The Argand Diagram
The Argand Diagram
Complex numbers can be represented geometrically on an Argand
Diagram.
The Argand Diagram
Complex numbers can be represented geometrically on an Argand
Diagram.                   y
                           3
                           2
                           1

              -4 -3 -2 -1       1   2   3 4 x
                         -1
                         -2
                         -3
The Argand Diagram
Complex numbers can be represented geometrically on an Argand
Diagram.                   y
                           3
                           2
                           1

              -4 -3 -2 -1       1   2   3 4 x (real axis)
                         -1
                         -2
                         -3
The Argand Diagram
Complex numbers can be represented geometrically on an Argand
Diagram.                   y (imaginary axis)
                           3
                           2
                           1

              -4 -3 -2 -1       1   2   3 4 x (real axis)
                         -1
                         -2
                         -3
The Argand Diagram
Complex numbers can be represented geometrically on an Argand
Diagram.                   y (imaginary axis)
                           3
                           2
                           1

              -4 -3 -2 -1       1   2   3 4 x (real axis)
                         -1
A=2                      -2
                         -3
The Argand Diagram
Complex numbers can be represented geometrically on an Argand
Diagram.                   y (imaginary axis)
                           3
                           2
                           1
                                    A
             -4 -3 -2 -1        1 2 3 4 x (real axis)
                          -1
A=2                       -2
                          -3
The Argand Diagram
Complex numbers can be represented geometrically on an Argand
Diagram.                   y (imaginary axis)
                           3
                           2
                           1
                                    A
             -4 -3 -2 -1        1 2 3 4 x (real axis)
                          -1
A=2                       -2
B = -3i                   -3
The Argand Diagram
Complex numbers can be represented geometrically on an Argand
Diagram.                   y (imaginary axis)
                           3
                           2
                           1
                                    A
             -4 -3 -2 -1        1 2 3 4 x (real axis)
                          -1
A=2                       -2
B = -3i                   -3 B
The Argand Diagram
Complex numbers can be represented geometrically on an Argand
Diagram.                   y (imaginary axis)
                           3
                           2
                           1
                                    A
             -4 -3 -2 -1        1 2 3 4 x (real axis)
                          -1
A=2                       -2
B = -3i                   -3 B
C = -2 + i
The Argand Diagram
Complex numbers can be represented geometrically on an Argand
Diagram.                   y (imaginary axis)
                           3
                           2
                       C 1
                                    A
             -4 -3 -2 -1        1 2 3 4 x (real axis)
                          -1
A=2                       -2
B = -3i                   -3 B
C = -2 + i
The Argand Diagram
Complex numbers can be represented geometrically on an Argand
Diagram.                   y (imaginary axis)
                           3
                           2
                       C 1
                                    A
             -4 -3 -2 -1        1 2 3 4 x (real axis)
                          -1
A=2                       -2
B = -3i                   -3 B
C = -2 + i
D=4-i
The Argand Diagram
Complex numbers can be represented geometrically on an Argand
Diagram.                   y (imaginary axis)
                           3
                           2
                       C 1
                                    A
             -4 -3 -2 -1        1 2 3 4 x (real axis)
                          -1           D
A=2                       -2
B = -3i                   -3 B
C = -2 + i
D=4-i
The Argand Diagram
Complex numbers can be represented geometrically on an Argand
Diagram.                   y (imaginary axis)
                           3
                           2
                       C 1
                                    A
             -4 -3 -2 -1        1 2 3 4 x (real axis)
                          -1           D
A=2                       -2
B = -3i                   -3 B
C = -2 + i
D=4-i
E=4+i
The Argand Diagram
Complex numbers can be represented geometrically on an Argand
Diagram.                   y (imaginary axis)
                           3
                           2
                       C 1              E
                                    A
             -4 -3 -2 -1        1 2 3 4 x (real axis)
                          -1           D
A=2                       -2
B = -3i                   -3 B
C = -2 + i
D=4-i
E=4+i
The Argand Diagram
Complex numbers can be represented geometrically on an Argand
Diagram.                   y (imaginary axis)
                           3                    NOTE: Conjugates
                           2                    are reflected in the
                       C 1              E       real (x) axis
                                    A
             -4 -3 -2 -1        1 2 3 4 x (real axis)
                          -1           D
A=2                       -2
B = -3i                   -3 B
C = -2 + i
D=4-i
E=4+i
The Argand Diagram
Complex numbers can be represented geometrically on an Argand
Diagram.                   y (imaginary axis)
                           3                    NOTE: Conjugates
                           2                    are reflected in the
                       C 1              E       real (x) axis
                                    A
             -4 -3 -2 -1        1 2 3 4 x (real axis)
                          -1           D
A=2                       -2
B = -3i                   -3 B
C = -2 + i
D=4-i
E=4+i
           Every complex number can be represented by a unique
           point on the Argand Diagram.
Mod-Arg Form
y




O    x
Mod-Arg Form
         Modulus
         The modulus of a complex number is the
y        length of the vector OZ




O    x
Mod-Arg Form
                 Modulus
                 The modulus of a complex number is the
y                length of the vector OZ
    z = x + iy




O         x
Mod-Arg Form
                 Modulus
                 The modulus of a complex number is the
y                length of the vector OZ
    z = x + iy




O         x
Mod-Arg Form
                     Modulus
                     The modulus of a complex number is the
y                    length of the vector OZ
        z = x + iy

           y

O   x          x
Mod-Arg Form
                     Modulus
                     The modulus of a complex number is the
y                    length of the vector OZ
        z = x + iy
                               r 2  x2  y2
           y                    r  x2  y2

O   x          x
Mod-Arg Form
                        Modulus
                        The modulus of a complex number is the
y                       length of the vector OZ
           z = x + iy
                                  r 2  x2  y2
    r z
              y                    r  x2  y2

O      x          x
Mod-Arg Form
                        Modulus
                        The modulus of a complex number is the
y                       length of the vector OZ
           z = x + iy
                                  r 2  x2  y2
    r z
              y                    r  x2  y2
                                   z  x2  y2
O      x          x
Mod-Arg Form
                        Modulus
                        The modulus of a complex number is the
y                       length of the vector OZ
           z = x + iy
                                  r 2  x2  y2
    r z
              y                     r  x2  y2
                                    z  x2  y2
O      x          x
                        Argument
                        The argument of a complex number is
                        the angle the vector OZ makes with the
                        positive real (x) axis
Mod-Arg Form
                        Modulus
                        The modulus of a complex number is the
y                       length of the vector OZ
           z = x + iy
                                  r 2  x2  y2
    r z
                y                   r  x2  y2
      arg z                       z  x2  y2
O      x            x
                        Argument
                        The argument of a complex number is
                        the angle the vector OZ makes with the
                        positive real (x) axis
Mod-Arg Form
                        Modulus
                        The modulus of a complex number is the
y                       length of the vector OZ
           z = x + iy
                                  r 2  x2  y2
    r z
                y                   r  x2  y2
      arg z                       z  x2  y2
O      x            x
                        Argument
                        The argument of a complex number is
                        the angle the vector OZ makes with the
                        positive real (x) axis
                                    1 y
                          arg z  tan  
                                       x
Mod-Arg Form
                        Modulus
                        The modulus of a complex number is the
y                       length of the vector OZ
           z = x + iy
                                  r 2  x2  y2
    r z
                y                   r  x2  y2
      arg z                       z  x2  y2
O      x            x
                        Argument
                        The argument of a complex number is
                        the angle the vector OZ makes with the
                        positive real (x) axis
                                       y
                                    1
                          arg z  tan              arg z  
                                       x
e.g . Find the modulus and argument of 4  4i
e.g . Find the modulus and argument of 4  4i
    4  4i  4 2   4 
                        2
e.g . Find the modulus and argument of 4  4i
    4  4i  4 2   4 
                        2


           32
          4 2
e.g . Find the modulus and argument of 4  4i
                                                  4
                             arg4  4i   tan 
    4  4i  4   4 
                                                1
                                                     
                2       2

                                                  4 
           32
          4 2
e.g . Find the modulus and argument of 4  4i
                             arg4  4i   tan    4
    4  4i  4   4 
                                                 1
                                                         
                2       2

                                                    4 
           32                             tan 1  1
          4 2
e.g . Find the modulus and argument of 4  4i
                             arg4  4i   tan    4
    4  4i  4   4 
                                                 1
                                                         
                2       2

                                                    4 
           32                             tan 1  1
          4 2
e.g . Find the modulus and argument of 4  4i
                             arg4  4i   tan    4
    4  4i  4   4 
                                                 1
                                                         
                2       2

                                                    4 
           32                             tan 1  1
          4 2                                  
                                           
                                                4
e.g . Find the modulus and argument of 4  4i
                             arg4  4i   tan    4
     4  4i  4   4 
                                                 1
                                                         
                2       2

                                                    4 
           32                             tan 1  1
          4 2                                  
                                           
                                           4
Every complex number can be written in terms of its modulus and
argument
e.g . Find the modulus and argument of 4  4i
                             arg4  4i   tan    4
    4  4i  4   4 
                                                 1
                                                         
                2       2

                                                    4 
           32                             tan 1  1
          4 2                                  
                                           
                                           4
Every complex number can be written in terms of its modulus and
argument
                   z  x  iy
e.g . Find the modulus and argument of 4  4i
                             arg4  4i   tan    4
    4  4i  4   4 
                                                 1
                                                         
                2       2

                                                    4 
           32                             tan 1  1
          4 2                                  
                                           
                                           4
Every complex number can be written in terms of its modulus and
argument
                   z  x  iy
                      r cos  ir sin 
e.g . Find the modulus and argument of 4  4i
                             arg4  4i   tan    4
    4  4i  4   4 
                                                 1
                                                         
                2       2

                                                    4 
           32                             tan 1  1
          4 2                                  
                                           
                                           4
Every complex number can be written in terms of its modulus and
argument
                   z  x  iy
                      r cos  ir sin 
                      r cos  i sin  
e.g . Find the modulus and argument of 4  4i
                             arg4  4i   tan    4
    4  4i  4   4 
                                                 1
                                                         
                2       2

                                                    4 
           32                             tan 1  1
          4 2                                  
                                           
                                           4
Every complex number can be written in terms of its modulus and
argument
                   z  x  iy
                      r cos  ir sin 
                      r cos  i sin  
      The mod-arg form of z is;
e.g . Find the modulus and argument of 4  4i
                              arg4  4i   tan    4
    4  4i  4   4 
                                                  1
                                                          
                2       2

                                                     4 
           32                              tan 1  1
          4 2                                   
                                            
                                           4
Every complex number can be written in terms of its modulus and
argument
                   z  x  iy
                      r cos  ir sin 
                      r cos  i sin  
      The mod-arg form of z is;
                      z  r cos  i sin  
e.g . Find the modulus and argument of 4  4i
                              arg4  4i   tan    4
    4  4i  4   4 
                                                  1
                                                          
                2       2

                                                     4 
           32                              tan 1  1
          4 2                                   
                                            
                                           4
Every complex number can be written in terms of its modulus and
argument
                   z  x  iy
                      r cos  ir sin 
                      r cos  i sin  
      The mod-arg form of z is;
                      z  r cos  i sin  
                      z  rcis
e.g . Find the modulus and argument of 4  4i
                              arg4  4i   tan    4
    4  4i  4   4 
                                                  1
                                                          
                2       2

                                                     4 
           32                              tan 1  1
          4 2                                   
                                            
                                           4
Every complex number can be written in terms of its modulus and
argument
                   z  x  iy
                      r cos  ir sin 
                      r cos  i sin  
      The mod-arg form of z is;
                      z  r cos  i sin  
                      z  rcis
              where; r  z
                        arg z
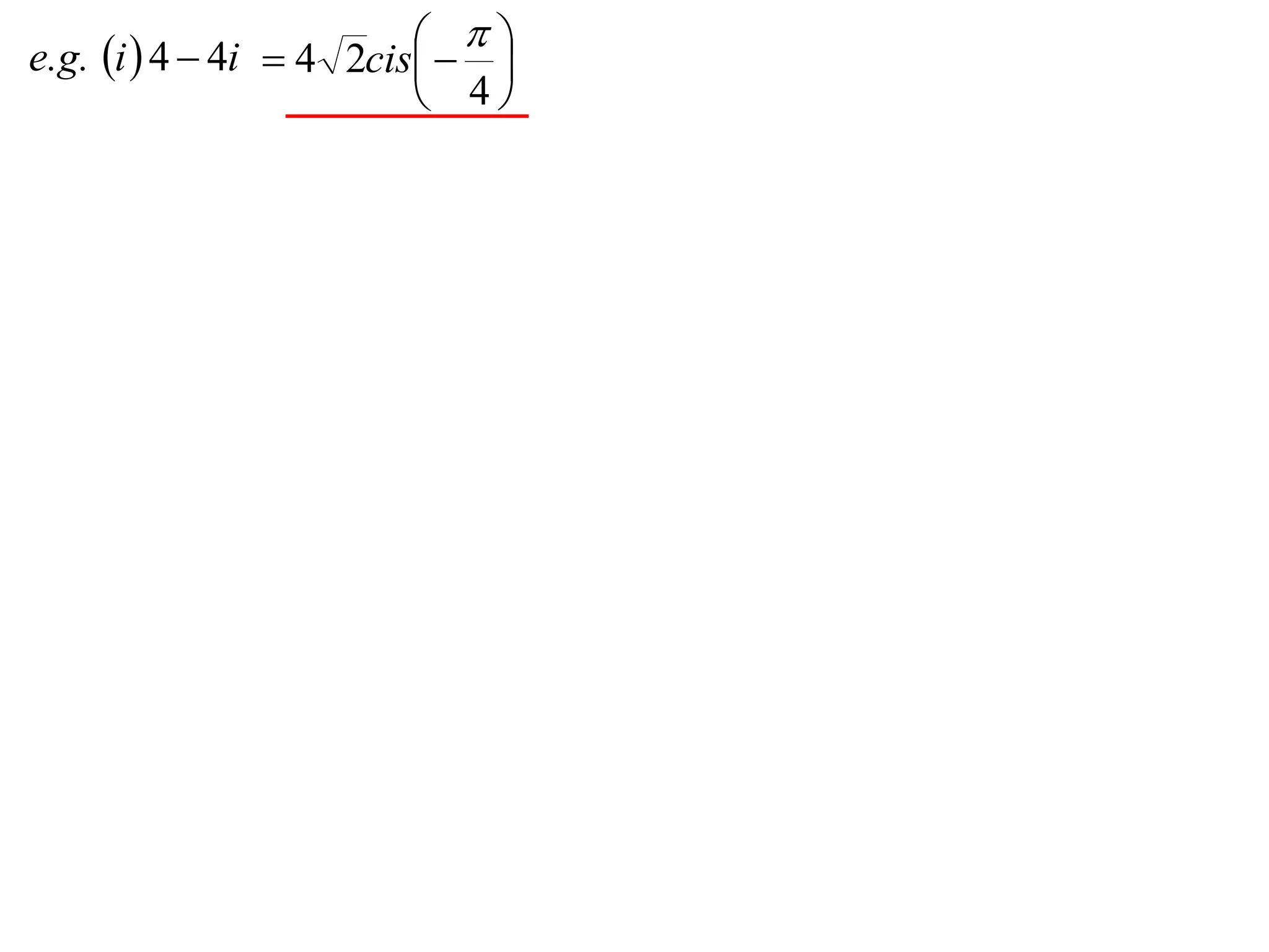
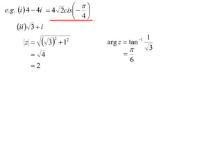
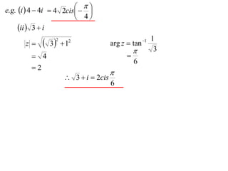
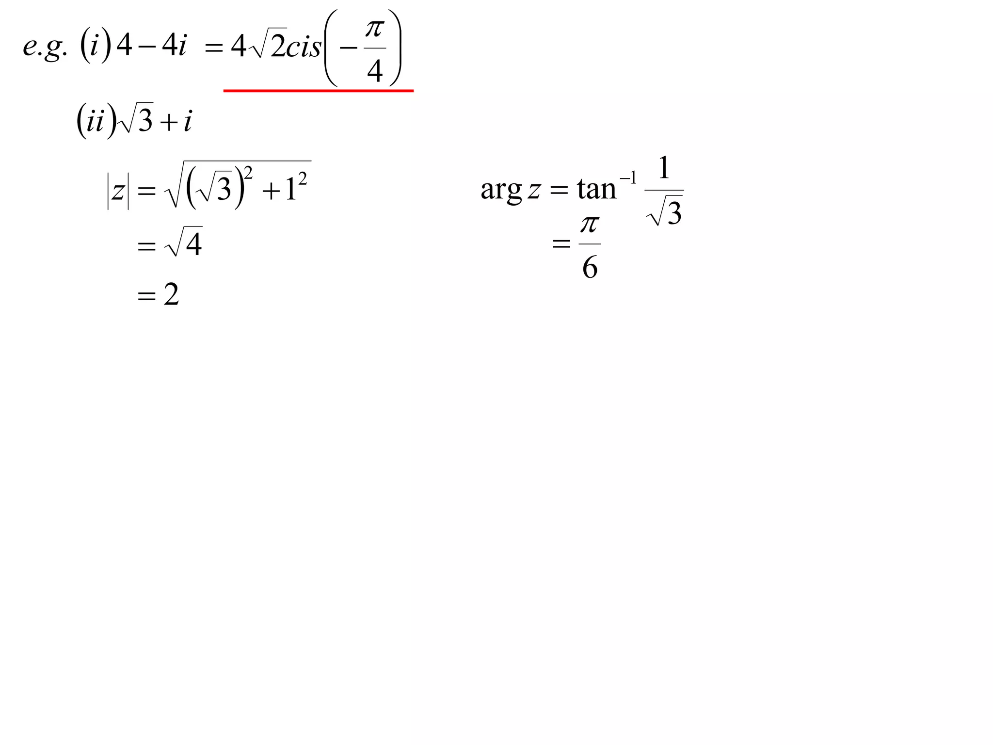
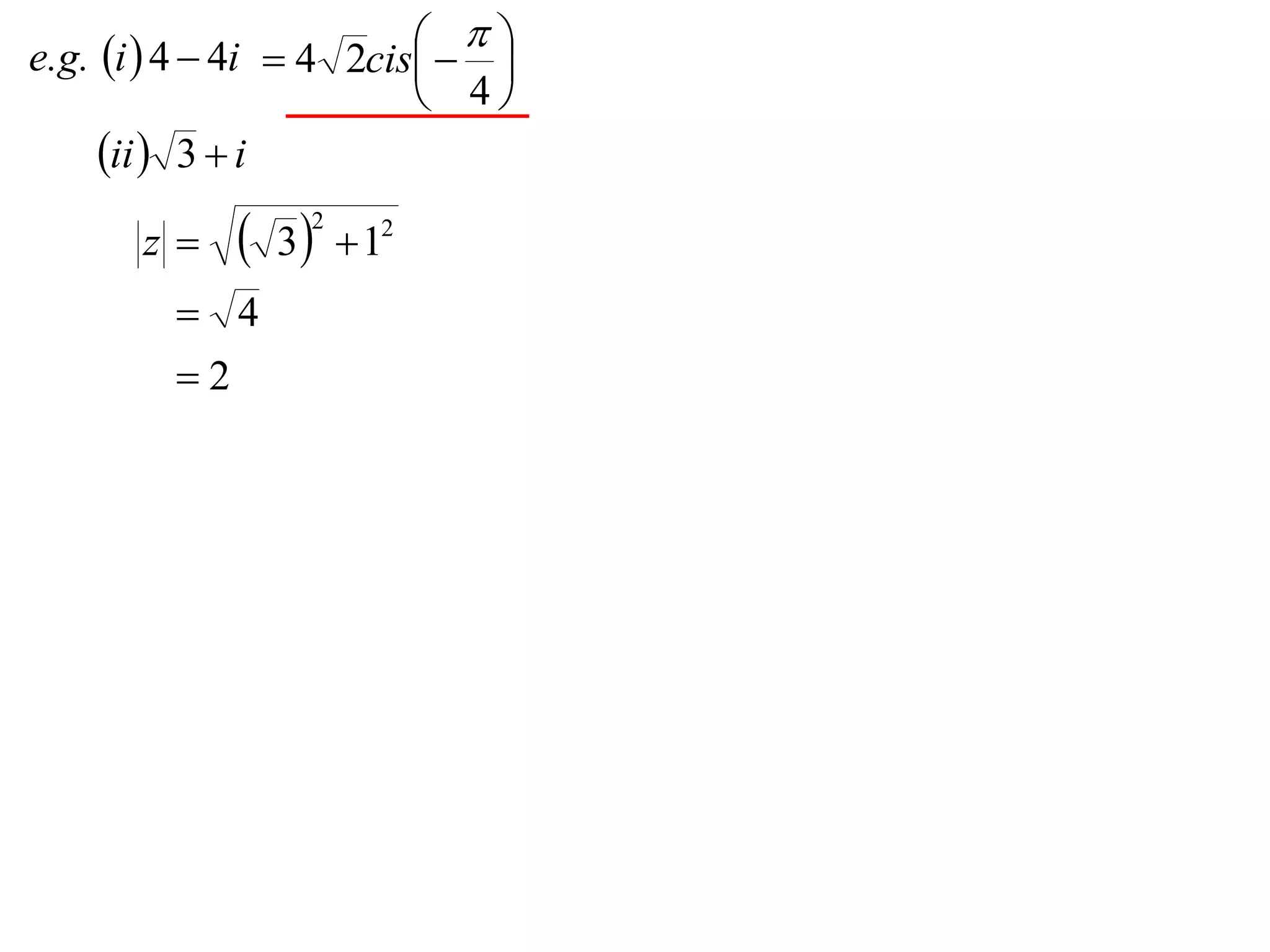
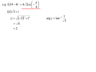
e.g. i  4  4i

e.g. i  4  4i  4 2cis  
                             
                           4

e.g. i  4  4i  4 2cis  
                             
                           4
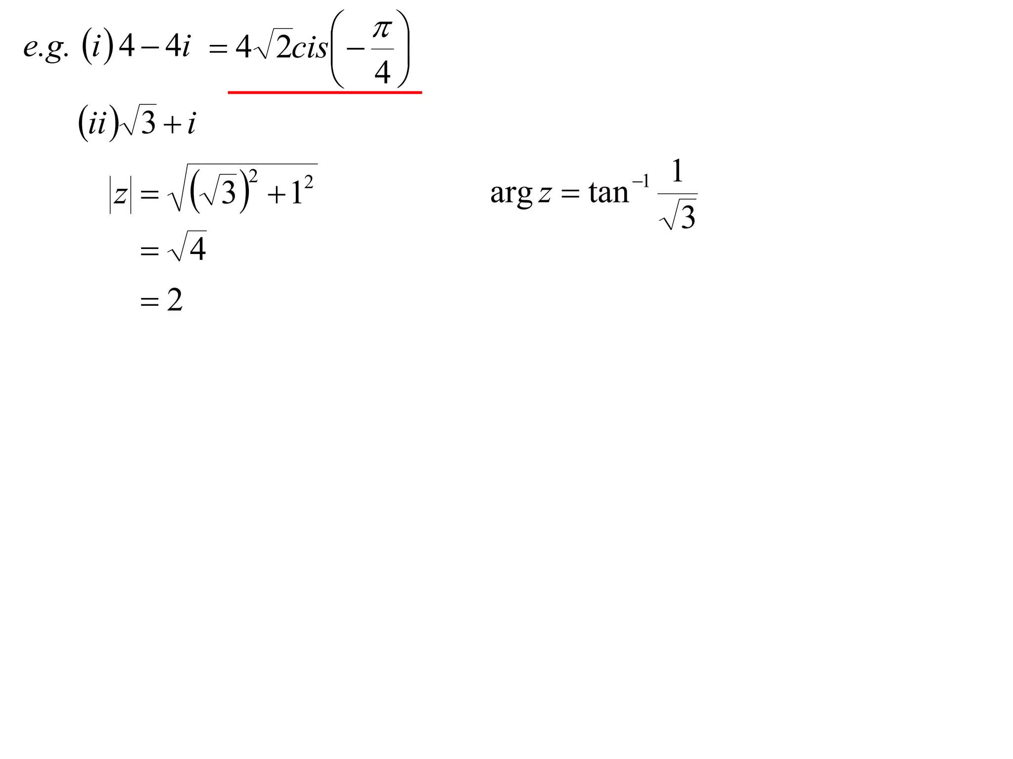
     ii  3  i

e.g. i  4  4i  4 2cis  
                             
                           4
     ii  3  i
       z     3 2
                       12
          4
         2

e.g. i  4  4i  4 2cis  
                             
                           4
     ii  3  i
       z     3 2
                      1
                       2
                                  arg z  tan 1
                                                   1
                                                    3
          4
         2

e.g. i  4  4i  4 2cis  
                             
                           4
     ii  3  i
       z     3 2
                      1
                       2
                                  arg z  tan 1
                                                   1
                                                   3
          4                            
                                            6
         2

e.g. i  4  4i  4 2cis  
                             
                           4
     ii  3  i
       z     3 2
                      1
                       2
                                       arg z  tan 1
                                                        1
                                                        3
          4                                 
                                                 6
         2
                                       
                       3  i  2cis
                                       6

e.g. i  4  4i  4 2cis  
                             
                           4
     ii  3  i
       z     3 2
                      1
                       2
                                       arg z  tan 1
                                                        1
                                                        3
          4                                 
                                                 6
         2
                                       
                       3  i  2cis
                                       6




                             Exercise 4B; evens

X2 T01 03 argand diagram

  • 1.
  • 2.
    The Argand Diagram Complexnumbers can be represented geometrically on an Argand Diagram.
  • 3.
    The Argand Diagram Complexnumbers can be represented geometrically on an Argand Diagram. y 3 2 1 -4 -3 -2 -1 1 2 3 4 x -1 -2 -3
  • 4.
    The Argand Diagram Complexnumbers can be represented geometrically on an Argand Diagram. y 3 2 1 -4 -3 -2 -1 1 2 3 4 x (real axis) -1 -2 -3
  • 5.
    The Argand Diagram Complexnumbers can be represented geometrically on an Argand Diagram. y (imaginary axis) 3 2 1 -4 -3 -2 -1 1 2 3 4 x (real axis) -1 -2 -3
  • 6.
    The Argand Diagram Complexnumbers can be represented geometrically on an Argand Diagram. y (imaginary axis) 3 2 1 -4 -3 -2 -1 1 2 3 4 x (real axis) -1 A=2 -2 -3
  • 7.
    The Argand Diagram Complexnumbers can be represented geometrically on an Argand Diagram. y (imaginary axis) 3 2 1 A -4 -3 -2 -1 1 2 3 4 x (real axis) -1 A=2 -2 -3
  • 8.
    The Argand Diagram Complexnumbers can be represented geometrically on an Argand Diagram. y (imaginary axis) 3 2 1 A -4 -3 -2 -1 1 2 3 4 x (real axis) -1 A=2 -2 B = -3i -3
  • 9.
    The Argand Diagram Complexnumbers can be represented geometrically on an Argand Diagram. y (imaginary axis) 3 2 1 A -4 -3 -2 -1 1 2 3 4 x (real axis) -1 A=2 -2 B = -3i -3 B
  • 10.
    The Argand Diagram Complexnumbers can be represented geometrically on an Argand Diagram. y (imaginary axis) 3 2 1 A -4 -3 -2 -1 1 2 3 4 x (real axis) -1 A=2 -2 B = -3i -3 B C = -2 + i
  • 11.
    The Argand Diagram Complexnumbers can be represented geometrically on an Argand Diagram. y (imaginary axis) 3 2 C 1 A -4 -3 -2 -1 1 2 3 4 x (real axis) -1 A=2 -2 B = -3i -3 B C = -2 + i
  • 12.
    The Argand Diagram Complexnumbers can be represented geometrically on an Argand Diagram. y (imaginary axis) 3 2 C 1 A -4 -3 -2 -1 1 2 3 4 x (real axis) -1 A=2 -2 B = -3i -3 B C = -2 + i D=4-i
  • 13.
    The Argand Diagram Complexnumbers can be represented geometrically on an Argand Diagram. y (imaginary axis) 3 2 C 1 A -4 -3 -2 -1 1 2 3 4 x (real axis) -1 D A=2 -2 B = -3i -3 B C = -2 + i D=4-i
  • 14.
    The Argand Diagram Complexnumbers can be represented geometrically on an Argand Diagram. y (imaginary axis) 3 2 C 1 A -4 -3 -2 -1 1 2 3 4 x (real axis) -1 D A=2 -2 B = -3i -3 B C = -2 + i D=4-i E=4+i
  • 15.
    The Argand Diagram Complexnumbers can be represented geometrically on an Argand Diagram. y (imaginary axis) 3 2 C 1 E A -4 -3 -2 -1 1 2 3 4 x (real axis) -1 D A=2 -2 B = -3i -3 B C = -2 + i D=4-i E=4+i
  • 16.
    The Argand Diagram Complexnumbers can be represented geometrically on an Argand Diagram. y (imaginary axis) 3 NOTE: Conjugates 2 are reflected in the C 1 E real (x) axis A -4 -3 -2 -1 1 2 3 4 x (real axis) -1 D A=2 -2 B = -3i -3 B C = -2 + i D=4-i E=4+i
  • 17.
    The Argand Diagram Complexnumbers can be represented geometrically on an Argand Diagram. y (imaginary axis) 3 NOTE: Conjugates 2 are reflected in the C 1 E real (x) axis A -4 -3 -2 -1 1 2 3 4 x (real axis) -1 D A=2 -2 B = -3i -3 B C = -2 + i D=4-i E=4+i Every complex number can be represented by a unique point on the Argand Diagram.
  • 18.
  • 19.
    Mod-Arg Form Modulus The modulus of a complex number is the y length of the vector OZ O x
  • 20.
    Mod-Arg Form Modulus The modulus of a complex number is the y length of the vector OZ z = x + iy O x
  • 21.
    Mod-Arg Form Modulus The modulus of a complex number is the y length of the vector OZ z = x + iy O x
  • 22.
    Mod-Arg Form Modulus The modulus of a complex number is the y length of the vector OZ z = x + iy y O x x
  • 23.
    Mod-Arg Form Modulus The modulus of a complex number is the y length of the vector OZ z = x + iy r 2  x2  y2 y r  x2  y2 O x x
  • 24.
    Mod-Arg Form Modulus The modulus of a complex number is the y length of the vector OZ z = x + iy r 2  x2  y2 r z y r  x2  y2 O x x
  • 25.
    Mod-Arg Form Modulus The modulus of a complex number is the y length of the vector OZ z = x + iy r 2  x2  y2 r z y r  x2  y2 z  x2  y2 O x x
  • 26.
    Mod-Arg Form Modulus The modulus of a complex number is the y length of the vector OZ z = x + iy r 2  x2  y2 r z y r  x2  y2 z  x2  y2 O x x Argument The argument of a complex number is the angle the vector OZ makes with the positive real (x) axis
  • 27.
    Mod-Arg Form Modulus The modulus of a complex number is the y length of the vector OZ z = x + iy r 2  x2  y2 r z y r  x2  y2   arg z z  x2  y2 O x x Argument The argument of a complex number is the angle the vector OZ makes with the positive real (x) axis
  • 28.
    Mod-Arg Form Modulus The modulus of a complex number is the y length of the vector OZ z = x + iy r 2  x2  y2 r z y r  x2  y2   arg z z  x2  y2 O x x Argument The argument of a complex number is the angle the vector OZ makes with the positive real (x) axis 1 y arg z  tan    x
  • 29.
    Mod-Arg Form Modulus The modulus of a complex number is the y length of the vector OZ z = x + iy r 2  x2  y2 r z y r  x2  y2   arg z z  x2  y2 O x x Argument The argument of a complex number is the angle the vector OZ makes with the positive real (x) axis  y 1 arg z  tan      arg z    x
  • 30.
    e.g . Findthe modulus and argument of 4  4i
  • 31.
    e.g . Findthe modulus and argument of 4  4i 4  4i  4 2   4  2
  • 32.
    e.g . Findthe modulus and argument of 4  4i 4  4i  4 2   4  2  32 4 2
  • 33.
    e.g . Findthe modulus and argument of 4  4i   4 arg4  4i   tan  4  4i  4   4  1  2 2  4   32 4 2
  • 34.
    e.g . Findthe modulus and argument of 4  4i arg4  4i   tan    4 4  4i  4   4  1  2 2  4   32  tan 1  1 4 2
  • 35.
    e.g . Findthe modulus and argument of 4  4i arg4  4i   tan    4 4  4i  4   4  1  2 2  4   32  tan 1  1 4 2
  • 36.
    e.g . Findthe modulus and argument of 4  4i arg4  4i   tan    4 4  4i  4   4  1  2 2  4   32  tan 1  1 4 2   4
  • 37.
    e.g . Findthe modulus and argument of 4  4i arg4  4i   tan    4 4  4i  4   4  1  2 2  4   32  tan 1  1 4 2   4 Every complex number can be written in terms of its modulus and argument
  • 38.
    e.g . Findthe modulus and argument of 4  4i arg4  4i   tan    4 4  4i  4   4  1  2 2  4   32  tan 1  1 4 2   4 Every complex number can be written in terms of its modulus and argument z  x  iy
  • 39.
    e.g . Findthe modulus and argument of 4  4i arg4  4i   tan    4 4  4i  4   4  1  2 2  4   32  tan 1  1 4 2   4 Every complex number can be written in terms of its modulus and argument z  x  iy  r cos  ir sin 
  • 40.
    e.g . Findthe modulus and argument of 4  4i arg4  4i   tan    4 4  4i  4   4  1  2 2  4   32  tan 1  1 4 2   4 Every complex number can be written in terms of its modulus and argument z  x  iy  r cos  ir sin   r cos  i sin  
  • 41.
    e.g . Findthe modulus and argument of 4  4i arg4  4i   tan    4 4  4i  4   4  1  2 2  4   32  tan 1  1 4 2   4 Every complex number can be written in terms of its modulus and argument z  x  iy  r cos  ir sin   r cos  i sin   The mod-arg form of z is;
  • 42.
    e.g . Findthe modulus and argument of 4  4i arg4  4i   tan    4 4  4i  4   4  1  2 2  4   32  tan 1  1 4 2   4 Every complex number can be written in terms of its modulus and argument z  x  iy  r cos  ir sin   r cos  i sin   The mod-arg form of z is; z  r cos  i sin  
  • 43.
    e.g . Findthe modulus and argument of 4  4i arg4  4i   tan    4 4  4i  4   4  1  2 2  4   32  tan 1  1 4 2   4 Every complex number can be written in terms of its modulus and argument z  x  iy  r cos  ir sin   r cos  i sin   The mod-arg form of z is; z  r cos  i sin   z  rcis
  • 44.
    e.g . Findthe modulus and argument of 4  4i arg4  4i   tan    4 4  4i  4   4  1  2 2  4   32  tan 1  1 4 2   4 Every complex number can be written in terms of its modulus and argument z  x  iy  r cos  ir sin   r cos  i sin   The mod-arg form of z is; z  r cos  i sin   z  rcis where; r  z   arg z
  • 45.
    e.g. i 4  4i
  • 46.
     e.g. i 4  4i  4 2cis      4
  • 47.
     e.g. i 4  4i  4 2cis      4 ii  3  i
  • 48.
     e.g. i 4  4i  4 2cis      4 ii  3  i z  3 2  12  4 2
  • 49.
     e.g. i 4  4i  4 2cis      4 ii  3  i z  3 2 1 2 arg z  tan 1 1 3  4 2
  • 50.
     e.g. i 4  4i  4 2cis      4 ii  3  i z  3 2 1 2 arg z  tan 1 1  3  4  6 2
  • 51.
     e.g. i 4  4i  4 2cis      4 ii  3  i z  3 2 1 2 arg z  tan 1 1  3  4  6 2   3  i  2cis 6
  • 52.
     e.g. i 4  4i  4 2cis      4 ii  3  i z  3 2 1 2 arg z  tan 1 1  3  4  6 2   3  i  2cis 6 Exercise 4B; evens