Introduction to State Machine
• Combinational circuit design process had
two important things:
1. A formal way to describe desired circuit
behavior
• Boolean equation, or truth table

1. A well-defined process to convert that
behavior to a circuit

• We need those things for sequential
circuit design
• Finite-State Machine (FSM)
– A way to describe desired behavior of
sequential circuit
• Akin to Boolean equations for combinational
behavior
The state machine

Definition : A state machine is a system that can be used to
describe the system in terms of set of states that the system
goes through.
In this type of system, memory capability of system is a must.
Also, the state machine must have a set of inputs and outputs .

Clocked synchronous FSM
• Clocked:
all storage elements employ a clock input (i.e. all storage
elements are flip-flops)
• Synchronous:
all of the flip flops use the same clock signal
• FSM
state machine is simply another name for sequential
circuits. Finite refers to the fact that the number of states
the circuit can assume if finite
• A synchronous clocked FSM changes state only when a
Clocked synchronous FSM structure
• States: determined by possible values in sequential storage
elements
• Transitions: change of state
• Clock: controls when state can change by controlling storage
elements
Inputs

Combinational
Logic

Current State
or
State

Outputs

Next State
Clock
Storage Elements
FSM Types
• There are two main types of FSMs
– Mealy (output is function of state and inputs)
– Moore (output is only function of state)
Mealy machine

Next state = F 1 (current state, inputs)
Output = G 1 (current state, inputs)
Moore machine

Next state = F 2 (current state, inputs)
Output = G 2 (current state)
Comparison of Mealy and Moore FSM
• Mealy machines have less states
– outputs are on transitions (n2) rather than states (n)
• Moore machines are safer to use
– outputs change at clock edge (always one cycle later)
– in Mealy machines, input change can cause output change
as soon as logic is done – a big problem when two
machines are interconnected – asynchronous feedback
may occur if one isn’t careful
• Mealy machines react faster to inputs
– react in same cycle – don't need to wait for clock
– outputs may be considerably shorter than the clock cycle
– in Moore machines, more logic may be necessary to
decode state
into outputs – there may be more gate delays after clock
edge
Mealy and Moore example
Mealy or
Moore ?

A

out

Not a state
machine

B

A
D

B

clock

Q

out

A

Q
Q

Q

B

Moore:
output =
Γ(state)

D

clock

D

Q
Q

Moore:
output = Λ(state)

out
Mealy and Moore example (cont’d)
Mealy or Moore ?

out
A

Mealy:
output = Ω (state,
input)

D

Q
Q

B

D
clock

Q
Q

out
A

D

Q

D

Q
B

D

Q
Q

clock

Q
Q

D

Q
Q

Moore:
output = Ψ (state)
Analysis of state machine
How to design a circuit when output waveform of the
system is known. Let’s take the two outputs Q1
and Q2.
• The output changes only on the negative clock
transitions, thus signal can be generated by using
clocked flip flop.
If D flip flop is to be used, then using the excitation table of
D flip flop, determine the inputs of the D flip flops D1 and
D2 whose outputs will be Q1 and Q2 respectively.
• Sometimes it may happen that we are
given with set of input conditions and
output is to be obtained.
• First of all, find the set of inputs to the flip flop under
consideration using excitation table. Lets take D flip flop for this
case
• Now , the inputs of the D flip flop is to be
determined with the help of input
combination.
• The K-Map for the D1 and D2 as a
function of X and Y are derived as follows
• Circuit diagram
• For the given set of inputs and output,
design the system using JK flip flop
Solution
Finite state machine
• A FSM is an abstract model describing the
synchronous sequential machine.
• FSM design involves drawing state diagram
for the problem which is also known as word
problem.
• One state diagram is drawn, the next steps
involves reduction, state assignments and its
realization or design.
Some examples of FSM
• Positive transition detector i.e. system which
gives output 1, whenever the inputs to the
system changes from 0 to 1.
• Vending machine problems
• Serial Adder
• Serial Code Converters (BCD to Excess-3)
• TLC( Traffic Light Controller)
• Sequence detectors
Positive transition detector
• Suppose we have to design a sequential
system which is having one serial input IN
and will produce output OUT=1 whenever
input IN changes from 0 to 1. Input is
received one bit per cycle.
Step 1: Understand the problem
Step 2: Draw state diagram
Step3: reduction , state assignments and
design
• Step 1: The system is to have one input line
and one output line. Since the possible
transitions can 0 to 1 and 1 to 0, so we can
assume that we have only two state. Out of
these two state one state will represent that
current input is 1 and other state will represent
current input as 0.
• Step 2: Draw state diagram
• Step 3: No reduction needed.
• Step 4: State Assignments: Since we have only two
states, so we need only one bit to code the two states.
In our case lets assign 0 to state Zero and 1 to state One.
• Step 5: Designs the circuit diagram
for this form state table as shown below.
Present state
QD

Input (IN)

Next state
QD+1

Output (OUT)

DA

0

0

0

0

0

0

1

1

1

1

1

0

0

0

0

1

1

1

0

1

Forming K – Map for DA and OUT we have
QD
IN

0

1

0

0

0

1

1

0

OUT=Q’D.IN

0

1

0

0

0

1

1

1

IN

QD

DA= IN
• Circuit Diagram:
Vending Machine Problem
• The vending machine delivers package of
gum after receiving minimum of 15 cents
of coin. The machine has a single slot that
accepts 10 cent coin or 5 cent coin one at
a time. A mechanical sensor indicates
whether 10 cent coin or 5 cent coin have
been inserted.
• Step 1: Understand problem
Assuming that sensor gives two outputs which
sense the coins. Lets take T signal for 10 cent
coin and F signal for 5.

As per given condition the gum is delivered
only when the coin inserted is minimum 15.
•

There is 5 possible best way of getting 15 cent
minimum.
1.

5>5>5

( 3 continuous 5 cent coin)

2.

5 > 10

(5 cent follows with 10 cent coin)

3.

10 > 5

(10 cent follows with 5 cent coin)

4.

10 > 10

(2 continuous 10 cent coin)

5.

5 > 5 > 10 (2 continuous 5 cent coin follows
with one 10 cent coin)
• Since once a package is delivered, the
machine should be in initial state for the
next customer.
• Also T=1 indicates 10 cent coin and F=1
indicates 5 cent coin.
• We can’t have T=1 and F=1 at a same
time.
• Lets start drawing state diagram.
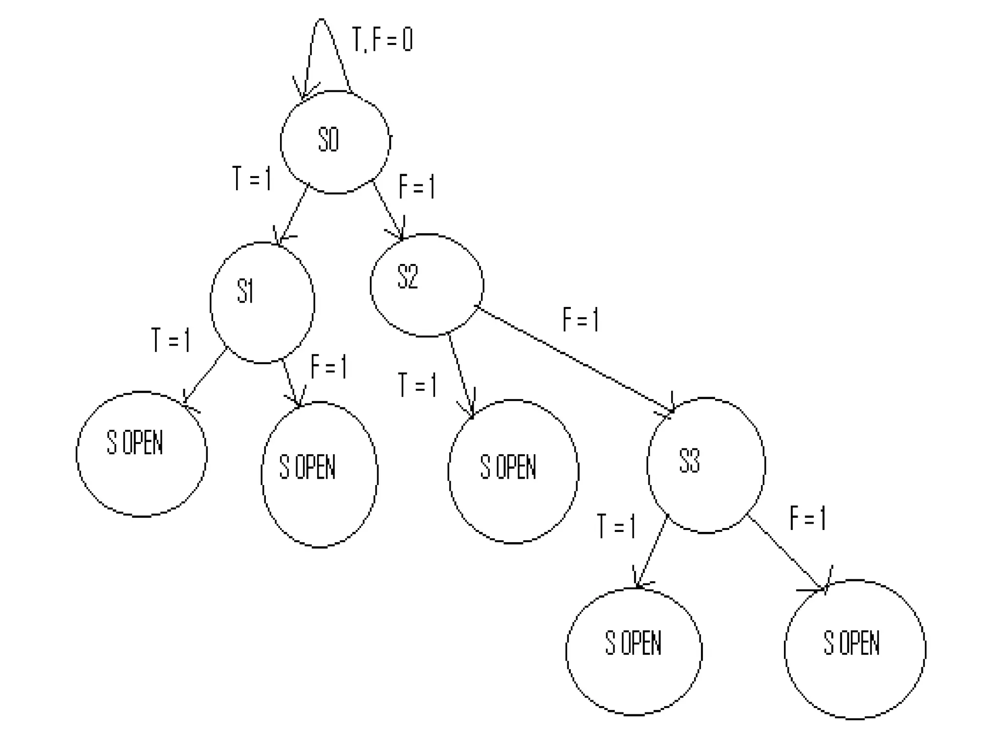
Step 2: State Diagram
• Initially we will start with the state where nothing is
being sensed i.e. T=0 and F=0.
• The system will be in the initial state until T or F
is not 1. Once T or F is detected we can start with
states. If T=1 means 10 cent coin is being
received so this will be indicated by state S1. If
initially F=1 means 5 cent coin is received, so we
will indicate this as state S2.
• After S1, if T=1 means (case 4 ) i.e. our condition
is satisfied and package will be delivered so it will
be indicated by state SOPEN.
Step 3: State Reduction
• The details techniques for the state
reduction will be discussed later.
• Here we can directly draw the reduced
state diagram by care full observations.
5 cent coin follows by 10 cent coin will be
having same state when 10 cent coin
follows by 5 cent coin.
Similarly 10 cent coin state received from
starting state is equivalent to two
consecutive 5 cent coin.
Reduced state diagram
State Assignments and design
Present State
Q0 Q1

T

F

Next State
Q0 Q1

Output
Z

COMMENT

00

0

0

00

0

NO CHANGE

00

0

1

01

0

STATE 01

00

1

0

10

0

STATE 10

00

1

1

XX

0

NOT ALLOW STATE

01

0

0

01

0

NO CHANGE

01

0

1

10

0

STATE 10

01

1

0

11

1

STATE 11

01

1

1

XX

0

NOT ALLOW STATE

10

0

0

10

0

NO CHANGE

10

0

1

11

1

STATE 11

10

1

0

11

1

STATE 11

10

1

1

XX

0

NOT ALLOW STATE

11

0

0

00

0

TO RESET

11

0

1

00

0

TO RESET

11

1

0

00

0

TO RESET

11

1

1

00

0

TO RESET
FSM for serial adder
• Suppose we have to add two inputs X and Y
where each bits of the inputs are coming
serially as shown below
State Diagram for serial adder
• Since carry generated from first bit addition
must be added with the next bits, so care must
be taken.
• Lets we have two states A,B. State A indicating
carry=0 and the state B ,indicating carry=1.
State table, state assignment
Present state

Inputs

Next state

Output
(Sum)

Next state
QN+1

Output
(Sum)

0

A

0

0

0

0

0

0

0

0

1

A

1

0

0

1

0

1

0

A

1

0

A

1

0

1

0

0

1

0

A

1

1

B

0

0

1

1

1

0

1

B

0

0

A

1

1

0

0

0

1

0

B

0

1

B

0

1

0

1

1

0

1

B

1

0

B

0

1

1

0

1

0

1

B

1

1

B

1

1

1

1

1

1

1

X

Y

A

0

A

a. State Table

Present state
QN

Inputs
X
Y

DQ

b. State Table after state assignment
• K-Maps and circuit design
K-Map for DQ=XY +XQN+YQN

K-Map for sum= XΘYΘQN
Where Θ is Exor operation.

XY

00

01

11

10

0

0

0

1

0

1

0

1

1

1

QN

00

01

11

10

0

0

1

0

1

1

1

0

1

0

QN

XY
Simplified Presentation
Serial code converters
• Binary to Gray code converter
• Gary to binary code converter( self)
• BCD to Excess-3 code converters ( Home
Assignment)
Binary to Gray code converter
• In these type of system, input bit stream is
coming serially and output is also expected
serially.
• Here we have to use the truth table of
converter wisely.
Binary
X2

X1

Gray
X0

Y2

Y1

Y0

0

0

0

0

0

0

0

1

0

0

1

0

0

1

2

0

1

0

0

1

1

3

0

1

1

0

1

0

4

1

0

0

1

1

0

5

1

0

1

1

1

1

6

1

1

0

1

0

1

7

1

1

1

1

0

0

1. Whenever MSB is 0 corresponding
Gary code value is 0 and when it’s
1 the Gray code is 1.
2. Whenever the second bit, after 0
MSB ,is 0 then the corresponding
Gary code is 0 else its 1.
3. Whenever the second bit, after 1
MSB ,is 0 then the corresponding
Gary code is 1 else its 0.
4. Whenever the last bit, after 00 ,is 0
then the corresponding Gary code
is 0 else its 1.
5. Whenever the last bit, after 01 ,is 0
then the corresponding Gary code
is 1 else its 0.
6. Whenever the last bit, after 10 ,is 0
then the corresponding Gary code
is 0 else its 1.
7. Whenever the last bit, after 11 ,is 0
then the corresponding Gary code
is 1 else its 0.
• Draw State diagram using the state table
given in the previous slide
• Then using the appropriate state
assignment and K-Map realization ,
design the system.
Sequence Detector
• This is special type of systems which is used
whenever we need to check a particular pattern
in the input sequence
• Suppose input to the system is serial and we
have to design the system such that whenever
“101” is detected in the input, output will be 1.
INPUT
: 10010001001010100
OUTPUT : 0 0 0 0 0 0 0 0 0 0 0 0 1 0 1 0 0
• There are two types of sequence detector.
(a) overlapping sequence detector
(b) non-overlapping sequence detector
In (a), we consider the input bit which may be common or
overlapping while deciding a pattern or desired sequence
in the input bit stream.
Let’s take example of sequence detector for 101. If input bit
sequence is 01010101…. , then output expected is
00010101 since when fourth bit is received , pattern 101
is received first time and output is available.
After that if two bits received are 0 , 1 , then the 1 that is
already there while forming pattern of 1 0 1 for the first
time will again form patter along with the two bit 0 ,1. so
output will be 1 again on 6th input bit, i.e the 1 in the 4th
location in the input is common in both 101 pattern
before and after this 1.
In (b) we need not to consider the input under
overlapping condition ie for obtaining desired
sequence, a input bits can not be considered more
then once.
How to draw state diagram for sequence detector
The input to the system is serially. Lets input is X and
output is Z. 101, sequence detector means out Z=1
whenever in the input stream X, we have 101
pattern ie for 01010101…. , as input stream , then
output Z expected is 00010101…….
• Class work : draw state diagram for 1001
sequence detector
Non Overlapping Sequence Detector
• In non overlapping type of sequence detector, output will
be decided once the desired pattern is received and no
output will be there for any other pattern.
Let draw non-overlapping 101 sequence detector. While
drawing state diagram for non overlapping type of system,
it’s very easy to draw the state diagram since here each
bit is being treated independently as non overlapping. As
in the case of 101 detector, for input stream:
1001100101010101010……
Output will be : 0000000000010000010….
Chose a pair of three bits and searching for 101. If 101
received then output is 1 otherwise output is zero.
EXAMPLE: Draw state diagram for 3 bit palindrome checker i.e. a system
is taking input bit serially and output will be 1 when the three bits form a
palindrome sequence.

Introduction state machine

  • 1.
  • 2.
    • Combinational circuitdesign process had two important things: 1. A formal way to describe desired circuit behavior • Boolean equation, or truth table 1. A well-defined process to convert that behavior to a circuit • We need those things for sequential circuit design • Finite-State Machine (FSM) – A way to describe desired behavior of sequential circuit • Akin to Boolean equations for combinational behavior
  • 3.
    The state machine Definition: A state machine is a system that can be used to describe the system in terms of set of states that the system goes through. In this type of system, memory capability of system is a must. Also, the state machine must have a set of inputs and outputs . Clocked synchronous FSM • Clocked: all storage elements employ a clock input (i.e. all storage elements are flip-flops) • Synchronous: all of the flip flops use the same clock signal • FSM state machine is simply another name for sequential circuits. Finite refers to the fact that the number of states the circuit can assume if finite • A synchronous clocked FSM changes state only when a
  • 4.
    Clocked synchronous FSMstructure • States: determined by possible values in sequential storage elements • Transitions: change of state • Clock: controls when state can change by controlling storage elements Inputs Combinational Logic Current State or State Outputs Next State Clock Storage Elements
  • 5.
    FSM Types • Thereare two main types of FSMs – Mealy (output is function of state and inputs) – Moore (output is only function of state)
  • 6.
    Mealy machine Next state= F 1 (current state, inputs) Output = G 1 (current state, inputs)
  • 7.
    Moore machine Next state= F 2 (current state, inputs) Output = G 2 (current state)
  • 8.
    Comparison of Mealyand Moore FSM • Mealy machines have less states – outputs are on transitions (n2) rather than states (n) • Moore machines are safer to use – outputs change at clock edge (always one cycle later) – in Mealy machines, input change can cause output change as soon as logic is done – a big problem when two machines are interconnected – asynchronous feedback may occur if one isn’t careful • Mealy machines react faster to inputs – react in same cycle – don't need to wait for clock – outputs may be considerably shorter than the clock cycle – in Moore machines, more logic may be necessary to decode state into outputs – there may be more gate delays after clock edge
  • 9.
    Mealy and Mooreexample Mealy or Moore ? A out Not a state machine B A D B clock Q out A Q Q Q B Moore: output = Γ(state) D clock D Q Q Moore: output = Λ(state) out
  • 10.
    Mealy and Mooreexample (cont’d) Mealy or Moore ? out A Mealy: output = Ω (state, input) D Q Q B D clock Q Q out A D Q D Q B D Q Q clock Q Q D Q Q Moore: output = Ψ (state)
  • 11.
    Analysis of statemachine How to design a circuit when output waveform of the system is known. Let’s take the two outputs Q1 and Q2.
  • 12.
    • The outputchanges only on the negative clock transitions, thus signal can be generated by using clocked flip flop. If D flip flop is to be used, then using the excitation table of D flip flop, determine the inputs of the D flip flops D1 and D2 whose outputs will be Q1 and Q2 respectively.
  • 13.
    • Sometimes itmay happen that we are given with set of input conditions and output is to be obtained.
  • 14.
    • First ofall, find the set of inputs to the flip flop under consideration using excitation table. Lets take D flip flop for this case
  • 15.
    • Now ,the inputs of the D flip flop is to be determined with the help of input combination.
  • 16.
    • The K-Mapfor the D1 and D2 as a function of X and Y are derived as follows
  • 17.
  • 18.
    • For thegiven set of inputs and output, design the system using JK flip flop
  • 19.
  • 21.
    Finite state machine •A FSM is an abstract model describing the synchronous sequential machine. • FSM design involves drawing state diagram for the problem which is also known as word problem. • One state diagram is drawn, the next steps involves reduction, state assignments and its realization or design.
  • 22.
    Some examples ofFSM • Positive transition detector i.e. system which gives output 1, whenever the inputs to the system changes from 0 to 1. • Vending machine problems • Serial Adder • Serial Code Converters (BCD to Excess-3) • TLC( Traffic Light Controller) • Sequence detectors
  • 23.
    Positive transition detector •Suppose we have to design a sequential system which is having one serial input IN and will produce output OUT=1 whenever input IN changes from 0 to 1. Input is received one bit per cycle. Step 1: Understand the problem Step 2: Draw state diagram Step3: reduction , state assignments and design
  • 24.
    • Step 1:The system is to have one input line and one output line. Since the possible transitions can 0 to 1 and 1 to 0, so we can assume that we have only two state. Out of these two state one state will represent that current input is 1 and other state will represent current input as 0. • Step 2: Draw state diagram
  • 25.
    • Step 3:No reduction needed. • Step 4: State Assignments: Since we have only two states, so we need only one bit to code the two states. In our case lets assign 0 to state Zero and 1 to state One. • Step 5: Designs the circuit diagram for this form state table as shown below. Present state QD Input (IN) Next state QD+1 Output (OUT) DA 0 0 0 0 0 0 1 1 1 1 1 0 0 0 0 1 1 1 0 1 Forming K – Map for DA and OUT we have QD IN 0 1 0 0 0 1 1 0 OUT=Q’D.IN 0 1 0 0 0 1 1 1 IN QD DA= IN
  • 26.
  • 27.
    Vending Machine Problem •The vending machine delivers package of gum after receiving minimum of 15 cents of coin. The machine has a single slot that accepts 10 cent coin or 5 cent coin one at a time. A mechanical sensor indicates whether 10 cent coin or 5 cent coin have been inserted.
  • 28.
    • Step 1:Understand problem Assuming that sensor gives two outputs which sense the coins. Lets take T signal for 10 cent coin and F signal for 5. As per given condition the gum is delivered only when the coin inserted is minimum 15.
  • 29.
    • There is 5possible best way of getting 15 cent minimum. 1. 5>5>5 ( 3 continuous 5 cent coin) 2. 5 > 10 (5 cent follows with 10 cent coin) 3. 10 > 5 (10 cent follows with 5 cent coin) 4. 10 > 10 (2 continuous 10 cent coin) 5. 5 > 5 > 10 (2 continuous 5 cent coin follows with one 10 cent coin)
  • 30.
    • Since oncea package is delivered, the machine should be in initial state for the next customer. • Also T=1 indicates 10 cent coin and F=1 indicates 5 cent coin. • We can’t have T=1 and F=1 at a same time. • Lets start drawing state diagram.
  • 31.
    Step 2: StateDiagram • Initially we will start with the state where nothing is being sensed i.e. T=0 and F=0. • The system will be in the initial state until T or F is not 1. Once T or F is detected we can start with states. If T=1 means 10 cent coin is being received so this will be indicated by state S1. If initially F=1 means 5 cent coin is received, so we will indicate this as state S2. • After S1, if T=1 means (case 4 ) i.e. our condition is satisfied and package will be delivered so it will be indicated by state SOPEN.
  • 33.
    Step 3: StateReduction • The details techniques for the state reduction will be discussed later. • Here we can directly draw the reduced state diagram by care full observations. 5 cent coin follows by 10 cent coin will be having same state when 10 cent coin follows by 5 cent coin. Similarly 10 cent coin state received from starting state is equivalent to two consecutive 5 cent coin.
  • 34.
  • 35.
    State Assignments anddesign Present State Q0 Q1 T F Next State Q0 Q1 Output Z COMMENT 00 0 0 00 0 NO CHANGE 00 0 1 01 0 STATE 01 00 1 0 10 0 STATE 10 00 1 1 XX 0 NOT ALLOW STATE 01 0 0 01 0 NO CHANGE 01 0 1 10 0 STATE 10 01 1 0 11 1 STATE 11 01 1 1 XX 0 NOT ALLOW STATE 10 0 0 10 0 NO CHANGE 10 0 1 11 1 STATE 11 10 1 0 11 1 STATE 11 10 1 1 XX 0 NOT ALLOW STATE 11 0 0 00 0 TO RESET 11 0 1 00 0 TO RESET 11 1 0 00 0 TO RESET 11 1 1 00 0 TO RESET
  • 36.
    FSM for serialadder • Suppose we have to add two inputs X and Y where each bits of the inputs are coming serially as shown below
  • 37.
    State Diagram forserial adder • Since carry generated from first bit addition must be added with the next bits, so care must be taken. • Lets we have two states A,B. State A indicating carry=0 and the state B ,indicating carry=1.
  • 38.
    State table, stateassignment Present state Inputs Next state Output (Sum) Next state QN+1 Output (Sum) 0 A 0 0 0 0 0 0 0 0 1 A 1 0 0 1 0 1 0 A 1 0 A 1 0 1 0 0 1 0 A 1 1 B 0 0 1 1 1 0 1 B 0 0 A 1 1 0 0 0 1 0 B 0 1 B 0 1 0 1 1 0 1 B 1 0 B 0 1 1 0 1 0 1 B 1 1 B 1 1 1 1 1 1 1 X Y A 0 A a. State Table Present state QN Inputs X Y DQ b. State Table after state assignment
  • 39.
    • K-Maps andcircuit design K-Map for DQ=XY +XQN+YQN K-Map for sum= XΘYΘQN Where Θ is Exor operation. XY 00 01 11 10 0 0 0 1 0 1 0 1 1 1 QN 00 01 11 10 0 0 1 0 1 1 1 0 1 0 QN XY
  • 40.
  • 41.
    Serial code converters •Binary to Gray code converter • Gary to binary code converter( self) • BCD to Excess-3 code converters ( Home Assignment)
  • 42.
    Binary to Graycode converter • In these type of system, input bit stream is coming serially and output is also expected serially. • Here we have to use the truth table of converter wisely.
  • 43.
    Binary X2 X1 Gray X0 Y2 Y1 Y0 0 0 0 0 0 0 0 1 0 0 1 0 0 1 2 0 1 0 0 1 1 3 0 1 1 0 1 0 4 1 0 0 1 1 0 5 1 0 1 1 1 1 6 1 1 0 1 0 1 7 1 1 1 1 0 0 1. Whenever MSBis 0 corresponding Gary code value is 0 and when it’s 1 the Gray code is 1. 2. Whenever the second bit, after 0 MSB ,is 0 then the corresponding Gary code is 0 else its 1. 3. Whenever the second bit, after 1 MSB ,is 0 then the corresponding Gary code is 1 else its 0. 4. Whenever the last bit, after 00 ,is 0 then the corresponding Gary code is 0 else its 1. 5. Whenever the last bit, after 01 ,is 0 then the corresponding Gary code is 1 else its 0. 6. Whenever the last bit, after 10 ,is 0 then the corresponding Gary code is 0 else its 1. 7. Whenever the last bit, after 11 ,is 0 then the corresponding Gary code is 1 else its 0.
  • 44.
    • Draw Statediagram using the state table given in the previous slide • Then using the appropriate state assignment and K-Map realization , design the system.
  • 45.
    Sequence Detector • Thisis special type of systems which is used whenever we need to check a particular pattern in the input sequence • Suppose input to the system is serial and we have to design the system such that whenever “101” is detected in the input, output will be 1. INPUT : 10010001001010100 OUTPUT : 0 0 0 0 0 0 0 0 0 0 0 0 1 0 1 0 0
  • 46.
    • There aretwo types of sequence detector. (a) overlapping sequence detector (b) non-overlapping sequence detector In (a), we consider the input bit which may be common or overlapping while deciding a pattern or desired sequence in the input bit stream. Let’s take example of sequence detector for 101. If input bit sequence is 01010101…. , then output expected is 00010101 since when fourth bit is received , pattern 101 is received first time and output is available. After that if two bits received are 0 , 1 , then the 1 that is already there while forming pattern of 1 0 1 for the first time will again form patter along with the two bit 0 ,1. so output will be 1 again on 6th input bit, i.e the 1 in the 4th location in the input is common in both 101 pattern before and after this 1.
  • 47.
    In (b) weneed not to consider the input under overlapping condition ie for obtaining desired sequence, a input bits can not be considered more then once. How to draw state diagram for sequence detector The input to the system is serially. Lets input is X and output is Z. 101, sequence detector means out Z=1 whenever in the input stream X, we have 101 pattern ie for 01010101…. , as input stream , then output Z expected is 00010101…….
  • 48.
    • Class work: draw state diagram for 1001 sequence detector
  • 49.
    Non Overlapping SequenceDetector • In non overlapping type of sequence detector, output will be decided once the desired pattern is received and no output will be there for any other pattern. Let draw non-overlapping 101 sequence detector. While drawing state diagram for non overlapping type of system, it’s very easy to draw the state diagram since here each bit is being treated independently as non overlapping. As in the case of 101 detector, for input stream: 1001100101010101010…… Output will be : 0000000000010000010…. Chose a pair of three bits and searching for 101. If 101 received then output is 1 otherwise output is zero.
  • 51.
    EXAMPLE: Draw statediagram for 3 bit palindrome checker i.e. a system is taking input bit serially and output will be 1 when the three bits form a palindrome sequence.