An introduction to
Fourier Analysis
University of Delhi
Professor Ajay Kumar
Department of Mathematics
Delhi-110007
There are several natural phenomena
that are described by periodic
functions. The position of a planet in
its orbit around the sun is a periodic
function of time; in Chemistry, the
arrangement of molecules in crystals
exhibits a periodic structure. The
theory of Fourier series deals with
periodic functions.
We begin with the concept of
Fourier SeriesFourier Series
Periodic function
A function f(t) is said to have a period
T or to be periodic with period T if
for all t, f(t+T)=f(t), where T is a
positive constant. The least value of
T>0 is called the principal period or
the fundamental period or simply the
period of f(t).
The function has periods 2π, 4π, 6π,
all equal
.
Let
If f(x) has the period
then has the period T.
…… since
Let a functionf be declared on the
interval [0,T). The periodic expansion
defined by the formulaof f is
Periodic expansionPeriodic expansion
Theorem:
Let f be continuous on 
converges uniformly to f for all
.
Suppose that the series
 
Then
(2)
(1)
The numbers an and bn are called the Fourier
coefficients of f. When an and
bn are given by (1)and(2) the trigonometric
series is called the Fourier series of the
function f. Below is an example of an arbitrary
function (the green function) which we
approximate with Fourier series of various
lengths. As you can see, the ability to mimic
the behavior of the function increases with
increasing series length, and the nature of the
fit is that the "spikier" elements are fit
better by the higher order functions.
In mathematics, the question of whether
the Fourier series of a function
converges to the given function is
researched by a field known as classic
harmonic analysis, a branch of
pure mathematics. For most engineering
uses of Fourier analysis, convergence is
generally simply assumed without
justification. However, convergence is not
necessarily a given in the general case,
and there are criteria which need to be
met in order for convergence to occur.
Find the Fourier series of the function
Hence
Example.
Find the Fourier series of the function
The Fourier series of f(x) is
Example.
Find the Fourier series of the function
Example.
would wonder how to define a similar
notion for functions which are L-periodic.
Assume that f(x) is defined and
integrable on the interval [-L,L]. Set
Remark.
We defined the Fourier series for
functions which are 2π -periodic, one
The function F(x) is defined and
integrable on [-π , π ].Consider the Fourier
series of F(x)
Using the substitution,
we obtain the following definition:
Let f(x) be a function defined and integrable on
[-L,L]. The Fourier series of f(x) is
.
Definition.
for
where
Find the Fourier series of
Example.
the Fourier series of f(x) can be written in
complex form as
 
where
 
Using Euler's identities,
and
n =1,2,…
n =1,2,…
In what sense does the series on the right
converge, and if it does converge,
in what sense is it equal to f(x)? These
questions depend on the nature of the
function f(x). Considering functions
f(x) defined on R which satisfy a reasonable
condition like
∫
∞
∞−
| f(x) | dx < ∞
∫
∞
∞−
| f(x) |
2
dx< ∞
or
Since such functions cannot be
periodic ,we cannot really hope to expand
such function in terms of sin kx and cos
kx ,
k = 0,1, 2, --.As in
the periodic case. Taking the clue
that the functions einx
correspond to the
homomorphism χn of S1 into S1 , we look
for continuous homomorphism R into
S1.It turns out that all such continuous
homomorphism are given by
For an integrable function x(t) , define
the Fourier transform by
every real number w.
The independent variable t represents
time, the transform variable ω represents
angular frequency .Other notations for
this same function are:  
The function is complex-valued in general.
and  
If is defined as above, and
is sufficiently smooth, then it can be
reconstructed by the inverse transform:
for every real number t
.
For a scalar random variable X the
characteristic function is defined as the
expected value of eitX, and t ∈ R is the
argument of the characteristic function:
Here FX
is the cumulative distribution function of X, If
random variable X has a probability density function ƒX
,
then the characteristic function is its Fourier transform.
In this section, all the results are derived
for the following definition (normalization)
of the Fourier transform:
Let's see how we compute a Fourier
Transform: consider a particular function
f(x) defined as
Its Fourier transform is:
In this case F(u) is purely real,
which is a
consequence of the original
data being
symmetric in x and -x. A graph
of F(u) is
shown in Fig.
Fourier Transform--Gaussian
The Fourier transform of a Gaussian
function is given by
The second integrand is odd, so integration
over a symmetrical range gives 0.The value of
the first integral is given by Abramowitz and
Stegun ,so
a Gaussian transforms to another Gaussian
The Fourier transform of the Gaussian
function is another Gaussian:
Note that the width sigma is oppositely
positioned in the arguments of the exponentials
This means the narrower a Gaussian is in one
domain, the broader it is in the other domain.
The Fourier transform can also be extended to
the space integrable functions defined on
where,
and is the space of
continuous functions on
.
Inthis case the definition usually appears as
and
is the inner product of the two vectors ω and x.
One may now use this to define the continuous
Fourier transform for compactly supported
smooth functions, which are dense in
where
The Plancherel theorem and
Parseval's theorem
It should be noted that depending on the
author either of these theorems might be
referred to as the Plancherel theorem or as
Parseval's theorem.If f(t) and g(t) are
square-integrable and F(ω) and G(ω) are
their Fourier transforms, then we have
Parseval's theorem:
.
where the bar denotes complex
conjugation. Therefore, the Fourier
transformation yields an isometric
automorphism of the Hilbert space
The Plancherel theorem, a special case of
Parseval's theorem, states that
This theorem is usually interpreted as
asserting the unitary property of the
Fourier transform.
For reasonable functions f and h , we
define the convolution f * h by
The convolution is explained by the following
graphs
Convolution of Functions
then
1. ( a f + bg )^ = a f^ + b g^
where a,b ε C
2. If g (x) = f (x+ u),
then g^(y) = exp( 2πi yu) f^(y)
3.If h(x) = exp(2πi ux),
then h^(y) = f^(y-u)
Basic Facts about the Fourier transform
For reasonable functions
4. (f ΄)^(y) = 2πi y f^ (y) ,
where f ΄ is the derivative of f
The Fourier transform has
become a powerful analytical tool
in diverse fields of science. In
some cases, the Fourier
transform can provide a means of
solving unwieldy equations that
describe dynamic responses to
electricity, heat or light.
In other cases, it can identify the
regular contributions to a
fluctuating signal, thereby helping
to make sense of observations in
astronomy, medicine and
chemistry. Perhaps because of its
usefulness, the Fourier transform
has been adapted for use on the
personal computer.
Consider the heat flow in an infinite rod
where the initial temperature is given . In
other words, we look for the solution to
the initial –value problem, sometimes
called a Cauchy problem PDE
2
, 0t xxu u x tα= − ∞ < < ∞ < < ∞
IC
( ,0) ( )u x x xφ= − ∞ < < ∞
Application of Fourier transform:
Solution of an Initial -Value Problem
There are three basic steps in solving
this problem.
−∞ ∞
STEP 1(Transforming the problem)
Since the space variable x ranges from
transform of the PDE and IC with
respect to this variable x . Doing
this, we get
, we take the Fourierto
2
[ ] [ ]
[ ( ,0)] [ ( )]
t xxF u F u
F u x F x
α
φ
=
=
and using the properties of the Fourier
transform, we have
2 2( )
( )
dU t
U t
dt
α ξ= −
(0) ( )U ξ= Φ
is the Fourier transform ofΦ φ
( ) [ ( , )]U t F u x t=
where
is nothing more than a constant in this
differential equation, so the solution to
this problem is
ξ
2 2
( ) ( ) t
U t e α ξ
ξ −
= Φ
Step 2
(Solving the transformed problem)
Remember the new variable

Step 3 (Finding the inverse transform)
To find the solution u(x,t) , we merely
compute
2 2
1 1
( , ) [ ( , )] [ ( ) ]t
u x t F U t F e α ξ
ξ ξ− − −
= = Φ
Now using one of the properties of
convolution, we get
2 2
1 1
( , ) [ ( )] [ ]t
u x t F F e α ξ
ξ− − −
= Φ ∗
2 2
( / 4 )1
( )
2
x t
x e
t
α
φ
α π
− 
= ∗  
 
2 2
( ) / 41
( )
2
x t
e d
t
ξ α
φ ξ ξ
α π
∞
− −
−∞
= ∫
(using tables)
This is the solution to our problem.
2
2
1
1
6n n
π∞
=
=∑
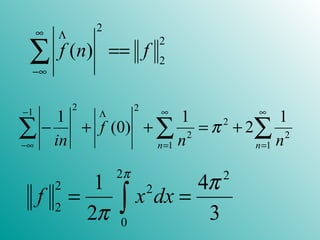
( )f x x= (0,2 )π
2πas
Let in
-periodic.
2
2
2
( )f n f
∞ Λ
−∞
==∑
2 21
2
2 2
1 1
1 1 1
(0) 2
n n
f
in n n
π
− ∞ ∞Λ
−∞ = =
− + + = +∑ ∑ ∑
2 2
2 2
2
0
1 4
2 3
f x dx
π
π
π
= =∫
2 2
2
2
1
1 4
2
3 3n n
π π
π
∞
=
= − =∑
2
2
1
1
6n n
π∞
=
=∑
So,
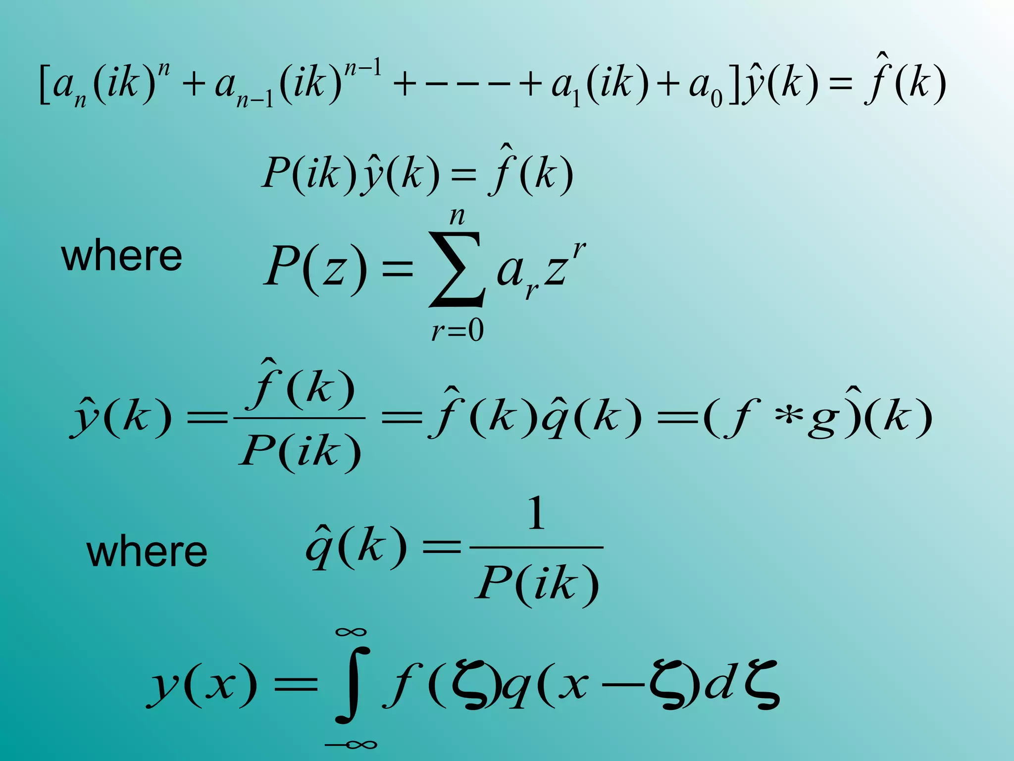
Consider nth order linear nonhomogeneous
ordinary differential equations with constant
coefficients
1
1 1 0
( ) ( )
n n
n n
Ly x f x
L a D a D a D a−
−
=
= + + − − − + +
d
D
dx
=are constants,
, 0,1, ,ia i n= −−−
Taking Fourier transform
1
1 1 0
ˆˆ[ ( ) ( ) ( ) ] ( ) ( )n n
n na ik a ik a ik a y k f k−
−+ + − − − + + =
where
0
( )
n
r
r
r
P z a z
=
= ∑
ˆ( ) ˆ ˆˆ ˆ( ) ( ) ( ) ( )( )
( )
f k
y k f k q k f g k
P ik
= = = ∗
where
1
ˆ( )
( )
q k
P ik
=
( ) ( ) ( )y x f q x d
∞
−∞
= −∫ ζ ζ ζ
ˆˆ( ) ( ) ( )P ik y k f k=
Find the solution of the ordinary
differential equation
2
2
2
( ),
d u
a u f x x
dx
− + = −∞ ∞< <
Applying Fourier transform
2 2
ˆ( )
ˆ( )
( ) ( ) ( )
f k
u k
k a
u x f g x d
∞
−∞
=
+
= −∫ ζ ζ ζ
where
1
2 2
1 1
( ) ( ) exp( )
2
g x f a x
k a a
−
= = −
+
so ( ) ( )
a x
u x f e d
∞
− −
−∞
= ∫
ζ
ζ ζ
Solve the following ordinary
differential equation
'' '
2 ( ) ( ) ( ) 0u t tu t u t+ + =
Applying Fourier transform
2 '
ˆ ˆ2 ( ( )) 0
d
w u i f u t u
dw
− + + =
Or
2
ˆ ˆ ˆ2 (( ) ( )) 0
d
w u i i wu w u
dw
− + − + =
2
ˆ
ˆ2
ˆ( ) w
du
wu
dw
u w ce−
= −
=
2
ˆ
ˆ2
ˆ( ) w
du
wu
dw
u w ce−
= −
=
Inverse Fourier transformation gives
2
( )
4
( )
t
u t De
−
=
The method of Fourier transform can be
used to solve integral equations
( ) ( ) ( ) ( )f t g x t dt f x u x
∞
−∞
− + =∫ λ
Where g(x)and u(x) are given functions
and is a known parameter.
Applying Fourier transform
λ
ˆ ˆˆ ˆ( ) ( ) ( ) ( )f k g k f k u k+ =λ
ˆ( )ˆ( )
ˆ( )
ˆ( )
( )
ˆ( )
ikx
u k
f k
g k
u k
f x e dk
g k
∞
−∞
=
+
=
+∫
λ
λ
In particular, if so that
then the solution
becomes
1
( )g x
x
=
ˆ( ) sgng k i kπ= −
ˆ1 ( )
( )
2 ( sgn )
ikx
u k e
f x dk
i kπ π
∞
−∞
=
−∫ λ
If , and so that ,λ = 1
1
( )
2
x
g x
x
 
=  ÷ ÷
 
1
ˆ( ) ,g k
ik
=
the solution reduces to
'ˆ1 ( ) 1
( ) ( ( )) ( )
2 (1 ) 2
ikx
x ikxu k e
f x dk f u x f e e dk
ikπ π
∞ ∞
−
−∞ −∞
= =
+∫ ∫
' '
( ) ( )exp( )x
u x e u x
∞
−
−∞
= ∗ = ζ ζ −∫
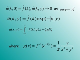
Consider the solution of the Laplace
equation in the half plane
0, y 0xx yyu u x+ = −∞ < < ∞, ≥
with the boundary conditions
u(x,0)=f(x), x−∞ < < ∞
( , ) 0u x y → ,x y→ ∞ → ∞as
Apply Fourier transform with respect to x,
to obtain 2
2
ˆˆ 0
d u
ku
dy
− =
ˆˆ ˆ( ,0) ( ), ( , ) 0u k f k u k y= → as y→∞
ˆˆ( , ) ( )exp( )u k y f k k y= −
( , ) ( ) ( )u x y f k g x d
∞
−∞
= −ζ ζ∫
where
1
2 2
1
( ) ( )
k y y
g x f e
x yπ
−−
= =
+
( )
( ) sin
x
f x e
f x x
=
=
1
[ ] ( )
2
i x
F f f x e dxξ
π
∞
−
−∞
= ∫
x → ∞
The major drawback of the Fourier
transform is that all functions can not be
transformed; for example, even simple
functions like
cannot be transformed, since the integral
does not exist. Only functions that
damp to zero sufficiently fast as
have transforms.
As a rule of thumb;the more
concentrated f(t) is, the more spread
out is F(ω). In particular, if we
"squeeze" a function in t, it spreads out
in ω and vice-versa; and we cannot
arbitrarily concentrate both the
function
and its Fourier transform.
An atom, and its Fourier Transform:
Note the both functions have circular
symmetry. The atom is a sharp
feature, whereas its transform is a
broad smooth function.This
illustrates
the reciprocal relationship between a
function and its Fourier transform.
A molecule, and its Fourier Transform:
The molecule consists of seven
atoms. Its transform shows some
detail, but the overall shape is still
that of the atomic transform. We
can consider the molecule as the
convolution of the point atom
structure and the atomic shape. Thus
its transform is the product of the
point atom transform and the
atomic transform
If we think of concentration in terms of
f living entirely on a set of finite measure,
then we have the following beautiful result
of Benedicks: Let f be a nonzero square
integrable function on R. Then the Lebesgue
measures of the sets { x, f(x) ≠ 0 } and
{y, f^(y) ≠ 0 } cannot both be finite.
Benedicks’s theorem
( For those who are not familiar with the
jargon of measure theory, a (measurable)
subset A of R is of finite measure, if it
can be covered by a countable union of
intervals Ik such that ( length of Ik)
< ∞ .). This result is a significant
generalization of the fact , well known to
engineers, that a nonzero signal cannot be
both time limited and band limited.
∑k
The rate at which a function decay at
infinity can also be considered a measure
of concentration. The following elegant
result of Hardy’s states that both f and
f^ cannot be very rapidly decreasing:
Suppose f is a measurable function on R
such that f(x) ≤ A exp(-απx│ │ 2
) and
│f^(y) ≤ B exp(-βπy│
2
) for some positive
constants A,B, α,β then, if
Hardy’s theorem:
i αβ > 1,then f must necessarily
be a zero function a.e.
ii αβ < 1, then there are infinitely many
linearly independent functions
iii αβ = 1, then f(x) = c exp(-απx
2
)
for some constant c.
For f ε L1
( R ),
∫∫R R
implies f = 0 a.e.
Beurling’ Theorem
│f(x) f^(y) exp( 2π xy ) dx dy││ │ │ │
< ∞
Generalizations of these
results have been obtained
for a variety of locally
compact groups like
Heisenberg groups, Motion
groups, non-compact
connected semi-simple Lie
groups and connected
nilpotent Lie groups
Jean Baptiste Joseph Fourier
(1768-1830)
Administrator, Egyptologist, engineer,
mathematician, physicist, revolutionary,
soldier, and teacher; incredible as it may
sound, Fourier was all these! Born on
March 21, 1768 in Auxerre, France,
orphaned at the age of ten, Fourier had a
brilliant school career in the local
Benedectine school in his home town.
His life was rich and varied: member and
president of the local revolutionary
committee during his youth, student at the
Ecole Normale, teacher at the Ecole
Polytechnique (where he succeeded the
great Lagrange in the chair of Analysis and
Mechanics), imprisoned several times thanks
to rapidly shifting political ideologies in
Paris, and finally as recognition of his
distinguished service to science, he was
elected permanent mathematical secretary
of the French Academy of Sciences in 1822
His mathematical and science achievements
are, of course, legion. He derived the partial
differential equation that governs heat
conduction, and, to study the problem of
heat conduction, systematically developed
the subject which later came to be known as
Fourier analysis- a subject which was in its
infancy during his time. Far transcending
the particular subject of heat conduction,
his work stimulated research in
mathematical physics, which has since been
often identified with the solution of
boundary-value problems,
encompassing many natural occurrences
such as sunspots, tides, and the weather.
His work also had a great influence on the
theory of functions of a real variable, one
of the main branches of modern
mathematics. Some of his great discoveries
are contained in his celebrated treatise
‘Théorie analytique de la chaleur’ published
in 1822. Fourier also made important
contributions to probability theory,
statistics, mechanics, optimization and
linear programming.
G.B.Folland and A.Sitaram
( J.Fourier Anal.Appl.(1997)
G.F.Price and A.Sitaram
( J.Functional Analysis (1988))
E.Kaniuth and A.Kumar
( Forum Mathematicum (1991))
E.Kaniuth and A.Kumar
( Math. Proc.Camb. Phil.Soc.(2001)
S.Thangavelu
(Colloquium Mathematicum (2001) and Math.Zeit.
(2001)
H.Dym and H.P.McKean, Fourier Series and
Integrals,Academic Press,1972.
R.Bhatia, Fourier Series, TRIM-2.Hindustan
Book Agency, 1993.
T.W. Korner,Fourier Analysis, Cambridge
University Press, U.K., 1988.
G.B.Folland, Fourier Analysis and its
Applications, Wadsworth and Brooks/ Cole,
U.S.A., 1992
Delhi
Chennai
Bangalore
Mumbai Kolkata
Vallabhbhai
Vidya Nagar
Kanpur
Harmonic Analysis in India
Ft3 new

Ft3 new

  • 1.
    An introduction to FourierAnalysis University of Delhi Professor Ajay Kumar Department of Mathematics Delhi-110007
  • 2.
    There are severalnatural phenomena that are described by periodic functions. The position of a planet in its orbit around the sun is a periodic function of time; in Chemistry, the arrangement of molecules in crystals exhibits a periodic structure. The theory of Fourier series deals with periodic functions.
  • 3.
    We begin withthe concept of Fourier SeriesFourier Series Periodic function A function f(t) is said to have a period T or to be periodic with period T if for all t, f(t+T)=f(t), where T is a positive constant. The least value of T>0 is called the principal period or the fundamental period or simply the period of f(t).
  • 4.
    The function hasperiods 2π, 4π, 6π, all equal . Let If f(x) has the period then has the period T. …… since
  • 5.
    Let a functionfbe declared on the interval [0,T). The periodic expansion defined by the formulaof f is Periodic expansionPeriodic expansion
  • 7.
    Theorem: Let f becontinuous on  converges uniformly to f for all . Suppose that the series
  • 8.
  • 9.
    The numbers anand bn are called the Fourier coefficients of f. When an and bn are given by (1)and(2) the trigonometric series is called the Fourier series of the function f. Below is an example of an arbitrary function (the green function) which we approximate with Fourier series of various lengths. As you can see, the ability to mimic the behavior of the function increases with increasing series length, and the nature of the fit is that the "spikier" elements are fit better by the higher order functions.
  • 11.
    In mathematics, thequestion of whether the Fourier series of a function converges to the given function is researched by a field known as classic harmonic analysis, a branch of pure mathematics. For most engineering uses of Fourier analysis, convergence is generally simply assumed without justification. However, convergence is not necessarily a given in the general case, and there are criteria which need to be met in order for convergence to occur.
  • 12.
    Find the Fourierseries of the function Hence Example.
  • 14.
    Find the Fourierseries of the function The Fourier series of f(x) is Example.
  • 16.
    Find the Fourierseries of the function Example.
  • 18.
    would wonder howto define a similar notion for functions which are L-periodic. Assume that f(x) is defined and integrable on the interval [-L,L]. Set Remark. We defined the Fourier series for functions which are 2π -periodic, one
  • 19.
    The function F(x)is defined and integrable on [-π , π ].Consider the Fourier series of F(x) Using the substitution, we obtain the following definition:
  • 20.
    Let f(x) bea function defined and integrable on [-L,L]. The Fourier series of f(x) is . Definition. for where
  • 21.
    Find the Fourierseries of Example.
  • 23.
    the Fourier seriesof f(x) can be written in complex form as   where   Using Euler's identities,
  • 24.
  • 25.
    In what sensedoes the series on the right converge, and if it does converge, in what sense is it equal to f(x)? These questions depend on the nature of the function f(x). Considering functions f(x) defined on R which satisfy a reasonable condition like ∫ ∞ ∞− | f(x) | dx < ∞ ∫ ∞ ∞− | f(x) | 2 dx< ∞ or
  • 26.
    Since such functionscannot be periodic ,we cannot really hope to expand such function in terms of sin kx and cos kx , k = 0,1, 2, --.As in the periodic case. Taking the clue that the functions einx correspond to the homomorphism χn of S1 into S1 , we look for continuous homomorphism R into S1.It turns out that all such continuous homomorphism are given by
  • 27.
    For an integrablefunction x(t) , define the Fourier transform by every real number w. The independent variable t represents time, the transform variable ω represents angular frequency .Other notations for this same function are:   The function is complex-valued in general. and  
  • 28.
    If is definedas above, and is sufficiently smooth, then it can be reconstructed by the inverse transform: for every real number t .
  • 29.
    For a scalarrandom variable X the characteristic function is defined as the expected value of eitX, and t ∈ R is the argument of the characteristic function: Here FX is the cumulative distribution function of X, If random variable X has a probability density function ƒX , then the characteristic function is its Fourier transform.
  • 30.
    In this section,all the results are derived for the following definition (normalization) of the Fourier transform: Let's see how we compute a Fourier Transform: consider a particular function f(x) defined as
  • 31.
  • 32.
    In this caseF(u) is purely real, which is a consequence of the original data being symmetric in x and -x. A graph of F(u) is shown in Fig.
  • 35.
    Fourier Transform--Gaussian The Fouriertransform of a Gaussian function is given by
  • 37.
    The second integrandis odd, so integration over a symmetrical range gives 0.The value of the first integral is given by Abramowitz and Stegun ,so a Gaussian transforms to another Gaussian The Fourier transform of the Gaussian function is another Gaussian:
  • 39.
    Note that thewidth sigma is oppositely positioned in the arguments of the exponentials This means the narrower a Gaussian is in one domain, the broader it is in the other domain. The Fourier transform can also be extended to the space integrable functions defined on where, and is the space of continuous functions on .
  • 40.
    Inthis case thedefinition usually appears as and is the inner product of the two vectors ω and x. One may now use this to define the continuous Fourier transform for compactly supported smooth functions, which are dense in where
  • 41.
    The Plancherel theoremand Parseval's theorem It should be noted that depending on the author either of these theorems might be referred to as the Plancherel theorem or as Parseval's theorem.If f(t) and g(t) are square-integrable and F(ω) and G(ω) are their Fourier transforms, then we have Parseval's theorem: .
  • 42.
    where the bardenotes complex conjugation. Therefore, the Fourier transformation yields an isometric automorphism of the Hilbert space
  • 43.
    The Plancherel theorem,a special case of Parseval's theorem, states that This theorem is usually interpreted as asserting the unitary property of the Fourier transform.
  • 44.
    For reasonable functionsf and h , we define the convolution f * h by The convolution is explained by the following graphs Convolution of Functions then
  • 47.
    1. ( af + bg )^ = a f^ + b g^ where a,b ε C 2. If g (x) = f (x+ u), then g^(y) = exp( 2πi yu) f^(y) 3.If h(x) = exp(2πi ux), then h^(y) = f^(y-u) Basic Facts about the Fourier transform For reasonable functions
  • 48.
    4. (f ΄)^(y)= 2πi y f^ (y) , where f ΄ is the derivative of f
  • 49.
    The Fourier transformhas become a powerful analytical tool in diverse fields of science. In some cases, the Fourier transform can provide a means of solving unwieldy equations that describe dynamic responses to electricity, heat or light.
  • 50.
    In other cases,it can identify the regular contributions to a fluctuating signal, thereby helping to make sense of observations in astronomy, medicine and chemistry. Perhaps because of its usefulness, the Fourier transform has been adapted for use on the personal computer.
  • 51.
    Consider the heatflow in an infinite rod where the initial temperature is given . In other words, we look for the solution to the initial –value problem, sometimes called a Cauchy problem PDE 2 , 0t xxu u x tα= − ∞ < < ∞ < < ∞ IC ( ,0) ( )u x x xφ= − ∞ < < ∞ Application of Fourier transform: Solution of an Initial -Value Problem
  • 52.
    There are threebasic steps in solving this problem. −∞ ∞ STEP 1(Transforming the problem) Since the space variable x ranges from transform of the PDE and IC with respect to this variable x . Doing this, we get , we take the Fourierto
  • 53.
    2 [ ] [] [ ( ,0)] [ ( )] t xxF u F u F u x F x α φ = = and using the properties of the Fourier transform, we have 2 2( ) ( ) dU t U t dt α ξ= −
  • 54.
    (0) ( )Uξ= Φ is the Fourier transform ofΦ φ ( ) [ ( , )]U t F u x t= where
  • 55.
    is nothing morethan a constant in this differential equation, so the solution to this problem is ξ 2 2 ( ) ( ) t U t e α ξ ξ − = Φ Step 2 (Solving the transformed problem) Remember the new variable
  • 56.
     Step 3 (Findingthe inverse transform) To find the solution u(x,t) , we merely compute 2 2 1 1 ( , ) [ ( , )] [ ( ) ]t u x t F U t F e α ξ ξ ξ− − − = = Φ Now using one of the properties of convolution, we get
  • 57.
    2 2 1 1 (, ) [ ( )] [ ]t u x t F F e α ξ ξ− − − = Φ ∗ 2 2 ( / 4 )1 ( ) 2 x t x e t α φ α π −  = ∗     2 2 ( ) / 41 ( ) 2 x t e d t ξ α φ ξ ξ α π ∞ − − −∞ = ∫ (using tables) This is the solution to our problem.
  • 58.
    2 2 1 1 6n n π∞ = =∑ ( )fx x= (0,2 )π 2πas Let in -periodic.
  • 60.
    2 2 2 ( )f nf ∞ Λ −∞ ==∑ 2 21 2 2 2 1 1 1 1 1 (0) 2 n n f in n n π − ∞ ∞Λ −∞ = = − + + = +∑ ∑ ∑ 2 2 2 2 2 0 1 4 2 3 f x dx π π π = =∫
  • 61.
    2 2 2 2 1 1 4 2 33n n π π π ∞ = = − =∑ 2 2 1 1 6n n π∞ = =∑ So,
  • 62.
    Consider nth orderlinear nonhomogeneous ordinary differential equations with constant coefficients 1 1 1 0 ( ) ( ) n n n n Ly x f x L a D a D a D a− − = = + + − − − + + d D dx =are constants, , 0,1, ,ia i n= −−− Taking Fourier transform
  • 63.
    1 1 1 0 ˆˆ[( ) ( ) ( ) ] ( ) ( )n n n na ik a ik a ik a y k f k− −+ + − − − + + = where 0 ( ) n r r r P z a z = = ∑ ˆ( ) ˆ ˆˆ ˆ( ) ( ) ( ) ( )( ) ( ) f k y k f k q k f g k P ik = = = ∗ where 1 ˆ( ) ( ) q k P ik = ( ) ( ) ( )y x f q x d ∞ −∞ = −∫ ζ ζ ζ ˆˆ( ) ( ) ( )P ik y k f k=
  • 64.
    Find the solutionof the ordinary differential equation 2 2 2 ( ), d u a u f x x dx − + = −∞ ∞< < Applying Fourier transform 2 2 ˆ( ) ˆ( ) ( ) ( ) ( ) f k u k k a u x f g x d ∞ −∞ = + = −∫ ζ ζ ζ
  • 65.
    where 1 2 2 1 1 () ( ) exp( ) 2 g x f a x k a a − = = − + so ( ) ( ) a x u x f e d ∞ − − −∞ = ∫ ζ ζ ζ
  • 66.
    Solve the followingordinary differential equation '' ' 2 ( ) ( ) ( ) 0u t tu t u t+ + = Applying Fourier transform 2 ' ˆ ˆ2 ( ( )) 0 d w u i f u t u dw − + + = Or 2 ˆ ˆ ˆ2 (( ) ( )) 0 d w u i i wu w u dw − + − + = 2 ˆ ˆ2 ˆ( ) w du wu dw u w ce− = − =
  • 67.
    2 ˆ ˆ2 ˆ( ) w du wu dw uw ce− = − = Inverse Fourier transformation gives 2 ( ) 4 ( ) t u t De − =
  • 68.
    The method ofFourier transform can be used to solve integral equations ( ) ( ) ( ) ( )f t g x t dt f x u x ∞ −∞ − + =∫ λ Where g(x)and u(x) are given functions and is a known parameter. Applying Fourier transform λ ˆ ˆˆ ˆ( ) ( ) ( ) ( )f k g k f k u k+ =λ
  • 69.
    ˆ( )ˆ( ) ˆ() ˆ( ) ( ) ˆ( ) ikx u k f k g k u k f x e dk g k ∞ −∞ = + = +∫ λ λ In particular, if so that then the solution becomes 1 ( )g x x = ˆ( ) sgng k i kπ= − ˆ1 ( ) ( ) 2 ( sgn ) ikx u k e f x dk i kπ π ∞ −∞ = −∫ λ
  • 70.
    If , andso that ,λ = 1 1 ( ) 2 x g x x   =  ÷ ÷   1 ˆ( ) ,g k ik = the solution reduces to 'ˆ1 ( ) 1 ( ) ( ( )) ( ) 2 (1 ) 2 ikx x ikxu k e f x dk f u x f e e dk ikπ π ∞ ∞ − −∞ −∞ = = +∫ ∫ ' ' ( ) ( )exp( )x u x e u x ∞ − −∞ = ∗ = ζ ζ −∫
  • 71.
    Consider the solutionof the Laplace equation in the half plane 0, y 0xx yyu u x+ = −∞ < < ∞, ≥ with the boundary conditions u(x,0)=f(x), x−∞ < < ∞ ( , ) 0u x y → ,x y→ ∞ → ∞as Apply Fourier transform with respect to x, to obtain 2 2 ˆˆ 0 d u ku dy − =
  • 72.
    ˆˆ ˆ( ,0)( ), ( , ) 0u k f k u k y= → as y→∞ ˆˆ( , ) ( )exp( )u k y f k k y= − ( , ) ( ) ( )u x y f k g x d ∞ −∞ = −ζ ζ∫ where 1 2 2 1 ( ) ( ) k y y g x f e x yπ −− = = +
  • 73.
    ( ) ( )sin x f x e f x x = = 1 [ ] ( ) 2 i x F f f x e dxξ π ∞ − −∞ = ∫ x → ∞ The major drawback of the Fourier transform is that all functions can not be transformed; for example, even simple functions like cannot be transformed, since the integral does not exist. Only functions that damp to zero sufficiently fast as have transforms.
  • 74.
    As a ruleof thumb;the more concentrated f(t) is, the more spread out is F(ω). In particular, if we "squeeze" a function in t, it spreads out in ω and vice-versa; and we cannot arbitrarily concentrate both the function and its Fourier transform.
  • 75.
    An atom, andits Fourier Transform:
  • 76.
    Note the bothfunctions have circular symmetry. The atom is a sharp feature, whereas its transform is a broad smooth function.This illustrates the reciprocal relationship between a function and its Fourier transform.
  • 77.
    A molecule, andits Fourier Transform:
  • 78.
    The molecule consistsof seven atoms. Its transform shows some detail, but the overall shape is still that of the atomic transform. We can consider the molecule as the convolution of the point atom structure and the atomic shape. Thus its transform is the product of the point atom transform and the atomic transform
  • 79.
    If we thinkof concentration in terms of f living entirely on a set of finite measure, then we have the following beautiful result of Benedicks: Let f be a nonzero square integrable function on R. Then the Lebesgue measures of the sets { x, f(x) ≠ 0 } and {y, f^(y) ≠ 0 } cannot both be finite. Benedicks’s theorem
  • 80.
    ( For thosewho are not familiar with the jargon of measure theory, a (measurable) subset A of R is of finite measure, if it can be covered by a countable union of intervals Ik such that ( length of Ik) < ∞ .). This result is a significant generalization of the fact , well known to engineers, that a nonzero signal cannot be both time limited and band limited. ∑k
  • 81.
    The rate atwhich a function decay at infinity can also be considered a measure of concentration. The following elegant result of Hardy’s states that both f and f^ cannot be very rapidly decreasing: Suppose f is a measurable function on R such that f(x) ≤ A exp(-απx│ │ 2 ) and │f^(y) ≤ B exp(-βπy│ 2 ) for some positive constants A,B, α,β then, if Hardy’s theorem:
  • 82.
    i αβ >1,then f must necessarily be a zero function a.e. ii αβ < 1, then there are infinitely many linearly independent functions iii αβ = 1, then f(x) = c exp(-απx 2 ) for some constant c.
  • 83.
    For f εL1 ( R ), ∫∫R R implies f = 0 a.e. Beurling’ Theorem │f(x) f^(y) exp( 2π xy ) dx dy││ │ │ │ < ∞
  • 84.
    Generalizations of these resultshave been obtained for a variety of locally compact groups like Heisenberg groups, Motion groups, non-compact connected semi-simple Lie groups and connected nilpotent Lie groups
  • 86.
    Jean Baptiste JosephFourier (1768-1830) Administrator, Egyptologist, engineer, mathematician, physicist, revolutionary, soldier, and teacher; incredible as it may sound, Fourier was all these! Born on March 21, 1768 in Auxerre, France, orphaned at the age of ten, Fourier had a brilliant school career in the local Benedectine school in his home town.
  • 87.
    His life wasrich and varied: member and president of the local revolutionary committee during his youth, student at the Ecole Normale, teacher at the Ecole Polytechnique (where he succeeded the great Lagrange in the chair of Analysis and Mechanics), imprisoned several times thanks to rapidly shifting political ideologies in Paris, and finally as recognition of his distinguished service to science, he was elected permanent mathematical secretary of the French Academy of Sciences in 1822
  • 88.
    His mathematical andscience achievements are, of course, legion. He derived the partial differential equation that governs heat conduction, and, to study the problem of heat conduction, systematically developed the subject which later came to be known as Fourier analysis- a subject which was in its infancy during his time. Far transcending the particular subject of heat conduction, his work stimulated research in mathematical physics, which has since been often identified with the solution of boundary-value problems,
  • 89.
    encompassing many naturaloccurrences such as sunspots, tides, and the weather. His work also had a great influence on the theory of functions of a real variable, one of the main branches of modern mathematics. Some of his great discoveries are contained in his celebrated treatise ‘Théorie analytique de la chaleur’ published in 1822. Fourier also made important contributions to probability theory, statistics, mechanics, optimization and linear programming.
  • 90.
    G.B.Folland and A.Sitaram (J.Fourier Anal.Appl.(1997) G.F.Price and A.Sitaram ( J.Functional Analysis (1988)) E.Kaniuth and A.Kumar ( Forum Mathematicum (1991)) E.Kaniuth and A.Kumar ( Math. Proc.Camb. Phil.Soc.(2001) S.Thangavelu (Colloquium Mathematicum (2001) and Math.Zeit. (2001)
  • 91.
    H.Dym and H.P.McKean,Fourier Series and Integrals,Academic Press,1972. R.Bhatia, Fourier Series, TRIM-2.Hindustan Book Agency, 1993. T.W. Korner,Fourier Analysis, Cambridge University Press, U.K., 1988. G.B.Folland, Fourier Analysis and its Applications, Wadsworth and Brooks/ Cole, U.S.A., 1992
  • 92.