Presented by-
Mukunda Madhav Changmai
Roll No: MTHM-22/13
Jorhat Institute of Science and Technology
About Joseph-Louis Lagrange
Joseph-Louis Lagrange was an Italian
mathematician and astronomer. Lagrange was one of
the creators of the calculus of variations, deriving the
Euler–Lagrange equations for extrema of functionals
. Lagrange invented the method of solving
differential equations known as variation of
parameters, applied differential calculus to the
theory of probabilities and attained notable work on
the solution of equations. He proved that every
natural number is a sum of four squares .
What is Interpolation ?
Interpolation produces a
function that matches the given
data exactly. The function then can
be utilized to approximate the data
values at intermediate points.
Interpolation may also be used to
produce a smooth graph of a
function for which values are
known only at discrete points,
either from measurements or
calculations.
Proof :
Let the given function be y=f(x). Let corresponding the
values x0,x1,x2 ……., xn of the argument x, the values of the
function f(x) be f(x0), f(x1), f(x2),……., f(xn-1), f(xn), where the
intervals x1-x0, x2-x1, ….., xn-xn-1 are not necessary equal. If
f(x) is approximated with an Nth degree polynomial then
the Nth divided difference of f(x) constant and (N+1) th
divided difference is zero. That is
f[x0, x1, . . . xn, xn-1] = 0
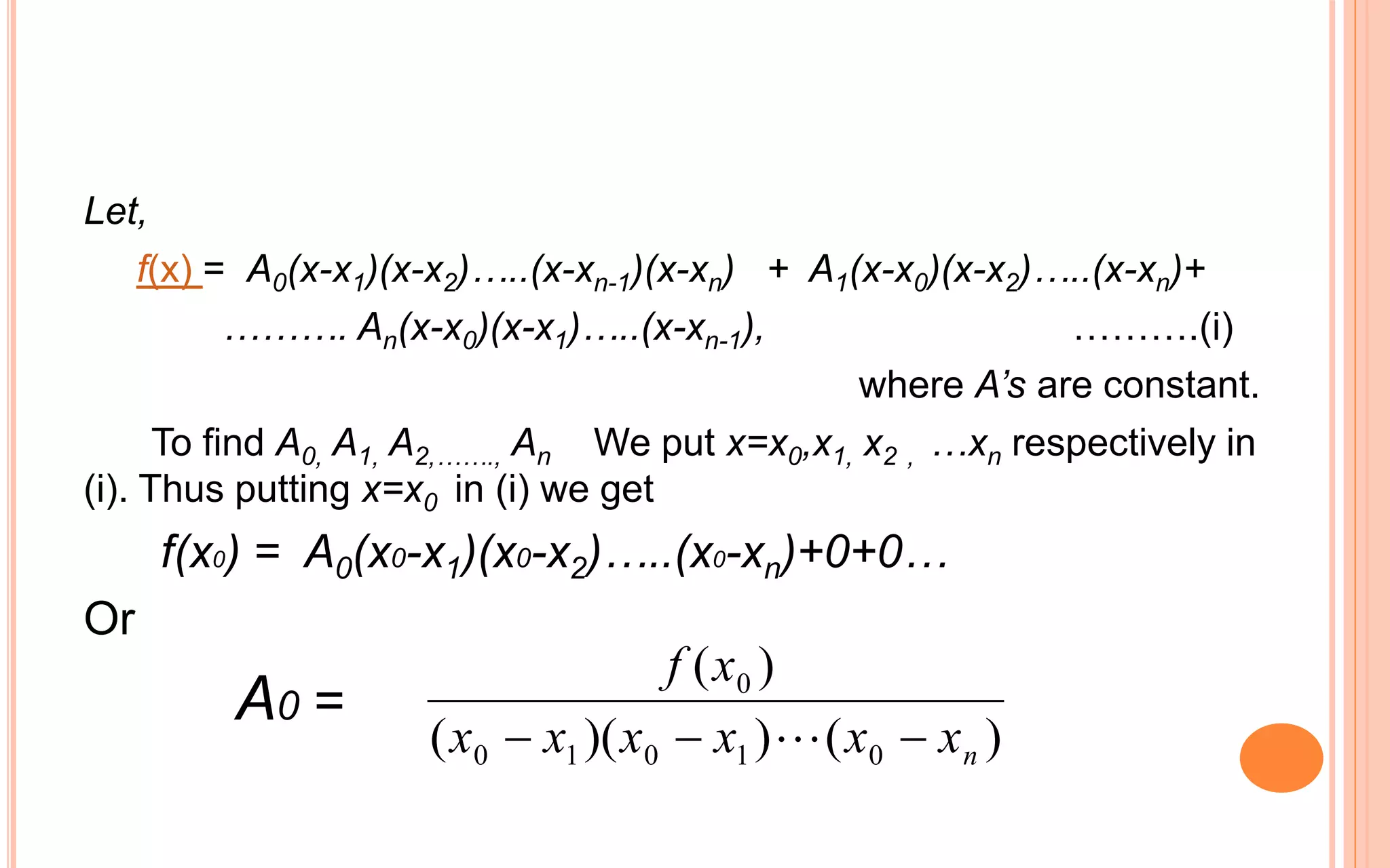
Let,
f(x) = A0(x-x1)(x-x2)…..(x-xn-1)(x-xn) + A1(x-x0)(x-x2)…..(x-xn)+
………. An(x-x0)(x-x1)…..(x-xn-1), ……….(i)
where A’s are constant.
To find A0, A1, A2,……., An We put x=x0,x1, x2 , …xn respectively in
(i). Thus putting x=x0 in (i) we get
f(x0) = A0(x0-x1)(x0-x2)…..(x0-xn)+0+0…
Or
A0 =
)())((
)(
01010
0
nxxxxxx
xf
 
Similarly by putting x=x1, we get
A1 = and so on.
Thus,
An =
Substituting these values of A0 ,A1, A2 ,......., An in (i) , we get
)())((
)(
12101
1
nxxxxxx
xf
 
)())((
)(
110  nnnn
n
xxxxxx
xf

This is called Lagrange’s interpolation formula and can be used
both equal and unequal intervals .
.........
)())((
)())((
)(
)())((
)())((
)()(
12101
20
1
01010
21
0 






n
n
n
n
xxxxxx
xxxxxx
xf
xxxxxx
xxxxxx
xfxf




)())((
)())((
)(
110
110





nnnn
n
n
xxxxxx
xxxxxx
xf


Example: find f(x) for the data-
Using Lagrange’s interpolation formula :
x 0 1 3
f(x)=y 1 3 5







))((
))((
)(
))((
))((
)()(
2101
20
1
1010
21
0
xxxx
xxxx
xf
xxxx
xxxx
xfxf
))((
))((
)(
1202
10
2
xxxx
xxxx
xf


5,3,1,3,1,0 210210  yyyxxx,here







)31)(01(
)3)(0(
3
)30)(10(
)3)(1(
1)(
xxxx
xf
)13)(03(
)1)(0(
5

 xx
)6142(
6
1 2
 xx
Thank You

Lagrange’s interpolation formula

  • 1.
    Presented by- Mukunda MadhavChangmai Roll No: MTHM-22/13 Jorhat Institute of Science and Technology
  • 2.
    About Joseph-Louis Lagrange Joseph-LouisLagrange was an Italian mathematician and astronomer. Lagrange was one of the creators of the calculus of variations, deriving the Euler–Lagrange equations for extrema of functionals . Lagrange invented the method of solving differential equations known as variation of parameters, applied differential calculus to the theory of probabilities and attained notable work on the solution of equations. He proved that every natural number is a sum of four squares .
  • 3.
    What is Interpolation? Interpolation produces a function that matches the given data exactly. The function then can be utilized to approximate the data values at intermediate points. Interpolation may also be used to produce a smooth graph of a function for which values are known only at discrete points, either from measurements or calculations.
  • 4.
    Proof : Let thegiven function be y=f(x). Let corresponding the values x0,x1,x2 ……., xn of the argument x, the values of the function f(x) be f(x0), f(x1), f(x2),……., f(xn-1), f(xn), where the intervals x1-x0, x2-x1, ….., xn-xn-1 are not necessary equal. If f(x) is approximated with an Nth degree polynomial then the Nth divided difference of f(x) constant and (N+1) th divided difference is zero. That is f[x0, x1, . . . xn, xn-1] = 0
  • 5.
    Let, f(x) = A0(x-x1)(x-x2)…..(x-xn-1)(x-xn)+ A1(x-x0)(x-x2)…..(x-xn)+ ………. An(x-x0)(x-x1)…..(x-xn-1), ……….(i) where A’s are constant. To find A0, A1, A2,……., An We put x=x0,x1, x2 , …xn respectively in (i). Thus putting x=x0 in (i) we get f(x0) = A0(x0-x1)(x0-x2)…..(x0-xn)+0+0… Or A0 = )())(( )( 01010 0 nxxxxxx xf  
  • 6.
    Similarly by puttingx=x1, we get A1 = and so on. Thus, An = Substituting these values of A0 ,A1, A2 ,......., An in (i) , we get )())(( )( 12101 1 nxxxxxx xf   )())(( )( 110  nnnn n xxxxxx xf 
  • 7.
    This is calledLagrange’s interpolation formula and can be used both equal and unequal intervals . ......... )())(( )())(( )( )())(( )())(( )()( 12101 20 1 01010 21 0        n n n n xxxxxx xxxxxx xf xxxxxx xxxxxx xfxf     )())(( )())(( )( 110 110      nnnn n n xxxxxx xxxxxx xf  
  • 8.
    Example: find f(x)for the data- Using Lagrange’s interpolation formula : x 0 1 3 f(x)=y 1 3 5        ))(( ))(( )( ))(( ))(( )()( 2101 20 1 1010 21 0 xxxx xxxx xf xxxx xxxx xfxf ))(( ))(( )( 1202 10 2 xxxx xxxx xf   5,3,1,3,1,0 210210  yyyxxx,here        )31)(01( )3)(0( 3 )30)(10( )3)(1( 1)( xxxx xf )13)(03( )1)(0( 5   xx )6142( 6 1 2  xx
  • 9.