Properties Of
Definite Integral
Properties Of
Definite Integral
1 a

b

n 1

b

x 
x dx  
n  1 a


n
Properties Of
Definite Integral
1 a

b

n 1

b

x 
x dx  
n  1 a


n

2 a kf  x dx k a f  x dx
b

b

can only factorise constants 
Properties Of
Definite Integral
1 a

b

n 1

b

x 
x dx  
n  1 a


n

2 a kf  x dx k a f  x dx
b

b

can only factorise constants 

3 a  f  x   g  x dx  a f  x dx  a g  x dx
b

b

b
Properties Of
Definite Integral
1 a

b

n 1

b

x 
x dx  
n  1 a


n

can only factorise constants 

2 a kf  x dx k a f  x dx
b

b

3 a  f  x   g  x dx  a f  x dx  a g  x dx
b

b

b

4 a f  x dx  a f  x dx  c f  x dx
b

c

b
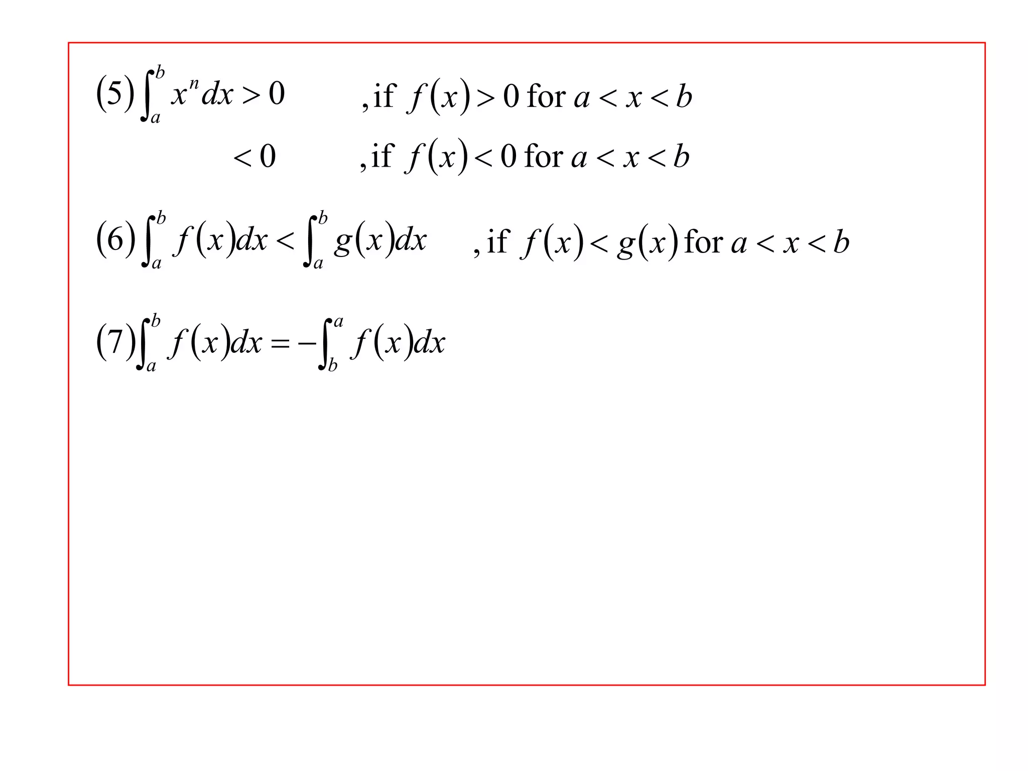
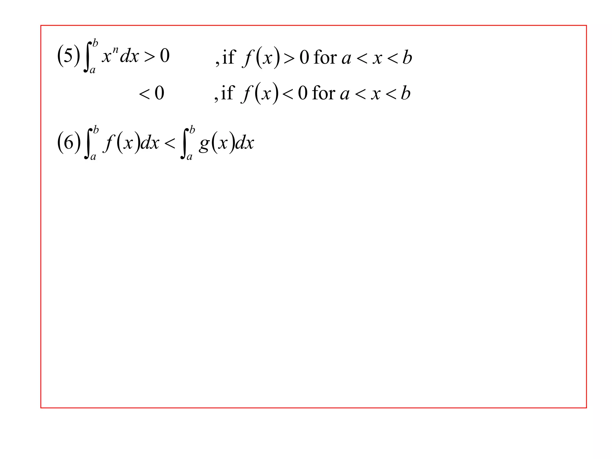
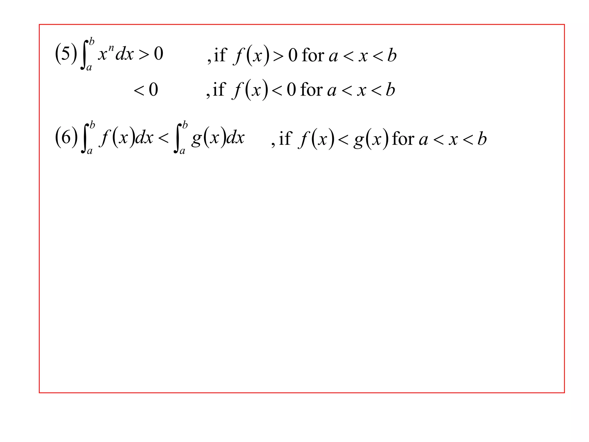
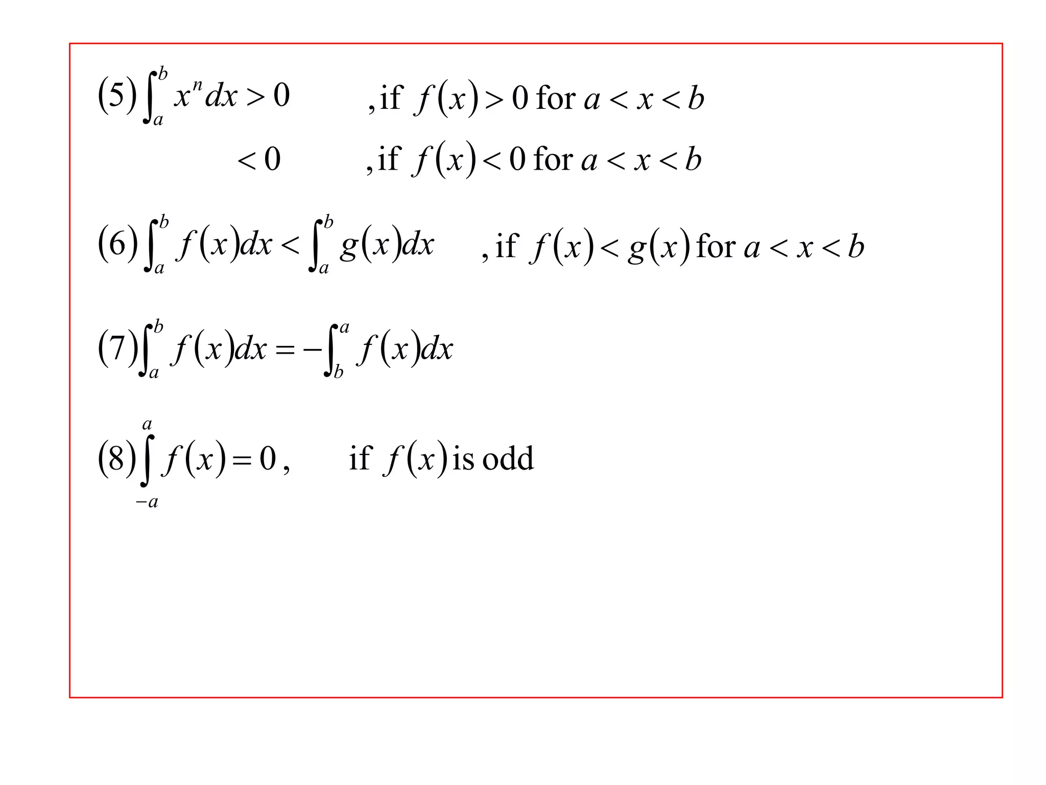
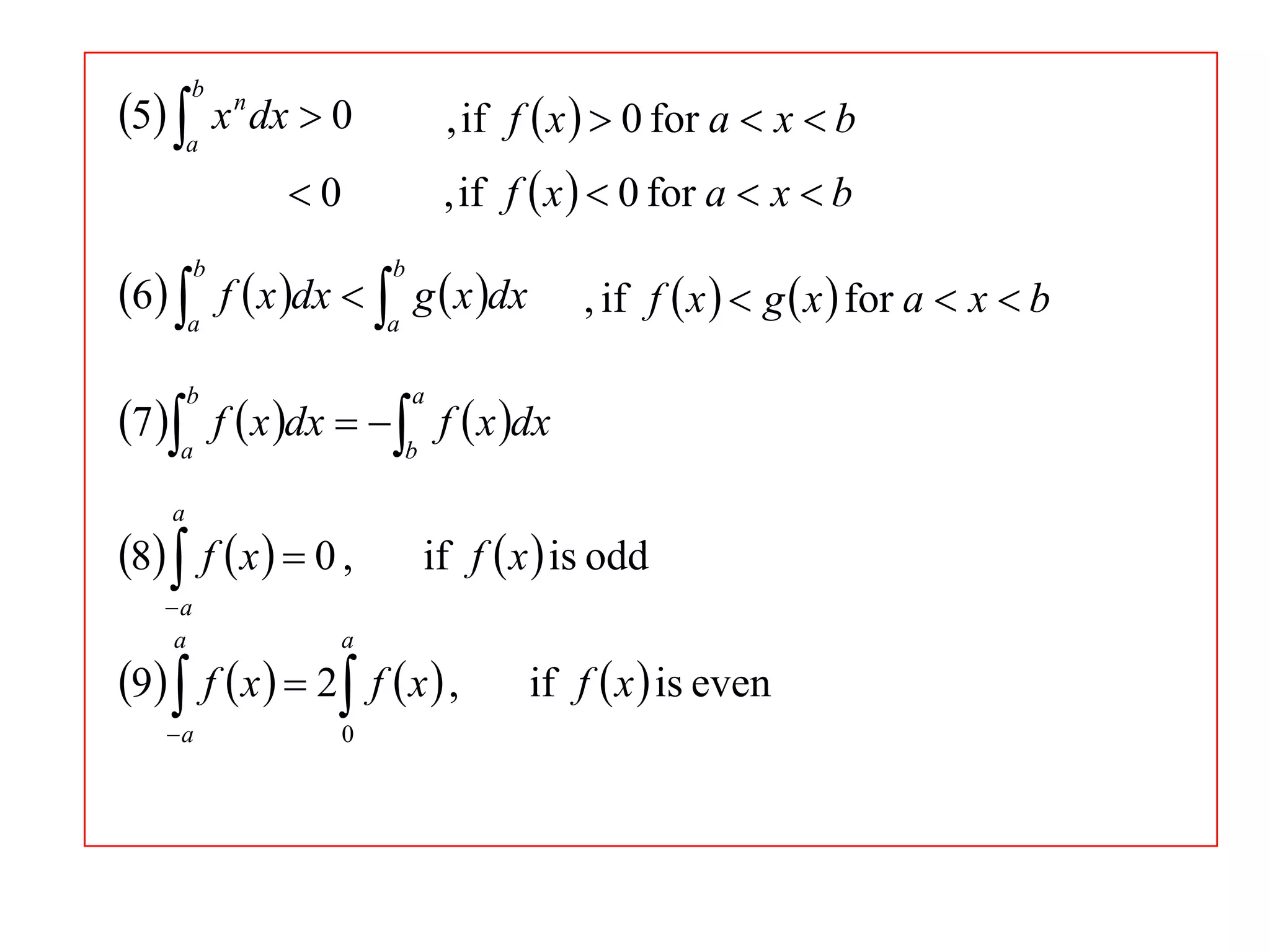
5 a x n dx  0
b
5 a x n dx  0
b

, if f  x   0 for a  x  b
5 a x n dx  0
b

0

, if f  x   0 for a  x  b
, if f  x   0 for a  x  b
5 a x n dx  0
b

, if f  x   0 for a  x  b
, if f  x   0 for a  x  b

0

6 a f  x dx  a g  x dx
b

b
5 a x n dx  0
b

, if f  x   0 for a  x  b
, if f  x   0 for a  x  b

0

6 a f  x dx  a g  x dx
b

b

, if f  x   g  x  for a  x  b
5 a x n dx  0
b

, if f  x   0 for a  x  b
, if f  x   0 for a  x  b

0

6 a f  x dx  a g  x dx
b

b

7 a f  x dx   b f  x dx
b

a

, if f  x   g  x  for a  x  b
5 a x n dx  0
b

, if f  x   0 for a  x  b
, if f  x   0 for a  x  b

0

6 a f  x dx  a g  x dx
b

b

, if f  x   g  x  for a  x  b

7 a f  x dx   b f  x dx
b

a

8  f  x   0 ,
a

a

if f  x  is odd
5 a x n dx  0
b

, if f  x   0 for a  x  b
, if f  x   0 for a  x  b

0

6 a f  x dx  a g  x dx
b

b

, if f  x   g  x  for a  x  b

7 a f  x dx   b f  x dx
b

a

a

8  f  x   0 ,
a
a

a

a

0

if f  x  is odd

9  f  x   2 f  x  ,

if f  x  is even
5 a x n dx  0
b

, if f  x   0 for a  x  b
, if f  x   0 for a  x  b

0

6 a f  x dx  a g  x dx
b

b

, if f  x   g  x  for a  x  b

7 a f  x dx   b f  x dx
b

a

a

8  f  x   0 ,
a
a

a

a

0

if f  x  is odd

9  f  x   2 f  x  ,

if f  x  is even

NOTE :
odd  odd  even
odd  even  odd
even  even  even
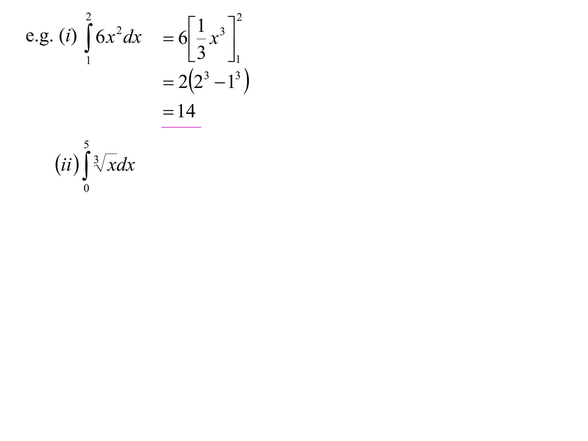
2

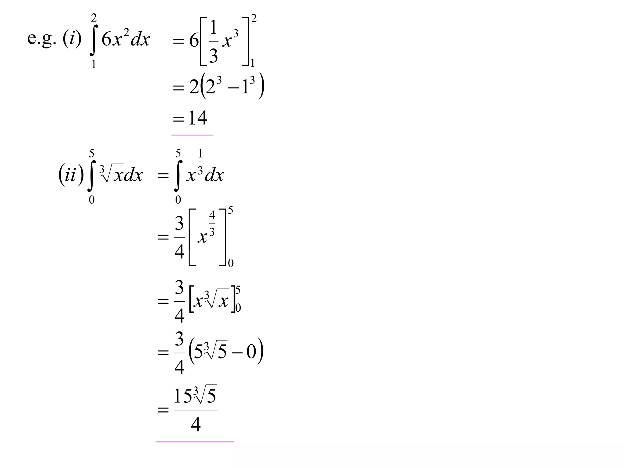
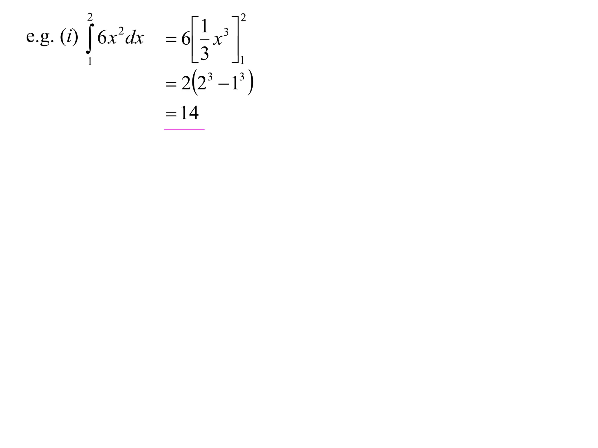
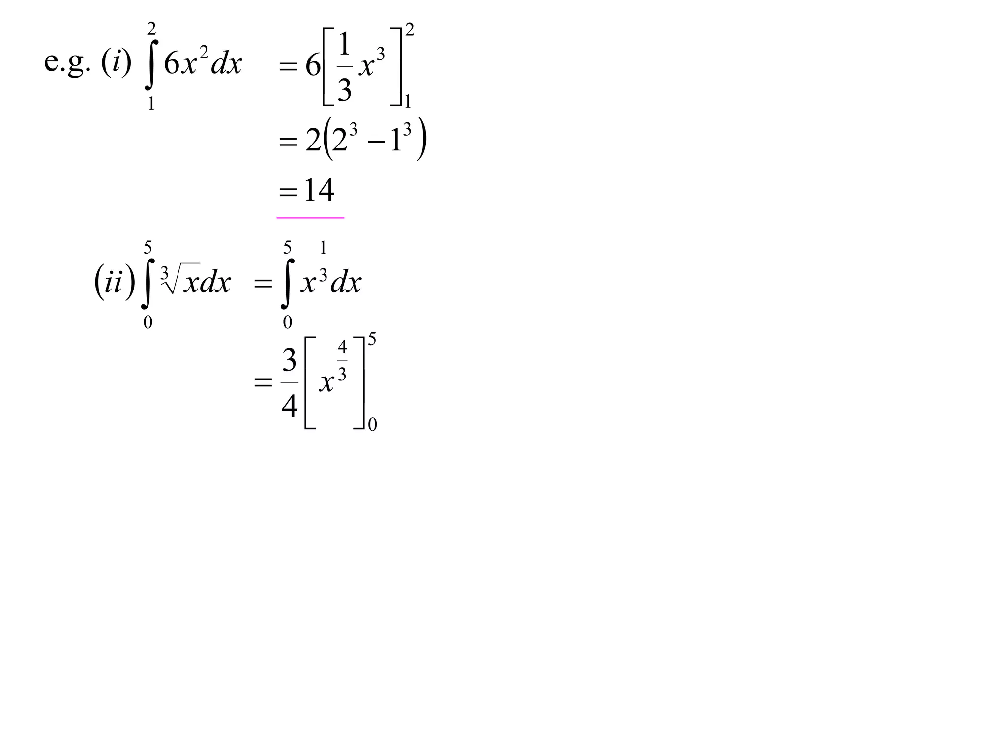
e.g. (i)  6 x 2 dx
1
2

e.g. (i)  6 x 2 dx
1

2

1 x 3 
 6
 3 1

2

e.g. (i)  6 x 2 dx
1

2

1 x 3 
 6
 3 1

 223  13 
 14
2

e.g. (i)  6 x 2 dx
1

5

ii   3 xdx
0

2

1 x 3 
 6
 3 1

 223  13 
 14
2

e.g. (i)  6 x 2 dx
1

2

1 x 3 
 6
 3 1

 223  13 
 14

5

5

0

0

1
3

ii   3 xdx   x dx
2

e.g. (i)  6 x 2 dx
1

2

1 x 3 
 6
 3 1

 223  13 
 14

5

5

0

0

1
3

ii   3 xdx   x dx
5

3 
 x 
4  0
4
3
2

e.g. (i)  6 x 2 dx
1

2

1 x 3 
 6
 3 1

 223  13 
 14

5

5

0

0

1
3

ii   3 xdx   x dx
5

3 
 x 
4  0
3 3 5
 x x 0
4
4
3
2

e.g. (i)  6 x 2 dx
1

2

1 x 3 
 6
 3 1

 223  13 
 14

5

5

0

0

1
3

ii   3 xdx   x dx
5

3 
 x 
4  0
3 3 5
 x x 0
4
3 3
 5 5  0 
4
153 5

4
4
3
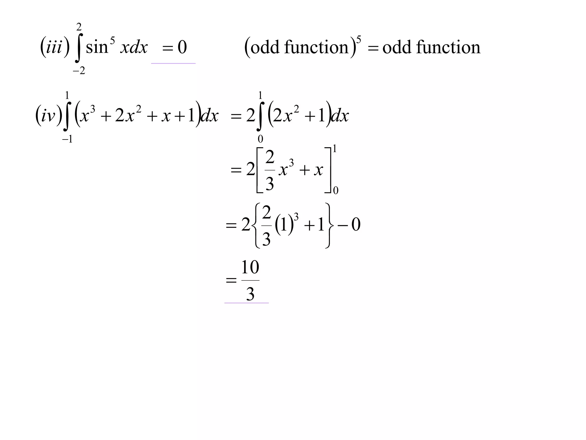
2

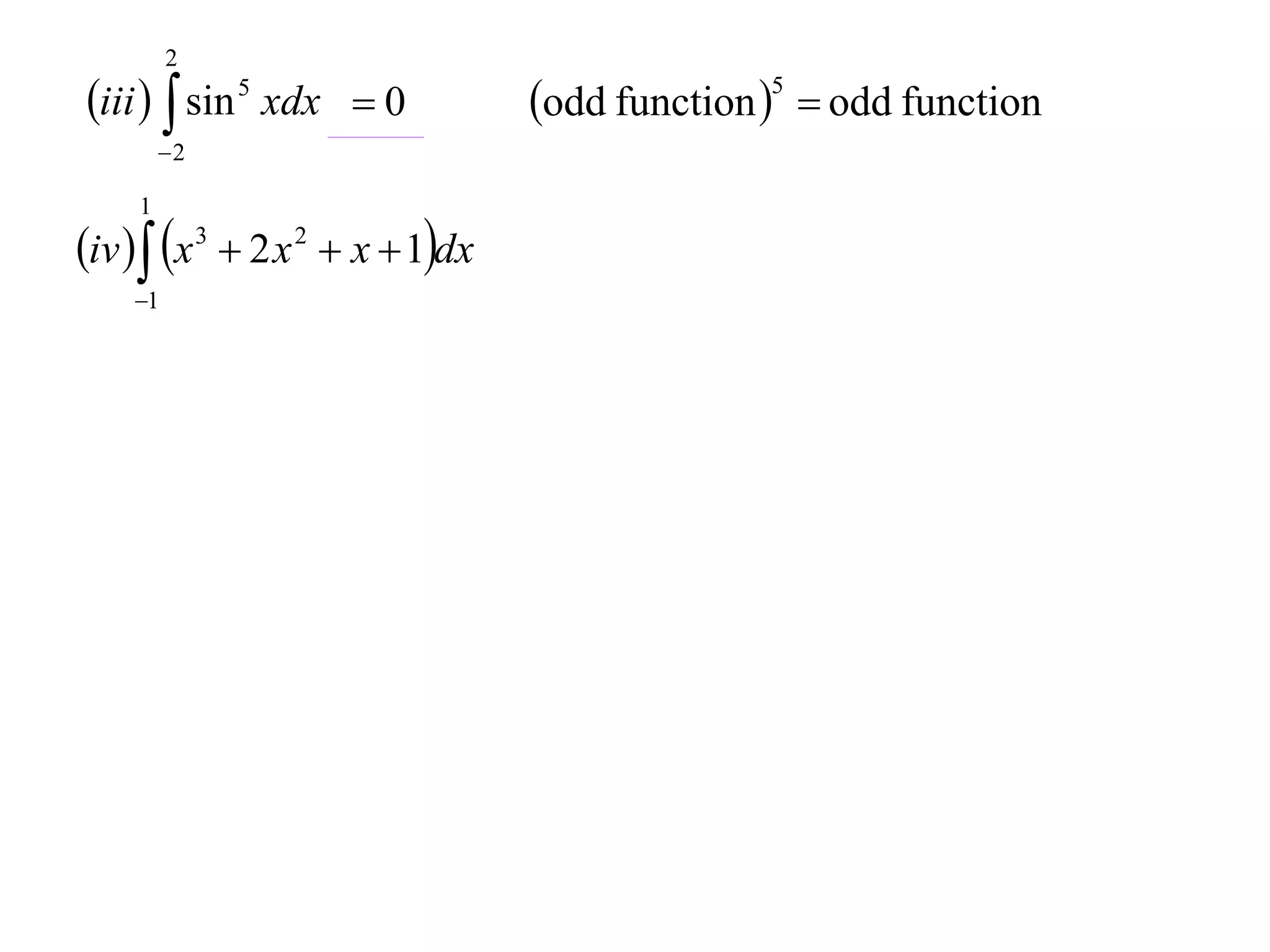
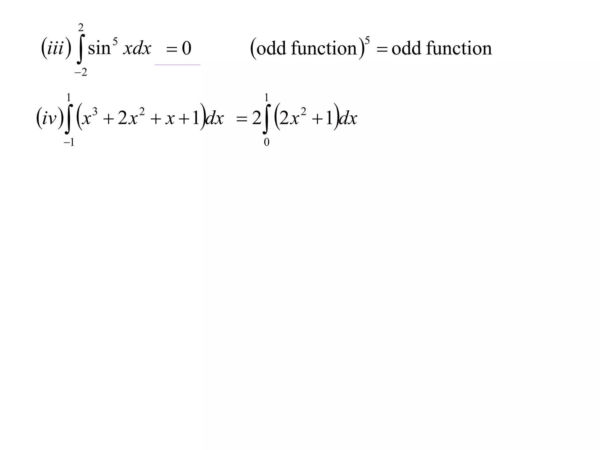
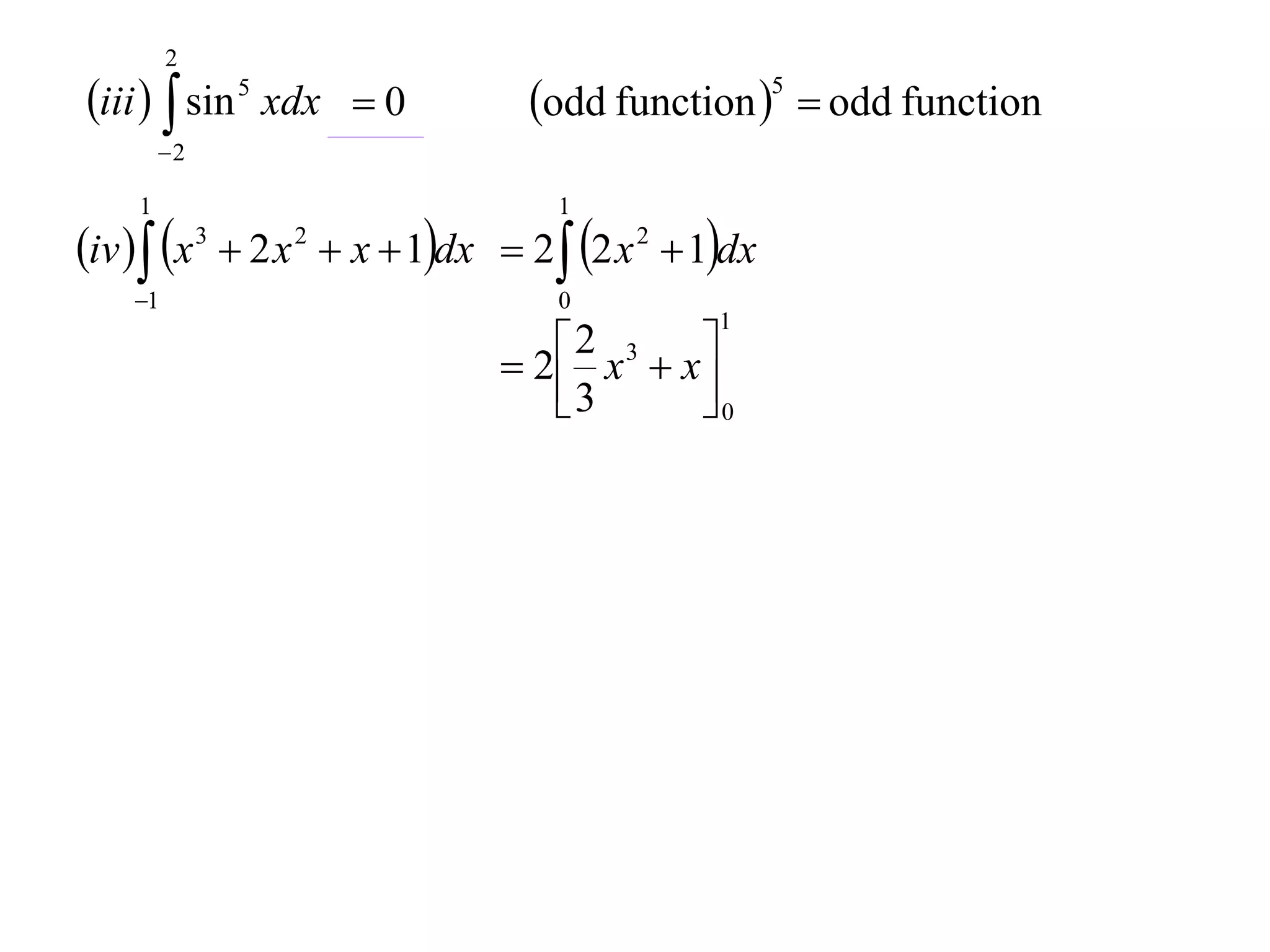
iii   sin 5 xdx
2
2

iii   sin 5 xdx  0
2

odd function 5  odd function
2

iii   sin 5 xdx  0
2

1

iv  x 3  2 x 2  x  1dx
1

odd function 5  odd function
2

iii   sin 5 xdx  0

odd function 5  odd function

2

1

1

1

0

iv  x 3  2 x 2  x  1dx  2 2 x 2  1dx
2

iii   sin 5 xdx  0

odd function 5  odd function

2

1

1

1

0

iv  x 3  2 x 2  x  1dx  2 2 x 2  1dx
1

 2 x3  x
 2
0
3

2

iii   sin 5 xdx  0

odd function 5  odd function

2

1

1

1

0

iv  x 3  2 x 2  x  1dx  2 2 x 2  1dx
1

 2 x3  x
 2
0
3

 2 1 3  1  0
 2  

3

10

3
2

iii   sin 5 xdx  0

odd function 5  odd function

2

1

1

1

0

iv  x 3  2 x 2  x  1dx  2 2 x 2  1dx
1

 2 x3  x
 2
0
3

 2 1 3  1  0
 2  

3

10

3

Exercise 11C; 1bce, 2adf, 3ab (i, iii), 4bcf, 5, 6ac, 7df, 8b,
12b, 13*

11 x1 t16 02 definite integral (2013)

  • 1.
  • 2.
    Properties Of Definite Integral 1a b n 1 b x  x dx   n  1 a   n
  • 3.
    Properties Of Definite Integral 1a b n 1 b x  x dx   n  1 a   n 2 a kf  x dx k a f  x dx b b can only factorise constants 
  • 4.
    Properties Of Definite Integral 1a b n 1 b x  x dx   n  1 a   n 2 a kf  x dx k a f  x dx b b can only factorise constants  3 a  f  x   g  x dx  a f  x dx  a g  x dx b b b
  • 5.
    Properties Of Definite Integral 1a b n 1 b x  x dx   n  1 a   n can only factorise constants  2 a kf  x dx k a f  x dx b b 3 a  f  x   g  x dx  a f  x dx  a g  x dx b b b 4 a f  x dx  a f  x dx  c f  x dx b c b
  • 6.
    5 a xn dx  0 b
  • 7.
    5 a xn dx  0 b , if f  x   0 for a  x  b
  • 8.
    5 a xn dx  0 b 0 , if f  x   0 for a  x  b , if f  x   0 for a  x  b
  • 9.
    5 a xn dx  0 b , if f  x   0 for a  x  b , if f  x   0 for a  x  b 0 6 a f  x dx  a g  x dx b b
  • 10.
    5 a xn dx  0 b , if f  x   0 for a  x  b , if f  x   0 for a  x  b 0 6 a f  x dx  a g  x dx b b , if f  x   g  x  for a  x  b
  • 11.
    5 a xn dx  0 b , if f  x   0 for a  x  b , if f  x   0 for a  x  b 0 6 a f  x dx  a g  x dx b b 7 a f  x dx   b f  x dx b a , if f  x   g  x  for a  x  b
  • 12.
    5 a xn dx  0 b , if f  x   0 for a  x  b , if f  x   0 for a  x  b 0 6 a f  x dx  a g  x dx b b , if f  x   g  x  for a  x  b 7 a f  x dx   b f  x dx b a 8  f  x   0 , a a if f  x  is odd
  • 13.
    5 a xn dx  0 b , if f  x   0 for a  x  b , if f  x   0 for a  x  b 0 6 a f  x dx  a g  x dx b b , if f  x   g  x  for a  x  b 7 a f  x dx   b f  x dx b a a 8  f  x   0 , a a a a 0 if f  x  is odd 9  f  x   2 f  x  , if f  x  is even
  • 14.
    5 a xn dx  0 b , if f  x   0 for a  x  b , if f  x   0 for a  x  b 0 6 a f  x dx  a g  x dx b b , if f  x   g  x  for a  x  b 7 a f  x dx   b f  x dx b a a 8  f  x   0 , a a a a 0 if f  x  is odd 9  f  x   2 f  x  , if f  x  is even NOTE : odd  odd  even odd  even  odd even  even  even
  • 15.
    2 e.g. (i) 6 x 2 dx 1
  • 16.
    2 e.g. (i) 6 x 2 dx 1 2 1 x 3   6  3 1 
  • 17.
    2 e.g. (i) 6 x 2 dx 1 2 1 x 3   6  3 1   223  13   14
  • 18.
    2 e.g. (i) 6 x 2 dx 1 5 ii   3 xdx 0 2 1 x 3   6  3 1   223  13   14
  • 19.
    2 e.g. (i) 6 x 2 dx 1 2 1 x 3   6  3 1   223  13   14 5 5 0 0 1 3 ii   3 xdx   x dx
  • 20.
    2 e.g. (i) 6 x 2 dx 1 2 1 x 3   6  3 1   223  13   14 5 5 0 0 1 3 ii   3 xdx   x dx 5 3   x  4  0 4 3
  • 21.
    2 e.g. (i) 6 x 2 dx 1 2 1 x 3   6  3 1   223  13   14 5 5 0 0 1 3 ii   3 xdx   x dx 5 3   x  4  0 3 3 5  x x 0 4 4 3
  • 22.
    2 e.g. (i) 6 x 2 dx 1 2 1 x 3   6  3 1   223  13   14 5 5 0 0 1 3 ii   3 xdx   x dx 5 3   x  4  0 3 3 5  x x 0 4 3 3  5 5  0  4 153 5  4 4 3
  • 23.
    2 iii  sin 5 xdx 2
  • 24.
    2 iii  sin 5 xdx  0 2 odd function 5  odd function
  • 25.
    2 iii  sin 5 xdx  0 2 1 iv  x 3  2 x 2  x  1dx 1 odd function 5  odd function
  • 26.
    2 iii  sin 5 xdx  0 odd function 5  odd function 2 1 1 1 0 iv  x 3  2 x 2  x  1dx  2 2 x 2  1dx
  • 27.
    2 iii  sin 5 xdx  0 odd function 5  odd function 2 1 1 1 0 iv  x 3  2 x 2  x  1dx  2 2 x 2  1dx 1  2 x3  x  2 0 3 
  • 28.
    2 iii  sin 5 xdx  0 odd function 5  odd function 2 1 1 1 0 iv  x 3  2 x 2  x  1dx  2 2 x 2  1dx 1  2 x3  x  2 0 3   2 1 3  1  0  2    3  10  3
  • 29.
    2 iii  sin 5 xdx  0 odd function 5  odd function 2 1 1 1 0 iv  x 3  2 x 2  x  1dx  2 2 x 2  1dx 1  2 x3  x  2 0 3   2 1 3  1  0  2    3  10  3 Exercise 11C; 1bce, 2adf, 3ab (i, iii), 4bcf, 5, 6ac, 7df, 8b, 12b, 13*