TARUN GEHLOT (B.E, CIVIL HONORS)
Operations on Fourier Series
The results obtained in this page may easily be extended to function defined on any
interval [a,b]. So without loss of generality, we will assume that the functions involved
are -periodic and defined on .
Let f(x) be a -periodic piecewise continuous function. Then the function
is continuous and is -periodic if and only if , i.e. the Fourier
coefficient a0 = 0. It is also quite easy to show that if f(x) is piecewise smooth, then also
is F(x). An interesting question will be to find out if a simple relationship between the
Fourier coefficients of f(x) and F(x) exist. Denote by An and Bn the Fourier coefficients
of F(x). We have
Integration by parts will give
for . Hence
A similar calculation gives
and
TARUN GEHLOT (B.E, CIVIL HONORS)
This shows the following:
Theorem. Integration of Fourier series
Let f(x) be -periodic piecewise continuous function such that a0 = 0. If
then
where .
Since the function F(x) is continuous, we have for any
because of the main convergence Theorem relative to Fourier series.
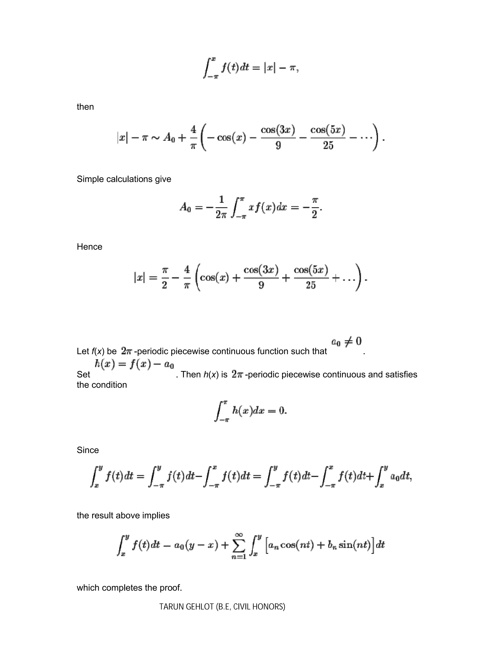
Example. Consider the function
We have
Since, for any , we have
TARUN GEHLOT (B.E, CIVIL HONORS)
then
Simple calculations give
Hence
Let f(x) be -periodic piecewise continuous function such that .
Set . Then h(x) is -periodic piecewise continuous and satisfies
the condition
Since
the result above implies
which completes the proof.
TARUN GEHLOT (B.E, CIVIL HONORS)
Theorem. Let f(x) be -periodic piecewise continuous function. Then for any x and y,
the integral
may be evaluated by integrating term-by-term the Fourier series of f(x).
Example. In the example above, we showed that
Hence
This implies the formula
This kind of formulas are quite interesting. Indeed, they enable us to find approximations
to the irrational number .
Example. Show that the trigonometric series
is not the Fourier series of any function.
Answer. It is easy to see that this series converges for any . Assume there
exists a function f(x) such that this series is its Fourier series. Then
TARUN GEHLOT (B.E, CIVIL HONORS)
must be convergent everywhere since it is going to be the Fourier series of the
antiderivative of f(x). But this series fails to be convergent when x=0. Contradiction.
After we discussed the relationship between the Fourier series of a function and its
antiderivative, it is natural to ask if a similar relationship exists between a function and its
derivative. The answer to this is more complicated. But we do have the following result:
Theoreme. Let f(x) be -periodic continuous and piecewise smooth function. Then,
for any , we have
In other words, we obtain the Fourier series of f'(x) by differentiating term-by-term the
Fourier series of f(x).
Application: Isoperimetric Inequality
Theoreme. Consider a smooth closed curve in the plane xy. Denote by P its perimeter
(total arclength) and by A the area of the region enclosed by the curve. Then we have
The equality holds if and only if the curve is a circle.
Proof. A parametric representation of the curve may be given by
with and . The formulas giving P and A are
TARUN GEHLOT (B.E, CIVIL HONORS)
Set
Then . Consider the new variable . If we rewrite the
parametric representation in terms of , we get
Easy calculations give
i.e. the new variable enables us to reparametrize the curve while assuming the quantity
constant. Hence
Since the curve is smooth, we get
Previous result, on the relationship between the Fourier coefficients of the function and
its derivative, gives
TARUN GEHLOT (B.E, CIVIL HONORS)
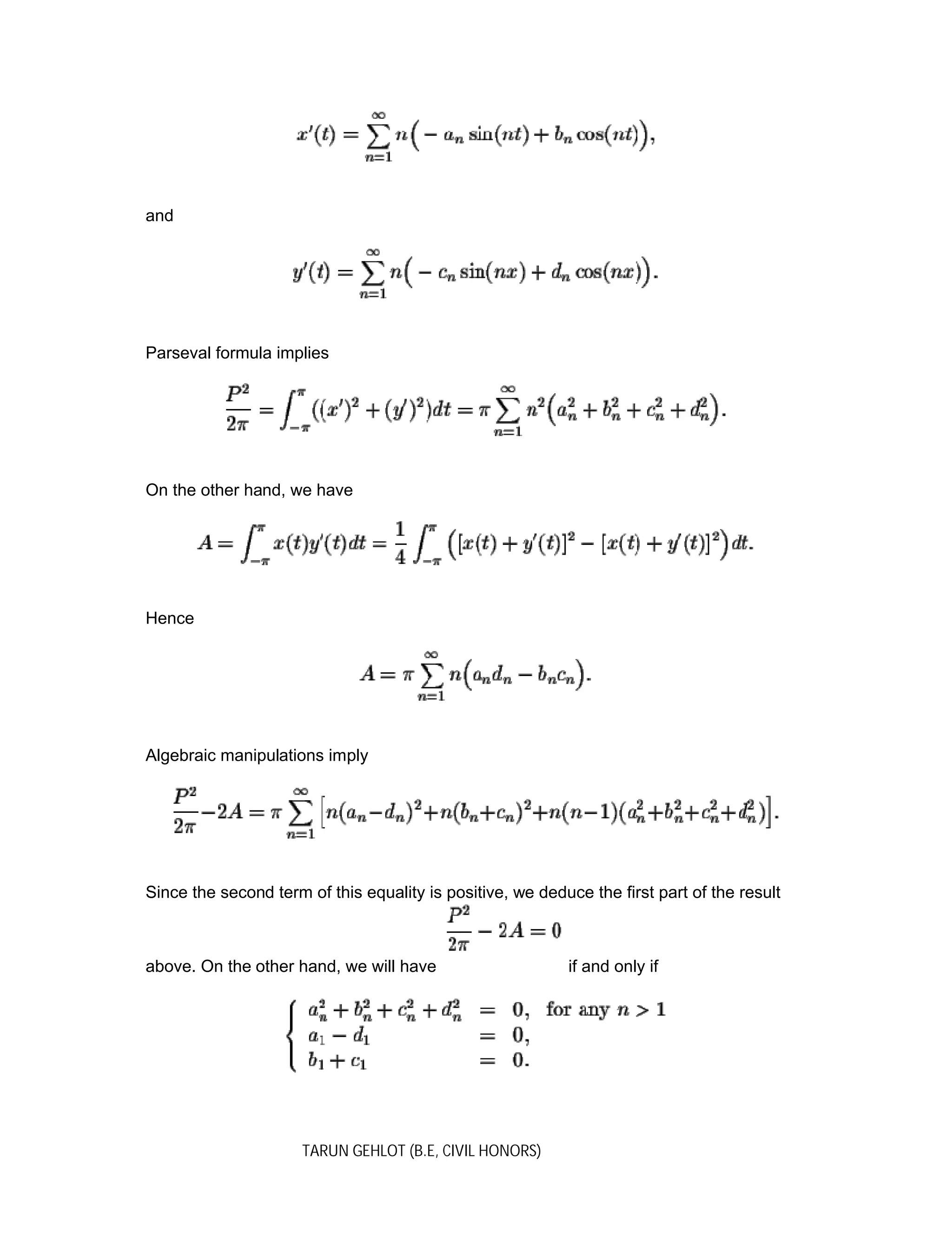
and
Parseval formula implies
On the other hand, we have
Hence
Algebraic manipulations imply
Since the second term of this equality is positive, we deduce the first part of the result
above. On the other hand, we will have if and only if
TARUN GEHLOT (B.E, CIVIL HONORS)
This implies
for . Therefore the curve is a circle centered at (a0,c0) with
radius , which completes the proof of the theorem.

Operations on fourier series

  • 1.
    TARUN GEHLOT (B.E,CIVIL HONORS) Operations on Fourier Series The results obtained in this page may easily be extended to function defined on any interval [a,b]. So without loss of generality, we will assume that the functions involved are -periodic and defined on . Let f(x) be a -periodic piecewise continuous function. Then the function is continuous and is -periodic if and only if , i.e. the Fourier coefficient a0 = 0. It is also quite easy to show that if f(x) is piecewise smooth, then also is F(x). An interesting question will be to find out if a simple relationship between the Fourier coefficients of f(x) and F(x) exist. Denote by An and Bn the Fourier coefficients of F(x). We have Integration by parts will give for . Hence A similar calculation gives and
  • 2.
    TARUN GEHLOT (B.E,CIVIL HONORS) This shows the following: Theorem. Integration of Fourier series Let f(x) be -periodic piecewise continuous function such that a0 = 0. If then where . Since the function F(x) is continuous, we have for any because of the main convergence Theorem relative to Fourier series. Example. Consider the function We have Since, for any , we have
  • 3.
    TARUN GEHLOT (B.E,CIVIL HONORS) then Simple calculations give Hence Let f(x) be -periodic piecewise continuous function such that . Set . Then h(x) is -periodic piecewise continuous and satisfies the condition Since the result above implies which completes the proof.
  • 4.
    TARUN GEHLOT (B.E,CIVIL HONORS) Theorem. Let f(x) be -periodic piecewise continuous function. Then for any x and y, the integral may be evaluated by integrating term-by-term the Fourier series of f(x). Example. In the example above, we showed that Hence This implies the formula This kind of formulas are quite interesting. Indeed, they enable us to find approximations to the irrational number . Example. Show that the trigonometric series is not the Fourier series of any function. Answer. It is easy to see that this series converges for any . Assume there exists a function f(x) such that this series is its Fourier series. Then
  • 5.
    TARUN GEHLOT (B.E,CIVIL HONORS) must be convergent everywhere since it is going to be the Fourier series of the antiderivative of f(x). But this series fails to be convergent when x=0. Contradiction. After we discussed the relationship between the Fourier series of a function and its antiderivative, it is natural to ask if a similar relationship exists between a function and its derivative. The answer to this is more complicated. But we do have the following result: Theoreme. Let f(x) be -periodic continuous and piecewise smooth function. Then, for any , we have In other words, we obtain the Fourier series of f'(x) by differentiating term-by-term the Fourier series of f(x). Application: Isoperimetric Inequality Theoreme. Consider a smooth closed curve in the plane xy. Denote by P its perimeter (total arclength) and by A the area of the region enclosed by the curve. Then we have The equality holds if and only if the curve is a circle. Proof. A parametric representation of the curve may be given by with and . The formulas giving P and A are
  • 6.
    TARUN GEHLOT (B.E,CIVIL HONORS) Set Then . Consider the new variable . If we rewrite the parametric representation in terms of , we get Easy calculations give i.e. the new variable enables us to reparametrize the curve while assuming the quantity constant. Hence Since the curve is smooth, we get Previous result, on the relationship between the Fourier coefficients of the function and its derivative, gives
  • 7.
    TARUN GEHLOT (B.E,CIVIL HONORS) and Parseval formula implies On the other hand, we have Hence Algebraic manipulations imply Since the second term of this equality is positive, we deduce the first part of the result above. On the other hand, we will have if and only if
  • 8.
    TARUN GEHLOT (B.E,CIVIL HONORS) This implies for . Therefore the curve is a circle centered at (a0,c0) with radius , which completes the proof of the theorem.