Chapter 15
Fourier Series and Fourier Transform
15.3 - 15.8
Linear Circuit
I/P O/P
Sinusoidal Inputs OK
Nonsinusoidal Inputs
Nonsinusoidal Inputs Sinusoidal Inputs
The Fourier Series
Fourier Series
The Fourier Series
Joseph Fourier
1768 to 1830
Fourier studied the mathematical theory of heat
conduction. He established the partial differential
equation governing heat diffusion and solved it by
using infinite series of trigonometric functions.
The Fourier Series
Fourier proposed in 1807
A periodic waveform f(t) could be broken down into an
infinite series of simple sinusoids which, when added
together, would construct the exact form of the original
waveform.
Consider the periodic function
( ) ( ) ; 1, 2, 3,
f t f t nT n
     
T = Period, the smallest value of T that satisfies the above
Equation.
The Fourier Series
The expression for a Fourier Series is
0 0 0
1 1
( ) cos sin
N N
n n
n n
f t a a n t b n t
 
 
  
 
Fourier Series = a finite sum of harmonically related sinusoids
Or, alternative form
0 0
1
( ) cos( )
N
n n
n
f t C C n t
 

  

0, , and are real and are called
Fourier Trigonometric Coefficients
n n
a a b and 0
2
T

 
0 0 and are the Complex Coefficients
n
C a C

The Fourier Series
0 0
1
( ) cos( )
N
n n
n
f t C C n t
 

  

0
C is the average (or DC) value of f(t)
For n = 1 the corresponding sinusoid
is called the fundamental
1 0 1
cos( )
C t
 

For n = k the corresponding sinusoid
is called the kth harmonic term
0
cos( )
k k
C k t
 

Similarly, 0 is call the fundamental frequency
k0 is called the kth harmonic frequency
The Fourier Series
A Fourier Series is an accurate representation of a
periodic signal and consists of the sum of sinusoids at
the fundamental and harmonic frequencies.
Definition
N  
The waveform f(t) depends on the amplitude and phase
of every harmonic components, and we can generate any
non-sinusoidal waveform by an appropriate combination
of sinusoidal functions.
http://archives.math.utk.edu/topics/fourierAnalysis.html
The Fourier Series
To be described by the Fourier Series the waveform f(t)
must satisfy the following mathematical properties:
1. f(t) is a single-value function except at possibly a
finite number of points.
2. The integral for any t0.
3. f(t) has a finite number of discontinuities within
the period T.
4. f(t) has a finite number of maxima and minima
within the period T.
0
0
( )
t T
t
f t dt

 

In practice, f(t) = v(t) or i(t) so the above 4 conditions are
always satisfied.
The Fourier Series
Recall from calculus that sinusoids whose frequencies are
integer multiples of some fundamental frequency f0 = 1/T
form an orthogonal set of functions.
0
2 2 2
sin cos 0 ; ,
T nt mt
dt n m
T T T
 
 

and
0 0
2 2 2 2 2 2
sin sin cos cos
0 ;
1 ; 0
T T
nt mt nt mt
dt dt
T T T T T T
n m
n m
   



 
 

 
The Fourier Series
The Fourier Trigonometric Coefficients can be obtained
from
0
0
0
0
0
0
0
0
0
1
( )
2
( )cos
2
( )sin
t T
t
t T
n
t
t T
n
t
a f t dt
T
a f t n t dt
T
b f t n t dt
T











average value over one period
n > 0
n > 0
The Fourier Series
To obtain ak
0 0 0
0 0
0 0 0
0
1
( )cos cos
( cos sin )cos
T T
N T
n n
n
f t k t dt a k t dt
a n t b n t k t dt
 
  


 
 

The only nonzero term is for n = k
0
0
( )cos
2
T
k
T
f t k t dt a

 
  
 

Similar approach can be used to obtain bk
Example 15.3-1 determine Fourier Series and plot for N = 7
0
0
0
/ 2 / 4
/ 2 / 4
1
( )
1 1 1
( ) 1
2
t T
t
T T
T T
a f t dt
T
f t dt dt
T T

 

  

 
0
1
2
a 
average or DC value
Example 15.3-1(cont.)
An even function exhibits symmetry around the vertical axis
at t = 0 so that f(t) = f(-t).
0
0
0
/ 4
0
/ 4
2
( )sin
2
1 sin 0
t T
n
t
T
T
b f t n t dt
T
n t dt
T




 
 


/ 4
0
/ 4
/ 4
0 / 4
0
2
1 cos
2
sin |
T
n
T
T
T
a n t dt
T
n t
T n








Determine only an
Example 15.3-1(cont.)
1
sin sin
2 2
n
n n
a
n
 


 
   
 
   
 
   
 
0 when 2, 4, 6,
n
a n
  
and 2( 1)
when 1, 3, 5,
q
n
a n
n


  
where
( 1)
2
n
q


0
1,
1 2( 1)
( ) cos
2
q
N
n odd
f t n t
n




  
1 3 5 7
2 2 2 2
, , ,
3 5 7
a a a a
   
 
   
Symmetry of the Function
Four types
1. Even-function symmetry
2. Odd-function symmetry
3. Half-wave symmetry
4. Quarter-wave symmetry
Even function
( ) ( )
f t f t
  All bn = 0
/ 2
0
0
4
( )cos
T
n
a f t n t dt
T

 
Symmetry of the Function
Odd function
( ) ( )
f t f t
   All an = 0
/ 2
0
0
4
( )sin
T
n
b f t n t dt
T

 
Half-wave symmetry
( ) ( )
2
T
f t f t
  
an and bn = 0 for even values of n and a0 = 0
Quarter-wave symmetry
Symmetry of the Function
All an = 0 and bn = 0 for even values of n and a0 = 0
/ 4
0
0
8
( )sin ; for odd
T
n
b f t n t dt n
T

 
Odd & Quarter-wave
For Even & Quarter-wave
Symmetry of the Function
All bn = 0 and an = 0 for even values of n and a0 = 0
/ 4
0
0
8
( )cos ; for odd
T
n
a f t n t dt n
T

 
Table 15.4-1 gives a summary of Fourier coefficients
and symmetry.
Example 15.4-1 determine Fourier Series and N = ?
4 and s
2
m
f T

 
0
2
4 rad/s
2
T
T
 

   
To obtain the most advantages form of symmetry,
we choose t1 = 0 s
0
Odd & Quarter-wave
All an = 0 and bn = 0 for even values of n and a0 = 0

/ 4
0
0
8
( )sin ; for odd
T
n
b f t n t dt n
T

 
Example 15.4-1(cont.)
4
( ) ; 0 / 4
/ 4
m m
f f
f t t t t T
T T
   
2

4
32
( ) ; 0 / 4
f t t t T

   
/ 4
0
0
/ 4
0 0
2 2 2
0 0 0
2 2
8 32
sin
512 sin cos
32
sin ; for odd
2
T
n
T
b t n t dt
T
n t t n t
n n
n
n
n


 
  


 
  
 
 
 
 
 


Example 15.4-1(cont.)
The Fourier Series is
0
2
1
1
( ) 3.24 sin sin ; for odd
2
N
n
n
f t n t n
n



 
2
32

The first 4 terms (upto and including N = 7)
1 1 1
( ) 3.24(sin4 sin12 sin20 sin28 )
9 25 49
f t t t t t
   
Next harmonic is for N = 9 which has magnitude
3.24/81 = 0.04 < 2 % of b1 ( = 3.24)
Therefore the first 4 terms (including N = 7) is enough for
the desired approximation
Exponential Form of the Fourier Series
0 0
1
( ) cos( )
N
n n
n
f t C C n t
 

  

is the average (or DC) value of f(t) and
0
C
( )
2
n n
n n n
a jb
C 

  
C
2 2
2
n n
n n
a b
C

 
C
and
where
1
1
tan ; if 0
180 tan ; if 0
n
n
n
n
n
n
n
b
a
a
b
a
a



  

  
  
 
 
    
 

 

Exponential Form of the Fourier Series
or
2 cos and 2 sin
n n n n n n
a C b C
 
 
Writing in exponential form using
Euler’s identity with
0
cos( )
n
n t
 

N  
0 0
0
0
( ) jn t jn t
n n
n n
n
f t C e e
 
 
 

  
 
C C
where the complex coefficients are defined as
0
0
0
1
( ) n
t T
jn t j
n n
t
f t e dt C e
T
 


 

C
And ; the coefficients for negative n are the
complex conjugates of the coefficients for positive n
*
n n


C C
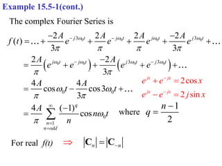
Example 15.5-1 determine complex Fourier Series
The average value of f(t) is zero 0 0
C
 
Even function
0
0
0
1
( )
t T
jn t
n
t
f t e dt
T



 
C
We select and define
0
2
T
t   0
jn m
 
 
 
0
/ 2
/ 2
/ 4 / 4 / 2
/ 2 / 4 / 4
/ 4 / 4 / 2
/ 2 / 4 / 4
/ 2 / 2
0
1
( )
1 1 1
| | |
2 2
0
4sin 2sin( )
2 2
T
jn t
n
T
T T T
mt mt mt
T T T
mt T mt T mt T
T T T
jn jn jn jn
f t e dt
T
Ae dt Ae dt Ae dt
T T T
A
e e e
mT
A
e e e e
jn T
A n
n
n

   







  
 
   
 
 

    
  
   
 
  
 
 

  
C
; for even
2
sin ; for odd
2
sin
where
2
n
A
n n
n
x n
A x
x








 
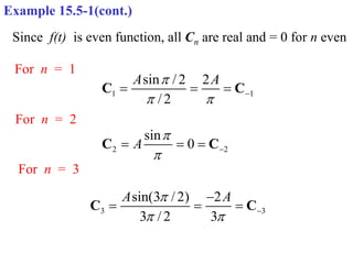
Example 15.5-1(cont.)
Example 15.5-1(cont.)
Since f(t) is even function, all Cn are real and = 0 for n even
1 1
sin / 2 2
/ 2
A A

  
  
C C
For n = 1
For n = 2
2 2
sin
0
A

 
  
C C
For n = 3
3 3
sin(3 / 2) 2
3 / 2 3
A A

  

  
C C
Example 15.5-1(cont.)
The complex Fourier Series is
   
0 0 0 0
0 0 0 0
3 3
3 3
0 0
0
1
2 2 2 2
( )
3 3
2 2
3
4 4
cos cos3
3
4 ( 1)
cos
j t j t j t j t
j t j t j t j t
q
n
n odd
A A A A
f t e e e e
A A
e e e e
A A
t t
A
n t
n
   
   
   
 
 
 


 
 



 
     

    
  

  where
1
2
n
q


For real f(t) n n

 
C C
2cos
2 sin
jx jx
jx jx
e e x
e e j x


 
 
Example 15.5-2 determine complex Fourier Series
Even function
 
/ 4
/ 4
/ 4
/ 4
/ 4 / 4
1
1
1
|
1
T
mt
n
T
mt T
T
mT mT
e dt
T
e
mT
e e
mT




 



 


C
0
jn m
 
Use
 
/ 2 / 2
( 1)/ 2
1
2
0 ; even, 0
( 1) ; odd
jn jn
n
n
e e
jn
n n
n
 

 

 



 


C
Example 15.5-2(cont.)
To find C0
0
0
/ 4
/ 4
1
( )
1 1
1
2
T
T
T
C f t dt
T
dt
T 

 


The Fourier Spectrum
The complex Fourier coefficients
n n n

 
C C
n
C

Amplitude spectrum

n

Phase spectrum
The Fourier Spectrum
The Fourier Spectrum is a graphical display of the
amplitude and phase of the complex Fourier coeff.
at the fundamental and harmonic frequencies.
Example
A periodic sequence of pulses each of width 
The Fourier Spectrum
The Fourier coefficients are
0
/ 2
/ 2
1 T
jn t
n
T
Ae dt
T



 
C
For 0
n 
 
0
0 0
/ 2
/ 2
/ 2 / 2
0
0
0
2
sin
2
jn t
n
jn jn
A
e dt
T
A
e e
jn T
A n
n T
 

   

 






 
 
  
 

C
0
0
sin( / 2)
( / 2)
sin
n
A n
T n
A x
T x
  
 



C
The Fourier Spectrum
where 0 /2
x n 

For 0
n 
/ 2
0
/ 2
1 A
Adt
T T




 

C
The Fourier Spectrum
ˆ
L'Hopital's rule
sin
1 for 0
x
x
x
 
sin( )
0 ; 1, 2, 3,
n
n
n


 
0
5
 

0
10
 

0
 
The Truncated Fourier Series
0
( ) ( )
N
jn t
n N
n N
f t e S t


 
 C
A practical calculation of the Fourier series requires that
we truncate the series to a finite number of terms.
The error for N terms is
( ) ( ) ( )
N
t f t S t
  
We use the mean-square error (MSE) defined as
2
0
1
( )
T
MSE t dt
T

 
MSE is minimum when Cn = Fourier series’ coefficients
The Truncated Fourier Series
overshoot 10%

Circuits and Fourier Series
An RC circuit excited by a periodic voltage vS(t).
It is often desired to determine the response of a circuit
excited by a periodic signal vS(t).
Example 15.8-1 An RC Circuit vO(t) = ?
1 , 2 F, sec
R C T 
   
Example 15.3-1
Circuits and Fourier Series
An equivalent circuit.
Each voltage source
is a term of the
Fourier series of vs(f).
Using
phasors
to find
steady-state
responses
to the
sinusoids.
Each
input
is a
Sinusoid.
Example 15.8-1
(cont.)
0
1,
1 2( 1)
( ) cos
2
q
N
s
n odd
v t n t
n




  
Example 15.8-1 (cont.)
( 1)
2
n
q


where
The first 4 terms of vS(t) is
0 1 3 5
1 2 2 2
( ) cos2 cos6 cos10
2 3
( ) ) ( ( )
5
( )
s
v t t
v t v t v t v t
s s s s
t t
  
   
0 2 rad/s
 
The steady state response vO(t) can then be found using
superposition. 0 1 3 5
( ) ( ) ( ) ( ) ( )
o o o o o
v t v t v t v t v t
   
Example 15.8-1 (cont.)
The impedance of the capacitor is
0
1
; for 0,1, 3, 5,
C n
jn C

 
Z
0
0
0
1
; for 0,1, 3, 5
1
4
,
1
on sn
sn
jn C
n
R
jn C
jn CR



 



V V
V
We can find
Example 15.8-1 (cont.)
The steady-state response can be written as
0
1
0
2
( ) cos(
cos( tan 4 )
1 16
on on on
sn
sn
v t n t
n t n
n

 
  
   

V V
V
V
0
1
2
2
for 1, 3, 5
0 for 0,1, 3, 5
s
sn
sn
n
n
n


 
  
V
V
V
In this example we have
Example 15.8-1 (cont.)
0
1
2
1
( )
2
2
( ) cos( 2 tan 4 ) ; for 1,3,5
1 16
o
on
v t
v t n t n n
n n



  

1
3
5
( ) 0.154cos(2 76 )
( ) 0.018cos(6 85 )
( ) 0.006cos(10 87 )
o
o
o
v t t
v t t
v t t
  
  
  
1
( ) 0.154cos(2 76 ) 0.018cos(6 85 )
2
0.006cos(10 87 )
o
v t t t
t
       
  
Summary
The Fourier Series
Symmetry of the Function
Exponential Form of the Fourier Series
The Fourier Spectrum
The Truncated Fourier Series
Circuits and Fourier Series

fourier-method-of-waveform-analysis msc physics

  • 1.
    Chapter 15 Fourier Seriesand Fourier Transform 15.3 - 15.8
  • 2.
    Linear Circuit I/P O/P SinusoidalInputs OK Nonsinusoidal Inputs Nonsinusoidal Inputs Sinusoidal Inputs The Fourier Series Fourier Series
  • 3.
    The Fourier Series JosephFourier 1768 to 1830 Fourier studied the mathematical theory of heat conduction. He established the partial differential equation governing heat diffusion and solved it by using infinite series of trigonometric functions.
  • 4.
    The Fourier Series Fourierproposed in 1807 A periodic waveform f(t) could be broken down into an infinite series of simple sinusoids which, when added together, would construct the exact form of the original waveform. Consider the periodic function ( ) ( ) ; 1, 2, 3, f t f t nT n       T = Period, the smallest value of T that satisfies the above Equation.
  • 5.
    The Fourier Series Theexpression for a Fourier Series is 0 0 0 1 1 ( ) cos sin N N n n n n f t a a n t b n t          Fourier Series = a finite sum of harmonically related sinusoids Or, alternative form 0 0 1 ( ) cos( ) N n n n f t C C n t        0, , and are real and are called Fourier Trigonometric Coefficients n n a a b and 0 2 T    0 0 and are the Complex Coefficients n C a C 
  • 6.
    The Fourier Series 00 1 ( ) cos( ) N n n n f t C C n t        0 C is the average (or DC) value of f(t) For n = 1 the corresponding sinusoid is called the fundamental 1 0 1 cos( ) C t    For n = k the corresponding sinusoid is called the kth harmonic term 0 cos( ) k k C k t    Similarly, 0 is call the fundamental frequency k0 is called the kth harmonic frequency
  • 7.
    The Fourier Series AFourier Series is an accurate representation of a periodic signal and consists of the sum of sinusoids at the fundamental and harmonic frequencies. Definition N   The waveform f(t) depends on the amplitude and phase of every harmonic components, and we can generate any non-sinusoidal waveform by an appropriate combination of sinusoidal functions. http://archives.math.utk.edu/topics/fourierAnalysis.html
  • 8.
    The Fourier Series Tobe described by the Fourier Series the waveform f(t) must satisfy the following mathematical properties: 1. f(t) is a single-value function except at possibly a finite number of points. 2. The integral for any t0. 3. f(t) has a finite number of discontinuities within the period T. 4. f(t) has a finite number of maxima and minima within the period T. 0 0 ( ) t T t f t dt     In practice, f(t) = v(t) or i(t) so the above 4 conditions are always satisfied.
  • 9.
    The Fourier Series Recallfrom calculus that sinusoids whose frequencies are integer multiples of some fundamental frequency f0 = 1/T form an orthogonal set of functions. 0 2 2 2 sin cos 0 ; , T nt mt dt n m T T T      and 0 0 2 2 2 2 2 2 sin sin cos cos 0 ; 1 ; 0 T T nt mt nt mt dt dt T T T T T T n m n m              
  • 10.
    The Fourier Series TheFourier Trigonometric Coefficients can be obtained from 0 0 0 0 0 0 0 0 0 1 ( ) 2 ( )cos 2 ( )sin t T t t T n t t T n t a f t dt T a f t n t dt T b f t n t dt T            average value over one period n > 0 n > 0
  • 11.
    The Fourier Series Toobtain ak 0 0 0 0 0 0 0 0 0 1 ( )cos cos ( cos sin )cos T T N T n n n f t k t dt a k t dt a n t b n t k t dt             The only nonzero term is for n = k 0 0 ( )cos 2 T k T f t k t dt a          Similar approach can be used to obtain bk
  • 12.
    Example 15.3-1 determineFourier Series and plot for N = 7 0 0 0 / 2 / 4 / 2 / 4 1 ( ) 1 1 1 ( ) 1 2 t T t T T T T a f t dt T f t dt dt T T           0 1 2 a  average or DC value
  • 13.
    Example 15.3-1(cont.) An evenfunction exhibits symmetry around the vertical axis at t = 0 so that f(t) = f(-t). 0 0 0 / 4 0 / 4 2 ( )sin 2 1 sin 0 t T n t T T b f t n t dt T n t dt T           / 4 0 / 4 / 4 0 / 4 0 2 1 cos 2 sin | T n T T T a n t dt T n t T n         Determine only an
  • 14.
    Example 15.3-1(cont.) 1 sin sin 22 n n n a n                         0 when 2, 4, 6, n a n    and 2( 1) when 1, 3, 5, q n a n n      where ( 1) 2 n q   0 1, 1 2( 1) ( ) cos 2 q N n odd f t n t n        1 3 5 7 2 2 2 2 , , , 3 5 7 a a a a          
  • 15.
    Symmetry of theFunction Four types 1. Even-function symmetry 2. Odd-function symmetry 3. Half-wave symmetry 4. Quarter-wave symmetry Even function ( ) ( ) f t f t   All bn = 0 / 2 0 0 4 ( )cos T n a f t n t dt T   
  • 16.
    Symmetry of theFunction Odd function ( ) ( ) f t f t    All an = 0 / 2 0 0 4 ( )sin T n b f t n t dt T    Half-wave symmetry ( ) ( ) 2 T f t f t    an and bn = 0 for even values of n and a0 = 0
  • 17.
    Quarter-wave symmetry Symmetry ofthe Function All an = 0 and bn = 0 for even values of n and a0 = 0 / 4 0 0 8 ( )sin ; for odd T n b f t n t dt n T    Odd & Quarter-wave
  • 18.
    For Even &Quarter-wave Symmetry of the Function All bn = 0 and an = 0 for even values of n and a0 = 0 / 4 0 0 8 ( )cos ; for odd T n a f t n t dt n T    Table 15.4-1 gives a summary of Fourier coefficients and symmetry.
  • 19.
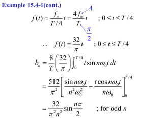
    Example 15.4-1 determineFourier Series and N = ? 4 and s 2 m f T    0 2 4 rad/s 2 T T        To obtain the most advantages form of symmetry, we choose t1 = 0 s 0 Odd & Quarter-wave All an = 0 and bn = 0 for even values of n and a0 = 0  / 4 0 0 8 ( )sin ; for odd T n b f t n t dt n T   
  • 20.
    Example 15.4-1(cont.) 4 ( ); 0 / 4 / 4 m m f f f t t t t T T T     2  4 32 ( ) ; 0 / 4 f t t t T      / 4 0 0 / 4 0 0 2 2 2 0 0 0 2 2 8 32 sin 512 sin cos 32 sin ; for odd 2 T n T b t n t dt T n t t n t n n n n n                          
  • 21.
    Example 15.4-1(cont.) The FourierSeries is 0 2 1 1 ( ) 3.24 sin sin ; for odd 2 N n n f t n t n n      2 32  The first 4 terms (upto and including N = 7) 1 1 1 ( ) 3.24(sin4 sin12 sin20 sin28 ) 9 25 49 f t t t t t     Next harmonic is for N = 9 which has magnitude 3.24/81 = 0.04 < 2 % of b1 ( = 3.24) Therefore the first 4 terms (including N = 7) is enough for the desired approximation
  • 22.
    Exponential Form ofthe Fourier Series 0 0 1 ( ) cos( ) N n n n f t C C n t        is the average (or DC) value of f(t) and 0 C ( ) 2 n n n n n a jb C      C 2 2 2 n n n n a b C    C and where 1 1 tan ; if 0 180 tan ; if 0 n n n n n n n b a a b a a                            
  • 23.
    Exponential Form ofthe Fourier Series or 2 cos and 2 sin n n n n n n a C b C     Writing in exponential form using Euler’s identity with 0 cos( ) n n t    N   0 0 0 0 ( ) jn t jn t n n n n n f t C e e             C C where the complex coefficients are defined as 0 0 0 1 ( ) n t T jn t j n n t f t e dt C e T        C And ; the coefficients for negative n are the complex conjugates of the coefficients for positive n * n n   C C
  • 24.
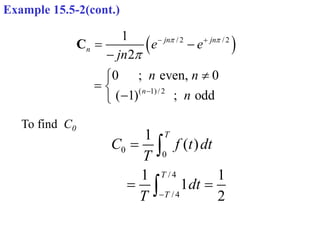
    Example 15.5-1 determinecomplex Fourier Series The average value of f(t) is zero 0 0 C   Even function 0 0 0 1 ( ) t T jn t n t f t e dt T      C We select and define 0 2 T t   0 jn m  
  • 25.
        0 /2 / 2 / 4 / 4 / 2 / 2 / 4 / 4 / 4 / 4 / 2 / 2 / 4 / 4 / 2 / 2 0 1 ( ) 1 1 1 | | | 2 2 0 4sin 2sin( ) 2 2 T jn t n T T T T mt mt mt T T T mt T mt T mt T T T T jn jn jn jn f t e dt T Ae dt Ae dt Ae dt T T T A e e e mT A e e e e jn T A n n n                                                    C ; for even 2 sin ; for odd 2 sin where 2 n A n n n x n A x x           Example 15.5-1(cont.)
  • 26.
    Example 15.5-1(cont.) Since f(t)is even function, all Cn are real and = 0 for n even 1 1 sin / 2 2 / 2 A A        C C For n = 1 For n = 2 2 2 sin 0 A       C C For n = 3 3 3 sin(3 / 2) 2 3 / 2 3 A A         C C
  • 27.
    Example 15.5-1(cont.) The complexFourier Series is     0 0 0 0 0 0 0 0 3 3 3 3 0 0 0 1 2 2 2 2 ( ) 3 3 2 2 3 4 4 cos cos3 3 4 ( 1) cos j t j t j t j t j t j t j t j t q n n odd A A A A f t e e e e A A e e e e A A t t A n t n                                                where 1 2 n q   For real f(t) n n    C C 2cos 2 sin jx jx jx jx e e x e e j x      
  • 28.
    Example 15.5-2 determinecomplex Fourier Series Even function   / 4 / 4 / 4 / 4 / 4 / 4 1 1 1 | 1 T mt n T mt T T mT mT e dt T e mT e e mT              C 0 jn m   Use
  • 29.
      / 2/ 2 ( 1)/ 2 1 2 0 ; even, 0 ( 1) ; odd jn jn n n e e jn n n n                C Example 15.5-2(cont.) To find C0 0 0 / 4 / 4 1 ( ) 1 1 1 2 T T T C f t dt T dt T      
  • 30.
    The Fourier Spectrum Thecomplex Fourier coefficients n n n    C C n C  Amplitude spectrum  n  Phase spectrum
  • 31.
    The Fourier Spectrum TheFourier Spectrum is a graphical display of the amplitude and phase of the complex Fourier coeff. at the fundamental and harmonic frequencies. Example A periodic sequence of pulses each of width 
  • 32.
    The Fourier Spectrum TheFourier coefficients are 0 / 2 / 2 1 T jn t n T Ae dt T      C For 0 n    0 0 0 / 2 / 2 / 2 / 2 0 0 0 2 sin 2 jn t n jn jn A e dt T A e e jn T A n n T                           C
  • 33.
    0 0 sin( / 2) (/ 2) sin n A n T n A x T x         C The Fourier Spectrum where 0 /2 x n   For 0 n  / 2 0 / 2 1 A Adt T T        C
  • 34.
    The Fourier Spectrum ˆ L'Hopital'srule sin 1 for 0 x x x   sin( ) 0 ; 1, 2, 3, n n n     0 5    0 10    0  
  • 35.
    The Truncated FourierSeries 0 ( ) ( ) N jn t n N n N f t e S t      C A practical calculation of the Fourier series requires that we truncate the series to a finite number of terms. The error for N terms is ( ) ( ) ( ) N t f t S t    We use the mean-square error (MSE) defined as 2 0 1 ( ) T MSE t dt T    MSE is minimum when Cn = Fourier series’ coefficients
  • 36.
    The Truncated FourierSeries overshoot 10% 
  • 37.
    Circuits and FourierSeries An RC circuit excited by a periodic voltage vS(t). It is often desired to determine the response of a circuit excited by a periodic signal vS(t). Example 15.8-1 An RC Circuit vO(t) = ? 1 , 2 F, sec R C T      Example 15.3-1
  • 38.
    Circuits and FourierSeries An equivalent circuit. Each voltage source is a term of the Fourier series of vs(f).
  • 39.
  • 40.
    0 1, 1 2( 1) () cos 2 q N s n odd v t n t n        Example 15.8-1 (cont.) ( 1) 2 n q   where The first 4 terms of vS(t) is 0 1 3 5 1 2 2 2 ( ) cos2 cos6 cos10 2 3 ( ) ) ( ( ) 5 ( ) s v t t v t v t v t v t s s s s t t        0 2 rad/s   The steady state response vO(t) can then be found using superposition. 0 1 3 5 ( ) ( ) ( ) ( ) ( ) o o o o o v t v t v t v t v t    
  • 41.
    Example 15.8-1 (cont.) Theimpedance of the capacitor is 0 1 ; for 0,1, 3, 5, C n jn C    Z 0 0 0 1 ; for 0,1, 3, 5 1 4 , 1 on sn sn jn C n R jn C jn CR         V V V We can find
  • 42.
    Example 15.8-1 (cont.) Thesteady-state response can be written as 0 1 0 2 ( ) cos( cos( tan 4 ) 1 16 on on on sn sn v t n t n t n n            V V V V 0 1 2 2 for 1, 3, 5 0 for 0,1, 3, 5 s sn sn n n n        V V V In this example we have
  • 43.
    Example 15.8-1 (cont.) 0 1 2 1 () 2 2 ( ) cos( 2 tan 4 ) ; for 1,3,5 1 16 o on v t v t n t n n n n        1 3 5 ( ) 0.154cos(2 76 ) ( ) 0.018cos(6 85 ) ( ) 0.006cos(10 87 ) o o o v t t v t t v t t          1 ( ) 0.154cos(2 76 ) 0.018cos(6 85 ) 2 0.006cos(10 87 ) o v t t t t           
  • 44.
    Summary The Fourier Series Symmetryof the Function Exponential Form of the Fourier Series The Fourier Spectrum The Truncated Fourier Series Circuits and Fourier Series