Chapter 2
Limits and Continuity
2.1 Limit of a Function
  3x,3xxf 
2
9
( )
3
x
f x
x



32 4
6
5
7
  3x,3xxf 
6
3
2
9
( )
3
x
f x
x



2 4
5
7
  3x,3xxf 
6
3
2
9
( )
3
x
f x
x



2 4
5
7
  3x,3xxf 
6
3
2
9
( )
3
x
f x
x



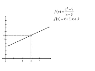
 3
lim 6
x
f x


The limit as x approaches
3 of f(x) 6.
2 4
5
7
As x approaches 3, f(x)
approaches 6.
Limit of a Function (an intuitive definition)
Let f be a function defined on some open interval
containing a except possibly at a itself. Then, the
limit of f as x approaches a is L, written as
 lim
x a
f x L


if f(x) gets closer and closer to one and only one
number L as x takes the values that are closer to a.
Limit of a Function (an intuitive definition)
To say that means that: lim
x a
f x L


The distance (or difference, to be more specific)
between f(x) and L can be made arbitrarily small
by requiring that x be sufficiently close to but
different from a.
Remark: The small distances (or differences)
stated above must be quantified to have a more
precise definition of limit.
Limit of a Function
Let and be positive real numbers,
i.e. 0 and 0. 
 
 
Think and as small positive numbers. 
“the distance between f(x) and L can be made
arbitrarily small”:
 f x L     f x L    
 L f x L    
Limit of a Function
Let and be positive real numbers,
i.e. 0 and 0. 
 
 
Think and as small positive numbers. 
“x be sufficiently close to but different from a”:
0 x a    wherea x a x a     
Limit of a Function
 
Let be a function defined on some open interval
containing , except possibly at .
The of the function as approaches is ,
written as lim ,
if for every
lim
0, there exists a 0,
it
x a
f
a a
x a L
f x L
 


 
 
such that
if 0 , then .x a f x L     
Example
 
 
 
2
0
2
Given 4 , find the following limits.
1. lim 4
2. lim 0
x
x
f x x
f x
f x


 


-3 -2 -1 1 2 3
-1
1
2
3
4
5
x
y
Proving Limits of a Function
 
 
To prove that lim .
i. Verify that is defined on some open interval
containing , except possibly at .
ii. Consider a positive epsilon ( 0).
iii. Find an expression for such that
whene
x a
f x L
f
a a
f x L






 
 
ver 0 .
iv. Show that if 0 then .
v. Form a conclusion.
x a
x a f x L

 
  
    
Example
 
 
 
 
3
Prove using the definition that lim 2 1 5.
Preliminary Analysis.
We want such that if then .
2 1 5 2 3
2 6 3
2
2 3 Choose .
2
x
x
x a f x L
x x
x x
x
  
 



 

 
   
    
   
  
 
Proof.
i. Since the function is a polynomial function,
it is defined on any open interval containing 3.
ii. Let 0.
iii. Choose .
2
iv. If 0 3 , then 3
2
2 3
2 6
2 1 5
x x
x
x
x










    
 
 
  
 3
v. Therefore, lim 2 1 5.
x
x

 
Example
 
 
   
 
 
 
1
Prove using the definition that lim 4 3 7.
Preliminary Analysis.
We want such that if then .
4 3 7 3 1
3 3 1
3
3 1 Choose .
3
3 1
x
x
x a f x L
x x
x x
x
x
  
 



 


 
   
     
     
   
   
 
Proof.
i. Since the function is a polynomial function,
it is defined on any open interval containing 1.
ii. Let 0.
iii. Choose .
3
iv. If 0 1 , then 1
3
3 1
3 1
3 3
x x
x
x
x











     
 
  
  
 
 1
3 3
4 3 7 .
v. Therefore, lim 4 3 7.
x
x
x
x



  
  
 
Challenge!
 Given 0, prove that lim .
x a
m mx b ma b

   

Limit and continuity (2)

  • 1.
  • 2.
    2.1 Limit ofa Function
  • 3.
      3x,3xxf 2 9 ( ) 3 x f x x    32 4 6 5 7
  • 4.
      3x,3xxf 6 3 2 9 ( ) 3 x f x x    2 4 5 7
  • 5.
      3x,3xxf 6 3 2 9 ( ) 3 x f x x    2 4 5 7
  • 6.
      3x,3xxf 6 3 2 9 ( ) 3 x f x x     3 lim 6 x f x   The limit as x approaches 3 of f(x) 6. 2 4 5 7 As x approaches 3, f(x) approaches 6.
  • 7.
    Limit of aFunction (an intuitive definition) Let f be a function defined on some open interval containing a except possibly at a itself. Then, the limit of f as x approaches a is L, written as  lim x a f x L   if f(x) gets closer and closer to one and only one number L as x takes the values that are closer to a.
  • 8.
    Limit of aFunction (an intuitive definition) To say that means that: lim x a f x L   The distance (or difference, to be more specific) between f(x) and L can be made arbitrarily small by requiring that x be sufficiently close to but different from a. Remark: The small distances (or differences) stated above must be quantified to have a more precise definition of limit.
  • 9.
    Limit of aFunction Let and be positive real numbers, i.e. 0 and 0.      Think and as small positive numbers.  “the distance between f(x) and L can be made arbitrarily small”:  f x L     f x L      L f x L    
  • 10.
    Limit of aFunction Let and be positive real numbers, i.e. 0 and 0.      Think and as small positive numbers.  “x be sufficiently close to but different from a”: 0 x a    wherea x a x a     
  • 11.
    Limit of aFunction   Let be a function defined on some open interval containing , except possibly at . The of the function as approaches is , written as lim , if for every lim 0, there exists a 0, it x a f a a x a L f x L         such that if 0 , then .x a f x L     
  • 12.
    Example      2 0 2 Given 4 , find the following limits. 1. lim 4 2. lim 0 x x f x x f x f x       -3 -2 -1 1 2 3 -1 1 2 3 4 5 x y
  • 13.
    Proving Limits ofa Function     To prove that lim . i. Verify that is defined on some open interval containing , except possibly at . ii. Consider a positive epsilon ( 0). iii. Find an expression for such that whene x a f x L f a a f x L           ver 0 . iv. Show that if 0 then . v. Form a conclusion. x a x a f x L           
  • 14.
    Example        3 Prove using the definition that lim 2 1 5. Preliminary Analysis. We want such that if then . 2 1 5 2 3 2 6 3 2 2 3 Choose . 2 x x x a f x L x x x x x                             
  • 15.
      Proof. i. Sincethe function is a polynomial function, it is defined on any open interval containing 3. ii. Let 0. iii. Choose . 2 iv. If 0 3 , then 3 2 2 3 2 6 2 1 5 x x x x x                        3 v. Therefore, lim 2 1 5. x x   
  • 16.
    Example              1 Prove using the definition that lim 4 3 7. Preliminary Analysis. We want such that if then . 4 3 7 3 1 3 3 1 3 3 1 Choose . 3 3 1 x x x a f x L x x x x x x                                      
  • 17.
      Proof. i. Sincethe function is a polynomial function, it is defined on any open interval containing 1. ii. Let 0. iii. Choose . 3 iv. If 0 1 , then 1 3 3 1 3 1 3 3 x x x x x                             1 3 3 4 3 7 . v. Therefore, lim 4 3 7. x x x x           
  • 18.
    Challenge!  Given 0,prove that lim . x a m mx b ma b     