Multiple Roots
Multiple Roots
If P(x), has a root, x = a, of multiplicity m,
then P’(x) has a root, x = a, of multiplicity m - 1
Multiple Roots
If P(x), has a root, x = a, of multiplicity m,
then P’(x) has a root, x = a, of multiplicity m - 1
Proof:

P x    x  a  Q x 
m

(m > 1, x = a is not a root of Q(x))
Multiple Roots
If P(x), has a root, x = a, of multiplicity m,
then P’(x) has a root, x = a, of multiplicity m - 1
Proof:

P x    x  a  Q x 
m

(m > 1, x = a is not a root of Q(x))

P x    x  a  Q x   Q x m x  a 

1
m 1
  x  a   x  a Q x   mQ x 
m

m 1
Multiple Roots
If P(x), has a root, x = a, of multiplicity m,
then P’(x) has a root, x = a, of multiplicity m - 1
Proof:

P x    x  a  Q x 
m

(m > 1, x = a is not a root of Q(x))

P x    x  a  Q x   Q x m x  a 

1
m 1
  x  a   x  a Q x   mQ x 
m1
  x  a  R x 
(where x = a is not a root of R(x))
m

m 1
Multiple Roots
If P(x), has a root, x = a, of multiplicity m,
then P’(x) has a root, x = a, of multiplicity m - 1
Proof:

P x    x  a  Q x 
m

(m > 1, x = a is not a root of Q(x))

P x    x  a  Q x   Q x m x  a 

1
m 1
  x  a   x  a Q x   mQ x 
m1
  x  a  R x 
(where x = a is not a root of R(x))
m

m 1

 P’(x) has a root, x = a, of multiplicity m - 1
e.g. (i) Solve the equation x 3  4 x 2  3 x  18  0 , given that it has a
double root
e.g. (i) Solve the equation x 3  4 x 2  3 x  18  0 , given that it has a
double root

P x   x 3  4 x 2  3 x  18
P x   3 x 2  8 x  3
e.g. (i) Solve the equation x 3  4 x 2  3 x  18  0 , given that it has a
double root
P x   x 3  4 x 2  3 x  18
P x   3 x 2  8 x  3
 3 x  1 x  3
1
x   or x  3
double root is
3
e.g. (i) Solve the equation x 3  4 x 2  3 x  18  0 , given that it has a
double root
P x   x 3  4 x 2  3 x  18
P x   3 x 2  8 x  3
 3 x  1 x  3
1
x   or x  3
double root is
3
NOT POSSIBLE
As (3x + 1) is not a factor
e.g. (i) Solve the equation x 3  4 x 2  3 x  18  0 , given that it has a
double root
P x   x 3  4 x 2  3 x  18
P x   3 x 2  8 x  3
 3 x  1 x  3
1
x   or x  3
double root is
3
NOT POSSIBLE
As (3x + 1) is not a factor

x 3  4 x 2  3 x  18  0
 x  32  x  2  0
e.g. (i) Solve the equation x 3  4 x 2  3 x  18  0 , given that it has a
double root
P x   x 3  4 x 2  3 x  18
P x   3 x 2  8 x  3
 3 x  1 x  3
1
x   or x  3
double root is
3
NOT POSSIBLE
As (3x + 1) is not a factor

x 3  4 x 2  3 x  18  0
 x  32  x  2  0
x  2 or x  3
(ii) (1991)
Let x   be a root of the quartic polynomial;
P x   x 4  Ax 3  Bx 2  Ax  1
where 2  B 2  4 A2
a) show that  cannot be 0, 1 or -1
(ii) (1991)
Let x   be a root of the quartic polynomial;
P x   x 4  Ax 3  Bx 2  Ax  1
where 2  B 2  4 A2
a) show that  cannot be 0, 1 or -1

P0   1  0,   0
(ii) (1991)
Let x   be a root of the quartic polynomial;
P x   x 4  Ax 3  Bx 2  Ax  1
where 2  B 2  4 A2
a) show that  cannot be 0, 1 or -1

P0   1  0,   0
P1  1  A  B  A  1
 2A  B  2
(ii) (1991)
Let x   be a root of the quartic polynomial;
P x   x 4  Ax 3  Bx 2  Ax  1
where 2  B 2  4 A2
a) show that  cannot be 0, 1 or -1

P0   1  0,   0
P1  1  A  B  A  1
 2A  B  2

P 1  1  A  B  A  1
 2 A  B  2
(ii) (1991)
Let x   be a root of the quartic polynomial;
P x   x 4  Ax 3  Bx 2  Ax  1
where 2  B 2  4 A2
a) show that  cannot be 0, 1 or -1

P0   1  0,   0
P1  1  A  B  A  1
 2A  B  2
BUT

2  B 2  4 A2

P 1  1  A  B  A  1
 2 A  B  2
(ii) (1991)
Let x   be a root of the quartic polynomial;
P x   x 4  Ax 3  Bx 2  Ax  1
where 2  B 2  4 A2
a) show that  cannot be 0, 1 or -1

P0   1  0,   0
P1  1  A  B  A  1
 2A  B  2
BUT

2  B 2  4 A2

2  B  2 A
 2A  B  2  0

P 1  1  A  B  A  1
 2 A  B  2
(ii) (1991)
Let x   be a root of the quartic polynomial;
P x   x 4  Ax 3  Bx 2  Ax  1
where 2  B 2  4 A2
a) show that  cannot be 0, 1 or -1

P0   1  0,   0
P1  1  A  B  A  1
 2A  B  2
BUT

2  B 2  4 A2

2  B  2 A
 2A  B  2  0
 P1  0, P 1  0
hence   1

P 1  1  A  B  A  1
 2 A  B  2
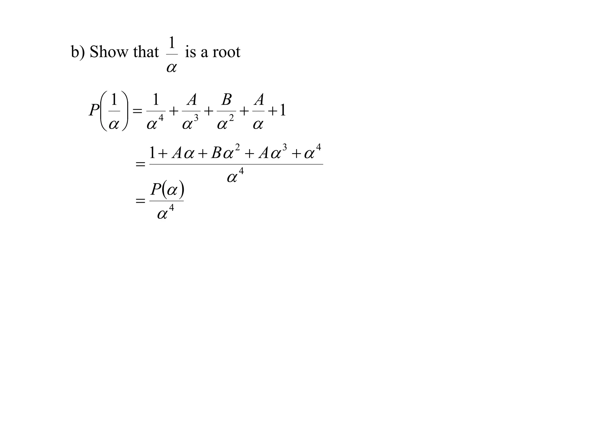
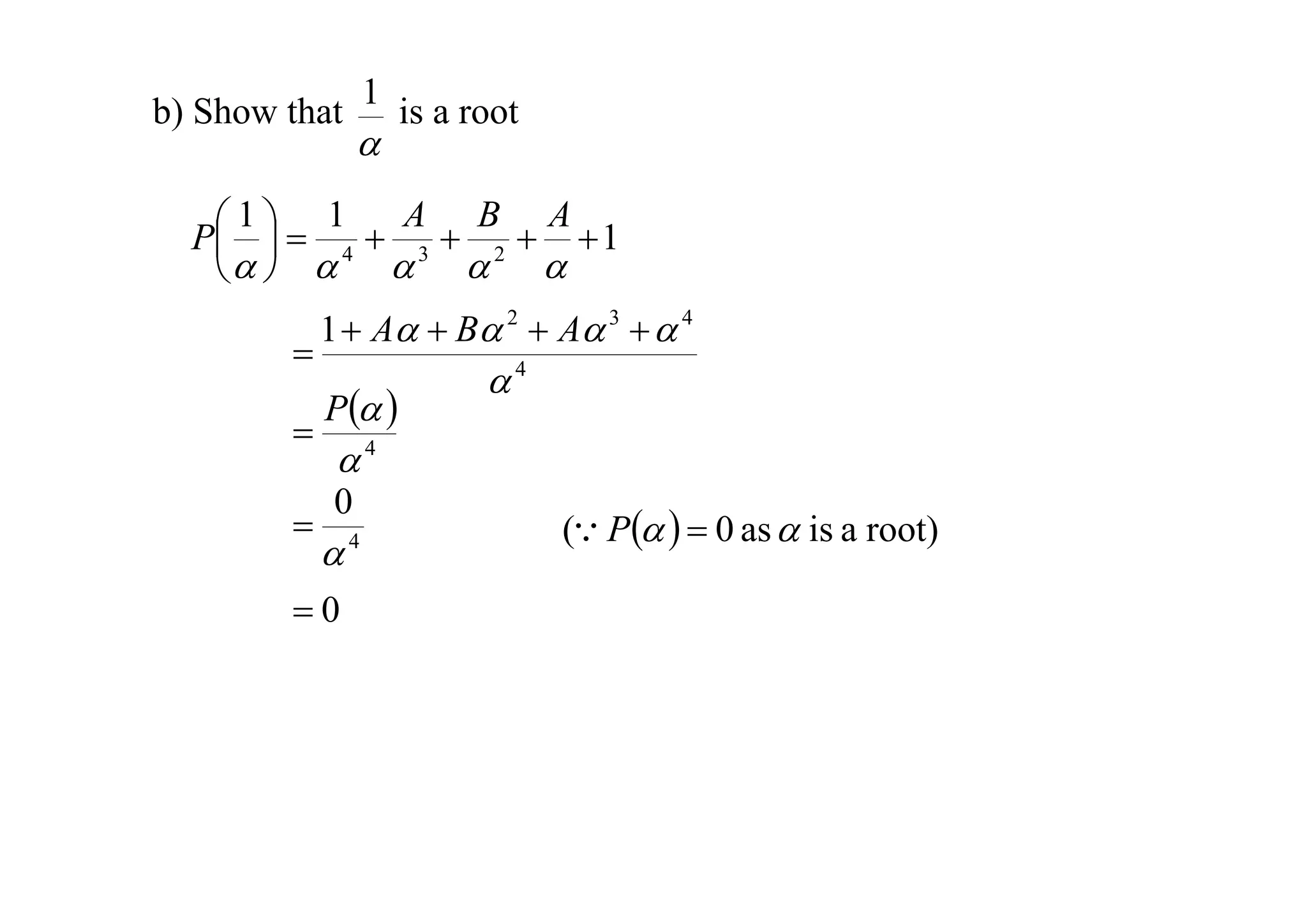
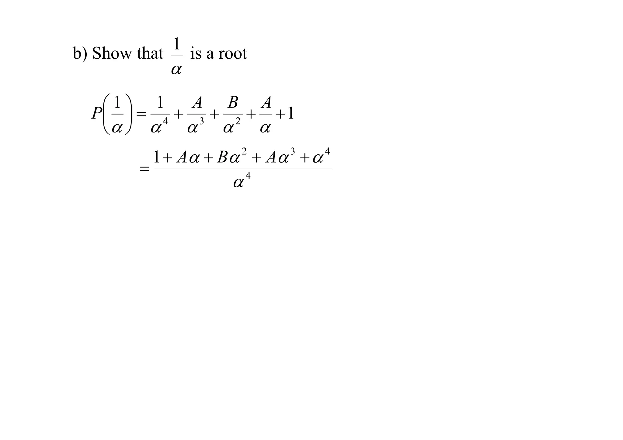
b) Show that

1



is a root
b) Show that

1



is a root

 1   1  A  B  A 1
P 
4
3
2
     
b) Show that

1



is a root

 1   1  A  B  A 1
P 
4
3
2
     


1  A  B 2  A 3   4

4
b) Show that

1



is a root

 1   1  A  B  A 1
P 
4
3
2
     



1  A  B 2  A 3   4

P 

4

4
b) Show that

1



is a root

 1   1  A  B  A 1
P 
4
3
2
     




1  A  B 2  A 3   4

P 

4

4
0

4

0

( P   0 as  is a root)
b) Show that

1



is a root

 1   1  A  B  A 1
P 
4
3
2
     




1  A  B 2  A 3   4
P 

4

4
0

4

0
1

 is a root of P x 



( P   0 as  is a root)
c) Deduce that if  is a multiple root, then its multiplicity is 2 and
4 B  8  A2
c) Deduce that if  is a multiple root, then its multiplicity is 2 and
4 B  8  A2
1
If  is a double root of P x , then so is , which accounts for 4 roots


c) Deduce that if  is a multiple root, then its multiplicity is 2 and
4 B  8  A2
1
If  is a double root of P x , then so is , which accounts for 4 roots



However P(x) is a quartic which has a maximum of 4 roots
c) Deduce that if  is a multiple root, then its multiplicity is 2 and
4 B  8  A2
1
If  is a double root of P x , then so is , which accounts for 4 roots



However P(x) is a quartic which has a maximum of 4 roots
Thus no roots can have a multiplicity > 2
c) Deduce that if  is a multiple root, then its multiplicity is 2 and
4 B  8  A2
1
If  is a double root of P x , then so is , which accounts for 4 roots



However P(x) is a quartic which has a maximum of 4 roots
Thus no roots can have a multiplicity > 2
P x   4 x  3 Ax  2 Bx  A
3

2

let the roots be  ,

1



and 
c) Deduce that if  is a multiple root, then its multiplicity is 2 and
4 B  8  A2
1
If  is a double root of P x , then so is , which accounts for 4 roots



However P(x) is a quartic which has a maximum of 4 roots
Thus no roots can have a multiplicity > 2
P x   4 x  3 Ax  2 Bx  A
1
3
   A
4

 1
1     B
 2
1
  A
4
3

2

let the roots be  ,

1



sum of roots  (1)
   (2)
   (3)

and 
Substitute (3) into (1)
Substitute (3) into (1)



1

1
3
 A A
 4
4
1
1
  A

2
Substitute (3) into (1)



1

1
3
 A A
 4
4
1
1
  A

2

Substitute (3) into (2)
Substitute (3) into (1)



1

1
3
 A A
 4
4
1
1
  A

2

Substitute (3) into (2)
1
1 1 1
1  A  A  B
4
4  2
1
1
1
1 - A    B


4 
 2
1
1
1  A2  B
8
2
8  A2  4 B
Substitute (3) into (1)



1

1
3
 A A
 4
4
1
1
  A

2

Substitute (3) into (2)
1
1 1 1
1  A  A  B
4
4  2
1
1
1
1 - A    B


4 
 2
1
1
1  A2  B
8
2
8  A2  4 B

Cambridge: Exercise 5B; 1 to 16
Patel: Exercise 5B; 6b, 7b, 8 a,c,e,g,h
Substitute (3) into (1)



1

1
3
 A A
 4
4
1
1
  A

2

Substitute (3) into (2)
1
1 1 1
1  A  A  B
4
4  2
1
1
1
1 - A    B


4 
 2
1
1
1  A2  B
8
2
8  A2  4 B

Cambridge: Exercise 5B; 1 to 16
Patel: Exercise 5B; 6b, 7b, 8 a,c,e,g,h
Note: tangent to a cubic has two solutions
only. A double root

and a single root

X2 t02 02 multiple roots (2013)

  • 1.
  • 2.
    Multiple Roots If P(x),has a root, x = a, of multiplicity m, then P’(x) has a root, x = a, of multiplicity m - 1
  • 3.
    Multiple Roots If P(x),has a root, x = a, of multiplicity m, then P’(x) has a root, x = a, of multiplicity m - 1 Proof: P x    x  a  Q x  m (m > 1, x = a is not a root of Q(x))
  • 4.
    Multiple Roots If P(x),has a root, x = a, of multiplicity m, then P’(x) has a root, x = a, of multiplicity m - 1 Proof: P x    x  a  Q x  m (m > 1, x = a is not a root of Q(x)) P x    x  a  Q x   Q x m x  a  1 m 1   x  a   x  a Q x   mQ x  m m 1
  • 5.
    Multiple Roots If P(x),has a root, x = a, of multiplicity m, then P’(x) has a root, x = a, of multiplicity m - 1 Proof: P x    x  a  Q x  m (m > 1, x = a is not a root of Q(x)) P x    x  a  Q x   Q x m x  a  1 m 1   x  a   x  a Q x   mQ x  m1   x  a  R x  (where x = a is not a root of R(x)) m m 1
  • 6.
    Multiple Roots If P(x),has a root, x = a, of multiplicity m, then P’(x) has a root, x = a, of multiplicity m - 1 Proof: P x    x  a  Q x  m (m > 1, x = a is not a root of Q(x)) P x    x  a  Q x   Q x m x  a  1 m 1   x  a   x  a Q x   mQ x  m1   x  a  R x  (where x = a is not a root of R(x)) m m 1  P’(x) has a root, x = a, of multiplicity m - 1
  • 7.
    e.g. (i) Solvethe equation x 3  4 x 2  3 x  18  0 , given that it has a double root
  • 8.
    e.g. (i) Solvethe equation x 3  4 x 2  3 x  18  0 , given that it has a double root P x   x 3  4 x 2  3 x  18 P x   3 x 2  8 x  3
  • 9.
    e.g. (i) Solvethe equation x 3  4 x 2  3 x  18  0 , given that it has a double root P x   x 3  4 x 2  3 x  18 P x   3 x 2  8 x  3  3 x  1 x  3 1 x   or x  3 double root is 3
  • 10.
    e.g. (i) Solvethe equation x 3  4 x 2  3 x  18  0 , given that it has a double root P x   x 3  4 x 2  3 x  18 P x   3 x 2  8 x  3  3 x  1 x  3 1 x   or x  3 double root is 3 NOT POSSIBLE As (3x + 1) is not a factor
  • 11.
    e.g. (i) Solvethe equation x 3  4 x 2  3 x  18  0 , given that it has a double root P x   x 3  4 x 2  3 x  18 P x   3 x 2  8 x  3  3 x  1 x  3 1 x   or x  3 double root is 3 NOT POSSIBLE As (3x + 1) is not a factor x 3  4 x 2  3 x  18  0  x  32  x  2  0
  • 12.
    e.g. (i) Solvethe equation x 3  4 x 2  3 x  18  0 , given that it has a double root P x   x 3  4 x 2  3 x  18 P x   3 x 2  8 x  3  3 x  1 x  3 1 x   or x  3 double root is 3 NOT POSSIBLE As (3x + 1) is not a factor x 3  4 x 2  3 x  18  0  x  32  x  2  0 x  2 or x  3
  • 13.
    (ii) (1991) Let x  be a root of the quartic polynomial; P x   x 4  Ax 3  Bx 2  Ax  1 where 2  B 2  4 A2 a) show that  cannot be 0, 1 or -1
  • 14.
    (ii) (1991) Let x  be a root of the quartic polynomial; P x   x 4  Ax 3  Bx 2  Ax  1 where 2  B 2  4 A2 a) show that  cannot be 0, 1 or -1 P0   1  0,   0
  • 15.
    (ii) (1991) Let x  be a root of the quartic polynomial; P x   x 4  Ax 3  Bx 2  Ax  1 where 2  B 2  4 A2 a) show that  cannot be 0, 1 or -1 P0   1  0,   0 P1  1  A  B  A  1  2A  B  2
  • 16.
    (ii) (1991) Let x  be a root of the quartic polynomial; P x   x 4  Ax 3  Bx 2  Ax  1 where 2  B 2  4 A2 a) show that  cannot be 0, 1 or -1 P0   1  0,   0 P1  1  A  B  A  1  2A  B  2 P 1  1  A  B  A  1  2 A  B  2
  • 17.
    (ii) (1991) Let x  be a root of the quartic polynomial; P x   x 4  Ax 3  Bx 2  Ax  1 where 2  B 2  4 A2 a) show that  cannot be 0, 1 or -1 P0   1  0,   0 P1  1  A  B  A  1  2A  B  2 BUT 2  B 2  4 A2 P 1  1  A  B  A  1  2 A  B  2
  • 18.
    (ii) (1991) Let x  be a root of the quartic polynomial; P x   x 4  Ax 3  Bx 2  Ax  1 where 2  B 2  4 A2 a) show that  cannot be 0, 1 or -1 P0   1  0,   0 P1  1  A  B  A  1  2A  B  2 BUT 2  B 2  4 A2 2  B  2 A  2A  B  2  0 P 1  1  A  B  A  1  2 A  B  2
  • 19.
    (ii) (1991) Let x  be a root of the quartic polynomial; P x   x 4  Ax 3  Bx 2  Ax  1 where 2  B 2  4 A2 a) show that  cannot be 0, 1 or -1 P0   1  0,   0 P1  1  A  B  A  1  2A  B  2 BUT 2  B 2  4 A2 2  B  2 A  2A  B  2  0  P1  0, P 1  0 hence   1 P 1  1  A  B  A  1  2 A  B  2
  • 20.
  • 21.
    b) Show that 1  isa root  1   1  A  B  A 1 P  4 3 2      
  • 22.
    b) Show that 1  isa root  1   1  A  B  A 1 P  4 3 2        1  A  B 2  A 3   4 4
  • 23.
    b) Show that 1  isa root  1   1  A  B  A 1 P  4 3 2         1  A  B 2  A 3   4 P  4 4
  • 24.
    b) Show that 1  isa root  1   1  A  B  A 1 P  4 3 2          1  A  B 2  A 3   4 P  4 4 0 4 0 ( P   0 as  is a root)
  • 25.
    b) Show that 1  isa root  1   1  A  B  A 1 P  4 3 2          1  A  B 2  A 3   4 P  4 4 0 4 0 1  is a root of P x   ( P   0 as  is a root)
  • 26.
    c) Deduce thatif  is a multiple root, then its multiplicity is 2 and 4 B  8  A2
  • 27.
    c) Deduce thatif  is a multiple root, then its multiplicity is 2 and 4 B  8  A2 1 If  is a double root of P x , then so is , which accounts for 4 roots 
  • 28.
    c) Deduce thatif  is a multiple root, then its multiplicity is 2 and 4 B  8  A2 1 If  is a double root of P x , then so is , which accounts for 4 roots  However P(x) is a quartic which has a maximum of 4 roots
  • 29.
    c) Deduce thatif  is a multiple root, then its multiplicity is 2 and 4 B  8  A2 1 If  is a double root of P x , then so is , which accounts for 4 roots  However P(x) is a quartic which has a maximum of 4 roots Thus no roots can have a multiplicity > 2
  • 30.
    c) Deduce thatif  is a multiple root, then its multiplicity is 2 and 4 B  8  A2 1 If  is a double root of P x , then so is , which accounts for 4 roots  However P(x) is a quartic which has a maximum of 4 roots Thus no roots can have a multiplicity > 2 P x   4 x  3 Ax  2 Bx  A 3 2 let the roots be  , 1  and 
  • 31.
    c) Deduce thatif  is a multiple root, then its multiplicity is 2 and 4 B  8  A2 1 If  is a double root of P x , then so is , which accounts for 4 roots  However P(x) is a quartic which has a maximum of 4 roots Thus no roots can have a multiplicity > 2 P x   4 x  3 Ax  2 Bx  A 1 3    A 4   1 1     B  2 1   A 4 3 2 let the roots be  , 1  sum of roots  (1)    (2)    (3) and 
  • 32.
  • 33.
    Substitute (3) into(1)  1 1 3  A A  4 4 1 1   A  2
  • 34.
    Substitute (3) into(1)  1 1 3  A A  4 4 1 1   A  2 Substitute (3) into (2)
  • 35.
    Substitute (3) into(1)  1 1 3  A A  4 4 1 1   A  2 Substitute (3) into (2) 1 1 1 1 1  A  A  B 4 4  2 1 1 1 1 - A    B   4   2 1 1 1  A2  B 8 2 8  A2  4 B
  • 36.
    Substitute (3) into(1)  1 1 3  A A  4 4 1 1   A  2 Substitute (3) into (2) 1 1 1 1 1  A  A  B 4 4  2 1 1 1 1 - A    B   4   2 1 1 1  A2  B 8 2 8  A2  4 B Cambridge: Exercise 5B; 1 to 16 Patel: Exercise 5B; 6b, 7b, 8 a,c,e,g,h
  • 37.
    Substitute (3) into(1)  1 1 3  A A  4 4 1 1   A  2 Substitute (3) into (2) 1 1 1 1 1  A  A  B 4 4  2 1 1 1 1 - A    B   4   2 1 1 1  A2  B 8 2 8  A2  4 B Cambridge: Exercise 5B; 1 to 16 Patel: Exercise 5B; 6b, 7b, 8 a,c,e,g,h Note: tangent to a cubic has two solutions only. A double root and a single root