INTEGRALS
Symbol/Terms/Phrases Meaning
𝑓 𝑥 ⅆ𝑥 Integral of f with respect to 𝑥
𝑓(𝑥) in 𝑓 𝑥 ⅆ𝑥 Integrand
𝑥 in 𝑓 𝑥 ⅆ𝑥 Variable of integration
Integrate Find the integral
An integral of 𝑓 A function F such that 𝐹′(𝑥) = 𝑓 (𝑥)
Integration The process of finding the integral
Constant of Integration Any real number C, considered as constant function
INTEGRATION
Integrals of the Form 𝒇 𝒂𝒙 + 𝒃 𝒅𝒙
𝑑 sin(𝑥+𝑘)
𝑑𝑥
= cos(𝑥 + 𝑘)
⟹ cos 𝑥 + 𝑘 ⅆ𝑥 = sin 𝑥 + 𝑘 + 𝑐
It is clear that whenever a constant is added or subtracted with the independent variable x, the fundamental formulae remain the same.
Here, if any constant is multiplied with the independent variable x, then the same fundamental formula can be used after dividing it by the
coefficient of x
INTEGRALS
• Integration of algebraic function
• 𝑎𝑥 + 𝑏 𝑛
ⅆ𝑥
•
1
1+𝑥2 ⅆ𝑥
•
1
1−𝑥2
ⅆ𝑥
•
1
𝑥 𝑥2−1
ⅆ𝑥
• Evaluate
• sin3
𝑥 ⅆ𝑥
• cos4 𝑥 ⅆ𝑥
• 1 + sin 𝑥 ⅆ𝑥
• Find the value of a and b.
•
𝑑𝑥
1+sin 𝑥
= tan
𝑥
2
+ 𝑎 + 𝑏
• 1 + sin
𝑥
2
ⅆ𝑥
INTEGRALS
• Integration of Exponential Function
• Express 𝑎𝑚𝑥+𝑛
𝑎𝑠 𝑏𝑒𝑘𝑥
and then find the integral
• 𝑎𝑥
= 𝑒𝑥 log 𝑎
= 𝑒log 𝑎𝑥
• 𝑒𝑘𝑥
ⅆ𝑥 =
𝑒𝑘𝑥
𝑘
• Example
• 𝑎3𝑥+3
ⅆ𝑥
INTEGRALS
• Integration of the algebraic function which are in the form
• 𝑃 𝑥 𝑎𝑥 + 𝑏 𝑛
ⅆ𝑥
•
𝑃 𝑥
𝑎𝑥+𝑏 𝑛 ⅆ𝑥
• Put 𝑎𝑥 + 𝑏 = 𝑧
• Example
• 𝑥2
𝑎𝑥 + 𝑏 ⅆ𝑥
•
𝑥+2
𝑥+1 2 ⅆ𝑥
•
𝑥2
𝑎+𝑏𝑥 2 ⅆ𝑥
•
2𝑥−1
𝑥−1 2 ⅆ𝑥
•
𝑥2
1−𝑥
ⅆ𝑥
•
𝑥2
1+𝑥
ⅆ𝑥
INTEGRALS
• Integration of the form 𝐬𝐢𝐧𝒎
𝒎 𝐜𝐨𝐬𝒏
𝒏 𝒅𝒙
• If power of sin 𝑥 is odd positive integer put 𝑧 = cos 𝑥
• If power of both sin 𝑥 and cos 𝑥 are odd positive integer put 𝑧 = sin 𝑥 or 𝑧 = cos 𝑥
• If power of neither cos 𝑥 𝑛𝑜𝑟 sin 𝑥 is odd positive integer , see the sum of power of sin 𝑥 & cos 𝑥
• If the sum of power is even negative integer put 𝑧 = tan 𝑥
• If power of is even positive integer & m and n are integer
• Express the integrand as the algebraic sum of sin & cos of multiple angle
• Examole
• cos3
𝑥 sin 𝑥 ⅆ𝑥
• sin3
𝑥 cos3
𝑥 ⅆ𝑥
INTEGRALS
• Integration of the form 𝐭𝐚𝐧𝒎
𝒙 𝐬𝐞𝐜𝒏
𝒙 𝒅𝒙
• If the power of sec 𝑥 is the even positive integer put 𝑧 = tan 𝑥
• If the power of sec 𝑥 is not even positive integer then see power of tan 𝑥
• If the power of tan 𝑥 is odd positive integer put 𝑧 = sec 𝑥
• If the power of sec 𝑥 is even positive integer put sec2
𝑥 − 1 𝑖𝑛 𝑝𝑙𝑎𝑐𝑒 𝑜𝑓 tan2
𝑥 & the substitute 𝑧 = tan 𝑥
• If the power of tan 𝑥 is zero & power of sec 𝑥 odd positive integer greater than 1 , then method of integration by part is used. put 𝑧 = sec 𝑥
• sec3
𝑥 ⅆ𝑥
• sec5
𝑥 ⅆ𝑥
INTEGRALS
• Integration of the form cot𝒎
𝒙 cosec𝒏
𝒙 𝒅𝒙
• If the power of cosec 𝑥 is the even positive integer put 𝑧 = cot 𝑥
• If the power of cosec 𝑥 is not even positive integer then see power of cot 𝑥
• If the power of cot 𝑥 is odd positive integer put 𝑧 = cosec 𝑥
• If the power of cot 𝑥 is even positive integer put cosec2
𝑥 − 1 𝑖𝑛 𝑝𝑙𝑎𝑐𝑒 𝑜𝑓 cot2
𝑥& the substitute 𝑧 = cot 𝑥
• If the power of cot 𝑥 is zero & power of cosec 𝑥 odd positive integer greater than 1 , then method of integration by part is used. put 𝑧 = sec 𝑥
INTEGRALS
• Find
• tan𝑛
𝑥 sec2
𝑥 ⅆ𝑥
• tan 𝑥 ⅆ𝑥
• tan2
𝑥 ⅆ𝑥
• tan3
𝑥 ⅆ𝑥
• tan4
𝑥 ⅆ𝑥
• tan6
𝑥 ⅆ𝑥
• csc𝑛
𝑥 cot 𝑥 ⅆ𝑥
INTEGRALS
2 Integration using trigonometric identities
When the integrand involves some trigonometric functions, we use some known identities to find the integral as illustrated through the
following example.
Example 7 Find (i) 2 cos x dx ∫
(ii) sin 2 cos 3 x x dx ∫
(iii) 3 sin x dx
• Integration of Trigonometrical Function
• sin 𝑘𝑥 ⅆ𝑥
• cos 𝑘𝑥 ⅆ𝑥
• sec 𝑥 tan 𝑥 ⅆ𝑥
• sec2
𝑥 ⅆ𝑥
• cosec2 𝑥 ⅆ𝑥
• cosec 𝑥 cot 𝑥 ⅆ𝑥
INTEGRALS
• #Use the formula whichever re applicable
• sin2 𝑥 =
• cos2 𝑥 =
• tan2 𝑥 =
• cot2 𝑥 =
• sin3 𝑥 =
• cos3 𝑥 =
• tan3 𝑥 =
• cot3 𝑥 =
INTEGRALS
• If 𝑦 =
𝑑𝑥
1+𝑥2
3
2
& 𝑦 = 0 , 𝑤ℎ𝑒𝑛 𝑥 = 0 Find the value of 𝑦 when 𝑥 = 1.
1 − 𝑥2 ⅆ𝑥
1+𝑥2
1−𝑥2
ⅆ𝑥
1+𝑥
1+𝑥2
ⅆ𝑥
INTEGRALS
Method of Substitution
If the integrand of the form
sin 𝜃 ⅆ𝜃
cos 𝜃 ⅆ𝜃
tan 𝜃 ⅆ𝜃
cosec 𝜃 ⅆ𝜃
sec 𝜃 ⅆ𝜃
cot 𝜃 ⅆ𝜃
Where 𝜃 is a function of x put 𝑧 = 𝜃
INTEGRALS
•
sin 𝑥
𝑥
ⅆ𝑥
•
cot log 𝑥
𝑥
ⅆ𝑥
•
𝑒𝑥 1+𝑥
cos−1 𝑥𝑒𝑥 ⅆ𝑥
INTEGRALS
• When integrand is the product of two functions & one of them is a function of a function 𝜙 𝑥 & other is 𝑘𝜙′ 𝑥 , where k is a constant , then
put = 𝜙 𝑥
• In other words , If integrand is the form
• 𝑘𝜙 𝑥 𝜙′ 𝑥 then put = 𝜙 𝑥
• Thus if an expression is occurred in the integrand where d. c. is a factor of the integrand and the integrand after leaving this d.c. of become
an integrable function of
• then put = 𝜙 𝑥
• 2 + sin 3𝑥 cos 3𝑥 ⅆ𝑥
•
sin 2𝑥
𝑎2+𝑏2 sin2 𝑥
ⅆ𝑥
•
1+log 𝑥 2
𝑥
ⅆ𝑥
•
𝑥5
1+𝑥3
ⅆ𝑥
•
sin 𝑥
𝑎+𝑏 cos 𝑥
ⅆ𝑥
•
𝑥2
𝑥2+1
ⅆ𝑥
•
𝑥2
𝑥+2
ⅆ𝑥
INTEGRALS
• 𝑥 cos2
𝑥 ⅆ𝑥
• sin 𝑥 ⅆ𝑥
• cos 𝑥 ⅆ𝑥
• sin log 𝑥 ⅆ𝑥
• 𝑥𝑛
log 𝑥 ⅆ𝑥
• log 𝑥 2
ⅆ𝑥
• 𝑥2 + 𝑎2 ⅆ𝑥
• 𝑒𝑎𝑥
sin 𝑏𝑥 ⅆ𝑥
• 𝑥 sec2
2𝑥 ⅆ𝑥
• 𝑥2
log 𝑥 2
ⅆ𝑥
• 𝑥 sin2
𝑥 ⅆ𝑥
• 𝑥 log 𝑥 2
ⅆ𝑥
• 𝑥2
sin 2𝑥 ⅆ𝑥
• 𝑥2
𝑒3𝑥
ⅆ𝑥
• 𝑥2
log 𝑥 ⅆ𝑥
• 𝑒−𝑥
sin 𝑥 ⅆ𝑥
INTEGRALS
Integration of algebraic function
𝑖 𝑎𝑥 + 𝑏 𝑛 ⅆ𝑥
𝑖𝑖
1
1+𝑥2 ⅆ𝑥
𝑖𝑖𝑖
1
1−𝑥2
ⅆ𝑥
𝑖𝑣
1
𝑥 𝑥2−1
ⅆ𝑥
INTEGRALS
Integrals of functions which can be reduced to the form
sin 𝜃 , cos 𝜃 , tan 𝜃
cosec 𝜃 , sec 𝜃 , cot 𝜃
Where 𝜃 is a linear expression in 𝑥
INTEGRALS
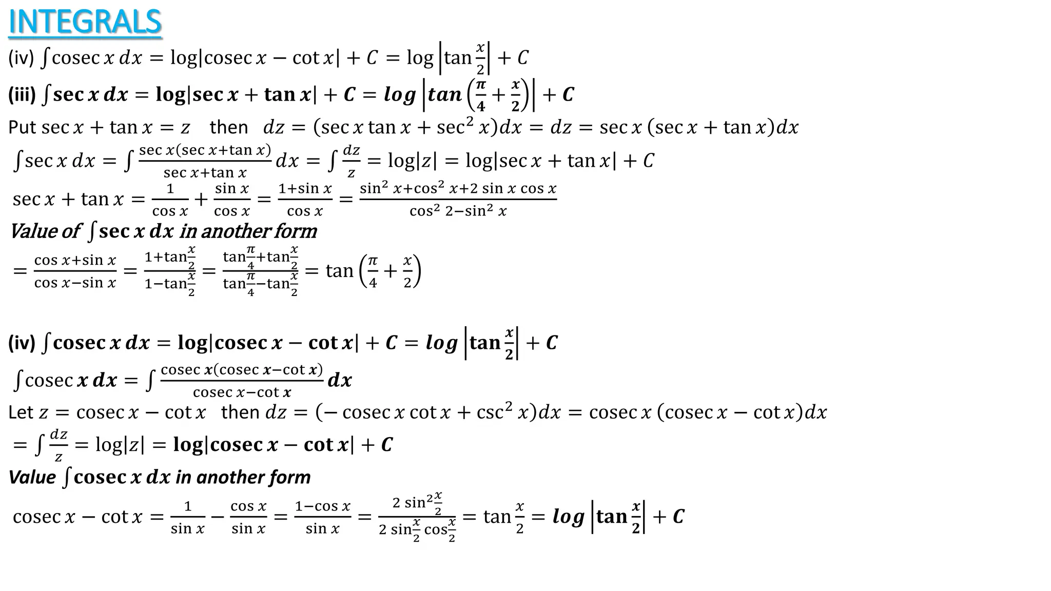
(iv) cosec 𝑥 ⅆ𝑥 = log cosec 𝑥 − cot 𝑥 + 𝐶 = log tan
𝑥
2
+ 𝐶
(iii) 𝐬𝐞𝐜 𝒙 𝒅𝒙 = 𝐥𝐨𝐠 𝐬𝐞𝐜 𝒙 + 𝐭𝐚𝐧 𝒙 + 𝑪 = 𝒍𝒐𝒈 𝒕𝒂𝒏
𝝅
𝟒
+
𝒙
𝟐
+ 𝑪
Put sec 𝑥 + tan 𝑥 = 𝑧 then ⅆ𝑧 = sec 𝑥 tan 𝑥 + sec2
𝑥 ⅆ𝑥 = ⅆ𝑧 = sec 𝑥 sec 𝑥 + tan 𝑥 ⅆ𝑥
sec 𝑥 ⅆ𝑥 =
sec 𝑥 sec 𝑥+tan 𝑥
sec 𝑥+tan 𝑥
ⅆ𝑥 =
𝑑𝑧
𝑧
= log 𝑧 = log sec 𝑥 + tan 𝑥 + 𝐶
sec 𝑥 + tan 𝑥 =
1
cos 𝑥
+
sin 𝑥
cos 𝑥
=
1+sin 𝑥
cos 𝑥
=
sin2 𝑥+cos2 𝑥+2 sin 𝑥 cos 𝑥
cos2 2−sin2 𝑥
Value of 𝐬𝐞𝐜 𝒙 𝒅𝒙 in another form
=
cos 𝑥+sin 𝑥
cos 𝑥−sin 𝑥
=
1+tan
𝑥
2
1−tan
𝑥
2
=
tan
𝜋
4
+tan
𝑥
2
tan
𝜋
4
−tan
𝑥
2
= tan
𝜋
4
+
𝑥
2
(iv) 𝐜𝐨𝐬𝐞𝐜 𝒙 𝒅𝒙 = 𝐥𝐨𝐠 𝐜𝐨𝐬𝐞𝐜 𝒙 − 𝐜𝐨𝐭 𝒙 + 𝑪 = 𝒍𝒐𝒈 𝐭𝐚𝐧
𝒙
𝟐
+ 𝑪
cosec 𝒙 𝒅𝒙 =
cosec 𝒙 cosec 𝒙−cot 𝒙
cosec 𝑥−cot 𝒙
𝒅𝒙
Let 𝑧 = cosec 𝑥 − cot 𝑥 then ⅆ𝑧 = − cosec 𝑥 cot 𝑥 + csc2
𝑥 ⅆ𝑥 = cosec 𝑥 cosec 𝑥 − cot 𝑥 ⅆ𝑥
=
𝑑𝑧
𝑧
= log 𝑧 = 𝐥𝐨𝐠 𝐜𝐨𝐬𝐞𝐜 𝒙 − 𝐜𝐨𝐭 𝒙 + 𝑪
Value 𝐜𝐨𝐬𝐞𝐜 𝒙 𝒅𝒙 in another form
cosec 𝑥 − cot 𝑥 =
1
sin 𝑥
−
cos 𝑥
sin 𝑥
=
1−cos 𝑥
sin 𝑥
=
2 sin2𝑥
2
2 sin
𝑥
2
cos
𝑥
2
= tan
𝑥
2
= 𝒍𝒐𝒈 𝐭𝐚𝐧
𝒙
𝟐
+ 𝑪
INTEGRALS
• Integral of the form
1 ± sin 𝑥 ⅆ𝑥
𝑑𝑥
1±sin 𝑥
𝑑𝑥
1±sin 𝑥
Change sin 𝑥 into cos
𝜋
2
− 𝑥
• Integral of the form
𝑑𝑥
1±sin 𝑥
can also be evaluated by multiplying and dividing by 1 ∓ sin 𝑥
respectively.
INTEGRALS
Evaluate
𝑖 sin3 𝑥 ⅆ𝑥
𝑖𝑖 cos4 𝑥 ⅆ𝑥
𝑖𝑖𝑖 1 + sin 𝑥 ⅆ𝑥
𝑖𝑣 1 + sin
𝑥
2
ⅆ𝑥
𝑣
𝑑𝑥
1+sin 𝑥
𝑣𝑖
sin 𝑥
1+sin 𝑥
ⅆ𝑥
𝑣𝑖𝑖 1 + 2 tan 𝑥 tan 𝑥 + sec 𝑥 ⅆ𝑥
INTEGRALS
𝑣 Find the value of a and b.
𝑑𝑥
1+sin 𝑥
= tan
𝑥
2
+ 𝑎 + 𝑏
INTEGRALS
• Integration of Exponential Function
Express 𝑎𝑚𝑥+𝑛 𝑎𝑠 𝑏𝑒𝑘𝑥 and then find the integral
𝑎𝑥 = 𝑒𝑥 log 𝑎 = 𝑒log 𝑎𝑥
𝑒𝑘𝑥
ⅆ𝑥 =
𝑒𝑘𝑥
𝑘
Example
𝑎3𝑥+3 ⅆ𝑥
= 𝑎3
𝑎3𝑥
ⅆ𝑥
INTEGRALS
Integration of the algebraic function which are in the form
𝑖 𝑃 𝑥 𝑎𝑥 + 𝑏 𝑛 ⅆ𝑥
where 𝑃 𝑥 is a polynomial in 𝑥 𝑎0𝑥𝑚 + 𝑎1𝑥𝑚−1 + … … + 𝑎𝑚𝑥0 𝑤ℎ𝑒𝑟𝑒 𝑚 𝑖𝑠 𝑎 𝑝𝑜𝑠𝑖𝑡𝑖𝑣𝑒 𝑖𝑛𝑡𝑒𝑔𝑒𝑟
𝑛 𝑖𝑠 𝑎 𝑝𝑜𝑠𝑖𝑡𝑖𝑣𝑒 𝑟𝑎𝑡𝑖𝑜𝑛𝑎𝑙 𝑛𝑢𝑚𝑏𝑒𝑟
Put 𝑎𝑥 + 𝑏 = 𝑧
𝑖𝑖
𝑃 𝑥
𝑎𝑥+𝑏 𝑛 ⅆ𝑥
where 𝑃 𝑥 is a polynomial in 𝑥 𝑎0𝑥𝑚 + 𝑎1𝑥𝑚−1 + … … + 𝑎𝑚𝑥0 𝑤ℎ𝑒𝑟𝑒 𝑚 𝑖𝑠 𝑎 𝑝𝑜𝑠𝑖𝑡𝑖𝑣𝑒 𝑖𝑛𝑡𝑒𝑔𝑒𝑟
𝑛 𝑖𝑠 𝑎 𝑝𝑜𝑠𝑖𝑡𝑖𝑣𝑒 𝑟𝑎𝑡𝑖𝑜𝑛𝑎𝑙 𝑛𝑢𝑚𝑏𝑒𝑟
Put 𝑎𝑥 + 𝑏 = 𝑧
INTEGRALS
𝑖
𝑥2+3𝑥−1
𝑥+1 2 ⅆ𝑥 put 𝑥 + 1 = 𝑧
𝑖𝑖
𝑥2
𝑎+𝑏𝑥
ⅆ𝑥
𝑖𝑖𝑖
𝑥6
𝑥−1
ⅆ𝑥
𝑖𝑣 𝑥 1 − 𝑥 23 ⅆ𝑥
𝑣
𝑥6
𝑥−1
ⅆ𝑥
INTEGRALS
If sin 2𝑥 + cos 2𝑥 ⅆ𝑥 =
1
2
sin 2𝑥 − 𝑐 + 𝑎. Find the value of a & c.
INTEGRALS
Example
𝑖 𝑥2 𝑎𝑥 + 𝑏 ⅆ𝑥
𝑖𝑖
𝑥+2
𝑥+1 2 ⅆ𝑥
𝑖𝑖𝑖
𝑥2
𝑎+𝑏𝑥 2 ⅆ𝑥
𝑖𝑣
2𝑥−1
𝑥−1 2 ⅆ𝑥
𝑣
𝑥2
1−𝑥
ⅆ𝑥
𝑣𝑖
𝑥2
1+𝑥
ⅆ𝑥
INTEGRALS
• Integration of the form 𝐬𝐢𝐧𝒎 𝒎 𝐜𝐨𝐬𝒏 𝒏 𝒅𝒙
(i) If power of sin 𝑥 is odd positive integer put 𝑧 = cos 𝑥
(ii) If power of cos 𝑥 is odd positive integer put 𝑧 = sin 𝑥
(iii) If power of both sin 𝑥 and cos 𝑥 are odd positive integers put 𝑧 = sin 𝑥 or 𝑧 = cos 𝑥
(iv) If power of neither cos 𝑥 𝑛𝑜𝑟 sin 𝑥 is odd positive integer , see the sum of power of sin 𝑥 & cos 𝑥
𝑎 If the sum of powers 𝑚 + 𝑛 is even negative integer put 𝑧 = tan 𝑥
𝑏 If the sum of powers 𝑚 + 𝑛 is even positive integer & m , n are integers
Express the integrand as the algebraic sum of sin𝑒 𝑥 & cosine 𝑥 of multiple angle.
Use the following formula whichever is needed
sin2 𝑥 =
1−cos 2𝑥
2
cos2
𝑥 =
1+cos 2𝑥
2
sin3
𝑥 =
3 sin 𝑥−sin 3𝑥
4
cos3
𝑥 =
3 cos 𝑥+cos 3𝑥
4
2 sin 𝑥 cos 𝑥 = sin 2𝑥
INTEGRALS
• Demoivre’s Theorem
If n is appositive integer then
cos 𝜃 + 𝑖 sin 𝜃 𝑛 = cos 𝑛𝜃 + 𝑖 sin 𝑛𝜃
Let 𝑧 = cos 𝜃 + 𝑖 sin 𝜃
1
𝑧
=
1
cos 𝜃+𝑖 sin 𝜃
= cos 𝜃 − 𝑖 sin 𝜃
cos 𝜃 =
1
𝑧
𝑧 +
1
𝑧
cos 𝜃 =
1
2𝑖
𝑧 −
1
𝑧
𝑧𝑛
= cos 𝑥 + 𝑖 sin 𝑥 𝑛
= cos 𝑛𝑥 + 𝑖 sin 𝑛𝑥
1
𝑧𝑛 = cos 𝑥 − 𝑖 sin 𝑥 𝑛
= cos 𝑛𝑥 − 𝑖 sin 𝑛𝑥
𝑧𝑛
+
1
𝑧𝑛 = 2cos 𝑛𝑥
𝑧𝑛 −
1
𝑧𝑛 = 2𝑖 sin 𝑛𝑥
If sum of powers of sin 𝑥 & cos 𝑥 is odd & negative & powers of both sin 𝑥 & cos 𝑥 are integers , then
multiply by suitable power of sin2
𝑥 + cos2
𝑥 .
INTEGRALS
Examole
𝑖 cos3 𝑥 sin 𝑥 ⅆ𝑥
𝑖𝑖 sin3 𝑥 cos3 𝑥 ⅆ𝑥
𝑖𝑖𝑖 sin5 𝑥 ⅆ𝑥
𝑖𝑣
𝑑𝑥
sin 𝑥 cos3 𝑥
𝑣 cos4
𝑥 ⅆ𝑥
𝑣𝑖 sin4 𝑥 cos2 𝑥 ⅆ𝑥
𝑣𝑖𝑖 sin2 𝑥 cos5 𝑥 ⅆ𝑥
INTEGRALS
• Integration of the form 𝐭𝐚𝐧𝒎 𝒙 𝐬𝐞𝐜𝒏 𝒙 𝒅𝒙
𝑖 If the power of sec 𝑥 is even positive integer put 𝑧 = tan 𝑥
𝑖𝑖 If the power of sec 𝑥 is not even positive integer then see power of tan 𝑥
𝑎 If the power of tan 𝑥 is odd positive integer put 𝑧 = sec 𝑥
𝑏 If the power of tan 𝑥 is even +ve integer , then put sec2 𝑥 − 1 𝑖𝑛 𝑝𝑙𝑎𝑐𝑒 𝑜𝑓 tan2 𝑥 & then substitute 𝑧 = tan 𝑥
𝑖𝑖𝑖 If the power of tan 𝑥 is zero & power of sec 𝑥 odd positive integer greater than 1 , then method of integration
by part is used.
INTEGRALS
• Reduction formula for 𝐭𝐚𝐧𝒏 𝒙 𝒅𝒙
tan𝑛
𝑥 ⅆ𝑥 = tan𝑛−2
𝑥 tan2
𝑥 ⅆ𝑥
= tan𝑛−2 𝑥 sec2 𝑥 − 1 ⅆ𝑥 = tan𝑛−2 𝑥 sec2 𝑥 ⅆ𝑥 − tan𝑛−2 𝑥 ⅆ𝑥
=
tan𝑛−1 𝑥
𝑛−1
− tan𝑛−2 𝑥 ⅆ𝑥
• Reduction formula for 𝐭𝐚𝐧𝒏 𝒙 𝒅𝒙
tan𝑛
𝑥 ⅆ𝑥 = tan𝑛−2
𝑥 tan2
𝑥 ⅆ𝑥
= tan𝑛−2
𝑥 sec2
𝑥 − 1 ⅆ𝑥 = tan𝑛−2
𝑥 sec2
𝑥 ⅆ𝑥 − tan𝑛−2
𝑥 ⅆ𝑥
=
tan𝑛−1 𝑥
𝑛−1
− tan𝑛−2
𝑥 ⅆ𝑥
Which is the required reduction formula.
INTEGRALS
𝑖 sec3 𝑥 ⅆ𝑥
𝑖𝑖 sec5 𝑥 ⅆ𝑥
𝑖𝑖𝑖 tan𝑛
𝑥 sec2
𝑥 ⅆ𝑥
𝑖𝑣 tan2 𝑥 sec4 𝑥 ⅆ𝑥
𝑣 tan3
𝑥 ⅆ𝑥
𝑣𝑖 tan 𝑥 ⅆ𝑥
𝑣𝑖𝑖 tan2 𝑥 ⅆ𝑥
𝑣𝑖𝑖𝑖 tan4 𝑥 ⅆ𝑥
𝑖𝑥 tan6 𝑥 ⅆ𝑥
𝑥 tan3
2𝑥 sec 2𝑥 𝑥 ⅆ𝑥
INTEGRALS
• Integration of the form cot𝒎
𝒙 cosec𝒏
𝒙 𝒅𝒙
𝑖 If the power of cosec 𝑥 is the even positive integer put 𝑧 = cot 𝑥
𝑖𝑖 If the power of cosec 𝑥 is not even positive integer , then see power of cot 𝑥
𝑎 If the power of cot 𝑥 is odd positive integer, put 𝑧 = cosec 𝑥
𝑏 If the power of cot 𝑥 is even positive integer put cosec2 𝑥 − 1 𝑖𝑛 𝑝𝑙𝑎𝑐𝑒 𝑜𝑓 cot2 𝑥& the substitute 𝑧 = cot 𝑥
𝑖𝑖𝑖 If the power of cot 𝑥 is zero & power of cosec 𝑥 odd positive integer greater than 1 ,
then method of integration by part is used.
INTEGRALS
• Reduction formula for cot𝒏 𝒙 𝒅𝒙
• cot𝑛
𝑥 ⅆ𝑥 = cot𝑛−2
𝑥 cot2
𝑥 ⅆ𝑥
• = cot𝑛−2 𝑥 cosec2 𝑥 − 1 ⅆ𝑥
• = cot𝑛−2
𝑥 cosec2
𝑥 ⅆ𝑥 − cot𝑛−2
𝑥 ⅆ𝑥 =
cot𝑛−1 𝑥
𝑛−1
− cot𝑛−2
𝑥 ⅆ𝑥
• Reduction formula for cot𝒏
𝒙 𝒅𝒙
• cot𝑛
𝑥 ⅆ𝑥 = cot𝑛−2
𝑥 cot2
𝑥 ⅆ𝑥
• = cot𝑛−2 𝑥 cosec2 𝑥 − 1 ⅆ𝑥
• = cot𝑛−2 𝑥 cosec2 𝑥 ⅆ𝑥 − cot𝑛−2 𝑥 ⅆ𝑥 =
cot𝑛−1 𝑥
𝑛−1
− cot𝑛−2 𝑥 ⅆ𝑥
Which is the required reduction formula.
INTEGRALS
Find
𝑖 cesec3 𝑥 ⅆ𝑥
𝑖𝑖 cesec5 𝑥 ⅆ𝑥
𝑖𝑖𝑖 cesec𝑛
𝑥 cot 𝑥 ⅆ𝑥
𝑖𝑣 cesec4
𝑥 ⅆ𝑥
𝑣 cesec4 𝑥 cot2 𝑥 ⅆ𝑥
INTEGRALS
2 Integration using trigonometric identities
When the integrand involves some trigonometric functions, we use some known identities to find the integral
sin 𝑘𝑥 ⅆ𝑥
cos 𝑘𝑥 ⅆ𝑥
sec 𝑘𝑥 tan 𝑘𝑥 ⅆ𝑥
sec2
𝑘𝑥 ⅆ𝑥
cosec2 𝑘𝑥 ⅆ𝑥
cosec 𝑘𝑥 cot 𝑘𝑥 ⅆ𝑥
INTEGRALS
#Use the formula whichever re applicable
sin2
𝑥 =
1−cos 2𝑥
2
cos2 𝑥 =
1+cos 2𝑥
2
tan2 𝑥 = sec2 𝑥 − 1
cot2
𝑥 = cosec2
𝑥 − 1
sin3
𝑥 =
3 sin 𝑥−sin 3𝑥
4
cos3 𝑥 =
3 cos 𝑥+cos 3𝑥
4
INTEGRALS
𝑥2 + 𝑎2 ⅆ𝑥 =
𝑥 𝑥2+𝑎2
2
+
𝑎2
2
log 𝑥 + 𝑥2 + 𝑎2 + 𝐶
Put 𝑥 = 𝑎 tan 𝜃 𝑜𝑟 𝑎 cot 𝜃
𝑥2 + 𝑎2 ⅆ𝑥 =
𝑥 𝑥2+𝑎2
2
+
𝑎2
2
log 𝑥 + 𝑥2 + 𝑎2 + 𝐶
Put 𝑥 = 𝑎 tan 𝜃 𝑜𝑟 𝑎 cot 𝜃
• 𝑥2 − 𝑎2 ⅆ𝑥 =
𝑥 𝑥2−𝑎2
2
−
𝑎2
2
log 𝑥 + 𝑥2 − 𝑎2 + 𝐶
• Put 𝑥 = 𝑎 sec 𝜃 or 𝑎 csc 𝜃
• 𝑎2 − 𝑥2 ⅆ𝑥 =
𝑥 𝑎2−𝑥2
2
+
𝑎2
2
sin−1 𝑥
𝑎
+ 𝐶
• Put 𝑥 = 𝑎 sin 𝜃 𝑜𝑟 𝑎 cos 𝜃
•
𝑎−𝑥
𝑎+𝑥
ⅆ𝑥 or
𝑎+𝑥
𝑎−𝑥
ⅆ𝑥
• put 𝑥 = 𝑎 cos 2𝜃
•
𝑥
𝑎−𝑥
ⅆ𝑥 or
𝑎−𝑥
𝑥
ⅆ𝑥
• put 𝑥 = 𝑎 sin2 𝜃 𝑜𝑟 𝑎 cos2 𝜃
𝑥2 − 𝑎2 ⅆ𝑥 =
𝑥 𝑥2−𝑎2
2
−
𝑎2
2
log 𝑥 + 𝑥2 − 𝑎2 + 𝐶
Put 𝑥 = 𝑎 sec 𝜃 or 𝑎 cosec 𝜃
𝑎2 − 𝑥2 ⅆ𝑥 =
𝑥 𝑎2−𝑥2
2
+
𝑎2
2
sin−1 𝑥
𝑎
+ 𝐶
Put 𝑥 = 𝑎 sin 𝜃 𝑜𝑟 𝑎 cos 𝜃
𝑎−𝑥
𝑎+𝑥
ⅆ𝑥 or
𝑎+𝑥
𝑎−𝑥
ⅆ𝑥
put 𝑥 = 𝑎 cos 2𝜃
𝑥
𝑎−𝑥
ⅆ𝑥 or
𝑎−𝑥
𝑥
ⅆ𝑥
put 𝑥 = 𝑎 sin2 𝜃 𝑜𝑟 𝑎 cos2 𝜃
𝑥
𝑎+𝑥
ⅆ𝑥 or
𝑎+𝑥
𝑥
ⅆ𝑥
put 𝑥 = 𝑎 tan2 𝜃 𝑜𝑟 𝑎 cot2 𝜃
𝑎−𝑥
𝑥−𝑏
ⅆ𝑥 or
𝑥−𝑏
𝑎−𝑥
ⅆ𝑥
put 𝑥 = 𝑎 sin2 𝜃 + 𝑎 cos2 𝜃
INTEGRALS
𝑎 − 𝑥 𝑥 − 𝑏 ⅆ𝑥
put 𝑥 = 𝑎 sin2 𝜃 + 𝑎 cos2 𝜃
INTEGRALS
If 𝑦 =
𝑑𝑥
1+𝑥2
3
2
& 𝑦 = 0 , 𝑤ℎ𝑒𝑛 𝑥 = 0 Find the value of 𝑦 when 𝑥 = 1.
1 − 𝑥2 ⅆ𝑥
1+𝑥2
1−𝑥2
ⅆ𝑥
1+𝑥
1+𝑥2
ⅆ𝑥
INTEGRALS
• (11) For the evaluation of the integral of the type 𝒑𝒙 + 𝒒 𝒂𝟐 + 𝒃𝒙 + 𝒄 𝒅𝒙,
where 𝑝 , 𝑞 , 𝑎 , 𝑏 , 𝑐 are constants,
we are to find real numbers 𝐴 , 𝐵 such that
𝑝𝑥 + 𝑞 = 𝐴
𝑑
𝑑𝑥
𝒂𝟐 + 𝒃𝒙 + +𝑐 + 𝐵 = 𝐴 2𝑎𝑥 + 𝑏 + 𝐵
To determine 𝐴 and 𝐵, we equate from both sides the coefficients of 𝑥 and the constant terms.
𝐴 and 𝐵 are thus obtained and hence the integral is reduced to one of the known forms
INTEGRALS
• (12) For the evaluation of the integral of the type
𝒑𝒙+𝒒
𝒂𝟐+𝒃𝒙+𝒄
𝒅𝒙 ,
where 𝑝 , 𝑞 , 𝑎 , 𝑏 , 𝑐 are constants,
we are to find real numbers 𝐴 , 𝐵 such that
𝑝𝑥 + 𝑞 = 𝐴
𝑑
𝑑𝑥
𝒂𝟐
+ 𝒃𝒙 + +𝑐 + 𝐵 = 𝐴 2𝑎𝑥 + 𝑏 + 𝐵
To determine 𝐴 and 𝐵, we equate from both sides the coefficients of 𝑥 and the constant terms.
𝐴 and 𝐵 are thus obtained and hence the integral is reduced to one of the known forms
INTEGRALS
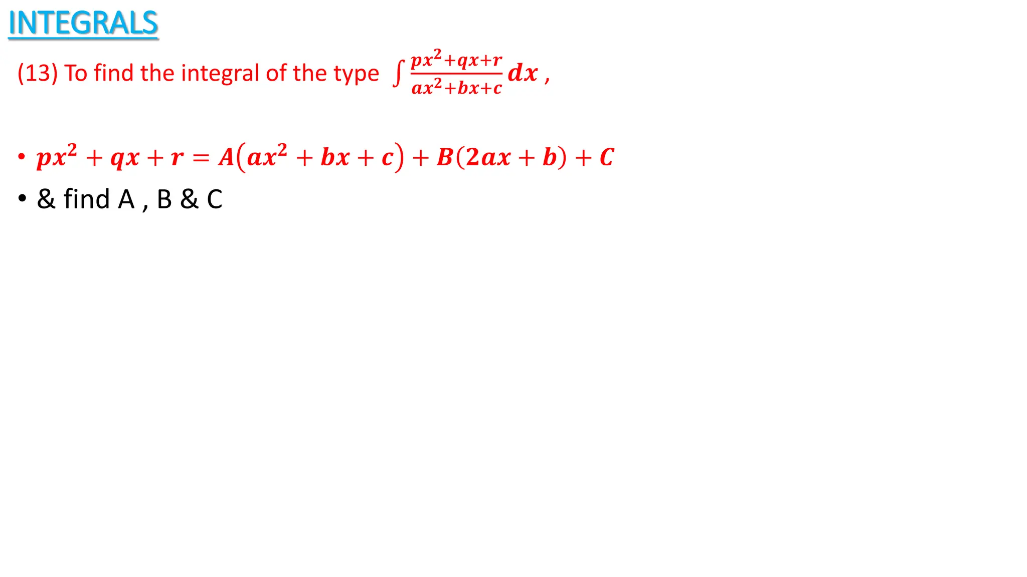
(13) To find the integral of the type
𝒑𝒙𝟐+𝒒𝒙+𝒓
𝒂𝒙𝟐+𝒃𝒙+𝒄
𝒅𝒙 ,
• 𝒑𝒙𝟐 + 𝒒𝒙 + 𝒓 = 𝑨 𝒂𝒙𝟐 + 𝒃𝒙 + 𝒄 + 𝑩 𝟐𝒂𝒙 + 𝒃 + 𝑪
• & find A , B & C
INTEGRALS
• (14) To find the integral of the type
𝟏
𝑿 𝒀
𝒅𝒙
Where X and Y are linear or quadratic expressions in x.
X Y Substitution
Linear Linear 𝑧2 = 𝑌
Quadratic linear 𝑧2 = 𝑌
Linear Quadratic 𝑧 =
1
𝑋
Quadratic Quadratic 𝑧2
=
𝑌
𝑋
𝑜𝑟 𝑧 =
1
𝑋
INTEGRALS
• (15) Integral of the form
𝑖 𝒙 ± 𝒂𝟐 + 𝒙𝟐
𝒏
𝒅𝒙
𝑖𝑖
𝒅𝒙
𝒙± 𝒂𝟐+𝒙𝟐
𝒏
𝑖𝑖𝑖
𝒙± 𝒂𝟐+𝒙𝟐
𝒏
𝒂𝟐+𝒙𝟐 𝒅𝒙
Where n is a positive rational number and 𝑛 ≠ ±1.
Put 𝑧 = 𝒙 ± 𝒂𝟐 + 𝒙𝟐
INTEGRALS
• (16) Integral of the Form
𝑖
𝒙𝒎
𝒂+𝒃𝒙 𝒑 𝒅𝒙 𝑚 being a positive integer
Put 𝑧 = 𝑎 + 𝑏𝑥
𝑖𝑖
𝒅𝒙
𝒙𝒎 𝒂+𝒃𝒙 𝒑 where 𝑚 + 𝑝 = 𝑎𝑛 𝑖𝑛𝑡𝑒𝑔𝑒𝑟 > 1
Put 𝑧𝑥 = 𝑎 + 𝑏𝑥
INTEGRALS
• 17 𝒙𝒎
𝒂 + 𝒃𝒙𝒏 𝒑
𝒅𝒙 where 𝑚 , 𝑛 & 𝑝 are rational number
Condition 𝑎 if 𝑝 is an integer > 0 , then
Expand 𝒂 + 𝒃𝒙𝒏 𝒑
Condition 𝑏 if p is an integer < 0 then
Put 𝑥 = 𝑧𝑘 , where k is common denominator 𝑚 , 𝑛 and 𝑝
Condition 𝑐 if
𝑚+1
𝑛
is an integer then
Put 𝑎 + 𝑏𝑥𝑛 = 𝑧𝑘 , where 𝑘 = denominator in p.
Condition ⅆ if
𝑚+1
𝑛
+ 𝑝 is an integer then
Put 𝑎 + 𝑏𝑥𝑛 = 𝑥𝑛𝑧𝑘 , where 𝑘 = denominator in p., or put 𝑥 =
1
𝑧
INTEGRALS
• (10) integral of the form
• 𝑖
𝒅𝒙
𝒙−𝒂 𝒎 𝒙−𝒃 𝒏 where m and n are positive integer and 𝑎 ≠ 𝑏
• Put 𝑥 − 𝑎 = 𝑧 𝑥 − 𝑏
• 𝑖𝑖 𝑹 𝒙 , 𝒂𝒙 + 𝒃
𝜶
𝒏 𝒅𝒙 , where R stand for rational function
• Put 𝑧𝑛 = 𝑎𝑥 + 𝑏
• 𝑖𝑖𝑖 𝑹 𝒙 , 𝒂𝒙 + 𝒃
𝜶
𝒏, 𝒂𝒙 + 𝒃
𝜷
𝒎 𝒅𝒙 , where R stand for rational function
• Put 𝑧𝑝 = 𝑎𝑥 + 𝑏 , where 𝑝 = L.C.M. of m and n
• 𝑖𝑣 𝑹 𝒙 ,
𝒂𝒙+𝒃
𝒄𝒙+𝒅
𝜶
𝒏
𝒅𝒙 , where R stand for rational form
• Put 𝑧𝑝
=
𝒂𝒙+𝒃
𝒄𝒙+𝒅
INTEGRALS
• Method of Substitution
• 𝐴 If the integrand of the form
sin 𝜃 ⅆ𝜃 cos 𝜃 ⅆ𝜃 tan 𝜃 ⅆ𝜃 cosec 𝜃 ⅆ𝜃 sec 𝜃 ⅆ𝜃 cot 𝜃 ⅆ𝜃
Where 𝜃 is a function of x put 𝑧 = 𝜃
𝐵 If d.c. of a function 𝑓 𝑥 occurs as a factor of the integrand and integrand after leaving this factor become an
integrable function of 𝑓 𝑥 , 𝑝𝑢𝑡 𝑧 − 𝑓 𝑥 .
𝐶. 𝑖
𝑓′ 𝑥
𝑓 𝑥
ⅆ𝑥 = log 𝑓 𝑥 + 𝐶
𝑖𝑖 if the logarithmic or inverse circular function occurs in the numerator & its d.c., is a factor of the integand put
it equal to 𝑧 .
𝑖𝑖𝑖 if the logarithmic or inverse circular function occurs in the numerator & its d.c., is a factor of the integand put
it equal to z but if d.c. is not a factor of the integrand use integration by parts.
𝑖𝑣 if 𝑒𝑓 𝑥 occurs in the integrand put 𝑧 = 𝑓 𝑥
INTEGRALS
Evaluate
𝑖 tan 𝑥 − 𝑥 5
tan6
𝑥 ⅆ𝑥
𝑖𝑖
cot log 𝑥
𝑥
ⅆ𝑥
𝑖𝑖𝑖
sec2 𝑥 tan 𝑥
sec2 𝑥+tan2 𝑥
ⅆ𝑥
𝑖𝑣
1
𝑥2 𝑥4+1
3
4
ⅆ𝑥
• Evaluate
• tan 𝑥 − 𝑥 5 tan6 𝑥 ⅆ𝑥
•
cot log 𝑥
𝑥
ⅆ𝑥
•
sec2 𝑥 tan 𝑥
sec2 𝑥+tan2 𝑥
ⅆ𝑥
•
1
𝑥2 𝑥4+1
3
4
ⅆ𝑥
INTEGRALS
• Integral of the form
𝒊
𝒅𝒙
𝒂 cos𝟐 𝒙+𝟐𝒃 sin 𝒙 cos 𝑥 +𝒄 sin𝟐 𝒙
𝒊𝒊
𝒅𝒙
𝒂 cos𝟐 𝒙+𝒃
𝒊𝒊𝒊
𝒅𝒙
𝒂+𝒃 sin𝟐 𝒙
Divide numerator & denominator by cos2 𝑥
• Integral of the form
𝒊
𝒅𝒙
𝒂 cos 𝒙+𝟐𝒃 sin 𝒙+𝒄
𝒊𝒊
𝒅𝒙
𝒂+𝒃 cos 𝒙
𝒊𝒊𝒊
𝒅𝒙
𝒂+𝒃 sin 𝒙
Put sin 𝑥 =
2 tan
𝑥
2
1+tan2𝑥
2
& cos 𝑥 =
1−tan2𝑥
2
1+tan2𝑥
2
And then put 𝑧 = tan
𝑥
2
INTEGRALS
• Integral of the form
𝒊
𝒑 sin 𝒙+𝒒 cos 𝒙
asin 𝒙+𝒃 cos 𝒙
𝒅𝒙 𝒊𝒊
sin 𝒙
𝒂 cos 𝒙+𝒃 sin 𝒙
𝒅𝒙 𝒊𝒊𝒊
cos 𝒙
𝒂 cos 𝒙+𝒃 sin 𝒙
𝒅𝒙
Let 𝑁𝑢𝑚𝑒𝑟𝑎𝑡𝑜𝑟 = 𝐴 ⅆ𝑒𝑛𝑜𝑚𝑖𝑛𝑎𝑡𝑜𝑟 + 𝐵 ⅆ. 𝑐 . 𝑜𝑓 ⅆ𝑒𝑛𝑜𝑚𝑖𝑛𝑎𝑡𝑜𝑟
& then find A & B by equating the coefficient of sin 𝑥 & cos 𝑥
INTEGRALS
• Integral of the form
𝑖 sec2 𝑥 ± 𝑎 ⅆ𝑥
Write sec2 𝑥 ± 𝑎 =
sec2 𝑥±𝑎
sec2 𝑥±𝑎
=
sec2 𝑥
sec2 𝑥±𝑎
± 𝑎
cos 𝑥
1±𝑎 cos2 𝑥
In 1st put 𝑧 = tan 𝑥
& in the 2nd integral put 𝑧 = sin 𝑥
𝑖𝑖 cosec2 𝑥 ± 𝑎 ⅆ𝑥
Write cosec2 𝑥 ± 𝑎 =
cosec2 𝑥±𝑎
cosec2 𝑥±𝑎
=
cosec2 𝑥
cosec2 𝑥±𝑎
± 𝑎
sin 𝑥
1±𝑎 sin2 𝑥
In 1st put 𝑧 = cot 𝑥 & in the 2nd integral put 𝑧 = cos 𝑥
• Integral of the form
𝑖 sec2 𝑥 ± 𝑎 ⅆ𝑥
Write sec2 𝑥 ± 𝑎 =
sec2 𝑥±𝑎
sec2 𝑥±𝑎
=
sec2 𝑥
sec2 𝑥±𝑎
± 𝑎
cos 𝑥
1±𝑎 cos2 𝑥
In 1st put 𝑧 = tan 𝑥
& in the 2nd integral put 𝑧 = sin 𝑥
𝑖𝑖 cosec2 𝑥 ± 𝑎 ⅆ𝑥
Write cosec2 𝑥 ± 𝑎 =
cosec2 𝑥±𝑎
cosec2 𝑥±𝑎
=
cosec2 𝑥
cosec2 𝑥±𝑎
± 𝑎
sin 𝑥
1±𝑎 sin2 𝑥
In 1st put 𝑧 = cot 𝑥
& in the 2nd integral put 𝑧 = cos 𝑥
INTEGRALS
𝑖𝑖𝑖 tan2 𝑥 ± 𝑎 ⅆ𝑥
tan2 𝑥 = sec2 𝑥 − 1
Write tan2 𝑥 ± 𝑎 =
sec2 𝑥±𝑎
sec2 𝑥±𝑎
=
sec2 𝑥
sec2 𝑥±𝑎
± 𝑎
cos 𝑥
1±𝑎 cos2 𝑥
In 1st put 𝑧 = tan 𝑥 & in the 2nd integral put 𝑧 = sin 𝑥
𝑖𝑣 cot2 𝑥 ± 𝑎 ⅆ𝑥
cot2
𝑥 = cosec2
𝑥 − 1
Write cot2 𝑥 ± 𝑎 =
cosec2 𝑥±𝑎
cosec2 𝑥±𝑎
=
cosec2 𝑥
cosec2 𝑥±𝑎
± 𝑎
sin 𝑥
1±𝑎 sin2 𝑥
In 1st put 𝑧 = cot 𝑥 & in the 2nd integral put 𝑧 = cos 𝑥
INTEGRALS
𝑖
sin 𝑥
𝑥
ⅆ𝑥
𝑖𝑖
cot log 𝑥
𝑥
ⅆ𝑥
𝑖𝑖𝑖
𝑒𝑥 1+𝑥
cos−1 𝑥𝑒𝑥 ⅆ𝑥
𝑖𝑣
𝑥 tan−1 𝑥2
1+𝑥4 ⅆ𝑥
𝑣
𝑑𝑥
𝑥2 𝑥4+1
3
4
INTEGRALS
If 4𝑒𝑥+6𝑒−𝑥
9𝑒𝑥−4𝑒−𝑥 ⅆ𝑥 = 𝐴𝑥 + 𝐵 log𝑒 9𝑒2𝑥 − 4 + 𝐶 . Find the value of A , B & C.
𝑖
sin 𝑥
𝑥
ⅆ𝑥
𝑖𝑖
cot log 𝑥
𝑥
ⅆ𝑥
𝑖𝑖𝑖
𝑒𝑥 1+𝑥
cos−1 𝑥𝑒𝑥 ⅆ𝑥
𝑖𝑣
𝑥 tan−1 𝑥2
1+𝑥4 ⅆ𝑥
𝑣
𝑑𝑥
𝑥2 𝑥4+1
3
4
If 𝑖𝑣
4𝑒𝑥+6𝑒−𝑥
9𝑒𝑥−4𝑒−𝑥 ⅆ𝑥 = 𝐴𝑥 + 𝐵 log𝑒 9𝑒2𝑥 − 4 + 𝐶 . Find the value of A , B & C.
𝑖𝑣
sin 2𝑥
𝑎2+𝑏2 sin2 𝑥
ⅆ𝑥
𝑖𝑣
𝑥
𝑥2+2
1
3
ⅆ𝑥
𝑖𝑣 tan 𝑥 + cot 𝑥 ⅆ𝑥
𝑖𝑣 tan 𝑥 ⅆ
𝑖𝑣 cot 𝑥 ⅆ𝑥
INTEGRALS
𝑖
sin 2𝑥
𝑎2+𝑏2 sin2 𝑥
ⅆ𝑥
𝑖𝑖
𝑥
𝑥2+2
1
3
ⅆ𝑥
𝑖𝑖𝑖 tan 𝑥 + cot 𝑥 ⅆ𝑥
𝑖𝑣 tan 𝑥 ⅆ𝑥
𝑣 cot 𝑥 ⅆ𝑥
INTEGRALS
When integrand is the product of two functions & one of them is a function of a function 𝜙 𝑥 & other is 𝑘𝜙′ 𝑥 ,
where k is a constant , then put 𝑧 = 𝜙 𝑥
In other words , If integrand is the form
𝑘𝑓 𝜙 𝑥 𝜙′ 𝑥 then put 𝑧 = 𝜙 𝑥
Thus if an expression 𝜙 𝑥 is occurs in the integrand whose d. c. is a factor of the integrand and the integrand
after leaving this d .c . of 𝜙 𝑥 become an integrable function of 𝜙 𝑥
then put z = 𝜙 𝑥
INTEGRALS
𝑖 2 + sin 3𝑥 cos 3𝑥 ⅆ𝑥
𝑖𝑖
sin 2𝑥
𝑎2+𝑏2 sin2 𝑥
ⅆ𝑥
𝑖𝑖𝑖
1+log 𝑥 2
𝑥
ⅆ𝑥
𝑖𝑣
𝑥5
1+𝑥3
ⅆ𝑥
𝑣
sin 𝑥
𝑎+𝑏 cos 𝑥
ⅆ𝑥
𝑣𝑖
𝑥2
𝑥3+1
ⅆ𝑥
𝑣𝑖𝑖
𝑥2
𝑥+2
ⅆ𝑥
𝑣𝑖𝑖𝑖
𝑥
𝑥+2
ⅆ𝑥
INTEGRALS
𝑑𝑥
𝑥 𝑥𝑛+1
Put 𝑧 = 𝑥𝑛 + 1
ⅆ𝑧 =
𝑥 𝑑𝑥
𝑥2−𝑎2 𝑥2−𝑏2
Put 𝑧 = 𝑥2
ⅆ𝑧 = 2𝑥ⅆ𝑥
INTEGRALS
𝑖 𝑥 cos2
𝑥 ⅆ𝑥
𝑖𝑖 sin 𝑥 ⅆ𝑥
𝑖𝑖𝑖 cos 𝑥 ⅆ𝑥
𝑖𝑣 sin log 𝑥 ⅆ𝑥
𝑣 𝑥𝑛
log 𝑥 ⅆ𝑥
𝑣𝑖 log 𝑥 2
ⅆ𝑥
𝑣𝑖𝑖 𝑥2 + 𝑎2 ⅆ𝑥
𝑣𝑖𝑖𝑖 𝑒𝑎𝑥
sin 𝑏𝑥 ⅆ𝑥
𝑖𝑥 𝑥 sec2
2𝑥 ⅆ𝑥
𝑥 𝑥2
log 𝑥 2
ⅆ𝑥
𝑥𝑖 𝑥 sin2
𝑥 ⅆ𝑥
𝑥𝑖𝑖 𝑥 log 𝑥 2
ⅆ𝑥
𝑥𝑖𝑖𝑖 𝑥2
sin 2𝑥 ⅆ𝑥
𝑥𝑖𝑣 𝑥2𝑒3𝑥 ⅆ𝑥
𝑥𝑣 𝑥2
log 𝑥 ⅆ𝑥
𝑥𝑣𝑖 𝑒−𝑥
sin 𝑥 ⅆ𝑥
𝑥𝑣𝑖𝑖
𝑥+sin 𝑥
1+cos 𝑥
ⅆ𝑥

INTEGRATION.pptx

  • 1.
    INTEGRALS Symbol/Terms/Phrases Meaning 𝑓 𝑥ⅆ𝑥 Integral of f with respect to 𝑥 𝑓(𝑥) in 𝑓 𝑥 ⅆ𝑥 Integrand 𝑥 in 𝑓 𝑥 ⅆ𝑥 Variable of integration Integrate Find the integral An integral of 𝑓 A function F such that 𝐹′(𝑥) = 𝑓 (𝑥) Integration The process of finding the integral Constant of Integration Any real number C, considered as constant function
  • 2.
    INTEGRATION Integrals of theForm 𝒇 𝒂𝒙 + 𝒃 𝒅𝒙 𝑑 sin(𝑥+𝑘) 𝑑𝑥 = cos(𝑥 + 𝑘) ⟹ cos 𝑥 + 𝑘 ⅆ𝑥 = sin 𝑥 + 𝑘 + 𝑐 It is clear that whenever a constant is added or subtracted with the independent variable x, the fundamental formulae remain the same. Here, if any constant is multiplied with the independent variable x, then the same fundamental formula can be used after dividing it by the coefficient of x
  • 3.
    INTEGRALS • Integration ofalgebraic function • 𝑎𝑥 + 𝑏 𝑛 ⅆ𝑥 • 1 1+𝑥2 ⅆ𝑥 • 1 1−𝑥2 ⅆ𝑥 • 1 𝑥 𝑥2−1 ⅆ𝑥 • Evaluate • sin3 𝑥 ⅆ𝑥 • cos4 𝑥 ⅆ𝑥 • 1 + sin 𝑥 ⅆ𝑥 • Find the value of a and b. • 𝑑𝑥 1+sin 𝑥 = tan 𝑥 2 + 𝑎 + 𝑏 • 1 + sin 𝑥 2 ⅆ𝑥
  • 4.
    INTEGRALS • Integration ofExponential Function • Express 𝑎𝑚𝑥+𝑛 𝑎𝑠 𝑏𝑒𝑘𝑥 and then find the integral • 𝑎𝑥 = 𝑒𝑥 log 𝑎 = 𝑒log 𝑎𝑥 • 𝑒𝑘𝑥 ⅆ𝑥 = 𝑒𝑘𝑥 𝑘 • Example • 𝑎3𝑥+3 ⅆ𝑥
  • 5.
    INTEGRALS • Integration ofthe algebraic function which are in the form • 𝑃 𝑥 𝑎𝑥 + 𝑏 𝑛 ⅆ𝑥 • 𝑃 𝑥 𝑎𝑥+𝑏 𝑛 ⅆ𝑥 • Put 𝑎𝑥 + 𝑏 = 𝑧 • Example • 𝑥2 𝑎𝑥 + 𝑏 ⅆ𝑥 • 𝑥+2 𝑥+1 2 ⅆ𝑥 • 𝑥2 𝑎+𝑏𝑥 2 ⅆ𝑥 • 2𝑥−1 𝑥−1 2 ⅆ𝑥 • 𝑥2 1−𝑥 ⅆ𝑥 • 𝑥2 1+𝑥 ⅆ𝑥
  • 6.
    INTEGRALS • Integration ofthe form 𝐬𝐢𝐧𝒎 𝒎 𝐜𝐨𝐬𝒏 𝒏 𝒅𝒙 • If power of sin 𝑥 is odd positive integer put 𝑧 = cos 𝑥 • If power of both sin 𝑥 and cos 𝑥 are odd positive integer put 𝑧 = sin 𝑥 or 𝑧 = cos 𝑥 • If power of neither cos 𝑥 𝑛𝑜𝑟 sin 𝑥 is odd positive integer , see the sum of power of sin 𝑥 & cos 𝑥 • If the sum of power is even negative integer put 𝑧 = tan 𝑥 • If power of is even positive integer & m and n are integer • Express the integrand as the algebraic sum of sin & cos of multiple angle • Examole • cos3 𝑥 sin 𝑥 ⅆ𝑥 • sin3 𝑥 cos3 𝑥 ⅆ𝑥
  • 7.
    INTEGRALS • Integration ofthe form 𝐭𝐚𝐧𝒎 𝒙 𝐬𝐞𝐜𝒏 𝒙 𝒅𝒙 • If the power of sec 𝑥 is the even positive integer put 𝑧 = tan 𝑥 • If the power of sec 𝑥 is not even positive integer then see power of tan 𝑥 • If the power of tan 𝑥 is odd positive integer put 𝑧 = sec 𝑥 • If the power of sec 𝑥 is even positive integer put sec2 𝑥 − 1 𝑖𝑛 𝑝𝑙𝑎𝑐𝑒 𝑜𝑓 tan2 𝑥 & the substitute 𝑧 = tan 𝑥 • If the power of tan 𝑥 is zero & power of sec 𝑥 odd positive integer greater than 1 , then method of integration by part is used. put 𝑧 = sec 𝑥 • sec3 𝑥 ⅆ𝑥 • sec5 𝑥 ⅆ𝑥
  • 8.
    INTEGRALS • Integration ofthe form cot𝒎 𝒙 cosec𝒏 𝒙 𝒅𝒙 • If the power of cosec 𝑥 is the even positive integer put 𝑧 = cot 𝑥 • If the power of cosec 𝑥 is not even positive integer then see power of cot 𝑥 • If the power of cot 𝑥 is odd positive integer put 𝑧 = cosec 𝑥 • If the power of cot 𝑥 is even positive integer put cosec2 𝑥 − 1 𝑖𝑛 𝑝𝑙𝑎𝑐𝑒 𝑜𝑓 cot2 𝑥& the substitute 𝑧 = cot 𝑥 • If the power of cot 𝑥 is zero & power of cosec 𝑥 odd positive integer greater than 1 , then method of integration by part is used. put 𝑧 = sec 𝑥
  • 9.
    INTEGRALS • Find • tan𝑛 𝑥sec2 𝑥 ⅆ𝑥 • tan 𝑥 ⅆ𝑥 • tan2 𝑥 ⅆ𝑥 • tan3 𝑥 ⅆ𝑥 • tan4 𝑥 ⅆ𝑥 • tan6 𝑥 ⅆ𝑥 • csc𝑛 𝑥 cot 𝑥 ⅆ𝑥
  • 10.
    INTEGRALS 2 Integration usingtrigonometric identities When the integrand involves some trigonometric functions, we use some known identities to find the integral as illustrated through the following example. Example 7 Find (i) 2 cos x dx ∫ (ii) sin 2 cos 3 x x dx ∫ (iii) 3 sin x dx • Integration of Trigonometrical Function • sin 𝑘𝑥 ⅆ𝑥 • cos 𝑘𝑥 ⅆ𝑥 • sec 𝑥 tan 𝑥 ⅆ𝑥 • sec2 𝑥 ⅆ𝑥 • cosec2 𝑥 ⅆ𝑥 • cosec 𝑥 cot 𝑥 ⅆ𝑥
  • 11.
    INTEGRALS • #Use theformula whichever re applicable • sin2 𝑥 = • cos2 𝑥 = • tan2 𝑥 = • cot2 𝑥 = • sin3 𝑥 = • cos3 𝑥 = • tan3 𝑥 = • cot3 𝑥 =
  • 12.
    INTEGRALS • If 𝑦= 𝑑𝑥 1+𝑥2 3 2 & 𝑦 = 0 , 𝑤ℎ𝑒𝑛 𝑥 = 0 Find the value of 𝑦 when 𝑥 = 1. 1 − 𝑥2 ⅆ𝑥 1+𝑥2 1−𝑥2 ⅆ𝑥 1+𝑥 1+𝑥2 ⅆ𝑥
  • 13.
    INTEGRALS Method of Substitution Ifthe integrand of the form sin 𝜃 ⅆ𝜃 cos 𝜃 ⅆ𝜃 tan 𝜃 ⅆ𝜃 cosec 𝜃 ⅆ𝜃 sec 𝜃 ⅆ𝜃 cot 𝜃 ⅆ𝜃 Where 𝜃 is a function of x put 𝑧 = 𝜃
  • 14.
    INTEGRALS • sin 𝑥 𝑥 ⅆ𝑥 • cot log𝑥 𝑥 ⅆ𝑥 • 𝑒𝑥 1+𝑥 cos−1 𝑥𝑒𝑥 ⅆ𝑥
  • 15.
    INTEGRALS • When integrandis the product of two functions & one of them is a function of a function 𝜙 𝑥 & other is 𝑘𝜙′ 𝑥 , where k is a constant , then put = 𝜙 𝑥 • In other words , If integrand is the form • 𝑘𝜙 𝑥 𝜙′ 𝑥 then put = 𝜙 𝑥 • Thus if an expression is occurred in the integrand where d. c. is a factor of the integrand and the integrand after leaving this d.c. of become an integrable function of • then put = 𝜙 𝑥 • 2 + sin 3𝑥 cos 3𝑥 ⅆ𝑥 • sin 2𝑥 𝑎2+𝑏2 sin2 𝑥 ⅆ𝑥 • 1+log 𝑥 2 𝑥 ⅆ𝑥 • 𝑥5 1+𝑥3 ⅆ𝑥 • sin 𝑥 𝑎+𝑏 cos 𝑥 ⅆ𝑥 • 𝑥2 𝑥2+1 ⅆ𝑥 • 𝑥2 𝑥+2 ⅆ𝑥
  • 16.
    INTEGRALS • 𝑥 cos2 𝑥ⅆ𝑥 • sin 𝑥 ⅆ𝑥 • cos 𝑥 ⅆ𝑥 • sin log 𝑥 ⅆ𝑥 • 𝑥𝑛 log 𝑥 ⅆ𝑥 • log 𝑥 2 ⅆ𝑥 • 𝑥2 + 𝑎2 ⅆ𝑥 • 𝑒𝑎𝑥 sin 𝑏𝑥 ⅆ𝑥 • 𝑥 sec2 2𝑥 ⅆ𝑥 • 𝑥2 log 𝑥 2 ⅆ𝑥 • 𝑥 sin2 𝑥 ⅆ𝑥 • 𝑥 log 𝑥 2 ⅆ𝑥 • 𝑥2 sin 2𝑥 ⅆ𝑥 • 𝑥2 𝑒3𝑥 ⅆ𝑥 • 𝑥2 log 𝑥 ⅆ𝑥 • 𝑒−𝑥 sin 𝑥 ⅆ𝑥
  • 17.
    INTEGRALS Integration of algebraicfunction 𝑖 𝑎𝑥 + 𝑏 𝑛 ⅆ𝑥 𝑖𝑖 1 1+𝑥2 ⅆ𝑥 𝑖𝑖𝑖 1 1−𝑥2 ⅆ𝑥 𝑖𝑣 1 𝑥 𝑥2−1 ⅆ𝑥
  • 18.
    INTEGRALS Integrals of functionswhich can be reduced to the form sin 𝜃 , cos 𝜃 , tan 𝜃 cosec 𝜃 , sec 𝜃 , cot 𝜃 Where 𝜃 is a linear expression in 𝑥
  • 19.
    INTEGRALS (iv) cosec 𝑥ⅆ𝑥 = log cosec 𝑥 − cot 𝑥 + 𝐶 = log tan 𝑥 2 + 𝐶 (iii) 𝐬𝐞𝐜 𝒙 𝒅𝒙 = 𝐥𝐨𝐠 𝐬𝐞𝐜 𝒙 + 𝐭𝐚𝐧 𝒙 + 𝑪 = 𝒍𝒐𝒈 𝒕𝒂𝒏 𝝅 𝟒 + 𝒙 𝟐 + 𝑪 Put sec 𝑥 + tan 𝑥 = 𝑧 then ⅆ𝑧 = sec 𝑥 tan 𝑥 + sec2 𝑥 ⅆ𝑥 = ⅆ𝑧 = sec 𝑥 sec 𝑥 + tan 𝑥 ⅆ𝑥 sec 𝑥 ⅆ𝑥 = sec 𝑥 sec 𝑥+tan 𝑥 sec 𝑥+tan 𝑥 ⅆ𝑥 = 𝑑𝑧 𝑧 = log 𝑧 = log sec 𝑥 + tan 𝑥 + 𝐶 sec 𝑥 + tan 𝑥 = 1 cos 𝑥 + sin 𝑥 cos 𝑥 = 1+sin 𝑥 cos 𝑥 = sin2 𝑥+cos2 𝑥+2 sin 𝑥 cos 𝑥 cos2 2−sin2 𝑥 Value of 𝐬𝐞𝐜 𝒙 𝒅𝒙 in another form = cos 𝑥+sin 𝑥 cos 𝑥−sin 𝑥 = 1+tan 𝑥 2 1−tan 𝑥 2 = tan 𝜋 4 +tan 𝑥 2 tan 𝜋 4 −tan 𝑥 2 = tan 𝜋 4 + 𝑥 2 (iv) 𝐜𝐨𝐬𝐞𝐜 𝒙 𝒅𝒙 = 𝐥𝐨𝐠 𝐜𝐨𝐬𝐞𝐜 𝒙 − 𝐜𝐨𝐭 𝒙 + 𝑪 = 𝒍𝒐𝒈 𝐭𝐚𝐧 𝒙 𝟐 + 𝑪 cosec 𝒙 𝒅𝒙 = cosec 𝒙 cosec 𝒙−cot 𝒙 cosec 𝑥−cot 𝒙 𝒅𝒙 Let 𝑧 = cosec 𝑥 − cot 𝑥 then ⅆ𝑧 = − cosec 𝑥 cot 𝑥 + csc2 𝑥 ⅆ𝑥 = cosec 𝑥 cosec 𝑥 − cot 𝑥 ⅆ𝑥 = 𝑑𝑧 𝑧 = log 𝑧 = 𝐥𝐨𝐠 𝐜𝐨𝐬𝐞𝐜 𝒙 − 𝐜𝐨𝐭 𝒙 + 𝑪 Value 𝐜𝐨𝐬𝐞𝐜 𝒙 𝒅𝒙 in another form cosec 𝑥 − cot 𝑥 = 1 sin 𝑥 − cos 𝑥 sin 𝑥 = 1−cos 𝑥 sin 𝑥 = 2 sin2𝑥 2 2 sin 𝑥 2 cos 𝑥 2 = tan 𝑥 2 = 𝒍𝒐𝒈 𝐭𝐚𝐧 𝒙 𝟐 + 𝑪
  • 20.
    INTEGRALS • Integral ofthe form 1 ± sin 𝑥 ⅆ𝑥 𝑑𝑥 1±sin 𝑥 𝑑𝑥 1±sin 𝑥 Change sin 𝑥 into cos 𝜋 2 − 𝑥 • Integral of the form 𝑑𝑥 1±sin 𝑥 can also be evaluated by multiplying and dividing by 1 ∓ sin 𝑥 respectively.
  • 21.
    INTEGRALS Evaluate 𝑖 sin3 𝑥ⅆ𝑥 𝑖𝑖 cos4 𝑥 ⅆ𝑥 𝑖𝑖𝑖 1 + sin 𝑥 ⅆ𝑥 𝑖𝑣 1 + sin 𝑥 2 ⅆ𝑥 𝑣 𝑑𝑥 1+sin 𝑥 𝑣𝑖 sin 𝑥 1+sin 𝑥 ⅆ𝑥 𝑣𝑖𝑖 1 + 2 tan 𝑥 tan 𝑥 + sec 𝑥 ⅆ𝑥
  • 22.
    INTEGRALS 𝑣 Find thevalue of a and b. 𝑑𝑥 1+sin 𝑥 = tan 𝑥 2 + 𝑎 + 𝑏
  • 23.
    INTEGRALS • Integration ofExponential Function Express 𝑎𝑚𝑥+𝑛 𝑎𝑠 𝑏𝑒𝑘𝑥 and then find the integral 𝑎𝑥 = 𝑒𝑥 log 𝑎 = 𝑒log 𝑎𝑥 𝑒𝑘𝑥 ⅆ𝑥 = 𝑒𝑘𝑥 𝑘 Example 𝑎3𝑥+3 ⅆ𝑥 = 𝑎3 𝑎3𝑥 ⅆ𝑥
  • 24.
    INTEGRALS Integration of thealgebraic function which are in the form 𝑖 𝑃 𝑥 𝑎𝑥 + 𝑏 𝑛 ⅆ𝑥 where 𝑃 𝑥 is a polynomial in 𝑥 𝑎0𝑥𝑚 + 𝑎1𝑥𝑚−1 + … … + 𝑎𝑚𝑥0 𝑤ℎ𝑒𝑟𝑒 𝑚 𝑖𝑠 𝑎 𝑝𝑜𝑠𝑖𝑡𝑖𝑣𝑒 𝑖𝑛𝑡𝑒𝑔𝑒𝑟 𝑛 𝑖𝑠 𝑎 𝑝𝑜𝑠𝑖𝑡𝑖𝑣𝑒 𝑟𝑎𝑡𝑖𝑜𝑛𝑎𝑙 𝑛𝑢𝑚𝑏𝑒𝑟 Put 𝑎𝑥 + 𝑏 = 𝑧 𝑖𝑖 𝑃 𝑥 𝑎𝑥+𝑏 𝑛 ⅆ𝑥 where 𝑃 𝑥 is a polynomial in 𝑥 𝑎0𝑥𝑚 + 𝑎1𝑥𝑚−1 + … … + 𝑎𝑚𝑥0 𝑤ℎ𝑒𝑟𝑒 𝑚 𝑖𝑠 𝑎 𝑝𝑜𝑠𝑖𝑡𝑖𝑣𝑒 𝑖𝑛𝑡𝑒𝑔𝑒𝑟 𝑛 𝑖𝑠 𝑎 𝑝𝑜𝑠𝑖𝑡𝑖𝑣𝑒 𝑟𝑎𝑡𝑖𝑜𝑛𝑎𝑙 𝑛𝑢𝑚𝑏𝑒𝑟 Put 𝑎𝑥 + 𝑏 = 𝑧
  • 25.
    INTEGRALS 𝑖 𝑥2+3𝑥−1 𝑥+1 2 ⅆ𝑥put 𝑥 + 1 = 𝑧 𝑖𝑖 𝑥2 𝑎+𝑏𝑥 ⅆ𝑥 𝑖𝑖𝑖 𝑥6 𝑥−1 ⅆ𝑥 𝑖𝑣 𝑥 1 − 𝑥 23 ⅆ𝑥 𝑣 𝑥6 𝑥−1 ⅆ𝑥
  • 26.
    INTEGRALS If sin 2𝑥+ cos 2𝑥 ⅆ𝑥 = 1 2 sin 2𝑥 − 𝑐 + 𝑎. Find the value of a & c.
  • 27.
    INTEGRALS Example 𝑖 𝑥2 𝑎𝑥+ 𝑏 ⅆ𝑥 𝑖𝑖 𝑥+2 𝑥+1 2 ⅆ𝑥 𝑖𝑖𝑖 𝑥2 𝑎+𝑏𝑥 2 ⅆ𝑥 𝑖𝑣 2𝑥−1 𝑥−1 2 ⅆ𝑥 𝑣 𝑥2 1−𝑥 ⅆ𝑥 𝑣𝑖 𝑥2 1+𝑥 ⅆ𝑥
  • 28.
    INTEGRALS • Integration ofthe form 𝐬𝐢𝐧𝒎 𝒎 𝐜𝐨𝐬𝒏 𝒏 𝒅𝒙 (i) If power of sin 𝑥 is odd positive integer put 𝑧 = cos 𝑥 (ii) If power of cos 𝑥 is odd positive integer put 𝑧 = sin 𝑥 (iii) If power of both sin 𝑥 and cos 𝑥 are odd positive integers put 𝑧 = sin 𝑥 or 𝑧 = cos 𝑥 (iv) If power of neither cos 𝑥 𝑛𝑜𝑟 sin 𝑥 is odd positive integer , see the sum of power of sin 𝑥 & cos 𝑥 𝑎 If the sum of powers 𝑚 + 𝑛 is even negative integer put 𝑧 = tan 𝑥 𝑏 If the sum of powers 𝑚 + 𝑛 is even positive integer & m , n are integers Express the integrand as the algebraic sum of sin𝑒 𝑥 & cosine 𝑥 of multiple angle. Use the following formula whichever is needed sin2 𝑥 = 1−cos 2𝑥 2 cos2 𝑥 = 1+cos 2𝑥 2 sin3 𝑥 = 3 sin 𝑥−sin 3𝑥 4 cos3 𝑥 = 3 cos 𝑥+cos 3𝑥 4 2 sin 𝑥 cos 𝑥 = sin 2𝑥
  • 29.
    INTEGRALS • Demoivre’s Theorem Ifn is appositive integer then cos 𝜃 + 𝑖 sin 𝜃 𝑛 = cos 𝑛𝜃 + 𝑖 sin 𝑛𝜃 Let 𝑧 = cos 𝜃 + 𝑖 sin 𝜃 1 𝑧 = 1 cos 𝜃+𝑖 sin 𝜃 = cos 𝜃 − 𝑖 sin 𝜃 cos 𝜃 = 1 𝑧 𝑧 + 1 𝑧 cos 𝜃 = 1 2𝑖 𝑧 − 1 𝑧 𝑧𝑛 = cos 𝑥 + 𝑖 sin 𝑥 𝑛 = cos 𝑛𝑥 + 𝑖 sin 𝑛𝑥 1 𝑧𝑛 = cos 𝑥 − 𝑖 sin 𝑥 𝑛 = cos 𝑛𝑥 − 𝑖 sin 𝑛𝑥 𝑧𝑛 + 1 𝑧𝑛 = 2cos 𝑛𝑥 𝑧𝑛 − 1 𝑧𝑛 = 2𝑖 sin 𝑛𝑥 If sum of powers of sin 𝑥 & cos 𝑥 is odd & negative & powers of both sin 𝑥 & cos 𝑥 are integers , then multiply by suitable power of sin2 𝑥 + cos2 𝑥 .
  • 30.
    INTEGRALS Examole 𝑖 cos3 𝑥sin 𝑥 ⅆ𝑥 𝑖𝑖 sin3 𝑥 cos3 𝑥 ⅆ𝑥 𝑖𝑖𝑖 sin5 𝑥 ⅆ𝑥 𝑖𝑣 𝑑𝑥 sin 𝑥 cos3 𝑥 𝑣 cos4 𝑥 ⅆ𝑥 𝑣𝑖 sin4 𝑥 cos2 𝑥 ⅆ𝑥 𝑣𝑖𝑖 sin2 𝑥 cos5 𝑥 ⅆ𝑥
  • 31.
    INTEGRALS • Integration ofthe form 𝐭𝐚𝐧𝒎 𝒙 𝐬𝐞𝐜𝒏 𝒙 𝒅𝒙 𝑖 If the power of sec 𝑥 is even positive integer put 𝑧 = tan 𝑥 𝑖𝑖 If the power of sec 𝑥 is not even positive integer then see power of tan 𝑥 𝑎 If the power of tan 𝑥 is odd positive integer put 𝑧 = sec 𝑥 𝑏 If the power of tan 𝑥 is even +ve integer , then put sec2 𝑥 − 1 𝑖𝑛 𝑝𝑙𝑎𝑐𝑒 𝑜𝑓 tan2 𝑥 & then substitute 𝑧 = tan 𝑥 𝑖𝑖𝑖 If the power of tan 𝑥 is zero & power of sec 𝑥 odd positive integer greater than 1 , then method of integration by part is used.
  • 32.
    INTEGRALS • Reduction formulafor 𝐭𝐚𝐧𝒏 𝒙 𝒅𝒙 tan𝑛 𝑥 ⅆ𝑥 = tan𝑛−2 𝑥 tan2 𝑥 ⅆ𝑥 = tan𝑛−2 𝑥 sec2 𝑥 − 1 ⅆ𝑥 = tan𝑛−2 𝑥 sec2 𝑥 ⅆ𝑥 − tan𝑛−2 𝑥 ⅆ𝑥 = tan𝑛−1 𝑥 𝑛−1 − tan𝑛−2 𝑥 ⅆ𝑥 • Reduction formula for 𝐭𝐚𝐧𝒏 𝒙 𝒅𝒙 tan𝑛 𝑥 ⅆ𝑥 = tan𝑛−2 𝑥 tan2 𝑥 ⅆ𝑥 = tan𝑛−2 𝑥 sec2 𝑥 − 1 ⅆ𝑥 = tan𝑛−2 𝑥 sec2 𝑥 ⅆ𝑥 − tan𝑛−2 𝑥 ⅆ𝑥 = tan𝑛−1 𝑥 𝑛−1 − tan𝑛−2 𝑥 ⅆ𝑥 Which is the required reduction formula.
  • 33.
    INTEGRALS 𝑖 sec3 𝑥ⅆ𝑥 𝑖𝑖 sec5 𝑥 ⅆ𝑥 𝑖𝑖𝑖 tan𝑛 𝑥 sec2 𝑥 ⅆ𝑥 𝑖𝑣 tan2 𝑥 sec4 𝑥 ⅆ𝑥 𝑣 tan3 𝑥 ⅆ𝑥 𝑣𝑖 tan 𝑥 ⅆ𝑥 𝑣𝑖𝑖 tan2 𝑥 ⅆ𝑥 𝑣𝑖𝑖𝑖 tan4 𝑥 ⅆ𝑥 𝑖𝑥 tan6 𝑥 ⅆ𝑥 𝑥 tan3 2𝑥 sec 2𝑥 𝑥 ⅆ𝑥
  • 34.
    INTEGRALS • Integration ofthe form cot𝒎 𝒙 cosec𝒏 𝒙 𝒅𝒙 𝑖 If the power of cosec 𝑥 is the even positive integer put 𝑧 = cot 𝑥 𝑖𝑖 If the power of cosec 𝑥 is not even positive integer , then see power of cot 𝑥 𝑎 If the power of cot 𝑥 is odd positive integer, put 𝑧 = cosec 𝑥 𝑏 If the power of cot 𝑥 is even positive integer put cosec2 𝑥 − 1 𝑖𝑛 𝑝𝑙𝑎𝑐𝑒 𝑜𝑓 cot2 𝑥& the substitute 𝑧 = cot 𝑥 𝑖𝑖𝑖 If the power of cot 𝑥 is zero & power of cosec 𝑥 odd positive integer greater than 1 , then method of integration by part is used.
  • 35.
    INTEGRALS • Reduction formulafor cot𝒏 𝒙 𝒅𝒙 • cot𝑛 𝑥 ⅆ𝑥 = cot𝑛−2 𝑥 cot2 𝑥 ⅆ𝑥 • = cot𝑛−2 𝑥 cosec2 𝑥 − 1 ⅆ𝑥 • = cot𝑛−2 𝑥 cosec2 𝑥 ⅆ𝑥 − cot𝑛−2 𝑥 ⅆ𝑥 = cot𝑛−1 𝑥 𝑛−1 − cot𝑛−2 𝑥 ⅆ𝑥 • Reduction formula for cot𝒏 𝒙 𝒅𝒙 • cot𝑛 𝑥 ⅆ𝑥 = cot𝑛−2 𝑥 cot2 𝑥 ⅆ𝑥 • = cot𝑛−2 𝑥 cosec2 𝑥 − 1 ⅆ𝑥 • = cot𝑛−2 𝑥 cosec2 𝑥 ⅆ𝑥 − cot𝑛−2 𝑥 ⅆ𝑥 = cot𝑛−1 𝑥 𝑛−1 − cot𝑛−2 𝑥 ⅆ𝑥 Which is the required reduction formula.
  • 36.
    INTEGRALS Find 𝑖 cesec3 𝑥ⅆ𝑥 𝑖𝑖 cesec5 𝑥 ⅆ𝑥 𝑖𝑖𝑖 cesec𝑛 𝑥 cot 𝑥 ⅆ𝑥 𝑖𝑣 cesec4 𝑥 ⅆ𝑥 𝑣 cesec4 𝑥 cot2 𝑥 ⅆ𝑥
  • 37.
    INTEGRALS 2 Integration usingtrigonometric identities When the integrand involves some trigonometric functions, we use some known identities to find the integral sin 𝑘𝑥 ⅆ𝑥 cos 𝑘𝑥 ⅆ𝑥 sec 𝑘𝑥 tan 𝑘𝑥 ⅆ𝑥 sec2 𝑘𝑥 ⅆ𝑥 cosec2 𝑘𝑥 ⅆ𝑥 cosec 𝑘𝑥 cot 𝑘𝑥 ⅆ𝑥
  • 38.
    INTEGRALS #Use the formulawhichever re applicable sin2 𝑥 = 1−cos 2𝑥 2 cos2 𝑥 = 1+cos 2𝑥 2 tan2 𝑥 = sec2 𝑥 − 1 cot2 𝑥 = cosec2 𝑥 − 1 sin3 𝑥 = 3 sin 𝑥−sin 3𝑥 4 cos3 𝑥 = 3 cos 𝑥+cos 3𝑥 4
  • 39.
    INTEGRALS 𝑥2 + 𝑎2ⅆ𝑥 = 𝑥 𝑥2+𝑎2 2 + 𝑎2 2 log 𝑥 + 𝑥2 + 𝑎2 + 𝐶 Put 𝑥 = 𝑎 tan 𝜃 𝑜𝑟 𝑎 cot 𝜃 𝑥2 + 𝑎2 ⅆ𝑥 = 𝑥 𝑥2+𝑎2 2 + 𝑎2 2 log 𝑥 + 𝑥2 + 𝑎2 + 𝐶 Put 𝑥 = 𝑎 tan 𝜃 𝑜𝑟 𝑎 cot 𝜃 • 𝑥2 − 𝑎2 ⅆ𝑥 = 𝑥 𝑥2−𝑎2 2 − 𝑎2 2 log 𝑥 + 𝑥2 − 𝑎2 + 𝐶 • Put 𝑥 = 𝑎 sec 𝜃 or 𝑎 csc 𝜃 • 𝑎2 − 𝑥2 ⅆ𝑥 = 𝑥 𝑎2−𝑥2 2 + 𝑎2 2 sin−1 𝑥 𝑎 + 𝐶 • Put 𝑥 = 𝑎 sin 𝜃 𝑜𝑟 𝑎 cos 𝜃 • 𝑎−𝑥 𝑎+𝑥 ⅆ𝑥 or 𝑎+𝑥 𝑎−𝑥 ⅆ𝑥 • put 𝑥 = 𝑎 cos 2𝜃 • 𝑥 𝑎−𝑥 ⅆ𝑥 or 𝑎−𝑥 𝑥 ⅆ𝑥 • put 𝑥 = 𝑎 sin2 𝜃 𝑜𝑟 𝑎 cos2 𝜃 𝑥2 − 𝑎2 ⅆ𝑥 = 𝑥 𝑥2−𝑎2 2 − 𝑎2 2 log 𝑥 + 𝑥2 − 𝑎2 + 𝐶 Put 𝑥 = 𝑎 sec 𝜃 or 𝑎 cosec 𝜃 𝑎2 − 𝑥2 ⅆ𝑥 = 𝑥 𝑎2−𝑥2 2 + 𝑎2 2 sin−1 𝑥 𝑎 + 𝐶 Put 𝑥 = 𝑎 sin 𝜃 𝑜𝑟 𝑎 cos 𝜃 𝑎−𝑥 𝑎+𝑥 ⅆ𝑥 or 𝑎+𝑥 𝑎−𝑥 ⅆ𝑥 put 𝑥 = 𝑎 cos 2𝜃 𝑥 𝑎−𝑥 ⅆ𝑥 or 𝑎−𝑥 𝑥 ⅆ𝑥 put 𝑥 = 𝑎 sin2 𝜃 𝑜𝑟 𝑎 cos2 𝜃 𝑥 𝑎+𝑥 ⅆ𝑥 or 𝑎+𝑥 𝑥 ⅆ𝑥 put 𝑥 = 𝑎 tan2 𝜃 𝑜𝑟 𝑎 cot2 𝜃 𝑎−𝑥 𝑥−𝑏 ⅆ𝑥 or 𝑥−𝑏 𝑎−𝑥 ⅆ𝑥 put 𝑥 = 𝑎 sin2 𝜃 + 𝑎 cos2 𝜃
  • 40.
    INTEGRALS 𝑎 − 𝑥𝑥 − 𝑏 ⅆ𝑥 put 𝑥 = 𝑎 sin2 𝜃 + 𝑎 cos2 𝜃
  • 41.
    INTEGRALS If 𝑦 = 𝑑𝑥 1+𝑥2 3 2 &𝑦 = 0 , 𝑤ℎ𝑒𝑛 𝑥 = 0 Find the value of 𝑦 when 𝑥 = 1. 1 − 𝑥2 ⅆ𝑥 1+𝑥2 1−𝑥2 ⅆ𝑥 1+𝑥 1+𝑥2 ⅆ𝑥
  • 42.
    INTEGRALS • (11) Forthe evaluation of the integral of the type 𝒑𝒙 + 𝒒 𝒂𝟐 + 𝒃𝒙 + 𝒄 𝒅𝒙, where 𝑝 , 𝑞 , 𝑎 , 𝑏 , 𝑐 are constants, we are to find real numbers 𝐴 , 𝐵 such that 𝑝𝑥 + 𝑞 = 𝐴 𝑑 𝑑𝑥 𝒂𝟐 + 𝒃𝒙 + +𝑐 + 𝐵 = 𝐴 2𝑎𝑥 + 𝑏 + 𝐵 To determine 𝐴 and 𝐵, we equate from both sides the coefficients of 𝑥 and the constant terms. 𝐴 and 𝐵 are thus obtained and hence the integral is reduced to one of the known forms
  • 43.
    INTEGRALS • (12) Forthe evaluation of the integral of the type 𝒑𝒙+𝒒 𝒂𝟐+𝒃𝒙+𝒄 𝒅𝒙 , where 𝑝 , 𝑞 , 𝑎 , 𝑏 , 𝑐 are constants, we are to find real numbers 𝐴 , 𝐵 such that 𝑝𝑥 + 𝑞 = 𝐴 𝑑 𝑑𝑥 𝒂𝟐 + 𝒃𝒙 + +𝑐 + 𝐵 = 𝐴 2𝑎𝑥 + 𝑏 + 𝐵 To determine 𝐴 and 𝐵, we equate from both sides the coefficients of 𝑥 and the constant terms. 𝐴 and 𝐵 are thus obtained and hence the integral is reduced to one of the known forms
  • 44.
    INTEGRALS (13) To findthe integral of the type 𝒑𝒙𝟐+𝒒𝒙+𝒓 𝒂𝒙𝟐+𝒃𝒙+𝒄 𝒅𝒙 , • 𝒑𝒙𝟐 + 𝒒𝒙 + 𝒓 = 𝑨 𝒂𝒙𝟐 + 𝒃𝒙 + 𝒄 + 𝑩 𝟐𝒂𝒙 + 𝒃 + 𝑪 • & find A , B & C
  • 45.
    INTEGRALS • (14) Tofind the integral of the type 𝟏 𝑿 𝒀 𝒅𝒙 Where X and Y are linear or quadratic expressions in x. X Y Substitution Linear Linear 𝑧2 = 𝑌 Quadratic linear 𝑧2 = 𝑌 Linear Quadratic 𝑧 = 1 𝑋 Quadratic Quadratic 𝑧2 = 𝑌 𝑋 𝑜𝑟 𝑧 = 1 𝑋
  • 46.
    INTEGRALS • (15) Integralof the form 𝑖 𝒙 ± 𝒂𝟐 + 𝒙𝟐 𝒏 𝒅𝒙 𝑖𝑖 𝒅𝒙 𝒙± 𝒂𝟐+𝒙𝟐 𝒏 𝑖𝑖𝑖 𝒙± 𝒂𝟐+𝒙𝟐 𝒏 𝒂𝟐+𝒙𝟐 𝒅𝒙 Where n is a positive rational number and 𝑛 ≠ ±1. Put 𝑧 = 𝒙 ± 𝒂𝟐 + 𝒙𝟐
  • 47.
    INTEGRALS • (16) Integralof the Form 𝑖 𝒙𝒎 𝒂+𝒃𝒙 𝒑 𝒅𝒙 𝑚 being a positive integer Put 𝑧 = 𝑎 + 𝑏𝑥 𝑖𝑖 𝒅𝒙 𝒙𝒎 𝒂+𝒃𝒙 𝒑 where 𝑚 + 𝑝 = 𝑎𝑛 𝑖𝑛𝑡𝑒𝑔𝑒𝑟 > 1 Put 𝑧𝑥 = 𝑎 + 𝑏𝑥
  • 48.
    INTEGRALS • 17 𝒙𝒎 𝒂+ 𝒃𝒙𝒏 𝒑 𝒅𝒙 where 𝑚 , 𝑛 & 𝑝 are rational number Condition 𝑎 if 𝑝 is an integer > 0 , then Expand 𝒂 + 𝒃𝒙𝒏 𝒑 Condition 𝑏 if p is an integer < 0 then Put 𝑥 = 𝑧𝑘 , where k is common denominator 𝑚 , 𝑛 and 𝑝 Condition 𝑐 if 𝑚+1 𝑛 is an integer then Put 𝑎 + 𝑏𝑥𝑛 = 𝑧𝑘 , where 𝑘 = denominator in p. Condition ⅆ if 𝑚+1 𝑛 + 𝑝 is an integer then Put 𝑎 + 𝑏𝑥𝑛 = 𝑥𝑛𝑧𝑘 , where 𝑘 = denominator in p., or put 𝑥 = 1 𝑧
  • 49.
    INTEGRALS • (10) integralof the form • 𝑖 𝒅𝒙 𝒙−𝒂 𝒎 𝒙−𝒃 𝒏 where m and n are positive integer and 𝑎 ≠ 𝑏 • Put 𝑥 − 𝑎 = 𝑧 𝑥 − 𝑏 • 𝑖𝑖 𝑹 𝒙 , 𝒂𝒙 + 𝒃 𝜶 𝒏 𝒅𝒙 , where R stand for rational function • Put 𝑧𝑛 = 𝑎𝑥 + 𝑏 • 𝑖𝑖𝑖 𝑹 𝒙 , 𝒂𝒙 + 𝒃 𝜶 𝒏, 𝒂𝒙 + 𝒃 𝜷 𝒎 𝒅𝒙 , where R stand for rational function • Put 𝑧𝑝 = 𝑎𝑥 + 𝑏 , where 𝑝 = L.C.M. of m and n • 𝑖𝑣 𝑹 𝒙 , 𝒂𝒙+𝒃 𝒄𝒙+𝒅 𝜶 𝒏 𝒅𝒙 , where R stand for rational form • Put 𝑧𝑝 = 𝒂𝒙+𝒃 𝒄𝒙+𝒅
  • 50.
    INTEGRALS • Method ofSubstitution • 𝐴 If the integrand of the form sin 𝜃 ⅆ𝜃 cos 𝜃 ⅆ𝜃 tan 𝜃 ⅆ𝜃 cosec 𝜃 ⅆ𝜃 sec 𝜃 ⅆ𝜃 cot 𝜃 ⅆ𝜃 Where 𝜃 is a function of x put 𝑧 = 𝜃 𝐵 If d.c. of a function 𝑓 𝑥 occurs as a factor of the integrand and integrand after leaving this factor become an integrable function of 𝑓 𝑥 , 𝑝𝑢𝑡 𝑧 − 𝑓 𝑥 . 𝐶. 𝑖 𝑓′ 𝑥 𝑓 𝑥 ⅆ𝑥 = log 𝑓 𝑥 + 𝐶 𝑖𝑖 if the logarithmic or inverse circular function occurs in the numerator & its d.c., is a factor of the integand put it equal to 𝑧 . 𝑖𝑖𝑖 if the logarithmic or inverse circular function occurs in the numerator & its d.c., is a factor of the integand put it equal to z but if d.c. is not a factor of the integrand use integration by parts. 𝑖𝑣 if 𝑒𝑓 𝑥 occurs in the integrand put 𝑧 = 𝑓 𝑥
  • 51.
    INTEGRALS Evaluate 𝑖 tan 𝑥− 𝑥 5 tan6 𝑥 ⅆ𝑥 𝑖𝑖 cot log 𝑥 𝑥 ⅆ𝑥 𝑖𝑖𝑖 sec2 𝑥 tan 𝑥 sec2 𝑥+tan2 𝑥 ⅆ𝑥 𝑖𝑣 1 𝑥2 𝑥4+1 3 4 ⅆ𝑥 • Evaluate • tan 𝑥 − 𝑥 5 tan6 𝑥 ⅆ𝑥 • cot log 𝑥 𝑥 ⅆ𝑥 • sec2 𝑥 tan 𝑥 sec2 𝑥+tan2 𝑥 ⅆ𝑥 • 1 𝑥2 𝑥4+1 3 4 ⅆ𝑥
  • 52.
    INTEGRALS • Integral ofthe form 𝒊 𝒅𝒙 𝒂 cos𝟐 𝒙+𝟐𝒃 sin 𝒙 cos 𝑥 +𝒄 sin𝟐 𝒙 𝒊𝒊 𝒅𝒙 𝒂 cos𝟐 𝒙+𝒃 𝒊𝒊𝒊 𝒅𝒙 𝒂+𝒃 sin𝟐 𝒙 Divide numerator & denominator by cos2 𝑥 • Integral of the form 𝒊 𝒅𝒙 𝒂 cos 𝒙+𝟐𝒃 sin 𝒙+𝒄 𝒊𝒊 𝒅𝒙 𝒂+𝒃 cos 𝒙 𝒊𝒊𝒊 𝒅𝒙 𝒂+𝒃 sin 𝒙 Put sin 𝑥 = 2 tan 𝑥 2 1+tan2𝑥 2 & cos 𝑥 = 1−tan2𝑥 2 1+tan2𝑥 2 And then put 𝑧 = tan 𝑥 2
  • 53.
    INTEGRALS • Integral ofthe form 𝒊 𝒑 sin 𝒙+𝒒 cos 𝒙 asin 𝒙+𝒃 cos 𝒙 𝒅𝒙 𝒊𝒊 sin 𝒙 𝒂 cos 𝒙+𝒃 sin 𝒙 𝒅𝒙 𝒊𝒊𝒊 cos 𝒙 𝒂 cos 𝒙+𝒃 sin 𝒙 𝒅𝒙 Let 𝑁𝑢𝑚𝑒𝑟𝑎𝑡𝑜𝑟 = 𝐴 ⅆ𝑒𝑛𝑜𝑚𝑖𝑛𝑎𝑡𝑜𝑟 + 𝐵 ⅆ. 𝑐 . 𝑜𝑓 ⅆ𝑒𝑛𝑜𝑚𝑖𝑛𝑎𝑡𝑜𝑟 & then find A & B by equating the coefficient of sin 𝑥 & cos 𝑥
  • 54.
    INTEGRALS • Integral ofthe form 𝑖 sec2 𝑥 ± 𝑎 ⅆ𝑥 Write sec2 𝑥 ± 𝑎 = sec2 𝑥±𝑎 sec2 𝑥±𝑎 = sec2 𝑥 sec2 𝑥±𝑎 ± 𝑎 cos 𝑥 1±𝑎 cos2 𝑥 In 1st put 𝑧 = tan 𝑥 & in the 2nd integral put 𝑧 = sin 𝑥 𝑖𝑖 cosec2 𝑥 ± 𝑎 ⅆ𝑥 Write cosec2 𝑥 ± 𝑎 = cosec2 𝑥±𝑎 cosec2 𝑥±𝑎 = cosec2 𝑥 cosec2 𝑥±𝑎 ± 𝑎 sin 𝑥 1±𝑎 sin2 𝑥 In 1st put 𝑧 = cot 𝑥 & in the 2nd integral put 𝑧 = cos 𝑥 • Integral of the form 𝑖 sec2 𝑥 ± 𝑎 ⅆ𝑥 Write sec2 𝑥 ± 𝑎 = sec2 𝑥±𝑎 sec2 𝑥±𝑎 = sec2 𝑥 sec2 𝑥±𝑎 ± 𝑎 cos 𝑥 1±𝑎 cos2 𝑥 In 1st put 𝑧 = tan 𝑥 & in the 2nd integral put 𝑧 = sin 𝑥 𝑖𝑖 cosec2 𝑥 ± 𝑎 ⅆ𝑥 Write cosec2 𝑥 ± 𝑎 = cosec2 𝑥±𝑎 cosec2 𝑥±𝑎 = cosec2 𝑥 cosec2 𝑥±𝑎 ± 𝑎 sin 𝑥 1±𝑎 sin2 𝑥 In 1st put 𝑧 = cot 𝑥 & in the 2nd integral put 𝑧 = cos 𝑥
  • 55.
    INTEGRALS 𝑖𝑖𝑖 tan2 𝑥± 𝑎 ⅆ𝑥 tan2 𝑥 = sec2 𝑥 − 1 Write tan2 𝑥 ± 𝑎 = sec2 𝑥±𝑎 sec2 𝑥±𝑎 = sec2 𝑥 sec2 𝑥±𝑎 ± 𝑎 cos 𝑥 1±𝑎 cos2 𝑥 In 1st put 𝑧 = tan 𝑥 & in the 2nd integral put 𝑧 = sin 𝑥 𝑖𝑣 cot2 𝑥 ± 𝑎 ⅆ𝑥 cot2 𝑥 = cosec2 𝑥 − 1 Write cot2 𝑥 ± 𝑎 = cosec2 𝑥±𝑎 cosec2 𝑥±𝑎 = cosec2 𝑥 cosec2 𝑥±𝑎 ± 𝑎 sin 𝑥 1±𝑎 sin2 𝑥 In 1st put 𝑧 = cot 𝑥 & in the 2nd integral put 𝑧 = cos 𝑥
  • 56.
    INTEGRALS 𝑖 sin 𝑥 𝑥 ⅆ𝑥 𝑖𝑖 cot log𝑥 𝑥 ⅆ𝑥 𝑖𝑖𝑖 𝑒𝑥 1+𝑥 cos−1 𝑥𝑒𝑥 ⅆ𝑥 𝑖𝑣 𝑥 tan−1 𝑥2 1+𝑥4 ⅆ𝑥 𝑣 𝑑𝑥 𝑥2 𝑥4+1 3 4
  • 57.
    INTEGRALS If 4𝑒𝑥+6𝑒−𝑥 9𝑒𝑥−4𝑒−𝑥 ⅆ𝑥= 𝐴𝑥 + 𝐵 log𝑒 9𝑒2𝑥 − 4 + 𝐶 . Find the value of A , B & C. 𝑖 sin 𝑥 𝑥 ⅆ𝑥 𝑖𝑖 cot log 𝑥 𝑥 ⅆ𝑥 𝑖𝑖𝑖 𝑒𝑥 1+𝑥 cos−1 𝑥𝑒𝑥 ⅆ𝑥 𝑖𝑣 𝑥 tan−1 𝑥2 1+𝑥4 ⅆ𝑥 𝑣 𝑑𝑥 𝑥2 𝑥4+1 3 4 If 𝑖𝑣 4𝑒𝑥+6𝑒−𝑥 9𝑒𝑥−4𝑒−𝑥 ⅆ𝑥 = 𝐴𝑥 + 𝐵 log𝑒 9𝑒2𝑥 − 4 + 𝐶 . Find the value of A , B & C. 𝑖𝑣 sin 2𝑥 𝑎2+𝑏2 sin2 𝑥 ⅆ𝑥 𝑖𝑣 𝑥 𝑥2+2 1 3 ⅆ𝑥 𝑖𝑣 tan 𝑥 + cot 𝑥 ⅆ𝑥 𝑖𝑣 tan 𝑥 ⅆ 𝑖𝑣 cot 𝑥 ⅆ𝑥
  • 58.
    INTEGRALS 𝑖 sin 2𝑥 𝑎2+𝑏2 sin2𝑥 ⅆ𝑥 𝑖𝑖 𝑥 𝑥2+2 1 3 ⅆ𝑥 𝑖𝑖𝑖 tan 𝑥 + cot 𝑥 ⅆ𝑥 𝑖𝑣 tan 𝑥 ⅆ𝑥 𝑣 cot 𝑥 ⅆ𝑥
  • 59.
    INTEGRALS When integrand isthe product of two functions & one of them is a function of a function 𝜙 𝑥 & other is 𝑘𝜙′ 𝑥 , where k is a constant , then put 𝑧 = 𝜙 𝑥 In other words , If integrand is the form 𝑘𝑓 𝜙 𝑥 𝜙′ 𝑥 then put 𝑧 = 𝜙 𝑥 Thus if an expression 𝜙 𝑥 is occurs in the integrand whose d. c. is a factor of the integrand and the integrand after leaving this d .c . of 𝜙 𝑥 become an integrable function of 𝜙 𝑥 then put z = 𝜙 𝑥
  • 60.
    INTEGRALS 𝑖 2 +sin 3𝑥 cos 3𝑥 ⅆ𝑥 𝑖𝑖 sin 2𝑥 𝑎2+𝑏2 sin2 𝑥 ⅆ𝑥 𝑖𝑖𝑖 1+log 𝑥 2 𝑥 ⅆ𝑥 𝑖𝑣 𝑥5 1+𝑥3 ⅆ𝑥 𝑣 sin 𝑥 𝑎+𝑏 cos 𝑥 ⅆ𝑥 𝑣𝑖 𝑥2 𝑥3+1 ⅆ𝑥 𝑣𝑖𝑖 𝑥2 𝑥+2 ⅆ𝑥 𝑣𝑖𝑖𝑖 𝑥 𝑥+2 ⅆ𝑥
  • 61.
    INTEGRALS 𝑑𝑥 𝑥 𝑥𝑛+1 Put 𝑧= 𝑥𝑛 + 1 ⅆ𝑧 = 𝑥 𝑑𝑥 𝑥2−𝑎2 𝑥2−𝑏2 Put 𝑧 = 𝑥2 ⅆ𝑧 = 2𝑥ⅆ𝑥
  • 62.
    INTEGRALS 𝑖 𝑥 cos2 𝑥ⅆ𝑥 𝑖𝑖 sin 𝑥 ⅆ𝑥 𝑖𝑖𝑖 cos 𝑥 ⅆ𝑥 𝑖𝑣 sin log 𝑥 ⅆ𝑥 𝑣 𝑥𝑛 log 𝑥 ⅆ𝑥 𝑣𝑖 log 𝑥 2 ⅆ𝑥 𝑣𝑖𝑖 𝑥2 + 𝑎2 ⅆ𝑥 𝑣𝑖𝑖𝑖 𝑒𝑎𝑥 sin 𝑏𝑥 ⅆ𝑥 𝑖𝑥 𝑥 sec2 2𝑥 ⅆ𝑥 𝑥 𝑥2 log 𝑥 2 ⅆ𝑥 𝑥𝑖 𝑥 sin2 𝑥 ⅆ𝑥 𝑥𝑖𝑖 𝑥 log 𝑥 2 ⅆ𝑥 𝑥𝑖𝑖𝑖 𝑥2 sin 2𝑥 ⅆ𝑥 𝑥𝑖𝑣 𝑥2𝑒3𝑥 ⅆ𝑥 𝑥𝑣 𝑥2 log 𝑥 ⅆ𝑥 𝑥𝑣𝑖 𝑒−𝑥 sin 𝑥 ⅆ𝑥 𝑥𝑣𝑖𝑖 𝑥+sin 𝑥 1+cos 𝑥 ⅆ𝑥