Cellular Signal Transduction
M.Prasad Naidu
MSc Medical Biochemistry,
Ph.D.Research Scholar
Monad——responds directly.
Multicellular organisms——signal
through elaborate system of
intercellular or intracellular
communication,and consequently
regulate functions of organisms.
Signaling molecule
Receptor of target cell
Intracellular molecule
biological effect
Signal
transduction
• Signaling molecules, which are
released by signal-producing cells,
reach and transfer biological signals
to their target cells to initiate specific
cellular responses.
protein & peptides: Hormone, cytokine
AA & its derivatives:
Gly, Glu, adrenaline, thyro
xine
Steroid: Sex Hormone,
glucocorticosteroid
Fatty acid derivatives: prostaglandin
• Secreted by common cells.
• Reach neighboring target cells by
passive diffusion.
• Time of action is short.
• Such as GF, PG
• Secreted by endocrine cells.
• Reach target cells by blood circulation.
• Time of action is long.
• Such as insulin, thyroxine, adrenalin
• Secreted by neuronal cells.
• Reach another neuron by synaptic
gap.
• Time of action is short.
• Such as Acetylcholine
(Ach), noradrenaline
• Simple structure, half life is short
and active in chemistry .
• Such as NO, CO.
• Act back to their own cells.
• Such as GF, cytokine, interferon,
interleukin.
GAS MOLECULE
• Ca2+ ions
• DG, ceramide lipid derivatives
• IP3 carbohydrate
derivatives
• cAMP cGMP nucleotides
• Ras, JAK, Raf proteins
Small molecules synthesized in cells
in response to an external signal are the
second messengers, which are
responsible for intracellular signal
transduction.
Such as
Ca2+, DG, Cer, IP3, cAMP, cGMP
Third messengers are the molecules
which transmit message from outside to
inside of nucleous or from inside to
outside of nucleous, also called DNA
binding protein.
Receptors are specific membrane
proteins, which are able to recognize and
bind to corresponding ligand
molecules, become activated, and
transduce signal to next signaling
molecules.
Glycoprotein or Lipoprotein
ligand
A small molecule that binds
specifically to a larger one; for
example, a hormone is the ligand for
its specific protein receptor.
(1) Ligand-gate ion channels type
(cyclic receptor)
ligand→receptor→ion channel open or
close
1) 7-helices transmembrane
receptor
Cytosolic
side
Oligosaccharide
unit
• G protein refers to any protein which
binds to GDP or GTP and act as signal
transduction.
• G proteins consist of three different
subunits (, , -subunit).
• -subunit carries GTPase activity,
binding and hydrolysis of GTP.
G protein Coupled Receptors
• The human genome encodes more than 1000
Gprotein
Coupled Receptors (GPCR), that transduce
messages as diverse as light, smells, taste, and
hormones
• An example is the beta-adrenergic receptor, that
mediates the effects of epinephrine on many
tissues:…
Gs→ s→AC→cAMP↑
Gi→ i→AC→cAMP↓
Gq→ q →PI-PLC→IP3+DAG
Go→ o→ion channel
Gt→ t →cGMP PDE→cGMP→
Rhodopsin
Gs vs Gi vs Gq
Gs and Gi coupled to adenylate cyclase   [cAMP]
G q coupled to phospholipase C   [Ca2+]
Gs vs. Gi
Regulation of Adenylate Cyclase Activity
Gs stimulates adenylate cyclase
Gi inhibits adenylate cyclase
e.g. epinephrine can increase or decrease intracellular cAMP concentrations,
depending upon the receptor to which it binds
 adrenergic receptors couple to Gs, whereas
2 adrenergic receptors couple to Gi
Glucagon
-adrenaline →s →AC↑
ACTH
-adrenaline
angiotensin Ⅱ
acetylcholine(M2 M4)
GF release inhibitory factor
→i→AC↓
Inhibition of Gs and Gi by Bacterial Toxins
Cholera toxin effects on Gs:
ADP ribosylation of an Arg residue
in the s subunit of Gs inhibition of
associated GTPase activity
Pertussis toxin effects on Gi:
ADP ribosylation of a Cys residue
in the i subunit of Gi  an inability
to inhibit adenylate cyclase activity.
Thus, both toxins cause increased
intracellular cAMP concentrations!
© 2000 by W. H. Freeman and Company. All rights reserved.
• Tyrosine protein kinase Receptor
(catalytic receptor)
IGF-R, EGF-R
• Non tyrosine protein kinase Receptor
Growth Hormone R, interferon R
Intracellular
insulin effectsCytosol
Insulin
Membrane receptor –ANP
Soluble receptor – NO, CO
(4) Guanylate cyclase (GC)
receptor
Intracellular R is trans-acting
element cis-acting element
gene expression
Localized in the cytosol and/or in the
nucleus.
ligand: Steroid H, Vit D3, Thyroxine
• Phosphorylation or
dephosphorylation of R
• Phospholipid of membrane
• Enzyme catalyzed hydrolysis
• G protein regulation
(1) Recognize the special ligand
(2) Binding to special ligand
(3) Signal transduction
biological effect
• cAMP dependent-protein kinase A
pathway
• cGMP dependent PKG pathway
• Ca2+ dependent PK pathway
•
• Tyrosine protein Kinase pathway
• NF-κB pathway
H R
G protein
Phosphorylation of Es or functional proteins
Biological effects
PKA
cAMPAC
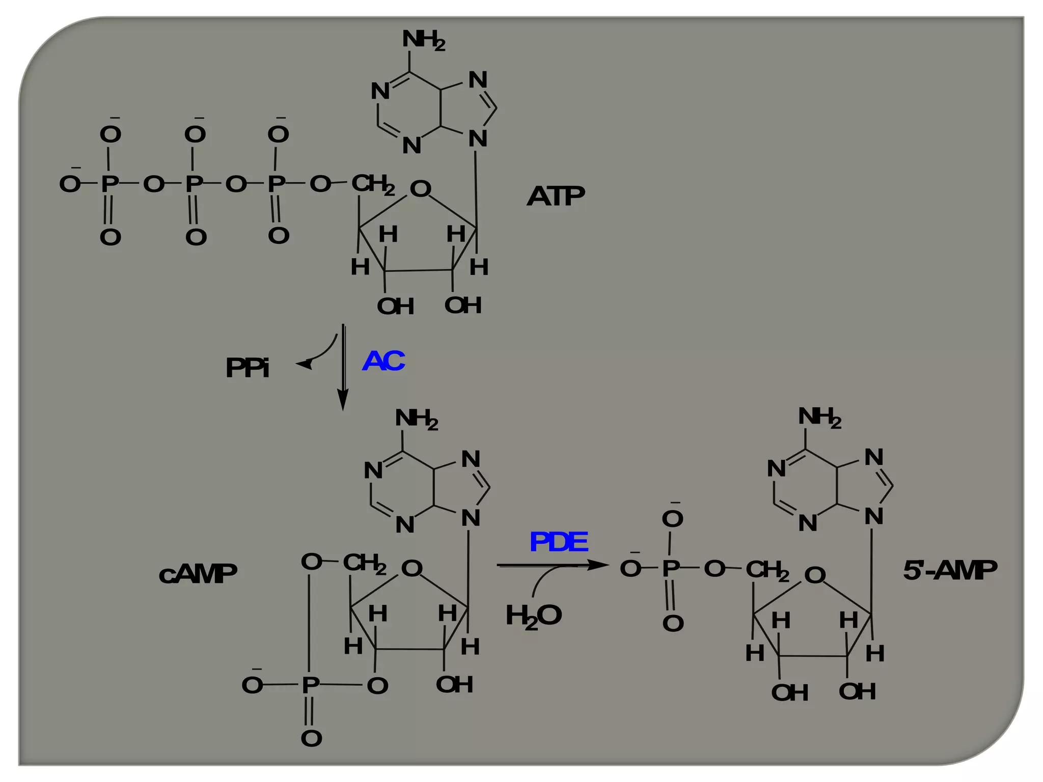
ATP
Mg2+
PPi
cAMP
H2O
Mg2+ 5'-AMP
AC PDE
AC: Adenylate cyclase
PDE: Phosphodiesterase
PDE
H2O
N
N N
N
NH2
O
H
OHOH
CH2
H
H H
OPO
O
O
PO
O
O
P
O
O
O
ATP
ACPPi
N
N N
N
NH2
O
H
OHO
CH2
H
H H
O
PO
O
cAMP
N
N N
N
NH2
O
H
OHOH
CH2
H
H H
OPO
O
O
5'-AMP
(3) PKA effect
Phosphorylate specifically
Ser/Thr residues in several
proteins
(1)Regulation of
metabolism
(2)Regulation of gene
expression
hormons: glucagon, epinephrine
inactive ACactive AC
ATP cAMP
inactive PKA active PKA
phosphorylase b kinase
phosphorylase b kinase
P
ATP
ADP
H2O
Pi
phosphorylase b
P
P
ATP ADP
Pi
H2O
ATP ADP
glycogen
synthase
glycogen
synthase
P
H2OPi
protein
phosphatase-1
(active) (inactive)
inhibitor-1
(active)
inhibitor-1
(inactive)
phosphorylase a
ATP
(1) Ca2+ -DAG -dependent PKC pathway
H R
PIP2
G protein PLC
IP3 DG
ER
PKC
Ca2+
Biological effects
Phosphorylation of Es or functional proteins
IP3 + R→open of Ca2+
channel →[Ca2+]↑ from ER
[Ca 2+]i 0.01-1 mol/L(10-7 mol/L )
[Ca 2+]o 2.5mmol/L(10-3 mol/L )
5000~10000×
Ca2+
DG PKC ↑
• regulation of metabolism
PKC →Ser/Thr-P of R, enzyme,
Protein of Mb.
• Gene expression
H R G protein PLC
IP3
Ca2+ CaM
CaMK
Biological effects
Phosphorylation of Es or functional proteins
Ca2+ binding protein
4 Ca2++ CaM → Ca2+- CaM
↓
CaM kinase↑
↓
Ser/Thr - P
↓
Ca2+ pump, AC ↑ GC ↑
Es (glycogen synthase, phosphorylase
kinase)
Biological effects
Phosphorylation of Es or functional proteins
ANP
NO, CO
Soluble GC
PKG
cGMP
Receptor-
linked GC
(2) Function of PKG
Ser/Thr- P of protein and E
Mg2+
PPi H2O
Mg2+
GTP cGMP 5'-GMP
GC PDE
GC: Guanylate cyclase
ANP(atrial natriuretic peptides)
↓
GC NO
↓
cGMP
↓
PKG
↓
Vascular dilatation
cis-actingelement
nucleus
expression
cell memberane
phosphorylationof enzymes or proteins effects
CaM-PK
Ca2+
-CaMCa2+
IP3
DGcAMP cGMP
PKA PKG PKC
ATP GTP PIP2(PC)
GAC GC GPL
peptide hormones
neurotransmitters AFP
neurotransmitters
hypothalamic pituitrin
Ptrans-actingfactor
• TPK receptor is related to
proliferation, differentiation,
dissociation, carcinomatous
change.
• TPK:
receptor TPK:Membrane.
non receptor TPK:cytosol
• GRB2, SOS, Ras, Raf
• Small G protein: Ras
• MAPK (mitogen-activated protein kinase):
MAPK、MAPKK、MAPKKK
 • MAPKs belong to a family of serine/threonine kinases
(kinases add
 phosphate groups to/phosphorylate other proteins)
 • They participate in cell
growth, differentiation, transformation,
 apoptosis (controlled cell death) and others
ÊÜÌåÐÍTPK
ϸ
°û
Ä
EGF, PDGF
receptor TPK Ras-GTP
SOS-P
GRB2-P
Raf-P
MAPKK-P
MAPK-P
trans-acting factor
expression
nucleus
-P
 (2) JAKs-STAT pathway
• JAKs(JANUS KINASES)
• STAT: Signal transductors and
activator of transcription
ÖÊĤ
¸ÉÈÅËØÓ¦´ðÔª¼þ
ºËĤ
»ùÒò
£- PP£-
JAK
113
91
84
48
113
P
91P 84 P
48
113
91 84P P
P
interferons & GH
inactive STAT
Plasma membrane
STAT complex
Nuclear membrane
gene
Interferons response element
transcription
• Steroid H, VD3, Thyroxine
• Cytosolic R: glycocorticosteroid H
• Nuclear R:
thyroxine, estrogen, androgen,
progesterone
Effect by
membrane
receptors
Effect by
intracellular
receptors
Intracellular
molecules
Extracellular
molecules
Signal
molecules
cAMP, cGMP, IP3, DG, Ca2+
Proteins and peptides:
Hormones, cytokines
Amino acid derivatives:
Catecholamines
Fatty acid derivatives:
Prostaglandins
Steroid hormones,
Thyroxine, VD3
Signal transduction
Signal transduction

Signal transduction

  • 1.
    Cellular Signal Transduction M.PrasadNaidu MSc Medical Biochemistry, Ph.D.Research Scholar
  • 2.
    Monad——responds directly. Multicellular organisms——signal throughelaborate system of intercellular or intracellular communication,and consequently regulate functions of organisms.
  • 3.
    Signaling molecule Receptor oftarget cell Intracellular molecule biological effect Signal transduction
  • 4.
    • Signaling molecules,which are released by signal-producing cells, reach and transfer biological signals to their target cells to initiate specific cellular responses.
  • 5.
    protein & peptides:Hormone, cytokine AA & its derivatives: Gly, Glu, adrenaline, thyro xine Steroid: Sex Hormone, glucocorticosteroid Fatty acid derivatives: prostaglandin
  • 6.
    • Secreted bycommon cells. • Reach neighboring target cells by passive diffusion. • Time of action is short. • Such as GF, PG
  • 7.
    • Secreted byendocrine cells. • Reach target cells by blood circulation. • Time of action is long. • Such as insulin, thyroxine, adrenalin
  • 8.
    • Secreted byneuronal cells. • Reach another neuron by synaptic gap. • Time of action is short. • Such as Acetylcholine (Ach), noradrenaline
  • 9.
    • Simple structure,half life is short and active in chemistry . • Such as NO, CO.
  • 10.
    • Act backto their own cells. • Such as GF, cytokine, interferon, interleukin.
  • 11.
  • 12.
    • Ca2+ ions •DG, ceramide lipid derivatives • IP3 carbohydrate derivatives • cAMP cGMP nucleotides • Ras, JAK, Raf proteins
  • 13.
    Small molecules synthesizedin cells in response to an external signal are the second messengers, which are responsible for intracellular signal transduction. Such as Ca2+, DG, Cer, IP3, cAMP, cGMP
  • 14.
    Third messengers arethe molecules which transmit message from outside to inside of nucleous or from inside to outside of nucleous, also called DNA binding protein.
  • 15.
    Receptors are specificmembrane proteins, which are able to recognize and bind to corresponding ligand molecules, become activated, and transduce signal to next signaling molecules. Glycoprotein or Lipoprotein
  • 16.
    ligand A small moleculethat binds specifically to a larger one; for example, a hormone is the ligand for its specific protein receptor.
  • 17.
    (1) Ligand-gate ionchannels type (cyclic receptor) ligand→receptor→ion channel open or close
  • 20.
  • 21.
  • 22.
    • G proteinrefers to any protein which binds to GDP or GTP and act as signal transduction. • G proteins consist of three different subunits (, , -subunit). • -subunit carries GTPase activity, binding and hydrolysis of GTP.
  • 23.
    G protein CoupledReceptors • The human genome encodes more than 1000 Gprotein Coupled Receptors (GPCR), that transduce messages as diverse as light, smells, taste, and hormones • An example is the beta-adrenergic receptor, that mediates the effects of epinephrine on many tissues:…
  • 26.
    Gs→ s→AC→cAMP↑ Gi→ i→AC→cAMP↓ Gq→q →PI-PLC→IP3+DAG Go→ o→ion channel Gt→ t →cGMP PDE→cGMP→ Rhodopsin
  • 30.
    Gs vs Givs Gq Gs and Gi coupled to adenylate cyclase   [cAMP] G q coupled to phospholipase C   [Ca2+]
  • 31.
    Gs vs. Gi Regulationof Adenylate Cyclase Activity Gs stimulates adenylate cyclase Gi inhibits adenylate cyclase e.g. epinephrine can increase or decrease intracellular cAMP concentrations, depending upon the receptor to which it binds  adrenergic receptors couple to Gs, whereas 2 adrenergic receptors couple to Gi
  • 32.
    Glucagon -adrenaline →s →AC↑ ACTH -adrenaline angiotensinⅡ acetylcholine(M2 M4) GF release inhibitory factor →i→AC↓
  • 33.
    Inhibition of Gsand Gi by Bacterial Toxins Cholera toxin effects on Gs: ADP ribosylation of an Arg residue in the s subunit of Gs inhibition of associated GTPase activity Pertussis toxin effects on Gi: ADP ribosylation of a Cys residue in the i subunit of Gi  an inability to inhibit adenylate cyclase activity. Thus, both toxins cause increased intracellular cAMP concentrations! © 2000 by W. H. Freeman and Company. All rights reserved.
  • 34.
    • Tyrosine proteinkinase Receptor (catalytic receptor) IGF-R, EGF-R • Non tyrosine protein kinase Receptor Growth Hormone R, interferon R
  • 37.
  • 38.
    Membrane receptor –ANP Solublereceptor – NO, CO (4) Guanylate cyclase (GC) receptor
  • 39.
    Intracellular R istrans-acting element cis-acting element gene expression Localized in the cytosol and/or in the nucleus. ligand: Steroid H, Vit D3, Thyroxine
  • 42.
    • Phosphorylation or dephosphorylationof R • Phospholipid of membrane • Enzyme catalyzed hydrolysis • G protein regulation
  • 43.
    (1) Recognize thespecial ligand (2) Binding to special ligand (3) Signal transduction biological effect
  • 44.
    • cAMP dependent-proteinkinase A pathway • cGMP dependent PKG pathway • Ca2+ dependent PK pathway • • Tyrosine protein Kinase pathway • NF-κB pathway
  • 45.
    H R G protein Phosphorylationof Es or functional proteins Biological effects PKA cAMPAC
  • 46.
    ATP Mg2+ PPi cAMP H2O Mg2+ 5'-AMP AC PDE AC:Adenylate cyclase PDE: Phosphodiesterase
  • 47.
    PDE H2O N N N N NH2 O H OHOH CH2 H H H OPO O O PO O O P O O O ATP ACPPi N NN N NH2 O H OHO CH2 H H H O PO O cAMP N N N N NH2 O H OHOH CH2 H H H OPO O O 5'-AMP
  • 49.
  • 50.
    Phosphorylate specifically Ser/Thr residuesin several proteins (1)Regulation of metabolism (2)Regulation of gene expression
  • 51.
    hormons: glucagon, epinephrine inactiveACactive AC ATP cAMP inactive PKA active PKA phosphorylase b kinase phosphorylase b kinase P ATP ADP H2O Pi phosphorylase b P P ATP ADP Pi H2O ATP ADP glycogen synthase glycogen synthase P H2OPi protein phosphatase-1 (active) (inactive) inhibitor-1 (active) inhibitor-1 (inactive) phosphorylase a ATP
  • 53.
    (1) Ca2+ -DAG-dependent PKC pathway H R PIP2 G protein PLC IP3 DG ER PKC Ca2+ Biological effects Phosphorylation of Es or functional proteins
  • 55.
    IP3 + R→openof Ca2+ channel →[Ca2+]↑ from ER [Ca 2+]i 0.01-1 mol/L(10-7 mol/L ) [Ca 2+]o 2.5mmol/L(10-3 mol/L ) 5000~10000× Ca2+ DG PKC ↑
  • 57.
    • regulation ofmetabolism PKC →Ser/Thr-P of R, enzyme, Protein of Mb. • Gene expression
  • 59.
    H R Gprotein PLC IP3 Ca2+ CaM CaMK Biological effects Phosphorylation of Es or functional proteins
  • 60.
    Ca2+ binding protein 4Ca2++ CaM → Ca2+- CaM ↓ CaM kinase↑ ↓ Ser/Thr - P ↓ Ca2+ pump, AC ↑ GC ↑ Es (glycogen synthase, phosphorylase kinase)
  • 62.
    Biological effects Phosphorylation ofEs or functional proteins ANP NO, CO Soluble GC PKG cGMP Receptor- linked GC
  • 63.
    (2) Function ofPKG Ser/Thr- P of protein and E Mg2+ PPi H2O Mg2+ GTP cGMP 5'-GMP GC PDE GC: Guanylate cyclase
  • 64.
    ANP(atrial natriuretic peptides) ↓ GCNO ↓ cGMP ↓ PKG ↓ Vascular dilatation
  • 65.
    cis-actingelement nucleus expression cell memberane phosphorylationof enzymesor proteins effects CaM-PK Ca2+ -CaMCa2+ IP3 DGcAMP cGMP PKA PKG PKC ATP GTP PIP2(PC) GAC GC GPL peptide hormones neurotransmitters AFP neurotransmitters hypothalamic pituitrin Ptrans-actingfactor
  • 66.
    • TPK receptoris related to proliferation, differentiation, dissociation, carcinomatous change. • TPK: receptor TPK:Membrane. non receptor TPK:cytosol
  • 67.
    • GRB2, SOS,Ras, Raf • Small G protein: Ras • MAPK (mitogen-activated protein kinase): MAPK、MAPKK、MAPKKK  • MAPKs belong to a family of serine/threonine kinases (kinases add  phosphate groups to/phosphorylate other proteins)  • They participate in cell growth, differentiation, transformation,  apoptosis (controlled cell death) and others
  • 69.
    ÊÜÌåÐÍTPK ϸ °û Ä EGF, PDGF receptor TPKRas-GTP SOS-P GRB2-P Raf-P MAPKK-P MAPK-P trans-acting factor expression nucleus -P
  • 70.
     (2) JAKs-STATpathway • JAKs(JANUS KINASES) • STAT: Signal transductors and activator of transcription
  • 71.
    ÖÊĤ ¸ÉÈÅËØÓ¦´ðÔª¼þ ºËĤ »ùÒò £- PP£- JAK 113 91 84 48 113 P 91P 84P 48 113 91 84P P P interferons & GH inactive STAT Plasma membrane STAT complex Nuclear membrane gene Interferons response element transcription
  • 73.
    • Steroid H,VD3, Thyroxine • Cytosolic R: glycocorticosteroid H • Nuclear R: thyroxine, estrogen, androgen, progesterone
  • 75.
    Effect by membrane receptors Effect by intracellular receptors Intracellular molecules Extracellular molecules Signal molecules cAMP,cGMP, IP3, DG, Ca2+ Proteins and peptides: Hormones, cytokines Amino acid derivatives: Catecholamines Fatty acid derivatives: Prostaglandins Steroid hormones, Thyroxine, VD3