Antiderivative/
Indefinite Integral
Find all possible functions
F(x) whose derivative is
f(x) = 2x+1

F(x) = x2 + x + 5
F(x) = x2 + x - 1000
F(x) = x2 + x + 1/8
F(x) = x2 + x - π

F(x) =
x2 + x
Definition
A function F is called an antiderivative (also an
indefinite integral) of a function f in the
interval I if

F '( x)

f ( x)

for every value x in the interval I.
The process of finding the antiderivative of a
given function is called antidifferentiation or
integration.
Find all antiderivatives
F(x) of f(x) = 2x+1

F(x) = x2 + x + 5
F(x) = x2 + x - 1000
F(x) = x2 + x + 1/8
F(x) = x2 + x - π

In fact, any function of the form F(x) =
x2 + x + c where c is a constant is an
antiderivative of 2x + 1

F(x) =
x2 + x
Theorem
If F is a particular antiderivative of f on an
interval I, then every antiderivative of f on I
is given by

F ( x) c
where c is an arbitrary constant, and all the
antiderivatives of f on I can be obtained by
assigning particular values for c. .
Notation
4 The symbol

denotes the operation of

antidifferentiation, and we write

f ( x)dx

F ( x) c

where F’(x)=f(x), and c is an arbitrary constant.
This is read “The indefinite integral of f(x)
with respect to x is F(x) + c".
f ( x)dx

F ( x) c

In this notation,
is the integral sign;
f(x) is the integrand;
dx
is the differential of x which denotes
the variable of integration; and
c
is called the constant of integration.
4 If the antiderivative of the function on interval

I exists, we say that the function is integrable
over the interval I.
Integration Rules
1. Constant Rule. If k is any real number, then
the indefinite integral of k with respect to x is

kdx

kx C

2. Coefficient Rule. Given any real number
coefficient a and integrable function f,

af ( x)dx

a f ( x)dx
Integration Rules
3. Sum and Difference Rule. For integrable
functions f and g,

[ f1 ( x)

f 2 ( x)]dx

f1 ( x)dx

f 2 ( x)dx

4. Power Rule. For any real number n,
where n ≠ -1, the indefinite integral xn of is,
n 1

n

x dx

x
C
n 1
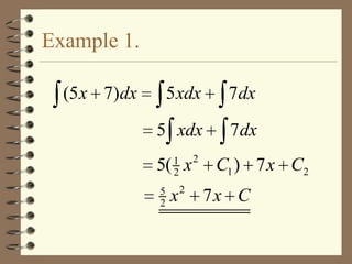
Example 1.
(5 x 7)dx

5 xdx

7dx

5 xdx

7dx

1
2

5( x
5
2

x

2

2

C1 ) 7 x C2
7x C
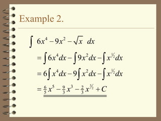
Example 2.
6x

4

9x

2

x dx

4

6 x dx

9 x dx

4

1

2

2

x 2 dx
1

6 x dx 9 x dx
6
5

x

5

9
3

x

3

2
3

x

3

2

x 2 dx
C
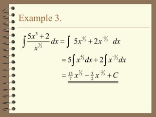
Example 3.
3

5x 2
dx
5
x3

5x

4

4

2x

3

5

3

dx
5

5 x dx 2 x 3 dx
15
7

x

7

3

3

3
2

x

2

3

C
Integration Formulas for
Trigonometric Functions
sin x dx
cos x dx
2

sec x dx

cos x C
sin x C
tan x C

csc2 x dx

cot x C

sec x tan x dx
csc x cot x dx

sec x C
csc x C
Example 4.
2

(3 csc x cot x 7 sec x)dx
2

3 csc x cot xdx 7 sec xdx
3 csc x C1

7 tan x C2

3 csc x 7 tan x C
Example 5.
2

3 tan

4 cos
d
cos
1
3
tan d
4 cos d
cos
3 sec tan d

4 cos d

3 sec

C

4 sin
Exercises:
3

1. y ( 2 y
2.
3.

2

3)dy

x ( x 1)dx
y4

2 y2 1
dy
y

sin x
4.
dx
2
cos x
5. (2 cot2

3 tan 2 )d
Integration by Chain Rule/Substitution
For integrable functions f and g
f ( g ( x))[ g '( x)dx] F ( g ( x)) C

where is an F antiderivative of f and C is an
arbitrary constant.
Example 6.
36 x

24

2

3

6x
4

6x

2 (6 x
2
8
5

(6 x
(6 x

5 dx
3

2

5 (18 x dx)
5) 4 (18 x 2 dx)

3

3

g’(x)=18x2

1

3

5)
5

Let g(x) = 6x3+5

5

4

C

4

5)

5

4

C
Example 6. Take 2!
36 x 2 4 6 x 3 5 dx 2

6 x 3 5 (18 x 2 dx)

4

4

2

u du
1

Let u = 6x3 + 5

2 (u ) du
2
8
5
8
5

u
5

u

5

4

du = 18x2 dx
4

C
4

5

C

4

(6 x

3

5)

5

4

C
Let g(t) = t4 + 2t

g’(t) = 4t3 + 2

Example 7.
2t 3 1
t4

2t

7

dx

= 2(2t3 + 1)

1 2(2t 3 1) dx
7
4
2
t 2t
1
2
1 t
2

t

4

4

12 t 4

7

2t
2t

6

C

6
1
2t

2(2t 3 1)dx

6

C
Example 8.
5

2

x (x

Let u = x2 -1

12

1) 2dx

du = 2x dx

x

2 2

(x
2

2

x2 = u+1

12

1) 2 xdx

12

(u 1) u du
(u

14

2u

13

1
15

u15

1
15

( x 2 1)15

2
14

12

u )du

u14

1
13
1
7

u13 C

( x 2 1)14

1
13

( x 2 1)13 C
Example 9.
sin 2 x 2 cos 2 x dx
1
2

2 cos 2 x (2 sin 2 xdx)

1
2

u (du )

1
2

Let u = 2 – cos2x

1/ 2

u (du )

1 2
2 3
1
3

du = 0 – (-sin2x)(2dx)

u 3/ 2

=2sin2xdx

C

(2 cos 2 x)

3/ 2

C
Example 10.
(tan 2 x cot 2 x) 2 dx
sin 2 x
cos 2 x
2

cos 2 x
sin 2 x
2

sin 2 x cos 2 x
cos 2 x sin 2 x
1
dx
2
2
cos 2 x sin 2 x
sec2 2 x csc2 2 xdx

2

dx
2

dx
Example 10.
sec2 2 x csc2 2 xdx
sec2 2 x(cot2 2 x 1)dx
2

2

sec 2 x cot 2 xdx

sec 2 xdx

(tan 2 x) 2 sec2 2 xdx
(tan 2 x) 2 2 sec2 2 xdx

1
2
1
2

(tan 2 x)

1
2

cot 2 x

1

1
2

1
2

2

sec2 2 xdx
1
2

tan 2 x C

tan 2 x C

2 sec2 2 xdx
Exercises:
1. 7 x(2 x

2

6

1) dx

3

2 2

2. 5 x (9 4 x )
2r
3.
dr
7
(1 r )

2

2

4. y csc3 y cot 3 y dy
cos3x
5.
dx
1 2 sin 3x
2
x(3x 1)dx
6.
4
2
4
(3x 2 x 1)
Applications of
Indefinite Integrals
1. Graphing
Given the sketch of the graph of the function,
together with some function values, we
can sketch the graph of its antiderivative
as long as the antiderivative is
continuous.
Example 11. Given the sketch of the function f
=F’(x) below, sketch the possible graph of F if it is
continuous, F(-1) = 0 and F(-3) = 4.
F(x)
X<-3

F’(x)

F’’(x) Conclusion

+

-

Increasing,
Concave down

0

-

Relative maximum

-3<x<-2

-

-

Decreasing,
Concave down

X=-2

-

0

Decreasing,
Point of inflection

-2<x<-1

-

+

Decreasing
Concave up

0

+

Relative minimum

+

+

Increasing,
Concave up

5

X=-3

4

4

3
2
1

-5

-4

-3

-2

-1

0

1

2

3

4

5

-1
-2
-3
-4
-5

X=-1
X>-1

0
The graph of F(x)
5

4

3

2

1

-5

-4

-3

-2

-1

0

1
-1
-2

-3

-4

-5

2

3

4

5
Applications of
Indefinite Integrals
1. Boundary/Initial Valued Problems
There are many applications of indefinite integrals
in different fields such as physics, business,
economics, biology, etc.
These applications usually desire to find particular
antiderivatives that satisfies certain conditions
called initial or boundary conditions, depending
on whether they occur on one or more than one
point.
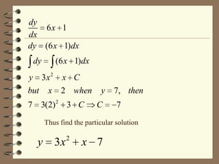
Example 11.
Suppose we wish to find a particular
antiderivative satisfying the equation

dy
dx

6x 1

and the initial condition y=7 when x =2.
Sol’n of Example 11
dy

(6 x 1)dx

dy

(6 x 1)dx
2

y 3x
but x

x C
2 when

7 3(2)

2

3 C

y
C

7, then
7

Thus the particular antiderivative desired,

y

3x

2

x 7
Example 12.

The volume of water in a tank is V
cubic meters when the depth of water is h
meters. The rate of change of V with
respect to h is π(4h2 +12h + 9), find the
volume of water in the tank when the
depth is 3m.
Sol’n of Example 12
dV
dh

4h 2 12h
4h 2 12h

dV
V

4h3
3

0

4(03 )
6(02 )
3
C

6h 2

9 dh
9h

Volume V=0 if depth
h =0

C
9(0)

C

0

Thus V
V

9

4h3
3

4(33 )
6(32 )
3

6h 2
9(3)

9h
207

m3
The Differential Equations
Equation containing a function and its derivative or just its
derivative is called differential equations.
Applications occur in many diverse fields such as physics,
chemistry, biology, psychology, sociology, business,
economics etc.
The order of a differential equation is the order of the
derivative of highest order that appears in the equation.
The function f defined by y= f(x) is a solution of a
differential equation if y and its derivatives satisfy the
equation.
dy
6x 1
dx
dy (6 x 1)dx
dy

(6 x 1)dx

y 3x 2 x C
but x 2 when
7 3(2) 2 3 C

y
C

7, then
7

Thus find the particular solution

y

3x

2

x 7
If each side of the differential equations
involves only one variable or can be
reduced in this form, then, we say that these
are separable differential equations.
Complete solution (or general solution)
y = F(x) + C
Particular solution – an initial condition is
given
Example 13. Find the complete
solution of the differential equation

d2y
2
dx
d2y
dx 2

let

2

d y dy
4x 3
2
dx
dx
dy (4 x 3)dx
dy
y

(4 x 3)dx
2x

2

dy
dx

y

y

dy
dx
dy
dx

2 x 2 3 x C1

dy

3 x C1

d
dx

4x 3

(2 x
2
3

x3

3
2

2

3 x C1 )dx

x 2 C1 x C2
Example 14. Find the particular solution of
the differential equation in Ex. 13 for which
y=2 and y’=-3 when x=1.
y

2x

2
2

3 x C1

2
3

x3

2

3 x C1

3 2(1)
C1

y

2
3

(1)3

C2

8

y

2
3

x

3

3
2

x

2

8x

3
2

x 2 C1 x C2
3
2

(1) 2 8(1) C2

47
6

47
6
Example 16.
A stone is thrown vertically upward from the
ground with an initial velocity of 20ft/sec.
(a) How long will the ball be going up?
Ans. 0.625 sec
(b) How high will the ball go?
Ans. 6.25 ft
(c) With what velocity will the ball strike the
ground?
Ans. 20 ft/sec
Indefinite Integral

Indefinite Integral

  • 1.
  • 2.
    Find all possiblefunctions F(x) whose derivative is f(x) = 2x+1 F(x) = x2 + x + 5 F(x) = x2 + x - 1000 F(x) = x2 + x + 1/8 F(x) = x2 + x - π F(x) = x2 + x
  • 3.
    Definition A function Fis called an antiderivative (also an indefinite integral) of a function f in the interval I if F '( x) f ( x) for every value x in the interval I. The process of finding the antiderivative of a given function is called antidifferentiation or integration.
  • 4.
    Find all antiderivatives F(x)of f(x) = 2x+1 F(x) = x2 + x + 5 F(x) = x2 + x - 1000 F(x) = x2 + x + 1/8 F(x) = x2 + x - π In fact, any function of the form F(x) = x2 + x + c where c is a constant is an antiderivative of 2x + 1 F(x) = x2 + x
  • 5.
    Theorem If F isa particular antiderivative of f on an interval I, then every antiderivative of f on I is given by F ( x) c where c is an arbitrary constant, and all the antiderivatives of f on I can be obtained by assigning particular values for c. .
  • 6.
    Notation 4 The symbol denotesthe operation of antidifferentiation, and we write f ( x)dx F ( x) c where F’(x)=f(x), and c is an arbitrary constant. This is read “The indefinite integral of f(x) with respect to x is F(x) + c".
  • 7.
    f ( x)dx F( x) c In this notation, is the integral sign; f(x) is the integrand; dx is the differential of x which denotes the variable of integration; and c is called the constant of integration. 4 If the antiderivative of the function on interval I exists, we say that the function is integrable over the interval I.
  • 8.
    Integration Rules 1. ConstantRule. If k is any real number, then the indefinite integral of k with respect to x is kdx kx C 2. Coefficient Rule. Given any real number coefficient a and integrable function f, af ( x)dx a f ( x)dx
  • 9.
    Integration Rules 3. Sumand Difference Rule. For integrable functions f and g, [ f1 ( x) f 2 ( x)]dx f1 ( x)dx f 2 ( x)dx 4. Power Rule. For any real number n, where n ≠ -1, the indefinite integral xn of is, n 1 n x dx x C n 1
  • 10.
    Example 1. (5 x7)dx 5 xdx 7dx 5 xdx 7dx 1 2 5( x 5 2 x 2 2 C1 ) 7 x C2 7x C
  • 11.
    Example 2. 6x 4 9x 2 x dx 4 6x dx 9 x dx 4 1 2 2 x 2 dx 1 6 x dx 9 x dx 6 5 x 5 9 3 x 3 2 3 x 3 2 x 2 dx C
  • 12.
    Example 3. 3 5x 2 dx 5 x3 5x 4 4 2x 3 5 3 dx 5 5x dx 2 x 3 dx 15 7 x 7 3 3 3 2 x 2 3 C
  • 13.
    Integration Formulas for TrigonometricFunctions sin x dx cos x dx 2 sec x dx cos x C sin x C tan x C csc2 x dx cot x C sec x tan x dx csc x cot x dx sec x C csc x C
  • 14.
    Example 4. 2 (3 cscx cot x 7 sec x)dx 2 3 csc x cot xdx 7 sec xdx 3 csc x C1 7 tan x C2 3 csc x 7 tan x C
  • 15.
    Example 5. 2 3 tan 4cos d cos 1 3 tan d 4 cos d cos 3 sec tan d 4 cos d 3 sec C 4 sin
  • 16.
    Exercises: 3 1. y (2 y 2. 3. 2 3)dy x ( x 1)dx y4 2 y2 1 dy y sin x 4. dx 2 cos x 5. (2 cot2 3 tan 2 )d
  • 17.
    Integration by ChainRule/Substitution For integrable functions f and g f ( g ( x))[ g '( x)dx] F ( g ( x)) C where is an F antiderivative of f and C is an arbitrary constant.
  • 18.
    Example 6. 36 x 24 2 3 6x 4 6x 2(6 x 2 8 5 (6 x (6 x 5 dx 3 2 5 (18 x dx) 5) 4 (18 x 2 dx) 3 3 g’(x)=18x2 1 3 5) 5 Let g(x) = 6x3+5 5 4 C 4 5) 5 4 C
  • 19.
    Example 6. Take2! 36 x 2 4 6 x 3 5 dx 2 6 x 3 5 (18 x 2 dx) 4 4 2 u du 1 Let u = 6x3 + 5 2 (u ) du 2 8 5 8 5 u 5 u 5 4 du = 18x2 dx 4 C 4 5 C 4 (6 x 3 5) 5 4 C
  • 20.
    Let g(t) =t4 + 2t g’(t) = 4t3 + 2 Example 7. 2t 3 1 t4 2t 7 dx = 2(2t3 + 1) 1 2(2t 3 1) dx 7 4 2 t 2t 1 2 1 t 2 t 4 4 12 t 4 7 2t 2t 6 C 6 1 2t 2(2t 3 1)dx 6 C
  • 21.
    Example 8. 5 2 x (x Letu = x2 -1 12 1) 2dx du = 2x dx x 2 2 (x 2 2 x2 = u+1 12 1) 2 xdx 12 (u 1) u du (u 14 2u 13 1 15 u15 1 15 ( x 2 1)15 2 14 12 u )du u14 1 13 1 7 u13 C ( x 2 1)14 1 13 ( x 2 1)13 C
  • 22.
    Example 9. sin 2x 2 cos 2 x dx 1 2 2 cos 2 x (2 sin 2 xdx) 1 2 u (du ) 1 2 Let u = 2 – cos2x 1/ 2 u (du ) 1 2 2 3 1 3 du = 0 – (-sin2x)(2dx) u 3/ 2 =2sin2xdx C (2 cos 2 x) 3/ 2 C
  • 23.
    Example 10. (tan 2x cot 2 x) 2 dx sin 2 x cos 2 x 2 cos 2 x sin 2 x 2 sin 2 x cos 2 x cos 2 x sin 2 x 1 dx 2 2 cos 2 x sin 2 x sec2 2 x csc2 2 xdx 2 dx 2 dx
  • 24.
    Example 10. sec2 2x csc2 2 xdx sec2 2 x(cot2 2 x 1)dx 2 2 sec 2 x cot 2 xdx sec 2 xdx (tan 2 x) 2 sec2 2 xdx (tan 2 x) 2 2 sec2 2 xdx 1 2 1 2 (tan 2 x) 1 2 cot 2 x 1 1 2 1 2 2 sec2 2 xdx 1 2 tan 2 x C tan 2 x C 2 sec2 2 xdx
  • 25.
    Exercises: 1. 7 x(2x 2 6 1) dx 3 2 2 2. 5 x (9 4 x ) 2r 3. dr 7 (1 r ) 2 2 4. y csc3 y cot 3 y dy cos3x 5. dx 1 2 sin 3x 2 x(3x 1)dx 6. 4 2 4 (3x 2 x 1)
  • 26.
    Applications of Indefinite Integrals 1.Graphing Given the sketch of the graph of the function, together with some function values, we can sketch the graph of its antiderivative as long as the antiderivative is continuous.
  • 27.
    Example 11. Giventhe sketch of the function f =F’(x) below, sketch the possible graph of F if it is continuous, F(-1) = 0 and F(-3) = 4. F(x) X<-3 F’(x) F’’(x) Conclusion + - Increasing, Concave down 0 - Relative maximum -3<x<-2 - - Decreasing, Concave down X=-2 - 0 Decreasing, Point of inflection -2<x<-1 - + Decreasing Concave up 0 + Relative minimum + + Increasing, Concave up 5 X=-3 4 4 3 2 1 -5 -4 -3 -2 -1 0 1 2 3 4 5 -1 -2 -3 -4 -5 X=-1 X>-1 0
  • 28.
    The graph ofF(x) 5 4 3 2 1 -5 -4 -3 -2 -1 0 1 -1 -2 -3 -4 -5 2 3 4 5
  • 29.
    Applications of Indefinite Integrals 1.Boundary/Initial Valued Problems There are many applications of indefinite integrals in different fields such as physics, business, economics, biology, etc. These applications usually desire to find particular antiderivatives that satisfies certain conditions called initial or boundary conditions, depending on whether they occur on one or more than one point.
  • 30.
    Example 11. Suppose wewish to find a particular antiderivative satisfying the equation dy dx 6x 1 and the initial condition y=7 when x =2.
  • 31.
    Sol’n of Example11 dy (6 x 1)dx dy (6 x 1)dx 2 y 3x but x x C 2 when 7 3(2) 2 3 C y C 7, then 7 Thus the particular antiderivative desired, y 3x 2 x 7
  • 32.
    Example 12. The volumeof water in a tank is V cubic meters when the depth of water is h meters. The rate of change of V with respect to h is π(4h2 +12h + 9), find the volume of water in the tank when the depth is 3m.
  • 33.
    Sol’n of Example12 dV dh 4h 2 12h 4h 2 12h dV V 4h3 3 0 4(03 ) 6(02 ) 3 C 6h 2 9 dh 9h Volume V=0 if depth h =0 C 9(0) C 0 Thus V V 9 4h3 3 4(33 ) 6(32 ) 3 6h 2 9(3) 9h 207 m3
  • 34.
    The Differential Equations Equationcontaining a function and its derivative or just its derivative is called differential equations. Applications occur in many diverse fields such as physics, chemistry, biology, psychology, sociology, business, economics etc. The order of a differential equation is the order of the derivative of highest order that appears in the equation. The function f defined by y= f(x) is a solution of a differential equation if y and its derivatives satisfy the equation.
  • 35.
    dy 6x 1 dx dy (6x 1)dx dy (6 x 1)dx y 3x 2 x C but x 2 when 7 3(2) 2 3 C y C 7, then 7 Thus find the particular solution y 3x 2 x 7
  • 36.
    If each sideof the differential equations involves only one variable or can be reduced in this form, then, we say that these are separable differential equations. Complete solution (or general solution) y = F(x) + C Particular solution – an initial condition is given
  • 37.
    Example 13. Findthe complete solution of the differential equation d2y 2 dx d2y dx 2 let 2 d y dy 4x 3 2 dx dx dy (4 x 3)dx dy y (4 x 3)dx 2x 2 dy dx y y dy dx dy dx 2 x 2 3 x C1 dy 3 x C1 d dx 4x 3 (2 x 2 3 x3 3 2 2 3 x C1 )dx x 2 C1 x C2
  • 38.
    Example 14. Findthe particular solution of the differential equation in Ex. 13 for which y=2 and y’=-3 when x=1. y 2x 2 2 3 x C1 2 3 x3 2 3 x C1 3 2(1) C1 y 2 3 (1)3 C2 8 y 2 3 x 3 3 2 x 2 8x 3 2 x 2 C1 x C2 3 2 (1) 2 8(1) C2 47 6 47 6
  • 39.
    Example 16. A stoneis thrown vertically upward from the ground with an initial velocity of 20ft/sec. (a) How long will the ball be going up? Ans. 0.625 sec (b) How high will the ball go? Ans. 6.25 ft (c) With what velocity will the ball strike the ground? Ans. 20 ft/sec