Integrating
Exponentials
Integrating
Exponentials
e ax dx 

Integrating
Exponentials
1 ax
 e dx  a e  c
ax
Integrating
Exponentials
1 ax
 e dx  a e  c
ax



f  x e f  x dx 
Integrating
Exponentials
1 ax
 e dx  a e  c
ax



f  x e f  x dx  e f  x   c
Integrating
Exponentials
1 ax
 e dx  a e  c
ax


e.g. i   e5 x dx

f  x e f  x dx  e f  x   c
Integrating
Exponentials
1 ax
 e dx  a e  c
ax


e.g. i   e5 x dx
1
 e5 x  c
5

f  x e f  x dx  e f  x   c
Integrating
Exponentials
1 ax
 e dx  a e  c
ax


e.g. i   e5 x dx
1
 e5 x  c
5

f  x e f  x dx  e f  x   c

OR

e5 x dx

1
  5e5 x dx
5
Integrating
Exponentials
1 ax
 e dx  a e  c
ax


e.g. i   e5 x dx
1
 e5 x  c
5

f  x e f  x dx  e f  x   c

OR

e5 x dx

1
  5e5 x dx
5
1
 e5 x  c
5
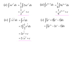
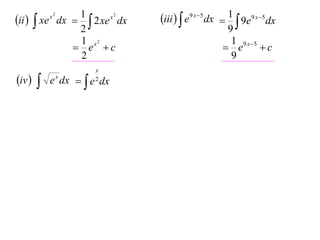
ii   xe dx
x2
1
x2
ii   xe dx   2 xe dx
2
x2
1
x2
ii   xe dx   2 xe dx
2
1 x2
 e c
2
x2
1
x2
ii   xe dx   2 xe dx
2
1 x2
 e c
2
x2

iii   e9 x 5 dx  1  9e9 x 5 dx
9
1
x2
ii   xe dx   2 xe dx
2
1 x2
 e c
2
x2

iii   e9 x 5 dx  1  9e9 x 5 dx
9
1 9 x 5
 e
c
9
1
x2
ii   xe dx   2 xe dx
2
1 x2
 e c
2
x2

iv 



e x dx

iii   e9 x 5 dx  1  9e9 x 5 dx
9
1 9 x 5
 e
c
9
1
x2
ii   xe dx   2 xe dx
2
1 x2
 e c
2
x2

iv 



x
2

e x dx   e dx

iii   e9 x 5 dx  1  9e9 x 5 dx
9
1 9 x 5
 e
c
9
1
x2
ii   xe dx   2 xe dx
2
1 x2
 e c
2
x2

iv 



x
2

e x dx   e dx
x

1
 2  e 2 dx
2

iii   e9 x 5 dx  1  9e9 x 5 dx
9
1 9 x 5
 e
c
9
1
x2
ii   xe dx   2 xe dx
2
1 x2
 e c
2
x2

iv 



x
2

e x dx   e dx
x

1
 2  e 2 dx
2
x
2

 2e  c
 2 ex  c

iii   e9 x 5 dx  1  9e9 x 5 dx
9
1 9 x 5
 e
c
9
1
x2
ii   xe dx   2 xe dx
2
1 x2
 e c
2
x2

iv 



x
2

e x dx   e dx
x

1
 2  e 2 dx
2
x
2

 2e  c
 2 ex  c

iii   e9 x 5 dx  1  9e9 x 5 dx
9
1 9 x 5
 e
c
9

v 

 e

x

 1e x  3dx
1
x2
ii   xe dx   2 xe dx
2
1 x2
 e c
2
x2

iv 



x
2

e x dx   e dx
x

1
 2  e 2 dx
2
x
2

 2e  c
 2 ex  c

iii   e9 x 5 dx  1  9e9 x 5 dx
9
1 9 x 5
 e
c
9

v 

 e  1e  3dx
  e  2e  3dx
x

x

2x

x
1
x2
ii   xe dx   2 xe dx
2
1 x2
 e c
2
x2

iv 



x
2

e x dx   e dx
x

1
 2  e 2 dx
2
x
2

 2e  c
 2 ex  c

iii   e9 x 5 dx  1  9e9 x 5 dx
9
1 9 x 5
 e
c
9

v 

 e  1e  3dx
  e  2e  3dx
x

x

2x

x

1 2x
 e  2e x  3 x  c
2
1
x2
ii   xe dx   2 xe dx
2
1 x2
 e c
2
x2

iv 



x
2

e x dx   e dx
x

1
 2  e 2 dx
2
x
2

 2e  c
 2 ex  c

iii   e9 x 5 dx  1  9e9 x 5 dx
9
1 9 x 5
 e
c
9

v 

 e  1e  3dx
  e  2e  3dx
x

x

2x

x

1 2x
 e  2e x  3 x  c
2
e5 x  e x
vi   2 x dx
e
1
x2
ii   xe dx   2 xe dx
2
1 x2
 e c
2
x2

iv 



x
2

e x dx   e dx
x

1
 2  e 2 dx
2
x
2

 2e  c
 2 ex  c

iii   e9 x 5 dx  1  9e9 x 5 dx
9
1 9 x 5
 e
c
9

v 

 e  1e  3dx
  e  2e  3dx
x

x

2x

x

1 2x
 e  2e x  3 x  c
2
e5 x  e x
vi   2 x dx
e
  e3 x  e  x dx
1
x2
ii   xe dx   2 xe dx
2
1 x2
 e c
2
x2

iv 



x
2

e x dx   e dx
x

1
 2  e 2 dx
2
x
2

 2e  c
 2 ex  c

iii   e9 x 5 dx  1  9e9 x 5 dx
9
1 9 x 5
 e
c
9

v 

 e  1e  3dx
  e  2e  3dx
x

x

2x

x

1 2x
 e  2e x  3 x  c
2
e5 x  e x
vi   2 x dx
e
  e3 x  e  x dx
1 3x x
 e e c
3
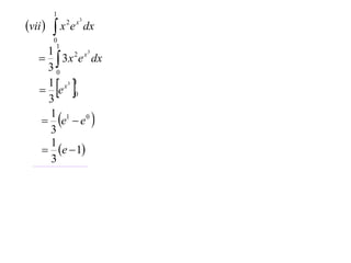
vii 

1

x e

2 x3

0

dx
vii 

1

x e

2 x3

0
1

dx

1
2 x3
  3 x e dx
30
vii 

1

x e

2 x3

0
1

dx

1
2 x3
  3 x e dx
30
1 x3 1
 e 0
3

 
vii 

1

x e

2 x3

0
1

dx

1
2 x3
  3 x e dx
30
1 x3 1
 e 0
3
1 1 0
 e  e 
3

 
vii 

1

x e

2 x3

0
1

dx

1
2 x3
  3 x e dx
30
1 x3 1
 e 0
3
1 1 0
 e  e 
3
1
 e  1
3

 
vii 

1

x e

2 x3

0
1

dx

1
2 x3
  3 x e dx
30
1 x3 1
 e 0
3
1 1 0
 e  e 
3
1
 e  1
3

 

viii   3x dx
vii 

1

x e

2 x3

0
1

dx

1
2 x3
  3 x e dx
30
1 x3 1
 e 0
3
1 1 0
 e  e 
3
1
 e  1
3

 

viii   3x dx
3x

c
log 3
vii 

1

x e

2 x3

0
1

dx

1
2 x3
  3 x e dx
30
1 x3 1
 e 0
3
1 1 0
 e  e 
3
1
 e  1
3

viii   3x dx
3x

c
log 3

 

Exercise 13C; 2 to 8 ace etc, 9, 10,
11, 13, 17

Exercise 13D; 2 to 18 evens, 21*

12 x1 t02 02 integrating exponentials (2014)

  • 1.
  • 2.
  • 3.
  • 4.
    Integrating Exponentials 1 ax  edx  a e  c ax  f  x e f  x dx 
  • 5.
    Integrating Exponentials 1 ax  edx  a e  c ax  f  x e f  x dx  e f  x   c
  • 6.
    Integrating Exponentials 1 ax  edx  a e  c ax  e.g. i   e5 x dx f  x e f  x dx  e f  x   c
  • 7.
    Integrating Exponentials 1 ax  edx  a e  c ax  e.g. i   e5 x dx 1  e5 x  c 5 f  x e f  x dx  e f  x   c
  • 8.
    Integrating Exponentials 1 ax  edx  a e  c ax  e.g. i   e5 x dx 1  e5 x  c 5 f  x e f  x dx  e f  x   c OR e5 x dx  1   5e5 x dx 5
  • 9.
    Integrating Exponentials 1 ax  edx  a e  c ax  e.g. i   e5 x dx 1  e5 x  c 5 f  x e f  x dx  e f  x   c OR e5 x dx  1   5e5 x dx 5 1  e5 x  c 5
  • 10.
    ii  xe dx x2
  • 11.
    1 x2 ii  xe dx   2 xe dx 2 x2
  • 12.
    1 x2 ii  xe dx   2 xe dx 2 1 x2  e c 2 x2
  • 13.
    1 x2 ii  xe dx   2 xe dx 2 1 x2  e c 2 x2 iii   e9 x 5 dx  1  9e9 x 5 dx 9
  • 14.
    1 x2 ii  xe dx   2 xe dx 2 1 x2  e c 2 x2 iii   e9 x 5 dx  1  9e9 x 5 dx 9 1 9 x 5  e c 9
  • 15.
    1 x2 ii  xe dx   2 xe dx 2 1 x2  e c 2 x2 iv   e x dx iii   e9 x 5 dx  1  9e9 x 5 dx 9 1 9 x 5  e c 9
  • 16.
    1 x2 ii  xe dx   2 xe dx 2 1 x2  e c 2 x2 iv   x 2 e x dx   e dx iii   e9 x 5 dx  1  9e9 x 5 dx 9 1 9 x 5  e c 9
  • 17.
    1 x2 ii  xe dx   2 xe dx 2 1 x2  e c 2 x2 iv   x 2 e x dx   e dx x 1  2  e 2 dx 2 iii   e9 x 5 dx  1  9e9 x 5 dx 9 1 9 x 5  e c 9
  • 18.
    1 x2 ii  xe dx   2 xe dx 2 1 x2  e c 2 x2 iv   x 2 e x dx   e dx x 1  2  e 2 dx 2 x 2  2e  c  2 ex  c iii   e9 x 5 dx  1  9e9 x 5 dx 9 1 9 x 5  e c 9
  • 19.
    1 x2 ii  xe dx   2 xe dx 2 1 x2  e c 2 x2 iv   x 2 e x dx   e dx x 1  2  e 2 dx 2 x 2  2e  c  2 ex  c iii   e9 x 5 dx  1  9e9 x 5 dx 9 1 9 x 5  e c 9 v   e x  1e x  3dx
  • 20.
    1 x2 ii  xe dx   2 xe dx 2 1 x2  e c 2 x2 iv   x 2 e x dx   e dx x 1  2  e 2 dx 2 x 2  2e  c  2 ex  c iii   e9 x 5 dx  1  9e9 x 5 dx 9 1 9 x 5  e c 9 v   e  1e  3dx   e  2e  3dx x x 2x x
  • 21.
    1 x2 ii  xe dx   2 xe dx 2 1 x2  e c 2 x2 iv   x 2 e x dx   e dx x 1  2  e 2 dx 2 x 2  2e  c  2 ex  c iii   e9 x 5 dx  1  9e9 x 5 dx 9 1 9 x 5  e c 9 v   e  1e  3dx   e  2e  3dx x x 2x x 1 2x  e  2e x  3 x  c 2
  • 22.
    1 x2 ii  xe dx   2 xe dx 2 1 x2  e c 2 x2 iv   x 2 e x dx   e dx x 1  2  e 2 dx 2 x 2  2e  c  2 ex  c iii   e9 x 5 dx  1  9e9 x 5 dx 9 1 9 x 5  e c 9 v   e  1e  3dx   e  2e  3dx x x 2x x 1 2x  e  2e x  3 x  c 2 e5 x  e x vi   2 x dx e
  • 23.
    1 x2 ii  xe dx   2 xe dx 2 1 x2  e c 2 x2 iv   x 2 e x dx   e dx x 1  2  e 2 dx 2 x 2  2e  c  2 ex  c iii   e9 x 5 dx  1  9e9 x 5 dx 9 1 9 x 5  e c 9 v   e  1e  3dx   e  2e  3dx x x 2x x 1 2x  e  2e x  3 x  c 2 e5 x  e x vi   2 x dx e   e3 x  e  x dx
  • 24.
    1 x2 ii  xe dx   2 xe dx 2 1 x2  e c 2 x2 iv   x 2 e x dx   e dx x 1  2  e 2 dx 2 x 2  2e  c  2 ex  c iii   e9 x 5 dx  1  9e9 x 5 dx 9 1 9 x 5  e c 9 v   e  1e  3dx   e  2e  3dx x x 2x x 1 2x  e  2e x  3 x  c 2 e5 x  e x vi   2 x dx e   e3 x  e  x dx 1 3x x  e e c 3
  • 25.
  • 26.
    vii  1 x e 2x3 0 1 dx 1 2 x3   3 x e dx 30
  • 27.
    vii  1 x e 2x3 0 1 dx 1 2 x3   3 x e dx 30 1 x3 1  e 0 3  
  • 28.
    vii  1 x e 2x3 0 1 dx 1 2 x3   3 x e dx 30 1 x3 1  e 0 3 1 1 0  e  e  3  
  • 29.
    vii  1 x e 2x3 0 1 dx 1 2 x3   3 x e dx 30 1 x3 1  e 0 3 1 1 0  e  e  3 1  e  1 3  
  • 30.
    vii  1 x e 2x3 0 1 dx 1 2 x3   3 x e dx 30 1 x3 1  e 0 3 1 1 0  e  e  3 1  e  1 3   viii   3x dx
  • 31.
    vii  1 x e 2x3 0 1 dx 1 2 x3   3 x e dx 30 1 x3 1  e 0 3 1 1 0  e  e  3 1  e  1 3   viii   3x dx 3x  c log 3
  • 32.
    vii  1 x e 2x3 0 1 dx 1 2 x3   3 x e dx 30 1 x3 1  e 0 3 1 1 0  e  e  3 1  e  1 3 viii   3x dx 3x  c log 3   Exercise 13C; 2 to 8 ace etc, 9, 10, 11, 13, 17 Exercise 13D; 2 to 18 evens, 21*