫ندر ل 0 ‪y0  0 ، x 0 ‬‬              ‫ال حل رط حقتحرح‬
‫ل عر ر حلاحغمير ‪ x‬ي 6 تايط‬             ‫حلاطأ و ع طو لما حلعل ح حللح ة 1 ‪ 0  x ‬تا ن‬
                                                      ‫ر‬
                                                                         ‫م ن حل حلاحغمر 1 ‪xf ‬‬
                           ‫حآلل نق ك تححلم حلترنطاج حل طتق اال ت ل حلح رمل لمق ك تطلر ك .‬

              ‫‪clc‬‬
              ‫‪clear all‬‬
              ‫‪syms f x y‬‬
              ‫;)'=‪h = input('step size‬‬
              ‫;)'=)‪f = input('the function f(x,y‬‬
              ‫;)'=0‪X(1) = input('x‬‬
              ‫;)'=0‪Y(1) = input('y‬‬
              ‫;)'=‪xf = input('xf‬‬
              ‫‪for i=1:(xf-X(1))/h‬‬
                 ‫;‪X(i+1)=X(i)+h‬‬
                 ‫;)‪y=Y(i‬‬
                 ‫;)‪x=X(i‬‬
                 ‫;)‪Y(i+1)=Y(i)+h*subs(f‬‬
              ‫‪end‬‬
              ‫‪plot (X,Y,'r.') % numerical solution‬‬
              ‫;2^.‪Y1=X‬‬
              ‫‪hold on‬‬
              ‫‪plot (X,Y1,'b*') % analytical solution‬‬

   ‫مأر اال‬          ‫أ حلص ة (6.6) تط حخرحك طرمق‬
                                        ‫ر‬                   ‫برنامج (2-6): عل ا طرل حلطلأم‬
                                        ‫اقطرنحد تطلعل حلحعأمأ‬


‫___________________________________________________‬
                       ‫-052-‬
‫الباب السادس‬



‫مقي ك حلترنيطاج‬        ‫حتط ط ااط مظار ح حلنطحي ة حلحطلمي‬                            ‫نر حنلم حلترنطاج نق ك ت رخطل حلتمطنط‬
                                                                                                         ‫تح لمال حل ال (5-6)‬
‫50.0=‪step size‬‬
‫‪the function f(x,y)=exp(y)-exp(x^2)+2*x‬‬
‫0=0‪x‬‬
‫0=0‪y‬‬
‫1=‪xf‬‬
‫>>‬
                        ‫1‬
                                   ‫‪Anlytical solution‬‬
                       ‫9.0‬         ‫‪Numerical Solution‬‬


                       ‫8.0‬


                       ‫7.0‬


                       ‫6.0‬


                       ‫5.0‬
                   ‫‪y‬‬




                       ‫4.0‬


                       ‫3.0‬


                       ‫2.0‬


                       ‫1.0‬


                        ‫0‬
                             ‫0‬    ‫1.0‬      ‫2.0‬          ‫3.0‬   ‫4.0‬      ‫5.0‬    ‫6.0‬      ‫7.0‬   ‫8.0‬   ‫9.0‬      ‫1‬
                                                                        ‫‪x‬‬




              ‫مأر حلعل حلحعأمأ .‬                         ‫شكل (5-6): حلعل حلحقرمت تط حخرحك طرمق‬

‫ن يير 2 ‪t ‬‬       ‫حلحلطل ييأم حآلحمي ي‬            ‫مثاااال (5-6) : د يير حلع ييل حلحقرمتي ي لادا ي ي حلا ييطرق‬
                                                                              ‫مأر تط ل خط ة 5.0‬                 ‫تط حخرحك طرمق‬
                                        ‫‪dx‬‬
                                           ‫, ‪y‬‬                                      ‫1 ‪x (0) ‬‬
                                        ‫‪dt‬‬
                                        ‫‪dy‬‬
                                           ‫,‪ 0.5x  0.5y‬‬                            ‫2 ‪y(0) ‬‬
                                        ‫‪dt‬‬
                                                                    ‫حلع ييل‬
 ‫مأ يير أي ي حلنعي ي‬             ‫مأ يير(4.5) أي ي حلا ييطرلحمل نعص ييل أي ي ا ييطرق‬                             ‫تحطتمي يق ا طرلي ي‬
                                                                                                                             ‫حلحطل‬


‫___________________________________________________‬
                       ‫-152-‬
‫حل المعادالت التفاضلية باستخدام المتسلسالت الالنهائية‬

                 ‫‪xi 1  xi  hyi‬‬                 ‫‪‬‬
                                                  ‫‪‬‬
                 ‫‪yi 1  yi  h  0.5xi  0.5yi  ‬‬
                 ‫‪ti 1  ti  h‬‬                   ‫‪‬‬
                                                  ‫‪‬‬
                          ‫ق : نر 0 ‪ i ‬ح ل 2 ‪ x 0  1, y0 ‬اناط ح ل‬
             ‫2 ‪x1  x 0  0.5y0  1  0.5(2) ‬‬
             ‫57.1 ‪y1  y0  0.5  0.5x 0  0.5y0  ‬‬
                     ‫حلقمك حلحقرمتم لي ‪ x , y‬نر 5.0 ‪t ‬‬     ‫1‪x1, y‬‬   ‫إل‬    ‫عم‬
                      ‫ثطنمط : نر 1 ‪ i ‬ح ل 57.1 ‪ x1  2, y1 ‬اناط ح ل‬
            ‫578.2 ‪x 2  x1  0.5y1 ‬‬
            ‫5218.1 ‪y2  y1  0.5  0.5x1  0.5y1  ‬‬
                         ‫حلقمك حلحقرمتم لي ‪ x , y‬نر 1 ‪t ‬‬    ‫إل 2‪x 2 , y‬‬   ‫عم‬
               ‫ثطلثط : نر 2 ‪ i ‬ح ل 587.2 ‪ x 2  2.875, y 2 ‬اناط ح ل‬
           ‫52187.3 ‪x 3  x 2  0.5y2 ‬‬
           ‫521870.2 ‪y3  y2  0.5  0.5x 2  0.5y2  ‬‬
                       ‫حلقمك حلحقرمتم لي ‪ x , y‬نر 5.1 ‪t ‬‬    ‫إل 3‪x 3 , y‬‬   ‫عم‬
         ‫حت ط : نر 3 ‪ i ‬ح ل 521870.2 ‪ x3  3.78125, y 3 ‬اناط ح ل‬
                                                                 ‫ر‬
            ‫3028.4 ‪x 3  x 3  0.5y3 ‬‬
            ‫9305.2 ‪y4  y3  0.5  0.5x 3  0.5y3  ‬‬
                        ‫حلقمك حلحقرمتم لي ‪ x , y‬نر 2 ‪t ‬‬     ‫إل 4‪x 4 , y‬‬   ‫عم‬




‫___________________________________________________‬
                       ‫-252-‬
‫الباب السادس‬

         ‫ثانيا : طريقة رونج كوتا من الرتبة الثانية لحل المعادالت التفاضلية‬
 ‫ررمي‬      ‫طرمق‬         ‫طرمق ر نج ا حط ال حلرحت حلثطنم (‪)Runge-Kutta 2nd Order‬‬
  ‫ح يحخرك لعيل حلا يطرق‬           ‫مرال لاط تطلرال 2‪ RK‬حلح‬                           ‫حلحلطلأم حل طرم‬           ‫لعل حلا طرق‬
                                                                                     ‫أ حلص ة (6.6)‬
                                                                                           ‫ر‬                           ‫حلحلطلأم‬
                    ‫‪dy‬‬
                       ‫0‪ f  x , y  , y  0   y‬‬                             ‫)6.6( ------------‬
                    ‫‪dx‬‬
‫حلص ي ة‬
‫ر‬               ‫ااييط نالعييظ قتيير ل ححع ي ل حلا طرل ي حلحلطلييأم حل طرم ي اييل حلرحت ي حأل ل ي إل ي‬
                                                         ‫مأر.‬           ‫لع ح طرمق‬                 ‫(6.6) ااط تق ح لم‬
‫إل‬       ‫حلصي ي ة ‪ yi 1  yi  f  xi , yi  h‬عمي ي‬
                                            ‫ر‬                           ‫أي ي‬    ‫مأ يير ي ي‬          ‫حي ي ار ل ا طرلي ي‬
‫يينقرك إ ييحنحطدط‬      ‫‪ ، h  xi 1  xi‬لاي ي نلا ييك ا ييط ي ي طرمقي ي ر ن ييج ا ح ييط لأرحتي ي حلثطنمي ي‬
                      ‫لع ااط مأ‬       ‫مأر تط حخرحك الا ع حمأ ر )‪)Taylor Expansion‬‬                                         ‫لطرمق‬
                             ‫‪dy‬‬                                         ‫‪1 d y‬‬   ‫2‬
            ‫‪yi 1  yi ‬‬                       ‫‪ xi 1  xi  ‬‬                                   ‫‪ xi 1  xi ‬‬
                                                                                                                   ‫2‬

                             ‫‪dx‬‬   ‫‪ xi ,yi ‬‬                            ‫2 ‪2 ! dx‬‬     ‫‪ xi ,yi ‬‬

                           ‫‪1 d 3y‬‬
                       ‫‪‬‬                           ‫‪ xi 1  xi ‬‬       ‫... ‪‬‬
                                                                    ‫3‬

                           ‫3 ‪3 ! dx‬‬   ‫‪ xi ,yi ‬‬
                                                                    ‫‪dy‬‬
                                                                ‫نعصل أ‬   ‫عم إل ‪ f  x , y ‬‬
                                                                    ‫‪dx‬‬
                                             ‫1‬                                  ‫‪‬‬
         ‫‪ yi  f (xi , yi )  xi 1  xi   f '(xi , yi )  xi 1  xi   ...‬‬
                                                                          ‫2‬
 ‫1‪yi ‬‬
                                             ‫!2‬                                 ‫‪‬‬
                                                                                ‫)7.6( --- ‪‬‬
                                     ‫1‬                                          ‫‪‬‬
 ‫1‪yi ‬‬   ‫... ‪ yi  f  xi , yi  h  f   x i , yi  h ‬‬
                                                    ‫2‬

                                     ‫!2‬                                         ‫‪‬‬
                                                                                ‫‪‬‬
          ‫ااط نالعظ ند ت اطل حلعر ر إتحرحءح ال حلعر حلثطل ، نعصل أ حلا طرل حلحطلم‬
                                        ‫‪yi 1  yi  f  xi , yi  h‬‬
 ‫ناييط طرمق ي ر نييج ا حييط لأرحت ي‬        ‫مأيير أ ي‬       ‫مأيير ت ي لع مااييل ح ييام طرمق ي‬                   ‫ي ا طرل ي‬
  ‫ي ايل حلعير ر حلحي‬         ‫ي م حلطرمقي‬            ‫حأل لي (‪ )Runge-Kutta 1st order‬ماي ل حلخطين حي‬
                                                                                                                       ‫حك ع حاط‬
                 ‫3 ‪f   xi , yi  2 f   xi , yi ‬‬
         ‫‪Et ‬‬                   ‫‪h ‬‬                ‫... ‪h ‬‬                          ‫)8.6( -----------‬
                       ‫!2‬                 ‫!3‬


‫___________________________________________________‬
                       ‫-352-‬
‫حل المعادالت التفاضلية باستخدام المتسلسالت الالنهائية‬

  ‫نعصييل أ ي‬          ‫ي ف ننخ ي عييرح حلييطحمط تا ن ي‬       ‫جظاييطر طرمق ي ر نييج ا حييط لأرحت ي حلثطنم ي‬
                                                                                       ‫ثالث عر ر اطلحطل‬
                                     ‫1‬                       ‫‪‬‬
       ‫‪yi 1  yi  f  x i , yi  h ‬‬  ‫‪f   x i , yi  h 2 ‬‬
                                     ‫!2‬                      ‫‪‬‬
                                                             ‫)9.6( --------- ‪‬‬
                            ‫2 1‬                              ‫‪‬‬
       ‫1‪yi ‬‬   ‫‪ yi  hf i  h f i ‬‬
                            ‫!2‬                               ‫‪‬‬
                                                             ‫‪‬‬
‫اأا ييط، تل ييرل‬      ‫أي ي اث ييطل ييرري لنح ييرف أي ي املمي ي‬        ‫ر ن ييط حآلل نن ييطلل حأ ييع حلطرمقي ي‬
                                                                               ‫حلا طرل حلحلطلأم حلحطلم‬
                                  ‫‪dy‬‬
                                         ‫5 ‪ e 2 x  3y, y  0  ‬‬
                                  ‫‪dx‬‬
‫انا ي ييط ماي ي ي ل ‪ f  x , y   e 2x  3y‬نالع ي ييظ ل ‪ f  x , y ‬رحلي ي ي حي ي ي ‪ x , y‬حاي ي ي ل‬
                                                                  ‫حلا حق حأل ل لاط أ حلنع حلحطل‬
                                ‫‪f  x , y  f  x , y  dy‬‬
               ‫‪f   x, y  ‬‬               ‫‪‬‬                ‫)01.6( ------------‬
                                   ‫‪x‬‬           ‫‪y‬‬        ‫‪dx‬‬
                                             ‫ثك تطلح مل تقما حلرحل ‪f  x , y   e 2 x  3y‬‬
                                 ‫‪‬‬
               ‫‪f   x, y  ‬‬
                                ‫‪x‬‬
                                   ‫‪e 2x  3y    e 2x  3y  e 2x  3y ‬‬
                                                    ‫‪y‬‬              ‫‪‬‬

                            ‫‪ 2e 2 x  (3) e 2 x  3y   5e 2 x  9y‬‬
                                       ‫تطلح مل تطلا حق حأل ل ح حل الل (9.6) نعصل أ‬

                                      ‫‪‬‬
                       ‫‪yi 1  yi  e 2 xi  3yi h ‬‬   ‫‪‬‬      ‫1‬
                                                               ‫!2‬
                                                                  ‫‪‬‬
                                                                  ‫2 ‪5e 2 xi  9yi h‬‬  ‫‪‬‬
‫لأعصي ل‬          ‫تا ح عصأنط أ حل الل حلاطأ تي ، لايل يل قعظي اقرح حلا يق حلحي تي ل‬
                    ‫ذ‬           ‫ر‬
‫ليع اايط‬        ‫ل صمطت ال لحأيع حل اللي‬       ‫أ حلا حق حأل ل ‪ ، f   x , y ‬ل ح نتع‬
                                                                                                     ‫مأ :‬
                                                   ‫أ حلص ة حلحطلم‬
                                                          ‫ر‬                  ‫ماال احطت حلا حق حأل ل‬
                            ‫‪f  x , y  f  x , y  dy‬‬                  ‫‪ dy ‬‬
           ‫‪f   x, y  ‬‬               ‫‪‬‬                ‫‪ f   f x  fy ‬‬    ‫‪‬‬
                               ‫‪x‬‬           ‫‪y‬‬        ‫‪dx‬‬                  ‫‪ dx ‬‬




‫___________________________________________________‬
                       ‫-452-‬
‫الباب السادس‬

                                                           ‫‪dy‬‬
‫‪ f   f x  f y f‬تيطلح مل نايط‬              ‫نعصيل أي‬         ‫تط حخرحك حل الل ‪ f  x , y ‬‬
                                                           ‫‪dx‬‬
                                                                  ‫ح حل الل (6.6) لنعصل أ‬
                                               ‫‪h  f x  fy f‬‬     ‫‪‬‬
                                            ‫2 1‬
                      ‫‪yi 1  yi  hf i ‬‬
                                            ‫!2‬                     ‫‪i‬‬


                                                                 ‫حلص ة حلحطلم‬
                                                                        ‫ر‬             ‫حلح ححع ل إل‬
                                     ‫2‪h‬‬           ‫2‪h‬‬
              ‫‪yi 1  yi  hf i ‬‬       ‫)11.6( --------- ‪ f x i   f y i f i‬‬
                                     ‫!2‬           ‫!2‬
                    ‫نق ك تلرل حلا طرل حلحطلم لحاثل ا طرل ر نج ا حط لأرحت حلثطنم‬                   ‫حآلل‬
           ‫‪yi 1  yi  a1k1  a 2k 2  h‬‬                         ‫‪‬‬
                                                                   ‫‪‬‬
                                                                   ‫(66.6) --- ‪‬‬
           ‫‪k1  f  xi , yi  , k 2  f  xi  p1h , yi  q11k1h  ‬‬
                                                                   ‫‪‬‬
                  ‫حلص ة )21.6(‬
                         ‫ر‬              ‫نعط ل لال حلا طرل )11.6( أ‬                 ‫ء حلحطل‬
                                                                                         ‫ح حلدل‬
                                 ‫ق: ر نط حآلل نق ك تلع حلاقرحر 2 ‪ k‬تط حخرحك الا ع حمأ ر‬
   ‫‪k2  f  xi  p1h , yi  q11 k1  h   f i  p1h  f x i  q11  f i  h  f y ‬‬
                                                                                                  ‫‪i‬‬

                            ‫ثطنمط : تطلح مل ل لما 2 ‪ k‬ح حلا طرل (66.6) نعصل أ‬
       ‫‪yi 1  yi  a1k1  a 2k 2  h  yi 1  yi  a1 k1  h  a 2 k 2  h ‬‬

                                        ‫‪‬‬
       ‫‪yi 1  yi  a1  f i  h  a 2 f i  p1h  f x i  q11  f i  h  f y  h‬‬
                                                                                  ‫‪i‬‬
                                                                                       ‫‪‬‬
       ‫‪yi 1  yi  a1  a 2  h  f i   a 2 p1h 2  f x i  a 2q11h 2  f y   f i ‬‬
                                                                                   ‫‪i‬‬

                   ‫ثطلثط : تاقطرن حلا طرل حلنطحد اال ا طرل ر نج ا حط )21.6( نعصل أ‬
                      ‫1‬          ‫1‬
  ‫(36.6) --------------------- ‪a1  a2  1, a2 p1  , a2 q11 ‬‬
                      ‫2‬          ‫2‬
   ‫ادط مل، لعأاط نق ك تلرل احغمر‬              ‫رت‬      ‫ا طرق‬     ‫نالعظ نط ننط عصأنط أ ثال‬
   ‫لنعصل أ حلثالث حأل إل، ت ال طك ح ننط ن حخرك لما 2 ‪ a‬لأعص ل أ حلثالث‬
                                                  ‫خر‬
                                            ‫2‬      ‫1‬
   ‫أ‬          ‫لحنحج ثالث طرق اخحأل ،‬          ‫,1 ,‬             ‫حألخ إل حنخ 2 ‪ a‬ثالث حعحاطق‬
                                                                                    ‫ر‬
                                            ‫3‬      ‫2‬
‫منل (‪ )Heun’s Method‬طرمق حلنقط حل ط (‪)Midpoint method‬‬                                      ‫حلحرحمو طرمق‬
                                                     ‫طرمق حل ح ل (‪. )Ralston’s method‬‬
                                                                               ‫ر‬



‫___________________________________________________‬
                       ‫-552-‬
‫حل المعادالت التفاضلية باستخدام المتسلسالت الالنهائية‬

                                                     ‫طريقة هينز (‪)Heun’s Method‬‬
                             ‫1‬                               ‫1‬
   ‫‪ a1 ‬ال ثك حلح مل ح‬         ‫نلرل ل ‪ a2 ‬لنعصل أ 1 ‪, p1  1, q11 ‬‬
                             ‫2‬                               ‫2‬
                                                            ‫حلا طرل (21.6) لنعصل أ‬
                      ‫1‪‬‬        ‫‪1 ‬‬                         ‫‪‬‬
         ‫‪yi 1  yi   k1  k 2  h‬‬                        ‫‪‬‬
                      ‫2‪‬‬        ‫‪2 ‬‬                         ‫(46.6) -------- ‪‬‬
         ‫‪k1  f  xi , yi  , k 2  f  xi  h , yi  k1h  ‬‬
                                                            ‫‪‬‬
      ‫إعرإل ص ر طرمق ر نج ا حط لأرحت حلثطنم‬          ‫منل‬     ‫ح ا حأع حلطرمق تطرمق‬


                                          ‫طريقة النقطة الوسطى (‪)Midpoint Method‬‬
                                           ‫1‬        ‫1‬
      ‫‪ a1  0, p1  , q11 ‬ال ثك حلح مل ح‬                  ‫نلرل ل 1 ‪ a2 ‬لنعصل أ‬
                                           ‫2‬        ‫2‬
                                                            ‫حلا طرل (21.6) لنعصل أ‬
        ‫‪yi 1  yi  k 2h‬‬                                   ‫‪‬‬
                                                            ‫‪‬‬
                                     ‫‪‬‬      ‫1‬        ‫1‬    ‫‪‬‬          ‫(56.6) -----‬
        ‫‪k1  f  xi , yi  , k 2  f  x i  h , yi  k1h  ‬‬
                                     ‫‪‬‬      ‫2‬        ‫2‬    ‫‪‬‬
 ‫ي إعيرإل صي ر طرمقي ر نيج ا حيط لأرحتي‬        ‫ح ا حأع حلطرمق تطرمق حلنقط حل ط‬
                                                                                    ‫حلثطنم‬
                                                ‫طريقة الستون (‪)Ralston’s method‬‬
                                                                        ‫ر‬
                         ‫1‬           ‫3‬         ‫3‬                             ‫2‬
‫‪ a1  , p1 ‬ا ييل ث ييك حلح ي ي مل‬     ‫‪, q11 ‬‬          ‫‪ a2 ‬لنعص ييل أي ي‬     ‫نل ييرل ل‬
                         ‫3‬           ‫4‬         ‫4‬                             ‫3‬
                                                        ‫ح حلا طرل (21.6) لنعصل أ‬
                       ‫1‬        ‫2‬                            ‫‪‬‬
        ‫‪yi 1  yi  ( k1  k 2 )h‬‬                           ‫‪‬‬
                       ‫3‬        ‫3‬                            ‫‪‬‬
                                                             ‫(66.6) ------ ‪‬‬
                                      ‫‪‬‬      ‫3‬        ‫3‬    ‫‪‬‬
        ‫‪k1  f  x i , yi  , k 2  f  x i  h , yi  k1h ‬‬
                                      ‫‪‬‬      ‫4‬        ‫4‬    ‫‪‬‬‫‪‬‬
 ‫حلص ة حلثطلث لطرمق ر نج ا حط لأرحت حلثطنم‬
                                     ‫ر‬             ‫ح ا حأع حلطرمق تطرمق حل ح ل‬
                                                        ‫ر‬




‫___________________________________________________‬
                       ‫-652-‬
‫الباب السادس‬

 ‫ني يير 1 ‪ x ‬تا أ ام ي ي‬     ‫مثااااال (6-6): دي يير عي ييل حلا طرل ي ي حلحلطلي ييأم ‪y   y  x‬‬
                                                                                        ‫1 ‪y (0) ‬‬
                                                ‫حلع ييل‬
  ‫أ حلص ة 1=)0(‪ y  x  y, y‬اناط ح ل ‪f ( x, y)  x  y‬‬
                                                ‫ر‬                                ‫ناحو حلا طرل‬
                      ‫لع تلرل ل 1.0 ‪ h ‬لنعصل أ‬                      ‫منل (46.6)‬        ‫ن حخرك طرمق‬
             ‫, ‪k1  f  x i , yi   k1  x i  yi‬‬
             ‫‪k 2  f  x i  h , yi  k1h   k 2  x i  h  yi  k1h‬‬
                          ‫1‪‬‬    ‫‪1 ‬‬
             ‫‪yi 1  yi   k1  k 2  h‬‬
                          ‫2‪‬‬    ‫‪2 ‬‬
                                                                     ‫ق: نر 0 ‪ ، i ‬نعصل أ‬
‫1‪k1  f  x0 , y0   k1  x0  y0  ‬‬
‫8.0‪k2  x0  h  y0  k1h  0  0.1  1  (1)(0.1)  ‬‬
          ‫1‪‬‬    ‫‪1 ‬‬           ‫1‪‬‬       ‫1‬         ‫‪‬‬
‫19.0 ‪y1  y0   k1  k2  h  1    1   0.8    0.1 ‬‬
          ‫2‪‬‬    ‫‪2 ‬‬           ‫2‪‬‬       ‫2‬         ‫‪‬‬
                                                                  ‫ثطنمط : نر 1 ‪ ، i ‬نعصل أ‬
‫18.0 ‪k1  f  x1 , y1   k1  x1  y1  0.1  0.91 ‬‬
‫926.0‪k2  x1  h  y1  k1h  0.1  0.1  0.91  (0.81)(0.1)  ‬‬
          ‫1‪‬‬    ‫‪1 ‬‬              ‫1‪‬‬          ‫1‬           ‫‪‬‬
‫838.0 ‪y2  y1   k1  k2  h  0.91    0.81   0.629    0.1 ‬‬
          ‫2‪‬‬    ‫‪2 ‬‬              ‫2‪‬‬          ‫2‬           ‫‪‬‬
                                                                       ‫تحا حر اط تق نعصل أ‬
                                                                                     ‫ر‬
          ‫1 ‪y0  y (0) ‬‬                                        ‫8896.0 ‪y6  y (0.6) ‬‬
          ‫19.0 ‪y1  y (0.1) ‬‬                                   ‫4496.0 ‪y7  y (0.7) ‬‬
          ‫838.0 ‪y2  y (0.2) ‬‬                                  ‫0007.0 ‪y8  y (0.8) ‬‬
          ‫4287.0 ‪y3  y (0.3) ‬‬                                 ‫5417.0 ‪y9  y (0.9) ‬‬
          ‫6147.0 ‪y4  y (0.4) ‬‬                                 ‫1737.0 ‪y10  y (1.0) ‬‬
          ‫0417.0 ‪y5  y (0.5) ‬‬
‫تط ييحخرحك طرمق ي ر نييج‬       ‫م ل ي حل الل ي تييمل حلعييل حلحييطك حلعييل حلحقرمت ي‬    ‫حل ييال حلحييطل‬
                ‫مأر‬         ‫منل) نالعظ ناط حلل تاثمر ال طرمق‬               ‫ا حط حلرحت حلثطنم (طرمق‬


‫___________________________________________________‬
                       ‫-752-‬
‫حل المعادالت التفاضلية باستخدام المتسلسالت الالنهائية‬
                          ‫1‬
                                                                                      ‫‪Exact‬‬
                                                                                      ‫‪Apprximated‬‬
                        ‫59.0‬


                         ‫9.0‬


                        ‫58.0‬


                         ‫8.0‬


                        ‫57.0‬


                         ‫7.0‬


                        ‫56.0‬
                               ‫0‬    ‫1.0‬    ‫2.0‬    ‫3.0‬   ‫4.0‬     ‫5.0‬    ‫6.0‬     ‫7.0‬   ‫8.0‬    ‫9.0‬     ‫1‬




      ‫منل، نر 1.0 ‪ h ‬تطلعل حلحطك‬                       ‫شكل (6-6): اقطرن حلعل حلحقرمت تطرمق‬

‫طييرق ( منييل - حلنقطي حل ييط - حل ييح ل )‬
         ‫ر‬                                                            ‫م لي نحييط ج حلييثال‬              ‫حلديير ل حلحييطل‬
                                    ‫نر لمك اخحأل ال ‪h‬‬                        ‫مأراال حلعل حلحطك‬          ‫اال اقطرنحاك تطرمق‬

       ‫ط ل حلخط ة‬                                                ‫حلعل =8537.0‬
             ‫‪h‬‬                      ‫مأر‬                   ‫منل‬                        ‫حلنقط حل ط‬              ‫رل ح ل‬
                                                                                                                  ‫ح‬
            ‫2.0‬                    ‫4556.0‬               ‫5147.0‬                       ‫5147.0‬                 ‫5147.0‬
            ‫1.0‬                    ‫4796.0‬               ‫1737.0‬                       ‫1737.0‬                 ‫1737.0‬
           ‫50.0‬                    ‫0717.0‬               ‫1637.0‬                       ‫1637.0‬                 ‫1637.0‬

   ‫جدول (1-6): اقطرن تمل حلطرق حلاخحأل لطرمق ر نج ا حط ال حلررد حلثطنم‬

 ‫) در حلعل حلحقرمتي لأا طرلي‬                     ‫عطق‬    ‫مثال (7-6) : تط حخرحك طرمق ر نج ا حط (حلثال‬
‫حلحلطلأم 0 ‪ (1  x2 ) y  y 2  1 ‬تا أ ام 1 ‪ y(0) ‬نر 2 ‪ x ‬تط حخرحك طي ل خطي ة‬
                                             ‫اقرح م 2.0 ،6.2 ملط 50.0 اثل حلثالث عأ ل تمطنمط.‬
                                                                                       ‫ر‬
                                                              ‫حلعل‬
‫أ ي حلص ي ة (6.6)‬
      ‫ر‬                        ‫ي ف نق ي ك تحصييامك ترنييطاج جمدييطر عييل ي ا طرل ي حلطلييأم‬
 ‫معحيطج حلترنيطاج إلي‬          ‫تط يحخرحك حلصي ر حلاخحألي لطرمقي ر نيج ا حيط ايل حلرحتي حلثطنمي عمي‬
                                                                                           ‫ااط مأ‬       ‫إرخطل ت ل حلتمطنط‬


‫___________________________________________________‬
                       ‫-852-‬
‫الباب السادس‬

                            ‫إرخطل لما ط ل حلخط ة ‪ Step Size‬مرال لاط تطلرال ‪h‬‬
             ‫إرخطل حلرحل ) ‪ f (x , y‬لأا طرل حلحلطلأم ت ر ل اط أ حلص ة (6.6)‬
                   ‫ر‬
                                  ‫لما ال ال 0 ‪. y 0 ، x‬‬             ‫إرخطل حل رط حقتحرح‬
                 ‫إرخطل لما ‪ x‬حلاطأ و نر ط ع طو لما ‪ y‬نرال لاط تطلرال ‪xf‬‬
                                                                        ‫‪ ‬طريقة هينز‬
             ‫‪clc‬‬
             ‫‪clear all‬‬
             ‫‪syms f x y‬‬
             ‫;)'=‪h = input('step size‬‬
             ‫;)'=)‪f = input('the function f(x,y‬‬
             ‫;)'=0‪X(1) = input('x‬‬
             ‫;)'=0‪Y(1) = input('y‬‬
             ‫;)'=‪xf = input('xf‬‬
             ‫‪for i=1:(xf-X(1))/h‬‬
                ‫;)‪y=Y(i‬‬
                ‫;)‪x=X(i‬‬
                ‫;)‪k1=subs(f‬‬
                ‫;‪y=Y(i)+k1*h‬‬
                ‫;‪x=X(i)+h‬‬
                ‫;)‪k2=subs(f‬‬
                ‫;‪Y(i+1)=Y(i)+(0.5*k1+0.5*k2)*h‬‬
                ‫;‪X(i+1)=X(i)+h‬‬
             ‫‪end‬‬
             ‫‪Y‬‬

  ‫منل‬     ‫أ حلص ة (6.6) تط حخرحك طرمق‬
                              ‫ر‬                 ‫برنامج (3-6): عل ا طرل حلطلأم‬

              ‫حتط ط ااط مظار ح حلنطح ة حلحطلم‬     ‫نر حنلم حلترنطاج نق ك ت رخطل حلتمطنط‬
        ‫2.0=‪step size‬‬
        ‫)2^‪the function f(x,y)=-(1+y^2)/(1+x‬‬
        ‫0=0‪x‬‬
        ‫1=0‪y‬‬
        ‫2=‪xf‬‬
        ‫=‪Y‬‬
           ‫- 3000.0- 5111.0 2152.0 6034.0 2966.0 0000.1‬
        ‫2533.0- 4782.0- 2232.0- 8761.0- 7190.0‬
        ‫>>‬

‫___________________________________________________‬
                       ‫-952-‬
‫حل المعادالت التفاضلية باستخدام المتسلسالت الالنهائية‬

                                                        ‫‪ ‬طريقة النقطة الوسطى‬
          ‫‪clc‬‬
          ‫‪clear all‬‬
          ‫‪syms f x y‬‬
          ‫;)'=‪h = input('step size‬‬
          ‫;)'=)‪f = input('the function f(x,y‬‬
          ‫;)'=0‪X(1) = input('x‬‬
          ‫;)'=0‪Y(1) = input('y‬‬
          ‫;)'=‪xf = input('xf‬‬
          ‫‪for i=1:(xf-X(1))/h‬‬
             ‫;)‪y=Y(i‬‬
             ‫;)‪x=X(i‬‬
             ‫;)‪k1=subs(f‬‬
             ‫;‪y=Y(i)+0.5*k1*h‬‬
             ‫;‪x=X(i)+0.5*h‬‬
             ‫;)‪k2=subs(f‬‬
             ‫;‪Y(i+1)=Y(i)+k2*h‬‬
             ‫;‪X(i+1)=X(i)+h‬‬
          ‫‪end‬‬
          ‫‪Y‬‬

  ‫أ حلص ة (6.6) تط حخرحك طرمق حلنقط‬
                            ‫ر‬                ‫برنامج (4-6): عل ا طرل حلطلأم‬
                                    ‫حل ط‬

           ‫حتط ط ااط مظار ح حلنطح ة حلحطلم‬    ‫نر حنلم حلترنطاج نق ك ت رخطل حلتمطنط‬

  ‫2.0=‪step size‬‬
  ‫)2^‪the function f(x,y)=-(1+y^2)/(1+x‬‬
  ‫0=0‪x‬‬
  ‫1=0‪y‬‬
  ‫2=‪xf‬‬
  ‫=‪Y‬‬
     ‫1162.0 2934.0 2576.0 0000.1‬               ‫4221.0‬     ‫1970.0- 5110.0‬
  ‫1023.0- 9272.0- 3812.0- 6451.0-‬
  ‫>>‬




‫___________________________________________________‬
                       ‫-062-‬
‫الباب السادس‬

                                                                ‫ طريقة الستون‬
                                                                     ‫ر‬
          clc
          clear all
          syms f x y
          h = input('step size=');
          f = input('the function f(x,y)=');
          X(1) = input('x0=');
          Y(1) = input('y0=');
          xf = input('xf=');
          for i=1:(xf-X(1))/h
             y=Y(i);
             x=X(i);
             k1=subs(f);
             y=Y(i)+0.75*k1*h;
             x=X(i)+0.75*h;
             k2=subs(f);
             Y(i+1)=Y(i)+(1/3*k1+2/3*k2)*h;
             X(i+1)=X(i)+h;
          end
          Y

 ‫أ حلص ة (6.6) تط حخرحك طرمق حل ح ل‬
      ‫ر‬                     ‫ر‬                ‫برنامج (5-6): عل ا طرل حلطلأم‬

           ‫حتط ط ااط مظار ح حلنطح ة حلحطلم‬    ‫نر حنلم حلترنطاج نق ك ت رخطل حلتمطنط‬
     step size=0.2
     the function f(x,y)=-(1+y^2)/(1+x^2)
     x0=0
     y0=1
     xf=2
     Y=
        1.0000 0.6724 0.4351 0.2562 0.1170                    0.0057 -
     0.0853 -0.1611 -0.2252 -0.2801 -0.3276
     >>


   h  0.2 ‫ال (7-6) حلعل حلنطحج ل حلثالث طرق تط حخرحك ط ل خط ة‬                 ‫مل‬




___________________________________________________
                       -261-
‫حل المعادالت التفاضلية باستخدام المتسلسالت الالنهائية‬

             ‫1‬
                                                                         ‫1‪Heun's‬‬
                                                                         ‫‪Midpoint‬‬
           ‫8.0‬                                                           ‫‪Ralston‬‬




           ‫6.0‬



           ‫4.0‬
       ‫‪y‬‬




           ‫2.0‬



             ‫0‬



           ‫2.0-‬



           ‫4.0-‬
                  ‫0‬   ‫2.0‬   ‫4.0‬      ‫6.0‬   ‫8.0‬   ‫1‬   ‫2.1‬   ‫4.1‬   ‫6.1‬   ‫8.1‬          ‫2‬
                                                 ‫‪x‬‬




   ‫شكل (7-6): اقطرن حلعل حلحقرمت لأثالث طرق تط ل خط ة اقرح م 2.0 ‪h ‬‬
           ‫ر‬




‫___________________________________________________‬
                       ‫-262-‬
‫الباب السادس‬

                                                ‫ثالثا : طريقة رونج كوتا من الرتبة الرابعة‬
‫يار‬      ‫ح ير طرمقي ر نيج ا حيط ايل حلرحتي حل حت ي ‪ Runge-Kutta 4th Order‬إعيرإل‬
                                         ‫ر‬
      ‫مراييل لايط تيطلرال 4‪ RK‬حلحي‬            ‫حلحلطليأم حل طرمي‬      ‫طيرق حلحعأميل حل يرري لعييل حلا يطرق‬
                                            ‫أ حلص ة (76.6)‬
                                                   ‫ر‬                    ‫حلحلطلأم‬      ‫ح حخرك لعل حلا طرق‬
                     ‫‪dy‬‬
                        ‫(76.6) ---------------- 0‪ f  x , y  , y  0   y‬‬
                     ‫‪dx‬‬
‫ليع اثييل‬      ‫أي حلصي ة حل ييطتق اثأايط حي‬
                                  ‫ر‬                     ‫حي حلترحمي قتير ايل لييال حلا طرلي حلحلطليأم‬
‫ييرك إ اييطل ي اييل‬          ‫أي‬     ‫ح حايير طرمقي ر نييج ا حييط اييل حلرحتي حل حت ي‬
                                       ‫ر‬                                                ‫اييل حلطييرق حل ييطتق‬
                                                            ‫عر ر حأل ل ال الا ع حمأ ر ااط مأ‬           ‫حلخا‬
                  ‫‪dy‬‬                            ‫‪1 d y‬‬   ‫2‬
                                                                                     ‫‪‬‬
 ‫‪yi 1  yi ‬‬         ‫‪xi ,yi  x i 1  x i  ‬‬                  ‫‪ xi 1  xi ‬‬
                                                                                ‫2‬
                                                        ‫‪2 xi ,yi‬‬                     ‫‪‬‬
                  ‫‪dx‬‬                            ‫‪2 ! dx‬‬                               ‫‪‬‬
              ‫‪1 d 3y‬‬                                ‫‪1 d 4y‬‬                           ‫‪‬‬
                               ‫‪ xi 1  xi  ‬‬                     ‫‪ xi 1  xi  ‬‬
                                              ‫3‬
           ‫‪‬‬
                                                                                  ‫4‬
                     ‫‪3 xi ,yi‬‬                             ‫‪4 xi ,yi‬‬                   ‫‪‬‬
                                                                                     ‫)81.6( ----- ‪‬‬
              ‫‪3 ! dx‬‬                               ‫‪4 ! dx‬‬
                                       ‫' 1‬                       ‫'' 1‬               ‫‪3‬‬
 ‫1‪yi ‬‬   ‫‪ yi  f  x i , yi  h  f  x i , yi  h  f  x i , y i  h‬‬
                                                          ‫2‬

                                       ‫!2‬                        ‫!3‬                  ‫‪‬‬
                                                                                     ‫‪‬‬
               ‫1‬                                                                     ‫‪‬‬
            ‫4 ‪ f '''  x i , yi  h‬‬
               ‫!4‬                                                                    ‫‪‬‬
                                                                                     ‫‪‬‬
                                                            ‫أ حلص ة حلحطلم‬
                                                                   ‫ر‬           ‫حآلل نلال حأع حلا طرل‬
                         ‫‪yi 1  yi  a1k1  a2k2  a3k3  a4k4 h‬‬                ‫)61.6( ------‬


 ‫)91.6( تطلخا ي حلعير ر حأل لي ايل الاي ع حمأي ر اايط حي حلا طرلي‬                         ‫تا يط حة حلا طرلي‬
                                                                                      ‫(81.6) نعصل أ‬
                                 ‫1‬                            ‫‪‬‬
                ‫‪yi 1  yi ‬‬       ‫‪k1  2k 2  2k3  k 4  h ‬‬
                                 ‫6‬                            ‫‪‬‬
                ‫1‪k‬‬   ‫‪ f  x i , yi ‬‬                         ‫‪‬‬
                                                              ‫‪‬‬
                ‫2‪k‬‬
                         ‫‪‬‬          ‫1‬         ‫1‬
                     ‫‪ f  x i  h , yi  k1h ‬‬
                                                   ‫‪‬‬          ‫‪‬‬
                                                              ‫‪‬‬   ‫)02.6( ----------------‬
                         ‫‪‬‬          ‫2‬         ‫2‬    ‫‪‬‬          ‫‪‬‬
                         ‫‪‬‬          ‫1‬         ‫1‬    ‫‪‬‬          ‫‪‬‬
                ‫3‪k‬‬   ‫‪ f  x i  h , yi  k 2h ‬‬              ‫‪‬‬
                         ‫‪‬‬          ‫2‬         ‫2‬    ‫‪‬‬          ‫‪‬‬
                ‫4‪k‬‬   ‫‪ f  x i  h , yi  k 3h ‬‬              ‫‪‬‬
                                                              ‫‪‬‬

                             ‫اط مطأق أماط ا طرل ر نج ا حط ال حلرحت حل حت‬
                              ‫ر‬                                                               ‫حأع حلا طرل‬


‫___________________________________________________‬
                       ‫-362-‬
‫حل المعادالت التفاضلية باستخدام المتسلسالت الالنهائية‬

 ‫ تا أ ام ي ي ي‬x  1 ‫ ني ي يير‬y  y  x ‫دي ي يير عي ي ييل حلا طرل ي ي ي حلحلطلي ي ييأم‬   : )6-8( ‫مثااااااال‬
                                                                                                 y(0)  1
                                                     ‫حلع ييل‬
  ‫أي حلصي ة (6.76) لححنط ييو اييال طرمقي ر نييج ا حييط ح‬
                                               ‫ر‬                             ‫ن مير احطتي حلا طرلي حلحلطلييأم‬
                                                                                                 ‫حلرحت حل حت‬
                                                                                                  ‫ر‬
                                         y  x  y, y(0)  1
                                ‫ نعصل أ‬h  0.1 ‫أ ح حتطر حل‬                        f ( x, y )  x  y ‫اناط‬
k1  f  x i , yi                                     k1  x i  yi
               1           1                                    1        1
k 2  f  x i  h , yi  k1h                         k 2  x i  h  yi  k1h
               2           2                                    2        2
               1           1                                    1        1
k3  f  x i  h , yi  k 2h                         k 3  x i  h  yi  k 2h
               2           2                                    2        2
k 4  f  x i  h , yi  k 3h                         k 4  x i  h  yi  k 3h ,
                 1
yi 1  yi        k1  2k 2  2k3  k 4  h
                 6
                                            ) y0  1, x0  0 ‫ ( اال حل أك ل‬i  0 ‫ق نر‬
k1  x i  yi  0  1  1
            1          1
k 2  x i  h  yi  k1h  0  (0.5)(0.1)  1  (0.5)(1)(0.1)  0.9
            2          2
            1          1
k3  x i  h  yi  k 2h  0  (0.5)(0.1)  1  (0.5)(0.9)(0.1)  0.9050
            2          2
k 4  x i  h  yi  k3h  0  0.1  1  (0.9050)(0.1)  0.8095
               1
y1  y 0        k1  2k 2  2k3  k 4  h
               6
            1
y1  1        1  2 * (0.9)  2 * (0.9050)  0.8095  (0.1)  0.9097
            6




___________________________________________________
                       -264-
‫الباب السادس‬

                                                                                          ‫نالعظ ححطتال حلقمك ال حلدر ل حلحطل‬

   ‫‪i‬‬    ‫) ‪x(i‬‬       ‫)‪y (i‬‬                ‫1‪k‬‬                        ‫2‪k‬‬                      ‫3‪k‬‬                     ‫4‪k‬‬          ‫)1 ‪y(i ‬‬
   ‫2‬     ‫0.0‬         ‫1‬                   ‫1-‬                   ‫9.0-‬                    ‫509.0-‬                    ‫5908.0-‬       ‫7909.0‬
   ‫6‬     ‫1.0‬     ‫7909.0‬            ‫86908.0-‬                ‫91917.0-‬                 ‫27327.0-‬                    ‫3736.0-‬       ‫64738.0‬
   ‫6‬     ‫2.0‬     ‫64738.0‬           ‫64736.0-‬                ‫95555.0-‬                 ‫86955.0-‬                    ‫94184.0-‬      ‫6187.0‬
   ‫3‬     ‫3.0‬     ‫6187.0‬            ‫46184.0-‬                ‫65704.0-‬                 ‫62114.0-‬                    ‫15043.0-‬      ‫6047.0‬
   ‫4‬     ‫4.0‬     ‫6047.0‬            ‫46043.0-‬                ‫16372.0-‬                 ‫69672.0-‬                    ‫49212.0-‬      ‫1317.0‬
   ‫5‬     ‫5.0‬     ‫1317.0‬            ‫60312.0-‬                ‫14251.0-‬                 ‫44551.0-‬                ‫815790.0-‬         ‫6796.0‬
   ‫6‬     ‫6.0‬     ‫6796.0‬        ‫426790.0-‬                   ‫347240.0-‬                ‫784540.0-‬               ‫8429600.0‬         ‫2396.0‬
   ‫7‬     ‫7.0‬     ‫2396.0‬        ‫8828600.0‬                   ‫784650.0‬                 ‫400450.0‬                    ‫34101.0‬       ‫7896.0‬
   ‫8‬     ‫8.0‬     ‫7896.0‬                ‫43101.0‬              ‫72641.0‬                  ‫30441.0‬                    ‫49681.0‬       ‫1317.0‬
   ‫6‬     ‫9.0‬     ‫1317.0‬                ‫68681.0‬              ‫25722.0‬                  ‫84522.0‬                    ‫13462.0‬       ‫8537.0‬

                ‫جدول (2-6): اثطل أ طرمق ر نج ا حط ال حلرحت حل حت‬
                 ‫ر‬
‫حللييرق اييط تييمل حلعييل حلحقرمت ي تط ييحخرحك طرمقي ر نييج‬                                ‫حل ييال حلحييطل (8-6) م ل ي‬
‫ا حيط ايل حلرحتي حل حت ي 4‪ RK‬حلعيل حلحيطك، ايل حلنحيط ج نالعيظ ل طرمقي 4‪ RK‬ايل رق‬
                                                            ‫ر‬
                                                                                          ‫حلحلطلأم‬          ‫حلطرق لعل حأع حلا طرق‬
                              ‫1‬
                                                                                                    ‫4‪RK‬‬
                                                                                                    ‫‪Exact‬‬
                            ‫59.0‬



                             ‫9.0‬



                            ‫58.0‬



                             ‫8.0‬



                            ‫57.0‬



                             ‫7.0‬



                            ‫56.0‬
                                   ‫0‬     ‫1.0‬   ‫2.0‬   ‫3.0‬     ‫4.0‬        ‫5.0‬   ‫6.0‬   ‫7.0‬     ‫8.0‬   ‫9.0‬       ‫1‬




  ‫4‪ RK‬حلعل حلحطك‬            ‫شكل (8-6): نحط ج حلعل تط حخرحك طرمق ر نج ال حلرحت حل حت‬
                             ‫ر‬

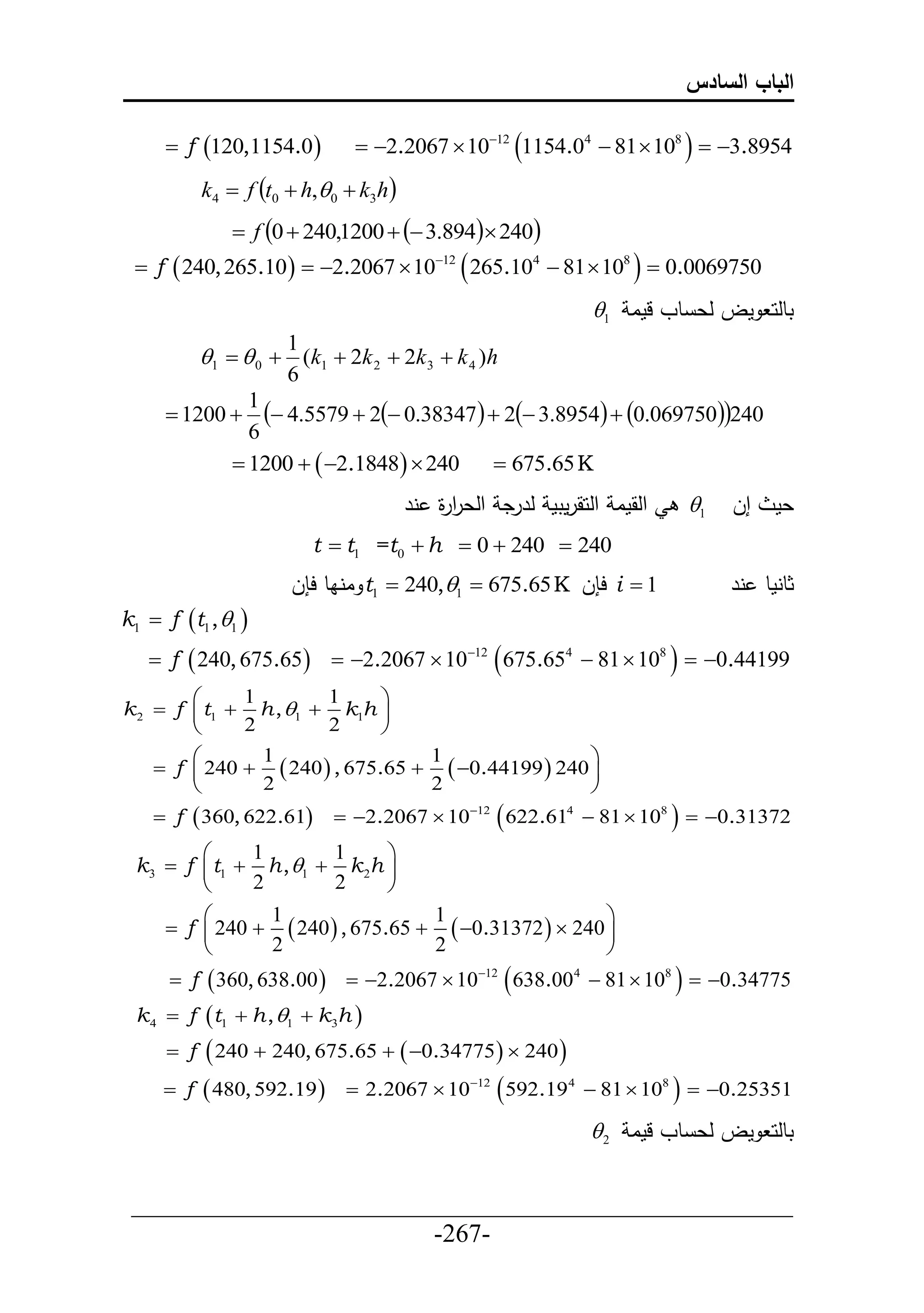
 ‫مثااال (9-6) : اي ة رردي عررحاييط 2266 األييل، ييا لاييط لأحترميير حي حلاي حء نيير رردي‬
                                                             ‫ح‬       ‫ر‬
  ‫يط‬    ‫حلع ير ة لأ ييط حلاعييمط اقييرحر ط 223 األييل. ت ي حح حل ل حلع ير ة حلالق ي رة نحمد ي ل‬
                            ‫حر‬          ‫ر‬                                              ‫حر‬
                    ‫أ إ حتطر ل حلا طرل حلحلطلأم حلحطلم حاثل ررد عر ة حلا ة .‬
                      ‫حر ر‬                                                                                                          ‫حقط،‬


‫___________________________________________________‬
                       ‫-562-‬
‫حل المعادالت التفاضلية باستخدام المتسلسالت الالنهائية‬

                 ‫‪d‬‬
                 ‫‪dt‬‬
                                                 ‫‪‬‬
                     ‫‪ 2.2067 1012  4  81108 , 0  1200 K‬‬  ‫‪‬‬
‫‪ ‬حاثييل ررد ي حلع ير ة تييطلاألل حاثييل ‪ t‬حلييلال تطلثطنم ي . ديير ررد ي حلع ير ة نيير‬
     ‫حر‬                                                         ‫حر‬                                     ‫عم ي‬
 ‫084 ‪ t ‬ثطنم تط حخرحك طرمق ر نج ا حط لأرحت حل حت . تطحح حل ط ل حلخط ة246 ثطنم‬
                     ‫ر‬         ‫ر‬
                                                     ‫حلعل‬
  ‫أي حلصي ة (76.6) لححنط ييو اييال طرمقي ر نييج ا حييط ح‬
                                               ‫ر‬                            ‫ن مير احطتي حلا طرلي حلحلطلييأم‬
                                                                                                ‫حلرحت حل حت‬
                                                                                                 ‫ر‬
                  ‫‪d‬‬
                     ‫‪ 2.2067  1012  4  81  108 ‬‬
                  ‫‪dt‬‬
                  ‫‪ f t ,    2.2067  1012  4  81  108 ‬‬
                                                                      ‫نق ك تطلح مل ح ا طرل 4‪RK‬‬
                                              ‫1‬                             ‫‪‬‬
                             ‫‪ i 1   i ‬‬      ‫‪k1  2k 2  2k3  k 4  h ‬‬
                                              ‫6‬                             ‫‪‬‬
                             ‫‪k1 ‬‬   ‫‪f  t i , i ‬‬                          ‫‪‬‬
                                                                            ‫‪‬‬
                                      ‫‪‬‬          ‫1‬         ‫1‬     ‫‪‬‬          ‫‪‬‬
                             ‫‪k2 ‬‬   ‫‪f  ti  h ,i  k1h ‬‬                  ‫‪‬‬
                                      ‫‪‬‬          ‫2‬         ‫2‬     ‫‪‬‬          ‫‪‬‬
                                      ‫‪‬‬          ‫1‬         ‫1‬     ‫‪‬‬          ‫‪‬‬
                             ‫‪k3 ‬‬   ‫‪f  ti  h ,i  k 2h ‬‬                 ‫‪‬‬
                                      ‫‪‬‬          ‫2‬         ‫2‬     ‫‪‬‬          ‫‪‬‬
                             ‫‪k4 ‬‬   ‫‪f ti  h ,i  k 3h ‬‬                  ‫‪‬‬
                                                                            ‫‪‬‬

                                         ‫ق نر 0 ‪ i ‬ح ل ‪ t0  0,0  1200K‬اناط ح ل‬
                                              ‫‪k1  f t0 , 0 ‬‬
              ‫9755.4‪ f  0,1200   2.2067  1012 12004  81  108   ‬‬
                ‫‪‬‬     ‫1‬       ‫1‬    ‫‪‬‬
         ‫‪k2  f  t0  h, 0  k1h ‬‬
                ‫‪‬‬     ‫2‬       ‫2‬    ‫‪‬‬
                 ‫‪‬‬                                  ‫‪‬‬
            ‫‪ f  0  240,1200   4.5579  240 ‬‬
                      ‫1‬              ‫1‬
                 ‫‪‬‬    ‫2‬              ‫2‬              ‫‪‬‬
    ‫74383.0‪ f 120, 653.05  2.2067  1012  653.054  81  108   ‬‬
                 ‫‪‬‬      ‫1‬       ‫1‬      ‫‪‬‬
         ‫‪k 3  f  t 0  h, 0  k 2 h ‬‬
                 ‫‪‬‬      ‫2‬       ‫2‬      ‫‪‬‬
                  ‫‪‬‬                                    ‫‪‬‬
             ‫‪ f  0  240,1200   0.38347   240 ‬‬
                        ‫1‬              ‫1‬
                  ‫‪‬‬     ‫2‬              ‫2‬               ‫‪‬‬


‫___________________________________________________‬
                       ‫-662-‬
‫الباب السادس‬

       f 120,1154.0        2.2067  1012 1154.04  81  108   3.8954
          k4  f t0  h,0  k3h
               f 0  240,1200   3.894 240
  f  240, 265.10   2.2067  1012  265.104  81  108   0.0069750
                                                           1 ‫تطلح مل لع طو لما‬
                    1
          1   0  (k1  2k 2  2k 3  k 4 )h
                    6
      1200 
                1
                   4.5579  2 0.38347  2 3.8954  0.069750240
                6
               1200   2.1848  240     675.65 K
                                     ‫حلقما حلحقرمتم لررد حلعر ة نر‬
                                        ‫حر‬                           1   ‫إل‬   ‫عم‬
                        t  t1 =t0  h  0  240  240
                     ‫ اناط ح ل‬t1  240,1  675.65 K ‫ ح ل‬i  1            ‫ثطنمط نر‬
k1  f t1 , 1 
    f  240, 675.65  2.2067  1012  675.654  81  108   0.44199
             1        1      
k 2  f  t1  h , 1  k1h 
             2        2      
               1                 1                 
     f  240   240  , 675.65   0.44199  240 
               2                 2                 
     f  360, 622.61      2.2067  1012  622.614  81  108   0.31372
             1        1      
 k3  f  t1  h , 1  k 2h 
             2        2      
               1                 1                   
     f  240   240  , 675.65   0.31372   240 
               2                 2                   
       f  360, 638.00   2.2067  1012  638.004  81  108   0.34775
 k 4  f t1  h , 1  k3h 
       f  240  240, 675.65   0.34775   240 
      f  480, 592.19      2.2067  1012  592.194  81  108   0.25351

                                                            2 ‫تطلح مل لع طو لما‬


 ___________________________________________________
                        -267-
‫حل المعادالت التفاضلية باستخدام المتسلسالت الالنهائية‬

           ‫1‬
‫‪ 2  1  (k1  2k 2  2k3  k 4 )h‬‬
           ‫6‬
    ‫‪ 675.65 ‬‬
              ‫1‬
              ‫6‬
                ‫042 ‪ 0.44199  2  0.31372   2  0.34775    0.25351  ‬‬
              ‫1‬
    ‫042 ‪ 675.65   2.0184  ‬‬     ‫‪ 594.91 K‬‬
              ‫6‬
                                        ‫حلقما حلحقرمتم لررد حلعر ة نر‬
                                           ‫حر‬                                  ‫إل 2 ‪‬‬       ‫عم‬
                         ‫084 ‪t  t 2 =t1  h  240  240 ‬‬
    ‫در عل حلا طرل حلحلطلأم ح حلاثطل حل طتق نر 04 ‪ t ‬رلمق‬                 ‫مثال (01-6) :‬
                                                                         ‫اثل حلنطحج تمطنمط.‬
                                            ‫حلعل‬
‫أي حلصي ة (76.6)‬
       ‫ر‬                  ‫ي ف نقي ك تحصييامك ترنييطاج قمدييطر عييل ي ا طرلي حلطلييأم‬
  ‫إرخيطل ت يل حلتمطنيط‬     ‫معحطج حلترنطاج إل‬   ‫عم‬    ‫تط حخرحك طرمق ر نج ا حط لأرحت حل حت‬
                                                      ‫ر‬
                                                                                   ‫ااط مأ :‬
                                ‫إرخطل لما ط ل حلخط ة ‪ Step Size‬نرال لاط تطلرال ‪h‬‬
‫إرخييطل حلرحل ي ) ‪ f (x , y‬لأا طرل ي حلحلطلييأم ت يير ل ي اط أ ي حلص ي ة (76.6) نراييل لاييط‬
                    ‫ر‬
                                                                           ‫تطلرال ) ‪f (x , y‬‬
                                       ‫لما ال ال 0 ‪. y 0 ، x‬‬           ‫إرخطل حل رط حقتحرح‬
                    ‫إرخطل لما ‪ x‬حلاطأ و نر ط ع طو لما ‪ y‬نرال لاط تطلرال ‪xf‬‬


                 ‫حتط ط ااط مظار ح حلنطح ة حلحطلم‬     ‫نر حنلم حلترنطاج نق ك ت رخطل حلتمطنط‬

‫042=‪step size‬‬
‫)8^01*18-4^‪the function f(x,y)=-2.2067*10^(-12)*(y‬‬
‫0=0‪x‬‬
‫0021=0‪y‬‬
‫0042=‪xf‬‬
‫>>‬




‫___________________________________________________‬
                       ‫-862-‬
‫الباب السادس‬



          clc
          clear all
          syms f x y
          h = input('step size=');
          f = input('the function f(x,y)=');
          X(1) = input('x0=');
          Y(1) = input('y0=');
          xf = input('xf=');
          for i=1:(xf-X(1))/h

            y=Y(i);
            x=X(i);
            k1=subs(f);

            y=Y(i)+0.5*k1*h;
            x=X(i)+0.5*h;
            k2=subs(f);

            y=Y(i)+0.5*k2*h;
            x=X(i)+0.5*h;
            k3=subs(f);
            y=Y(i)+k3*h;
             x=X(i)+h;
             k4=subs(f);
             Y(i+1)=Y(i)+(1/6)*(k1+2*k2+2*k3+k4)*h;
             X(i+1)=X(i)+h;
          end
          plot (X,Y,'b.') % numerical solution
 ‫أ حلص ة (76.6) تط حخرحك طرمق‬
                      ‫ر‬           ‫برنامج (6-6): إمدطر عل ي ا طرل حلطلأم‬
                            ‫ر نج ا حط لأرحت حل حت‬
                             ‫ر‬


  42 ‫ماثل ال(9-6) حغمر ررد حلعر ة اال حللال، حا ل ررد حلعر ة ت ر ال‬
            ‫حر‬                         ‫حر‬
                                                     ‫6.424 األل‬      ‫رلمق‬

___________________________________________________
                       -269-
‫حل المعادالت التفاضلية باستخدام المتسلسالت الالنهائية‬



          ‫0021‬



          ‫0011‬



          ‫0001‬



          ‫009‬



          ‫008‬
      ‫‪y‬‬




          ‫007‬



          ‫006‬



          ‫005‬



          ‫004‬
                 ‫0‬          ‫005‬           ‫0001‬       ‫0051‬      ‫0002‬       ‫0052‬
                                                 ‫‪t‬‬




                     ‫شكل (9-6) : حغمر ررد حلعر ة تطلاألل اال حللال‬
                                       ‫حر‬




‫___________________________________________________‬
                       ‫-072-‬
‫الباب السادس‬


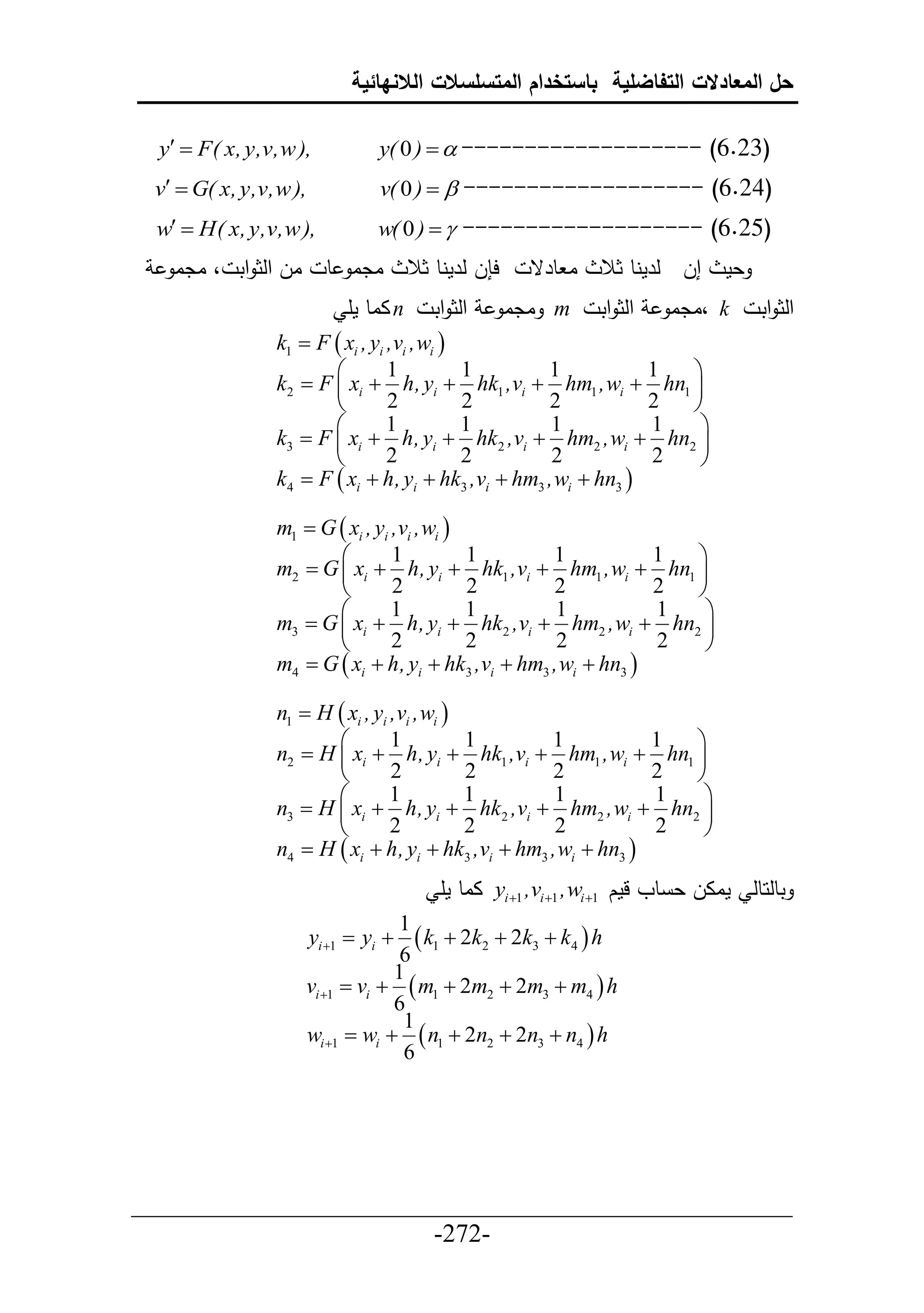
‫ابع ا : طريقة رونج كوتا من الرتبة ال ابعة لحل مجموعة من المعادالت‬
                           ‫ر‬                                    ‫ر‬
                            ‫التفاضلية ذات الرتبة األولى‬
               ‫أ حلص ة‬
               ‫ر‬             ‫تلرل ل لرمنط ا طرلحمل ال حلرحت حأل ل تقمك حتحرح م ا أ ا‬
     ‫,) ‪y  F( x, y,v‬‬          ‫)12.6( ------------------- ‪y( 0 )  ‬‬
     ‫,) ‪v  G( x, y,v‬‬           ‫)22.6( ------------------- ‪v( 0 )  ‬‬
          ‫إل لرمنط ا طرلحمل حلطلأمحمل ح ل لرمنط ادا حمل ال لمك حلث حت ، ادا‬                ‫عم‬
                                                  ‫‪ m‬ااط مأ‬    ‫حلث حت‬       ‫‪ k‬ادا‬         ‫حلث حت‬
                           ‫‪k1  F  xi , yi ,vi ‬‬
                                  ‫‪‬‬         ‫1‬      ‫1‬          ‫1‬  ‫‪‬‬
                           ‫‪k2  F  xi  h, yi  hk1 ,vi  hm1 ‬‬
                                  ‫‪‬‬         ‫2‬      ‫2‬          ‫2‬  ‫‪‬‬
                                  ‫‪‬‬         ‫1‬      ‫1‬           ‫1‬ ‫‪‬‬
                           ‫‪k3  F  xi  h, yi  hk2 ,vi  hm2 ‬‬
                                  ‫‪‬‬         ‫2‬      ‫2‬           ‫2‬ ‫‪‬‬
                           ‫‪k4  F  xi  h, yi  k3h,vi  hm3 ‬‬

                           ‫‪m1  G  xi , yi ,vi ‬‬
                                  ‫‪‬‬         ‫1‬      ‫1‬          ‫1‬  ‫‪‬‬
                           ‫‪m2  G  xi  h, yi  hk1 ,vi  hm1 ‬‬
                                  ‫‪‬‬         ‫2‬      ‫2‬          ‫2‬  ‫‪‬‬
                                  ‫‪‬‬         ‫1‬      ‫1‬           ‫1‬ ‫‪‬‬
                           ‫‪m3  G  xi  h, yi  hk2 ,vi  hm2 ‬‬
                                  ‫‪‬‬         ‫2‬      ‫2‬           ‫2‬ ‫‪‬‬
                           ‫‪m4  G  xi  h, yi  k3h,vi  hm3 ‬‬
‫‪ m‬حخييا‬       ‫‪ k‬حخييا حلا طرل ي )12.6( ح ي عييمل ل حلث حت ي‬         ‫قعييظ نييط ل لييمك حلث حت ي‬
                                                                           ‫حلا طرل )22.6(‬
                                             ‫ماال ع طو لمك 1‪ yi 1 ,vi ‬ااط مأ‬          ‫تطلحطل‬
                                      ‫1‬
                         ‫‪yi 1  yi ‬‬   ‫‪ k1  2k2  2k3  k4  h‬‬
                                      ‫6‬
                                     ‫1‬
                         ‫‪vi 1  vi   m1  2m2  2m3  m4  h‬‬
                                     ‫6‬
 ‫ح‬     ‫حلحلطليأم‬   ‫ماال ااط تق ح حنحطج طرمقي ر نيج ا حيط ألي يرر ايل حلا يطرق‬
     ‫حلطلأم ما ل عأاط أ حلنع حلحطل‬        ‫ا طرق‬    ‫ال ثال‬     ‫حلرحت حأل ل ، تلرل ادا‬



‫___________________________________________________‬
                       ‫-172-‬
‫حل المعادالت التفاضلية باستخدام المتسلسالت الالنهائية‬

  y  F( x, y,v,w ),           y( 0 )   ------------------- (6.23)
 v  G( x, y,v,w ),             v( 0 )   ------------------- (6.24)
 w  H( x, y,v,w ),            w( 0 )   ------------------- (6.25)
   ‫ال حلث حت ، ادا‬       ‫ادا ط‬         ‫ح ل لرمنط ثال‬     ‫ا طرق‬   ‫إل لرمنط ثال‬    ‫عم‬
                            ‫ ااط مأ‬n      ‫حلث حت‬       ‫ ادا‬m     ‫حلث حت‬   ‫ ،ادا‬k      ‫حلث حت‬
                k1  F  xi , yi ,vi ,wi 
                                1         1        1           1 
                k2  F  xi  h, yi  hk1 ,vi  hm1 ,wi  hn1 
                                2         2        2           2 
                                1         1         1          1  
                k3  F  xi  h, yi  hk 2 ,vi  hm2 ,wi  hn2 
                                2         2         2          2  
                k4  F  xi  h, yi  hk3 ,vi  hm3 ,wi  hn3 

                m1  G  xi , yi ,vi ,wi 
                                1         1        1           1 
                m2  G  xi  h, yi  hk1 ,vi  hm1 ,wi  hn1 
                                2         2        2           2 
                                1         1         1          1  
                m3  G  xi  h, yi  hk2 ,vi  hm2 ,wi  hn2 
                                2         2         2          2  
                m4  G  xi  h, yi  hk3 ,vi  hm3 ,wi  hn3 

                n1  H  xi , yi ,vi ,wi 
                                1         1        1           1 
                n2  H  xi  h, yi  hk1 ,vi  hm1 ,wi  hn1 
                                2         2        2           2 
                                1         1         1          1  
                n3  H  xi  h, yi  hk 2 ,vi  hm2 ,wi  hn2 
                                2         2         2          2  
                n4  H  xi  h, yi  hk3 ,vi  hm3 ,wi  hn3 
                                           ‫ ااط مأ‬yi 1 ,vi 1 ,wi 1 ‫تطلحطل ماال ع طو لمك‬
                                  1
                       yi 1  yi   k1  2k2  2k3  k4  h
                                  6
                                 1
                     vi 1  vi   m1  2m2  2m3  m4  h
                                 6
                                  1
                     wi 1  wi   n1  2n2  2n3  n4  h
                                  6




___________________________________________________
                       -272-
‫الباب السادس‬


‫خامس ا : طريقة رونج كوتا من الرتبة ال ابعة لحل المعادالت التفاضلية‬
                           ‫ر‬
                                         ‫من الرتبة الثانية‬
                                         ‫أ حلص ة‬
                                         ‫ر‬                    ‫تلرل حلا طرل حلحلطلأم ال حلرحت حلثطنم‬
      ‫,) ‪y  f ( x, y, y‬‬       ‫, ‪y( 0 )  ‬‬            ‫)62.6( ------------ ‪y( 0 )  ‬‬
 ‫أي‬       ‫حلرحت حأل ل‬     ‫ح‬   ‫حلحلطلأم‬    ‫ال حلا طرق‬               ‫ادا‬          ‫تحع مل حلا طرل حلحلطلأم إل‬
                                                                                                      ‫حلنع حلحطل‬
         ‫,‪y  v‬‬
         ‫,) ‪v  f ( x, y,v‬‬
                               ‫, ‪y( 0 )  ‬‬
                               ‫‪v( 0 )  ‬‬      ‫)72.6( -------------------‪‬‬
 ‫حلررد ي حأل ل ي‬       ‫ادا ي اييل ا ييطرق‬          ‫إل ي‬     ‫تا ي ح ح ي ل ا طرل ي حلررد ي حلثطنم ي ليير حع ل ي‬
                                                                           ‫حلح ما ل عأاط أ حلص ة‬
                                                                           ‫ر‬
  ‫‪k1  vi‬‬
  ‫1‪k2  vi  0.5hm‬‬
  ‫2‪k3  vi  0.5hm‬‬
  ‫3‪k4  vi  hm‬‬

  ‫‪m1  f  xi , yi ,vi ‬‬
         ‫‪‬‬         ‫1‬      ‫1‬           ‫1‬      ‫‪‬‬      ‫‪‬‬      ‫1‬      ‫1‬          ‫1‬    ‫‪‬‬
  ‫‪m2  f  xi  h, yi  hk1 ,vi  hm1   f  xi  h, yi  hvi ,vi  hm1 ‬‬
         ‫‪‬‬         ‫2‬      ‫2‬           ‫2‬      ‫‪‬‬      ‫‪‬‬      ‫2‬      ‫2‬          ‫2‬    ‫‪‬‬
         ‫‪‬‬         ‫1‬      ‫1‬           ‫1‬       ‫‪‬‬     ‫‪‬‬      ‫1‬      ‫1‬        ‫2 1‬      ‫1‬ ‫‪‬‬
  ‫‪m3  f  xi  h, yi  hk2 ,vi  hm2   f  xi  h, yi  hvi  h m1 ,vi  hm2 ‬‬
         ‫‪‬‬         ‫2‬      ‫2‬           ‫2‬       ‫‪‬‬     ‫‪‬‬      ‫2‬      ‫2‬        ‫4‬        ‫2‬ ‫‪‬‬
                                            ‫‪‬‬                   ‫2 1‬             ‫‪‬‬
  ‫‪m4  f  xi  h, yi  hk3 ,vi  hm3   f  xi  h, yi  hvi  h m2 ,vi  hm3 ‬‬
                                            ‫‪‬‬                   ‫2‬               ‫‪‬‬
 ‫‪ k‬لي ييع ت ي ييتو ا ي ي ل ‪ y   v‬رحل ي ي ح ي ي‬          ‫لادا ي ي حلث حت ي ي‬     ‫قعي ييظ حلحغمي يير حل ي ي ي عي يير‬
      ‫أ حلنع حلحطل‬       ‫حا ل لمك ‪y ,v‬‬        ‫حلاحغمر ‪ v‬حقط تمر ا حارة أ حلاحغمرمل ‪x , y‬‬
                     ‫1‬
        ‫‪yi 1  yi ‬‬   ‫‪ k1  2k2  2k3  k4  h‬‬
                     ‫6‬
                     ‫1‬
              ‫‪ yi   vi   2  vi  0.5hm1   2  vi  0.5hm2    vi  hm3   h‬‬
                     ‫‪6‬‬                                                             ‫‪‬‬
                           ‫1‬
              ‫2 ‪=yi  hvi   m1  m2  m3  h‬‬
                           ‫6‬
                    ‫1‬
        ‫‪vi 1  vi   m1  2m2  2m3  m4  h‬‬
                    ‫6‬
                                      ‫نالعظ نط ل حلا طرق خطلم حاطاط ال حلاحغمر ‪k‬‬
                                          ‫ح‬

‫___________________________________________________‬
                       ‫-372-‬
‫حل المعادالت التفاضلية باستخدام المتسلسالت الالنهائية‬

‫ تط ل خط ة اقرح م‬x  1 ‫نر‬
‫ر‬                                  ‫در عل ا نل حلقمك حقتحرح م حلحطلم‬    : )6-11( ‫مثال‬
                                                                               h  0.1
                y   xy   y  3  5x , y ( 0 )  1, y ( 0 )  0
                                          2


                                          ‫الحل‬
     ‫حلررد‬     ‫ال ا طرق‬      ‫ادا‬      ‫تحع مل حلا طرل حلحلطلأم ال حلرحت حلثطنم إل‬
                                                                                    ‫حأل ل‬
                      y  v ,                       y ( 0)  1
                      v   3  5x 2  xv  y ,      v ( 0)  0
        f ( x , y ,v )  3  5x 2  xv  y       ‫تاقطرنحاط تطلا طرل (76.6) ن حنحج ل‬
                                              : ‫ ح ل‬y ( 0 )  0, v ( 0 )  1   ‫إل‬   ‫عم‬
                            x0  0, y0  1, v0  0, h  0.1 ‫ ح ل‬i  0 ‫ق: نر‬
  m1  f  x0 , y0 ,v0   f  0,1, 0   3  5 x0 2  x0v0  y0 =2.000
                 1         1             1      
  m2  f  xi  h, yi  hvi ,vi  hm1   f ( 0.05,1, 0.1 )  2.008
                 2          2            2      
                 1         1          1 2            1      
  m3  f  xi  h, yi  hvi  h m1 ,vi  hm2   f ( 0.05,1.005,1.004 ) =2.002
                 2         2          4              2      
                                1 2                  
  m4  f  xi  h, yi  hvi  h m3 ,vi  hm3   f ( 0.1,1.01,0.2002 )  2.01998
                                2                    
                                  1
                yi 1  yi  hvi    m1  m2  m3  h 2
                                  6
                                     1
                 y1  y0  hv0   m1  m2  m3  h 2  1.0100
                                     6
                            1
                vi 1  vi   m1  2m2  2m3  m4  h
                            6
                              1
                 v1  v0   m1  2m2  2m3  m4  h  0.2007
                              6
             x1  0.1, y1  1.01, v1  0.2007, h  0. 1 ‫ ح ل‬i  1 ‫ثطنمط : ت لال‬
m1  f  x1 , y1 ,v1   2.020
                1        1        1     
m2  f  xi  h, yi  hvi ,vi  hm1   2.047
                2        2        2     
               1         1     1 2         1      
m3  f  xi  h, yi  vi h  h m2 ,vi  hm2   2.042
               2         2      4          2      
                            1 2            
m4  f  xi  h, yi  vi h  h m3 ,vi  hm3   2.079
                            2              

___________________________________________________
                       -274-
‫الباب السادس‬

                            ‫1‬
           ‫‪yi 1  yi  hvi ‬‬ ‫2 ‪ m1  m2  m3  h‬‬
                            ‫6‬
                               ‫1‬
          ‫3040.1 ‪ y2  y2  hv1   m1  m2  m3  h 2 ‬‬
                               ‫6‬
                      ‫1‬
          ‫‪vi 1  vi   m1  2m2  2m3  m4  h‬‬
                      ‫6‬
                        ‫1‬
          ‫3504.0 ‪ v2  v1   m1  2m2  2m3  m4  h ‬‬
                        ‫6‬
                                                         ‫تحا حر اط تق نعصل أ‬
                                                                       ‫ر‬
                    ‫,3190.1 ‪y3 ‬‬        ‫6716.0 ‪v3 ‬‬
                    ‫,2461.1 ‪y4 ‬‬        ‫0148.0 ‪v4 ‬‬
                    ‫,0062.1 ‪y5 ‬‬        ‫3870.1 ‪v5 ‬‬
                    ‫,4083.1 ‪y6 ‬‬        ‫8133.1 ‪v6 ‬‬
                    ‫,0725.1 ‪y7 ‬‬        ‫8206.1 ‪v7 ‬‬
                    ‫,5107.1 ‪y8 ‬‬        ‫1298.1 ‪v8 ‬‬
                    ‫,0609.1 ‪y9 ‬‬        ‫6991.2 ‪v9 ‬‬
                    ‫,0241.2 ‪y10 ‬‬       ‫6425.2 ‪v10 ‬‬
                       ‫ماال حصامك ترنطاج لمق ك تاط حك ح حلاثطل حل طتق ااط مأ‬
                            ‫ااط مأ‬   ‫إرخطل ت ل حلتمطنط‬      ‫معحطج حلترنطاج إل‬   ‫عم‬
                       ‫إرخطل لما ط ل حلخط ة ‪ Step Size‬مرال لاط تطلرال ‪h‬‬
      ‫إرخطل حلرحل ) ‪ f (x, y,v‬لأا طرل حلحلطلأم ت ر ل اط أ حلص ة (76.6)‬
             ‫ر‬
                           ‫لما ال ال 0 ‪. v 0 ، y 0 ، x‬‬         ‫إرخطل حل رط حقتحرح‬
         ‫إرخطل لما ‪ x‬حلاطأ و نر ط ع طو لما ‪ v ، y‬نرال لاط تطلرال ‪xf‬‬




‫___________________________________________________‬
                       ‫-572-‬
‫حل المعادالت التفاضلية باستخدام المتسلسالت الالنهائية‬



        clc
        clear all
        syms f x y v
        h = input('step size=');
        f = input('the function f(x,y,v)=');
        X(1) = input('x0=');
        Y(1) = input('y(x0)=');
        V(1)= input('v(x0)=');
        xf = input('xf=');
        for i=1:(xf-X(1))/h

          y=Y(i);
          x=X(i);
          v=V(i);
          m1=subs(f);

          x=X(i)+0.5*h;
          y=Y(i)+0.5*h*V(i);
          v=V(i)+0.5*h*m1;
          m2=subs(f);

          x=X(i)+0.5*h;
          y=Y(i)+0.5*h*V(i)+0.25*h^2*m1;
          v=V(i)+0.5*h*m2;
          m3=subs(f);

           x=X(i)+h;
           y=Y(i)+h*V(i)+0.5*h^2*m2;
           v=V(i)+h*m3;
           m4=subs(f);
           Y(i+1)=Y(i)+h*V(i)+(1/6)*(m1+m2+m3)*h^2;
           V(i+1)=V(i)+(1/6)*(m1+2*m2+2*m3+m4)*h;
           X(i+1)=X(i)+h;
        end
         subplot(1,2,1)
         plot (X,Y,'b.') % numerical solution
         subplot(1,2,2)
        plot (X,V,'b.') % numerical solution

‫حلحلطلأم ال حلرحت حلثطنم تط حخرحك طرمق ر نج‬       ‫برنامج (7-6): حمدطر عل حلا طرق‬
                                   ‫ا حط لأرحت حل حت‬
                                    ‫ر‬

___________________________________________________
                       -276-
‫الباب السادس‬

                ‫حتط ط ااط مظار ح حلنطح ة حلحطلم‬                              ‫نر حنلم حلترنطاج نق ك ت رخطل حلتمطنط‬
          ‫1.0=‪step size‬‬
          ‫‪the function f(x,y,v)=3+5*x^2-x*v-y‬‬
          ‫0=0‪x‬‬
          ‫1=)0‪y(x‬‬
          ‫0=)0‪v(x‬‬
          ‫1=‪xf‬‬
          ‫>>‬


                                                              ‫ال (26-6)‬                       ‫ح حلترنطاج ح‬      ‫حظار نحط ج‬

                    ‫4.2‬                                             ‫3‬



                    ‫2.2‬
                                                                   ‫5.2‬


                     ‫2‬
                                                                    ‫2‬


                    ‫8.1‬

                                                                   ‫5.1‬
                ‫‪Y‬‬




                                                               ‫‪V‬‬




                    ‫6.1‬


                                                                    ‫1‬
                    ‫4.1‬


                                                                   ‫5.0‬
                    ‫2.1‬



                     ‫1‬                                              ‫0‬
                          ‫0‬   ‫2.0‬   ‫4.0‬       ‫6.0‬   ‫8.0‬   ‫1‬              ‫0‬    ‫2.0‬   ‫4.0‬       ‫6.0‬   ‫8.0‬   ‫1‬
                                          ‫‪X‬‬                                               ‫‪X‬‬




                     ‫شكل (11-6) : حل الل اطتمل ال ال ‪ y,v‬اال ‪x‬‬

‫يال‬    ‫مثال (21-6) : تليرل دي ر تنير ل ا أيق نير حلنقطي ‪ o‬طي ل ر يد اايط حي‬
                  ‫ح‬
‫(66-6) ليد احأي اقيرحر ط ‪ m‬ارال ييط نير حلنقطي ‪ P‬تلييرل ل ‪ ‬ي حلل مي تطلحقييرمر‬
              ‫ح‬
 ‫حلييرح ي حلح ي مصيين اط ر حلتنيير ل اييال حلاع ي ر حلر ي ، ديير حلا طرل ي حلحلطلييأم حلح ي‬
                                                                  ‫ح‬                 ‫ر‬
                                                                                                              ‫حصف حلعرا .‬




                                ‫شكل (6-11) : صف عرا حلتنر ل‬

‫___________________________________________________‬
                       ‫-772-‬
‫حل المعادالت التفاضلية باستخدام المتسلسالت الالنهائية‬

                                                        ‫حلعل‬
 ‫حلا يينل حص ييف عراي ي ‪ P‬ت يير حع ي م ا ييل ل ييال حل ييا ل، ا ييل حلختي ير حل اأمي ي‬
           ‫ح‬                                     ‫يرر‬
‫حلتني يير ل‬    ‫ل عرا ي ي حلتني يير ل حخاي يير اي ييال حقي ييرك حلي ييلال ا ي ي لع حلي ييلال تي ييمل عراي ييط‬   ‫محل ي ي‬
                                                                                     ‫حلاحنردع حلاح طلت مقل .‬
 ‫حاي ل حلقي ة حلا يتت‬        ‫تلرل ل عرا ‪ P‬حعرر تط حخرحك حلا طرل حلرمنطامامي لنمي حل تعمي‬
                                                                                                               ‫لأعرا‬
                         ‫)82.6( ------------------- ‪Fe  ma‬‬
                      ‫2‪d‬‬
‫إل ط ي ي ل حلق ي ي ن ‪ NP‬م ي ييط ي ‪ ، ‬ح ي ي ل ‪ a  2      ‬اناي ييط ححع ي ي ل‬                             ‫عم ي ي‬
                      ‫‪dt‬‬
                                                                                              ‫حلا طرل (86.6) إل‬
                                              ‫‪Fe  ma  m  ‬‬
                 ‫ارات ل ة حلدط تم‬             ‫‪ ، P‬تلرل ل 1‪F‬‬                 ‫أ إ حتطر ل حلق ة ‪ F‬حؤثر أ‬
                                          ‫.0>‪F1  mg sin  , g‬‬
                                      ‫أ حلص ة‬
                                      ‫ر‬                           ‫حلق ة حلاخارة حلح‬          ‫تلرل ل حلق ة 2‪F‬‬
                                             ‫.0 ‪F2  c , c ‬‬
                                   ‫حا ل‬       ‫أ إحح حل إ اطل ي ل إل خ إل ، ح ل ل إل حلاقط ا‬
                                                                  ‫ر‬                 ‫ر‬
                                    ‫‪Fr  F2  F1  mg sin   c ‬‬
                                                        ‫أ حلنع حلحطل‬           ‫لع حا ل ا طرل حلعرا‬               ‫أ‬
                                                    ‫‪ c‬‬                      ‫‪  g‬‬         ‫‪‬‬
              ‫‪m    mg sin   c   0     ‬‬                        ‫‪  ‬‬         ‫0 ‪ sin  ‬‬
                                                    ‫‪m‬‬                       ‫‪‬‬    ‫‪‬‬         ‫‪‬‬
               ‫تطل ر ط حقتحرح م 0=)0(‪ ( 0 )   ,  ‬‬                      ‫حاثل ا طرل حلعرا لأتنر ل‬
‫ل‬       ‫مثااال (31-6) : صييف عراي حلتنيير ل حي حلاثييطل حل ييطتق خييالل 56 ثطنمي إ ح أاي‬
                                                ‫أ حلنع حلحطل‬           ‫حلا طرل حلحلطلأم حلح حصف عراح‬
                 ‫, 054 ‪    0.3   sin   0,  ( 0 ) ‬‬                        ‫0 ‪ ( 0 ) ‬‬
                                                       ‫أ ح حتطر ل ط ل حلخط ة اقرح م 10.0 ‪. h ‬‬
                                                                  ‫ر‬
                                                        ‫حلع ييل‬
              ‫نق ك تعأاط تط حخرحك طرمق 4‪RK‬‬                        ‫ق م در لحأع حلا طرل حلحلطلأم عل حعأمأ‬

‫___________________________________________________‬
                       ‫-872-‬
‫الباب السادس‬



       ‫أ حلنع حلحطل‬                   ‫حلررد حأل ل‬ ‫ال ا طرق‬     ‫ادا‬                           ‫نق ك تحع مل حلا طرل إل‬
                                  ‫, ‪  v‬‬               ‫1 ‪( 0) ‬‬
                                  ‫0 ‪v   0.3v  sin  , v ( 0 ) ‬‬
                                                 ‫نق ك تحنلم ترنطاج (7-6) لعل حأع حلا نل ااط مأ‬
                   ‫حتط ط ااط مظار ح حلنطح ة حلحطلم‬                       ‫نر ح غمل حلترنطاج نق ك ت رخطل حلتمطنط‬


‫1.0=‪step size‬‬
‫)‪the function f(x,y,v)=-0.3*v-sin(y‬‬
‫0=0‪x‬‬
‫1=)0‪y(x‬‬
‫4/‪v(x0)=pi‬‬
‫51=‪xf‬‬
‫>>‬


                                           ‫تطل ال (21-6)‬                  ‫ال‬           ‫نعصل أ حلانعن ااط‬

                   ‫5.1‬                                        ‫8.0‬


                                                              ‫6.0‬

                     ‫1‬
                                                              ‫4.0‬


                                                              ‫2.0‬

                   ‫5.0‬
                                                                ‫0‬
           ‫‪Theta‬‬




                                                          ‫‪V‬‬




                                                              ‫2.0-‬
                     ‫0‬

                                                              ‫4.0-‬


                                                              ‫6.0-‬
                   ‫5.0-‬

                                                              ‫8.0-‬


                    ‫1-‬                                         ‫1-‬
                          ‫0‬       ‫5‬         ‫01‬       ‫51‬              ‫0‬         ‫5‬        ‫01‬         ‫51‬
                                       ‫‪t‬‬                                           ‫‪t‬‬




                              ‫شكل (21-6) : حلعرا حلاخارة لعرا حلتنر ل‬




‫___________________________________________________‬
                       ‫-972-‬
‫حل المعادالت التفاضلية باستخدام المتسلسالت الالنهائية‬


      ‫سادسا : طريقة الفروق المحدوده لحل المعادالت التفاضلية العادية‬
 ‫حلحلطليأم حل طرمي‬      ‫ح حخرك طرمقي حللير ق حلاعير رم (‪ )Finite difference‬لعيل حلا يطرق‬
‫يطرة ايط‬     ‫حلح لديها شروط حدودية (‪ )boundary condition‬وليس نر نقطي حلترحمي حقيط.‬
     ‫نطأييق أ ي حأييع حلا ييط ل ا ييط ل حلقييمك حلعر رم ي (.‪)Boundary-Value Problems‬‬
‫حلحلطليأم ايل‬      ‫ي ح حلد ء ي ف نح يرل إلي حأيع حلا يطرق‬
                                                ‫يل‬             ‫إخحصطر ح ا ‪ .BVP‬حي‬
                                                                           ‫ح‬
                                                     ‫أ حلص ة حلحطلم‬
                                                            ‫ر‬            ‫حلرحت حلثطنم حلح‬
               ‫‪d 2y‬‬
                    ‫‪ f (x , y, y '), a  x  b‬‬          ‫)62.6( ------------‬
               ‫2 ‪dx‬‬
                                                                  ‫تطل ر ط حلعر رم حلحطلم‬
               ‫‪y(a)  ya , y(b)  yb‬‬             ‫)23.6( -----------------‬
‫حييو (‪)simply supported beam‬‬               ‫اثييطل (41-6) : حآلنعي حف (‪ y )deflection‬حي‬
                                                              ‫ر‬
‫ال (36-6) ا يرل لعايل انيحظك ‪ q‬عايل ير اعي ي (‪T )tensile axial‬‬
                   ‫ر‬                                                                ‫ااط ح‬
                                                                           ‫م ط تطل الل‬
                 ‫)‪d y Ty qx( L  x‬‬
                   ‫2‬
                     ‫‪‬‬   ‫‪‬‬         ‫)63.6( ---------------‬
                 ‫‪dx 2 EI‬‬   ‫‪2 EI‬‬
                                                                                ‫ل‬       ‫عم‬
            ‫‪ I‬حل لك حلثطن لأا طع )4‪(in‬‬            ‫ي ا لال أ حل حو )‪(in‬‬              ‫‪x‬‬
           ‫‪ q‬اثطح حلعال حلانحظك )‪(lb/in‬‬                 ‫عال حل ر حلاؤثر)‪(lbs‬‬        ‫‪T‬‬
                       ‫‪ L‬ط ل حل حو )‪(in‬‬        ‫‪ E‬ا طال منج (‪) Young’s modulus‬‬
                                                                                 ‫تا أ ام‬
            ‫4 ‪T  7200 lbs, q  5400 lbs/in, L  75 in, E  30 Msi, I  120 in‬‬
‫در حنع حف حل حو نر "05 ‪ x ‬تط حخرحك ط ل خطي ة اقيرحر ط " 52 ‪ h ‬تط يحخرحك‬
                                                                 ‫ر‬
           ‫حلحقرمو حللرل حلاق ك حق ط (‪)central divided difference approximation‬‬




‫___________________________________________________‬
                       ‫-082-‬
‫الباب السادس‬

          ‫‪y‬‬

                                            ‫‪q‬‬


      ‫‪T‬‬                           ‫‪x‬‬                                        ‫‪T‬‬


                                            ‫‪L‬‬

                         ‫أ ر طاط‬       ‫شكل (31-6) : حو اثت‬
                                          ‫حلع ييل‬
               ‫)‪d 2 y Ty qx( L  x‬‬
‫نعصل أ ،‬            ‫‪‬‬      ‫‪‬‬          ‫تطلح مل تطلقمك حلا ططة ح حلا طرل ححلحلطلأم‬
               ‫‪dx 2 EI‬‬        ‫‪2 EI‬‬
          ‫‪d2y‬‬        ‫‪7200 y‬‬        ‫) ‪(5400) x(75  x‬‬
               ‫‪‬‬                 ‫‪‬‬
          ‫‪dx‬‬ ‫2‬
                 ‫)021() 601 ‪(30  10 )(120) 2(30 ‬‬
                         ‫6‬


          ‫‪d2y‬‬
               ‫)63.6( -------- )‪ 2  10 6 y  7.5  10 7 x(75  x‬‬
          ‫2 ‪dx‬‬
                                                       ‫‪d2y‬‬
‫تحقرميو حلا يحق حلثطنمي 2 تط يحخرحك (‪)central divided difference approximation‬‬
                                                       ‫‪dx‬‬
                                                             ‫نر حل قرم ‪ i‬ااط مأ‬


                           ‫1‪i ‬‬              ‫‪i‬‬           ‫1‪i ‬‬

    ‫شكل (41-6) : حللر ق حلاعر رم تط حخرحك طرمق حلحقرمو حللرل حلاق ك حأل ط‬


          ‫1‪d 2 y yi 1  2 yi  yi ‬‬
               ‫‪‬‬                                    ‫)33.6( ------------‬
          ‫2 ‪dx‬‬         ‫2 )‪( h‬‬
                                       ‫تطلح مل ناط ح حلا طرل حلحلطلأم ، نعصل أ‬
          ‫1‪yi 1  2 yi  yi ‬‬
                      ‫2‬
                               ‫)43.6(------ ) ‪ 2 106 yi  7.5 107 xi (75  xi‬‬
                 ‫)‪( h‬‬




‫___________________________________________________‬
                       ‫-182-‬
‫حل المعادالت التفاضلية باستخدام المتسلسالت الالنهائية‬

‫إل ط ي ي ل حل حي ييو‬    ‫4) عم ي ي‬       ‫52 ‪ ، h ‬ح ي ي ل لي ييرمنط رتي ييال قي يير (‪nodes‬‬      ‫إل‬   ‫عم ي ي‬
                                                                                    ‫57 ‪ L ‬ت ص‬

                   ‫1‪i ‬‬                 ‫2‪i‬‬               ‫3‪i‬‬                ‫4‪i‬‬

                   ‫0‪x‬‬                  ‫52 ‪x ‬‬            ‫05 ‪x ‬‬            ‫57 ‪x ‬‬

     ‫57 ‪ x ‬تط حخرحك 52 ‪h ‬‬                ‫شكل (51-6) : حللر ق حلاعر رم ال 0 ‪ x ‬إل‬

                                                 ‫ااط مأ‬       ‫قر‬      ‫لع ما ل ا لال حألرت‬            ‫أ‬
          ‫0 ‪x1 ‬‬
          ‫52 ‪x 2  x1  h  0  25 ‬‬
          ‫05 ‪x3  x 2  h  25  25 ‬‬
          ‫57 ‪x 4  x3  h  50  25 ‬‬
                                                          ‫نر ال قرم نعصل أ‬                  ‫تاحطت حلا طرل‬
‫ايل حلطيرحمل (‪ )simply supported beam‬ح ل‬                    ‫نيد حيو اثتي‬       ‫العقده األولاى : عمي‬
                                                                              ‫نر 0 ‪ x ‬نعصل أ‬
                       ‫)53.6( ------------------- 0 ‪y1 ‬‬
                                ‫العقده الثانية : تاحطت حلا طرل لأ قرم حلثطنم نعصل أ ،‬
                ‫1‪y3  2 y 2  y‬‬
                                ‫) 2‪ 2  10 6 y 2  7.5  10 7 x2 (75  x‬‬
                    ‫2 )52(‬
          ‫)52 ‪0.0016 y1  0.003202 y 2  0.0016 y3  7.5  10 7 (25)(75 ‬‬
          ‫4‪0.0016 y1  0.003202 y 2  0.0016 y3  9.375  10 ‬‬                      ‫)63.6( ---‬
                                    ‫العقده الثالثة : تاحطت حلا طرل لأ قرم حلثطلث نعصل أ ،‬
                ‫2 ‪y 4  2 y3  y‬‬
                          ‫2‬
                                 ‫) 3‪ 2  10 6 y3  7.5  10 7 x3 (75  x‬‬
                     ‫)52(‬
          ‫)05 ‪0.0016 y 2  0.003202 y3  0.0016 y3  7.5  10 7 (50)(75 ‬‬
          ‫)73.6( ------ 4‪0.0016 y 2  0.003202 y3  0.0016 y3  9.375  10 ‬‬
      ‫ال حلطرحمل ح ل نر 57 ‪ x ‬نعصل أ‬                          ‫ند حو اثت‬         ‫العقده ال ابعة : عم‬
                                                                                         ‫ر‬


‫___________________________________________________‬
                       ‫-282-‬
‫الباب السادس‬

            ‫)83.6( --------------------------- 0 ‪y 4 ‬‬
       ‫ادط مل‬     ‫رت‬    ‫خطم ح‬      ‫ا طرق‬     ‫رت‬       ‫حل طتق (53.6-83.6)‬              ‫حلا طرق‬
                                                               ‫ماال احطتحاط أ حلنع حلحطل‬
‫1 ‪‬‬          ‫0‬          ‫0‬        ‫0‪0   y1  ‬‬                ‫‪‬‬
‫202300.0 ‪0.0016 ‬‬   ‫6100.0‬         ‫‪  y  9.375  10  4 ‬‬
                                 ‫‪0  2  ‬‬
‫‪‬‬                                            ‫‪‬‬                ‫‪‬‬
‫0 ‪‬‬       ‫6100.0‬   ‫‪ 0.003202 0.0016  y 3  9.375  10  4 ‬‬
‫‪‬‬                                   ‫‪  ‬‬                    ‫‪‬‬
‫0 ‪‬‬          ‫0‬          ‫0‬        ‫0‪1   y 4  ‬‬‫‪‬‬              ‫‪‬‬
                                                              ‫‪‬‬
                                       ‫تط حخرحك ‪ MATLAB‬ااط مأ‬                 ‫تعل حأع حلا طرق‬


      ‫202300.0- 6100.0 0 ;0 6100.0 202300.0- 6100.0; 0 0 0 1 [=‪a‬‬
      ‫]1 0 0 0 ;6100.0‬
      ‫;']0 4-^01*573.9 4-^01*573.9 0[=‪b‬‬
      ‫‪y=inv(a)*b‬‬

                                                                                     ‫نعصل أ‬
                                  ‫0‪ y1  ‬‬        ‫‪‬‬
                                  ‫‪y  ‬‬           ‫‪‬‬
                                  ‫‪ 2    0.5852‬‬
                                  ‫‪ y 3   0.5852‬‬
                                  ‫‪  ‬‬            ‫‪‬‬
                                  ‫0‪ y 4  ‬‬       ‫‪‬‬
                                     ‫لما ) 2 ‪ y (x‬تا ن‬        ‫ما ل حقنع حف نر "05 ‪x ‬‬
                                                                          ‫ر‬
                          ‫"2585.0‪y(50)  y( x2 )  y 2  ‬‬

‫2 ‪ y   y  x 2 ‬اييال حل أييك ل‬     ‫ديير عييل ا يينل حلقييمك حلعر رم ي‬     ‫مثاااال (51-6) :‬
‫1- )1(‪ y(0)  0, y(1)  cosh‬تط ي ييحخرحك ط ي ي ل خط ي ي ة اقي ييرحر ط 52.0 ‪ h ‬تط ي ييحخرحك‬
                                                             ‫حلحقرمو حللرل حلاق ك حق ط .‬
                                           ‫حلعل‬
                                                                 ‫‪d2y‬‬
‫تط يحخرحك (‪)Central Divided Difference Approximation‬‬                        ‫تحقرمو حلا حق حلثطنمي‬
                                                                 ‫2 ‪dx‬‬
                                                                ‫نر حل قرم ‪ i‬ااط ح (33.6)‬


‫___________________________________________________‬
                       ‫-382-‬
‫حل المعادالت التفاضلية باستخدام المتسلسالت الالنهائية‬

                                 ‫تطلح مل ناط ح حلا طرل حلحلطلأم ، نعصل أ‬
    ‫1‪yi 1  2 yi  yi ‬‬
                ‫2‬
                         ‫)93.6( ------------------- 2 ‪ yi  x 2 ‬‬
           ‫)‪( h‬‬
                     ‫ال (36-6)‬         ‫قر ااط ح‬        ‫إل 52.0 ‪ ، h ‬لرمنط خا‬    ‫عم‬

        ‫1‪i ‬‬          ‫2‪i ‬‬             ‫3‪i ‬‬            ‫4‪i ‬‬           ‫5‪i ‬‬

       ‫0‪x‬‬           ‫52.0 ‪x ‬‬        ‫5.0 ‪x ‬‬           ‫57.0 ‪x ‬‬       ‫1‪x ‬‬

   ‫1 ‪ x ‬تط حخرحك 52.0 ‪h ‬‬      ‫شكل (61-6) : حللر ق حلاعر رم ال 0 ‪ x ‬إل‬

                                     ‫ااط مأ‬       ‫قر‬     ‫لع ما ل ا لال حلخا‬      ‫أ‬
       ‫0 ‪x1 ‬‬
       ‫52.0 ‪x2  x1  h  0  0.25 ‬‬
       ‫5.0 ‪x3  x2  h  0.25  0.25 ‬‬
       ‫57.0 ‪x4  x3  h  0.5  0.25 ‬‬
       ‫1 ‪x5  x4  h  0.75  0.25 ‬‬
                                              ‫نر ال قرم نعصل أ‬          ‫تاحطت حلا طرل‬
                                       ‫0 ‪ y (0) ‬نعصل أ‬           ‫العقده األولى : عم‬
            ‫)04.6( ------------------------ 0 ‪y1 ‬‬
                             ‫العقده الثانية : تاحطت حلا طرل لأ قرم حلثطنم نعصل أ‬
         ‫1‪y3  2 y2  y‬‬
                        ‫1 ‪ y2  x2 ‬‬
                                ‫2‬

            ‫2 )52.0(‬
‫1‪y3  2 y2  y‬‬
          ‫2‬
               ‫)14.6(--- 4432.0‪ y2  (0.25)2  1  y1  2.0625 y2  y3  ‬‬
   ‫)52.0(‬
                             ‫العقده الثالثة : تاحطت حلا طرل لأ قرم حلثطلث نعصل أ‬
                         ‫2‪y4  2 y3  y‬‬
                                        ‫1 ‪ y3  x3 ‬‬
                                                ‫2‬

                            ‫2 )52.0(‬
‫2‪y4  2 y3  y‬‬
          ‫2‬
               ‫)24.6(--- 5781.0‪ y3  (0.5)2  1  y2  2.0625 y3  y4  ‬‬
   ‫)52.0(‬
                             ‫نعصل أ‬       ‫العقده ال ابعة : تاحطت حلا طرل لأ قرم حل حت‬
                                           ‫ر‬                              ‫ر‬

‫___________________________________________________‬
                       ‫-482-‬
‫الباب السادس‬

y 5  2y 4  y 3
           2
                  y 4  x 4 1
                           2

    (0.25)
y5  2 y4  y3
                y4  (0.75)2  1  y3  2.0625 y4  y5  0.1094        --(6.43)
   (0.25)2
                               ‫ نعصل أ‬y(1)  cosh(1) 1         ‫: عم‬     ‫حل قرم حلخطا‬
             y5  cosh(1)  1 ------------------- (6.44)
‫خطم ي ح ي خا ي ادط مييل‬    ‫حل ييطتق (04.6-44.6) ي خايين ا ييطرق‬           ‫حلا ييطرق‬
                                   ‫أ حلنع حلحطل‬     ‫ماال احطتحاط أ ص ة اصل ح‬
                                                          ‫ر‬


          1    0       0       0                 0   y1        0    
          1 2.0625    1       0                     y   0.2344 
                                                  0  2  
                                                                        
          0    1    2.0625    1                 0   y3    0.1875 
                                                                    
          0    0       1    2.0625              1   y4   0.1094 
          0
               0       0       0                 1   y5  cosh(1)  1
                                                                     


                           ‫ ااط مأ‬MATLAB ‫تط حخرحك ترنطاج‬            ‫تعل حأع حلا طرق‬


    a=[ 1 0 0 0 0 ;1 -2.0625 1 0 0;0 1 -2.0625 1 0;0 0 1 -2.0625 1; 0 0 0 0
    1];
    b=[0 -0.2344 -0.1875 -0.1094 cosh(1)-1]';
    y=inv(a)*b



                                                                          ‫نعصل أ‬
                                y1   0 
                                y   0.3876 
                                2            
                                y3   0.05651
                                             
                                y4   0.5903 
                                y5   0.5431 
                                             



___________________________________________________
                       -285-
‫حل المعادالت التفاضلية باستخدام المتسلسالت الالنهائية‬


                                                                                 ‫تمارين (1-6) :‬
 ‫(1) دي يير عي ييل حلا طرل ي ي حلحلطلي ييأم 0 ‪ y  y 2  2x  x 4 , y(0) ‬تط ي ييحخرحك طرمق ي ي‬
‫أمييد اييال حلعييل حلحييطك‬    ‫مأيير تا أ ام ي 1.0 ‪ h ‬لييطرل حلعييل حلحقرمت ي حل ي ي عصييأ‬
                                                                         ‫لحأع حلا طرل حلحلطلأم .‬
 ‫(2) دي يير عي ييل حلا طرل ي ي حلحلطلي ييأم 0 ‪ y  e y  e x  2x , y(0) ‬تط ي ييحخرحك طرمق ي ي‬
                                         ‫2‬




‫أمييد اييال حلعييل حلحييطك‬    ‫مأيير تا أ ام ي 50.0 ‪ h ‬لييطرل حلعييل حلحقرمت ي حلي ي عصييأ‬
                                                                         ‫لحأع حلا طرل حلحلطلأم .‬
 ‫)‬     ‫ر خط ح‬           ‫حلحلطلأم حآلحم ( إ حخرك‬        ‫(3) طتق لط رة مأر أ ال ال حلا طرق‬
                                      ‫‪dy‬‬
                                ‫)‪i‬‬        ‫,1 ‪ y, y(0) ‬‬                 ‫1.0 ‪h ‬‬
                                      ‫‪dt‬‬
                                      ‫‪dy‬‬
                                ‫) ‪ii‬‬      ‫,1 ‪ y, y(0) ‬‬                 ‫10.0 ‪h ‬‬
                                       ‫‪dt‬‬
                                      ‫‪dy‬‬
                                ‫) ‪iii‬‬     ‫,0 ‪ 2ty, y(0) ‬‬               ‫1.0 ‪h ‬‬
                                       ‫‪dt‬‬
             ‫ر خط ح )‬          ‫(4) طتق طرمق ر نج ا حط لعل ا نل حلقما حقتحرح م ( إ حخرك‬
                             ‫‪dy‬‬
                                ‫,0 ‪ 2  2y, y(0) ‬‬                   ‫1.0 ‪h ‬‬
                             ‫‪dt‬‬
‫مأ يير حي ي حللحي ي ة 1 ‪0  t ‬‬
          ‫ر‬                          ‫حلحلطل ييأم تط ييحخرحك طرمقي ي‬    ‫(5) د يير ع ييل نظ ييطك حلا ييطرق‬
                                                                             ‫تط حخرحك 1.0 ‪h ‬‬
                               ‫‪dx‬‬
                                  ‫,‪ 2x  3y‬‬       ‫,1.2 ‪x (0) ‬‬
                               ‫‪dt‬‬
                               ‫‪dy‬‬
                                  ‫.8.2 ‪ 2x  y, y(0) ‬‬
                               ‫‪dt‬‬
                                                                         ‫(6) ح حتر حلا طرل حلحلطلأم‬
              ‫‪dy‬‬ ‫2‬
                      ‫‪dy‬‬                                          ‫‪dy‬‬
                   ‫4‪‬‬    ‫,3 ‪ 5y  0, y(0) ‬‬                         ‫5‪(0)  ‬‬
              ‫‪dt‬‬ ‫2‬
                      ‫‪dt‬‬                                          ‫‪dt‬‬
                 ‫حلحلطلأم‬     ‫م حلا طرل حلحلطلأم تنظطك ال حلا طرق‬             ‫تر ل‬        ‫‪‬‬
‫‪ ‬ح ييحخرك طرمقي ي ر ن ييج ا ح ييط لع ييل ي ي ح حلنظ ييطك حي ي حللحي ي ة 1 ‪ 0  t ‬تطي ي ل‬
                  ‫ر‬
                                                                      ‫خط ة اقرح م 1.0 ‪h ‬‬
                                                                              ‫ر‬

‫___________________________________________________‬
                       ‫-682-‬
‫الباب السادس‬

‫0 ‪ y  1  2xy, y(0) ‬تط ييحخرحك طرمق ي ر نييج‬                            ‫(7) ديير عييل حلا طرل ي حلحلطلييأم‬
                                                      ‫ا حط ال حلررد حلثطنم تط ل خط ة 1.0 ‪. h ‬‬
    ‫(8) ح ييحخرك طرمقي ي ر ن ييج ا ح ييط تطي ي ل خطي ي ة اق ييرح م 50.0 ‪ ، h ‬لع ييل نظييطك حلا ييطرق‬
                                       ‫ر‬
                                                                 ‫حلحلطلأم حآلحم ح حللح ة 2 ‪0  x ‬‬
                                                                           ‫ر‬
                      ‫, ‪y   2x  w  z‬‬  ‫2‬           ‫2‬
                                                                       ‫0 ‪y(0) ‬‬
                      ‫,‪v   y  z‬‬                                     ‫0 ‪v (0) ‬‬
                      ‫, ‪w  2x  vx 2  z‬‬                             ‫0 ‪w(0) ‬‬
                      ‫,‪z   -2x  vx  w‬‬     ‫2‬
                                                                       ‫0 ‪z (0) ‬‬
                                                          ‫أمد اال حلعل حلحطك‬      ‫لطرل حلعل حل ي عصأ‬
                           ‫2 ‪y  x 2 ,v  1, w  x 2 , z  x‬‬
‫حلحطلم ي ي تط ي ييحخرحك طرمق ي ي ر ني ييج ا حي ييط تط ي ي ل خط ي ي ة‬      ‫(9) دي يير عي ييل حلا طرل ي ي حلحلطلي ييأم‬
                                       ‫10.0 ‪ h ‬ح حللح ة 01 ‪ 0  x ‬ثك اثل حلعل تمطنمط‬
                                                                      ‫ر‬
                                                                    ‫‪‬‬
                             ‫. 0 ‪y   (0.2)y   sin y  0, y(0)  , y (0) ‬‬
                                                                                   ‫4‬
    ‫(11) ح ييحخرك طرمق ي ر نييج ا حييط تط ي ل خط ي ة اقييرح م 50.0 ‪ ، h ‬لعييل نظييطك حلا ييطرق‬
                                      ‫ر‬
                                                                 ‫حلحلطلأم حآلحم ح حللح ة 3 ‪0  x ‬‬
                                                                           ‫ر‬
                           ‫, 2 ‪y  1  v  y 2  v‬‬                ‫0 ‪y(0) ‬‬
                           ‫, ‪v  1- y - y  v‬‬    ‫2‬         ‫2‬
                                                                   ‫1 ‪v (0) ‬‬
                                ‫,‪y  sin x‬‬                ‫لطرل حلعل اال حلعل حلحطك ‪v  cos x‬‬
‫(11) دي ي يير لما ي ي ي )4(‪ y‬لأا طرل ي ي ي حلحلطلي ي ييأم 0=)21(‪y  6x  0.5x 2 , y(0)=0, y‬‬
‫تط ييحخرحك طرمقي ي حلل يير ق حلاعيير رم تط ييحخرحك طرمقي ي حلحقرمييو حللرلي ي حلاق ييك حق ييط‬
                                                                          ‫تط ل خط ة اقرحر ط 4 ‪. h ‬‬
    ‫‪du‬‬‫2‬
            ‫‪u‬‬
‫3‬        ‫(21) دي يير لما ي ي )4(‪ u‬لأا طرل ي ي حلحلطلي ييأم 9=)21(‪ 7  6x , u(0)=4, u‬‬
    ‫‪dx‬‬ ‫2‬
            ‫‪x‬‬
‫تط ييحخرحك طرمقي ي حلل يير ق حلاعيير رم تط ييحخرحك طرمقي ي حلحقرمييو حللرلي ي حلاق ييك حق ييط‬
                                                                          ‫تط ل خط ة اقرحر ط 4 ‪. h ‬‬




‫___________________________________________________‬
                       ‫-782-‬
‫حل المعادالت التفاضلية باستخدام المتسلسالت الالنهائية‬

‫12.1 ‪ y(0.36) ‬إع ي ي ييو لما ي ي ي ‪ y‬ني ي يير‬   ‫(31) إ ح اي ي ييطل ‪ y   4 x  5 y‬اطن ي ي ي‬
                                                                ‫84.0 ,44.0 ,4.0 ‪x ‬‬
                                                                     ‫‪y‬‬
  ‫نر 8.0 ‪x ‬‬      ‫5.01 ‪ y(0.4) ‬إع و لما ‪y‬‬              ‫‪ y  ‬اطن‬           ‫(41) إ ح اطل‬
                                                                    ‫‪x y‬‬




‫___________________________________________________‬
                       ‫-882-‬

الحلول العددية للمعادلات التفاضلية العادية

  • 2.
    ‫المملكة العربية السعودية‬ ‫وزارة التعليم العالي‬ ‫جامعة الطائف‬ ‫إدارة النشر العلمي‬ ‫املعادالت التفاضلية‬ ‫النظرية والتطبيق‬ ‫الدكتور‬ ‫الدكتور‬ ‫عبد هللا عبد هللا موسى‬ ‫بخيت نفيع المطرفي‬ ‫الطبعة األولى‬ ‫1133هـ- 2312 م‬
  • 3.
    ‫المعادالت التفاضلية :النظرية والتطبيق‬ ‫د. بخيت نفيع مرزوق المطرفي‬ ‫د. عبد اهلل عبد اهلل محمد موسى‬ ‫© حقوق النشر محفوظة لجامعة الطائف‬ ‫جامعة الطائف- الحوية‬ ‫رمز بريدي: 21974‬ ‫المملكة العربية السعودية‬ ‫(ح) جامعة الطائف 1127هـ‬ ‫فهرسة مكتبة الملك فهد الوطنية أثناء النشر‬ ‫المطرفي، بخيت نفيع مرزوق‬ ‫المع ــادالت التفاض ــلية: النظري ــة والتطبي ــق. / بخي ــت نفي ــع م ــرزوق المطرف ــي،‬ ‫عبد اهلل عبد اهلل موسى- الطائف، 1127هـ‬ ‫091 ص، 17×24س‬ ‫ردمك : 6-99-1603-106-319‬ ‫المعادالت التفاضلية أ. موسى، عبداهلل عبداهلل (مؤلف مشارك)‬ ‫ب- العنوان‬ ‫9312/1127‬ ‫ديوي 565‬ ‫رقم اإليداع: 9312/1127‬ ‫ردمك : 6-99-1603-106-319‬ ‫التصميم المعلوماتي والج افيكي د/مجدي حسين النحيف‬ ‫ر‬ ‫الطبعة األولى: 1127ه/4704م‬
  • 6.
    ‫المقدمة‬ ‫مقدمــــــــة‬ ‫بســم اهلل الــرحمن الــرحيم، الحمــد هلل رب العــالمين، والص ـ و والس ـ م علــى خيــر خلــق‬ ‫اهلل أجمعــين محمــد بــن عبــد اهلل، الرســوا الصــادق الوعــد األمــين صــلى اهلل عليـ وعلــى لـ‬ ‫وصحب أجمعين .. أما بعد‬ ‫فهـ ا هــو أحــد المؤلفــات فــي سلســلة مؤلفــات عربيــة نســما اهلل أن يوف نــا إلكمالهــا وهــو‬ ‫مؤل ــف بلاتن ــا العربي ــة ، تل ــك اللا ــة الثري ــة ف ــي مفرداته ــا الاني ــة ف ــي ألفاظه ــا .. لاــة ال ــرن‬ ‫الكـريم، لاــة العــرب ولاــة العلــم. وأننــا ا ا ن ــدم هـ ا الجهــد المتواضــع الـ ي نضــيف الــى مــا‬ ‫كتــب باللاــة العربيــة فــي علــم الرياضــيات البــد أن نـ كر أن هـ ا الكتــاب ال يـ احم أقرنـ فــى‬ ‫ا‬ ‫ز‬ ‫ه ا المضمار، وانما يضيف اليهم أفكار جديدو ومتطو و، فعلى ال مم مـن وجـود العديـد مـن‬ ‫ـر‬ ‫ر‬ ‫اً‬ ‫ع ه ا المؤلف اال أننا نحسب ه ا الكتـاب قـد يسـد بعـق ال صـور‬‫الكتب العربية عن موضو‬ ‫الموجود في بعق المواضيع وكـ لك معالجـة بعـق المواضـيع األخـر التـي لـم يـتم تناولهـا‬ ‫باإلضافة الى ث ائ باألمثلة المتنوعة التي ح العديد من األفكار.‬ ‫تطر‬ ‫ر‬ ‫وب لك ظهر الكتاب في صورت ه ه والتـي نظنهـا ناقصـة وتفت ـر الـى الكمـاا والكمـاا‬ ‫هلل وحـده .. وحسـبنا أننـا حاولنـا واجتهــدنا فـي وضـع فـي صــو و الئ ـة. ومـا هـ ا الكتــاب اال‬ ‫ر‬ ‫طيل ــة س ــنوات ع ــدو‬ ‫ثمـ ـ و جه ــد دؤوب وعم ــا متواص ــا م ــن التحص ــيا والت ــدريس والبحـ ـ‬ ‫ر‬ ‫للمــؤلفين، ويعــد ه ـ ا الكتــاب مرجع ـاً هام ـاً فــي المعــادالت التفاضــلية العاديــة، وه ـ ا الكتــاب‬ ‫د‬ ‫موجـ ـ اساسـ ـاً لطـ ـ ب المرح ــا المتوس ــطة والمت ــمخ و م ــن كلي ــات الهندس ــة والمعاه ــد الفني ــة‬ ‫ر‬ ‫ا‬ ‫العليا. كما أن يتج أيضاً لط ب العلوم التطبي ية األخر من رياضيات وفيزيـاء وكيميـاء.‬ ‫ك ـ لك يتضــمن الكتــاب أج ـ اء كثي ـ و يمكــن أن تصــلم منهاج ـاً لط ـ ب الدرســات العليــا فــى‬ ‫ا‬ ‫زً ر‬ ‫التخصصات الهندسية المختلفـة وكـ لك تخصصـات العلـوم التطبي يـة. ول ـد اعينـا أن تكـون‬ ‫ر‬ ‫معالج ــة المس ــائا العلمي ــة بطري ـ ـة رتيب ــة منهجي ــة تب ــدأ بالص ــيامة والنم ج ــة ث ــم تنت ــا ال ــي‬ ‫اإلجـ ـ اءات والح ــا ث ــم أخيـ ـر تنته ــي بتفس ــير النت ــائل ومحاول ــة اعطائه ــا التفس ــير الهندس ــي‬ ‫اً‬ ‫ر‬ ‫والفيزيائي‬ ‫يبتدئ الكتاب بعرق لمفهوم المعادالت التفاضلية وتبسـيط كـا المفـاهيم الخاصـة بهـا‬ ‫ومحاولة ج ب ال ئ لها، من خ ا تحليا بسيط وتتابع شيق. فـى األبـواب الثـاني والثالـ‬ ‫ار‬ ‫___________________________________________________________‬ ‫- هـ-‬
  • 7.
    ‫المقدمة‬ ‫والربــع تــم تــديم المعــادالت التفاضــلية مــن الرتبــة األولــى والدرجــة األولــى، وك ـ لك الرتــب‬ ‫ا‬ ‫العليــا وأيضــا المعــادالت التفاضــلية مــن الــدرجات العليــا وطــرق حلهــا مــع ت ــديم العديــد مــن‬ ‫التطبي ــات الفيزيائيــة والهندســية لجعــا المحتــو أكثــر تشــوي ا وأقــرب لتحليــا ومحاكــاو نظــم‬ ‫هندســية ومشــاكا واقعيــة عــن كونـ أداو لحــا مســائا رياضــية ، و يلنــا تلــك األبـواب بالعديــد‬ ‫من التمارين العامة المتنوعة.‬ ‫وقــد أع ــب لــك البــاب الخــامس وفي ـ تــم درســة حــا المعــادالت التفاضــلية بــالطرق‬ ‫ا‬ ‫الت ريبية ( استخدام المتسلس ت )، و لك عوضا عن حلها تحليليـاً، وتـم فـي البـاب السـادس‬ ‫درســة حــا المعــادالت التفاضــلية عــددياً و لــك حــين يصــعب ايجــاد حــا تحليلــي لهــا، وتــم‬ ‫ا‬ ‫توظيف برنامل "المـات ب" ‪ MATLAB‬مـن خـ ا عمـا بـ امل لحـا المعـادالت التفاضـلية‬ ‫ر‬ ‫عددياً وك لك استخدام لتوقيع تلك الحلوا بيانياً، وتـم سـرد العديـد مـن الطـرق، و يـا هـ ان‬ ‫البابان بالعديد من التمـارين العامـة المتنوعـة. و فـي البـاب السـابع واألخيـر تـم ت ـديم تحويـا‬ ‫يعــد تحويــا البـ س‬ ‫البـ س لمــا لـ مــن أهميــة بالاــة فــي حــا المعــادالت التفاضــلية، حيـ‬ ‫من أقو األدوات المسـتخدمة لحـا المعـادالت التفاضـلية الخطيـة، وتـم تـ ييا البـاب بالعديـد‬ ‫من التمارين العامة المتنوعة.‬ ‫وختمنا الكتاب بملحق يحتوي على مرشد وجيـز فـي "المـات ب" ‪ ،MATLAB‬ولـيس‬ ‫درجـات السـلم التـي البـد أن يرت يهـا‬ ‫يـر الباحـ‬ ‫ه ا سو مرشد لينير بداية الطريق بحيـ‬ ‫يريد، ونرجو أن يكون ه ا الكتاب فاتحة لسلسلة مـن المؤلفـات التـي نسـما‬ ‫ليصا الى حي‬ ‫ها خدمة للعلم واث اء للمعرفة .‬ ‫ر‬ ‫اهلل تعالى أن يساعدنا على انجاز‬ ‫واهلل تعالى من و اء ال صد .....وهو ولي التوفيق.‬ ‫ر‬ ‫المؤلفان‬ ‫الطائف – محرم 1127هـ‬ ‫___________________________________________________________‬ ‫- وـ-‬
  • 8.
  • 10.
    ‫فهرس المحتويات‬ ‫أوًا:ًفهرسًالمحتوياتً‬ ‫ل‬ ‫هـ-ًو‬ ‫المقدمــــــــةًًًًًًًًًًًًًًًًًًًًًًًًًًًًًًًًًًًًًًًًًًًًًًًًًًًًًًًًًًً‬ ‫71-1ً‬ ‫البابًاألول:ً المبادىءًاألساسيةًوتصنيفًالمعادلتًالتفاضلية ً‬ ‫79-91ً‬ ‫البابًالثانى:ً المعادلتًالتفاضليةًمنًالرتبةًاألولىًوالدرجةًاألولىًًًً‬ ‫21‬ ‫‌ مقدم ـ ـ ــة‬ ‫11‬ ‫‌ لا : فصل المتغي ات )‪(Separation of variables‬‬ ‫ر‬ ‫أو‬ ‫82‬ ‫‌ ثانيـ ـ ـ ـ ـ ـ ـ ا : معادلت يمكن تحويلها إلى معادلت يتم حلها بفصل‬ ‫المتغي ات‬ ‫ر‬ ‫23‬ ‫‌ ثالث ـ ـ ـ ـ ـ ـ ـ ا : المعادلت التفاضلية ذات المعامالت المتجانسة‬ ‫63‬ ‫‌ ابعـ ـ ـ ـ ـ ا : معادلت تفاضلية تؤول إلى معادلت تفاضلية متجانسة‬ ‫ر‬ ‫14‬ ‫‌ خامس ا : المعادلة التفاضلية التامة (‪)Exact‬‬ ‫54‬ ‫‌ سادسا : معادلت تفاضلية تُحول إلى تامة عن طريق عامل المكاملة‬ ‫75‬ ‫‌ سابع ـ ا : المعادلت التفاضلية الخطية‬ ‫06‬ ‫‌ ثامنـ ـ ـ ا : معادلت تؤول إلى معادلت تفاضلية خطية‬ ‫76‬ ‫‌ تاسع ا : معادلة ريكاتي‬ ‫07‬ ‫‌ عاشر : طريقة تغيير البا امت ات (‪)Variation of Parameters‬‬ ‫ر ر‬ ‫ا‬ ‫27‬ ‫‌ الحادي عشر : تبديل المتغي ات المستقلة مكان المتغي ات التابعة‬ ‫ر‬ ‫ر‬ ‫67‬ ‫‌ الثاني عشر : تطبيقات على المعادلت التفاضلية‬ ‫971-99ً‬ ‫المعادلتًالتفاضليةًالخطيةًمنًالرتبًالعليا ً‬ ‫البابًالثالث:ً‬ ‫101‬ ‫‌ مقدم ـ ـ ــة‬ ‫901‬ ‫‌ لا : المعادلت التفاضلية الخطية المتجانسة ذات المعامالت الثابتة‬ ‫أو‬ ‫711‬ ‫‌ ثانيـ ـ ـ ـ ـ ـ ـ ا: طرق إيجاد الحل الخاص (‪) Particular Solution‬‬ ‫711‬ ‫(2-1) طريقة المؤثر التفاضلي العكسي‬ ‫‌‬ ‫‌‬ ‫031‬ ‫(1-1) طريقة تغيير البارمت ات‬ ‫ا ر‬ ‫‌‬ ‫‌‬ ‫141‬ ‫(3-1) طريقة المعامالت غير المحددة‬ ‫‌‬ ‫‌‬ ‫___________________________________________________________‬ ‫-ط-‬ ‫‌‬
  • 11.
    ‫فهرس المحتويات‬ ‫251‬ ‫‌ ثالث ـ ـ ـ ـ ـ ـ ـ ا: المعادلة التفاضلية الخطية المتجانسة ذات المعامالت المتغي ة‬ ‫ر‬ ‫122‬ ‫(2-3) معادلة كوشي أويلر )‪)Cauchy-Euler‬‬ ‫‌‬ ‫‌‬ ‫522‬ ‫(1-3) معادلة ليجندر الخطية‬ ‫‌‬ ‫‌‬ ‫602‬ ‫(3-3) طريقة التحليل )‪(Method of Factorization‬‬ ‫‌‬ ‫302‬ ‫(4-3) تخفيض الرتبة )‪(Reduction of order‬‬ ‫‌‬ ‫471‬ ‫‌ ابعـ ـ ـ ـ ـ ا: مجموعة من المعادلت التفاضلية الخطية اآلنية‬ ‫ر‬ ‫971-181ً‬ ‫البابًال ابع:ً المعادلتًالتفاضليةًمنًالرتبةًًاألولىًوالدرجاتًالعلياً‬ ‫ر‬ ‫382‬ ‫‌ مقدم ـ ـ ــة‬ ‫481‬ ‫‌ لا : معادلت تفاضلية تُستبدل بمعادلت تفاضلية من الدرجة األولى‬ ‫أو‬ ‫681‬ ‫‌ ثانيـ ـ ـ ـ ـ ـ ـ ا: معادلت يمكن حلها بالنسبة إلى ‪x‬‬ ‫881‬ ‫‌ ثالث ـ ـ ـ ـ ـ ـ ـ ا: معادلت يمكن حلها بالنسبة الى ‪y‬‬ ‫191‬ ‫‌ ابعـ ـ ـ ـ ـ ا : معادلة كليرو )‪(Clairaut Equation‬‬ ‫ر‬ ‫491‬ ‫‌ خامس ا: معادلة لج انج )‪(Lagrange's Equation‬‬ ‫ر‬ ‫البابًالخامس:ً حلًالمعادلتًالتفاضليةًباستخدامًالمتسلسالتًالالنهائيةًًًً 240-771ً‬ ‫102‬ ‫‌ مقدم ـ ـ ــة‬ ‫502‬ ‫‌ لا : مفكوك تيلور (‪)Taylor‬‬ ‫أو‬ ‫012‬ ‫‌ ثانيـ ـ ـ ـ ـ ـ ـ ا : الحل قرب النقطة العادية‬ ‫222‬ ‫‌ ثالث ـ ـ ـ ـ ـ ـ ـا: الحل قرب النقطة الشاذة المنتظمة (فروبينيس) (‪)Frobenius‬‬ ‫البابًالسادس: ً الحلولًالعدديةًللمعادلتًالتفاضليةًالعاديةًًًًًًًًًًًً 880-140ً‬ ‫341‬ ‫‌ مقدم ـ ـ ــة‬ ‫442‬ ‫‌ لا : طريقة أويلر( ‪ )Euler‬لحل المعادلت التفاضلية العادية‬ ‫أو‬ ‫352‬ ‫‌ ثانيـ ـ ـ ـ ـ ـ ـا: طريقة رونج كوتا من الرتبة الثانية لحل المعادلت التفاضلية‬ ‫362‬ ‫‌ ثالث ـ ـ ـ ـ ـ ـ ـ ا: طريقة رونج كوتا من الرتبة ال ابعة‬ ‫ر‬ ‫172‬ ‫‌ ابعـ ـ ـ ـ ـا: طريقة رونج كوتا من الرتبة ال ابعة لحل مجموعة من‬ ‫ر‬ ‫ر‬ ‫المعادلت التفاضلية ذات الرتبة األولى‬ ‫___________________________________________________________‬ ‫-ي-‬ ‫‌‬
  • 12.
    ‫فهرس المحتويات‬ ‫372‬ ‫‌ خامس ا : طريقة رونج كوتا من الرتبة ال ابعة لحل المعادلت التفاضلية‬ ‫ر‬ ‫من الرتبة الثانية‬ ‫082‬ ‫‌ سادس ا : طريقة الفروق المحدودة لحل المعادلت التفاضلية العادية‬ ‫933-780ً‬ ‫ًًًًًًًًًًًًًًًًًًً‬ ‫البابًالسابع :ً تحويالتًًلبالسًًًًًًًًًًًًًًًًًًًًًًًًًًًً‬ ‫192‬ ‫‌ مقدم ـ ـ ــة‬ ‫492‬ ‫‌ لا : تحويالت لبالس لبعض الدوال‬ ‫أو‬ ‫892‬ ‫‌ ثانيـ ـ ـ ـ ـ ـ ـ ا : خواص تحويالت لبالس‬ ‫013‬ ‫‌ ثالث ـ ـ ـ ـ ـ ـ ـ ا: تحويالت لبالس العكسي‬ ‫523‬ ‫‌ ابعـ ـ ـ ـ ـ ا: تحويالت لبالس لحل المعادلت التفاضلية الخطية العادية‬ ‫ر‬ ‫ذات المعامالت الثابتة‬ ‫133‬ ‫‌ خامس ا: حل مجموعة من المعادلت التفاضلية الخطية‬ ‫333‬ ‫‌ سادسا : معادلة فولتر التكاملية (‪)Volterra integral equation‬‬ ‫ا‬ ‫443-733ً‬ ‫الـملحق : المرشدًالوجيزًفيً‪ًًًًًًًًًًًًًًًًً ًًًًًًًMATLAB‬‬ ‫203‬ ‫الم اجع ً‬ ‫ر‬ ‫963‬ ‫دليلًالمصطلحاتًً‬ ‫___________________________________________________________‬ ‫-ك-‬ ‫‌‬
  • 13.
    ‫فهرس األشكال‬ ‫ثانيـــــــــــــً:ًفهرسًاألشكالً‬ ‫ا‬ ‫3‬ ‫شكلً(1-1): عائلة الدوال ‪ y  x 2  c‬لقيم مختلفة من الثابت ‪c‬‬ ‫12‬ ‫2‪x‬‬ ‫‪ y  ce‬لقيم 3‪ً c  1, 2, ‬‬ ‫2‬ ‫شكل(0-1):ًعائلة الدوال‬ ‫41‬ ‫شكلً(1-0): قانون نيوتن الثاني للحركةً‬ ‫01‬ ‫عة مع الزمنً‬‫شكلً(0-0): منحنى السر‬ ‫05‬ ‫شكلً(3-0): سقوط جسمً‬ ‫95‬ ‫شكلً(4-2): هبوط الجهد لكل من المكثف والملف والمقاومةً‬ ‫68‬ ‫شكلً(5-0): دائ ة كهربية تحتوي على مقاومة وملف‬ ‫ر‬ ‫28‬ ‫شكلً(4-0): دائ ة كهربية تحتوي على مقاومة مكثف.‬ ‫ر‬ ‫18‬ ‫شكلً(9-0): دائ ة كهربية تحتوي على مقاومة وملف.‬ ‫ر‬ ‫08‬ ‫شكلً(8-0): مشكلة تخفيف التركيز‬ ‫58‬ ‫شكلً(7-0): تحت المماس وتحت العمودى‬ ‫88‬ ‫شكلً(21-0): عائلة المنحنيات التي تمثل المعادلة ) ‪x  4(y  c‬‬ ‫2‬ ‫98‬ ‫شكلً(11-0): المسا ات المتعامدة‬ ‫ر‬ ‫29‬ ‫شكلً(01-0): تمثيل المسا ات المتعامدة‬ ‫ر‬ ‫09‬ ‫شكلً(31-0):ًدائ ة كهربية تحتوي على مقاومة وملف‬ ‫ر‬ ‫061‬ ‫شكلً(1-5): العالقة ما بين الحل التحليلي والحل بمفكوك تيلور‬ ‫861‬ ‫شكلً(2-5): العالقة مابين الحل بالطرق العددية والحل بمفكوك تيلورً‬ ‫611‬ ‫ليجندر ) ‪Pn (x‬‬ ‫شكلً(3-5): كثي ات حدود‬ ‫ر‬ ‫241‬ ‫شكلً(1-6): الخطوة األولى باستخدام طريقة أويلر‬ ‫041‬ ‫شكلً(2-6): العالقة التكررية باستخدام طريقة أويلر‬ ‫ا‬ ‫941‬ ‫شكلً(3-6): مقارنة الحل التقريبيي عند 2.0 ‪ h ‬بالحل التام‬ ‫941‬ ‫شكلً(4-4): تأثير تغير طول الخطوة على دقة الحل باستخدام طريقةًأويل.ً‬ ‫221‬ ‫شكلً(5-4): الحل التقريبي باستخدام طريقة أويلر والحل التحليلي.‬ ‫821‬ ‫شكلً(4-4): مقارنة الحل التقريبي بطريقة هينز، عند 1.0 ‪ h ‬بالحل التام‬ ‫___________________________________________________________‬ ‫-س-‬ ‫‌‬
  • 14.
    ‫فهرس األشكال‬ ‫101‬ ‫شكلً(9-4): مقارنة الحل التقريبي للثالثة طرق بطول خطوة مقدا ه 2.0 ‪h ‬‬ ‫ر‬ ‫201‬ ‫شكلً(8-4): نتائج الحل باستخدام طريقة رونج من الرتبة ال ابعة والحل التام‬ ‫ر‬ ‫651‬ ‫شكلً(7-4): تغير درجة الحر ة بالكلفن مع الزمن‬ ‫ار‬ ‫551‬ ‫شكلً(21-4): العالقة مابين كل من ‪ y,v‬مع ‪x‬‬ ‫551‬ ‫شكلً(11-4): وصف حركة البندول‬ ‫951‬ ‫شكلً(01-6): الحركة المخمدة لحركة البندول‬ ‫281‬ ‫شكلً(31-4): عتب مثبت على دعامات‬ ‫281‬ ‫شكلً(41-4):الفروق المحدوده باستخدام طريقة التقريب الفرقي المقسم األوسط‬ ‫181‬ ‫شكلً(51-6): الفروق المحدوده من 0 ‪ x ‬إلى 57 ‪ x ‬باستخدام 52 ‪h ‬‬ ‫481‬ ‫شكلً(61-6): الفروق المحدوده من 0 ‪ x ‬إلى 1 ‪ x ‬باستخدام 52.0 ‪h ‬‬ ‫191‬ ‫شكلً(1-7): التصال المجز‬ ‫أ‬ ‫491‬ ‫شكلً(2-7): دالة خطوة الوحدة‬ ‫491‬ ‫شكلً(3-7): حالة خاصة من دالة خطوة الوحدة‬ ‫663‬ ‫شكلً(4-7): الدالة )‪ G (t‬كدالة في دالة خطوة الوحدة‬ ‫563‬ ‫شكلً(5-7): دالة دورية دورتها 0>‪ p‬معرفة لقيم 0> ‪t‬‬ ‫863‬ ‫شكلً(6-7): دالة دورية دورتها 1= ‪ p‬معرفة لقيم 0> ‪t‬‬ ‫963‬ ‫شكلً(9-9): دالة دورية دورتها ‪ p = 2‬معرفة لقيم 0> ‪t‬‬ ‫143‬ ‫شكل(م-1): ظهر أيقونة البرنامج فور إعداده‬ ‫343‬ ‫شكل(م-0): الواجهة األساسية للبرنامج فور تشغيلة‬ ‫443‬ ‫شكل(م-3): نافذة األوامرً‬ ‫443‬ ‫شكل(م-4): نافذة فضاء العملً‬ ‫443‬ ‫شكل(م-5): نافذة فضاء العملً‬ ‫443‬ ‫شكل(م-4): نافذة المسار الحاليً‬ ‫243‬ ‫شكل(م-9): نافذة الوامروفضاء العمل لدخال بعض المتغي اتً‬ ‫ر‬ ‫243‬ ‫شكل(م-8): التخصيصً‬ ‫___________________________________________________________‬ ‫-ع-‬ ‫‌‬
  • 15.
    ‫فهرس األشكال‬ ‫043‬ ‫شكل(م-7):ًبناء دوال لالدخالً‬ ‫043‬ ‫شكل(م-21):ًبناء متجهً‬ ‫543‬ ‫شكل(م-11):ًإدخال متغيرين هما ‪a,b‬‬ ‫543‬ ‫شكل(م-01):ًنافذة الوامروفضاء العمل للمتغي اتً‬ ‫ر‬ ‫543‬ ‫شكل(م-31):ًبناء ملف بيانات وتحميلة فى فضاء العمل‬ ‫843‬ ‫شكل(م-41):ًفضاء العمل‬ ‫943‬ ‫شكل(م-51):ًعمليات غير تقليدية على المصفوفات‬ ‫623‬ ‫شكل(م-41):ًالستعانة ‪ help‬الخاص ‪matlab‬‬ ‫223‬ ‫شكل(م-91): الدالة ‪ max‬إليجاد أكبر قيمة‬ ‫323‬ ‫شكل(م-81):ًجملة ‪For‬‬ ‫323‬ ‫شكل(م-71):ًصو ة ى لجملة ‪For‬‬ ‫ر أخر‬ ‫423‬ ‫شكل(م-20): بناء مسا ات متداخلة‬ ‫ر‬ ‫423‬ ‫شكل(م-10): جملة ‪while‬‬ ‫223‬ ‫شكل(م-00): جملة ‪If‬‬ ‫523‬ ‫شكل(م-30): بناء ‪Script file‬‬ ‫823‬ ‫شكل(م-40): تنفيذ ‪Script file‬‬ ‫823‬ ‫شكل(م-50): تنفيذ ‪ Script file‬مباش ة‬ ‫ر‬ ‫923‬ ‫شكل(م-40): بناء دالة بسيطة لتقوم بإيجاد جذور معادلة تربيعية‬ ‫923‬ ‫شكل(م-90): إيجاد جذور المعادلة التربيعية 0 ‪x 2  2x  3 ‬‬ ‫603‬ ‫شكل(م-80): بناء الملف وادخال المتغي ات 3 ‪v1,v 2 ,v‬‬ ‫ر‬ ‫203‬ ‫شكل(م-70): منحنى المتغي ات 2 ‪v1,v‬‬ ‫ر‬ ‫203‬ ‫شكل(م-23):ًأستخدام المر ‪ًhold on‬‬ ‫103‬ ‫شكل(م-13):ًرسمً 2 ‪ v1,v‬وكذلك 3 ‪v1,v‬‬ ‫103‬ ‫شكل(م-03):ًأستخدام المرً‪Subplot‬‬ ‫103‬ ‫شكل(م-33):ًتقسم نافذة الرسم الى نافذتينً )2 ‪(1 ‬‬ ‫___________________________________________________________‬ ‫-ف-‬ ‫‌‬
  • 16.
    ‫فهرس األشكال‬ ‫303‬ ‫شكل(م-43):ًتخصيص المتغي ات الرمزية‬ ‫ر‬ ‫403‬ ‫شكل(م-53):ًبناء دالة بإستخدام المتغي ات الرمزية‬ ‫ر‬ ‫403‬ ‫شكل(م-43):ًأيجاد التفاضل والتكامل لدالة رمزية‬ ‫___________________________________________________________‬ ‫-ص-‬‫‌‬
  • 17.
    ‫فهرس الجداول‬ ‫ثالثــــــــــــــ اً:ًفهرسًالجداولً‬ ‫342‬ ‫جدولً(1-3): مجموعة الدوال األساسية لمجموعة من الدوال‬ ‫821‬ ‫جدولً(1-4): مثال على طريقة رونج كوتا من الرتبة ال ابعة‬ ‫ر‬ ‫591‬ ‫جدولً(1-9)ً:ًتحويالت لبالس لمجموعة من الدوالًً‬ ‫943‬ ‫جدول(م-1):ًالعمليات التى يمكن إج اؤها على المصفوفاتً‬ ‫ر‬ ‫623‬ ‫جدول(م-0):ًدوال تتعامل مع كميات قياسية‬ ‫223‬ ‫جدول(م-3):ًدوال تتعامل مع كميات متجهة‬ ‫123‬ ‫جدول(م-4):ًبعضًدوال المصفوفات‬ ‫023‬ ‫جدول(م-5): العالقات فى ‪Matlab‬‬ ‫023‬ ‫جدول(م-4): العالقات المنطقية فى ‪ًMatlab‬‬ ‫203‬ ‫جدول(م-9): عالمات للتحكم في ع ولون ونقشة خط الرسمً‬ ‫نو‬ ‫‌‬ ‫‌‬ ‫‌‬ ‫‌‬ ‫‌‬ ‫‌‬ ‫‌‬ ‫‌‬ ‫‌‬ ‫‌‬ ‫‌‬ ‫‌‌‬ ‫‌‬ ‫___________________________________________________________‬ ‫-ش-‬ ‫‌‬
  • 18.
    ‫الباب السادس‬ ‫احللول العددية‬ ‫للمعادالت التفاضلية العادية‬
  • 20.
    ‫الباب السادس‬ ‫مقدمة‬ ‫عح ي تييطلطرق‬ ‫حلحلطلييأم تييطلطرق حلحعأمأم ي‬ ‫لييمن اييل حل ييال عييل اييل حلا ييطرق‬ ‫م ي اح أ يأ قناط م ي . لي ح اييطل قتيير اييل حلتعي‬ ‫ييل طرمييق حييرل حلعييل أ ي‬ ‫حلحقرمتمي‬ ‫لييع نيير ح ييأنط ح ي‬ ‫حلحلطلييأم ،‬ ‫ييل طييرق خ ي إل جمدييطر عأ ي ل حقرمتم ي لا ي م حلا ييطرق‬ ‫ر‬ ‫حلحقرمتي . عيير ييك حأييع حلطييرق ي طييرق حلعأي ل حل ررمي‬ ‫حلعصي ل أي عأاييط حلييرلمق‬ ‫مأي يير لعي ييل حلا ي ييطرق‬ ‫متي يير ي ي ح حلتي ييطو تحقي ييرمك طرمق ي ي‬ ‫‪ Numerical‬عم ي ي‬ ‫‪Solution‬‬ ‫حيك‬ ‫حلحلطلأم ال حلرحت حق ل ، م قو لع طرمق ر نج ا حط ال حلررد حلثطنم حل حت ي ،‬ ‫ر‬ ‫حلحلطليأم‬ ‫حلحلطلأم ال حلرحت حأل ل ، مليط عيل حلا يطرق‬ ‫ال حلا طرق‬ ‫عل ادا‬ ‫إ ييحخرحك طرمقي ي حلل يير ق حلاع يير رم لع ييل‬ ‫ا ييل حلرحتي ي حلثطنمي ي . حط ييرق حلت ييطو مل ييط إلي ي‬ ‫حخأييل ي ح حلتييطو حقييرمك حل رميير اييل حلت ي حاج حلاصيياا تتم ي‬ ‫ر‬ ‫حلحلطلييأم حل طرم ي‬ ‫حلا ييطرق‬ ‫حلدار حلاطأ و لع طتاط.‬ ‫"حلاطحالو" لاعطاطة ا ظك طرق حلعل تاط م حر حل ل‬ ‫___________________________________________________‬ ‫-342-‬
  • 21.
    ‫حل المعادالت التفاضليةباستخدام المتسلسالت الالنهائية‬ ‫أوالا : طريقة أويلر(‪ )Euler‬لحل المعادالت التفاضلية العادية‬ ‫حلحلطليأم حل طرمي حلحي حاي ل أي‬ ‫لعيل حلا يطرق‬ ‫ررمي‬ ‫طرمق‬ ‫مأر‬ ‫طرمق‬ ‫حلص ة‬ ‫ر‬ ‫‪dy‬‬ ‫)1.6( --------------- 0‪ f  x , y  , y  x 0   y‬‬ ‫‪dx‬‬ ‫حلررد ي حأل ل ي ،‬ ‫حلحلطلييأم حل طرم ي اييل حلرحت ي حأل ل ي‬ ‫ي ت ي لع حح طاييل اييال حلا ييطرق‬ ‫حلا طرلي ي حلحلطلييأم لححنط ييو اييال حلصيي ة‬ ‫ر‬ ‫ن ي ر نييط حلحناميير نييد قت يير اييل إ ييطرة صييمطت‬ ‫مأر.‬ ‫(6.6) عح مح ن عأاط تط حخرحك طرمق‬ ‫مأر‬ ‫أ ص ة طرمق‬ ‫ر‬ ‫مثال (1-6) : احو حلا طرل حلحلطلأم حآلحم‬ ‫‪dy‬‬ ‫5 ‪ 2y  e  x , y  0  ‬‬ ‫‪dx‬‬ ‫حلع ييل‬ ‫أ ي حلص ي ة (6.6) ل ي ح نعييط ل إ ييطرة صييمطتحاط‬ ‫ر‬ ‫نالعييظ ل حلا طرل ي حلحلطلييأم لم ي‬ ‫لحا ل أ حلص ة (6.6) ااط مأ‬ ‫ر‬ ‫‪dy‬‬ ‫5 ‪ e  x  2y, y  0  ‬‬ ‫‪dx‬‬ ‫تاقطرنحاط تطلص ة (6.6) ندر ل ‪f  x, y   e x  2 y‬‬ ‫ر‬ ‫مأر‬ ‫أ ص ة ا طرل‬ ‫ر‬ ‫مثال (2-6) : حاحو حلا طرل حلحلطلأم حآلحم‬ ‫‪dy‬‬ ‫‪ey‬‬ ‫5 ‪ x 2y 2  2Sin (3x ), y  0  ‬‬ ‫‪dx‬‬ ‫حلع ييل‬ ‫أي ي حلصي ي ة (6.6) لي ي ح نع ييط ل إ ييطرة ص ييمطتحاط‬ ‫ر‬ ‫نالع ييظ ل حلا طرلي ي حلحلطل ييأم لم ي ي‬ ‫لحا ل أ حلص ة (6.6) ااط مأ‬ ‫ر‬ ‫2 ‪dy 2Sin (3x )  x 2y‬‬ ‫‪‬‬ ‫5 ‪, y  0 ‬‬ ‫‪dx‬‬ ‫‪ey‬‬ ‫2 ‪2Sin (3x )  x 2y‬‬ ‫‪ f  x , y  ‬حآلل ي ي ي ي ي ي يينعط ل‬ ‫تاقطرنحاط تطلص ة (6.6) ندر ل‬ ‫ر‬ ‫‪ey‬‬ ‫حلحلطلييأم حل طرم ي ، تلييرل ل عييل حلا طرل ي‬ ‫مأيير لعييل حلا ييطرق‬ ‫حعأمييل رر ي طرمق ي‬ ‫ح‬ ‫___________________________________________________‬ ‫-442-‬
  • 22.
    ‫الباب السادس‬ ‫ل 0‪y  y‬ن ي يير‬ ‫محلي ي ي‬ ‫ي ي ي حلرحلي ي ي ) ‪ y(x‬اا ي ييط حي ي ي حل ي ييال (6-6) عمي ي ي‬ ‫حلحلطل ي ييأم‬ ‫أي ي إححي ي حل ل 0 ‪ . x 0 ‬تاي ي ح حي ي ل حلام ييل لي ييأرحل ) ‪ y(x‬ي ي ‪، f  x , y ‬‬ ‫ر‬ ‫0‪. x  x‬‬ ‫إل اييال اييل‬ ‫ع ييو حل الل ي (6.6) تا ي ح ح ي ل حلامييل نيير 0 ‪ x  x‬ي ‪ f  x 0 , y0 ‬عم ي‬ ‫0‪. y  x 0   y‬‬ ‫0‪ y0 ، x‬ا أ ا ال حل رط حقتحرح‬ ‫مأر‬ ‫شكل (1-6) : حلخط ة حأل ل تط حخرحك طرمق‬ ‫0‪y1  y‬‬ ‫حلح ي ن ييحطمال‬ ‫أ ي حلص ي ة‬ ‫ر‬ ‫ي‬ ‫اييل حل ييال نديير ل حلامييل نيير 0 ‪x  x‬‬ ‫0 ‪x1  x‬‬ ‫اناط حلعص ل أ حل الل‬ ‫0‪y1  y‬‬ ‫‪f  x 0 , y0  ‬‬ ‫‪ y1  y0  f  x 0 , y0  x1  x 0 ‬‬ ‫0 ‪x1  x‬‬ ‫أ إ حتطر ننط لانط تح ام 0‪ x1  x‬تط ل حلخطي ة مرايل ليد تيطلرال ‪ ، h‬لنعصيل أي‬ ‫حل الل‬ ‫)2.6( --------------------- ‪y1  y0  f  x 0 , y0  h‬‬ ‫1‪ y‬ح تر يل حلقماي حلحقرمتمي (‪ )approximate value‬ل ي ) ‪ y(x‬نير 1‪x  x‬‬ ‫إل‬ ‫عم‬ ‫(‪ ،)Predicted value‬لع ييطو 2 ‪y‬‬ ‫حلاح ل ي ي‬ ‫عمطنييط مطأ ييق أماييط حلقماي ي حلحنتؤم ي‬ ‫لي ) ‪ y(x‬نر 2 ‪x  x‬‬ ‫حلقما حلحقرمت‬ ‫)3.6( --------------------- ‪y2  y1  f  x1, y1  h‬‬ ‫‪x 2  x1  h‬‬ ‫إل‬ ‫عم‬ ‫حل الل حل طا‬ ‫ح حاطرح أ اط تق ال حل اللحمل (6.6) (3.6) ماال حلح صل إل‬ ‫حلحطلم‬ ‫___________________________________________________‬ ‫-542-‬
  • 23.
    ‫حل المعادالت التفاضليةباستخدام المتسلسالت الالنهائية‬ ‫‪y(xi 1 )  y(xi )  f  xi , yi  h ‬‬ ‫‪‬‬ ‫‪‬‬ ‫‪xi 1  xi  h‬‬ ‫‪‬‬ ‫‪‬‬ ‫حلح ماال إخحصطر احطتحاط أ حل ال حلحطل‬ ‫ح‬ ‫‪yi 1  y  xi   f  xi , yi  h ‬‬ ‫‪‬‬ ‫)4.6( ---------------- ‪‬‬ ‫‪xi 1  xi  h‬‬ ‫‪‬‬ ‫‪‬‬ ‫مأر ا‬ ‫أماط‬ ‫عمطنط مطأق‬ ‫مأر،‬ ‫حل الل حلحاررم (4.6) تطرمق‬ ‫ح‬ ‫ح ا‬ ‫(‪ )Euler-Cauchy method‬حل ال حلحطل م ل حأع حل الل حلحاررم‬ ‫ح‬ ‫مأر‬ ‫شكل (2-6) : حل الل حلحاررم تط حخرحك طرمق‬ ‫ح‬ ‫ني يير 1 ‪ x ‬تا أ ام ي ي‬ ‫‪y  y  x‬‬ ‫مثااااال (3-6) : دي يير عي ييل حلا طرل ي ي حلحلطلي ييأم‬ ‫1 ‪y(0) ‬‬ ‫حلع ييل‬ ‫حلرردي‬ ‫ي ا طرلي حلطليأم خطمي اييل حلرحتي حأل لي‬ ‫ل حأييع حلا طرلي‬ ‫ايل حل حلي‬ ‫ليع اايط حي حلتيطو حلثيطن‬ ‫ن حطمال عأاط أ إ حتطر ناط ا طرل حلطلأم خطم‬ ‫حأل ل‬ ‫ما ل عأاط أ حل ال حلحطل‬ ‫)5.6( ------------------------ ‪y( x)  x  1  2e x‬‬ ‫يل‬ ‫ا رحي ايرإل رلي حأيع حلطرمقي ،‬ ‫حآلل نق ك تعأاط ررمط لحنامر ح طلمي حلطرمقي‬ ‫ماال لمطرة حلرل لاط امف ماال لع ؟‬ ‫___________________________________________________‬ ‫-642-‬
  • 24.
    ‫الباب السادس‬ ‫يال اطرلي‬ ‫أي‬ ‫نق ك تلرل حل 2.0 ‪ h ‬نق ك ت لال حلا طرل حلحلطلأم‬ ‫ح حلترحم‬ ‫أ حلص ة‬ ‫ر‬ ‫مأر لحصت‬ ‫‪y  y  x  y  x  y‬‬ ‫تا ح ح ل ‪ f (x, y )  x  y‬حلح مل ح حل الل (4.6) نعصل أ‬ ‫)2.0( ‪yi 1  yi  f  xi , yi  h  yi 1  yi   xi  yi ‬‬ ‫اناط نعصل أ حل الل حلحطلم‬ ‫‪yi 1  0.8yi  (0.2)  xi ‬‬ ‫‪, i  0,1, 2, 3, 4 ‬‬ ‫‪‬‬ ‫‪‬‬ ‫1 ‪y(0) ‬‬ ‫‪‬‬ ‫‪‬‬ ‫حآلل ن ل ل 4 ,3 ,2 ,1,0 ‪ i ‬ح حل الل حل طتق لنعصل أ‬ ‫8.0 ‪y1  (0.8)y 0  (0.2)x 0  (0.8)(1)  (0.2)(0) ‬‬ ‫86.0 ‪y 2  (0.8)y1  (0.2)x1  (0.8)(0.8)  (0.2)(0..2) ‬‬ ‫426.0 ‪y3  (0.8)y 2  (0.2)x 2  (0.8)(0.68)  (0.2)(0.4) ‬‬ ‫916.0 ‪y 4  (0.8)y3  (0.2)x 3  (0.8)(0.624)  (0.2)(0.6) ‬‬ ‫556.0 ‪y5  (0.8)y 4  (0.2)x 4  (0.8)(0.691)  (0.2)(0.8) ‬‬ ‫تا ح ح ل حلعل حل رري لأا طرل حلحلطلأم تا أ ام 2.0 ‪h ‬‬ ‫1 ‪y ( x  0) ‬‬ ‫8.0 ‪y ( x  0.2) ‬‬ ‫86.0 ‪y ( x  0.4) ‬‬ ‫426.0 ‪y ( x  0.6) ‬‬ ‫916.0 ‪y ( x  0.8) ‬‬ ‫556.0 ‪y ( x  1) ‬‬ ‫أ ي حلص ي ة (6.6) عم ي‬ ‫ر‬ ‫حآلل يينق ك تحصييامك ترنييطاج جمدييطر عييل ي ا طرل ي حلطلييأم‬ ‫ااط مأ‬ ‫إرخطل ت ل حلتمطنط‬ ‫معحطج حلترنطاج إل‬ ‫إرخطل لما ط ل حلخط ة مرال لاط تطلرال ‪h‬‬ ‫إرخطل حلرحل ) ‪ f (x , y‬لأا طرل حلحلطلأم ت ر ل اط أ حلص ة (6.6)‬ ‫ر‬ ‫لما ال ال 0 ‪. y 0 ، x‬‬ ‫إرخطل حل رط حقتحرح‬ ‫إرخطل لما ‪ x‬حلاطأ و نر ط ع طو لما ‪ y‬نرال لاط تطلرال ‪xf‬‬ ‫___________________________________________________‬ ‫-742-‬
  • 25.
    ‫حل المعادالت التفاضليةباستخدام المتسلسالت الالنهائية‬ ‫‪clear all‬‬ ‫‪syms f x y‬‬ ‫;)'=‪h = input('step size‬‬ ‫;)'=)‪f = input('the function f(x,y‬‬ ‫;)'=0‪X(1) = input('x‬‬ ‫;)'=0‪Y(1) = input('y‬‬ ‫;)'=‪xf = input('xf‬‬ ‫‪for i=1:(xf-X(1))/h‬‬ ‫;‪X(i+1)=X(i)+h‬‬ ‫;)‪y=Y(i‬‬ ‫;)‪x=X(i‬‬ ‫;)‪Y(i+1)=Y(i)+h*subs(f‬‬ ‫‪end‬‬ ‫‪Y‬‬ ‫مأر‬ ‫أ حلص ة (6.6) تط حخرحك طرمق‬ ‫ر‬ ‫برنامج (1-6): عل ا طرل حلطلأم‬ ‫حتط ط ااط مظار ح حلنطح ة حلحطلم‬ ‫نر حنلم حلترنطاج نق ك ت رخطل حلتمطنط‬ ‫2.0=‪step size‬‬ ‫‪the function f(x,y)=x-y‬‬ ‫0=0‪x‬‬ ‫1=0‪y‬‬ ‫1=‪xf‬‬ ‫=‪Y‬‬ ‫0086.0 0008.0 0000.1‬ ‫0426.0‬ ‫2916.0‬ ‫4556.0‬ ‫>>‬ ‫حل طرمي اايط حير‬ ‫حلقمك حلح عصأنط أمايط ايل حلع يطتط‬ ‫نالعظ نط ل لمك حلرحل ‪y‬‬ ‫حلدايير حل ل ي . حل ييال (3-6) م ل ي حلعييل حل ييرري حلحقرمت ي (‪ )Approximate‬حلعييل‬ ‫اط حاثأ حلا طرل (5.6)‬ ‫حلحطك (‪ )Exact‬لأا طرل حلحلطلأم‬ ‫___________________________________________________‬ ‫-842-‬
  • 26.
    ‫الباب السادس‬ ‫1‬ ‫59.0‬ ‫9.0‬ ‫58.0‬ ‫8.0‬ ‫‪y‬‬ ‫57.0‬ ‫‪Exact solution‬‬ ‫7.0‬ ‫56.0‬ ‫)2.0=‪approximated solution(h‬‬ ‫0‬ ‫1.0‬ ‫2.0‬ ‫3.0‬ ‫4.0‬ ‫5.0‬ ‫6.0‬ ‫7.0‬ ‫8.0‬ ‫9.0‬ ‫1‬ ‫‪x‬‬ ‫نر 2.0 ‪ h ‬تطلعل حلحطك لأا طرل حلحلطلأم‬ ‫شكل (3-6): اقطرن حلعل حلحقرمتم‬ ‫حآلل نق ك تحغممر لما ط ل حلخط ة ‪ h‬لا رح ارإل حنثمر ط أ حلعل حلي ي عصيأنط‬ ‫لييمك ي 6.2 ، 6.2 ، 52.2 حييك حلعص ي ل أ ي‬ ‫ط ي ل حلخط ي ة ثييال‬ ‫أم يد، ليير خ ي‬ ‫ليع ااييط حي حل ييال‬ ‫حيك حي لم اك أي نليين حلاعيط ر‬ ‫حليثال‬ ‫حلعيل حي اييل ايل حلعييطق‬ ‫ي عييل حقرمت ي ( ت ميير‬ ‫(4-6)، اييط ح نالعييظ اييل ي ح حل ييال ؟ حلعييل نيير 2.0 ‪ h ‬ي‬ ‫نير 50.0 ‪، h ‬‬ ‫ل لما حلعيل حلحيطك) حي عيمل ل ليرتاك لأعيل حلحيطك ي حلعيل حلحقرمتي‬ ‫لرو اط ما ل لأعيل‬ ‫تاط م ن اأاط صغر لما ط ل حلخط ة ‪ h‬اأاط اطل حلعل حلحقرمت‬ ‫حلصييلر ح ي ل حلعييل حلحقرمت ي محقييطرو اييل حلعييل‬ ‫نييد نييراط حييؤ ل ‪ h‬إل ي‬ ‫ي ح م ني‬ ‫حلحييطك،‬ ‫حلحطك.‬ ‫1‬ ‫59.0‬ ‫9.0‬ ‫58.0‬ ‫8.0‬ ‫‪y‬‬ ‫57.0‬ ‫‪Exact solution‬‬ ‫7.0‬ ‫)50.0=‪(h‬‬ ‫56.0‬ ‫)1.0=‪(h‬‬ ‫)2.0=‪(h‬‬ ‫0‬ ‫1.0‬ ‫2.0‬ ‫3.0‬ ‫4.0‬ ‫5.0‬ ‫6.0‬ ‫7.0‬ ‫8.0‬ ‫9.0‬ ‫1‬ ‫‪x‬‬ ‫مل.‬ ‫شكل (4-6): حنثمر حغمر ط ل حلخط ة أ رل حلعل تط حخرحك طرمق‬ ‫___________________________________________________‬ ‫-942-‬
  • 27.
    ‫حل المعادالت التفاضليةباستخدام المتسلسالت الالنهائية‬ ‫مثااال (4-6) : تط ييحخرحك ط ي ل خط ي ة 50.0، ديير حلعييل حل ييرري لأا طرل ي حلحلطلييأم‬ ‫أمييد ايال حلعييل‬ ‫مأيير، ليطرل حلعيل حلي ي عصيأ‬ ‫حلحطلمي لقيمك 1 ‪ 0  x ‬تط ييحخرحك طرمقي‬ ‫2 ‪ y  x‬لأا طرل حلحلطلأم‬ ‫حلحعأمأ‬ ‫0 ‪y  e y - e x  2x , y(0) ‬‬ ‫2‬ ‫حلعل‬ ‫ل‬ ‫أ حلص ة (6.5) تا ن‬ ‫ر‬ ‫حلا طرل حلحلطلأم‬ ‫‪y   e y - e x  2x‬‬ ‫2‬ ‫ندر ل 0 ‪y0  0 ، x 0 ‬‬ ‫ال حل رط حقتحرح‬ ‫ل عر ر حلاحغمير ‪ x‬ي 6 تايط‬ ‫حلاطأ و ع طو لما حلعل ح حللح ة 1 ‪ 0  x ‬تا ن‬ ‫ر‬ ‫م ن حل حلاحغمر 1 ‪xf ‬‬ ‫حآلل نق ك تححلم حلترنطاج حل طتق اال ت ل حلح رمل لمق ك تطلر ك .‬ ‫‪clc‬‬ ‫‪clear all‬‬ ‫‪syms f x y‬‬ ‫;)'=‪h = input('step size‬‬ ‫;)'=)‪f = input('the function f(x,y‬‬ ‫;)'=0‪X(1) = input('x‬‬ ‫;)'=0‪Y(1) = input('y‬‬ ‫;)'=‪xf = input('xf‬‬ ‫‪for i=1:(xf-X(1))/h‬‬ ‫;‪X(i+1)=X(i)+h‬‬ ‫;)‪y=Y(i‬‬ ‫;)‪x=X(i‬‬ ‫;)‪Y(i+1)=Y(i)+h*subs(f‬‬ ‫‪end‬‬ ‫‪plot (X,Y,'r.') % numerical solution‬‬ ‫;2^.‪Y1=X‬‬ ‫‪hold on‬‬ ‫‪plot (X,Y1,'b*') % analytical solution‬‬ ‫مأر اال‬ ‫أ حلص ة (6.6) تط حخرحك طرمق‬ ‫ر‬ ‫برنامج (2-6): عل ا طرل حلطلأم‬ ‫اقطرنحد تطلعل حلحعأمأ‬ ‫___________________________________________________‬ ‫-052-‬
  • 28.
    ‫الباب السادس‬ ‫مقي كحلترنيطاج‬ ‫حتط ط ااط مظار ح حلنطحي ة حلحطلمي‬ ‫نر حنلم حلترنطاج نق ك ت رخطل حلتمطنط‬ ‫تح لمال حل ال (5-6)‬ ‫50.0=‪step size‬‬ ‫‪the function f(x,y)=exp(y)-exp(x^2)+2*x‬‬ ‫0=0‪x‬‬ ‫0=0‪y‬‬ ‫1=‪xf‬‬ ‫>>‬ ‫1‬ ‫‪Anlytical solution‬‬ ‫9.0‬ ‫‪Numerical Solution‬‬ ‫8.0‬ ‫7.0‬ ‫6.0‬ ‫5.0‬ ‫‪y‬‬ ‫4.0‬ ‫3.0‬ ‫2.0‬ ‫1.0‬ ‫0‬ ‫0‬ ‫1.0‬ ‫2.0‬ ‫3.0‬ ‫4.0‬ ‫5.0‬ ‫6.0‬ ‫7.0‬ ‫8.0‬ ‫9.0‬ ‫1‬ ‫‪x‬‬ ‫مأر حلعل حلحعأمأ .‬ ‫شكل (5-6): حلعل حلحقرمت تط حخرحك طرمق‬ ‫ن يير 2 ‪t ‬‬ ‫حلحلطل ييأم حآلحمي ي‬ ‫مثاااال (5-6) : د يير حلع ييل حلحقرمتي ي لادا ي ي حلا ييطرق‬ ‫مأر تط ل خط ة 5.0‬ ‫تط حخرحك طرمق‬ ‫‪dx‬‬ ‫, ‪y‬‬ ‫1 ‪x (0) ‬‬ ‫‪dt‬‬ ‫‪dy‬‬ ‫,‪ 0.5x  0.5y‬‬ ‫2 ‪y(0) ‬‬ ‫‪dt‬‬ ‫حلع ييل‬ ‫مأ يير أي ي حلنعي ي‬ ‫مأ يير(4.5) أي ي حلا ييطرلحمل نعص ييل أي ي ا ييطرق‬ ‫تحطتمي يق ا طرلي ي‬ ‫حلحطل‬ ‫___________________________________________________‬ ‫-152-‬
  • 29.
    ‫حل المعادالت التفاضليةباستخدام المتسلسالت الالنهائية‬ ‫‪xi 1  xi  hyi‬‬ ‫‪‬‬ ‫‪‬‬ ‫‪yi 1  yi  h  0.5xi  0.5yi  ‬‬ ‫‪ti 1  ti  h‬‬ ‫‪‬‬ ‫‪‬‬ ‫ق : نر 0 ‪ i ‬ح ل 2 ‪ x 0  1, y0 ‬اناط ح ل‬ ‫2 ‪x1  x 0  0.5y0  1  0.5(2) ‬‬ ‫57.1 ‪y1  y0  0.5  0.5x 0  0.5y0  ‬‬ ‫حلقمك حلحقرمتم لي ‪ x , y‬نر 5.0 ‪t ‬‬ ‫1‪x1, y‬‬ ‫إل‬ ‫عم‬ ‫ثطنمط : نر 1 ‪ i ‬ح ل 57.1 ‪ x1  2, y1 ‬اناط ح ل‬ ‫578.2 ‪x 2  x1  0.5y1 ‬‬ ‫5218.1 ‪y2  y1  0.5  0.5x1  0.5y1  ‬‬ ‫حلقمك حلحقرمتم لي ‪ x , y‬نر 1 ‪t ‬‬ ‫إل 2‪x 2 , y‬‬ ‫عم‬ ‫ثطلثط : نر 2 ‪ i ‬ح ل 587.2 ‪ x 2  2.875, y 2 ‬اناط ح ل‬ ‫52187.3 ‪x 3  x 2  0.5y2 ‬‬ ‫521870.2 ‪y3  y2  0.5  0.5x 2  0.5y2  ‬‬ ‫حلقمك حلحقرمتم لي ‪ x , y‬نر 5.1 ‪t ‬‬ ‫إل 3‪x 3 , y‬‬ ‫عم‬ ‫حت ط : نر 3 ‪ i ‬ح ل 521870.2 ‪ x3  3.78125, y 3 ‬اناط ح ل‬ ‫ر‬ ‫3028.4 ‪x 3  x 3  0.5y3 ‬‬ ‫9305.2 ‪y4  y3  0.5  0.5x 3  0.5y3  ‬‬ ‫حلقمك حلحقرمتم لي ‪ x , y‬نر 2 ‪t ‬‬ ‫إل 4‪x 4 , y‬‬ ‫عم‬ ‫___________________________________________________‬ ‫-252-‬
  • 30.
    ‫الباب السادس‬ ‫ثانيا : طريقة رونج كوتا من الرتبة الثانية لحل المعادالت التفاضلية‬ ‫ررمي‬ ‫طرمق‬ ‫طرمق ر نج ا حط ال حلرحت حلثطنم (‪)Runge-Kutta 2nd Order‬‬ ‫ح يحخرك لعيل حلا يطرق‬ ‫مرال لاط تطلرال 2‪ RK‬حلح‬ ‫حلحلطلأم حل طرم‬ ‫لعل حلا طرق‬ ‫أ حلص ة (6.6)‬ ‫ر‬ ‫حلحلطلأم‬ ‫‪dy‬‬ ‫0‪ f  x , y  , y  0   y‬‬ ‫)6.6( ------------‬ ‫‪dx‬‬ ‫حلص ي ة‬ ‫ر‬ ‫ااييط نالعييظ قتيير ل ححع ي ل حلا طرل ي حلحلطلييأم حل طرم ي اييل حلرحت ي حأل ل ي إل ي‬ ‫مأر.‬ ‫لع ح طرمق‬ ‫(6.6) ااط تق ح لم‬ ‫إل‬ ‫حلصي ي ة ‪ yi 1  yi  f  xi , yi  h‬عمي ي‬ ‫ر‬ ‫أي ي‬ ‫مأ يير ي ي‬ ‫حي ي ار ل ا طرلي ي‬ ‫يينقرك إ ييحنحطدط‬ ‫‪ ، h  xi 1  xi‬لاي ي نلا ييك ا ييط ي ي طرمقي ي ر ن ييج ا ح ييط لأرحتي ي حلثطنمي ي‬ ‫لع ااط مأ‬ ‫مأر تط حخرحك الا ع حمأ ر )‪)Taylor Expansion‬‬ ‫لطرمق‬ ‫‪dy‬‬ ‫‪1 d y‬‬ ‫2‬ ‫‪yi 1  yi ‬‬ ‫‪ xi 1  xi  ‬‬ ‫‪ xi 1  xi ‬‬ ‫2‬ ‫‪dx‬‬ ‫‪ xi ,yi ‬‬ ‫2 ‪2 ! dx‬‬ ‫‪ xi ,yi ‬‬ ‫‪1 d 3y‬‬ ‫‪‬‬ ‫‪ xi 1  xi ‬‬ ‫... ‪‬‬ ‫3‬ ‫3 ‪3 ! dx‬‬ ‫‪ xi ,yi ‬‬ ‫‪dy‬‬ ‫نعصل أ‬ ‫عم إل ‪ f  x , y ‬‬ ‫‪dx‬‬ ‫1‬ ‫‪‬‬ ‫‪ yi  f (xi , yi )  xi 1  xi   f '(xi , yi )  xi 1  xi   ...‬‬ ‫2‬ ‫1‪yi ‬‬ ‫!2‬ ‫‪‬‬ ‫)7.6( --- ‪‬‬ ‫1‬ ‫‪‬‬ ‫1‪yi ‬‬ ‫... ‪ yi  f  xi , yi  h  f   x i , yi  h ‬‬ ‫2‬ ‫!2‬ ‫‪‬‬ ‫‪‬‬ ‫ااط نالعظ ند ت اطل حلعر ر إتحرحءح ال حلعر حلثطل ، نعصل أ حلا طرل حلحطلم‬ ‫‪yi 1  yi  f  xi , yi  h‬‬ ‫ناييط طرمق ي ر نييج ا حييط لأرحت ي‬ ‫مأيير أ ي‬ ‫مأيير ت ي لع مااييل ح ييام طرمق ي‬ ‫ي ا طرل ي‬ ‫ي ايل حلعير ر حلحي‬ ‫ي م حلطرمقي‬ ‫حأل لي (‪ )Runge-Kutta 1st order‬ماي ل حلخطين حي‬ ‫حك ع حاط‬ ‫3 ‪f   xi , yi  2 f   xi , yi ‬‬ ‫‪Et ‬‬ ‫‪h ‬‬ ‫... ‪h ‬‬ ‫)8.6( -----------‬ ‫!2‬ ‫!3‬ ‫___________________________________________________‬ ‫-352-‬
  • 31.
    ‫حل المعادالت التفاضليةباستخدام المتسلسالت الالنهائية‬ ‫نعصييل أ ي‬ ‫ي ف ننخ ي عييرح حلييطحمط تا ن ي‬ ‫جظاييطر طرمق ي ر نييج ا حييط لأرحت ي حلثطنم ي‬ ‫ثالث عر ر اطلحطل‬ ‫1‬ ‫‪‬‬ ‫‪yi 1  yi  f  x i , yi  h ‬‬ ‫‪f   x i , yi  h 2 ‬‬ ‫!2‬ ‫‪‬‬ ‫)9.6( --------- ‪‬‬ ‫2 1‬ ‫‪‬‬ ‫1‪yi ‬‬ ‫‪ yi  hf i  h f i ‬‬ ‫!2‬ ‫‪‬‬ ‫‪‬‬ ‫اأا ييط، تل ييرل‬ ‫أي ي اث ييطل ييرري لنح ييرف أي ي املمي ي‬ ‫ر ن ييط حآلل نن ييطلل حأ ييع حلطرمقي ي‬ ‫حلا طرل حلحلطلأم حلحطلم‬ ‫‪dy‬‬ ‫5 ‪ e 2 x  3y, y  0  ‬‬ ‫‪dx‬‬ ‫انا ي ييط ماي ي ي ل ‪ f  x , y   e 2x  3y‬نالع ي ييظ ل ‪ f  x , y ‬رحلي ي ي حي ي ي ‪ x , y‬حاي ي ي ل‬ ‫حلا حق حأل ل لاط أ حلنع حلحطل‬ ‫‪f  x , y  f  x , y  dy‬‬ ‫‪f   x, y  ‬‬ ‫‪‬‬ ‫)01.6( ------------‬ ‫‪x‬‬ ‫‪y‬‬ ‫‪dx‬‬ ‫ثك تطلح مل تقما حلرحل ‪f  x , y   e 2 x  3y‬‬ ‫‪‬‬ ‫‪f   x, y  ‬‬ ‫‪x‬‬ ‫‪e 2x  3y    e 2x  3y  e 2x  3y ‬‬ ‫‪y‬‬ ‫‪‬‬ ‫‪ 2e 2 x  (3) e 2 x  3y   5e 2 x  9y‬‬ ‫تطلح مل تطلا حق حأل ل ح حل الل (9.6) نعصل أ‬ ‫‪‬‬ ‫‪yi 1  yi  e 2 xi  3yi h ‬‬ ‫‪‬‬ ‫1‬ ‫!2‬ ‫‪‬‬ ‫2 ‪5e 2 xi  9yi h‬‬ ‫‪‬‬ ‫لأعصي ل‬ ‫تا ح عصأنط أ حل الل حلاطأ تي ، لايل يل قعظي اقرح حلا يق حلحي تي ل‬ ‫ذ‬ ‫ر‬ ‫ليع اايط‬ ‫ل صمطت ال لحأيع حل اللي‬ ‫أ حلا حق حأل ل ‪ ، f   x , y ‬ل ح نتع‬ ‫مأ :‬ ‫أ حلص ة حلحطلم‬ ‫ر‬ ‫ماال احطت حلا حق حأل ل‬ ‫‪f  x , y  f  x , y  dy‬‬ ‫‪ dy ‬‬ ‫‪f   x, y  ‬‬ ‫‪‬‬ ‫‪ f   f x  fy ‬‬ ‫‪‬‬ ‫‪x‬‬ ‫‪y‬‬ ‫‪dx‬‬ ‫‪ dx ‬‬ ‫___________________________________________________‬ ‫-452-‬
  • 32.
    ‫الباب السادس‬ ‫‪dy‬‬ ‫‪ f   f x  f y f‬تيطلح مل نايط‬ ‫نعصيل أي‬ ‫تط حخرحك حل الل ‪ f  x , y ‬‬ ‫‪dx‬‬ ‫ح حل الل (6.6) لنعصل أ‬ ‫‪h  f x  fy f‬‬ ‫‪‬‬ ‫2 1‬ ‫‪yi 1  yi  hf i ‬‬ ‫!2‬ ‫‪i‬‬ ‫حلص ة حلحطلم‬ ‫ر‬ ‫حلح ححع ل إل‬ ‫2‪h‬‬ ‫2‪h‬‬ ‫‪yi 1  yi  hf i ‬‬ ‫)11.6( --------- ‪ f x i   f y i f i‬‬ ‫!2‬ ‫!2‬ ‫نق ك تلرل حلا طرل حلحطلم لحاثل ا طرل ر نج ا حط لأرحت حلثطنم‬ ‫حآلل‬ ‫‪yi 1  yi  a1k1  a 2k 2  h‬‬ ‫‪‬‬ ‫‪‬‬ ‫(66.6) --- ‪‬‬ ‫‪k1  f  xi , yi  , k 2  f  xi  p1h , yi  q11k1h  ‬‬ ‫‪‬‬ ‫حلص ة )21.6(‬ ‫ر‬ ‫نعط ل لال حلا طرل )11.6( أ‬ ‫ء حلحطل‬ ‫ح حلدل‬ ‫ق: ر نط حآلل نق ك تلع حلاقرحر 2 ‪ k‬تط حخرحك الا ع حمأ ر‬ ‫‪k2  f  xi  p1h , yi  q11 k1  h   f i  p1h  f x i  q11  f i  h  f y ‬‬ ‫‪i‬‬ ‫ثطنمط : تطلح مل ل لما 2 ‪ k‬ح حلا طرل (66.6) نعصل أ‬ ‫‪yi 1  yi  a1k1  a 2k 2  h  yi 1  yi  a1 k1  h  a 2 k 2  h ‬‬ ‫‪‬‬ ‫‪yi 1  yi  a1  f i  h  a 2 f i  p1h  f x i  q11  f i  h  f y  h‬‬ ‫‪i‬‬ ‫‪‬‬ ‫‪yi 1  yi  a1  a 2  h  f i   a 2 p1h 2  f x i  a 2q11h 2  f y   f i ‬‬ ‫‪i‬‬ ‫ثطلثط : تاقطرن حلا طرل حلنطحد اال ا طرل ر نج ا حط )21.6( نعصل أ‬ ‫1‬ ‫1‬ ‫(36.6) --------------------- ‪a1  a2  1, a2 p1  , a2 q11 ‬‬ ‫2‬ ‫2‬ ‫ادط مل، لعأاط نق ك تلرل احغمر‬ ‫رت‬ ‫ا طرق‬ ‫نالعظ نط ننط عصأنط أ ثال‬ ‫لنعصل أ حلثالث حأل إل، ت ال طك ح ننط ن حخرك لما 2 ‪ a‬لأعص ل أ حلثالث‬ ‫خر‬ ‫2‬ ‫1‬ ‫أ‬ ‫لحنحج ثالث طرق اخحأل ،‬ ‫,1 ,‬ ‫حألخ إل حنخ 2 ‪ a‬ثالث حعحاطق‬ ‫ر‬ ‫3‬ ‫2‬ ‫منل (‪ )Heun’s Method‬طرمق حلنقط حل ط (‪)Midpoint method‬‬ ‫حلحرحمو طرمق‬ ‫طرمق حل ح ل (‪. )Ralston’s method‬‬ ‫ر‬ ‫___________________________________________________‬ ‫-552-‬
  • 33.
    ‫حل المعادالت التفاضليةباستخدام المتسلسالت الالنهائية‬ ‫طريقة هينز (‪)Heun’s Method‬‬ ‫1‬ ‫1‬ ‫‪ a1 ‬ال ثك حلح مل ح‬ ‫نلرل ل ‪ a2 ‬لنعصل أ 1 ‪, p1  1, q11 ‬‬ ‫2‬ ‫2‬ ‫حلا طرل (21.6) لنعصل أ‬ ‫1‪‬‬ ‫‪1 ‬‬ ‫‪‬‬ ‫‪yi 1  yi   k1  k 2  h‬‬ ‫‪‬‬ ‫2‪‬‬ ‫‪2 ‬‬ ‫(46.6) -------- ‪‬‬ ‫‪k1  f  xi , yi  , k 2  f  xi  h , yi  k1h  ‬‬ ‫‪‬‬ ‫إعرإل ص ر طرمق ر نج ا حط لأرحت حلثطنم‬ ‫منل‬ ‫ح ا حأع حلطرمق تطرمق‬ ‫طريقة النقطة الوسطى (‪)Midpoint Method‬‬ ‫1‬ ‫1‬ ‫‪ a1  0, p1  , q11 ‬ال ثك حلح مل ح‬ ‫نلرل ل 1 ‪ a2 ‬لنعصل أ‬ ‫2‬ ‫2‬ ‫حلا طرل (21.6) لنعصل أ‬ ‫‪yi 1  yi  k 2h‬‬ ‫‪‬‬ ‫‪‬‬ ‫‪‬‬ ‫1‬ ‫1‬ ‫‪‬‬ ‫(56.6) -----‬ ‫‪k1  f  xi , yi  , k 2  f  x i  h , yi  k1h  ‬‬ ‫‪‬‬ ‫2‬ ‫2‬ ‫‪‬‬ ‫ي إعيرإل صي ر طرمقي ر نيج ا حيط لأرحتي‬ ‫ح ا حأع حلطرمق تطرمق حلنقط حل ط‬ ‫حلثطنم‬ ‫طريقة الستون (‪)Ralston’s method‬‬ ‫ر‬ ‫1‬ ‫3‬ ‫3‬ ‫2‬ ‫‪ a1  , p1 ‬ا ييل ث ييك حلح ي ي مل‬ ‫‪, q11 ‬‬ ‫‪ a2 ‬لنعص ييل أي ي‬ ‫نل ييرل ل‬ ‫3‬ ‫4‬ ‫4‬ ‫3‬ ‫ح حلا طرل (21.6) لنعصل أ‬ ‫1‬ ‫2‬ ‫‪‬‬ ‫‪yi 1  yi  ( k1  k 2 )h‬‬ ‫‪‬‬ ‫3‬ ‫3‬ ‫‪‬‬ ‫(66.6) ------ ‪‬‬ ‫‪‬‬ ‫3‬ ‫3‬ ‫‪‬‬ ‫‪k1  f  x i , yi  , k 2  f  x i  h , yi  k1h ‬‬ ‫‪‬‬ ‫4‬ ‫4‬ ‫‪‬‬‫‪‬‬ ‫حلص ة حلثطلث لطرمق ر نج ا حط لأرحت حلثطنم‬ ‫ر‬ ‫ح ا حأع حلطرمق تطرمق حل ح ل‬ ‫ر‬ ‫___________________________________________________‬ ‫-652-‬
  • 34.
    ‫الباب السادس‬ ‫نييير 1 ‪ x ‬تا أ ام ي ي‬ ‫مثااااال (6-6): دي يير عي ييل حلا طرل ي ي حلحلطلي ييأم ‪y   y  x‬‬ ‫1 ‪y (0) ‬‬ ‫حلع ييل‬ ‫أ حلص ة 1=)0(‪ y  x  y, y‬اناط ح ل ‪f ( x, y)  x  y‬‬ ‫ر‬ ‫ناحو حلا طرل‬ ‫لع تلرل ل 1.0 ‪ h ‬لنعصل أ‬ ‫منل (46.6)‬ ‫ن حخرك طرمق‬ ‫, ‪k1  f  x i , yi   k1  x i  yi‬‬ ‫‪k 2  f  x i  h , yi  k1h   k 2  x i  h  yi  k1h‬‬ ‫1‪‬‬ ‫‪1 ‬‬ ‫‪yi 1  yi   k1  k 2  h‬‬ ‫2‪‬‬ ‫‪2 ‬‬ ‫ق: نر 0 ‪ ، i ‬نعصل أ‬ ‫1‪k1  f  x0 , y0   k1  x0  y0  ‬‬ ‫8.0‪k2  x0  h  y0  k1h  0  0.1  1  (1)(0.1)  ‬‬ ‫1‪‬‬ ‫‪1 ‬‬ ‫1‪‬‬ ‫1‬ ‫‪‬‬ ‫19.0 ‪y1  y0   k1  k2  h  1    1   0.8    0.1 ‬‬ ‫2‪‬‬ ‫‪2 ‬‬ ‫2‪‬‬ ‫2‬ ‫‪‬‬ ‫ثطنمط : نر 1 ‪ ، i ‬نعصل أ‬ ‫18.0 ‪k1  f  x1 , y1   k1  x1  y1  0.1  0.91 ‬‬ ‫926.0‪k2  x1  h  y1  k1h  0.1  0.1  0.91  (0.81)(0.1)  ‬‬ ‫1‪‬‬ ‫‪1 ‬‬ ‫1‪‬‬ ‫1‬ ‫‪‬‬ ‫838.0 ‪y2  y1   k1  k2  h  0.91    0.81   0.629    0.1 ‬‬ ‫2‪‬‬ ‫‪2 ‬‬ ‫2‪‬‬ ‫2‬ ‫‪‬‬ ‫تحا حر اط تق نعصل أ‬ ‫ر‬ ‫1 ‪y0  y (0) ‬‬ ‫8896.0 ‪y6  y (0.6) ‬‬ ‫19.0 ‪y1  y (0.1) ‬‬ ‫4496.0 ‪y7  y (0.7) ‬‬ ‫838.0 ‪y2  y (0.2) ‬‬ ‫0007.0 ‪y8  y (0.8) ‬‬ ‫4287.0 ‪y3  y (0.3) ‬‬ ‫5417.0 ‪y9  y (0.9) ‬‬ ‫6147.0 ‪y4  y (0.4) ‬‬ ‫1737.0 ‪y10  y (1.0) ‬‬ ‫0417.0 ‪y5  y (0.5) ‬‬ ‫تط ييحخرحك طرمق ي ر نييج‬ ‫م ل ي حل الل ي تييمل حلعييل حلحييطك حلعييل حلحقرمت ي‬ ‫حل ييال حلحييطل‬ ‫مأر‬ ‫منل) نالعظ ناط حلل تاثمر ال طرمق‬ ‫ا حط حلرحت حلثطنم (طرمق‬ ‫___________________________________________________‬ ‫-752-‬
  • 35.
    ‫حل المعادالت التفاضليةباستخدام المتسلسالت الالنهائية‬ ‫1‬ ‫‪Exact‬‬ ‫‪Apprximated‬‬ ‫59.0‬ ‫9.0‬ ‫58.0‬ ‫8.0‬ ‫57.0‬ ‫7.0‬ ‫56.0‬ ‫0‬ ‫1.0‬ ‫2.0‬ ‫3.0‬ ‫4.0‬ ‫5.0‬ ‫6.0‬ ‫7.0‬ ‫8.0‬ ‫9.0‬ ‫1‬ ‫منل، نر 1.0 ‪ h ‬تطلعل حلحطك‬ ‫شكل (6-6): اقطرن حلعل حلحقرمت تطرمق‬ ‫طييرق ( منييل - حلنقطي حل ييط - حل ييح ل )‬ ‫ر‬ ‫م لي نحييط ج حلييثال‬ ‫حلديير ل حلحييطل‬ ‫نر لمك اخحأل ال ‪h‬‬ ‫مأراال حلعل حلحطك‬ ‫اال اقطرنحاك تطرمق‬ ‫ط ل حلخط ة‬ ‫حلعل =8537.0‬ ‫‪h‬‬ ‫مأر‬ ‫منل‬ ‫حلنقط حل ط‬ ‫رل ح ل‬ ‫ح‬ ‫2.0‬ ‫4556.0‬ ‫5147.0‬ ‫5147.0‬ ‫5147.0‬ ‫1.0‬ ‫4796.0‬ ‫1737.0‬ ‫1737.0‬ ‫1737.0‬ ‫50.0‬ ‫0717.0‬ ‫1637.0‬ ‫1637.0‬ ‫1637.0‬ ‫جدول (1-6): اقطرن تمل حلطرق حلاخحأل لطرمق ر نج ا حط ال حلررد حلثطنم‬ ‫) در حلعل حلحقرمتي لأا طرلي‬ ‫عطق‬ ‫مثال (7-6) : تط حخرحك طرمق ر نج ا حط (حلثال‬ ‫حلحلطلأم 0 ‪ (1  x2 ) y  y 2  1 ‬تا أ ام 1 ‪ y(0) ‬نر 2 ‪ x ‬تط حخرحك طي ل خطي ة‬ ‫اقرح م 2.0 ،6.2 ملط 50.0 اثل حلثالث عأ ل تمطنمط.‬ ‫ر‬ ‫حلعل‬ ‫أ ي حلص ي ة (6.6)‬ ‫ر‬ ‫ي ف نق ي ك تحصييامك ترنييطاج جمدييطر عييل ي ا طرل ي حلطلييأم‬ ‫معحيطج حلترنيطاج إلي‬ ‫تط يحخرحك حلصي ر حلاخحألي لطرمقي ر نيج ا حيط ايل حلرحتي حلثطنمي عمي‬ ‫ااط مأ‬ ‫إرخطل ت ل حلتمطنط‬ ‫___________________________________________________‬ ‫-852-‬
  • 36.
    ‫الباب السادس‬ ‫إرخطل لما ط ل حلخط ة ‪ Step Size‬مرال لاط تطلرال ‪h‬‬ ‫إرخطل حلرحل ) ‪ f (x , y‬لأا طرل حلحلطلأم ت ر ل اط أ حلص ة (6.6)‬ ‫ر‬ ‫لما ال ال 0 ‪. y 0 ، x‬‬ ‫إرخطل حل رط حقتحرح‬ ‫إرخطل لما ‪ x‬حلاطأ و نر ط ع طو لما ‪ y‬نرال لاط تطلرال ‪xf‬‬ ‫‪ ‬طريقة هينز‬ ‫‪clc‬‬ ‫‪clear all‬‬ ‫‪syms f x y‬‬ ‫;)'=‪h = input('step size‬‬ ‫;)'=)‪f = input('the function f(x,y‬‬ ‫;)'=0‪X(1) = input('x‬‬ ‫;)'=0‪Y(1) = input('y‬‬ ‫;)'=‪xf = input('xf‬‬ ‫‪for i=1:(xf-X(1))/h‬‬ ‫;)‪y=Y(i‬‬ ‫;)‪x=X(i‬‬ ‫;)‪k1=subs(f‬‬ ‫;‪y=Y(i)+k1*h‬‬ ‫;‪x=X(i)+h‬‬ ‫;)‪k2=subs(f‬‬ ‫;‪Y(i+1)=Y(i)+(0.5*k1+0.5*k2)*h‬‬ ‫;‪X(i+1)=X(i)+h‬‬ ‫‪end‬‬ ‫‪Y‬‬ ‫منل‬ ‫أ حلص ة (6.6) تط حخرحك طرمق‬ ‫ر‬ ‫برنامج (3-6): عل ا طرل حلطلأم‬ ‫حتط ط ااط مظار ح حلنطح ة حلحطلم‬ ‫نر حنلم حلترنطاج نق ك ت رخطل حلتمطنط‬ ‫2.0=‪step size‬‬ ‫)2^‪the function f(x,y)=-(1+y^2)/(1+x‬‬ ‫0=0‪x‬‬ ‫1=0‪y‬‬ ‫2=‪xf‬‬ ‫=‪Y‬‬ ‫- 3000.0- 5111.0 2152.0 6034.0 2966.0 0000.1‬ ‫2533.0- 4782.0- 2232.0- 8761.0- 7190.0‬ ‫>>‬ ‫___________________________________________________‬ ‫-952-‬
  • 37.
    ‫حل المعادالت التفاضليةباستخدام المتسلسالت الالنهائية‬ ‫‪ ‬طريقة النقطة الوسطى‬ ‫‪clc‬‬ ‫‪clear all‬‬ ‫‪syms f x y‬‬ ‫;)'=‪h = input('step size‬‬ ‫;)'=)‪f = input('the function f(x,y‬‬ ‫;)'=0‪X(1) = input('x‬‬ ‫;)'=0‪Y(1) = input('y‬‬ ‫;)'=‪xf = input('xf‬‬ ‫‪for i=1:(xf-X(1))/h‬‬ ‫;)‪y=Y(i‬‬ ‫;)‪x=X(i‬‬ ‫;)‪k1=subs(f‬‬ ‫;‪y=Y(i)+0.5*k1*h‬‬ ‫;‪x=X(i)+0.5*h‬‬ ‫;)‪k2=subs(f‬‬ ‫;‪Y(i+1)=Y(i)+k2*h‬‬ ‫;‪X(i+1)=X(i)+h‬‬ ‫‪end‬‬ ‫‪Y‬‬ ‫أ حلص ة (6.6) تط حخرحك طرمق حلنقط‬ ‫ر‬ ‫برنامج (4-6): عل ا طرل حلطلأم‬ ‫حل ط‬ ‫حتط ط ااط مظار ح حلنطح ة حلحطلم‬ ‫نر حنلم حلترنطاج نق ك ت رخطل حلتمطنط‬ ‫2.0=‪step size‬‬ ‫)2^‪the function f(x,y)=-(1+y^2)/(1+x‬‬ ‫0=0‪x‬‬ ‫1=0‪y‬‬ ‫2=‪xf‬‬ ‫=‪Y‬‬ ‫1162.0 2934.0 2576.0 0000.1‬ ‫4221.0‬ ‫1970.0- 5110.0‬ ‫1023.0- 9272.0- 3812.0- 6451.0-‬ ‫>>‬ ‫___________________________________________________‬ ‫-062-‬
  • 38.
    ‫الباب السادس‬ ‫ طريقة الستون‬ ‫ر‬ clc clear all syms f x y h = input('step size='); f = input('the function f(x,y)='); X(1) = input('x0='); Y(1) = input('y0='); xf = input('xf='); for i=1:(xf-X(1))/h y=Y(i); x=X(i); k1=subs(f); y=Y(i)+0.75*k1*h; x=X(i)+0.75*h; k2=subs(f); Y(i+1)=Y(i)+(1/3*k1+2/3*k2)*h; X(i+1)=X(i)+h; end Y ‫أ حلص ة (6.6) تط حخرحك طرمق حل ح ل‬ ‫ر‬ ‫ر‬ ‫برنامج (5-6): عل ا طرل حلطلأم‬ ‫حتط ط ااط مظار ح حلنطح ة حلحطلم‬ ‫نر حنلم حلترنطاج نق ك ت رخطل حلتمطنط‬ step size=0.2 the function f(x,y)=-(1+y^2)/(1+x^2) x0=0 y0=1 xf=2 Y= 1.0000 0.6724 0.4351 0.2562 0.1170 0.0057 - 0.0853 -0.1611 -0.2252 -0.2801 -0.3276 >> h  0.2 ‫ال (7-6) حلعل حلنطحج ل حلثالث طرق تط حخرحك ط ل خط ة‬ ‫مل‬ ___________________________________________________ -261-
  • 39.
    ‫حل المعادالت التفاضليةباستخدام المتسلسالت الالنهائية‬ ‫1‬ ‫1‪Heun's‬‬ ‫‪Midpoint‬‬ ‫8.0‬ ‫‪Ralston‬‬ ‫6.0‬ ‫4.0‬ ‫‪y‬‬ ‫2.0‬ ‫0‬ ‫2.0-‬ ‫4.0-‬ ‫0‬ ‫2.0‬ ‫4.0‬ ‫6.0‬ ‫8.0‬ ‫1‬ ‫2.1‬ ‫4.1‬ ‫6.1‬ ‫8.1‬ ‫2‬ ‫‪x‬‬ ‫شكل (7-6): اقطرن حلعل حلحقرمت لأثالث طرق تط ل خط ة اقرح م 2.0 ‪h ‬‬ ‫ر‬ ‫___________________________________________________‬ ‫-262-‬
  • 40.
    ‫الباب السادس‬ ‫ثالثا : طريقة رونج كوتا من الرتبة الرابعة‬ ‫يار‬ ‫ح ير طرمقي ر نيج ا حيط ايل حلرحتي حل حت ي ‪ Runge-Kutta 4th Order‬إعيرإل‬ ‫ر‬ ‫مراييل لايط تيطلرال 4‪ RK‬حلحي‬ ‫حلحلطليأم حل طرمي‬ ‫طيرق حلحعأميل حل يرري لعييل حلا يطرق‬ ‫أ حلص ة (76.6)‬ ‫ر‬ ‫حلحلطلأم‬ ‫ح حخرك لعل حلا طرق‬ ‫‪dy‬‬ ‫(76.6) ---------------- 0‪ f  x , y  , y  0   y‬‬ ‫‪dx‬‬ ‫ليع اثييل‬ ‫أي حلصي ة حل ييطتق اثأايط حي‬ ‫ر‬ ‫حي حلترحمي قتير ايل لييال حلا طرلي حلحلطليأم‬ ‫ييرك إ اييطل ي اييل‬ ‫أي‬ ‫ح حايير طرمقي ر نييج ا حييط اييل حلرحتي حل حت ي‬ ‫ر‬ ‫اييل حلطييرق حل ييطتق‬ ‫عر ر حأل ل ال الا ع حمأ ر ااط مأ‬ ‫حلخا‬ ‫‪dy‬‬ ‫‪1 d y‬‬ ‫2‬ ‫‪‬‬ ‫‪yi 1  yi ‬‬ ‫‪xi ,yi  x i 1  x i  ‬‬ ‫‪ xi 1  xi ‬‬ ‫2‬ ‫‪2 xi ,yi‬‬ ‫‪‬‬ ‫‪dx‬‬ ‫‪2 ! dx‬‬ ‫‪‬‬ ‫‪1 d 3y‬‬ ‫‪1 d 4y‬‬ ‫‪‬‬ ‫‪ xi 1  xi  ‬‬ ‫‪ xi 1  xi  ‬‬ ‫3‬ ‫‪‬‬ ‫4‬ ‫‪3 xi ,yi‬‬ ‫‪4 xi ,yi‬‬ ‫‪‬‬ ‫)81.6( ----- ‪‬‬ ‫‪3 ! dx‬‬ ‫‪4 ! dx‬‬ ‫' 1‬ ‫'' 1‬ ‫‪3‬‬ ‫1‪yi ‬‬ ‫‪ yi  f  x i , yi  h  f  x i , yi  h  f  x i , y i  h‬‬ ‫2‬ ‫!2‬ ‫!3‬ ‫‪‬‬ ‫‪‬‬ ‫1‬ ‫‪‬‬ ‫4 ‪ f '''  x i , yi  h‬‬ ‫!4‬ ‫‪‬‬ ‫‪‬‬ ‫أ حلص ة حلحطلم‬ ‫ر‬ ‫حآلل نلال حأع حلا طرل‬ ‫‪yi 1  yi  a1k1  a2k2  a3k3  a4k4 h‬‬ ‫)61.6( ------‬ ‫)91.6( تطلخا ي حلعير ر حأل لي ايل الاي ع حمأي ر اايط حي حلا طرلي‬ ‫تا يط حة حلا طرلي‬ ‫(81.6) نعصل أ‬ ‫1‬ ‫‪‬‬ ‫‪yi 1  yi ‬‬ ‫‪k1  2k 2  2k3  k 4  h ‬‬ ‫6‬ ‫‪‬‬ ‫1‪k‬‬ ‫‪ f  x i , yi ‬‬ ‫‪‬‬ ‫‪‬‬ ‫2‪k‬‬ ‫‪‬‬ ‫1‬ ‫1‬ ‫‪ f  x i  h , yi  k1h ‬‬ ‫‪‬‬ ‫‪‬‬ ‫‪‬‬ ‫)02.6( ----------------‬ ‫‪‬‬ ‫2‬ ‫2‬ ‫‪‬‬ ‫‪‬‬ ‫‪‬‬ ‫1‬ ‫1‬ ‫‪‬‬ ‫‪‬‬ ‫3‪k‬‬ ‫‪ f  x i  h , yi  k 2h ‬‬ ‫‪‬‬ ‫‪‬‬ ‫2‬ ‫2‬ ‫‪‬‬ ‫‪‬‬ ‫4‪k‬‬ ‫‪ f  x i  h , yi  k 3h ‬‬ ‫‪‬‬ ‫‪‬‬ ‫اط مطأق أماط ا طرل ر نج ا حط ال حلرحت حل حت‬ ‫ر‬ ‫حأع حلا طرل‬ ‫___________________________________________________‬ ‫-362-‬
  • 41.
    ‫حل المعادالت التفاضليةباستخدام المتسلسالت الالنهائية‬ ‫ تا أ ام ي ي ي‬x  1 ‫ ني ي يير‬y  y  x ‫دي ي يير عي ي ييل حلا طرل ي ي ي حلحلطلي ي ييأم‬ : )6-8( ‫مثااااااال‬ y(0)  1 ‫حلع ييل‬ ‫أي حلصي ة (6.76) لححنط ييو اييال طرمقي ر نييج ا حييط ح‬ ‫ر‬ ‫ن مير احطتي حلا طرلي حلحلطلييأم‬ ‫حلرحت حل حت‬ ‫ر‬ y  x  y, y(0)  1 ‫ نعصل أ‬h  0.1 ‫أ ح حتطر حل‬ f ( x, y )  x  y ‫اناط‬ k1  f  x i , yi   k1  x i  yi  1 1  1 1 k 2  f  x i  h , yi  k1h   k 2  x i  h  yi  k1h  2 2  2 2  1 1  1 1 k3  f  x i  h , yi  k 2h   k 3  x i  h  yi  k 2h  2 2  2 2 k 4  f  x i  h , yi  k 3h   k 4  x i  h  yi  k 3h , 1 yi 1  yi  k1  2k 2  2k3  k 4  h 6 ) y0  1, x0  0 ‫ ( اال حل أك ل‬i  0 ‫ق نر‬ k1  x i  yi  0  1  1 1 1 k 2  x i  h  yi  k1h  0  (0.5)(0.1)  1  (0.5)(1)(0.1)  0.9 2 2 1 1 k3  x i  h  yi  k 2h  0  (0.5)(0.1)  1  (0.5)(0.9)(0.1)  0.9050 2 2 k 4  x i  h  yi  k3h  0  0.1  1  (0.9050)(0.1)  0.8095 1 y1  y 0  k1  2k 2  2k3  k 4  h 6 1 y1  1   1  2 * (0.9)  2 * (0.9050)  0.8095  (0.1)  0.9097 6 ___________________________________________________ -264-
  • 42.
    ‫الباب السادس‬ ‫نالعظ ححطتال حلقمك ال حلدر ل حلحطل‬ ‫‪i‬‬ ‫) ‪x(i‬‬ ‫)‪y (i‬‬ ‫1‪k‬‬ ‫2‪k‬‬ ‫3‪k‬‬ ‫4‪k‬‬ ‫)1 ‪y(i ‬‬ ‫2‬ ‫0.0‬ ‫1‬ ‫1-‬ ‫9.0-‬ ‫509.0-‬ ‫5908.0-‬ ‫7909.0‬ ‫6‬ ‫1.0‬ ‫7909.0‬ ‫86908.0-‬ ‫91917.0-‬ ‫27327.0-‬ ‫3736.0-‬ ‫64738.0‬ ‫6‬ ‫2.0‬ ‫64738.0‬ ‫64736.0-‬ ‫95555.0-‬ ‫86955.0-‬ ‫94184.0-‬ ‫6187.0‬ ‫3‬ ‫3.0‬ ‫6187.0‬ ‫46184.0-‬ ‫65704.0-‬ ‫62114.0-‬ ‫15043.0-‬ ‫6047.0‬ ‫4‬ ‫4.0‬ ‫6047.0‬ ‫46043.0-‬ ‫16372.0-‬ ‫69672.0-‬ ‫49212.0-‬ ‫1317.0‬ ‫5‬ ‫5.0‬ ‫1317.0‬ ‫60312.0-‬ ‫14251.0-‬ ‫44551.0-‬ ‫815790.0-‬ ‫6796.0‬ ‫6‬ ‫6.0‬ ‫6796.0‬ ‫426790.0-‬ ‫347240.0-‬ ‫784540.0-‬ ‫8429600.0‬ ‫2396.0‬ ‫7‬ ‫7.0‬ ‫2396.0‬ ‫8828600.0‬ ‫784650.0‬ ‫400450.0‬ ‫34101.0‬ ‫7896.0‬ ‫8‬ ‫8.0‬ ‫7896.0‬ ‫43101.0‬ ‫72641.0‬ ‫30441.0‬ ‫49681.0‬ ‫1317.0‬ ‫6‬ ‫9.0‬ ‫1317.0‬ ‫68681.0‬ ‫25722.0‬ ‫84522.0‬ ‫13462.0‬ ‫8537.0‬ ‫جدول (2-6): اثطل أ طرمق ر نج ا حط ال حلرحت حل حت‬ ‫ر‬ ‫حللييرق اييط تييمل حلعييل حلحقرمت ي تط ييحخرحك طرمقي ر نييج‬ ‫حل ييال حلحييطل (8-6) م ل ي‬ ‫ا حيط ايل حلرحتي حل حت ي 4‪ RK‬حلعيل حلحيطك، ايل حلنحيط ج نالعيظ ل طرمقي 4‪ RK‬ايل رق‬ ‫ر‬ ‫حلحلطلأم‬ ‫حلطرق لعل حأع حلا طرق‬ ‫1‬ ‫4‪RK‬‬ ‫‪Exact‬‬ ‫59.0‬ ‫9.0‬ ‫58.0‬ ‫8.0‬ ‫57.0‬ ‫7.0‬ ‫56.0‬ ‫0‬ ‫1.0‬ ‫2.0‬ ‫3.0‬ ‫4.0‬ ‫5.0‬ ‫6.0‬ ‫7.0‬ ‫8.0‬ ‫9.0‬ ‫1‬ ‫4‪ RK‬حلعل حلحطك‬ ‫شكل (8-6): نحط ج حلعل تط حخرحك طرمق ر نج ال حلرحت حل حت‬ ‫ر‬ ‫مثااال (9-6) : اي ة رردي عررحاييط 2266 األييل، ييا لاييط لأحترميير حي حلاي حء نيير رردي‬ ‫ح‬ ‫ر‬ ‫يط‬ ‫حلع ير ة لأ ييط حلاعييمط اقييرحر ط 223 األييل. ت ي حح حل ل حلع ير ة حلالق ي رة نحمد ي ل‬ ‫حر‬ ‫ر‬ ‫حر‬ ‫أ إ حتطر ل حلا طرل حلحلطلأم حلحطلم حاثل ررد عر ة حلا ة .‬ ‫حر ر‬ ‫حقط،‬ ‫___________________________________________________‬ ‫-562-‬
  • 43.
    ‫حل المعادالت التفاضليةباستخدام المتسلسالت الالنهائية‬ ‫‪d‬‬ ‫‪dt‬‬ ‫‪‬‬ ‫‪ 2.2067 1012  4  81108 , 0  1200 K‬‬ ‫‪‬‬ ‫‪ ‬حاثييل ررد ي حلع ير ة تييطلاألل حاثييل ‪ t‬حلييلال تطلثطنم ي . ديير ررد ي حلع ير ة نيير‬ ‫حر‬ ‫حر‬ ‫عم ي‬ ‫084 ‪ t ‬ثطنم تط حخرحك طرمق ر نج ا حط لأرحت حل حت . تطحح حل ط ل حلخط ة246 ثطنم‬ ‫ر‬ ‫ر‬ ‫حلعل‬ ‫أي حلصي ة (76.6) لححنط ييو اييال طرمقي ر نييج ا حييط ح‬ ‫ر‬ ‫ن مير احطتي حلا طرلي حلحلطلييأم‬ ‫حلرحت حل حت‬ ‫ر‬ ‫‪d‬‬ ‫‪ 2.2067  1012  4  81  108 ‬‬ ‫‪dt‬‬ ‫‪ f t ,    2.2067  1012  4  81  108 ‬‬ ‫نق ك تطلح مل ح ا طرل 4‪RK‬‬ ‫1‬ ‫‪‬‬ ‫‪ i 1   i ‬‬ ‫‪k1  2k 2  2k3  k 4  h ‬‬ ‫6‬ ‫‪‬‬ ‫‪k1 ‬‬ ‫‪f  t i , i ‬‬ ‫‪‬‬ ‫‪‬‬ ‫‪‬‬ ‫1‬ ‫1‬ ‫‪‬‬ ‫‪‬‬ ‫‪k2 ‬‬ ‫‪f  ti  h ,i  k1h ‬‬ ‫‪‬‬ ‫‪‬‬ ‫2‬ ‫2‬ ‫‪‬‬ ‫‪‬‬ ‫‪‬‬ ‫1‬ ‫1‬ ‫‪‬‬ ‫‪‬‬ ‫‪k3 ‬‬ ‫‪f  ti  h ,i  k 2h ‬‬ ‫‪‬‬ ‫‪‬‬ ‫2‬ ‫2‬ ‫‪‬‬ ‫‪‬‬ ‫‪k4 ‬‬ ‫‪f ti  h ,i  k 3h ‬‬ ‫‪‬‬ ‫‪‬‬ ‫ق نر 0 ‪ i ‬ح ل ‪ t0  0,0  1200K‬اناط ح ل‬ ‫‪k1  f t0 , 0 ‬‬ ‫9755.4‪ f  0,1200   2.2067  1012 12004  81  108   ‬‬ ‫‪‬‬ ‫1‬ ‫1‬ ‫‪‬‬ ‫‪k2  f  t0  h, 0  k1h ‬‬ ‫‪‬‬ ‫2‬ ‫2‬ ‫‪‬‬ ‫‪‬‬ ‫‪‬‬ ‫‪ f  0  240,1200   4.5579  240 ‬‬ ‫1‬ ‫1‬ ‫‪‬‬ ‫2‬ ‫2‬ ‫‪‬‬ ‫74383.0‪ f 120, 653.05  2.2067  1012  653.054  81  108   ‬‬ ‫‪‬‬ ‫1‬ ‫1‬ ‫‪‬‬ ‫‪k 3  f  t 0  h, 0  k 2 h ‬‬ ‫‪‬‬ ‫2‬ ‫2‬ ‫‪‬‬ ‫‪‬‬ ‫‪‬‬ ‫‪ f  0  240,1200   0.38347   240 ‬‬ ‫1‬ ‫1‬ ‫‪‬‬ ‫2‬ ‫2‬ ‫‪‬‬ ‫___________________________________________________‬ ‫-662-‬
  • 44.
    ‫الباب السادس‬  f 120,1154.0   2.2067  1012 1154.04  81  108   3.8954 k4  f t0  h,0  k3h  f 0  240,1200   3.894 240  f  240, 265.10   2.2067  1012  265.104  81  108   0.0069750 1 ‫تطلح مل لع طو لما‬ 1 1   0  (k1  2k 2  2k 3  k 4 )h 6  1200  1  4.5579  2 0.38347  2 3.8954  0.069750240 6  1200   2.1848  240  675.65 K ‫حلقما حلحقرمتم لررد حلعر ة نر‬ ‫حر‬ 1 ‫إل‬ ‫عم‬ t  t1 =t0  h  0  240  240 ‫ اناط ح ل‬t1  240,1  675.65 K ‫ ح ل‬i  1 ‫ثطنمط نر‬ k1  f t1 , 1   f  240, 675.65  2.2067  1012  675.654  81  108   0.44199  1 1  k 2  f  t1  h , 1  k1h   2 2   1 1   f  240   240  , 675.65   0.44199  240   2 2   f  360, 622.61  2.2067  1012  622.614  81  108   0.31372  1 1  k3  f  t1  h , 1  k 2h   2 2   1 1   f  240   240  , 675.65   0.31372   240   2 2   f  360, 638.00   2.2067  1012  638.004  81  108   0.34775 k 4  f t1  h , 1  k3h   f  240  240, 675.65   0.34775   240   f  480, 592.19   2.2067  1012  592.194  81  108   0.25351  2 ‫تطلح مل لع طو لما‬ ___________________________________________________ -267-
  • 45.
    ‫حل المعادالت التفاضليةباستخدام المتسلسالت الالنهائية‬ ‫1‬ ‫‪ 2  1  (k1  2k 2  2k3  k 4 )h‬‬ ‫6‬ ‫‪ 675.65 ‬‬ ‫1‬ ‫6‬ ‫042 ‪ 0.44199  2  0.31372   2  0.34775    0.25351  ‬‬ ‫1‬ ‫042 ‪ 675.65   2.0184  ‬‬ ‫‪ 594.91 K‬‬ ‫6‬ ‫حلقما حلحقرمتم لررد حلعر ة نر‬ ‫حر‬ ‫إل 2 ‪‬‬ ‫عم‬ ‫084 ‪t  t 2 =t1  h  240  240 ‬‬ ‫در عل حلا طرل حلحلطلأم ح حلاثطل حل طتق نر 04 ‪ t ‬رلمق‬ ‫مثال (01-6) :‬ ‫اثل حلنطحج تمطنمط.‬ ‫حلعل‬ ‫أي حلصي ة (76.6)‬ ‫ر‬ ‫ي ف نقي ك تحصييامك ترنييطاج قمدييطر عييل ي ا طرلي حلطلييأم‬ ‫إرخيطل ت يل حلتمطنيط‬ ‫معحطج حلترنطاج إل‬ ‫عم‬ ‫تط حخرحك طرمق ر نج ا حط لأرحت حل حت‬ ‫ر‬ ‫ااط مأ :‬ ‫إرخطل لما ط ل حلخط ة ‪ Step Size‬نرال لاط تطلرال ‪h‬‬ ‫إرخييطل حلرحل ي ) ‪ f (x , y‬لأا طرل ي حلحلطلييأم ت يير ل ي اط أ ي حلص ي ة (76.6) نراييل لاييط‬ ‫ر‬ ‫تطلرال ) ‪f (x , y‬‬ ‫لما ال ال 0 ‪. y 0 ، x‬‬ ‫إرخطل حل رط حقتحرح‬ ‫إرخطل لما ‪ x‬حلاطأ و نر ط ع طو لما ‪ y‬نرال لاط تطلرال ‪xf‬‬ ‫حتط ط ااط مظار ح حلنطح ة حلحطلم‬ ‫نر حنلم حلترنطاج نق ك ت رخطل حلتمطنط‬ ‫042=‪step size‬‬ ‫)8^01*18-4^‪the function f(x,y)=-2.2067*10^(-12)*(y‬‬ ‫0=0‪x‬‬ ‫0021=0‪y‬‬ ‫0042=‪xf‬‬ ‫>>‬ ‫___________________________________________________‬ ‫-862-‬
  • 46.
    ‫الباب السادس‬ clc clear all syms f x y h = input('step size='); f = input('the function f(x,y)='); X(1) = input('x0='); Y(1) = input('y0='); xf = input('xf='); for i=1:(xf-X(1))/h y=Y(i); x=X(i); k1=subs(f); y=Y(i)+0.5*k1*h; x=X(i)+0.5*h; k2=subs(f); y=Y(i)+0.5*k2*h; x=X(i)+0.5*h; k3=subs(f); y=Y(i)+k3*h; x=X(i)+h; k4=subs(f); Y(i+1)=Y(i)+(1/6)*(k1+2*k2+2*k3+k4)*h; X(i+1)=X(i)+h; end plot (X,Y,'b.') % numerical solution ‫أ حلص ة (76.6) تط حخرحك طرمق‬ ‫ر‬ ‫برنامج (6-6): إمدطر عل ي ا طرل حلطلأم‬ ‫ر نج ا حط لأرحت حل حت‬ ‫ر‬ 42 ‫ماثل ال(9-6) حغمر ررد حلعر ة اال حللال، حا ل ررد حلعر ة ت ر ال‬ ‫حر‬ ‫حر‬ ‫6.424 األل‬ ‫رلمق‬ ___________________________________________________ -269-
  • 47.
    ‫حل المعادالت التفاضليةباستخدام المتسلسالت الالنهائية‬ ‫0021‬ ‫0011‬ ‫0001‬ ‫009‬ ‫008‬ ‫‪y‬‬ ‫007‬ ‫006‬ ‫005‬ ‫004‬ ‫0‬ ‫005‬ ‫0001‬ ‫0051‬ ‫0002‬ ‫0052‬ ‫‪t‬‬ ‫شكل (9-6) : حغمر ررد حلعر ة تطلاألل اال حللال‬ ‫حر‬ ‫___________________________________________________‬ ‫-072-‬
  • 48.
    ‫الباب السادس‬ ‫ابع ا: طريقة رونج كوتا من الرتبة ال ابعة لحل مجموعة من المعادالت‬ ‫ر‬ ‫ر‬ ‫التفاضلية ذات الرتبة األولى‬ ‫أ حلص ة‬ ‫ر‬ ‫تلرل ل لرمنط ا طرلحمل ال حلرحت حأل ل تقمك حتحرح م ا أ ا‬ ‫,) ‪y  F( x, y,v‬‬ ‫)12.6( ------------------- ‪y( 0 )  ‬‬ ‫,) ‪v  G( x, y,v‬‬ ‫)22.6( ------------------- ‪v( 0 )  ‬‬ ‫إل لرمنط ا طرلحمل حلطلأمحمل ح ل لرمنط ادا حمل ال لمك حلث حت ، ادا‬ ‫عم‬ ‫‪ m‬ااط مأ‬ ‫حلث حت‬ ‫‪ k‬ادا‬ ‫حلث حت‬ ‫‪k1  F  xi , yi ,vi ‬‬ ‫‪‬‬ ‫1‬ ‫1‬ ‫1‬ ‫‪‬‬ ‫‪k2  F  xi  h, yi  hk1 ,vi  hm1 ‬‬ ‫‪‬‬ ‫2‬ ‫2‬ ‫2‬ ‫‪‬‬ ‫‪‬‬ ‫1‬ ‫1‬ ‫1‬ ‫‪‬‬ ‫‪k3  F  xi  h, yi  hk2 ,vi  hm2 ‬‬ ‫‪‬‬ ‫2‬ ‫2‬ ‫2‬ ‫‪‬‬ ‫‪k4  F  xi  h, yi  k3h,vi  hm3 ‬‬ ‫‪m1  G  xi , yi ,vi ‬‬ ‫‪‬‬ ‫1‬ ‫1‬ ‫1‬ ‫‪‬‬ ‫‪m2  G  xi  h, yi  hk1 ,vi  hm1 ‬‬ ‫‪‬‬ ‫2‬ ‫2‬ ‫2‬ ‫‪‬‬ ‫‪‬‬ ‫1‬ ‫1‬ ‫1‬ ‫‪‬‬ ‫‪m3  G  xi  h, yi  hk2 ,vi  hm2 ‬‬ ‫‪‬‬ ‫2‬ ‫2‬ ‫2‬ ‫‪‬‬ ‫‪m4  G  xi  h, yi  k3h,vi  hm3 ‬‬ ‫‪ m‬حخييا‬ ‫‪ k‬حخييا حلا طرل ي )12.6( ح ي عييمل ل حلث حت ي‬ ‫قعييظ نييط ل لييمك حلث حت ي‬ ‫حلا طرل )22.6(‬ ‫ماال ع طو لمك 1‪ yi 1 ,vi ‬ااط مأ‬ ‫تطلحطل‬ ‫1‬ ‫‪yi 1  yi ‬‬ ‫‪ k1  2k2  2k3  k4  h‬‬ ‫6‬ ‫1‬ ‫‪vi 1  vi   m1  2m2  2m3  m4  h‬‬ ‫6‬ ‫ح‬ ‫حلحلطليأم‬ ‫ماال ااط تق ح حنحطج طرمقي ر نيج ا حيط ألي يرر ايل حلا يطرق‬ ‫حلطلأم ما ل عأاط أ حلنع حلحطل‬ ‫ا طرق‬ ‫ال ثال‬ ‫حلرحت حأل ل ، تلرل ادا‬ ‫___________________________________________________‬ ‫-172-‬
  • 49.
    ‫حل المعادالت التفاضليةباستخدام المتسلسالت الالنهائية‬ y  F( x, y,v,w ), y( 0 )   ------------------- (6.23) v  G( x, y,v,w ), v( 0 )   ------------------- (6.24) w  H( x, y,v,w ), w( 0 )   ------------------- (6.25) ‫ال حلث حت ، ادا‬ ‫ادا ط‬ ‫ح ل لرمنط ثال‬ ‫ا طرق‬ ‫إل لرمنط ثال‬ ‫عم‬ ‫ ااط مأ‬n ‫حلث حت‬ ‫ ادا‬m ‫حلث حت‬ ‫ ،ادا‬k ‫حلث حت‬ k1  F  xi , yi ,vi ,wi   1 1 1 1  k2  F  xi  h, yi  hk1 ,vi  hm1 ,wi  hn1   2 2 2 2   1 1 1 1  k3  F  xi  h, yi  hk 2 ,vi  hm2 ,wi  hn2   2 2 2 2  k4  F  xi  h, yi  hk3 ,vi  hm3 ,wi  hn3  m1  G  xi , yi ,vi ,wi   1 1 1 1  m2  G  xi  h, yi  hk1 ,vi  hm1 ,wi  hn1   2 2 2 2   1 1 1 1  m3  G  xi  h, yi  hk2 ,vi  hm2 ,wi  hn2   2 2 2 2  m4  G  xi  h, yi  hk3 ,vi  hm3 ,wi  hn3  n1  H  xi , yi ,vi ,wi   1 1 1 1  n2  H  xi  h, yi  hk1 ,vi  hm1 ,wi  hn1   2 2 2 2   1 1 1 1  n3  H  xi  h, yi  hk 2 ,vi  hm2 ,wi  hn2   2 2 2 2  n4  H  xi  h, yi  hk3 ,vi  hm3 ,wi  hn3  ‫ ااط مأ‬yi 1 ,vi 1 ,wi 1 ‫تطلحطل ماال ع طو لمك‬ 1 yi 1  yi   k1  2k2  2k3  k4  h 6 1 vi 1  vi   m1  2m2  2m3  m4  h 6 1 wi 1  wi   n1  2n2  2n3  n4  h 6 ___________________________________________________ -272-
  • 50.
    ‫الباب السادس‬ ‫خامس ا: طريقة رونج كوتا من الرتبة ال ابعة لحل المعادالت التفاضلية‬ ‫ر‬ ‫من الرتبة الثانية‬ ‫أ حلص ة‬ ‫ر‬ ‫تلرل حلا طرل حلحلطلأم ال حلرحت حلثطنم‬ ‫,) ‪y  f ( x, y, y‬‬ ‫, ‪y( 0 )  ‬‬ ‫)62.6( ------------ ‪y( 0 )  ‬‬ ‫أي‬ ‫حلرحت حأل ل‬ ‫ح‬ ‫حلحلطلأم‬ ‫ال حلا طرق‬ ‫ادا‬ ‫تحع مل حلا طرل حلحلطلأم إل‬ ‫حلنع حلحطل‬ ‫,‪y  v‬‬ ‫,) ‪v  f ( x, y,v‬‬ ‫, ‪y( 0 )  ‬‬ ‫‪v( 0 )  ‬‬ ‫)72.6( -------------------‪‬‬ ‫حلررد ي حأل ل ي‬ ‫ادا ي اييل ا ييطرق‬ ‫إل ي‬ ‫تا ي ح ح ي ل ا طرل ي حلررد ي حلثطنم ي ليير حع ل ي‬ ‫حلح ما ل عأاط أ حلص ة‬ ‫ر‬ ‫‪k1  vi‬‬ ‫1‪k2  vi  0.5hm‬‬ ‫2‪k3  vi  0.5hm‬‬ ‫3‪k4  vi  hm‬‬ ‫‪m1  f  xi , yi ,vi ‬‬ ‫‪‬‬ ‫1‬ ‫1‬ ‫1‬ ‫‪‬‬ ‫‪‬‬ ‫1‬ ‫1‬ ‫1‬ ‫‪‬‬ ‫‪m2  f  xi  h, yi  hk1 ,vi  hm1   f  xi  h, yi  hvi ,vi  hm1 ‬‬ ‫‪‬‬ ‫2‬ ‫2‬ ‫2‬ ‫‪‬‬ ‫‪‬‬ ‫2‬ ‫2‬ ‫2‬ ‫‪‬‬ ‫‪‬‬ ‫1‬ ‫1‬ ‫1‬ ‫‪‬‬ ‫‪‬‬ ‫1‬ ‫1‬ ‫2 1‬ ‫1‬ ‫‪‬‬ ‫‪m3  f  xi  h, yi  hk2 ,vi  hm2   f  xi  h, yi  hvi  h m1 ,vi  hm2 ‬‬ ‫‪‬‬ ‫2‬ ‫2‬ ‫2‬ ‫‪‬‬ ‫‪‬‬ ‫2‬ ‫2‬ ‫4‬ ‫2‬ ‫‪‬‬ ‫‪‬‬ ‫2 1‬ ‫‪‬‬ ‫‪m4  f  xi  h, yi  hk3 ,vi  hm3   f  xi  h, yi  hvi  h m2 ,vi  hm3 ‬‬ ‫‪‬‬ ‫2‬ ‫‪‬‬ ‫‪ k‬لي ييع ت ي ييتو ا ي ي ل ‪ y   v‬رحل ي ي ح ي ي‬ ‫لادا ي ي حلث حت ي ي‬ ‫قعي ييظ حلحغمي يير حل ي ي ي عي يير‬ ‫أ حلنع حلحطل‬ ‫حا ل لمك ‪y ,v‬‬ ‫حلاحغمر ‪ v‬حقط تمر ا حارة أ حلاحغمرمل ‪x , y‬‬ ‫1‬ ‫‪yi 1  yi ‬‬ ‫‪ k1  2k2  2k3  k4  h‬‬ ‫6‬ ‫1‬ ‫‪ yi   vi   2  vi  0.5hm1   2  vi  0.5hm2    vi  hm3   h‬‬ ‫‪6‬‬ ‫‪‬‬ ‫1‬ ‫2 ‪=yi  hvi   m1  m2  m3  h‬‬ ‫6‬ ‫1‬ ‫‪vi 1  vi   m1  2m2  2m3  m4  h‬‬ ‫6‬ ‫نالعظ نط ل حلا طرق خطلم حاطاط ال حلاحغمر ‪k‬‬ ‫ح‬ ‫___________________________________________________‬ ‫-372-‬
  • 51.
    ‫حل المعادالت التفاضليةباستخدام المتسلسالت الالنهائية‬ ‫ تط ل خط ة اقرح م‬x  1 ‫نر‬ ‫ر‬ ‫در عل ا نل حلقمك حقتحرح م حلحطلم‬ : )6-11( ‫مثال‬ h  0.1 y   xy   y  3  5x , y ( 0 )  1, y ( 0 )  0 2 ‫الحل‬ ‫حلررد‬ ‫ال ا طرق‬ ‫ادا‬ ‫تحع مل حلا طرل حلحلطلأم ال حلرحت حلثطنم إل‬ ‫حأل ل‬ y  v , y ( 0)  1 v   3  5x 2  xv  y , v ( 0)  0 f ( x , y ,v )  3  5x 2  xv  y ‫تاقطرنحاط تطلا طرل (76.6) ن حنحج ل‬ : ‫ ح ل‬y ( 0 )  0, v ( 0 )  1 ‫إل‬ ‫عم‬ x0  0, y0  1, v0  0, h  0.1 ‫ ح ل‬i  0 ‫ق: نر‬ m1  f  x0 , y0 ,v0   f  0,1, 0   3  5 x0 2  x0v0  y0 =2.000  1 1 1  m2  f  xi  h, yi  hvi ,vi  hm1   f ( 0.05,1, 0.1 )  2.008  2 2 2   1 1 1 2 1  m3  f  xi  h, yi  hvi  h m1 ,vi  hm2   f ( 0.05,1.005,1.004 ) =2.002  2 2 4 2   1 2  m4  f  xi  h, yi  hvi  h m3 ,vi  hm3   f ( 0.1,1.01,0.2002 )  2.01998  2  1 yi 1  yi  hvi   m1  m2  m3  h 2 6 1  y1  y0  hv0   m1  m2  m3  h 2  1.0100 6 1 vi 1  vi   m1  2m2  2m3  m4  h 6 1  v1  v0   m1  2m2  2m3  m4  h  0.2007 6 x1  0.1, y1  1.01, v1  0.2007, h  0. 1 ‫ ح ل‬i  1 ‫ثطنمط : ت لال‬ m1  f  x1 , y1 ,v1   2.020  1 1 1  m2  f  xi  h, yi  hvi ,vi  hm1   2.047  2 2 2   1 1 1 2 1  m3  f  xi  h, yi  vi h  h m2 ,vi  hm2   2.042  2 2 4 2   1 2  m4  f  xi  h, yi  vi h  h m3 ,vi  hm3   2.079  2  ___________________________________________________ -274-
  • 52.
    ‫الباب السادس‬ ‫1‬ ‫‪yi 1  yi  hvi ‬‬ ‫2 ‪ m1  m2  m3  h‬‬ ‫6‬ ‫1‬ ‫3040.1 ‪ y2  y2  hv1   m1  m2  m3  h 2 ‬‬ ‫6‬ ‫1‬ ‫‪vi 1  vi   m1  2m2  2m3  m4  h‬‬ ‫6‬ ‫1‬ ‫3504.0 ‪ v2  v1   m1  2m2  2m3  m4  h ‬‬ ‫6‬ ‫تحا حر اط تق نعصل أ‬ ‫ر‬ ‫,3190.1 ‪y3 ‬‬ ‫6716.0 ‪v3 ‬‬ ‫,2461.1 ‪y4 ‬‬ ‫0148.0 ‪v4 ‬‬ ‫,0062.1 ‪y5 ‬‬ ‫3870.1 ‪v5 ‬‬ ‫,4083.1 ‪y6 ‬‬ ‫8133.1 ‪v6 ‬‬ ‫,0725.1 ‪y7 ‬‬ ‫8206.1 ‪v7 ‬‬ ‫,5107.1 ‪y8 ‬‬ ‫1298.1 ‪v8 ‬‬ ‫,0609.1 ‪y9 ‬‬ ‫6991.2 ‪v9 ‬‬ ‫,0241.2 ‪y10 ‬‬ ‫6425.2 ‪v10 ‬‬ ‫ماال حصامك ترنطاج لمق ك تاط حك ح حلاثطل حل طتق ااط مأ‬ ‫ااط مأ‬ ‫إرخطل ت ل حلتمطنط‬ ‫معحطج حلترنطاج إل‬ ‫عم‬ ‫إرخطل لما ط ل حلخط ة ‪ Step Size‬مرال لاط تطلرال ‪h‬‬ ‫إرخطل حلرحل ) ‪ f (x, y,v‬لأا طرل حلحلطلأم ت ر ل اط أ حلص ة (76.6)‬ ‫ر‬ ‫لما ال ال 0 ‪. v 0 ، y 0 ، x‬‬ ‫إرخطل حل رط حقتحرح‬ ‫إرخطل لما ‪ x‬حلاطأ و نر ط ع طو لما ‪ v ، y‬نرال لاط تطلرال ‪xf‬‬ ‫___________________________________________________‬ ‫-572-‬
  • 53.
    ‫حل المعادالت التفاضليةباستخدام المتسلسالت الالنهائية‬ clc clear all syms f x y v h = input('step size='); f = input('the function f(x,y,v)='); X(1) = input('x0='); Y(1) = input('y(x0)='); V(1)= input('v(x0)='); xf = input('xf='); for i=1:(xf-X(1))/h y=Y(i); x=X(i); v=V(i); m1=subs(f); x=X(i)+0.5*h; y=Y(i)+0.5*h*V(i); v=V(i)+0.5*h*m1; m2=subs(f); x=X(i)+0.5*h; y=Y(i)+0.5*h*V(i)+0.25*h^2*m1; v=V(i)+0.5*h*m2; m3=subs(f); x=X(i)+h; y=Y(i)+h*V(i)+0.5*h^2*m2; v=V(i)+h*m3; m4=subs(f); Y(i+1)=Y(i)+h*V(i)+(1/6)*(m1+m2+m3)*h^2; V(i+1)=V(i)+(1/6)*(m1+2*m2+2*m3+m4)*h; X(i+1)=X(i)+h; end subplot(1,2,1) plot (X,Y,'b.') % numerical solution subplot(1,2,2) plot (X,V,'b.') % numerical solution ‫حلحلطلأم ال حلرحت حلثطنم تط حخرحك طرمق ر نج‬ ‫برنامج (7-6): حمدطر عل حلا طرق‬ ‫ا حط لأرحت حل حت‬ ‫ر‬ ___________________________________________________ -276-
  • 54.
    ‫الباب السادس‬ ‫حتط ط ااط مظار ح حلنطح ة حلحطلم‬ ‫نر حنلم حلترنطاج نق ك ت رخطل حلتمطنط‬ ‫1.0=‪step size‬‬ ‫‪the function f(x,y,v)=3+5*x^2-x*v-y‬‬ ‫0=0‪x‬‬ ‫1=)0‪y(x‬‬ ‫0=)0‪v(x‬‬ ‫1=‪xf‬‬ ‫>>‬ ‫ال (26-6)‬ ‫ح حلترنطاج ح‬ ‫حظار نحط ج‬ ‫4.2‬ ‫3‬ ‫2.2‬ ‫5.2‬ ‫2‬ ‫2‬ ‫8.1‬ ‫5.1‬ ‫‪Y‬‬ ‫‪V‬‬ ‫6.1‬ ‫1‬ ‫4.1‬ ‫5.0‬ ‫2.1‬ ‫1‬ ‫0‬ ‫0‬ ‫2.0‬ ‫4.0‬ ‫6.0‬ ‫8.0‬ ‫1‬ ‫0‬ ‫2.0‬ ‫4.0‬ ‫6.0‬ ‫8.0‬ ‫1‬ ‫‪X‬‬ ‫‪X‬‬ ‫شكل (11-6) : حل الل اطتمل ال ال ‪ y,v‬اال ‪x‬‬ ‫يال‬ ‫مثال (21-6) : تليرل دي ر تنير ل ا أيق نير حلنقطي ‪ o‬طي ل ر يد اايط حي‬ ‫ح‬ ‫(66-6) ليد احأي اقيرحر ط ‪ m‬ارال ييط نير حلنقطي ‪ P‬تلييرل ل ‪ ‬ي حلل مي تطلحقييرمر‬ ‫ح‬ ‫حلييرح ي حلح ي مصيين اط ر حلتنيير ل اييال حلاع ي ر حلر ي ، ديير حلا طرل ي حلحلطلييأم حلح ي‬ ‫ح‬ ‫ر‬ ‫حصف حلعرا .‬ ‫شكل (6-11) : صف عرا حلتنر ل‬ ‫___________________________________________________‬ ‫-772-‬
  • 55.
    ‫حل المعادالت التفاضليةباستخدام المتسلسالت الالنهائية‬ ‫حلعل‬ ‫حلا يينل حص ييف عراي ي ‪ P‬ت يير حع ي م ا ييل ل ييال حل ييا ل، ا ييل حلختي ير حل اأمي ي‬ ‫ح‬ ‫يرر‬ ‫حلتني يير ل‬ ‫ل عرا ي ي حلتني يير ل حخاي يير اي ييال حقي ييرك حلي ييلال ا ي ي لع حلي ييلال تي ييمل عراي ييط‬ ‫محل ي ي‬ ‫حلاحنردع حلاح طلت مقل .‬ ‫حاي ل حلقي ة حلا يتت‬ ‫تلرل ل عرا ‪ P‬حعرر تط حخرحك حلا طرل حلرمنطامامي لنمي حل تعمي‬ ‫لأعرا‬ ‫)82.6( ------------------- ‪Fe  ma‬‬ ‫2‪d‬‬ ‫إل ط ي ي ل حلق ي ي ن ‪ NP‬م ي ييط ي ‪ ، ‬ح ي ي ل ‪ a  2      ‬اناي ييط ححع ي ي ل‬ ‫عم ي ي‬ ‫‪dt‬‬ ‫حلا طرل (86.6) إل‬ ‫‪Fe  ma  m  ‬‬ ‫ارات ل ة حلدط تم‬ ‫‪ ، P‬تلرل ل 1‪F‬‬ ‫أ إ حتطر ل حلق ة ‪ F‬حؤثر أ‬ ‫.0>‪F1  mg sin  , g‬‬ ‫أ حلص ة‬ ‫ر‬ ‫حلق ة حلاخارة حلح‬ ‫تلرل ل حلق ة 2‪F‬‬ ‫.0 ‪F2  c , c ‬‬ ‫حا ل‬ ‫أ إحح حل إ اطل ي ل إل خ إل ، ح ل ل إل حلاقط ا‬ ‫ر‬ ‫ر‬ ‫‪Fr  F2  F1  mg sin   c ‬‬ ‫أ حلنع حلحطل‬ ‫لع حا ل ا طرل حلعرا‬ ‫أ‬ ‫‪ c‬‬ ‫‪  g‬‬ ‫‪‬‬ ‫‪m    mg sin   c   0     ‬‬ ‫‪  ‬‬ ‫0 ‪ sin  ‬‬ ‫‪m‬‬ ‫‪‬‬ ‫‪‬‬ ‫‪‬‬ ‫تطل ر ط حقتحرح م 0=)0(‪ ( 0 )   ,  ‬‬ ‫حاثل ا طرل حلعرا لأتنر ل‬ ‫ل‬ ‫مثااال (31-6) : صييف عراي حلتنيير ل حي حلاثييطل حل ييطتق خييالل 56 ثطنمي إ ح أاي‬ ‫أ حلنع حلحطل‬ ‫حلا طرل حلحلطلأم حلح حصف عراح‬ ‫, 054 ‪    0.3   sin   0,  ( 0 ) ‬‬ ‫0 ‪ ( 0 ) ‬‬ ‫أ ح حتطر ل ط ل حلخط ة اقرح م 10.0 ‪. h ‬‬ ‫ر‬ ‫حلع ييل‬ ‫نق ك تعأاط تط حخرحك طرمق 4‪RK‬‬ ‫ق م در لحأع حلا طرل حلحلطلأم عل حعأمأ‬ ‫___________________________________________________‬ ‫-872-‬
  • 56.
    ‫الباب السادس‬ ‫أ حلنع حلحطل‬ ‫حلررد حأل ل‬ ‫ال ا طرق‬ ‫ادا‬ ‫نق ك تحع مل حلا طرل إل‬ ‫, ‪  v‬‬ ‫1 ‪( 0) ‬‬ ‫0 ‪v   0.3v  sin  , v ( 0 ) ‬‬ ‫نق ك تحنلم ترنطاج (7-6) لعل حأع حلا نل ااط مأ‬ ‫حتط ط ااط مظار ح حلنطح ة حلحطلم‬ ‫نر ح غمل حلترنطاج نق ك ت رخطل حلتمطنط‬ ‫1.0=‪step size‬‬ ‫)‪the function f(x,y,v)=-0.3*v-sin(y‬‬ ‫0=0‪x‬‬ ‫1=)0‪y(x‬‬ ‫4/‪v(x0)=pi‬‬ ‫51=‪xf‬‬ ‫>>‬ ‫تطل ال (21-6)‬ ‫ال‬ ‫نعصل أ حلانعن ااط‬ ‫5.1‬ ‫8.0‬ ‫6.0‬ ‫1‬ ‫4.0‬ ‫2.0‬ ‫5.0‬ ‫0‬ ‫‪Theta‬‬ ‫‪V‬‬ ‫2.0-‬ ‫0‬ ‫4.0-‬ ‫6.0-‬ ‫5.0-‬ ‫8.0-‬ ‫1-‬ ‫1-‬ ‫0‬ ‫5‬ ‫01‬ ‫51‬ ‫0‬ ‫5‬ ‫01‬ ‫51‬ ‫‪t‬‬ ‫‪t‬‬ ‫شكل (21-6) : حلعرا حلاخارة لعرا حلتنر ل‬ ‫___________________________________________________‬ ‫-972-‬
  • 57.
    ‫حل المعادالت التفاضليةباستخدام المتسلسالت الالنهائية‬ ‫سادسا : طريقة الفروق المحدوده لحل المعادالت التفاضلية العادية‬ ‫حلحلطليأم حل طرمي‬ ‫ح حخرك طرمقي حللير ق حلاعير رم (‪ )Finite difference‬لعيل حلا يطرق‬ ‫يطرة ايط‬ ‫حلح لديها شروط حدودية (‪ )boundary condition‬وليس نر نقطي حلترحمي حقيط.‬ ‫نطأييق أ ي حأييع حلا ييط ل ا ييط ل حلقييمك حلعر رم ي (.‪)Boundary-Value Problems‬‬ ‫حلحلطليأم ايل‬ ‫ي ح حلد ء ي ف نح يرل إلي حأيع حلا يطرق‬ ‫يل‬ ‫إخحصطر ح ا ‪ .BVP‬حي‬ ‫ح‬ ‫أ حلص ة حلحطلم‬ ‫ر‬ ‫حلرحت حلثطنم حلح‬ ‫‪d 2y‬‬ ‫‪ f (x , y, y '), a  x  b‬‬ ‫)62.6( ------------‬ ‫2 ‪dx‬‬ ‫تطل ر ط حلعر رم حلحطلم‬ ‫‪y(a)  ya , y(b)  yb‬‬ ‫)23.6( -----------------‬ ‫حييو (‪)simply supported beam‬‬ ‫اثييطل (41-6) : حآلنعي حف (‪ y )deflection‬حي‬ ‫ر‬ ‫ال (36-6) ا يرل لعايل انيحظك ‪ q‬عايل ير اعي ي (‪T )tensile axial‬‬ ‫ر‬ ‫ااط ح‬ ‫م ط تطل الل‬ ‫)‪d y Ty qx( L  x‬‬ ‫2‬ ‫‪‬‬ ‫‪‬‬ ‫)63.6( ---------------‬ ‫‪dx 2 EI‬‬ ‫‪2 EI‬‬ ‫ل‬ ‫عم‬ ‫‪ I‬حل لك حلثطن لأا طع )4‪(in‬‬ ‫ي ا لال أ حل حو )‪(in‬‬ ‫‪x‬‬ ‫‪ q‬اثطح حلعال حلانحظك )‪(lb/in‬‬ ‫عال حل ر حلاؤثر)‪(lbs‬‬ ‫‪T‬‬ ‫‪ L‬ط ل حل حو )‪(in‬‬ ‫‪ E‬ا طال منج (‪) Young’s modulus‬‬ ‫تا أ ام‬ ‫4 ‪T  7200 lbs, q  5400 lbs/in, L  75 in, E  30 Msi, I  120 in‬‬ ‫در حنع حف حل حو نر "05 ‪ x ‬تط حخرحك ط ل خطي ة اقيرحر ط " 52 ‪ h ‬تط يحخرحك‬ ‫ر‬ ‫حلحقرمو حللرل حلاق ك حق ط (‪)central divided difference approximation‬‬ ‫___________________________________________________‬ ‫-082-‬
  • 58.
    ‫الباب السادس‬ ‫‪y‬‬ ‫‪q‬‬ ‫‪T‬‬ ‫‪x‬‬ ‫‪T‬‬ ‫‪L‬‬ ‫أ ر طاط‬ ‫شكل (31-6) : حو اثت‬ ‫حلع ييل‬ ‫)‪d 2 y Ty qx( L  x‬‬ ‫نعصل أ ،‬ ‫‪‬‬ ‫‪‬‬ ‫تطلح مل تطلقمك حلا ططة ح حلا طرل ححلحلطلأم‬ ‫‪dx 2 EI‬‬ ‫‪2 EI‬‬ ‫‪d2y‬‬ ‫‪7200 y‬‬ ‫) ‪(5400) x(75  x‬‬ ‫‪‬‬ ‫‪‬‬ ‫‪dx‬‬ ‫2‬ ‫)021() 601 ‪(30  10 )(120) 2(30 ‬‬ ‫6‬ ‫‪d2y‬‬ ‫)63.6( -------- )‪ 2  10 6 y  7.5  10 7 x(75  x‬‬ ‫2 ‪dx‬‬ ‫‪d2y‬‬ ‫تحقرميو حلا يحق حلثطنمي 2 تط يحخرحك (‪)central divided difference approximation‬‬ ‫‪dx‬‬ ‫نر حل قرم ‪ i‬ااط مأ‬ ‫1‪i ‬‬ ‫‪i‬‬ ‫1‪i ‬‬ ‫شكل (41-6) : حللر ق حلاعر رم تط حخرحك طرمق حلحقرمو حللرل حلاق ك حأل ط‬ ‫1‪d 2 y yi 1  2 yi  yi ‬‬ ‫‪‬‬ ‫)33.6( ------------‬ ‫2 ‪dx‬‬ ‫2 )‪( h‬‬ ‫تطلح مل ناط ح حلا طرل حلحلطلأم ، نعصل أ‬ ‫1‪yi 1  2 yi  yi ‬‬ ‫2‬ ‫)43.6(------ ) ‪ 2 106 yi  7.5 107 xi (75  xi‬‬ ‫)‪( h‬‬ ‫___________________________________________________‬ ‫-182-‬
  • 59.
    ‫حل المعادالت التفاضليةباستخدام المتسلسالت الالنهائية‬ ‫إل ط ي ي ل حل حي ييو‬ ‫4) عم ي ي‬ ‫52 ‪ ، h ‬ح ي ي ل لي ييرمنط رتي ييال قي يير (‪nodes‬‬ ‫إل‬ ‫عم ي ي‬ ‫57 ‪ L ‬ت ص‬ ‫1‪i ‬‬ ‫2‪i‬‬ ‫3‪i‬‬ ‫4‪i‬‬ ‫0‪x‬‬ ‫52 ‪x ‬‬ ‫05 ‪x ‬‬ ‫57 ‪x ‬‬ ‫57 ‪ x ‬تط حخرحك 52 ‪h ‬‬ ‫شكل (51-6) : حللر ق حلاعر رم ال 0 ‪ x ‬إل‬ ‫ااط مأ‬ ‫قر‬ ‫لع ما ل ا لال حألرت‬ ‫أ‬ ‫0 ‪x1 ‬‬ ‫52 ‪x 2  x1  h  0  25 ‬‬ ‫05 ‪x3  x 2  h  25  25 ‬‬ ‫57 ‪x 4  x3  h  50  25 ‬‬ ‫نر ال قرم نعصل أ‬ ‫تاحطت حلا طرل‬ ‫ايل حلطيرحمل (‪ )simply supported beam‬ح ل‬ ‫نيد حيو اثتي‬ ‫العقده األولاى : عمي‬ ‫نر 0 ‪ x ‬نعصل أ‬ ‫)53.6( ------------------- 0 ‪y1 ‬‬ ‫العقده الثانية : تاحطت حلا طرل لأ قرم حلثطنم نعصل أ ،‬ ‫1‪y3  2 y 2  y‬‬ ‫) 2‪ 2  10 6 y 2  7.5  10 7 x2 (75  x‬‬ ‫2 )52(‬ ‫)52 ‪0.0016 y1  0.003202 y 2  0.0016 y3  7.5  10 7 (25)(75 ‬‬ ‫4‪0.0016 y1  0.003202 y 2  0.0016 y3  9.375  10 ‬‬ ‫)63.6( ---‬ ‫العقده الثالثة : تاحطت حلا طرل لأ قرم حلثطلث نعصل أ ،‬ ‫2 ‪y 4  2 y3  y‬‬ ‫2‬ ‫) 3‪ 2  10 6 y3  7.5  10 7 x3 (75  x‬‬ ‫)52(‬ ‫)05 ‪0.0016 y 2  0.003202 y3  0.0016 y3  7.5  10 7 (50)(75 ‬‬ ‫)73.6( ------ 4‪0.0016 y 2  0.003202 y3  0.0016 y3  9.375  10 ‬‬ ‫ال حلطرحمل ح ل نر 57 ‪ x ‬نعصل أ‬ ‫ند حو اثت‬ ‫العقده ال ابعة : عم‬ ‫ر‬ ‫___________________________________________________‬ ‫-282-‬
  • 60.
    ‫الباب السادس‬ ‫)83.6( --------------------------- 0 ‪y 4 ‬‬ ‫ادط مل‬ ‫رت‬ ‫خطم ح‬ ‫ا طرق‬ ‫رت‬ ‫حل طتق (53.6-83.6)‬ ‫حلا طرق‬ ‫ماال احطتحاط أ حلنع حلحطل‬ ‫1 ‪‬‬ ‫0‬ ‫0‬ ‫0‪0   y1  ‬‬ ‫‪‬‬ ‫202300.0 ‪0.0016 ‬‬ ‫6100.0‬ ‫‪  y  9.375  10  4 ‬‬ ‫‪0  2  ‬‬ ‫‪‬‬ ‫‪‬‬ ‫‪‬‬ ‫0 ‪‬‬ ‫6100.0‬ ‫‪ 0.003202 0.0016  y 3  9.375  10  4 ‬‬ ‫‪‬‬ ‫‪  ‬‬ ‫‪‬‬ ‫0 ‪‬‬ ‫0‬ ‫0‬ ‫0‪1   y 4  ‬‬‫‪‬‬ ‫‪‬‬ ‫‪‬‬ ‫تط حخرحك ‪ MATLAB‬ااط مأ‬ ‫تعل حأع حلا طرق‬ ‫202300.0- 6100.0 0 ;0 6100.0 202300.0- 6100.0; 0 0 0 1 [=‪a‬‬ ‫]1 0 0 0 ;6100.0‬ ‫;']0 4-^01*573.9 4-^01*573.9 0[=‪b‬‬ ‫‪y=inv(a)*b‬‬ ‫نعصل أ‬ ‫0‪ y1  ‬‬ ‫‪‬‬ ‫‪y  ‬‬ ‫‪‬‬ ‫‪ 2    0.5852‬‬ ‫‪ y 3   0.5852‬‬ ‫‪  ‬‬ ‫‪‬‬ ‫0‪ y 4  ‬‬ ‫‪‬‬ ‫لما ) 2 ‪ y (x‬تا ن‬ ‫ما ل حقنع حف نر "05 ‪x ‬‬ ‫ر‬ ‫"2585.0‪y(50)  y( x2 )  y 2  ‬‬ ‫2 ‪ y   y  x 2 ‬اييال حل أييك ل‬ ‫ديير عييل ا يينل حلقييمك حلعر رم ي‬ ‫مثاااال (51-6) :‬ ‫1- )1(‪ y(0)  0, y(1)  cosh‬تط ي ييحخرحك ط ي ي ل خط ي ي ة اقي ييرحر ط 52.0 ‪ h ‬تط ي ييحخرحك‬ ‫حلحقرمو حللرل حلاق ك حق ط .‬ ‫حلعل‬ ‫‪d2y‬‬ ‫تط يحخرحك (‪)Central Divided Difference Approximation‬‬ ‫تحقرمو حلا حق حلثطنمي‬ ‫2 ‪dx‬‬ ‫نر حل قرم ‪ i‬ااط ح (33.6)‬ ‫___________________________________________________‬ ‫-382-‬
  • 61.
    ‫حل المعادالت التفاضليةباستخدام المتسلسالت الالنهائية‬ ‫تطلح مل ناط ح حلا طرل حلحلطلأم ، نعصل أ‬ ‫1‪yi 1  2 yi  yi ‬‬ ‫2‬ ‫)93.6( ------------------- 2 ‪ yi  x 2 ‬‬ ‫)‪( h‬‬ ‫ال (36-6)‬ ‫قر ااط ح‬ ‫إل 52.0 ‪ ، h ‬لرمنط خا‬ ‫عم‬ ‫1‪i ‬‬ ‫2‪i ‬‬ ‫3‪i ‬‬ ‫4‪i ‬‬ ‫5‪i ‬‬ ‫0‪x‬‬ ‫52.0 ‪x ‬‬ ‫5.0 ‪x ‬‬ ‫57.0 ‪x ‬‬ ‫1‪x ‬‬ ‫1 ‪ x ‬تط حخرحك 52.0 ‪h ‬‬ ‫شكل (61-6) : حللر ق حلاعر رم ال 0 ‪ x ‬إل‬ ‫ااط مأ‬ ‫قر‬ ‫لع ما ل ا لال حلخا‬ ‫أ‬ ‫0 ‪x1 ‬‬ ‫52.0 ‪x2  x1  h  0  0.25 ‬‬ ‫5.0 ‪x3  x2  h  0.25  0.25 ‬‬ ‫57.0 ‪x4  x3  h  0.5  0.25 ‬‬ ‫1 ‪x5  x4  h  0.75  0.25 ‬‬ ‫نر ال قرم نعصل أ‬ ‫تاحطت حلا طرل‬ ‫0 ‪ y (0) ‬نعصل أ‬ ‫العقده األولى : عم‬ ‫)04.6( ------------------------ 0 ‪y1 ‬‬ ‫العقده الثانية : تاحطت حلا طرل لأ قرم حلثطنم نعصل أ‬ ‫1‪y3  2 y2  y‬‬ ‫1 ‪ y2  x2 ‬‬ ‫2‬ ‫2 )52.0(‬ ‫1‪y3  2 y2  y‬‬ ‫2‬ ‫)14.6(--- 4432.0‪ y2  (0.25)2  1  y1  2.0625 y2  y3  ‬‬ ‫)52.0(‬ ‫العقده الثالثة : تاحطت حلا طرل لأ قرم حلثطلث نعصل أ‬ ‫2‪y4  2 y3  y‬‬ ‫1 ‪ y3  x3 ‬‬ ‫2‬ ‫2 )52.0(‬ ‫2‪y4  2 y3  y‬‬ ‫2‬ ‫)24.6(--- 5781.0‪ y3  (0.5)2  1  y2  2.0625 y3  y4  ‬‬ ‫)52.0(‬ ‫نعصل أ‬ ‫العقده ال ابعة : تاحطت حلا طرل لأ قرم حل حت‬ ‫ر‬ ‫ر‬ ‫___________________________________________________‬ ‫-482-‬
  • 62.
    ‫الباب السادس‬ y 5 2y 4  y 3 2  y 4  x 4 1 2 (0.25) y5  2 y4  y3  y4  (0.75)2  1  y3  2.0625 y4  y5  0.1094 --(6.43) (0.25)2 ‫ نعصل أ‬y(1)  cosh(1) 1 ‫: عم‬ ‫حل قرم حلخطا‬ y5  cosh(1)  1 ------------------- (6.44) ‫خطم ي ح ي خا ي ادط مييل‬ ‫حل ييطتق (04.6-44.6) ي خايين ا ييطرق‬ ‫حلا ييطرق‬ ‫أ حلنع حلحطل‬ ‫ماال احطتحاط أ ص ة اصل ح‬ ‫ر‬ 1 0 0 0 0   y1   0  1 2.0625 1 0   y   0.2344  0  2     0 1 2.0625 1 0   y3    0.1875       0 0 1 2.0625 1   y4   0.1094  0  0 0 0 1   y5  cosh(1)  1     ‫ ااط مأ‬MATLAB ‫تط حخرحك ترنطاج‬ ‫تعل حأع حلا طرق‬ a=[ 1 0 0 0 0 ;1 -2.0625 1 0 0;0 1 -2.0625 1 0;0 0 1 -2.0625 1; 0 0 0 0 1]; b=[0 -0.2344 -0.1875 -0.1094 cosh(1)-1]'; y=inv(a)*b ‫نعصل أ‬  y1   0   y   0.3876   2    y3   0.05651      y4   0.5903   y5   0.5431      ___________________________________________________ -285-
  • 63.
    ‫حل المعادالت التفاضليةباستخدام المتسلسالت الالنهائية‬ ‫تمارين (1-6) :‬ ‫(1) دي يير عي ييل حلا طرل ي ي حلحلطلي ييأم 0 ‪ y  y 2  2x  x 4 , y(0) ‬تط ي ييحخرحك طرمق ي ي‬ ‫أمييد اييال حلعييل حلحييطك‬ ‫مأيير تا أ ام ي 1.0 ‪ h ‬لييطرل حلعييل حلحقرمت ي حل ي ي عصييأ‬ ‫لحأع حلا طرل حلحلطلأم .‬ ‫(2) دي يير عي ييل حلا طرل ي ي حلحلطلي ييأم 0 ‪ y  e y  e x  2x , y(0) ‬تط ي ييحخرحك طرمق ي ي‬ ‫2‬ ‫أمييد اييال حلعييل حلحييطك‬ ‫مأيير تا أ ام ي 50.0 ‪ h ‬لييطرل حلعييل حلحقرمت ي حلي ي عصييأ‬ ‫لحأع حلا طرل حلحلطلأم .‬ ‫)‬ ‫ر خط ح‬ ‫حلحلطلأم حآلحم ( إ حخرك‬ ‫(3) طتق لط رة مأر أ ال ال حلا طرق‬ ‫‪dy‬‬ ‫)‪i‬‬ ‫,1 ‪ y, y(0) ‬‬ ‫1.0 ‪h ‬‬ ‫‪dt‬‬ ‫‪dy‬‬ ‫) ‪ii‬‬ ‫,1 ‪ y, y(0) ‬‬ ‫10.0 ‪h ‬‬ ‫‪dt‬‬ ‫‪dy‬‬ ‫) ‪iii‬‬ ‫,0 ‪ 2ty, y(0) ‬‬ ‫1.0 ‪h ‬‬ ‫‪dt‬‬ ‫ر خط ح )‬ ‫(4) طتق طرمق ر نج ا حط لعل ا نل حلقما حقتحرح م ( إ حخرك‬ ‫‪dy‬‬ ‫,0 ‪ 2  2y, y(0) ‬‬ ‫1.0 ‪h ‬‬ ‫‪dt‬‬ ‫مأ يير حي ي حللحي ي ة 1 ‪0  t ‬‬ ‫ر‬ ‫حلحلطل ييأم تط ييحخرحك طرمقي ي‬ ‫(5) د يير ع ييل نظ ييطك حلا ييطرق‬ ‫تط حخرحك 1.0 ‪h ‬‬ ‫‪dx‬‬ ‫,‪ 2x  3y‬‬ ‫,1.2 ‪x (0) ‬‬ ‫‪dt‬‬ ‫‪dy‬‬ ‫.8.2 ‪ 2x  y, y(0) ‬‬ ‫‪dt‬‬ ‫(6) ح حتر حلا طرل حلحلطلأم‬ ‫‪dy‬‬ ‫2‬ ‫‪dy‬‬ ‫‪dy‬‬ ‫4‪‬‬ ‫,3 ‪ 5y  0, y(0) ‬‬ ‫5‪(0)  ‬‬ ‫‪dt‬‬ ‫2‬ ‫‪dt‬‬ ‫‪dt‬‬ ‫حلحلطلأم‬ ‫م حلا طرل حلحلطلأم تنظطك ال حلا طرق‬ ‫تر ل‬ ‫‪‬‬ ‫‪ ‬ح ييحخرك طرمقي ي ر ن ييج ا ح ييط لع ييل ي ي ح حلنظ ييطك حي ي حللحي ي ة 1 ‪ 0  t ‬تطي ي ل‬ ‫ر‬ ‫خط ة اقرح م 1.0 ‪h ‬‬ ‫ر‬ ‫___________________________________________________‬ ‫-682-‬
  • 64.
    ‫الباب السادس‬ ‫0 ‪y  1  2xy, y(0) ‬تط ييحخرحك طرمق ي ر نييج‬ ‫(7) ديير عييل حلا طرل ي حلحلطلييأم‬ ‫ا حط ال حلررد حلثطنم تط ل خط ة 1.0 ‪. h ‬‬ ‫(8) ح ييحخرك طرمقي ي ر ن ييج ا ح ييط تطي ي ل خطي ي ة اق ييرح م 50.0 ‪ ، h ‬لع ييل نظييطك حلا ييطرق‬ ‫ر‬ ‫حلحلطلأم حآلحم ح حللح ة 2 ‪0  x ‬‬ ‫ر‬ ‫, ‪y   2x  w  z‬‬ ‫2‬ ‫2‬ ‫0 ‪y(0) ‬‬ ‫,‪v   y  z‬‬ ‫0 ‪v (0) ‬‬ ‫, ‪w  2x  vx 2  z‬‬ ‫0 ‪w(0) ‬‬ ‫,‪z   -2x  vx  w‬‬ ‫2‬ ‫0 ‪z (0) ‬‬ ‫أمد اال حلعل حلحطك‬ ‫لطرل حلعل حل ي عصأ‬ ‫2 ‪y  x 2 ,v  1, w  x 2 , z  x‬‬ ‫حلحطلم ي ي تط ي ييحخرحك طرمق ي ي ر ني ييج ا حي ييط تط ي ي ل خط ي ي ة‬ ‫(9) دي يير عي ييل حلا طرل ي ي حلحلطلي ييأم‬ ‫10.0 ‪ h ‬ح حللح ة 01 ‪ 0  x ‬ثك اثل حلعل تمطنمط‬ ‫ر‬ ‫‪‬‬ ‫. 0 ‪y   (0.2)y   sin y  0, y(0)  , y (0) ‬‬ ‫4‬ ‫(11) ح ييحخرك طرمق ي ر نييج ا حييط تط ي ل خط ي ة اقييرح م 50.0 ‪ ، h ‬لعييل نظييطك حلا ييطرق‬ ‫ر‬ ‫حلحلطلأم حآلحم ح حللح ة 3 ‪0  x ‬‬ ‫ر‬ ‫, 2 ‪y  1  v  y 2  v‬‬ ‫0 ‪y(0) ‬‬ ‫, ‪v  1- y - y  v‬‬ ‫2‬ ‫2‬ ‫1 ‪v (0) ‬‬ ‫,‪y  sin x‬‬ ‫لطرل حلعل اال حلعل حلحطك ‪v  cos x‬‬ ‫(11) دي ي يير لما ي ي ي )4(‪ y‬لأا طرل ي ي ي حلحلطلي ي ييأم 0=)21(‪y  6x  0.5x 2 , y(0)=0, y‬‬ ‫تط ييحخرحك طرمقي ي حلل يير ق حلاعيير رم تط ييحخرحك طرمقي ي حلحقرمييو حللرلي ي حلاق ييك حق ييط‬ ‫تط ل خط ة اقرحر ط 4 ‪. h ‬‬ ‫‪du‬‬‫2‬ ‫‪u‬‬ ‫3‬ ‫(21) دي يير لما ي ي )4(‪ u‬لأا طرل ي ي حلحلطلي ييأم 9=)21(‪ 7  6x , u(0)=4, u‬‬ ‫‪dx‬‬ ‫2‬ ‫‪x‬‬ ‫تط ييحخرحك طرمقي ي حلل يير ق حلاعيير رم تط ييحخرحك طرمقي ي حلحقرمييو حللرلي ي حلاق ييك حق ييط‬ ‫تط ل خط ة اقرحر ط 4 ‪. h ‬‬ ‫___________________________________________________‬ ‫-782-‬
  • 65.
    ‫حل المعادالت التفاضليةباستخدام المتسلسالت الالنهائية‬ ‫12.1 ‪ y(0.36) ‬إع ي ي ييو لما ي ي ي ‪ y‬ني ي يير‬ ‫(31) إ ح اي ي ييطل ‪ y   4 x  5 y‬اطن ي ي ي‬ ‫84.0 ,44.0 ,4.0 ‪x ‬‬ ‫‪y‬‬ ‫نر 8.0 ‪x ‬‬ ‫5.01 ‪ y(0.4) ‬إع و لما ‪y‬‬ ‫‪ y  ‬اطن‬ ‫(41) إ ح اطل‬ ‫‪x y‬‬ ‫___________________________________________________‬ ‫-882-‬