CHAPTER 3
FUNCTIONS AND GRAPHS
3.1 Basic concept of functions
• The most useful mathematical idea for modeling the real world is
the concept of function.
• Example: If a rock climber drops a stone from a high cliff, what
happens to the stone? Generally the stone will fall; how far it has
fallen at any given moment depends upon how long it has been
falling; but it doesn’t tell us exactly when the stone will hit the
ground. Of course it has a rule that relates the position of the stone
to the time it has fallen. The “rule” for finding the distance in term
of time is called a function. To understand this rule of function
better, we can make a table of values or draw a graph.
• Why function are important?
- Physicist finds the “rule” of function that relates distance fallen to
elapsed time, the she can predict when a missile will hit the ground.
- Biologist finds the function or “rule” that relates the number of
bacteria in a culture to the time, then he can predict the number of
bacteria for some future time.
- Farmer knows the function or “rule” that relates the yield of
apples to the number of trees per acre, then he can decide how
many trees per acre to plant, to minimize the yield.
Function all around us
• In every physical phenomenon, one quantity always depends on
another.
• Example:
- your height depends on your age.
- the temperature depends on the time.
- cost mailing a package depends on its weight.
• “Function” is the term that can describe this dependence of one
quantity on another.
• Example:
- Height is a function of age.
- Temperature is a function of date.
- Cost mailing a package is a function of weight.
- The area of a circle is a function of its radius
- The number of bacteria in a culture is a function of time.
- The weight of an astronaut is a function of her elevation.
- Temperature of water from faucet is a function of time
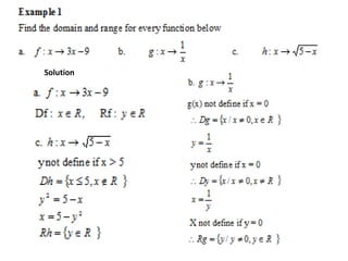
Definition of function
• A function f is a rule that assigns to each element x in
a set A exactly one element, called f(x), in set B.
• Any relationship which takes one element of a first
set and assigns to it one and only one element of a
second set.
• The first set is said to be the domain of the function
and the second set is the co-domain.
• Each element of the first set is mapped onto its
image in the second set.
• The set of all images will be a subset of the co-
domain and called the range.
Type of functions and relations
Solution
3.2 Graph of Functions
• Type of functions with its general equation and graph.
Guidelines for graphing quadratic functions
• Zeros. Factor the function to find all its real
zeros; these are the x-intercepts of the graph.
• Test points. Find the y-intercept for the function
by letting x=0.
• End behavior. Determine the end behavior of
the function by letting x→±∞.
• Extreme points: Find the maximum and
minimum value of the function (if any).
• Graph. Plot the intercepts and other points you
found above. Sketch a smooth curve that passes
through these points and exhibits the required
end behavior.
b.
Guidelines for graphing polynomial functions
• Zeros. Factor the polynomial to find all its real
zeros; these are the x-intercepts of the graph.
• Test points. Make a table of values for
polynomial. Include test points to determine
whether the graph of polynomial lies above or
below the x-axis on the intervals determined by
the zeros. Include the y-intercept in this table.
• End behavior. Determine the end behavior of
the polynomial.
• Graph. Plot the intercepts and other points you
found in the table. Sketch a smooth curve that
passes through these points and exhibits the
required end behavior.
Guidelines for graphing rational functions
• Factor. Factor the numerator and denominator.
• Intercept. Find the x-intercept by determining the zeros of
the numerator, and the y-intercept from the value of the
function at x=0
• Vertical asymptotes. Find the vertical asymptotes by
determining the zeros of the denominator, and then see if
y→+∞ or y→-∞ on each side of every vertical asymptote
by using test values.
• Horizontal asymptote. Find the horizontal asymptote (if
any) by dividing both numerator and denominator by
highest power of x that appears in the denominator, and
then letting x→±∞.
• Sketch the graph. Graph the information provided by the
first hour steps. Then plot as many additional points as
needed to fill in the rest of the graph of the function.
Asymptotes of rational functions
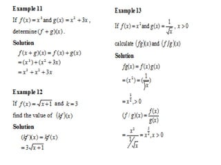
3.3 Combining functions
Algebra of functions
Composition of functions
3.4 One-to-one functions and their inverse
3.5 Modeling with functions
• Guidelines for modeling with functions
 Express the model in words. Identify the quantity you
want to model and express it, in words, as a function of
the other quantities in a problem.
 Choose the variable. Identify all the variables used to
express the function in Step 1. Assign a symbol, such as
x, to one variable and express the function the other
variables in terms of this symbol.
 Set up the model. Express the function in the language
of algebra by writing it as a function of the single variable
chosen in Step 2.
 Use the model. Use the function to answer the questions
posed in the problem.
Modeling with quadratic functions
Modeling with quadratic functions
Modeling with quadratic functions
Modeling with quadratic functions
Modeling: Fitting Polynomial Curve
Rainfall and crop yield
Modeling: Fitting Polynomial Curve
Modeling: Fitting Polynomial Curve
Length-at-Age Data for fish
Modeling: Fitting Polynomial Curve
Modeling with rational functions
The rabbit population is asymptotically to 3000 as t increases.

Function and graphs

  • 1.
  • 2.
    3.1 Basic conceptof functions • The most useful mathematical idea for modeling the real world is the concept of function. • Example: If a rock climber drops a stone from a high cliff, what happens to the stone? Generally the stone will fall; how far it has fallen at any given moment depends upon how long it has been falling; but it doesn’t tell us exactly when the stone will hit the ground. Of course it has a rule that relates the position of the stone to the time it has fallen. The “rule” for finding the distance in term of time is called a function. To understand this rule of function better, we can make a table of values or draw a graph. • Why function are important? - Physicist finds the “rule” of function that relates distance fallen to elapsed time, the she can predict when a missile will hit the ground. - Biologist finds the function or “rule” that relates the number of bacteria in a culture to the time, then he can predict the number of bacteria for some future time. - Farmer knows the function or “rule” that relates the yield of apples to the number of trees per acre, then he can decide how many trees per acre to plant, to minimize the yield.
  • 3.
    Function all aroundus • In every physical phenomenon, one quantity always depends on another. • Example: - your height depends on your age. - the temperature depends on the time. - cost mailing a package depends on its weight. • “Function” is the term that can describe this dependence of one quantity on another. • Example: - Height is a function of age. - Temperature is a function of date. - Cost mailing a package is a function of weight. - The area of a circle is a function of its radius - The number of bacteria in a culture is a function of time. - The weight of an astronaut is a function of her elevation. - Temperature of water from faucet is a function of time
  • 4.
    Definition of function •A function f is a rule that assigns to each element x in a set A exactly one element, called f(x), in set B. • Any relationship which takes one element of a first set and assigns to it one and only one element of a second set. • The first set is said to be the domain of the function and the second set is the co-domain. • Each element of the first set is mapped onto its image in the second set. • The set of all images will be a subset of the co- domain and called the range.
  • 5.
    Type of functionsand relations
  • 6.
  • 9.
    3.2 Graph ofFunctions • Type of functions with its general equation and graph.
  • 13.
    Guidelines for graphingquadratic functions • Zeros. Factor the function to find all its real zeros; these are the x-intercepts of the graph. • Test points. Find the y-intercept for the function by letting x=0. • End behavior. Determine the end behavior of the function by letting x→±∞. • Extreme points: Find the maximum and minimum value of the function (if any). • Graph. Plot the intercepts and other points you found above. Sketch a smooth curve that passes through these points and exhibits the required end behavior.
  • 15.
  • 16.
    Guidelines for graphingpolynomial functions • Zeros. Factor the polynomial to find all its real zeros; these are the x-intercepts of the graph. • Test points. Make a table of values for polynomial. Include test points to determine whether the graph of polynomial lies above or below the x-axis on the intervals determined by the zeros. Include the y-intercept in this table. • End behavior. Determine the end behavior of the polynomial. • Graph. Plot the intercepts and other points you found in the table. Sketch a smooth curve that passes through these points and exhibits the required end behavior.
  • 18.
    Guidelines for graphingrational functions • Factor. Factor the numerator and denominator. • Intercept. Find the x-intercept by determining the zeros of the numerator, and the y-intercept from the value of the function at x=0 • Vertical asymptotes. Find the vertical asymptotes by determining the zeros of the denominator, and then see if y→+∞ or y→-∞ on each side of every vertical asymptote by using test values. • Horizontal asymptote. Find the horizontal asymptote (if any) by dividing both numerator and denominator by highest power of x that appears in the denominator, and then letting x→±∞. • Sketch the graph. Graph the information provided by the first hour steps. Then plot as many additional points as needed to fill in the rest of the graph of the function.
  • 19.
  • 24.
  • 26.
  • 29.
    3.4 One-to-one functionsand their inverse
  • 32.
    3.5 Modeling withfunctions • Guidelines for modeling with functions  Express the model in words. Identify the quantity you want to model and express it, in words, as a function of the other quantities in a problem.  Choose the variable. Identify all the variables used to express the function in Step 1. Assign a symbol, such as x, to one variable and express the function the other variables in terms of this symbol.  Set up the model. Express the function in the language of algebra by writing it as a function of the single variable chosen in Step 2.  Use the model. Use the function to answer the questions posed in the problem.
  • 33.
  • 34.
  • 35.
  • 36.
  • 37.
    Modeling: Fitting PolynomialCurve Rainfall and crop yield
  • 38.
  • 39.
    Modeling: Fitting PolynomialCurve Length-at-Age Data for fish
  • 40.
  • 41.
    Modeling with rationalfunctions The rabbit population is asymptotically to 3000 as t increases.