Binomial Products
Binomial Products
Bi  2

nomial  terms
Binomial Products
Bi  2

nomial  terms

e.g.  x  6  x  1 
Binomial Products
Bi  2

nomial  terms

e.g.  x  6  x  1  x 2
Binomial Products
Bi  2

nomial  terms

e.g.  x  6  x  1  x 2  x
Binomial Products
Bi  2

nomial  terms

e.g.  x  6  x  1  x 2  x  6 x
Binomial Products
Bi  2

nomial  terms

e.g.  x  6  x  1  x 2  x  6 x  6

 x2  7 x  6
Binomial Products
Bi  2

nomial  terms

e.g.  x  6  x  1  x 2  x  6 x  6

 x2  7 x  6

2
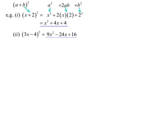
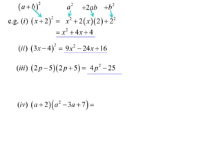
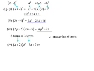
 a  b   a 2  2ab  b 2
Binomial Products
Bi  2

nomial  terms

e.g.  x  6  x  1  x 2  x  6 x  6

 x2  7 x  6

 a  b   a 2  2ab  b 2
2
 a  b   a 2  2ab  b 2
2
Binomial Products
Bi  2

nomial  terms

e.g.  x  6  x  1  x 2  x  6 x  6

 x2  7 x  6

 a  b   a 2  2ab  b 2
2
 a  b   a 2  2ab  b 2
2

 a  b  a  b   a 2  b 2
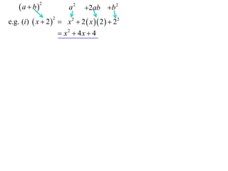
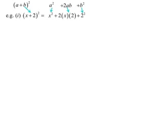
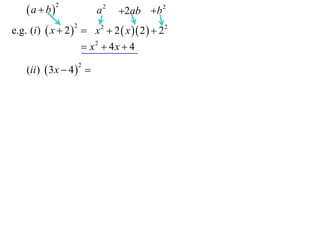
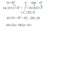
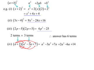
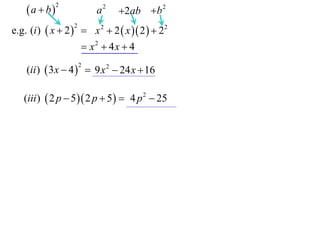
e.g. (i )  x  2  
2
e.g. (i )  x  2   x 2  2  x  2   22
2
a  b

2

a2

2ab b 2

e.g. (i )  x  2   x 2  2  x  2   22
2
a  b

2

a2

2ab b 2

e.g. (i )  x  2   x 2  2  x  2   22
2

 x2  4x  4
a  b

2

a2

2ab b 2

e.g. (i )  x  2   x 2  2  x  2   22
2

 x2  4x  4
(ii )  3 x  4  
2
a  b

2

a2

2ab b 2

e.g. (i )  x  2   x 2  2  x  2   22
2

 x2  4x  4
(ii )  3 x  4   9 x 2  24 x  16
2
a  b

2

a2

2ab b 2

e.g. (i )  x  2   x 2  2  x  2   22
2

 x2  4x  4
(ii )  3 x  4   9 x 2  24 x  16
2

(iii )  2 p  5  2 p  5  
a  b

2

a2

2ab b 2

e.g. (i )  x  2   x 2  2  x  2   22
2

 x2  4x  4
(ii )  3 x  4   9 x 2  24 x  16
2

(iii )  2 p  5  2 p  5   4 p 2  25
a  b

2

a2

2ab b 2

e.g. (i )  x  2   x 2  2  x  2   22
2

 x2  4x  4
(ii )  3 x  4   9 x 2  24 x  16
2

(iii )  2 p  5  2 p  5   4 p 2  25

(iv)  a  2   a 2  3a  7  
a  b

2

a2

2ab b 2

e.g. (i )  x  2   x 2  2  x  2   22
2

 x2  4x  4
(ii )  3 x  4   9 x 2  24 x  16
2

(iii )  2 p  5  2 p  5   4 p 2  25

2 terms  3 terms
(iv)  a  2   a 2  3a  7  

 answer has 6 terms
a  b

2

a2

2ab b 2

e.g. (i )  x  2   x 2  2  x  2   22
2

 x2  4x  4
(ii )  3 x  4   9 x 2  24 x  16
2

(iii )  2 p  5  2 p  5   4 p 2  25

2 terms  3 terms

 answer has 6 terms

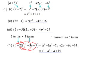
(iv)  a  2   a 2  3a  7   a 3 3a 2 7a 2a 2 6a 14
a  b

2

a2

2ab b 2

e.g. (i )  x  2   x 2  2  x  2   22
2

 x2  4x  4
(ii )  3 x  4   9 x 2  24 x  16
2

(iii )  2 p  5  2 p  5   4 p 2  25

2 terms  3 terms

 answer has 6 terms

(iv)  a  2   a 2  3a  7   a 3 3a 2 7a 2a 2 6a 14

 a 3  a 2  a  14
a  b

2

a2

2ab b 2

e.g. (i )  x  2   x 2  2  x  2   22
2

 x2  4x  4
(ii )  3 x  4   9 x 2  24 x  16
2

(iii )  2 p  5  2 p  5   4 p 2  25

2 terms  3 terms

 answer has 6 terms

(iv)  a  2   a 2  3a  7   a 3 3a 2 7a 2a 2 6a 14

 a 3  a 2  a  14

Exercise 1B; 1ch, 2c, 3be, 5ceg, 7ac, 8b, 9b, 10, 11ace, 13bd, 15*

11 x1 t01 02 binomial products (2014)

  • 1.
  • 2.
    Binomial Products Bi 2 nomial  terms
  • 3.
    Binomial Products Bi 2 nomial  terms e.g.  x  6  x  1 
  • 4.
    Binomial Products Bi 2 nomial  terms e.g.  x  6  x  1  x 2
  • 5.
    Binomial Products Bi 2 nomial  terms e.g.  x  6  x  1  x 2  x
  • 6.
    Binomial Products Bi 2 nomial  terms e.g.  x  6  x  1  x 2  x  6 x
  • 7.
    Binomial Products Bi 2 nomial  terms e.g.  x  6  x  1  x 2  x  6 x  6  x2  7 x  6
  • 8.
    Binomial Products Bi 2 nomial  terms e.g.  x  6  x  1  x 2  x  6 x  6  x2  7 x  6 2  a  b   a 2  2ab  b 2
  • 9.
    Binomial Products Bi 2 nomial  terms e.g.  x  6  x  1  x 2  x  6 x  6  x2  7 x  6  a  b   a 2  2ab  b 2 2  a  b   a 2  2ab  b 2 2
  • 10.
    Binomial Products Bi 2 nomial  terms e.g.  x  6  x  1  x 2  x  6 x  6  x2  7 x  6  a  b   a 2  2ab  b 2 2  a  b   a 2  2ab  b 2 2  a  b  a  b   a 2  b 2
  • 11.
    e.g. (i ) x  2   2
  • 12.
    e.g. (i ) x  2   x 2  2  x  2   22 2
  • 13.
    a  b 2 a2 2abb 2 e.g. (i )  x  2   x 2  2  x  2   22 2
  • 14.
    a  b 2 a2 2abb 2 e.g. (i )  x  2   x 2  2  x  2   22 2  x2  4x  4
  • 15.
    a  b 2 a2 2abb 2 e.g. (i )  x  2   x 2  2  x  2   22 2  x2  4x  4 (ii )  3 x  4   2
  • 16.
    a  b 2 a2 2abb 2 e.g. (i )  x  2   x 2  2  x  2   22 2  x2  4x  4 (ii )  3 x  4   9 x 2  24 x  16 2
  • 17.
    a  b 2 a2 2abb 2 e.g. (i )  x  2   x 2  2  x  2   22 2  x2  4x  4 (ii )  3 x  4   9 x 2  24 x  16 2 (iii )  2 p  5  2 p  5  
  • 18.
    a  b 2 a2 2abb 2 e.g. (i )  x  2   x 2  2  x  2   22 2  x2  4x  4 (ii )  3 x  4   9 x 2  24 x  16 2 (iii )  2 p  5  2 p  5   4 p 2  25
  • 19.
    a  b 2 a2 2abb 2 e.g. (i )  x  2   x 2  2  x  2   22 2  x2  4x  4 (ii )  3 x  4   9 x 2  24 x  16 2 (iii )  2 p  5  2 p  5   4 p 2  25 (iv)  a  2   a 2  3a  7  
  • 20.
    a  b 2 a2 2abb 2 e.g. (i )  x  2   x 2  2  x  2   22 2  x2  4x  4 (ii )  3 x  4   9 x 2  24 x  16 2 (iii )  2 p  5  2 p  5   4 p 2  25 2 terms  3 terms (iv)  a  2   a 2  3a  7    answer has 6 terms
  • 21.
    a  b 2 a2 2abb 2 e.g. (i )  x  2   x 2  2  x  2   22 2  x2  4x  4 (ii )  3 x  4   9 x 2  24 x  16 2 (iii )  2 p  5  2 p  5   4 p 2  25 2 terms  3 terms  answer has 6 terms (iv)  a  2   a 2  3a  7   a 3 3a 2 7a 2a 2 6a 14
  • 22.
    a  b 2 a2 2abb 2 e.g. (i )  x  2   x 2  2  x  2   22 2  x2  4x  4 (ii )  3 x  4   9 x 2  24 x  16 2 (iii )  2 p  5  2 p  5   4 p 2  25 2 terms  3 terms  answer has 6 terms (iv)  a  2   a 2  3a  7   a 3 3a 2 7a 2a 2 6a 14  a 3  a 2  a  14
  • 23.
    a  b 2 a2 2abb 2 e.g. (i )  x  2   x 2  2  x  2   22 2  x2  4x  4 (ii )  3 x  4   9 x 2  24 x  16 2 (iii )  2 p  5  2 p  5   4 p 2  25 2 terms  3 terms  answer has 6 terms (iv)  a  2   a 2  3a  7   a 3 3a 2 7a 2a 2 6a 14  a 3  a 2  a  14 Exercise 1B; 1ch, 2c, 3be, 5ceg, 7ac, 8b, 9b, 10, 11ace, 13bd, 15*