Embed presentation
Downloaded 53 times









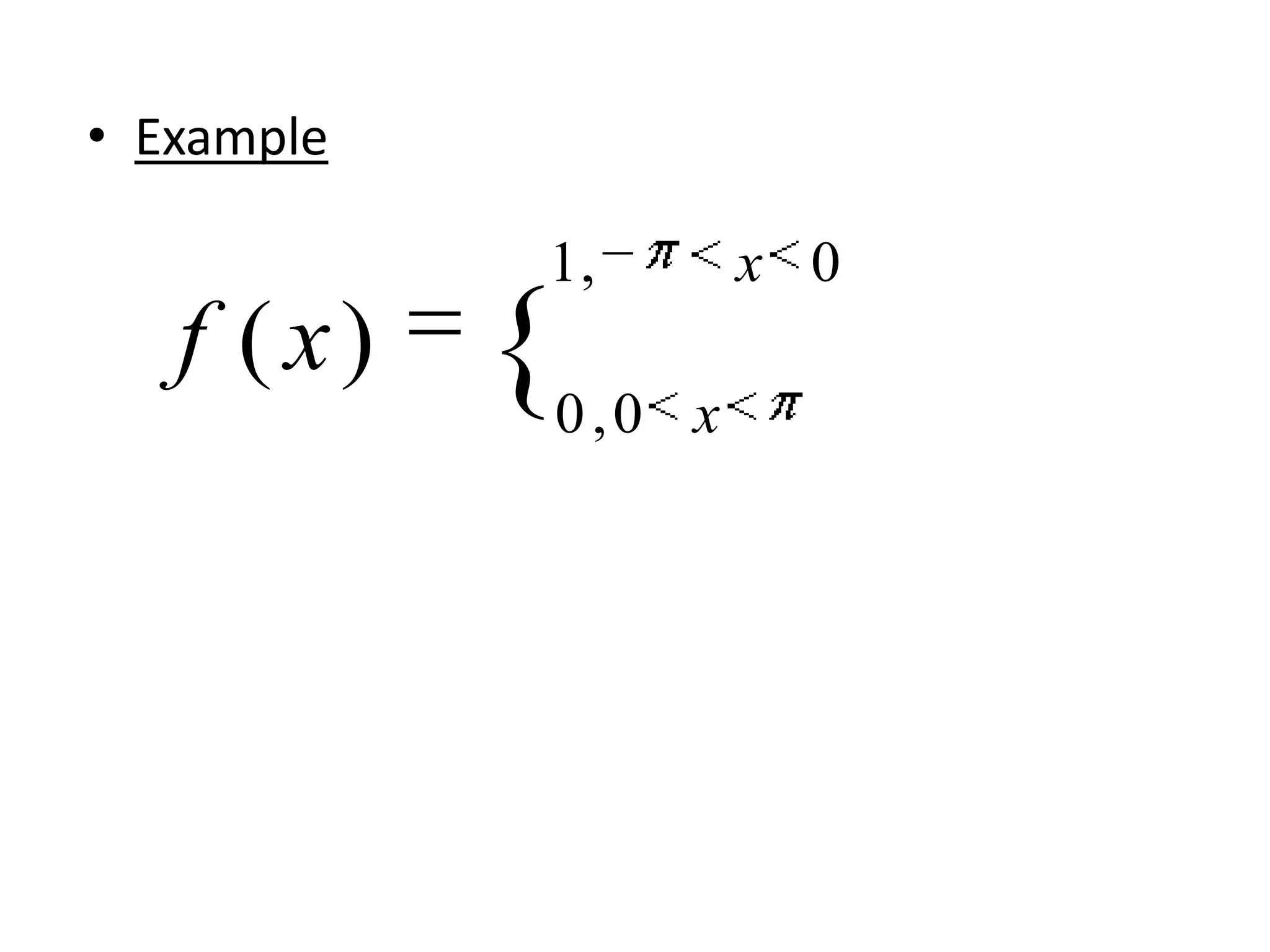
The document summarizes the complex form of Fourier series. It states that after substituting sine and cosine terms into the Fourier series formula, the complex form involves a summation of terms with coefficients multiplied by exponential terms with integer multiples of i and x. It provides the formulas for calculating the coefficients c0, c1, c2, etc. and gives an example function defined over an interval to demonstrate the complex form.








