BASIC
CONCEPTS Dr. L.P. Raj Kumar
Department of Mathematics
Kakatiya University – Warangal – TS, INDIA
7/29/2022 1
7/29/2022
 Introduction
 Motivation
 Why to Study Continuous Functions
 Some Applications of Continuous Functions
 Contributors
 Definition and Examples on Limits
 Definition and Examples on Continuity of Functions
 Inverse Functions and Continuity
 Some Theorems and Examples on Continuity of Functions
 In Research Publications
 Definition and Examples on Uniform Continuity of Functions
 Some Theorems and Examples on Continuity of Functions
 8 Traits for 21st Century Teachers
2
Contents
2
Introduction
“Continuous” is just a mathematical term.
It’s not a tool or a process or an algorithm or a theorem. It’s just a word that
refers to a special type of function.
So it can’t really be “applied” any more than the word “blue” can be applied.
Theorems and algorithms can be applied, but definitions/terminology cannot.
7/29/2022 3
Motivation
It provides a natural way of understanding irrational exponents (or more generally, extend
a function defined on rational number to real number). how do you define 3√2 or 7π?
when we're first introduced exponential, we're taught ab means “a multiply b times"
when b is an integer. when b is a rational number, like 51/2, it's also not too hard to think
it's a positive number that "get 5 by multiplying itself". however it's very difficult to
explain what 7π means naturally. the easiest way to understand it is "that is a number
where this sequence 73,73.1,73.14,73.141,73.1415...... eventually get closed to.”
Continuous functions preserve limit of sequence. Any real number is a limit of a sequence
of rational numbers. Therefore, if f is a real value continuous function and we know it's
value on each rational number, we know f. In other words, continuous function f:R→R
can be uniquely determined by it's value on Q.
7/29/2022 4
Motivation
My attempt to answer the question:
I would argue that there are two main reasons to study continuity:
1. Continuous functions have "beautiful" properties like the intermediate value
property (for connected domains), the limit can be put inside the function,
compositions like sums and products of continuous functions are again
continuous etc.
2. In topology, continuous functions are exactly those functions which
preserve topological structures.
)
(
)
( n
n
n
n
x
Lim
f
x
f
Lim





7/29/2022 5
Why to Study Continuous Functions
If a function has a derivative, then it is continuous and thus continuity is
underlying every problem involving differentiation.
The ability to predict the world around us can be modeled by differential
equations, and you can’t solve any DE’s without continuous functions. They
are used in a wide variety of disciplines, from biology, economics, physics,
chemistry and engineering. They can describe exponential growth and
decay, the population growth of species or the change in investment return
over time.
7/29/2022 6
Why to Study Continuous Functions
But some models are not continuous: for example, if a call center is counting
the number of phone-ins they get each minute, and this is an integer-
valued function and it doesn’t really make sense for that to be continuous.
You would just have a grid of dots. But one can “interpolate” the data (i.e.
connect the dots) it with a continuous function, and then apply the
methods of calculus.
7/29/2022 7
Why to Study Continuous Functions
Another Application
Integration, which only works for continuous functions.
So any time you want to integrate something, you’d better be working with a
continuous function.
Since integrals are used for everything from mechanics to medical imaging to
deep learning, this it is an essential tool from calculus that you pretty much
need continuous functions to use effectively.
Area between curves, Distance, Velocity, Acceleration, Volume, Average value of a function,
Work, Probability, Surface Area
7/29/2022 8
Why to Study Continuous Functions
• Modeling and simulation of systems that change with time, such as flight of
airplanes, satellites, planets, etc.
• Physics equations such as Newton’s laws of motion, Einstein’s general
relativity, Maxwell’s equations for electrodynamics are naturally expressed
in calculus.
7/29/2022 9
Why to Study Continuous Functions
7/29/2022 10
Some Applications of Continuous Functions:
• Suppose that your account initially has Rs.10,000 in it. The account pays
5% annual interest compounded monthly. Is it continuous?. Sketch the
graph of your balance as a function of time.
• Sketch the graph of the population of the earth as a function of time. Is this
a continuous function. Why is it reasonable to represent this graph as a
continuous function?
• Sketch the graph of your telephone costs for using the phone. Is this a
continuous function?
• Sketch the graph of your blood pressure as a function of time while on a
bicycle ride. Is this a continuous function?
• Come up with a continuous function and a discontinuous function that
occurs in the real world.
7/29/2022 11
Some Applications of Continuous Functions:
7/29/2022 12
To the foundations of Mathematical Analysis , he
contributed the introduction of a fully rigorous ε–δ
definition of a mathematical limit. Bolzano was the first
to recognize the greatest lower bound property of the
real numbers.
Bolzano also gave the first purely analytic proof of
the fundamental theorem of algebra, which had
originally been proven by Gauss from geometrical
considerations. He also gave the first purely analytic
proof of the intermediate value theorem (also known
as Bolzano's theorem). Today he is mostly remembered
for the Bolzano–Weierstrass theorem, which Karl
Weierstrass developed independently and published
years after Bolzano's first proof and which was initially
called the Weierstrass theorem until Bolzano's earlier
Bernard Bolzano
Contributors
7/29/2022 13
In the theory of light he worked on Fresnel's wave theory
and on the dispersion and polarization of light. He also
contributed significant research in mechanics,
substituting the notion of the continuity of geometrical
displacements for the principle of the continuity of
matter. He wrote on the equilibrium of rods and elastic
membranes and on waves in elastic media. He
introduced a 3 × 3 symmetric matrix of numbers that is
now known as the Cauchy stress tensor. In elasticity, he
originated the theory of stress, and his results are nearly
as valuable as those of Poisson.
Other significant contributions include being the first to
prove the Fermat polygonal number theorem.
Cauchy is most famous for his single-handed
development of complex function theory.
Augustin-Louis Cauchy
7/29/2022 14
7/29/2022 15
Limit
We say that the limit of ( ) as approaches is and write
f x x a L
lim ( )
x a
f x L


if the values of ( ) approach as approaches .
f x L x a
a
L
( )
y f x

7/29/2022 16
Find
2
3 if 2
lim ( ) where ( )
1 if 2
x
x x
f x f x
x

  

 
 

-2
6
2 2
lim ( ) = lim 3
x x
f x x
 

Note: f (-2) = 1
is not involved
2
3 lim
3( 2) 6
x
x

 
   
7/29/2022 17
The Definition of Limit
-
 
lim ( )
We say if and only if
x a
f x L


given a positive number , there exists a positive such that
 
if 0 | | , then | ( ) | .
x a f x L
 
    
( )
y f x

a
L
L 

L 

a 
 a 

7/29/2022 18
such that for all in ( , ),
x a a a
 
  
then we can find a (small) interval ( , )
a a
 
 
( ) is in ( , ).
f x L L
 
 
This means that if we are given a
small interval ( , ) centered at ,
L L L
 
 
7/29/2022 19
2
1. Show that lim(3 4) 10.
x
x

 
Let 0 be given.
  We need to find a 0 such that
 
if | - 2 | ,
x 
 then | (3 4) 10 | .
x 
  
But | (3 4) 10 | | 3 6 | 3| 2 |
x x x 
      
if | 2 |
3
x

  So we choose .
3

 
1
1
2. Show that lim 1.
x x


Let 0 be given. We need to find a 0 such that
 
 
1
if | 1| , then | 1| .
x
x
 
   
1 1
1
But | 1| | | | 1| .
x
x
x x x

    What do we do with the x?
7/29/2022 20
1 3
1
If we decide | 1| , then .
2 2
2
x x
   
1
And so <2.
x
1/2
1
1
Thus | 1| | 1| 2 | 1| .
x x
x x
    
1
Now we choose min , .
3 2


 
  
 
1 3/2
7/29/2022 21
A function f is continuous at the point x = a if the following are true:
) ( ) is defined
i f a
) lim ( ) exists
x a
ii f x

) lim ( ) ( )
x a
iii f x f a


a
f(a)
Definition of Continuity in terms of limits of functions
7/29/2022 22
Definition in terms of limits of sequences
7/29/2022 23
Definition in terms of limits of sequences
7/29/2022 24
Definition in terms of neighborhoods
A function is continuous at a point c if the range of f over the neighborhood
of c shrinks to a single point f(c) as the width of the neighborhood
around c shrinks to zero. More precisely, a function f is continuous at a
point c of its domain if, for any neighborhood there is a
neighborhood in its domain such
that whenever
A neighborhood of a point c is a set that contains, at least, all points within
some fixed distance of c.
))
(
(
1 c
f
N
)
(
2 c
N
))
(
(
)
( 1 c
f
N
x
f 
)
(
2 c
N
x 
7/29/2022 25
Definition in terms of neighborhoods
7/29/2022 26
Continuous functions between metric spaces
Given two metric spaces (X, dX) and (Y, dY) and a function
then f is continuous at the point c in X (with respect to the given
metrics) if for any positive real number ε, there exists a positive real
number δ such that all x in X satisfying dX(x, c) < δ will also satisfy
dY(f(x), f(c)) < ε.
As in the case of real functions above, this is equivalent to the condition that
for every sequence (xn) in X with limit lim xn = c, we have lim f(xn) = f(c).
Y
X
f 
:
7/29/2022 27
Definition in terms of Metric Spaces
7/29/2022 28
Continuous functions in Functional Analysis
In Functional Analysis, A key statement in this area says that a linear operator
between normed vector spaces V and W (which are vector
spaces equipped with a compatible norm, denoted ||x||) is continuous if
and only if it is bounded, that is, there is a constant K such that
for all x in V.
W
V
T 
:
x
K
x
T 
)
(
7/29/2022 29
A function f is continuous at the point x = a if the following are true:
) ( ) is defined
i f a
) lim ( ) exists
x a
ii f x

) lim ( ) ( )
x a
iii f x f a


a
f(a)
Definition of Continuity in terms of limits of functions
7/29/2022 30
At which value(s) of x is the given function
discontinuous?
1. ( ) 2
f x x
 
2
9
2. ( )
3
x
g x
x



Continuous everywhere Continuous everywhere except at
3
x  
( 3) is undefined
g 
lim( 2) 2
x a
x a

  
and so lim ( ) ( )
x a
f x f a


-4 -2 2 4
-2
2
4
6
-6 -4 -2 2 4
-10
-8
-6
-4
-2
2
4
Examples
7/29/2022 31
2, if 1
3. ( )
1, if 1
x x
h x
x
 

 


1
lim ( )
x
h x


and
Thus h is not continuous at x=1.
1
 1
lim ( )
x
h x


3

h is continuous everywhere else at x=1
1, if 0
4. ( )
1, if 0
x
F x
x
 

 


0
lim ( )
x
F x


1
 and 0
lim ( )
x
F x

 1
 
Thus F is not cont. at 0.
x 
F is continuous everywhere else
-2 2 4
-3
-2
-1
1
2
3
4
5
-10 -5 5 10
-3
-2
-1
1
2
3
7/29/2022 32
defined
1
)
1
(
)
1 

f
exist
1
)
(
lim
)
2
1



x
f
x
)
(
lim
)
1
(
)
3
1
x
f
f
x 



exist
)
(
lim
)
2 x
f
a
x
1
at
cont
)
( 

x
x
f
Continuity
Continuity at a Point (interior point)
A function f(x) is continuous at a point a if
)
(
lim
)
(
)
3 x
f
a
f
a
x

defined
)
(
)
1 a
f
Continuity Test
)
(
lim
)
( x
f
a
f
a
x

Example: study the continuity at x = -1
7/29/2022 33
defined
)
4
(
)
1 f
)
(
lim
)
2
4
x
f
x
)
(
lim
)
4
(
)
3
4
x
f
f
x

exist
)
(
lim
)
2 x
f
a
x
4
at
discont
)
( 
x
x
f
Continuity at a Point (interior point)
A function f(x) is continues at a point a if
)
(
lim
)
(
)
3 x
f
a
f
a
x

defined
)
(
)
1 a
f
Continuity Test
)
(
lim
)
( x
f
a
f
a
x

Example: study the continuity at x = 4
7/29/2022 34
defined
)
2
(
)
1 f
)
(
lim
)
2
2
x
f
x
)
(
lim
)
2
(
)
3
2
x
f
f
x

exist
)
(
lim
)
2 x
f
a
x
2
at
discont
)
( 
x
x
f
Continuity at a Point (interior point)
A function f(x) is continues at a point a if
)
(
lim
)
(
)
3 x
f
a
f
a
x

defined
)
(
)
1 a
f
Continuity Test
)
(
lim
)
( x
f
a
f
a
x

Example: study the continuity at x = 2
7/29/2022 35
defined
)
2
(
)
1 
f
)
(
lim
)
2
2
x
f
x 

)
(
lim
)
2
(
)
3
2
x
f
f
x 



exist
)
(
lim
)
2 x
f
a
x
2
at
discont
)
( 

x
x
f
Continuity at a Point (interior point)
A function f(x) is continues at a point a if
)
(
lim
)
(
)
3 x
f
a
f
a
x

defined
)
(
)
1 a
f
Continuity Test
)
(
lim
)
( x
f
a
f
a
x

Example: study the continuity at x = -2
7/29/2022 36
Cont from
left at a
Continuity at a Point (end point)
A function f(x) is continues at an end point a if
)
(
lim
)
( x
f
a
f
a
x 

 )
(
lim
)
( x
f
a
f
a
x 


exist
)
(
lim
)
2 x
f
a
x
)
(
lim
)
(
)
3 x
f
a
f
a
x

defined
)
(
)
1 a
f
exist
)
(
lim
)
2 x
f
a
x 

)
(
lim
)
(
)
3 x
f
a
f
a
x 


defined
)
(
)
1 a
f
exist
)
(
lim
)
2 x
f
a
x 

)
(
lim
)
(
)
3 x
f
a
f
a
x 


defined
)
(
)
1 a
f
Cont from
right at a
Cont a
7/29/2022 37
removable
discontinuity
jump
discontinuity
infinite
discontinuity
Which
conditions
Types of Discontinuities.
Later:
oscillating
discontinuity:
Continuity
7/29/2022 38
Continuity
7/29/2022 39
Theorem : Necessary and Sufficient Conditions of Continuity
7/29/2022 40
7/29/2022 41
7/29/2022 42
Algebra of Continuous Functions
g(x) is not zero
7/29/2022 43
Algebra of Continuous Functions
7/29/2022 44
Theorem
7/29/2022 45
7/29/2022 46
7/29/2022 47
7/29/2022 48
Problems
7/29/2022 49
7/29/2022 50
7/29/2022 51
7/29/2022 52
The inverse function of any continuous one-to-one function is also continuous.
Inverse Functions and Continuity
This result is suggested from the observation that the graph of the inverse, being the
reflection of the graph of ƒ across the line y = x
Continuity
7/29/2022 53
Geometrically, IVT says that any horizontal line between ƒ(a) and ƒ(b) will cross the curve
at least once over the interval [a, b].
Intermediate Value Theorem
7/29/2022 54
2) y0 between ƒ(a) and ƒ(b)
1) ƒ(x) continuous on [a,b]
y0=ƒ(c) for some c in [a,b]
The Intermediate Value Theorem
Intermediate Value Theorem
7/29/2022 55
Show that there is a root for the function
between 1 and 2
Intermediate Value Theorem
  0
2
3
6
4 2
3




 x
x
x
x
f
7/29/2022 56
Use Intermediate Value theorem to prove that there is a solution for the function
Intermediate Value Theorem
  0
1
3
3



 x
x
x
f
Solution:
is continuous every where because it is a polynomial.
If x = -1, then f(-1) = 1 and
If x = 0, then f(0) = 1
Then for some x between -1 and 0 by Intermediate
Value theorem.
  1
3
3


 x
x
x
f
  0
1
3
3



 x
x
x
f
7/29/2022 57
Let
Use Intermediate Value theorem to prove that f(x)=g(x) has a solution between 1 and 2
Intermediate Value Theorem
Solution:
is continuous on the interval [1,2]. And h(1) = -1, h(2) = 12.
Since h(1) = -1< 0 < h(2) = 12, there is a number c in
(1,2) such that h(c)=0. Therefore by IVT, there is root for
the h(x) = f(x) –g(x) = 0 or f(x)=g(x)
  7
3
2
)
(
5
4
5 2
3
2
3






 x
x
x
x
g
and
x
x
x
f
2
3
6
4
)
7
3
2
(
)
5
4
5
(
)
(
)
(
)
(
2
3
2
3
2
3













x
x
x
x
x
x
x
x
x
g
x
f
x
h
Let
7/29/2022 58
7/29/2022 59
In Research Publications
Most engineering applications behave in a continuous fashion, and this property is generally believed
to underlie their dependability.
In contrast, software systems do not have continuous behavior, which is taken to be an underlying
cause of their undependability.
The theory of software reliability has been questioned because technically the sampling on which it is
based applies only to continuous functions.
The role of continuity in engineering, particularly in testing and certifying applications, then considers
the analogous software situations and the ways in which software is intrinsically unlike other
engineered objects.
Several definitions of software ‘continuity’ are proposed and related to ideas in software testing. It is
shown how ‘continuity’ can be established in practice, and the consequences for testing and analysis
of knowing that a program is ‘continuous.’
Underlying any use of software ‘continuity’ is the continuity of its specification in the usual
mathematical sense.
However, many software applications are intrinsically discontinuous and one reason why software is
so valuable is its natural ability to handle these applications, where it makes no sense to seek
software ‘continuity’ or to blame poor dependability on its absence.
7/29/2022 60
In Research Publications
7/29/2022 61
Uniform Continuity of Functions
7/29/2022 62
Note the order of the quantifiers:  may depend on both  and the point x0.
If it happens that, given   0, there is a   0 that works for all x0 in D, then f is
said to be uniformly continuous.
For a function f : D R to be continuous on D, it is required that for every x0 
D and for every   0 there exists a   0 such that | f (x) – f (x0)|   whenever
| x – x0 |   and x  D.
Let f :D R We say that f is uniformly continuous on D if for every   0 there
exists a   0 such that | f (x) – f ( y)|   whenever | x – y |   and x, y  D .
Definition
7/29/2022 63
The only difference between the two definitions is the order of the quantifiers.
When you prove f is continuous, proof will be of the form
S
x 
0 0

 S
x


 )
(
)
( 0
x
f
x
f
Choose . Choose . Let . Choose . Assume
Therefore .
The expression for can involve both and but must be
independent of x.
)
,
( 0 

 x
 

 0
x
x
)
,
( 0 

 x
 0
x 
7/29/2022 64
When you prove f is uniformly continuous, proof will be of the form
Let . Let . Choose . Choose . Assume ,
therefore
S
x


 )
(
)
( 0
x
f
x
f
The expression for can involve only and must involve either of
x or x0.


 0
x
x
)
(

  
0

 )
(

  S
x 
0
7/29/2022 65
The function f (x) = x2 is not uniformly continuous on R .
f(x) = x2
x
f(x)
f(x1)
x1
Given a point x1 close to 0 and an
 -neighborhood about f (x1),
the required  can be fairly large.
But as x increases, the value
of  must decrease.
x2
f(x2)
Let’s look at this graphically.
-neighborhood This means the continuity is
not uniform.
7/29/2022 66
7/29/2022 67
7/29/2022 68
To show that the f (x) = 3x is uniformly continuous on R .
Given any  > 0, we want to make | f (x) – f ( y)| <  by making x sufficiently close to y.
We have | f (x) – f ( y)| = | 3x – 3y| = 3| x – y|. So we may take  =  /3.
Then whenever | x – y | <  we have
| f (x) – f ( y)| = 3| x – y| < 3 = .
Example
We conclude that f is uniformly continuous on R .
7/29/2022 69
Let S=R and f (x) = 3x+7 . Then show that f is uniformly continuous on R .
Choose any  > 0, Choose . Choose , and Choose . Assume
Then
Example
3
/

  R
x 
0
R
x 

 0
x
x

 







 3
3
)
7
3
(
)
7
3
(
)
(
)
( 0
0
0 x
x
x
x
x
f
x
f
7/29/2022 70
Let and . Then show that f is uniformly continuous on S .
Choose any  > 0, Choose . Choose , and Choose .
Thus and so
Assume ,
Then
Example
S
x 
0
S
x


 0
x
x

 







 )
4
4
(
)
(
)
(
)
( 0
0
2
0
2
0 x
x
x
x
x
x
x
f
x
f
8
/

 
4
0 0 
 x
2
)
( x
x
f 
}
4
0
:
{ 


 x
R
x
S
4
0 
 x 8
0 0 

 x
x
Note : In both the preceding proofs the function f satisfied an inequality of the form
For . The inequality of the form is called Lipschitz Inequality, and M is
Lipschitz Constant.
2
1
2
1 )
(
)
( x
x
M
x
f
x
f 


S
x
x 
2
1,
7/29/2022 71
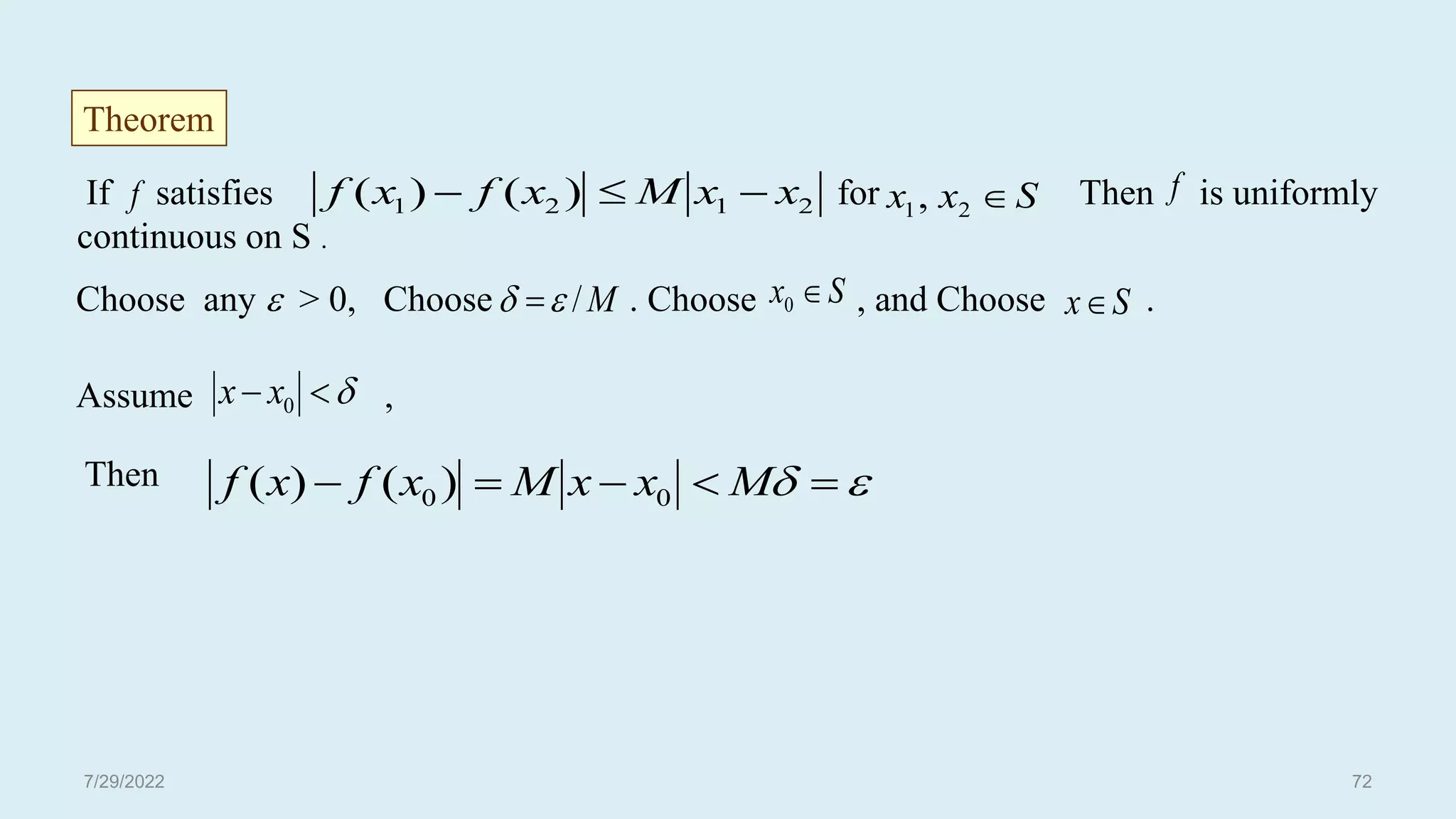
If satisfies for Then is uniformly
continuous on S .
Choose any  > 0, Choose . Choose , and Choose .
Assume ,
Then
Theorem
S
x 
0 S
x


 0
x
x

 



 M
x
x
M
x
f
x
f 0
0 )
(
)
(
M
/

 
f 2
1
2
1 )
(
)
( x
x
M
x
f
x
f 

 S
x
x 
2
1, f
7/29/2022 72
As a prelude to proving this, let’s write out the statement of uniform continuity
and its negation.
So the function f fails to be uniformly continuous on D if
   0 such that | x – y | <  and | f (x) – f ( y)|  .
   0,  x, y  D such that
Now for the proof. Suppose we take  = 1. (Any   0 would work.)
We must show that given any  > 0, there exist x, y in R such that | x – y | <  and
| f (x) – f ( y)| = | x2 – y2| = | x + y |  | x – y |  1.
For any x, if we let y = x +  /2, then | x – y | =  /2 <  .
1  | x + y |  | x – y | = | x + y |  ( /2),
we need to have | x + y |  2/ . This prompts us to let x = 1/ .
The function f (x) = x2 is not uniformly continuous on R .
The function f is uniformly continuous on D if
   0    0 such that  x, y  D, | x – y | <  implies | f (x) – f ( y)| <  .
7/29/2022 73
Proof:
Let  = 1. Then given any  > 0, let x = 1/ and y = 1/ +  /2.
Then | x – y | =  /2 <  , but
| f (x) – f ( y)| = | x2 – y2| = | x + y |  | x – y |
1
2
1
2





  

 
 
2
1.
2


  
 
  
  
Thus f is not uniformly continuous on R .
The function f (x) = x2 is not uniformly continuous on R .
Example Contd.
7/29/2022 74
The function f (x) = x2 is uniformly continuous on D if D is a bounded set.
For example, let D = [– 3, 3]. Then | x + y |  6.
So given   0, if  =  /6 and | x – y | <  , we have
| f (x) – f ( y)| = | x2 – y2| = | x + y |  | x – y |
 6| x – y | < 6 =  .
This is a special case of the following theorem.
Example Contd.
7/29/2022 75
If a function is continuous on a closed interval [a,b], then is Uniformly Continuous on
[a,b].
Proof:
Given that is continuous on [a,b].
To show that f is uniformly continuous on [a,b]
If possible suppose that is not uniformly continuous on [a,b]
That is such that whenever and
Thus for each , in [a,b] such that |f(xn)-f(yn)| whenever |xn-yn|<δn
By Bolazano-Weirstrass theorem, a convergent subsequence of <xn> converging to x0(say)
Theorem


 y
x
f
]
,
[
, b
a
y
x 
f
f
f
0
,
0 


 
 

 )
(
)
( y
f
x
f
N
n n
n y
x ,

7/29/2022 76
If a function is continuous on a closed interval [a,b], then is Uniformly Continuous on
[a,b].
Proof:
Given that is continuous on [a,b].
To show that f is uniformly continuous on [a,b]
If possible suppose that is not uniformly continuous on [a,b]
That is such that whenever and
Thus for each , in [a,b] such that |f(xn)-f(yn)| whenever |xn-yn|<δn
By Bolazano-Weirstrass theorem, a convergent subsequence of <xn> converging to x0(say)
Theorem


 y
x
f
]
,
[
, b
a
y
x 
f
f
f
0
,
0 


 
 

 )
(
)
( y
f
x
f
N
n n
n y
x ,

7/29/2022 77
0
x
x k
n
k
Lt 


]
,
[
0 b
a
x 
   
0
n
f
x
f k
n
k
Lt 


   
0
n
f
y
f k
n
k
Lt 


    0





k
k n
n
k
y
f
x
f
Lt
   

 k
k n
n y
f
x
f
f

as f is a continuous function at x0,<f(xnk)> converges to f(n0) and <f(ynk)> converges to f(n0).
Therefore
This is a contradiction. So our supposition is wrong
is Uniformly continuous on [a,b]
i.e.
Also and also 0
x
ynk
k
Lt 


Also
7/29/2022 78
How does uniform continuity relate to sequences?
Recall that the continuous image of a convergent sequence need not be convergent
if the limit of the sequence is not in the domain of the function.
For example, let f (x) = 1/x and xn = 1/n.
Then (xn) converges to 0, but since f (xn) = n for all n, the sequence ( f (xn)) diverges to + .
But with uniform continuity we have the following:
Let f : D  R be uniformly continuous on D and suppose that (xn) is a Cauchy
sequence in D. Then ( f (xn)) is a Cauchy sequence.
Proof:
Given any   0, since f is uniformly continuous on D there exists a  > 0 such that
| f (x) – f ( y)|   whenever | x – y | <  and x, y  D. Since (xn) is Cauchy, there
exists N  N such that | xn – xm | <  whenever m, n  N.
Thus for m, n  N we have | f (xn) – f ( xm)| <  , so ( f (xn)) is Cauchy.
Theorem
7/29/2022 79
Proof:
If f can be extended to a function that is continuous on the compact set [a, b],
then is uniformly continuous on [a, b].
Using the above theorem, we can derive a useful test to determine if a function is
uniformly continuous on a bounded open interval.
We say that a function an extension of if D  E and
~
Theorem
A function f : (a, b) R is uniformly continuous on (a, b) iff it can be extended to a
function that is continuous on [a, b].
It follows that (and hence f ) is also uniformly continuous on the subset (a, b).
  )
(
)
( f
dom
x
x
f
x
f 


R
E
f 

: R
D
f 
:

f

f

f

f
7/29/2022 80
7/29/2022 81
REFERENCES
[1] Elementary Analysis by Kenneth A Ross.
[2] Mathematical Analysis, 2nd Edition by S.C. Malik and Savita Arora.
[3] Introduction to Real Analysis by Robert G. Bartle, Donald R. Sherbert.
[4] https://en.wikipedia.org/wiki/Continuous_function
[5] https://matheducators.stackexchange.com
[6] https://math.libretexts.org/Courses/Mount_Royal_University
[7] https://www.google.com/search?q=images
[8] Continuity in Software, Dick Hamlet, Portland State University
82
7/29/2022
7/29/2022
You are the Designer of Yourself
Teachers and Others are only Tools
83
7/29/2022
Best Wishes
&
May God Bless You
Dr. L.P. Raj Kumar
Department of Mathematics
Kakatiya University – Warangal – TS, INDIA
Email : lp_raj8@yahoo.com
Mobile : 98491 33398
84
84

Continutiy of Functions.ppt

  • 1.
    BASIC CONCEPTS Dr. L.P.Raj Kumar Department of Mathematics Kakatiya University – Warangal – TS, INDIA 7/29/2022 1
  • 2.
    7/29/2022  Introduction  Motivation Why to Study Continuous Functions  Some Applications of Continuous Functions  Contributors  Definition and Examples on Limits  Definition and Examples on Continuity of Functions  Inverse Functions and Continuity  Some Theorems and Examples on Continuity of Functions  In Research Publications  Definition and Examples on Uniform Continuity of Functions  Some Theorems and Examples on Continuity of Functions  8 Traits for 21st Century Teachers 2 Contents 2
  • 3.
    Introduction “Continuous” is justa mathematical term. It’s not a tool or a process or an algorithm or a theorem. It’s just a word that refers to a special type of function. So it can’t really be “applied” any more than the word “blue” can be applied. Theorems and algorithms can be applied, but definitions/terminology cannot. 7/29/2022 3
  • 4.
    Motivation It provides anatural way of understanding irrational exponents (or more generally, extend a function defined on rational number to real number). how do you define 3√2 or 7π? when we're first introduced exponential, we're taught ab means “a multiply b times" when b is an integer. when b is a rational number, like 51/2, it's also not too hard to think it's a positive number that "get 5 by multiplying itself". however it's very difficult to explain what 7π means naturally. the easiest way to understand it is "that is a number where this sequence 73,73.1,73.14,73.141,73.1415...... eventually get closed to.” Continuous functions preserve limit of sequence. Any real number is a limit of a sequence of rational numbers. Therefore, if f is a real value continuous function and we know it's value on each rational number, we know f. In other words, continuous function f:R→R can be uniquely determined by it's value on Q. 7/29/2022 4
  • 5.
    Motivation My attempt toanswer the question: I would argue that there are two main reasons to study continuity: 1. Continuous functions have "beautiful" properties like the intermediate value property (for connected domains), the limit can be put inside the function, compositions like sums and products of continuous functions are again continuous etc. 2. In topology, continuous functions are exactly those functions which preserve topological structures. ) ( ) ( n n n n x Lim f x f Lim      7/29/2022 5
  • 6.
    Why to StudyContinuous Functions If a function has a derivative, then it is continuous and thus continuity is underlying every problem involving differentiation. The ability to predict the world around us can be modeled by differential equations, and you can’t solve any DE’s without continuous functions. They are used in a wide variety of disciplines, from biology, economics, physics, chemistry and engineering. They can describe exponential growth and decay, the population growth of species or the change in investment return over time. 7/29/2022 6
  • 7.
    Why to StudyContinuous Functions But some models are not continuous: for example, if a call center is counting the number of phone-ins they get each minute, and this is an integer- valued function and it doesn’t really make sense for that to be continuous. You would just have a grid of dots. But one can “interpolate” the data (i.e. connect the dots) it with a continuous function, and then apply the methods of calculus. 7/29/2022 7
  • 8.
    Why to StudyContinuous Functions Another Application Integration, which only works for continuous functions. So any time you want to integrate something, you’d better be working with a continuous function. Since integrals are used for everything from mechanics to medical imaging to deep learning, this it is an essential tool from calculus that you pretty much need continuous functions to use effectively. Area between curves, Distance, Velocity, Acceleration, Volume, Average value of a function, Work, Probability, Surface Area 7/29/2022 8
  • 9.
    Why to StudyContinuous Functions • Modeling and simulation of systems that change with time, such as flight of airplanes, satellites, planets, etc. • Physics equations such as Newton’s laws of motion, Einstein’s general relativity, Maxwell’s equations for electrodynamics are naturally expressed in calculus. 7/29/2022 9
  • 10.
    Why to StudyContinuous Functions 7/29/2022 10
  • 11.
    Some Applications ofContinuous Functions: • Suppose that your account initially has Rs.10,000 in it. The account pays 5% annual interest compounded monthly. Is it continuous?. Sketch the graph of your balance as a function of time. • Sketch the graph of the population of the earth as a function of time. Is this a continuous function. Why is it reasonable to represent this graph as a continuous function? • Sketch the graph of your telephone costs for using the phone. Is this a continuous function? • Sketch the graph of your blood pressure as a function of time while on a bicycle ride. Is this a continuous function? • Come up with a continuous function and a discontinuous function that occurs in the real world. 7/29/2022 11
  • 12.
    Some Applications ofContinuous Functions: 7/29/2022 12
  • 13.
    To the foundationsof Mathematical Analysis , he contributed the introduction of a fully rigorous ε–δ definition of a mathematical limit. Bolzano was the first to recognize the greatest lower bound property of the real numbers. Bolzano also gave the first purely analytic proof of the fundamental theorem of algebra, which had originally been proven by Gauss from geometrical considerations. He also gave the first purely analytic proof of the intermediate value theorem (also known as Bolzano's theorem). Today he is mostly remembered for the Bolzano–Weierstrass theorem, which Karl Weierstrass developed independently and published years after Bolzano's first proof and which was initially called the Weierstrass theorem until Bolzano's earlier Bernard Bolzano Contributors 7/29/2022 13
  • 14.
    In the theoryof light he worked on Fresnel's wave theory and on the dispersion and polarization of light. He also contributed significant research in mechanics, substituting the notion of the continuity of geometrical displacements for the principle of the continuity of matter. He wrote on the equilibrium of rods and elastic membranes and on waves in elastic media. He introduced a 3 × 3 symmetric matrix of numbers that is now known as the Cauchy stress tensor. In elasticity, he originated the theory of stress, and his results are nearly as valuable as those of Poisson. Other significant contributions include being the first to prove the Fermat polygonal number theorem. Cauchy is most famous for his single-handed development of complex function theory. Augustin-Louis Cauchy 7/29/2022 14
  • 15.
  • 16.
    Limit We say thatthe limit of ( ) as approaches is and write f x x a L lim ( ) x a f x L   if the values of ( ) approach as approaches . f x L x a a L ( ) y f x  7/29/2022 16
  • 17.
    Find 2 3 if 2 lim( ) where ( ) 1 if 2 x x x f x f x x           -2 6 2 2 lim ( ) = lim 3 x x f x x    Note: f (-2) = 1 is not involved 2 3 lim 3( 2) 6 x x        7/29/2022 17
  • 18.
    The Definition ofLimit -   lim ( ) We say if and only if x a f x L   given a positive number , there exists a positive such that   if 0 | | , then | ( ) | . x a f x L        ( ) y f x  a L L   L   a   a   7/29/2022 18
  • 19.
    such that forall in ( , ), x a a a      then we can find a (small) interval ( , ) a a     ( ) is in ( , ). f x L L     This means that if we are given a small interval ( , ) centered at , L L L     7/29/2022 19
  • 20.
    2 1. Show thatlim(3 4) 10. x x    Let 0 be given.   We need to find a 0 such that   if | - 2 | , x   then | (3 4) 10 | . x     But | (3 4) 10 | | 3 6 | 3| 2 | x x x         if | 2 | 3 x    So we choose . 3    1 1 2. Show that lim 1. x x   Let 0 be given. We need to find a 0 such that     1 if | 1| , then | 1| . x x       1 1 1 But | 1| | | | 1| . x x x x x      What do we do with the x? 7/29/2022 20
  • 21.
    1 3 1 If wedecide | 1| , then . 2 2 2 x x     1 And so <2. x 1/2 1 1 Thus | 1| | 1| 2 | 1| . x x x x      1 Now we choose min , . 3 2          1 3/2 7/29/2022 21
  • 22.
    A function fis continuous at the point x = a if the following are true: ) ( ) is defined i f a ) lim ( ) exists x a ii f x  ) lim ( ) ( ) x a iii f x f a   a f(a) Definition of Continuity in terms of limits of functions 7/29/2022 22
  • 23.
    Definition in termsof limits of sequences 7/29/2022 23
  • 24.
    Definition in termsof limits of sequences 7/29/2022 24
  • 25.
    Definition in termsof neighborhoods A function is continuous at a point c if the range of f over the neighborhood of c shrinks to a single point f(c) as the width of the neighborhood around c shrinks to zero. More precisely, a function f is continuous at a point c of its domain if, for any neighborhood there is a neighborhood in its domain such that whenever A neighborhood of a point c is a set that contains, at least, all points within some fixed distance of c. )) ( ( 1 c f N ) ( 2 c N )) ( ( ) ( 1 c f N x f  ) ( 2 c N x  7/29/2022 25
  • 26.
    Definition in termsof neighborhoods 7/29/2022 26
  • 27.
    Continuous functions betweenmetric spaces Given two metric spaces (X, dX) and (Y, dY) and a function then f is continuous at the point c in X (with respect to the given metrics) if for any positive real number ε, there exists a positive real number δ such that all x in X satisfying dX(x, c) < δ will also satisfy dY(f(x), f(c)) < ε. As in the case of real functions above, this is equivalent to the condition that for every sequence (xn) in X with limit lim xn = c, we have lim f(xn) = f(c). Y X f  : 7/29/2022 27
  • 28.
    Definition in termsof Metric Spaces 7/29/2022 28
  • 29.
    Continuous functions inFunctional Analysis In Functional Analysis, A key statement in this area says that a linear operator between normed vector spaces V and W (which are vector spaces equipped with a compatible norm, denoted ||x||) is continuous if and only if it is bounded, that is, there is a constant K such that for all x in V. W V T  : x K x T  ) ( 7/29/2022 29
  • 30.
    A function fis continuous at the point x = a if the following are true: ) ( ) is defined i f a ) lim ( ) exists x a ii f x  ) lim ( ) ( ) x a iii f x f a   a f(a) Definition of Continuity in terms of limits of functions 7/29/2022 30
  • 31.
    At which value(s)of x is the given function discontinuous? 1. ( ) 2 f x x   2 9 2. ( ) 3 x g x x    Continuous everywhere Continuous everywhere except at 3 x   ( 3) is undefined g  lim( 2) 2 x a x a     and so lim ( ) ( ) x a f x f a   -4 -2 2 4 -2 2 4 6 -6 -4 -2 2 4 -10 -8 -6 -4 -2 2 4 Examples 7/29/2022 31
  • 32.
    2, if 1 3.( ) 1, if 1 x x h x x        1 lim ( ) x h x   and Thus h is not continuous at x=1. 1  1 lim ( ) x h x   3  h is continuous everywhere else at x=1 1, if 0 4. ( ) 1, if 0 x F x x        0 lim ( ) x F x   1  and 0 lim ( ) x F x   1   Thus F is not cont. at 0. x  F is continuous everywhere else -2 2 4 -3 -2 -1 1 2 3 4 5 -10 -5 5 10 -3 -2 -1 1 2 3 7/29/2022 32
  • 33.
    defined 1 ) 1 ( ) 1   f exist 1 ) ( lim ) 2 1    x f x ) ( lim ) 1 ( ) 3 1 x f f x     exist ) ( lim ) 2x f a x 1 at cont ) (   x x f Continuity Continuity at a Point (interior point) A function f(x) is continuous at a point a if ) ( lim ) ( ) 3 x f a f a x  defined ) ( ) 1 a f Continuity Test ) ( lim ) ( x f a f a x  Example: study the continuity at x = -1 7/29/2022 33
  • 34.
    defined ) 4 ( ) 1 f ) ( lim ) 2 4 x f x ) ( lim ) 4 ( ) 3 4 x f f x  exist ) ( lim ) 2 x f a x 4 at discont ) ( x x f Continuity at a Point (interior point) A function f(x) is continues at a point a if ) ( lim ) ( ) 3 x f a f a x  defined ) ( ) 1 a f Continuity Test ) ( lim ) ( x f a f a x  Example: study the continuity at x = 4 7/29/2022 34
  • 35.
    defined ) 2 ( ) 1 f ) ( lim ) 2 2 x f x ) ( lim ) 2 ( ) 3 2 x f f x  exist ) ( lim ) 2 x f a x 2 at discont ) ( x x f Continuity at a Point (interior point) A function f(x) is continues at a point a if ) ( lim ) ( ) 3 x f a f a x  defined ) ( ) 1 a f Continuity Test ) ( lim ) ( x f a f a x  Example: study the continuity at x = 2 7/29/2022 35
  • 36.
    defined ) 2 ( ) 1  f ) ( lim ) 2 2 x f x   ) ( lim ) 2 ( ) 3 2 x f f x    exist ) ( lim ) 2 x f a x 2 at discont ) (   x x f Continuity at a Point (interior point) A function f(x) is continues at a point a if ) ( lim ) ( ) 3 x f a f a x  defined ) ( ) 1 a f Continuity Test ) ( lim ) ( x f a f a x  Example: study the continuity at x = -2 7/29/2022 36
  • 37.
    Cont from left ata Continuity at a Point (end point) A function f(x) is continues at an end point a if ) ( lim ) ( x f a f a x    ) ( lim ) ( x f a f a x    exist ) ( lim ) 2 x f a x ) ( lim ) ( ) 3 x f a f a x  defined ) ( ) 1 a f exist ) ( lim ) 2 x f a x   ) ( lim ) ( ) 3 x f a f a x    defined ) ( ) 1 a f exist ) ( lim ) 2 x f a x   ) ( lim ) ( ) 3 x f a f a x    defined ) ( ) 1 a f Cont from right at a Cont a 7/29/2022 37
  • 38.
  • 39.
  • 40.
    Theorem : Necessaryand Sufficient Conditions of Continuity 7/29/2022 40
  • 41.
  • 42.
  • 43.
    Algebra of ContinuousFunctions g(x) is not zero 7/29/2022 43
  • 44.
    Algebra of ContinuousFunctions 7/29/2022 44
  • 45.
  • 46.
  • 47.
  • 48.
  • 49.
  • 50.
  • 51.
  • 52.
  • 53.
    The inverse functionof any continuous one-to-one function is also continuous. Inverse Functions and Continuity This result is suggested from the observation that the graph of the inverse, being the reflection of the graph of ƒ across the line y = x Continuity 7/29/2022 53
  • 54.
    Geometrically, IVT saysthat any horizontal line between ƒ(a) and ƒ(b) will cross the curve at least once over the interval [a, b]. Intermediate Value Theorem 7/29/2022 54
  • 55.
    2) y0 betweenƒ(a) and ƒ(b) 1) ƒ(x) continuous on [a,b] y0=ƒ(c) for some c in [a,b] The Intermediate Value Theorem Intermediate Value Theorem 7/29/2022 55
  • 56.
    Show that thereis a root for the function between 1 and 2 Intermediate Value Theorem   0 2 3 6 4 2 3      x x x x f 7/29/2022 56
  • 57.
    Use Intermediate Valuetheorem to prove that there is a solution for the function Intermediate Value Theorem   0 1 3 3     x x x f Solution: is continuous every where because it is a polynomial. If x = -1, then f(-1) = 1 and If x = 0, then f(0) = 1 Then for some x between -1 and 0 by Intermediate Value theorem.   1 3 3    x x x f   0 1 3 3     x x x f 7/29/2022 57
  • 58.
    Let Use Intermediate Valuetheorem to prove that f(x)=g(x) has a solution between 1 and 2 Intermediate Value Theorem Solution: is continuous on the interval [1,2]. And h(1) = -1, h(2) = 12. Since h(1) = -1< 0 < h(2) = 12, there is a number c in (1,2) such that h(c)=0. Therefore by IVT, there is root for the h(x) = f(x) –g(x) = 0 or f(x)=g(x)   7 3 2 ) ( 5 4 5 2 3 2 3        x x x x g and x x x f 2 3 6 4 ) 7 3 2 ( ) 5 4 5 ( ) ( ) ( ) ( 2 3 2 3 2 3              x x x x x x x x x g x f x h Let 7/29/2022 58
  • 59.
  • 60.
    In Research Publications Mostengineering applications behave in a continuous fashion, and this property is generally believed to underlie their dependability. In contrast, software systems do not have continuous behavior, which is taken to be an underlying cause of their undependability. The theory of software reliability has been questioned because technically the sampling on which it is based applies only to continuous functions. The role of continuity in engineering, particularly in testing and certifying applications, then considers the analogous software situations and the ways in which software is intrinsically unlike other engineered objects. Several definitions of software ‘continuity’ are proposed and related to ideas in software testing. It is shown how ‘continuity’ can be established in practice, and the consequences for testing and analysis of knowing that a program is ‘continuous.’ Underlying any use of software ‘continuity’ is the continuity of its specification in the usual mathematical sense. However, many software applications are intrinsically discontinuous and one reason why software is so valuable is its natural ability to handle these applications, where it makes no sense to seek software ‘continuity’ or to blame poor dependability on its absence. 7/29/2022 60
  • 61.
  • 62.
    Uniform Continuity ofFunctions 7/29/2022 62
  • 63.
    Note the orderof the quantifiers:  may depend on both  and the point x0. If it happens that, given   0, there is a   0 that works for all x0 in D, then f is said to be uniformly continuous. For a function f : D R to be continuous on D, it is required that for every x0  D and for every   0 there exists a   0 such that | f (x) – f (x0)|   whenever | x – x0 |   and x  D. Let f :D R We say that f is uniformly continuous on D if for every   0 there exists a   0 such that | f (x) – f ( y)|   whenever | x – y |   and x, y  D . Definition 7/29/2022 63
  • 64.
    The only differencebetween the two definitions is the order of the quantifiers. When you prove f is continuous, proof will be of the form S x  0 0   S x    ) ( ) ( 0 x f x f Choose . Choose . Let . Choose . Assume Therefore . The expression for can involve both and but must be independent of x. ) , ( 0    x     0 x x ) , ( 0    x  0 x  7/29/2022 64
  • 65.
    When you provef is uniformly continuous, proof will be of the form Let . Let . Choose . Choose . Assume , therefore S x    ) ( ) ( 0 x f x f The expression for can involve only and must involve either of x or x0.    0 x x ) (     0   ) (    S x  0 7/29/2022 65
  • 66.
    The function f(x) = x2 is not uniformly continuous on R . f(x) = x2 x f(x) f(x1) x1 Given a point x1 close to 0 and an  -neighborhood about f (x1), the required  can be fairly large. But as x increases, the value of  must decrease. x2 f(x2) Let’s look at this graphically. -neighborhood This means the continuity is not uniform. 7/29/2022 66
  • 67.
  • 68.
  • 69.
    To show thatthe f (x) = 3x is uniformly continuous on R . Given any  > 0, we want to make | f (x) – f ( y)| <  by making x sufficiently close to y. We have | f (x) – f ( y)| = | 3x – 3y| = 3| x – y|. So we may take  =  /3. Then whenever | x – y | <  we have | f (x) – f ( y)| = 3| x – y| < 3 = . Example We conclude that f is uniformly continuous on R . 7/29/2022 69
  • 70.
    Let S=R andf (x) = 3x+7 . Then show that f is uniformly continuous on R . Choose any  > 0, Choose . Choose , and Choose . Assume Then Example 3 /    R x  0 R x    0 x x            3 3 ) 7 3 ( ) 7 3 ( ) ( ) ( 0 0 0 x x x x x f x f 7/29/2022 70
  • 71.
    Let and .Then show that f is uniformly continuous on S . Choose any  > 0, Choose . Choose , and Choose . Thus and so Assume , Then Example S x  0 S x    0 x x            ) 4 4 ( ) ( ) ( ) ( 0 0 2 0 2 0 x x x x x x x f x f 8 /    4 0 0   x 2 ) ( x x f  } 4 0 : {     x R x S 4 0   x 8 0 0    x x Note : In both the preceding proofs the function f satisfied an inequality of the form For . The inequality of the form is called Lipschitz Inequality, and M is Lipschitz Constant. 2 1 2 1 ) ( ) ( x x M x f x f    S x x  2 1, 7/29/2022 71
  • 72.
    If satisfies forThen is uniformly continuous on S . Choose any  > 0, Choose . Choose , and Choose . Assume , Then Theorem S x  0 S x    0 x x        M x x M x f x f 0 0 ) ( ) ( M /    f 2 1 2 1 ) ( ) ( x x M x f x f    S x x  2 1, f 7/29/2022 72
  • 73.
    As a preludeto proving this, let’s write out the statement of uniform continuity and its negation. So the function f fails to be uniformly continuous on D if    0 such that | x – y | <  and | f (x) – f ( y)|  .    0,  x, y  D such that Now for the proof. Suppose we take  = 1. (Any   0 would work.) We must show that given any  > 0, there exist x, y in R such that | x – y | <  and | f (x) – f ( y)| = | x2 – y2| = | x + y |  | x – y |  1. For any x, if we let y = x +  /2, then | x – y | =  /2 <  . 1  | x + y |  | x – y | = | x + y |  ( /2), we need to have | x + y |  2/ . This prompts us to let x = 1/ . The function f (x) = x2 is not uniformly continuous on R . The function f is uniformly continuous on D if    0    0 such that  x, y  D, | x – y | <  implies | f (x) – f ( y)| <  . 7/29/2022 73
  • 74.
    Proof: Let  =1. Then given any  > 0, let x = 1/ and y = 1/ +  /2. Then | x – y | =  /2 <  , but | f (x) – f ( y)| = | x2 – y2| = | x + y |  | x – y | 1 2 1 2              2 1. 2              Thus f is not uniformly continuous on R . The function f (x) = x2 is not uniformly continuous on R . Example Contd. 7/29/2022 74
  • 75.
    The function f(x) = x2 is uniformly continuous on D if D is a bounded set. For example, let D = [– 3, 3]. Then | x + y |  6. So given   0, if  =  /6 and | x – y | <  , we have | f (x) – f ( y)| = | x2 – y2| = | x + y |  | x – y |  6| x – y | < 6 =  . This is a special case of the following theorem. Example Contd. 7/29/2022 75
  • 76.
    If a functionis continuous on a closed interval [a,b], then is Uniformly Continuous on [a,b]. Proof: Given that is continuous on [a,b]. To show that f is uniformly continuous on [a,b] If possible suppose that is not uniformly continuous on [a,b] That is such that whenever and Thus for each , in [a,b] such that |f(xn)-f(yn)| whenever |xn-yn|<δn By Bolazano-Weirstrass theorem, a convergent subsequence of <xn> converging to x0(say) Theorem    y x f ] , [ , b a y x  f f f 0 , 0          ) ( ) ( y f x f N n n n y x ,  7/29/2022 76
  • 77.
    If a functionis continuous on a closed interval [a,b], then is Uniformly Continuous on [a,b]. Proof: Given that is continuous on [a,b]. To show that f is uniformly continuous on [a,b] If possible suppose that is not uniformly continuous on [a,b] That is such that whenever and Thus for each , in [a,b] such that |f(xn)-f(yn)| whenever |xn-yn|<δn By Bolazano-Weirstrass theorem, a convergent subsequence of <xn> converging to x0(say) Theorem    y x f ] , [ , b a y x  f f f 0 , 0          ) ( ) ( y f x f N n n n y x ,  7/29/2022 77
  • 78.
    0 x x k n k Lt    ] , [ 0b a x      0 n f x f k n k Lt        0 n f y f k n k Lt        0      k k n n k y f x f Lt       k k n n y f x f f  as f is a continuous function at x0,<f(xnk)> converges to f(n0) and <f(ynk)> converges to f(n0). Therefore This is a contradiction. So our supposition is wrong is Uniformly continuous on [a,b] i.e. Also and also 0 x ynk k Lt    Also 7/29/2022 78
  • 79.
    How does uniformcontinuity relate to sequences? Recall that the continuous image of a convergent sequence need not be convergent if the limit of the sequence is not in the domain of the function. For example, let f (x) = 1/x and xn = 1/n. Then (xn) converges to 0, but since f (xn) = n for all n, the sequence ( f (xn)) diverges to + . But with uniform continuity we have the following: Let f : D  R be uniformly continuous on D and suppose that (xn) is a Cauchy sequence in D. Then ( f (xn)) is a Cauchy sequence. Proof: Given any   0, since f is uniformly continuous on D there exists a  > 0 such that | f (x) – f ( y)|   whenever | x – y | <  and x, y  D. Since (xn) is Cauchy, there exists N  N such that | xn – xm | <  whenever m, n  N. Thus for m, n  N we have | f (xn) – f ( xm)| <  , so ( f (xn)) is Cauchy. Theorem 7/29/2022 79
  • 80.
    Proof: If f canbe extended to a function that is continuous on the compact set [a, b], then is uniformly continuous on [a, b]. Using the above theorem, we can derive a useful test to determine if a function is uniformly continuous on a bounded open interval. We say that a function an extension of if D  E and ~ Theorem A function f : (a, b) R is uniformly continuous on (a, b) iff it can be extended to a function that is continuous on [a, b]. It follows that (and hence f ) is also uniformly continuous on the subset (a, b).   ) ( ) ( f dom x x f x f    R E f   : R D f  :  f  f  f  f 7/29/2022 80
  • 81.
  • 82.
    REFERENCES [1] Elementary Analysisby Kenneth A Ross. [2] Mathematical Analysis, 2nd Edition by S.C. Malik and Savita Arora. [3] Introduction to Real Analysis by Robert G. Bartle, Donald R. Sherbert. [4] https://en.wikipedia.org/wiki/Continuous_function [5] https://matheducators.stackexchange.com [6] https://math.libretexts.org/Courses/Mount_Royal_University [7] https://www.google.com/search?q=images [8] Continuity in Software, Dick Hamlet, Portland State University 82 7/29/2022
  • 83.
    7/29/2022 You are theDesigner of Yourself Teachers and Others are only Tools 83
  • 84.
    7/29/2022 Best Wishes & May GodBless You Dr. L.P. Raj Kumar Department of Mathematics Kakatiya University – Warangal – TS, INDIA Email : lp_raj8@yahoo.com Mobile : 98491 33398 84 84