TARUN GEHLOT (B.E, CIVIL HONORS)
Application of Fourier Series to Differential Equations
Since the beginning Fourier himself was interested to find a powerful tool to be used in
solving differential equations. Therefore, it is of no surprise that we discuss in this page,
the application of Fourier series differential equations. We will only discuss the equations
of the form
y(n)
+ an-1y(n-1)
+ ........+ a1y' + a0 y = f(x),
where f(x) is a -periodic function.
Note that we will need the complex form of Fourier series of a periodic function. Let us
define this object first:
Definition. Let f(x) be -periodic. The complex Fourier series of f(x) is
where
We will use the notation
If you wonder about the existence of a relationship between the real Fourier coefficients
and the complex ones, the next theorem answers that worry.
Theoreme. Let f(x) be -periodic. Consider the real Fourier coefficients
and of f(x), as well as the complex Fourier coefficients . We have
TARUN GEHLOT (B.E, CIVIL HONORS)
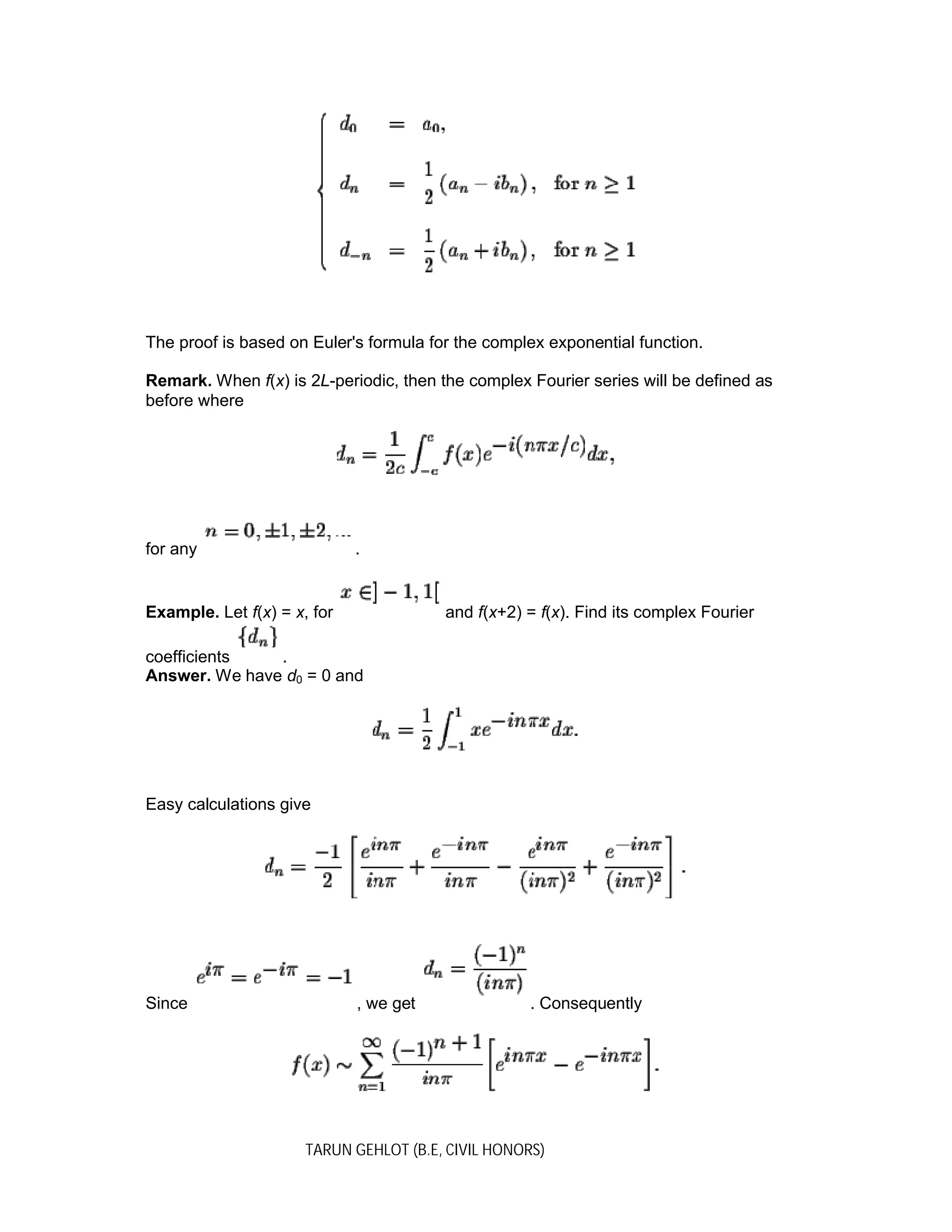
The proof is based on Euler's formula for the complex exponential function.
Remark. When f(x) is 2L-periodic, then the complex Fourier series will be defined as
before where
for any .
Example. Let f(x) = x, for and f(x+2) = f(x). Find its complex Fourier
coefficients .
Answer. We have d0 = 0 and
Easy calculations give
Since , we get . Consequently
TARUN GEHLOT (B.E, CIVIL HONORS)
Back to our original problem. In order to apply the Fourier technique to differential
equations, we will need to have a result linking the complex coefficients of a function
with its derivative. We have:
Theorem. Let f(x) be 2L-periodic. Assume that f(x) is differentiable. If
then
Example. Find the periodic solutions of the differential equation
y' + 2y = f(x),
where f(x) is a -periodic function.
Answer. Set
Let y be any -periodic solution of the differential equation. Assume
Then, from the differential equation, we get
Hence
TARUN GEHLOT (B.E, CIVIL HONORS)
Therefore, we have
Example. Find the periodic solutions of the differential equation
Answer. Because
we get with
Let y be a periodic solution of the differential equation. If
then . Hence
TARUN GEHLOT (B.E, CIVIL HONORS)
Therefore, the differential equation has only one periodic solution
The most important result may be stated as:
Theoreme. Consider the differential equation
where f(x) is a 2c-periodic function. Assume
for . Then the differential equations has one 2c-periodic solution
given by
where

Application of fourier series to differential equations

  • 1.
    TARUN GEHLOT (B.E,CIVIL HONORS) Application of Fourier Series to Differential Equations Since the beginning Fourier himself was interested to find a powerful tool to be used in solving differential equations. Therefore, it is of no surprise that we discuss in this page, the application of Fourier series differential equations. We will only discuss the equations of the form y(n) + an-1y(n-1) + ........+ a1y' + a0 y = f(x), where f(x) is a -periodic function. Note that we will need the complex form of Fourier series of a periodic function. Let us define this object first: Definition. Let f(x) be -periodic. The complex Fourier series of f(x) is where We will use the notation If you wonder about the existence of a relationship between the real Fourier coefficients and the complex ones, the next theorem answers that worry. Theoreme. Let f(x) be -periodic. Consider the real Fourier coefficients and of f(x), as well as the complex Fourier coefficients . We have
  • 2.
    TARUN GEHLOT (B.E,CIVIL HONORS) The proof is based on Euler's formula for the complex exponential function. Remark. When f(x) is 2L-periodic, then the complex Fourier series will be defined as before where for any . Example. Let f(x) = x, for and f(x+2) = f(x). Find its complex Fourier coefficients . Answer. We have d0 = 0 and Easy calculations give Since , we get . Consequently
  • 3.
    TARUN GEHLOT (B.E,CIVIL HONORS) Back to our original problem. In order to apply the Fourier technique to differential equations, we will need to have a result linking the complex coefficients of a function with its derivative. We have: Theorem. Let f(x) be 2L-periodic. Assume that f(x) is differentiable. If then Example. Find the periodic solutions of the differential equation y' + 2y = f(x), where f(x) is a -periodic function. Answer. Set Let y be any -periodic solution of the differential equation. Assume Then, from the differential equation, we get Hence
  • 4.
    TARUN GEHLOT (B.E,CIVIL HONORS) Therefore, we have Example. Find the periodic solutions of the differential equation Answer. Because we get with Let y be a periodic solution of the differential equation. If then . Hence
  • 5.
    TARUN GEHLOT (B.E,CIVIL HONORS) Therefore, the differential equation has only one periodic solution The most important result may be stated as: Theoreme. Consider the differential equation where f(x) is a 2c-periodic function. Assume for . Then the differential equations has one 2c-periodic solution given by where