Integration
T- 1-855-694-8886
Email- info@iTutor.com
By iTutor.com
Integral calculus
 Integration is the inverse process of differentiation. Instead
of differentiating a function, we are given the derivative of a
function and asked to find its primitive, i.e., the original
function. Such a process is called integration or anti
differentiation.
Let us consider the following examples:
We know that,
2
3
3
cos
sin
x
x
dx
d
e
dx
de
x
dx
xd
x
x
=





=
=
We observe that, the function cos x is the derived function of sinx.
We say that sinx is an anti derivative (or an integral) of cos x.
Similarly , in (2) and (3), and ex
are the anti derivatives of x2
and ex
--------------- (1)
--------------- (2)
--------------- (3)
3
3
x
© iTutor. 2000-2013. All Rights Reserved
we note that for any real number C, treated as constant function,
its derivative is zero and hence, we can write (1), (2) and (3) as
follows :
( ) 2
3
3
,cos)(sin xC
x
dx
d
eCe
dx
d
xCx
dx
d xx
=





+=+=+
Thus, anti derivatives (or integrals) of the above cited
functions are not unique. Actually , there exist infinitely many
anti derivatives of each of these functions which can be obtained
by choosing C arbitrarily from the set of real numbers. For this
reason C is customarily referred to as arbitrary constant.
We introduce a new symbol, namely , which will
represent the entire class of anti derivatives read as the
integral of f with respect to x
∫ dxxf )(
An antiderivative of f `(x) = f(x)
The indefinite integral: `( ) ( )f x dx f x c= +∫
© iTutor. 2000-2013. All Rights Reserved
You need to remember all the integral identities from higher.
1
1
1
cos( ) sin( )
1
sin( ) cos( )
n na
ax dx x c
n
ax b dx ax b c
a
ax b dx ax b c
a
+
= +
+
+ = + +
+ = − + +
∫
∫
∫
A definite integral is where limits are given.
This gives the area under the curve of f `(x) between these
limits.
© iTutor. 2000-2013. All Rights Reserved
Standard forms
From the differentiation exercise we know:
2
( )
1
(ln )
(tan ) sec
x xd
e e
dx
d
x
dx x
d
x x
dx
=
=
=
This gives us three new anti derivatives.
2
1
ln
sec tan
x x
e dx e c
dx x c
x
x dx x c
= +
= +
= +
∫
∫
∫
Note: when 0 but when 0x x x x x x= ≥ = − ≤
Example
1 2
3 3
0 1
1. Find x x
e dx e dx+∫ ∫
1 2 2
3 3 3
0 1 0
x x x
e dx e dx e dx+ =∫ ∫ ∫
2
3
0
1
3
x
e
 
=   
61 1
3 3
e= −
© iTutor. 2000-2013. All Rights Reserved
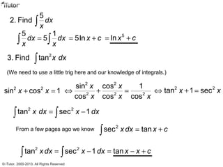
5
2. Find dx
x∫
5 1
5dx dx
x x
=∫ ∫ 5lnx c= + 5
lnx c= +
2
3. Find tan x dx∫
(We need to use a little trig here and our knowledge of integrals.)
From a few pages ago we know 2
sec tanx dx x c= +∫
2 2
sin cos 1x x+ =
2 2
2 2 2
sin cos 1
cos cos cos
x x
x x x
⇔ + = 2 2
tan 1 secx x⇔ + =
2 2
tan sec 1x dx x dx= −∫ ∫
2 2
tan sec 1 tanx dx x dx x x c= − = − +∫ ∫
© iTutor. 2000-2013. All Rights Reserved
Integration by Substitution
When differentiating a composite function we made use of the
chain rule.
3
(2 3)y x= + Let 2 3u x= + 3
y u⇒ =
2
3
dy
u
du
= and 2
du
dx
=
dy dy du
dx du dx
= ×
2
3 2u= × 2
6u= 2
6(2 3)x= +
When integrating, we must reduce the function to a standard
form – one for which we know the antiderivative.
This can be awkward, but under certain conditions, we can use
the chain rule in reverse.
© iTutor. 2000-2013. All Rights Reserved
If we wish to perform we can proceed as follows( ( )). `( )g f x f x dx∫
Let ( )u f x= then `( )du f x dx=
The integral then becomes which it is hoped will be a
standard form.
( )g u du∫
2 3
1. Find ( 3)x x dx+∫
2
Let 3u x= + 2du x dx=
2 3 31
( 3)
2
x x dx u du+ =∫ ∫
41
8
u c= + Substituting back gives,
2 41
( 3)
8
x c= + +
© iTutor. 2000-2013. All Rights Reserved
2 3 5
2. Find 3x ( 4)x dx−∫
3
Let 4u x= − 2
then 3du x dx=
2 3 5 5
3x ( 4)x dx u du− =∫ ∫
61
6
u c= +
3 6
( 4)
6
x
c
−
= +
Putting the value of u
3
3. Find 8cosxsin x dx∫
Let sinu x= then cosdu x dx=
3 3
8cosxsin 8x dx u du=∫ ∫
4
2u c= +
4
2sin x c= +
© iTutor. 2000-2013. All Rights Reserved
For many questions the choice of substitution will not
always be obvious.
You may even be given the substitution and in that
case you must use it.
4ln
1. Find . Let ln
x
dx u x
x
=∫
1
du dx
x
=
4ln
4
x
dx udu
x
=∫ ∫ 2
2u c= + 2
2(ln )x c= +
2 1
2. Find (1 ) . Let sinx dx u x−
− =∫
cosdx udu=
2 2
(1 ) 1 sin cosx dx u udu− = −∫ ∫
2
cos u du= ∫
sinx u= Substituting gives,
We can not integrate this yet. Let us use trig.
2 1
cos (1 cos2 )
2
u u= +
© iTutor. 2000-2013. All Rights Reserved
1 1
cos2
2 2
u du= +∫
1
sin2
2 4
u
u c= + +
1
.2sin cos
2 4
u
u u c= + + ( )
1
sin cos
2
u u u c= + +
( )1 21
sin 1
2
x x x c−
= + − +
Now for some trig play…..
sin , but what does cos equal?x u u=
( )
1
sin cos
2
u u u c= + +
2 2
sin cos 1u u+ =
2 2
cos 1 sinu = −
2
cos 1 sinu u= −
( )2 1
(1 ) sin cos
2
x dx u u u c− = + +∫
© iTutor. 2000-2013. All Rights Reserved
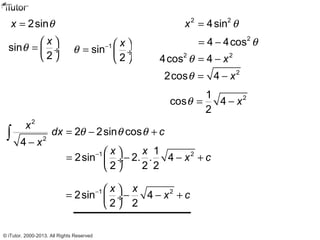
2
2
3. Find . Let x 2sin
4
x
dx
x
θ=
−
∫
2cosdx dθ θ=
2 2
2 2
4sin
.2cos
4 4 4sin
x
dx d
x
θ
θ θ
θ
=
− −
∫ ∫
2
2
4sin
.2cos
2 1 sin
d
θ
θ θ
θ
=
−
∫
2
2
2sin
.2cos
cos
d
θ
θ θ
θ
= ∫
2
4sin dθ θ= ∫
2 1 1
sin cos2
2 2
θ θ 
= − ÷
 
2 2cos2 dθ θ= −∫
2 sin2 cθ θ= − +
We now need to substitute theta
in terms of x.
2 2sin cos cθ θ θ= − +
2sinx θ=
sin
2
x
θ  
=  ÷
 
1
sin
2
x
θ −  
=  ÷
 
2
2
2 2sin cos
4
x
dx c
x
θ θ θ= − +
−
∫
2 2
4sinx θ=
2
4 4cos θ= −
2 2
4cos 4 xθ = −
2
2cos 4 xθ = −
21
cos 4
2
xθ = −
1 21
2sin 2. . 4
2 2 2
x x
x c−  
= − − + ÷
 
1 2
2sin 4
2 2
x x
x c−  
= − − + ÷
 
© iTutor. 2000-2013. All Rights Reserved
Now for some not very obvious substitutions……………….
5
1. Find sin x dx∫
5 4
sin sin sinx x x= 2 2
sin (sin )x x= 2 2
sin (1 cos )x x= −
5 2 2
sin sin (1 cos )x dx x x dx= −∫ ∫ Let cosu x= sindu x dx= −
5 2 2
sin (1 )x dx u du= − −∫ ∫
2 4
(1 2 )u u du= − − +∫
2 4
1 2u u du= − + −∫
3 52 1
3 5
u u u c= − − +
3 52 1
cos cos cos
3 5
x x x c= − − +
© iTutor. 2000-2013. All Rights Reserved
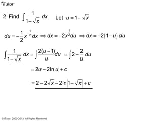
1
2. Find
1
dx
x−
∫ Let 1u x= −
1
2
1
2
du x dx
−
= −
1
2
2dx x du⇒ = − ( )2 1dx u du⇒ = − −
1 2( 1)
1
u
dx du
ux
−
=
−
∫ ∫
2
2 du
u
= −∫
2 2lnu u c= − +
2 2 2ln 1x x c= − − − +
© iTutor. 2000-2013. All Rights Reserved
Substitution and definite integrals
Assuming the function is continuous over the interval, then
exchanging the limits for x by the corresponding limits for u
will save you having to substitute back after the integration
process.
2
2 3
1
1. Evaluate (2x+4)(x 4 )x dx+∫
2
Let 4u x x= + 2 4du x dx= + When 2, 12; 1, 5x u x u= = = =
2 12
2 3 3
1 5
(2x+4)(x 4 )x dx u du+ =∫ ∫
12
4
5
1
4
u
 
=   
5027.75=
Special (common) forms
Some substitutions are so common that they can be treated
as standards and, when their form is established, their
integrals can be written down without further ado.
1
( ) ( )f ax b dx F ax b c
a
+ = + +∫
`( )
ln ( )
( )
f x
dx f x c
f x
= +∫
21
`( ) ( ) ( ( ))
2
f x f x dx f x c= +∫
© iTutor. 2000-2013. All Rights Reserved
Area under a curve
a b
y = f(x)
( )
b
a
A f x dx= ∫ a b
y = f(x)
( )
b
a
A f x dx= −∫
Area between the curve and y - axis
b
a
y = f(x)
( )
b
a
A f y dy= ∫
© iTutor. 2000-2013. All Rights Reserved
1. Calculate the area shown in the diagram below.
5
2
y = x2
+ 1
2
1y x= +
2
1x y= −
1x y= −
1
5 2
2
( 1)A y dy= −∫
53
2
2
2
( 1)
3
y
 
= − 
 
14
units squared.
3
=
© iTutor. 2000-2013. All Rights Reserved
Volumes of revolution
Volumes of revolution are formed when a curve is rotated
about the x or y axis.
2
b
a
V y dxπ= ∫ π= ∫
2
d
c
V x dy
© iTutor. 2000-2013. All Rights Reserved
1. Find the volume of revolution obtained between x = 1 and
x = 2 when the curve y = x2
+ 2 is rotated about
(i) the x – axis (ii) the y – axis.
2
2
1
( )i V y dxπ= ∫
2
4 2
1
( 4 1)x x dxπ= + +∫
25 3
1
4
5 3
x x
xπ
 
= + + 
 
32 32 1 1
2 1
5 3 5 3
π π   
= + + − + + ÷  ÷
   
3263
units
15
π=
( ) when 1, 3 and when 2, 6ii x y x y= = = =
6
3
( 2)y dyπ= −∫
62
3
2
2
y
yπ
 
= − 
 
( )
9
18 12 6
2
π π  
= − − − ÷
 
315
units
2
π=
6
2
3
V x dyπ= ∫
© iTutor. 2000-2013. All Rights Reserved
The End
Call us for more
Information:
www.iTutor.com
1-855-694-8886
Visit

Integral Calculus

  • 1.
  • 2.
    Integral calculus  Integrationis the inverse process of differentiation. Instead of differentiating a function, we are given the derivative of a function and asked to find its primitive, i.e., the original function. Such a process is called integration or anti differentiation. Let us consider the following examples: We know that, 2 3 3 cos sin x x dx d e dx de x dx xd x x =      = = We observe that, the function cos x is the derived function of sinx. We say that sinx is an anti derivative (or an integral) of cos x. Similarly , in (2) and (3), and ex are the anti derivatives of x2 and ex --------------- (1) --------------- (2) --------------- (3) 3 3 x © iTutor. 2000-2013. All Rights Reserved
  • 3.
    we note thatfor any real number C, treated as constant function, its derivative is zero and hence, we can write (1), (2) and (3) as follows : ( ) 2 3 3 ,cos)(sin xC x dx d eCe dx d xCx dx d xx =      +=+=+ Thus, anti derivatives (or integrals) of the above cited functions are not unique. Actually , there exist infinitely many anti derivatives of each of these functions which can be obtained by choosing C arbitrarily from the set of real numbers. For this reason C is customarily referred to as arbitrary constant. We introduce a new symbol, namely , which will represent the entire class of anti derivatives read as the integral of f with respect to x ∫ dxxf )( An antiderivative of f `(x) = f(x) The indefinite integral: `( ) ( )f x dx f x c= +∫ © iTutor. 2000-2013. All Rights Reserved
  • 5.
    You need toremember all the integral identities from higher. 1 1 1 cos( ) sin( ) 1 sin( ) cos( ) n na ax dx x c n ax b dx ax b c a ax b dx ax b c a + = + + + = + + + = − + + ∫ ∫ ∫ A definite integral is where limits are given. This gives the area under the curve of f `(x) between these limits. © iTutor. 2000-2013. All Rights Reserved
  • 6.
    Standard forms From thedifferentiation exercise we know: 2 ( ) 1 (ln ) (tan ) sec x xd e e dx d x dx x d x x dx = = = This gives us three new anti derivatives. 2 1 ln sec tan x x e dx e c dx x c x x dx x c = + = + = + ∫ ∫ ∫ Note: when 0 but when 0x x x x x x= ≥ = − ≤ Example 1 2 3 3 0 1 1. Find x x e dx e dx+∫ ∫ 1 2 2 3 3 3 0 1 0 x x x e dx e dx e dx+ =∫ ∫ ∫ 2 3 0 1 3 x e   =    61 1 3 3 e= − © iTutor. 2000-2013. All Rights Reserved
  • 7.
    5 2. Find dx x∫ 51 5dx dx x x =∫ ∫ 5lnx c= + 5 lnx c= + 2 3. Find tan x dx∫ (We need to use a little trig here and our knowledge of integrals.) From a few pages ago we know 2 sec tanx dx x c= +∫ 2 2 sin cos 1x x+ = 2 2 2 2 2 sin cos 1 cos cos cos x x x x x ⇔ + = 2 2 tan 1 secx x⇔ + = 2 2 tan sec 1x dx x dx= −∫ ∫ 2 2 tan sec 1 tanx dx x dx x x c= − = − +∫ ∫ © iTutor. 2000-2013. All Rights Reserved
  • 8.
    Integration by Substitution Whendifferentiating a composite function we made use of the chain rule. 3 (2 3)y x= + Let 2 3u x= + 3 y u⇒ = 2 3 dy u du = and 2 du dx = dy dy du dx du dx = × 2 3 2u= × 2 6u= 2 6(2 3)x= + When integrating, we must reduce the function to a standard form – one for which we know the antiderivative. This can be awkward, but under certain conditions, we can use the chain rule in reverse. © iTutor. 2000-2013. All Rights Reserved
  • 9.
    If we wishto perform we can proceed as follows( ( )). `( )g f x f x dx∫ Let ( )u f x= then `( )du f x dx= The integral then becomes which it is hoped will be a standard form. ( )g u du∫ 2 3 1. Find ( 3)x x dx+∫ 2 Let 3u x= + 2du x dx= 2 3 31 ( 3) 2 x x dx u du+ =∫ ∫ 41 8 u c= + Substituting back gives, 2 41 ( 3) 8 x c= + + © iTutor. 2000-2013. All Rights Reserved
  • 10.
    2 3 5 2.Find 3x ( 4)x dx−∫ 3 Let 4u x= − 2 then 3du x dx= 2 3 5 5 3x ( 4)x dx u du− =∫ ∫ 61 6 u c= + 3 6 ( 4) 6 x c − = + Putting the value of u 3 3. Find 8cosxsin x dx∫ Let sinu x= then cosdu x dx= 3 3 8cosxsin 8x dx u du=∫ ∫ 4 2u c= + 4 2sin x c= + © iTutor. 2000-2013. All Rights Reserved
  • 11.
    For many questionsthe choice of substitution will not always be obvious. You may even be given the substitution and in that case you must use it. 4ln 1. Find . Let ln x dx u x x =∫ 1 du dx x = 4ln 4 x dx udu x =∫ ∫ 2 2u c= + 2 2(ln )x c= + 2 1 2. Find (1 ) . Let sinx dx u x− − =∫ cosdx udu= 2 2 (1 ) 1 sin cosx dx u udu− = −∫ ∫ 2 cos u du= ∫ sinx u= Substituting gives, We can not integrate this yet. Let us use trig. 2 1 cos (1 cos2 ) 2 u u= + © iTutor. 2000-2013. All Rights Reserved
  • 12.
    1 1 cos2 2 2 udu= +∫ 1 sin2 2 4 u u c= + + 1 .2sin cos 2 4 u u u c= + + ( ) 1 sin cos 2 u u u c= + + ( )1 21 sin 1 2 x x x c− = + − + Now for some trig play….. sin , but what does cos equal?x u u= ( ) 1 sin cos 2 u u u c= + + 2 2 sin cos 1u u+ = 2 2 cos 1 sinu = − 2 cos 1 sinu u= − ( )2 1 (1 ) sin cos 2 x dx u u u c− = + +∫ © iTutor. 2000-2013. All Rights Reserved
  • 13.
    2 2 3. Find .Let x 2sin 4 x dx x θ= − ∫ 2cosdx dθ θ= 2 2 2 2 4sin .2cos 4 4 4sin x dx d x θ θ θ θ = − − ∫ ∫ 2 2 4sin .2cos 2 1 sin d θ θ θ θ = − ∫ 2 2 2sin .2cos cos d θ θ θ θ = ∫ 2 4sin dθ θ= ∫ 2 1 1 sin cos2 2 2 θ θ  = − ÷   2 2cos2 dθ θ= −∫ 2 sin2 cθ θ= − + We now need to substitute theta in terms of x. 2 2sin cos cθ θ θ= − +
  • 14.
    2sinx θ= sin 2 x θ  =  ÷   1 sin 2 x θ −   =  ÷   2 2 2 2sin cos 4 x dx c x θ θ θ= − + − ∫ 2 2 4sinx θ= 2 4 4cos θ= − 2 2 4cos 4 xθ = − 2 2cos 4 xθ = − 21 cos 4 2 xθ = − 1 21 2sin 2. . 4 2 2 2 x x x c−   = − − + ÷   1 2 2sin 4 2 2 x x x c−   = − − + ÷   © iTutor. 2000-2013. All Rights Reserved
  • 15.
    Now for somenot very obvious substitutions………………. 5 1. Find sin x dx∫ 5 4 sin sin sinx x x= 2 2 sin (sin )x x= 2 2 sin (1 cos )x x= − 5 2 2 sin sin (1 cos )x dx x x dx= −∫ ∫ Let cosu x= sindu x dx= − 5 2 2 sin (1 )x dx u du= − −∫ ∫ 2 4 (1 2 )u u du= − − +∫ 2 4 1 2u u du= − + −∫ 3 52 1 3 5 u u u c= − − + 3 52 1 cos cos cos 3 5 x x x c= − − + © iTutor. 2000-2013. All Rights Reserved
  • 16.
    1 2. Find 1 dx x− ∫ Let1u x= − 1 2 1 2 du x dx − = − 1 2 2dx x du⇒ = − ( )2 1dx u du⇒ = − − 1 2( 1) 1 u dx du ux − = − ∫ ∫ 2 2 du u = −∫ 2 2lnu u c= − + 2 2 2ln 1x x c= − − − + © iTutor. 2000-2013. All Rights Reserved
  • 17.
    Substitution and definiteintegrals Assuming the function is continuous over the interval, then exchanging the limits for x by the corresponding limits for u will save you having to substitute back after the integration process. 2 2 3 1 1. Evaluate (2x+4)(x 4 )x dx+∫ 2 Let 4u x x= + 2 4du x dx= + When 2, 12; 1, 5x u x u= = = = 2 12 2 3 3 1 5 (2x+4)(x 4 )x dx u du+ =∫ ∫ 12 4 5 1 4 u   =    5027.75=
  • 18.
    Special (common) forms Somesubstitutions are so common that they can be treated as standards and, when their form is established, their integrals can be written down without further ado. 1 ( ) ( )f ax b dx F ax b c a + = + +∫ `( ) ln ( ) ( ) f x dx f x c f x = +∫ 21 `( ) ( ) ( ( )) 2 f x f x dx f x c= +∫ © iTutor. 2000-2013. All Rights Reserved
  • 19.
    Area under acurve a b y = f(x) ( ) b a A f x dx= ∫ a b y = f(x) ( ) b a A f x dx= −∫ Area between the curve and y - axis b a y = f(x) ( ) b a A f y dy= ∫ © iTutor. 2000-2013. All Rights Reserved
  • 20.
    1. Calculate thearea shown in the diagram below. 5 2 y = x2 + 1 2 1y x= + 2 1x y= − 1x y= − 1 5 2 2 ( 1)A y dy= −∫ 53 2 2 2 ( 1) 3 y   = −    14 units squared. 3 = © iTutor. 2000-2013. All Rights Reserved
  • 21.
    Volumes of revolution Volumesof revolution are formed when a curve is rotated about the x or y axis. 2 b a V y dxπ= ∫ π= ∫ 2 d c V x dy © iTutor. 2000-2013. All Rights Reserved
  • 22.
    1. Find thevolume of revolution obtained between x = 1 and x = 2 when the curve y = x2 + 2 is rotated about (i) the x – axis (ii) the y – axis. 2 2 1 ( )i V y dxπ= ∫ 2 4 2 1 ( 4 1)x x dxπ= + +∫ 25 3 1 4 5 3 x x xπ   = + +    32 32 1 1 2 1 5 3 5 3 π π    = + + − + + ÷  ÷     3263 units 15 π= ( ) when 1, 3 and when 2, 6ii x y x y= = = = 6 3 ( 2)y dyπ= −∫ 62 3 2 2 y yπ   = −    ( ) 9 18 12 6 2 π π   = − − − ÷   315 units 2 π= 6 2 3 V x dyπ= ∫ © iTutor. 2000-2013. All Rights Reserved
  • 23.
    The End Call usfor more Information: www.iTutor.com 1-855-694-8886 Visit

Editor's Notes

  • #21 This has been Printed.