Τακης Τσακαλακος
2018
Κ Ω Ν Ι Κ Ε Σ Τ Ο Μ Ε Σ
󠄀 Κυκλος
󠄀 Παραβολη
󠄀 Ελλειψη
󠄀 Υπερβολη
󠄀 Επαναληψη
Κ Υ Κ Λ Ο Σ
Κ ω ν ι κ ε ς Τ ο μ ε ς4
Τακης Τσακαλακος Κερκυρα 2018
Κυκλος ειναι ο γεωμετρικος το τοπος των σημειων του επιπεδου που
ισαπεχουν απο ενα δεδομενο σημειο Κ αποσταση ρ.
Συμβολιζεται C(Κ,ρ)
Ειναι μια καμπυλη που προκυπτει απο τη τομη ενος κωνου και ενος επι -
πεδου παραλληλου στη βαση του.
 Με εξισωση x 2
+ y 2
= ρ 2
(*)
Η απλουστερη μορφη κυκλου
Χαρακτηριστικα :
 Κεντρο το σημειο Ο(0,0)
(αρχη των αξονων)
 Ακτινα ρ
(*)
Εστω τυχαιο σημειο του κυκλου Μ(χ,y)
Tοτε
2 2 2 2 2
(OM)=ρ` x +y =ρ`x +y =ρ
 Ε ι δ ι κ η μ ο ρ φ η τ η ς x2
+ y2
= ρ2
Μοναδιαιος κυκλος : x 2
+ y 2
= 1
 Κεντρο το σημειο Ο(0,0) (αρχη των αξονων)
 Ακτινα ρ = 1
 Π α ρ α μ ε τ ρ ι κ ε ς Ε ξ ι σ ω σ ε ι ς Κ υ κ λ ο υ
Αν Μ(x, y) ειναι σημειο του κυκλου
c : x 2
+ y 2
= ρ 2
και
φ [0, 2π)ειναι η γωνια που σχηματι-
ζει το διανυσμα ΟΜ με τον αξονα x’x,
τοτε ισχυει :
 x = ρ ∙ σ υ ν φ
 y = ρ ∙ η μ φ
Ο ρ ι σ μ ο ς
Μ ο ρ φ η Κ υ κ λ ο υ
Κ υ κ λ ο ς 5
Τακης Τσακαλακος Κερκυρα 2018
 Ε ξ ι σ ω σ η Ε φ α π τ ο μ ε ν η ς
Κ υ κ λ ο υ
Αν Α(x1 , y1 ) ειναι σημειο του κυκλου
c : x 2
+ y 2
= ρ 2
απ’το οποιο διερχεται
μια εφαπτομενη του,
τοτε η εξισωση της δινεται απο :
x1 ∙ x + y1 ∙ y = ρ2
 Με εξισωση ( x - x 0 ) 2
+ ( y - y 0 ) 2
= ρ 2
(**)
Με κεντρο διαφορετικο απ’την αρχη των
αξονων
Χαρακτηριστικα :
 Κεντρο το σημειο Κ(x0 ,y0 )
 Ακτινα ρ
(**)
Εστω τυχαιο σημειο του Μ(χ,y) κυκλου
με κεντρο Κ(x0 ,y0 ) και ακτινα ρ
Tοτε
2 2
0 0
2 2 2
0 0
(ΚM)= ρ` (x-χ ) +(y-y ) = ρ
(x-χ ) +(y-y ) = ρ
 Με εξισωση x 2
+ y 2
+ Α ∙ x + Β ∙ y + Γ = 0 (***)
Η γενικη μορφη κυκλου
 Προυποθεση η παρασταση να αποτελει
εξισωση κυκλου :
Α 2
+ Β 2
- 4 ∙ Γ > 0
Χαρακτηριστικα :
 Κεντρο το σημειο
A B
K - , -
2 2
 Ακτινα
2 2
A 4
ρ=
2
(***)
Κ ω ν ι κ ε ς Τ ο μ ε ς6
Τακης Τσακαλακος Κερκυρα 2018
Ειναι
2 2 2 2 2 2 2 2
0 0 0 0 0 0
2 2 2 2 2
0 0 0 0
(x-χ ) +(y-y ) = ρ `x +χ -2x χ +y +y -2y y = ρ
`x +y -2x χ-2y y+χ +y -ρ = 0
2 2
x +y χ y+ = 0
Α ν τ ι σ τ ρ ο φ α
2
2 22 2
2 2 2
2 2
x +y +Α× χ+Β× y+Γ= 0`x +Α× χ+y +Β× y=-Γ
Α Β
`x +2 × χ +y +2 × y =-Γ
2 2
` x
Α Β Β
+ +
4
Α
+ +
4 44
2 2 2 2
22 2 2 2
Α Β Α +Β -4Γ
+ + y+ =
2 2 4
Α Β Α +Β -4Γ
` x+ + y+ =
2 2 2
που για 2 2
Α +Β -4Γ>0 παριστανει κυκλο με κεντρο
A B
K - , -
2 2
και
ακτινα
2 2
A 4
ρ=
2
Tοτε
2 2 2 2 2
0 0 0 0
(ΚM)=ρ` (x-χ ) +(y-y ) =ρ (x-χ ) +(y-y ) =ρ
Εστω
 κυκλος c: (x–x0 )2
+(y–y0 )2
=ρ2
με
 κεντρο Κ(χ0 , y0 )
 ακτινα ρ
 σημειο Μ(χ1 , y1 )΄
και
 d η αποσταση του σημειου Μ απ’το κεν-
τρο του κυκλου Κ
Διακρινουμε περιπτωσεις
 αν d<0, δηλαδη (ΚΜ)<ρ
το σημειο Μ ειναι ε σ ω τ ε ρ ι κ ο του
κυκλου
 αν d=0, δηλαδη (ΚΜ)=0
το σημειο Μ ειναι σ η μ ε ι ο τ ο υ κ υ κ λ ο υ
 αν d>0, δηλαδη (ΚΜ)>ρ
το σημειο Μ ειναι ε ξ ω τ ε ρ ι κ ο του κυκλου
Σ χ ε τ ι κ ε ς Θ ε σ ε ι ς Κ υ κ λ ο υ - Σ η μ ε ι ο υ
Κ υ κ λ ο ς 7
Τακης Τσακαλακος Κερκυρα 2018
Εστω κυκλος c: (x–x0 )2
+(y–y0 )2
=ρ2
(1)
και ευθεια ε: Α∙x+Β∙y+Γ=0 (2)
 Αν το συστημα των εξισωσεων (1), (2)
 εχει δυο πραγματικες λυσεις, τοτε η
ευθεια τ ε μ ν ε ι τον κυκλο σε
δ υ ο σ η μ ε ι α .
 εχει μια πραγματικη λυση, τοτε η ευ -
θεια ε φ α π τ ε τ α ι στον κυκλο .
 δεν εχει πραγματικες λυσεις, τοτε η
ευθεια δ ε ν ε χ ε ι κ ο ι ν α σ η μ ε ι α
με τον κυκλο .
 Αν κυκλος c: (x–x0 )2
+(y–y0 )2
=ρ2
και ευθεια ε: Α∙x+Β∙y+Γ=0
οπου Κ το κεντρο του κυκλου και d η αποσταση του απ’την ευθεια ε και
 Αν d < ρ , τοτε η ευθεια τ ε μ ν ε ι τον κυκλο σε δ υ ο σημεια.
 Αν d = ρ , τοτε η ευθεια ε φ α π τ ε τ α ι στον κυκλο .
Εστω οι κυκλοι
c1 : (x-x1 )2
+(y-y1 )2
=ρ2
c2 : (x-x2 )2
+(y-y2 )2
=ρ2
οπου Κ1 , Κ2 τα κεντρα τους
και ρ1 , ρ2 οι ακτινες τους,
αντιστοιχα.
Για δ = Κ1 Κ2 τοτε
 Αν δ > ρ1 + ρ2 , τοτε
οι κυκλοι ειναι
ο ε ν α ς ε κ τ ο ς τ ο υ
α λ λ ο υ
 Αν δ = ρ1 + ρ2 , τοτε
οι κυκλοι ε φ α π τ ο ν τ α ι ε ξ ω τ ε ρ ι κ α
 Αν | ρ1 - ρ2 | < δ < ρ1 + ρ2 , τοτε
οι κυκλοι τ ε μ ν ο ν τ α ι
 Αν δ = | ρ1 - ρ2 | , τοτε
οι κυκλοι ε φ α π τ ο ν τ α ι ε σ ω τ ε ρ ι κ α
 Αν δ < | ρ1 - ρ2 | , τοτε
οι κυκλοι ειναι ο ε ν α ς ε ν τ ο ς τ ο υ α λ λ ο υ
Σ χ ε τ ι κ ε ς Θ ε σ ε ι ς Δ υ ο Κ υ κ λ ω ν
Σ χ ε τ ι κ ε ς Θ ε σ ε ι ς Κ υ κ λ ο υ - Ε υ θ ε ι α ς
Κ ω ν ι κ ε ς Τ ο μ ε ς8
Τακης Τσακαλακος Κερκυρα 2018
Να βρεθει η εξισωση του κυκλου με κεντρο την αρχη των αξονων και
διερχεται απ'το σημειο Α(-3,4).
Α π α ν τ η σ η
Να βρεθει η εξισωση του κυκλου με κεντρο Κ(-3,4) και διερχεται απ'την
αρχη των αξονων.
ΠΑΡΑΔΕΙΓΜΑ 1
ΕΥΡΕΣΗ ΕΞΙΣΩΣΗΣ ΚΥΚΛΟΥ 1
Τροπος Λυσης :
Με γνωστο το κεντρο Κ του κυκλου και ενα σημειο του Α
● Αρκει να βρουμε ακτινα ρ
● Χρησιμοποιουμε τη σχεση:
● Οι συντεταγμενες του σημειου του κυκλου (γνωστου) επαλη -
θευουν την εξισωση του κυκλου :
x 2
+ y 2
= ρ 2
η ( x - x 0 ) 2
+ ( y - y 0o ) 2
= ρ 2
Σ Τ Η Π Ρ Α Ξ Η . . .
2 2 2 2 2
Η εξισωση του κυκλου ειναι της μορφης:
Αφου το Α ειναι σημειο του κυκλου, οι συν-
τεταγμενες του επαληθευουν την εξισω-
ση του κυκλου.
Ετσι
(-3) +4 = ρ 9 +16 = ρ ρ = 25
2 2 2
x +y = ρ
ρ=
Δηλαδη η εξισωση του κυκλου ειναι:
2 2
5
x +y = 25
ΠΑΡΑΔΕΙΓΜΑ 2
Κ υ κ λ ο ς 9
Τακης Τσακαλακος Κερκυρα 2018
Α π α ν τ η σ η
2 2
Το κεντρο του κυκλου ειναι Κ(-3,4) και η
εξισωση του
Ο κυκλος διερχεται απ'το σημειο Ο(0,0).
Οποτε ΚΟ ειναι ακτινα του.
Ετσι
| ΚΟ|= ρ (0+3) +(0-4) = ρ 9 +16 = ρ
2 2 2
(x+3) +(y-4) = ρ
ρ= 25
Δηλαδη η εξισωση του κυκλου ειναι:
2 2
ρ= 5
x+3) +(y-4) = 25(
Να βρεθει η εξισωση του κυκλου με διαμετρο ΑΒ, οπου Α(-1,4) και Β(3,2).
Α π α ν τ η σ η
ΒΑ
Κ Κ
Κ
ΒΑ Κ
ΚΚ
2 2 2
Α Κ Α Κ
Αν Κ το κεντρο του κυκλου, τοτε το Κ ει-
ναι το μεσο της διαμετρου ΑΒ.
Ετσι
x +x -1+3
x = x =
x = 12 2
y +y 4+2 y = 3
y =y =
22
| ΚΑ| =(x -x ) +(y -y )
=
2
Κ(1,3)
ρ =
2 2
(-1-1) +(4-3) = 4+1= 5
ΠΑΡΑΔΕΙΓΜΑ
ΕΥΡΕΣΗ ΕΞΙΣΩΣΗΣ ΚΥΚΛΟΥ 2
Τροπος Λυσης :
Με γνωστα δυο αντιδιαμετρικα σημεια Α(x1 ,y1 ) και Β(x2 ,y2 )
● Το κεντρο του Κ ειναι το μεσο της ΑΒ, δηλαδη
● Για την ακτινα του ισχυει:
Κ ω ν ι κ ε ς Τ ο μ ε ς10
Τακης Τσακαλακος Κερκυρα 2018
Οποτε η εξισωση του κυκλου ειναι: 2 2
(x-1) +(y-3) = 5
Β
Αν Μ(x,y) ειναι ενα τυχαιο σημειο του κυκλου, τοτε η γωνια ΑΜΒ= 90
(εγγεγραμενη που βαινει σε διαμετρο)
και ισχυει:
ΑΜ ΒΜ ΑΜ ΒΜ= 0
Μια αλλη αντιμετωπιση
ΑΜ=(x+1,y-4)
Μ=(x-3,y-2)
2 2
2 2
2 2
(x+1)(x-3)+(y-4)(y-2)= 0
x -3x+x-3+y -2y-4y+8= 0
x +y -2x-6y+5= 0
(x -2x+1)+(y -6y+9)= 5
2 2
(x-1) +(y-3) = 5
Να βρεθει η εξισωση του κυκλου που διερχεται απ'τα σημεια Α(0,1),
Β(0,-3) και εχει ακτινα ρ=2.
Α π α ν τ η σ η
2 2 2
0 0
Οι συντεταγμενες των σημειων Α και Β επαληθευουν τηνεξισωση
(x-x ) +(y-y ) = ρ
Ειναι
ΠΑΡΑΔΕΙΓΜΑ
ΕΥΡΕΣΗ ΕΞΙΣΩΣΗΣ ΚΥΚΛΟΥ 3
Τροπος Λυσης :
Με γνωστα τα σημεια που τεμνει ο κυκλος τον αξονα x’x η y’y δηλα -
δη τα σημεια Α(0,y1 ),Β(0,y2 ) η Α(x1 ,0),Β(x2 ,0) και την ακτινα του ρ
● Οι συντεταγμενες των σημειων επαληθευουν την εξισωση του κυ -
κλου (x–x0 )2
+(y–y0 )2
=ρ2
. Η λυση του συστηματος των εξισωσε -
ων που προκυπτει, προσδιοριζει τα x 0 , y0
● Αν Κ (x0 , y0 ) το κεντρο ισχυει: . Η λυση του συστημα-
τος των εξισωσεων που προκυπτει, προσδιοριζει τα x 0 , y0
Κ υ κ λ ο ς 11
Τακης Τσακαλακος Κερκυρα 2018
2 2 2
0 0
2 2 2
0 0
2 2
(-)
0 0 0
2 2
0 0 0
2 2
0 0 0
0
2 2
0 0 0
0
22 2
000
000
(0-x ) +(1-y ) = 2
(0-x ) +(-3-y ) = 2
x +y -2y +1= 4
x +y +6y +9 = 4
x +y -2y +1= 4
8y =-8
x +y -2y +1= 4
y =-1
x = 0x = 0x +(-1) -2 (-1)+1= 4
y =-1y =-1y =-1
Ετσι, η εξισωση του κυκλου ειναι: 2 2 2
x +(y+1) = 2
2 2 2 2
0 0 0 0 0 0
2 22 2
00 0 00 0
(x -0) +(y -1) = 2 x +y -2y +1= 4 x = 0| KA|= ρ
...
y =-1x +y +6y +9 = 4(0-x ) +(y +3) = 2| KB|= ρ
Ετσι, η εξισωση του κυκλου ειναι: 2 2 2
Aλλιως
x +(y+1) = 2
ΕΥΡΕΣΗ ΕΞΙΣΩΣΗΣ ΚΥΚΛΟΥ 4
Τροπος Λυσης :
Με γνωστα τρια σημεια του κυκλου Α(x1 ,y1 ), Β(x2 ,y2 ) και Γ(x3 ,y3 )
● Ευρεση του κεντρου Κ απ’τις μεσοκαθετες των χορδων
● Το κεντρο του κυκλου ειναι το σημειο τομης των μεσοκαθετων
των χορδων ΑΒ, ΑΓ και ΒΓ
● Ευρεση του κεντρου Κ απ’τις αποστασεις του απ’τα σημεια Α, Β και
Γ
● Δυο οποιεσδηποτε ισοτητες απ’τη σχεση απο-
τελουν συστημα με αγνωστους τις συντεταγμενες του κεντρου
του κυκλου
● Η ακτινα βρισκεται απ’τη σχεση:
Κ ω ν ι κ ε ς Τ ο μ ε ς12
Τακης Τσακαλακος Κερκυρα 2018
Να βρεθει η εξισωση του κυκλου που διερχεται απ'τα σημεια
Α(6,-1), Β(4,3), Γ(-3,2)
Α π α ν τ η σ η
ΒΑ
Μ
ΒΑ
Μ
Το κεντρο Κ ειναι το σημειο τομης των με-
σοκαθετων των χορδων ΑΒ και ΑΓ.
Αν Μ το μεσο της χορδης ΑΒ και Ν το μεσο
της χορδης ΑΓ, τοτε
x +x 6 +4
x = = = 5
2 2
y +y -1+3
y = = = 1
2 2
Α Γ
Ν
Α Γ
Ν
ΚΜ
ΑΒ
ΚΝ
ΑΓ
και
x +x 6-3 3
x = = =
2 2 2
y +y -1+2 1
y = = =
2 2 2
Ειναι (Κ(α,β))
ΑΒ ΚΜ
11 1
λ = ~ = ~ α-2β= 33+1
2 5 2λ = =-2
4-6
1ΑΓ ΚΝ
2λ = 3~ = 3~ 3 = 42+1 1 3λ = =-
-3-6 3 2
Ετσι
α-2β= 3
Μ(5,1)
3 1
Ν ,
2 2
2 2 2
α-2β= 3 α-2β= 3 1-2β= 3 β=-1
` ` ` `
3α-β= 4 -6α+2β=-8 -5α=-5 α= 1 α= 1
Ακομα
| ΚΑ| =(6-1) +(-1-(-1)) =
Αρα η εξισωση του κυκλου ειναι:
2 2
2 2 2
Κ(1,-1)
ρ = 5
(x-1) +(y+1) = 5
ΣΧΟΛΙΟ
Αυτος ο τροπος, συνηθως βολευει αν δυο τουλαχιστο απ’τα σημεια ειναι
της μορφης (0,α) η (β,0)
Α λ λ ι ω ς
ΠΑΡΑΔΕΙΓΜΑ
Κ υ κ λ ο ς 13
Τακης Τσακαλακος Κερκυρα 2018
2 2
2 2 2 2
2 2
2 2 2
Εστω Κ(α,β) το κεντρο του κυκλου.
| ΚΑ|=| ΚΒ| | ΚΑ| =| ΚΒ|
(6-α) +(-1-β) =(4-α) +(3-β)
...
α-2β= 3 (1)
| ΚΑ|=| ΚΓ| | ΚΑ| =| ΚΓ|
(6-α) +(-1-β) =(-3-α) +(2-β)2
2 2
...
3α-β= 4 (2)
Λυνουμε το συστημα των (1) και (2)
α-2β= 3 α-2β= 3 α-2β= 3 1-2β= 3 β=-1
3α-β= 4 -6α+2β=-8 -5α=-5 α= 1 α= 1
Ακομα:
=| ΚΑ| =(6-1) +(-1+1)2
Κ(1,-1)
ρ 2
=
Οποτε η εξισωση του κυκλου ειναι:
2
2 2 2
5
(x-1) +(y+1) = 5
Να βρεθει η εξισωση του κυκλου που το κεντρο του ειναι σημειο της
ευθειας (ε):2x-3y-3= 0 και διερχεται απο το σημειο Α(2,-2) και την
αρχη των αξονων.
ΠΑΡΑΔΕΙΓΜΑ
ΕΥΡΕΣΗ ΕΞΙΣΩΣΗΣ ΚΥΚΛΟΥ 5
Τροπος Λυσης :
Με γνωστα δυο σημεια του κυκλου και η ευθεια που διερχεται απ’το
κεντρο του
● Εστω τα δυο σημεια του κυκλου Α(x1 ,y1 ), Β(x2 ,y2 )
● Το κεντρο ειναι το σημειο τομης της δοσμενης ευθειας και της με -
σοκαθετης του τμηματος ΑΒ.
Βρισκουμε τη μεσοκαθετη και λυνουμε το συστημα των εξισωσεω ν
της μεσοκαθετης και της δοσμενης ευθειας
● Η ακτινα βρισκεται απ’τη σχεση:
Κ ω ν ι κ ε ς Τ ο μ ε ς14
Τακης Τσακαλακος Κερκυρα 2018
Α π α ν τ η σ η
Ο Α
Μ
Ο Α
Μ
ΟΑ
ΚΜ
Αν Μ το μεσο της χορδης ΟΑ τοτε
x +x 0+2
x = = = 1
2 2
y +y 0-2
y = = =-1
2 2
Ο συντελεστης διευθυνσης της ΟΑ ειναι
-2-0
λ = =-1
2-0
και αφου ΟΑ ΚΜ τοτε λ = 1 και
το Κ ειναι
Μ(1,-1)
σημειο της ευθειας ΟΜ=(δ) με
εξισωση y-1= 1(x+1)
Δηλαδη το Κ ειναι σημειο των ευθειων (ε) και (δ),
οποτε
αν Κ(α,β) τοτε τα α,β επαληθευουν τις εξισωσεις των δυο
(δ): x-y-2= 0
2 2
ευθειων.
Ετσι
Κ (ε) 2x-3y-3= 0 2y+4-3y-3= 02(y+2)-3y-3= 0
x-y-2= 0 x= y+2x= y+2Κ (δ)
Ακομα
| ΟΚ|=(3-0) +(1-0) = 9 +1
Αρα η εξισωση του κυκλου ειναι:
2
2
y= 1
Κ(3,1)
x= 3
ρ = = 10
(x-3) +(y 2
-1) = 10
ΕΥΡΕΣΗ ΕΞΙΣΩΣΗΣ ΚΥΚΛΟΥ 6
Τροπος Λυσης :
Με γνωστα το κεντρο Κ του κυκλου και εξισωση μιας εφαπτομενης
● Ισχυει d(Κ,ε) = ρ και αφου Κ γνωστο ευκολα βρισκεται η εξισωση
του κυκλου.
Δηλαδη ρ = .
Κ υ κ λ ο ς 15
Τακης Τσακαλακος Κερκυρα 2018
Να βρειτε την εξισωση του κυκλου, που εχει κεντρο το σημειο Κ(2, - 1)
και εφαπτεται της ευθειας ε : 3x-4y+5=0
Α π α ν τ η σ η
d(Κ,ε) = ρ
2 2
| 3× 2-4×(-1)+5|
= ρ
3 +(-4)
| 6 +4+5| 15
= = =
525
ρ 3
Αρα η εξισωση του κυκλου ειναι :
2 2 2
(x–2) +(y+1) =3
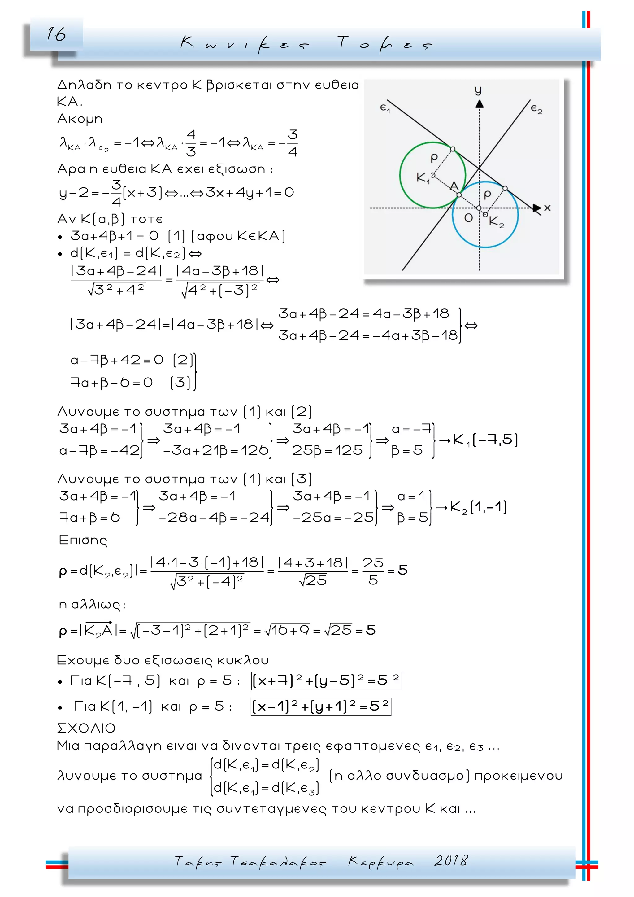
Να βρειτε την εξισωση του κυκλου, που εφαπτεται στις ευθειες
ε1 : 3x+4y-24 = 0 ε2 : 4x-3y+18 = 0,
οταν ενα απ’τα σημεια επαφης ειναι το σημειο Α ( -3, 2)
Α π α ν τ η σ η
Ειναι
4∙(-3) - 3∙2 +18 = -12-6+18 = 0, οποτε Α ε2 .
ΠΑΡΑΔΕΙΓΜΑ
ΠΑΡΑΔΕΙΓΜΑ
ΕΥΡΕΣΗ ΕΞΙΣΩΣΗΣ ΚΥΚΛΟΥ 7
Τροπος Λυσης :
Με γνωστα δυο εφαπτομενες του κυκλου και ενα σημειο επαφης
● Ισχυει d(Κ,ε1 ) = d(Κ,ε2 ) ( = ρ ), οποτε δημιουργω εξισωση με α γνω-
στους τις συντεταγμενες του κεντρου Κ
● Η ευθεια ΚΑ ειναι καθετη στην ε1 (αν Α ε1 ) η στην ε2 (αν Α ε1 ) ο-
ποτε δημιουργω εξισωση με αγνωστους τις συντεταγμενες του
κεντρου Κ
● Λυνω το συστημα των πιο πανω εξισωσεων
Κ ω ν ι κ ε ς Τ ο μ ε ς16
Τακης Τσακαλακος Κερκυρα 2018
Δηλαδη το κεντρο Κ βρισκεται στην ευθεια
ΚΑ.
Ακομη
2εΚΑ ΚΑ ΚΑ
4 3
λ × λ =-1`λ × =-1`λ =-
3 4
Αρα η ευθεια ΚΑ εχει εξισωση :
3
y-2=- (x+3)`...`3x+4y+1= 0
4
Aν Κ(α,β) τοτε
 3α+4β+1 = 0 (1) (αφου Κ ΚΑ)
 d(Κ,ε1 ) = d(Κ,ε2 )`
2 2 2 2
| 3α+4β-24| | 4α-3β+18|
= `
3 +4 4 +(-3)
3α+4β-24 4α-3β+18
| 3α+4β-24| | 4α-3β+18|` `
3α+4β-24 4α+3β-18
α-7β+42 0 (2)
7α+β-6 0 (3)
Λυνουμε το συστημα των (1) και (2)
3α+4β=-1 3α+4β=-1 3α+4β=-1 α=-7
α-7β=-42 -3α+21β= 126 25β= 125 β= 5
1
Κ (-7,5)
Λυνουμε το συστημα των (1) και (3)
2 2 2 2
2 2
2
3α+4β=-1 3α+4β=-1 3α+4β=-1 α= 1
7α+β= 6 -28α-4β=-24 -25α=-25 β= 5
Επισης
| 4 1-3 (-1)+18| | 4+3+18| 25
=d(Κ ,ε )|= = = =
5253 +(-4)
η αλλιως:
=| Κ Α|= (-3-1) +(2+1) = 16 9 = 25 =
2
Κ (1,-1)
ρ 5
ρ 5
Εχουμε δυο εξισωσεις κυκλου
 Για Κ(-7 , 5) και ρ = 5 : 2 2 2
(x+7) +(y-5) =5
 Για Κ(1, -1) και ρ = 5 : 2 2 2
(x-1) +(y+1) =5
ΣΧΟΛΙΟ
Μια παραλλαγη ειναι να δινονται τρεις εφαπτομενες ε 1 , ε2 , ε3 ...
λυνουμε το συστημα
1 2
1 3
d(K,ε )=d(K,ε )
d(K,ε )=d(K,ε )
(η αλλο συνδυασμο) προκειμενου
να προσδιορισουμε τις συντεταγμενες του κεντρου Κ και ...
Κ υ κ λ ο ς 17
Τακης Τσακαλακος Κερκυρα 2018
2 2
Να βρεθει η εξισωση της εφαπτομενης του κυκλου c:x +y = 5 που
διερχεται απο το σημειο Α(5,0).
Α π α ν τ η σ η
Η εφαπτομενη διερχεται απο το σημειο
Α(5, 0)
ετσι
1 1
5x +0 y = 5
Επομενως 1
x = 1
Λυνουμε το συστημα
1
2 2
1 12 2
1 1
x = 1
1 +y = 5 y = 2
x +y = 5
οποτε
υπαρχουν δυο σημεια επαφης, τα
1
M (1,2) και 2
M (1,-2) και οι αντιστοιχες
εφαπτομενες ειναι οι:
x+2y= 5 και x-2y= 5
ΠΑΡΑΔΕΙΓΜΑ
ΕΥΡΕΣΗ ΕΞΙΣΩΣΗΣ ΕΦΑΠΤΟΜΕΝΗΣ ΚΥΚΛΟΥ
Τροπος Λυσης :
Με γνωστα, την εξισωση του κυκλου (μορφης χ2
+y2
=ρ2
) και σημειο
απ’το οποιο διερχεται η εφαπτομενη
● Αν γνωριζουμε το σημειο επαφης Α(x1 ,y1 ), απλα χρησιμοποιουμε
τη σχεση : x1 ∙x+y1 ∙y=ρ2
● Αν δεν γνωριζουμε το σημειο επαφης Α(x 1 , y1 ), αλλα σημειο
Β(x2 , y2 ) που διερχεται η εφαπτομενη ε, χρησιμοποιουμε τις
σχεσεις προκειμενου να βρουμε το σημειο Α :
x1
2
+y1
2
=ρ2
(1) (Α c) και x2 ∙x1 +y2 ∙y1 =ρ2
(2) (Β ε) .
Λυνουμε το συστημα των (1) και (2)
Κ ω ν ι κ ε ς Τ ο μ ε ς18
Τακης Τσακαλακος Κερκυρα 2018
2 2
Να βρεθει η εξισωση της εφαπτομενης (ε) κυκλου c: x +y = 4, που
ειναι παραλληλη στην ευθεια (δ): 4x-3y= 5.
Α π α ν τ η σ η
0 0
2 2 2 2
0 0 0 0
0 0 0 0
0ε δ
0
2
2 2
0 0 0
0 0
0 0
Αν Μ(x ,y ) ειναι το σημειο επαφης και
επειδη (ε)||(δ), τοτε
x +y = 4 x +y = 4
xx +yy = 4 xx +yy = 4
xλ = λ 4
- =
y 3
4 16
- y +y = 4 y +y
3 9
xx +yy = 4
4
x =- y
3
2
0
0 0
0 0
2 0
0
0 0
0 0 0 0
0 0
0 0 0 0
= 4
xx +yy = 4
4
x =- y
3
6
y =± 6 825y = 36 5 y = ,x =- και
5 5
xx +yy = 4 xx +yy = 4
6 8
y =- ,x = και4 4
5 5x =- y x =- y
3 3
1
2
(ε ): 4x-3y=-10
(ε ): 4x-3y= 10
Α λ λ ι ω ς
ΠΑΡΑΔΕΙΓΜΑ
ΕΥΡΕΣΗ ΕΞΙΣΩΣΗΣ ΕΦΑΠΤΟΜΕΝΗΣ ΚΥΚΛΟΥ
Τροπος Λυσης :
Με γνωστα, το κεντρο του κυκλου Κ(0,0) και η εφαπτομενη (ε)
παραλληλη (καθετη) σε γνωστη ευθεια (δ)
● Αν το σημειο επαφης ειναι Α(x0 ,y0 ), τοτε ισχυουν:
x0
2
+y0
2
=ρ2
(1) (Α c), x0 ∙x+y0 ∙y=ρ2
(2) (Β ε) και λε = λδ (3)
Λυνοντας το συστημα των (1) και (3) βρισκουμε τα x 0 , y0
● Αλλη αντιμετωπιση
Αν η ευθεια (δ) ειναι της μορφης α x + β y + γ = 0 και (ε) || (δ)
(η (ε) ⊥ (δ)), τοτε η ευθεια (ε) ειναι της μορφης α x + β y + κ = 0
( η β x - α y + κ = 0 ).
Απ’τη σχεση d ( Κ , ε ) = ρ προσδιοριζουμε την τιμη του κ
Κ υ κ λ ο ς 19
Τακης Τσακαλακος Κερκυρα 2018
2 2
Αφου (ε)||(δ) τοτε η (ε) ειναι της μορφης
Η (ε) εφαπτεται στον κυκλο (c) αν:
| 4× 0+(-3)× 0-κ| |-κ|
d(K,ε)= ρ = 2 = 2 | κ|= 10
254 +(-3)
Οποτε η εξισωση της εφαπτομενης
(ε): 4x-3y= κ
κ=±10
ειναι:
η1 2
(ε ): 4x-3y=-10 (ε ): 4x-3y=10
2 2
Να βρεθει η εξισωση της εφαπτομενης (ε) κυκλουc:(x-3) +(y+1) = 25,
στο σημειο Α(-1,2).
Α π α ν τ η σ η
0 0
0 0
2 2
Αν Μ(x ,y ) ενα τυχαιο σημειο της (ε),τοτε:
ΑΜ=(x +1,y -2)
κεντρο Κ(3,-1)
c:(x-3) +(y+1) = 25
ακτινα ρ= 5
και ΚΑ=(-4,3)
Ομως
ΚΑ ΜΑ ΚΑ× ΜΑ= 0
(-4,3) ( 0 0
x +1,y -2)= 0
ΠΑΡΑΔΕΙΓΜΑ
ΕΥΡΕΣΗ ΕΞΙΣΩΣΗΣ ΕΦΑΠΤΟΜΕΝΗΣ ΚΥΚΛΟΥ
Τροπος Λυσης :
Με γνωστα, την εξισωση του κυκλου c: (x–x0 )2
+(y–y0 )2
=ρ2
και το
σημειο επαφης Α(x1 ,y1 )
● Θεωρουμε τυχαιο σημειο Μ(α, β) της εφαπτομενης (ε)
Δημιουργουμε τα διανυσματα .
Χρησιμοποιουμε τη σχεση:
● Μετασχηματιζουμε την εξισωση της εφαπτομενης (ε): y = λ x + β
στη μορφη Αx+By+Γ=0, οπου Α = λ , Β = - 1 και Γ = β.
Στη συνεχεια λυνουμε το συστημα των εξισωσεων :
Α ( ε ) (1) και d ( Κ , ε ) = ρ (2)
Κ ω ν ι κ ε ς Τ ο μ ε ς20
Τακης Τσακαλακος Κερκυρα 2018
0 0 0 0
-4×(x +1)+3×(y -2)= 0 -4x -4+3y -6 = 0
Οποτε η εξισωση της εφαπτομενης ειναι:
0 0
4x -3y +10= 0
(ε): 4x-3y+10= 0
2 2 2 22 2
Αν (ε): y= αx+β (δηλαδη Α= α, Β=-1, Γ= β αν(ε): Αx+Βy+Γ= 0)
2=-α+β 2+α= β 2+α= β
Α (ε)
| α× 3+(-1)×(-1)+β| | 3α+1+β| | 3α+1+2+α|
5= 5=5=ρ= d(K,ε)
α +(-1) α +1α +1
2+α= β
Αλλιως
2 22 2
2 2
2 2
2+α= β 2+α= β
| 4α+3|
5= 25α +25= 16α +24α+925(α +1)=(4α+3)
α +1
10
2+α= β β=
2+α= β2+α= β 3 4 10
y= x+4
3 34α=9α -24α+16 = 0 (3α-4) = 0
α=3
3
(ε): 4x-3y+10= 0
2 2
Να βρεθει η εξισωση της εφαπτομενης (ε) κυκλου c:(x-3) +(y+1) = 25,
που διερχεται απ'το σημειο Α(2,6).
Α π α ν τ η σ η
Αν(ε): y= αx+β
(δηλαδη Α= α, Β=-1, Γ= β αν (ε): Αx+Βy+Γ= 0)
ΠΑΡΑΔΕΙΓΜΑ
ΕΥΡΕΣΗ ΕΞΙΣΩΣΗΣ ΕΦΑΠΤΟΜΕΝΗΣ ΚΥΚΛΟΥ
Τροπος Λυσης :
Με γνωστα, την εξισωση του κυκλου c: (x–x0 )2
+(y–y0 )2
=ρ2
και το
σημειο Α(x1 ,y1 ) απ’οπου διερχεται η εφαπτομενη (ε) του κυκλου
● Μετασχηματιζουμε την εξισωση της εφαπτομενης (ε): y = λ x + β
στη μορφη Α x + B y + Γ = 0 , οπου Α = λ , Β = - 1 και Γ = β.
Στη συνεχεια λυνουμε το συστημα των εξισωσεων :
Α (ε) (1) και d (Κ , ε) = ρ (2)
Κ υ κ λ ο ς 21
Τακης Τσακαλακος Κερκυρα 2018
2 2
2
2 2
6 = 2α+β
Α (ε)
| α× 3+(-1)×(-1)+β|
5=ρ= d(K,ε)
α +(-1)
6 = 2α+β
| 3α+1+β|
5=
α +1
6 = 2α+β 2+α= β
| 3α+1+2+α| | 4α+3|
5= 5=
α +1 α +1
2 2
2 2 2
2
6 = 2α+β
25(α +1)=(4α+3)
6 = 2α+β 6 = 2α+β
25α +25= 16α +24α+9 9α -24α+16 = 0
6 = 2α+β β=
2+α= β
4
α=(3α-4) = 0
3
10
3 4 10
y= x+
3 34
α=
3
(ε): 4x-3y+10= 0
2 2
Δινεται ο κυκλος c:(x-2) +(y+1) = 9 και το σημειο Μ(1,1).
Να βρεθει η εξισωση της χορδης ΑΒ του κυκλου που εχει μεσο το Μ.
Α π α ν τ η σ η
Eστω Α(χ,y)
ΠΑΡΑΔΕΙΓΜΑ
ΕΥΡΕΣΗ ΕΞΙΣΩΣΗΣ ΧΟΡΔΗΣ ΚΥΚΛΟΥ
Τροπος Λυσης :
Με γνωστα, την εξισωση του κυκλου μορφης: (x–x0 )2
+(y–y0 )2
=ρ2
και το μεσο Μ της χορδης του Α, Β
● Η ΚΜ τεμνει καθετα την ΑΒ (Γεωμετρια)
●
Κ ω ν ι κ ε ς Τ ο μ ε ς22
Τακης Τσακαλακος Κερκυρα 2018
H KM τεμνει καθετα την ΑΒ (Γεωμετρια)
ΑΜ=(1-χ,1-y)
KΜ=(1-2,1-(-1))=(-1,2)
Ετσι
ΑΜ `ΑΜ 0`(1-χ,1-y)(-1,2) 0
` 1 (1-χ) 2 (1-y) 0`-1+x+2-2y= 0
`
Δηλαδη η ζητουμενη
x-2y+1= 0
εξισωση: x-2y+1= 0
2 2 2 2
1 2
Να βρεθει η εξισωση της κοινης χορδης των κυκλων:
c :(x+1) +(y-3) = 9 και c :(x-2) +(y+1) = 16
Α π α ν τ η σ η
2 2
2 2
2
Αν Μ(α,β) ενα κοινο σημειο των κυκλων,
τοτε οι συντεταγμενες του επαληθευουν
τις εξισωσεις των δυο κυκλων. Ετσι
(α+1) +(β-3) = 9
(α-2) +(β+1) = 16
α 2
+2α+1+ β
2
-6β+9 = 9
α 2
-4α+4+ β
(-)
+2β+1= 16
3α-4β+6 = 0
Δηλαδη το κοινο σημειο Μ (ενα τυχαιο
απ'τα κοινα) ανηκει στην ευθεια:
ΠΑΡΑΔΕΙΓΜΑ
ΕΥΡΕΣΗ ΕΞΙΣΩΣΗΣ ΚΟΙΝΗΣ ΧΟΡΔΗΣ ΚΥΚΛΩΝ
Τροπος Λυσης :
Με γνωστα, τις εξισωσεις δυο κυκλων μορφης : (x–x0 )2
+(y–y0 )2
=ρ2
● Θεωρουμε οτι ενα απ’τα κοινα σημεια ειναι τ ο Μ(α,β), οι συντεταγ-
μενες του οποιου επαληθευουν τις εξισωσεις των δυο κυκλων.
Η λυση του συστηματος των εξισωσεων ως προς α, β που προκυ -
πτει, δινει το ζητουμενο
Κ υ κ λ ο ς 23
Τακης Τσακαλακος Κερκυρα 2018
, που αποτελει την εξισωση της κοινης χορδης.3x-4y+6 = 0
Ν εξετασετε τη θεση των σημειων Α(1,1), Β(5,2) και Γ(2, -4) ως προς
το κυκλο 2 2
x +y -4x+2y-4= 0.
Α π α ν τ η σ η
Ο κυκλος γραφεται 2 2 2
(x-2) +(y+1) = 3 ,
επομενως εχει κεντρο το σημειο Κ(2,-1)
και ακτινα ρ = 3 .
Η αποσταση του κεντρου Κ απ ’τα σημεια
ειναι ιση με
2 2
1
d =(KM)= (1-2) (1 1) = 5 3
το σημειο Α ειναι εσωτερικο του κυκλου
2 2
2
d =(KΒ)= (5-2) (2 1) =3 2 3
το σημειο Β ειναι εξωτερικο του κυκλου
2 2
1
d =(KM)= (1-2) (1 1) = 5 3
το σημειο Α ειναι εσωτερικο του κυκλου
Αποδειξτε οτι η ευθεια xσυνφ+yημφ= 4ημφ-2συνφ+4 εφαπτεται του
κυκλου 2 2
x +y +4x-8y+4= 0.
ΠΑΡΑΔΕΙΓΜΑ
ΣΧΕΤΙΚΕΣ ΘΕΣΕΙΣ (ΚΥΚΛΟΥ-ΕΥΘΕΙΑΣ)
Τροπος Λυσης :
● Με δοσμενες τις εξισωσεις του κυκλου και της ευθειας β ρισκουμε
τη σχεση της αποστασης d του κεντρου του κυκλου απ’την ευθεια
ΠΑΡΑΔΕΙΓΜΑ
ΣΧΕΤΙΚΕΣ ΘΕΣΕΙΣ (ΚΥΚΛΟΥ-ΣΗΜΕΙΟΥ)
Τροπος Λυσης :
● Με δοσμενη την εξισωση του κυκλου και σημειο Μ, βρισκουμε
τη σχεση της αποστασης d του κεντρου του κυκλου απ’το σημειο
Κ ω ν ι κ ε ς Τ ο μ ε ς24
Τακης Τσακαλακος Κερκυρα 2018
Α π α ν τ η σ η
Ο κυκλος γραφεται 2 2 2
(x+2) +(y-4) = 4 ,
επομενως εχει κεντρο το σημειο Κ(- 2, 4)
και ακτινα ρ = 4 .
Η αποσταση του κεντρου Κ απο την ευθεια
συνφ× x+ημφ× y-4ημφ+2συνφ-4= 0 ειναι
ιση με
2 2
|-2συνφ+4ημφ-4ημφ+2συνφ-4|
d=
ημ φ+συν φ
=|-4|= 4= ρ
Αρα, η ευθεια εφαπτεται στον κυκλο.
2 2 2 2
1 2
Δειξτε οτι οι κυκλοι: c : x +y = 9 και c : x +y -6x-8y+21= 0
εφαπτονται εξωτερικα και στη συνεχεια να βρειτε το σημειο επαφης Α.
Α π α ν τ η σ η
2 2
2 2
1
2
x +y -6x-8y+21= 0
(x -6x+9)+(y -8y+16)= 4
(
(c ) κεντρο Ο(0,0) και ακτινα R= 3
(c ) κεντρο Κ(3,4) και ακτινα ρ= 2
Για να εφαπτονται εξωτερικα πρεπει:
ΟΚ= R+ρ= 3+2= 5
Πραγ
2 2
x-3) +(y-4) = 4
2 2
ματι,
(3-0) +(4-0) = 9 +16 = 25| ΟΚ|= = 5
ΠΑΡΑΔΕΙΓΜΑ
ΣΧΕΤΙΚΕΣ ΘΕΣΕΙΣ (ΔΥΟ ΚΥΚΛΩΝ)
Τροπος Λυσης :
● Με δοσμενες τις εξισωσεις των κυκλων, αν Ο, Κ τα κεντρα των
κυκλων, εξεταζουμε τη σχεση του τμηματος ΟΚ με τις ακτινες
των δυο κυκλων
Κ υ κ λ ο ς 25
Τακης Τσακαλακος Κερκυρα 2018
2 2
2 2 2 2
2 2
2
2 2 22
2
Ακομη
x +y = 9
x +y = 9 x +y = 9
15-4y
9-6x-8y+21= 0x +y -6x-8y+21= 0 x=
3
15-4y
225-120y+16y +9y = 81 25y -120y+144= 0+y = 9
3
15-4y 15-4y
x= x=15-4y
x= 3 3
3
(5y) -2 12 2 2
5y+12 = 0 (5y-12) = 0
15-4y 15-4y
x= x=
3 3
12
y=
5 9 12
Α ,
5 59
x=
5
2 2
Να βρεθουν οι εξισωσεις των κυκλων, οι οποιοι εφαπτονται στο κυκλο
c:(x-3) +(y-2) = 16 στο σημειο Α(-1,2) και εχουν ακτινα ρ= 2.
Α π α ν τ η σ η
0 0
Ο κυκλος (c) εχει κεντρο Ο(3,2) και ακτινα R= 4
Εστω Κ(x ,y ) το κεντρο ενος απ'τους ζητουμενους κυκλους, οποτε:
ΟΑ=(-1-3,2-2)=(-4,0)
0 0
0 0
ΑΚ=(x +1,y -2)
ΟΑ=(-4,0)
ΟΚ=(x -3,y -2)
Κ,Α,Ο συνευθειακα
ΠΑΡΑΔΕΙΓΜΑ
ΣΧΕΤΙΚΕΣ ΘΕΣΕΙΣ (ΕΥΡΕΣΗ ΕΞΙΣΩΣΗΣ ΚΥΚΛΟΥ)
Τροπος Λυσης :
Με γνωστα, την ακτινα του ζητουμενου κυκλου, το σημειο επαφης
και την εξισωση του αλλου κυκλου
Αν Ο το κεντρο του δοσμενου κυκλου και Κ του ζητουμενου:
● Τα σημεια Κ, Ο, Α ειναι συνευθειακα
● Δημιουργουμε τα διανυσματα: .
● Εφαπτονται εξωτερικα αν:
● Εφαπτονται εσωτερικα αν:
Κ ω ν ι κ ε ς Τ ο μ ε ς26
Τακης Τσακαλακος Κερκυρα 2018
0 0 0 0
0 0 0 0
0 0 0 0
0 0 0 0
Αν οι κυκλοι εφαπτονται εξωτερικα:
ΟΚ= ΟΑ+ΑΚ= R+ρ= 4+2= 6 = 3ρ= 3ΑΚ
(x -3,y -2)= 3(x +1,y -2)
(x -3,y -2)=(3x +3,3y -6)
x -3= 3x +3 2x =-6 x =-3
y -2= 3y -6 2y = 4 y = 2
ΟΚ= 3ΑΚ
2 2
1
c :(x+3) +(y-2) = 4
0 0 0
0 0 0 0
0 0 0
0
0
Αν οι κυκλοι εφαπτονται εσωτερικα:
Ειναι: ΟΚ= ΟΑ-ΚΑ= R-ρ= 4-2= 2= ρ= ΚΑ
Ετσι
x -3=-x -1 2x = 2
(x -3,y -2)=-(x +1,y -2)
y -2= 2-y 2y = 4
x = 1
y = 2
2
2
ΟΚ= ΚΑ
c :(x-1) +(y- 2
2) = 4
2 2
Να βρεθει το κεντρο και η ακτινα του κυκλου με εξισωση:
x +y -6x-4y-3= 0
Α π α ν τ η σ η
Ειναι, Α=-6, Β=-4 και Γ=-3
Αφου
ΠΑΡΑΔΕΙΓΜΑ
ΕΥΡΕΣΗ ΚΕΝΤΡΟΥ - ΑΚΤΙΝΑΣ ΚΥΚΛΟΥ
Τροπος Λυσης :
Με γνωστη, την εξισωση του κυκλου Αx + Βy + Γ = 0
● Δειχνω οτι Α 2
+ Β 2
– 4 Γ > 0 και παιρνουμε:
Κεντρο το σημειο Κ Ακτινα
● Μετασχηματιζουμε τη δοσμενη εξισωση σε μορφη
(x–x0 )2
+(y–y0 )2
=ρ2
Κ υ κ λ ο ς 27
Τακης Τσακαλακος Κερκυρα 2018
2 2 2 2
2 2
Α +Β -4Γ=(-6) +(-4) -4 (-3)
= 36 +16 +12= 64> 0
η εξισωση παριστανει κυκλο με:
Α +Β -4Γ 64
ακτινα: =
2 2
-Α -Β 6 4
κεντρο: Κ , = Κ , =
2 2 2 2
ρ= = 4
Κ(3,2)
2 2
2 2
2 2
x +y -6x-4y-3= 0
x -6x +y -4y -3=
(x -6x+9)+(y -4y+4)= 16
η εξισωση παριστανει κυκλο με: ακτινα
+
και
4
κε
9
ντρο
4+ + 9
2 2
Αλλιως
(x-3) +(y-2) = 16
ρ= 4 Κ(3,2)
Δινονται οι κυκλοι c: x2
+ y2
+ λ x – (3λ + 1 0)y = 0 , λ .
Na δειχτει οτι ολοι οι κυκλοι αυτης της οικογενειας διερχονται απο δυο
σταθερα σημεια.
ΠΑΡΑΔΕΙΓΜΑ
ΟΙΚΟΓΕΝΕΙΑ ΚΥΚΛΩΝ
Τροπος Λυσης :
Με γνωστη, την εξισωση του κυκλου που περιεχει πραγματικη παρα-
μετρο
● Πρωτα δειχνουμε οτι η δοσμενη εξισωση παριστανει εξισωση κυ-
κλου
● Βρισκουμε τα σταθερα σημεια:
● Ειτε δινοντας δυο τυχαιες τιμες στην παραμετρο, οποτε το συ -
στημα που προκυπτει δινει το ζητουμενο σημειο.
Πρεπει να δειξουμε οτι οι συντεταγμενες του σημειου επαλη -
θευουν την αρχικη εξισωση
● Ειτε μετασχηματιζοντας τη δοσμενη σαν πολυωνυμο ως προς
την παραμετρο.
Απαιτουμε ολοι οι συντελεστες του πολυωνυμου να ειναι ισοι με
μηδεν
Κ ω ν ι κ ε ς Τ ο μ ε ς28
Τακης Τσακαλακος Κερκυρα 2018
Α π α ν τ η σ η
2 2
2 2 2 2 2 2
2
Για να παριστανει η x +y +λx-(3λ+10)y= 0 (1)
εξισωση κυκλου πρεπει:
A +B -4Γ> 0 +(3λ+10) > 0 +9λ +60λ+100> 0
λ +6λ+10> 0
Η τελευταια αληθευει αφου:
Δ= 36-4× 10=-
2 2
4< 0 οποτε τριωνυμο ομοσημο του α(= 1)
Για λ= 0 η (1) γινεται:
x +y -10y= 0 (2)
2 2
Για λ= 1 η (1) γινεται: x +y +x-13y= 0 (3)
2 2 2 2
2 2
2 2 2
Λυνουμε το συστημα των (2),(3)
x +y -10y= 0 x +y = 10y
10y+x-13y= 0x +y +x-13y= 0
9y +y = 10y 10y -10y= 0
x= 3y x= 3y
y= 0
y= 0
x= 0y(y-1)= 0
~ y= 1
x= 3y y= 1
x= 3y
x=
και
3
A(0,0)
B(3,1)
2 2
2 2
2 2 2 2
Α: 0 +0 +λ× 0-(3λ+10)× 0= 0
Β: 3 +1 +λ× 3-(3λ+10)× 1= 9 +1+3λ-3λ-10= 0
Δηλαδη οι συντεταγμενες των σημειων Α και Β επαληθευουν την (1).
x +y +λx-(3λ+10)y= 0 x +y +λx-3λy-10y= 0
(x-3y
Αλλιως
2 2
2 2 2 2 2
)λ+x +y -10y= 0
Πρεπει
x-3y= 0 x= 3y x= 3y y(y-1)= 0
x +y -10y= 0 9y +y -10y= 0 10y -10y= 0 x= 3y
y= 0
καιy= 1
x= 3y
A(0,0)
B(3,1)
Κ υ κ λ ο ς 29
Τακης Τσακαλακος Κερκυρα 2018
Εστω σημειο Α(3-3ημφ,1+3συνφ), με 0 φ< π. Να αποδειχτει οτι το ση-
μειο Α κινειται σε κυκλο, του οποιου να βρειτε το κεντρο και την ακτινα.
Α π α ν τ η σ η
2 2
ημ φ+συν φ=1
Α Α
Α Α
2 2
Α Α
Ειναι
x = 3-3ημφ 3ημφ= 3-x
y = 1+3συνφ 3συνφ= y -1
(3-x ) +(y -1) = 9
Δηλαδη το σημειο Α κινειται στον κυκλο
που εχει κεντρο το
2 2
Α Α
2 2
(x -3) +(y -1) = 9
c:(x-3) +(y-1) = 9
σημειο και
ακτινα
Κ(3,1)
ρ= 3
2 2
Να βρεθει ο γεωμετρικος τοπος των κεντρων των κυκλων με εξισωση
x +y +(λ-2)x-λy+λ-5= 0, λ
Α π α ν τ η σ η
Ειναι
ΠΑΡΑΔΕΙΓΜΑ 1
ΓΕΩΜΕΤΡΙΚΟΣ ΤΟΠΟΣ
Τροπος Λυσης :
Με γνωστο, σημειο με συντεταγμενες τριγωνομετρικους αριθμους
η συνδεονται με παραμετρο εξισωση του κυκλου που περιεχει
πραγματικη παραμετρο
● Αν οι συντεταγμενες x, y του σημειου Μ συνδεονται με παραμε-
τρο λ (η τριγωνομετρικους αριθμους) τοτε απαλειφουμε την πα -
ραμετρο μεταξυ των συντεταγμενων ( τους τρ.αριθμους χρησι -
μοποιωντας καποια σχεση) και καταληγουμε σε εξισωση που ειναι
συναρτηση των x, y
ΠΑΡΑΔΕΙΓΜΑ 2
Κ ω ν ι κ ε ς Τ ο μ ε ς30
Τακης Τσακαλακος Κερκυρα 2018
2 2 2 2
2 2
2
Α +Β -4Γ=(λ-2) +(-λ) -4(λ-5)
=λ -4λ+4+λ -4λ+20
=λ -4λ+12> 0
Αφου Δ= 16-48=-32< 0
Αν τα κεντρα ειναι της μορφης Κ(x,y)
A
x=-
2
y=-
λ-2
x=-
λ=-2x+22
B -λ λ= 2y
y=-
2 2
-2x+2=2y
H (1) ειναι ο ζητουμενος γεωμετρικος τοπος.
x+y-1= 0 (1)
2 2
Να βρεθει ο γεωμετρικος τοπος των μεσων των χορδων του κυκλου
c:(x-1) +(y-2) = 5, οι οποιες διερχονται απ'το σημειο Α(3,-4).
Α π α ν τ η σ η
Αν Μ(x,y) το μεσο μιας χορδης ΒΓπου
διερχεται απ'το σημειο Α(3,4) και αφου
Κ(1,2) το κεντρο του κυκλου, τοτε:
ΚΜ=(x-1,y-2) και ΑΜ=(x-3,y+4)
Ομως,
η ακτινα του κυκλου ειναι καθετη στη
χορδη στο μεσο της.
Ετσι
ΠΑΡΑΔΕΙΓΜΑ 1
ΓΕΩΜΕΤΡΙΚΟΣ ΤΟΠΟΣ
Τροπος Λυσης :
Με γνωστη, σχεση που αναγεται σε καθετες ευθειες, οπως
’’... φαινεται υπο ορθη γωνια ...’’’, ’’... μεσα χορδων ...’’ κλπ
● Χρησιμοποιουμε τη σχεση των καθετων διανυσματων
Κ υ κ λ ο ς 31
Τακης Τσακαλακος Κερκυρα 2018
2 2
2 2
ΚΜ ΑΜ= 0 (x-1,y-2) (x-3,y+4)= 0
(x-1)(x-3)+(y-2)(y+4)= 0
x -3x-x+3+y +4y-2y-8= 0
x -4x+y +2y-5= 0
2 2
(x -4x+4)+(y +2y+1)= 10
Οποτε τα μεσα των χορδων κινουνται σε
κυκλο με κεντρο και ακτινα
2 2
(x-2) +(y+1) = 10
Ο(2,-1) ρ= 10
ο
Δινονται τα σημεια Α(-1,2) και Β(5,10).
Να βρεθει ο γεωμετρικος τοπος των σημειων Μ, για τα οποια ΑΜΒ= 90 .
Α π α ν τ η σ η
ο
2 2
Αν Μ(x,y) ειναι ενα τυχαιο σημειο του
γεωμετρικου τοπου, τοτε:
και
Ετσι
ΑΜΒ= 90 ΑΜ ΒΜ= 0
(x+1,y-2)(x-5,y-10)= 0
(x+1)(x-5)+(y-2)(y-10)= 0
x -5x+x-5+y -10y-2y+
ΑΜ=(x+1,y-2) ΒΜ=(x-5,y-10)
2 2 2 2
20= 0
x -4x+y -12y+15= 0 (x -4x+4)+(y -12y+36)+15= 4+36
Οποτε
Τα σημεια Μ κινουνται σε κυκλο με κεντρο και ακτινα
2 2
(x-2) +(y-6) = 25
Κ(2,6) ρ= 5
ΠΑΡΑΔΕΙΓΜΑ 2
Κ ω ν ι κ ε ς Τ ο μ ε ς32
Τακης Τσακαλακος Κερκυρα 2018
Εστω τριγωνο με κορυφες A(3,5), B(2,-4) και Γ(-5,-1).
Να αποδειξετε οτι ο γεωμετρικος τοπος των σημειων Μ για τα οποια
ισχυει 2 2 2
ΜΑ +ΜΒ +ΜΓ =107 ειναι κυκλος με κεντρο το κεντρο βαρους
του τριγωνου ΑΒΓ
Α π α ν τ η σ η
Ενα σημειο M(x, y) ειναι σημειο του γεωμε-
τρικου τοπου,
αν και μονο αν ισχυει
2 2 2
MA +MB +MΓ =107
2 2 2 2 2
2
(x-3) +(y-5) +(x-2) +(y+4) +(x+5)
+(y+1) = 107
2 2
3x +3y = 27
2 2 2
x +y = 3
Αρα,
ο γεωμετρικος τοπος των σημειων Μ
ειναι ο κυκλος με κεντρο το σημειο Ο(0, 0)
και ακτινα ρ = 3 .
Το κεντρο του κυκλου αυτου ειναι το κεντρο βαρους του τριγωνου ΑΒΓ,
αφου
3+2-5
= 0
3
και
5-4-1
= 0
3
ΠΑΡΑΔΕΙΓΜΑ
ΓΕΩΜΕΤΡΙΚΟΣ ΤΟΠΟΣ
Τροπος Λυσης :
Με γνωστη, σχεση ευθυγραμμων τμηματων
● Με χρηση του μετρου τμηματων για τη δοσμενη σχεση καταλη-
γουμε σε εξισωση των συντεταγμενων x, y του Μ, που αποτελει
τον γεωμετρικο τοπο
Κ υ κ λ ο ς 33
Τακης Τσακαλακος Κερκυρα 2018
2 2
Εστω ο κυκλος c: x +y -8x+2y+8= 0 και το σημειο Μ(1,3).
Bρειτε τα σημεια του κυκλου c, που απεχουν την ελαχιστη και τη με-
γιστη αποσταση απ'το σημειο Μ.
Α π α ν τ η σ η
2 2
2 2
2 2
min
Ειναι
x +y -8x+2y+ = 0
x -8x+ +y +2y+ =
Αρα το κεντρο του κυκλου ειναι Κ(4,-1)
και η ακτινα του ρ= 3
d d(Κ,Μ)= (1-4) (3+1) = 9 16 5
d(Κ,c
8
16 1 9
2 2
x-4) +(y+1) = 9(
max
)= d 5 3 2
d(Κ,c)= d 5 3 8
ΣΧΟΛΙΟ
Αναλογα λυνουμε, αν ζητουμε μεγιστη -ελαχιστη αποστασης ευθειας ε
απο κυκλο.
Βρισκουμε την αποσταση του κεντρου Κ απ ’την ευθεια ε και ...
ΠΑΡΑΔΕΙΓΜΑ
ΜΕΓΙΣΤΗ - ΕΛΑΧΙΣΤΗ ΑΠΟΣΤΑΣΗ ΣΗΜΕΙΟΥ ΑΠΟ ΚΥΚΛΟ
Τροπος Λυσης :
Με γνωστη, την εξισωση του κυκλου και το σημειο Μ
● Βρισκουμε την αποσταση d του κεντρου του κυκλου Κ απ’το ση-
μειο Μ
οπου ρ η ακτινα του κυκλου
Κ ω ν ι κ ε ς Τ ο μ ε ς34
Τακης Τσακαλακος Κερκυρα 2018
Γ Ι Α Π Ρ Ο Π Ο Ν Η Σ Η . . .
01.
1
Να βρεθει η εξισωση κυκλου με κεντρο την αρχη των αξονων αν:
διερχεται απ'το σημειο Α( 2, 2)
διερχεται απ'το σημειο Β(2α-3β,3α+2β)
εφαπτεται στην ευθεια (ε ): x+y
2
2 2
1
= 1
εφαπτεται στην ευθεια (ε ): αx+βy= αβ
Να βρεθει η εξισωση της εφαπτομενης κυκλου c: x +y = 10, αν:
ειναι παραλληλη στην ευθεια(ε ): x+3y= 4
ειναι καθετη στην ευθει 2
1
α (ε ): y= x
3
διερχεται απ'το σημειο Α(-10,0)
02.
Να βρεθει η εξισωση του κυκλου σε καθεμια απο τις περιπτωσεις:
 εχει κεντρο το σημειο Κ(- 3, 2), και εφαπτεται στον αξονα y΄y
 εχει κεντρο το σημειο Κ(3, 3) και εφαπτεται των αξονων x ΄x και y΄y
 εχει κεντρο την αρχη των αξονων και εφαπτεται της ευθειας
3x + y = 10
 εχει κεντρο το σημειο Κ(- 3, 1) και εφαπτεται στην ευθεια
4x - 3y + 5 = 0
 εχει ακτινα 4, εφαπτεται στον αξονα x΄x και διερχεται απο το ση-
μειο Α(5, 4)
 διερχεται απο τα σημεια Α(3, 1), Β(- 1, 3) και εχει κεντρο πανω
στην ευθεια y = 3x – 2
 περνα απο τα σημεια Α(2,1), Β(1,2), Γ (
15
2
,
1
2
)
Κ υ κ λ ο ς 35
Τακης Τσακαλακος Κερκυρα 2018
04.
2 2
2 2
2 2
2 2
Να βρεθει το κεντρο και η ακτινα του κυκλου που εχει εξισωση:
x +y -2x-4y= 0
x +y -2y-1= 0
3x +3y +6x-4y-1= 0
x +y +2αx-2βy-2αβ= 0
06.
Να βρειτε την εξισωση του κυκλου, ο οποιος ειναι εγγεγραμμενος
στο τριγωνο που σχηματιζει η ευθεια ε: x + y - 6 = 0 με τους αξονες
x΄x και y΄y
03.
Να βρειτε την εξισωση του κυκλου που εφα πτεται στην ευθεια
ε: y = x και ειναι ομοκεντρος του κυκλου x 2
+ y 2
- 2x + 4y +1 = 0
05.
Να βρεθει η εξισωση κυκλου αν:
εχει κεντρο Κ(1,1) και διερχεται απ'την αρχη των αξονων.
εχει διαμετρο το ευθυγραμμο τμημα ΑΒ με Α(1,4) και Β(-3,2).
εχει ακτινα ρ= 5 και τεμνει τον y'y στα σημεια Α(0,-3) και Β(0,5).
Κ ω ν ι κ ε ς Τ ο μ ε ς36
Τακης Τσακαλακος Κερκυρα 2018
07.
Δινεται ο κυκλος x 2
+ y 2
- 2x - 1 = 0 και η ευθεια ε: y = x - 3.
Να αποδειξετε οτι η ευθεια εφαπτεται του κυκλου και στη συνεχεια να
βρειτε το σημειο επαφης
08.
2 2
Δινεται κυκλος με εξισωση x +y -2x+2y-7= 0
Να βρεθει το μηκος της χορδης του που εχει μεσο το Μ(0,-1)
Να προσδιοριστει ο λ , ωστε το κεντρο του κυκλου να βρισκετ
2 2 2 2
1 2
αι
στην (λ-1)x+y-2λ+1= 0
Δινονται οι κυκλοι c : x +y +αx+βy= 0 και c : x +y +βx+αy= 0, α β
2
Να δειχτει οτι τομηκος της κοινης τους χορδης ειναι: | α+β|.
2
09.
Να βρεθει η εξισωση κυκλου αν διερχεται απ'τα σημεια Α(2,1),Β(-1,4)
και το κεντρο του βρισκεται στην ευθεια (ε): 4x-5y+11= 0
10.
Να βρεθει η εξισωση του κυκλου που διερχεται απ'τα σημεια
Α(-1,5), Β(5,5) και Γ(-2,-2)
Κ υ κ λ ο ς 37
Τακης Τσακαλακος Κερκυρα 2018
11.
Να βρειτε τις εξισωσεις των κυκλων, οι οποιοι εφαπτονται στο κυκλο:
x 2
+ y 2
= 25 στο σημειο Α(3, 4) και εχουν ακτινα ρ = 1 0
12.
Να βρεθει η εξισωση της κοινης χορδης δυο κυκλων με κεντρα Κ(1,2)
και Λ(3,1) που εχουν ακτινες 3 και 2 αντιστοιχα.
13.
Να βρεθει η εξισωση του κυκλου που εχει το κεντρο του στην ευθεια
(ε): 2x + y + 1 = 0 και διερχεται απο τα σημεια Α(- 1, 2) και Β (3, - 1)
14.
Να αποδειχτει οτι καθως το θ διαγραφει το διαστημα [0,2π) το σημειο
Μ(α+ρημθ,β+ρημθ) διαγραφει τον κυκλο με κεντρο Κ(α,β) και ακτινα ρ.
15.
Εστω κυκλος C: x2
+y2
+4y=0 και σημειο Α(-1,-1). Να βρεθει η εξισω-
ση της ευθειας ε που οριζει στον κυκλο χορδη, με μεσο το σημειο Α
16.
2 2
Να βρεθει η εξισωση της εφαπτομενης κυκλου c: x +y = 10, αν διερ-
χεται απ'το σημειο Α(-10,0).
Κ ω ν ι κ ε ς Τ ο μ ε ς38
Τακης Τσακαλακος Κερκυρα 2018
17.
Απο τυχαιο σημειο Μ του επιπεδου Οxy φερνουμε τη ΜΑ y'y και τη
ΜΒ καθετη στην ευθεια ε: y = x.
Αν (ΑΒ) = 4 να βρειτε το γεωμετρικο τοπο του σημειου Μ
18.
Να βρειτε τον γεωμετρικο τοπο των
 σημειων Μ για τα οποια ισχυει | ΜΑ|= 2, οπου Α(2, 1),
 σημειων Μ για τα οποια ισχυει ΜΑ ΜΒ, οπου Α(1, 0) και Β(- 1, 0),
 μεσων Μ των ευθυγραμμων τμηματων ΑΒ μηκους 8, των οποιων
τα ακρα Α και Β κινουνται στους αξονες x'x και y'y αντιστοιχα .
19.
Δινεται κυκλος c: x 2
+ y 2
= 4 και σημειο Κ(5,0). Απο το Κ φερνουμε
τυχαια ευθεια που τεμνει τον C στα σημεια Α και Β.
Να βρειτε τον γεωμετρικο τοπο των με σων των χορδων ΑΒ.
20.
2 2
1
2
Να βρεθει η εξισωση της εφαπτομενης κυκλου c: x +y = 10, αν:
ειναι παραλληλη στην ευθεια (ε ): x+3y= 4
1
ειναι καθετη στην ευθεια (ε ): y= x
3
Κ υ κ λ ο ς 39
Τακης Τσακαλακος Κερκυρα 2018
21.
Δινεται η εξισωση (Cλ ): x2
+y2
+(λ-2)x-2(λ+2)y+13λ-20=0, λ
 Να αποδειξετε οτι η εξισωση παριστανει κυκλο για καθε λ
 Να βρειτε το κεντρο του παραπανω κυκλου και να δε ιξετε οτι αυτο
κινειται σε ευθεια για καθε λ
 Να αποδειξετε οτι ο κυκλος (C λ ) διερχεται απο δυο σταθερα σημεια
22.
2 2
2 2 2 2
Να βρεθει η εξισωση της εφαπτομενης του κυκλου, αν:
c: x +y -2x-4y+1= 0 στο σημειο Α(-1,2)
c: x +y +2αx-4βy-3α +4β = 0 στο σημειο Α(α,2β)
μεγιστη τιμή της συναρτησης h με τύπο
h(x)=
23.
Δινεται η ευθεια ε: y = x + 2 και ο κυκλος C: x 2
+ y 2
+ λ x – λ y = 0.
Να προσδιορισετε το λ ωστε
 η ε να τεμνει τον κυκλο C,
 η χορδη που οριζει η ε στον κυκλο C να φαινεται απο την αρχη των
αξονων υπο ορθη γωνια.
24.
2 2
Να βρεθει ο γ.τ. των μεσων των χορδων του κυκλου c: x +y -2αx= 0
που διερχονται απο την αρχη των αξονων.
Κ ω ν ι κ ε ς Τ ο μ ε ς40
Τακης Τσακαλακος Κερκυρα 2018
25.
Να βρεθουν οι εξισωσεις των κυκλων, οι οποιοι εφαπτονται στον κυ-
κλο με κεντρο Ο(0,0) και ακτινα R= 5, στο σημειο Α(3,4) και εχουν
ακτινα ρ= 10.
Δειξτε οτι οικυκλο
2 2 2 2
1 2
ι:
c : x +y -2x-4y-4= 0 και c : x +y -8x-12y+48= 0
εφαπτονται εξωτερικα και στη συνεχεια να βρειτε το σημειο επαφης.
26.
 Να αποδειξετε οτι η εξισωση x2
+ y2
- 4x - 2αy + 2α = 4 παριστανει
κυκλο για καθε α . Να βρειτε το κεντρο και την ακτινα του.
 Για ποια τιμη του α ο παραπανω κυκλος εφαπτεται:
α) του αξονα x'x , β) της ευθειας y = - x
27.
Δινονται η ευθεια ε: 5x+3y+2= 0 και ο κυκλος 2 2
c: x +y -x-2= 0,
που τεμνονται στα σημεια Μ και Ν.
 Να δειξετε οτι για καθε λ , η εξισωση:
2 2
x +y -x-2+λ(5x+3y+2)= 0 παριστανει εναν κυκλο Cλ , ο οποιος
διερχεται απο τα σημεια Μ και Ν.
Για ποια τιμη του λ ο κυκλος περνα απο την αρχη των αξονων;
 Να δειξετε οτι τα κεντρα των κυκλων Cλ ανηκουν σε μια ευθεια ε ’,
της οποιας να βρειτε την εξισωση.
28.
Να βρεθει ο γ.τ. των σημειων Α που ειναι κορυφες ορθης γωνιας ορθο-
γωνιου τριγωνου με υποτεινουσα ΒΓ, οπου Β(α,β) και Γ(β,α) (α β).
Κ υ κ λ ο ς 41
Τακης Τσακαλακος Κερκυρα 2018
29.
Θεωρουμε τον κυκλο C: x 2
+ y 2
= 4 και την ευθεια ε: y = 2x + 5.
 Να δειξετε οτι ο κυκλος και η ευθεια δεν εχουν κοινο σημειο.
 Απο ενα σημειο Μ της ευθειας ε φερνουμε τις εφαπτομενες στον
κυκλο και Α και Β τα σημεια επαφης. Να δειξετε οτι, οταν το σημειο
Μ διαγραφει την ευθεια ε, η ευθεια ΑΒ διερχεται απο ενα σταθερο
σημειο .
30.
2 2 2 2
1 2
Δινονται οι κυκλοι c : x +y = 1 και c :(x-2) +(y-2) = 5.
Να δειχτει οτι οι δυο κυκλοι τεμνονται στα σημεια Α και Β.
Να βρεθει η εξισωση της κοινης χορδης τους ΑΒ.
Αν 2
η παραλληλη προς την ΑΒ απ'το κεντρο του κυκλου c τεμνει
τους αξονες x'x και y'y στα σημεια Α' και Β' αντιστοιχα, να υπολογι-
στει το εμβαδον του τραπεζιου ΑΒΒ'Α'.
μεγιστη τιμή της συναρτησης h με τύπο
h(x)=
31.
2 2 2 2
1 2
1 2
Δινονται οι κυκλοι c : x +y = 1, c : x +y -4x= 0 και η ευθεια
ε: y= λx+β, λ,β
Να βρειτε τις αποστασεις των κεντρων των κυκλων c , c απ'την
ευθεια ε
Για ποιες τιμες των
1 2
λ,β η ευθεια ε ειναι κοινη εφαπτομενη των
κυκλων c , c ;
Να δειξετε οτι οι κοινες εφαπτομενες των δυο κυκλων τεμνονται
στον αξονα x'x και να βρειτε την οξεια γωνια των εφαπτομενων
Κ ω ν ι κ ε ς Τ ο μ ε ς42
Τακης Τσακαλακος Κερκυρα 2018
32.
Να βρεθει ο γεωμετρικος τοπος των σημειων τομης των ευθειων
(ε1 ): 2λx–(λ+1)y = 3λ–1 και (ε2 ): (3λ+1)x+(λ–1)y = 6λ-2, λ
33.
2 2
Δινεται το σημειο Ρ(10,7) και ο κυκλος (c):x +y -4x-2y-20= 0.
Nα βρεθει η μεγαλυτερη και η μικροτερη αποσταση που μπορει να εχει
ενα σημειο του κυκλου απ'το σημειο Ρ.
34.
2 2
Δειξτε οτι η ευθεια (ε): x+y-7= 0 εφαπτεται στοκυκλο
c: x +y -4x-2y-3= 0
και στη συνεχεια βρειτε το σημειο επαφης.
Π Α Ρ Α Β Ο Λ Η
Κ ω ν ι κ ε ς Τ ο μ ε ς44
Τακης Τσακαλακος Κερκυρα 2018
Παραβολη ειναι ο γεωμετρικος το τοπος
των σημειων του επιπεδου που ισαπεχουν
απο ενα σταθερο σημειο Ε (εστια) και μια
σταθερη ευθεια δ (διευθετουσα).
Ετσι, ενα σημειο Μ ειναι σημειο της παρα -
βολης με εστια Ε και διευθετουσα δ, αν:
d(Μ, δ)=ΜΕ
Ειναι μια καμπυλη που προκυ-
πτει απο τη τομη ενος κωνου
και ενος επιπεδου παραλληλου
σε μια γενετειρα του.
(Γενετειρα κωνου ειναι η ευ-
θεια που, αν περιστραφει γυρω
απ’τον αξονα του κωνου, παραγει την επιφανεια του κωνου)
 Αξονας της παραβολης ειναι η ευθεια που διερχεται απ’την εστια Ε και
ειναι καθετη στη διευθετουσα δ
 Παραμετρος της παραβολης ειναι η αποσταση της εστιας Ε απο τη δι -
ευθετουσα δ και συμβολιζεται με p (ΟΕ=p)
 Κορυφη της παραβολης ειναι το μεσο της αποσταση της εστιας Ε απο
τη διευθετουσα δ (αρχη των αξονων)
 Χορδη της παραβολης ειναι το ευθυγραμμο τμημα που τα ακρα του βρι -
σκονται πανω στη παραβολη
 Διαμετρος της παραβολης ειναι μια ευθεια παραλληλη στον α ξονα της
 Ο αξονας της παραβολης ειναι αξονας συμμε-
τριας της παραβολης
Πραγματι,
απ’ το τυχαιο σημειο Μ της παραβολης φερνουμε
καθετη στον αξονα που τεμνει τη παραβολη στο
Μ’. Ευκολα (απο Γεωμετρια) ΠΜ=ΠΜ’ και ...
 Η παραβολης βρισκεται εξ’ολοκληρου στο ημιεπι -
πεδο της καθετης ε του αξονα στο Ο που περιε-
χει την εστια
Ο ρ ι σ μ ο ς
Ι δ ι ο τ η τε ς - Σ υ ν ε π ε ι ε ς
Π α ρ α β ο λ η 45
Τακης Τσακαλακος Κερκυρα 2018
Πραγματι,
για το τυχαιο σημειο Κ του αντικειμενου επιπεδου (και σημειο της καθε -
της ε του αξονα στο Ο, εκτος του Ο) ειναι
ΚΛ<ΚΑ<ΚΕ (ευκολα απο Γεωμετρια ...)
δηλαδη ΚΕ ΚΛ που σημαινει οτι Κ δεν ειναι σημειο της παραβολης
ΣΧΟΛΙΟ
Αν Κ Ο
C
ε εφαπτομενη της παραβολης στη κορυφη
 Καθε σημειο εντος παραβολης, απεχει απο την
εστια Ε λιγοτερο απο οσο απεχει απ’τη διευθε -
τουσα δ, ενω αν το σημειο βρισκεται εκτος της
παραβολης, απεχει περισσοτερο
Πραγματι,
 για το τυχαιο σημειο Κ εκτος της παραβολης
(και σημειο της ε εκτος του Ο) ειναι
ΚΛ<ΚΑ<ΚΕ ΚΛ<ΚΕ (... απο Γεωμετρια ...)
 για το τυχαιο σημειο Μ εντος της παραβολης
ME E (...Γεωμετρια)
ME< ΠΝ ME< ΜΝ
C EΠ= ΠΝ
ΣΥΝΕΠΕΙΑ
 Η ευθεια που εχει κοινο σημειο με τη παραβολη ειναι εφαπτομενη της,
αν και μονο αν η αποσταση καθε σημειου της (εκτος του σημειου επα -
φης) απο την εστια Ε ειναι μεγαλυτερη απο την αποσταση του απ’τη
διευθετουσα δ
 Απο σημειο που βρισκεται εντος της παραβολης δεν αγεται εφαπτο -
μενη της παραβολης
 Καθε διαμετρος παραβολης εχει μονο ενα κοινο σημειο με αυτην
Σε συστημα συντεταγμενων Οxy με αρχη Ο (κορυφη της παραβολης)
και αξονα x'x τον αξονα της παραβολης θετουμε:
p p
τη τετμημενη της εστιας Ε και x=- την εξισωση τη
2 2
ς διευθετουσας δ
p p
Η εξισωση της παραβολης με εστια Ε( ,0) και διευθετουσα δ: x=- ειναι:
2 2
βρισκεται δεξια του y'y αν p> 0 και αριστερα αν p< 0
2
y = 2× p× x
Ε ξ ι σ ω σ η Π α ρ α β ο λ η ς
Κ ω ν ι κ ε ς Τ ο μ ε ς46
Τακης Τσακαλακος Κερκυρα 2018
Σε συστημα συντεταγμενων Οxy με αρχη Ο (κορυφη της παραβολης)
και αξονα x'x τον αξονα της παραβολης θετουμε:
p p
τη τετμημενη της εστιας Ε και y=- την εξισωση τη
2 2
ς διευθετουσας δ
p p
Η εξισωση της παραβολης με εστια Ε( ,0) και διευθετουσα δ: y=- ειναι:
2 2
βρισκεται πανω του x'x αν p> 0 και κατω αν p< 0
2
x = 2× p× y
 Γ ε ν ι κ η Μ ο ρ φ η
2 2
αx +βxy+γy +δx+εy+ζ= 0
Η παραπανω εξισωση παριστανει παραβολη αν
2
4 και ισχυει ενα τουλαχιστον απ’τα a 0, γ 0
 Σ υ ν α ρ τ η σ η Π α ρ α β ο λ η
2
f(χ)= αx +βx+γ
Π α ρ α β ο λ η 47
Τακης Τσακαλακος Κερκυρα 2018
ΣΧΟΛΙΟ
Στη περιπτωση που ο αξονας της παραβολης δεν ειναι ο χ’χ η y’y (η
κορυφη ειναι Κ(χ0 , y0 )
 Eξισωσεις: (y - y0 ) 2
= 2p(x - x0 ) η (x - x0 ) 2
= 2p(y - y0 )
 Eστια: 0 0
p
Ε x + , y
2
Διευθετουσα: η0 0
p p
x=- +x y=- +y
2 2
1 1
2
2
H εφαπτομενη στο σημειο Μ(x ,y ) της παραβολης:
y = 2× p× x εχει εξισωση
x = 2× p× y εχει εξισωση
1 1
1 1
y× y = p×(x+x )
x× x = p×(y+y )
Eστω η παραβολη c, με κορυφη Ο, εστια Ε
και ε η εφαπτομενητης στο σημειο Μ.
Τοτε:
Η καθετη ευθεια η στην εφαπτομενη ε στο
σημειο επαφης Μ, διχοτομει την γωνια ΕΜt,
οπου Mt η διαμετρος που διερχεται απ'το Μ
Ε φ α π τ ο μ ε ν η Π α ρ α β ο λ η ς
Α ν α κ λ α σ τ ι κ η Ι δ ι ο τ η τ α
Κ ω ν ι κ ε ς Τ ο μ ε ς48
Τακης Τσακαλακος Κερκυρα 2018
 Αν δυο σημεια Μ, Μ’ της παραβολης ισαπε -
χουν απ’την εστια Ε, τοτε ειτε συμπιπτουν
ειτε ειναι συμμετρικα ως προς τον αξονα
της
 Αν Μ ειναι σημειο της παραβολης και Ε η ε -
στια της, τοτε ο κυκλος με διαμετρο ΜΕ ε-
φαπτεται στηνε εφαπτομενη της στη κο -
ρυφη Ο
 Αν Κ ειναι σημειο της παραβολης με κορυ-
φη Ο και η ΚΟ τεμνει τη διευθετουσα στο Λ
τοτε ΛΕ||ε, οπου ε η εφαπτομενη της παραβολης στο σημειο Κ
 Αν η χορδη ΚΛ εχει μεσοκαθετη τον αξονα
της παραβολης, τοτε οι εφαπτομενες της
παραβολης στα Κ, Λ τεμνονται πανω στον
αξονα και αντιστροφα
 Αν η χορδη ΒΓεχει τεμνει καθετα τον αξο -
να της παραβολης και οι εφαπτομενε της
παραβολης στα Β, Γ τεμνονται καθετα, το -
τε τοσημειο τομης τους ειναι το Α (σημειο
τομης αξονα και διευθετουσας) και η χορ -
δη ΒΓ διερχεται απ’την εστια Ε
 Αν δυο παραβολες εχουν ιδια εστια, ιδιο α -
ξονα και αντιθετες παραμετρους, τοτε τε -
μνονται σε σημεια που το καθενα δεχεται
εφαπτομενες καθετες (μια για καθε παρα -
βολη)
 Οι εφαπτομενες της παραβολης (C1 ) που
αγονται απο σημειο Ρ της διευθ ετουσας
της δ ειναι καθετες μεταξυ τους
Π ρ ο τ α σ ε ι ς
Π α ρ α β ο λ η 49
Τακης Τσακαλακος Κερκυρα 2018
Να βρεθει η εξισωση της παραβολης με:
εστια το σημειο Ε(4,0)
διευθετουσα την ευθεια (δ): y=-2
Α π α ν τ η σ η
ΠΑΡΑΔΕΙΓΜΑ
ΕΥΡΕΣΗ ΕΞΙΣΩΣΗΣ ΠΑΡΑΒΟΛΗΣ 1
Τροπος Λυσης :
Με γνωστα την εστια η την διευθετουσα
● Προσδιοριζουμε τη θεση της παραβολης ως προς τους αξονες :
● Εστια μορφης Ε(α, 0) η (δ): x = β, αξονας x’x και τυπος παραβο-
λης y 2
= 2px
● Εστια μορφης Ε(0, α) η (δ): y = β, αξονας y’y και τυπος παραβο-
λης x 2
= 2py
● Προσδιοριζουμε τo p :
● Εστια μορφης Ε(α, 0) η (δ): x = β, τοτε p = 2α η p = - 2β
αντιστοιχα
● Εστια μορφης Ε(0, α) η (δ): y = β, τοτε p = 2α η p = - 2β
αντιστοιχα
Σ Τ Η Π Ρ Α Ξ Η . . .
2
Το σημειο Ε βρισκεται πανω στον αξονα
x'x οποτε η εξισωση της παραβολης ειναι
τηςμορφης:
y = 2px
p
Αφου Ε(4,0) τοτε = 4 p= 8
2
Αφου (δ): y=-2 τοτε η εσ
2
y = 16x
2
τια Ε βρισκεται
πανω στον αξονα y'y και η εξισωση της
παραβολης ειναι της μορφης:
x = 2py
p
Ακομη: - =-2 p= 4
2
2
x = 8y
Κ ω ν ι κ ε ς Τ ο μ ε ς50
Τακης Τσακαλακος Κερκυρα 2018
Να βρειτε την εξισωση της παραβολης, με:
εστια το σημειο Ε(-1,2) και διευθετουσα (δ): x= 3
κορυφη το σημειο Κ(-1,2) και διευθετουσα (δ): x=-3
Α π α ν τ η σ η
0
0
0
Η εξισωση ειναι της μορφης:
αφου (δ)|| y'y
p
x + =-1
2
Ε(-1,2)
y = 2
(δ): x= 3
p
- +x = 3
2
2
0 0
0
0
2
(y-y ) = 2p(x-x )
x = 1
y = 2
p=-4
(y-2) =-8(x-1)
2 2 2 2 2 2
2 2
Για τυχαιο σημειο Μ(x,y) της παραβολης:
d(M,ε)= d(M,δ) (x+1) +(y-2) =| x-3| (y-2) =(x-3) -(x+1)
(y-2) =(x-3-x-1)(x-3+x+1) (y-2) =-4(2x-2)
2
Aλλιως
(y-2) =-8(x-1)
ΠΑΡΑΔΕΙΓΜΑ
ΕΥΡΕΣΗ ΕΞΙΣΩΣΗΣ ΠΑΡΑΒΟΛΗΣ 2
Τροπος Λυσης :
Με γνωστη την εστια (εκτος των αξονων x’x η y’y) η την κορυφη
και την διευθετουσα
● Προσδιοριζουμε τη θεση της παραβολης ως προς τους αξονες :
● Διευθετουσα (δ): x = β, αξονας x’x, τυπος παραβολης
(y - y0 ) 2
= 2p(x - x0 )
● Διευθετουσα (δ): y = β, αξονας y’y, τυπος παραβολης
(x - x0 ) 2
= 2p(y - y0 )
● Προσδιοριζουμε τo p, x0 , y0 :
● Εστια μορφης Ε(α, β), τοτε
● Διευθετουσα μορφης (δ): x = κ η y = λ , τοτε
αντιστοιχα
● Κορυφη μορφης Κ(μ, ν), τοτε x0 = μ και y0 = ν
Π α ρ α β ο λ η 51
Τακης Τσακαλακος Κερκυρα 2018
0
Η εξισωση ειναι της μορφης:
αφου η κορυφη ειναι Κ(-1,2)
Ομως
p p
(δ): x=-3 - +x =-3 - -1=-3
2 2
2
2
(y-2) = 2p(x+1)
p= 4 (y-2) = 8(x+1)
2
Να βρεθει η εστια και η διευθετουσα της παραβολης που εχει εξισωση:
4y =-16x
Α π α ν τ η σ η
2 2
2 2
Eιναι
4y =-16x y =-4x
2p=-4 p=-2
y = 2px y = 2px
Ετσι
Εστια:
p -2
E ,0 E ,0
2 2
Διευθετουσα:
p -2
x=- χ=-
2 2
E(-1,0)
x= 1
ΠΑΡΑΔΕΙΓΜΑ
ΕΥΡΕΣΗ ΕΣΤΙΑΣ - ΔΙΕΥΘΕΤΟΥΣΑΣ - ΚΟΡΥΦΗΣ
Τροπος Λυσης :
Με γνωστη την εξισωση της παραβολης (εστια πανω στους αξονες)
● Προσδιοριζουμε το p απ’το τυπο της παραβολης
y 2
= 2px η x 2
= 2py
●
●
Κ ω ν ι κ ε ς Τ ο μ ε ς52
Τακης Τσακαλακος Κερκυρα 2018
2
Να βρειτε τις συντεταγμενες της κορυφης και της εστιας της παραβο-
λης καθως και την εξισωση της διευθετουσας, αν η εξισωση της παρα-
βολης ειναι: x= y +1 2 2
x= y +2y y= x +3
Α π α ν τ η σ η
2 2
0 0
0
x= y +1 y = x-1
p 1
Ε(x + ,y ) Ε(1+ ,0)
2 4
1
p 1p=
(δ): x=- +1(δ): x=- +x2
42
2
Κ(1,0)
4
1
5
Ε ,0
3
(
2
δ):
(
x=
1
4
(y-0) = × × x- )
2
2 2
0 0
0
x= y +2y y +2y+1= x+1
p 1
Ε(x + ,y ) Ε(-1+ ,-1)
2 4
1
p 1p=
(δ): x=- -1(δ): x=- +x2
42
2
Κ(-1,-1)
3
Ε( ,-1
1
)
4
5
(δ
1
): x=-
(y+1) = 2× ×(
4
x+ )
2
ΠΑΡΑΔΕΙΓΜΑ
ΕΥΡΕΣΗ ΕΣΤΙΑΣ - ΔΙΕΥΘΕΤΟΥΣΑΣ - ΚΟΡΥΦΗΣ
Τροπος Λυσης :
Με γνωστη την εξισωση της παραβολης (εστια εκτος των αξονων)
● Προσδιοριζουμε το p απ’το τυπο της παραβολης
(y - y0 ) 2
= 2p(x - x0 ) η (x - x0 ) 2
= 2p(y - y0 )
● ●
● Κορυφη μορφης Κ(x0 , y0 )
Π α ρ α β ο λ η 53
Τακης Τσακαλακος Κερκυρα 2018
2 2
0 0
0
y= x +3 x = y-3
p 1
Ε(x , +y ) Ε(0, +3)
2 4
1
p 1p=
(δ): y=- +3(δ): y=- +y2
42
2
Κ(0,3)
13
Ε(0, )
4
3
11
(δ)
=
: y=
1
(x-0) 2× (y-
4
)
2
2
Να βρεθουν οι εφαπτομενες της παραβολης (c): y = 2x που ειναι πα-
ραλληλες στην ευθεια (δ): x-3y+5= 0.
Α π α ν τ η σ η
1 1
1
Αν Μ(x ,y ) ειναι το σημειο επαφης, τοτε η
εξισωση της εφαπτομενης ειναι:
1 1
Αφου =
y 3
Το σημειο Μ ανηκει στην παραβολη, οποτε
οι συντεταγμενες του επαληθευο
1 1
ε δ 1
(ε): yy = x+x
λ = λ y = 3
υν την
εξισωση της
Ετσι
ΠΑΡΑΔΕΙΓΜΑ
ΕΥΡΕΣΗ ΕΞΙΣΩΣΗΣ ΕΦΑΠΤΟΜΕΝΗΣ ΠΑΡΑΒΟΛΗΣ
Τροπος Λυσης :
Με γνωστη την εξισωση της παραβολης και ευθεια παραλληλη (κα -
θετη) στην εφαπτομενη
● Η ζητουμενη ευθεια εχει ιδιο συντελεστη διευθυνσης με τη δοσμε -
νη ευθεια
● Οι συντεταγμενες του σημειου επαφης επαληθευουν την εξισωση
της παραβολης
● Απ’τις εξισωσεις, που προκυπτουν, προσδιοριζουμε τα x1 , y1
Κ ω ν ι κ ε ς Τ ο μ ε ς54
Τακης Τσακαλακος Κερκυρα 2018
2
1 1 1
y = 2x 9 = 2x
Αρα η εξισωση της εφαπτομενης ειναι:
9
3y= x+ 6y= 2x+9
2
1
9
x =
2
2x-6y+9 = 0
2
Να δειξετε οτι ηευθεια (ε):x-3y+9 = 0 εφαπτεται στην παραβολη
(c): y = 4x και να βρεθει το σημειο επαφης της.
Α π α ν τ η σ η
2 2
2
Για να εφαπτεται η (ε) στην (c) πρεπει να
εχει μια λυση το συστημα των εξισωσεων
τους
Πραγματι
y = 4x y = 4(3y-9)
x-3y+9 = 0 x= 3y-9
y -12y+36 = 0
x= 3y-9
2
(y-6) = 0
x= 3y-9
Η πιο πανω λυση ειναι μοναδικη, οποτε η (ε) εφαπτεται στην (c) στο σημειο
y= 6
x= 9
Μ(9,6)
ΠΑΡΑΔΕΙΓΜΑ
ΑΠΟΔΕΙΞΗ ΕΞΙΣΩΣΗΣ ΕΦΑΠΤΟΜΕΝΗΣ ΠΑΡΑΒΟΛΗΣ
Τροπος Λυσης :
Με γνωστη την εξισωση της παραβολης και της εφαπτομενης ευ-
θειας
● Για να ειναι η δοσμενη ευθεια εφαπτομενη της παραβολης πρεπει
το συστημα των εξισωσεων της παραβολης και της ευθειας να
εχει μ ο ν α δ ι κ η λυση
● Η λυση του πιο πανω συστηματος ειναι οι συν τεταγμενες του ση-
μειου επαφης
Π α ρ α β ο λ η 55
Τακης Τσακαλακος Κερκυρα 2018
2
Να βρειτε τις εφαπτομενες της παραβολης (c):(y-1) =-4x που διερ-
χεται απ'το σημειο Α(1,1).
Α π α ν τ η σ η
1 2
1
Οι ευθειες που διερχονται απ'το σημειο Α
ειναι οι:(ε ): x= 1 και (ε ): y-1= λ(x-1)
(παραλληλη στη διευθετουσα)
p=-2 διευθετουσα ... δ: χ= 1 ε
Δηλαδη η ευθεια χ= 1 ει
1
(ε ): x= 1
2
2
2 2 2 2
ναι η διευθετου-
σα, επομενως δεν ειναι εφαπτομενη
(y-1) =-4x
(λx-λ) +4x= 0
y-1= λ(x-1)
λ x -2λ x+λ +4x= 0
Για να εφαπτεται η (
2
2 2 2 2
(ε ): y-1= λ(x-1)
λ x -2(λ -2)x+λ = 0 (1)
2
2 2 2 2 2
ε ) στην (c), πρεπει η (1) να εχει διπληριζα
(το συστημα των εξισωσεων να εχει λυση), δηλαδη:
Δ= 0 [-2(λ -2)] -4λ × λ = 0 ... λ = 1
μια
λ=±1
Ετσι, οι εφαπτομενες ειναι:
y-1=1(x-1) και y-1=-1(x-1)y= x y=-x+2
ΠΑΡΑΔΕΙΓΜΑ
ΕΥΡΕΣΗ ΕΞΙΣΩΣΗΣ ΕΦΑΠΤΟΜΕΝΗΣ ΠΑΡΑΒΟΛΗΣ
Τροπος Λυσης :
Με γνωστη την εξισωση της παραβολης και σημειο απ’το οποιο διερ-
χεται η εφαπτομενη (οχι σημειο επαφης). Αν το γνωστο σημειο ει-
ναι το Α(x0 , y0 ), τοτε απ’αυτο διερχονται οι ευθειες με εξισωσεις :
x = x 0 (1) και y - y 0 = λ ∙ ( x - x 0 ) (2)
● Ελεγχουμε αν η ευθεια με εξισωση x = x0 ειναι εφαπτομενη (λυ-
νουμε το συστημα ε εξισωσεις την (1) και την εξισωση της παρα -
βολης)
● Λυνουμε το συστημα με εξισωσεις την (2) και την εξισωση της
παραβολης. Προσδιοριζουμε τον συντελεστη διευθυνσης λ της
εφαπτομενης, απαιτωντας ο τριωνυμο που προκυπτει να εχει μια
λυση (δηλαδη Δ = 0)
Κ ω ν ι κ ε ς Τ ο μ ε ς56
Τακης Τσακαλακος Κερκυρα 2018
Εστω η παραβολη 2
y = 4x και το σημειο Ρ(1,3).
Αν οι εφαπτομενες απ’το Ρ στην παραβολη , εφαπτονται στα σημεια Α και
Β, μα βρειτε την εξισωση της ευθειας που διερχεται απ’τα σημεια Α και Β
Α π α ν τ η σ η
Ειναι p = 2
Εστω A(x1 , y1 ) και Β(x2 , y2 ) τα σημεια επα-
φης
Οι εφαπτομενες ΡΑ, ΡΒ εχουν εξισωσεις
αντιστοιχα:
y 1 ∙ y = 2 ∙ ( x + x 1 )
και
y 2 ∙ y = 2 ∙ ( x + x 2 )
To σημειο Ρ(1, 3) ειναι σημειο των ΡΑ και
ΡΒ,
οποτε
y 1 ∙ 3 = 2 ∙ ( 1 + x 1 )
και
y 2 ∙ 3 = 2 ∙ ( 1 + x 2 )
Απ’τις πιο πανω εξισωσεις προκυπτει οτι οι συντεταγμενες των σημειων
Α και Β επαληθευουν την εξισωση :
3 ∙ y = 2 ∙ ( 1 + x ) .
Αρα,
η ζητουμενη ευθεια ειναι :
3 ∙ y = 2 ∙ ( 1 + x ) η 2x-3y+2= 0
ΠΑΡΑΔΕΙΓΜΑ
ΕΥΡΕΣΗ ΕΞΙΣΩΣΗΣ ΧΟΡΔΗΣ ΠΑΡΑΒΟΛΗΣ
Τροπος Λυσης :
Με γνωστο, σημειο απ’το οποιο διερχονται δυο εφαπτομενες και η
εξισωση παραβολης
● Αν το γνωστο σημειο ειναι Ρ(x 0 ,y0 ) τοτε οι συντεταγμενες του
επαληθευουν την εξισωση της εφαπτομενης στα σημεια επαφης
και πρoκυπτει εξισωση της μορφης y 0 ∙ y = p ∙ ( x + x 0 )
Π α ρ α β ο λ η 57
Τακης Τσακαλακος Κερκυρα 2018
2 2
Να αποδειχτει οτι oι: y -2y+4x+9 = 0 και x +6x-2y+7= 0 παριστανουν
εξισωσεις παραβολων,των οποιων να βρειτε τη κορυφη και τον αξονα .
Α π α ν τ η σ η
2
2
2
2
Ειναι
y -2y+4x+9 = 0
y -2y=-4x-9
y -2y+1=-4x-9 +1
(y-1) =-4x-8
που παριστανει παραβολη με
κορυφη και
αξονα συμμετριας την
2
(y-1) =-4(x+1)
Κ(-1,1)
ευθεια με
εξισωση y= 1
2
2
2
2
Ειναι
x +6x-2y+7= 0
x +6x= 2y-7
x +6x+9 = 2y-7+9
(x+3) = 2y+2
που παριστανει παραβολη με
κορυφη και
αξονα συμμετριας την ευθει
2
(x+3) = 2(y+1)
Κ(-3,-1)
α με
εξισωση x=-3
ΠΑΡΑΔΕΙΓΜΑ
ΑΠΟΔΕΙΞΗ ΕΞΙΣΩΣΗΣ ΠΑΡΑΒΟΛΗΣ
Τροπος Λυσης :
Με γνωστες εξισωσεις ως προς x, y
● Μετασχηματιζουμε τις παραστασεις σε μορφη
( y - y 0 ) 2
= 2 p ( x - x 0 ) η ( x - x 0 ) 2
= 2 p ( y - y 0 )
Κ ω ν ι κ ε ς Τ ο μ ε ς58
Τακης Τσακαλακος Κερκυρα 2018
2
Δειξτε οτι το σημειο Μ(1,2) ειναι εσωτερικο της παραβολης c: y = 6x
Α π α ν τ η σ η
0
2 2
0 0
(1)
2 2
0 0
Θεωρουμε σημειο Α(1,y ) της παραβολης
Τοτε
y = 6 × 1 y = 6 (1)
Για να ειναι το σημειο Μ(1,2) εσωτερικο
της παραβολης πρεπει:
| 2|<| y | 2 < y 4< 6 που αληθευει
Λι
0
2 2
0 0
Θεωρουμε σημειο Α(1,y ) της παραβολης
Τοτε
y = 6 1 y = 6 (2)
Για να ειναι το σημειο Μ(1,2) εσωτερικο της παραβολης πρεπει:
d(M,x'x)< d(A,x'x)
| 0 1+1 2+
γο αλλιως
0
2 2 2 2
(2)
2 2
0 0
| 0 1+1 y +0|0|
<
0 +1 0 +1
| 2|<| y | 2 < y
4< 6 πουαληθευει.
ΠΑΡΑΔΕΙΓΜΑ
ΕΣΩΤΕΡΙΚΟ ΣΗΜΕΙΟ ΠΑΡΑΒΟΛΗΣ
Τροπος Λυσης :
Με γνωστα, την εξισωση της παραβολης και σημειο
● Αν Α(x1 , y0 ) σημειο πανω στη παραβολη και Μ(x 1 , y1 ) (ιδια τετμημε-
νη) τοτε το Μ ειναι εσωτερικο της παραβολης αν και μονο αν
y1
2
< 2px (για c : y2
= 2px)
Πραγματι
Αν Α c, τοτε y0
2
= 2px (1)
Για να ειναι το Μ εσωτερικο της c, πρεπει |y1 |<|y0 | η y1
2
<y0
2
(2)
Απο (1) και (2) προκυπτει : y1
2
< 2px
Ομοια,
Αν Α(x0 , y1 ), Μ(x1 , y1 ), c : x 2
= 2py τοτε x1
2
< 2py
Π α ρ α β ο λ η 59
Τακης Τσακαλακος Κερκυρα 2018
2
Δινεται κυκλος με κεντρο Κ(3,0) που εφαπτεται στην παραβολη y =2x.
Να βρεθει η εξισωση του κυκλου.
Α π α ν τ η σ η
Ο κυκλος εχει εξισωση:
Για να εφαπτεται ο κυκλος στην παραβολη
πρεπει το συστημα των εξισωσεων τους
να εχει λυση
2 2 2
(x-3) +y = ρ (1)
μια
2 2 2
2 2
2
2 2
2 2
2 2
Ετσι
(x-3) +y = ρ
(x-3) +2x= ρ
y = 2x
x -6x+9 +2x= ρ
Η τελευταια για να εχει μιαλυση πρεπει:
Δ= 0 4 -4(9-ρ )= 0
16-36 +4ρ = 0 4ρ = 20
Οποτε η (1) δινει:
2 2
2
2 2
x -4x+9-ρ = 0
ρ = 5
(x-3) +y = 5
ΠΑΡΑΔΕΙΓΜΑ
ΜΕ ΕΦΑΠΤΟΜΕΝΟ ΚΥΚΛΟ
Τροπος Λυσης :
Με γνωστα, την εξισωση της παραβολης και το κεντρο του κυκλου
● Απαιτουμε το συστημα των εξισωσεων κυκλου και παραβολης να
εχει μ ο ν α δ ι κ η λυση
ΚΟΙΝΗ ΕΦΑΠΤΟΜΕΝΗ ΠΑΡΑΒΟΛΗΣ - ΚΥΚΛΟΥ
Τροπος Λυσης :
Με γνωστα, τις εξισωσεις της παραβολης και του κυκλου
● Η ζητουμενη ειναι της μορφης y = λ x +β (1)
● Δημιουργουμε τα συστηματα με την (1) και καθεμια απ’τις εξισω -
σεις κυκλου - παραβολης
● Προκυπτει συστημα με αγνωστους τα λ, β που λυνοντας το βρι-
σκουμε το ζητουμενο μεσω της (1)
Κ ω ν ι κ ε ς Τ ο μ ε ς60
Τακης Τσακαλακος Κερκυρα 2018
Δινονται : ο κυκλος c1 : (x + 1) 2
+ y 2
= 1 και η παραβολη c2 : y 2
= 6x .
Na βρεθουν οι κοινες εφαπτομενες του κυκλου και της παραβολης
Α π α ν τ η σ η
2 2 2
2
2 2 2
Εστω (ε): y= λx+β η ζητουμενη ευθεια
Ειναι
y= λx+β
λ x +2λβx+β = 6x
y = 6x
λ x +2(λβ-3)x+β = 0
Η πιο πανω εξισωση πρεπει να εχει μια λυ-
ση αφου η ευθεια (ε) εφαπτεται 2
2 2 2
2 2
της c
Aρα
Δ= 0 [2(λβ-3)] -4λ β = 0
4λ β 2 2
-24λβ+36- 4λ β = 0 24λβ= 36 2λβ= 3 (1)
2
2 2
y= λx+β
x +2x+ 1
(x+1) +y = 1
2 2 2
+λ x +2λβx+β = 1
(1)
2 2 2
1
2 2 2 2 2 2 2
9
(λ +1)x +5x+β = 0
Η πιο πανω εξισωση πρεπει να εχει μια λυση γιατι η ευθεια (ε) εφαπτεται
της c
Aρα
Δ= 0 5 -4(λ +1)β = 0 25-4λ β -4β = 0 25-9-4β = 0
4β 2 2
= 16 β = 4 β= 2
Ετσι
Για β= 2 τοτε
3
2 λ 2= 3 λ= = και
4
3
η (ε): y= x+2 η
4
Για β=-2 τοτε
3
2 λ (-2)= 3 λ=- και
4
3
η (ε): y=- x-2 η
4
3x-4y+8= 0
3x+4y+8= 0
ΠΑΡΑΔΕΙΓΜΑ
Π α ρ α β ο λ η 61
Τακης Τσακαλακος Κερκυρα 2018
Να αποδειχτει οτι ο κυκλος 2 2
(x-3) +y = 8 εφαπτεται της παραβολης
2
y = 4x.
(Δηλαδη, εχουν τις ιδιες εφαπτομενες στα κοινα σημεια τους)
Α π α ν τ η σ η
Τα κοινα σημεια του κυκλου και της παρα -
βολης βρισκονται απο τη λυση του συστη -
ματος των εξισωσεων τους.
Εχουμε
2 2 2
2 2
2
(x-3) +y = 8 (x-3) +4x= 8
y = 4x y = 4x
x= 1
Α(1,2)
y= 2
x= 1
η
y = 4x
x= 1
Β(1,-2)
y=-2
.
 Η εξισωση εφαπτομενης της παραβολης στο Α ειναι
y ∙ 2 = 2 ∙ (x + 1 ) ⟺ x-y+1= 0
Η ευθεια αυτη εφαπτεται και του κυκλου, αφου η αποσταση του κεν-
τρου Κ(3, 0) του κυκλου απο αυτη ειναι ιση με την ακτινα του ρ= 8
Πραγματι,
2 2
| 3-0+1| 4
d= = = 8
21 +1
 Επειδη ο αξονας x’x ειναι αξονας συμμετριας και του κυκλου και της
παραβολης και το Β(1,-2) ειναι συμμετρικο του Α(1,2) ως προς τον x'x
ο κυκλος και η παραβολη εχουν κοινη εφαπτομενη και στο Β.
Η εξισωση της εφαπτομενης αυτης ειναι η x+y+1= 0
ΠΑΡΑΔΕΙΓΜΑ
ΠΑΡΑΒΟΛΗ - ΚΥΚΛΟΣ ΠΟΥ ΕΦΑΠΤΟΝΤΑΙ
Τροπος Λυσης :
Με δοσμενες τις εξισωσεις της παραβολης και του κυκλου
● Λυνουμε το συστημα των εξισωσεων του κυκλου και της παρα -
βολης και βρισκουμε τα κοινα σημεια
● Για καθε κοινο σημειο βρισκουμε την εφαπτομενη της παραβολης
και ελεγχουμε αν ειναι και εφαπτομενη του κυκλου
Κ ω ν ι κ ε ς Τ ο μ ε ς62
Τακης Τσακαλακος Κερκυρα 2018
2
Εστω ενα σημειο Α της παραβολης y = 4x. Να βρεθει ο γεωμετρικος
τοπος των κεντρων των κυκλων διαμετρου ΑΕ (Ε η εστια )
Α π α ν τ η σ η
0 0
2 2
0 0
0 0
Εστω Α(x ,y ).
y = 4x y = 2× 2× x,oποτε
p= 2
p
Ε ,0 η Ε(1,0)
2
p
(ΑΕ)= x + = x +1
2
To κεντρο του κυκλου διαμετρου ΑΕ ειναι
το μεσο της ΑΕ, δηλαδη
x +1 y
Κ , και η ακ
2 2
0
0
0
0 0
0 0
(1)
2 2
0 0
x +1
τινα ρ= =
2 2
x +1
x=
x = 2x-12
K(x,y) τοτε (1)
y y = 2y
y=
2
Οι συντεταγμενες του σημειου Α, x ,y επαληθευουν την εξισωση της
παραβολης. Ετσι
y = 4x (2y) = 4×(2x-1)~ 4 2
× y = 4 ×(2x-1) 2 1
y = 2× x-
2
ΠΑΡΑΔΕΙΓΜΑ 1
ΓΕΩΜΕΤΡΙΚΟΣ ΤΟΠΟΣ
Τροπος Λυσης :
Με δοσμενη την εξισωση της παραβολης και ιδιοτητα χαρακτηριστι -
κου σημειου
● Απο συνδυασμο των δοσμενων σχεσεων καταληγουμε σε εξισωση
των συντεταγμενων x0 , y0 του Μ, που αποτελει τον γ.τ.
● Αν οι συντεταγμενες x0 , y0 του σημειου Μ συνδεονται με παραμε-
τρο λ, τοτε απαλειφουμε την παραμετρο μεταξυ των συντεταγ -
μενων και καταληγουμε σε εξισωση που ειναι συναρτηση των x 0 ,
y0
Π α ρ α β ο λ η 63
Τακης Τσακαλακος Κερκυρα 2018
2
Να βρεθει ο γεωμετρικος τοπος των κορυφων των παραβολων με
εξισωση: y= x +(λ+3)x+λ-1, λ
Α π α ν τ η σ η
2
2
2
2 2
2
2 2
2 2
Η δοσμενη εξισωση γινεται
y= x +(λ+3)x+λ-1
λ+3
y= x +2× × x +λ-1
2
λ+3 λ +6λ+9 4λ 4
y= x+ - + -
2 4 4 4
λ+3 λ +6λ+9-4λ+4
y= x+ -
2 4
λ+3 λ +2λ+13
y= x+ -
2 4
y+
λ+3 λ+3
+ -
2 2
22
λ +2λ+13 λ+3
= x+
4 2
Δηλαδη,
2
2
2
2
οι κορυφες των παραβολων ειναι της μορφης
λ+3 λ +2λ+13
Κ - ,-
2 4
Για τυχαια κορυφη Κ(x,y) της παραβολης ισχυει:
λ+3
λ=-2x-3x=-
2
-4y=(-2x-3) +2(-2x-3λ +2λ+13
λ +2λ+13 y=-
y=- 4
4
2 2 2
2
)+13
-4y= 4x +12x+9-4x-6 +13 -4y= 4x +8x+16 y=-x -2x-4
y+3=-x -2x-1
H πιο πανω παραβολη ειναι ο ζητουμενος γεωμετρικος τοπος.
2
y+3=-(x+1)
ΠΑΡΑΔΕΙΓΜΑ 2
Κ ω ν ι κ ε ς Τ ο μ ε ς64
Τακης Τσακαλακος Κερκυρα 2018
Γ Ι Α Π Ρ Ο Π Ο Ν Η Σ Η . . .
01.
Να βρεθει η εξισωση της παραβολης με κορυφη την αρχη των αξο-
νων, αξονα συμμετριας τον x'x, και διερχεται απ'το σημειο Α(-1,2).
Να βρεθει η εξισωση της παραβολης με εστια Ε(3,0) και διευθετου-
σα δ:x+3= 0.
Να βρεθει η εξισωση της παραβολης με κορυφη την αρχη των αξο-
νων, αξονα συμμετριας τον x'x και εφαπτεται στην ευθεια ε: y= 4x+1.
02.
Απο το σημειο (- 2, 3) προς την παραβολη y 2 = 8x γραφονται δυο
εφαπτομενες ευθειες.
 Να βρειτε τις εξισωσεις των εφαπτομενων αυτων ευθειων.
 Να αποδειξετε οτι οι εφαπτομενες αυτες ευθειες ειναι καθετες.
03.
Να βρεθει η εξισωση της παραβολης με κο ρυφη το (0, 0) οταν:
 ειναι συμμετρικη ως προς το θετικο ημιαξονα Οx και εχει παραμετρο
p = 5
 ειναι συμμετρικη ως προς τον αξονα Οx και διερχεται απο το σημειο
(- 1, 4)
 ειναι συμμετρικη ως προς τον αξονα Οy και διερχεται απο το σημειο
(2, 2)
 εχει αξονα συμμετριας τον Οy και εστια Ε(0,-4)
 εχει εστια Ε (- 2, 0) και διευθετουσα δ: x - 2 = 0
Π α ρ α β ο λ η 65
Τακης Τσακαλακος Κερκυρα 2018
04.
Δινεται η παραβολη y 2
= 4x
 Να βρεθουν η εστια και η διευθετουσα της παραβολης
 Να βρεθει η εξισωση της εφαπτομενης της παραβολης, που σχημα -
τιζει γωνια 135 0
με τον αξονα x΄x.
06.
2
2
Nα εξετασετε αν η ευθεια ε: 3x+2y+6 = 0 ειναι εφαπτομενη της πα-
ραβολης y = 18x
Να βρεθει η θεση της ευθειας ε: x+y+1= 0 ως προς την παραβολη
c: y = 2x
Για ποια τιμη το
2
2
υ κ η ευθεια ε: x+y+1= 0 εφαπτεται στη παραβολη
c: y = κx
Να βρεθει η συνθηκη ωστε η ευθεια ε: y= αx+β, α 0 να εφαπτεται
στηπαραβολη c: y = 2px
05.
2
2
Εστω η παραβολη y = 4x. Να βρεθειη εξισωση της εφαπτομενης
της παραβολης που ειναι καθετη στην ευθεια ε: 3x+y+3= 0
Εστω η παραβολη c: y = 2x και το σημειο Α(2,4). Να βρεθει:
η εξισωση της εφαπτομενης της c στο σημειο Α
η εξισωση της καθετης στην εφαπτομενη της c στο σημειο Α
Κ ω ν ι κ ε ς Τ ο μ ε ς66
Τακης Τσακαλακος Κερκυρα 2018
07.
Να βρεθουν οι εξισωσεις των εφαπτομενων της παραβολης
C: y 2
= 4x που περνουν απο το σημειο Μ(- 1, 3/2).
Κατοπιν να βρεθει η γωνια που σχη ματιζουν.
08.
Δινεται η ευθεια ε: y = λx + κ και η παραβολη c: y 2
= 2px .
Nα δειξετε οτι η ευθεια ε ειναι εφαπτομενη της παραβολης οταν
p = 2κλ (λ 0)
09.
Να βρειτε την εξισωση της παραβολης, με:
εστια το σημειο Ε(-3,2) και διευθετουσα (δ): x=-5
κορυφη το σημειο Κ(-3,2) και διευθετουσα (δ): x= 5
10.
Να βρεθει η εξισωση της παραβολης που εχει κορυφη την αρχη των
αξονων και αξονα συμμετριας τον y ΄y οταν:
 Εχει εστια το σημειο Ε(0,- 4)
 Εχει διευθετουσα την ευθεια y = 2
 Διερχεται απο το σημειο Α(4,2)
Π α ρ α β ο λ η 67
Τακης Τσακαλακος Κερκυρα 2018
11.
Βρειτε την εξισωση της παραβολης που εφαπτεται στην ευθεια
ε: y = x - 2. Δειξτε οτι οι εφαπτομενες που φερονται απο τυχαιο ση-
μειο της διευθετουσας ειναι καθετες.
12.
Να βρειτε την εστια και την διευθετουσα των παραβολων:
 y 2
= 6x  y 2
= - 4x  y 2
= 8αx  y 2
=
1
2α
x  x 2
= 5y
 x 2
= - y
13.
Δινεται η παραβολη c: y 2
= 2ρx, η χορδη αυτης ΑΒ και η εφαπτομενη
(ε) της παραβολης παραλληλη στην ΑΒ. Αν Κ(xo,yο) το σημειο επα -
φης της εφαπτομενης και Μ το μεσο της ΑΒ , να αποδειξετε οτι η ΚΜ
ειναι παραλληλη στον αξονα x΄x.
14.
2 2
Να βρειτε τις συντεταγμενες της κορυφης και της εστιας τηςπαρα-
βολης καθως και την εξισωση της διευθετουσας, αν η εξισωση της
παραβολης ειναι:
x = y-1 x +2x= y 2
y = x+3
Κ ω ν ι κ ε ς Τ ο μ ε ς68
Τακης Τσακαλακος Κερκυρα 2018
15.
Δινεται η παραβολη c: y 2
= 12x. Να βρειτε τις συντεταμενες του με-
σου Μ της χορδης που οριζεται απο την ευθεια ε: 3x – 2y = 1
16.
Να βρεθει η σχετικη θεση της ευθειας x + y + 1 = 0 ως προς την παρα-
βολη y 2
= 2x
17.
Απο ενα σημειο Μ της διευθετουσας της παραβολης y 2
= 2ρx φερ-
νουμε εφαπτομενες στην παραβολη.
 Αν Α και Β τα σημεια επαφης, να βρεθει η εξισωση της ευθειας ΑΒ
 Δειξτε οτι τα Α, Β και η εστια Ε ειναι σημεια συνευθειακα
18.
Να βρεθει το σημειο της παραβολης y 2
= 4x που απεχει απο την εστια
της αποσταση ιση με 2
19.
2
Να βρειτε τις εφαπτομενες της παραβολης (c): y = 36x που διερχεται
απ'το σημειο Α(2,9)
Π α ρ α β ο λ η 69
Τακης Τσακαλακος Κερκυρα 2018
20.
2
2 2 2
Δινεται κυκλος με κεντρο Κ(0,-4) που εφαπτεται στην παραβολη
y=-x
Να βρεθει η εξισωση του κυκλου
Δινεται ο κυκλος x +y = 2 και η παραβολη y = 8x
Να βρεθουν οι κοινες εφαπτομενες του κυκλου και της παραβολης
και να δειξετε οτι ειναι καθετες
21.
Δινεται η παραβολη c1 : y 2
= 12x και ο κυκλος c2 : (x - 3) 2
+ y 2
= 36
Δειξτε οτι:
 κυκλος και παραβολη τεμνονται σε δυο ση μεια Α και Β
 οι εφαπτομενες της παραβολης στα Α και Β τεμνονται πανω στον
κυκλο c2
22.
Αν α 0, να αποδειξετε οτι το σημειο Μ 2
2α 2α
,
λ λ
, με α σταθερο, κινει-
ται σε παραβολη, οταν το λ μεταβαλλεται στο *
μεγιστη τιμή της συναρτησης h με τύπο
h(x)=
23.
Δινονται ο κυκλος 2 2
1
C : x y 6x 1 0 και η παραβολη 2
2
C : y 4x
 Για τον κυκλο 1
C να βρειτε το κεντρο και την ακτινα του και για
την παραβολη 2
C την εστια και την διευθετουσα της.
 Να βρειτε τα κοινα σημεια Α και Β των 1
C και 2
C .
 Να βρειτε τις εφαπτομενες 1
και 2
της 2
C στα Α και Β αντιστοιχα
και να αποδειξετε οτι οι 1
και 2
εφαπτονται και στον κυκλο 1
C
Κ ω ν ι κ ε ς Τ ο μ ε ς70
Τακης Τσακαλακος Κερκυρα 2018
24.
Δινεται σταθερο σημειο A και ευθεια (ε) που δεν διερχεται απο το A .
Να αποδειξετε οτι ο γεωμετρικος τοπος των κεντρων των κυκλων
που διερχονται απο το Α και εφαπτονται στην (ε), ειναι παραβολη
Ε Λ Λ Ε Ι Ψ Η
Κ ω ν ι κ ε ς Τ ο μ ε ς72
Τακης Τσακαλακος Κερκυρα 2018
Ελλειψη ειναι ο γεωμετρικος το τοπος
των σημειων του επιπεδου που οι αποστα-
σεις τους απο δυο σταθερα σημεια Ε’, Ε
(εστιες) εχουν σταθερο αθροισμα, που
συμβολιζεται 2α.
Ετσι, ενα σημειο Μ ειναι σημειο της ελλει-
ψης με εστιες Ε’, Ε και εχουν σταθερο α-
θροισμα 2α, αν: (ΜΕ’)+(ΜΕ)=2α
 Ε’Ε: ειναι η εστιακη αποσταση
και συμβολιζετα 2γ
Ειναι γ<α , β2
=α2
-γ2
Ειναι μια καμπυλη που προκυπτει
απο τη τομη ενος κωνου και ενος
επιπεδου που τον τεμνει πλαγιως
ως προς τον αξονα του.
(Ειδικη περιπτωση της αλλειψης ειναι ο κυκλος,
που προκυπτει αν το επιπεδο που τεμνει τον αξονα
του κωνου ειναι καθετο σ’αυτον)
 Εκκεντροτητα της ελλειψης ειναι ο λο-
γος
γ
ε=
α
2 2 2
Ισχυουν:
ε< 1 (αφουγ< α)
β
= 1-ε (αφουγ= )
α
β
Αν ε 0 1, δηλαδη ο μικρος αξονας
α
τεινει να γινει ισος με το μεγαλο που σημαι-
νει οτι η ελλειψη τεινει να γινει κυκλος
β
Αν ε 1 0, δηλαδη ο μικρος αξονας τει
α
νει να γινει απειρως μικροτε-
ρος του μεγαλου που σημαινει οτι η ελλειψη τεινει να γινει ευθυγραμμο
τμημα
 Μεγαλος αξονας (κυριος αξονας) της ελλειψης ειναι το τμημα Α’Α με
μηκος 2α
 Μικρος αξονας της ελλειψης ειναι το τμημα Β’Β με μηκος 2β
Ο ρ ι σ μ ο ς
Ε λ λ ε ι ψ η 73
Τακης Τσακαλακος Κερκυρα 2018
 Κορυφες της ελλειψης ειναι τα σημεια Α’, Α, Β’, Β
 Κεντρο της ελλειψης ειναι το σημειο Ο (μεσο του κυριου αξονα)
 Χορδη της ελλειψης ειναι το ευθυγραμμο τμημα με ακρα πανω στην ελ -
λειψη
 Διαμετρος της ελλειψης ειναι μια ευθεια που διερχεται απ’το κεντρο της
 Ομοιες ειναι δυο ελλειψεις που εχουν την ιδια εκκεντροτητα
 Οι αξονες της ελλειψης ειναι αξονες συμ-
μετριας αυτης
Πραγματι,
απ’ το τυχαιο σημειο Μ της ελλειψης φερ-
νουμε καθετη στον αξονα που τεμνει τη
ελλειψη στα Μ’, Μ’’’. Ευκολα (απο Γεωμε-
τρια) ΠΜ=ΠΜ’, Π’Μ=Π’Μ’’’ και ...
 Το μεσο των αξονων της ελλειψης, ειναι
κεντρο συμμετριας της ελλειψης
 Η ελλειψη βρισκεται εξ’ολοκληρου στο ημι-
επιπεδο της καθετης ε (δ) του κυριου αξονα στη κορυφη Α (Α’) που
περιεχει τις εστιες
 Καθε χορδη της ελλειψης που διερχεται
απ’το μεσο Ο των αξονων (διαμετρος)εχει
μεσο το Ο (λογω κεντρου συμμετριας Ο ...)
Μεγαλυτερη διαμετρος ο κυριος αξονας
(Α’Α) και μικροτερη ο αλλος (ΒΒ’)
 Τα αντιδιαμετρικα σημεια Μ, Μ’ και οι εστιες
Ε, Ε’, οπως και τα Μ, Μ’ και οι κορυφες Α, Α’
(Β, Β’) αποτελουν κορυφες παραλληλο -
γραμμου (εγγεγραμμενου στην ελλειψη)
 Οι κορυφες Β, Β’ και οι εστιες Ε’, Ε (η κο-
ρυφες Α, Α’) αποτελουν κορυφες ρομ -
βου
 Αν το αθροισμα των αποστασεων σημειου
Μ του επιπεδου ειναι μεγαλυτερο του κυριου αξονα Α’Α ελλειψης, τοτε
αυτο βρισκεται εκτος της ελλειψης (ΜΕ’+ΜΕ>2α Μ εκτος c)
Ι δ ι ο τ η τε ς - Σ υ ν ε π ε ι ε ς
Κ ω ν ι κ ε ς Τ ο μ ε ς74
Τακης Τσακαλακος Κερκυρα 2018
Πραγματι
Εστω Μ σημειο εκτος της ελλειψης και Ρ το
σημειο τομης της ΜΕ με την ελλειψη c.
Τοτε
τριγωνικη ανισοτητα
ΜΡ+ΜΕ'>ΡΕ'
ME ME' ' ' 2
 Αν το αθροισμα των αποστασεων σημειου
Μ του επιπεδου ειναι μικροτερο του κυριου αξονα Α’Α ελλειψης, τοτε
αυτο βρισκεται εντος της ελλειψης (ΜΕ’+ΜΕ<2α Μ εντος c)
 Το σημειο Μ(x1 , y1 ) ειναι εξωτερικο της ελ-
λειψης αν και μονο αν
2 2
1 1
2 2
x y
+ >1
α β
Πραγματι,
αν Ρ(x0 , y0 ) το σημειο τομης της ΟΜ και
της c, τοτε
(ΟΜ) > (ΟΡ) η x1 > x0 η x1
2
> x0
2
(1)
H ευθεια OM εχει εξισωση 1
1
y
y= × x
x
σε συν-
δυασμο με την
22
2 2
yx
+ =1
α β
προκυπτει
2 2 2 2 2 2αφου οι ΟΜ και ΟΡ
2 21 1
02 2 2 2 2 2 2 2ταυτιζονται
1 1 1 1
α β x α β x
x = x =
β x +α y β x +α y
(2)
Απο (1), (2):
2 2 2 2 2
2 2 2 2 2 2 21 1 1
1 1 12 2 2 2 2 2
1 1
α β x x y
x > β x +α y >α β + >1
β x +α y α β
Αναλογα,
αν το σημειο Μ(x1 , y1 ) ειναι εσωτερικο της ελλειψης τοτε
2 2
1 1
2 2
x y
+ <1
α β
Ε λ λ ε ι ψ η 75
Τακης Τσακαλακος Κερκυρα 2018
2 2
Θετουμε β= α -γ
Σε συστημα συντεταγμενων Οxy με αξονα x'x να διερχεται απ'τα Ε',Ε
και αξονα y'y τη μεσοκαθετη του Ε'Ε η εξισωση της ελλειψης με εστιες
Ε'(-γ,0), Ε(γ,0) και σταθερο αθροισμα 2α ειναι:
Σε συστημα συντεταγμενων Οxy με αξονα y'y να διερχεται απ'τα Ε',Ε
και αξονα x'x τη μεσοκαθετη του Ε'Ε η εξισωση της
22
2 2
yx
+ = 1
α β
ελλειψης με εστιες
Ε'(-γ,0), Ε(γ,0) και σταθερο αθροισμα 2α ειναι:
22
2 2
yx
+ = 1
β α
 Γ ε ν ι κ η Μ ο ρ φ η
2 2
αx +βxy+γy +δx+εy+ζ= 0
Η παραπανω εξισωση παριστανει ελλειψη αν 2
4
 Π α ρ α μ ε τ ρ ι κ ε ς Ε ξ ι σ ω σ ε ι ς
x= ασυνφ
y= βημφ
οπου φ [0, 2π)
ΣΧΟΛΙΟ
Στη περιπτωση που οι αξονες της ελλειψης δεν ειναι οι χ’χ, y’y οι εξισω-
σεις ειναι

2 2
0 0
2 2
(x-χ ) (y-y )
+ = 1
α β
, με εστιες πανω στην ευθεια 0
y= y και κεντρο 0
το σημειο τομης των ευθειων χ=χ0 , y=y0
Ε ξ ι σ ω σ η E λ λ ε ι ψ η ς
Κ ω ν ι κ ε ς Τ ο μ ε ς76
Τακης Τσακαλακος Κερκυρα 2018

2 2
0 0
2 2
(x-χ ) (y-y )
+ = 1
β α
, με εστιες πανω στην ευθεια 0
χ= χ και κεντρο 0
το σημειο τομης των ευθειων χ=χ0 , y=y0
1 1
22
2 2
22
2 2
H εφαπτομενη στο σημειο Μ(x ,y ) της ελλειψης:
yx
+ = 1 εχει εξισωση
α β
yx
+ = 1 εχει εξισωση
β α
1 1
2 2
1 1
2 2
x× x y× y
+ = 1
α β
x× x y× y
+ = 1
β α
1 1
Εστω η ελλειψη c και η εφαπτομενη ε στο
σημειο της Μ(x ,y )
Τοτε ισχυει οτι:
Η καθετη ευθεια η στην εφαπτομενη ε στο
σημειο επαφης Μ διχοτομει την γωνια
Ε΄ΜΕ, οπου Ε΄, Ε οι εστιες της ελλειψης
Ε φ α π τ ο μ ε ν η Π α ρ α β ο λ η ς
Α ν α κ λ α σ τ ι κ η Ι δ ι ο τ η τ α
Ε λ λ ε ι ψ η 77
Τακης Τσακαλακος Κερκυρα 2018
Να βρειτε την εξισωση της ελλειψης, αν εχει εστιες τα σημεια Ε'(0,-3),
Ε(0,3) και μεγαλο αξονα 8.
Α π α ν τ η σ η
ΠΑΡΑΔΕΙΓΜΑ
ΕΥΡΕΣΗ ΕΞΙΣΩΣΗΣ ΕΛΛΕΙΨΗΣ 1
Τροπος Λυσης :
Με γνωστα τις εστιες (πανω στους αξονες x’ x η y’y) και το μεγαλο
αξονα
● Προσδιοριζουμε τα α και β απο :
Ε’Ε = 2γ, Α’Α = 2α και β 2
= α 2
– γ 2
Σ Τ Η Π Ρ Α Ξ Η . . .
22
2 2
2 2 2 2
yx
Η εξισωση εχει μορφη: + = 1
β α
(οι εστιες πανω στον αξονα y'y)
2α= 8 α= 4
2γ= 6 γ= 3
β = α -γ β = 16-9
2
2
22
α = 16
β = 7
yx
(c): + = 1
7 16
ΕΥΡΕΣΗ ΕΞΙΣΩΣΗΣ ΕΛΛΕΙΨΗΣ 2
Τροπος Λυσης :
Με γνωστα τις εστιες (πανω στους αξονες x’ x η y’y) και την εκκεν-
τροτητα
● Προσδιοριζουμε τα α και β απο :
Ε’Ε = 2γ, ε = και β 2
= α 2
– γ 2
Κ ω ν ι κ ε ς Τ ο μ ε ς78
Τακης Τσακαλακος Κερκυρα 2018
Να βρειτε την εξισωση της ελλειψης, αν εχει εστιες τα σημεια Ε'(-3,0),
3
Ε(3,0) και εκκεντροτητα γ= .
4
Α π α ν τ η σ η
22
2 2
2
2 2 2 2
yx
Η εξισωση εχει μορφη: + = 1
α β
(οι εστιες πανω στον αξονα x'x)
2γ= 6 γ= 3
γ= 3
γ 3 3
ε= = α= 4
α 4 α
β = 7
β = α -γ β = 16-9
2 22
2
α = 16 yx
(c): + = 1
16 7β = 7
Να βρειτε την εξισωση της ελλειψης, αν διερχεται απ'τα σημεια Α(4,0),
7
Β(3, ) και εχει εστιες πανω στον αξονα x'x.
4
Α π α ν τ η σ η
22
2 2
yx
Η εξισωση εχει μορφη: + =1 (οι εστιες πανω στον αξονα x'x)
α β
ΠΑΡΑΔΕΙΓΜΑ
ΠΑΡΑΔΕΙΓΜΑ
ΕΥΡΕΣΗ ΕΞΙΣΩΣΗΣ ΕΛΛΕΙΨΗΣ 3
Τροπος Λυσης :
Με γνωστο η ελλειψη διερχεται απο γνωστα σημεια (Οι εστιες πανω
στους αξονες x’x η y’y)
● Οι συντεταγμενες των γνωστων σημειων επαληθευουν την εξι -
σωση της ελλειψης
● Απ’τη λυση του συστηματος που προκυπτει, προσδ ιοριζουμε τα α
και β
Ε λ λ ε ι ψ η 79
Τακης Τσακαλακος Κερκυρα 2018
22
2 2 2
2 2
2
22
22
2 2
2 2
2
2
Οι συντεταγμενες των σημειων Α και Β,
επαληθευουν την πιο πανω εξισωση
Ετσι
16 0
+ = 1yx
: + = 1 α β α = 16
α β
9 497 + = 1yx
: + = 1 16 16β3 4
+ = 1α β
α β
α = 16
49 7
=
16β 16
2 22
2
α = 16 yx
(c): + = 1
16 7β = 7
Βρειτε τους αξονες, τις εστιες και την εκκεντροτητα των ελλειψεων:
α) 2 2
x +4y = 4 β) 2 2
169x +144y = 24336.
Α π α ν τ η σ η
α)
Η εξισωση 2 2
x +4y = 4 γραφεται ισοδυναμα
22
2 2
yx
+ = 1
2 1
, οποτε ειναι α = 2 και β = 1
Ετσι εχουμε 2 2 2
γ = 2 -1 = 3, οποτε γ= 3
● Β’Β = 2β = 2 και Α’Α = 2α = 4
● οι εστιες ειναι τα σημεια E (- 3,0) και
E( 3,0)
ΠΑΡΑΔΕΙΓΜΑ
ΕΥΡΕΣΗ ΕΣΤΙΩΝ - ΚΟΡΥΦΩΝ - ΑΞΟΝΩΝ - ΕΚΚΕΝΤΡΟΤΗΤΑΣ
Τροπος Λυσης :
Με γνωστη την εξισωση της ελλειψης
● Φερνουμε την εξισωση σε μορφη
● Προσδιοριζουμε τα α και β, αμεσα απ’την πιο πανω εξισωση και τα γ
και ε απο ε = και β 2
= α 2
- γ 2
Κ ω ν ι κ ε ς Τ ο μ ε ς80
Τακης Τσακαλακος Κερκυρα 2018
●
γ 3
ε= =
α 2
β)
Η εξισωση 2 2
169x +144y = 24336
γραφεται ισοδυναμα
2 22 2
22
2 2
144y y169x x
+ = 1 + = 1
24336 24336 144 169
yx
+ = 1
12 13
απ’ οπου προκυπτει οτι
α = 13, β= 12 και γ= 169-144= 25=5
● Β’Β = 2β = 24 και Α’Α = 2α = 26
● οι εστιες ειναι τα σημεια E (0,-5) και
E(0,5)
●
γ 5
ε= =
α 13
2 2
Να βρειτε τις εξισωσεις των εφαπτομενων της ελλειψης
(c): 4x +9y = 36,
αν ειναι παραλληλη με την ευθεια (ζ): x+2y= 1
ΠΑΡΑΔΕΙΓΜΑ
ΕΥΡΕΣΗ ΕΞΙΣΩΣΗΣ ΕΦΑΠΤΟΜΕΝΗΣ ΕΛΛΕΙΨΗΣ
Τροπος Λυσης :
Με γνωστη την εξισωση της ελλειψης και ευθεια παραλληλη (κα -
θετη) στην εφαπτομενη
● Η ζητουμενη ευθεια εχει ιδιο συντελεστη διευθυνσης με τη δοσμε -
νη ευθεια (η το γινομενο των συντελεστων διευθυνσης ισο με -1,
αν ειναι καθετες)
● Οι συντεταγμενες του σημειου επαφης επαληθευουν την εξισωση
της δοσμενης ευθειας και την εξισωση της ελλειψης
● Αν η ζητουμενη ειναι της μορφης y = λ x + β (1) (λ της δοσμενης)
τοτε λυνουμε το συστημα των (1) και εξισωσης ελλειψης απ’το ο -
ποιο προκυπτει τριωνυμο ως προς β, για το οποιο απαιτουμε να εχει
μ ο ν α δ ι κ η λυση (Δ = 0)
Ε λ λ ε ι ψ η 81
Τακης Τσακαλακος Κερκυρα 2018
Α π α ν τ η σ η
1 1
1
1
Αν Μ(x ,y ) το σημειο επαφης, τοτε η εξι-
σωση της εφαπτομενης ειναι:
4x 1
Αφου - =-
9y 2 9
1 1
1
ε δ 1
(ε): 4xx +9yy = 36 (Ι)
8 x
λ = λ y = (1)
2 2(1)
2 2 2 21 1
1 1 1 1
2 2 2
1 1 1
Το σημειο Μ ανηκει στην ελλειψη, οποτε οι
συντεταγμενες του επαληθευουν την εξι-
σωση της
Ετσι
8x 64x
4x +9y = 36 4x +9 = 36 4x + = 36
9 9
36x +64x = 324 100x = 324 x 2
1 1
(1)
1 1
(1)
1 1
324 18
= x =
100 10
9 8 9 8 1 2
Γιαx = y = η(I):4 x +9 y = 36 x +y = 1
5 5 5 5 5 5
9 8 9 8 1 2
Γιαx =- y =- η(I):4 x - +9 y - = 36 -x -y = 1
5 5 5 5 5 5
Οι
1
9
x =
5
x+2y= 5
x+2y=-5
Aλλιως
ζητουμενες εφαπτομενες ειναι της μορφης
αφου ειναι (ε)||(ζ)
Για να ειναι η (ε) εφαπτομενη στην (c) πρεπει το συστημα των εξισωσεων
τους να εχει μια μονο λυση.
Ετσ
(ε): x+2y= κ
2 2 2 2 22 2
2 2 2 2
ι
4x +9y = 36 4κ -16κy+16y +9y = 364(κ-2y) +9y = 36
x+2y= κ x= κ-2yx= κ-2y
Για να εχει η (2) μια λυση πρεπει:
Δ= 0 256κ -4 25 (4κ -36)= 0 256κ -400κ +3
2 2
25y -16κy+4κ -36 = 0 (2)
2 2
600= 0
144κ = 3600 κ = 25
Αρα,οι ζητουμενες εφαπτομενες ειναι: η
κ=±5
(ε): x+2y= 5 (ε): x+2y=-5
Κ ω ν ι κ ε ς Τ ο μ ε ς82
Τακης Τσακαλακος Κερκυρα 2018
2 2
Να δειξετε οτι η (ζ): x+2y= 5 ειναι εφαπτομενη της ελλειψης
(c): 4x +9y = 36
και να βρειτε το σημειο επαφης.
Α π α ν τ η σ η
2 2 2 2
2 2 2
2
Λυνουμε το συστημα των εξισωσεων της
ευθειας (ζ) και της ελλειψης c
4x +9y = 36 4(5-2y) +9y = 36
x+2y= 5 x= 5-2y
4× 5 -16 × 5× y+16y +9y = 36
x= 5-2y
100-80× y+25y = 36
x= 5-2y
2 2 2 2
25y -80× y+64= 0 (5y) -2×(5y)× 8+8 = 0 (5y-8) = 0
x= 5-2y x= 5-2y x= 5-2y
8 8
y= y=
5y-8= 0 5 5
x= 5-2y 8 9
x= 5-2 x=
5 5
H λυση ειναι μοναδικη, αρα η ευθεια (ζ) ειναι εφαπτομενη της ελλειψης c,
με σημειο επαφης το
9 8
Μ ,
5 5
ΠΑΡΑΔΕΙΓΜΑ
ΑΠΟΔΕΙΞΗ ΕΞΙΣΩΣΗΣ ΕΦΑΠΤΟΜΕΝΗΣ ΕΛΛΕΙΨΗΣ
Τροπος Λυσης :
Με γνωστη την εξισωση της ελλειψης και της εφαπτομενης ευθειας
● Για να ειναι η δοσμενη ευθεια εφαπτομενη της ελλειψης πρεπει το
συστημα των εξισωσεων της ελλειψης και της ευθειας να εχει
μ ο ν α δ ι κ η λυση
● Η λυση του πιο πανω συστηματος ειναι οι συντεταγμενες του ση -
μειου επαφης
Ε λ λ ε ι ψ η 83
Τακης Τσακαλακος Κερκυρα 2018
2 2
Να βρειτε τις εφαπτομενες της ελλειψης (c): 3x y = 3 που διερ-
χονται απ'το σημειο Α(2,0).
Α π α ν τ η σ η
1 2
2 2 2 2 2
Οι ευθειες που διερχονται απ'το σημειο Α
ειναι οι: (ε ): x= 2 και (ε ): y= λ(x-2)
3x +y = 3 3 2 +y = 2 y =-10
x= 2 x= 2 x= 2
αδυνατο
Δεν εχει κοινα σημεια μ
1
(ε ): x= 2
ε την ελλειψη,
οποτε δεν ειναι εφαπτομενη
2 2 2 2
2 2 2 2 2
2
3x +y = 3 3x +[λ(x-2)] = 3
3x +λ x -4λ x+4λ = 3
y= λ(x-2) y= λ(x-2)
Για να εφαπτεται η (ε ) στην (c), πρεπει η (1) να εχει δι
2
2 2 2 2
(ε ): y= λ(x-2)
(3+λ )x -4λ x+4λ -3= 0(1)
2 2 2 2
πλη ριζα
(το συστημα των εξισωσεων να εχει λυση), δηλαδη:
Δ= 0 (-4λ ) -4(3+λ )(4λ -3)= 0
μια
ΠΑΡΑΔΕΙΓΜΑ
ΕΥΡΕΣΗ ΕΞΙΣΩΣΗΣ ΕΦΑΠΤΟΜΕΝΗΣ ΕΛΛΕΙΨΗΣ
Τροπος Λυσης :
Με γνωστη την εξισωση της ελλειψης και σημειο απ’το οποιο διερ-
χεται η εφαπτομενη (οχι σημειο επαφης). Αν το γνωστο σημειο ει-
ναι το Α(x0 , y0 ), τοτε απ’αυτο διερχονται οι ευθειες με εξισωσεις :
x = x 0 (1) και y - y 0 = λ ∙ ( x - x 0 ) (2)
● Ελεγχουμε αν η ευθεια με εξισωση x = x0 ειναι εφαπτομενη (λυ-
νουμε το συστημα με εξισωσεις την (1) και την εξισωση της ελλει-
ψης)
● Λυνουμε το συστημα με εξισωσεις την (2) και την εξισωση της
ελλειψης. Προσδιοριζουμε τον συντελεστη διευθυνσης λ της
εφαπτομενης, απαιτωντας ο τριωνυμο που προκυπτει να εχει μια
λυση (δηλαδη Δ = 0)
Κ ω ν ι κ ε ς Τ ο μ ε ς84
Τακης Τσακαλακος Κερκυρα 2018
4
16λ 2 4
-48λ +36- 16λ 2 2 2
+12λ = 0 36λ = 36 λ = 1 λ= 1
Ετσι, οιεφαπτομενες ειναι:
y= 1(x-2) και y=-1(x-2)y= x-2 y=-x+2
Εστω η παραβολη 2 2
3x +y = 3και το σημειο Ρ(1,2).
Αν οι εφαπτομενες απ’το Ρ στην ελλειψη, εφαπτονται στα σημεια Α και Β,
να βρειτε την εξισωση της ευθειας που διερχεται απ’τα σημεια Α και Β .
Α π α ν τ η σ η
Αν A (x1 , y1 ) και Β(x2 , y2 ) τα σημεια επα-
φης.
Οι εφαπτομενες ΡΑ, ΡΒ εχουν εξισωσεις
αντιστοιχα:
● 3x x1 + y y1 = 3 και
● 3x x2 + y y2 = 3
To σημειο Ρ(1, 2) ειναι σημειο των ΡΑ και
ΡΒ,
οποτε
1 1 1 1
2 2 2 2
3× 1× x +2× y = 3 3× x +2× y = 3
3× 1× x +2× y = 3 3× x +2× y = 3
(1)
Απ’την (1) προκυπτει οτι οι συντεταγμενες των σημειων Α και Β επαλ η-
θευουν την εξισωση : 3x+2y= 3
Αρα, η ζητουμενη ευθεια ειναι : 3x+2y-3= 0
ΠΑΡΑΔΕΙΓΜΑ
ΕΥΡΕΣΗ ΕΞΙΣΩΣΗΣ ΧΟΡΔΗΣ ΕΛΛΕΙΨΗΣ
Τροπος Λυσης :
Με γνωστο, σημειο απ’το οποιο διερχονται δυο εφαπτομενες και η
εξισωση ελλειψης
● Αν το γνωστο σημειο ειναι Ρ(x 0 ,y0 ) τοτε οι συντεταγμενες του
επαληθευουν την εξισωση της εφαπτομενης στα σημεια επαφης
και πρoκυπτει εξισωση της μορφης
Ε λ λ ε ι ψ η 85
Τακης Τσακαλακος Κερκυρα 2018
2 2
Δειξτε οτι το σημειο Μ(1,2) ειναι εξωτερικο της ελλειψης:
c: 3x +y = 3.
Α π α ν τ η σ η
2 2
2 2 2 2
1 1
2 2
Ειναι
α = 3, β = 1
Ετσι
x y 1 2 4
+ = + = 1+ > 1
β α 1 3 3
Αρα το Μ ειναι εξωτερικο της ελλειψης.
ΡΕ>ΜΕ
ΡΕ>ΜΕ
ΑΕ = Α'Ε' =α-γ
'
' 2
ΡΕ+ΡΕ' ' ~
ΡΕ+ΡΕ' '
ΡΕ+ΡΕ' ' ' ' ~ 2
Αλλιως
ΡΕ+ΡΕ' > 2α
ΠΑΡΑΔΕΙΓΜΑ
ΕΣΩΤΕΡΙΚΟ - ΕΞΩΤΕΡΙΚΟ ΣΗΜΕΙΟ ΕΛΛΕΙΨΗΣ
Τροπος Λυσης :
Με γνωστη την εξισωση της ελλειψης και σημειο απ’το οποιο διερ -
χονται δυο εφαπτομενες
● Το σημειο Μ(x1 , y1 ) ειναι εξωτερικο της ελλειψης αν και μονο αν
● Το σημειο Μ(x1 , y1 ) ειναι εσωτερικο της ελλειψης αν και μονο αν
ΜΕ ΕΦΑΠΤΟΜΕΝΟ ΚΥΚΛΟ
Τροπος Λυσης :
Με γνωστα, την εξισωση της ελλειψης και το κεντρο του κυκλου
● Απαιτουμε το συστημα των εξισωσεων κυκλου και ελλειψης να
εχει μ ο ν α δ ι κ η λυση
Κ ω ν ι κ ε ς Τ ο μ ε ς86
Τακης Τσακαλακος Κερκυρα 2018
2 2
Δινεται κυκλος με κεντρο Κ(3,0) που εφαπτεται στην ελλειψη 3x y =3.
Να βρεθει η εξισωση του κυκλου.
Α π α ν τ η σ η
2 2 2 2
2 2
Ο κυκλος εχει εξισωση:
Για να εφαπτεται ο κυκλος στην ελλειψη
πρεπει το συστημα των εξισωσεων τους
να εχει λυση.
Ετσι
(x-2) +y = ρ (x-2) -3
3x +y = 3
2 2 2
(x-2) +y = ρ (1)
μια
2 2
2 2 2
2 2
2 2 2 2
x +3= ρ
x -4x+4-3x +3= ρ
y =-3x +3
Η τελευταια για να εχει μια λυση πρεπει:
Δ= 0 4 -4× 2×(ρ -7)= 0 16-8ρ +56 = 0 8ρ = 72
Οποτε η (1) δινει:
2 2
2
2 2 2
2x +4x+ρ -7= 0
ρ = 9
(x-2) +y = 3
+
Δινονται : ο κυκλος c1 : x 2
+ y 2
= 3 και η ελλειψη c2 : 5x 2
+ y 2
= 5
Na βρεθουν οι κοινες εφαπτομενες του κυκλου και της ελλειψης
Α π α ν τ η σ η
Εστω (ε): y= λx+β η ζητουμενη ευθεια
ΠΑΡΑΔΕΙΓΜΑ
ΠΑΡΑΔΕΙΓΜΑ
ΚΟΙΝΗ ΕΦΑΠΤΟΜΕΝΗ ΕΛΛΕΙΨΗΣ - ΚΥΚΛΟΥ
Τροπος Λυσης :
Με γνωστα, τις εξισωσεις της ελλειψης και του κυκλου
● Η ζητουμενη ειναι της μορφης y = λ x +β (1)
● Δημιουργουμε τα συστηματα με την (1) και καθεμια απ’τις εξισω -
σεις κυκλου - ελλειψης
● Προκυπτει συστημα με αγνωστους τα λ, β που λυνοντας το βρι -
σκουμε το ζητουμενο μεσω της (1)
Ε λ λ ε ι ψ η 87
Τακης Τσακαλακος Κερκυρα 2018
2 2
2 2
2 2 2 2
2 2 2
y= λx+β
5x +(λx+β) = 5
5x +y = 5
5x +λ x +2λβx+β = 5
(5+λ )x +2λβx+β -5= 0
Η πιο πανω εξισωση πρεπει να εχει μια
λυση γιατι η ευθεια (ε) ειναι εφαπτομενη
τ 2
2 2 2
2 2
ης c , συνεπως
Δ= 0 (2λβ) -4(5+λ )(β -5)= 0
4λ β 2 2 2
-20β +100- 4λ β 2
2 2
2 2 2 2 2 2 2
2 2
+20λ = 0
λ -β =-5 (1)
y= λx+β
x +λ x +2λβx+β = 3 (λ +1)x +2λβx+β -3= 0
x +y = 3
1
2 2 2 2 2
Η πιο πανω εξισωση πρεπει να εχει μια λυση γιατι η ευθεια (ε) ειναι
εφαπτομενη της c , συνεπως
Δ= 0 (2λβ) -4(λ +1)( -3)= 0 4λ β 2 2
- 4λ β 2 2
(1)
2 2 2
2 2
2 2 2
+12λ -4β +12= 0
3λ +3= 0 3λ +3= 0 2λ = 2 λ = 1 λ= 1
Για λ= 1 τοτε 1-β =-5 β = 6 β= 6
Ετσι
Για λ=1 και β= 6 η (ε):
Για λ=1 και β=- 6 η (ε):
-β -λ -5
y= x+ 6
y=
Για λ=-1 και β= 6 η (ε):
Για λ=-1 και β=- 6 η (ε):
x- 6
y=-x+ 6
y=-x- 6
ΕΛΛΕΙΨΗ - ΚΥΚΛΟΣ ΠΟΥ ΕΦΑΠΤΟΝΤΑΙ
Τροπος Λυσης :
Με δοσμενες τις εξισωσεις της ελλειψης και του κυκλου
● Λυνουμε το συστημα των εξισωσεων του κυκλου και της ελλει-
ψης και βρισκουμε τα κοινα σημεια
● Για καθε κοινο σημειο βρισκουμε την εφαπτομενη της ελλειψης
και ελεγχουμε αν ειναι και εφαπτομενη του κυκλου
Κ ω ν ι κ ε ς Τ ο μ ε ς88
Τακης Τσακαλακος Κερκυρα 2018
Δειξτε οτι ο κυκλος 2 2 2
x +y = 3 εφαπτεται της ελλειψης 2 2
x 9y = 9 .
(Δηλαδη, εχουν τις ιδιες εφαπτομενες στα κοινα σημεια τους)
Α π α ν τ η σ η
Τα κοινα σημεια του κυκλου και της ελλει -
ψης βρισκονται απο τη λυση του συστημα -
τος των εξισωσεων τους.
Εχουμε:
2 2 2 2
2 2 2 2 2 2
2
2
x +y = 9 x +y = 9
x +9y = 9 x +y = x +9y
x = 9 x= 3 x=-3
η
y= 0 y= 0y = 0
Επομενως,
υπαρχουν δυο κοινα σημεια, το
Α(3, 0) και το Β(- 3, 0)
● Η εξισωση εφαπτομενης της ελλειψης
στο Α ειναι
x× 3+9× y× 0=9 x=3
Η ευθεια αυτη εφαπτεται και του κυκλου, αφου η αποσταση του κεν -
τρου Κ(0, 0) του κυκλου απο αυτη ειναι ιση με την ακτινα του ρ = 3
Πραγματι
2 2
| 3× 0+0× 0-3| |-3| 3
d= = = = 3= ρ
111 +0
● Η εξισωση εφαπτομενης της ελλειψης στο Β ειναι
x×(-3)+9× y× 0=9 x=-3 .
Η ευθεια αυτη εφαπτεται και του κυκλου, αφου η αποσταση του κεν -
τρου Κ(0, 0) του κυκλου απο αυτη ειναι ιση με την ακτινα του ρ = 3 .
Πραγματι
2 2
| 3× 0+0× 0+3| | 3| 3
d= = = = 3= ρ
111 +0
ΠΑΡΑΔΕΙΓΜΑ
Ε λ λ ε ι ψ η 89
Τακης Τσακαλακος Κερκυρα 2018
2 2
Εστω η ελλειψη 3x +y = 3 και η ευθεια ε: y= 2x+3.
Να βρεθει ο γεωμετρικος τοπος των μεσων των χορδων της ελλειψης που
ειναι παραλληλες στην ευθεια ε.
Α π α ν τ η σ η
0 0
1 1 2 2
1 2 1 2
0 0
2 1
ε
Εστω Μ(x ,y ) τυχαιο σημειο του γεωμε-
τρικου τοπου
Το Μ ειναι μεσο της χορδης ΑΒ
Aν Α(x ,y ) και B(x ,y ) τοτε:
x +x y +y
x = και y = (1)
2 2
y -y
ΑΒ|| ε =
x2 1
2 2
1 1
2 2 2 2(-)
1 2 1 2
2 2
2 2
1 2 1 2 1 2 1 2
= 2 (2)
-x
Οι συντεταγμενες των Α, Β επαληθευουν
την εξισωση της ελλειψης, οποτε:
x y
+ = 1
x x y y1 3
- + - = 0
1 1 3 3x y
+ = 1
1 3
1
(x +x )(x -x )+ (y +y )(y -y )= 0
3
(1)
1 2
1 2 1 2
(2)
1 2
0 0 0 0 0 0
y -y1
(x +x )+ (y +y ) = 0
3 x -x
1 1
2× x + × 2× y × 2= 0 x + × 2× y = 0 3× x +2× y = 0
3 3
ΠΑΡΑΔΕΙΓΜΑ 1
ΓΕΩΜΕΤΡΙΚΟΣ ΤΟΠΟΣ
Τροπος Λυσης :
Με δοσμενη την εξισωση της ελλειψης και ιδιοτητα χαρακτηριστι-
κου σημειου
● Απο συνδυασμο των δοσμενων σχεσεων καταληγουμε σε εξισωση
των συντεταγμενων x0 , y0 του Μ, που αποτελει τον γ.τ.
● Αν οι συντεταγμενες x0 , y0 του σημειου Μ συνδεονται με παραμε-
τρο λ, τοτε απαλειφουμε την παραμετρο μεταξυ των συντεταγ -
μενων και καταληγουμε σε εξισωση που ειναι συναρτηση των x 0 ,
y0
Κ ω ν ι κ ε ς Τ ο μ ε ς90
Τακης Τσακαλακος Κερκυρα 2018
ο ζητουμενος γεωμετρικος τοπος: 3x+2y= 0
1 2
Δινονται οι εξισωσεις (ε ): 2λχ-y=-2λ και (ε ): 2χ+λy= 2, λ 0
Να δειχτει οτι:
οι πιο πανω εξισωσεις παριστανουν ευθειες, που τεμνονται για καθε
λ *
το σημειο τομης τους κινειται σε μια ελλειψη, της οποιας να βρειτε τις
εστιες και την εκκεντροτητα
Α π α ν τ η σ η
1 2
Στις εξισωσεις (ε ) και (ε ), οταν ο ενας
αγνωστος μηδενιζεται ο αλλος ειναι δια-
φορετικος του μηδενος (δεν μηδενιζουν
ταυτοχρονα οι δυο αγνωστοι) για καθε
λ 0
1 2
2
Ετσι οι (ε ) και (ε ), παριστανουν ευθειες
Ομως
2λx-y=-2λ 2λ -1
και D = 2λ +2 0
2 λ2x+λy= 2
που σημαινει οτι το συστημα εχει λυση, οποτε οι δυο ευθειες
Ειναι
=
τεμνονται
()
2 2 2
2 2
2λx-y=-2λ y= 2λx+2λ
λy =-4λ(x+1)(x-1) λy =-4λx +4λ
2x+λy= 2 λy= 2-2x
y +4x = 4
Ο ζητουμενος γεωμετρικος τοπος ειναι ελλειψη με εστιες πανω στον
αξονα
2
2
y
x + = 1
4
y'y.
Ακομη
οποτε 4-1
Ετσι,
γ
ε= και ,
α
2 2
α = 4 β = 1 γ= = 3
3
ε= Ε'(0,- 3) Ε(0, 3)
2
ΠΑΡΑΔΕΙΓΜΑ 2
Ε λ λ ε ι ψ η 91
Τακης Τσακαλακος Κερκυρα 2018
Γ Ι Α Π Ρ Ο Π Ο Ν Η Σ Η . . .
01.
22
2 2
Να βρεθει η εξισωση της ελλειψης
που διερχεται απ'το σημειο Μ(6,4) και ισχυει α= 2β
1
με εκκεντροτητα ε= και μια εστια Ε(0,2)
3
yx
+ = 1 με μεγαλο αξονα 8 και εκκεντροτ
α β
3
ητα ε=
4
5
με εστιες Ε'(-5,0), Ε(5,0) και εκκεντροτητα ε=
8
02.
Να βρειτε την εξισωση της ελλειψης οταν:
 Εχει εστια Ε’(- 8,0) και μεγαλο αξονα 20
 Εχει εστια Ε(0,3) και μεγαλο αξονα 8
 Εχει εστια Ε(4,0) και εκκεντροτητα 1/2
 Εχει εκκεντροτητα 3/5 και μεγαλο αξονα 20
 α = 2β και διερχεται απο το σημειο (6,4)
 Eχει εστιες στον αξονα y΄y , κορυφες Β΄(- 2,0) , Β(2,0) και μεγα-
λο αξονα 6
 Eχει μεγαλο αξονα στον x΄x και διερχεται απο τα σημεια Μ(3,- 4)
και Ν(- 6,2)
 Eχει μεγαλο αξονα στον y΄y, διερχεται απο το σημειο Ρ( 2,2) και
εστιακη αποσταση Ε’Ε = 4
03.
Να βρειτε την εξισωση της ελλειψης που διερχεται απο το σημειο
Μ(2,1) και ο μικρος της αξονας ειναι το 1/3 του μεγαλου .
Κ ω ν ι κ ε ς Τ ο μ ε ς92
Τακης Τσακαλακος Κερκυρα 2018
07.
2 2
Δειξτε οτι το σημειο Α(3συνα,2ημα) ανηκει στην ελλειψη
4x +9y = 36 και στη συνεχεια να βρειτε τις εξισωσεις της εφα-
πτομενης και της καθετης στην εφαπτομενη στο σημειο Α
04.
 Να βρεθει η εκκεντροτητα και οι εστιες καθεμιας απο τις ελλειψεις:
 x2
+ 4y2
= 4  4x2
+ 9y2
= 36  9x2
+ 25y2
= 225
 Να αποδειξετε οτι οι ελλειψεις
22
2 2
yx
+ =1
α β
και
2 22 2
2 2
κ yκ x
+ =1
α β
εχουν την ιδια εκκεντροτητα
06.
2 2
22
Να βρειτε την εξισωση της χορδης ελλειψης (c): 4x +9y = 36, αν
το μεσο της ειναι το σημειο Μ(-1,1)
yx
Να βρειτε την εξισωση της χορδης ελλειψης (c): + = 1, αν το
16 4
μεσο της ειναι το σημειο Μ(2,1)
05.
Να βρειτε την εξισωση της ελλειψης που διερχεται απο το σημειο
Μ(3,1) και ο μικρος της αξονας ειναι το 1/2 του μεγαλου
Ε λ λ ε ι ψ η 93
Τακης Τσακαλακος Κερκυρα 2018
08.
22
2 2
Να βρεθει το μηκος του ευθυγραμμου τμηματος με ακρα στην ελλει-
yx
ψη (c): + = 1 που διερχεται απ'την εστια Ε(γ,0) και ειναι καθετο
α β
στον μεγαλο ημιαξονα της
09.
2
2
1
2
x
Βρειτε τις εξισωσεις των εφαπτομενων της ελλειψης c: +y = 1 που:
3
ειναι παραλληλες στην ευθεια ε : x+3y+1= 0
ειναι καθετες στηνευθεια ε : x+y+2= 0
11.
22
Απο ενα σημειο Μ αγονται δυο εφαπτομενες της ελλειψης
yx
(c): + = 1 και η ευθεια που διερχεται απ'τα σημεια επαφης εχει
16 4
εξισωση 2x-3y+4= 0.
Να βρειτε τις συντεταγμενες του σημειου Μ.
10.
Δινεται η ελλειψη
22
yx
+ = 1
4 9
. Να δειξετε οτι η ευθεια y = 2x + 5 εφα -
πτεται στην ελλειψη και να βρειτε το σημειο επαφης
Κ ω ν ι κ ε ς Τ ο μ ε ς94
Τακης Τσακαλακος Κερκυρα 2018
12.
Να δειξετε οτι το σημειο Α(ασυνφ,βημφ),φ , ανηκει σε ελλειψη με
κεντρο την αρχη των αξονων, μεγαλο αξονα 2α πανω στον x'x και
μικρο αξονα 2β πανω στον αξονα y'y.
Στη συνεχεια να βρειτε την εξισωση της εφαπτομενης και της καθετης
στην εφαπτομενη στο σημειο Α.
13.
Θεωρουμε την ελλειψη c: 4x 2
+ 9y 2
= 1 και μια εφαπτομενη ε αυτης.
Αν Ε’, Ε ειναι οι εστιες της c, να αποδειξετε οτι d(E’,ε) d(Ε,ε) = 2/9
14.
Να δειξετε οτι το σημειο Μ
2
2 2
α(1-t ) 2βt
,
1+t 1+t
, t ανηκει σε ελλειψη
15.
Να βρεθει ο γεωμετρικος τοπος των σημειων Μ του επιπεδου, που η
διπλασια αποσταση τους απ'το σημειο Ε(1,0) ισουται με την αποσταση
τους απο την ευθεια (ε):x= 4
Στη συνεχεια να βρειτε τις εστιες της γραμμης που προκυπτει.
Ε λ λ ε ι ψ η 95
Τακης Τσακαλακος Κερκυρα 2018
16.
Εστω c : 2 2 2 2
β x +α y = 1 και σημεια
Α(ασυνθ,βημθ) και Β(- αημθ, βσυνθ), θ [0,2π)
 Να δειξετε οτι τα σημεια ανηκουν στην ελλειψη
 Αν οι εφαπτομενες στα Α και Β τεμνονται στο σημειο Μ να βρεθει ο
γεωμετρικος τοπος του Μ .
17.
1 2
Δινονται οι εξισωσεις (ε ): 5y= 3λ(x+5) και (ε ): 5λy= 3(5-x),λ 0
Να δειχτει οτι:
οι πιο πανω εξισωσεις παριστανουν ευθειες, που τεμνονται για καθε
λ *
το σημειο τομης τους κινειται σε μια ελλειψη, της οποιας να βρειτε τις
εστιες και την εκκεντροτητα
18.
Δινεται ο κυκλος x 2
+ y 2
= 4 και η ελλειψη
22
yx
+ = 1
2 6
. (1)
 Δειξτε οτι το σημειο (1,-3 ) ειναι κοινο τους σημειο και στη συνεχεια
βρειτε ολα τα κοινα σημεια.
 Να δειξετε οτι τα κοινα τους σημεια ειναι κορυφες ορθογωνιου πα -
ραλληλογραμμου.
 Να βρεθουν τα σημεια Μ (x0 , y0 ) ωστε
x0
2
+ y0
2
= 4 και (Ε’Μ) + (ΕΜ) = 2 6
(οπου Ε’, Ε οι εστιες της ελλειψης (1) )
Κ ω ν ι κ ε ς Τ ο μ ε ς96
Τακης Τσακαλακος Κερκυρα 2018
19.
Να βρεθει ο γεωμετρικος τοπος των κεντρων των κυκλων που εφα-
πτονται εξωτερικα στον κυκλο C1 : x 2
+ ( y + 1 ) 2
= 1 και εσωτερικα
στον κυκλο C2 : x 2
+ ( y - 1 ) 2
= 9
20.
 Να βρεθει ο μ > 0 ωστε η ευθεια ε: y = x + μ να ειναι εφαπτομενη
της ελλειψης c :
2
2x
+y = 1
2
 Για την παραπανω τιμη του μ, να αποδειχθει οτι η προβολη της ε -
στιας Ε(γ,0) στην ε ανηκει στον κυκλο με διαμετρο τον μεγαλο α -
ξονα της ελλειψης.
21.
1 2
Δινονται οι εξισωσεις (ε ): 2λx-y= 2λ και (ε ): 2x+λy= 2, λ 0.
Να δειχτει οτι:
οι πιο πανω εξισωσεις παριστανουν ευθειες, που τεμνονται για καθε
λ *
το σημειο τομης τους κινειται σε ελλειψη, της οποιας βρειτε τις ε-
στιες και εκκεντροτητα.
Υ Π Ε Ρ Β Ο Λ Η
Κ ω ν ι κ ε ς Τ ο μ ε ς98
Τακης Τσακαλακος Κερκυρα 2018
Υπερβολη ειναι ο γεωμετρικος το τοπος
των σημειων του επιπεδου που οι αποστα-
σεις τους απο δυο σταθερα σημεια Ε’, Ε
(εστιες) εχουν απολυτως σταθερη διαφο-
ρα, που συμβολιζεται 2α.
Ετσι, ενα σημειο Μ ειναι σημειο της υπερ-
βολης με εστιες Ε’, Ε και εχουν σταθερη
διαφορα 2α, αν: |(ΜΕ’)-(ΜΕ)|=2α
 Ε’Ε: ειναι η εστιακη αποσταση και
συμβολιζετα 2γ
Ειναι: γ>α και β2
=γ2
-α2
Οι εστιες παντα στην ευθεια Α’Α
 Εκκεντροτητα της υπερβολης ειναι ο λο-
γος
γ
ε=
α
2 2 2
Ισχυουν:
ε> 1 (αφου γ> α)
β
= ε -1 (αφου γ= )
α
β
Αν ε + + , δηλαδη οι κλαδοι της
α
υπερβολης τεινουν να γινουν δυο παραλ-
ληλα ευθυγραμμα τμηματα
β
Αν ε 1 0, δηλαδη οι κλαδοι της υπερβολης γινονται ολο και πιο
α
κλειστοι
 Κυριος αξονας (πρωτευων η εγκαρσιος αξονας) της υπερβολης ειναι
το τμημα Α’Α με μηκος 2α
 Δευτερευων (συζυγης) αξονας της υπερβολης ειναι το τμημα ΒΒ’ της
καθετης ευθειας στο κυριο αξονα στο σημειο Ο με ΟΒ=ΟΒ’=β
 Κορυφες της υπερβολης ειναι τα σημεια Α’, Α (σημεια τομης της υπερ-
βολης με τον κυριο αξονα)
 Κεντρο της υπερβολης ειναι το σημειο Ο (μεσο εστιακης αποστασης)
 Χορδη της υπερβολης ειναι το ευθυγραμμο τμημα με ακρα πανω στην
υπερβολη
 Διαμετρος της υπερβολης ειναι ευθεια που διερχεται απ’το κεντρο της
Ο ρ ι σ μ ο ς
Υ π ε ρ β ο λ η 99
Τακης Τσακαλακος Κερκυρα 2018
 Οι αξονες της υπερβολης ειναι αξονες συμ-
μετριας αυτης
 Το μεσο των αξονων της υπερβολης, ειναι
κεντρο συμμετριας της υπερβολης
 Στο μερος του επιπεδου που βρισκεται με-
ταξυ των καθετων του κυριου αξονα στα
σημεια Α, Α’ (χωρις αυτες) δεν υπαρχουν
σημεια της υπερβολης
 Καθε χορδη της υπερβολης που διερχεται
απ’το μεσο Ο των αξονων (διαμετρος)εχει
μεσο το Ο (λογω κεντρου συμμετριας Ο ...)
Μικροτερη διαμετρος ειναι η ΑΑ’
 Τα αντιδιαμετρικα σημεια Μ, Μ’ και οι εστιες
Ε, Ε’, οπως και τα Μ, Μ’ και οι κορυφες Α, Α’
αποτελουν κορυφες παραλληλογραμμου
 Αν η διαφορα (κατ’απολυτη τιμη) των απο-
στασεων σημειου Μ του επιπεδου απ’τις ε-
στιες Ε’, Ε ειναι μεγαλυτερη της αποστα-
σης των κορυφων Α’Α υπερβολης, τοτε
αυτο βρισκεται εντος της υπερβολης (στα
κοιλα μερη που βρισκονται οι εστιες)
(|ΜΕ’-ΜΕ|>2αΜ εντος c)
 Αν η διαφορα (κατ’απολυτη τιμη) των απο-
στασεων σημειου Μ του επιπεδου απ’τις ε-
στιες Ε’, Ε ειναι μικροτερη της αποστασης
των κορυφων Α’Α υπερβολης, τοτε αυτο
βρισκεται εκτος της υπερβολης
(|ΜΕ’-ΜΕ|<2αΜ εκτος c)
 Το σημειο Μ(x1 , y1 ) ειναι εσωτερικο της υ-
περβολης αν και μονο αν
2 2
1 1
2 2
x y
- >1
α β
Πραγματι,
αν Ρ(x0 , y0 ) το σημειο τομης της ΟΜ και
της c, τοτε
(ΟΜ) > (ΟΡ) η x1 > x0 η x1
2
> x0
2
(1)
Ι δ ι ο τ η τε ς - Σ υ ν ε π ε ι ε ς
Κ ω ν ι κ ε ς Τ ο μ ε ς100
Τακης Τσακαλακος Κερκυρα 2018
H ευθεια OM εχει εξισωση 1
1
y
y= × x
x
σε συνδυασμο με την
22
2 2
yx
- =1
α β
προκυπτει
2 2 2 2 2 2αφου οι ΟΜ και ΟΡ
2 21 1
02 2 2 2 2 2 2 2ταυτιζονται
1 1 1 1
α β x α β x
x = x =
β x -α y β x -α y
(2)
Απο (1), (2):
2 2 2 2 2
2 2 2 2 2 2 21 1 1
1 1 12 2 2 2 2 2
1 1
α β x x y
x > β x -α y >α β - >1
β x -α y α β
Αναλογα,
αν το σημειο Μ(x1 , y1 ) ειναι εξωτερικο της υπερβολης τοτε
2 2
1 1
2 2
x y
- <1
α β
2 2
Θετουμε β= γ -α
Σε συστημα συντεταγμενων Οxy με αξονα x'x να διερχεται απ'τα Ε',Ε
και αξονα y'y τη μεσοκαθετη του Ε'Ε η εξισωση της υπερβολης με ε-
στιες Ε'(-γ,0), Ε(γ,0) και σταθερη διαφορα 2α ειναι:
Σε συστημα συντεταγμενων Οxy με αξονα y'y να διερχεται απ'τα Ε',Ε
και αξονα x'x τη μεσοκαθετη του Ε'Ε η εξισωση τ
22
2 2
yx
- = 1
α β
ης υπερβολης με ε-
στιεςΕ'(-γ,0), Ε(γ,0) και σταθερη διαφορα 2α ειναι:
2 2
2 2
y x
- = 1
α β
Ε ξ ι σ ω σ η Υ π ε ρ β ο λ η ς
Υ π ε ρ β ο λ η 101
Τακης Τσακαλακος Κερκυρα 2018
 Π α ρ α μ ε τ ρ ι κ ε ς Ε ξ ι σ ω σ ε ι ς
α
x=
συνφ
y= βημφ
οπου 0, , π
2 2
 Ι σ ο σ κ ε λ η ς Υ π ε ρ β ο λ η
22
2 2
2 2
2 2
yx
- = 1 για α= β
α β
y x
- = 1 για α= β
α β
2 2 2
2 2 2
x -y = α
y -x = α
ΣΧΟΛΙΟ
Στη περιπτωση που οι αξονες της υπερβολης δεν ειναι οι χ’χ, y’y οι εξι-
σωσεις ειναι

2 2
0 0
2 2
(x-χ ) (y-y )
- = 1
α β
, με εστιες πανω στην ευθεια 0
y= y και κεντρο 0
το σημειο τομης των ευθειων χ=χ0 , y=y0

2 2
0 0
2 2
(y-y ) (x-x )
- = 1
α β
, με εστιες πανω στην ευθεια 0
χ= χ και κεντρο 0
το σημειο τομης των ευθειων χ=χ0 , y=y0
1 1
22
2 2
2 2
2 2
H εφαπτομενη στο σημειο Μ(x ,y ) της υπερβολης:
yx
- = 1 εχει εξισωση
α β
y x
- = 1 εχει εξισωση
α β
1 1
2 2
1 1
2 2
x× x y× y
- = 1
α β
y× y x× x
- = 1
α β
Ε φ α π τ ο μ ε ν η Υ π ε ρ β ο λ η ς
Η απλουστερη μορφη
υπερβολης
λ
y=
χ
, λ 0
Κ ω ν ι κ ε ς Τ ο μ ε ς102
Τακης Τσακαλακος Κερκυρα 2018
Εστω η υπερβολη c και η εφαπτομενη ε
στο σημειο της Μ.
Τοτε ισχυει οτι:
Η εφαπτομενη ε στο σημειο επαφης Μ δι-
χοτομει τη γωνια Ε΄ΜΕ , οπου Ε΄, Εοι εστι-
ες της υπερβολης.
22
2 2
2 2
2 2
yx
Η υπερβολη - = 1 εχει ασυμπτωτες ευθειες τις:
α β
y x
Η υπερβολη - = 1 εχει ασυμπτωτες ευθειες τις:
α β
β β
y= × x y=- × x
α α
α α
y= × x y=- × x
β β
Α ν α κ λ α σ τ ι κ η Ι δ ι ο τ η τ α
Α σ υ μ π τ ω τ ε ς Υ π ε ρ β ο λ η ς
Υ π ε ρ β ο λ η 103
Τακης Τσακαλακος Κερκυρα 2018
Οι εφαπτομενες ε1 , ε2 της υπερβολης στις
κορυφες της Α, Α’ τεμνουν τις ασυμπτω -
τες της
β β
y= × x, y=- × x
α α
στα σημεια Λ, Μ
και Κ, Ν αντιστοιχα.
Το τετραπλευρο ΚΛΜΝ ειναι ορθογωνιο
(πλευρες του παραλληλες στους αξονες)
με διαστασεις 2α, 2β και διαγωνιες τις α -
συμπτωτες.
Ονομαζεται ορθογωνιο βασης υπερβολη
 Σε μια ισοσκελη υπερβολη C1 :x2
-y2
=a2
(C2 :y2
-x2
=a2
)
 το ορθογωνιο βασης ειναι τετραγωνο
 η εκκεντροτητα ειναι 2
 οι ασυμπτωτες της ειναι οι y=x, y=-x
 Για τις υπερβολες
22
1 2 2
yx
C : - =1
α β
και
2 2
2 2 2
y x
C : - =1
α β
εχουμε:
 τα σημεια τομης των εφαπτομενων
τους στις κορυφες τους ειναι κορυφες
τετραγωνου
Οι υπερβολες
 C1 με κυριο αξονα Α’Α=2α και δευτερευ -
οντα ΒΒ’=2β
 C2 με κυριο αξονα ΒΒ’=2β και δευτερευ -
οντα Α’Α=2α
λεγονται συζυγεις υπερβολες
ΠΑΡΑΤΗΡΗΣΕΙΣ
 Οι συζυγεις υπερβολες εχουν τις ιδιες
ασυμπτωτες
 Οι εστιες μιας υπερβολης βρισκονται στο
δευτερευοντα αξονα της συζυγους της
Ο ρ θ ο γ ω ν ι ο Β α σ η ς Υ π ε ρ β ο λ η ς
Σ υ ζ υ γ ε ι ς Υ π ε ρ β ο λ ε ς
Κ ω ν ι κ ε ς Τ ο μ ε ς104
Τακης Τσακαλακος Κερκυρα 2018
Να βρειτε την εξισωση της υπερβολης, αν εχει εστιες τα σημεια Ε'(0,-3),
Ε(0,3) και κορυφες τα σημεια Α'(0,-2) και Α(0,2).
Α π α ν τ η σ η
ΠΑΡΑΔΕΙΓΜΑ
ΕΥΡΕΣΗ ΕΞΙΣΩΣΗΣ ΥΠΕΡΒΟΛΗΣ 1
Τροπος Λυσης :
Με γνωστα τις εστιες (πανω στους αξονες x’ x η y’y) και τις κορυ-
φες
● Προσδιοριζουμε τα α και β απο :
Ε’Ε = 2γ, Α’Α = 2α και β 2
= γ 2
– α 2
Σ Τ Η Π Ρ Α Ξ Η . . .
ΕΥΡΕΣΗ ΕΞΙΣΩΣΗΣ ΥΠΕΡΒΟΛΗΣ 2
Τροπος Λυσης :
Με γνωστα τις εστιες (πανω στους αξονες x’ x η y’y) και την εκκεν-
τροτητα
● Προσδιοριζουμε τα α και β απο :
Ε’Ε = 2γ, ε = και β 2
= γ 2
– α 2
2 2
2 2
2 2 2 2
y x
Η εξισωση εχει μορφη: = 1
α β
(οι εστιες πανω στον αξονα y'y)
2α= 4 α= 2
2γ= 6 γ= 3
β = γ -α β = 9-4
2
2
2 2
α = 4
β = 5
y x
(c): - = 1
4 5
Υ π ε ρ β ο λ η 105
Τακης Τσακαλακος Κερκυρα 2018
Να βρειτε την εξισωση της υπερβολης, αν εχει εστιες τα σημεια Ε'(-4,0),
4
Ε(4,0) και εκκεντροτητα γ= .
3
Α π α ν τ η σ η
22
2 2
2
2 2 2 2 2 2
yx
Η εξισωση εχει μορφη: - = 1
α β
(οι εστιες πανω στον αξονα x'x)
2γ= 8 γ= 4
γ= 4
γ 4 4
ε= = α= 3
α 3 α
β = 16-9
β = γ -α β = γ -α
2 22
2
α = 9 yx
(c): - = 1
9 7β = 7
Να βρειτε την εξισωση της υπερβολης, αν διερχεται απ'τα σημεια Α(0,1),
5
Β(3, ) και εχει εστιες πανω στον αξονα y'y.
4
Α π α ν τ η σ η
2 2
2 2
y x
Η εξισωση εχει μορφη: - =1 (οι εστιες πανω στον αξονα y'y)
α β
ΠΑΡΑΔΕΙΓΜΑ
ΠΑΡΑΔΕΙΓΜΑ
ΕΥΡΕΣΗ ΕΞΙΣΩΣΗΣ ΥΠΕΡΒΟΛΗΣ 3
Τροπος Λυσης :
Με γνωστο η υπερβολη διερχεται απο γνωστα σημεια (Οι εστιες πα -
νω στους αξονες x’x η y’y)
● Οι συντεταγμενες των γνωστων σημειων επαληθευουν την εξι -
σωση της υπερβολη ς
● Απ’τη λυση του συστηματος που προκυπτει, προσδιοριζουμε τα α
και β
Κ ω ν ι κ ε ς Τ ο μ ε ς106
Τακης Τσακαλακος Κερκυρα 2018
2 2
2 2 2
2 2
2
2 2
22
2 2
2 2
2
2
Οι συντεταγμενες των σημειων Α και Β,
επαληθευουν την πιο πανω εξισωση
Ετσι
1 0
- = 1y x
: - = 1 α β α = 1
α β
25 95 - = 1y x
: - = 1 16 β34
- = 1α β
α β
α = 1
9 9
=
β 16
2
α = 1 2
2
2
y
(c): -x = 1
16β = 16
Να βρειτε την εξισωση της υπερβολης αν εχει ασυμπτωτες τις ευθειες
4
y= x
3
και
4
y=- x
3
και διερχεται απο το σημειο M(3 2,4).
Α π α ν τ η σ η
Ασυμπτωτες οι ευθειες
4
y= x
3
και
4
y=- x
3
, τοτε
β 4
=
α 3
, η
4
β= α
3
Διακρινουμε δυο περιπτωσεις:
● Η υπερβολη εχει τις εστιες της στον αξονα x'x με εξισωση
22
2 2
yx
- =1
α β
(1)
ΠΑΡΑΔΕΙΓΜΑ
ΕΥΡΕΣΗ ΕΞΙΣΩΣΗΣ ΥΠΕΡΒΟΛΗΣ 4
Τροπος Λυσης :
Με γνωστα, τις ασυμπτωτες και οτι η υπερβολη διερχεται απο γνω-
στο σημειο (Οι εστιες στους αξονες x’x η y’y)
● Διακρινουμε δυο περιπτωσεις (σε ποιο αξονα ανηκουν οι εστιες)
● Προσδιοριζουμε τα α και β απο : και σημειο ανηκει στην
υπερβολη
● Για καθε περιπτωση ελεγχουμε αν οι συντεταγμενες του γνωστου
σημειου επαληθευουν την εξισωση της υπερβολης
Υ π ε ρ β ο λ η 107
Τακης Τσακαλακος Κερκυρα 2018
Ετσι, η (1):
2 22 2
2 2 2
2
y 9yx x
- = 1 - = 1
16α α 16αα
9
(2)
Επειδη, επιπλεον, το σημειο M(3 2,4)
ανηκει στην υπερβολη, θα ισχυει
2 2
2 2 2 2
(3 2) 9 × 4 18 9
- = 1 - = 1
α 16α α α
2
α =9
α=3
Επομενως, λογω της (2), η εξισωση της
υπερβολης ειναι η :
22
yx
- = 1
9 16
.
● Η υπερβολη εχει τις εστιες στον αξονα y'y με εξισωση
2 2
2 2
y x
- =1
α β
(3)
Ετσι, η (3):
2 22 2
2 2 2
2
y yx 9x
- = 1 - = 1
16α α 16αα
9
(4)
Επειδη, επιπλεον, το σημειο M(3 2,4) ανηκει στην υπερβολη, θα ισχυει
22
2 2 2 2
9 ×(3 2)4 16 162
- = 1 - = 1 αδυνατη
α 16α α α
Οποτε δεν υπαρχει υπερβολη με εστιες στον αξονα y'y.
Να βρειτε τις εστιες, την εκκεντροτητα και τις ασυμπτωτες της
υπερβολης:
● 2 2
9x -16y = 144 ● 2 2
x -y = 4 ● 2 2
144x -25y = 3600
ΠΑΡΑΔΕΙΓΜΑ
ΕΥΡΕΣΗ ΕΣΤΙΩΝ - ΑΣΥΜΠΤΩΤΩΝ - ΕΚΚΕΝΤΡΟΤΗΤΑΣ
Τροπος Λυσης :
Με γνωστη την εξισωση της υπερβολης
● Φερνουμε την εξισωση σε μορφη
● Προσδιοριζουμε τα α και β, αμεσα απ’την πιο πανω εξισωση και τα γ
και ε απο ε = και β 2
= γ 2
- α 2
● Προσδιοριζουμε τις ασυμπτωτες απο:
Κ ω ν ι κ ε ς Τ ο μ ε ς108
Τακης Τσακαλακος Κερκυρα 2018
Α π α ν τ η σ η
Ειναι,
●
22
2 2
16y9x
9x -16y = 144 - = 1
144 144
22
2 2
yx
- = 1
4 3
Επομενως, α = 4 και β = 3, οποτε
2 2
γ= α +β =5.
Αρα, η υπερβολη εχει :
● εστιες τα σημεια E (-5,0), E(5,0),
● εκκεντροτητα
5
ε=
4
και
● ασυμπτωτες τις ευθειες
3
y= x
4
,
3
y=- x
4
.
●
22
2 2
2 2
yx
x -y = 4 - = 1
2 2
.
Επομενως, α = 2 και β = 2, οποτε
2 2
γ= α +β =2 2.
Αρα, η υπερβολη εχει
● εστιες τα σημεια
E (-2 2,0), E(2 2,0),
● εκκεντροτητα ε= 2 και
● ασυμπτωτες τις ευθειες
y=x, y=-x
●
22
2 2
25y144x
144x -25y = 3600 - = 1
3600 3600
22
2 2
yx
- = 1
5 12
Επομενως, α = 5 και β = 12, οποτε
2 2
γ= α +β =13.
Αρα, η υπερβολη εχει
● εστιες τα σημεια E (-13,0), E(13,0),
● εκκεντροτητα
13
ε=
5
και
● ασυμπτωτες τις ευθειες
12
y= x
5
,
12
y=- x
5
Υ π ε ρ β ο λ η 109
Τακης Τσακαλακος Κερκυρα 2018
Να βρειτε την εφαπτομενη στο σημειο Α( 2,3) της υπερβολης
2 2
3x -y = 3
Α π α ν τ η σ η
Ειναι,
22
2 2
22
22
y3x
3x -y = 3 - = 1
3 3
yx
- = 1
1 3
Ετσι,
α = 1 και β = 3 και η εφαπτομενη στο
σημειο Α(2,3) ειναι
1 1
22 2 2
x x y y 3 y2 x
- =1 - =1
α β 1 3
2x-y= 1
ΕΥΡΕΣΗ ΕΞΙΣΩΣΗΣ ΕΦΑΠΤΟΜΕΝΗΣ ΥΠΕΡΒΟΛΗΣ
Τροπος Λυσης :
Με γνωστη ευθεια παραλληλη (καθετη) στην εφαπτομενη, και εξι-
σωση υπερβολης
● Η ζητουμενη ευθεια εχει ιδιο συντελεστη διευθυνσης με τη δοσμε -
νη ευθεια (η το γινομενο των συντελεστων διευθυνσης ισο με -1,
αν ειναι καθετες)
● Οι συντεταγμενες του σημειου επαφης επαληθευουν την εξισωση
της δοσμενης ευθειας και την εξισωση της υπερβολης
● Αν η ζητουμενη ειναι της μορφης y = λ x + β (1) (λ της δοσμενης)
τοτε λυνουμε το συστημα των (1) και εξισωσης υπερβολης απ’το
οποιο προκυπτει τριωνυμο ως προς β, για το οποιο απαιτουμε να
εχει μ ο ν α δ ι κ η λυση (Δ = 0)
ΕΥΡΕΣΗ ΕΞΙΣΩΣΗΣ ΕΦΑΠΤΟΜΕΝΗΣ ΥΠΕΡΒΟΛΗΣ
Τροπος Λυσης :
Με γνωστη την εξισωση υπερβολης και σημειο επαφης
● Βρισκουμε τα α, β απ’την εξισωση της υπερβολης και χρησιμοποι -
ουμε την εξισωση της εφαπτομενης
ΠΑΡΑΔΕΙΓΜΑ
Κ ω ν ι κ ε ς Τ ο μ ε ς110
Τακης Τσακαλακος Κερκυρα 2018
2 2
Να βρειτε τις εξισωσεις των εφαπτομενων της υπερβολης
(c): 2y -3x = 15,
αν ειναι παραλληλη με την ευθεια (ζ): x+2y= 1
Α π α ν τ η σ η
1 1
1
Αν Μ(x ,y ) το σημειο επαφης, τοτε η
εξισωση της εφαπτομενης ειναι:
3x
Αφου
2
1 1
ε δ
(ε): 2yy -3xx = 15 (Ι)
λ = λ
1
1
=-
y 2
(1)
2 2 2 2
1 1 1 1
2 2 2
1 1 1
Το σημειο Μ ανηκει στην υπερβολη, οποτε
οι συντεταγμενες του επαληθευουν την
εξισωση της . Ετσι,
2y -3x = 15 2(-3x ) -3x = 15 1
8 x -3x = 15`15x = 15`
1 1
y =-3× x (1)
(1)
1 1
(1)
1 1
Για x = 1 y =-3 η (I):2× y×(-3)-3× x× 1= 15 3x+6y=-15
Για x =-1 y = 3 η (I):2× y× 3-3× x×(-1)= 15 3x+6y=15
1
x = 1
x+2y=-5
x+2y= 5

Η ζητουμενες εφαπτομενες ειναι της μορφης
αφου ειναι (ε)||(ζ)
Για να ειναι η (ε) εφαπτομενη στην (c) πρεπει το συστημα των εξισωσεων
τους να εχει μια μονο
Aλλιως
(ε): x+2y= κ
2 2 2 2 22 2
2 2 2
λυση.
Ετσι
2y -3x = 15 2y -3κ +12κy-12y = 152y -3(κ-2y) = 15
x+2y= κ x= κ-2yx= κ-2y
Για να εχει η (1) μια λυση πρεπει:
Δ= 0 144κ -4× 10×(3κ +15)= 0 144κ
2 2
10y -12κy+3κ +15= 0 (1)
2
2 2
-120κ -600= 0
24κ = 600 κ = 25
Αρα, οι ζητουμενες εφαπτομενες ειναι: η
κ=±5
(ε): x+2y= 5 (ε): x+2y=-5
ΠΑΡΑΔΕΙΓΜΑ
Υ π ε ρ β ο λ η 111
Τακης Τσακαλακος Κερκυρα 2018
2 2
Να βρειτε τις εφαπτομενες της υπερβολης (c): x 3y = 3 που διερ-
χονται απ'το σημειο Α(1,0).
Α π α ν τ η σ η
1 2
Οι ευθειες που διερχονται απ'το σημειο Α ειναι οι:
(ε ): x= 1 και (ε ): y= λ(x-1)
2 2 2 2 2
2 2
x -3× y = 3 1 -3× y = 3 3× y =-2
x= 1 x= 1 x= 1
αδυνατο
Δεν εχει κοινα σημεια με την υπερβολη,
οποτε δεν ειναι εφαπτομενη
x -3y = 3
y= λ(x-1)
1
2
(ε ): x= 1
(ε ): y= λ(x-1)
2 2
2 2 2 2 2
2
x -3[λ(x-1)] = 3
y= λ(x-1)
x -3λ x +6λ x-3λ = 3
Για να εφαπτεται η (ε ) στην (c), πρεπει η (1) να εχει διπλη ριζα
(το συστημα των εξισω
2 2 2 2
(1-3λ )x +6λ x-3λ -3= 0 (1)
σεων να εχει λυση), δηλαδη:μια
ΠΑΡΑΔΕΙΓΜΑ
ΕΥΡΕΣΗ ΕΞΙΣΩΣΗΣ ΕΦΑΠΤΟΜΕΝΗΣ ΥΠΕΡΒΟΛΗΣ
Τροπος Λυσης :
Με γνωστη την εξισωση της υπερβολης και σημειο απ’το οποιο διερ-
χεται η εφαπτομενη (οχι σημειο επαφης). Αν το γνωστο σημειο ει-
ναι το Α(x0 , y0 ), τοτε απ’αυτο διερχονται οι ευθειες με εξισωσεις :
x = x 0 (1) και y - y 0 = λ ∙ ( x - x 0 ) (2)
● Ελεγχουμε αν η ευθεια με εξισωση x = x0 ειναι εφαπτομενη (λυ-
νουμε το συστημα με εξισωσεις την (1) και την εξισωση της υπερ-
βολης)
● Λυνουμε το συστημα με εξισωσεις την (2) και την εξισωση της
υπερβολης. Προσδιοριζουμε τον συντελεστη διευθυνσης λ της
εφαπτομενης, απαιτωντας ο τριωνυμο που προκυπτει να εχει μια
λυση (δηλαδη Δ = 0)
Κ ω ν ι κ ε ς Τ ο μ ε ς112
Τακης Τσακαλακος Κερκυρα 2018
2 2 2 2
Δ= 0 (6λ ) +4(1-3λ )(3λ +3)= 0
4
36λ 2 4
+12λ +12- 36λ 2 2 2 1 2
-36λ = 0 24λ = 12 λ = λ=
2 2
Ετσι,οιεφαπτομενες:
2 2
y= (x-1) και y=- (x-1)
2 2
2 × x-2y= 2 2 × x+2y= 2
2 2
Να δειξετε οτι η (ζ): x+2y= 1 ειναι εφαπτομενη της υπερβολης
(c): 3y -x = 3
και να βρειτε το σημειο επαφης.
Α π α ν τ η σ η
2 2 2 2
2 2 2
2
Λυνουμε το συστημα των εξισωσεων της
ευθειας (ζ) και της υπερβολης c
3y -x = 3 3y -(1-2y) = 3
x+2y= 1 x= 1-2y
3y -1+4y-4y = 3 y -4y+4= 0
x= 1-2y x= 1-2y
(y-2) = 0
x= 1-2y
y= 2
x= 1-2× 2
H λυση ειναι μοναδικη,
αρα
η (ζ) ειναι εφαπτομενη της c, με σημειο επαφης το Μ(-3,2).
y= 2
x=-3
ΑΠΟΔΕΙΞΗ ΕΞΙΣΩΣΗΣ ΕΦΑΠΤΟΜΕΝΗΣ ΥΠΕΡΒΟΛΗΣ
Τροπος Λυσης :
Με γνωστη την εξισωση της υπερβολης και της εφαπτομενης ευ-
θειας
● Για να ειναι η δοσμενη ευθεια εφαπτομενη της υπερβολης πρεπει
το συστημα των εξισωσεων της ελλειψης και της ευθειας να εχει
μ ο ν α δ ι κ η λυση
● Η λυση του πιο πανω συστηματος ειναι οι συντεταγμενες του ση -
μειου επαφης
ΠΑΡΑΔΕΙΓΜΑ
Υ π ε ρ β ο λ η 113
Τακης Τσακαλακος Κερκυρα 2018
Εστω η παραβολη 2 2
3x -y = 3και το σημειο Ρ(1,2).
Αν οι εφαπτομενες απ’το Ρ στην υπερβολη, εφαπτονται στα σημεια Α και
Β, να βρειτε την εξισωση της ευθειας που διερχεται απ’τα σημεια Α και Β .
Α π α ν τ η σ η
Αν A(x1 , y1 ), Β(x2 , y2 ) τα σημεια επαφης.
Οι εφαπτομενες ΡΑ, ΡΒ εχουν εξισωσεις
αντιστοιχα:
● 3x x1 - y y1 = 3 και ● 3x x2 - y y2 = 3
To Ρ(1, 2) ειναι σημειο των ΡΑ και ΡΒ, αρα
1 1 1 1
2 2 2 2
3× 1× x -2× y = 3 3× x -2× y = 3
3× 1× x -2× y = 3 3× x -2× y = 3
(1)
Απ’την (1) προκυπτει οτι οι συντεταγμενες
των σημειων Α και Β επαληθευουν την
εξισωση : 3x-2y= 3
Η ζητουμενη ευθεια ειναι : 3x+2y-3= 0
ΠΑΡΑΔΕΙΓΜΑ
ΕΥΡΕΣΗ ΕΞΙΣΩΣΗΣ ΧΟΡΔΗΣ ΥΠΕΡΒΟΛΗΣ
Τροπος Λυσης :
Με γνωστο, σημειο απ’το οποιο διερχονται δυο εφαπτομενες και η
εξισωση υπερβολης
● Αν το γνωστο σημειο ειναι Ρ(x 0 ,y0 ) τοτε οι συντεταγμενες του
επαληθευουν την εξισωση της εφαπτομενης στα σημεια επαφης
και πρoκυπτει εξισωση της μορφης
ΕΥΡΕΣΗ ΕΣΤΙΩΝ - ΚΕΝΤΡΟΥ - ΚΟΡΥΦΩΝ
Τροπος Λυσης :
Με γνωστη την εξισωση της υπερβολης
● Φερνουμε την εξισωση σε μορφη
● Προσδιοριζουμε τα α και β, αμεσα απ’την πιο πανω εξισωση και τα γ
και ε απο ε = και β 2
= γ 2
- α 2
Κ ω ν ι κ ε ς Τ ο μ ε ς114
Τακης Τσακαλακος Κερκυρα 2018
Να αποδειξετε οτι καθεμια απο τις παρακατω εξισωσεις παριστανει υπερ -
βολη, για την οποια να βρειτε τις συντεταγμενες του κεντρου, των κο -
ρυφων και των εστιων:
● 2 2
21x -4y +84x-32y-64= 0 ● 2 2
2y -3x -8y+6x-1= 0
Α π α ν τ η σ η
Η εξισωση γραφεται :
● 2 2
21x -4y +84x-32y-64= 0
2 2
21(x +4x)-4(y +8y)= 64
2 2
21(x +2× 2x+4)-4(y +2× 4y+16)=
=64+84-64
2 2
2 2 X=x+2
Y=y+4
2 2
2 2
21(x-2) -4(y+4) = 84
(x+2) (y+4)
- = 1
4 21
X Y
- = 1
2 ( 21)
Αρα,
η εξισωση παριστανει υπερβολη με κεντρο το σημειο Ο'(-2, - 4).
Ως προς το συστημα Ο'ΧY
οι κορυφες A', Α εχουν συντεταγμενες (X, Y) = (-2, - 4),
(X, Y) = (2, - 4) αντιστοιχα, ενω
οι εστιες E', E εχουν συντεταγμενες (X, Y) = (- 5, 0) και (X, Y) = (5, 0)
αντιστοιχα.
Επομενως, ως προς το συστημα Oxy ΄
οι κορυφες ειναι τα σημεια
Α’(- 4, - 4) και Α(0, - 4) και
οι εστιες Ε’(- 7, -4) και Ε(3, -4) .
● 2 2
2y -3x -8y+6x-1= 0
2 2
2 2
2 2
2 2 2 2X=x-1
2 2Y=y-2
2(y -4y)-3(x -2x)= 1
2(y -2× 2y+4)-3(x -2x+1)= 1+8-3
2(y-2) -3(x-1) = 6
(y-2) (x-1) Y X
- = 1 - = 1
3 2 ( 3) ( 2)
Αρα, η Αρα, η εξισωση
παριστανει υπερβολη με κεντρο το σημειο Ο'(1, 2),
κορυφες τα σημεια A'(1, 2- 3), A(1, 2+ 3) και
εστιες τα σημεια E'(1, 2- 5) και E(1, 2+ 5)
ΠΑΡΑΔΕΙΓΜΑ
Υ π ε ρ β ο λ η 115
Τακης Τσακαλακος Κερκυρα 2018
2 2
1
Να βρεθουν οι ασυμπτωτες της υπερβολης: (c): 9y -4x = 36
Αν μια υπερβολη (c ) εχει το ιδιο κεντρο με την (c), εχει εστιες στον x'x
και εχει τις ιδιες ασυμπτωτες με την (c), τοτε ποια ειναι η εξισωση της;
Α π α ν τ η σ η
2 2
2 2
Ειναι,
9y 4x
9y -4x = 36 - = 1
36 36
Ετσι, και , οποτε οι ασυμπτωτες
ειναι: και
Η ζητουμενη υπερβολη ειναι της μορφης:
2 2
1 2
y x
- = 1
4 9
α= 2 β= 3
2 2
(ε ): y= x (ε ): y=- x
3 3
(
1 2
αφου εχει εστιες πανω στον αξονα x'x.
β β
Οι ασυμπτωτες της ειναι της μορφης:(ε ): y= x και (ε ): y=- x
α α
Ομως,
22
1 2 2
yx
c ): - = 1
α β
1 2
2 2
(ε ): y= x και (ε ): y=- x
3 3
Γι'αυτο:
και και
22
1
α= 3 β= 2
yx
(c ): - = 1
9 4
ΠΑΡΑΔΕΙΓΜΑ
ΑΣΥΜΠΤΩΤΕΣ ΥΠΕΡΒΟΛΗΣ - ΣΥΖΥΓΕΙΣ ΥΠΕΡΒΟΛΕΣ
Τροπος Λυσης :
Με γνωστα, την εξισωση της υπερβολης που εχει ιδιες ασυμπτωτες
και ιδιο κεντρο με τη ζητουμενη
● Βρισκουμε τις ασυμπτωτες, απ’τη δοσμενη υπερβολη
● Βρισκουμε απ’τις πιο πανω ασυμπτωτες, τα α και β της ζητουμενης
Κ ω ν ι κ ε ς Τ ο μ ε ς116
Τακης Τσακαλακος Κερκυρα 2018
Να βρεθει η γωνια των ασυμπτωτων μιας υπερβολης που η εκκεντροτη -
τα της ειναι ιση με 2
Α π α ν τ η σ η
β
ω η ζητουμενη γωνια και φ η γωνια που σχηματιζει η ασυμπτωτη y= x
α
με τον Οx
Μ ε τ ρ ι γ ω ν ο μ ε τ ρ ι α :
ω
Αν φ= :
2
ΠΑΡΑΔΕΙΓΜΑ
ΓΩΝΙΑ ΑΣΥΜΠΤΩΤΩΝ
Τροπος Λυσης :
Με γνωστα, Στοιχεια της υπερβολης (πχ την εκκεντροτητα)
● Με τριγωνομετρια:
● Με Πυθαγορειο:
Απ’τη κορυφη Α φερνουμε την εφαπτομενη x = α που τεμνει την
ασυμπτωτη στο Γ.
Ειναι ΟΑ = α και .
Απο Πυθαγορειο στο τριγωνο ΟΓΑ:
. Ετσι συνφ =
● Με διανυσματα:
Εστω
.
Υ π ε ρ β ο λ η 117
Τακης Τσακαλακος Κερκυρα 2018
2 2 2 2 2
2
2 2 2 2 2
2
2 2 2 2 2 2 2 2 2 2
2 2
2 φ<90
2 0
2
β β ημ φ β 1-συν φ β
λ= εφφ= εφ φ= = =
α α συν φ α συν φ α
α
α -α συν φ= β συν φ (α
1
+β )συν φ= α συν φ=
α +β
α
συν φ= ~ 6
α 1
συνφ=
ε 2
0
γ
=
γ
0
ω= 120
Μ ε Π υ θ α γ ο ρ ε ι ο :
Απ’τη κορυφη Α φερνουμε την εφαπτομενη x = α που τεμνει την
ασυμπτωτη στο Γ.
Ειναι ΟΑ = α και
β
λ= εφφ= = ΑΓ= β
α
.
Απο Πυθαγορειο στο τριγωνο ΟΓΑ: 2 2 2
ΟΓ= α +β ΟΓ= γ =γ
Ετσι
συνφ = 0ΟΑ
= ~
Ο
α
2
60
Γ
1 1
= =
γ ε
0
ω= 120
Μ ε δ ι α ν υ σ μ α τ α :
Εστω 1 2
δ =(α,β),δ =(α,-β) που ειναι παραλληλα στις ασυμπτωτες.
Ετσι
2
2 2 2 2 2 2 2
2
1 2
22 2 2 22 2 2 2
1
2
2
2
2
σ
γ
υνω
2-ε 2
γ
2-
δ δ (α,β)(α,-β) α -β α -( -α ) 2α -γ α= = = = = =
γα +β γ γα +β α +β| δ | | δ |
α
2
14
4
=
-
ε
0
ω= 120
ΓΕΩΜΕΤΡΙΚΟΣ ΤΟΠΟΣ
Τροπος Λυσης :
Με δοσμενη την εξισωση της υπερβολης και ιδιοτητα χαρακτηριστι-
κου σημειου
● Απο συνδυασμο των δοσμενων σχεσεων καταληγουμε σε εξισωση
των συντεταγμενων x0 , y0 του Μ, που αποτελει τον γ.τ.
● Αν οι συντεταγμενες x0 , y0 του σημειου Μ συνδεονται με παραμε-
τρο λ, τοτε απαλειφουμε την παραμετρο μεταξυ των συντεταγ -
μενων και καταληγουμε σε εξισωση που ειναι συναρτηση των x 0 ,
y0
Κ ω ν ι κ ε ς Τ ο μ ε ς118
Τακης Τσακαλακος Κερκυρα 2018
Να βρεθει ο γεωμετρικος τοπος των σημειων Μ του επιπεδου, που η
αποσταση τους απ'το σημειο Ε(4,0) ισουται με την διπλασια αποσταση
τους απο την ευθεια (ε):x= 1.
Στη συνεχεια, βρειτε την εκκεντροτητα της γραμμης που προκυπτει.
Α π α ν τ η σ η
2 2
2 2 2
2
Αν Μ(x,y) τυχαιο σημειο του γεωμ.τοπου,
τοτε:
(ΜΕ)= 2× d(M,ε)
(x-4) +(y-0) = 2 | x-1|
(x-4) +y =4(x-1)
x - 8x 2 2
+16 +y =4x - 8x
2 2
+4
3x -y =12
Αρα, ο ζητουμενος γεωμετρικος τοπος
ειναι υπερβολη.
Ακομη
οποτε 4+12
Ετσι,
γ 4
=
α 2
22
2 2
yx
- =1
4 12
α = 4 β = 12 γ= = 4
ε= = 2
Να δειξετε οτι το σημειο Μ
2
2 2
α(1+t ) 2βt
,
1-t 1-t
, t , ανηκει σε υπερβολη για
καθε t ±1
Α π α ν τ η σ η
να ανηκει το Μ σε υπερβολη πρεπει οι συντεταγμενες του να επαλη-
θευουν την εξισωσητης.
Πραγματι
ΠΑΡΑΔΕΙΓΜΑ 1
ΠΑΡΑΔΕΙΓΜΑ 2
Υ π ε ρ β ο λ η 119
Τακης Τσακαλακος Κερκυρα 2018
2 2 22
2 2
2 2
αα(1+t ) 2βt
1-t 1-t
= - =
α β
22
2 2
yx
-
α β
2 2
2 2
2
(1+t )
(1-t )
α
2
4β
-
2
2 2
2
t
(1-t )
β
2 2 2
2 2 2 2
2 22 4 2 2 4
2 2 2 2 2 2
(1+t ) 4t
= -
(1-t ) (1-t )
(1-t )1+2t +t -4t 1-2t +t
= = =
(1-t ) (1-t ) (1-t )
= 1
Nα βρειτε το γεωμετρικο τοπο των σημειων τομης των ευθειων
ε1 : αy = β(x-λα) και ε2 : λαy = β(α-λx) για καθε λ
Α π α ν τ η σ η
Aν Μ(x,y) τυχαιο σημειο του γεωμετρικου τοπου,τοτε:
βx-αy
αy= β(x-λα) αy= βx-λαβ λαβ= βx-αy λ= (1)
αβ
λαy= β(α-λx) λαy= αβ-λβx λαy+λβx= αβ (βx+αy)λ= αβ
αβ
λ= (2)
βx+αy
Απο (1) και (2):
βx-αy
αβ
2 2 2 2 2 2 2 2
2
αβ
= (βx-αy)(βx+αy)= α β β x -α y = α β
βx+αy
β 2
2 2
x
α β
2
α
-
2
2
y
α 2
= 1
β
Αρα, ο ζητουμενος γεωμετρικος τοπος ειναι υπερβολη.
22
2 2
yx
- =1
α β
ΠΑΡΑΔΕΙΓΜΑ 3
Κ ω ν ι κ ε ς Τ ο μ ε ς120
Τακης Τσακαλακος Κερκυρα 2018
Γ Ι Α Π Ρ Ο Π Ο Ν Η Σ Η . . .
01.
Να βρειτε την εξισωση της υπερβολης οταν
 Εχει εστια Ε΄(- 5, 0) και μια κορυφη ειναι το σημειο Α(4, 0)
 Εχει εστια Ε(0,5) και διερχεται απο το σημειο Μ(3, 4 2)
 Διερχεται απο τα σημεια Μ( 2, 1) και Ν(- 2, 3)
 Εχει κορυφη Α(0,3) και διερχεται απο το σημειο Ρ(2, 3 2)
 Εχει ασυμπτωτους τις y =
3
2
x και y = -
3
2
x , και διερχεται απο το
σημειο (2 2, 3)
 Εχει εκκεντροτητα
5
4
και κοινες εστιες με την ελλειψη
22
yx
+ = 1
9 4
 Ειναι ισοσκελης και εχει τις ιδιες εστιες με την ελλειψη 2x 2
+3y2
=5
02.
22
2 2
22
2 2
yx
Bρειτε την εξισωση της υπερβολης - = 1 με εστιακη αποσταση
α β
10 και αποσταση κορυφων 6.
yx
Bρειτε την εξισωση της υπερβολης - = 1 που διερχεται απ'τα
α β
ση
9 20
μεια Α(5, ) και Β( ,8).
2 3
3
Bρειτε την εξισωση της υπερβολης,αν (Α'Α)= 8, ε= και εστιες πανω
2
στον x'x.
Υ π ε ρ β ο λ η 121
Τακης Τσακαλακος Κερκυρα 2018
04.
2 2
22
Να βρειτε την εξισωση της χορδης υπερβολης (c): 4x -9y = 36,
αν το μεσο της ειναι το σημειο Μ(-1,1).
yx
Να βρειτε την εξισωση της χορδης υπερβολης (c): - = 1, αν το
16 4
μεσο της ειναι το σημειο Μ(2,1).
06.
22
Να βρειτε τις εξισωσεις των εφαπτομενων της υπερβολης
yx
c: - = 1
2 4
που ειναι καθετες στην ευθεια ε: x+2y-3= 0.
03.
Να βρειτε την εξισωση της υπερβολης που εχει τις εστιες της στον
αξονα x΄x συμμετρικες ως προς την αρχη των αξονων και ακομα:
 εχει εστιακη αποσταση (Ε΄Ε) = 6 και ε = 3/2
 εχει εστιακη αποσταση (Ε΄Ε) = 20 και ασυμπτωτες
y = 4/3x και y = - 4/3 x.
 εχει (Ε΄Ε) = 4 και ασυμπτωτες τις διχοτομους των γωνιων των
αξονων.
05.
Βρειτε τις εστιες, τις κορυφες ,την εκκεντροτητα και τις
ασυμπτωτες των υπερβολων:
 16x2
– 25y2
= 400  y2
- 4x2
= 4  169x2
-25y2
= 4225
Κ ω ν ι κ ε ς Τ ο μ ε ς122
Τακης Τσακαλακος Κερκυρα 2018
07.
Να βρεθουν οι εξισωσεις των εφαπτομενων της υπερβολης:
 x 2
- 4y 2
= 5 στο σημειο της Μ(3,-1)
 9x 2
- y 2
= 32 που ειναι παραλληλες στην ευθεια 9x + y + 9 = 0
 x 2
- y 2
= 1 που ειναι καθετες στην ευθεια y =
1
2
x
 x 2
- y 2
= 16 που διερχονται απο το σημειο Μ( - 1,- 7)
08.
Να βρεθουν οι εξισωσεις των εφαπτομενων της υπερβολης
C: 4x 2
- y 2
= 4 που ειναι :
 παραλληλες στην ευθεια δ: y = 4x
 καθετες στην ευθεια ζ: x – 4y + 2 = 0
 διερχονται απο το σημειο Κ(0,4)
09.
2 2
1
Να βρεθουν οι ασυμπτωτες της υπερβολης: c: y -9x = 9
Αν μια υπερβολη c εχει το ιδιο κεντρο με την c, εχει εστιες στον y'y
και εχει τις ιδιες ασυμπτωτες με την c, τοτε ποια ειναι η εξισωση της;
10.
Δινεται η υπερβολη c:
22
yx
- = 1
5 4
.
Να δειξετε οτι η ευθεια που διερχε-ται απο το σημειο Ρ(- 1,2) και ειναι
παραλληλη στην ευθεια ε: 2x – y + 7 = 0 , ειναι εφαπτομενη της υ-
περβολης .
Υ π ε ρ β ο λ η 123
Τακης Τσακαλακος Κερκυρα 2018
11.
22
Να βρειτε την εξισωσης της ισοσκελους υπερβολης (α= β) που εχει τις
yx
ιδιες εστιες με την ελλειψη c: + = 1
9 4
12.
0
Να βρειτε την εξισωσης της υπερβολης που διερχεται απ'το σημειο
Μ(3,4) και ειναι Ε'ΜΕ= 90 .
13.
22
Να βρειτε την γωνια που σχηματιζουν οι ασυμπτωτες της υπερβολης
yx
c: - = 1
2 6
14.
Να βρεθει ο γεωμετρικος τοπος των σημειων Μ του επιπεδου, που η
αποσταση τους απ'το σημειο Ε(8,0) ισουται με την διπλασια αποσταση
τους απο την ευθεια (ε):x= 2.
Στη συνεχεια να βρειτε την εκκεντροτητα της γραμμης που προκυπτει.
15.
2 2 22
2 2 2 2
Δειξτε οτι το γινομενο των αποστασεων καθε σημειου τηςυπερβολης
y α × βx
- = 1 απο τις ασυμπτωτες αυτης ειναι σταθερο και ισο με .
α β α +β
Κ ω ν ι κ ε ς Τ ο μ ε ς124
Τακης Τσακαλακος Κερκυρα 2018
16.
Να αποδειξετε οτι το σημειο M(
4
,
συνθ
3εφθ) με θ
π π
- ,
2 2
κινειται,
καθως το θ μεταβαλλεται, σε μια υπερβολη .
17.
22
2 2
Να δειξετε οτι το εμβαδον του τριγωνου που σχηματιζεται απο τις
yx
ασυμπτωτες της υπερβολης - = 1 και μια οποιαδηποτε εφαπτο-
α β
μενη, ειναι σταθερο.
18.
Θεωρουμε την υπερβολη (c): x2
– y2
= 1 και την ευθεια (ε): x + 2y = α.
Να βρεθουν οι τιμες του α, για τις οποιες η (ε) εφαπτεται στη (c).
19.
Δινεται η παραβολη με εστια E(2p,0) , p > 0 .
 Να βρειτε την εξισωση της υπερβολης της οποιας η μια εστια της
συμπιπτει με την εστια της παραβολης , και η μια κορυφη της με το
μεσο του OE οπου O η αρχη των αξονων.
 Βρειτε την αμβλεια γωνια των ασυμπτωτων ευθειων της
υπερβολης.
 Να βρειτε τα σημεια τομης της παραβολης και της υπερβολης.
Υ π ε ρ β ο λ η 125
Τακης Τσακαλακος Κερκυρα 2018
20.
Θεωρουμε τα σημεια Κ(x1 ,y1 ) και Λ(x1 , - y1 ) της ισοσκελους υπερβο-
λης x 2
- y 2
= α 2
.
 Να αποδειξετε οτι η εφαπτομενη της ισοσκελους υπερβολης στο Κ
ειναι καθετη στην ΟΛ, οπου Ο η αρχη των αξονων.
 Αν η εφαπτομενη αυτη τεμνει την ΟΛ στο Μ, να αποδειξετε οτι
(ΟΛ)(ΟΜ) = α 2
21.
2 2
Να δειξετε οτι η εξισωση: 9x -4y -18x+16y-43= 0 παριστανει
υπερβολη.
Να δειξετε οτι η ευθεια που διερχεται απ'το σημειο Α(1,3) και ειναι
παραλληλη στην ευθεια (ζ): x-y+2
2 2
= 0, εφαπτεται στην υπερβολη
x -3y = 6.
22.
3
Να βρεθει ο γεωμετρικος τοπος των σημειων Μ(4εφθ, ) με
συνθ
π π
θ - , .
2 2
... ΓΙΑ ΕΠΑΝΑΛΗΨΗ
Κ ω ν ι κ ε ς Τ ο μ ε ς128
Τακης Τσακαλακος Κερκυρα 2018
Να βρεθει το κεντρο και η ακτινα του κυκλου με εξισωση με κεντρο
την αρχη των αξονων, που διερχεται απ'το σημειο Α(-8,6).
Να βρειτε την εξισωση της εφαπτομενης του
1
πιο πανω κυκλου, που
ειναι παραλληλη στην ευθεια ε : 3x-4y-10= 0.
Α π α ν τ η σ η
Να βρεθει η εξισωση του κυκλου με κεντρο Κ σημειο της ευθειας
ε: x= y-1= 0 που διερχεται απ'την αρχη των αξονων και εχει ακτινα
ρ= 5.
2 2 2
Η εξισωση του κυκλου ειναι της μορφης:
Το Α ειναι σημειο του κυκλου και οι συντε-
ταγμενες του επαληθευουν την εξισωση
του.
Ετσι,
(-8) +6 = ρ 6
2 2 2
x +y = ρ
2 2
1
4+36 = ρ ρ = 100
Δηλαδη η εξισωση του κυκλου ειναι:
Αφου η εφαπτομενη (ε) ειναι παραλληλη στην ευθεια ε , τοτε η εξισωσ
2 2 2
ρ= 10
x +y = 10
2 2
η
της ειναι της μορφης:
Ομως αυτη η ευθεια ειναι καθετη σε μια ακτινα του κυκλου,οποτε:
| 3 0-1 0+κ| | κ|
d(O,ε)= ρ = 5 = 5 | κ|= 25
253 +(-4)
Οποτε υπαρχουν δυ
3x-4y+κ= 0
κ=±25
ο εφαπτομενες με εξισωσεις
3x-4y+25= 0
(ε):
3x-4y-25= 0
ΑΣΚΗΣΗ 1
ΑΣΚΗΣΗ 2
Ε π α ν α λ η ψ η 129
Τακης Τσακαλακος Κερκυρα 2018
Α π α ν τ η σ η
2 2
Αν το κεντρο του κυκλου ειναι Κ(κ,λ) τοτε
η εξισωση του: (1)
Ο κυκλος διερχεται απ'το σημειο Ο(0,0),
οποτε ΚΟ ειναι ακτινα του.
Ετσι
(0-κ) +(0-λ)| ΚΟ|= ρ
2 2 2
(x-κ) +(y-λ) = 5
2 2 2
Vieta
12
κ,λριζες
2
1 2
= 5
κ+λ-1= 0
κ +λ = 25 (κ+λ) -2κλ= 25
κ+λ= 1 κ+λ= 1
ω =-31-2κλ= 25 κλ=-12
ω -ω-12= 0 ...
κ+λ= 1 κ+λ= 1 ω = 4
(κ,λ)=(ω ,ω )=(-3,4) τοτε η (1): 1
c :(x+3)
1 2
(λ,κ)=(ω ,ω )=(-3,4) τοτε η (1):
2 2 2
2 2 2
2
+(y-4) = 5
c :(x-4) +(y+3) = 5
Να βρεθει η εξισωση του κυκλου με διαμετρο ΑΒ, οπου
Α(-2,3) και Β(4,3)
Α π α ν τ η σ η
ΒΑ
Κ Κ
ΒΑ
ΚΚ
Κ
Κ
Αν Κ το κεντρο του κυκλου, τοτε το Κ
ειναι το μεσο της διαμετρου ΑΒ.
Ετσι
x +x -2+4Α(-2,3) x = x =
2 2
και
y +y 3+3
y =y =Β(4,3)
22
x = 1
y = 3
Αρα,
Κ(1,3)
ρ 2 2 2 2 2
Α Κ Α Κ
| ΚΑ| =(x -x ) +(y -y ) =(-2-1) +(3-3) = 92 2
= = 3
ΑΣΚΗΣΗ 3
Κ ω ν ι κ ε ς Τ ο μ ε ς130
Τακης Τσακαλακος Κερκυρα 2018
ο
Οποτε η εξισωση του κυκλου ειναι:
Μ(x,y) ειναι ενα τυχαιο σημειο του κυκλου, τοτε η γωνια ΑΜΒ= 90
(εγγεγραμενη που βαιν
Αν
2 2 2
(x-1) +(y-3) = 3
Μια αλλη αντιμετωπιση
ΑΜ=(x+2,y-3)
ΒΜ=(x-4,y-3)
2 2 2 2
2 2
ει σε διαμετρο) και ισχυει:
ΑΜ ΒΜ ΑΜ ΒΜ= 0 (x+2)(x-4)+(y-3)(y-3)= 0
x -4x+2x-8+(y-3) = 0 x -4x+2x-8+(y-3) = 0
(x -2x+1)+(y-3) =
+9 9
9
+
2 2
(x-1) +(y-3) = 2
3
Να βρεθει η εξισωση του κυκλου που διερχεται απ'τα σημεια Α(1,0),
Β(4,3) και εχει ακτιναρ= 3.
Α π α ν τ η σ η
2 2 2
0 0
2 2 2
0 0 0 0
2 2 2
0 00 0
Οι συντεταγμενες των σημειων Α και Β
επαληθευουν την εξισωση
(x-x ) +(y-y ) = ρ
Ειναι
(1-x ) +(0-y ) = 3 x = 1 η x = 4
`...`
y =-x +4(4-x ) +(3-y ) = 3
0 0
0 0
2 2 2 2
0 0 0 0 0
2 22 2
0 0 0 00 0
0
(x ,y )=(1,3)
`
(x ,y )=(4,0)
(1-x ) +(0-y ) = 3 x +y -2x +1= 9| KA|= ρ
` ` `...`
16-8x +x +9-6y +y = 9(4-x ) +(3-y ) = 3| KB|= ρ
x = 1 η
2 2 2
2 2 2
(x-1) +(y-3) = 3
(x-4) +y = 3
Aλλιως
0 0 0
0 0 0 0
x = 4 (x ,y )=(1,-3)
`
y = x -4 (x ,y )=(4,0)
2 2 2
2 2 2
(x-1) +(y+3) = 3
(x-4) +y = 3
ΑΣΚΗΣΗ 4
Ε π α ν α λ η ψ η 131
Τακης Τσακαλακος Κερκυρα 2018
.
Να βρεθει η εξισωση του κυκλου που διερχεται απ'τα σημεια
Α(1,1), Β(1,-1), Γ(2,0)
Α π α ν τ η σ η
ΒΑ
Μ
ΒΑ
Μ
Το κεντρο Κ ειναι το σημειο τομης των με-
σοκαθετων των χορδων ΑΒ και ΑΓ.
Αν Μ το μεσο της χορδης ΑΒ και Ν το με-
σο της χορδης ΑΓ, τοτε
x +x 1+1
x = = = 1
2 2
y +y 1-1
y = = = 0
2 2
Α Γ
Ν
Α Γ
Ν
ΑΒ
και
x +x 1+2 3
x = = =
2 2 2
y +y 1+0 1
y = = =
2 2 2
-1-1
= δεν οριζεται, οποτε η ΑΒ βρισκεται πανω στην ευθεια ε: x= 1
1-1
Ειναι
ΑΒ ΚΜ
ΚΜ ε
ΑΒ ε
x'x
x'x
Μ(1,0)
3 1
Ν( , )
2 2
ΑΓ ΚΝ
ΚΜ|| x'x
x'x, δηλαδη ειναι της μορφης Κ(α,0)
x'x
Επισης
0-1
λ = =-1 και ΚΝ ΑΓ, λ = 1
2-1
Οποτε το Κ ειναι σημειο της ευθειας ΚΝ=(δ) με εξισωση
1 3
y- = 1 (x- )
2 2
(δ): x-y-1= 0
2 2 2
και οι συντεταγμενες του επαληθευουν την εξισωση της
Ετσι
α-0-1= 0
| ΚΑ| =(1-1) +(1-0) = 0+1
Αρα η εξισωση του κυκλου ειναι:
2
2 2
α=1 Κ(1,0)
ρ = = 1
(x-1) +y = 1
ΑΣΚΗΣΗ 5
Κ ω ν ι κ ε ς Τ ο μ ε ς132
Τακης Τσακαλακος Κερκυρα 2018
2 2 2
Aλλιως
Εστω Κ(α,β) το κεντρο του κυκλου
| ΚΑ|=| ΚΒ| | ΚΑ| =| ΚΒ| (1-α) 2 2
+(1-β) = (1-α) 2
2
+(-1-β)
1-2β+ β 2
= 1+2β+ β
2 2 2 2 2 2
2
4β= 0 (1)
| ΚΑ|=| ΚΓ| | ΚΑ| =| ΚΓ| (1-α) +(1-β) =(2-α) +(0-β)
1-2α+ α
β= 0
2
+1-2β+ β 2
= 4-4α+ α 2
+ β
(1)
2 2 2
-2-2β+2α=
2α= 2
Αρα
Ακομη: =| ΚΑ| =(1-1) +(0-1) =
Οποτε η εξισωση του κυκλου ειναι:
2
2 2
α= 1
Κ(1,0)
ρ 1
(x-1) +y = 1
Να βρεθει η εξισωση του κυκλου που το κεντρο του ειναι σημειο της
ευθειας (ε):3x-y-2= 0 και διερχεται απ'τα σημεια Α(3,1) και Β(-1,3).
Α π α ν τ η σ η
Ειναι,
ΒΑ
Μ
ΒΑ
Μ
AB
AB ΚΜ
Αν Μ τομεσο της χορδης ΑΒ τοτε
x +x 3-1
x = = =1
2 2
y +y 1+3
y = = = 2
2 2
Ο συντελεστης διευθυνσης της AB ειναι
3-1 1
λ = =-
-1-3 2
Αφου AB ΚΜ τοτε:
λ λ =-1
Μ(1,2)
ΚΜ ΚΜ
1
- λ =-1 λ = 2
2
Το Κ ειναι σημειο της ευθειας KΜ=(δ) με εξισωση
y-2= 2(x-1)
Δηλαδη το Κ ειναι σημειο των ευθειων (ε) και (δ), οποτε αν Κ(α,β) τοτε
τα α,β ε
(δ): y= 2x
παληθευουν τις εξισωσεις των δυο ευθειων.
ΑΣΚΗΣΗ 6
Ε π α ν α λ η ψ η 133
Τακης Τσακαλακος Κερκυρα 2018
2 2 2
Ετσι
Κ (ε) 3α-β-2= 0 3α-2α-2= 0 α= 2
β= 2α β= 2α β= 4Κ (δ)
| ΚΒ| =(-1-2) +(3-4) = 9 +1
Αρα η εξισωση του κυκλου ειναι:
2
2 2
Κ(2,4)
ρ = = 10
(x-2) +(y-4) = 10
Να βρειτε την εξισωση του κυκλου, που εφαπτεται στις ευθει ες
ε1 : 2x + y - 5 = 0, ε2 : 2 x + y - 15 = 0,
οταν ενα απ’τα σημεια επαφης ειναι το σημειο Α ( 2 , 1 )
Α π α ν τ η σ η
Ειναι 4∙2+1-5=0, οποτε Α ε1
Δηλαδη το κεντρο Κ βρισκεται στην ευθεια
ΚΑ.
Ακομη,
λΚ Α ∙
1ε
λ = - 1 ΚΑ ΚΑ
1
λ (-2)=-1 λ =
2
Αρα η ευθεια ΚΑ εχει εξισωση:
1
y-1= (x-2) 2y-2= x-2 x-2y= 0
2
Aν Κ(α, β) τοτε
 α - 2 β = 0 α = 2 β (1) (αφου Κ ΚΑ)
 d(Κ,ε1 ) = d(Κ,ε2 )
2 2 2 2
| 2α+β-5| | 2α+β-15|
` = `| 2α+β-5|=| 2α+β-15|`
2 +1 2 +1
2α+β-5= 2α+β-15 -5=-15 αδυνατη
η ` η `2α+β= 10 (2)
2α+β-5=-2α-β+15 4α+2β= 20
Λυνουμε το συστημα των (1) και (2)
2
1 2 2
α= 2β α= 2β α= 4
Κ(4,2)
2 2β+β= 10 5β= 10 β= 2
Επισης
| 2 4+2-5| | 5| 5 5 5
ρ=d(Κ,ε )|= = = = = 5 ρ = 5
55 52 +1
Αρα η εξισωση του κυκλου ειναι: 2 2
(x-4) +(y-2) = 5
ΑΣΚΗΣΗ 7
Κ ω ν ι κ ε ς Τ ο μ ε ς134
Τακης Τσακαλακος Κερκυρα 2018
... Ας το δυσκολεψουμε (;) λιγο
 Να βρεθει και το δευτερο σημειο επαφης Β
 Να αποδειξετε οτι τα σημειο Ο, Α, Κ, Β ειναι συνευθειακα
... Παμε
 Εστω Β(κ,λ) το ζητουμενο σημειο επαφης
1 ο ς τ ρ ο π ο ς
2
2
2
2 2
( 6)
λ= 15-2α2κ+λ= 15ε 3
`...` `
κ -12κ+36 = 0 6c (κ-4) +(κ-2) = 5
Β(6,3)
2 ο ς τ ρ ο π ο ς
(4,2)
2
2 2( , ) 2 2
2 15ε 15 2 3
`...` `
6κ -12κ+36 = 0d(K,B)= ρ (κ-4) +(λ-2) = 5
Β(6,3)
3 ο ς τ ρ ο π ο ς
1
Κ κοινο στις
2 ΚΑ, ΚΒ
1 2
ε
2
ε || διαμετρος μεσο AB ~
y y
yε || ε
2
2
4
62
~
1 3
2
2
Β(6,3)
4 ο ς τ ρ ο π ο ς
2
ε 2κ+λ= 15 6
... διαμετρος ~... ~
2 3ΚΑ
Β(6,3)
5 ο ς τ ρ ο π ο ς
Α, Β αντιδιαμετρικα, συνεπως το Β ειναι το συμμετρικο του Α ως προς
το κεντρο Κ.
Ετσι
Α(2,1)
Β(2+4,1+2)
Κ(4,2)
Β(6,3)
 Οι συντεταγμενες των σημειων Ο, Α, Κ, Β επαληθευουν την εξισωση
της ευθειας ΚΑ (y=2χ), συνεπως ειναι σημεια της που σημαι νει πως
ειναι συνευθειακα.
Ε π α ν α λ η ψ η 135
Τακης Τσακαλακος Κερκυρα 2018
2 2
Να βρεθουν οι εξισωσεις των κυκλων, που εφαπτονται στον κυκλο
c: x +y = 25 στο σημειο Α(3,4) και εχουν ακτινα ρ= 10.
Α π α ν τ η σ η
0 0
Ο κυκλος (c) εχει κεντρο Ο(0,0) και ακτι-
να R= 5
Εστω Κ(x , y ) το κεντρο ενος απ'τους
ζητουμενους κυκλους, οποτε:
Κ,Α,Ο συνευθεια
0 0
0 0
ΚΑ=(3-x ,4-y )
ΟΑ=(3,4)
ΟΚ=(x ,y )
κα
Αν οι κυκλοι εφαπτονται εξωτερικα:
2 2 2 2
Δ= 0 (6λ ) +4(1-3λ )(3λ +3)= 0
0
0 0 0 0
0
ΟΚ= ΟΑ+ΑΚ= R+ρ= 5+10= 15= 3R= 3× OA
x = 9
(x ,y )= 3(3,4) (x ,y )=(9,12)
y = 12
Αν οι κυκλοι εφαπτονται εσωτερικα:
Ειναι: ΟΚ= Ο
2 2
1
ΟΚ= 3ΟΑ
c :(x-9) +(y-12) = 100
0
0 0 0 0
0
Α-ΚΑ= R-ρ= 5-10=-5=-R=-ΟΑ
Ετσι
x =-3
(x ,y )=-(3,4) (x ,y )=(-3,-4)
y =-4
2 2
2
ΟΚ=-ΟΑ
c :(x+3) +(y+4) = 100
2 2 2 2
1 2
Δειξτε οτι οι κυκλοι:
c : x +y -8χ-10y+32= 0 και c : x +y -8x-4y-16 = 0
εφαπτονται εσωτερικα και στη συνεχεια βρειτε το σημειο επαφης Α.
ΑΣΚΗΣΗ 8
ΑΣΚΗΣΗ 9
Κ ω ν ι κ ε ς Τ ο μ ε ς136
Τακης Τσακαλακος Κερκυρα 2018
Α π α ν τ η σ η
2 2
2 2
1
2 2
2 2
x +y -8χ-10y+ = 0
(x -8χ )+(y -10y+ )=
Ο κυκλος (c ) εχει
κεντρο K(4,5) και ακτινα R= 3
x +y -8x-4y- = 0
(x -8x+ )+(y -4y+ )6 =
32
16 25 9
16
1 4 36
2 2
2
(x-4) +(y-5) = 9
(x-4) +(y
2
2 2
2 2
(-
2 2
Ο κυκλος (c ) εχει κεντρο Λ(4,2) και ακτινα ρ= 6
Για να εφαπτονται εσωτερικα πρεπει: ΚΛ= ρ-R= 6-3= 3
Πραγματι,
(4-4) +(5-2) = 9 =
Ακομη
x +y -8χ-10y+32= 0
x +y -8x-4y-16 = 0
2
-2) = 36
| ΚΛ|= 3
2 2
)
2 2 2
x +y -8χ-10y+32= 0
-6y+48= 0
x +64-8χ-80+32= 0 x -8χ+16 = 0 (x-4) = 0
y= 8 y= 8 y= 8
x= 4
y= 8
Α(4,8)
2 2
Δινεται η εξισωση (x-1) +(y+3) -20+λ(3x+y-10)= 0 (1)
Να δειξετε οτι η (1) παριστανει κυκλο για καθε λ
Να δειξετε οτι ολοι οι κυκλοι της πιο πανω οικογενειας διερχονται
απο δυο σταθερα σημεια, των οποιων να βρεθουν οι συντεταγμενες.
ΑΣΚΗΣΗ 10
Ε π α ν α λ η ψ η 137
Τακης Τσακαλακος Κερκυρα 2018
Α π α ν τ η σ η
2 2
2 2
2 2
2 2
2 2
Ειναι
(x-1) +(y+3) -20+λ(3x+y-10)= 0
x -2x+1+y +6y+9-20+3λx+λy-10λ= 0
x +y +(3λ-2)x+(6 +λ)y-10-10λ= 0 (2)
Για να παριστανει η (2) εξισωση κυκλου
πρεπει:
A +B -4Γ> 0
(3λ-2) +(6 +λ) -
2 2
2
2 2
4(-10-10λ)> 0
9 -12λ+4+36 +12λ+λ +40+40λ> 0
λ +4λ+8> 0
Η τελευταια αληθευει αφου: Δ= 16-4 8=-16 < 0
οποτε τριωνυμο ομοσημο του α(= 1)....
Για λ= 0 η (2) γινεται:x +y -2x+6y
2 2
= 10 (3)
Για λ= 1 η (2) γινεται:x +y +x+7y= 20 (4)
Λυνουμε το συστημα των (3),(4)
2 2 2 2
2 2
2 2
2 2 2
x +y -2x+6y= 10 x +y -2x+6y= 10
3x+y= 10x +y +x+7y= 20
x +(10-3x) -2x+6(10-3x)= 10
y= 10-3x
x +100-60x+9x -2x+60-18x= 10 x -8x+15= 0
y= 10-3x y= 10-3x
x= 3
x= 5
2 2
x= 3
y= 1
και
x= 5
y= 10-3x
y=-5
Α: 3 +1 +(3λ-2) 3+6 +λ-10-10λ= 9 +1+9λ-6 +6 +λ-10-10λ= 0
Β: 25+25+15λ-10-30-5λ-10-10λ= 0
Δηλαδη οι συντεταγμενες των
A(3,1) B(5,-5)
σημειων Α και Β επαληθευουν την (2)
Α λ λ ι ω ς
2 2
2 2
(x-1) +(y+3) -20+λ(3x+y-10)= 0
x -2x+1+y +6y+9-20+3λx+λy-10λ= 0
2 2
(3x+y-10)λ+x +y -2x+6y-10= 0
Για να αληθευει για καθε λ πρεπει
Κ ω ν ι κ ε ς Τ ο μ ε ς138
Τακης Τσακαλακος Κερκυρα 2018
2 2 2 2
3x+y-10= 0 y= 10-3x
` `... και
x +y -2x+6y-10= 0 x +y -2x+6y= 10
A(3,1) B(5,-5)
... Ας το δυσκολεψουμε (;) λιγο
 Να βρεθει ο γεωμετρικος τοπος των κεντρων των κυκλων της παρα -
πανω οικογενειας
 O κυκλος c’: x2
+y2
-20x+50=0 ισχυριζεται οτι ανηκει στην οικογενεια.
Λεει αληθεια;
... Παμε
 Η χορδη ΑΒ ειναι κοινη ολων των κυκλων της οικο γενειας
 Το μεσο Μ της χορδης ΑΒ εχει συντεταγμενες:
3 5
422
~ ~ Μ(4,-2)
y y y 21 (-5)
y y
2 2
 Αν Κ το κεντρου τυχαιου κυκλου της οικογενειας, τοτε ΚΜ ΑΒ
Κ Κ Κ Κ
Κ Κ Κ Κ Κ Κ
ΚΜ ΑΜ` ΚΜ ΑΜ 0
ΚΜ (4-χ ,-2-y ) (4-χ ,-2-y )(1,-3) 0`
ΑΜ (4-3,-2-1)=(1,-3)
1 (4-χ )-3(-2-y )= 0`4-χ +6 +3y 0`χ 3y 10
Δηλαδη, ο γεωμετρικος τοπος των κεντρων των κυκλων της παρα -
πανω οικογενειας ειναι η ευθεια ε: x-3y=10.
 Εχουμε
c’: x2
+y2
-20x+50=0 με
Α=-20, Β=0 και Γ=50
 Α2
+Β2
-4Γ=400-200=200>0

A B
K - ,- K(10,0)
2 2
Α λ λ ι ω ς
x2
+y2
-20x+50=0`
x2
-20x+100+y2
=50`
(x -10)2
+y2
=50 Κ(10,0)
 Α c’ αφου,
32
+12
-20 3+50=
9+1-60+50=0
 Β c’ αφου, 52
+(-5)2
-20 5+50=25+25-100+50=0
 Κ’ ε αφου, 10-3 0=10
Δηλαδη ο c’ διερχεται απ’τα σημεια Α, Β και το κεντρο βρισκεται πανω
στην ευθεια ε, οποτε ... λεει αληθεια.
Ε π α ν α λ η ψ η 139
Τακης Τσακαλακος Κερκυρα 2018
2 2
Εστω ο κυκλος c: x +y +λx-λy= 0, λ 0 και η ευθεια ε: x-y+1= 0.
Να βρεθει ο λ, ωστε η ευθεια ε να ειναι εφαπτομενη του κυκλου c.
Α π α ν τ η σ η
2 2 2 2 2
2 2 2
A +B -4Γ= λ +(-λ) -4 0= 2λ > 0
Αρα ο c ειναι κυκλος με
-Α -Β -λ λ
κεντρο: Κ , = Κ ,
2 2 2 2
Α +Β -4Γ 2λ | λ| 2
ακτινα: ρ= = =
2 2 2
Για να εφαπτεται
2 2
η ευθεια (ε) στο κυκλο
(c), πρεπει:
-λ λ
| × 1+ ×(-1)+1|
| λ| 22 2d(Κ,ε)= ρ = `
21 +(-1)
-λ+1= λ 2λ=1|-λ+1| | λ| 2
= ` |-λ+1|=| λ|` `
22 -λ+1=-λ 1= 0
1
λ=
2
1 2
1 2
Εστω οι ευθειες
ε : ημφ× x-συνφ× y= ημ2φ και ε : συνφ× x+ημφ× y= συν2φ, φ
Δειξτε οτι οι ευθειες ε και ε τεμνονται για καθε φ
Βρειτε το γεωμετρικο τοπο του σημειου τομης 1 2
των ευθειων ε και ε .
Α π α ν τ η σ η
2 2
1 2
Για το συστημα των εξισωσεων των ευθειων:
ημφ -συνφ
D= = ημ φ+συν φ= 1 0
συνφ ημφ
Αρα το συστημα εχει λυσηγια καθε φ ,που σημαινει οτι οι ε , ε
τεμνονται.
Ακομη, αν Μ(x,y) τοσημειο τομης των ευθειων (λυση του συστηματος)
2
ημ2φ=2ημφσυνφ
x
συν2φ=1-2ημ φ
ημ2φ -συνφ
D = =ημφ ημ2φ+συνφ συν2φ =
συν2φ ημφ
ΑΣΚΗΣΗ 11
ΑΣΚΗΣΗ 12
Κ ω ν ι κ ε ς Τ ο μ ε ς140
Τακης Τσακαλακος Κερκυρα 2018
2 2
2
= 2ημ φσυνφ+συνφ(1-2ημ φ)=
= 2ημ φσυνφ 2
+συνφ- 2ημ φσυνφ
2
y
ημ2φ=2ημφσυνφ
συν2φ=2συν φ-1
2 2
2
=
= συνφ
ημφ ημ2φ
D = =
συνφ συν2φ
= ημφσυν2φ-συνφημ2φ =
= ημφ(2συν φ-1)-2συν φημφ=
= 2συν φημφ 2
-ημφ- 2συν φημφ
2 2
x
ημ +συν =1
2 2
y
=
=-ημφ
Eτσι,
D
x=
x= συνφ συνφ= xD
x +(-y) = 1
D y=-ημφ ημφ=-y
y=
D
Δηλαδη ο ζητουμενος γεωμετρικος τοπος ειναι κυκλος κεντρου
Ο(0,
2 2
x +y = 1
0) και ακτινας ρ= 1.
2 2
Εστω ο κυκλος c: x +y -8x+2y+12= 0 και η εξισωση ε: x= 2y-4.
Bρειτε τα σημεια του κυκλου c, που απεχουν την ελαχιστη και τη με-
γιστη αποσταση απ'την ευθεια ε.
Α π α ν τ η σ η
2 2
2 2
2 2
Ειναι
x +y -8x+2y+ = 0
x -8x+ +y +2y+ =
Αρα το κεντρο του κυκλου ειναι Κ(4,-1)
και η ακτινα του ρ= 5
| 1× 4-2×(-1)+4| 10 10 5
d(Κ,ε)= = =
5 5 × 51 +(-2)
12
16 1 5
2 2
x-4) +(y+1) = 5(
10 5
= = 2 5 = 2ρ
5
ΑΣΚΗΣΗ 13
Ε π α ν α λ η ψ η 141
Τακης Τσακαλακος Κερκυρα 2018
εΚΜ
ν Μ(α,β) το ιχνος της καθετης απ'το Κ στην ε, τοτε:
β+1 1
λ × λ =-1ε β= 3× =-1
α-4 2 ... ~
ε α= 2α= 2β-4
α= 2β-4
Αν το σημειο τομης του κυκλου c και
Μ(2,3)
της ΚΜ, ΚΑ= ρ και αφου
ΚΜ= 2ρ, τοτε το Α (που απεχει ελαχιστη αποσταση απ'την ε) ειναι
το μεσο του ΚΜ.
Ετσι,
2+4 3-1
Α , η
2 2
Αν Α'(κ,λ) το αντιδιαμε
Α(3,1)
τρικο σημειο του Α (που απεχει μεγιστη απο-
σταση απ'την ε):
κ+3
4=
κ+3= 8 κ= 52
Κ μεσο ΑΑ'
λ+1 λ+1=-2 λ=-3
-1=
2
Α'(5,-3)
2 2 2
Eστω τριγωνο ΑΒΓ με κορυφες Α(1,2), Β(0,3) και Γ(-2,3).
Δειξτε οτι ο γεωμετρικος τοπος των σημειων Μ για τα οποια
ΑΜ +ΒΜ -ΓΜ = 4 ειναι κυκλος.
Για ποια λ η εξισωση x+(λ-1)y+2λ-1= 0 εφαπτεται στο παραπανω
κυκλο.
Α π α ν τ η σ η
2
2 2
2 2
2 2
2
2 2
2 2
2
ΑνΜ(x,y)τοτε
ΑΜ =(x-1) +(y-2)
= x -2x+1+y -4y+4
= x +y -2x-4y+5
BΜ =(x-0) +(y-3)
= x +y -6y+9
ΓΜ =(x+2 2 2
) +(y-3)
ΑΣΚΗΣΗ 14
Κ ω ν ι κ ε ς Τ ο μ ε ς142
Τακης Τσακαλακος Κερκυρα 2018
2 2
2 2
2 2 2
2 2 2 22
2
2
2
2
= x +4x+4+y -6
-
x
y+9
= x +y +4x-6y+13
Eιναι
ΑΜ +ΒΜ ΓΜ = 4
x +y -2x-4y+5+ + - +9- - -4x+ -13= 4
x +y -6x-4y+1
9
= 6
x -6x+ +y
y 6y x y 6y
2
2 2
-4y+ =
Kυκλος κεντρου Κ(3,2) και ακτινας ρ= 4.
Για να εφαπτεται η ευθεια (ε) στο κυκλο πρεπει
| 1× 3+(λ-1)× 2+2λ-1|
d(Κ,ε)= ρ = 4
1 +(λ-1)
4 16
2 2 2
(x-3) +(y-2) = 4
2
2 2
2 2
| 4λ|
= 4
λ -2λ+2
(4λ) = 16(λ -2λ+2)
16λ = 16λ -32λ+32
32λ= 32 λ= 1
Σε καρτεσιανο επιπεδο θεωρουμε τα σημεια Α(2λ-3,0) και Β(0,λ+6),
λ
Βρειτε το γεωμετρικο τοπο των σημειων Μ(x,y), για τα οποια το τμημα
ΑΒ φαινεται υπο ορθη γωνια απ'αυτα.
Να προσδιορισετε τα δυο σταθερα σημεια, απ'τα οποια διερχονται ολες
οι καμπυλες του προηγουμενου ερωτηματος.
Α π α ν τ η σ η
0
Αν Μ(x,y) τοτε
ΑΜ=(x-2λ+3,y) BΜ=(x,y-λ-6)
ΑΜΒ= 90 ΑΜ BΜ= 0 (x-2λ+3,y)(x,y-λ-6)= 0
x(x-2λ+3)+y(y-λ-6)= 0 (1)2 2
x +y -(2λ-3)x-(λ+6)y= 0
ΑΣΚΗΣΗ 15
Ε π α ν α λ η ψ η 143
Τακης Τσακαλακος Κερκυρα 2018
2 2 2 2
2 2
Α +Β -4Γ=[-(2λ-3)] +[-(λ+6)] -4× 0
=(2λ-3) +(λ+6) > 0
Αρα η (1) παριστανει κυκλο που ειναι ο
ζητουμενος γεωμετρικος τοπος.
Για λ= 0
Για λ= 1
2 2
(1) (-)
2 22 2
2 2 2
y=-2xx +y +3x-6y= 0
x +(-2x) +x-7(-2x)= 0x +y +x-7y= 0
y=-2x y=-2x
x +4x +x+14x= 0 5x +15x= 0
y=-2x
y=-2x
x= 0
5x(x+3)= 0
x=-3
Γ(0,0)
Δ(-3,6)
... Ας το δυσκολεψουμε (;) λιγο
 Να αποδειξετε οτι τα σημεια Α,Β ειναι αντιδιαμετρικα των κυκλων (1)
... Παμε
2 2
x +y -(2λ-3)x-(λ+6)y= 0 με Α=3-2λ, Β=-λ-6 και Γ=0
2 22 2
2 2 2
(3-2λ) +(-λ-6) -4 0Α +Β -4Γ
ρ=
2 2
4λ -12λ+9 +λ 12λ 36 5λ +45
2 2
2 2 2
(ΑΒ)= (2λ-3+0) (0+λ+6) ... 5λ +45
Δηλαδη (ΑΒ)=2ρ που σημαινει οτι τα Α, Β ειναι αντιδιαμετρικα του ...
2 2
Θεωρουμε το κυκλο με εξισωση c: x +y +2x-4= 0
Σε ποια σημεια τεμνει ο κυκλος c τον αξονα y'y;
Bρειτε τις εφαπτομενες του κυκλου c στα πιο πανω σημεια του αξονα
y'y.
Δειξτε οτι οι πιο πανω εφαπτομενες τεμνονται στον αξονα x'x.
Α π α ν τ η σ η
2 2 2
Για x= 0 η c γινεται: 0 +y +2 0-4= 0 y = 4 y=±2
Αρα o κυκλος c τεμνει τον αξονα y'y στα σημεια Α(0,-2) και Β(0,2)
-Α -Β 2 0
Το κεντρο του κυκλου c: Κ , = Κ - ,-
2 2 2
= Κ(-1,0)
2
ΑΣΚΗΣΗ 16
Κ ω ν ι κ ε ς Τ ο μ ε ς144
Τακης Τσακαλακος Κερκυρα 2018
1 1
11
1
1
ΚΑ
εΚΑ ε1
ε1 ε
ε
Για την εφαπτομενη ε στο σημειο Α:
-2-0
λ = =-2
0+1
λ × λ =-1 -2× λ =-1ε
ε y+2= λ × xy+2= λ (x-0)
1
λ =
2
y+2=
2
2 2
1 1
2
ΚB
ε
ε εΚΑ2
ε ε2
1
× x
2
Για την εφαπτομενη ε στο σημειο B:
2-0
λ = =2
0+1
1
λ =-λ × λ =-1 2× λ =-1ε 2
ε y-2= λ × x y-2= λ × x 1
y-2=- × x
2
1
ε : x-2y-4= 0
1 2
(+)
1 2
Λυνουμε το συστημα των ε και ε :
x-2y-4= 0 2x= 8 x= 4 x= 4
x+2y-4= 0 x+2y-4= 0 4+2y-4= 0 y= 0
Το σημειο τομης των ε και ε ειναι το (4
2
ε : x+2y-4= 0
,0) x'x
2 2 2 2
1 2
Δινονται οι κυκλοι
c : x +y -6x+2y-15= 0 και c : x +y +2x-2y-23= 0
Nα δειξετε οτι οι πιο πανω κυκλοι ειναι ισοι και τεμνονται σε δυο
σημεια Α, Β.
Να βρεθει η εξισωση τ
0
1 2
1 2 1 2
ης κοινης χορδης ΑΒ των δυο κυκλων.
Να βρεθει σημειο Μ της ευθειας ΑΒ, ωστε η γωνια Κ ΜΚ = 90
(Κ ,Κ τα κεντρα των κυκλων c και c ).
Α π α ν τ η σ η
Οι κυκλοι γινονται:
ΑΣΚΗΣΗ 17
Ε π α ν α λ η ψ η 145
Τακης Τσακαλακος Κερκυρα 2018
2 2
1
2 2
2
2 2 2
1
2 2 2
2
1 1
1 2
2 2
c : x -6x+9 +y +2y+1= 25
c : x +2x+1+y -2y+1= 25
c :(x-3) +(y+1) = 5
c :(x+1) +(y-1) = 5
(3,-1), ρ = 5
ρ =ρ = 5
(-1,1), ρ = 5
που σημαινει οτι
2 2
1 2
1 2 1 2 1 2
οι δυο κυκλοι ειναι ισοι
Ακομη,
| |= (-1-3) +(1+1) = 20 = 2 5
Οι δυο κυκλοι τεμνονται σε δυο σημεια Α,Β αν:
| ρ -ρ |<| |<ρ +ρ | 5-5|< 2 5 < 5+5 0< 2 5 < 1
2 2
2 2
0 που αληθευει.
Αν Α(α,β) ενα κοινο σημειο των κυκλων, τοτε οι συντεταγμενες του
επαληθευουν τις εξισωσεις των δυο κυκλων.
Ετσι
α +β -6α+2β-15= 0 α
α +β +2α-2β-23= 0
2 2
(+)
2 2
+β -6α+2β-15= 0
-α -β -2α+2β+23= 0
Δηλαδη το κοινο σημειο Α (το ιδιο ισχυει για το Β) ανηκει στην ευθεια:
, που αποτελει την εξισωση της κοινης
2α-β-2= 0
2x-y-2= 0
1 2
1
2
0
1 2 1
χορδης ΑΒ.
Εστω σημειο Μ(κ,λ) ΑΒ.
Τοτε,
2κ-λ-2= 0 λ= 2κ-2 Μ(κ,2κ-2) (και αφου (3,-1), (-1,1))
Κ Μ=(κ-3,2κ-1)
Κ Μ=(κ+1,2κ-3)
Ομως
Κ Μ = 90 Κ Μ 2 1 2
2 2
2
Κ Μ Κ Μ Κ Μ= 0 (κ-3,2κ-1)(κ+1,2κ-3)= 0
(κ-3)(κ+1)+(2κ-1)(2κ-3)= 0 κ +κ-3κ-3+4κ -6κ-2κ+3= 0
κ= 0
5κ -10κ= 0 5κ(κ-2)= 0 η
κ-2= 0
Μ(0,-2)
κ= 0
κ= 2
Μ(2,2)
Κ ω ν ι κ ε ς Τ ο μ ε ς146
Τακης Τσακαλακος Κερκυρα 2018
2
Θεωρουμε τα σημεια Μ(4t ,4t), t σε ορθοκανονικο συστημα Οxy
και την ευθεια ε: αx-y-α= 0 με α 0.
Να αποδειξετε οτι:
Τα σημεια Μ κινουνται σε μια παραβολη c, της οποιας η εστια Ε ανηκει
στην ευθεια ε.
Η ευθεια ε και η παραβολη c εχουν δυο διαφορετικα κοινα σημεια, για
καθε α 0.
Οι εφαπτομενες της παραβολης c, στα κοινα της σημεια με την ευθεια
ε, τεμνονται καθετα.
Α π α ν τ η σ η
2
2 2 2
ΕστωΜ(x,y)
y
x= 4
x= 4t y y4
x= 4× x=
16 4y= 4t y
t=
4
Aρα τα σημεια Μ κινουνται στην παραβο-
λη c, που εχει p= 2 και εστια Ε(1,0).
Ε ε αφου οισυντ
2
c: y = 4x
2
εταγμενες του επαλη-
θευουν την εξισωση της ε.
Πραγματι
α× 1-0-α= α-α= 0
Λυνουμε το συστημα των ε και c, προκειμενου να βρουμε τα κοινα
σημεια τους.
ααx-y-α= 0
y = 4x 2 2 2 22
2 2 2 2
x-α= y y= αx-α
α x -2α x+α = 4x(αx-α) = 4x
y= αx-α
α x -2(α +2)x+α = 0 (1)
Για να εχουν δυο κοινα σημεια η ευθεια ε και η παραβολη c, πρεπει το
συστημα να εχει δυο λυσεις, δηλαδη η εξισωση (1) να εχει δυο ριζες
που σημαινει η διακρινουσα της να ειναι μεγαλυτερη του μηδενος.
ΑΣΚΗΣΗ 18
Ε π α ν α λ η ψ η 147
Τακης Τσακαλακος Κερκυρα 2018
2 2 2 2 4
Πραγματι,
Δ=[-2(α +2)] -4× α × α = 4α 2 4
+16α +16- 4α 2
= 16(α +1)> 0
1 2
1 1 2 2
1 2
Αν Α, Β τα κοινα σημεια των ε, c και x , x οι ριζες τις εξισωσης (1),
τοτε
Α(x ,αx -α) και Β(x ,αx -α)
Αν ε , ε οι εφαπτομενες της c στα σημεια Α
1 2
1 2
ε ε1 1 1 2 2 2
1 2
ε ε 2
1 2 1 2 1 2
και Β αντιστοιχα,
τοτε
2 2
ε : y y= 2(x+x ) και ε : y y= 2(x+x )με: λ = και λ =
y y
Ετσι
2 2 4 4
λ λ = = = =
y y (αx -α)(αx -α) α (x -1)(x -1)
Vieta
222 στην(1)
21 2 1 2
2 2
2
2 2
2
4 4
= = =
2(α +2)α [x x -(x +x )+1]
α [ - +1]
4 4
= =
2α +4
α [1- +1] α
2 2
2 -2α
2
-4
α
1 2
4
= =-1
-4
Αρα, ε ε
2 2
1
2 2
2
1
2
Δινεται η ελλειψη c :25x +9y = 225 και
ο κυκλος c :x +y -8y-84= 0
Nα βρειτε τις εστιες της ελλειψης c
Nα δειξετε οτι το κεντρο του κυκλου c
1
2
1
ειναι μια απ'τις εστιες της
ελλειψης c
Nα δειξετε οτι οι κυκλοι που εφαπτονται εσωτερικα στο κυκλο c και
τα κεντρα τους βρισκονται στην ελλειψη c , διερχονται απ'
1 2
την αλλη
εστια της ελλειψης c (οχι το κεντρο του κυκλου c ).
Α π α ν τ η σ η
2 22 2
2 2
1 1 1
Ειναι
9y y25x 225 x
c : 25x +9y = 225 c : + = c : + = 1
225 225 225 9 25
ΑΣΚΗΣΗ 19
Κ ω ν ι κ ε ς Τ ο μ ε ς148
Τακης Τσακαλακος Κερκυρα 2018
2
2
2 2 2 2
2 2
2
2 2
α = 25
β = 9
γ = α -β = 25-9 = 16 = 4 γ= 4
Οι εστιες βρισκονται στον αξονα y'y,
οποτε Ε'(0,-4) και Ε(0,4).
c : x +y -8y = 0
x +(y -8y )
-84
+16
2 2
2
2
=
x +(y-4) = 100
Aρα το κεντρο του κυκλου c ειναι
Κ(0,4) Ε(0,4) και η ακτινα του R= 10
Εστω (Μ,ρ) οι κυκλοι που εφαπτονται εσωτερικα στον κυκλο c .
Τοτ
100
1
ε
c ( )+( ')= 2α
10
MK= R-ρ MΕ= 10-ρ
-ρ+( ')= 10 ( ')= ρ
Η τελευταια ισοτητα σημαινει οτι οι κυκλοι (Μ,ρ) διερχονται απ'την
εστια Ε'(0,-4)
Δινονται τα διανυσματα u=(-6,8) και ν =(3,-4).
Δειξτε οτι τα διανυσματα u και ν ειναι αντιρροπα
Βρειτε την εξισωση της ελλειψης που εχει ημιαξονες ταμετρα των
u και ν, κεντρο την αρχη των αξονων και εστιες στον αξονα y'y
Βρειτε τις εφαπτομενες της ελλειψης που διερχονται απ'το σημειο
25
Μ ,0
3
Α π α ν τ η σ η
-2<0
2 2
2 2
Ειναι
u =(-6,8)=-2(3,-4)=-2 ν u ν
| u |= (-6) +8 = 36 +64 = 100 = 10
| ν |= 3 +4 = 9 +16 = 25 = 5
ΑΣΚΗΣΗ 20
Ε π α ν α λ η ψ η 149
Τακης Τσακαλακος Κερκυρα 2018
1 1
Eτσι
η ελλειψη εχει ημιαξονες: α= 10 και β= 5
Αφου οιεστιες στον αξονα y'y, η ελλειψη
εχει εξισωση
Εστω Μ(x ,y ) το σημειο επαφης
Η εξισωση τωνεφ
22
yx
c: + = 1
25 100
1 1
1
1
απτομενων ειναι
xx yy
ε: + = 1 (1)
25 100
25
Η ε διερχεται απ'το σημειο Α ,0 οποτε
3
25
× x
0× y 253 + = 1
25 100
1
× x
3× 25
1
2 22
2 21 1
1 1 1
1
2
= 1 x = 3 (2)
c,τοτε
y y3 9 16
+ = 1 = 1- y = 100 y = 64 y =±8 (3)
25 100 100 25 25
Απ'τις (1),(2),(3) η εξισωση των εφαπτομενων ειναι:
8y3x
ε : + = 1
25 100
-8y3x
ε : +
25 1
1
2
ε : 12x+8y= 100
ε : 12x-8y= 100
= 1
00
1
2
ε : 3x+2y-25= 0
ε : 3x-2y-25= 0
2 2 2 2
1 2
Δινονται οι ελλειψεις c : x +4y = 4 και c : 4x +y = 4.
Βρειτε την εξισωση της κοινης εφαπτομενης των δυο καμπυλων.
Α π α ν τ η σ η
1 2
1
2 2 2
Εστω ε: y= λx+β η κοινη εφαπτομενη των c και c
Απαιτουμε το συστημα των ε και c να εχει ακριβως μια λυση
(ενα το σημειο επαφης)
y= λx+βy= λx+β
x +4y = 4 x +4(λx+ 2 2 2 22
y= λx+β
x +4λ x +8βλx+4β = 4β) = 4
ΑΣΚΗΣΗ 21
Κ ω ν ι κ ε ς Τ ο μ ε ς150
Τακης Τσακαλακος Κερκυρα 2018
2 2 2
2 2 2 2
2 2
2
y= λx+β
(1+4λ )x +8βλx+4(β -1)= 0
Πρεπει Δ= 0, δηλαδη:
64β λ -16(1+4λ )(β -1)= 0
β -4λ = 1 (1)
Απαιτουμε το συστημα των ε και c
να εχει ακριβως μια λυση
(ε
2 2 2 2
2 2 2 2 2 2 2
2 2 2 2
να το σημειο επαφης)
y= λx+βy= λx+β
4x +y = 4 4x +(λx+β) = 4
y= λx+βy= λx+β
4x +λ x +2βλx+β = 4 (4+λ )x +2βλx+(β -4)= 0
Πρεπει Δ= 0, δηλαδη
4β λ -4(4+λ )(β -4)= 2 2
0 4β λ 2 2 2
-16β +64- 4λ β 2
2 2
2 2 2 2 2
2 2 2 2 2
+16λ = 0
β -λ = 4 (2)
Λυνουμε το συστημα των (1) και (2)
λ=±1β -4λ = 1 λ +4-4λ = 1 λ = 1
β -λ = 4 β = λ +4 β = 1+4 β=± 5
Οποτε οι ζητουμενες εφαπτομενες ειναι:
1 2 3 4
ε : y= x+ 5 ε : y= x- 5 ε : y=-x+ 5 ε : y=-x- 5
... Ας το δυσκολεψουμε (;) λιγο
 Να αποδειξετε οτι τα σημεια τομης των παραπανω εφαπτομενων
οριζουν κορυφες τετραγωνου
... Παμε
Ευκολα αποδεικνυουμε οτι τα σημεια τομης των εφαπτομενων ειναι τα
Κ(0, 5), Λ( 5,0), Μ(0,- 5), Ν(- 5,0)
Εχουμε
2 2
2 2
ΚΛ=( 5-0,0- 5)=( 5,- 5) ΚΛ|| ΝΜ
ΝΜ=(0-(- 5),- 5-0)=( 5,- 5) ΚΛ ΝΜ
| ΚΛ|= ( 5) +(- 5) = 10
| ΚΛ|=| ΜΛ|ΜΛ=( 5-0,0-(- 5))=( 5, 5)
| ΜΛ|= ( 5) +( 5) = 10
ΚΛΜΝ ρομβος
Ε π α ν α λ η ψ η 151
Τακης Τσακαλακος Κερκυρα 2018
ΚΛ ΜΛ=( 5,- 5) ( 5, 5)= 5 5 (- 5) 5=0 ΚΛ ΜΛ
Συνεπως (ρομβος με ορθη γωνια) ΚΛΜΝ τετραγωνο
0
Δινονται τα σημεια Κ(-5,0) και Λ(0,5).
Που κινουνται τα σημεια Μ για τα οποια ισχυει:|(ΜΚ)-(ΜΛ)|= 8;
Για ποια απ'τα παραπανω σημεια Μ ισχυει: ΚΜΛ= 90 και d(M,K)> d(M,Λ)
Α π α ν τ η σ η
Απ'τον ορισμο της υπερβολης η
δοσμενη σχεση δινει:
Τα σημεια Μ κινουνται πανω σε υπερ-
βολη με εστιες Κ και Λ.
Οι εστιες Κ(0,-5), Λ(0,5) βρισκονται
2 2
2 2
1
0
στον αξονα y'y.
(KΛ)= 10 2γ= 10 γ= 5
2α= 8 = 4
β= γ -α = 25-16 = 9 = 3
Αρα τα σημεια Μ κινουνται στην υπερβολη
y x
c : - = 1
16 9
ΚΜΛ= 90 σημαινει οτι τα σημεια Μ "βλεπου
2
ν" υπο ορθη γωνια το ΚΛ,
δηλαδη κινουνται σε κυκλο διαμετρου ΚΛ= 2γ και επειδη Ο μεσο ΚΛ,
κινουνται στο κυκλο με κεντρο το Ο και ακτινα ρ= 5 που εχει εξισωση
c : 2 2
x + = 25.
d(M,K)> d(M,Λ) σημαινει οτι y> 0 και τα Μ κινουνται στον κλαδο της
υπερβολης που βρισκεται πανω απ'τον αξονα x'x.
Eτσι τελικα
Τα ζητουμενα σημεια, ειναι τ
y
2
1
α σημεια τομης του κυκλου c και του
κλαδου της υπερβολης c που βρισκεται πανω απ'τον αξονα x'x.
ΑΣΚΗΣΗ 22
Κ ω ν ι κ ε ς Τ ο μ ε ς152
Τακης Τσακαλακος Κερκυρα 2018
2 2
1 2 2
22
2
y x
Δινεται η υπερβολη c : - = 1, της οποιας το ορθογωνιο βασης εχει
κ λ
yx
μια κορυφη το σημειο Α(2 2,-2 2) και η ελλειψη c : + = 1.
36 100
Να βρειτε
τις τιμες των κ,λ και 1
3 1
τις εξισωσεις των ασυμπτωτων της c και την
εκκεντροτητα της.
την εξισωση της ελλειψης c που εχει ιδιες εστιες με την υπερβολη c
και ειναι ομοια με την ελλειψη 2
1
c .
την εφαπτομενη της υπερβολης c στο σημειο Β(-1,-3) που εφαπτεται
στο κυκλο σε σημεια που οι συντεταγμενες τους οριζονται απ'τις εξι-
4 10 4 10
σωσεις: x= συνφ, y=
5
ημφ μεφ (0,2π).
5
Α π α ν τ η σ η
2 2
1
Το Α(2 2,-2 2) ειναι κορυφη του
ορθογωνιου βασης αν και μονο αν:
κ= λ= 2 2
y x
c : - = 1
8 8
(ισοσκελης)
ασυμπτωτες: και
εκκεντροτητα:
2 2
1
c : y -x = 8
y= x y=-x
2
2 2 2
2
2
3 3
3 13 1
33
3 23 2
33
β β 8
= ε -1 ε = +1 ε = +1
α α 8
ε = 2
Ειναι
γ = 4 γ = 4
γ = γc ιδιεςεστιεςμεc
α = 54 4γ 100-36
=ε = ε =c ομοιαστηνc
α 5α 10
ε= 2
2 2
3 3 3
β = α -γ = 25-16 = 9 = 3
Ετσι
22
3
yx
c : + = 1
9 25
ΑΣΚΗΣΗ 23
Ε π α ν α λ η ψ η 153
Τακης Τσακαλακος Κερκυρα 2018
2 2
2 2 2 2
(+)
2
2 2
1
4 104 10 4 10x = συν φx= συνφ x +y =
55 5
4 10 4 104 10y= ημφ (0,0)καιρ=y = ημ φ
5 55
Η εφαπτομενη ε της c στο σημειο Β(-3,-1) ειναι:-3y+x= 8
2 2
που εφαπτεται στο κυκλο (Κ,ρ) αφου
| 3× 0-1× 0-8| |-8| 8 8 10 4 10
d(K,ε)= = = = = = ρ
10 510 103 +1
ε: x-3y-8= 0
2 2
1
Δινεται η υπερβολη c : 9y -16x = 144.
Να βρειτε:
Τις ασυμπτωτες και την εκκεντροτητα της υπερβολης.
Τις εφαπτομενες της υπερβολης, αν υπαρχουν, που ειναι παραλληλες
στην ευθεια ε: 4x-3y-1= 0
Το εμβαδον του τριγωνου που οριζεται απ'τις ασυμπτωτες της υπερ-
βολης και την ευθεια y= 4
Α π α ν τ η σ η
2 2
2
2 2 2
2
2
y x
c: - = 1
16 9
α = 16 α= 4
γ = α +β
β = 9 β= 3
γ = 16 +9
α
Ασυμπτωτες: =- x
β
γ= 5
4
y=- x
3
1
1 1
1
ε1 1 1
1
α
y= x
β
γ
Eκκεντροτητα:ε=
α
Η εξισωση της εφαπτομενης της υπερβολης στο σημειο Μ(x ,y ) ειναι:
16x
ε : 9yy -16xx = 144 με λ =
9y
4
y= x
3
5
ε=
4
ΑΣΚΗΣΗ 24
Κ ω ν ι κ ε ς Τ ο μ ε ς154
Τακης Τσακαλακος Κερκυρα 2018
1
1
ε ε1 1 1
1
(1)
2 2 2 2
1 1 1 1
2 2
1 1
16x 4 4
ε || ε λ = λ = y = x (1)
9y 3 3
16
c 9y -16x = 144 9 x -16x = 144
9
16x -16x = 144 0= 144 αδυνατη,
αρα δεν υπαρχει εφαπτομενη 1
2
ε || ε.
Αν Κ,Λ τα σημεια τομης των ασυμπτωτων με την ευθεια ε : y= 4
4 4
x=-3y=- x 4=- x
3 3 K(-3,4)
y= 4
y= 4 y= 4
4 4
x= 3y= x 4= x
3 3 (3,4)
y= 4
y= 4 y= 4
2 2
2
2
( )= 6 +0 = 6
d(O,ε )= 4
1 1
= ×(ΚΛ)× d(O,ε )= × 6 × 4=
2 2
τριγωνου
Ε 12τ.μ.
Ε π α ν α λ η ψ η 155
Τακης Τσακαλακος Κερκυρα 2018
2
0 0
Εστω η παραβολη c:y = 2px και σημειο Ρ(x ,y ) c. Oι εφαπτομενες
απ'το σημειο Ρ προς την c εφαπτονται σ'αυτην στα σημεια Α και Β.
Να αποδειξετε οτι η εξισωση της ευθειας
0 0
ΑΒ ειναι τηςμορφης:
y × y= p×(x+x )
Α π α ν τ η σ η
Εστω Α(x1 ,y1 ), B(x2 ,y2 ) τα σημεια επαφης.
Οι εφαπτομενες ΡΑ, ΡΒ εχουν εξισωσεις:
y 1 ∙ y = p ∙ ( x + x 1 ) και y 2 ∙ y = p ∙ ( x + x 2 )
To σημειο Ρ(x0 ,y0 ) ειναι σημειο των ΡΑ και
ΡΒ, οποτε επαληθευει τις εξισωσεις τους.
Δηλαδη
y 1 ∙ y0 = 2 ∙ ( x0 + x 1 ) και
y 2 ∙ y0 = 2 ∙ ( x0 + x 2 )
Απ’τις πιο πανω εξισωσεις προκυπτει οτι οι
συντεταγμενες των σημειων Α και Β επα -
ληθευουν την εξισωση : y0 ∙ y = p ∙ ( x + x0 ) .
Αρα η ζητουμενη 0 0
y y= p (x+x )
1 1
2 2
1 1
Να δειξετε οτι ενα σημειο Μ(x ,y ) ειναι εσωτερικο της παραβολης
c:y = 2px αν και μονο αν ισχυει y < 2px .
Α π α ν τ η σ η
Aπ’το σημειο Μ(x1 , y1 ) φερνουμε καθετη
στον x’x, που τεμνει τη παραβολη στο ση -
μειο Α(x1 , y0 ).
A c, oποτε οι συντεταγμενες του Α επα -
ληθευουν την εξισωση της c.
Eτσι
2
0 1
y = 2× p× x (1)
Για να ειναι το Μ εσωτερικο σημειο της πα -
ραβολης πρεπει να ισχυει:
2 2
1 0 1 0
| y |<| y | y <y (2)
Απο (1) και (2) προκυπτει : 2
1 1
y <2 p x
ΑΣΚΗΣΗ 25 (ΘΕΩΡΗΤΙΚΗ)
ΑΣΚΗΣΗ 26 (ΘΕΩΡΗΤΙΚΗ)
Κ ω ν ι κ ε ς Τ ο μ ε ς156
Τακης Τσακαλακος Κερκυρα 2018
2
Εστω η παραβολη c:y = 2px και τυχαιο σημειο της Μ.
Δειξτε οτι ο κυκλος με διαμετρο ΜΕ ειναι εφαπτομενος του αξονα y'y.
Α π α ν τ η σ η
1
1
1 1
1
1
2 2
1
2
2
1 1
2
1 1
Κ μεσο ΕΜ
p
+x
yp 2Ε ,0 ,
2 2 2
Μ(x ,y )
p
+x
p21 +0+0 +x
2 2d(K,y'y)= =
21 +0
p
+x
2
= (1)
2
p
(ME) -x +y
R= 2
R=2
2
M c
y = 2px
2
1 1
2
2 2
2 2
111 1 1 1 1
p
-x +2px
2
R=
2
ppp p
+x+x-px +x +2px +px +x
224 4
R= = = = (2)
2 2 2 2
Aπο (1), (2):
d(K,y'y)= R, που σημαινει οτι ο κυκλος εφαπτεται στον αξονα y'y.
2
Εστω η παραβολη c:y = 2px και η ευθεια ε: y= λx+β, με β 0.
Να δειξετε οτι η ευθεια (ε) εφαπτεται στη παραβολη (c) αν p= 2λβ.
Α π α ν τ η σ η
να εφαπτεται η (ε) στη (c) πρεπει το συστημα των εξισωσεων τους
να εχει μοναδικη λυση.
ΑΣΚΗΣΗ 27 (ΘΕΩΡΗΤΙΚΗ)
ΑΣΚΗΣΗ 28 (ΘΕΩΡΗΤΙΚΗ)
Ε π α ν α λ η ψ η 157
Τακης Τσακαλακος Κερκυρα 2018
2
2
2 2 2
2 2 2
y = 2px
(λx+β) = 2px
y= λx+β
λ x +2λβx+β = 2px
λ x +2(λβ-p)x+β = 0
Moναδικη λυση σημαινει η πιο πανω δευτε-
ροβαθμια εξισωση να εχει ακρι
2 2 2
2 2 2 2 2
2 2
βως μια λυση.
Δηλαδη
Δ= 0 [2(λβ-p)] -4λ β = 0
4(λ β -2λβp+p )-4λ β = 0
4λ β 2 2 2
-8λβp+4p - 4λ β
p 0
= 0
-4p(2λβ-p)= 0 p= 2λβ
2
0 0
0
Εστω η παραβολη c:x = 2py και τυχαιο σημειο της Μ(x ,y ).
Να αποδειξετε οτι:
p
Η αποσταση του Μ απο την εστια Ε ειναι ιση με | y + |.
2
Η κορυφη της παραβολης ειναι το πλησιεστερο σημειο της προς την
εστια.
Α π α ν τ η σ η
0
0 0
2 2
0
Εστω ΜΑ η αποσταση του σημειου Μ
απ'τη διευθετουσα δ.
p p
x δ: y=- η δ: 0× x+1× y+ = 0
2 2
p
| 0× x +1× y + |
2M c ΜΕ= d(M,δ) ΜΕ=
0 +1
p
| y + |
2ΜΕ=
1
γινεται ελαχιστο οτ
0
p
ΜΕ=| y + |
2
0
p
αν | y + |
2
γινεται ελαχιστο.
ΑΣΚΗΣΗ 29 (ΘΕΩΡΗΤΙΚΗ)
Κ ω ν ι κ ε ς Τ ο μ ε ς158
Τακης Τσακαλακος Κερκυρα 2018
0
p
Αυτο συμβαινει αν y = 0 και ΜΕ=| | που σημαινει Μ Ο.
2
2
Να βρειτε το γεωμετρικο τοπο των μεσων των χορδων ΟΒ της παρα-
βολης c: y = 2px με ακρα την κορυφη Ο και Β τυχαιο σημειο της παρα-
βολης c.
Α π α ν τ η σ η
0 0 1 1
1
0
1
0
2
1 1
1 0
2 2
1 0 0 0 0 0
2
0 0
Αν Μ(x ,y ) και Β(x ,y )
τοτε
x +0
x =
2
μεσο ΟΒ
y +0
y =c
2
y = 2px
x = 2x
y = 2y 4y = 4px y = px
(2y ) = 2p(2x )
Aρα ο ζητουμενος γεωμετρικος τοπος ειναι η παραβολη 2
y = px
2
1 1
Εστω η παραβολη c:y = 2px και η εφαπτομενη στο σημειο της Μ(x ,y )
που τεμνει τον αξονα x'x στο σημειο Α.
Δειξτε οτι το τριγωνο ΕΑΜ (Ε εστια παραβολης) ειναι ισοσκελες.
Α π α ν τ η σ η
1 1
p 0
1 1
1 1 1
σημειο Α ειναι το σημειο τομης του αξονα x'x (y= 0) και της εφαπτο-
μενης της c στο Μ:yy = p(x+x ). Eτσι
yy = p(x+x )
0= p(x+x ) x=-x (-x ,0)
y= 0
ΑΣΚΗΣΗ 30 (ΘΕΩΡΗΤΙΚΗ)
ΑΣΚΗΣΗ 31 (ΘΕΩΡΗΤΙΚΗ)
Ε π α ν α λ η ψ η 159
Τακης Τσακαλακος Κερκυρα 2018
2
2
1 1
2
1
2
1 1
2
1
2
1 1
2 2
2 2
1 1 1 1 1
2
1
p
(ME)= -x +y
2
p
(ΑE)= +x
2
M c
p
(ME)= -x +2px
2
p
(ΑE)= +x
2
y = 2px
p p
(ME)= -px +x +2px (ME)= +px +x
4 4
p
(ΑE)= +x (
2
2
1
2 2
1 1
p
(ME)= +x
2
p p
ΑE)= +x (ΑE)= +x
2 2
(ME)=(ΑE) που σημαινει οτι το τριγωνο ΕΑΜ ειναι ισοσκελες.
2
Εστω η παραβολη c:y = 2px και χορδη της ΑΒ|| y'y που διερχεται απ'την
εστια Ε.
Να δειξετε οτι (ΑΒ)= 2(ΕΚ), οπου Κ το σημειο τομης της διευθετουσας
και του x'x.
Να δειξετε οτι οι εφαπτομενες στα σημεια Α και Β διερχονται απ'το ση-
μειοΚ.
Α π α ν τ η σ η
1 1
22
11 1
2 2
2
1
2 2
2
2
p p p
Ειναι Α ,y , Β ,-y και K - ,0
2 2 2
(ΑΒ)= 4y(ΑΒ)= (y +y )
(ΑΒ)= 4p (ΑΒ)= 2 ppc
y = 2× p×
2 (EK)= p (EK)= pp p
(EK)= ( + )
(EK)= p2 2
(ΑΒ)= 2(EK)
ΑΣΚΗΣΗ 32 (ΘΕΩΡΗΤΙΚΗ)
Κ ω ν ι κ ε ς Τ ο μ ε ς160
Τακης Τσακαλακος Κερκυρα 2018
1 1 (+) p 0
2 1 1
p p
ε : yy = p x+ 0= 2p x+
2 2
p p
ε :-yy = p x- yy = p x+
2 2
p
x=-
2
y= 0
p
K - ,0
2
2
1 1 2 2
2
2
1 2 1 2
Εστω η παραβολη c:y = 2px και τα σημεια Α(x ,y ) και Β(x ,y ).
Να δειξετε οτι η ευθεια ΑΒ διερχεται απ'την εστια Ε αν:
p
x × x = και y × y =-p
4
Α π α ν τ η σ η
1
1
2 2
p
Αν ΑΒ κατακορυφη εχει μορφη ε : x=
2
Λυνουμε το συστημα των εξισωσεων
των (c) και (ε ) ως προς x:
p
y=±py = 2px y = 2p
2
... pp
p x=x=
x= 22
2
p
A( ,p)
2
p
B( ,-p)
2
1 2
1 2
2 ΑΒ
2
p p
x × x = ×
2 2
y × y = p×(-p)
p
Αν ΑΒ πλαγια εχει μορφη ε : y= λ x-
2
Λυνουμε το συστημα των εξισωσεων των (c) και (ε ) ως προς
2
1 2
2
1 2
p
x x =
4
y y =-p
y:
2
2 2
2 2 2 2 2
ΑΒ ΑΒ ΑΒ ΑΒ
ΑΒ
y = 2px
p p
λ x- = 2px λ x -λ px+λ -2px= 0p
2 4y= λ x-
2
ΑΣΚΗΣΗ 33 (ΘΕΩΡΗΤΙΚΗ)
Ε π α ν α λ η ψ η 161
Τακης Τσακαλακος Κερκυρα 2018
22 2 Vieta
ΑΒ2 2 2 ΑΒ
ΑΒ ΑΒ 1 2
λλ p
λ x -(λ p+2p)x+ = 0 x x =
4
2
2
ΑΒ
p
4λ
2
1 2
p
x × x =
4
2
2
2 2
2 2
ΑΒ ΑΒ ΑΒ
2
ΑΒ
ΑΒ
2
Vieta
ΑΒ2 2
ΑΒ ΑΒ 1 2
y
x=y = 2px
2p y -p
y= λ 2py= λ y -λ pp
2py= λ x- y p
y= λ -2
2p 2
- λ
λ y -2py-λ p = 0 y y =
2
2
ΑΒ
p
λ
2
1 2
y × y =-p
2
1 1
Δινεται η παραβολη c: y = 2px και τυχαιο σημειο της Μ(x ,y ).
Αν Κ ειναι η προβολη του Μ στη διευθετουσα και Ε η εστια, δειξτε οτι
η μεσοκαθετη του ΚΕ ειναι εφαπτομενη της παραβολης στο Μ και
διχοτομει τη γωνια ΚΜΕ.
Αν η εφαπτομενη στο Μ τεμνει τη διευθετουσα στο Ρ, δειξτε οτι
ΡΕ ΜΕ.
Α π α ν τ η σ η
1
1 1 1 1
ε
1
1 1
ΚΕ
1
ε ΚΕ
1
Ειναι
p p
Ε ,0 Κ - ,y
2 2
Η εξισωση της εφαπτομενης στο Μ(x ,y )ε: y y= p(x+x )
p
λ =
y
0-y y
λ = =-
p p p
+
2 2
yp
Ετσι, λ × λ = -
y p
1 1
=-1 και ε
Εστω Θ μεσο της ΕΚ.
p p
-
y y2 2Τοτε Θ , η Θ 0, .
2 2 2
Οι συντεταγμενες του Θ επαληθευουν την εξισωση της εφαπτομενης ε,
αφου
ΑΣΚΗΣΗ 34 (ΘΕΩΡΗΤΙΚΗ)
Κ ω ν ι κ ε ς Τ ο μ ε ς162
Τακης Τσακαλακος Κερκυρα 2018
2
21 1
1 1 1 1 1
y y
y = p(0+x ) = px y = 2px
2 2
Οποτε η ε διερχεται απ'το μεσο του ΕΚ και αφου ε , η ε μεσοκαθετη
του ΕΚ και επειδη το τριγωνο ΜΚΕ ειναι ισοσκελες (ΜΕ= ΜΚ) διχ
22 2
2 1
2
1 1
21 2 1
1
οτομει
την ΚΜΕ.
pp
Ρ - ,yp Ρ - ,y
Ρ - ,y 2 2px -pp2
2 Ρ - ,
2px -p 2 2yp
y =y y = p(- +x )
2y2
1 1
ΡΕ 2
1 1 1
1
1
1
1
ΜΕ
1 1 1
1 1
ΡΕ ΜΕ
1 1
p p
+
2y p 2y2 2λ = =- =-
2px -p p(2x -p) 2x -p
0-
2y
p-2xp
-x
2x -p2 2λ = = =
0-y -y 2y
2y 2x -p
λ × λ =- × =-1 και ΡΕ
2x -p 2y
2 2
1 1 2 2 1 2
2 2
Δινονται οι παραβολες c :x = 2p y, c :y = 2p x με p p = 4 και η ευθεια
ε:| α | ×x+| β | ×y= α × β με α 0 και β 0. Αν η ευθεια ε διερχεται απ'τις
εστιες των παραβολων 1 2
c και c , να δειξετε οτι α || β .
Α π α ν τ η σ η
1
1
2
2
2 2
2 2
p
Α Ε δηλαδη Α 0,
2
p
B Ε δηλαδη B ,0
2
Ομως
α β α β
Για x= 0 η (ε) γινεται:y= Α 0,
| α | | α |
α β α β
Για y= 0 η (ε) γινεται:x= B ,0
| β | | β |
Eτσι απ'τα παραπανω:
ΑΣΚΗΣΗ 35 (ΘΕΩΡΗΤΙΚΗ)
Ε π α ν α λ η ψ η 163
Τακης Τσακαλακος Κερκυρα 2018
1
2
2
πολλαπλασιαζω
1 2 1 2
2καταμελη 2
2
2
2 2
p α β
=
2 | α | p p p pα β α β α β
= =
2 2 4| α |p | β | | α || β |α β
=
2 | β |
4
= συν ( α, β) συν ( α, β)= 1 συν( α, β)=±1
4
Διακρινουμε περιπτωσεις:
συν( α, β)=-1 ( α, β)= π α β
συν( α, β)=1 ( α, β)= 0 α β
Αρα σε καθε περιπτωση α || β .
Δειξτε οτι oι εφαπτομενες της ελλειψης στα ακρα μιας διαμετρου της
(το ευθ.τμημα που διερχεται απ'το κεντρο της ελλειψης με ακρα πανω
στην ελλειψη) ειναι παραλληλες.
Α π α ν τ η σ η
Εστω ΑΒ μια διαμετρος της ελλειψης.
Οι ε, ε΄ εφαπτομενες με εξισωσεις:
2
1 1 1
12 2 2
1
2
2 2 2
22 2 2
2
x y β × x
× x+ × y= 1 με λ =- (1)
α β α × y
x y β × x
× x+ × y= 1 με λ =- (2)
α β α × y
Η ευθεια ΑΒ εχει εξισωση: y = λ ∙ x
1 1 1 2
1 22 2
Α ΑΒ y = λx y y
= (3)
x xB ΑΒ y = λx
Απο (1), (2) και (3) προκυπτει οτι
λ 1 = λ 2 που σημαινει οτι ε||ε’ .
ΑΣΚΗΣΗ 36 (ΘΕΩΡΗΤΙΚΗ)
Κ ω ν ι κ ε ς Τ ο μ ε ς164
Τακης Τσακαλακος Κερκυρα 2018
22
0 02 2
yx
Εστω η ελλειψη c: + = 1 και σημειο της Ρ(x ,y ). Oι εφαπτομενες
α β
απ'το σημειο Ρ προς την c εφαπτονται σ'αυτην στα σημεια Α και Β.
Να αποδειξετε οτι η εξισωση της
0 0
2 2
ευθειας ΑΒ ειναι της μορφης:
x × x y × y
+ = 1
α β
Α π α ν τ η σ η
Εστω Α(x1 ,y1 ), B(x2 ,y2 ) τα σημεια επαφης.
Οι εφαπτομενες ΡΑ και ΡΒ εχουν εξισω -
σεις:
1 1 2 2
2 2 2 2
x × x y × y x × x y × y
+ =1 και + =1
α β α β
To σημειο Ρ(x0 ,y0 ) ειναι σημειο των ΡΑ και
ΡΒ, οποτε επαληθευει τις εξισωσεις τους.
Δηλαδη
1 0 1 0 2 0 2 0
2 2 2 2
x × x y × y x × x y × y
+ =1 και + =1
α β α β
Απ’τις πιο πανω εξισωσεις προκυπτει οτι οι
συντεταγμενες των σημειων Α και Β επα -
ληθευουν την εξισωση : 0 0
2 2
x x y y
+ =1
α β
.
Αρα η ζητουμενη 0 0
2 2
x x y y
+ = 1
α β
Δειξτε οτι το γινομενο των αποστασεων των εστιων μιας ελλειψης,
απο μια τυχαια εφαπτομενη της, ειναι σταθερο.
Α π α ν τ η σ η
22
2 2
1 1
1 1
2 2
yx
Εστω η ελλειψη c: + = 1 με Ε'(-γ,0), Ε(γ,α)
α β
Η εφαπτομενη της c στο Μ(x ,y ) ε εχει εξισωση:
xx yy
+ -1= 0
α β
ΑΣΚΗΣΗ 37 (ΘΕΩΡΗΤΙΚΗ)
ΑΣΚΗΣΗ 38 (ΘΕΩΡΗΤΙΚΗ)
Ε π α ν α λ η ψ η 165
Τακης Τσακαλακος Κερκυρα 2018
1 1
1
2 2
2
1 2 2 2 2
1 1 1 1
4 4 4 4
1 1
1
2 2
2
2 2 2 2 2
1 1 1 1
4 4 4 4
2 2 2
1 1 1
2 2 2
x
γx 0× y γx+ -1 -1
α β α
d = d(E,ε)= =
x y x y
+ +
α β α β
-γx 0× y γx+ -1 - -1
α β α
d = d(E',ε)= =
x y x y
+ +
α β α β
x y y
+ = 1 =
α β
1-
β
4
2
2 2 42 2
11 1 1
2 2 4
1 2 22 2 2
11 1 1
44
1
2
22
11
2 244 4
α
γ x -αγx γx γ x
β
-1 - -1 -1
αα α α
d × d = × = =
xx y x
++
y
+
αα
x 1
1
α
-
α ββ
2 2 2 4
1
4
x (β -α )+α
α
2 2 2
2 2 2 2
2 2 4
1
β -α =-γ
2
2 2 2 42 2 2 4 x α και γ <α
11
2 2 4 γ x -α <0
1
=
β
β (-γ x +α )β γ x -α
= =
-x γ +α 2 2 4
1
-x γ +α
2
= β
22 2
2 2
Δειξτε οτι ο λογος των αποστασεων τυχαιου σημειου Μ μιας ελλειψης
yx α
c: + = 1 απ'την εστια Ε και την ευθεια δ: x= ειναι ισος με την
α β γ
εκκεντροτητα της ελλειψης.
Α π α ν τ η σ η
2 2
1 1
2
1 2
12 2
2 2
1 1
2
1
( )= (x -γ) +y
α
-x
γ α
d(M,δ)= -x
γ1 +0
Αρκει να ισχυει
(x -γ) +y(ΜΕ) γ
= ε =
αd(M,δ) α
-x
γ
Πραγματι
ΑΣΚΗΣΗ 39 (ΘΕΩΡΗΤΙΚΗ)
Κ ω ν ι κ ε ς Τ ο μ ε ς166
Τακης Τσακαλακος Κερκυρα 2018
2
2
2 2 2 2 2
1 1 1 1
2 2 2
1 1
α
α (x -2γx +γ +y )= γ -x
γ
α x - 2α γx 2 2 2 2 4 2
1 1
+α γ +α y = α - 2α γx
2 2 2
α -β =γ
2 2
1
2 2 2 2 2 2 2 4 2 2 2
1 1 1
2 2 4
1
+γ x
α x +α (α -β )+α y = α +(α -β )x
α x +α 2 2 2 2 4 2 2
1 1
-α β +α y = α +α x 2 2 2 2 2 2 2 2
1 1 1
1 1
-β x β x +α y = α β ,
που αληθευει, αφου Μ(x ,y ) c
22
2 2
yx
Δινεται η ελλειψη c: + = 1. Ηκαθετη στην εφαπτομενη της ελλειψης
α β
στο τυχαιο σημειο Κ, τεμνει τους αξονες x'x, y'y στα σημεια Α και Βαντι-
στοιχα.
Να βρειτε το γεωμετρικο τοπο του μεσου Μ του τμηματος ΑΒ.
Α π α ν τ η σ η
Κ
1 1
2
1 1 1
εΚ 2 2 2
1
Κ
Εστω Κ(x ,y )
H εξισωση της εφαπτομενης της
ελλειψης στο σημειο Κ:
xx yy β x
ε : + = 1 με λ =-
α β α y
Αν ε η καθετη στη στην εφαπτομενη ε :
λ
ΚΚ
2
1
εε ε 2
1
ε1 1
2
1
1 12
1
α y
λ =λ =-1
β x
ε
ε: y-y = λ (x-x )
α y
ε: y-y = (x-x ) (1)
β x
2
21
1 1 1 12
1
H (1) για y= 0 γινεται:
α y
0-y = (x-x ) -β x y
β x
2
1
= α y 2
1
x-α y
2 2
1
1 2
2 2
1
2
(α -β )x
x x=
α
(α -β )x
Δηλαδη η ε τεμνει τον αξονα x'x στο σημειο Α ,0
α
ΑΣΚΗΣΗ 40 (ΘΕΩΡΗΤΙΚΗ)
Ε π α ν α λ η ψ η 167
Τακης Τσακαλακος Κερκυρα 2018
2
21
1 1 12
1
H (1) για x= 0 γινεται:
α y
y-y = (0-x ) β x
β x
2
1
y-β x 2
1 1 1
y =-α y x
2 2
1
2
2 2
1
2
2 2
1
2 2
2
1
2
2 2
1
2
(β -α )y
y=
β
(β -α )y
Δηλαδη η ε τεμνει τον αξονα y'y στο σημειο B 0,
β
(α -β )x
+0
(α -β )xαx= x=
Eστω Μ(x,y) 2 2α
(β -α )y (βΜ μεσο ΑΒ
0+ y=
β
y=
2
2 2 2
2
1 2
α -β =γ
2 2 2
1
12 2
22 22 4 24 2
2 22 2 4 4(2)
1 1
2 2 2 2 2 2
22
4 2 4 2
4 4
2α x
x =
γ
(2)
-α )y 2β y
y =-
2β γ
2β y2α x 4β y4α x
-
γ γx y γ γ
K c + = 1 + = 1 + = 1
α β α β α β
yx
+ =
γ α γ β
4α 4β
22
4 4
2 4
yx
1 + = 1 (3)
4α 4β
Αρα ο ζητουμενος γεωμετρικος τοπος ειναι η ελλειψη (3).
22
2 2
2 2
yx
+ = 1
γ γ
2α 2β
1 1
2 2 2 2 2 2
1 1
Δειξτε οτι το γινομενο των αποστασεων ενος σημειου Μ(x ,y ) απο τις
ασυμπτωτες της υπερβολης c: β × x -α × y = α × β , ειναι σταθερο.
Α π α ν τ η σ η
Oι ασυμπτωτες της υπερβολης εχουν
εξισωσεις:
1 2
1 2
1 1 1 2
1 1
1 2 2
2 2
2 2 2
β β
ε : y= × x και ε : y=- × x η ισοδυναμα
α α
ε : β× x-α× y= 0 και ε :β× x+α× y= 0
Ετσι οι αποστασεις του Μ(x ,y ) απ'τις ε ,ε :
| β× x -α× y |
d(M,ε )= ,
α +β
| β× x +α× y |
d(M,ε )=
α +β
ΑΣΚΗΣΗ 41 (ΘΕΩΡΗΤΙΚΗ)
Κ ω ν ι κ ε ς Τ ο μ ε ς168
Τακης Τσακαλακος Κερκυρα 2018
2 2 2 2
1 1
1 2 2 2
2 2 2 2 2 2
1 1
2 2 2 2
1 2 2 2 2 2
Αρα,
| β × x -α × y |
d(M,ε )× d(M,ε )= (1)
α +β
Ομως Μ c, oποτε
β x -α y = α β (2)
Aπο (1),(2):
| α × β | α × β
d(M,ε )× d(M,ε )= = , που ειναι σταθερο.
α +β α +β
1 1
2 2 2 2 2 2
1 1
Δειξτε οτι το γινομενο των αποστασεων ενος σημειου Μ(x ,y ) απο τις
ασυμπτωτες της υπερβολης c: β × x -α × y = α × β , ειναι σταθερο.
Α π α ν τ η σ η
1 1
2 2 2
1 1
2 2 2 2 2
2 2
1 1
2 2
1
1
2
11
(
Eστω Μ(x ,y )
Μ c x -y = α (1)
γ =α +α γ =2α γ=α 2
Ε'(-α 2,0) και Ε'(α 2,0)
(Ε'Μ)= (x +α 2) +y
= x +2 2αx +2α +y
=
)
2 2
1 1
2 2 2
1 1 1
2 2 2
1 1 1
2 2 2 2 2 2
1 1 1 1
2
2 2
2
1 1
1
x +2 2αx +2α + =
= 2x +2 2αx +α = ( 2x +α)
(ΕΜ)= (x -α 2) +y =... = ( 2x -α)
(ΟΜ)= x +y (ΟΜ) =( x +y )
(Ε'Μ)(ΕΜ)=(Ε'Μ)(ΕΜ)=
-
( 2x +α) ( 2x +α)
x α
2 2 2
1
2 2 2 2 2 2 2 2
(1)
1 1 1 1
2 22 2 22 2
11 11
(2x -α )
(ΟΜ) =( x +y ) (ΟΜ) =( x +y )
(Ε'Μ)(ΕΜ)=( x + )(Ε'Μ)(ΕΜ)= (x +x -α ) y
2
(ΟΜ) =(Ε'Μ)(ΕΜ)
ΑΣΚΗΣΗ 42 (ΘΕΩΡΗΤΙΚΗ)
Ε π α ν α λ η ψ η 169
Τακης Τσακαλακος Κερκυρα 2018
2 2 2 2 2 2
Δειξτε οτι το εμβαδον του τριγωνου ΟΑΒ ειναι σταθερο, οπου Α, Β τα
σημεια τομης μιας εφαπτομενης της υπερβολης c: β × x -α × y = α × β
με τις ασυμπτωτες της και Ο το κεντρο της υπερβολης c.
Α π α ν τ η σ η
Oι ασυμπτωτες της υπερβολης εχουν
εξισωσεις:
1 2
β β
ε : y= x και ε : y=- x
Εστω A το σημειο τομης της εφαπτομενης
ε και της ασυμπτωτης ε1 και B το σημειο
τομης της ε και της ασυμπτωτης ε2 .
Αν Μ(x1 ,y1 ) τοτε : 2 2 2 2
1 1
β x x-α y y= α β .
 A ε και A ε1 οποτε:
2 2 2 2
1 1
2 22 2 2 2
1 1 1 11 1
2
2 2
1 1
2
1 1 1 1
1 1
β x x-α y y= α β
β
y= x
β
βx x-αy x= α β (βx -αy )x= α ββ x x-α y x= α β
β β
β y= x y= x
y= x
α β
x=
βx -αy α β αβ
,
βx -αy βx -αyαβ
y=
βx -αy
 Ομοια, B ε και Β ε2 οποτε:
2 2 2 2 2 2 2 2
1 1 1 1 2 2
1 1 1 1
β
β x x-α y y= α β β x x-α y - x= α β
α β αβα
... ,-β
βx +αy βx +αyβy=- x
y= x
Ετσι
2 2
1 1 1 1
2 2
1 1 1 1
α β αβ
βx -αy βx -αy1 1
= det(OΑ OΒ)= | |=
α β αβ2 2
-
βx +αy βx +αy
(ΟΑΒ)
ΑΣΚΗΣΗ 43 (ΘΕΩΡΗΤΙΚΗ)
Κ ω ν ι κ ε ς Τ ο μ ε ς170
Τακης Τσακαλακος Κερκυρα 2018
2 2 2 2 2 2
1 1
3 3 3 3
2 2 2 2 2 2 2 2
1 1 1 1
3 3 3 3 3 3β x -α y =α β
2 2 2 2 2 2 2 2 2 2
1 1 1 1
α β α β1
= |- - |=
2 β x -α y β x -α y
2α β α β α β1
= = = =
2 β x -α y β x -α y α β
αβ
2 2 2 2 2 2
1 1
Δειξτε οτι το εμβαδον του παραλληλογραμμου, που σχηματιζουν οι
ασυμπτωτες της υπερβολης c: β × x -α × y = α × β και οι παραλληλες
προς αυτες απο τυχαιο σημειο Μ(x ,y ), ειναι σταθερο.
Α π α ν τ η σ η
1 2
2 2 2 2 2 2
1 1
2
1 1
1 1
β β
ε : y= × x και ε : y=- × x
α α
Μ c β × x -α × y = α × β (1)
ΜA|| ε β
: y-y =- (x-x ) η
αΜ MA
β
: y= y - (x-x )
α
Το A ειναι το σημειο τομης τ 1
1
1 1 1 1
1 1 1 1
1 1 1 1
1 11 1
ων ΜΑ και ε .
Ετσι
β β
y= × x y= × x
Α ε α α
β 2β βΑ MA
y= y - ×(x-x ) × x= y + × x
α α α
αy +βxβ αy +βx
y= × y=
α 2β 2α αy +βx αy +βx
Α ,
αy +βx 2β 2ααy +βx
x=x=
2β2β
1 1 1 1
1 1
Ειναι
αy +βx αy +βx
OA= , OΜ=(x ,y ) και
2β 2α
1 1 1 1
1 1
1 1
αy +βx αy +βx
1
= 2(ΟΑΜ)= 2× ×| det(OA,OM)|=| |=2β 2α
2
x y
αβx y
=|
(ΟΑΜΒ)
2 2 2 2
1 1 1 1
+α y -β x - αβx y 2 2 2 2 2 2(1)
1 1
α y -β x -α β
|=| |=| |=
2αβ 2αβ 2αβ
αβ
2
ΑΣΚΗΣΗ 44 (ΘΕΩΡΗΤΙΚΗ)
Ε π α ν α λ η ψ η 171
Τακης Τσακαλακος Κερκυρα 2018
22
2 2
yx
Εστω η υπερβολη c: - = 1. Η καθετη ευθεια ε σε μια ασυμπτωτη της,
a β
που διερχεται απο μια εστια της, εφαπτεται του κυκλου (Ο,α).
Α π α ν τ η σ η
Εστω ΕΜ καθετη στην ασυμπτωτη
1
β
ε : y= x
α
Τοτε
2 2 2
γ =α +β
1 2 2 2
| β× γ-α× 0| | β× γ|
(ΕΜ)= d(M,ε )= =
α +β γ
| β| | γ|
=
| γ|
2 2 2 2 2
= | β|= β
Αρα (ΕΜ)= β και αφου (ΟΕ)= γ, απ'το Πυθα-
γορειο θεωρημα στο τριγωνο ΟΜΕ εχουμε:
(ΟΜ)= (ΟΕ) -(ΕΜ) = γ -β = =| α|= α
Αρα, η καθετη απ’την Ε στην ασυμπτωτη ε1 , εφαπτεται του κυκλου (Ο,α)
2 2 2 2 2 2
2 2 2 2
Εστω η ευθεια ε: y= λx+μ και η υπερβολη c: β x -α y = α β .Δειξτε
οτι η ευθεια ε εφαπτεται στην υπερβολη c, αν και μονο αν μ = λ α -β .
Α π α ν τ η σ η
2 2 2 2 2 2
2 2 2 2 2 2
2 2 2 2 2
Λυνουμε το συστημα των (ε) και (c):
β x -α y = α β
`
y= λx+μ
β x -α (λx+μ) = α β
`
y= λx+μ
β x -(αλx+αμ) = α β
`
y= λx+μ
ΑΣΚΗΣΗ 45 (ΘΕΩΡΗΤΙΚΗ)
ΑΣΚΗΣΗ 46 (ΘΕΩΡΗΤΙΚΗ)
Κ ω ν ι κ ε ς Τ ο μ ε ς172
Τακης Τσακαλακος Κερκυρα 2018
2 2 2 2 2 2 2 2 2 2
2 2 2 2 2 2 2 2
β x -α λ x -2α λμx-α μ = α β
y= λx+μ
(β -α λ )x -2α λμx-α (μ +β )= 0(1)
y= λx+μ
Για να εφαπτεται η (ε) στη (c) πρεπει το πιο πανω συστημα να εχει μια
μονο λυση,
2 2 2 2 2 2 2 2
4 2 2
δηλαδη η (1) να εχει μοναδικη ριζα που σημαινει οτι:
Δ= 0 (-2α ) -4(β -α λ )[-α (μ +β )]= 0
4α 2 2 2 2 4 4 2 2
+4β α μ +4α β - 4α λ μ 4 2 2
2 2 2 2 2 2 2 2 2 2
-4α λ β = 0
4α β (μ +β -α λ )= 0 μ +β -α λ = 0 2 2 2 2
μ = α λ -β
2 2 2 2 2 2
Δειξτε οτι το εμβαδον του τριγωνου ΟΑΒ ειναι σταθερο, οπου Α, Β τα
σημεια τομης μιας εφαπτομενης της υπερβολης c: β × x -α × y = α × β
με τις ασυμπτωτες της και Ο το κεντρο της υπερβολης c.
Α π α ν τ η σ η
1 1
1
1 1 1 1
1 1 1 1
Κ(x ,y ) το ιχνος της καθετης KE στην
ασυμπτωτη ε
β β
ε : y= x Κ ε Κ x , x
α α
β β
ΟΚ= x , x ΕΚ= x -γ, x
α α
1
2
2 2
1 1 1 1 1 1 12
2 2 2x 0
2 2
1 1 1 1 1 1 12 2 2
2 2 α
12
Ειναι
ΟΚ ΕΚ ΟΚ ΕΚ= 0
β β β
x , x x -γ, x = 0 x -γx + x = 0
α α α
β β β
x -γx + x = 0 x (x -γ+ x )= 0 1+ x = γ
α α α
α +β
x = γ
α
2 2 2 2 2 2 2 2+β =γ
1 12
γ β αβα α α α
x = γ x = , ,
α γ γ α γ γ γ
ΑΣΚΗΣΗ 47 (ΘΕΩΡΗΤΙΚΗ)
Ε π α ν α λ η ψ η 173
Τακης Τσακαλακος Κερκυρα 2018
2 2 2
2 22 2 2 2 24
α +β =γ
2 2 2
α γα β α (α +β )α
(ΟΚ)= + (ΟΚ)= (ΟΚ)=
γ γ γ~
(ΟΑ)= α (ΟΑ)= α
2
γ
2 2 22 2 22 2 α +β =γ
1 1
(ΟΚ)= α
(ΟΑ)= α
(ΟΑ)= α
(ΟΚ)=(ΟΑ)= α που σημαινει οτι το τριγωνο ΚΟΑ ειναι ισοσκελες.
β β α -γ αβ -β αβα α
ΕΚ= x -γ, x = -γ, = , = ,
α γ α γ γ γ γ γ
2 2 2 2 22 2 2 2 4 2 2 2 2 2 α +β =γ
2 2 2 2
Αρα
β γ(-β ) α β β +α β β (β +α )
= + = = =
γ γ γ γ
(ΕΚ)
2
γ
= β
Ο,τι φτιαξεις ...
φτιαχτο με ... μερακι
Κωνικές τομές - Πλήρες φυλλάδιο (βιβλίο)

Κωνικές τομές - Πλήρες φυλλάδιο (βιβλίο)

  • 1.
  • 2.
    Κ Ω ΝΙ Κ Ε Σ Τ Ο Μ Ε Σ 󠄀 Κυκλος 󠄀 Παραβολη 󠄀 Ελλειψη 󠄀 Υπερβολη 󠄀 Επαναληψη
  • 3.
    Κ Υ ΚΛ Ο Σ
  • 4.
    Κ ω νι κ ε ς Τ ο μ ε ς4 Τακης Τσακαλακος Κερκυρα 2018 Κυκλος ειναι ο γεωμετρικος το τοπος των σημειων του επιπεδου που ισαπεχουν απο ενα δεδομενο σημειο Κ αποσταση ρ. Συμβολιζεται C(Κ,ρ) Ειναι μια καμπυλη που προκυπτει απο τη τομη ενος κωνου και ενος επι - πεδου παραλληλου στη βαση του.  Με εξισωση x 2 + y 2 = ρ 2 (*) Η απλουστερη μορφη κυκλου Χαρακτηριστικα :  Κεντρο το σημειο Ο(0,0) (αρχη των αξονων)  Ακτινα ρ (*) Εστω τυχαιο σημειο του κυκλου Μ(χ,y) Tοτε 2 2 2 2 2 (OM)=ρ` x +y =ρ`x +y =ρ  Ε ι δ ι κ η μ ο ρ φ η τ η ς x2 + y2 = ρ2 Μοναδιαιος κυκλος : x 2 + y 2 = 1  Κεντρο το σημειο Ο(0,0) (αρχη των αξονων)  Ακτινα ρ = 1  Π α ρ α μ ε τ ρ ι κ ε ς Ε ξ ι σ ω σ ε ι ς Κ υ κ λ ο υ Αν Μ(x, y) ειναι σημειο του κυκλου c : x 2 + y 2 = ρ 2 και φ [0, 2π)ειναι η γωνια που σχηματι- ζει το διανυσμα ΟΜ με τον αξονα x’x, τοτε ισχυει :  x = ρ ∙ σ υ ν φ  y = ρ ∙ η μ φ Ο ρ ι σ μ ο ς Μ ο ρ φ η Κ υ κ λ ο υ
  • 5.
    Κ υ κλ ο ς 5 Τακης Τσακαλακος Κερκυρα 2018  Ε ξ ι σ ω σ η Ε φ α π τ ο μ ε ν η ς Κ υ κ λ ο υ Αν Α(x1 , y1 ) ειναι σημειο του κυκλου c : x 2 + y 2 = ρ 2 απ’το οποιο διερχεται μια εφαπτομενη του, τοτε η εξισωση της δινεται απο : x1 ∙ x + y1 ∙ y = ρ2  Με εξισωση ( x - x 0 ) 2 + ( y - y 0 ) 2 = ρ 2 (**) Με κεντρο διαφορετικο απ’την αρχη των αξονων Χαρακτηριστικα :  Κεντρο το σημειο Κ(x0 ,y0 )  Ακτινα ρ (**) Εστω τυχαιο σημειο του Μ(χ,y) κυκλου με κεντρο Κ(x0 ,y0 ) και ακτινα ρ Tοτε 2 2 0 0 2 2 2 0 0 (ΚM)= ρ` (x-χ ) +(y-y ) = ρ (x-χ ) +(y-y ) = ρ  Με εξισωση x 2 + y 2 + Α ∙ x + Β ∙ y + Γ = 0 (***) Η γενικη μορφη κυκλου  Προυποθεση η παρασταση να αποτελει εξισωση κυκλου : Α 2 + Β 2 - 4 ∙ Γ > 0 Χαρακτηριστικα :  Κεντρο το σημειο A B K - , - 2 2  Ακτινα 2 2 A 4 ρ= 2 (***)
  • 6.
    Κ ω νι κ ε ς Τ ο μ ε ς6 Τακης Τσακαλακος Κερκυρα 2018 Ειναι 2 2 2 2 2 2 2 2 0 0 0 0 0 0 2 2 2 2 2 0 0 0 0 (x-χ ) +(y-y ) = ρ `x +χ -2x χ +y +y -2y y = ρ `x +y -2x χ-2y y+χ +y -ρ = 0 2 2 x +y χ y+ = 0 Α ν τ ι σ τ ρ ο φ α 2 2 22 2 2 2 2 2 2 x +y +Α× χ+Β× y+Γ= 0`x +Α× χ+y +Β× y=-Γ Α Β `x +2 × χ +y +2 × y =-Γ 2 2 ` x Α Β Β + + 4 Α + + 4 44 2 2 2 2 22 2 2 2 Α Β Α +Β -4Γ + + y+ = 2 2 4 Α Β Α +Β -4Γ ` x+ + y+ = 2 2 2 που για 2 2 Α +Β -4Γ>0 παριστανει κυκλο με κεντρο A B K - , - 2 2 και ακτινα 2 2 A 4 ρ= 2 Tοτε 2 2 2 2 2 0 0 0 0 (ΚM)=ρ` (x-χ ) +(y-y ) =ρ (x-χ ) +(y-y ) =ρ Εστω  κυκλος c: (x–x0 )2 +(y–y0 )2 =ρ2 με  κεντρο Κ(χ0 , y0 )  ακτινα ρ  σημειο Μ(χ1 , y1 )΄ και  d η αποσταση του σημειου Μ απ’το κεν- τρο του κυκλου Κ Διακρινουμε περιπτωσεις  αν d<0, δηλαδη (ΚΜ)<ρ το σημειο Μ ειναι ε σ ω τ ε ρ ι κ ο του κυκλου  αν d=0, δηλαδη (ΚΜ)=0 το σημειο Μ ειναι σ η μ ε ι ο τ ο υ κ υ κ λ ο υ  αν d>0, δηλαδη (ΚΜ)>ρ το σημειο Μ ειναι ε ξ ω τ ε ρ ι κ ο του κυκλου Σ χ ε τ ι κ ε ς Θ ε σ ε ι ς Κ υ κ λ ο υ - Σ η μ ε ι ο υ
  • 7.
    Κ υ κλ ο ς 7 Τακης Τσακαλακος Κερκυρα 2018 Εστω κυκλος c: (x–x0 )2 +(y–y0 )2 =ρ2 (1) και ευθεια ε: Α∙x+Β∙y+Γ=0 (2)  Αν το συστημα των εξισωσεων (1), (2)  εχει δυο πραγματικες λυσεις, τοτε η ευθεια τ ε μ ν ε ι τον κυκλο σε δ υ ο σ η μ ε ι α .  εχει μια πραγματικη λυση, τοτε η ευ - θεια ε φ α π τ ε τ α ι στον κυκλο .  δεν εχει πραγματικες λυσεις, τοτε η ευθεια δ ε ν ε χ ε ι κ ο ι ν α σ η μ ε ι α με τον κυκλο .  Αν κυκλος c: (x–x0 )2 +(y–y0 )2 =ρ2 και ευθεια ε: Α∙x+Β∙y+Γ=0 οπου Κ το κεντρο του κυκλου και d η αποσταση του απ’την ευθεια ε και  Αν d < ρ , τοτε η ευθεια τ ε μ ν ε ι τον κυκλο σε δ υ ο σημεια.  Αν d = ρ , τοτε η ευθεια ε φ α π τ ε τ α ι στον κυκλο . Εστω οι κυκλοι c1 : (x-x1 )2 +(y-y1 )2 =ρ2 c2 : (x-x2 )2 +(y-y2 )2 =ρ2 οπου Κ1 , Κ2 τα κεντρα τους και ρ1 , ρ2 οι ακτινες τους, αντιστοιχα. Για δ = Κ1 Κ2 τοτε  Αν δ > ρ1 + ρ2 , τοτε οι κυκλοι ειναι ο ε ν α ς ε κ τ ο ς τ ο υ α λ λ ο υ  Αν δ = ρ1 + ρ2 , τοτε οι κυκλοι ε φ α π τ ο ν τ α ι ε ξ ω τ ε ρ ι κ α  Αν | ρ1 - ρ2 | < δ < ρ1 + ρ2 , τοτε οι κυκλοι τ ε μ ν ο ν τ α ι  Αν δ = | ρ1 - ρ2 | , τοτε οι κυκλοι ε φ α π τ ο ν τ α ι ε σ ω τ ε ρ ι κ α  Αν δ < | ρ1 - ρ2 | , τοτε οι κυκλοι ειναι ο ε ν α ς ε ν τ ο ς τ ο υ α λ λ ο υ Σ χ ε τ ι κ ε ς Θ ε σ ε ι ς Δ υ ο Κ υ κ λ ω ν Σ χ ε τ ι κ ε ς Θ ε σ ε ι ς Κ υ κ λ ο υ - Ε υ θ ε ι α ς
  • 8.
    Κ ω νι κ ε ς Τ ο μ ε ς8 Τακης Τσακαλακος Κερκυρα 2018 Να βρεθει η εξισωση του κυκλου με κεντρο την αρχη των αξονων και διερχεται απ'το σημειο Α(-3,4). Α π α ν τ η σ η Να βρεθει η εξισωση του κυκλου με κεντρο Κ(-3,4) και διερχεται απ'την αρχη των αξονων. ΠΑΡΑΔΕΙΓΜΑ 1 ΕΥΡΕΣΗ ΕΞΙΣΩΣΗΣ ΚΥΚΛΟΥ 1 Τροπος Λυσης : Με γνωστο το κεντρο Κ του κυκλου και ενα σημειο του Α ● Αρκει να βρουμε ακτινα ρ ● Χρησιμοποιουμε τη σχεση: ● Οι συντεταγμενες του σημειου του κυκλου (γνωστου) επαλη - θευουν την εξισωση του κυκλου : x 2 + y 2 = ρ 2 η ( x - x 0 ) 2 + ( y - y 0o ) 2 = ρ 2 Σ Τ Η Π Ρ Α Ξ Η . . . 2 2 2 2 2 Η εξισωση του κυκλου ειναι της μορφης: Αφου το Α ειναι σημειο του κυκλου, οι συν- τεταγμενες του επαληθευουν την εξισω- ση του κυκλου. Ετσι (-3) +4 = ρ 9 +16 = ρ ρ = 25 2 2 2 x +y = ρ ρ= Δηλαδη η εξισωση του κυκλου ειναι: 2 2 5 x +y = 25 ΠΑΡΑΔΕΙΓΜΑ 2
  • 9.
    Κ υ κλ ο ς 9 Τακης Τσακαλακος Κερκυρα 2018 Α π α ν τ η σ η 2 2 Το κεντρο του κυκλου ειναι Κ(-3,4) και η εξισωση του Ο κυκλος διερχεται απ'το σημειο Ο(0,0). Οποτε ΚΟ ειναι ακτινα του. Ετσι | ΚΟ|= ρ (0+3) +(0-4) = ρ 9 +16 = ρ 2 2 2 (x+3) +(y-4) = ρ ρ= 25 Δηλαδη η εξισωση του κυκλου ειναι: 2 2 ρ= 5 x+3) +(y-4) = 25( Να βρεθει η εξισωση του κυκλου με διαμετρο ΑΒ, οπου Α(-1,4) και Β(3,2). Α π α ν τ η σ η ΒΑ Κ Κ Κ ΒΑ Κ ΚΚ 2 2 2 Α Κ Α Κ Αν Κ το κεντρο του κυκλου, τοτε το Κ ει- ναι το μεσο της διαμετρου ΑΒ. Ετσι x +x -1+3 x = x = x = 12 2 y +y 4+2 y = 3 y =y = 22 | ΚΑ| =(x -x ) +(y -y ) = 2 Κ(1,3) ρ = 2 2 (-1-1) +(4-3) = 4+1= 5 ΠΑΡΑΔΕΙΓΜΑ ΕΥΡΕΣΗ ΕΞΙΣΩΣΗΣ ΚΥΚΛΟΥ 2 Τροπος Λυσης : Με γνωστα δυο αντιδιαμετρικα σημεια Α(x1 ,y1 ) και Β(x2 ,y2 ) ● Το κεντρο του Κ ειναι το μεσο της ΑΒ, δηλαδη ● Για την ακτινα του ισχυει:
  • 10.
    Κ ω νι κ ε ς Τ ο μ ε ς10 Τακης Τσακαλακος Κερκυρα 2018 Οποτε η εξισωση του κυκλου ειναι: 2 2 (x-1) +(y-3) = 5 Β Αν Μ(x,y) ειναι ενα τυχαιο σημειο του κυκλου, τοτε η γωνια ΑΜΒ= 90 (εγγεγραμενη που βαινει σε διαμετρο) και ισχυει: ΑΜ ΒΜ ΑΜ ΒΜ= 0 Μια αλλη αντιμετωπιση ΑΜ=(x+1,y-4) Μ=(x-3,y-2) 2 2 2 2 2 2 (x+1)(x-3)+(y-4)(y-2)= 0 x -3x+x-3+y -2y-4y+8= 0 x +y -2x-6y+5= 0 (x -2x+1)+(y -6y+9)= 5 2 2 (x-1) +(y-3) = 5 Να βρεθει η εξισωση του κυκλου που διερχεται απ'τα σημεια Α(0,1), Β(0,-3) και εχει ακτινα ρ=2. Α π α ν τ η σ η 2 2 2 0 0 Οι συντεταγμενες των σημειων Α και Β επαληθευουν τηνεξισωση (x-x ) +(y-y ) = ρ Ειναι ΠΑΡΑΔΕΙΓΜΑ ΕΥΡΕΣΗ ΕΞΙΣΩΣΗΣ ΚΥΚΛΟΥ 3 Τροπος Λυσης : Με γνωστα τα σημεια που τεμνει ο κυκλος τον αξονα x’x η y’y δηλα - δη τα σημεια Α(0,y1 ),Β(0,y2 ) η Α(x1 ,0),Β(x2 ,0) και την ακτινα του ρ ● Οι συντεταγμενες των σημειων επαληθευουν την εξισωση του κυ - κλου (x–x0 )2 +(y–y0 )2 =ρ2 . Η λυση του συστηματος των εξισωσε - ων που προκυπτει, προσδιοριζει τα x 0 , y0 ● Αν Κ (x0 , y0 ) το κεντρο ισχυει: . Η λυση του συστημα- τος των εξισωσεων που προκυπτει, προσδιοριζει τα x 0 , y0
  • 11.
    Κ υ κλ ο ς 11 Τακης Τσακαλακος Κερκυρα 2018 2 2 2 0 0 2 2 2 0 0 2 2 (-) 0 0 0 2 2 0 0 0 2 2 0 0 0 0 2 2 0 0 0 0 22 2 000 000 (0-x ) +(1-y ) = 2 (0-x ) +(-3-y ) = 2 x +y -2y +1= 4 x +y +6y +9 = 4 x +y -2y +1= 4 8y =-8 x +y -2y +1= 4 y =-1 x = 0x = 0x +(-1) -2 (-1)+1= 4 y =-1y =-1y =-1 Ετσι, η εξισωση του κυκλου ειναι: 2 2 2 x +(y+1) = 2 2 2 2 2 0 0 0 0 0 0 2 22 2 00 0 00 0 (x -0) +(y -1) = 2 x +y -2y +1= 4 x = 0| KA|= ρ ... y =-1x +y +6y +9 = 4(0-x ) +(y +3) = 2| KB|= ρ Ετσι, η εξισωση του κυκλου ειναι: 2 2 2 Aλλιως x +(y+1) = 2 ΕΥΡΕΣΗ ΕΞΙΣΩΣΗΣ ΚΥΚΛΟΥ 4 Τροπος Λυσης : Με γνωστα τρια σημεια του κυκλου Α(x1 ,y1 ), Β(x2 ,y2 ) και Γ(x3 ,y3 ) ● Ευρεση του κεντρου Κ απ’τις μεσοκαθετες των χορδων ● Το κεντρο του κυκλου ειναι το σημειο τομης των μεσοκαθετων των χορδων ΑΒ, ΑΓ και ΒΓ ● Ευρεση του κεντρου Κ απ’τις αποστασεις του απ’τα σημεια Α, Β και Γ ● Δυο οποιεσδηποτε ισοτητες απ’τη σχεση απο- τελουν συστημα με αγνωστους τις συντεταγμενες του κεντρου του κυκλου ● Η ακτινα βρισκεται απ’τη σχεση:
  • 12.
    Κ ω νι κ ε ς Τ ο μ ε ς12 Τακης Τσακαλακος Κερκυρα 2018 Να βρεθει η εξισωση του κυκλου που διερχεται απ'τα σημεια Α(6,-1), Β(4,3), Γ(-3,2) Α π α ν τ η σ η ΒΑ Μ ΒΑ Μ Το κεντρο Κ ειναι το σημειο τομης των με- σοκαθετων των χορδων ΑΒ και ΑΓ. Αν Μ το μεσο της χορδης ΑΒ και Ν το μεσο της χορδης ΑΓ, τοτε x +x 6 +4 x = = = 5 2 2 y +y -1+3 y = = = 1 2 2 Α Γ Ν Α Γ Ν ΚΜ ΑΒ ΚΝ ΑΓ και x +x 6-3 3 x = = = 2 2 2 y +y -1+2 1 y = = = 2 2 2 Ειναι (Κ(α,β)) ΑΒ ΚΜ 11 1 λ = ~ = ~ α-2β= 33+1 2 5 2λ = =-2 4-6 1ΑΓ ΚΝ 2λ = 3~ = 3~ 3 = 42+1 1 3λ = =- -3-6 3 2 Ετσι α-2β= 3 Μ(5,1) 3 1 Ν , 2 2 2 2 2 α-2β= 3 α-2β= 3 1-2β= 3 β=-1 ` ` ` ` 3α-β= 4 -6α+2β=-8 -5α=-5 α= 1 α= 1 Ακομα | ΚΑ| =(6-1) +(-1-(-1)) = Αρα η εξισωση του κυκλου ειναι: 2 2 2 2 2 Κ(1,-1) ρ = 5 (x-1) +(y+1) = 5 ΣΧΟΛΙΟ Αυτος ο τροπος, συνηθως βολευει αν δυο τουλαχιστο απ’τα σημεια ειναι της μορφης (0,α) η (β,0) Α λ λ ι ω ς ΠΑΡΑΔΕΙΓΜΑ
  • 13.
    Κ υ κλ ο ς 13 Τακης Τσακαλακος Κερκυρα 2018 2 2 2 2 2 2 2 2 2 2 2 Εστω Κ(α,β) το κεντρο του κυκλου. | ΚΑ|=| ΚΒ| | ΚΑ| =| ΚΒ| (6-α) +(-1-β) =(4-α) +(3-β) ... α-2β= 3 (1) | ΚΑ|=| ΚΓ| | ΚΑ| =| ΚΓ| (6-α) +(-1-β) =(-3-α) +(2-β)2 2 2 ... 3α-β= 4 (2) Λυνουμε το συστημα των (1) και (2) α-2β= 3 α-2β= 3 α-2β= 3 1-2β= 3 β=-1 3α-β= 4 -6α+2β=-8 -5α=-5 α= 1 α= 1 Ακομα: =| ΚΑ| =(6-1) +(-1+1)2 Κ(1,-1) ρ 2 = Οποτε η εξισωση του κυκλου ειναι: 2 2 2 2 5 (x-1) +(y+1) = 5 Να βρεθει η εξισωση του κυκλου που το κεντρο του ειναι σημειο της ευθειας (ε):2x-3y-3= 0 και διερχεται απο το σημειο Α(2,-2) και την αρχη των αξονων. ΠΑΡΑΔΕΙΓΜΑ ΕΥΡΕΣΗ ΕΞΙΣΩΣΗΣ ΚΥΚΛΟΥ 5 Τροπος Λυσης : Με γνωστα δυο σημεια του κυκλου και η ευθεια που διερχεται απ’το κεντρο του ● Εστω τα δυο σημεια του κυκλου Α(x1 ,y1 ), Β(x2 ,y2 ) ● Το κεντρο ειναι το σημειο τομης της δοσμενης ευθειας και της με - σοκαθετης του τμηματος ΑΒ. Βρισκουμε τη μεσοκαθετη και λυνουμε το συστημα των εξισωσεω ν της μεσοκαθετης και της δοσμενης ευθειας ● Η ακτινα βρισκεται απ’τη σχεση:
  • 14.
    Κ ω νι κ ε ς Τ ο μ ε ς14 Τακης Τσακαλακος Κερκυρα 2018 Α π α ν τ η σ η Ο Α Μ Ο Α Μ ΟΑ ΚΜ Αν Μ το μεσο της χορδης ΟΑ τοτε x +x 0+2 x = = = 1 2 2 y +y 0-2 y = = =-1 2 2 Ο συντελεστης διευθυνσης της ΟΑ ειναι -2-0 λ = =-1 2-0 και αφου ΟΑ ΚΜ τοτε λ = 1 και το Κ ειναι Μ(1,-1) σημειο της ευθειας ΟΜ=(δ) με εξισωση y-1= 1(x+1) Δηλαδη το Κ ειναι σημειο των ευθειων (ε) και (δ), οποτε αν Κ(α,β) τοτε τα α,β επαληθευουν τις εξισωσεις των δυο (δ): x-y-2= 0 2 2 ευθειων. Ετσι Κ (ε) 2x-3y-3= 0 2y+4-3y-3= 02(y+2)-3y-3= 0 x-y-2= 0 x= y+2x= y+2Κ (δ) Ακομα | ΟΚ|=(3-0) +(1-0) = 9 +1 Αρα η εξισωση του κυκλου ειναι: 2 2 y= 1 Κ(3,1) x= 3 ρ = = 10 (x-3) +(y 2 -1) = 10 ΕΥΡΕΣΗ ΕΞΙΣΩΣΗΣ ΚΥΚΛΟΥ 6 Τροπος Λυσης : Με γνωστα το κεντρο Κ του κυκλου και εξισωση μιας εφαπτομενης ● Ισχυει d(Κ,ε) = ρ και αφου Κ γνωστο ευκολα βρισκεται η εξισωση του κυκλου. Δηλαδη ρ = .
  • 15.
    Κ υ κλ ο ς 15 Τακης Τσακαλακος Κερκυρα 2018 Να βρειτε την εξισωση του κυκλου, που εχει κεντρο το σημειο Κ(2, - 1) και εφαπτεται της ευθειας ε : 3x-4y+5=0 Α π α ν τ η σ η d(Κ,ε) = ρ 2 2 | 3× 2-4×(-1)+5| = ρ 3 +(-4) | 6 +4+5| 15 = = = 525 ρ 3 Αρα η εξισωση του κυκλου ειναι : 2 2 2 (x–2) +(y+1) =3 Να βρειτε την εξισωση του κυκλου, που εφαπτεται στις ευθειες ε1 : 3x+4y-24 = 0 ε2 : 4x-3y+18 = 0, οταν ενα απ’τα σημεια επαφης ειναι το σημειο Α ( -3, 2) Α π α ν τ η σ η Ειναι 4∙(-3) - 3∙2 +18 = -12-6+18 = 0, οποτε Α ε2 . ΠΑΡΑΔΕΙΓΜΑ ΠΑΡΑΔΕΙΓΜΑ ΕΥΡΕΣΗ ΕΞΙΣΩΣΗΣ ΚΥΚΛΟΥ 7 Τροπος Λυσης : Με γνωστα δυο εφαπτομενες του κυκλου και ενα σημειο επαφης ● Ισχυει d(Κ,ε1 ) = d(Κ,ε2 ) ( = ρ ), οποτε δημιουργω εξισωση με α γνω- στους τις συντεταγμενες του κεντρου Κ ● Η ευθεια ΚΑ ειναι καθετη στην ε1 (αν Α ε1 ) η στην ε2 (αν Α ε1 ) ο- ποτε δημιουργω εξισωση με αγνωστους τις συντεταγμενες του κεντρου Κ ● Λυνω το συστημα των πιο πανω εξισωσεων
  • 16.
    Κ ω νι κ ε ς Τ ο μ ε ς16 Τακης Τσακαλακος Κερκυρα 2018 Δηλαδη το κεντρο Κ βρισκεται στην ευθεια ΚΑ. Ακομη 2εΚΑ ΚΑ ΚΑ 4 3 λ × λ =-1`λ × =-1`λ =- 3 4 Αρα η ευθεια ΚΑ εχει εξισωση : 3 y-2=- (x+3)`...`3x+4y+1= 0 4 Aν Κ(α,β) τοτε  3α+4β+1 = 0 (1) (αφου Κ ΚΑ)  d(Κ,ε1 ) = d(Κ,ε2 )` 2 2 2 2 | 3α+4β-24| | 4α-3β+18| = ` 3 +4 4 +(-3) 3α+4β-24 4α-3β+18 | 3α+4β-24| | 4α-3β+18|` ` 3α+4β-24 4α+3β-18 α-7β+42 0 (2) 7α+β-6 0 (3) Λυνουμε το συστημα των (1) και (2) 3α+4β=-1 3α+4β=-1 3α+4β=-1 α=-7 α-7β=-42 -3α+21β= 126 25β= 125 β= 5 1 Κ (-7,5) Λυνουμε το συστημα των (1) και (3) 2 2 2 2 2 2 2 3α+4β=-1 3α+4β=-1 3α+4β=-1 α= 1 7α+β= 6 -28α-4β=-24 -25α=-25 β= 5 Επισης | 4 1-3 (-1)+18| | 4+3+18| 25 =d(Κ ,ε )|= = = = 5253 +(-4) η αλλιως: =| Κ Α|= (-3-1) +(2+1) = 16 9 = 25 = 2 Κ (1,-1) ρ 5 ρ 5 Εχουμε δυο εξισωσεις κυκλου  Για Κ(-7 , 5) και ρ = 5 : 2 2 2 (x+7) +(y-5) =5  Για Κ(1, -1) και ρ = 5 : 2 2 2 (x-1) +(y+1) =5 ΣΧΟΛΙΟ Μια παραλλαγη ειναι να δινονται τρεις εφαπτομενες ε 1 , ε2 , ε3 ... λυνουμε το συστημα 1 2 1 3 d(K,ε )=d(K,ε ) d(K,ε )=d(K,ε ) (η αλλο συνδυασμο) προκειμενου να προσδιορισουμε τις συντεταγμενες του κεντρου Κ και ...
  • 17.
    Κ υ κλ ο ς 17 Τακης Τσακαλακος Κερκυρα 2018 2 2 Να βρεθει η εξισωση της εφαπτομενης του κυκλου c:x +y = 5 που διερχεται απο το σημειο Α(5,0). Α π α ν τ η σ η Η εφαπτομενη διερχεται απο το σημειο Α(5, 0) ετσι 1 1 5x +0 y = 5 Επομενως 1 x = 1 Λυνουμε το συστημα 1 2 2 1 12 2 1 1 x = 1 1 +y = 5 y = 2 x +y = 5 οποτε υπαρχουν δυο σημεια επαφης, τα 1 M (1,2) και 2 M (1,-2) και οι αντιστοιχες εφαπτομενες ειναι οι: x+2y= 5 και x-2y= 5 ΠΑΡΑΔΕΙΓΜΑ ΕΥΡΕΣΗ ΕΞΙΣΩΣΗΣ ΕΦΑΠΤΟΜΕΝΗΣ ΚΥΚΛΟΥ Τροπος Λυσης : Με γνωστα, την εξισωση του κυκλου (μορφης χ2 +y2 =ρ2 ) και σημειο απ’το οποιο διερχεται η εφαπτομενη ● Αν γνωριζουμε το σημειο επαφης Α(x1 ,y1 ), απλα χρησιμοποιουμε τη σχεση : x1 ∙x+y1 ∙y=ρ2 ● Αν δεν γνωριζουμε το σημειο επαφης Α(x 1 , y1 ), αλλα σημειο Β(x2 , y2 ) που διερχεται η εφαπτομενη ε, χρησιμοποιουμε τις σχεσεις προκειμενου να βρουμε το σημειο Α : x1 2 +y1 2 =ρ2 (1) (Α c) και x2 ∙x1 +y2 ∙y1 =ρ2 (2) (Β ε) . Λυνουμε το συστημα των (1) και (2)
  • 18.
    Κ ω νι κ ε ς Τ ο μ ε ς18 Τακης Τσακαλακος Κερκυρα 2018 2 2 Να βρεθει η εξισωση της εφαπτομενης (ε) κυκλου c: x +y = 4, που ειναι παραλληλη στην ευθεια (δ): 4x-3y= 5. Α π α ν τ η σ η 0 0 2 2 2 2 0 0 0 0 0 0 0 0 0ε δ 0 2 2 2 0 0 0 0 0 0 0 Αν Μ(x ,y ) ειναι το σημειο επαφης και επειδη (ε)||(δ), τοτε x +y = 4 x +y = 4 xx +yy = 4 xx +yy = 4 xλ = λ 4 - = y 3 4 16 - y +y = 4 y +y 3 9 xx +yy = 4 4 x =- y 3 2 0 0 0 0 0 2 0 0 0 0 0 0 0 0 0 0 0 0 0 0 = 4 xx +yy = 4 4 x =- y 3 6 y =± 6 825y = 36 5 y = ,x =- και 5 5 xx +yy = 4 xx +yy = 4 6 8 y =- ,x = και4 4 5 5x =- y x =- y 3 3 1 2 (ε ): 4x-3y=-10 (ε ): 4x-3y= 10 Α λ λ ι ω ς ΠΑΡΑΔΕΙΓΜΑ ΕΥΡΕΣΗ ΕΞΙΣΩΣΗΣ ΕΦΑΠΤΟΜΕΝΗΣ ΚΥΚΛΟΥ Τροπος Λυσης : Με γνωστα, το κεντρο του κυκλου Κ(0,0) και η εφαπτομενη (ε) παραλληλη (καθετη) σε γνωστη ευθεια (δ) ● Αν το σημειο επαφης ειναι Α(x0 ,y0 ), τοτε ισχυουν: x0 2 +y0 2 =ρ2 (1) (Α c), x0 ∙x+y0 ∙y=ρ2 (2) (Β ε) και λε = λδ (3) Λυνοντας το συστημα των (1) και (3) βρισκουμε τα x 0 , y0 ● Αλλη αντιμετωπιση Αν η ευθεια (δ) ειναι της μορφης α x + β y + γ = 0 και (ε) || (δ) (η (ε) ⊥ (δ)), τοτε η ευθεια (ε) ειναι της μορφης α x + β y + κ = 0 ( η β x - α y + κ = 0 ). Απ’τη σχεση d ( Κ , ε ) = ρ προσδιοριζουμε την τιμη του κ
  • 19.
    Κ υ κλ ο ς 19 Τακης Τσακαλακος Κερκυρα 2018 2 2 Αφου (ε)||(δ) τοτε η (ε) ειναι της μορφης Η (ε) εφαπτεται στον κυκλο (c) αν: | 4× 0+(-3)× 0-κ| |-κ| d(K,ε)= ρ = 2 = 2 | κ|= 10 254 +(-3) Οποτε η εξισωση της εφαπτομενης (ε): 4x-3y= κ κ=±10 ειναι: η1 2 (ε ): 4x-3y=-10 (ε ): 4x-3y=10 2 2 Να βρεθει η εξισωση της εφαπτομενης (ε) κυκλουc:(x-3) +(y+1) = 25, στο σημειο Α(-1,2). Α π α ν τ η σ η 0 0 0 0 2 2 Αν Μ(x ,y ) ενα τυχαιο σημειο της (ε),τοτε: ΑΜ=(x +1,y -2) κεντρο Κ(3,-1) c:(x-3) +(y+1) = 25 ακτινα ρ= 5 και ΚΑ=(-4,3) Ομως ΚΑ ΜΑ ΚΑ× ΜΑ= 0 (-4,3) ( 0 0 x +1,y -2)= 0 ΠΑΡΑΔΕΙΓΜΑ ΕΥΡΕΣΗ ΕΞΙΣΩΣΗΣ ΕΦΑΠΤΟΜΕΝΗΣ ΚΥΚΛΟΥ Τροπος Λυσης : Με γνωστα, την εξισωση του κυκλου c: (x–x0 )2 +(y–y0 )2 =ρ2 και το σημειο επαφης Α(x1 ,y1 ) ● Θεωρουμε τυχαιο σημειο Μ(α, β) της εφαπτομενης (ε) Δημιουργουμε τα διανυσματα . Χρησιμοποιουμε τη σχεση: ● Μετασχηματιζουμε την εξισωση της εφαπτομενης (ε): y = λ x + β στη μορφη Αx+By+Γ=0, οπου Α = λ , Β = - 1 και Γ = β. Στη συνεχεια λυνουμε το συστημα των εξισωσεων : Α ( ε ) (1) και d ( Κ , ε ) = ρ (2)
  • 20.
    Κ ω νι κ ε ς Τ ο μ ε ς20 Τακης Τσακαλακος Κερκυρα 2018 0 0 0 0 -4×(x +1)+3×(y -2)= 0 -4x -4+3y -6 = 0 Οποτε η εξισωση της εφαπτομενης ειναι: 0 0 4x -3y +10= 0 (ε): 4x-3y+10= 0 2 2 2 22 2 Αν (ε): y= αx+β (δηλαδη Α= α, Β=-1, Γ= β αν(ε): Αx+Βy+Γ= 0) 2=-α+β 2+α= β 2+α= β Α (ε) | α× 3+(-1)×(-1)+β| | 3α+1+β| | 3α+1+2+α| 5= 5=5=ρ= d(K,ε) α +(-1) α +1α +1 2+α= β Αλλιως 2 22 2 2 2 2 2 2+α= β 2+α= β | 4α+3| 5= 25α +25= 16α +24α+925(α +1)=(4α+3) α +1 10 2+α= β β= 2+α= β2+α= β 3 4 10 y= x+4 3 34α=9α -24α+16 = 0 (3α-4) = 0 α=3 3 (ε): 4x-3y+10= 0 2 2 Να βρεθει η εξισωση της εφαπτομενης (ε) κυκλου c:(x-3) +(y+1) = 25, που διερχεται απ'το σημειο Α(2,6). Α π α ν τ η σ η Αν(ε): y= αx+β (δηλαδη Α= α, Β=-1, Γ= β αν (ε): Αx+Βy+Γ= 0) ΠΑΡΑΔΕΙΓΜΑ ΕΥΡΕΣΗ ΕΞΙΣΩΣΗΣ ΕΦΑΠΤΟΜΕΝΗΣ ΚΥΚΛΟΥ Τροπος Λυσης : Με γνωστα, την εξισωση του κυκλου c: (x–x0 )2 +(y–y0 )2 =ρ2 και το σημειο Α(x1 ,y1 ) απ’οπου διερχεται η εφαπτομενη (ε) του κυκλου ● Μετασχηματιζουμε την εξισωση της εφαπτομενης (ε): y = λ x + β στη μορφη Α x + B y + Γ = 0 , οπου Α = λ , Β = - 1 και Γ = β. Στη συνεχεια λυνουμε το συστημα των εξισωσεων : Α (ε) (1) και d (Κ , ε) = ρ (2)
  • 21.
    Κ υ κλ ο ς 21 Τακης Τσακαλακος Κερκυρα 2018 2 2 2 2 2 6 = 2α+β Α (ε) | α× 3+(-1)×(-1)+β| 5=ρ= d(K,ε) α +(-1) 6 = 2α+β | 3α+1+β| 5= α +1 6 = 2α+β 2+α= β | 3α+1+2+α| | 4α+3| 5= 5= α +1 α +1 2 2 2 2 2 2 6 = 2α+β 25(α +1)=(4α+3) 6 = 2α+β 6 = 2α+β 25α +25= 16α +24α+9 9α -24α+16 = 0 6 = 2α+β β= 2+α= β 4 α=(3α-4) = 0 3 10 3 4 10 y= x+ 3 34 α= 3 (ε): 4x-3y+10= 0 2 2 Δινεται ο κυκλος c:(x-2) +(y+1) = 9 και το σημειο Μ(1,1). Να βρεθει η εξισωση της χορδης ΑΒ του κυκλου που εχει μεσο το Μ. Α π α ν τ η σ η Eστω Α(χ,y) ΠΑΡΑΔΕΙΓΜΑ ΕΥΡΕΣΗ ΕΞΙΣΩΣΗΣ ΧΟΡΔΗΣ ΚΥΚΛΟΥ Τροπος Λυσης : Με γνωστα, την εξισωση του κυκλου μορφης: (x–x0 )2 +(y–y0 )2 =ρ2 και το μεσο Μ της χορδης του Α, Β ● Η ΚΜ τεμνει καθετα την ΑΒ (Γεωμετρια) ●
  • 22.
    Κ ω νι κ ε ς Τ ο μ ε ς22 Τακης Τσακαλακος Κερκυρα 2018 H KM τεμνει καθετα την ΑΒ (Γεωμετρια) ΑΜ=(1-χ,1-y) KΜ=(1-2,1-(-1))=(-1,2) Ετσι ΑΜ `ΑΜ 0`(1-χ,1-y)(-1,2) 0 ` 1 (1-χ) 2 (1-y) 0`-1+x+2-2y= 0 ` Δηλαδη η ζητουμενη x-2y+1= 0 εξισωση: x-2y+1= 0 2 2 2 2 1 2 Να βρεθει η εξισωση της κοινης χορδης των κυκλων: c :(x+1) +(y-3) = 9 και c :(x-2) +(y+1) = 16 Α π α ν τ η σ η 2 2 2 2 2 Αν Μ(α,β) ενα κοινο σημειο των κυκλων, τοτε οι συντεταγμενες του επαληθευουν τις εξισωσεις των δυο κυκλων. Ετσι (α+1) +(β-3) = 9 (α-2) +(β+1) = 16 α 2 +2α+1+ β 2 -6β+9 = 9 α 2 -4α+4+ β (-) +2β+1= 16 3α-4β+6 = 0 Δηλαδη το κοινο σημειο Μ (ενα τυχαιο απ'τα κοινα) ανηκει στην ευθεια: ΠΑΡΑΔΕΙΓΜΑ ΕΥΡΕΣΗ ΕΞΙΣΩΣΗΣ ΚΟΙΝΗΣ ΧΟΡΔΗΣ ΚΥΚΛΩΝ Τροπος Λυσης : Με γνωστα, τις εξισωσεις δυο κυκλων μορφης : (x–x0 )2 +(y–y0 )2 =ρ2 ● Θεωρουμε οτι ενα απ’τα κοινα σημεια ειναι τ ο Μ(α,β), οι συντεταγ- μενες του οποιου επαληθευουν τις εξισωσεις των δυο κυκλων. Η λυση του συστηματος των εξισωσεων ως προς α, β που προκυ - πτει, δινει το ζητουμενο
  • 23.
    Κ υ κλ ο ς 23 Τακης Τσακαλακος Κερκυρα 2018 , που αποτελει την εξισωση της κοινης χορδης.3x-4y+6 = 0 Ν εξετασετε τη θεση των σημειων Α(1,1), Β(5,2) και Γ(2, -4) ως προς το κυκλο 2 2 x +y -4x+2y-4= 0. Α π α ν τ η σ η Ο κυκλος γραφεται 2 2 2 (x-2) +(y+1) = 3 , επομενως εχει κεντρο το σημειο Κ(2,-1) και ακτινα ρ = 3 . Η αποσταση του κεντρου Κ απ ’τα σημεια ειναι ιση με 2 2 1 d =(KM)= (1-2) (1 1) = 5 3 το σημειο Α ειναι εσωτερικο του κυκλου 2 2 2 d =(KΒ)= (5-2) (2 1) =3 2 3 το σημειο Β ειναι εξωτερικο του κυκλου 2 2 1 d =(KM)= (1-2) (1 1) = 5 3 το σημειο Α ειναι εσωτερικο του κυκλου Αποδειξτε οτι η ευθεια xσυνφ+yημφ= 4ημφ-2συνφ+4 εφαπτεται του κυκλου 2 2 x +y +4x-8y+4= 0. ΠΑΡΑΔΕΙΓΜΑ ΣΧΕΤΙΚΕΣ ΘΕΣΕΙΣ (ΚΥΚΛΟΥ-ΕΥΘΕΙΑΣ) Τροπος Λυσης : ● Με δοσμενες τις εξισωσεις του κυκλου και της ευθειας β ρισκουμε τη σχεση της αποστασης d του κεντρου του κυκλου απ’την ευθεια ΠΑΡΑΔΕΙΓΜΑ ΣΧΕΤΙΚΕΣ ΘΕΣΕΙΣ (ΚΥΚΛΟΥ-ΣΗΜΕΙΟΥ) Τροπος Λυσης : ● Με δοσμενη την εξισωση του κυκλου και σημειο Μ, βρισκουμε τη σχεση της αποστασης d του κεντρου του κυκλου απ’το σημειο
  • 24.
    Κ ω νι κ ε ς Τ ο μ ε ς24 Τακης Τσακαλακος Κερκυρα 2018 Α π α ν τ η σ η Ο κυκλος γραφεται 2 2 2 (x+2) +(y-4) = 4 , επομενως εχει κεντρο το σημειο Κ(- 2, 4) και ακτινα ρ = 4 . Η αποσταση του κεντρου Κ απο την ευθεια συνφ× x+ημφ× y-4ημφ+2συνφ-4= 0 ειναι ιση με 2 2 |-2συνφ+4ημφ-4ημφ+2συνφ-4| d= ημ φ+συν φ =|-4|= 4= ρ Αρα, η ευθεια εφαπτεται στον κυκλο. 2 2 2 2 1 2 Δειξτε οτι οι κυκλοι: c : x +y = 9 και c : x +y -6x-8y+21= 0 εφαπτονται εξωτερικα και στη συνεχεια να βρειτε το σημειο επαφης Α. Α π α ν τ η σ η 2 2 2 2 1 2 x +y -6x-8y+21= 0 (x -6x+9)+(y -8y+16)= 4 ( (c ) κεντρο Ο(0,0) και ακτινα R= 3 (c ) κεντρο Κ(3,4) και ακτινα ρ= 2 Για να εφαπτονται εξωτερικα πρεπει: ΟΚ= R+ρ= 3+2= 5 Πραγ 2 2 x-3) +(y-4) = 4 2 2 ματι, (3-0) +(4-0) = 9 +16 = 25| ΟΚ|= = 5 ΠΑΡΑΔΕΙΓΜΑ ΣΧΕΤΙΚΕΣ ΘΕΣΕΙΣ (ΔΥΟ ΚΥΚΛΩΝ) Τροπος Λυσης : ● Με δοσμενες τις εξισωσεις των κυκλων, αν Ο, Κ τα κεντρα των κυκλων, εξεταζουμε τη σχεση του τμηματος ΟΚ με τις ακτινες των δυο κυκλων
  • 25.
    Κ υ κλ ο ς 25 Τακης Τσακαλακος Κερκυρα 2018 2 2 2 2 2 2 2 2 2 2 2 22 2 Ακομη x +y = 9 x +y = 9 x +y = 9 15-4y 9-6x-8y+21= 0x +y -6x-8y+21= 0 x= 3 15-4y 225-120y+16y +9y = 81 25y -120y+144= 0+y = 9 3 15-4y 15-4y x= x=15-4y x= 3 3 3 (5y) -2 12 2 2 5y+12 = 0 (5y-12) = 0 15-4y 15-4y x= x= 3 3 12 y= 5 9 12 Α , 5 59 x= 5 2 2 Να βρεθουν οι εξισωσεις των κυκλων, οι οποιοι εφαπτονται στο κυκλο c:(x-3) +(y-2) = 16 στο σημειο Α(-1,2) και εχουν ακτινα ρ= 2. Α π α ν τ η σ η 0 0 Ο κυκλος (c) εχει κεντρο Ο(3,2) και ακτινα R= 4 Εστω Κ(x ,y ) το κεντρο ενος απ'τους ζητουμενους κυκλους, οποτε: ΟΑ=(-1-3,2-2)=(-4,0) 0 0 0 0 ΑΚ=(x +1,y -2) ΟΑ=(-4,0) ΟΚ=(x -3,y -2) Κ,Α,Ο συνευθειακα ΠΑΡΑΔΕΙΓΜΑ ΣΧΕΤΙΚΕΣ ΘΕΣΕΙΣ (ΕΥΡΕΣΗ ΕΞΙΣΩΣΗΣ ΚΥΚΛΟΥ) Τροπος Λυσης : Με γνωστα, την ακτινα του ζητουμενου κυκλου, το σημειο επαφης και την εξισωση του αλλου κυκλου Αν Ο το κεντρο του δοσμενου κυκλου και Κ του ζητουμενου: ● Τα σημεια Κ, Ο, Α ειναι συνευθειακα ● Δημιουργουμε τα διανυσματα: . ● Εφαπτονται εξωτερικα αν: ● Εφαπτονται εσωτερικα αν:
  • 26.
    Κ ω νι κ ε ς Τ ο μ ε ς26 Τακης Τσακαλακος Κερκυρα 2018 0 0 0 0 0 0 0 0 0 0 0 0 0 0 0 0 Αν οι κυκλοι εφαπτονται εξωτερικα: ΟΚ= ΟΑ+ΑΚ= R+ρ= 4+2= 6 = 3ρ= 3ΑΚ (x -3,y -2)= 3(x +1,y -2) (x -3,y -2)=(3x +3,3y -6) x -3= 3x +3 2x =-6 x =-3 y -2= 3y -6 2y = 4 y = 2 ΟΚ= 3ΑΚ 2 2 1 c :(x+3) +(y-2) = 4 0 0 0 0 0 0 0 0 0 0 0 0 Αν οι κυκλοι εφαπτονται εσωτερικα: Ειναι: ΟΚ= ΟΑ-ΚΑ= R-ρ= 4-2= 2= ρ= ΚΑ Ετσι x -3=-x -1 2x = 2 (x -3,y -2)=-(x +1,y -2) y -2= 2-y 2y = 4 x = 1 y = 2 2 2 ΟΚ= ΚΑ c :(x-1) +(y- 2 2) = 4 2 2 Να βρεθει το κεντρο και η ακτινα του κυκλου με εξισωση: x +y -6x-4y-3= 0 Α π α ν τ η σ η Ειναι, Α=-6, Β=-4 και Γ=-3 Αφου ΠΑΡΑΔΕΙΓΜΑ ΕΥΡΕΣΗ ΚΕΝΤΡΟΥ - ΑΚΤΙΝΑΣ ΚΥΚΛΟΥ Τροπος Λυσης : Με γνωστη, την εξισωση του κυκλου Αx + Βy + Γ = 0 ● Δειχνω οτι Α 2 + Β 2 – 4 Γ > 0 και παιρνουμε: Κεντρο το σημειο Κ Ακτινα ● Μετασχηματιζουμε τη δοσμενη εξισωση σε μορφη (x–x0 )2 +(y–y0 )2 =ρ2
  • 27.
    Κ υ κλ ο ς 27 Τακης Τσακαλακος Κερκυρα 2018 2 2 2 2 2 2 Α +Β -4Γ=(-6) +(-4) -4 (-3) = 36 +16 +12= 64> 0 η εξισωση παριστανει κυκλο με: Α +Β -4Γ 64 ακτινα: = 2 2 -Α -Β 6 4 κεντρο: Κ , = Κ , = 2 2 2 2 ρ= = 4 Κ(3,2) 2 2 2 2 2 2 x +y -6x-4y-3= 0 x -6x +y -4y -3= (x -6x+9)+(y -4y+4)= 16 η εξισωση παριστανει κυκλο με: ακτινα + και 4 κε 9 ντρο 4+ + 9 2 2 Αλλιως (x-3) +(y-2) = 16 ρ= 4 Κ(3,2) Δινονται οι κυκλοι c: x2 + y2 + λ x – (3λ + 1 0)y = 0 , λ . Na δειχτει οτι ολοι οι κυκλοι αυτης της οικογενειας διερχονται απο δυο σταθερα σημεια. ΠΑΡΑΔΕΙΓΜΑ ΟΙΚΟΓΕΝΕΙΑ ΚΥΚΛΩΝ Τροπος Λυσης : Με γνωστη, την εξισωση του κυκλου που περιεχει πραγματικη παρα- μετρο ● Πρωτα δειχνουμε οτι η δοσμενη εξισωση παριστανει εξισωση κυ- κλου ● Βρισκουμε τα σταθερα σημεια: ● Ειτε δινοντας δυο τυχαιες τιμες στην παραμετρο, οποτε το συ - στημα που προκυπτει δινει το ζητουμενο σημειο. Πρεπει να δειξουμε οτι οι συντεταγμενες του σημειου επαλη - θευουν την αρχικη εξισωση ● Ειτε μετασχηματιζοντας τη δοσμενη σαν πολυωνυμο ως προς την παραμετρο. Απαιτουμε ολοι οι συντελεστες του πολυωνυμου να ειναι ισοι με μηδεν
  • 28.
    Κ ω νι κ ε ς Τ ο μ ε ς28 Τακης Τσακαλακος Κερκυρα 2018 Α π α ν τ η σ η 2 2 2 2 2 2 2 2 2 Για να παριστανει η x +y +λx-(3λ+10)y= 0 (1) εξισωση κυκλου πρεπει: A +B -4Γ> 0 +(3λ+10) > 0 +9λ +60λ+100> 0 λ +6λ+10> 0 Η τελευταια αληθευει αφου: Δ= 36-4× 10=- 2 2 4< 0 οποτε τριωνυμο ομοσημο του α(= 1) Για λ= 0 η (1) γινεται: x +y -10y= 0 (2) 2 2 Για λ= 1 η (1) γινεται: x +y +x-13y= 0 (3) 2 2 2 2 2 2 2 2 2 Λυνουμε το συστημα των (2),(3) x +y -10y= 0 x +y = 10y 10y+x-13y= 0x +y +x-13y= 0 9y +y = 10y 10y -10y= 0 x= 3y x= 3y y= 0 y= 0 x= 0y(y-1)= 0 ~ y= 1 x= 3y y= 1 x= 3y x= και 3 A(0,0) B(3,1) 2 2 2 2 2 2 2 2 Α: 0 +0 +λ× 0-(3λ+10)× 0= 0 Β: 3 +1 +λ× 3-(3λ+10)× 1= 9 +1+3λ-3λ-10= 0 Δηλαδη οι συντεταγμενες των σημειων Α και Β επαληθευουν την (1). x +y +λx-(3λ+10)y= 0 x +y +λx-3λy-10y= 0 (x-3y Αλλιως 2 2 2 2 2 2 2 )λ+x +y -10y= 0 Πρεπει x-3y= 0 x= 3y x= 3y y(y-1)= 0 x +y -10y= 0 9y +y -10y= 0 10y -10y= 0 x= 3y y= 0 καιy= 1 x= 3y A(0,0) B(3,1)
  • 29.
    Κ υ κλ ο ς 29 Τακης Τσακαλακος Κερκυρα 2018 Εστω σημειο Α(3-3ημφ,1+3συνφ), με 0 φ< π. Να αποδειχτει οτι το ση- μειο Α κινειται σε κυκλο, του οποιου να βρειτε το κεντρο και την ακτινα. Α π α ν τ η σ η 2 2 ημ φ+συν φ=1 Α Α Α Α 2 2 Α Α Ειναι x = 3-3ημφ 3ημφ= 3-x y = 1+3συνφ 3συνφ= y -1 (3-x ) +(y -1) = 9 Δηλαδη το σημειο Α κινειται στον κυκλο που εχει κεντρο το 2 2 Α Α 2 2 (x -3) +(y -1) = 9 c:(x-3) +(y-1) = 9 σημειο και ακτινα Κ(3,1) ρ= 3 2 2 Να βρεθει ο γεωμετρικος τοπος των κεντρων των κυκλων με εξισωση x +y +(λ-2)x-λy+λ-5= 0, λ Α π α ν τ η σ η Ειναι ΠΑΡΑΔΕΙΓΜΑ 1 ΓΕΩΜΕΤΡΙΚΟΣ ΤΟΠΟΣ Τροπος Λυσης : Με γνωστο, σημειο με συντεταγμενες τριγωνομετρικους αριθμους η συνδεονται με παραμετρο εξισωση του κυκλου που περιεχει πραγματικη παραμετρο ● Αν οι συντεταγμενες x, y του σημειου Μ συνδεονται με παραμε- τρο λ (η τριγωνομετρικους αριθμους) τοτε απαλειφουμε την πα - ραμετρο μεταξυ των συντεταγμενων ( τους τρ.αριθμους χρησι - μοποιωντας καποια σχεση) και καταληγουμε σε εξισωση που ειναι συναρτηση των x, y ΠΑΡΑΔΕΙΓΜΑ 2
  • 30.
    Κ ω νι κ ε ς Τ ο μ ε ς30 Τακης Τσακαλακος Κερκυρα 2018 2 2 2 2 2 2 2 Α +Β -4Γ=(λ-2) +(-λ) -4(λ-5) =λ -4λ+4+λ -4λ+20 =λ -4λ+12> 0 Αφου Δ= 16-48=-32< 0 Αν τα κεντρα ειναι της μορφης Κ(x,y) A x=- 2 y=- λ-2 x=- λ=-2x+22 B -λ λ= 2y y=- 2 2 -2x+2=2y H (1) ειναι ο ζητουμενος γεωμετρικος τοπος. x+y-1= 0 (1) 2 2 Να βρεθει ο γεωμετρικος τοπος των μεσων των χορδων του κυκλου c:(x-1) +(y-2) = 5, οι οποιες διερχονται απ'το σημειο Α(3,-4). Α π α ν τ η σ η Αν Μ(x,y) το μεσο μιας χορδης ΒΓπου διερχεται απ'το σημειο Α(3,4) και αφου Κ(1,2) το κεντρο του κυκλου, τοτε: ΚΜ=(x-1,y-2) και ΑΜ=(x-3,y+4) Ομως, η ακτινα του κυκλου ειναι καθετη στη χορδη στο μεσο της. Ετσι ΠΑΡΑΔΕΙΓΜΑ 1 ΓΕΩΜΕΤΡΙΚΟΣ ΤΟΠΟΣ Τροπος Λυσης : Με γνωστη, σχεση που αναγεται σε καθετες ευθειες, οπως ’’... φαινεται υπο ορθη γωνια ...’’’, ’’... μεσα χορδων ...’’ κλπ ● Χρησιμοποιουμε τη σχεση των καθετων διανυσματων
  • 31.
    Κ υ κλ ο ς 31 Τακης Τσακαλακος Κερκυρα 2018 2 2 2 2 ΚΜ ΑΜ= 0 (x-1,y-2) (x-3,y+4)= 0 (x-1)(x-3)+(y-2)(y+4)= 0 x -3x-x+3+y +4y-2y-8= 0 x -4x+y +2y-5= 0 2 2 (x -4x+4)+(y +2y+1)= 10 Οποτε τα μεσα των χορδων κινουνται σε κυκλο με κεντρο και ακτινα 2 2 (x-2) +(y+1) = 10 Ο(2,-1) ρ= 10 ο Δινονται τα σημεια Α(-1,2) και Β(5,10). Να βρεθει ο γεωμετρικος τοπος των σημειων Μ, για τα οποια ΑΜΒ= 90 . Α π α ν τ η σ η ο 2 2 Αν Μ(x,y) ειναι ενα τυχαιο σημειο του γεωμετρικου τοπου, τοτε: και Ετσι ΑΜΒ= 90 ΑΜ ΒΜ= 0 (x+1,y-2)(x-5,y-10)= 0 (x+1)(x-5)+(y-2)(y-10)= 0 x -5x+x-5+y -10y-2y+ ΑΜ=(x+1,y-2) ΒΜ=(x-5,y-10) 2 2 2 2 20= 0 x -4x+y -12y+15= 0 (x -4x+4)+(y -12y+36)+15= 4+36 Οποτε Τα σημεια Μ κινουνται σε κυκλο με κεντρο και ακτινα 2 2 (x-2) +(y-6) = 25 Κ(2,6) ρ= 5 ΠΑΡΑΔΕΙΓΜΑ 2
  • 32.
    Κ ω νι κ ε ς Τ ο μ ε ς32 Τακης Τσακαλακος Κερκυρα 2018 Εστω τριγωνο με κορυφες A(3,5), B(2,-4) και Γ(-5,-1). Να αποδειξετε οτι ο γεωμετρικος τοπος των σημειων Μ για τα οποια ισχυει 2 2 2 ΜΑ +ΜΒ +ΜΓ =107 ειναι κυκλος με κεντρο το κεντρο βαρους του τριγωνου ΑΒΓ Α π α ν τ η σ η Ενα σημειο M(x, y) ειναι σημειο του γεωμε- τρικου τοπου, αν και μονο αν ισχυει 2 2 2 MA +MB +MΓ =107 2 2 2 2 2 2 (x-3) +(y-5) +(x-2) +(y+4) +(x+5) +(y+1) = 107 2 2 3x +3y = 27 2 2 2 x +y = 3 Αρα, ο γεωμετρικος τοπος των σημειων Μ ειναι ο κυκλος με κεντρο το σημειο Ο(0, 0) και ακτινα ρ = 3 . Το κεντρο του κυκλου αυτου ειναι το κεντρο βαρους του τριγωνου ΑΒΓ, αφου 3+2-5 = 0 3 και 5-4-1 = 0 3 ΠΑΡΑΔΕΙΓΜΑ ΓΕΩΜΕΤΡΙΚΟΣ ΤΟΠΟΣ Τροπος Λυσης : Με γνωστη, σχεση ευθυγραμμων τμηματων ● Με χρηση του μετρου τμηματων για τη δοσμενη σχεση καταλη- γουμε σε εξισωση των συντεταγμενων x, y του Μ, που αποτελει τον γεωμετρικο τοπο
  • 33.
    Κ υ κλ ο ς 33 Τακης Τσακαλακος Κερκυρα 2018 2 2 Εστω ο κυκλος c: x +y -8x+2y+8= 0 και το σημειο Μ(1,3). Bρειτε τα σημεια του κυκλου c, που απεχουν την ελαχιστη και τη με- γιστη αποσταση απ'το σημειο Μ. Α π α ν τ η σ η 2 2 2 2 2 2 min Ειναι x +y -8x+2y+ = 0 x -8x+ +y +2y+ = Αρα το κεντρο του κυκλου ειναι Κ(4,-1) και η ακτινα του ρ= 3 d d(Κ,Μ)= (1-4) (3+1) = 9 16 5 d(Κ,c 8 16 1 9 2 2 x-4) +(y+1) = 9( max )= d 5 3 2 d(Κ,c)= d 5 3 8 ΣΧΟΛΙΟ Αναλογα λυνουμε, αν ζητουμε μεγιστη -ελαχιστη αποστασης ευθειας ε απο κυκλο. Βρισκουμε την αποσταση του κεντρου Κ απ ’την ευθεια ε και ... ΠΑΡΑΔΕΙΓΜΑ ΜΕΓΙΣΤΗ - ΕΛΑΧΙΣΤΗ ΑΠΟΣΤΑΣΗ ΣΗΜΕΙΟΥ ΑΠΟ ΚΥΚΛΟ Τροπος Λυσης : Με γνωστη, την εξισωση του κυκλου και το σημειο Μ ● Βρισκουμε την αποσταση d του κεντρου του κυκλου Κ απ’το ση- μειο Μ οπου ρ η ακτινα του κυκλου
  • 34.
    Κ ω νι κ ε ς Τ ο μ ε ς34 Τακης Τσακαλακος Κερκυρα 2018 Γ Ι Α Π Ρ Ο Π Ο Ν Η Σ Η . . . 01. 1 Να βρεθει η εξισωση κυκλου με κεντρο την αρχη των αξονων αν: διερχεται απ'το σημειο Α( 2, 2) διερχεται απ'το σημειο Β(2α-3β,3α+2β) εφαπτεται στην ευθεια (ε ): x+y 2 2 2 1 = 1 εφαπτεται στην ευθεια (ε ): αx+βy= αβ Να βρεθει η εξισωση της εφαπτομενης κυκλου c: x +y = 10, αν: ειναι παραλληλη στην ευθεια(ε ): x+3y= 4 ειναι καθετη στην ευθει 2 1 α (ε ): y= x 3 διερχεται απ'το σημειο Α(-10,0) 02. Να βρεθει η εξισωση του κυκλου σε καθεμια απο τις περιπτωσεις:  εχει κεντρο το σημειο Κ(- 3, 2), και εφαπτεται στον αξονα y΄y  εχει κεντρο το σημειο Κ(3, 3) και εφαπτεται των αξονων x ΄x και y΄y  εχει κεντρο την αρχη των αξονων και εφαπτεται της ευθειας 3x + y = 10  εχει κεντρο το σημειο Κ(- 3, 1) και εφαπτεται στην ευθεια 4x - 3y + 5 = 0  εχει ακτινα 4, εφαπτεται στον αξονα x΄x και διερχεται απο το ση- μειο Α(5, 4)  διερχεται απο τα σημεια Α(3, 1), Β(- 1, 3) και εχει κεντρο πανω στην ευθεια y = 3x – 2  περνα απο τα σημεια Α(2,1), Β(1,2), Γ ( 15 2 , 1 2 )
  • 35.
    Κ υ κλ ο ς 35 Τακης Τσακαλακος Κερκυρα 2018 04. 2 2 2 2 2 2 2 2 Να βρεθει το κεντρο και η ακτινα του κυκλου που εχει εξισωση: x +y -2x-4y= 0 x +y -2y-1= 0 3x +3y +6x-4y-1= 0 x +y +2αx-2βy-2αβ= 0 06. Να βρειτε την εξισωση του κυκλου, ο οποιος ειναι εγγεγραμμενος στο τριγωνο που σχηματιζει η ευθεια ε: x + y - 6 = 0 με τους αξονες x΄x και y΄y 03. Να βρειτε την εξισωση του κυκλου που εφα πτεται στην ευθεια ε: y = x και ειναι ομοκεντρος του κυκλου x 2 + y 2 - 2x + 4y +1 = 0 05. Να βρεθει η εξισωση κυκλου αν: εχει κεντρο Κ(1,1) και διερχεται απ'την αρχη των αξονων. εχει διαμετρο το ευθυγραμμο τμημα ΑΒ με Α(1,4) και Β(-3,2). εχει ακτινα ρ= 5 και τεμνει τον y'y στα σημεια Α(0,-3) και Β(0,5).
  • 36.
    Κ ω νι κ ε ς Τ ο μ ε ς36 Τακης Τσακαλακος Κερκυρα 2018 07. Δινεται ο κυκλος x 2 + y 2 - 2x - 1 = 0 και η ευθεια ε: y = x - 3. Να αποδειξετε οτι η ευθεια εφαπτεται του κυκλου και στη συνεχεια να βρειτε το σημειο επαφης 08. 2 2 Δινεται κυκλος με εξισωση x +y -2x+2y-7= 0 Να βρεθει το μηκος της χορδης του που εχει μεσο το Μ(0,-1) Να προσδιοριστει ο λ , ωστε το κεντρο του κυκλου να βρισκετ 2 2 2 2 1 2 αι στην (λ-1)x+y-2λ+1= 0 Δινονται οι κυκλοι c : x +y +αx+βy= 0 και c : x +y +βx+αy= 0, α β 2 Να δειχτει οτι τομηκος της κοινης τους χορδης ειναι: | α+β|. 2 09. Να βρεθει η εξισωση κυκλου αν διερχεται απ'τα σημεια Α(2,1),Β(-1,4) και το κεντρο του βρισκεται στην ευθεια (ε): 4x-5y+11= 0 10. Να βρεθει η εξισωση του κυκλου που διερχεται απ'τα σημεια Α(-1,5), Β(5,5) και Γ(-2,-2)
  • 37.
    Κ υ κλ ο ς 37 Τακης Τσακαλακος Κερκυρα 2018 11. Να βρειτε τις εξισωσεις των κυκλων, οι οποιοι εφαπτονται στο κυκλο: x 2 + y 2 = 25 στο σημειο Α(3, 4) και εχουν ακτινα ρ = 1 0 12. Να βρεθει η εξισωση της κοινης χορδης δυο κυκλων με κεντρα Κ(1,2) και Λ(3,1) που εχουν ακτινες 3 και 2 αντιστοιχα. 13. Να βρεθει η εξισωση του κυκλου που εχει το κεντρο του στην ευθεια (ε): 2x + y + 1 = 0 και διερχεται απο τα σημεια Α(- 1, 2) και Β (3, - 1) 14. Να αποδειχτει οτι καθως το θ διαγραφει το διαστημα [0,2π) το σημειο Μ(α+ρημθ,β+ρημθ) διαγραφει τον κυκλο με κεντρο Κ(α,β) και ακτινα ρ. 15. Εστω κυκλος C: x2 +y2 +4y=0 και σημειο Α(-1,-1). Να βρεθει η εξισω- ση της ευθειας ε που οριζει στον κυκλο χορδη, με μεσο το σημειο Α 16. 2 2 Να βρεθει η εξισωση της εφαπτομενης κυκλου c: x +y = 10, αν διερ- χεται απ'το σημειο Α(-10,0).
  • 38.
    Κ ω νι κ ε ς Τ ο μ ε ς38 Τακης Τσακαλακος Κερκυρα 2018 17. Απο τυχαιο σημειο Μ του επιπεδου Οxy φερνουμε τη ΜΑ y'y και τη ΜΒ καθετη στην ευθεια ε: y = x. Αν (ΑΒ) = 4 να βρειτε το γεωμετρικο τοπο του σημειου Μ 18. Να βρειτε τον γεωμετρικο τοπο των  σημειων Μ για τα οποια ισχυει | ΜΑ|= 2, οπου Α(2, 1),  σημειων Μ για τα οποια ισχυει ΜΑ ΜΒ, οπου Α(1, 0) και Β(- 1, 0),  μεσων Μ των ευθυγραμμων τμηματων ΑΒ μηκους 8, των οποιων τα ακρα Α και Β κινουνται στους αξονες x'x και y'y αντιστοιχα . 19. Δινεται κυκλος c: x 2 + y 2 = 4 και σημειο Κ(5,0). Απο το Κ φερνουμε τυχαια ευθεια που τεμνει τον C στα σημεια Α και Β. Να βρειτε τον γεωμετρικο τοπο των με σων των χορδων ΑΒ. 20. 2 2 1 2 Να βρεθει η εξισωση της εφαπτομενης κυκλου c: x +y = 10, αν: ειναι παραλληλη στην ευθεια (ε ): x+3y= 4 1 ειναι καθετη στην ευθεια (ε ): y= x 3
  • 39.
    Κ υ κλ ο ς 39 Τακης Τσακαλακος Κερκυρα 2018 21. Δινεται η εξισωση (Cλ ): x2 +y2 +(λ-2)x-2(λ+2)y+13λ-20=0, λ  Να αποδειξετε οτι η εξισωση παριστανει κυκλο για καθε λ  Να βρειτε το κεντρο του παραπανω κυκλου και να δε ιξετε οτι αυτο κινειται σε ευθεια για καθε λ  Να αποδειξετε οτι ο κυκλος (C λ ) διερχεται απο δυο σταθερα σημεια 22. 2 2 2 2 2 2 Να βρεθει η εξισωση της εφαπτομενης του κυκλου, αν: c: x +y -2x-4y+1= 0 στο σημειο Α(-1,2) c: x +y +2αx-4βy-3α +4β = 0 στο σημειο Α(α,2β) μεγιστη τιμή της συναρτησης h με τύπο h(x)= 23. Δινεται η ευθεια ε: y = x + 2 και ο κυκλος C: x 2 + y 2 + λ x – λ y = 0. Να προσδιορισετε το λ ωστε  η ε να τεμνει τον κυκλο C,  η χορδη που οριζει η ε στον κυκλο C να φαινεται απο την αρχη των αξονων υπο ορθη γωνια. 24. 2 2 Να βρεθει ο γ.τ. των μεσων των χορδων του κυκλου c: x +y -2αx= 0 που διερχονται απο την αρχη των αξονων.
  • 40.
    Κ ω νι κ ε ς Τ ο μ ε ς40 Τακης Τσακαλακος Κερκυρα 2018 25. Να βρεθουν οι εξισωσεις των κυκλων, οι οποιοι εφαπτονται στον κυ- κλο με κεντρο Ο(0,0) και ακτινα R= 5, στο σημειο Α(3,4) και εχουν ακτινα ρ= 10. Δειξτε οτι οικυκλο 2 2 2 2 1 2 ι: c : x +y -2x-4y-4= 0 και c : x +y -8x-12y+48= 0 εφαπτονται εξωτερικα και στη συνεχεια να βρειτε το σημειο επαφης. 26.  Να αποδειξετε οτι η εξισωση x2 + y2 - 4x - 2αy + 2α = 4 παριστανει κυκλο για καθε α . Να βρειτε το κεντρο και την ακτινα του.  Για ποια τιμη του α ο παραπανω κυκλος εφαπτεται: α) του αξονα x'x , β) της ευθειας y = - x 27. Δινονται η ευθεια ε: 5x+3y+2= 0 και ο κυκλος 2 2 c: x +y -x-2= 0, που τεμνονται στα σημεια Μ και Ν.  Να δειξετε οτι για καθε λ , η εξισωση: 2 2 x +y -x-2+λ(5x+3y+2)= 0 παριστανει εναν κυκλο Cλ , ο οποιος διερχεται απο τα σημεια Μ και Ν. Για ποια τιμη του λ ο κυκλος περνα απο την αρχη των αξονων;  Να δειξετε οτι τα κεντρα των κυκλων Cλ ανηκουν σε μια ευθεια ε ’, της οποιας να βρειτε την εξισωση. 28. Να βρεθει ο γ.τ. των σημειων Α που ειναι κορυφες ορθης γωνιας ορθο- γωνιου τριγωνου με υποτεινουσα ΒΓ, οπου Β(α,β) και Γ(β,α) (α β).
  • 41.
    Κ υ κλ ο ς 41 Τακης Τσακαλακος Κερκυρα 2018 29. Θεωρουμε τον κυκλο C: x 2 + y 2 = 4 και την ευθεια ε: y = 2x + 5.  Να δειξετε οτι ο κυκλος και η ευθεια δεν εχουν κοινο σημειο.  Απο ενα σημειο Μ της ευθειας ε φερνουμε τις εφαπτομενες στον κυκλο και Α και Β τα σημεια επαφης. Να δειξετε οτι, οταν το σημειο Μ διαγραφει την ευθεια ε, η ευθεια ΑΒ διερχεται απο ενα σταθερο σημειο . 30. 2 2 2 2 1 2 Δινονται οι κυκλοι c : x +y = 1 και c :(x-2) +(y-2) = 5. Να δειχτει οτι οι δυο κυκλοι τεμνονται στα σημεια Α και Β. Να βρεθει η εξισωση της κοινης χορδης τους ΑΒ. Αν 2 η παραλληλη προς την ΑΒ απ'το κεντρο του κυκλου c τεμνει τους αξονες x'x και y'y στα σημεια Α' και Β' αντιστοιχα, να υπολογι- στει το εμβαδον του τραπεζιου ΑΒΒ'Α'. μεγιστη τιμή της συναρτησης h με τύπο h(x)= 31. 2 2 2 2 1 2 1 2 Δινονται οι κυκλοι c : x +y = 1, c : x +y -4x= 0 και η ευθεια ε: y= λx+β, λ,β Να βρειτε τις αποστασεις των κεντρων των κυκλων c , c απ'την ευθεια ε Για ποιες τιμες των 1 2 λ,β η ευθεια ε ειναι κοινη εφαπτομενη των κυκλων c , c ; Να δειξετε οτι οι κοινες εφαπτομενες των δυο κυκλων τεμνονται στον αξονα x'x και να βρειτε την οξεια γωνια των εφαπτομενων
  • 42.
    Κ ω νι κ ε ς Τ ο μ ε ς42 Τακης Τσακαλακος Κερκυρα 2018 32. Να βρεθει ο γεωμετρικος τοπος των σημειων τομης των ευθειων (ε1 ): 2λx–(λ+1)y = 3λ–1 και (ε2 ): (3λ+1)x+(λ–1)y = 6λ-2, λ 33. 2 2 Δινεται το σημειο Ρ(10,7) και ο κυκλος (c):x +y -4x-2y-20= 0. Nα βρεθει η μεγαλυτερη και η μικροτερη αποσταση που μπορει να εχει ενα σημειο του κυκλου απ'το σημειο Ρ. 34. 2 2 Δειξτε οτι η ευθεια (ε): x+y-7= 0 εφαπτεται στοκυκλο c: x +y -4x-2y-3= 0 και στη συνεχεια βρειτε το σημειο επαφης.
  • 43.
    Π Α ΡΑ Β Ο Λ Η
  • 44.
    Κ ω νι κ ε ς Τ ο μ ε ς44 Τακης Τσακαλακος Κερκυρα 2018 Παραβολη ειναι ο γεωμετρικος το τοπος των σημειων του επιπεδου που ισαπεχουν απο ενα σταθερο σημειο Ε (εστια) και μια σταθερη ευθεια δ (διευθετουσα). Ετσι, ενα σημειο Μ ειναι σημειο της παρα - βολης με εστια Ε και διευθετουσα δ, αν: d(Μ, δ)=ΜΕ Ειναι μια καμπυλη που προκυ- πτει απο τη τομη ενος κωνου και ενος επιπεδου παραλληλου σε μια γενετειρα του. (Γενετειρα κωνου ειναι η ευ- θεια που, αν περιστραφει γυρω απ’τον αξονα του κωνου, παραγει την επιφανεια του κωνου)  Αξονας της παραβολης ειναι η ευθεια που διερχεται απ’την εστια Ε και ειναι καθετη στη διευθετουσα δ  Παραμετρος της παραβολης ειναι η αποσταση της εστιας Ε απο τη δι - ευθετουσα δ και συμβολιζεται με p (ΟΕ=p)  Κορυφη της παραβολης ειναι το μεσο της αποσταση της εστιας Ε απο τη διευθετουσα δ (αρχη των αξονων)  Χορδη της παραβολης ειναι το ευθυγραμμο τμημα που τα ακρα του βρι - σκονται πανω στη παραβολη  Διαμετρος της παραβολης ειναι μια ευθεια παραλληλη στον α ξονα της  Ο αξονας της παραβολης ειναι αξονας συμμε- τριας της παραβολης Πραγματι, απ’ το τυχαιο σημειο Μ της παραβολης φερνουμε καθετη στον αξονα που τεμνει τη παραβολη στο Μ’. Ευκολα (απο Γεωμετρια) ΠΜ=ΠΜ’ και ...  Η παραβολης βρισκεται εξ’ολοκληρου στο ημιεπι - πεδο της καθετης ε του αξονα στο Ο που περιε- χει την εστια Ο ρ ι σ μ ο ς Ι δ ι ο τ η τε ς - Σ υ ν ε π ε ι ε ς
  • 45.
    Π α ρα β ο λ η 45 Τακης Τσακαλακος Κερκυρα 2018 Πραγματι, για το τυχαιο σημειο Κ του αντικειμενου επιπεδου (και σημειο της καθε - της ε του αξονα στο Ο, εκτος του Ο) ειναι ΚΛ<ΚΑ<ΚΕ (ευκολα απο Γεωμετρια ...) δηλαδη ΚΕ ΚΛ που σημαινει οτι Κ δεν ειναι σημειο της παραβολης ΣΧΟΛΙΟ Αν Κ Ο C ε εφαπτομενη της παραβολης στη κορυφη  Καθε σημειο εντος παραβολης, απεχει απο την εστια Ε λιγοτερο απο οσο απεχει απ’τη διευθε - τουσα δ, ενω αν το σημειο βρισκεται εκτος της παραβολης, απεχει περισσοτερο Πραγματι,  για το τυχαιο σημειο Κ εκτος της παραβολης (και σημειο της ε εκτος του Ο) ειναι ΚΛ<ΚΑ<ΚΕ ΚΛ<ΚΕ (... απο Γεωμετρια ...)  για το τυχαιο σημειο Μ εντος της παραβολης ME E (...Γεωμετρια) ME< ΠΝ ME< ΜΝ C EΠ= ΠΝ ΣΥΝΕΠΕΙΑ  Η ευθεια που εχει κοινο σημειο με τη παραβολη ειναι εφαπτομενη της, αν και μονο αν η αποσταση καθε σημειου της (εκτος του σημειου επα - φης) απο την εστια Ε ειναι μεγαλυτερη απο την αποσταση του απ’τη διευθετουσα δ  Απο σημειο που βρισκεται εντος της παραβολης δεν αγεται εφαπτο - μενη της παραβολης  Καθε διαμετρος παραβολης εχει μονο ενα κοινο σημειο με αυτην Σε συστημα συντεταγμενων Οxy με αρχη Ο (κορυφη της παραβολης) και αξονα x'x τον αξονα της παραβολης θετουμε: p p τη τετμημενη της εστιας Ε και x=- την εξισωση τη 2 2 ς διευθετουσας δ p p Η εξισωση της παραβολης με εστια Ε( ,0) και διευθετουσα δ: x=- ειναι: 2 2 βρισκεται δεξια του y'y αν p> 0 και αριστερα αν p< 0 2 y = 2× p× x Ε ξ ι σ ω σ η Π α ρ α β ο λ η ς
  • 46.
    Κ ω νι κ ε ς Τ ο μ ε ς46 Τακης Τσακαλακος Κερκυρα 2018 Σε συστημα συντεταγμενων Οxy με αρχη Ο (κορυφη της παραβολης) και αξονα x'x τον αξονα της παραβολης θετουμε: p p τη τετμημενη της εστιας Ε και y=- την εξισωση τη 2 2 ς διευθετουσας δ p p Η εξισωση της παραβολης με εστια Ε( ,0) και διευθετουσα δ: y=- ειναι: 2 2 βρισκεται πανω του x'x αν p> 0 και κατω αν p< 0 2 x = 2× p× y  Γ ε ν ι κ η Μ ο ρ φ η 2 2 αx +βxy+γy +δx+εy+ζ= 0 Η παραπανω εξισωση παριστανει παραβολη αν 2 4 και ισχυει ενα τουλαχιστον απ’τα a 0, γ 0  Σ υ ν α ρ τ η σ η Π α ρ α β ο λ η 2 f(χ)= αx +βx+γ
  • 47.
    Π α ρα β ο λ η 47 Τακης Τσακαλακος Κερκυρα 2018 ΣΧΟΛΙΟ Στη περιπτωση που ο αξονας της παραβολης δεν ειναι ο χ’χ η y’y (η κορυφη ειναι Κ(χ0 , y0 )  Eξισωσεις: (y - y0 ) 2 = 2p(x - x0 ) η (x - x0 ) 2 = 2p(y - y0 )  Eστια: 0 0 p Ε x + , y 2 Διευθετουσα: η0 0 p p x=- +x y=- +y 2 2 1 1 2 2 H εφαπτομενη στο σημειο Μ(x ,y ) της παραβολης: y = 2× p× x εχει εξισωση x = 2× p× y εχει εξισωση 1 1 1 1 y× y = p×(x+x ) x× x = p×(y+y ) Eστω η παραβολη c, με κορυφη Ο, εστια Ε και ε η εφαπτομενητης στο σημειο Μ. Τοτε: Η καθετη ευθεια η στην εφαπτομενη ε στο σημειο επαφης Μ, διχοτομει την γωνια ΕΜt, οπου Mt η διαμετρος που διερχεται απ'το Μ Ε φ α π τ ο μ ε ν η Π α ρ α β ο λ η ς Α ν α κ λ α σ τ ι κ η Ι δ ι ο τ η τ α
  • 48.
    Κ ω νι κ ε ς Τ ο μ ε ς48 Τακης Τσακαλακος Κερκυρα 2018  Αν δυο σημεια Μ, Μ’ της παραβολης ισαπε - χουν απ’την εστια Ε, τοτε ειτε συμπιπτουν ειτε ειναι συμμετρικα ως προς τον αξονα της  Αν Μ ειναι σημειο της παραβολης και Ε η ε - στια της, τοτε ο κυκλος με διαμετρο ΜΕ ε- φαπτεται στηνε εφαπτομενη της στη κο - ρυφη Ο  Αν Κ ειναι σημειο της παραβολης με κορυ- φη Ο και η ΚΟ τεμνει τη διευθετουσα στο Λ τοτε ΛΕ||ε, οπου ε η εφαπτομενη της παραβολης στο σημειο Κ  Αν η χορδη ΚΛ εχει μεσοκαθετη τον αξονα της παραβολης, τοτε οι εφαπτομενες της παραβολης στα Κ, Λ τεμνονται πανω στον αξονα και αντιστροφα  Αν η χορδη ΒΓεχει τεμνει καθετα τον αξο - να της παραβολης και οι εφαπτομενε της παραβολης στα Β, Γ τεμνονται καθετα, το - τε τοσημειο τομης τους ειναι το Α (σημειο τομης αξονα και διευθετουσας) και η χορ - δη ΒΓ διερχεται απ’την εστια Ε  Αν δυο παραβολες εχουν ιδια εστια, ιδιο α - ξονα και αντιθετες παραμετρους, τοτε τε - μνονται σε σημεια που το καθενα δεχεται εφαπτομενες καθετες (μια για καθε παρα - βολη)  Οι εφαπτομενες της παραβολης (C1 ) που αγονται απο σημειο Ρ της διευθ ετουσας της δ ειναι καθετες μεταξυ τους Π ρ ο τ α σ ε ι ς
  • 49.
    Π α ρα β ο λ η 49 Τακης Τσακαλακος Κερκυρα 2018 Να βρεθει η εξισωση της παραβολης με: εστια το σημειο Ε(4,0) διευθετουσα την ευθεια (δ): y=-2 Α π α ν τ η σ η ΠΑΡΑΔΕΙΓΜΑ ΕΥΡΕΣΗ ΕΞΙΣΩΣΗΣ ΠΑΡΑΒΟΛΗΣ 1 Τροπος Λυσης : Με γνωστα την εστια η την διευθετουσα ● Προσδιοριζουμε τη θεση της παραβολης ως προς τους αξονες : ● Εστια μορφης Ε(α, 0) η (δ): x = β, αξονας x’x και τυπος παραβο- λης y 2 = 2px ● Εστια μορφης Ε(0, α) η (δ): y = β, αξονας y’y και τυπος παραβο- λης x 2 = 2py ● Προσδιοριζουμε τo p : ● Εστια μορφης Ε(α, 0) η (δ): x = β, τοτε p = 2α η p = - 2β αντιστοιχα ● Εστια μορφης Ε(0, α) η (δ): y = β, τοτε p = 2α η p = - 2β αντιστοιχα Σ Τ Η Π Ρ Α Ξ Η . . . 2 Το σημειο Ε βρισκεται πανω στον αξονα x'x οποτε η εξισωση της παραβολης ειναι τηςμορφης: y = 2px p Αφου Ε(4,0) τοτε = 4 p= 8 2 Αφου (δ): y=-2 τοτε η εσ 2 y = 16x 2 τια Ε βρισκεται πανω στον αξονα y'y και η εξισωση της παραβολης ειναι της μορφης: x = 2py p Ακομη: - =-2 p= 4 2 2 x = 8y
  • 50.
    Κ ω νι κ ε ς Τ ο μ ε ς50 Τακης Τσακαλακος Κερκυρα 2018 Να βρειτε την εξισωση της παραβολης, με: εστια το σημειο Ε(-1,2) και διευθετουσα (δ): x= 3 κορυφη το σημειο Κ(-1,2) και διευθετουσα (δ): x=-3 Α π α ν τ η σ η 0 0 0 Η εξισωση ειναι της μορφης: αφου (δ)|| y'y p x + =-1 2 Ε(-1,2) y = 2 (δ): x= 3 p - +x = 3 2 2 0 0 0 0 2 (y-y ) = 2p(x-x ) x = 1 y = 2 p=-4 (y-2) =-8(x-1) 2 2 2 2 2 2 2 2 Για τυχαιο σημειο Μ(x,y) της παραβολης: d(M,ε)= d(M,δ) (x+1) +(y-2) =| x-3| (y-2) =(x-3) -(x+1) (y-2) =(x-3-x-1)(x-3+x+1) (y-2) =-4(2x-2) 2 Aλλιως (y-2) =-8(x-1) ΠΑΡΑΔΕΙΓΜΑ ΕΥΡΕΣΗ ΕΞΙΣΩΣΗΣ ΠΑΡΑΒΟΛΗΣ 2 Τροπος Λυσης : Με γνωστη την εστια (εκτος των αξονων x’x η y’y) η την κορυφη και την διευθετουσα ● Προσδιοριζουμε τη θεση της παραβολης ως προς τους αξονες : ● Διευθετουσα (δ): x = β, αξονας x’x, τυπος παραβολης (y - y0 ) 2 = 2p(x - x0 ) ● Διευθετουσα (δ): y = β, αξονας y’y, τυπος παραβολης (x - x0 ) 2 = 2p(y - y0 ) ● Προσδιοριζουμε τo p, x0 , y0 : ● Εστια μορφης Ε(α, β), τοτε ● Διευθετουσα μορφης (δ): x = κ η y = λ , τοτε αντιστοιχα ● Κορυφη μορφης Κ(μ, ν), τοτε x0 = μ και y0 = ν
  • 51.
    Π α ρα β ο λ η 51 Τακης Τσακαλακος Κερκυρα 2018 0 Η εξισωση ειναι της μορφης: αφου η κορυφη ειναι Κ(-1,2) Ομως p p (δ): x=-3 - +x =-3 - -1=-3 2 2 2 2 (y-2) = 2p(x+1) p= 4 (y-2) = 8(x+1) 2 Να βρεθει η εστια και η διευθετουσα της παραβολης που εχει εξισωση: 4y =-16x Α π α ν τ η σ η 2 2 2 2 Eιναι 4y =-16x y =-4x 2p=-4 p=-2 y = 2px y = 2px Ετσι Εστια: p -2 E ,0 E ,0 2 2 Διευθετουσα: p -2 x=- χ=- 2 2 E(-1,0) x= 1 ΠΑΡΑΔΕΙΓΜΑ ΕΥΡΕΣΗ ΕΣΤΙΑΣ - ΔΙΕΥΘΕΤΟΥΣΑΣ - ΚΟΡΥΦΗΣ Τροπος Λυσης : Με γνωστη την εξισωση της παραβολης (εστια πανω στους αξονες) ● Προσδιοριζουμε το p απ’το τυπο της παραβολης y 2 = 2px η x 2 = 2py ● ●
  • 52.
    Κ ω νι κ ε ς Τ ο μ ε ς52 Τακης Τσακαλακος Κερκυρα 2018 2 Να βρειτε τις συντεταγμενες της κορυφης και της εστιας της παραβο- λης καθως και την εξισωση της διευθετουσας, αν η εξισωση της παρα- βολης ειναι: x= y +1 2 2 x= y +2y y= x +3 Α π α ν τ η σ η 2 2 0 0 0 x= y +1 y = x-1 p 1 Ε(x + ,y ) Ε(1+ ,0) 2 4 1 p 1p= (δ): x=- +1(δ): x=- +x2 42 2 Κ(1,0) 4 1 5 Ε ,0 3 ( 2 δ): ( x= 1 4 (y-0) = × × x- ) 2 2 2 0 0 0 x= y +2y y +2y+1= x+1 p 1 Ε(x + ,y ) Ε(-1+ ,-1) 2 4 1 p 1p= (δ): x=- -1(δ): x=- +x2 42 2 Κ(-1,-1) 3 Ε( ,-1 1 ) 4 5 (δ 1 ): x=- (y+1) = 2× ×( 4 x+ ) 2 ΠΑΡΑΔΕΙΓΜΑ ΕΥΡΕΣΗ ΕΣΤΙΑΣ - ΔΙΕΥΘΕΤΟΥΣΑΣ - ΚΟΡΥΦΗΣ Τροπος Λυσης : Με γνωστη την εξισωση της παραβολης (εστια εκτος των αξονων) ● Προσδιοριζουμε το p απ’το τυπο της παραβολης (y - y0 ) 2 = 2p(x - x0 ) η (x - x0 ) 2 = 2p(y - y0 ) ● ● ● Κορυφη μορφης Κ(x0 , y0 )
  • 53.
    Π α ρα β ο λ η 53 Τακης Τσακαλακος Κερκυρα 2018 2 2 0 0 0 y= x +3 x = y-3 p 1 Ε(x , +y ) Ε(0, +3) 2 4 1 p 1p= (δ): y=- +3(δ): y=- +y2 42 2 Κ(0,3) 13 Ε(0, ) 4 3 11 (δ) = : y= 1 (x-0) 2× (y- 4 ) 2 2 Να βρεθουν οι εφαπτομενες της παραβολης (c): y = 2x που ειναι πα- ραλληλες στην ευθεια (δ): x-3y+5= 0. Α π α ν τ η σ η 1 1 1 Αν Μ(x ,y ) ειναι το σημειο επαφης, τοτε η εξισωση της εφαπτομενης ειναι: 1 1 Αφου = y 3 Το σημειο Μ ανηκει στην παραβολη, οποτε οι συντεταγμενες του επαληθευο 1 1 ε δ 1 (ε): yy = x+x λ = λ y = 3 υν την εξισωση της Ετσι ΠΑΡΑΔΕΙΓΜΑ ΕΥΡΕΣΗ ΕΞΙΣΩΣΗΣ ΕΦΑΠΤΟΜΕΝΗΣ ΠΑΡΑΒΟΛΗΣ Τροπος Λυσης : Με γνωστη την εξισωση της παραβολης και ευθεια παραλληλη (κα - θετη) στην εφαπτομενη ● Η ζητουμενη ευθεια εχει ιδιο συντελεστη διευθυνσης με τη δοσμε - νη ευθεια ● Οι συντεταγμενες του σημειου επαφης επαληθευουν την εξισωση της παραβολης ● Απ’τις εξισωσεις, που προκυπτουν, προσδιοριζουμε τα x1 , y1
  • 54.
    Κ ω νι κ ε ς Τ ο μ ε ς54 Τακης Τσακαλακος Κερκυρα 2018 2 1 1 1 y = 2x 9 = 2x Αρα η εξισωση της εφαπτομενης ειναι: 9 3y= x+ 6y= 2x+9 2 1 9 x = 2 2x-6y+9 = 0 2 Να δειξετε οτι ηευθεια (ε):x-3y+9 = 0 εφαπτεται στην παραβολη (c): y = 4x και να βρεθει το σημειο επαφης της. Α π α ν τ η σ η 2 2 2 Για να εφαπτεται η (ε) στην (c) πρεπει να εχει μια λυση το συστημα των εξισωσεων τους Πραγματι y = 4x y = 4(3y-9) x-3y+9 = 0 x= 3y-9 y -12y+36 = 0 x= 3y-9 2 (y-6) = 0 x= 3y-9 Η πιο πανω λυση ειναι μοναδικη, οποτε η (ε) εφαπτεται στην (c) στο σημειο y= 6 x= 9 Μ(9,6) ΠΑΡΑΔΕΙΓΜΑ ΑΠΟΔΕΙΞΗ ΕΞΙΣΩΣΗΣ ΕΦΑΠΤΟΜΕΝΗΣ ΠΑΡΑΒΟΛΗΣ Τροπος Λυσης : Με γνωστη την εξισωση της παραβολης και της εφαπτομενης ευ- θειας ● Για να ειναι η δοσμενη ευθεια εφαπτομενη της παραβολης πρεπει το συστημα των εξισωσεων της παραβολης και της ευθειας να εχει μ ο ν α δ ι κ η λυση ● Η λυση του πιο πανω συστηματος ειναι οι συν τεταγμενες του ση- μειου επαφης
  • 55.
    Π α ρα β ο λ η 55 Τακης Τσακαλακος Κερκυρα 2018 2 Να βρειτε τις εφαπτομενες της παραβολης (c):(y-1) =-4x που διερ- χεται απ'το σημειο Α(1,1). Α π α ν τ η σ η 1 2 1 Οι ευθειες που διερχονται απ'το σημειο Α ειναι οι:(ε ): x= 1 και (ε ): y-1= λ(x-1) (παραλληλη στη διευθετουσα) p=-2 διευθετουσα ... δ: χ= 1 ε Δηλαδη η ευθεια χ= 1 ει 1 (ε ): x= 1 2 2 2 2 2 2 ναι η διευθετου- σα, επομενως δεν ειναι εφαπτομενη (y-1) =-4x (λx-λ) +4x= 0 y-1= λ(x-1) λ x -2λ x+λ +4x= 0 Για να εφαπτεται η ( 2 2 2 2 2 (ε ): y-1= λ(x-1) λ x -2(λ -2)x+λ = 0 (1) 2 2 2 2 2 2 ε ) στην (c), πρεπει η (1) να εχει διπληριζα (το συστημα των εξισωσεων να εχει λυση), δηλαδη: Δ= 0 [-2(λ -2)] -4λ × λ = 0 ... λ = 1 μια λ=±1 Ετσι, οι εφαπτομενες ειναι: y-1=1(x-1) και y-1=-1(x-1)y= x y=-x+2 ΠΑΡΑΔΕΙΓΜΑ ΕΥΡΕΣΗ ΕΞΙΣΩΣΗΣ ΕΦΑΠΤΟΜΕΝΗΣ ΠΑΡΑΒΟΛΗΣ Τροπος Λυσης : Με γνωστη την εξισωση της παραβολης και σημειο απ’το οποιο διερ- χεται η εφαπτομενη (οχι σημειο επαφης). Αν το γνωστο σημειο ει- ναι το Α(x0 , y0 ), τοτε απ’αυτο διερχονται οι ευθειες με εξισωσεις : x = x 0 (1) και y - y 0 = λ ∙ ( x - x 0 ) (2) ● Ελεγχουμε αν η ευθεια με εξισωση x = x0 ειναι εφαπτομενη (λυ- νουμε το συστημα ε εξισωσεις την (1) και την εξισωση της παρα - βολης) ● Λυνουμε το συστημα με εξισωσεις την (2) και την εξισωση της παραβολης. Προσδιοριζουμε τον συντελεστη διευθυνσης λ της εφαπτομενης, απαιτωντας ο τριωνυμο που προκυπτει να εχει μια λυση (δηλαδη Δ = 0)
  • 56.
    Κ ω νι κ ε ς Τ ο μ ε ς56 Τακης Τσακαλακος Κερκυρα 2018 Εστω η παραβολη 2 y = 4x και το σημειο Ρ(1,3). Αν οι εφαπτομενες απ’το Ρ στην παραβολη , εφαπτονται στα σημεια Α και Β, μα βρειτε την εξισωση της ευθειας που διερχεται απ’τα σημεια Α και Β Α π α ν τ η σ η Ειναι p = 2 Εστω A(x1 , y1 ) και Β(x2 , y2 ) τα σημεια επα- φης Οι εφαπτομενες ΡΑ, ΡΒ εχουν εξισωσεις αντιστοιχα: y 1 ∙ y = 2 ∙ ( x + x 1 ) και y 2 ∙ y = 2 ∙ ( x + x 2 ) To σημειο Ρ(1, 3) ειναι σημειο των ΡΑ και ΡΒ, οποτε y 1 ∙ 3 = 2 ∙ ( 1 + x 1 ) και y 2 ∙ 3 = 2 ∙ ( 1 + x 2 ) Απ’τις πιο πανω εξισωσεις προκυπτει οτι οι συντεταγμενες των σημειων Α και Β επαληθευουν την εξισωση : 3 ∙ y = 2 ∙ ( 1 + x ) . Αρα, η ζητουμενη ευθεια ειναι : 3 ∙ y = 2 ∙ ( 1 + x ) η 2x-3y+2= 0 ΠΑΡΑΔΕΙΓΜΑ ΕΥΡΕΣΗ ΕΞΙΣΩΣΗΣ ΧΟΡΔΗΣ ΠΑΡΑΒΟΛΗΣ Τροπος Λυσης : Με γνωστο, σημειο απ’το οποιο διερχονται δυο εφαπτομενες και η εξισωση παραβολης ● Αν το γνωστο σημειο ειναι Ρ(x 0 ,y0 ) τοτε οι συντεταγμενες του επαληθευουν την εξισωση της εφαπτομενης στα σημεια επαφης και πρoκυπτει εξισωση της μορφης y 0 ∙ y = p ∙ ( x + x 0 )
  • 57.
    Π α ρα β ο λ η 57 Τακης Τσακαλακος Κερκυρα 2018 2 2 Να αποδειχτει οτι oι: y -2y+4x+9 = 0 και x +6x-2y+7= 0 παριστανουν εξισωσεις παραβολων,των οποιων να βρειτε τη κορυφη και τον αξονα . Α π α ν τ η σ η 2 2 2 2 Ειναι y -2y+4x+9 = 0 y -2y=-4x-9 y -2y+1=-4x-9 +1 (y-1) =-4x-8 που παριστανει παραβολη με κορυφη και αξονα συμμετριας την 2 (y-1) =-4(x+1) Κ(-1,1) ευθεια με εξισωση y= 1 2 2 2 2 Ειναι x +6x-2y+7= 0 x +6x= 2y-7 x +6x+9 = 2y-7+9 (x+3) = 2y+2 που παριστανει παραβολη με κορυφη και αξονα συμμετριας την ευθει 2 (x+3) = 2(y+1) Κ(-3,-1) α με εξισωση x=-3 ΠΑΡΑΔΕΙΓΜΑ ΑΠΟΔΕΙΞΗ ΕΞΙΣΩΣΗΣ ΠΑΡΑΒΟΛΗΣ Τροπος Λυσης : Με γνωστες εξισωσεις ως προς x, y ● Μετασχηματιζουμε τις παραστασεις σε μορφη ( y - y 0 ) 2 = 2 p ( x - x 0 ) η ( x - x 0 ) 2 = 2 p ( y - y 0 )
  • 58.
    Κ ω νι κ ε ς Τ ο μ ε ς58 Τακης Τσακαλακος Κερκυρα 2018 2 Δειξτε οτι το σημειο Μ(1,2) ειναι εσωτερικο της παραβολης c: y = 6x Α π α ν τ η σ η 0 2 2 0 0 (1) 2 2 0 0 Θεωρουμε σημειο Α(1,y ) της παραβολης Τοτε y = 6 × 1 y = 6 (1) Για να ειναι το σημειο Μ(1,2) εσωτερικο της παραβολης πρεπει: | 2|<| y | 2 < y 4< 6 που αληθευει Λι 0 2 2 0 0 Θεωρουμε σημειο Α(1,y ) της παραβολης Τοτε y = 6 1 y = 6 (2) Για να ειναι το σημειο Μ(1,2) εσωτερικο της παραβολης πρεπει: d(M,x'x)< d(A,x'x) | 0 1+1 2+ γο αλλιως 0 2 2 2 2 (2) 2 2 0 0 | 0 1+1 y +0|0| < 0 +1 0 +1 | 2|<| y | 2 < y 4< 6 πουαληθευει. ΠΑΡΑΔΕΙΓΜΑ ΕΣΩΤΕΡΙΚΟ ΣΗΜΕΙΟ ΠΑΡΑΒΟΛΗΣ Τροπος Λυσης : Με γνωστα, την εξισωση της παραβολης και σημειο ● Αν Α(x1 , y0 ) σημειο πανω στη παραβολη και Μ(x 1 , y1 ) (ιδια τετμημε- νη) τοτε το Μ ειναι εσωτερικο της παραβολης αν και μονο αν y1 2 < 2px (για c : y2 = 2px) Πραγματι Αν Α c, τοτε y0 2 = 2px (1) Για να ειναι το Μ εσωτερικο της c, πρεπει |y1 |<|y0 | η y1 2 <y0 2 (2) Απο (1) και (2) προκυπτει : y1 2 < 2px Ομοια, Αν Α(x0 , y1 ), Μ(x1 , y1 ), c : x 2 = 2py τοτε x1 2 < 2py
  • 59.
    Π α ρα β ο λ η 59 Τακης Τσακαλακος Κερκυρα 2018 2 Δινεται κυκλος με κεντρο Κ(3,0) που εφαπτεται στην παραβολη y =2x. Να βρεθει η εξισωση του κυκλου. Α π α ν τ η σ η Ο κυκλος εχει εξισωση: Για να εφαπτεται ο κυκλος στην παραβολη πρεπει το συστημα των εξισωσεων τους να εχει λυση 2 2 2 (x-3) +y = ρ (1) μια 2 2 2 2 2 2 2 2 2 2 2 2 Ετσι (x-3) +y = ρ (x-3) +2x= ρ y = 2x x -6x+9 +2x= ρ Η τελευταια για να εχει μιαλυση πρεπει: Δ= 0 4 -4(9-ρ )= 0 16-36 +4ρ = 0 4ρ = 20 Οποτε η (1) δινει: 2 2 2 2 2 x -4x+9-ρ = 0 ρ = 5 (x-3) +y = 5 ΠΑΡΑΔΕΙΓΜΑ ΜΕ ΕΦΑΠΤΟΜΕΝΟ ΚΥΚΛΟ Τροπος Λυσης : Με γνωστα, την εξισωση της παραβολης και το κεντρο του κυκλου ● Απαιτουμε το συστημα των εξισωσεων κυκλου και παραβολης να εχει μ ο ν α δ ι κ η λυση ΚΟΙΝΗ ΕΦΑΠΤΟΜΕΝΗ ΠΑΡΑΒΟΛΗΣ - ΚΥΚΛΟΥ Τροπος Λυσης : Με γνωστα, τις εξισωσεις της παραβολης και του κυκλου ● Η ζητουμενη ειναι της μορφης y = λ x +β (1) ● Δημιουργουμε τα συστηματα με την (1) και καθεμια απ’τις εξισω - σεις κυκλου - παραβολης ● Προκυπτει συστημα με αγνωστους τα λ, β που λυνοντας το βρι- σκουμε το ζητουμενο μεσω της (1)
  • 60.
    Κ ω νι κ ε ς Τ ο μ ε ς60 Τακης Τσακαλακος Κερκυρα 2018 Δινονται : ο κυκλος c1 : (x + 1) 2 + y 2 = 1 και η παραβολη c2 : y 2 = 6x . Na βρεθουν οι κοινες εφαπτομενες του κυκλου και της παραβολης Α π α ν τ η σ η 2 2 2 2 2 2 2 Εστω (ε): y= λx+β η ζητουμενη ευθεια Ειναι y= λx+β λ x +2λβx+β = 6x y = 6x λ x +2(λβ-3)x+β = 0 Η πιο πανω εξισωση πρεπει να εχει μια λυ- ση αφου η ευθεια (ε) εφαπτεται 2 2 2 2 2 2 της c Aρα Δ= 0 [2(λβ-3)] -4λ β = 0 4λ β 2 2 -24λβ+36- 4λ β = 0 24λβ= 36 2λβ= 3 (1) 2 2 2 y= λx+β x +2x+ 1 (x+1) +y = 1 2 2 2 +λ x +2λβx+β = 1 (1) 2 2 2 1 2 2 2 2 2 2 2 9 (λ +1)x +5x+β = 0 Η πιο πανω εξισωση πρεπει να εχει μια λυση γιατι η ευθεια (ε) εφαπτεται της c Aρα Δ= 0 5 -4(λ +1)β = 0 25-4λ β -4β = 0 25-9-4β = 0 4β 2 2 = 16 β = 4 β= 2 Ετσι Για β= 2 τοτε 3 2 λ 2= 3 λ= = και 4 3 η (ε): y= x+2 η 4 Για β=-2 τοτε 3 2 λ (-2)= 3 λ=- και 4 3 η (ε): y=- x-2 η 4 3x-4y+8= 0 3x+4y+8= 0 ΠΑΡΑΔΕΙΓΜΑ
  • 61.
    Π α ρα β ο λ η 61 Τακης Τσακαλακος Κερκυρα 2018 Να αποδειχτει οτι ο κυκλος 2 2 (x-3) +y = 8 εφαπτεται της παραβολης 2 y = 4x. (Δηλαδη, εχουν τις ιδιες εφαπτομενες στα κοινα σημεια τους) Α π α ν τ η σ η Τα κοινα σημεια του κυκλου και της παρα - βολης βρισκονται απο τη λυση του συστη - ματος των εξισωσεων τους. Εχουμε 2 2 2 2 2 2 (x-3) +y = 8 (x-3) +4x= 8 y = 4x y = 4x x= 1 Α(1,2) y= 2 x= 1 η y = 4x x= 1 Β(1,-2) y=-2 .  Η εξισωση εφαπτομενης της παραβολης στο Α ειναι y ∙ 2 = 2 ∙ (x + 1 ) ⟺ x-y+1= 0 Η ευθεια αυτη εφαπτεται και του κυκλου, αφου η αποσταση του κεν- τρου Κ(3, 0) του κυκλου απο αυτη ειναι ιση με την ακτινα του ρ= 8 Πραγματι, 2 2 | 3-0+1| 4 d= = = 8 21 +1  Επειδη ο αξονας x’x ειναι αξονας συμμετριας και του κυκλου και της παραβολης και το Β(1,-2) ειναι συμμετρικο του Α(1,2) ως προς τον x'x ο κυκλος και η παραβολη εχουν κοινη εφαπτομενη και στο Β. Η εξισωση της εφαπτομενης αυτης ειναι η x+y+1= 0 ΠΑΡΑΔΕΙΓΜΑ ΠΑΡΑΒΟΛΗ - ΚΥΚΛΟΣ ΠΟΥ ΕΦΑΠΤΟΝΤΑΙ Τροπος Λυσης : Με δοσμενες τις εξισωσεις της παραβολης και του κυκλου ● Λυνουμε το συστημα των εξισωσεων του κυκλου και της παρα - βολης και βρισκουμε τα κοινα σημεια ● Για καθε κοινο σημειο βρισκουμε την εφαπτομενη της παραβολης και ελεγχουμε αν ειναι και εφαπτομενη του κυκλου
  • 62.
    Κ ω νι κ ε ς Τ ο μ ε ς62 Τακης Τσακαλακος Κερκυρα 2018 2 Εστω ενα σημειο Α της παραβολης y = 4x. Να βρεθει ο γεωμετρικος τοπος των κεντρων των κυκλων διαμετρου ΑΕ (Ε η εστια ) Α π α ν τ η σ η 0 0 2 2 0 0 0 0 Εστω Α(x ,y ). y = 4x y = 2× 2× x,oποτε p= 2 p Ε ,0 η Ε(1,0) 2 p (ΑΕ)= x + = x +1 2 To κεντρο του κυκλου διαμετρου ΑΕ ειναι το μεσο της ΑΕ, δηλαδη x +1 y Κ , και η ακ 2 2 0 0 0 0 0 0 0 (1) 2 2 0 0 x +1 τινα ρ= = 2 2 x +1 x= x = 2x-12 K(x,y) τοτε (1) y y = 2y y= 2 Οι συντεταγμενες του σημειου Α, x ,y επαληθευουν την εξισωση της παραβολης. Ετσι y = 4x (2y) = 4×(2x-1)~ 4 2 × y = 4 ×(2x-1) 2 1 y = 2× x- 2 ΠΑΡΑΔΕΙΓΜΑ 1 ΓΕΩΜΕΤΡΙΚΟΣ ΤΟΠΟΣ Τροπος Λυσης : Με δοσμενη την εξισωση της παραβολης και ιδιοτητα χαρακτηριστι - κου σημειου ● Απο συνδυασμο των δοσμενων σχεσεων καταληγουμε σε εξισωση των συντεταγμενων x0 , y0 του Μ, που αποτελει τον γ.τ. ● Αν οι συντεταγμενες x0 , y0 του σημειου Μ συνδεονται με παραμε- τρο λ, τοτε απαλειφουμε την παραμετρο μεταξυ των συντεταγ - μενων και καταληγουμε σε εξισωση που ειναι συναρτηση των x 0 , y0
  • 63.
    Π α ρα β ο λ η 63 Τακης Τσακαλακος Κερκυρα 2018 2 Να βρεθει ο γεωμετρικος τοπος των κορυφων των παραβολων με εξισωση: y= x +(λ+3)x+λ-1, λ Α π α ν τ η σ η 2 2 2 2 2 2 2 2 2 2 Η δοσμενη εξισωση γινεται y= x +(λ+3)x+λ-1 λ+3 y= x +2× × x +λ-1 2 λ+3 λ +6λ+9 4λ 4 y= x+ - + - 2 4 4 4 λ+3 λ +6λ+9-4λ+4 y= x+ - 2 4 λ+3 λ +2λ+13 y= x+ - 2 4 y+ λ+3 λ+3 + - 2 2 22 λ +2λ+13 λ+3 = x+ 4 2 Δηλαδη, 2 2 2 2 οι κορυφες των παραβολων ειναι της μορφης λ+3 λ +2λ+13 Κ - ,- 2 4 Για τυχαια κορυφη Κ(x,y) της παραβολης ισχυει: λ+3 λ=-2x-3x=- 2 -4y=(-2x-3) +2(-2x-3λ +2λ+13 λ +2λ+13 y=- y=- 4 4 2 2 2 2 )+13 -4y= 4x +12x+9-4x-6 +13 -4y= 4x +8x+16 y=-x -2x-4 y+3=-x -2x-1 H πιο πανω παραβολη ειναι ο ζητουμενος γεωμετρικος τοπος. 2 y+3=-(x+1) ΠΑΡΑΔΕΙΓΜΑ 2
  • 64.
    Κ ω νι κ ε ς Τ ο μ ε ς64 Τακης Τσακαλακος Κερκυρα 2018 Γ Ι Α Π Ρ Ο Π Ο Ν Η Σ Η . . . 01. Να βρεθει η εξισωση της παραβολης με κορυφη την αρχη των αξο- νων, αξονα συμμετριας τον x'x, και διερχεται απ'το σημειο Α(-1,2). Να βρεθει η εξισωση της παραβολης με εστια Ε(3,0) και διευθετου- σα δ:x+3= 0. Να βρεθει η εξισωση της παραβολης με κορυφη την αρχη των αξο- νων, αξονα συμμετριας τον x'x και εφαπτεται στην ευθεια ε: y= 4x+1. 02. Απο το σημειο (- 2, 3) προς την παραβολη y 2 = 8x γραφονται δυο εφαπτομενες ευθειες.  Να βρειτε τις εξισωσεις των εφαπτομενων αυτων ευθειων.  Να αποδειξετε οτι οι εφαπτομενες αυτες ευθειες ειναι καθετες. 03. Να βρεθει η εξισωση της παραβολης με κο ρυφη το (0, 0) οταν:  ειναι συμμετρικη ως προς το θετικο ημιαξονα Οx και εχει παραμετρο p = 5  ειναι συμμετρικη ως προς τον αξονα Οx και διερχεται απο το σημειο (- 1, 4)  ειναι συμμετρικη ως προς τον αξονα Οy και διερχεται απο το σημειο (2, 2)  εχει αξονα συμμετριας τον Οy και εστια Ε(0,-4)  εχει εστια Ε (- 2, 0) και διευθετουσα δ: x - 2 = 0
  • 65.
    Π α ρα β ο λ η 65 Τακης Τσακαλακος Κερκυρα 2018 04. Δινεται η παραβολη y 2 = 4x  Να βρεθουν η εστια και η διευθετουσα της παραβολης  Να βρεθει η εξισωση της εφαπτομενης της παραβολης, που σχημα - τιζει γωνια 135 0 με τον αξονα x΄x. 06. 2 2 Nα εξετασετε αν η ευθεια ε: 3x+2y+6 = 0 ειναι εφαπτομενη της πα- ραβολης y = 18x Να βρεθει η θεση της ευθειας ε: x+y+1= 0 ως προς την παραβολη c: y = 2x Για ποια τιμη το 2 2 υ κ η ευθεια ε: x+y+1= 0 εφαπτεται στη παραβολη c: y = κx Να βρεθει η συνθηκη ωστε η ευθεια ε: y= αx+β, α 0 να εφαπτεται στηπαραβολη c: y = 2px 05. 2 2 Εστω η παραβολη y = 4x. Να βρεθειη εξισωση της εφαπτομενης της παραβολης που ειναι καθετη στην ευθεια ε: 3x+y+3= 0 Εστω η παραβολη c: y = 2x και το σημειο Α(2,4). Να βρεθει: η εξισωση της εφαπτομενης της c στο σημειο Α η εξισωση της καθετης στην εφαπτομενη της c στο σημειο Α
  • 66.
    Κ ω νι κ ε ς Τ ο μ ε ς66 Τακης Τσακαλακος Κερκυρα 2018 07. Να βρεθουν οι εξισωσεις των εφαπτομενων της παραβολης C: y 2 = 4x που περνουν απο το σημειο Μ(- 1, 3/2). Κατοπιν να βρεθει η γωνια που σχη ματιζουν. 08. Δινεται η ευθεια ε: y = λx + κ και η παραβολη c: y 2 = 2px . Nα δειξετε οτι η ευθεια ε ειναι εφαπτομενη της παραβολης οταν p = 2κλ (λ 0) 09. Να βρειτε την εξισωση της παραβολης, με: εστια το σημειο Ε(-3,2) και διευθετουσα (δ): x=-5 κορυφη το σημειο Κ(-3,2) και διευθετουσα (δ): x= 5 10. Να βρεθει η εξισωση της παραβολης που εχει κορυφη την αρχη των αξονων και αξονα συμμετριας τον y ΄y οταν:  Εχει εστια το σημειο Ε(0,- 4)  Εχει διευθετουσα την ευθεια y = 2  Διερχεται απο το σημειο Α(4,2)
  • 67.
    Π α ρα β ο λ η 67 Τακης Τσακαλακος Κερκυρα 2018 11. Βρειτε την εξισωση της παραβολης που εφαπτεται στην ευθεια ε: y = x - 2. Δειξτε οτι οι εφαπτομενες που φερονται απο τυχαιο ση- μειο της διευθετουσας ειναι καθετες. 12. Να βρειτε την εστια και την διευθετουσα των παραβολων:  y 2 = 6x  y 2 = - 4x  y 2 = 8αx  y 2 = 1 2α x  x 2 = 5y  x 2 = - y 13. Δινεται η παραβολη c: y 2 = 2ρx, η χορδη αυτης ΑΒ και η εφαπτομενη (ε) της παραβολης παραλληλη στην ΑΒ. Αν Κ(xo,yο) το σημειο επα - φης της εφαπτομενης και Μ το μεσο της ΑΒ , να αποδειξετε οτι η ΚΜ ειναι παραλληλη στον αξονα x΄x. 14. 2 2 Να βρειτε τις συντεταγμενες της κορυφης και της εστιας τηςπαρα- βολης καθως και την εξισωση της διευθετουσας, αν η εξισωση της παραβολης ειναι: x = y-1 x +2x= y 2 y = x+3
  • 68.
    Κ ω νι κ ε ς Τ ο μ ε ς68 Τακης Τσακαλακος Κερκυρα 2018 15. Δινεται η παραβολη c: y 2 = 12x. Να βρειτε τις συντεταμενες του με- σου Μ της χορδης που οριζεται απο την ευθεια ε: 3x – 2y = 1 16. Να βρεθει η σχετικη θεση της ευθειας x + y + 1 = 0 ως προς την παρα- βολη y 2 = 2x 17. Απο ενα σημειο Μ της διευθετουσας της παραβολης y 2 = 2ρx φερ- νουμε εφαπτομενες στην παραβολη.  Αν Α και Β τα σημεια επαφης, να βρεθει η εξισωση της ευθειας ΑΒ  Δειξτε οτι τα Α, Β και η εστια Ε ειναι σημεια συνευθειακα 18. Να βρεθει το σημειο της παραβολης y 2 = 4x που απεχει απο την εστια της αποσταση ιση με 2 19. 2 Να βρειτε τις εφαπτομενες της παραβολης (c): y = 36x που διερχεται απ'το σημειο Α(2,9)
  • 69.
    Π α ρα β ο λ η 69 Τακης Τσακαλακος Κερκυρα 2018 20. 2 2 2 2 Δινεται κυκλος με κεντρο Κ(0,-4) που εφαπτεται στην παραβολη y=-x Να βρεθει η εξισωση του κυκλου Δινεται ο κυκλος x +y = 2 και η παραβολη y = 8x Να βρεθουν οι κοινες εφαπτομενες του κυκλου και της παραβολης και να δειξετε οτι ειναι καθετες 21. Δινεται η παραβολη c1 : y 2 = 12x και ο κυκλος c2 : (x - 3) 2 + y 2 = 36 Δειξτε οτι:  κυκλος και παραβολη τεμνονται σε δυο ση μεια Α και Β  οι εφαπτομενες της παραβολης στα Α και Β τεμνονται πανω στον κυκλο c2 22. Αν α 0, να αποδειξετε οτι το σημειο Μ 2 2α 2α , λ λ , με α σταθερο, κινει- ται σε παραβολη, οταν το λ μεταβαλλεται στο * μεγιστη τιμή της συναρτησης h με τύπο h(x)= 23. Δινονται ο κυκλος 2 2 1 C : x y 6x 1 0 και η παραβολη 2 2 C : y 4x  Για τον κυκλο 1 C να βρειτε το κεντρο και την ακτινα του και για την παραβολη 2 C την εστια και την διευθετουσα της.  Να βρειτε τα κοινα σημεια Α και Β των 1 C και 2 C .  Να βρειτε τις εφαπτομενες 1 και 2 της 2 C στα Α και Β αντιστοιχα και να αποδειξετε οτι οι 1 και 2 εφαπτονται και στον κυκλο 1 C
  • 70.
    Κ ω νι κ ε ς Τ ο μ ε ς70 Τακης Τσακαλακος Κερκυρα 2018 24. Δινεται σταθερο σημειο A και ευθεια (ε) που δεν διερχεται απο το A . Να αποδειξετε οτι ο γεωμετρικος τοπος των κεντρων των κυκλων που διερχονται απο το Α και εφαπτονται στην (ε), ειναι παραβολη
  • 71.
    Ε Λ ΛΕ Ι Ψ Η
  • 72.
    Κ ω νι κ ε ς Τ ο μ ε ς72 Τακης Τσακαλακος Κερκυρα 2018 Ελλειψη ειναι ο γεωμετρικος το τοπος των σημειων του επιπεδου που οι αποστα- σεις τους απο δυο σταθερα σημεια Ε’, Ε (εστιες) εχουν σταθερο αθροισμα, που συμβολιζεται 2α. Ετσι, ενα σημειο Μ ειναι σημειο της ελλει- ψης με εστιες Ε’, Ε και εχουν σταθερο α- θροισμα 2α, αν: (ΜΕ’)+(ΜΕ)=2α  Ε’Ε: ειναι η εστιακη αποσταση και συμβολιζετα 2γ Ειναι γ<α , β2 =α2 -γ2 Ειναι μια καμπυλη που προκυπτει απο τη τομη ενος κωνου και ενος επιπεδου που τον τεμνει πλαγιως ως προς τον αξονα του. (Ειδικη περιπτωση της αλλειψης ειναι ο κυκλος, που προκυπτει αν το επιπεδο που τεμνει τον αξονα του κωνου ειναι καθετο σ’αυτον)  Εκκεντροτητα της ελλειψης ειναι ο λο- γος γ ε= α 2 2 2 Ισχυουν: ε< 1 (αφουγ< α) β = 1-ε (αφουγ= ) α β Αν ε 0 1, δηλαδη ο μικρος αξονας α τεινει να γινει ισος με το μεγαλο που σημαι- νει οτι η ελλειψη τεινει να γινει κυκλος β Αν ε 1 0, δηλαδη ο μικρος αξονας τει α νει να γινει απειρως μικροτε- ρος του μεγαλου που σημαινει οτι η ελλειψη τεινει να γινει ευθυγραμμο τμημα  Μεγαλος αξονας (κυριος αξονας) της ελλειψης ειναι το τμημα Α’Α με μηκος 2α  Μικρος αξονας της ελλειψης ειναι το τμημα Β’Β με μηκος 2β Ο ρ ι σ μ ο ς
  • 73.
    Ε λ λε ι ψ η 73 Τακης Τσακαλακος Κερκυρα 2018  Κορυφες της ελλειψης ειναι τα σημεια Α’, Α, Β’, Β  Κεντρο της ελλειψης ειναι το σημειο Ο (μεσο του κυριου αξονα)  Χορδη της ελλειψης ειναι το ευθυγραμμο τμημα με ακρα πανω στην ελ - λειψη  Διαμετρος της ελλειψης ειναι μια ευθεια που διερχεται απ’το κεντρο της  Ομοιες ειναι δυο ελλειψεις που εχουν την ιδια εκκεντροτητα  Οι αξονες της ελλειψης ειναι αξονες συμ- μετριας αυτης Πραγματι, απ’ το τυχαιο σημειο Μ της ελλειψης φερ- νουμε καθετη στον αξονα που τεμνει τη ελλειψη στα Μ’, Μ’’’. Ευκολα (απο Γεωμε- τρια) ΠΜ=ΠΜ’, Π’Μ=Π’Μ’’’ και ...  Το μεσο των αξονων της ελλειψης, ειναι κεντρο συμμετριας της ελλειψης  Η ελλειψη βρισκεται εξ’ολοκληρου στο ημι- επιπεδο της καθετης ε (δ) του κυριου αξονα στη κορυφη Α (Α’) που περιεχει τις εστιες  Καθε χορδη της ελλειψης που διερχεται απ’το μεσο Ο των αξονων (διαμετρος)εχει μεσο το Ο (λογω κεντρου συμμετριας Ο ...) Μεγαλυτερη διαμετρος ο κυριος αξονας (Α’Α) και μικροτερη ο αλλος (ΒΒ’)  Τα αντιδιαμετρικα σημεια Μ, Μ’ και οι εστιες Ε, Ε’, οπως και τα Μ, Μ’ και οι κορυφες Α, Α’ (Β, Β’) αποτελουν κορυφες παραλληλο - γραμμου (εγγεγραμμενου στην ελλειψη)  Οι κορυφες Β, Β’ και οι εστιες Ε’, Ε (η κο- ρυφες Α, Α’) αποτελουν κορυφες ρομ - βου  Αν το αθροισμα των αποστασεων σημειου Μ του επιπεδου ειναι μεγαλυτερο του κυριου αξονα Α’Α ελλειψης, τοτε αυτο βρισκεται εκτος της ελλειψης (ΜΕ’+ΜΕ>2α Μ εκτος c) Ι δ ι ο τ η τε ς - Σ υ ν ε π ε ι ε ς
  • 74.
    Κ ω νι κ ε ς Τ ο μ ε ς74 Τακης Τσακαλακος Κερκυρα 2018 Πραγματι Εστω Μ σημειο εκτος της ελλειψης και Ρ το σημειο τομης της ΜΕ με την ελλειψη c. Τοτε τριγωνικη ανισοτητα ΜΡ+ΜΕ'>ΡΕ' ME ME' ' ' 2  Αν το αθροισμα των αποστασεων σημειου Μ του επιπεδου ειναι μικροτερο του κυριου αξονα Α’Α ελλειψης, τοτε αυτο βρισκεται εντος της ελλειψης (ΜΕ’+ΜΕ<2α Μ εντος c)  Το σημειο Μ(x1 , y1 ) ειναι εξωτερικο της ελ- λειψης αν και μονο αν 2 2 1 1 2 2 x y + >1 α β Πραγματι, αν Ρ(x0 , y0 ) το σημειο τομης της ΟΜ και της c, τοτε (ΟΜ) > (ΟΡ) η x1 > x0 η x1 2 > x0 2 (1) H ευθεια OM εχει εξισωση 1 1 y y= × x x σε συν- δυασμο με την 22 2 2 yx + =1 α β προκυπτει 2 2 2 2 2 2αφου οι ΟΜ και ΟΡ 2 21 1 02 2 2 2 2 2 2 2ταυτιζονται 1 1 1 1 α β x α β x x = x = β x +α y β x +α y (2) Απο (1), (2): 2 2 2 2 2 2 2 2 2 2 2 21 1 1 1 1 12 2 2 2 2 2 1 1 α β x x y x > β x +α y >α β + >1 β x +α y α β Αναλογα, αν το σημειο Μ(x1 , y1 ) ειναι εσωτερικο της ελλειψης τοτε 2 2 1 1 2 2 x y + <1 α β
  • 75.
    Ε λ λε ι ψ η 75 Τακης Τσακαλακος Κερκυρα 2018 2 2 Θετουμε β= α -γ Σε συστημα συντεταγμενων Οxy με αξονα x'x να διερχεται απ'τα Ε',Ε και αξονα y'y τη μεσοκαθετη του Ε'Ε η εξισωση της ελλειψης με εστιες Ε'(-γ,0), Ε(γ,0) και σταθερο αθροισμα 2α ειναι: Σε συστημα συντεταγμενων Οxy με αξονα y'y να διερχεται απ'τα Ε',Ε και αξονα x'x τη μεσοκαθετη του Ε'Ε η εξισωση της 22 2 2 yx + = 1 α β ελλειψης με εστιες Ε'(-γ,0), Ε(γ,0) και σταθερο αθροισμα 2α ειναι: 22 2 2 yx + = 1 β α  Γ ε ν ι κ η Μ ο ρ φ η 2 2 αx +βxy+γy +δx+εy+ζ= 0 Η παραπανω εξισωση παριστανει ελλειψη αν 2 4  Π α ρ α μ ε τ ρ ι κ ε ς Ε ξ ι σ ω σ ε ι ς x= ασυνφ y= βημφ οπου φ [0, 2π) ΣΧΟΛΙΟ Στη περιπτωση που οι αξονες της ελλειψης δεν ειναι οι χ’χ, y’y οι εξισω- σεις ειναι  2 2 0 0 2 2 (x-χ ) (y-y ) + = 1 α β , με εστιες πανω στην ευθεια 0 y= y και κεντρο 0 το σημειο τομης των ευθειων χ=χ0 , y=y0 Ε ξ ι σ ω σ η E λ λ ε ι ψ η ς
  • 76.
    Κ ω νι κ ε ς Τ ο μ ε ς76 Τακης Τσακαλακος Κερκυρα 2018  2 2 0 0 2 2 (x-χ ) (y-y ) + = 1 β α , με εστιες πανω στην ευθεια 0 χ= χ και κεντρο 0 το σημειο τομης των ευθειων χ=χ0 , y=y0 1 1 22 2 2 22 2 2 H εφαπτομενη στο σημειο Μ(x ,y ) της ελλειψης: yx + = 1 εχει εξισωση α β yx + = 1 εχει εξισωση β α 1 1 2 2 1 1 2 2 x× x y× y + = 1 α β x× x y× y + = 1 β α 1 1 Εστω η ελλειψη c και η εφαπτομενη ε στο σημειο της Μ(x ,y ) Τοτε ισχυει οτι: Η καθετη ευθεια η στην εφαπτομενη ε στο σημειο επαφης Μ διχοτομει την γωνια Ε΄ΜΕ, οπου Ε΄, Ε οι εστιες της ελλειψης Ε φ α π τ ο μ ε ν η Π α ρ α β ο λ η ς Α ν α κ λ α σ τ ι κ η Ι δ ι ο τ η τ α
  • 77.
    Ε λ λε ι ψ η 77 Τακης Τσακαλακος Κερκυρα 2018 Να βρειτε την εξισωση της ελλειψης, αν εχει εστιες τα σημεια Ε'(0,-3), Ε(0,3) και μεγαλο αξονα 8. Α π α ν τ η σ η ΠΑΡΑΔΕΙΓΜΑ ΕΥΡΕΣΗ ΕΞΙΣΩΣΗΣ ΕΛΛΕΙΨΗΣ 1 Τροπος Λυσης : Με γνωστα τις εστιες (πανω στους αξονες x’ x η y’y) και το μεγαλο αξονα ● Προσδιοριζουμε τα α και β απο : Ε’Ε = 2γ, Α’Α = 2α και β 2 = α 2 – γ 2 Σ Τ Η Π Ρ Α Ξ Η . . . 22 2 2 2 2 2 2 yx Η εξισωση εχει μορφη: + = 1 β α (οι εστιες πανω στον αξονα y'y) 2α= 8 α= 4 2γ= 6 γ= 3 β = α -γ β = 16-9 2 2 22 α = 16 β = 7 yx (c): + = 1 7 16 ΕΥΡΕΣΗ ΕΞΙΣΩΣΗΣ ΕΛΛΕΙΨΗΣ 2 Τροπος Λυσης : Με γνωστα τις εστιες (πανω στους αξονες x’ x η y’y) και την εκκεν- τροτητα ● Προσδιοριζουμε τα α και β απο : Ε’Ε = 2γ, ε = και β 2 = α 2 – γ 2
  • 78.
    Κ ω νι κ ε ς Τ ο μ ε ς78 Τακης Τσακαλακος Κερκυρα 2018 Να βρειτε την εξισωση της ελλειψης, αν εχει εστιες τα σημεια Ε'(-3,0), 3 Ε(3,0) και εκκεντροτητα γ= . 4 Α π α ν τ η σ η 22 2 2 2 2 2 2 2 yx Η εξισωση εχει μορφη: + = 1 α β (οι εστιες πανω στον αξονα x'x) 2γ= 6 γ= 3 γ= 3 γ 3 3 ε= = α= 4 α 4 α β = 7 β = α -γ β = 16-9 2 22 2 α = 16 yx (c): + = 1 16 7β = 7 Να βρειτε την εξισωση της ελλειψης, αν διερχεται απ'τα σημεια Α(4,0), 7 Β(3, ) και εχει εστιες πανω στον αξονα x'x. 4 Α π α ν τ η σ η 22 2 2 yx Η εξισωση εχει μορφη: + =1 (οι εστιες πανω στον αξονα x'x) α β ΠΑΡΑΔΕΙΓΜΑ ΠΑΡΑΔΕΙΓΜΑ ΕΥΡΕΣΗ ΕΞΙΣΩΣΗΣ ΕΛΛΕΙΨΗΣ 3 Τροπος Λυσης : Με γνωστο η ελλειψη διερχεται απο γνωστα σημεια (Οι εστιες πανω στους αξονες x’x η y’y) ● Οι συντεταγμενες των γνωστων σημειων επαληθευουν την εξι - σωση της ελλειψης ● Απ’τη λυση του συστηματος που προκυπτει, προσδ ιοριζουμε τα α και β
  • 79.
    Ε λ λε ι ψ η 79 Τακης Τσακαλακος Κερκυρα 2018 22 2 2 2 2 2 2 22 22 2 2 2 2 2 2 Οι συντεταγμενες των σημειων Α και Β, επαληθευουν την πιο πανω εξισωση Ετσι 16 0 + = 1yx : + = 1 α β α = 16 α β 9 497 + = 1yx : + = 1 16 16β3 4 + = 1α β α β α = 16 49 7 = 16β 16 2 22 2 α = 16 yx (c): + = 1 16 7β = 7 Βρειτε τους αξονες, τις εστιες και την εκκεντροτητα των ελλειψεων: α) 2 2 x +4y = 4 β) 2 2 169x +144y = 24336. Α π α ν τ η σ η α) Η εξισωση 2 2 x +4y = 4 γραφεται ισοδυναμα 22 2 2 yx + = 1 2 1 , οποτε ειναι α = 2 και β = 1 Ετσι εχουμε 2 2 2 γ = 2 -1 = 3, οποτε γ= 3 ● Β’Β = 2β = 2 και Α’Α = 2α = 4 ● οι εστιες ειναι τα σημεια E (- 3,0) και E( 3,0) ΠΑΡΑΔΕΙΓΜΑ ΕΥΡΕΣΗ ΕΣΤΙΩΝ - ΚΟΡΥΦΩΝ - ΑΞΟΝΩΝ - ΕΚΚΕΝΤΡΟΤΗΤΑΣ Τροπος Λυσης : Με γνωστη την εξισωση της ελλειψης ● Φερνουμε την εξισωση σε μορφη ● Προσδιοριζουμε τα α και β, αμεσα απ’την πιο πανω εξισωση και τα γ και ε απο ε = και β 2 = α 2 - γ 2
  • 80.
    Κ ω νι κ ε ς Τ ο μ ε ς80 Τακης Τσακαλακος Κερκυρα 2018 ● γ 3 ε= = α 2 β) Η εξισωση 2 2 169x +144y = 24336 γραφεται ισοδυναμα 2 22 2 22 2 2 144y y169x x + = 1 + = 1 24336 24336 144 169 yx + = 1 12 13 απ’ οπου προκυπτει οτι α = 13, β= 12 και γ= 169-144= 25=5 ● Β’Β = 2β = 24 και Α’Α = 2α = 26 ● οι εστιες ειναι τα σημεια E (0,-5) και E(0,5) ● γ 5 ε= = α 13 2 2 Να βρειτε τις εξισωσεις των εφαπτομενων της ελλειψης (c): 4x +9y = 36, αν ειναι παραλληλη με την ευθεια (ζ): x+2y= 1 ΠΑΡΑΔΕΙΓΜΑ ΕΥΡΕΣΗ ΕΞΙΣΩΣΗΣ ΕΦΑΠΤΟΜΕΝΗΣ ΕΛΛΕΙΨΗΣ Τροπος Λυσης : Με γνωστη την εξισωση της ελλειψης και ευθεια παραλληλη (κα - θετη) στην εφαπτομενη ● Η ζητουμενη ευθεια εχει ιδιο συντελεστη διευθυνσης με τη δοσμε - νη ευθεια (η το γινομενο των συντελεστων διευθυνσης ισο με -1, αν ειναι καθετες) ● Οι συντεταγμενες του σημειου επαφης επαληθευουν την εξισωση της δοσμενης ευθειας και την εξισωση της ελλειψης ● Αν η ζητουμενη ειναι της μορφης y = λ x + β (1) (λ της δοσμενης) τοτε λυνουμε το συστημα των (1) και εξισωσης ελλειψης απ’το ο - ποιο προκυπτει τριωνυμο ως προς β, για το οποιο απαιτουμε να εχει μ ο ν α δ ι κ η λυση (Δ = 0)
  • 81.
    Ε λ λε ι ψ η 81 Τακης Τσακαλακος Κερκυρα 2018 Α π α ν τ η σ η 1 1 1 1 Αν Μ(x ,y ) το σημειο επαφης, τοτε η εξι- σωση της εφαπτομενης ειναι: 4x 1 Αφου - =- 9y 2 9 1 1 1 ε δ 1 (ε): 4xx +9yy = 36 (Ι) 8 x λ = λ y = (1) 2 2(1) 2 2 2 21 1 1 1 1 1 2 2 2 1 1 1 Το σημειο Μ ανηκει στην ελλειψη, οποτε οι συντεταγμενες του επαληθευουν την εξι- σωση της Ετσι 8x 64x 4x +9y = 36 4x +9 = 36 4x + = 36 9 9 36x +64x = 324 100x = 324 x 2 1 1 (1) 1 1 (1) 1 1 324 18 = x = 100 10 9 8 9 8 1 2 Γιαx = y = η(I):4 x +9 y = 36 x +y = 1 5 5 5 5 5 5 9 8 9 8 1 2 Γιαx =- y =- η(I):4 x - +9 y - = 36 -x -y = 1 5 5 5 5 5 5 Οι 1 9 x = 5 x+2y= 5 x+2y=-5 Aλλιως ζητουμενες εφαπτομενες ειναι της μορφης αφου ειναι (ε)||(ζ) Για να ειναι η (ε) εφαπτομενη στην (c) πρεπει το συστημα των εξισωσεων τους να εχει μια μονο λυση. Ετσ (ε): x+2y= κ 2 2 2 2 22 2 2 2 2 2 ι 4x +9y = 36 4κ -16κy+16y +9y = 364(κ-2y) +9y = 36 x+2y= κ x= κ-2yx= κ-2y Για να εχει η (2) μια λυση πρεπει: Δ= 0 256κ -4 25 (4κ -36)= 0 256κ -400κ +3 2 2 25y -16κy+4κ -36 = 0 (2) 2 2 600= 0 144κ = 3600 κ = 25 Αρα,οι ζητουμενες εφαπτομενες ειναι: η κ=±5 (ε): x+2y= 5 (ε): x+2y=-5
  • 82.
    Κ ω νι κ ε ς Τ ο μ ε ς82 Τακης Τσακαλακος Κερκυρα 2018 2 2 Να δειξετε οτι η (ζ): x+2y= 5 ειναι εφαπτομενη της ελλειψης (c): 4x +9y = 36 και να βρειτε το σημειο επαφης. Α π α ν τ η σ η 2 2 2 2 2 2 2 2 Λυνουμε το συστημα των εξισωσεων της ευθειας (ζ) και της ελλειψης c 4x +9y = 36 4(5-2y) +9y = 36 x+2y= 5 x= 5-2y 4× 5 -16 × 5× y+16y +9y = 36 x= 5-2y 100-80× y+25y = 36 x= 5-2y 2 2 2 2 25y -80× y+64= 0 (5y) -2×(5y)× 8+8 = 0 (5y-8) = 0 x= 5-2y x= 5-2y x= 5-2y 8 8 y= y= 5y-8= 0 5 5 x= 5-2y 8 9 x= 5-2 x= 5 5 H λυση ειναι μοναδικη, αρα η ευθεια (ζ) ειναι εφαπτομενη της ελλειψης c, με σημειο επαφης το 9 8 Μ , 5 5 ΠΑΡΑΔΕΙΓΜΑ ΑΠΟΔΕΙΞΗ ΕΞΙΣΩΣΗΣ ΕΦΑΠΤΟΜΕΝΗΣ ΕΛΛΕΙΨΗΣ Τροπος Λυσης : Με γνωστη την εξισωση της ελλειψης και της εφαπτομενης ευθειας ● Για να ειναι η δοσμενη ευθεια εφαπτομενη της ελλειψης πρεπει το συστημα των εξισωσεων της ελλειψης και της ευθειας να εχει μ ο ν α δ ι κ η λυση ● Η λυση του πιο πανω συστηματος ειναι οι συντεταγμενες του ση - μειου επαφης
  • 83.
    Ε λ λε ι ψ η 83 Τακης Τσακαλακος Κερκυρα 2018 2 2 Να βρειτε τις εφαπτομενες της ελλειψης (c): 3x y = 3 που διερ- χονται απ'το σημειο Α(2,0). Α π α ν τ η σ η 1 2 2 2 2 2 2 Οι ευθειες που διερχονται απ'το σημειο Α ειναι οι: (ε ): x= 2 και (ε ): y= λ(x-2) 3x +y = 3 3 2 +y = 2 y =-10 x= 2 x= 2 x= 2 αδυνατο Δεν εχει κοινα σημεια μ 1 (ε ): x= 2 ε την ελλειψη, οποτε δεν ειναι εφαπτομενη 2 2 2 2 2 2 2 2 2 2 3x +y = 3 3x +[λ(x-2)] = 3 3x +λ x -4λ x+4λ = 3 y= λ(x-2) y= λ(x-2) Για να εφαπτεται η (ε ) στην (c), πρεπει η (1) να εχει δι 2 2 2 2 2 (ε ): y= λ(x-2) (3+λ )x -4λ x+4λ -3= 0(1) 2 2 2 2 πλη ριζα (το συστημα των εξισωσεων να εχει λυση), δηλαδη: Δ= 0 (-4λ ) -4(3+λ )(4λ -3)= 0 μια ΠΑΡΑΔΕΙΓΜΑ ΕΥΡΕΣΗ ΕΞΙΣΩΣΗΣ ΕΦΑΠΤΟΜΕΝΗΣ ΕΛΛΕΙΨΗΣ Τροπος Λυσης : Με γνωστη την εξισωση της ελλειψης και σημειο απ’το οποιο διερ- χεται η εφαπτομενη (οχι σημειο επαφης). Αν το γνωστο σημειο ει- ναι το Α(x0 , y0 ), τοτε απ’αυτο διερχονται οι ευθειες με εξισωσεις : x = x 0 (1) και y - y 0 = λ ∙ ( x - x 0 ) (2) ● Ελεγχουμε αν η ευθεια με εξισωση x = x0 ειναι εφαπτομενη (λυ- νουμε το συστημα με εξισωσεις την (1) και την εξισωση της ελλει- ψης) ● Λυνουμε το συστημα με εξισωσεις την (2) και την εξισωση της ελλειψης. Προσδιοριζουμε τον συντελεστη διευθυνσης λ της εφαπτομενης, απαιτωντας ο τριωνυμο που προκυπτει να εχει μια λυση (δηλαδη Δ = 0)
  • 84.
    Κ ω νι κ ε ς Τ ο μ ε ς84 Τακης Τσακαλακος Κερκυρα 2018 4 16λ 2 4 -48λ +36- 16λ 2 2 2 +12λ = 0 36λ = 36 λ = 1 λ= 1 Ετσι, οιεφαπτομενες ειναι: y= 1(x-2) και y=-1(x-2)y= x-2 y=-x+2 Εστω η παραβολη 2 2 3x +y = 3και το σημειο Ρ(1,2). Αν οι εφαπτομενες απ’το Ρ στην ελλειψη, εφαπτονται στα σημεια Α και Β, να βρειτε την εξισωση της ευθειας που διερχεται απ’τα σημεια Α και Β . Α π α ν τ η σ η Αν A (x1 , y1 ) και Β(x2 , y2 ) τα σημεια επα- φης. Οι εφαπτομενες ΡΑ, ΡΒ εχουν εξισωσεις αντιστοιχα: ● 3x x1 + y y1 = 3 και ● 3x x2 + y y2 = 3 To σημειο Ρ(1, 2) ειναι σημειο των ΡΑ και ΡΒ, οποτε 1 1 1 1 2 2 2 2 3× 1× x +2× y = 3 3× x +2× y = 3 3× 1× x +2× y = 3 3× x +2× y = 3 (1) Απ’την (1) προκυπτει οτι οι συντεταγμενες των σημειων Α και Β επαλ η- θευουν την εξισωση : 3x+2y= 3 Αρα, η ζητουμενη ευθεια ειναι : 3x+2y-3= 0 ΠΑΡΑΔΕΙΓΜΑ ΕΥΡΕΣΗ ΕΞΙΣΩΣΗΣ ΧΟΡΔΗΣ ΕΛΛΕΙΨΗΣ Τροπος Λυσης : Με γνωστο, σημειο απ’το οποιο διερχονται δυο εφαπτομενες και η εξισωση ελλειψης ● Αν το γνωστο σημειο ειναι Ρ(x 0 ,y0 ) τοτε οι συντεταγμενες του επαληθευουν την εξισωση της εφαπτομενης στα σημεια επαφης και πρoκυπτει εξισωση της μορφης
  • 85.
    Ε λ λε ι ψ η 85 Τακης Τσακαλακος Κερκυρα 2018 2 2 Δειξτε οτι το σημειο Μ(1,2) ειναι εξωτερικο της ελλειψης: c: 3x +y = 3. Α π α ν τ η σ η 2 2 2 2 2 2 1 1 2 2 Ειναι α = 3, β = 1 Ετσι x y 1 2 4 + = + = 1+ > 1 β α 1 3 3 Αρα το Μ ειναι εξωτερικο της ελλειψης. ΡΕ>ΜΕ ΡΕ>ΜΕ ΑΕ = Α'Ε' =α-γ ' ' 2 ΡΕ+ΡΕ' ' ~ ΡΕ+ΡΕ' ' ΡΕ+ΡΕ' ' ' ' ~ 2 Αλλιως ΡΕ+ΡΕ' > 2α ΠΑΡΑΔΕΙΓΜΑ ΕΣΩΤΕΡΙΚΟ - ΕΞΩΤΕΡΙΚΟ ΣΗΜΕΙΟ ΕΛΛΕΙΨΗΣ Τροπος Λυσης : Με γνωστη την εξισωση της ελλειψης και σημειο απ’το οποιο διερ - χονται δυο εφαπτομενες ● Το σημειο Μ(x1 , y1 ) ειναι εξωτερικο της ελλειψης αν και μονο αν ● Το σημειο Μ(x1 , y1 ) ειναι εσωτερικο της ελλειψης αν και μονο αν ΜΕ ΕΦΑΠΤΟΜΕΝΟ ΚΥΚΛΟ Τροπος Λυσης : Με γνωστα, την εξισωση της ελλειψης και το κεντρο του κυκλου ● Απαιτουμε το συστημα των εξισωσεων κυκλου και ελλειψης να εχει μ ο ν α δ ι κ η λυση
  • 86.
    Κ ω νι κ ε ς Τ ο μ ε ς86 Τακης Τσακαλακος Κερκυρα 2018 2 2 Δινεται κυκλος με κεντρο Κ(3,0) που εφαπτεται στην ελλειψη 3x y =3. Να βρεθει η εξισωση του κυκλου. Α π α ν τ η σ η 2 2 2 2 2 2 Ο κυκλος εχει εξισωση: Για να εφαπτεται ο κυκλος στην ελλειψη πρεπει το συστημα των εξισωσεων τους να εχει λυση. Ετσι (x-2) +y = ρ (x-2) -3 3x +y = 3 2 2 2 (x-2) +y = ρ (1) μια 2 2 2 2 2 2 2 2 2 2 2 x +3= ρ x -4x+4-3x +3= ρ y =-3x +3 Η τελευταια για να εχει μια λυση πρεπει: Δ= 0 4 -4× 2×(ρ -7)= 0 16-8ρ +56 = 0 8ρ = 72 Οποτε η (1) δινει: 2 2 2 2 2 2 2x +4x+ρ -7= 0 ρ = 9 (x-2) +y = 3 + Δινονται : ο κυκλος c1 : x 2 + y 2 = 3 και η ελλειψη c2 : 5x 2 + y 2 = 5 Na βρεθουν οι κοινες εφαπτομενες του κυκλου και της ελλειψης Α π α ν τ η σ η Εστω (ε): y= λx+β η ζητουμενη ευθεια ΠΑΡΑΔΕΙΓΜΑ ΠΑΡΑΔΕΙΓΜΑ ΚΟΙΝΗ ΕΦΑΠΤΟΜΕΝΗ ΕΛΛΕΙΨΗΣ - ΚΥΚΛΟΥ Τροπος Λυσης : Με γνωστα, τις εξισωσεις της ελλειψης και του κυκλου ● Η ζητουμενη ειναι της μορφης y = λ x +β (1) ● Δημιουργουμε τα συστηματα με την (1) και καθεμια απ’τις εξισω - σεις κυκλου - ελλειψης ● Προκυπτει συστημα με αγνωστους τα λ, β που λυνοντας το βρι - σκουμε το ζητουμενο μεσω της (1)
  • 87.
    Ε λ λε ι ψ η 87 Τακης Τσακαλακος Κερκυρα 2018 2 2 2 2 2 2 2 2 2 2 2 y= λx+β 5x +(λx+β) = 5 5x +y = 5 5x +λ x +2λβx+β = 5 (5+λ )x +2λβx+β -5= 0 Η πιο πανω εξισωση πρεπει να εχει μια λυση γιατι η ευθεια (ε) ειναι εφαπτομενη τ 2 2 2 2 2 2 ης c , συνεπως Δ= 0 (2λβ) -4(5+λ )(β -5)= 0 4λ β 2 2 2 -20β +100- 4λ β 2 2 2 2 2 2 2 2 2 2 2 2 +20λ = 0 λ -β =-5 (1) y= λx+β x +λ x +2λβx+β = 3 (λ +1)x +2λβx+β -3= 0 x +y = 3 1 2 2 2 2 2 Η πιο πανω εξισωση πρεπει να εχει μια λυση γιατι η ευθεια (ε) ειναι εφαπτομενη της c , συνεπως Δ= 0 (2λβ) -4(λ +1)( -3)= 0 4λ β 2 2 - 4λ β 2 2 (1) 2 2 2 2 2 2 2 2 +12λ -4β +12= 0 3λ +3= 0 3λ +3= 0 2λ = 2 λ = 1 λ= 1 Για λ= 1 τοτε 1-β =-5 β = 6 β= 6 Ετσι Για λ=1 και β= 6 η (ε): Για λ=1 και β=- 6 η (ε): -β -λ -5 y= x+ 6 y= Για λ=-1 και β= 6 η (ε): Για λ=-1 και β=- 6 η (ε): x- 6 y=-x+ 6 y=-x- 6 ΕΛΛΕΙΨΗ - ΚΥΚΛΟΣ ΠΟΥ ΕΦΑΠΤΟΝΤΑΙ Τροπος Λυσης : Με δοσμενες τις εξισωσεις της ελλειψης και του κυκλου ● Λυνουμε το συστημα των εξισωσεων του κυκλου και της ελλει- ψης και βρισκουμε τα κοινα σημεια ● Για καθε κοινο σημειο βρισκουμε την εφαπτομενη της ελλειψης και ελεγχουμε αν ειναι και εφαπτομενη του κυκλου
  • 88.
    Κ ω νι κ ε ς Τ ο μ ε ς88 Τακης Τσακαλακος Κερκυρα 2018 Δειξτε οτι ο κυκλος 2 2 2 x +y = 3 εφαπτεται της ελλειψης 2 2 x 9y = 9 . (Δηλαδη, εχουν τις ιδιες εφαπτομενες στα κοινα σημεια τους) Α π α ν τ η σ η Τα κοινα σημεια του κυκλου και της ελλει - ψης βρισκονται απο τη λυση του συστημα - τος των εξισωσεων τους. Εχουμε: 2 2 2 2 2 2 2 2 2 2 2 2 x +y = 9 x +y = 9 x +9y = 9 x +y = x +9y x = 9 x= 3 x=-3 η y= 0 y= 0y = 0 Επομενως, υπαρχουν δυο κοινα σημεια, το Α(3, 0) και το Β(- 3, 0) ● Η εξισωση εφαπτομενης της ελλειψης στο Α ειναι x× 3+9× y× 0=9 x=3 Η ευθεια αυτη εφαπτεται και του κυκλου, αφου η αποσταση του κεν - τρου Κ(0, 0) του κυκλου απο αυτη ειναι ιση με την ακτινα του ρ = 3 Πραγματι 2 2 | 3× 0+0× 0-3| |-3| 3 d= = = = 3= ρ 111 +0 ● Η εξισωση εφαπτομενης της ελλειψης στο Β ειναι x×(-3)+9× y× 0=9 x=-3 . Η ευθεια αυτη εφαπτεται και του κυκλου, αφου η αποσταση του κεν - τρου Κ(0, 0) του κυκλου απο αυτη ειναι ιση με την ακτινα του ρ = 3 . Πραγματι 2 2 | 3× 0+0× 0+3| | 3| 3 d= = = = 3= ρ 111 +0 ΠΑΡΑΔΕΙΓΜΑ
  • 89.
    Ε λ λε ι ψ η 89 Τακης Τσακαλακος Κερκυρα 2018 2 2 Εστω η ελλειψη 3x +y = 3 και η ευθεια ε: y= 2x+3. Να βρεθει ο γεωμετρικος τοπος των μεσων των χορδων της ελλειψης που ειναι παραλληλες στην ευθεια ε. Α π α ν τ η σ η 0 0 1 1 2 2 1 2 1 2 0 0 2 1 ε Εστω Μ(x ,y ) τυχαιο σημειο του γεωμε- τρικου τοπου Το Μ ειναι μεσο της χορδης ΑΒ Aν Α(x ,y ) και B(x ,y ) τοτε: x +x y +y x = και y = (1) 2 2 y -y ΑΒ|| ε = x2 1 2 2 1 1 2 2 2 2(-) 1 2 1 2 2 2 2 2 1 2 1 2 1 2 1 2 = 2 (2) -x Οι συντεταγμενες των Α, Β επαληθευουν την εξισωση της ελλειψης, οποτε: x y + = 1 x x y y1 3 - + - = 0 1 1 3 3x y + = 1 1 3 1 (x +x )(x -x )+ (y +y )(y -y )= 0 3 (1) 1 2 1 2 1 2 (2) 1 2 0 0 0 0 0 0 y -y1 (x +x )+ (y +y ) = 0 3 x -x 1 1 2× x + × 2× y × 2= 0 x + × 2× y = 0 3× x +2× y = 0 3 3 ΠΑΡΑΔΕΙΓΜΑ 1 ΓΕΩΜΕΤΡΙΚΟΣ ΤΟΠΟΣ Τροπος Λυσης : Με δοσμενη την εξισωση της ελλειψης και ιδιοτητα χαρακτηριστι- κου σημειου ● Απο συνδυασμο των δοσμενων σχεσεων καταληγουμε σε εξισωση των συντεταγμενων x0 , y0 του Μ, που αποτελει τον γ.τ. ● Αν οι συντεταγμενες x0 , y0 του σημειου Μ συνδεονται με παραμε- τρο λ, τοτε απαλειφουμε την παραμετρο μεταξυ των συντεταγ - μενων και καταληγουμε σε εξισωση που ειναι συναρτηση των x 0 , y0
  • 90.
    Κ ω νι κ ε ς Τ ο μ ε ς90 Τακης Τσακαλακος Κερκυρα 2018 ο ζητουμενος γεωμετρικος τοπος: 3x+2y= 0 1 2 Δινονται οι εξισωσεις (ε ): 2λχ-y=-2λ και (ε ): 2χ+λy= 2, λ 0 Να δειχτει οτι: οι πιο πανω εξισωσεις παριστανουν ευθειες, που τεμνονται για καθε λ * το σημειο τομης τους κινειται σε μια ελλειψη, της οποιας να βρειτε τις εστιες και την εκκεντροτητα Α π α ν τ η σ η 1 2 Στις εξισωσεις (ε ) και (ε ), οταν ο ενας αγνωστος μηδενιζεται ο αλλος ειναι δια- φορετικος του μηδενος (δεν μηδενιζουν ταυτοχρονα οι δυο αγνωστοι) για καθε λ 0 1 2 2 Ετσι οι (ε ) και (ε ), παριστανουν ευθειες Ομως 2λx-y=-2λ 2λ -1 και D = 2λ +2 0 2 λ2x+λy= 2 που σημαινει οτι το συστημα εχει λυση, οποτε οι δυο ευθειες Ειναι = τεμνονται () 2 2 2 2 2 2λx-y=-2λ y= 2λx+2λ λy =-4λ(x+1)(x-1) λy =-4λx +4λ 2x+λy= 2 λy= 2-2x y +4x = 4 Ο ζητουμενος γεωμετρικος τοπος ειναι ελλειψη με εστιες πανω στον αξονα 2 2 y x + = 1 4 y'y. Ακομη οποτε 4-1 Ετσι, γ ε= και , α 2 2 α = 4 β = 1 γ= = 3 3 ε= Ε'(0,- 3) Ε(0, 3) 2 ΠΑΡΑΔΕΙΓΜΑ 2
  • 91.
    Ε λ λε ι ψ η 91 Τακης Τσακαλακος Κερκυρα 2018 Γ Ι Α Π Ρ Ο Π Ο Ν Η Σ Η . . . 01. 22 2 2 Να βρεθει η εξισωση της ελλειψης που διερχεται απ'το σημειο Μ(6,4) και ισχυει α= 2β 1 με εκκεντροτητα ε= και μια εστια Ε(0,2) 3 yx + = 1 με μεγαλο αξονα 8 και εκκεντροτ α β 3 ητα ε= 4 5 με εστιες Ε'(-5,0), Ε(5,0) και εκκεντροτητα ε= 8 02. Να βρειτε την εξισωση της ελλειψης οταν:  Εχει εστια Ε’(- 8,0) και μεγαλο αξονα 20  Εχει εστια Ε(0,3) και μεγαλο αξονα 8  Εχει εστια Ε(4,0) και εκκεντροτητα 1/2  Εχει εκκεντροτητα 3/5 και μεγαλο αξονα 20  α = 2β και διερχεται απο το σημειο (6,4)  Eχει εστιες στον αξονα y΄y , κορυφες Β΄(- 2,0) , Β(2,0) και μεγα- λο αξονα 6  Eχει μεγαλο αξονα στον x΄x και διερχεται απο τα σημεια Μ(3,- 4) και Ν(- 6,2)  Eχει μεγαλο αξονα στον y΄y, διερχεται απο το σημειο Ρ( 2,2) και εστιακη αποσταση Ε’Ε = 4 03. Να βρειτε την εξισωση της ελλειψης που διερχεται απο το σημειο Μ(2,1) και ο μικρος της αξονας ειναι το 1/3 του μεγαλου .
  • 92.
    Κ ω νι κ ε ς Τ ο μ ε ς92 Τακης Τσακαλακος Κερκυρα 2018 07. 2 2 Δειξτε οτι το σημειο Α(3συνα,2ημα) ανηκει στην ελλειψη 4x +9y = 36 και στη συνεχεια να βρειτε τις εξισωσεις της εφα- πτομενης και της καθετης στην εφαπτομενη στο σημειο Α 04.  Να βρεθει η εκκεντροτητα και οι εστιες καθεμιας απο τις ελλειψεις:  x2 + 4y2 = 4  4x2 + 9y2 = 36  9x2 + 25y2 = 225  Να αποδειξετε οτι οι ελλειψεις 22 2 2 yx + =1 α β και 2 22 2 2 2 κ yκ x + =1 α β εχουν την ιδια εκκεντροτητα 06. 2 2 22 Να βρειτε την εξισωση της χορδης ελλειψης (c): 4x +9y = 36, αν το μεσο της ειναι το σημειο Μ(-1,1) yx Να βρειτε την εξισωση της χορδης ελλειψης (c): + = 1, αν το 16 4 μεσο της ειναι το σημειο Μ(2,1) 05. Να βρειτε την εξισωση της ελλειψης που διερχεται απο το σημειο Μ(3,1) και ο μικρος της αξονας ειναι το 1/2 του μεγαλου
  • 93.
    Ε λ λε ι ψ η 93 Τακης Τσακαλακος Κερκυρα 2018 08. 22 2 2 Να βρεθει το μηκος του ευθυγραμμου τμηματος με ακρα στην ελλει- yx ψη (c): + = 1 που διερχεται απ'την εστια Ε(γ,0) και ειναι καθετο α β στον μεγαλο ημιαξονα της 09. 2 2 1 2 x Βρειτε τις εξισωσεις των εφαπτομενων της ελλειψης c: +y = 1 που: 3 ειναι παραλληλες στην ευθεια ε : x+3y+1= 0 ειναι καθετες στηνευθεια ε : x+y+2= 0 11. 22 Απο ενα σημειο Μ αγονται δυο εφαπτομενες της ελλειψης yx (c): + = 1 και η ευθεια που διερχεται απ'τα σημεια επαφης εχει 16 4 εξισωση 2x-3y+4= 0. Να βρειτε τις συντεταγμενες του σημειου Μ. 10. Δινεται η ελλειψη 22 yx + = 1 4 9 . Να δειξετε οτι η ευθεια y = 2x + 5 εφα - πτεται στην ελλειψη και να βρειτε το σημειο επαφης
  • 94.
    Κ ω νι κ ε ς Τ ο μ ε ς94 Τακης Τσακαλακος Κερκυρα 2018 12. Να δειξετε οτι το σημειο Α(ασυνφ,βημφ),φ , ανηκει σε ελλειψη με κεντρο την αρχη των αξονων, μεγαλο αξονα 2α πανω στον x'x και μικρο αξονα 2β πανω στον αξονα y'y. Στη συνεχεια να βρειτε την εξισωση της εφαπτομενης και της καθετης στην εφαπτομενη στο σημειο Α. 13. Θεωρουμε την ελλειψη c: 4x 2 + 9y 2 = 1 και μια εφαπτομενη ε αυτης. Αν Ε’, Ε ειναι οι εστιες της c, να αποδειξετε οτι d(E’,ε) d(Ε,ε) = 2/9 14. Να δειξετε οτι το σημειο Μ 2 2 2 α(1-t ) 2βt , 1+t 1+t , t ανηκει σε ελλειψη 15. Να βρεθει ο γεωμετρικος τοπος των σημειων Μ του επιπεδου, που η διπλασια αποσταση τους απ'το σημειο Ε(1,0) ισουται με την αποσταση τους απο την ευθεια (ε):x= 4 Στη συνεχεια να βρειτε τις εστιες της γραμμης που προκυπτει.
  • 95.
    Ε λ λε ι ψ η 95 Τακης Τσακαλακος Κερκυρα 2018 16. Εστω c : 2 2 2 2 β x +α y = 1 και σημεια Α(ασυνθ,βημθ) και Β(- αημθ, βσυνθ), θ [0,2π)  Να δειξετε οτι τα σημεια ανηκουν στην ελλειψη  Αν οι εφαπτομενες στα Α και Β τεμνονται στο σημειο Μ να βρεθει ο γεωμετρικος τοπος του Μ . 17. 1 2 Δινονται οι εξισωσεις (ε ): 5y= 3λ(x+5) και (ε ): 5λy= 3(5-x),λ 0 Να δειχτει οτι: οι πιο πανω εξισωσεις παριστανουν ευθειες, που τεμνονται για καθε λ * το σημειο τομης τους κινειται σε μια ελλειψη, της οποιας να βρειτε τις εστιες και την εκκεντροτητα 18. Δινεται ο κυκλος x 2 + y 2 = 4 και η ελλειψη 22 yx + = 1 2 6 . (1)  Δειξτε οτι το σημειο (1,-3 ) ειναι κοινο τους σημειο και στη συνεχεια βρειτε ολα τα κοινα σημεια.  Να δειξετε οτι τα κοινα τους σημεια ειναι κορυφες ορθογωνιου πα - ραλληλογραμμου.  Να βρεθουν τα σημεια Μ (x0 , y0 ) ωστε x0 2 + y0 2 = 4 και (Ε’Μ) + (ΕΜ) = 2 6 (οπου Ε’, Ε οι εστιες της ελλειψης (1) )
  • 96.
    Κ ω νι κ ε ς Τ ο μ ε ς96 Τακης Τσακαλακος Κερκυρα 2018 19. Να βρεθει ο γεωμετρικος τοπος των κεντρων των κυκλων που εφα- πτονται εξωτερικα στον κυκλο C1 : x 2 + ( y + 1 ) 2 = 1 και εσωτερικα στον κυκλο C2 : x 2 + ( y - 1 ) 2 = 9 20.  Να βρεθει ο μ > 0 ωστε η ευθεια ε: y = x + μ να ειναι εφαπτομενη της ελλειψης c : 2 2x +y = 1 2  Για την παραπανω τιμη του μ, να αποδειχθει οτι η προβολη της ε - στιας Ε(γ,0) στην ε ανηκει στον κυκλο με διαμετρο τον μεγαλο α - ξονα της ελλειψης. 21. 1 2 Δινονται οι εξισωσεις (ε ): 2λx-y= 2λ και (ε ): 2x+λy= 2, λ 0. Να δειχτει οτι: οι πιο πανω εξισωσεις παριστανουν ευθειες, που τεμνονται για καθε λ * το σημειο τομης τους κινειται σε ελλειψη, της οποιας βρειτε τις ε- στιες και εκκεντροτητα.
  • 97.
    Υ Π ΕΡ Β Ο Λ Η
  • 98.
    Κ ω νι κ ε ς Τ ο μ ε ς98 Τακης Τσακαλακος Κερκυρα 2018 Υπερβολη ειναι ο γεωμετρικος το τοπος των σημειων του επιπεδου που οι αποστα- σεις τους απο δυο σταθερα σημεια Ε’, Ε (εστιες) εχουν απολυτως σταθερη διαφο- ρα, που συμβολιζεται 2α. Ετσι, ενα σημειο Μ ειναι σημειο της υπερ- βολης με εστιες Ε’, Ε και εχουν σταθερη διαφορα 2α, αν: |(ΜΕ’)-(ΜΕ)|=2α  Ε’Ε: ειναι η εστιακη αποσταση και συμβολιζετα 2γ Ειναι: γ>α και β2 =γ2 -α2 Οι εστιες παντα στην ευθεια Α’Α  Εκκεντροτητα της υπερβολης ειναι ο λο- γος γ ε= α 2 2 2 Ισχυουν: ε> 1 (αφου γ> α) β = ε -1 (αφου γ= ) α β Αν ε + + , δηλαδη οι κλαδοι της α υπερβολης τεινουν να γινουν δυο παραλ- ληλα ευθυγραμμα τμηματα β Αν ε 1 0, δηλαδη οι κλαδοι της υπερβολης γινονται ολο και πιο α κλειστοι  Κυριος αξονας (πρωτευων η εγκαρσιος αξονας) της υπερβολης ειναι το τμημα Α’Α με μηκος 2α  Δευτερευων (συζυγης) αξονας της υπερβολης ειναι το τμημα ΒΒ’ της καθετης ευθειας στο κυριο αξονα στο σημειο Ο με ΟΒ=ΟΒ’=β  Κορυφες της υπερβολης ειναι τα σημεια Α’, Α (σημεια τομης της υπερ- βολης με τον κυριο αξονα)  Κεντρο της υπερβολης ειναι το σημειο Ο (μεσο εστιακης αποστασης)  Χορδη της υπερβολης ειναι το ευθυγραμμο τμημα με ακρα πανω στην υπερβολη  Διαμετρος της υπερβολης ειναι ευθεια που διερχεται απ’το κεντρο της Ο ρ ι σ μ ο ς
  • 99.
    Υ π ερ β ο λ η 99 Τακης Τσακαλακος Κερκυρα 2018  Οι αξονες της υπερβολης ειναι αξονες συμ- μετριας αυτης  Το μεσο των αξονων της υπερβολης, ειναι κεντρο συμμετριας της υπερβολης  Στο μερος του επιπεδου που βρισκεται με- ταξυ των καθετων του κυριου αξονα στα σημεια Α, Α’ (χωρις αυτες) δεν υπαρχουν σημεια της υπερβολης  Καθε χορδη της υπερβολης που διερχεται απ’το μεσο Ο των αξονων (διαμετρος)εχει μεσο το Ο (λογω κεντρου συμμετριας Ο ...) Μικροτερη διαμετρος ειναι η ΑΑ’  Τα αντιδιαμετρικα σημεια Μ, Μ’ και οι εστιες Ε, Ε’, οπως και τα Μ, Μ’ και οι κορυφες Α, Α’ αποτελουν κορυφες παραλληλογραμμου  Αν η διαφορα (κατ’απολυτη τιμη) των απο- στασεων σημειου Μ του επιπεδου απ’τις ε- στιες Ε’, Ε ειναι μεγαλυτερη της αποστα- σης των κορυφων Α’Α υπερβολης, τοτε αυτο βρισκεται εντος της υπερβολης (στα κοιλα μερη που βρισκονται οι εστιες) (|ΜΕ’-ΜΕ|>2αΜ εντος c)  Αν η διαφορα (κατ’απολυτη τιμη) των απο- στασεων σημειου Μ του επιπεδου απ’τις ε- στιες Ε’, Ε ειναι μικροτερη της αποστασης των κορυφων Α’Α υπερβολης, τοτε αυτο βρισκεται εκτος της υπερβολης (|ΜΕ’-ΜΕ|<2αΜ εκτος c)  Το σημειο Μ(x1 , y1 ) ειναι εσωτερικο της υ- περβολης αν και μονο αν 2 2 1 1 2 2 x y - >1 α β Πραγματι, αν Ρ(x0 , y0 ) το σημειο τομης της ΟΜ και της c, τοτε (ΟΜ) > (ΟΡ) η x1 > x0 η x1 2 > x0 2 (1) Ι δ ι ο τ η τε ς - Σ υ ν ε π ε ι ε ς
  • 100.
    Κ ω νι κ ε ς Τ ο μ ε ς100 Τακης Τσακαλακος Κερκυρα 2018 H ευθεια OM εχει εξισωση 1 1 y y= × x x σε συνδυασμο με την 22 2 2 yx - =1 α β προκυπτει 2 2 2 2 2 2αφου οι ΟΜ και ΟΡ 2 21 1 02 2 2 2 2 2 2 2ταυτιζονται 1 1 1 1 α β x α β x x = x = β x -α y β x -α y (2) Απο (1), (2): 2 2 2 2 2 2 2 2 2 2 2 21 1 1 1 1 12 2 2 2 2 2 1 1 α β x x y x > β x -α y >α β - >1 β x -α y α β Αναλογα, αν το σημειο Μ(x1 , y1 ) ειναι εξωτερικο της υπερβολης τοτε 2 2 1 1 2 2 x y - <1 α β 2 2 Θετουμε β= γ -α Σε συστημα συντεταγμενων Οxy με αξονα x'x να διερχεται απ'τα Ε',Ε και αξονα y'y τη μεσοκαθετη του Ε'Ε η εξισωση της υπερβολης με ε- στιες Ε'(-γ,0), Ε(γ,0) και σταθερη διαφορα 2α ειναι: Σε συστημα συντεταγμενων Οxy με αξονα y'y να διερχεται απ'τα Ε',Ε και αξονα x'x τη μεσοκαθετη του Ε'Ε η εξισωση τ 22 2 2 yx - = 1 α β ης υπερβολης με ε- στιεςΕ'(-γ,0), Ε(γ,0) και σταθερη διαφορα 2α ειναι: 2 2 2 2 y x - = 1 α β Ε ξ ι σ ω σ η Υ π ε ρ β ο λ η ς
  • 101.
    Υ π ερ β ο λ η 101 Τακης Τσακαλακος Κερκυρα 2018  Π α ρ α μ ε τ ρ ι κ ε ς Ε ξ ι σ ω σ ε ι ς α x= συνφ y= βημφ οπου 0, , π 2 2  Ι σ ο σ κ ε λ η ς Υ π ε ρ β ο λ η 22 2 2 2 2 2 2 yx - = 1 για α= β α β y x - = 1 για α= β α β 2 2 2 2 2 2 x -y = α y -x = α ΣΧΟΛΙΟ Στη περιπτωση που οι αξονες της υπερβολης δεν ειναι οι χ’χ, y’y οι εξι- σωσεις ειναι  2 2 0 0 2 2 (x-χ ) (y-y ) - = 1 α β , με εστιες πανω στην ευθεια 0 y= y και κεντρο 0 το σημειο τομης των ευθειων χ=χ0 , y=y0  2 2 0 0 2 2 (y-y ) (x-x ) - = 1 α β , με εστιες πανω στην ευθεια 0 χ= χ και κεντρο 0 το σημειο τομης των ευθειων χ=χ0 , y=y0 1 1 22 2 2 2 2 2 2 H εφαπτομενη στο σημειο Μ(x ,y ) της υπερβολης: yx - = 1 εχει εξισωση α β y x - = 1 εχει εξισωση α β 1 1 2 2 1 1 2 2 x× x y× y - = 1 α β y× y x× x - = 1 α β Ε φ α π τ ο μ ε ν η Υ π ε ρ β ο λ η ς Η απλουστερη μορφη υπερβολης λ y= χ , λ 0
  • 102.
    Κ ω νι κ ε ς Τ ο μ ε ς102 Τακης Τσακαλακος Κερκυρα 2018 Εστω η υπερβολη c και η εφαπτομενη ε στο σημειο της Μ. Τοτε ισχυει οτι: Η εφαπτομενη ε στο σημειο επαφης Μ δι- χοτομει τη γωνια Ε΄ΜΕ , οπου Ε΄, Εοι εστι- ες της υπερβολης. 22 2 2 2 2 2 2 yx Η υπερβολη - = 1 εχει ασυμπτωτες ευθειες τις: α β y x Η υπερβολη - = 1 εχει ασυμπτωτες ευθειες τις: α β β β y= × x y=- × x α α α α y= × x y=- × x β β Α ν α κ λ α σ τ ι κ η Ι δ ι ο τ η τ α Α σ υ μ π τ ω τ ε ς Υ π ε ρ β ο λ η ς
  • 103.
    Υ π ερ β ο λ η 103 Τακης Τσακαλακος Κερκυρα 2018 Οι εφαπτομενες ε1 , ε2 της υπερβολης στις κορυφες της Α, Α’ τεμνουν τις ασυμπτω - τες της β β y= × x, y=- × x α α στα σημεια Λ, Μ και Κ, Ν αντιστοιχα. Το τετραπλευρο ΚΛΜΝ ειναι ορθογωνιο (πλευρες του παραλληλες στους αξονες) με διαστασεις 2α, 2β και διαγωνιες τις α - συμπτωτες. Ονομαζεται ορθογωνιο βασης υπερβολη  Σε μια ισοσκελη υπερβολη C1 :x2 -y2 =a2 (C2 :y2 -x2 =a2 )  το ορθογωνιο βασης ειναι τετραγωνο  η εκκεντροτητα ειναι 2  οι ασυμπτωτες της ειναι οι y=x, y=-x  Για τις υπερβολες 22 1 2 2 yx C : - =1 α β και 2 2 2 2 2 y x C : - =1 α β εχουμε:  τα σημεια τομης των εφαπτομενων τους στις κορυφες τους ειναι κορυφες τετραγωνου Οι υπερβολες  C1 με κυριο αξονα Α’Α=2α και δευτερευ - οντα ΒΒ’=2β  C2 με κυριο αξονα ΒΒ’=2β και δευτερευ - οντα Α’Α=2α λεγονται συζυγεις υπερβολες ΠΑΡΑΤΗΡΗΣΕΙΣ  Οι συζυγεις υπερβολες εχουν τις ιδιες ασυμπτωτες  Οι εστιες μιας υπερβολης βρισκονται στο δευτερευοντα αξονα της συζυγους της Ο ρ θ ο γ ω ν ι ο Β α σ η ς Υ π ε ρ β ο λ η ς Σ υ ζ υ γ ε ι ς Υ π ε ρ β ο λ ε ς
  • 104.
    Κ ω νι κ ε ς Τ ο μ ε ς104 Τακης Τσακαλακος Κερκυρα 2018 Να βρειτε την εξισωση της υπερβολης, αν εχει εστιες τα σημεια Ε'(0,-3), Ε(0,3) και κορυφες τα σημεια Α'(0,-2) και Α(0,2). Α π α ν τ η σ η ΠΑΡΑΔΕΙΓΜΑ ΕΥΡΕΣΗ ΕΞΙΣΩΣΗΣ ΥΠΕΡΒΟΛΗΣ 1 Τροπος Λυσης : Με γνωστα τις εστιες (πανω στους αξονες x’ x η y’y) και τις κορυ- φες ● Προσδιοριζουμε τα α και β απο : Ε’Ε = 2γ, Α’Α = 2α και β 2 = γ 2 – α 2 Σ Τ Η Π Ρ Α Ξ Η . . . ΕΥΡΕΣΗ ΕΞΙΣΩΣΗΣ ΥΠΕΡΒΟΛΗΣ 2 Τροπος Λυσης : Με γνωστα τις εστιες (πανω στους αξονες x’ x η y’y) και την εκκεν- τροτητα ● Προσδιοριζουμε τα α και β απο : Ε’Ε = 2γ, ε = και β 2 = γ 2 – α 2 2 2 2 2 2 2 2 2 y x Η εξισωση εχει μορφη: = 1 α β (οι εστιες πανω στον αξονα y'y) 2α= 4 α= 2 2γ= 6 γ= 3 β = γ -α β = 9-4 2 2 2 2 α = 4 β = 5 y x (c): - = 1 4 5
  • 105.
    Υ π ερ β ο λ η 105 Τακης Τσακαλακος Κερκυρα 2018 Να βρειτε την εξισωση της υπερβολης, αν εχει εστιες τα σημεια Ε'(-4,0), 4 Ε(4,0) και εκκεντροτητα γ= . 3 Α π α ν τ η σ η 22 2 2 2 2 2 2 2 2 2 yx Η εξισωση εχει μορφη: - = 1 α β (οι εστιες πανω στον αξονα x'x) 2γ= 8 γ= 4 γ= 4 γ 4 4 ε= = α= 3 α 3 α β = 16-9 β = γ -α β = γ -α 2 22 2 α = 9 yx (c): - = 1 9 7β = 7 Να βρειτε την εξισωση της υπερβολης, αν διερχεται απ'τα σημεια Α(0,1), 5 Β(3, ) και εχει εστιες πανω στον αξονα y'y. 4 Α π α ν τ η σ η 2 2 2 2 y x Η εξισωση εχει μορφη: - =1 (οι εστιες πανω στον αξονα y'y) α β ΠΑΡΑΔΕΙΓΜΑ ΠΑΡΑΔΕΙΓΜΑ ΕΥΡΕΣΗ ΕΞΙΣΩΣΗΣ ΥΠΕΡΒΟΛΗΣ 3 Τροπος Λυσης : Με γνωστο η υπερβολη διερχεται απο γνωστα σημεια (Οι εστιες πα - νω στους αξονες x’x η y’y) ● Οι συντεταγμενες των γνωστων σημειων επαληθευουν την εξι - σωση της υπερβολη ς ● Απ’τη λυση του συστηματος που προκυπτει, προσδιοριζουμε τα α και β
  • 106.
    Κ ω νι κ ε ς Τ ο μ ε ς106 Τακης Τσακαλακος Κερκυρα 2018 2 2 2 2 2 2 2 2 2 2 22 2 2 2 2 2 2 Οι συντεταγμενες των σημειων Α και Β, επαληθευουν την πιο πανω εξισωση Ετσι 1 0 - = 1y x : - = 1 α β α = 1 α β 25 95 - = 1y x : - = 1 16 β34 - = 1α β α β α = 1 9 9 = β 16 2 α = 1 2 2 2 y (c): -x = 1 16β = 16 Να βρειτε την εξισωση της υπερβολης αν εχει ασυμπτωτες τις ευθειες 4 y= x 3 και 4 y=- x 3 και διερχεται απο το σημειο M(3 2,4). Α π α ν τ η σ η Ασυμπτωτες οι ευθειες 4 y= x 3 και 4 y=- x 3 , τοτε β 4 = α 3 , η 4 β= α 3 Διακρινουμε δυο περιπτωσεις: ● Η υπερβολη εχει τις εστιες της στον αξονα x'x με εξισωση 22 2 2 yx - =1 α β (1) ΠΑΡΑΔΕΙΓΜΑ ΕΥΡΕΣΗ ΕΞΙΣΩΣΗΣ ΥΠΕΡΒΟΛΗΣ 4 Τροπος Λυσης : Με γνωστα, τις ασυμπτωτες και οτι η υπερβολη διερχεται απο γνω- στο σημειο (Οι εστιες στους αξονες x’x η y’y) ● Διακρινουμε δυο περιπτωσεις (σε ποιο αξονα ανηκουν οι εστιες) ● Προσδιοριζουμε τα α και β απο : και σημειο ανηκει στην υπερβολη ● Για καθε περιπτωση ελεγχουμε αν οι συντεταγμενες του γνωστου σημειου επαληθευουν την εξισωση της υπερβολης
  • 107.
    Υ π ερ β ο λ η 107 Τακης Τσακαλακος Κερκυρα 2018 Ετσι, η (1): 2 22 2 2 2 2 2 y 9yx x - = 1 - = 1 16α α 16αα 9 (2) Επειδη, επιπλεον, το σημειο M(3 2,4) ανηκει στην υπερβολη, θα ισχυει 2 2 2 2 2 2 (3 2) 9 × 4 18 9 - = 1 - = 1 α 16α α α 2 α =9 α=3 Επομενως, λογω της (2), η εξισωση της υπερβολης ειναι η : 22 yx - = 1 9 16 . ● Η υπερβολη εχει τις εστιες στον αξονα y'y με εξισωση 2 2 2 2 y x - =1 α β (3) Ετσι, η (3): 2 22 2 2 2 2 2 y yx 9x - = 1 - = 1 16α α 16αα 9 (4) Επειδη, επιπλεον, το σημειο M(3 2,4) ανηκει στην υπερβολη, θα ισχυει 22 2 2 2 2 9 ×(3 2)4 16 162 - = 1 - = 1 αδυνατη α 16α α α Οποτε δεν υπαρχει υπερβολη με εστιες στον αξονα y'y. Να βρειτε τις εστιες, την εκκεντροτητα και τις ασυμπτωτες της υπερβολης: ● 2 2 9x -16y = 144 ● 2 2 x -y = 4 ● 2 2 144x -25y = 3600 ΠΑΡΑΔΕΙΓΜΑ ΕΥΡΕΣΗ ΕΣΤΙΩΝ - ΑΣΥΜΠΤΩΤΩΝ - ΕΚΚΕΝΤΡΟΤΗΤΑΣ Τροπος Λυσης : Με γνωστη την εξισωση της υπερβολης ● Φερνουμε την εξισωση σε μορφη ● Προσδιοριζουμε τα α και β, αμεσα απ’την πιο πανω εξισωση και τα γ και ε απο ε = και β 2 = γ 2 - α 2 ● Προσδιοριζουμε τις ασυμπτωτες απο:
  • 108.
    Κ ω νι κ ε ς Τ ο μ ε ς108 Τακης Τσακαλακος Κερκυρα 2018 Α π α ν τ η σ η Ειναι, ● 22 2 2 16y9x 9x -16y = 144 - = 1 144 144 22 2 2 yx - = 1 4 3 Επομενως, α = 4 και β = 3, οποτε 2 2 γ= α +β =5. Αρα, η υπερβολη εχει : ● εστιες τα σημεια E (-5,0), E(5,0), ● εκκεντροτητα 5 ε= 4 και ● ασυμπτωτες τις ευθειες 3 y= x 4 , 3 y=- x 4 . ● 22 2 2 2 2 yx x -y = 4 - = 1 2 2 . Επομενως, α = 2 και β = 2, οποτε 2 2 γ= α +β =2 2. Αρα, η υπερβολη εχει ● εστιες τα σημεια E (-2 2,0), E(2 2,0), ● εκκεντροτητα ε= 2 και ● ασυμπτωτες τις ευθειες y=x, y=-x ● 22 2 2 25y144x 144x -25y = 3600 - = 1 3600 3600 22 2 2 yx - = 1 5 12 Επομενως, α = 5 και β = 12, οποτε 2 2 γ= α +β =13. Αρα, η υπερβολη εχει ● εστιες τα σημεια E (-13,0), E(13,0), ● εκκεντροτητα 13 ε= 5 και ● ασυμπτωτες τις ευθειες 12 y= x 5 , 12 y=- x 5
  • 109.
    Υ π ερ β ο λ η 109 Τακης Τσακαλακος Κερκυρα 2018 Να βρειτε την εφαπτομενη στο σημειο Α( 2,3) της υπερβολης 2 2 3x -y = 3 Α π α ν τ η σ η Ειναι, 22 2 2 22 22 y3x 3x -y = 3 - = 1 3 3 yx - = 1 1 3 Ετσι, α = 1 και β = 3 και η εφαπτομενη στο σημειο Α(2,3) ειναι 1 1 22 2 2 x x y y 3 y2 x - =1 - =1 α β 1 3 2x-y= 1 ΕΥΡΕΣΗ ΕΞΙΣΩΣΗΣ ΕΦΑΠΤΟΜΕΝΗΣ ΥΠΕΡΒΟΛΗΣ Τροπος Λυσης : Με γνωστη ευθεια παραλληλη (καθετη) στην εφαπτομενη, και εξι- σωση υπερβολης ● Η ζητουμενη ευθεια εχει ιδιο συντελεστη διευθυνσης με τη δοσμε - νη ευθεια (η το γινομενο των συντελεστων διευθυνσης ισο με -1, αν ειναι καθετες) ● Οι συντεταγμενες του σημειου επαφης επαληθευουν την εξισωση της δοσμενης ευθειας και την εξισωση της υπερβολης ● Αν η ζητουμενη ειναι της μορφης y = λ x + β (1) (λ της δοσμενης) τοτε λυνουμε το συστημα των (1) και εξισωσης υπερβολης απ’το οποιο προκυπτει τριωνυμο ως προς β, για το οποιο απαιτουμε να εχει μ ο ν α δ ι κ η λυση (Δ = 0) ΕΥΡΕΣΗ ΕΞΙΣΩΣΗΣ ΕΦΑΠΤΟΜΕΝΗΣ ΥΠΕΡΒΟΛΗΣ Τροπος Λυσης : Με γνωστη την εξισωση υπερβολης και σημειο επαφης ● Βρισκουμε τα α, β απ’την εξισωση της υπερβολης και χρησιμοποι - ουμε την εξισωση της εφαπτομενης ΠΑΡΑΔΕΙΓΜΑ
  • 110.
    Κ ω νι κ ε ς Τ ο μ ε ς110 Τακης Τσακαλακος Κερκυρα 2018 2 2 Να βρειτε τις εξισωσεις των εφαπτομενων της υπερβολης (c): 2y -3x = 15, αν ειναι παραλληλη με την ευθεια (ζ): x+2y= 1 Α π α ν τ η σ η 1 1 1 Αν Μ(x ,y ) το σημειο επαφης, τοτε η εξισωση της εφαπτομενης ειναι: 3x Αφου 2 1 1 ε δ (ε): 2yy -3xx = 15 (Ι) λ = λ 1 1 =- y 2 (1) 2 2 2 2 1 1 1 1 2 2 2 1 1 1 Το σημειο Μ ανηκει στην υπερβολη, οποτε οι συντεταγμενες του επαληθευουν την εξισωση της . Ετσι, 2y -3x = 15 2(-3x ) -3x = 15 1 8 x -3x = 15`15x = 15` 1 1 y =-3× x (1) (1) 1 1 (1) 1 1 Για x = 1 y =-3 η (I):2× y×(-3)-3× x× 1= 15 3x+6y=-15 Για x =-1 y = 3 η (I):2× y× 3-3× x×(-1)= 15 3x+6y=15 1 x = 1 x+2y=-5 x+2y= 5  Η ζητουμενες εφαπτομενες ειναι της μορφης αφου ειναι (ε)||(ζ) Για να ειναι η (ε) εφαπτομενη στην (c) πρεπει το συστημα των εξισωσεων τους να εχει μια μονο Aλλιως (ε): x+2y= κ 2 2 2 2 22 2 2 2 2 λυση. Ετσι 2y -3x = 15 2y -3κ +12κy-12y = 152y -3(κ-2y) = 15 x+2y= κ x= κ-2yx= κ-2y Για να εχει η (1) μια λυση πρεπει: Δ= 0 144κ -4× 10×(3κ +15)= 0 144κ 2 2 10y -12κy+3κ +15= 0 (1) 2 2 2 -120κ -600= 0 24κ = 600 κ = 25 Αρα, οι ζητουμενες εφαπτομενες ειναι: η κ=±5 (ε): x+2y= 5 (ε): x+2y=-5 ΠΑΡΑΔΕΙΓΜΑ
  • 111.
    Υ π ερ β ο λ η 111 Τακης Τσακαλακος Κερκυρα 2018 2 2 Να βρειτε τις εφαπτομενες της υπερβολης (c): x 3y = 3 που διερ- χονται απ'το σημειο Α(1,0). Α π α ν τ η σ η 1 2 Οι ευθειες που διερχονται απ'το σημειο Α ειναι οι: (ε ): x= 1 και (ε ): y= λ(x-1) 2 2 2 2 2 2 2 x -3× y = 3 1 -3× y = 3 3× y =-2 x= 1 x= 1 x= 1 αδυνατο Δεν εχει κοινα σημεια με την υπερβολη, οποτε δεν ειναι εφαπτομενη x -3y = 3 y= λ(x-1) 1 2 (ε ): x= 1 (ε ): y= λ(x-1) 2 2 2 2 2 2 2 2 x -3[λ(x-1)] = 3 y= λ(x-1) x -3λ x +6λ x-3λ = 3 Για να εφαπτεται η (ε ) στην (c), πρεπει η (1) να εχει διπλη ριζα (το συστημα των εξισω 2 2 2 2 (1-3λ )x +6λ x-3λ -3= 0 (1) σεων να εχει λυση), δηλαδη:μια ΠΑΡΑΔΕΙΓΜΑ ΕΥΡΕΣΗ ΕΞΙΣΩΣΗΣ ΕΦΑΠΤΟΜΕΝΗΣ ΥΠΕΡΒΟΛΗΣ Τροπος Λυσης : Με γνωστη την εξισωση της υπερβολης και σημειο απ’το οποιο διερ- χεται η εφαπτομενη (οχι σημειο επαφης). Αν το γνωστο σημειο ει- ναι το Α(x0 , y0 ), τοτε απ’αυτο διερχονται οι ευθειες με εξισωσεις : x = x 0 (1) και y - y 0 = λ ∙ ( x - x 0 ) (2) ● Ελεγχουμε αν η ευθεια με εξισωση x = x0 ειναι εφαπτομενη (λυ- νουμε το συστημα με εξισωσεις την (1) και την εξισωση της υπερ- βολης) ● Λυνουμε το συστημα με εξισωσεις την (2) και την εξισωση της υπερβολης. Προσδιοριζουμε τον συντελεστη διευθυνσης λ της εφαπτομενης, απαιτωντας ο τριωνυμο που προκυπτει να εχει μια λυση (δηλαδη Δ = 0)
  • 112.
    Κ ω νι κ ε ς Τ ο μ ε ς112 Τακης Τσακαλακος Κερκυρα 2018 2 2 2 2 Δ= 0 (6λ ) +4(1-3λ )(3λ +3)= 0 4 36λ 2 4 +12λ +12- 36λ 2 2 2 1 2 -36λ = 0 24λ = 12 λ = λ= 2 2 Ετσι,οιεφαπτομενες: 2 2 y= (x-1) και y=- (x-1) 2 2 2 × x-2y= 2 2 × x+2y= 2 2 2 Να δειξετε οτι η (ζ): x+2y= 1 ειναι εφαπτομενη της υπερβολης (c): 3y -x = 3 και να βρειτε το σημειο επαφης. Α π α ν τ η σ η 2 2 2 2 2 2 2 2 Λυνουμε το συστημα των εξισωσεων της ευθειας (ζ) και της υπερβολης c 3y -x = 3 3y -(1-2y) = 3 x+2y= 1 x= 1-2y 3y -1+4y-4y = 3 y -4y+4= 0 x= 1-2y x= 1-2y (y-2) = 0 x= 1-2y y= 2 x= 1-2× 2 H λυση ειναι μοναδικη, αρα η (ζ) ειναι εφαπτομενη της c, με σημειο επαφης το Μ(-3,2). y= 2 x=-3 ΑΠΟΔΕΙΞΗ ΕΞΙΣΩΣΗΣ ΕΦΑΠΤΟΜΕΝΗΣ ΥΠΕΡΒΟΛΗΣ Τροπος Λυσης : Με γνωστη την εξισωση της υπερβολης και της εφαπτομενης ευ- θειας ● Για να ειναι η δοσμενη ευθεια εφαπτομενη της υπερβολης πρεπει το συστημα των εξισωσεων της ελλειψης και της ευθειας να εχει μ ο ν α δ ι κ η λυση ● Η λυση του πιο πανω συστηματος ειναι οι συντεταγμενες του ση - μειου επαφης ΠΑΡΑΔΕΙΓΜΑ
  • 113.
    Υ π ερ β ο λ η 113 Τακης Τσακαλακος Κερκυρα 2018 Εστω η παραβολη 2 2 3x -y = 3και το σημειο Ρ(1,2). Αν οι εφαπτομενες απ’το Ρ στην υπερβολη, εφαπτονται στα σημεια Α και Β, να βρειτε την εξισωση της ευθειας που διερχεται απ’τα σημεια Α και Β . Α π α ν τ η σ η Αν A(x1 , y1 ), Β(x2 , y2 ) τα σημεια επαφης. Οι εφαπτομενες ΡΑ, ΡΒ εχουν εξισωσεις αντιστοιχα: ● 3x x1 - y y1 = 3 και ● 3x x2 - y y2 = 3 To Ρ(1, 2) ειναι σημειο των ΡΑ και ΡΒ, αρα 1 1 1 1 2 2 2 2 3× 1× x -2× y = 3 3× x -2× y = 3 3× 1× x -2× y = 3 3× x -2× y = 3 (1) Απ’την (1) προκυπτει οτι οι συντεταγμενες των σημειων Α και Β επαληθευουν την εξισωση : 3x-2y= 3 Η ζητουμενη ευθεια ειναι : 3x+2y-3= 0 ΠΑΡΑΔΕΙΓΜΑ ΕΥΡΕΣΗ ΕΞΙΣΩΣΗΣ ΧΟΡΔΗΣ ΥΠΕΡΒΟΛΗΣ Τροπος Λυσης : Με γνωστο, σημειο απ’το οποιο διερχονται δυο εφαπτομενες και η εξισωση υπερβολης ● Αν το γνωστο σημειο ειναι Ρ(x 0 ,y0 ) τοτε οι συντεταγμενες του επαληθευουν την εξισωση της εφαπτομενης στα σημεια επαφης και πρoκυπτει εξισωση της μορφης ΕΥΡΕΣΗ ΕΣΤΙΩΝ - ΚΕΝΤΡΟΥ - ΚΟΡΥΦΩΝ Τροπος Λυσης : Με γνωστη την εξισωση της υπερβολης ● Φερνουμε την εξισωση σε μορφη ● Προσδιοριζουμε τα α και β, αμεσα απ’την πιο πανω εξισωση και τα γ και ε απο ε = και β 2 = γ 2 - α 2
  • 114.
    Κ ω νι κ ε ς Τ ο μ ε ς114 Τακης Τσακαλακος Κερκυρα 2018 Να αποδειξετε οτι καθεμια απο τις παρακατω εξισωσεις παριστανει υπερ - βολη, για την οποια να βρειτε τις συντεταγμενες του κεντρου, των κο - ρυφων και των εστιων: ● 2 2 21x -4y +84x-32y-64= 0 ● 2 2 2y -3x -8y+6x-1= 0 Α π α ν τ η σ η Η εξισωση γραφεται : ● 2 2 21x -4y +84x-32y-64= 0 2 2 21(x +4x)-4(y +8y)= 64 2 2 21(x +2× 2x+4)-4(y +2× 4y+16)= =64+84-64 2 2 2 2 X=x+2 Y=y+4 2 2 2 2 21(x-2) -4(y+4) = 84 (x+2) (y+4) - = 1 4 21 X Y - = 1 2 ( 21) Αρα, η εξισωση παριστανει υπερβολη με κεντρο το σημειο Ο'(-2, - 4). Ως προς το συστημα Ο'ΧY οι κορυφες A', Α εχουν συντεταγμενες (X, Y) = (-2, - 4), (X, Y) = (2, - 4) αντιστοιχα, ενω οι εστιες E', E εχουν συντεταγμενες (X, Y) = (- 5, 0) και (X, Y) = (5, 0) αντιστοιχα. Επομενως, ως προς το συστημα Oxy ΄ οι κορυφες ειναι τα σημεια Α’(- 4, - 4) και Α(0, - 4) και οι εστιες Ε’(- 7, -4) και Ε(3, -4) . ● 2 2 2y -3x -8y+6x-1= 0 2 2 2 2 2 2 2 2 2 2X=x-1 2 2Y=y-2 2(y -4y)-3(x -2x)= 1 2(y -2× 2y+4)-3(x -2x+1)= 1+8-3 2(y-2) -3(x-1) = 6 (y-2) (x-1) Y X - = 1 - = 1 3 2 ( 3) ( 2) Αρα, η Αρα, η εξισωση παριστανει υπερβολη με κεντρο το σημειο Ο'(1, 2), κορυφες τα σημεια A'(1, 2- 3), A(1, 2+ 3) και εστιες τα σημεια E'(1, 2- 5) και E(1, 2+ 5) ΠΑΡΑΔΕΙΓΜΑ
  • 115.
    Υ π ερ β ο λ η 115 Τακης Τσακαλακος Κερκυρα 2018 2 2 1 Να βρεθουν οι ασυμπτωτες της υπερβολης: (c): 9y -4x = 36 Αν μια υπερβολη (c ) εχει το ιδιο κεντρο με την (c), εχει εστιες στον x'x και εχει τις ιδιες ασυμπτωτες με την (c), τοτε ποια ειναι η εξισωση της; Α π α ν τ η σ η 2 2 2 2 Ειναι, 9y 4x 9y -4x = 36 - = 1 36 36 Ετσι, και , οποτε οι ασυμπτωτες ειναι: και Η ζητουμενη υπερβολη ειναι της μορφης: 2 2 1 2 y x - = 1 4 9 α= 2 β= 3 2 2 (ε ): y= x (ε ): y=- x 3 3 ( 1 2 αφου εχει εστιες πανω στον αξονα x'x. β β Οι ασυμπτωτες της ειναι της μορφης:(ε ): y= x και (ε ): y=- x α α Ομως, 22 1 2 2 yx c ): - = 1 α β 1 2 2 2 (ε ): y= x και (ε ): y=- x 3 3 Γι'αυτο: και και 22 1 α= 3 β= 2 yx (c ): - = 1 9 4 ΠΑΡΑΔΕΙΓΜΑ ΑΣΥΜΠΤΩΤΕΣ ΥΠΕΡΒΟΛΗΣ - ΣΥΖΥΓΕΙΣ ΥΠΕΡΒΟΛΕΣ Τροπος Λυσης : Με γνωστα, την εξισωση της υπερβολης που εχει ιδιες ασυμπτωτες και ιδιο κεντρο με τη ζητουμενη ● Βρισκουμε τις ασυμπτωτες, απ’τη δοσμενη υπερβολη ● Βρισκουμε απ’τις πιο πανω ασυμπτωτες, τα α και β της ζητουμενης
  • 116.
    Κ ω νι κ ε ς Τ ο μ ε ς116 Τακης Τσακαλακος Κερκυρα 2018 Να βρεθει η γωνια των ασυμπτωτων μιας υπερβολης που η εκκεντροτη - τα της ειναι ιση με 2 Α π α ν τ η σ η β ω η ζητουμενη γωνια και φ η γωνια που σχηματιζει η ασυμπτωτη y= x α με τον Οx Μ ε τ ρ ι γ ω ν ο μ ε τ ρ ι α : ω Αν φ= : 2 ΠΑΡΑΔΕΙΓΜΑ ΓΩΝΙΑ ΑΣΥΜΠΤΩΤΩΝ Τροπος Λυσης : Με γνωστα, Στοιχεια της υπερβολης (πχ την εκκεντροτητα) ● Με τριγωνομετρια: ● Με Πυθαγορειο: Απ’τη κορυφη Α φερνουμε την εφαπτομενη x = α που τεμνει την ασυμπτωτη στο Γ. Ειναι ΟΑ = α και . Απο Πυθαγορειο στο τριγωνο ΟΓΑ: . Ετσι συνφ = ● Με διανυσματα: Εστω .
  • 117.
    Υ π ερ β ο λ η 117 Τακης Τσακαλακος Κερκυρα 2018 2 2 2 2 2 2 2 2 2 2 2 2 2 2 2 2 2 2 2 2 2 2 2 2 2 φ<90 2 0 2 β β ημ φ β 1-συν φ β λ= εφφ= εφ φ= = = α α συν φ α συν φ α α α -α συν φ= β συν φ (α 1 +β )συν φ= α συν φ= α +β α συν φ= ~ 6 α 1 συνφ= ε 2 0 γ = γ 0 ω= 120 Μ ε Π υ θ α γ ο ρ ε ι ο : Απ’τη κορυφη Α φερνουμε την εφαπτομενη x = α που τεμνει την ασυμπτωτη στο Γ. Ειναι ΟΑ = α και β λ= εφφ= = ΑΓ= β α . Απο Πυθαγορειο στο τριγωνο ΟΓΑ: 2 2 2 ΟΓ= α +β ΟΓ= γ =γ Ετσι συνφ = 0ΟΑ = ~ Ο α 2 60 Γ 1 1 = = γ ε 0 ω= 120 Μ ε δ ι α ν υ σ μ α τ α : Εστω 1 2 δ =(α,β),δ =(α,-β) που ειναι παραλληλα στις ασυμπτωτες. Ετσι 2 2 2 2 2 2 2 2 2 1 2 22 2 2 22 2 2 2 1 2 2 2 2 σ γ υνω 2-ε 2 γ 2- δ δ (α,β)(α,-β) α -β α -( -α ) 2α -γ α= = = = = = γα +β γ γα +β α +β| δ | | δ | α 2 14 4 = - ε 0 ω= 120 ΓΕΩΜΕΤΡΙΚΟΣ ΤΟΠΟΣ Τροπος Λυσης : Με δοσμενη την εξισωση της υπερβολης και ιδιοτητα χαρακτηριστι- κου σημειου ● Απο συνδυασμο των δοσμενων σχεσεων καταληγουμε σε εξισωση των συντεταγμενων x0 , y0 του Μ, που αποτελει τον γ.τ. ● Αν οι συντεταγμενες x0 , y0 του σημειου Μ συνδεονται με παραμε- τρο λ, τοτε απαλειφουμε την παραμετρο μεταξυ των συντεταγ - μενων και καταληγουμε σε εξισωση που ειναι συναρτηση των x 0 , y0
  • 118.
    Κ ω νι κ ε ς Τ ο μ ε ς118 Τακης Τσακαλακος Κερκυρα 2018 Να βρεθει ο γεωμετρικος τοπος των σημειων Μ του επιπεδου, που η αποσταση τους απ'το σημειο Ε(4,0) ισουται με την διπλασια αποσταση τους απο την ευθεια (ε):x= 1. Στη συνεχεια, βρειτε την εκκεντροτητα της γραμμης που προκυπτει. Α π α ν τ η σ η 2 2 2 2 2 2 Αν Μ(x,y) τυχαιο σημειο του γεωμ.τοπου, τοτε: (ΜΕ)= 2× d(M,ε) (x-4) +(y-0) = 2 | x-1| (x-4) +y =4(x-1) x - 8x 2 2 +16 +y =4x - 8x 2 2 +4 3x -y =12 Αρα, ο ζητουμενος γεωμετρικος τοπος ειναι υπερβολη. Ακομη οποτε 4+12 Ετσι, γ 4 = α 2 22 2 2 yx - =1 4 12 α = 4 β = 12 γ= = 4 ε= = 2 Να δειξετε οτι το σημειο Μ 2 2 2 α(1+t ) 2βt , 1-t 1-t , t , ανηκει σε υπερβολη για καθε t ±1 Α π α ν τ η σ η να ανηκει το Μ σε υπερβολη πρεπει οι συντεταγμενες του να επαλη- θευουν την εξισωσητης. Πραγματι ΠΑΡΑΔΕΙΓΜΑ 1 ΠΑΡΑΔΕΙΓΜΑ 2
  • 119.
    Υ π ερ β ο λ η 119 Τακης Τσακαλακος Κερκυρα 2018 2 2 22 2 2 2 2 αα(1+t ) 2βt 1-t 1-t = - = α β 22 2 2 yx - α β 2 2 2 2 2 (1+t ) (1-t ) α 2 4β - 2 2 2 2 t (1-t ) β 2 2 2 2 2 2 2 2 22 4 2 2 4 2 2 2 2 2 2 (1+t ) 4t = - (1-t ) (1-t ) (1-t )1+2t +t -4t 1-2t +t = = = (1-t ) (1-t ) (1-t ) = 1 Nα βρειτε το γεωμετρικο τοπο των σημειων τομης των ευθειων ε1 : αy = β(x-λα) και ε2 : λαy = β(α-λx) για καθε λ Α π α ν τ η σ η Aν Μ(x,y) τυχαιο σημειο του γεωμετρικου τοπου,τοτε: βx-αy αy= β(x-λα) αy= βx-λαβ λαβ= βx-αy λ= (1) αβ λαy= β(α-λx) λαy= αβ-λβx λαy+λβx= αβ (βx+αy)λ= αβ αβ λ= (2) βx+αy Απο (1) και (2): βx-αy αβ 2 2 2 2 2 2 2 2 2 αβ = (βx-αy)(βx+αy)= α β β x -α y = α β βx+αy β 2 2 2 x α β 2 α - 2 2 y α 2 = 1 β Αρα, ο ζητουμενος γεωμετρικος τοπος ειναι υπερβολη. 22 2 2 yx - =1 α β ΠΑΡΑΔΕΙΓΜΑ 3
  • 120.
    Κ ω νι κ ε ς Τ ο μ ε ς120 Τακης Τσακαλακος Κερκυρα 2018 Γ Ι Α Π Ρ Ο Π Ο Ν Η Σ Η . . . 01. Να βρειτε την εξισωση της υπερβολης οταν  Εχει εστια Ε΄(- 5, 0) και μια κορυφη ειναι το σημειο Α(4, 0)  Εχει εστια Ε(0,5) και διερχεται απο το σημειο Μ(3, 4 2)  Διερχεται απο τα σημεια Μ( 2, 1) και Ν(- 2, 3)  Εχει κορυφη Α(0,3) και διερχεται απο το σημειο Ρ(2, 3 2)  Εχει ασυμπτωτους τις y = 3 2 x και y = - 3 2 x , και διερχεται απο το σημειο (2 2, 3)  Εχει εκκεντροτητα 5 4 και κοινες εστιες με την ελλειψη 22 yx + = 1 9 4  Ειναι ισοσκελης και εχει τις ιδιες εστιες με την ελλειψη 2x 2 +3y2 =5 02. 22 2 2 22 2 2 yx Bρειτε την εξισωση της υπερβολης - = 1 με εστιακη αποσταση α β 10 και αποσταση κορυφων 6. yx Bρειτε την εξισωση της υπερβολης - = 1 που διερχεται απ'τα α β ση 9 20 μεια Α(5, ) και Β( ,8). 2 3 3 Bρειτε την εξισωση της υπερβολης,αν (Α'Α)= 8, ε= και εστιες πανω 2 στον x'x.
  • 121.
    Υ π ερ β ο λ η 121 Τακης Τσακαλακος Κερκυρα 2018 04. 2 2 22 Να βρειτε την εξισωση της χορδης υπερβολης (c): 4x -9y = 36, αν το μεσο της ειναι το σημειο Μ(-1,1). yx Να βρειτε την εξισωση της χορδης υπερβολης (c): - = 1, αν το 16 4 μεσο της ειναι το σημειο Μ(2,1). 06. 22 Να βρειτε τις εξισωσεις των εφαπτομενων της υπερβολης yx c: - = 1 2 4 που ειναι καθετες στην ευθεια ε: x+2y-3= 0. 03. Να βρειτε την εξισωση της υπερβολης που εχει τις εστιες της στον αξονα x΄x συμμετρικες ως προς την αρχη των αξονων και ακομα:  εχει εστιακη αποσταση (Ε΄Ε) = 6 και ε = 3/2  εχει εστιακη αποσταση (Ε΄Ε) = 20 και ασυμπτωτες y = 4/3x και y = - 4/3 x.  εχει (Ε΄Ε) = 4 και ασυμπτωτες τις διχοτομους των γωνιων των αξονων. 05. Βρειτε τις εστιες, τις κορυφες ,την εκκεντροτητα και τις ασυμπτωτες των υπερβολων:  16x2 – 25y2 = 400  y2 - 4x2 = 4  169x2 -25y2 = 4225
  • 122.
    Κ ω νι κ ε ς Τ ο μ ε ς122 Τακης Τσακαλακος Κερκυρα 2018 07. Να βρεθουν οι εξισωσεις των εφαπτομενων της υπερβολης:  x 2 - 4y 2 = 5 στο σημειο της Μ(3,-1)  9x 2 - y 2 = 32 που ειναι παραλληλες στην ευθεια 9x + y + 9 = 0  x 2 - y 2 = 1 που ειναι καθετες στην ευθεια y = 1 2 x  x 2 - y 2 = 16 που διερχονται απο το σημειο Μ( - 1,- 7) 08. Να βρεθουν οι εξισωσεις των εφαπτομενων της υπερβολης C: 4x 2 - y 2 = 4 που ειναι :  παραλληλες στην ευθεια δ: y = 4x  καθετες στην ευθεια ζ: x – 4y + 2 = 0  διερχονται απο το σημειο Κ(0,4) 09. 2 2 1 Να βρεθουν οι ασυμπτωτες της υπερβολης: c: y -9x = 9 Αν μια υπερβολη c εχει το ιδιο κεντρο με την c, εχει εστιες στον y'y και εχει τις ιδιες ασυμπτωτες με την c, τοτε ποια ειναι η εξισωση της; 10. Δινεται η υπερβολη c: 22 yx - = 1 5 4 . Να δειξετε οτι η ευθεια που διερχε-ται απο το σημειο Ρ(- 1,2) και ειναι παραλληλη στην ευθεια ε: 2x – y + 7 = 0 , ειναι εφαπτομενη της υ- περβολης .
  • 123.
    Υ π ερ β ο λ η 123 Τακης Τσακαλακος Κερκυρα 2018 11. 22 Να βρειτε την εξισωσης της ισοσκελους υπερβολης (α= β) που εχει τις yx ιδιες εστιες με την ελλειψη c: + = 1 9 4 12. 0 Να βρειτε την εξισωσης της υπερβολης που διερχεται απ'το σημειο Μ(3,4) και ειναι Ε'ΜΕ= 90 . 13. 22 Να βρειτε την γωνια που σχηματιζουν οι ασυμπτωτες της υπερβολης yx c: - = 1 2 6 14. Να βρεθει ο γεωμετρικος τοπος των σημειων Μ του επιπεδου, που η αποσταση τους απ'το σημειο Ε(8,0) ισουται με την διπλασια αποσταση τους απο την ευθεια (ε):x= 2. Στη συνεχεια να βρειτε την εκκεντροτητα της γραμμης που προκυπτει. 15. 2 2 22 2 2 2 2 Δειξτε οτι το γινομενο των αποστασεων καθε σημειου τηςυπερβολης y α × βx - = 1 απο τις ασυμπτωτες αυτης ειναι σταθερο και ισο με . α β α +β
  • 124.
    Κ ω νι κ ε ς Τ ο μ ε ς124 Τακης Τσακαλακος Κερκυρα 2018 16. Να αποδειξετε οτι το σημειο M( 4 , συνθ 3εφθ) με θ π π - , 2 2 κινειται, καθως το θ μεταβαλλεται, σε μια υπερβολη . 17. 22 2 2 Να δειξετε οτι το εμβαδον του τριγωνου που σχηματιζεται απο τις yx ασυμπτωτες της υπερβολης - = 1 και μια οποιαδηποτε εφαπτο- α β μενη, ειναι σταθερο. 18. Θεωρουμε την υπερβολη (c): x2 – y2 = 1 και την ευθεια (ε): x + 2y = α. Να βρεθουν οι τιμες του α, για τις οποιες η (ε) εφαπτεται στη (c). 19. Δινεται η παραβολη με εστια E(2p,0) , p > 0 .  Να βρειτε την εξισωση της υπερβολης της οποιας η μια εστια της συμπιπτει με την εστια της παραβολης , και η μια κορυφη της με το μεσο του OE οπου O η αρχη των αξονων.  Βρειτε την αμβλεια γωνια των ασυμπτωτων ευθειων της υπερβολης.  Να βρειτε τα σημεια τομης της παραβολης και της υπερβολης.
  • 125.
    Υ π ερ β ο λ η 125 Τακης Τσακαλακος Κερκυρα 2018 20. Θεωρουμε τα σημεια Κ(x1 ,y1 ) και Λ(x1 , - y1 ) της ισοσκελους υπερβο- λης x 2 - y 2 = α 2 .  Να αποδειξετε οτι η εφαπτομενη της ισοσκελους υπερβολης στο Κ ειναι καθετη στην ΟΛ, οπου Ο η αρχη των αξονων.  Αν η εφαπτομενη αυτη τεμνει την ΟΛ στο Μ, να αποδειξετε οτι (ΟΛ)(ΟΜ) = α 2 21. 2 2 Να δειξετε οτι η εξισωση: 9x -4y -18x+16y-43= 0 παριστανει υπερβολη. Να δειξετε οτι η ευθεια που διερχεται απ'το σημειο Α(1,3) και ειναι παραλληλη στην ευθεια (ζ): x-y+2 2 2 = 0, εφαπτεται στην υπερβολη x -3y = 6. 22. 3 Να βρεθει ο γεωμετρικος τοπος των σημειων Μ(4εφθ, ) με συνθ π π θ - , . 2 2
  • 127.
  • 128.
    Κ ω νι κ ε ς Τ ο μ ε ς128 Τακης Τσακαλακος Κερκυρα 2018 Να βρεθει το κεντρο και η ακτινα του κυκλου με εξισωση με κεντρο την αρχη των αξονων, που διερχεται απ'το σημειο Α(-8,6). Να βρειτε την εξισωση της εφαπτομενης του 1 πιο πανω κυκλου, που ειναι παραλληλη στην ευθεια ε : 3x-4y-10= 0. Α π α ν τ η σ η Να βρεθει η εξισωση του κυκλου με κεντρο Κ σημειο της ευθειας ε: x= y-1= 0 που διερχεται απ'την αρχη των αξονων και εχει ακτινα ρ= 5. 2 2 2 Η εξισωση του κυκλου ειναι της μορφης: Το Α ειναι σημειο του κυκλου και οι συντε- ταγμενες του επαληθευουν την εξισωση του. Ετσι, (-8) +6 = ρ 6 2 2 2 x +y = ρ 2 2 1 4+36 = ρ ρ = 100 Δηλαδη η εξισωση του κυκλου ειναι: Αφου η εφαπτομενη (ε) ειναι παραλληλη στην ευθεια ε , τοτε η εξισωσ 2 2 2 ρ= 10 x +y = 10 2 2 η της ειναι της μορφης: Ομως αυτη η ευθεια ειναι καθετη σε μια ακτινα του κυκλου,οποτε: | 3 0-1 0+κ| | κ| d(O,ε)= ρ = 5 = 5 | κ|= 25 253 +(-4) Οποτε υπαρχουν δυ 3x-4y+κ= 0 κ=±25 ο εφαπτομενες με εξισωσεις 3x-4y+25= 0 (ε): 3x-4y-25= 0 ΑΣΚΗΣΗ 1 ΑΣΚΗΣΗ 2
  • 129.
    Ε π αν α λ η ψ η 129 Τακης Τσακαλακος Κερκυρα 2018 Α π α ν τ η σ η 2 2 Αν το κεντρο του κυκλου ειναι Κ(κ,λ) τοτε η εξισωση του: (1) Ο κυκλος διερχεται απ'το σημειο Ο(0,0), οποτε ΚΟ ειναι ακτινα του. Ετσι (0-κ) +(0-λ)| ΚΟ|= ρ 2 2 2 (x-κ) +(y-λ) = 5 2 2 2 Vieta 12 κ,λριζες 2 1 2 = 5 κ+λ-1= 0 κ +λ = 25 (κ+λ) -2κλ= 25 κ+λ= 1 κ+λ= 1 ω =-31-2κλ= 25 κλ=-12 ω -ω-12= 0 ... κ+λ= 1 κ+λ= 1 ω = 4 (κ,λ)=(ω ,ω )=(-3,4) τοτε η (1): 1 c :(x+3) 1 2 (λ,κ)=(ω ,ω )=(-3,4) τοτε η (1): 2 2 2 2 2 2 2 +(y-4) = 5 c :(x-4) +(y+3) = 5 Να βρεθει η εξισωση του κυκλου με διαμετρο ΑΒ, οπου Α(-2,3) και Β(4,3) Α π α ν τ η σ η ΒΑ Κ Κ ΒΑ ΚΚ Κ Κ Αν Κ το κεντρο του κυκλου, τοτε το Κ ειναι το μεσο της διαμετρου ΑΒ. Ετσι x +x -2+4Α(-2,3) x = x = 2 2 και y +y 3+3 y =y =Β(4,3) 22 x = 1 y = 3 Αρα, Κ(1,3) ρ 2 2 2 2 2 Α Κ Α Κ | ΚΑ| =(x -x ) +(y -y ) =(-2-1) +(3-3) = 92 2 = = 3 ΑΣΚΗΣΗ 3
  • 130.
    Κ ω νι κ ε ς Τ ο μ ε ς130 Τακης Τσακαλακος Κερκυρα 2018 ο Οποτε η εξισωση του κυκλου ειναι: Μ(x,y) ειναι ενα τυχαιο σημειο του κυκλου, τοτε η γωνια ΑΜΒ= 90 (εγγεγραμενη που βαιν Αν 2 2 2 (x-1) +(y-3) = 3 Μια αλλη αντιμετωπιση ΑΜ=(x+2,y-3) ΒΜ=(x-4,y-3) 2 2 2 2 2 2 ει σε διαμετρο) και ισχυει: ΑΜ ΒΜ ΑΜ ΒΜ= 0 (x+2)(x-4)+(y-3)(y-3)= 0 x -4x+2x-8+(y-3) = 0 x -4x+2x-8+(y-3) = 0 (x -2x+1)+(y-3) = +9 9 9 + 2 2 (x-1) +(y-3) = 2 3 Να βρεθει η εξισωση του κυκλου που διερχεται απ'τα σημεια Α(1,0), Β(4,3) και εχει ακτιναρ= 3. Α π α ν τ η σ η 2 2 2 0 0 2 2 2 0 0 0 0 2 2 2 0 00 0 Οι συντεταγμενες των σημειων Α και Β επαληθευουν την εξισωση (x-x ) +(y-y ) = ρ Ειναι (1-x ) +(0-y ) = 3 x = 1 η x = 4 `...` y =-x +4(4-x ) +(3-y ) = 3 0 0 0 0 2 2 2 2 0 0 0 0 0 2 22 2 0 0 0 00 0 0 (x ,y )=(1,3) ` (x ,y )=(4,0) (1-x ) +(0-y ) = 3 x +y -2x +1= 9| KA|= ρ ` ` `...` 16-8x +x +9-6y +y = 9(4-x ) +(3-y ) = 3| KB|= ρ x = 1 η 2 2 2 2 2 2 (x-1) +(y-3) = 3 (x-4) +y = 3 Aλλιως 0 0 0 0 0 0 0 x = 4 (x ,y )=(1,-3) ` y = x -4 (x ,y )=(4,0) 2 2 2 2 2 2 (x-1) +(y+3) = 3 (x-4) +y = 3 ΑΣΚΗΣΗ 4
  • 131.
    Ε π αν α λ η ψ η 131 Τακης Τσακαλακος Κερκυρα 2018 . Να βρεθει η εξισωση του κυκλου που διερχεται απ'τα σημεια Α(1,1), Β(1,-1), Γ(2,0) Α π α ν τ η σ η ΒΑ Μ ΒΑ Μ Το κεντρο Κ ειναι το σημειο τομης των με- σοκαθετων των χορδων ΑΒ και ΑΓ. Αν Μ το μεσο της χορδης ΑΒ και Ν το με- σο της χορδης ΑΓ, τοτε x +x 1+1 x = = = 1 2 2 y +y 1-1 y = = = 0 2 2 Α Γ Ν Α Γ Ν ΑΒ και x +x 1+2 3 x = = = 2 2 2 y +y 1+0 1 y = = = 2 2 2 -1-1 = δεν οριζεται, οποτε η ΑΒ βρισκεται πανω στην ευθεια ε: x= 1 1-1 Ειναι ΑΒ ΚΜ ΚΜ ε ΑΒ ε x'x x'x Μ(1,0) 3 1 Ν( , ) 2 2 ΑΓ ΚΝ ΚΜ|| x'x x'x, δηλαδη ειναι της μορφης Κ(α,0) x'x Επισης 0-1 λ = =-1 και ΚΝ ΑΓ, λ = 1 2-1 Οποτε το Κ ειναι σημειο της ευθειας ΚΝ=(δ) με εξισωση 1 3 y- = 1 (x- ) 2 2 (δ): x-y-1= 0 2 2 2 και οι συντεταγμενες του επαληθευουν την εξισωση της Ετσι α-0-1= 0 | ΚΑ| =(1-1) +(1-0) = 0+1 Αρα η εξισωση του κυκλου ειναι: 2 2 2 α=1 Κ(1,0) ρ = = 1 (x-1) +y = 1 ΑΣΚΗΣΗ 5
  • 132.
    Κ ω νι κ ε ς Τ ο μ ε ς132 Τακης Τσακαλακος Κερκυρα 2018 2 2 2 Aλλιως Εστω Κ(α,β) το κεντρο του κυκλου | ΚΑ|=| ΚΒ| | ΚΑ| =| ΚΒ| (1-α) 2 2 +(1-β) = (1-α) 2 2 +(-1-β) 1-2β+ β 2 = 1+2β+ β 2 2 2 2 2 2 2 4β= 0 (1) | ΚΑ|=| ΚΓ| | ΚΑ| =| ΚΓ| (1-α) +(1-β) =(2-α) +(0-β) 1-2α+ α β= 0 2 +1-2β+ β 2 = 4-4α+ α 2 + β (1) 2 2 2 -2-2β+2α= 2α= 2 Αρα Ακομη: =| ΚΑ| =(1-1) +(0-1) = Οποτε η εξισωση του κυκλου ειναι: 2 2 2 α= 1 Κ(1,0) ρ 1 (x-1) +y = 1 Να βρεθει η εξισωση του κυκλου που το κεντρο του ειναι σημειο της ευθειας (ε):3x-y-2= 0 και διερχεται απ'τα σημεια Α(3,1) και Β(-1,3). Α π α ν τ η σ η Ειναι, ΒΑ Μ ΒΑ Μ AB AB ΚΜ Αν Μ τομεσο της χορδης ΑΒ τοτε x +x 3-1 x = = =1 2 2 y +y 1+3 y = = = 2 2 2 Ο συντελεστης διευθυνσης της AB ειναι 3-1 1 λ = =- -1-3 2 Αφου AB ΚΜ τοτε: λ λ =-1 Μ(1,2) ΚΜ ΚΜ 1 - λ =-1 λ = 2 2 Το Κ ειναι σημειο της ευθειας KΜ=(δ) με εξισωση y-2= 2(x-1) Δηλαδη το Κ ειναι σημειο των ευθειων (ε) και (δ), οποτε αν Κ(α,β) τοτε τα α,β ε (δ): y= 2x παληθευουν τις εξισωσεις των δυο ευθειων. ΑΣΚΗΣΗ 6
  • 133.
    Ε π αν α λ η ψ η 133 Τακης Τσακαλακος Κερκυρα 2018 2 2 2 Ετσι Κ (ε) 3α-β-2= 0 3α-2α-2= 0 α= 2 β= 2α β= 2α β= 4Κ (δ) | ΚΒ| =(-1-2) +(3-4) = 9 +1 Αρα η εξισωση του κυκλου ειναι: 2 2 2 Κ(2,4) ρ = = 10 (x-2) +(y-4) = 10 Να βρειτε την εξισωση του κυκλου, που εφαπτεται στις ευθει ες ε1 : 2x + y - 5 = 0, ε2 : 2 x + y - 15 = 0, οταν ενα απ’τα σημεια επαφης ειναι το σημειο Α ( 2 , 1 ) Α π α ν τ η σ η Ειναι 4∙2+1-5=0, οποτε Α ε1 Δηλαδη το κεντρο Κ βρισκεται στην ευθεια ΚΑ. Ακομη, λΚ Α ∙ 1ε λ = - 1 ΚΑ ΚΑ 1 λ (-2)=-1 λ = 2 Αρα η ευθεια ΚΑ εχει εξισωση: 1 y-1= (x-2) 2y-2= x-2 x-2y= 0 2 Aν Κ(α, β) τοτε  α - 2 β = 0 α = 2 β (1) (αφου Κ ΚΑ)  d(Κ,ε1 ) = d(Κ,ε2 ) 2 2 2 2 | 2α+β-5| | 2α+β-15| ` = `| 2α+β-5|=| 2α+β-15|` 2 +1 2 +1 2α+β-5= 2α+β-15 -5=-15 αδυνατη η ` η `2α+β= 10 (2) 2α+β-5=-2α-β+15 4α+2β= 20 Λυνουμε το συστημα των (1) και (2) 2 1 2 2 α= 2β α= 2β α= 4 Κ(4,2) 2 2β+β= 10 5β= 10 β= 2 Επισης | 2 4+2-5| | 5| 5 5 5 ρ=d(Κ,ε )|= = = = = 5 ρ = 5 55 52 +1 Αρα η εξισωση του κυκλου ειναι: 2 2 (x-4) +(y-2) = 5 ΑΣΚΗΣΗ 7
  • 134.
    Κ ω νι κ ε ς Τ ο μ ε ς134 Τακης Τσακαλακος Κερκυρα 2018 ... Ας το δυσκολεψουμε (;) λιγο  Να βρεθει και το δευτερο σημειο επαφης Β  Να αποδειξετε οτι τα σημειο Ο, Α, Κ, Β ειναι συνευθειακα ... Παμε  Εστω Β(κ,λ) το ζητουμενο σημειο επαφης 1 ο ς τ ρ ο π ο ς 2 2 2 2 2 ( 6) λ= 15-2α2κ+λ= 15ε 3 `...` ` κ -12κ+36 = 0 6c (κ-4) +(κ-2) = 5 Β(6,3) 2 ο ς τ ρ ο π ο ς (4,2) 2 2 2( , ) 2 2 2 15ε 15 2 3 `...` ` 6κ -12κ+36 = 0d(K,B)= ρ (κ-4) +(λ-2) = 5 Β(6,3) 3 ο ς τ ρ ο π ο ς 1 Κ κοινο στις 2 ΚΑ, ΚΒ 1 2 ε 2 ε || διαμετρος μεσο AB ~ y y yε || ε 2 2 4 62 ~ 1 3 2 2 Β(6,3) 4 ο ς τ ρ ο π ο ς 2 ε 2κ+λ= 15 6 ... διαμετρος ~... ~ 2 3ΚΑ Β(6,3) 5 ο ς τ ρ ο π ο ς Α, Β αντιδιαμετρικα, συνεπως το Β ειναι το συμμετρικο του Α ως προς το κεντρο Κ. Ετσι Α(2,1) Β(2+4,1+2) Κ(4,2) Β(6,3)  Οι συντεταγμενες των σημειων Ο, Α, Κ, Β επαληθευουν την εξισωση της ευθειας ΚΑ (y=2χ), συνεπως ειναι σημεια της που σημαι νει πως ειναι συνευθειακα.
  • 135.
    Ε π αν α λ η ψ η 135 Τακης Τσακαλακος Κερκυρα 2018 2 2 Να βρεθουν οι εξισωσεις των κυκλων, που εφαπτονται στον κυκλο c: x +y = 25 στο σημειο Α(3,4) και εχουν ακτινα ρ= 10. Α π α ν τ η σ η 0 0 Ο κυκλος (c) εχει κεντρο Ο(0,0) και ακτι- να R= 5 Εστω Κ(x , y ) το κεντρο ενος απ'τους ζητουμενους κυκλους, οποτε: Κ,Α,Ο συνευθεια 0 0 0 0 ΚΑ=(3-x ,4-y ) ΟΑ=(3,4) ΟΚ=(x ,y ) κα Αν οι κυκλοι εφαπτονται εξωτερικα: 2 2 2 2 Δ= 0 (6λ ) +4(1-3λ )(3λ +3)= 0 0 0 0 0 0 0 ΟΚ= ΟΑ+ΑΚ= R+ρ= 5+10= 15= 3R= 3× OA x = 9 (x ,y )= 3(3,4) (x ,y )=(9,12) y = 12 Αν οι κυκλοι εφαπτονται εσωτερικα: Ειναι: ΟΚ= Ο 2 2 1 ΟΚ= 3ΟΑ c :(x-9) +(y-12) = 100 0 0 0 0 0 0 Α-ΚΑ= R-ρ= 5-10=-5=-R=-ΟΑ Ετσι x =-3 (x ,y )=-(3,4) (x ,y )=(-3,-4) y =-4 2 2 2 ΟΚ=-ΟΑ c :(x+3) +(y+4) = 100 2 2 2 2 1 2 Δειξτε οτι οι κυκλοι: c : x +y -8χ-10y+32= 0 και c : x +y -8x-4y-16 = 0 εφαπτονται εσωτερικα και στη συνεχεια βρειτε το σημειο επαφης Α. ΑΣΚΗΣΗ 8 ΑΣΚΗΣΗ 9
  • 136.
    Κ ω νι κ ε ς Τ ο μ ε ς136 Τακης Τσακαλακος Κερκυρα 2018 Α π α ν τ η σ η 2 2 2 2 1 2 2 2 2 x +y -8χ-10y+ = 0 (x -8χ )+(y -10y+ )= Ο κυκλος (c ) εχει κεντρο K(4,5) και ακτινα R= 3 x +y -8x-4y- = 0 (x -8x+ )+(y -4y+ )6 = 32 16 25 9 16 1 4 36 2 2 2 (x-4) +(y-5) = 9 (x-4) +(y 2 2 2 2 2 (- 2 2 Ο κυκλος (c ) εχει κεντρο Λ(4,2) και ακτινα ρ= 6 Για να εφαπτονται εσωτερικα πρεπει: ΚΛ= ρ-R= 6-3= 3 Πραγματι, (4-4) +(5-2) = 9 = Ακομη x +y -8χ-10y+32= 0 x +y -8x-4y-16 = 0 2 -2) = 36 | ΚΛ|= 3 2 2 ) 2 2 2 x +y -8χ-10y+32= 0 -6y+48= 0 x +64-8χ-80+32= 0 x -8χ+16 = 0 (x-4) = 0 y= 8 y= 8 y= 8 x= 4 y= 8 Α(4,8) 2 2 Δινεται η εξισωση (x-1) +(y+3) -20+λ(3x+y-10)= 0 (1) Να δειξετε οτι η (1) παριστανει κυκλο για καθε λ Να δειξετε οτι ολοι οι κυκλοι της πιο πανω οικογενειας διερχονται απο δυο σταθερα σημεια, των οποιων να βρεθουν οι συντεταγμενες. ΑΣΚΗΣΗ 10
  • 137.
    Ε π αν α λ η ψ η 137 Τακης Τσακαλακος Κερκυρα 2018 Α π α ν τ η σ η 2 2 2 2 2 2 2 2 2 2 Ειναι (x-1) +(y+3) -20+λ(3x+y-10)= 0 x -2x+1+y +6y+9-20+3λx+λy-10λ= 0 x +y +(3λ-2)x+(6 +λ)y-10-10λ= 0 (2) Για να παριστανει η (2) εξισωση κυκλου πρεπει: A +B -4Γ> 0 (3λ-2) +(6 +λ) - 2 2 2 2 2 4(-10-10λ)> 0 9 -12λ+4+36 +12λ+λ +40+40λ> 0 λ +4λ+8> 0 Η τελευταια αληθευει αφου: Δ= 16-4 8=-16 < 0 οποτε τριωνυμο ομοσημο του α(= 1).... Για λ= 0 η (2) γινεται:x +y -2x+6y 2 2 = 10 (3) Για λ= 1 η (2) γινεται:x +y +x+7y= 20 (4) Λυνουμε το συστημα των (3),(4) 2 2 2 2 2 2 2 2 2 2 2 x +y -2x+6y= 10 x +y -2x+6y= 10 3x+y= 10x +y +x+7y= 20 x +(10-3x) -2x+6(10-3x)= 10 y= 10-3x x +100-60x+9x -2x+60-18x= 10 x -8x+15= 0 y= 10-3x y= 10-3x x= 3 x= 5 2 2 x= 3 y= 1 και x= 5 y= 10-3x y=-5 Α: 3 +1 +(3λ-2) 3+6 +λ-10-10λ= 9 +1+9λ-6 +6 +λ-10-10λ= 0 Β: 25+25+15λ-10-30-5λ-10-10λ= 0 Δηλαδη οι συντεταγμενες των A(3,1) B(5,-5) σημειων Α και Β επαληθευουν την (2) Α λ λ ι ω ς 2 2 2 2 (x-1) +(y+3) -20+λ(3x+y-10)= 0 x -2x+1+y +6y+9-20+3λx+λy-10λ= 0 2 2 (3x+y-10)λ+x +y -2x+6y-10= 0 Για να αληθευει για καθε λ πρεπει
  • 138.
    Κ ω νι κ ε ς Τ ο μ ε ς138 Τακης Τσακαλακος Κερκυρα 2018 2 2 2 2 3x+y-10= 0 y= 10-3x ` `... και x +y -2x+6y-10= 0 x +y -2x+6y= 10 A(3,1) B(5,-5) ... Ας το δυσκολεψουμε (;) λιγο  Να βρεθει ο γεωμετρικος τοπος των κεντρων των κυκλων της παρα - πανω οικογενειας  O κυκλος c’: x2 +y2 -20x+50=0 ισχυριζεται οτι ανηκει στην οικογενεια. Λεει αληθεια; ... Παμε  Η χορδη ΑΒ ειναι κοινη ολων των κυκλων της οικο γενειας  Το μεσο Μ της χορδης ΑΒ εχει συντεταγμενες: 3 5 422 ~ ~ Μ(4,-2) y y y 21 (-5) y y 2 2  Αν Κ το κεντρου τυχαιου κυκλου της οικογενειας, τοτε ΚΜ ΑΒ Κ Κ Κ Κ Κ Κ Κ Κ Κ Κ ΚΜ ΑΜ` ΚΜ ΑΜ 0 ΚΜ (4-χ ,-2-y ) (4-χ ,-2-y )(1,-3) 0` ΑΜ (4-3,-2-1)=(1,-3) 1 (4-χ )-3(-2-y )= 0`4-χ +6 +3y 0`χ 3y 10 Δηλαδη, ο γεωμετρικος τοπος των κεντρων των κυκλων της παρα - πανω οικογενειας ειναι η ευθεια ε: x-3y=10.  Εχουμε c’: x2 +y2 -20x+50=0 με Α=-20, Β=0 και Γ=50  Α2 +Β2 -4Γ=400-200=200>0  A B K - ,- K(10,0) 2 2 Α λ λ ι ω ς x2 +y2 -20x+50=0` x2 -20x+100+y2 =50` (x -10)2 +y2 =50 Κ(10,0)  Α c’ αφου, 32 +12 -20 3+50= 9+1-60+50=0  Β c’ αφου, 52 +(-5)2 -20 5+50=25+25-100+50=0  Κ’ ε αφου, 10-3 0=10 Δηλαδη ο c’ διερχεται απ’τα σημεια Α, Β και το κεντρο βρισκεται πανω στην ευθεια ε, οποτε ... λεει αληθεια.
  • 139.
    Ε π αν α λ η ψ η 139 Τακης Τσακαλακος Κερκυρα 2018 2 2 Εστω ο κυκλος c: x +y +λx-λy= 0, λ 0 και η ευθεια ε: x-y+1= 0. Να βρεθει ο λ, ωστε η ευθεια ε να ειναι εφαπτομενη του κυκλου c. Α π α ν τ η σ η 2 2 2 2 2 2 2 2 A +B -4Γ= λ +(-λ) -4 0= 2λ > 0 Αρα ο c ειναι κυκλος με -Α -Β -λ λ κεντρο: Κ , = Κ , 2 2 2 2 Α +Β -4Γ 2λ | λ| 2 ακτινα: ρ= = = 2 2 2 Για να εφαπτεται 2 2 η ευθεια (ε) στο κυκλο (c), πρεπει: -λ λ | × 1+ ×(-1)+1| | λ| 22 2d(Κ,ε)= ρ = ` 21 +(-1) -λ+1= λ 2λ=1|-λ+1| | λ| 2 = ` |-λ+1|=| λ|` ` 22 -λ+1=-λ 1= 0 1 λ= 2 1 2 1 2 Εστω οι ευθειες ε : ημφ× x-συνφ× y= ημ2φ και ε : συνφ× x+ημφ× y= συν2φ, φ Δειξτε οτι οι ευθειες ε και ε τεμνονται για καθε φ Βρειτε το γεωμετρικο τοπο του σημειου τομης 1 2 των ευθειων ε και ε . Α π α ν τ η σ η 2 2 1 2 Για το συστημα των εξισωσεων των ευθειων: ημφ -συνφ D= = ημ φ+συν φ= 1 0 συνφ ημφ Αρα το συστημα εχει λυσηγια καθε φ ,που σημαινει οτι οι ε , ε τεμνονται. Ακομη, αν Μ(x,y) τοσημειο τομης των ευθειων (λυση του συστηματος) 2 ημ2φ=2ημφσυνφ x συν2φ=1-2ημ φ ημ2φ -συνφ D = =ημφ ημ2φ+συνφ συν2φ = συν2φ ημφ ΑΣΚΗΣΗ 11 ΑΣΚΗΣΗ 12
  • 140.
    Κ ω νι κ ε ς Τ ο μ ε ς140 Τακης Τσακαλακος Κερκυρα 2018 2 2 2 = 2ημ φσυνφ+συνφ(1-2ημ φ)= = 2ημ φσυνφ 2 +συνφ- 2ημ φσυνφ 2 y ημ2φ=2ημφσυνφ συν2φ=2συν φ-1 2 2 2 = = συνφ ημφ ημ2φ D = = συνφ συν2φ = ημφσυν2φ-συνφημ2φ = = ημφ(2συν φ-1)-2συν φημφ= = 2συν φημφ 2 -ημφ- 2συν φημφ 2 2 x ημ +συν =1 2 2 y = =-ημφ Eτσι, D x= x= συνφ συνφ= xD x +(-y) = 1 D y=-ημφ ημφ=-y y= D Δηλαδη ο ζητουμενος γεωμετρικος τοπος ειναι κυκλος κεντρου Ο(0, 2 2 x +y = 1 0) και ακτινας ρ= 1. 2 2 Εστω ο κυκλος c: x +y -8x+2y+12= 0 και η εξισωση ε: x= 2y-4. Bρειτε τα σημεια του κυκλου c, που απεχουν την ελαχιστη και τη με- γιστη αποσταση απ'την ευθεια ε. Α π α ν τ η σ η 2 2 2 2 2 2 Ειναι x +y -8x+2y+ = 0 x -8x+ +y +2y+ = Αρα το κεντρο του κυκλου ειναι Κ(4,-1) και η ακτινα του ρ= 5 | 1× 4-2×(-1)+4| 10 10 5 d(Κ,ε)= = = 5 5 × 51 +(-2) 12 16 1 5 2 2 x-4) +(y+1) = 5( 10 5 = = 2 5 = 2ρ 5 ΑΣΚΗΣΗ 13
  • 141.
    Ε π αν α λ η ψ η 141 Τακης Τσακαλακος Κερκυρα 2018 εΚΜ ν Μ(α,β) το ιχνος της καθετης απ'το Κ στην ε, τοτε: β+1 1 λ × λ =-1ε β= 3× =-1 α-4 2 ... ~ ε α= 2α= 2β-4 α= 2β-4 Αν το σημειο τομης του κυκλου c και Μ(2,3) της ΚΜ, ΚΑ= ρ και αφου ΚΜ= 2ρ, τοτε το Α (που απεχει ελαχιστη αποσταση απ'την ε) ειναι το μεσο του ΚΜ. Ετσι, 2+4 3-1 Α , η 2 2 Αν Α'(κ,λ) το αντιδιαμε Α(3,1) τρικο σημειο του Α (που απεχει μεγιστη απο- σταση απ'την ε): κ+3 4= κ+3= 8 κ= 52 Κ μεσο ΑΑ' λ+1 λ+1=-2 λ=-3 -1= 2 Α'(5,-3) 2 2 2 Eστω τριγωνο ΑΒΓ με κορυφες Α(1,2), Β(0,3) και Γ(-2,3). Δειξτε οτι ο γεωμετρικος τοπος των σημειων Μ για τα οποια ΑΜ +ΒΜ -ΓΜ = 4 ειναι κυκλος. Για ποια λ η εξισωση x+(λ-1)y+2λ-1= 0 εφαπτεται στο παραπανω κυκλο. Α π α ν τ η σ η 2 2 2 2 2 2 2 2 2 2 2 2 2 ΑνΜ(x,y)τοτε ΑΜ =(x-1) +(y-2) = x -2x+1+y -4y+4 = x +y -2x-4y+5 BΜ =(x-0) +(y-3) = x +y -6y+9 ΓΜ =(x+2 2 2 ) +(y-3) ΑΣΚΗΣΗ 14
  • 142.
    Κ ω νι κ ε ς Τ ο μ ε ς142 Τακης Τσακαλακος Κερκυρα 2018 2 2 2 2 2 2 2 2 2 2 22 2 2 2 2 = x +4x+4+y -6 - x y+9 = x +y +4x-6y+13 Eιναι ΑΜ +ΒΜ ΓΜ = 4 x +y -2x-4y+5+ + - +9- - -4x+ -13= 4 x +y -6x-4y+1 9 = 6 x -6x+ +y y 6y x y 6y 2 2 2 -4y+ = Kυκλος κεντρου Κ(3,2) και ακτινας ρ= 4. Για να εφαπτεται η ευθεια (ε) στο κυκλο πρεπει | 1× 3+(λ-1)× 2+2λ-1| d(Κ,ε)= ρ = 4 1 +(λ-1) 4 16 2 2 2 (x-3) +(y-2) = 4 2 2 2 2 2 | 4λ| = 4 λ -2λ+2 (4λ) = 16(λ -2λ+2) 16λ = 16λ -32λ+32 32λ= 32 λ= 1 Σε καρτεσιανο επιπεδο θεωρουμε τα σημεια Α(2λ-3,0) και Β(0,λ+6), λ Βρειτε το γεωμετρικο τοπο των σημειων Μ(x,y), για τα οποια το τμημα ΑΒ φαινεται υπο ορθη γωνια απ'αυτα. Να προσδιορισετε τα δυο σταθερα σημεια, απ'τα οποια διερχονται ολες οι καμπυλες του προηγουμενου ερωτηματος. Α π α ν τ η σ η 0 Αν Μ(x,y) τοτε ΑΜ=(x-2λ+3,y) BΜ=(x,y-λ-6) ΑΜΒ= 90 ΑΜ BΜ= 0 (x-2λ+3,y)(x,y-λ-6)= 0 x(x-2λ+3)+y(y-λ-6)= 0 (1)2 2 x +y -(2λ-3)x-(λ+6)y= 0 ΑΣΚΗΣΗ 15
  • 143.
    Ε π αν α λ η ψ η 143 Τακης Τσακαλακος Κερκυρα 2018 2 2 2 2 2 2 Α +Β -4Γ=[-(2λ-3)] +[-(λ+6)] -4× 0 =(2λ-3) +(λ+6) > 0 Αρα η (1) παριστανει κυκλο που ειναι ο ζητουμενος γεωμετρικος τοπος. Για λ= 0 Για λ= 1 2 2 (1) (-) 2 22 2 2 2 2 y=-2xx +y +3x-6y= 0 x +(-2x) +x-7(-2x)= 0x +y +x-7y= 0 y=-2x y=-2x x +4x +x+14x= 0 5x +15x= 0 y=-2x y=-2x x= 0 5x(x+3)= 0 x=-3 Γ(0,0) Δ(-3,6) ... Ας το δυσκολεψουμε (;) λιγο  Να αποδειξετε οτι τα σημεια Α,Β ειναι αντιδιαμετρικα των κυκλων (1) ... Παμε 2 2 x +y -(2λ-3)x-(λ+6)y= 0 με Α=3-2λ, Β=-λ-6 και Γ=0 2 22 2 2 2 2 (3-2λ) +(-λ-6) -4 0Α +Β -4Γ ρ= 2 2 4λ -12λ+9 +λ 12λ 36 5λ +45 2 2 2 2 2 (ΑΒ)= (2λ-3+0) (0+λ+6) ... 5λ +45 Δηλαδη (ΑΒ)=2ρ που σημαινει οτι τα Α, Β ειναι αντιδιαμετρικα του ... 2 2 Θεωρουμε το κυκλο με εξισωση c: x +y +2x-4= 0 Σε ποια σημεια τεμνει ο κυκλος c τον αξονα y'y; Bρειτε τις εφαπτομενες του κυκλου c στα πιο πανω σημεια του αξονα y'y. Δειξτε οτι οι πιο πανω εφαπτομενες τεμνονται στον αξονα x'x. Α π α ν τ η σ η 2 2 2 Για x= 0 η c γινεται: 0 +y +2 0-4= 0 y = 4 y=±2 Αρα o κυκλος c τεμνει τον αξονα y'y στα σημεια Α(0,-2) και Β(0,2) -Α -Β 2 0 Το κεντρο του κυκλου c: Κ , = Κ - ,- 2 2 2 = Κ(-1,0) 2 ΑΣΚΗΣΗ 16
  • 144.
    Κ ω νι κ ε ς Τ ο μ ε ς144 Τακης Τσακαλακος Κερκυρα 2018 1 1 11 1 1 ΚΑ εΚΑ ε1 ε1 ε ε Για την εφαπτομενη ε στο σημειο Α: -2-0 λ = =-2 0+1 λ × λ =-1 -2× λ =-1ε ε y+2= λ × xy+2= λ (x-0) 1 λ = 2 y+2= 2 2 2 1 1 2 ΚB ε ε εΚΑ2 ε ε2 1 × x 2 Για την εφαπτομενη ε στο σημειο B: 2-0 λ = =2 0+1 1 λ =-λ × λ =-1 2× λ =-1ε 2 ε y-2= λ × x y-2= λ × x 1 y-2=- × x 2 1 ε : x-2y-4= 0 1 2 (+) 1 2 Λυνουμε το συστημα των ε και ε : x-2y-4= 0 2x= 8 x= 4 x= 4 x+2y-4= 0 x+2y-4= 0 4+2y-4= 0 y= 0 Το σημειο τομης των ε και ε ειναι το (4 2 ε : x+2y-4= 0 ,0) x'x 2 2 2 2 1 2 Δινονται οι κυκλοι c : x +y -6x+2y-15= 0 και c : x +y +2x-2y-23= 0 Nα δειξετε οτι οι πιο πανω κυκλοι ειναι ισοι και τεμνονται σε δυο σημεια Α, Β. Να βρεθει η εξισωση τ 0 1 2 1 2 1 2 ης κοινης χορδης ΑΒ των δυο κυκλων. Να βρεθει σημειο Μ της ευθειας ΑΒ, ωστε η γωνια Κ ΜΚ = 90 (Κ ,Κ τα κεντρα των κυκλων c και c ). Α π α ν τ η σ η Οι κυκλοι γινονται: ΑΣΚΗΣΗ 17
  • 145.
    Ε π αν α λ η ψ η 145 Τακης Τσακαλακος Κερκυρα 2018 2 2 1 2 2 2 2 2 2 1 2 2 2 2 1 1 1 2 2 2 c : x -6x+9 +y +2y+1= 25 c : x +2x+1+y -2y+1= 25 c :(x-3) +(y+1) = 5 c :(x+1) +(y-1) = 5 (3,-1), ρ = 5 ρ =ρ = 5 (-1,1), ρ = 5 που σημαινει οτι 2 2 1 2 1 2 1 2 1 2 οι δυο κυκλοι ειναι ισοι Ακομη, | |= (-1-3) +(1+1) = 20 = 2 5 Οι δυο κυκλοι τεμνονται σε δυο σημεια Α,Β αν: | ρ -ρ |<| |<ρ +ρ | 5-5|< 2 5 < 5+5 0< 2 5 < 1 2 2 2 2 0 που αληθευει. Αν Α(α,β) ενα κοινο σημειο των κυκλων, τοτε οι συντεταγμενες του επαληθευουν τις εξισωσεις των δυο κυκλων. Ετσι α +β -6α+2β-15= 0 α α +β +2α-2β-23= 0 2 2 (+) 2 2 +β -6α+2β-15= 0 -α -β -2α+2β+23= 0 Δηλαδη το κοινο σημειο Α (το ιδιο ισχυει για το Β) ανηκει στην ευθεια: , που αποτελει την εξισωση της κοινης 2α-β-2= 0 2x-y-2= 0 1 2 1 2 0 1 2 1 χορδης ΑΒ. Εστω σημειο Μ(κ,λ) ΑΒ. Τοτε, 2κ-λ-2= 0 λ= 2κ-2 Μ(κ,2κ-2) (και αφου (3,-1), (-1,1)) Κ Μ=(κ-3,2κ-1) Κ Μ=(κ+1,2κ-3) Ομως Κ Μ = 90 Κ Μ 2 1 2 2 2 2 Κ Μ Κ Μ Κ Μ= 0 (κ-3,2κ-1)(κ+1,2κ-3)= 0 (κ-3)(κ+1)+(2κ-1)(2κ-3)= 0 κ +κ-3κ-3+4κ -6κ-2κ+3= 0 κ= 0 5κ -10κ= 0 5κ(κ-2)= 0 η κ-2= 0 Μ(0,-2) κ= 0 κ= 2 Μ(2,2)
  • 146.
    Κ ω νι κ ε ς Τ ο μ ε ς146 Τακης Τσακαλακος Κερκυρα 2018 2 Θεωρουμε τα σημεια Μ(4t ,4t), t σε ορθοκανονικο συστημα Οxy και την ευθεια ε: αx-y-α= 0 με α 0. Να αποδειξετε οτι: Τα σημεια Μ κινουνται σε μια παραβολη c, της οποιας η εστια Ε ανηκει στην ευθεια ε. Η ευθεια ε και η παραβολη c εχουν δυο διαφορετικα κοινα σημεια, για καθε α 0. Οι εφαπτομενες της παραβολης c, στα κοινα της σημεια με την ευθεια ε, τεμνονται καθετα. Α π α ν τ η σ η 2 2 2 2 ΕστωΜ(x,y) y x= 4 x= 4t y y4 x= 4× x= 16 4y= 4t y t= 4 Aρα τα σημεια Μ κινουνται στην παραβο- λη c, που εχει p= 2 και εστια Ε(1,0). Ε ε αφου οισυντ 2 c: y = 4x 2 εταγμενες του επαλη- θευουν την εξισωση της ε. Πραγματι α× 1-0-α= α-α= 0 Λυνουμε το συστημα των ε και c, προκειμενου να βρουμε τα κοινα σημεια τους. ααx-y-α= 0 y = 4x 2 2 2 22 2 2 2 2 x-α= y y= αx-α α x -2α x+α = 4x(αx-α) = 4x y= αx-α α x -2(α +2)x+α = 0 (1) Για να εχουν δυο κοινα σημεια η ευθεια ε και η παραβολη c, πρεπει το συστημα να εχει δυο λυσεις, δηλαδη η εξισωση (1) να εχει δυο ριζες που σημαινει η διακρινουσα της να ειναι μεγαλυτερη του μηδενος. ΑΣΚΗΣΗ 18
  • 147.
    Ε π αν α λ η ψ η 147 Τακης Τσακαλακος Κερκυρα 2018 2 2 2 2 4 Πραγματι, Δ=[-2(α +2)] -4× α × α = 4α 2 4 +16α +16- 4α 2 = 16(α +1)> 0 1 2 1 1 2 2 1 2 Αν Α, Β τα κοινα σημεια των ε, c και x , x οι ριζες τις εξισωσης (1), τοτε Α(x ,αx -α) και Β(x ,αx -α) Αν ε , ε οι εφαπτομενες της c στα σημεια Α 1 2 1 2 ε ε1 1 1 2 2 2 1 2 ε ε 2 1 2 1 2 1 2 και Β αντιστοιχα, τοτε 2 2 ε : y y= 2(x+x ) και ε : y y= 2(x+x )με: λ = και λ = y y Ετσι 2 2 4 4 λ λ = = = = y y (αx -α)(αx -α) α (x -1)(x -1) Vieta 222 στην(1) 21 2 1 2 2 2 2 2 2 2 4 4 = = = 2(α +2)α [x x -(x +x )+1] α [ - +1] 4 4 = = 2α +4 α [1- +1] α 2 2 2 -2α 2 -4 α 1 2 4 = =-1 -4 Αρα, ε ε 2 2 1 2 2 2 1 2 Δινεται η ελλειψη c :25x +9y = 225 και ο κυκλος c :x +y -8y-84= 0 Nα βρειτε τις εστιες της ελλειψης c Nα δειξετε οτι το κεντρο του κυκλου c 1 2 1 ειναι μια απ'τις εστιες της ελλειψης c Nα δειξετε οτι οι κυκλοι που εφαπτονται εσωτερικα στο κυκλο c και τα κεντρα τους βρισκονται στην ελλειψη c , διερχονται απ' 1 2 την αλλη εστια της ελλειψης c (οχι το κεντρο του κυκλου c ). Α π α ν τ η σ η 2 22 2 2 2 1 1 1 Ειναι 9y y25x 225 x c : 25x +9y = 225 c : + = c : + = 1 225 225 225 9 25 ΑΣΚΗΣΗ 19
  • 148.
    Κ ω νι κ ε ς Τ ο μ ε ς148 Τακης Τσακαλακος Κερκυρα 2018 2 2 2 2 2 2 2 2 2 2 2 α = 25 β = 9 γ = α -β = 25-9 = 16 = 4 γ= 4 Οι εστιες βρισκονται στον αξονα y'y, οποτε Ε'(0,-4) και Ε(0,4). c : x +y -8y = 0 x +(y -8y ) -84 +16 2 2 2 2 = x +(y-4) = 100 Aρα το κεντρο του κυκλου c ειναι Κ(0,4) Ε(0,4) και η ακτινα του R= 10 Εστω (Μ,ρ) οι κυκλοι που εφαπτονται εσωτερικα στον κυκλο c . Τοτ 100 1 ε c ( )+( ')= 2α 10 MK= R-ρ MΕ= 10-ρ -ρ+( ')= 10 ( ')= ρ Η τελευταια ισοτητα σημαινει οτι οι κυκλοι (Μ,ρ) διερχονται απ'την εστια Ε'(0,-4) Δινονται τα διανυσματα u=(-6,8) και ν =(3,-4). Δειξτε οτι τα διανυσματα u και ν ειναι αντιρροπα Βρειτε την εξισωση της ελλειψης που εχει ημιαξονες ταμετρα των u και ν, κεντρο την αρχη των αξονων και εστιες στον αξονα y'y Βρειτε τις εφαπτομενες της ελλειψης που διερχονται απ'το σημειο 25 Μ ,0 3 Α π α ν τ η σ η -2<0 2 2 2 2 Ειναι u =(-6,8)=-2(3,-4)=-2 ν u ν | u |= (-6) +8 = 36 +64 = 100 = 10 | ν |= 3 +4 = 9 +16 = 25 = 5 ΑΣΚΗΣΗ 20
  • 149.
    Ε π αν α λ η ψ η 149 Τακης Τσακαλακος Κερκυρα 2018 1 1 Eτσι η ελλειψη εχει ημιαξονες: α= 10 και β= 5 Αφου οιεστιες στον αξονα y'y, η ελλειψη εχει εξισωση Εστω Μ(x ,y ) το σημειο επαφης Η εξισωση τωνεφ 22 yx c: + = 1 25 100 1 1 1 1 απτομενων ειναι xx yy ε: + = 1 (1) 25 100 25 Η ε διερχεται απ'το σημειο Α ,0 οποτε 3 25 × x 0× y 253 + = 1 25 100 1 × x 3× 25 1 2 22 2 21 1 1 1 1 1 2 = 1 x = 3 (2) c,τοτε y y3 9 16 + = 1 = 1- y = 100 y = 64 y =±8 (3) 25 100 100 25 25 Απ'τις (1),(2),(3) η εξισωση των εφαπτομενων ειναι: 8y3x ε : + = 1 25 100 -8y3x ε : + 25 1 1 2 ε : 12x+8y= 100 ε : 12x-8y= 100 = 1 00 1 2 ε : 3x+2y-25= 0 ε : 3x-2y-25= 0 2 2 2 2 1 2 Δινονται οι ελλειψεις c : x +4y = 4 και c : 4x +y = 4. Βρειτε την εξισωση της κοινης εφαπτομενης των δυο καμπυλων. Α π α ν τ η σ η 1 2 1 2 2 2 Εστω ε: y= λx+β η κοινη εφαπτομενη των c και c Απαιτουμε το συστημα των ε και c να εχει ακριβως μια λυση (ενα το σημειο επαφης) y= λx+βy= λx+β x +4y = 4 x +4(λx+ 2 2 2 22 y= λx+β x +4λ x +8βλx+4β = 4β) = 4 ΑΣΚΗΣΗ 21
  • 150.
    Κ ω νι κ ε ς Τ ο μ ε ς150 Τακης Τσακαλακος Κερκυρα 2018 2 2 2 2 2 2 2 2 2 2 y= λx+β (1+4λ )x +8βλx+4(β -1)= 0 Πρεπει Δ= 0, δηλαδη: 64β λ -16(1+4λ )(β -1)= 0 β -4λ = 1 (1) Απαιτουμε το συστημα των ε και c να εχει ακριβως μια λυση (ε 2 2 2 2 2 2 2 2 2 2 2 2 2 2 2 να το σημειο επαφης) y= λx+βy= λx+β 4x +y = 4 4x +(λx+β) = 4 y= λx+βy= λx+β 4x +λ x +2βλx+β = 4 (4+λ )x +2βλx+(β -4)= 0 Πρεπει Δ= 0, δηλαδη 4β λ -4(4+λ )(β -4)= 2 2 0 4β λ 2 2 2 -16β +64- 4λ β 2 2 2 2 2 2 2 2 2 2 2 2 2 +16λ = 0 β -λ = 4 (2) Λυνουμε το συστημα των (1) και (2) λ=±1β -4λ = 1 λ +4-4λ = 1 λ = 1 β -λ = 4 β = λ +4 β = 1+4 β=± 5 Οποτε οι ζητουμενες εφαπτομενες ειναι: 1 2 3 4 ε : y= x+ 5 ε : y= x- 5 ε : y=-x+ 5 ε : y=-x- 5 ... Ας το δυσκολεψουμε (;) λιγο  Να αποδειξετε οτι τα σημεια τομης των παραπανω εφαπτομενων οριζουν κορυφες τετραγωνου ... Παμε Ευκολα αποδεικνυουμε οτι τα σημεια τομης των εφαπτομενων ειναι τα Κ(0, 5), Λ( 5,0), Μ(0,- 5), Ν(- 5,0) Εχουμε 2 2 2 2 ΚΛ=( 5-0,0- 5)=( 5,- 5) ΚΛ|| ΝΜ ΝΜ=(0-(- 5),- 5-0)=( 5,- 5) ΚΛ ΝΜ | ΚΛ|= ( 5) +(- 5) = 10 | ΚΛ|=| ΜΛ|ΜΛ=( 5-0,0-(- 5))=( 5, 5) | ΜΛ|= ( 5) +( 5) = 10 ΚΛΜΝ ρομβος
  • 151.
    Ε π αν α λ η ψ η 151 Τακης Τσακαλακος Κερκυρα 2018 ΚΛ ΜΛ=( 5,- 5) ( 5, 5)= 5 5 (- 5) 5=0 ΚΛ ΜΛ Συνεπως (ρομβος με ορθη γωνια) ΚΛΜΝ τετραγωνο 0 Δινονται τα σημεια Κ(-5,0) και Λ(0,5). Που κινουνται τα σημεια Μ για τα οποια ισχυει:|(ΜΚ)-(ΜΛ)|= 8; Για ποια απ'τα παραπανω σημεια Μ ισχυει: ΚΜΛ= 90 και d(M,K)> d(M,Λ) Α π α ν τ η σ η Απ'τον ορισμο της υπερβολης η δοσμενη σχεση δινει: Τα σημεια Μ κινουνται πανω σε υπερ- βολη με εστιες Κ και Λ. Οι εστιες Κ(0,-5), Λ(0,5) βρισκονται 2 2 2 2 1 0 στον αξονα y'y. (KΛ)= 10 2γ= 10 γ= 5 2α= 8 = 4 β= γ -α = 25-16 = 9 = 3 Αρα τα σημεια Μ κινουνται στην υπερβολη y x c : - = 1 16 9 ΚΜΛ= 90 σημαινει οτι τα σημεια Μ "βλεπου 2 ν" υπο ορθη γωνια το ΚΛ, δηλαδη κινουνται σε κυκλο διαμετρου ΚΛ= 2γ και επειδη Ο μεσο ΚΛ, κινουνται στο κυκλο με κεντρο το Ο και ακτινα ρ= 5 που εχει εξισωση c : 2 2 x + = 25. d(M,K)> d(M,Λ) σημαινει οτι y> 0 και τα Μ κινουνται στον κλαδο της υπερβολης που βρισκεται πανω απ'τον αξονα x'x. Eτσι τελικα Τα ζητουμενα σημεια, ειναι τ y 2 1 α σημεια τομης του κυκλου c και του κλαδου της υπερβολης c που βρισκεται πανω απ'τον αξονα x'x. ΑΣΚΗΣΗ 22
  • 152.
    Κ ω νι κ ε ς Τ ο μ ε ς152 Τακης Τσακαλακος Κερκυρα 2018 2 2 1 2 2 22 2 y x Δινεται η υπερβολη c : - = 1, της οποιας το ορθογωνιο βασης εχει κ λ yx μια κορυφη το σημειο Α(2 2,-2 2) και η ελλειψη c : + = 1. 36 100 Να βρειτε τις τιμες των κ,λ και 1 3 1 τις εξισωσεις των ασυμπτωτων της c και την εκκεντροτητα της. την εξισωση της ελλειψης c που εχει ιδιες εστιες με την υπερβολη c και ειναι ομοια με την ελλειψη 2 1 c . την εφαπτομενη της υπερβολης c στο σημειο Β(-1,-3) που εφαπτεται στο κυκλο σε σημεια που οι συντεταγμενες τους οριζονται απ'τις εξι- 4 10 4 10 σωσεις: x= συνφ, y= 5 ημφ μεφ (0,2π). 5 Α π α ν τ η σ η 2 2 1 Το Α(2 2,-2 2) ειναι κορυφη του ορθογωνιου βασης αν και μονο αν: κ= λ= 2 2 y x c : - = 1 8 8 (ισοσκελης) ασυμπτωτες: και εκκεντροτητα: 2 2 1 c : y -x = 8 y= x y=-x 2 2 2 2 2 2 3 3 3 13 1 33 3 23 2 33 β β 8 = ε -1 ε = +1 ε = +1 α α 8 ε = 2 Ειναι γ = 4 γ = 4 γ = γc ιδιεςεστιεςμεc α = 54 4γ 100-36 =ε = ε =c ομοιαστηνc α 5α 10 ε= 2 2 2 3 3 3 β = α -γ = 25-16 = 9 = 3 Ετσι 22 3 yx c : + = 1 9 25 ΑΣΚΗΣΗ 23
  • 153.
    Ε π αν α λ η ψ η 153 Τακης Τσακαλακος Κερκυρα 2018 2 2 2 2 2 2 (+) 2 2 2 1 4 104 10 4 10x = συν φx= συνφ x +y = 55 5 4 10 4 104 10y= ημφ (0,0)καιρ=y = ημ φ 5 55 Η εφαπτομενη ε της c στο σημειο Β(-3,-1) ειναι:-3y+x= 8 2 2 που εφαπτεται στο κυκλο (Κ,ρ) αφου | 3× 0-1× 0-8| |-8| 8 8 10 4 10 d(K,ε)= = = = = = ρ 10 510 103 +1 ε: x-3y-8= 0 2 2 1 Δινεται η υπερβολη c : 9y -16x = 144. Να βρειτε: Τις ασυμπτωτες και την εκκεντροτητα της υπερβολης. Τις εφαπτομενες της υπερβολης, αν υπαρχουν, που ειναι παραλληλες στην ευθεια ε: 4x-3y-1= 0 Το εμβαδον του τριγωνου που οριζεται απ'τις ασυμπτωτες της υπερ- βολης και την ευθεια y= 4 Α π α ν τ η σ η 2 2 2 2 2 2 2 2 y x c: - = 1 16 9 α = 16 α= 4 γ = α +β β = 9 β= 3 γ = 16 +9 α Ασυμπτωτες: =- x β γ= 5 4 y=- x 3 1 1 1 1 ε1 1 1 1 α y= x β γ Eκκεντροτητα:ε= α Η εξισωση της εφαπτομενης της υπερβολης στο σημειο Μ(x ,y ) ειναι: 16x ε : 9yy -16xx = 144 με λ = 9y 4 y= x 3 5 ε= 4 ΑΣΚΗΣΗ 24
  • 154.
    Κ ω νι κ ε ς Τ ο μ ε ς154 Τακης Τσακαλακος Κερκυρα 2018 1 1 ε ε1 1 1 1 (1) 2 2 2 2 1 1 1 1 2 2 1 1 16x 4 4 ε || ε λ = λ = y = x (1) 9y 3 3 16 c 9y -16x = 144 9 x -16x = 144 9 16x -16x = 144 0= 144 αδυνατη, αρα δεν υπαρχει εφαπτομενη 1 2 ε || ε. Αν Κ,Λ τα σημεια τομης των ασυμπτωτων με την ευθεια ε : y= 4 4 4 x=-3y=- x 4=- x 3 3 K(-3,4) y= 4 y= 4 y= 4 4 4 x= 3y= x 4= x 3 3 (3,4) y= 4 y= 4 y= 4 2 2 2 2 ( )= 6 +0 = 6 d(O,ε )= 4 1 1 = ×(ΚΛ)× d(O,ε )= × 6 × 4= 2 2 τριγωνου Ε 12τ.μ.
  • 155.
    Ε π αν α λ η ψ η 155 Τακης Τσακαλακος Κερκυρα 2018 2 0 0 Εστω η παραβολη c:y = 2px και σημειο Ρ(x ,y ) c. Oι εφαπτομενες απ'το σημειο Ρ προς την c εφαπτονται σ'αυτην στα σημεια Α και Β. Να αποδειξετε οτι η εξισωση της ευθειας 0 0 ΑΒ ειναι τηςμορφης: y × y= p×(x+x ) Α π α ν τ η σ η Εστω Α(x1 ,y1 ), B(x2 ,y2 ) τα σημεια επαφης. Οι εφαπτομενες ΡΑ, ΡΒ εχουν εξισωσεις: y 1 ∙ y = p ∙ ( x + x 1 ) και y 2 ∙ y = p ∙ ( x + x 2 ) To σημειο Ρ(x0 ,y0 ) ειναι σημειο των ΡΑ και ΡΒ, οποτε επαληθευει τις εξισωσεις τους. Δηλαδη y 1 ∙ y0 = 2 ∙ ( x0 + x 1 ) και y 2 ∙ y0 = 2 ∙ ( x0 + x 2 ) Απ’τις πιο πανω εξισωσεις προκυπτει οτι οι συντεταγμενες των σημειων Α και Β επα - ληθευουν την εξισωση : y0 ∙ y = p ∙ ( x + x0 ) . Αρα η ζητουμενη 0 0 y y= p (x+x ) 1 1 2 2 1 1 Να δειξετε οτι ενα σημειο Μ(x ,y ) ειναι εσωτερικο της παραβολης c:y = 2px αν και μονο αν ισχυει y < 2px . Α π α ν τ η σ η Aπ’το σημειο Μ(x1 , y1 ) φερνουμε καθετη στον x’x, που τεμνει τη παραβολη στο ση - μειο Α(x1 , y0 ). A c, oποτε οι συντεταγμενες του Α επα - ληθευουν την εξισωση της c. Eτσι 2 0 1 y = 2× p× x (1) Για να ειναι το Μ εσωτερικο σημειο της πα - ραβολης πρεπει να ισχυει: 2 2 1 0 1 0 | y |<| y | y <y (2) Απο (1) και (2) προκυπτει : 2 1 1 y <2 p x ΑΣΚΗΣΗ 25 (ΘΕΩΡΗΤΙΚΗ) ΑΣΚΗΣΗ 26 (ΘΕΩΡΗΤΙΚΗ)
  • 156.
    Κ ω νι κ ε ς Τ ο μ ε ς156 Τακης Τσακαλακος Κερκυρα 2018 2 Εστω η παραβολη c:y = 2px και τυχαιο σημειο της Μ. Δειξτε οτι ο κυκλος με διαμετρο ΜΕ ειναι εφαπτομενος του αξονα y'y. Α π α ν τ η σ η 1 1 1 1 1 1 2 2 1 2 2 1 1 2 1 1 Κ μεσο ΕΜ p +x yp 2Ε ,0 , 2 2 2 Μ(x ,y ) p +x p21 +0+0 +x 2 2d(K,y'y)= = 21 +0 p +x 2 = (1) 2 p (ME) -x +y R= 2 R=2 2 M c y = 2px 2 1 1 2 2 2 2 2 111 1 1 1 1 p -x +2px 2 R= 2 ppp p +x+x-px +x +2px +px +x 224 4 R= = = = (2) 2 2 2 2 Aπο (1), (2): d(K,y'y)= R, που σημαινει οτι ο κυκλος εφαπτεται στον αξονα y'y. 2 Εστω η παραβολη c:y = 2px και η ευθεια ε: y= λx+β, με β 0. Να δειξετε οτι η ευθεια (ε) εφαπτεται στη παραβολη (c) αν p= 2λβ. Α π α ν τ η σ η να εφαπτεται η (ε) στη (c) πρεπει το συστημα των εξισωσεων τους να εχει μοναδικη λυση. ΑΣΚΗΣΗ 27 (ΘΕΩΡΗΤΙΚΗ) ΑΣΚΗΣΗ 28 (ΘΕΩΡΗΤΙΚΗ)
  • 157.
    Ε π αν α λ η ψ η 157 Τακης Τσακαλακος Κερκυρα 2018 2 2 2 2 2 2 2 2 y = 2px (λx+β) = 2px y= λx+β λ x +2λβx+β = 2px λ x +2(λβ-p)x+β = 0 Moναδικη λυση σημαινει η πιο πανω δευτε- ροβαθμια εξισωση να εχει ακρι 2 2 2 2 2 2 2 2 2 2 βως μια λυση. Δηλαδη Δ= 0 [2(λβ-p)] -4λ β = 0 4(λ β -2λβp+p )-4λ β = 0 4λ β 2 2 2 -8λβp+4p - 4λ β p 0 = 0 -4p(2λβ-p)= 0 p= 2λβ 2 0 0 0 Εστω η παραβολη c:x = 2py και τυχαιο σημειο της Μ(x ,y ). Να αποδειξετε οτι: p Η αποσταση του Μ απο την εστια Ε ειναι ιση με | y + |. 2 Η κορυφη της παραβολης ειναι το πλησιεστερο σημειο της προς την εστια. Α π α ν τ η σ η 0 0 0 2 2 0 Εστω ΜΑ η αποσταση του σημειου Μ απ'τη διευθετουσα δ. p p x δ: y=- η δ: 0× x+1× y+ = 0 2 2 p | 0× x +1× y + | 2M c ΜΕ= d(M,δ) ΜΕ= 0 +1 p | y + | 2ΜΕ= 1 γινεται ελαχιστο οτ 0 p ΜΕ=| y + | 2 0 p αν | y + | 2 γινεται ελαχιστο. ΑΣΚΗΣΗ 29 (ΘΕΩΡΗΤΙΚΗ)
  • 158.
    Κ ω νι κ ε ς Τ ο μ ε ς158 Τακης Τσακαλακος Κερκυρα 2018 0 p Αυτο συμβαινει αν y = 0 και ΜΕ=| | που σημαινει Μ Ο. 2 2 Να βρειτε το γεωμετρικο τοπο των μεσων των χορδων ΟΒ της παρα- βολης c: y = 2px με ακρα την κορυφη Ο και Β τυχαιο σημειο της παρα- βολης c. Α π α ν τ η σ η 0 0 1 1 1 0 1 0 2 1 1 1 0 2 2 1 0 0 0 0 0 2 0 0 Αν Μ(x ,y ) και Β(x ,y ) τοτε x +0 x = 2 μεσο ΟΒ y +0 y =c 2 y = 2px x = 2x y = 2y 4y = 4px y = px (2y ) = 2p(2x ) Aρα ο ζητουμενος γεωμετρικος τοπος ειναι η παραβολη 2 y = px 2 1 1 Εστω η παραβολη c:y = 2px και η εφαπτομενη στο σημειο της Μ(x ,y ) που τεμνει τον αξονα x'x στο σημειο Α. Δειξτε οτι το τριγωνο ΕΑΜ (Ε εστια παραβολης) ειναι ισοσκελες. Α π α ν τ η σ η 1 1 p 0 1 1 1 1 1 σημειο Α ειναι το σημειο τομης του αξονα x'x (y= 0) και της εφαπτο- μενης της c στο Μ:yy = p(x+x ). Eτσι yy = p(x+x ) 0= p(x+x ) x=-x (-x ,0) y= 0 ΑΣΚΗΣΗ 30 (ΘΕΩΡΗΤΙΚΗ) ΑΣΚΗΣΗ 31 (ΘΕΩΡΗΤΙΚΗ)
  • 159.
    Ε π αν α λ η ψ η 159 Τακης Τσακαλακος Κερκυρα 2018 2 2 1 1 2 1 2 1 1 2 1 2 1 1 2 2 2 2 1 1 1 1 1 2 1 p (ME)= -x +y 2 p (ΑE)= +x 2 M c p (ME)= -x +2px 2 p (ΑE)= +x 2 y = 2px p p (ME)= -px +x +2px (ME)= +px +x 4 4 p (ΑE)= +x ( 2 2 1 2 2 1 1 p (ME)= +x 2 p p ΑE)= +x (ΑE)= +x 2 2 (ME)=(ΑE) που σημαινει οτι το τριγωνο ΕΑΜ ειναι ισοσκελες. 2 Εστω η παραβολη c:y = 2px και χορδη της ΑΒ|| y'y που διερχεται απ'την εστια Ε. Να δειξετε οτι (ΑΒ)= 2(ΕΚ), οπου Κ το σημειο τομης της διευθετουσας και του x'x. Να δειξετε οτι οι εφαπτομενες στα σημεια Α και Β διερχονται απ'το ση- μειοΚ. Α π α ν τ η σ η 1 1 22 11 1 2 2 2 1 2 2 2 2 p p p Ειναι Α ,y , Β ,-y και K - ,0 2 2 2 (ΑΒ)= 4y(ΑΒ)= (y +y ) (ΑΒ)= 4p (ΑΒ)= 2 ppc y = 2× p× 2 (EK)= p (EK)= pp p (EK)= ( + ) (EK)= p2 2 (ΑΒ)= 2(EK) ΑΣΚΗΣΗ 32 (ΘΕΩΡΗΤΙΚΗ)
  • 160.
    Κ ω νι κ ε ς Τ ο μ ε ς160 Τακης Τσακαλακος Κερκυρα 2018 1 1 (+) p 0 2 1 1 p p ε : yy = p x+ 0= 2p x+ 2 2 p p ε :-yy = p x- yy = p x+ 2 2 p x=- 2 y= 0 p K - ,0 2 2 1 1 2 2 2 2 1 2 1 2 Εστω η παραβολη c:y = 2px και τα σημεια Α(x ,y ) και Β(x ,y ). Να δειξετε οτι η ευθεια ΑΒ διερχεται απ'την εστια Ε αν: p x × x = και y × y =-p 4 Α π α ν τ η σ η 1 1 2 2 p Αν ΑΒ κατακορυφη εχει μορφη ε : x= 2 Λυνουμε το συστημα των εξισωσεων των (c) και (ε ) ως προς x: p y=±py = 2px y = 2p 2 ... pp p x=x= x= 22 2 p A( ,p) 2 p B( ,-p) 2 1 2 1 2 2 ΑΒ 2 p p x × x = × 2 2 y × y = p×(-p) p Αν ΑΒ πλαγια εχει μορφη ε : y= λ x- 2 Λυνουμε το συστημα των εξισωσεων των (c) και (ε ) ως προς 2 1 2 2 1 2 p x x = 4 y y =-p y: 2 2 2 2 2 2 2 2 ΑΒ ΑΒ ΑΒ ΑΒ ΑΒ y = 2px p p λ x- = 2px λ x -λ px+λ -2px= 0p 2 4y= λ x- 2 ΑΣΚΗΣΗ 33 (ΘΕΩΡΗΤΙΚΗ)
  • 161.
    Ε π αν α λ η ψ η 161 Τακης Τσακαλακος Κερκυρα 2018 22 2 Vieta ΑΒ2 2 2 ΑΒ ΑΒ ΑΒ 1 2 λλ p λ x -(λ p+2p)x+ = 0 x x = 4 2 2 ΑΒ p 4λ 2 1 2 p x × x = 4 2 2 2 2 2 2 ΑΒ ΑΒ ΑΒ 2 ΑΒ ΑΒ 2 Vieta ΑΒ2 2 ΑΒ ΑΒ 1 2 y x=y = 2px 2p y -p y= λ 2py= λ y -λ pp 2py= λ x- y p y= λ -2 2p 2 - λ λ y -2py-λ p = 0 y y = 2 2 ΑΒ p λ 2 1 2 y × y =-p 2 1 1 Δινεται η παραβολη c: y = 2px και τυχαιο σημειο της Μ(x ,y ). Αν Κ ειναι η προβολη του Μ στη διευθετουσα και Ε η εστια, δειξτε οτι η μεσοκαθετη του ΚΕ ειναι εφαπτομενη της παραβολης στο Μ και διχοτομει τη γωνια ΚΜΕ. Αν η εφαπτομενη στο Μ τεμνει τη διευθετουσα στο Ρ, δειξτε οτι ΡΕ ΜΕ. Α π α ν τ η σ η 1 1 1 1 1 ε 1 1 1 ΚΕ 1 ε ΚΕ 1 Ειναι p p Ε ,0 Κ - ,y 2 2 Η εξισωση της εφαπτομενης στο Μ(x ,y )ε: y y= p(x+x ) p λ = y 0-y y λ = =- p p p + 2 2 yp Ετσι, λ × λ = - y p 1 1 =-1 και ε Εστω Θ μεσο της ΕΚ. p p - y y2 2Τοτε Θ , η Θ 0, . 2 2 2 Οι συντεταγμενες του Θ επαληθευουν την εξισωση της εφαπτομενης ε, αφου ΑΣΚΗΣΗ 34 (ΘΕΩΡΗΤΙΚΗ)
  • 162.
    Κ ω νι κ ε ς Τ ο μ ε ς162 Τακης Τσακαλακος Κερκυρα 2018 2 21 1 1 1 1 1 1 y y y = p(0+x ) = px y = 2px 2 2 Οποτε η ε διερχεται απ'το μεσο του ΕΚ και αφου ε , η ε μεσοκαθετη του ΕΚ και επειδη το τριγωνο ΜΚΕ ειναι ισοσκελες (ΜΕ= ΜΚ) διχ 22 2 2 1 2 1 1 21 2 1 1 οτομει την ΚΜΕ. pp Ρ - ,yp Ρ - ,y Ρ - ,y 2 2px -pp2 2 Ρ - , 2px -p 2 2yp y =y y = p(- +x ) 2y2 1 1 ΡΕ 2 1 1 1 1 1 1 1 ΜΕ 1 1 1 1 1 ΡΕ ΜΕ 1 1 p p + 2y p 2y2 2λ = =- =- 2px -p p(2x -p) 2x -p 0- 2y p-2xp -x 2x -p2 2λ = = = 0-y -y 2y 2y 2x -p λ × λ =- × =-1 και ΡΕ 2x -p 2y 2 2 1 1 2 2 1 2 2 2 Δινονται οι παραβολες c :x = 2p y, c :y = 2p x με p p = 4 και η ευθεια ε:| α | ×x+| β | ×y= α × β με α 0 και β 0. Αν η ευθεια ε διερχεται απ'τις εστιες των παραβολων 1 2 c και c , να δειξετε οτι α || β . Α π α ν τ η σ η 1 1 2 2 2 2 2 2 p Α Ε δηλαδη Α 0, 2 p B Ε δηλαδη B ,0 2 Ομως α β α β Για x= 0 η (ε) γινεται:y= Α 0, | α | | α | α β α β Για y= 0 η (ε) γινεται:x= B ,0 | β | | β | Eτσι απ'τα παραπανω: ΑΣΚΗΣΗ 35 (ΘΕΩΡΗΤΙΚΗ)
  • 163.
    Ε π αν α λ η ψ η 163 Τακης Τσακαλακος Κερκυρα 2018 1 2 2 πολλαπλασιαζω 1 2 1 2 2καταμελη 2 2 2 2 2 p α β = 2 | α | p p p pα β α β α β = = 2 2 4| α |p | β | | α || β |α β = 2 | β | 4 = συν ( α, β) συν ( α, β)= 1 συν( α, β)=±1 4 Διακρινουμε περιπτωσεις: συν( α, β)=-1 ( α, β)= π α β συν( α, β)=1 ( α, β)= 0 α β Αρα σε καθε περιπτωση α || β . Δειξτε οτι oι εφαπτομενες της ελλειψης στα ακρα μιας διαμετρου της (το ευθ.τμημα που διερχεται απ'το κεντρο της ελλειψης με ακρα πανω στην ελλειψη) ειναι παραλληλες. Α π α ν τ η σ η Εστω ΑΒ μια διαμετρος της ελλειψης. Οι ε, ε΄ εφαπτομενες με εξισωσεις: 2 1 1 1 12 2 2 1 2 2 2 2 22 2 2 2 x y β × x × x+ × y= 1 με λ =- (1) α β α × y x y β × x × x+ × y= 1 με λ =- (2) α β α × y Η ευθεια ΑΒ εχει εξισωση: y = λ ∙ x 1 1 1 2 1 22 2 Α ΑΒ y = λx y y = (3) x xB ΑΒ y = λx Απο (1), (2) και (3) προκυπτει οτι λ 1 = λ 2 που σημαινει οτι ε||ε’ . ΑΣΚΗΣΗ 36 (ΘΕΩΡΗΤΙΚΗ)
  • 164.
    Κ ω νι κ ε ς Τ ο μ ε ς164 Τακης Τσακαλακος Κερκυρα 2018 22 0 02 2 yx Εστω η ελλειψη c: + = 1 και σημειο της Ρ(x ,y ). Oι εφαπτομενες α β απ'το σημειο Ρ προς την c εφαπτονται σ'αυτην στα σημεια Α και Β. Να αποδειξετε οτι η εξισωση της 0 0 2 2 ευθειας ΑΒ ειναι της μορφης: x × x y × y + = 1 α β Α π α ν τ η σ η Εστω Α(x1 ,y1 ), B(x2 ,y2 ) τα σημεια επαφης. Οι εφαπτομενες ΡΑ και ΡΒ εχουν εξισω - σεις: 1 1 2 2 2 2 2 2 x × x y × y x × x y × y + =1 και + =1 α β α β To σημειο Ρ(x0 ,y0 ) ειναι σημειο των ΡΑ και ΡΒ, οποτε επαληθευει τις εξισωσεις τους. Δηλαδη 1 0 1 0 2 0 2 0 2 2 2 2 x × x y × y x × x y × y + =1 και + =1 α β α β Απ’τις πιο πανω εξισωσεις προκυπτει οτι οι συντεταγμενες των σημειων Α και Β επα - ληθευουν την εξισωση : 0 0 2 2 x x y y + =1 α β . Αρα η ζητουμενη 0 0 2 2 x x y y + = 1 α β Δειξτε οτι το γινομενο των αποστασεων των εστιων μιας ελλειψης, απο μια τυχαια εφαπτομενη της, ειναι σταθερο. Α π α ν τ η σ η 22 2 2 1 1 1 1 2 2 yx Εστω η ελλειψη c: + = 1 με Ε'(-γ,0), Ε(γ,α) α β Η εφαπτομενη της c στο Μ(x ,y ) ε εχει εξισωση: xx yy + -1= 0 α β ΑΣΚΗΣΗ 37 (ΘΕΩΡΗΤΙΚΗ) ΑΣΚΗΣΗ 38 (ΘΕΩΡΗΤΙΚΗ)
  • 165.
    Ε π αν α λ η ψ η 165 Τακης Τσακαλακος Κερκυρα 2018 1 1 1 2 2 2 1 2 2 2 2 1 1 1 1 4 4 4 4 1 1 1 2 2 2 2 2 2 2 2 1 1 1 1 4 4 4 4 2 2 2 1 1 1 2 2 2 x γx 0× y γx+ -1 -1 α β α d = d(E,ε)= = x y x y + + α β α β -γx 0× y γx+ -1 - -1 α β α d = d(E',ε)= = x y x y + + α β α β x y y + = 1 = α β 1- β 4 2 2 2 42 2 11 1 1 2 2 4 1 2 22 2 2 11 1 1 44 1 2 22 11 2 244 4 α γ x -αγx γx γ x β -1 - -1 -1 αα α α d × d = × = = xx y x ++ y + αα x 1 1 α - α ββ 2 2 2 4 1 4 x (β -α )+α α 2 2 2 2 2 2 2 2 2 4 1 β -α =-γ 2 2 2 2 42 2 2 4 x α και γ <α 11 2 2 4 γ x -α <0 1 = β β (-γ x +α )β γ x -α = = -x γ +α 2 2 4 1 -x γ +α 2 = β 22 2 2 2 Δειξτε οτι ο λογος των αποστασεων τυχαιου σημειου Μ μιας ελλειψης yx α c: + = 1 απ'την εστια Ε και την ευθεια δ: x= ειναι ισος με την α β γ εκκεντροτητα της ελλειψης. Α π α ν τ η σ η 2 2 1 1 2 1 2 12 2 2 2 1 1 2 1 ( )= (x -γ) +y α -x γ α d(M,δ)= -x γ1 +0 Αρκει να ισχυει (x -γ) +y(ΜΕ) γ = ε = αd(M,δ) α -x γ Πραγματι ΑΣΚΗΣΗ 39 (ΘΕΩΡΗΤΙΚΗ)
  • 166.
    Κ ω νι κ ε ς Τ ο μ ε ς166 Τακης Τσακαλακος Κερκυρα 2018 2 2 2 2 2 2 2 1 1 1 1 2 2 2 1 1 α α (x -2γx +γ +y )= γ -x γ α x - 2α γx 2 2 2 2 4 2 1 1 +α γ +α y = α - 2α γx 2 2 2 α -β =γ 2 2 1 2 2 2 2 2 2 2 4 2 2 2 1 1 1 2 2 4 1 +γ x α x +α (α -β )+α y = α +(α -β )x α x +α 2 2 2 2 4 2 2 1 1 -α β +α y = α +α x 2 2 2 2 2 2 2 2 1 1 1 1 1 -β x β x +α y = α β , που αληθευει, αφου Μ(x ,y ) c 22 2 2 yx Δινεται η ελλειψη c: + = 1. Ηκαθετη στην εφαπτομενη της ελλειψης α β στο τυχαιο σημειο Κ, τεμνει τους αξονες x'x, y'y στα σημεια Α και Βαντι- στοιχα. Να βρειτε το γεωμετρικο τοπο του μεσου Μ του τμηματος ΑΒ. Α π α ν τ η σ η Κ 1 1 2 1 1 1 εΚ 2 2 2 1 Κ Εστω Κ(x ,y ) H εξισωση της εφαπτομενης της ελλειψης στο σημειο Κ: xx yy β x ε : + = 1 με λ =- α β α y Αν ε η καθετη στη στην εφαπτομενη ε : λ ΚΚ 2 1 εε ε 2 1 ε1 1 2 1 1 12 1 α y λ =λ =-1 β x ε ε: y-y = λ (x-x ) α y ε: y-y = (x-x ) (1) β x 2 21 1 1 1 12 1 H (1) για y= 0 γινεται: α y 0-y = (x-x ) -β x y β x 2 1 = α y 2 1 x-α y 2 2 1 1 2 2 2 1 2 (α -β )x x x= α (α -β )x Δηλαδη η ε τεμνει τον αξονα x'x στο σημειο Α ,0 α ΑΣΚΗΣΗ 40 (ΘΕΩΡΗΤΙΚΗ)
  • 167.
    Ε π αν α λ η ψ η 167 Τακης Τσακαλακος Κερκυρα 2018 2 21 1 1 12 1 H (1) για x= 0 γινεται: α y y-y = (0-x ) β x β x 2 1 y-β x 2 1 1 1 y =-α y x 2 2 1 2 2 2 1 2 2 2 1 2 2 2 1 2 2 2 1 2 (β -α )y y= β (β -α )y Δηλαδη η ε τεμνει τον αξονα y'y στο σημειο B 0, β (α -β )x +0 (α -β )xαx= x= Eστω Μ(x,y) 2 2α (β -α )y (βΜ μεσο ΑΒ 0+ y= β y= 2 2 2 2 2 1 2 α -β =γ 2 2 2 1 12 2 22 22 4 24 2 2 22 2 4 4(2) 1 1 2 2 2 2 2 2 22 4 2 4 2 4 4 2α x x = γ (2) -α )y 2β y y =- 2β γ 2β y2α x 4β y4α x - γ γx y γ γ K c + = 1 + = 1 + = 1 α β α β α β yx + = γ α γ β 4α 4β 22 4 4 2 4 yx 1 + = 1 (3) 4α 4β Αρα ο ζητουμενος γεωμετρικος τοπος ειναι η ελλειψη (3). 22 2 2 2 2 yx + = 1 γ γ 2α 2β 1 1 2 2 2 2 2 2 1 1 Δειξτε οτι το γινομενο των αποστασεων ενος σημειου Μ(x ,y ) απο τις ασυμπτωτες της υπερβολης c: β × x -α × y = α × β , ειναι σταθερο. Α π α ν τ η σ η Oι ασυμπτωτες της υπερβολης εχουν εξισωσεις: 1 2 1 2 1 1 1 2 1 1 1 2 2 2 2 2 2 2 β β ε : y= × x και ε : y=- × x η ισοδυναμα α α ε : β× x-α× y= 0 και ε :β× x+α× y= 0 Ετσι οι αποστασεις του Μ(x ,y ) απ'τις ε ,ε : | β× x -α× y | d(M,ε )= , α +β | β× x +α× y | d(M,ε )= α +β ΑΣΚΗΣΗ 41 (ΘΕΩΡΗΤΙΚΗ)
  • 168.
    Κ ω νι κ ε ς Τ ο μ ε ς168 Τακης Τσακαλακος Κερκυρα 2018 2 2 2 2 1 1 1 2 2 2 2 2 2 2 2 2 1 1 2 2 2 2 1 2 2 2 2 2 Αρα, | β × x -α × y | d(M,ε )× d(M,ε )= (1) α +β Ομως Μ c, oποτε β x -α y = α β (2) Aπο (1),(2): | α × β | α × β d(M,ε )× d(M,ε )= = , που ειναι σταθερο. α +β α +β 1 1 2 2 2 2 2 2 1 1 Δειξτε οτι το γινομενο των αποστασεων ενος σημειου Μ(x ,y ) απο τις ασυμπτωτες της υπερβολης c: β × x -α × y = α × β , ειναι σταθερο. Α π α ν τ η σ η 1 1 2 2 2 1 1 2 2 2 2 2 2 2 1 1 2 2 1 1 2 11 ( Eστω Μ(x ,y ) Μ c x -y = α (1) γ =α +α γ =2α γ=α 2 Ε'(-α 2,0) και Ε'(α 2,0) (Ε'Μ)= (x +α 2) +y = x +2 2αx +2α +y = ) 2 2 1 1 2 2 2 1 1 1 2 2 2 1 1 1 2 2 2 2 2 2 1 1 1 1 2 2 2 2 1 1 1 x +2 2αx +2α + = = 2x +2 2αx +α = ( 2x +α) (ΕΜ)= (x -α 2) +y =... = ( 2x -α) (ΟΜ)= x +y (ΟΜ) =( x +y ) (Ε'Μ)(ΕΜ)=(Ε'Μ)(ΕΜ)= - ( 2x +α) ( 2x +α) x α 2 2 2 1 2 2 2 2 2 2 2 2 (1) 1 1 1 1 2 22 2 22 2 11 11 (2x -α ) (ΟΜ) =( x +y ) (ΟΜ) =( x +y ) (Ε'Μ)(ΕΜ)=( x + )(Ε'Μ)(ΕΜ)= (x +x -α ) y 2 (ΟΜ) =(Ε'Μ)(ΕΜ) ΑΣΚΗΣΗ 42 (ΘΕΩΡΗΤΙΚΗ)
  • 169.
    Ε π αν α λ η ψ η 169 Τακης Τσακαλακος Κερκυρα 2018 2 2 2 2 2 2 Δειξτε οτι το εμβαδον του τριγωνου ΟΑΒ ειναι σταθερο, οπου Α, Β τα σημεια τομης μιας εφαπτομενης της υπερβολης c: β × x -α × y = α × β με τις ασυμπτωτες της και Ο το κεντρο της υπερβολης c. Α π α ν τ η σ η Oι ασυμπτωτες της υπερβολης εχουν εξισωσεις: 1 2 β β ε : y= x και ε : y=- x Εστω A το σημειο τομης της εφαπτομενης ε και της ασυμπτωτης ε1 και B το σημειο τομης της ε και της ασυμπτωτης ε2 . Αν Μ(x1 ,y1 ) τοτε : 2 2 2 2 1 1 β x x-α y y= α β .  A ε και A ε1 οποτε: 2 2 2 2 1 1 2 22 2 2 2 1 1 1 11 1 2 2 2 1 1 2 1 1 1 1 1 1 β x x-α y y= α β β y= x β βx x-αy x= α β (βx -αy )x= α ββ x x-α y x= α β β β β y= x y= x y= x α β x= βx -αy α β αβ , βx -αy βx -αyαβ y= βx -αy  Ομοια, B ε και Β ε2 οποτε: 2 2 2 2 2 2 2 2 1 1 1 1 2 2 1 1 1 1 β β x x-α y y= α β β x x-α y - x= α β α β αβα ... ,-β βx +αy βx +αyβy=- x y= x Ετσι 2 2 1 1 1 1 2 2 1 1 1 1 α β αβ βx -αy βx -αy1 1 = det(OΑ OΒ)= | |= α β αβ2 2 - βx +αy βx +αy (ΟΑΒ) ΑΣΚΗΣΗ 43 (ΘΕΩΡΗΤΙΚΗ)
  • 170.
    Κ ω νι κ ε ς Τ ο μ ε ς170 Τακης Τσακαλακος Κερκυρα 2018 2 2 2 2 2 2 1 1 3 3 3 3 2 2 2 2 2 2 2 2 1 1 1 1 3 3 3 3 3 3β x -α y =α β 2 2 2 2 2 2 2 2 2 2 1 1 1 1 α β α β1 = |- - |= 2 β x -α y β x -α y 2α β α β α β1 = = = = 2 β x -α y β x -α y α β αβ 2 2 2 2 2 2 1 1 Δειξτε οτι το εμβαδον του παραλληλογραμμου, που σχηματιζουν οι ασυμπτωτες της υπερβολης c: β × x -α × y = α × β και οι παραλληλες προς αυτες απο τυχαιο σημειο Μ(x ,y ), ειναι σταθερο. Α π α ν τ η σ η 1 2 2 2 2 2 2 2 1 1 2 1 1 1 1 β β ε : y= × x και ε : y=- × x α α Μ c β × x -α × y = α × β (1) ΜA|| ε β : y-y =- (x-x ) η αΜ MA β : y= y - (x-x ) α Το A ειναι το σημειο τομης τ 1 1 1 1 1 1 1 1 1 1 1 1 1 1 1 11 1 ων ΜΑ και ε . Ετσι β β y= × x y= × x Α ε α α β 2β βΑ MA y= y - ×(x-x ) × x= y + × x α α α αy +βxβ αy +βx y= × y= α 2β 2α αy +βx αy +βx Α , αy +βx 2β 2ααy +βx x=x= 2β2β 1 1 1 1 1 1 Ειναι αy +βx αy +βx OA= , OΜ=(x ,y ) και 2β 2α 1 1 1 1 1 1 1 1 αy +βx αy +βx 1 = 2(ΟΑΜ)= 2× ×| det(OA,OM)|=| |=2β 2α 2 x y αβx y =| (ΟΑΜΒ) 2 2 2 2 1 1 1 1 +α y -β x - αβx y 2 2 2 2 2 2(1) 1 1 α y -β x -α β |=| |=| |= 2αβ 2αβ 2αβ αβ 2 ΑΣΚΗΣΗ 44 (ΘΕΩΡΗΤΙΚΗ)
  • 171.
    Ε π αν α λ η ψ η 171 Τακης Τσακαλακος Κερκυρα 2018 22 2 2 yx Εστω η υπερβολη c: - = 1. Η καθετη ευθεια ε σε μια ασυμπτωτη της, a β που διερχεται απο μια εστια της, εφαπτεται του κυκλου (Ο,α). Α π α ν τ η σ η Εστω ΕΜ καθετη στην ασυμπτωτη 1 β ε : y= x α Τοτε 2 2 2 γ =α +β 1 2 2 2 | β× γ-α× 0| | β× γ| (ΕΜ)= d(M,ε )= = α +β γ | β| | γ| = | γ| 2 2 2 2 2 = | β|= β Αρα (ΕΜ)= β και αφου (ΟΕ)= γ, απ'το Πυθα- γορειο θεωρημα στο τριγωνο ΟΜΕ εχουμε: (ΟΜ)= (ΟΕ) -(ΕΜ) = γ -β = =| α|= α Αρα, η καθετη απ’την Ε στην ασυμπτωτη ε1 , εφαπτεται του κυκλου (Ο,α) 2 2 2 2 2 2 2 2 2 2 Εστω η ευθεια ε: y= λx+μ και η υπερβολη c: β x -α y = α β .Δειξτε οτι η ευθεια ε εφαπτεται στην υπερβολη c, αν και μονο αν μ = λ α -β . Α π α ν τ η σ η 2 2 2 2 2 2 2 2 2 2 2 2 2 2 2 2 2 Λυνουμε το συστημα των (ε) και (c): β x -α y = α β ` y= λx+μ β x -α (λx+μ) = α β ` y= λx+μ β x -(αλx+αμ) = α β ` y= λx+μ ΑΣΚΗΣΗ 45 (ΘΕΩΡΗΤΙΚΗ) ΑΣΚΗΣΗ 46 (ΘΕΩΡΗΤΙΚΗ)
  • 172.
    Κ ω νι κ ε ς Τ ο μ ε ς172 Τακης Τσακαλακος Κερκυρα 2018 2 2 2 2 2 2 2 2 2 2 2 2 2 2 2 2 2 2 β x -α λ x -2α λμx-α μ = α β y= λx+μ (β -α λ )x -2α λμx-α (μ +β )= 0(1) y= λx+μ Για να εφαπτεται η (ε) στη (c) πρεπει το πιο πανω συστημα να εχει μια μονο λυση, 2 2 2 2 2 2 2 2 4 2 2 δηλαδη η (1) να εχει μοναδικη ριζα που σημαινει οτι: Δ= 0 (-2α ) -4(β -α λ )[-α (μ +β )]= 0 4α 2 2 2 2 4 4 2 2 +4β α μ +4α β - 4α λ μ 4 2 2 2 2 2 2 2 2 2 2 2 2 -4α λ β = 0 4α β (μ +β -α λ )= 0 μ +β -α λ = 0 2 2 2 2 μ = α λ -β 2 2 2 2 2 2 Δειξτε οτι το εμβαδον του τριγωνου ΟΑΒ ειναι σταθερο, οπου Α, Β τα σημεια τομης μιας εφαπτομενης της υπερβολης c: β × x -α × y = α × β με τις ασυμπτωτες της και Ο το κεντρο της υπερβολης c. Α π α ν τ η σ η 1 1 1 1 1 1 1 1 1 1 1 Κ(x ,y ) το ιχνος της καθετης KE στην ασυμπτωτη ε β β ε : y= x Κ ε Κ x , x α α β β ΟΚ= x , x ΕΚ= x -γ, x α α 1 2 2 2 1 1 1 1 1 1 12 2 2 2x 0 2 2 1 1 1 1 1 1 12 2 2 2 2 α 12 Ειναι ΟΚ ΕΚ ΟΚ ΕΚ= 0 β β β x , x x -γ, x = 0 x -γx + x = 0 α α α β β β x -γx + x = 0 x (x -γ+ x )= 0 1+ x = γ α α α α +β x = γ α 2 2 2 2 2 2 2 2+β =γ 1 12 γ β αβα α α α x = γ x = , , α γ γ α γ γ γ ΑΣΚΗΣΗ 47 (ΘΕΩΡΗΤΙΚΗ)
  • 173.
    Ε π αν α λ η ψ η 173 Τακης Τσακαλακος Κερκυρα 2018 2 2 2 2 22 2 2 2 24 α +β =γ 2 2 2 α γα β α (α +β )α (ΟΚ)= + (ΟΚ)= (ΟΚ)= γ γ γ~ (ΟΑ)= α (ΟΑ)= α 2 γ 2 2 22 2 22 2 α +β =γ 1 1 (ΟΚ)= α (ΟΑ)= α (ΟΑ)= α (ΟΚ)=(ΟΑ)= α που σημαινει οτι το τριγωνο ΚΟΑ ειναι ισοσκελες. β β α -γ αβ -β αβα α ΕΚ= x -γ, x = -γ, = , = , α γ α γ γ γ γ γ 2 2 2 2 22 2 2 2 4 2 2 2 2 2 α +β =γ 2 2 2 2 Αρα β γ(-β ) α β β +α β β (β +α ) = + = = = γ γ γ γ (ΕΚ) 2 γ = β
  • 175.