Factorising Complex
Expressions
Factorising Complex
Expressions
If a polynomial’s coefficients are all real then the roots will appear
in complex conjugate pairs.
Factorising Complex
Expressions
If a polynomial’s coefficients are all real then the roots will appear
in complex conjugate pairs.
Every polynomial of degree n can be;
• factorised as a mixture of quadratic and linear factors over the
real field
Factorising Complex
Expressions
If a polynomial’s coefficients are all real then the roots will appear
in complex conjugate pairs.
Every polynomial of degree n can be;
• factorised as a mixture of quadratic and linear factors over the
real field
• factorised to n linear factors over the complex field
Factorising Complex
Expressions
If a polynomial’s coefficients are all real then the roots will appear
in complex conjugate pairs.
Every polynomial of degree n can be;
• factorised as a mixture of quadratic and linear factors over the
real field
• factorised to n linear factors over the complex field
NOTE: odd ordered polynomials must have a real root
Factorising Complex
Expressions
If a polynomial’s coefficients are all real then the roots will appear
in complex conjugate pairs.
Every polynomial of degree n can be;
• factorised as a mixture of quadratic and linear factors over the
real field
• factorised to n linear factors over the complex field
NOTE: odd ordered polynomials must have a real root
e.g . i  x 2  2 x  2
Factorising Complex
Expressions
If a polynomial’s coefficients are all real then the roots will appear
in complex conjugate pairs.
Every polynomial of degree n can be;
• factorised as a mixture of quadratic and linear factors over the
real field
• factorised to n linear factors over the complex field
NOTE: odd ordered polynomials must have a real root
e.g . i  x 2  2 x  2   x  12  1
Factorising Complex
Expressions
If a polynomial’s coefficients are all real then the roots will appear
in complex conjugate pairs.
Every polynomial of degree n can be;
• factorised as a mixture of quadratic and linear factors over the
real field
• factorised to n linear factors over the complex field
NOTE: odd ordered polynomials must have a real root
e.g . i  x 2  2 x  2   x  12  1

  x  1  i  x  1  i 
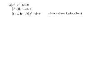
ii  z 4  z 2  12  0
ii  z 4  z 2  12  0

z

2

 3z 2  4   0
ii  z 4  z 2  12  0

z  3z  4  0
z  3 z  3z  4  0
2

2

2

factorised over Real numbers
ii  z 4  z 2  12  0

z  3z  4  0
factorised over Real numbers
z  3 z  3z  4  0
z  3 z  3 z  2i  z  2i   0 factorised over Complex numbers
2

2

2
ii  z 4  z 2  12  0

z  3z  4  0
factorised over Real numbers
z  3 z  3z  4  0
z  3 z  3 z  2i  z  2i   0 factorised over Complex numbers
2

2

2

z   3 or z  2i
ii  z 4  z 2  12  0

z  3z  4  0
factorised over Real numbers
z  3 z  3z  4  0
z  3 z  3 z  2i  z  2i   0 factorised over Complex numbers
2

2

2

z   3 or z  2i
If (x – a) is a factor of P(x), then P(a) = 0
b
If (ax – b) is a factor of P(x), then P  = 0
a
ii  z 4  z 2  12  0

z  3z  4  0
factorised over Real numbers
z  3 z  3z  4  0
z  3 z  3 z  2i  z  2i   0 factorised over Complex numbers
2

2

2

z   3 or z  2i
If (x – a) is a factor of P(x), then P(a) = 0
b
If (ax – b) is a factor of P(x), then P  = 0
a

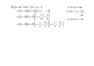
iii  Factorise 2 x 3  3x 2  8 x  5
ii  z 4  z 2  12  0

z  3z  4  0
factorised over Real numbers
z  3 z  3z  4  0
z  3 z  3 z  2i  z  2i   0 factorised over Complex numbers
2

2

2

z   3 or z  2i
If (x – a) is a factor of P(x), then P(a) = 0
b
If (ax – b) is a factor of P(x), then P  = 0
a

iii  Factorise 2 x 3  3x 2  8 x  5
as it is a cubic it must have a real factor
ii  z 4  z 2  12  0

z  3z  4  0
factorised over Real numbers
z  3 z  3z  4  0
z  3 z  3 z  2i  z  2i   0 factorised over Complex numbers
2

2

2

z   3 or z  2i
If (x – a) is a factor of P(x), then P(a) = 0
b
If (ax – b) is a factor of P(x), then P  = 0
a

iii  Factorise 2 x 3  3x 2  8 x  5
as it is a cubic it must have a real factor
3
2
1  1
1


 1 5
P   2    3   8 
 2  2
 2
 2
1 3
   45
4 4
0
ii  z 4  z 2  12  0

z  3z  4  0
factorised over Real numbers
z  3 z  3z  4  0
z  3 z  3 z  2i  z  2i   0 factorised over Complex numbers
2

2

2

z   3 or z  2i
If (x – a) is a factor of P(x), then P(a) = 0
b
If (ax – b) is a factor of P(x), then P  = 0
a

iii  Factorise 2 x 3  3x 2  8 x  5
as it is a cubic it must have a real factor
3
2
1  1
1


 1 5
 2 x3  3x 2  8 x  5
P   2    3   8 
 2  2
 2
 2
  2 x  1  x 2  2 x  5 
1 3
   45
4 4
0
ii  z 4  z 2  12  0

z  3z  4  0
factorised over Real numbers
z  3 z  3z  4  0
z  3 z  3 z  2i  z  2i   0 factorised over Complex numbers
2

2

2

z   3 or z  2i
If (x – a) is a factor of P(x), then P(a) = 0
b
If (ax – b) is a factor of P(x), then P  = 0
a

iii  Factorise 2 x 3  3x 2  8 x  5
as it is a cubic it must have a real factor
3
2
1  1
1


 1 5
 2 x3  3x 2  8 x  5
P   2    3   8 
 2  2
 2
 2
  2 x  1  x 2  2 x  5 
1 3
   45
2
 2 x  1  x  1  4
4 4
0




ii  z 4  z 2  12  0

z  3z  4  0
factorised over Real numbers
z  3 z  3z  4  0
z  3 z  3 z  2i  z  2i   0 factorised over Complex numbers
2

2

2

z   3 or z  2i
If (x – a) is a factor of P(x), then P(a) = 0
b
If (ax – b) is a factor of P(x), then P  = 0
a

iii  Factorise 2 x 3  3x 2  8 x  5
as it is a cubic it must have a real factor
3
2
1  1
1


 1 5
 2 x3  3x 2  8 x  5
P   2    3   8 
 2  2
 2
 2
  2 x  1  x 2  2 x  5 
1 3
   45
2
 2 x  1  x  1  4
4 4
 2 x  1 x  1  2i  x  1  2i 
0




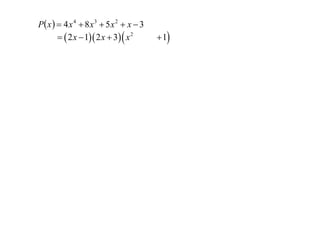
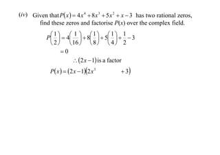
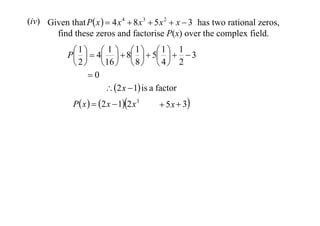
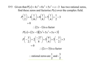
(iv) Given that P x   4 x 4  8 x 3  5 x 2  x  3 has two rational zeros,
find these zeros and factorise P(x) over the complex field.
(iv) Given that P x   4 x 4  8 x 3  5 x 2  x  3 has two rational zeros,
find these zeros and factorise P(x) over the complex field.

 1   4 1   8 1   5 1   1  3
P       
 2   16   8   4  2
0
 2 x  1 is a factor
(iv) Given that P x   4 x 4  8 x 3  5 x 2  x  3 has two rational zeros,
find these zeros and factorise P(x) over the complex field.
 1   4 1   8 1   5 1   1  3
P       
 2   16   8   4  2
0
 2 x  1 is a factor
P x   2 x  12 x 3

 3
(iv) Given that P x   4 x 4  8 x 3  5 x 2  x  3 has two rational zeros,
find these zeros and factorise P(x) over the complex field.
 1   4 1   8 1   5 1   1  3
P       
 2   16   8   4  2
0
 2 x  1 is a factor
P x   2 x  12 x 3

 5 x  3
(iv) Given that P x   4 x 4  8 x 3  5 x 2  x  3 has two rational zeros,
find these zeros and factorise P(x) over the complex field.
 1   4 1   8 1   5 1   1  3
P       
 2   16   8   4  2
0
 2 x  1 is a factor
P x   2 x  12 x 3 5x 2  5 x  3
(iv) Given that P x   4 x 4  8 x 3  5 x 2  x  3 has two rational zeros,
find these zeros and factorise P(x) over the complex field.
 1   4 1   8 1   5 1   1  3
P       
 2   16   8   4  2
0
 2 x  1 is a factor
P x   2 x  12 x 3 5x 2  5 x  3

 3    27   9   3 
P    2
  5   5    3
 2  8   4  2
0
(iv) Given that P x   4 x 4  8 x 3  5 x 2  x  3 has two rational zeros,
find these zeros and factorise P(x) over the complex field.
 1   4 1   8 1   5 1   1  3
P       
 2   16   8   4  2
0
 2 x  1 is a factor
P x   2 x  12 x 3 5x 2  5 x  3

 3    27   9   3 
P    2
  5   5    3
 2  8   4  2
0
 2 x  3 is a factor

3
1
 rational zeros are and 2
2
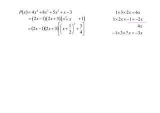
P x   4 x 4  8 x 3  5 x 2  x  3
P x   4 x 4  8 x 3  5 x 2  x  3
  2 x  1 2 x  3  x 2

 1
P x   4 x 4  8 x 3  5 x 2  x  3
  2 x  1 2 x  3  x 2

 1

1 3  2 x  6 x
1 2 x  1  2 x
P x   4 x 4  8 x 3  5 x 2  x  3
  2 x  1 2 x  3  x 2

 1

1 3  2 x  6 x
1 2 x  1  2 x
4x
 1 3  ? x  3 x
P x   4 x 4  8 x 3  5 x 2  x  3
  2 x  1 2 x  3  x 2 x

 1

1 3  2 x  6 x
1 2 x  1  2 x
4x
 1 3  ? x  3 x
P x   4 x 4  8 x 3  5 x 2  x  3
  2 x  1 2 x  3  x 2 x
 1
2

1  3
 2 x  12 x  3 x    
2  4


1 3  2 x  6 x
1 2 x  1  2 x
4x
 1 3  ? x  3 x
P x   4 x 4  8 x 3  5 x 2  x  3
1 3  2 x  6 x
  2 x  1 2 x  3  x 2 x
 1
1 2 x  1  2 x
2

1  3
4x
 2 x  12 x  3 x    
2  4
 1 3  ? x  3 x

1
3 
1
3 

 2 x  12 x  3 x  
i  x  
i
2 2 
2 2 

P x   4 x 4  8 x 3  5 x 2  x  3
1 3  2 x  6 x
  2 x  1 2 x  3  x 2 x
 1
1 2 x  1  2 x
2

1  3
4x
 2 x  12 x  3 x    
2  4
 1 3  ? x  3 x

1
3 
1
3 

 2 x  12 x  3 x  
i  x  
i
2 2 
2 2 


Cambridge: Exercise 5A; 1b, 2, 3, 5, 6, 7b, 8, 9, 10, 12 to 15

X2 t02 01 factorising complex expressions (2013)

  • 1.
  • 2.
    Factorising Complex Expressions If apolynomial’s coefficients are all real then the roots will appear in complex conjugate pairs.
  • 3.
    Factorising Complex Expressions If apolynomial’s coefficients are all real then the roots will appear in complex conjugate pairs. Every polynomial of degree n can be; • factorised as a mixture of quadratic and linear factors over the real field
  • 4.
    Factorising Complex Expressions If apolynomial’s coefficients are all real then the roots will appear in complex conjugate pairs. Every polynomial of degree n can be; • factorised as a mixture of quadratic and linear factors over the real field • factorised to n linear factors over the complex field
  • 5.
    Factorising Complex Expressions If apolynomial’s coefficients are all real then the roots will appear in complex conjugate pairs. Every polynomial of degree n can be; • factorised as a mixture of quadratic and linear factors over the real field • factorised to n linear factors over the complex field NOTE: odd ordered polynomials must have a real root
  • 6.
    Factorising Complex Expressions If apolynomial’s coefficients are all real then the roots will appear in complex conjugate pairs. Every polynomial of degree n can be; • factorised as a mixture of quadratic and linear factors over the real field • factorised to n linear factors over the complex field NOTE: odd ordered polynomials must have a real root e.g . i  x 2  2 x  2
  • 7.
    Factorising Complex Expressions If apolynomial’s coefficients are all real then the roots will appear in complex conjugate pairs. Every polynomial of degree n can be; • factorised as a mixture of quadratic and linear factors over the real field • factorised to n linear factors over the complex field NOTE: odd ordered polynomials must have a real root e.g . i  x 2  2 x  2   x  12  1
  • 8.
    Factorising Complex Expressions If apolynomial’s coefficients are all real then the roots will appear in complex conjugate pairs. Every polynomial of degree n can be; • factorised as a mixture of quadratic and linear factors over the real field • factorised to n linear factors over the complex field NOTE: odd ordered polynomials must have a real root e.g . i  x 2  2 x  2   x  12  1   x  1  i  x  1  i 
  • 9.
    ii  z4  z 2  12  0
  • 10.
    ii  z4  z 2  12  0 z 2  3z 2  4   0
  • 11.
    ii  z4  z 2  12  0 z  3z  4  0 z  3 z  3z  4  0 2 2 2 factorised over Real numbers
  • 12.
    ii  z4  z 2  12  0 z  3z  4  0 factorised over Real numbers z  3 z  3z  4  0 z  3 z  3 z  2i  z  2i   0 factorised over Complex numbers 2 2 2
  • 13.
    ii  z4  z 2  12  0 z  3z  4  0 factorised over Real numbers z  3 z  3z  4  0 z  3 z  3 z  2i  z  2i   0 factorised over Complex numbers 2 2 2 z   3 or z  2i
  • 14.
    ii  z4  z 2  12  0 z  3z  4  0 factorised over Real numbers z  3 z  3z  4  0 z  3 z  3 z  2i  z  2i   0 factorised over Complex numbers 2 2 2 z   3 or z  2i If (x – a) is a factor of P(x), then P(a) = 0 b If (ax – b) is a factor of P(x), then P  = 0 a
  • 15.
    ii  z4  z 2  12  0 z  3z  4  0 factorised over Real numbers z  3 z  3z  4  0 z  3 z  3 z  2i  z  2i   0 factorised over Complex numbers 2 2 2 z   3 or z  2i If (x – a) is a factor of P(x), then P(a) = 0 b If (ax – b) is a factor of P(x), then P  = 0 a iii  Factorise 2 x 3  3x 2  8 x  5
  • 16.
    ii  z4  z 2  12  0 z  3z  4  0 factorised over Real numbers z  3 z  3z  4  0 z  3 z  3 z  2i  z  2i   0 factorised over Complex numbers 2 2 2 z   3 or z  2i If (x – a) is a factor of P(x), then P(a) = 0 b If (ax – b) is a factor of P(x), then P  = 0 a iii  Factorise 2 x 3  3x 2  8 x  5 as it is a cubic it must have a real factor
  • 17.
    ii  z4  z 2  12  0 z  3z  4  0 factorised over Real numbers z  3 z  3z  4  0 z  3 z  3 z  2i  z  2i   0 factorised over Complex numbers 2 2 2 z   3 or z  2i If (x – a) is a factor of P(x), then P(a) = 0 b If (ax – b) is a factor of P(x), then P  = 0 a iii  Factorise 2 x 3  3x 2  8 x  5 as it is a cubic it must have a real factor 3 2 1  1 1    1 5 P   2    3   8   2  2  2  2 1 3    45 4 4 0
  • 18.
    ii  z4  z 2  12  0 z  3z  4  0 factorised over Real numbers z  3 z  3z  4  0 z  3 z  3 z  2i  z  2i   0 factorised over Complex numbers 2 2 2 z   3 or z  2i If (x – a) is a factor of P(x), then P(a) = 0 b If (ax – b) is a factor of P(x), then P  = 0 a iii  Factorise 2 x 3  3x 2  8 x  5 as it is a cubic it must have a real factor 3 2 1  1 1    1 5  2 x3  3x 2  8 x  5 P   2    3   8   2  2  2  2   2 x  1  x 2  2 x  5  1 3    45 4 4 0
  • 19.
    ii  z4  z 2  12  0 z  3z  4  0 factorised over Real numbers z  3 z  3z  4  0 z  3 z  3 z  2i  z  2i   0 factorised over Complex numbers 2 2 2 z   3 or z  2i If (x – a) is a factor of P(x), then P(a) = 0 b If (ax – b) is a factor of P(x), then P  = 0 a iii  Factorise 2 x 3  3x 2  8 x  5 as it is a cubic it must have a real factor 3 2 1  1 1    1 5  2 x3  3x 2  8 x  5 P   2    3   8   2  2  2  2   2 x  1  x 2  2 x  5  1 3    45 2  2 x  1  x  1  4 4 4 0  
  • 20.
    ii  z4  z 2  12  0 z  3z  4  0 factorised over Real numbers z  3 z  3z  4  0 z  3 z  3 z  2i  z  2i   0 factorised over Complex numbers 2 2 2 z   3 or z  2i If (x – a) is a factor of P(x), then P(a) = 0 b If (ax – b) is a factor of P(x), then P  = 0 a iii  Factorise 2 x 3  3x 2  8 x  5 as it is a cubic it must have a real factor 3 2 1  1 1    1 5  2 x3  3x 2  8 x  5 P   2    3   8   2  2  2  2   2 x  1  x 2  2 x  5  1 3    45 2  2 x  1  x  1  4 4 4  2 x  1 x  1  2i  x  1  2i  0  
  • 21.
    (iv) Given thatP x   4 x 4  8 x 3  5 x 2  x  3 has two rational zeros, find these zeros and factorise P(x) over the complex field.
  • 22.
    (iv) Given thatP x   4 x 4  8 x 3  5 x 2  x  3 has two rational zeros, find these zeros and factorise P(x) over the complex field.  1   4 1   8 1   5 1   1  3 P         2   16   8   4  2 0  2 x  1 is a factor
  • 23.
    (iv) Given thatP x   4 x 4  8 x 3  5 x 2  x  3 has two rational zeros, find these zeros and factorise P(x) over the complex field.  1   4 1   8 1   5 1   1  3 P         2   16   8   4  2 0  2 x  1 is a factor P x   2 x  12 x 3  3
  • 24.
    (iv) Given thatP x   4 x 4  8 x 3  5 x 2  x  3 has two rational zeros, find these zeros and factorise P(x) over the complex field.  1   4 1   8 1   5 1   1  3 P         2   16   8   4  2 0  2 x  1 is a factor P x   2 x  12 x 3  5 x  3
  • 25.
    (iv) Given thatP x   4 x 4  8 x 3  5 x 2  x  3 has two rational zeros, find these zeros and factorise P(x) over the complex field.  1   4 1   8 1   5 1   1  3 P         2   16   8   4  2 0  2 x  1 is a factor P x   2 x  12 x 3 5x 2  5 x  3
  • 26.
    (iv) Given thatP x   4 x 4  8 x 3  5 x 2  x  3 has two rational zeros, find these zeros and factorise P(x) over the complex field.  1   4 1   8 1   5 1   1  3 P         2   16   8   4  2 0  2 x  1 is a factor P x   2 x  12 x 3 5x 2  5 x  3  3    27   9   3  P    2   5   5    3  2  8   4  2 0
  • 27.
    (iv) Given thatP x   4 x 4  8 x 3  5 x 2  x  3 has two rational zeros, find these zeros and factorise P(x) over the complex field.  1   4 1   8 1   5 1   1  3 P         2   16   8   4  2 0  2 x  1 is a factor P x   2 x  12 x 3 5x 2  5 x  3  3    27   9   3  P    2   5   5    3  2  8   4  2 0  2 x  3 is a factor 3 1  rational zeros are and 2 2
  • 28.
    P x  4 x 4  8 x 3  5 x 2  x  3
  • 29.
    P x  4 x 4  8 x 3  5 x 2  x  3   2 x  1 2 x  3  x 2  1
  • 30.
    P x  4 x 4  8 x 3  5 x 2  x  3   2 x  1 2 x  3  x 2  1 1 3  2 x  6 x 1 2 x  1  2 x
  • 31.
    P x  4 x 4  8 x 3  5 x 2  x  3   2 x  1 2 x  3  x 2  1 1 3  2 x  6 x 1 2 x  1  2 x 4x  1 3  ? x  3 x
  • 32.
    P x  4 x 4  8 x 3  5 x 2  x  3   2 x  1 2 x  3  x 2 x  1 1 3  2 x  6 x 1 2 x  1  2 x 4x  1 3  ? x  3 x
  • 33.
    P x  4 x 4  8 x 3  5 x 2  x  3   2 x  1 2 x  3  x 2 x  1 2  1  3  2 x  12 x  3 x     2  4  1 3  2 x  6 x 1 2 x  1  2 x 4x  1 3  ? x  3 x
  • 34.
    P x  4 x 4  8 x 3  5 x 2  x  3 1 3  2 x  6 x   2 x  1 2 x  3  x 2 x  1 1 2 x  1  2 x 2  1  3 4x  2 x  12 x  3 x     2  4  1 3  ? x  3 x  1 3  1 3    2 x  12 x  3 x   i  x   i 2 2  2 2  
  • 35.
    P x  4 x 4  8 x 3  5 x 2  x  3 1 3  2 x  6 x   2 x  1 2 x  3  x 2 x  1 1 2 x  1  2 x 2  1  3 4x  2 x  12 x  3 x     2  4  1 3  ? x  3 x  1 3  1 3    2 x  12 x  3 x   i  x   i 2 2  2 2   Cambridge: Exercise 5A; 1b, 2, 3, 5, 6, 7b, 8, 9, 10, 12 to 15