Volume of Revolution
We’ll first look at the area between the lines
y = x , . . .
• x = 1, . . .
• and the x-axis.
• Can you see what shape you will get if you rotate the area
through about the x-axis?
x = 1, . . .
hrV 2
3
1

We’ll first look at the area between the lines
y = x , . . .
and the x-axis.
The formula for the volume found by
rotating any area about the x-axis is
a b
x
)(xfy 
dxyV
b
a 2

where is the curve forming the upper edge of the
area being rotated.
)(xfy 
a and b are the x-coordinates at the left- and right-hand edges of the
area.
We leave the answers in terms of 
r
h
0 1
So, for our cone, using integration, we get
dxV 
1
0
 2
x
1
0
3
3







x







  0
3
1
 
3
1
xy 
We must substitute for y using before
we integrate.
dxyV
b
a 2

x
y
The formula can be proved by splitting
the area into narrow strips
. . .
which are rotated about the x-axis.
Each tiny piece is approximately a cylinder (
think of a penny on its side ).
Each piece, or element, has a volume
hr 2
  2
y dx
The formula comes from adding an infinite number of
these elements.
dxyV
b
a 2

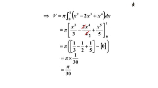
Solution: To find a volume we don’t need a sketch
unless we are not sure what limits of integration
we need. However, a sketch is often helpful.
As these are the first examples I’ll sketch the curves.
)1( xxy e.g. 1(a) The area formed by the curve
and the x-axis from x = 0 to x = 1 is
rotated through radians about the x-
axis. Find the volume of the solid formed.
2
)1( xxy 
dxyV
b
a 2

area rotate about
the x-axis
A common error in finding
a volume is to get
wrong. So beware!
2
y
)1( xxy 
222
)1( xxy 
)21( 222
xxxy 
4322
2 xxxy 
(a) rotate the area between
.10)1( tofromaxis-theand xxxy 
)1( xxy 
dxyV
b
a 2

4322
2 xxxy 
 dxxxxV  
1
0
432
2
a = 0, b = 1
(a) rotate the area between
.10)1( tofromaxis-theand xxxy 
 dxxxxV  
1
0
432
2
1
0
543
54
2
3







xxx

 











 0
5
1
2
1
3
1

30
1
 
30


2
Volumes of Revolution
To rotate an area about the y-axis we use the
same formula but with x and y swapped.
dxyV
b
a 2
 dyxV
d
c 2

The limits of integration are now values of y giving
the top and bottom of the area that is rotated.
Rotation about the y-axis
As we have to substitute for x from the equation of
the curve we will have to rearrange the equation.
Volumes of Revolution
xy 
dyxV
d
c 2

e.g. The area bounded by the curve , the
y-axis and the line y = 2 is rotated through
about the y-axis. Find the volume of the
solid formed.
xy 

360
2y
dyyV 
2
0
4

xy 
2
yx 
42
yx 
Volumes of Revolution
dyyV 
2
0
4

2
0
5
5







y

 








 








0
5
52

5
32

Exercise
2
xy  0x
the y-axis and the line y = 3 is rotated through
radians about the y-axis. Find the
volume of the solid formed.
2
1(a) The area formed by the curve for
x
y
1
(b) The area formed by the curve , the
y-axis and the lines y = 1 and y = 2 is rotated
2through radians about the y-axis. Find the
volume of the solid formed.
2
xy 
Solutions:
2
xy (a) for , the y-axis and the line y = 3.0x

3
0
dyyV 
dyxV
d
c 2

3
0
2
2







y

2
9

Solution:

2
1 2
1
dy
y
V 
dyxV
d
c 2

2
1
1







y

 





 


  1
2
1

(b)
x
y
1
 , the y-axis and the lines y = 1 and y = 2.
2


y
x
x
y
11

2
2 1
y
x 
Volume of revolution

Volume of revolution

  • 1.
  • 2.
    We’ll first lookat the area between the lines y = x , . . . • x = 1, . . . • and the x-axis. • Can you see what shape you will get if you rotate the area through about the x-axis?
  • 3.
    x = 1,. . . hrV 2 3 1  We’ll first look at the area between the lines y = x , . . . and the x-axis.
  • 4.
    The formula forthe volume found by rotating any area about the x-axis is a b x )(xfy  dxyV b a 2  where is the curve forming the upper edge of the area being rotated. )(xfy  a and b are the x-coordinates at the left- and right-hand edges of the area. We leave the answers in terms of 
  • 5.
    r h 0 1 So, forour cone, using integration, we get dxV  1 0  2 x 1 0 3 3        x          0 3 1   3 1 xy  We must substitute for y using before we integrate. dxyV b a 2 
  • 6.
    x y The formula canbe proved by splitting the area into narrow strips . . . which are rotated about the x-axis. Each tiny piece is approximately a cylinder ( think of a penny on its side ). Each piece, or element, has a volume hr 2   2 y dx The formula comes from adding an infinite number of these elements. dxyV b a 2 
  • 7.
    Solution: To finda volume we don’t need a sketch unless we are not sure what limits of integration we need. However, a sketch is often helpful. As these are the first examples I’ll sketch the curves. )1( xxy e.g. 1(a) The area formed by the curve and the x-axis from x = 0 to x = 1 is rotated through radians about the x- axis. Find the volume of the solid formed. 2
  • 8.
    )1( xxy  dxyV b a2  area rotate about the x-axis A common error in finding a volume is to get wrong. So beware! 2 y )1( xxy  222 )1( xxy  )21( 222 xxxy  4322 2 xxxy  (a) rotate the area between .10)1( tofromaxis-theand xxxy 
  • 9.
    )1( xxy  dxyV b a2  4322 2 xxxy   dxxxxV   1 0 432 2 a = 0, b = 1 (a) rotate the area between .10)1( tofromaxis-theand xxxy 
  • 10.
     dxxxxV  1 0 432 2 1 0 543 54 2 3        xxx                0 5 1 2 1 3 1  30 1   30   2
  • 11.
    Volumes of Revolution Torotate an area about the y-axis we use the same formula but with x and y swapped. dxyV b a 2  dyxV d c 2  The limits of integration are now values of y giving the top and bottom of the area that is rotated. Rotation about the y-axis As we have to substitute for x from the equation of the curve we will have to rearrange the equation.
  • 12.
    Volumes of Revolution xy dyxV d c 2  e.g. The area bounded by the curve , the y-axis and the line y = 2 is rotated through about the y-axis. Find the volume of the solid formed. xy   360 2y dyyV  2 0 4  xy  2 yx  42 yx 
  • 13.
    Volumes of Revolution dyyV 2 0 4  2 0 5 5        y                      0 5 52  5 32 
  • 14.
    Exercise 2 xy  0x they-axis and the line y = 3 is rotated through radians about the y-axis. Find the volume of the solid formed. 2 1(a) The area formed by the curve for x y 1 (b) The area formed by the curve , the y-axis and the lines y = 1 and y = 2 is rotated 2through radians about the y-axis. Find the volume of the solid formed.
  • 15.
    2 xy  Solutions: 2 xy (a)for , the y-axis and the line y = 3.0x  3 0 dyyV  dyxV d c 2  3 0 2 2        y  2 9 
  • 16.
    Solution:  2 1 2 1 dy y V  dyxV d c2  2 1 1        y               1 2 1  (b) x y 1  , the y-axis and the lines y = 1 and y = 2. 2   y x x y 11  2 2 1 y x 