

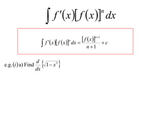
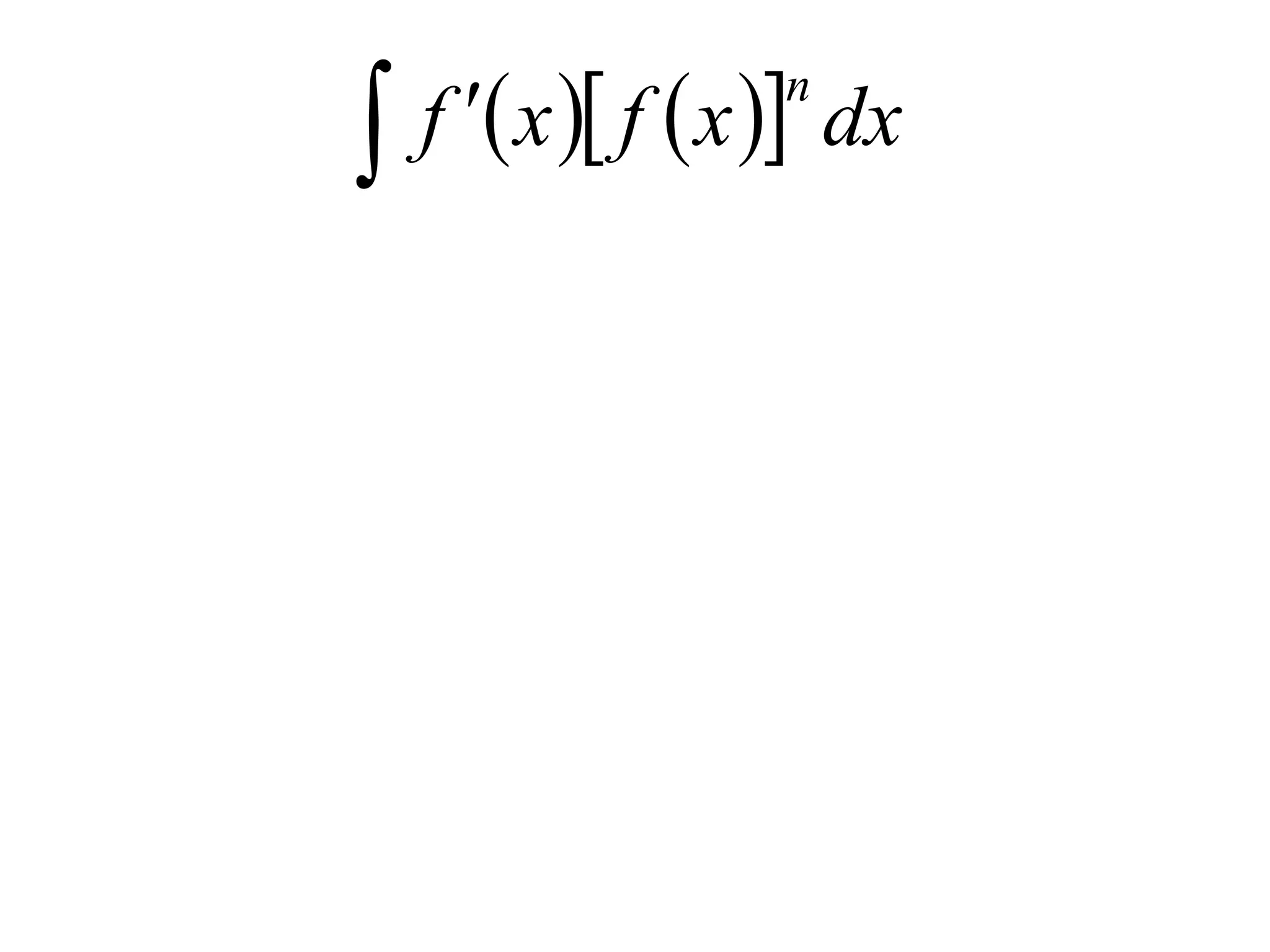
f  x  f  x  dx
n


f  x  f  x  dx
n

 f  x n1  c
 f  x  f  x  dx 
n

n 1


f  x  f  x  dx
n

 f  x n1  c
 f  x  f  x  dx 
n

n 1

d
e.g. i  a) Find
dx

 1 x 
3


f  x  f  x  dx
n

 f  x n1  c
 f  x  f  x  dx 
n

n 1

d
e.g. i  a) Find
dx

d
dx

 1 x 
3





1

1
1  x 3  1  x 3  2  3 x 2 
2
 3x 2

2 1  x3
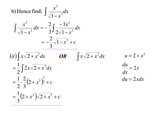
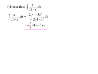
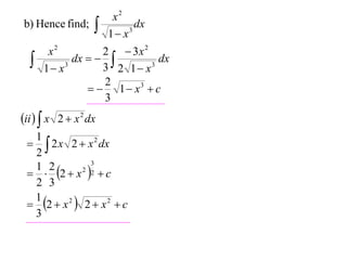
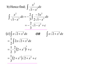
b) Hence find;



x2
dx
3
1 x
b) Hence find;





x2
dx
3
1 x

2  3x 2
x2
dx
dx   
3
3
3 2 1 x
1 x
b) Hence find;





x2
dx
3
1 x

2  3x 2
x2
dx
dx   
3
3
3 2 1 x
1 x
2
  1  x3  c
3
b) Hence find;





x2
dx
3
1 x

2  3x 2
x2
dx
dx   
3
3
3 2 1 x
1 x
2
  1  x3  c
3

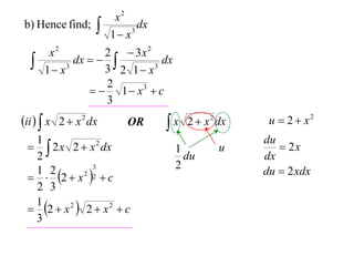
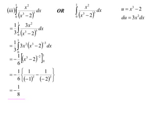
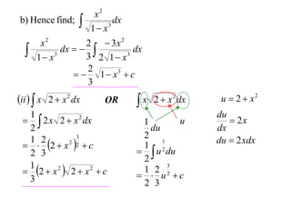
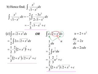
ii   x 2  x 2 dx
b) Hence find;





x2
dx
3
1 x

x2
2  3x 2
dx
dx   
3
3
3 2 1 x
1 x
2
  1  x3  c
3

ii   x 2  x 2 dx
1
  2 x 2  x 2 dx
2
b) Hence find;





x2
dx
3
1 x

x2
2  3x 2
dx
dx   
3
3
3 2 1 x
1 x
2
  1  x3  c
3

ii   x 2  x 2 dx
1
  2 x 2  x 2 dx
2
3
1 2
  2  x 2 2  c
2 3
b) Hence find;





x2
dx
3
1 x

x2
2  3x 2
dx
dx   
3
3
3 2 1 x
1 x
2
  1  x3  c
3

ii   x 2  x 2 dx
1
  2 x 2  x 2 dx
2
3
1 2
  2  x 2 2  c
2 3
1
 2  x 2  2  x 2  c
3
b) Hence find;





x2
dx
3
1 x

x2
2  3x 2
dx
dx   
3
3
3 2 1 x
1 x
2
  1  x3  c
3

ii   x 2  x 2 dx

OR

1
  2 x 2  x 2 dx
2
3
1 2
  2  x 2 2  c
2 3
1
 2  x 2  2  x 2  c
3

x 2  x 2 dx

b) Hence find;





x2
dx
3
1 x

x2
2  3x 2
dx
dx   
3
3
3 2 1 x
1 x
2
  1  x3  c
3

ii   x 2  x 2 dx

OR

1
  2 x 2  x 2 dx
2
3
1 2
  2  x 2 2  c
2 3
1
 2  x 2  2  x 2  c
3

x 2  x 2 dx


u  2  x2
b) Hence find;





x2
dx
3
1 x

x2
2  3x 2
dx
dx   
3
3
3 2 1 x
1 x
2
  1  x3  c
3

ii   x 2  x 2 dx

OR

1
  2 x 2  x 2 dx
2
3
1 2
  2  x 2 2  c
2 3
1
 2  x 2  2  x 2  c
3

x 2  x 2 dx


u  2  x2
du
 2x
dx
du  2 xdx
b) Hence find;





x2
dx
3
1 x

2  3x 2
x2
dx
dx   
3
3
3 2 1 x
1 x
2
  1  x3  c
3

ii   x 2  x 2 dx

OR

1
  2 x 2  x 2 dx
2
3
1 2
  2  x 2 2  c
2 3
1
 2  x 2  2  x 2  c
3

x 2  x 2 dx


u

u  2  x2
du
 2x
dx
du  2 xdx
b) Hence find;





x2
dx
3
1 x

2  3x 2
x2
dx   
dx
3
3
3 2 1 x
1 x
2
  1  x3  c
3

ii   x 2  x 2 dx

OR

1
  2 x 2  x 2 dx
2
3
1 2
  2  x 2 2  c
2 3
1
 2  x 2  2  x 2  c
3

x 2  x 2 dx

1
du
2

u

u  2  x2
du
 2x
dx
du  2 xdx
b) Hence find;





x2
dx
3
1 x

2  3x 2
x2
dx   
dx
3
3
3 2 1 x
1 x
2
  1  x3  c
3

ii   x 2  x 2 dx

OR

1
  2 x 2  x 2 dx
2
3
1 2
  2  x 2 2  c
2 3
1
 2  x 2  2  x 2  c
3

x 2  x 2 dx

u
1
du
2
1
1 2
  u du
2

u  2  x2
du
 2x
dx
du  2 xdx
b) Hence find;





x2
dx
3
1 x

2  3x 2
x2
dx   
dx
3
3
3 2 1 x
1 x
2
  1  x3  c
3

ii   x 2  x 2 dx

OR

1
  2 x 2  x 2 dx
2
3
1 2
  2  x 2 2  c
2 3
1
 2  x 2  2  x 2  c
3

x 2  x 2 dx

u
1
du
2
1
1 2
  u du
2
3
1 2 2
  u c
2 3

u  2  x2
du
 2x
dx
du  2 xdx
b) Hence find;





x2
dx
3
1 x

2  3x 2
x2
dx   
dx
3
3
3 2 1 x
1 x
2
  1  x3  c
3

ii   x 2  x 2 dx

OR

1
  2 x 2  x 2 dx
2
3
1 2
  2  x 2 2  c
2 3
1
 2  x 2  2  x 2  c
3

x 2  x 2 dx


u  2  x2
du
 2x
dx
du  2 xdx

u
1
du
2
1
1 2
  u du
2
3
1 2 2
  u c
2 3
1
 2  x 2  2  x 2  c
3
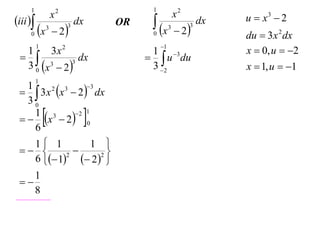
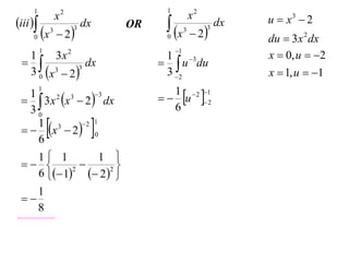
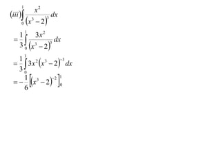
1

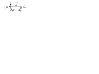
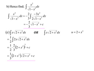
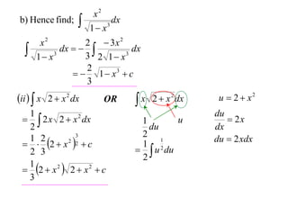
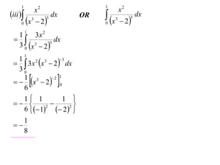
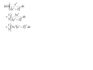
iii 
0

x

x2
3

 2

3

dx
1

iii 
0

x
1

x2
3

 2

3

dx

1
3x 2
 
dx
3
3 0 x 3  2 
1

iii 
0

x

x2
3

 2

3

dx

1

1
3x 2
 
dx
3
3 0 x 3  2 
1

3
1
2
3
  3 x x  2  dx
30
1

iii 
0

x

x2
3

 2

3

dx

1

1
3x 2
 
dx
3
3 0 x 3  2 
1

3
1
2
3
  3 x x  2  dx
30
2 1
1 3
  x  2  0
6




1

iii 
0

x

x2
3

 2

3

dx

1

1
3x 2
 
dx
3
3 0 x 3  2 
1

3
1
2
3
  3 x x  2  dx
30
2 1
1 3
  x  2  0
6





1 1
1 
 


2
6  1  2 2 
1

8
1

iii 
0

x

1

x2
3

 2

3

dx

1

1

3
1
2
3
  3 x x  2  dx
30
2 1
1 3
  x  2  0
6



1 1
1 
 


2
6  1  2 2 
1

8

 x
0

1
3x 2
 
dx
3
3 0 x 3  2 



OR

x2
3

 2

3

dx
1

iii 
0

x

1

x2
3

 2

3

dx

1

1

3
1
2
3
  3 x x  2  dx
30
2 1
1 3
  x  2  0
6



1 1
1 
 


2
6  1  2 2 
1

8

 x
0

1
3x 2
 
dx
3
3 0 x 3  2 



OR

x2
3

 2

3

dx

u  x3  2
du  3 x 2 dx
1

iii 
0

x

1

x2
3

 2

3

dx

1

1

3
1
2
3
  3 x x  2  dx
30
2 1
1 3
  x  2  0
6



1 1
1 
 


2
6  1  2 2 
1

8

 x
0

1
3x 2
 
dx
3
3 0 x 3  2 



OR

x2
3

 2

3

dx

u  x3  2
du  3 x 2 dx
x  0, u  2
x  1, u  1
1

iii 
0

x

1

x2
3

 2

3

dx

1

1

3
1
2
3
  3 x x  2  dx
30
2 1
1 3
  x  2  0
6



1 1
1 
 


2
6  1  2 2 
1

8

 x
0

1
3x 2
 
dx
3
3 0 x 3  2 



OR

1

x2
3

 2

3

1 3
  u du
3 2

dx

u  x3  2
du  3 x 2 dx
x  0, u  2
x  1, u  1
1

iii 
0

x

1

x2
3

 2

3

dx

OR

 x
0

x2
3

 2

3

1

1

1 3
  u du
3 2

1

1  2 1
  u  2
6

1
3x 2
 
dx
3
3 0 x 3  2 
3
1
2
3
  3 x x  2  dx
30
2 1
1 3
  x  2  0
6





1 1
1 
 


2
6  1  2 2 
1

8

dx

u  x3  2
du  3 x 2 dx
x  0, u  2
x  1, u  1
1

iii 
0

x

1

x2
3

 2

3

dx

OR

 x
0

x2
3

 2

3

dx

1

1

1 3
  u du
3 2

3
1
2
3
  3 x x  2  dx
30
2 1
1 3
  x  2  0
6

1

1  2 1
  u  2
6
1 1
1 
 


2
6  1  2 2 

1 1
1 
 


2
6  1  2 2 

1

8

1
3x 2
 
dx
3
3 0 x 3  2 



1

8



u  x3  2
du  3 x 2 dx
x  0, u  2
x  1, u  1
1

iii 
0

x

1

x2
3

 2

3

dx

OR

 x
0

x2
3

 2

3

dx

1

1

1 3
  u du
3 2

3
1
2
3
  3 x x  2  dx
30
2 1
1 3
  x  2  0
6

1

du  3 x 2 dx
x  0, u  2
x  1, u  1

1  2 1
  u  2
6
1 1
1 
 


2
6  1  2 2 

1 1
1 
 


2
6  1  2 2 

u  x3  2

1

8

1
3x 2
 
dx
3
3 0 x 3  2 





1

8
Exercise 11H; 1, 3, 5, 7ace etc, 8bdf,9 11*

11 x1 t16 06 derivative times function (2013)

  • 1.
     f  x f  x  dx n
  • 2.
     f  x f  x  dx n  f  x n1  c  f  x  f  x  dx  n n 1
  • 3.
     f  x f  x  dx n  f  x n1  c  f  x  f  x  dx  n n 1 d e.g. i  a) Find dx  1 x  3
  • 4.
     f  x f  x  dx n  f  x n1  c  f  x  f  x  dx  n n 1 d e.g. i  a) Find dx d dx  1 x  3   1  1 1  x 3  1  x 3  2  3 x 2  2  3x 2  2 1  x3
  • 5.
  • 6.
    b) Hence find;   x2 dx 3 1x 2  3x 2 x2 dx dx    3 3 3 2 1 x 1 x
  • 7.
    b) Hence find;   x2 dx 3 1x 2  3x 2 x2 dx dx    3 3 3 2 1 x 1 x 2   1  x3  c 3
  • 8.
    b) Hence find;   x2 dx 3 1x 2  3x 2 x2 dx dx    3 3 3 2 1 x 1 x 2   1  x3  c 3 ii   x 2  x 2 dx
  • 9.
    b) Hence find;   x2 dx 3 1x x2 2  3x 2 dx dx    3 3 3 2 1 x 1 x 2   1  x3  c 3 ii   x 2  x 2 dx 1   2 x 2  x 2 dx 2
  • 10.
    b) Hence find;   x2 dx 3 1x x2 2  3x 2 dx dx    3 3 3 2 1 x 1 x 2   1  x3  c 3 ii   x 2  x 2 dx 1   2 x 2  x 2 dx 2 3 1 2   2  x 2 2  c 2 3
  • 11.
    b) Hence find;   x2 dx 3 1x x2 2  3x 2 dx dx    3 3 3 2 1 x 1 x 2   1  x3  c 3 ii   x 2  x 2 dx 1   2 x 2  x 2 dx 2 3 1 2   2  x 2 2  c 2 3 1  2  x 2  2  x 2  c 3
  • 12.
    b) Hence find;   x2 dx 3 1x x2 2  3x 2 dx dx    3 3 3 2 1 x 1 x 2   1  x3  c 3 ii   x 2  x 2 dx OR 1   2 x 2  x 2 dx 2 3 1 2   2  x 2 2  c 2 3 1  2  x 2  2  x 2  c 3 x 2  x 2 dx 
  • 13.
    b) Hence find;   x2 dx 3 1x x2 2  3x 2 dx dx    3 3 3 2 1 x 1 x 2   1  x3  c 3 ii   x 2  x 2 dx OR 1   2 x 2  x 2 dx 2 3 1 2   2  x 2 2  c 2 3 1  2  x 2  2  x 2  c 3 x 2  x 2 dx  u  2  x2
  • 14.
    b) Hence find;   x2 dx 3 1x x2 2  3x 2 dx dx    3 3 3 2 1 x 1 x 2   1  x3  c 3 ii   x 2  x 2 dx OR 1   2 x 2  x 2 dx 2 3 1 2   2  x 2 2  c 2 3 1  2  x 2  2  x 2  c 3 x 2  x 2 dx  u  2  x2 du  2x dx du  2 xdx
  • 15.
    b) Hence find;   x2 dx 3 1x 2  3x 2 x2 dx dx    3 3 3 2 1 x 1 x 2   1  x3  c 3 ii   x 2  x 2 dx OR 1   2 x 2  x 2 dx 2 3 1 2   2  x 2 2  c 2 3 1  2  x 2  2  x 2  c 3 x 2  x 2 dx  u u  2  x2 du  2x dx du  2 xdx
  • 16.
    b) Hence find;   x2 dx 3 1x 2  3x 2 x2 dx    dx 3 3 3 2 1 x 1 x 2   1  x3  c 3 ii   x 2  x 2 dx OR 1   2 x 2  x 2 dx 2 3 1 2   2  x 2 2  c 2 3 1  2  x 2  2  x 2  c 3 x 2  x 2 dx  1 du 2 u u  2  x2 du  2x dx du  2 xdx
  • 17.
    b) Hence find;   x2 dx 3 1x 2  3x 2 x2 dx    dx 3 3 3 2 1 x 1 x 2   1  x3  c 3 ii   x 2  x 2 dx OR 1   2 x 2  x 2 dx 2 3 1 2   2  x 2 2  c 2 3 1  2  x 2  2  x 2  c 3 x 2  x 2 dx  u 1 du 2 1 1 2   u du 2 u  2  x2 du  2x dx du  2 xdx
  • 18.
    b) Hence find;   x2 dx 3 1x 2  3x 2 x2 dx    dx 3 3 3 2 1 x 1 x 2   1  x3  c 3 ii   x 2  x 2 dx OR 1   2 x 2  x 2 dx 2 3 1 2   2  x 2 2  c 2 3 1  2  x 2  2  x 2  c 3 x 2  x 2 dx  u 1 du 2 1 1 2   u du 2 3 1 2 2   u c 2 3 u  2  x2 du  2x dx du  2 xdx
  • 19.
    b) Hence find;   x2 dx 3 1x 2  3x 2 x2 dx    dx 3 3 3 2 1 x 1 x 2   1  x3  c 3 ii   x 2  x 2 dx OR 1   2 x 2  x 2 dx 2 3 1 2   2  x 2 2  c 2 3 1  2  x 2  2  x 2  c 3 x 2  x 2 dx  u  2  x2 du  2x dx du  2 xdx u 1 du 2 1 1 2   u du 2 3 1 2 2   u c 2 3 1  2  x 2  2  x 2  c 3
  • 20.
  • 21.
    1 iii  0 x 1 x2 3  2 3 dx 1 3x2   dx 3 3 0 x 3  2 
  • 22.
    1 iii  0 x x2 3  2 3 dx 1 1 3x2   dx 3 3 0 x 3  2  1 3 1 2 3   3 x x  2  dx 30
  • 23.
    1 iii  0 x x2 3  2 3 dx 1 1 3x2   dx 3 3 0 x 3  2  1 3 1 2 3   3 x x  2  dx 30 2 1 1 3   x  2  0 6  
  • 24.
    1 iii  0 x x2 3  2 3 dx 1 1 3x2   dx 3 3 0 x 3  2  1 3 1 2 3   3 x x  2  dx 30 2 1 1 3   x  2  0 6   1 1 1      2 6  1  2 2  1  8
  • 25.
    1 iii  0 x 1 x2 3  2 3 dx 1 1 3 1 2 3  3 x x  2  dx 30 2 1 1 3   x  2  0 6  1 1 1      2 6  1  2 2  1  8  x 0 1 3x 2   dx 3 3 0 x 3  2   OR x2 3  2 3 dx
  • 26.
    1 iii  0 x 1 x2 3  2 3 dx 1 1 3 1 2 3  3 x x  2  dx 30 2 1 1 3   x  2  0 6  1 1 1      2 6  1  2 2  1  8  x 0 1 3x 2   dx 3 3 0 x 3  2   OR x2 3  2 3 dx u  x3  2 du  3 x 2 dx
  • 27.
    1 iii  0 x 1 x2 3  2 3 dx 1 1 3 1 2 3  3 x x  2  dx 30 2 1 1 3   x  2  0 6  1 1 1      2 6  1  2 2  1  8  x 0 1 3x 2   dx 3 3 0 x 3  2   OR x2 3  2 3 dx u  x3  2 du  3 x 2 dx x  0, u  2 x  1, u  1
  • 28.
    1 iii  0 x 1 x2 3  2 3 dx 1 1 3 1 2 3  3 x x  2  dx 30 2 1 1 3   x  2  0 6  1 1 1      2 6  1  2 2  1  8  x 0 1 3x 2   dx 3 3 0 x 3  2   OR 1 x2 3  2 3 1 3   u du 3 2 dx u  x3  2 du  3 x 2 dx x  0, u  2 x  1, u  1
  • 29.
    1 iii  0 x 1 x2 3  2 3 dx OR x 0 x2 3  2 3 1 1 1 3   u du 3 2 1 1  2 1   u  2 6 1 3x 2   dx 3 3 0 x 3  2  3 1 2 3   3 x x  2  dx 30 2 1 1 3   x  2  0 6   1 1 1      2 6  1  2 2  1  8 dx u  x3  2 du  3 x 2 dx x  0, u  2 x  1, u  1
  • 30.
    1 iii  0 x 1 x2 3  2 3 dx OR x 0 x2 3  2 3 dx 1 1 1 3   u du 3 2 3 1 2 3   3 x x  2  dx 30 2 1 1 3   x  2  0 6 1 1  2 1   u  2 6 1 1 1      2 6  1  2 2  1 1 1      2 6  1  2 2  1  8 1 3x 2   dx 3 3 0 x 3  2   1  8  u  x3  2 du  3 x 2 dx x  0, u  2 x  1, u  1
  • 31.
    1 iii  0 x 1 x2 3  2 3 dx OR x 0 x2 3  2 3 dx 1 1 1 3   u du 3 2 3 1 2 3   3 x x  2  dx 30 2 1 1 3   x  2  0 6 1 du  3 x 2 dx x  0, u  2 x  1, u  1 1  2 1   u  2 6 1 1 1      2 6  1  2 2  1 1 1      2 6  1  2 2  u  x3  2 1  8 1 3x 2   dx 3 3 0 x 3  2    1  8 Exercise 11H; 1, 3, 5, 7ace etc, 8bdf,9 11*