Integration Learning  Objectives : In this chapter, you will learn about the concept of indefinite integral Learning Outcomes: Determine integrals by reversing differentiation
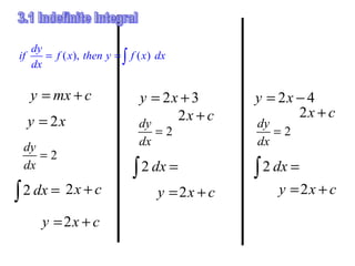
3.1 Indefinite Integral
3.1.2  Integration of algebraic expressions Integrate (a) 8  (b) 3.5  (c)  3.1.2 (a) Integral of Constant
3.1.2  Integration of algebraic expressions During differentiation, we carry out two operations on each term in x: multiply the term with the index, and reduce the index by 1. 3.1.2 (b) Integral of  Differentiation Integration
Examples 1: Integrate each of the following with respect of x: (a)  (b)
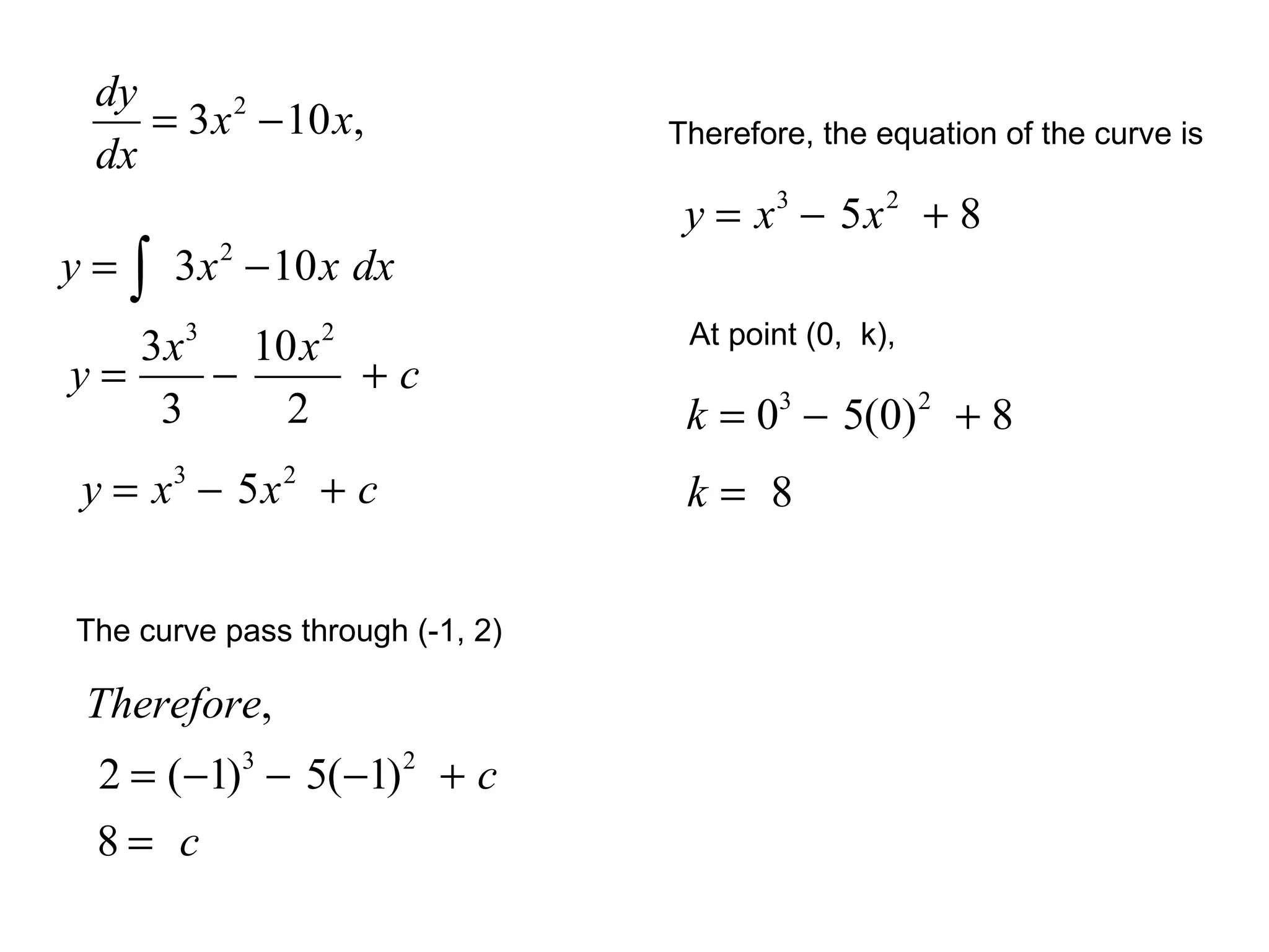
Examples 2: If the derivative of a function is given as  find the function y.
3.1.3  Determine the constant of Integration
Examples 1: Subsitute x=3 and y=5  into (1) If  and y=5 when x=3, find the value of y when x=5
3.1.4  Equations of curve from functions of gradients Examples 1: Find the equation of curve. by integration, The curve passing through the point (-1,  2) x=-1 when y=2 The equation of the curve is  The gradient of a curve passing through the point (-1,  2) is given by
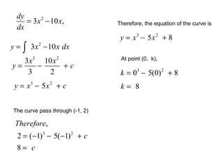
Examples 2: . Find the value of k. The gradient function of a curve passing through the point (-1, 2) and (0,k) is
The curve pass through (-1, 2) Therefore, the equation of the curve is  At point (0,  k),
Exercise  3-1-09 t0 6-1-09 Given that  and that y=5 when x= -1, find the value of  y  when x=2 Given that  and that v=2 when t = 1, find the value of  v  when t = 2.
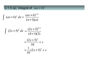
3.1.5  Integrate by substitution Find the integration by substitution
3.1.5  Integrate by substitution Find the integration by substitution
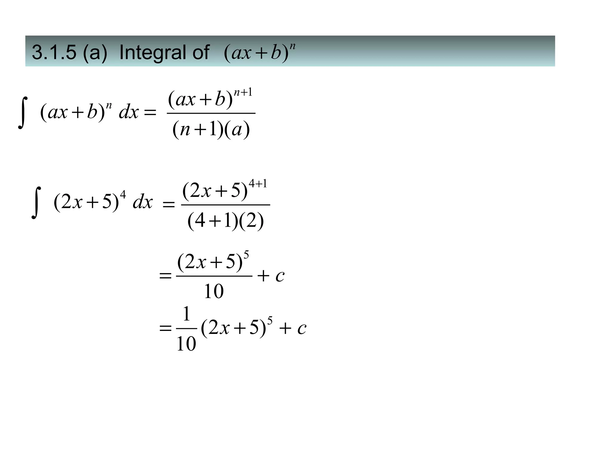
3.1.5 (a)  Integral of
The gradient of the curve,  Integrate with respect to x, we have  Since the curve passes through (4, -3) The equation of the curve is  The  slope  of a curve at any point P(x, y) is given by  . Find the equation of the curve given that its passes through the point ( 4,  -3)
Area under a curve
3.2.2(b) Area under a curve bounded by x=  a  and x=b The area A under a curve by y = f(x) bounded by the x-axis from x=a to x=b is given by Integration as Summation of Area
3.2.2(b) Area under a curve bounded by x=  a  and x=b 1 2
Step (1) Find x-intercept a b On the x-axis, y =0
Area under a curve bounded by
Area under a curve bounded  by
The area under a curve which is enclosed  by y = a and y = b is
The area under a curve is  1 2
Area under a curve bounded by curve
Area under a curve bounded
Exercise  19-2-09  23-2-09 1 2
Exercise Text Book Page 71   23-2-09 10- ( a)  ( b )  ( c ) 11- ( a)  ( b )  ( c ) 12- ( a)  ( b )
Exercise Text Book Page 72   13- ( a)  ( b )  ( c ) 14 17 ( a )  (b )  ( c )
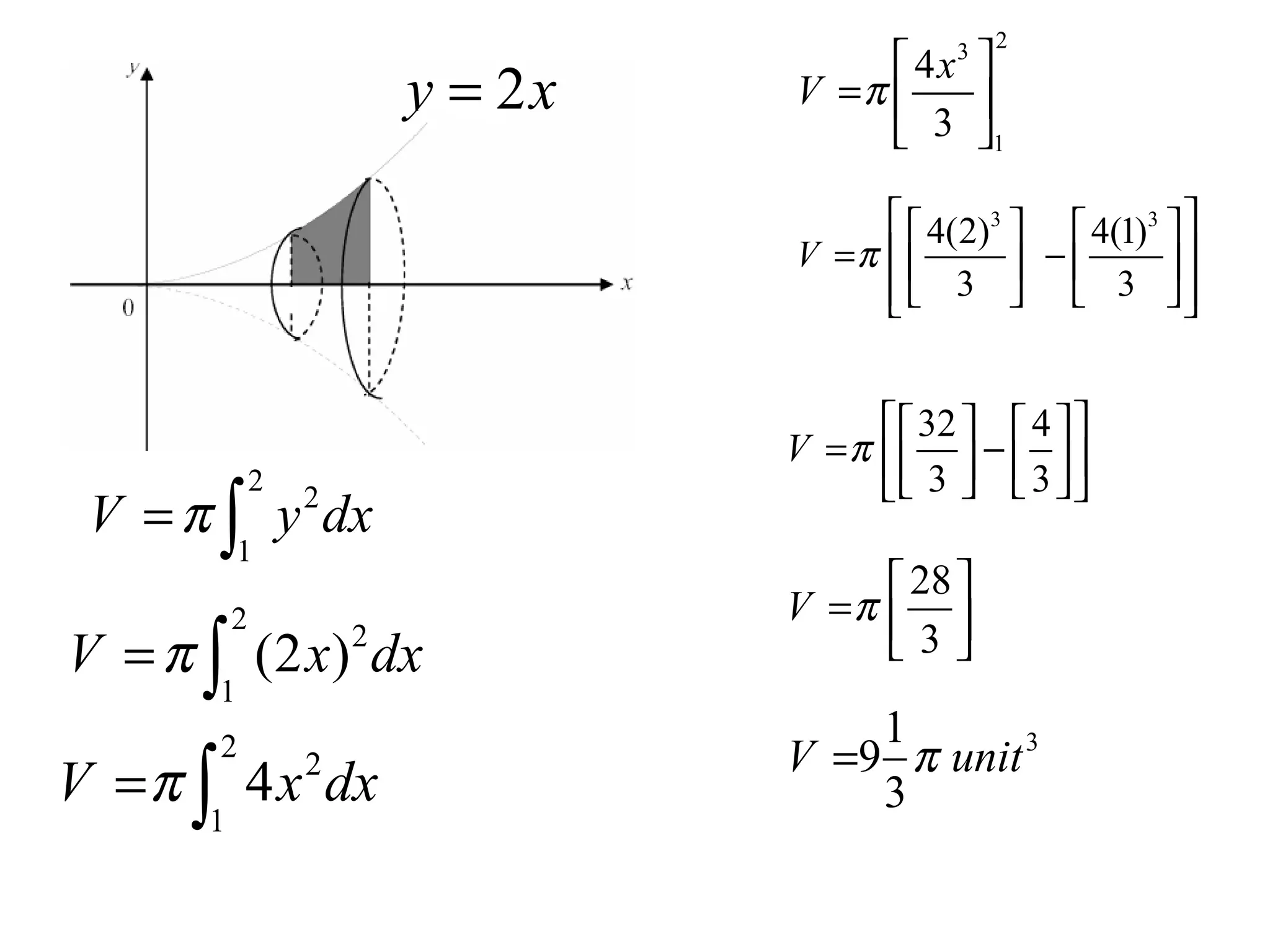
Volume of Revolutions
The resulting solid is a cone To find this volume, we could take slices (the  yellow  disk shown above), each  dx  wide and radius  y :
The  volume  of a cylinder is given by V =  π r 2 h Because radius  = r  =  y  and each disk is  dx  high, we notice that the volume of each slice is: V =  π y 2 dx Adding the volumes of the disks (with infinitely small  dx ), we obtain the formula: y = f ( x )   is the equation of the curve whose area is being rotated a  and  b  are the limits of the area being rotated dx show that the area is being rotated abount the x-axis.
 
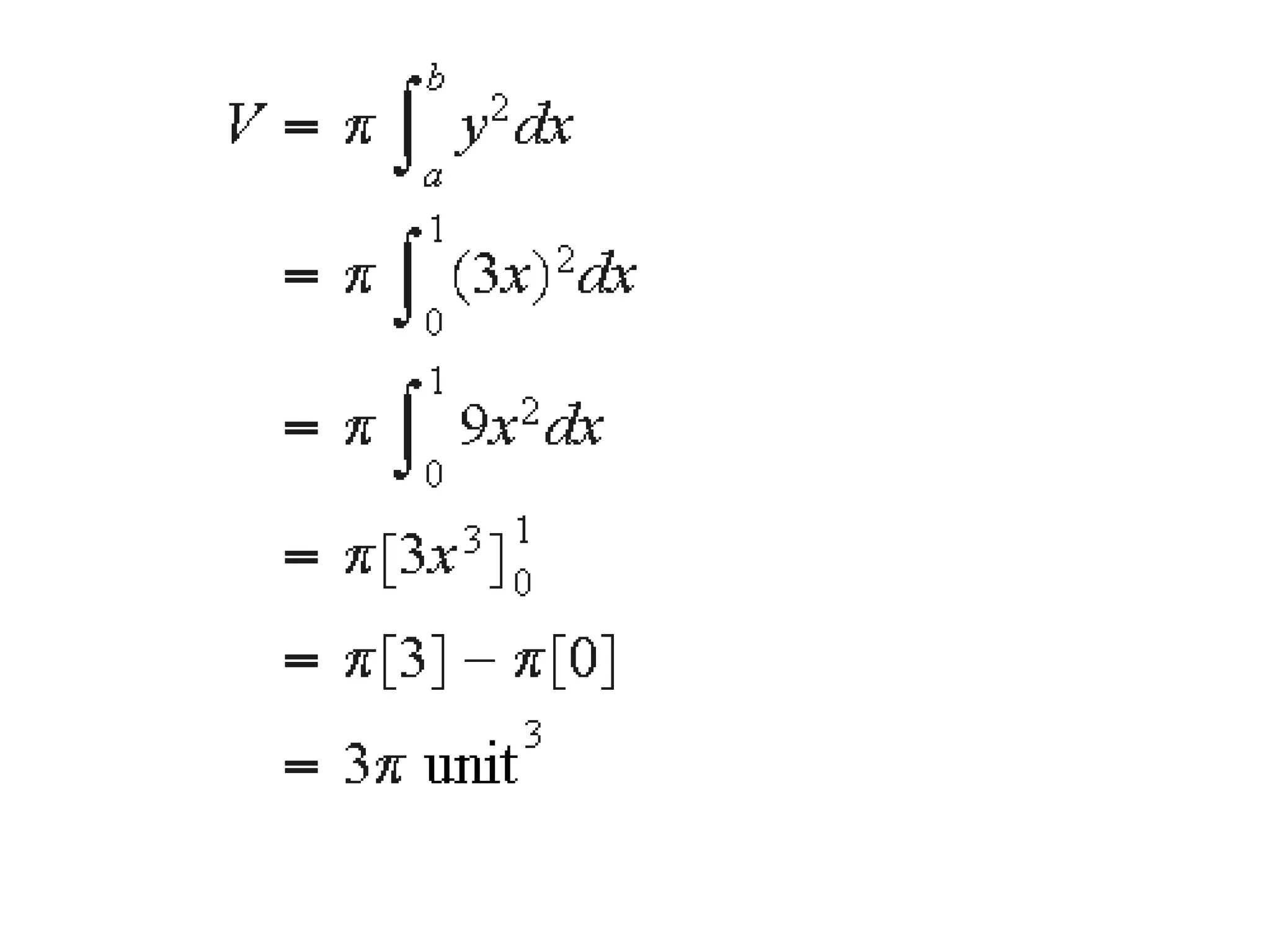
Example 2 Find the volume if the area bounded by the curve  y  =  x 3  + 1, the  x- axis and the limits of  x  = 0 and  x  = 3 is rotated around the  x -axis..
When the shaded area is rotated 360° about the  x -axis, we again observe that a volume is generated:
 

Integration

  • 1.
    Integration Learning Objectives : In this chapter, you will learn about the concept of indefinite integral Learning Outcomes: Determine integrals by reversing differentiation
  • 2.
  • 3.
    3.1.2 Integrationof algebraic expressions Integrate (a) 8 (b) 3.5 (c) 3.1.2 (a) Integral of Constant
  • 4.
    3.1.2 Integrationof algebraic expressions During differentiation, we carry out two operations on each term in x: multiply the term with the index, and reduce the index by 1. 3.1.2 (b) Integral of Differentiation Integration
  • 5.
    Examples 1: Integrateeach of the following with respect of x: (a) (b)
  • 6.
    Examples 2: Ifthe derivative of a function is given as find the function y.
  • 7.
    3.1.3 Determinethe constant of Integration
  • 8.
    Examples 1: Subsitutex=3 and y=5 into (1) If and y=5 when x=3, find the value of y when x=5
  • 9.
    3.1.4 Equationsof curve from functions of gradients Examples 1: Find the equation of curve. by integration, The curve passing through the point (-1, 2) x=-1 when y=2 The equation of the curve is The gradient of a curve passing through the point (-1, 2) is given by
  • 10.
    Examples 2: .Find the value of k. The gradient function of a curve passing through the point (-1, 2) and (0,k) is
  • 11.
    The curve passthrough (-1, 2) Therefore, the equation of the curve is At point (0, k),
  • 12.
    Exercise 3-1-09t0 6-1-09 Given that and that y=5 when x= -1, find the value of y when x=2 Given that and that v=2 when t = 1, find the value of v when t = 2.
  • 13.
    3.1.5 Integrateby substitution Find the integration by substitution
  • 14.
    3.1.5 Integrateby substitution Find the integration by substitution
  • 15.
    3.1.5 (a) Integral of
  • 16.
    The gradient ofthe curve, Integrate with respect to x, we have Since the curve passes through (4, -3) The equation of the curve is The slope of a curve at any point P(x, y) is given by . Find the equation of the curve given that its passes through the point ( 4, -3)
  • 17.
  • 18.
    3.2.2(b) Area undera curve bounded by x= a and x=b The area A under a curve by y = f(x) bounded by the x-axis from x=a to x=b is given by Integration as Summation of Area
  • 19.
    3.2.2(b) Area undera curve bounded by x= a and x=b 1 2
  • 20.
    Step (1) Findx-intercept a b On the x-axis, y =0
  • 21.
    Area under acurve bounded by
  • 22.
    Area under acurve bounded by
  • 23.
    The area undera curve which is enclosed by y = a and y = b is
  • 24.
    The area undera curve is 1 2
  • 25.
    Area under acurve bounded by curve
  • 26.
    Area under acurve bounded
  • 27.
    Exercise 19-2-09 23-2-09 1 2
  • 28.
    Exercise Text BookPage 71 23-2-09 10- ( a) ( b ) ( c ) 11- ( a) ( b ) ( c ) 12- ( a) ( b )
  • 29.
    Exercise Text BookPage 72 13- ( a) ( b ) ( c ) 14 17 ( a ) (b ) ( c )
  • 30.
  • 31.
    The resulting solidis a cone To find this volume, we could take slices (the yellow disk shown above), each dx wide and radius y :
  • 32.
    The volume of a cylinder is given by V = π r 2 h Because radius = r = y and each disk is dx high, we notice that the volume of each slice is: V = π y 2 dx Adding the volumes of the disks (with infinitely small dx ), we obtain the formula: y = f ( x ) is the equation of the curve whose area is being rotated a and b are the limits of the area being rotated dx show that the area is being rotated abount the x-axis.
  • 33.
  • 34.
    Example 2 Findthe volume if the area bounded by the curve y = x 3 + 1, the x- axis and the limits of x = 0 and x = 3 is rotated around the x -axis..
  • 35.
    When the shadedarea is rotated 360° about the x -axis, we again observe that a volume is generated:
  • 36.