C.K. Pithawala College of
Engineering and Technology
Subject: Advanced Engineering Mathematics
(ALA)
Topic : Fourier Series
By Group no.: Rizwan
Fourier Series Sub-Topic
• Periodic Function
• Fourier series
• Fourier series for Discontinuous function
• Change of interval
• Even & Odd functions and their fourier series
form
• Half- Range Fourier series
Periodic function
Definition : In mathematics, a periodic function is a function that repeats its values
in regular intervals or periods. The most important examples are the trigonometric functions,
which repeat over intervals of 2π radians.
A function f(x) is said to be periodic function of x, if there exists a positive real number T
such that f(x+T) = f(x)
The smallest value of T is called the period of the function.
Note:
The positive T should be independent of x for f(x) to be periodic. In case T is not independent
of x, f(x) is not a periodic function.
For example:
Graph of f(x) = A sin x repeats itself after an interval of 2π,
so f(x) = A sin x is periodic with period 2π
Function Period
1. sin
n
x, cos
n
x,
sec
n
x, cosec
n
x
π, if n is
even
2π if n is odd
2. tan
n
x, cot
n
x π, n is even
or odd
3. | sin x| , | cos x|
| tan x | , | cot
x |
| secx| , | cosec
x|
π
4. x- = {x} 1
5. x
1/2
, x
2
, x
3
+2 ,
etc
Period does
not exist.
Standard results on
periodic functions:
Fourier Series
• Let x(t) be a CT periodic signal with period T, i.e.,
• Example: the rectangular pulse train
• Then, x(t) can be expressed as
where
Is the fundamental frequency (rad/sec) of the signal and
0
( ) ,jk t
k
k
x t c e t


  ¡
0 2 / T 
is called the constant or dc component of x(t)
Discontinues Function
• We state Dirichlet's theorem assuming f is a periodic function of period 2π with Fourier
series expansion where
• Th the analogous statement holds irrespective of
what the period of f is, or which version of the Fourier expansion is chosen (see Fourier
series).
• Dirichlet's theorem: If f satisfies Dirichlet conditions, then for all x, we have that the series
obtained by plugging x into the Fourier series is convergent, and is given by
denotes the right/left limits of f.
• A function satisfying Dirichlet's conditions must have right and left limits at each point of
discontinuity, or else the function would need to oscillate at that point, violating the
condition on maxima/minima. Note that at any point where f is continuous,
• Thus Dirichlet's theorem says in particular that under the Dirichlet conditions the Fourier
series for f converges and is equal to f wherever f is continuous
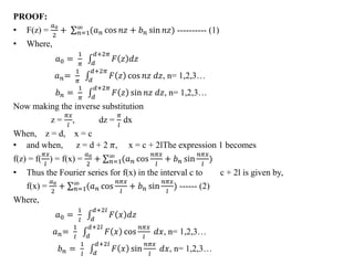
Change Of Interval
• In many engineering problems, it is required to expand a function in a Fourier series over an
interval of length 2l instead of 2 𝜋.
• The transformation from the function of period p = 2 𝜋 to those of period p = 2l is quite
simple.
• This can be achieved by transformation of the variable.
• Consider a periodic function f(x) defined in the interval c ≤ x ≤ c + 2l.
• To change the interval into length 2 𝜋.
• Put z =
𝜋𝑥
𝑙
So that when x = c, z =
𝜋𝑐
𝑙
= d
and when x = c + 2l, z =
𝜋(𝑐+2𝑙)
𝑙
=
𝜋𝑐
𝑙
+ 2 𝜋 = d + 2 𝜋
• Thus the function f(x) of period 2l in c to c + 2l is transformed to the function.
• f(
𝑙𝑧
𝜋
) = f(z) of the period 2 𝜋 in d to d + 2 𝜋 and f(z) can be expressed as the Fourier series
PROOF:
• F(z) =
𝑎0
2
+ 𝑛=1
∞
(𝑎 𝑛 cos 𝑛𝑧 + 𝑏 𝑛 sin 𝑛𝑧) ---------- (1)
• Where,
𝑎0 =
1
𝜋 𝑑
𝑑+2𝜋
𝐹 𝑧 𝑑𝑧
𝑎 𝑛=
1
𝜋 𝑑
𝑑+2𝜋
𝐹 𝑧 cos 𝑛𝑧 𝑑𝑧, n= 1,2,3…
𝑏 𝑛 =
1
𝜋 𝑑
𝑑+2𝜋
𝐹 𝑧 sin 𝑛𝑧 𝑑𝑧, n= 1,2,3…
Now making the inverse substitution
z =
𝜋𝑥
𝑙
, dz =
𝜋
𝑙
dx
When, z = d, x = c
• and when, z = d + 2 𝜋, x = c + 2lThe expression 1 becomes
f(z) = f(
𝜋𝑥
𝑙
) = f(x) =
𝑎0
2
+ 𝑛=1
∞
(𝑎 𝑛 cos
𝑛𝜋𝑥
𝑙
+ 𝑏 𝑛 sin
𝑛𝜋𝑥
𝑙
)
• Thus the Fourier series for f(x) in the interval c to c + 2l is given by,
f(x) =
𝑎0
2
+ 𝑛=1
∞
(𝑎 𝑛 cos
𝑛𝜋𝑥
𝑙
+ 𝑏 𝑛 sin
𝑛𝜋𝑥
𝑙
) ------ (2)
Where,
𝑎0 =
1
𝑙 𝑑
𝑑+2𝑙
𝐹 𝑥 𝑑𝑧
𝑎 𝑛=
1
𝑙 𝑑
𝑑+2𝑙
𝐹 𝑥 cos
𝑛𝜋𝑥
𝑙
𝑑𝑥, n= 1,2,3…
𝑏 𝑛 =
1
𝑙 𝑑
𝑑+2𝑙
𝐹 𝑥 sin
𝑛𝜋𝑥
𝑙
𝑑𝑥, n= 1,2,3…
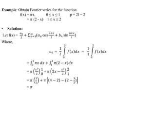
Example: Obtain Fourier series for the function
f(x) = 𝜋x, 0 ≤ x ≤ 1 p = 2l = 2
= 𝜋 (2 - x) 1 ≤ x ≤ 2
• Solution:
Let f(x) =
𝑎0
2
+ 𝑛=1
∞
(𝑎 𝑛 cos
𝑛𝜋𝑥
𝑙
+ 𝑏 𝑛 sin
𝑛𝜋𝑥
𝑙
)
Where,
𝑎0 =
1
𝑙
0
2𝑙
𝑓 𝑥 𝑑𝑥 =
1
1
0
2
𝑓 𝑥 𝑑𝑥
= 0
1
𝜋𝑥 𝑑𝑥 + 1
2
𝜋(2 − 𝑥)𝑑𝑥
= 𝜋
𝑥2
2
1
0
+ 𝜋 2𝑥 −
𝑥2
2
2
1
= 𝜋
1
2
+ 𝜋 4 − 2 − (2 −
1
2
)
= 𝜋
𝑎 𝑛 =
1
𝑙
0
2𝑙
f x cos
𝑛𝜋𝑥
𝑙
𝑑𝑥 =
1
1
0
2
𝑓 𝑥 cos 𝑛𝜋𝑥 𝑑𝑥
= 𝜋 0
1
𝑥 cos 𝑛𝜋𝑥 𝑑𝑥 + 𝜋 1
2
2 − 𝑥 cos 𝑛𝜋𝑥 𝑑𝑥
= 𝜋 𝑥
1
𝑛𝜋
sin 𝑛𝜋𝑥 − 1 −
1
𝑛2 𝜋2 cos 𝑛𝜋𝑥
1
0
+
𝜋 2 − 𝑥
1
𝑛𝜋
sin 𝑛𝜋𝑥 − −1 −
1
𝑛2 𝜋2 cos 𝑛𝜋𝑥
2
1
• Since sin n 𝜋 = sin 2n 𝜋 = 0, cos 2n 𝜋 = 1 for all n = 1,2,3….
=
2
𝑛2 𝜋
cos 𝑛𝜋 − 1
=
2
𝑛2 𝜋
(−1) 𝑛
−1
= 0 if n is even
= −
4
𝑛2 𝜋
if n is odd
𝑏 𝑛 =
1
𝑙
0
2𝑙
f x sin
𝑛𝜋𝑥
𝑙
𝑑𝑥 =
0
2
𝑓 𝑥 sin 𝑛𝜋𝑥 𝑑𝑥
= 𝜋 0
1
𝑥 sin 𝑛𝜋𝑥 𝑑𝑥 + 𝜋 1
2
2 − 𝑥 sin 𝑛𝜋𝑥 𝑑𝑥
= 𝜋 𝑥 −
1
𝑛𝜋
cos 𝑛𝜋𝑥 − 1 −
1
𝑛2 𝜋2 sin 𝑛𝜋𝑥
1
0
+ 𝜋 (2 −
Even and Odd function
• This section can make our lives a lot easier because it reduces the work required.
• In some of the problems that we encounter, the Fourier coefficients ao, an or bn become
zero after integration.
Finding zero coefficients in such problems is time consuming and can be avoided. With
knowledge of even and odd functions, a zero coefficient may be predicted without performing
the integration.
• Even Functions
A function `y = f(t)` is said to be even if `f(-t) = f(t)` for all values of `t`. The graph of an even
function is always symmetrical about the y-axis (i.e. it is a mirror image).
• Fourier Series for Odd Functions
A function `y = f(t)` is said to be odd if `f(-t) = - f(t)` for all values of t. The graph of an odd
function is always symmetrical about the origin.
HALF RANGE FOURIER SERIES
• Suppose we have a function f(x) defined on (0, L). It
can not be periodic (any periodic function, by
definition, must be defined for all x).
• Then we can always construct a function F(x) such
that:
 F(x) is periodic with period p = 2L, and
 F(x) = f(x) on (0, L).
Half range Fourier sine series (cont.)
• Expanding the odd-periodic extrapolation F(x) of a
function f(x) into a Fourier series,
we find :
Where
Half range Fourier sine series (cont.)
• So that the half range Fourier sine series
representation of f(x) is :
Where
• NB: integration is done on the interval 0 < x < L, i.e.
where function f(x) is defined.
Half range Fourier cosine series
• Expanding the even-periodic extrapolation
F(x) of a function f(x) into a Fourier series,
We find :
With
Half range Fourier cosine series
(cont.)
• so that the half range Fourier cosine series
representation of f(x) is:
with
Fourier series Introduction
Fourier series Introduction
Fourier series Introduction

Fourier series Introduction

  • 1.
    C.K. Pithawala Collegeof Engineering and Technology Subject: Advanced Engineering Mathematics (ALA) Topic : Fourier Series By Group no.: Rizwan
  • 2.
    Fourier Series Sub-Topic •Periodic Function • Fourier series • Fourier series for Discontinuous function • Change of interval • Even & Odd functions and their fourier series form • Half- Range Fourier series
  • 3.
    Periodic function Definition :In mathematics, a periodic function is a function that repeats its values in regular intervals or periods. The most important examples are the trigonometric functions, which repeat over intervals of 2π radians. A function f(x) is said to be periodic function of x, if there exists a positive real number T such that f(x+T) = f(x) The smallest value of T is called the period of the function. Note: The positive T should be independent of x for f(x) to be periodic. In case T is not independent of x, f(x) is not a periodic function. For example: Graph of f(x) = A sin x repeats itself after an interval of 2π, so f(x) = A sin x is periodic with period 2π
  • 4.
    Function Period 1. sin n x,cos n x, sec n x, cosec n x π, if n is even 2π if n is odd 2. tan n x, cot n x π, n is even or odd 3. | sin x| , | cos x| | tan x | , | cot x | | secx| , | cosec x| π 4. x- = {x} 1 5. x 1/2 , x 2 , x 3 +2 , etc Period does not exist. Standard results on periodic functions:
  • 5.
    Fourier Series • Letx(t) be a CT periodic signal with period T, i.e., • Example: the rectangular pulse train • Then, x(t) can be expressed as where Is the fundamental frequency (rad/sec) of the signal and 0 ( ) ,jk t k k x t c e t     ¡ 0 2 / T 
  • 6.
    is called theconstant or dc component of x(t)
  • 7.
    Discontinues Function • Westate Dirichlet's theorem assuming f is a periodic function of period 2π with Fourier series expansion where • Th the analogous statement holds irrespective of what the period of f is, or which version of the Fourier expansion is chosen (see Fourier series). • Dirichlet's theorem: If f satisfies Dirichlet conditions, then for all x, we have that the series obtained by plugging x into the Fourier series is convergent, and is given by denotes the right/left limits of f.
  • 8.
    • A functionsatisfying Dirichlet's conditions must have right and left limits at each point of discontinuity, or else the function would need to oscillate at that point, violating the condition on maxima/minima. Note that at any point where f is continuous, • Thus Dirichlet's theorem says in particular that under the Dirichlet conditions the Fourier series for f converges and is equal to f wherever f is continuous
  • 9.
    Change Of Interval •In many engineering problems, it is required to expand a function in a Fourier series over an interval of length 2l instead of 2 𝜋. • The transformation from the function of period p = 2 𝜋 to those of period p = 2l is quite simple. • This can be achieved by transformation of the variable. • Consider a periodic function f(x) defined in the interval c ≤ x ≤ c + 2l. • To change the interval into length 2 𝜋. • Put z = 𝜋𝑥 𝑙 So that when x = c, z = 𝜋𝑐 𝑙 = d and when x = c + 2l, z = 𝜋(𝑐+2𝑙) 𝑙 = 𝜋𝑐 𝑙 + 2 𝜋 = d + 2 𝜋 • Thus the function f(x) of period 2l in c to c + 2l is transformed to the function. • f( 𝑙𝑧 𝜋 ) = f(z) of the period 2 𝜋 in d to d + 2 𝜋 and f(z) can be expressed as the Fourier series
  • 10.
    PROOF: • F(z) = 𝑎0 2 +𝑛=1 ∞ (𝑎 𝑛 cos 𝑛𝑧 + 𝑏 𝑛 sin 𝑛𝑧) ---------- (1) • Where, 𝑎0 = 1 𝜋 𝑑 𝑑+2𝜋 𝐹 𝑧 𝑑𝑧 𝑎 𝑛= 1 𝜋 𝑑 𝑑+2𝜋 𝐹 𝑧 cos 𝑛𝑧 𝑑𝑧, n= 1,2,3… 𝑏 𝑛 = 1 𝜋 𝑑 𝑑+2𝜋 𝐹 𝑧 sin 𝑛𝑧 𝑑𝑧, n= 1,2,3… Now making the inverse substitution z = 𝜋𝑥 𝑙 , dz = 𝜋 𝑙 dx When, z = d, x = c • and when, z = d + 2 𝜋, x = c + 2lThe expression 1 becomes f(z) = f( 𝜋𝑥 𝑙 ) = f(x) = 𝑎0 2 + 𝑛=1 ∞ (𝑎 𝑛 cos 𝑛𝜋𝑥 𝑙 + 𝑏 𝑛 sin 𝑛𝜋𝑥 𝑙 ) • Thus the Fourier series for f(x) in the interval c to c + 2l is given by, f(x) = 𝑎0 2 + 𝑛=1 ∞ (𝑎 𝑛 cos 𝑛𝜋𝑥 𝑙 + 𝑏 𝑛 sin 𝑛𝜋𝑥 𝑙 ) ------ (2) Where, 𝑎0 = 1 𝑙 𝑑 𝑑+2𝑙 𝐹 𝑥 𝑑𝑧 𝑎 𝑛= 1 𝑙 𝑑 𝑑+2𝑙 𝐹 𝑥 cos 𝑛𝜋𝑥 𝑙 𝑑𝑥, n= 1,2,3… 𝑏 𝑛 = 1 𝑙 𝑑 𝑑+2𝑙 𝐹 𝑥 sin 𝑛𝜋𝑥 𝑙 𝑑𝑥, n= 1,2,3…
  • 11.
    Example: Obtain Fourierseries for the function f(x) = 𝜋x, 0 ≤ x ≤ 1 p = 2l = 2 = 𝜋 (2 - x) 1 ≤ x ≤ 2 • Solution: Let f(x) = 𝑎0 2 + 𝑛=1 ∞ (𝑎 𝑛 cos 𝑛𝜋𝑥 𝑙 + 𝑏 𝑛 sin 𝑛𝜋𝑥 𝑙 ) Where, 𝑎0 = 1 𝑙 0 2𝑙 𝑓 𝑥 𝑑𝑥 = 1 1 0 2 𝑓 𝑥 𝑑𝑥 = 0 1 𝜋𝑥 𝑑𝑥 + 1 2 𝜋(2 − 𝑥)𝑑𝑥 = 𝜋 𝑥2 2 1 0 + 𝜋 2𝑥 − 𝑥2 2 2 1 = 𝜋 1 2 + 𝜋 4 − 2 − (2 − 1 2 ) = 𝜋
  • 12.
    𝑎 𝑛 = 1 𝑙 0 2𝑙 fx cos 𝑛𝜋𝑥 𝑙 𝑑𝑥 = 1 1 0 2 𝑓 𝑥 cos 𝑛𝜋𝑥 𝑑𝑥 = 𝜋 0 1 𝑥 cos 𝑛𝜋𝑥 𝑑𝑥 + 𝜋 1 2 2 − 𝑥 cos 𝑛𝜋𝑥 𝑑𝑥 = 𝜋 𝑥 1 𝑛𝜋 sin 𝑛𝜋𝑥 − 1 − 1 𝑛2 𝜋2 cos 𝑛𝜋𝑥 1 0 + 𝜋 2 − 𝑥 1 𝑛𝜋 sin 𝑛𝜋𝑥 − −1 − 1 𝑛2 𝜋2 cos 𝑛𝜋𝑥 2 1 • Since sin n 𝜋 = sin 2n 𝜋 = 0, cos 2n 𝜋 = 1 for all n = 1,2,3…. = 2 𝑛2 𝜋 cos 𝑛𝜋 − 1 = 2 𝑛2 𝜋 (−1) 𝑛 −1 = 0 if n is even = − 4 𝑛2 𝜋 if n is odd
  • 13.
    𝑏 𝑛 = 1 𝑙 0 2𝑙 fx sin 𝑛𝜋𝑥 𝑙 𝑑𝑥 = 0 2 𝑓 𝑥 sin 𝑛𝜋𝑥 𝑑𝑥 = 𝜋 0 1 𝑥 sin 𝑛𝜋𝑥 𝑑𝑥 + 𝜋 1 2 2 − 𝑥 sin 𝑛𝜋𝑥 𝑑𝑥 = 𝜋 𝑥 − 1 𝑛𝜋 cos 𝑛𝜋𝑥 − 1 − 1 𝑛2 𝜋2 sin 𝑛𝜋𝑥 1 0 + 𝜋 (2 −
  • 14.
    Even and Oddfunction • This section can make our lives a lot easier because it reduces the work required. • In some of the problems that we encounter, the Fourier coefficients ao, an or bn become zero after integration. Finding zero coefficients in such problems is time consuming and can be avoided. With knowledge of even and odd functions, a zero coefficient may be predicted without performing the integration. • Even Functions A function `y = f(t)` is said to be even if `f(-t) = f(t)` for all values of `t`. The graph of an even function is always symmetrical about the y-axis (i.e. it is a mirror image). • Fourier Series for Odd Functions A function `y = f(t)` is said to be odd if `f(-t) = - f(t)` for all values of t. The graph of an odd function is always symmetrical about the origin.
  • 15.
    HALF RANGE FOURIERSERIES • Suppose we have a function f(x) defined on (0, L). It can not be periodic (any periodic function, by definition, must be defined for all x). • Then we can always construct a function F(x) such that:  F(x) is periodic with period p = 2L, and  F(x) = f(x) on (0, L).
  • 16.
    Half range Fouriersine series (cont.) • Expanding the odd-periodic extrapolation F(x) of a function f(x) into a Fourier series, we find : Where
  • 17.
    Half range Fouriersine series (cont.) • So that the half range Fourier sine series representation of f(x) is : Where • NB: integration is done on the interval 0 < x < L, i.e. where function f(x) is defined.
  • 18.
    Half range Fouriercosine series • Expanding the even-periodic extrapolation F(x) of a function f(x) into a Fourier series, We find : With
  • 19.
    Half range Fouriercosine series (cont.) • so that the half range Fourier cosine series representation of f(x) is: with