The Chain Rule
Compositions
Definition
If f and g are functions, the composition (f ◦ g)(x) = f(g(x))
means “do g first, then f.”
Compositions
Definition
If f and g are functions, the composition (f◦ g)(x) = f(g(x)) means
“do g first, then f.”
g
x g(x)
Compositions
See Section 1.2 for review
Definition
If f and g are functions, the composition (f◦ g)(x) = f(g(x)) means
“do g first, then f.”
g f
x g(x)
Compositions
See Section 1.2 for review
Definition
If f and g are functions, the composition (f◦ g)(x) = f(g(x)) means
“do g first, then f.”
g f
x g(x) f(g(x))
Compositions
See Section 1.2 for review
Definition
If f and g are functions, the composition (f◦ g)(x) = f(g(x)) means
“do g first, then f.”
g f
x f(g(x))
f◦
g(x
g
)
Compositions
See Section 1.2 for review
Definition
If f and g are functions, the composition (f◦ g)(x) = f(g(x)) means
“do g first, then f.”
g f
x f(g(x))
f◦
g(x
g
)
Our goal for the day is to understand how the derivative of the
composition of two functions depends on the derivatives of the
individual functions.
Outline
Heuristics
Analogy
The Linear Case
The chain rule
Examples
Related rates of change
Analogy
Think about riding a bike. To
go faster you can either:
Image credit: SpringSun
Analogy
Think about riding a bike. To
go faster you can either:
) pedal faster
Image credit: SpringSun
Analogy
Think about riding a bike. To
go faster you can either:
) pedal faster
) change gears
Image credit: SpringSun
Analogy
Think about riding a bike. To
go faster you can either:
) pedal faster
) change gears
The angular position (φ) of the back wheel depends on the
position of the front sprocket (θ):
And so the angular speed of the back wheel depends on the
derivative of this function and the speed of the front wheel.
Image credit: SpringSun
φ(θ) =
Rθ
r
The Linear Case
Question
Let f(x) = mx + b and g(x) = m′x + b′
. What can you say about the
composition?
The Linear Case
Question
Let f(x) = mx + b and g(x) = m′x + b′
. What can you say about the
composition?
Answer
) f(g(x)) = m(m′x + b′
) + b = (mm′)x + (mb′
+ b)
The Linear Case
Question
Let f(x) = mx + b and g(x) = m′x + b′
. What can you say about the
composition?
Answer
) f(g(x)) = m(m′x + b′
) + b = (mm′)x + (mb′
+ b)
) The composition is also linear
The Linear Case
Question
Let f(x) = mx + b and g(x) = m′x + b′
. What can you say about the
composition?
Answer
) f(g(x)) = m(m′x + b′
) + b = (mm′)x + (mb′
+ b)
) The composition is also linear
) The slope of the composition is the product of the slopes of
the two functions.
The Linear Case
Question
Let f(x) = mx + b and g(x) = m′x + b′
. What can you say about the
composition?
Answer
) f(g(x)) = m(m′x + b′
) + b = (mm′)x + (mb′
+ b)
) The composition is also linear
) The slope of the composition is the product of the slopes of
the two functions.
The derivative is supposed to be a local linearization of a
function. So there should be an analog of this property in
derivatives.
The Nonlinear Case
See the Mathematica applet
Let u = g(x) and y = f(u). Suppose x is changed by a small
amount ∆x. Then
∆y ≈ f′
(y)∆u
and
∆u ≈ g′(u)∆x.
So
∆y ≈ f′
(y)g′(u)∆x =⇒
∆y
∆x
≈ f′
(y)g′(u)
Outline
Heuristics
Analogy
The Linear Case
The chain rule
Examples
Related rates of change
Theorem of the day: The chain rule
Theorem
Let f and g be functions, with g differentiable at x and f
differentiable at g(x). Then f◦ g is differentiable at x and
(f ◦ g)′(x) = f′
(g(x))g′(x)
In Leibnizian notation, let y = f(u) and u = g(x). Then
dy dy du
dx
=
du dx
Observations
) Succinctly, the derivative of
a composition is the
product of the derivatives
Image credit:
Theorem of the day: The chain rule
Theorem
Let f and g be functions, with g differentiable at x and f
differentiable at g(x). Then f◦ g is differentiable at x and
(f ◦ g)′(x) = f′
(g(x))g′(x)
In Leibnizian notation, let y = f(u) and u = g(x). Then
dy dy du
dx
=
du dx
Observations
) Succinctly, the derivative of
a composition is the
product of the derivatives
) The only complication is
where these derivatives are
evaluated: at the same
point the functions are
Image credit:
Compositions
See Section 1.2 for review
Definition
If f and g are functions, the composition (f◦ g)(x) = f(g(x)) means
“do g first, then f.”
g f
x f(g(x))
f◦
g(x
g
)
Observations
) Succinctly, the derivative of
a composition is the
product of the derivatives
) The only complication is
where these derivatives are
evaluated: at the same
point the functions are
) In Leibniz notation, the
Chain Rule looks like
cancellation of (fake)
fractions
Image credit:
Theorem of the day: The chain rule
Theorem
Let f and g be functions, with g differentiable at x and f
differentiable at g(x). Then f◦ g is differentiable at x and
(f ◦ g)′(x) = f′
(g(x))g′(x)
In Leibnizian notation, let y = f(u) and u = g(x). Then
dy dy du
dx
=
du dx
Theorem of the day: The chain rule
dy dy du
dx
=
du dx
Theorem
Let f and g be functions, with g differentiable at x and f
differentiable at g(x). Then f◦ g is differentiable at x and
(f ◦ g)′(x) = f′
(g(x))g′(x)
In Leibnizian notation, let y = f(u) and u =
dy
g(
/
d
x
/
u
). Then
/
d
/
u dx
Outline
Heuristics
Analogy
The Linear Case
The chain rule
Examples
Related rates of change
Example
Example
let h(x) =
√
3x2 +1. Find h′
(x).
Example
Example
let h(x) =
√
3x2 +1. Find h′
(x).
Solution
First, write h as f◦ g.
Example
Example
let h(x) =
√
3x2 +1. Find h′
(x).
Solution √ 2
First, write h as f◦ g. Let f(u) = u and g(x) = 3x + 1.
Example
Example
let h(x) =
√
3x2 +1. Find h′
(x).
Solution √ 2
First, write h as f◦ g. Let f(u) = u and g(x) = 3x +1. Then
2
f′
(u) = 1u−1/2, and g′(x) = 6x. So
2
h′
(x) = 1 u−1/2(6x)
Example
Example
let h(x) =
√
3x2 +1. Find h′
(x).
Solution √ 2
First, write h as f◦ g. Let f(u) = u and g(x) = 3x +1. Then
2
f′
(u) = 1u−1/2, and g′(x) = 6x. So
(x) =
h′
u−
1 1/2
2 2
(6x) = (
1 2 −1/2 3x
3x +1) (6x) = √
3x2 + 1
Corollary
Corollary (The Power Rule Combined with the Chain Rule)
If n is any real number and u = g(x) is differentiable, then
d du
dx
(un) = nun−1
dx
.
Does order matter?
Example
Find
d
(sin 4x) and compare it to
d
(4 sin x).
dx dx
Does order matter?
Example
Find
d
(sin 4x) and compare it to
d
(4 sin x).
dx dx
Solution
) For the first, let u = 4x and y = sin(u). Then
dy dy du
dx
=
du
·
dx
= cos(u)· 4 = 4 cos 4x.
Does order matter?
Example
Find
d
(sin 4x) and compare it to
d
(4 sin x).
dx dx
Solution
) For the first, let u = 4x and y = sin(u). Then
dy dy du
dx
=
du
·
dx
= cos(u)· 4 = 4 cos 4x.
) For the second, let u = sin x and y = 4u. Then
dy dy du
dx
=
du
·
dx
= 4 · cos x
Order matters!
Example
Find
d
(sin 4x) and compare it to
d
(4 sin x).
dx dx
Solution
) For the first, let u = 4x and y = sin(u). Then
dy dy du
dx
=
du
·
dx
= cos(u)· 4 = 4 cos 4x.
) For the second, let u = sin x and y = 4u. Then
dy dy du
dx
=
du
·
dx
= 4 · cos x
Example
)2
Let f(x) =
(√3
x5 − 2 +8 . Find f′
(x).
Example
)2
Let f(x) =
(√3
x5 − 2 +8 . Find f′
(x).
Solution
d
dx
3
√
( ) 2 (
3
√
5 5
x − 2 +8 = 2 x − 2 +8
d
dx
) (
3
√
5
x − 2 +8
)
Example
)2
Let f(x) =
(√3
x5 − 2 +8 . Find f′
(x).
Solution
d
dx
3
√
( ) 2 (
3
√
5 5
x − 2 +8 = 2 x − 2 +8
3
√
5
x − 2 +8
)
(
3
√
5
= 2 x − 2 +8
) (
)
d
dx
d
dx
3
√
5
x − 2
Example
)2
Let f(x) =
(√3
x5 − 2 +8 . Find f′
(x).
Solution
d
dx
3
√
( ) 2 (
3
√
5 5
x − 2 +8 = 2 x − 2 +8
3
√
5
x − 2 +8
)
(
3
√
5
= 2 x − 2 +8
) (
)
d
dx
d
dx
3
√
5
x − 2
3
√
5
( )
3
= 2 x − 2 +8 (x − 2)
d
dx
1 5 −2/3 5
(x − 2)
Example
)2
Let f(x) =
(√3
x5 − 2 +8 . Find f′
(x).
Solution
d
dx
3
√
( ) 2 (
3
√
5 5
x − 2 +8 = 2 x − 2 +8
3
√
5
x − 2 +8
)
(
3
√
5
= 2 x − 2 +8
) (
)
d
dx
d
dx
3
√
5
x − 2
3
√
5
( )
3
= 2 x − 2 +8 (
1 5
x − 2)
d
dx
−2/3 5
(x − 2)
3
√
5
( )
3
= 2 x − 2 +8 (
1 5 −2/ 3 4
x − 2) (5x )
Example
)2
Let f(x) =
(√3
x5 − 2 +8 . Find f′
(x).
Solution
d
dx
3
√
( ) 2 (
3
√
5 5
x − 2 +8 = 2 x − 2 +8
3
√
5
x − 2 +8
)
(
3
√
5
= 2 x − 2 +8
) (
)
d
dx
d
dx
3
√
5
x − 2
3
√
5
( )
3
= 2 x − 2 +8 (
1 5
x − 2)
d
dx
−2/3 5
(x − 2)
3
√
5
( )
3
= 2 x − 2 +8 (
1 5 −2/3 4
x − 2) (5x )
10
3
4 3
√
5
( )
= x x − 2 + 8 ( x − 2)
5 −2/3
A metaphor
5
`˛¸x
5
f(x) = x −
` √
3
˛
¸ x
2 +8
Think about peeling an onion:
(√3
) 2
` x
˛
+
¸
8
` ˛¸
2
( √
x
Image credit: p
)
3
f′
(x) = 2 3
x5 − 2 +8 (
1 5 −2/3 4
x − 2) (5x )
Combining techniques
Example
d
dx
(
Find ( 3 10 2
x +1) sin(4x − 7)
)
Combining techniques
Example
d
dx
(
Find ( 3 10 2
x +1) sin(4x − 7)
)
Solution
The “last” part of the function is the product, so we apply the
product rule. Each factor’s derivative requires the chain rule:
Combining techniques
Example
d
dx
(
Find ( 3 10 2
x +1) sin(4x − 7)
)
Solution
The “last” part of the function is the product, so we apply the
product rule. Each factor’s derivative requires the chain rule:
d
dx
3 10
(x +1) · sin( 2
4x − 7)
( )
(
d
dx
= ( 3 10
)
x +1) ·sin( 2 3 10
4x −7)+(x +1) ·
(
d
dx
sin( 2
4x − 7)
)
Combining techniques
Example
d
dx
(
Find ( 3 10 2
x +1) sin(4x − 7)
)
Solution
The “last” part of the function is the product, so we apply the
product rule. Each factor’s derivative requires the chain rule:
d
dx
3 10
(x +1) · sin( 2
4x − 7)
( )
(
d
dx
= (
)
3 10 2 3 10
x +1) ·sin(4x −7)+(x +1) ·
(
d
dx
2
sin(4x − 7)
)
= 10(x3 +1)9(3x2)sin(4x2 − 7)+(x3 +1)10 · cos(4x2 − 7)(8x)
Your Turn
Find derivatives of these functions:
1. y = (1 − x2)10
2. y =
√
sin x
3. y = sin
√
x
4. y = (2x − 5)4(8x2 − 5)−3
5. F(z) =
√
z − 1
z + 1
6. y = tan(cosx)
7. y = csc2(sin θ)
8. y = sin(sin(sin(sin(sin(sin(x))))))
Solution to #1
Example
Find the derivative of y = (1 − x2)10.
Solution
y′ = 10(1 − x2)9(−2x) = −20x(1 − x2)9
Solution to #2
Example
Find the derivative of y =
√
sin x.
Solution
√ 1/2
Writing sin x as (sinx) , we have
′ 1 −1/2 cos x
y = 2 (sin x) (cosx) =
2
√
sin x
Solution to #3
Example
Find the derivative of y = sin
√
x.
Solution
′ d 1/2 1/2 1 −1/2
y =
dx
sin(x ) = cos(x )2 x =
cos
(√
x
)
2
√
x
Solution to #4
Example
Find the derivative of y = (2x − 5)4(8x2 − 5)−3
Solution
We need to use the product rule and the chain rule:
y′ = 4(2x − 5)3(2)(8x2 − 5)−3 + (2x − 5)4(−3)(8x2 − 5)−4(16x)
The rest is a bit of algebra, useful if you wanted to solve the
equation y′ = 0:
y′ = 8(2x − 5)3(8x2 − 5)−4 [
(8x2 − 5) − 6x(2x − 5)
]
= 8(2x − 5)3(8x2 − 5)−4 (
−4x2 + 30x − 5
)
= −8(2x − 5)3(8x2 − 5)−4 (
4x2 − 30x + 5
)
Solution to #5
Example
√
Find the derivative of F(z) =
z + 1
z − 1
.
Solution
y′ =
2
(
1 z − 1
z + 1
)−1/2 (
(z + 1)(1) − (z − 1)(1)
(z + 1)2
)
=
2
(
1 z + 1
z − 1
)1/2 (
(z + 1)2 =
(z + 1)3/2(z − 1)1/2
)
2 1
Solution to #6
Example
Find the derivative of y = tan(cosx).
Solution
y′ = sec2(cos x)· (− sin x) = − sec2(cos x)sin x
Solution to #7
Example
Find the derivative of y = csc2(sin θ).
Solution
Remember the notation:
y = csc2(sin θ) = [csc(sin θ)]2
So
y′ = 2 csc(sin θ)· [− csc(sin θ)cot(sin θ)]· cos(θ)
= −2 csc2(sin θ)cot(sin θ)cos θ
Solution to #8
Example
Find the derivative of y = sin(sin(sin(sin(sin(sin(x)))))).
Solution
Relax! It’s just a bunch of chain rules. All of these lines are
multiplied together.
y′ = cos(sin(sin(sin(sin(sin(x))))))
· cos(sin(sin(sin(sin(x)))))
· cos(sin(sin(sin(x))))
· cos(sin(sin(x)))
· cos(sin(x))
· cos(x))
Outline
Heuristics
Analogy
The Linear Case
The chain rule
Examples
Related rates of change
Related rates of change
Question
The area of a circle, A = πr2,
changes as its radius
changes. If the radius
changes with respect to time,
the change in area with
respect to time is
dr
A.
dA
= 2πr
dA dr
B.
dt
= 2πr +
dt
C.
dA
= 2πr
dr
dt dt
D. not enough information
Image
Related rates of change
Question
The area of a circle, A = πr2,
changes as its radius
changes. If the radius
changes with respect to time,
the change in area with
respect to time is
dr
A.
dA
= 2πr
dA dr
B.
dt
= 2πr +
dt
C.
dA
= 2πr
dr
dt dt
D. not enough information
Image
What have we learned today?
) The derivative of a
composition is the
product of derivatives
) In symbols:
(f ◦ g)′(x) = f′
(g(x))g′(x)
) Calculus is like an
onion, and not because
it makes you cry!

lesson10-thechainrule034slides-091006133832-phpapp01.pptx

  • 1.
  • 2.
    Compositions Definition If f andg are functions, the composition (f ◦ g)(x) = f(g(x)) means “do g first, then f.”
  • 3.
    Compositions Definition If f andg are functions, the composition (f◦ g)(x) = f(g(x)) means “do g first, then f.” g x g(x)
  • 4.
    Compositions See Section 1.2for review Definition If f and g are functions, the composition (f◦ g)(x) = f(g(x)) means “do g first, then f.” g f x g(x)
  • 5.
    Compositions See Section 1.2for review Definition If f and g are functions, the composition (f◦ g)(x) = f(g(x)) means “do g first, then f.” g f x g(x) f(g(x))
  • 6.
    Compositions See Section 1.2for review Definition If f and g are functions, the composition (f◦ g)(x) = f(g(x)) means “do g first, then f.” g f x f(g(x)) f◦ g(x g )
  • 7.
    Compositions See Section 1.2for review Definition If f and g are functions, the composition (f◦ g)(x) = f(g(x)) means “do g first, then f.” g f x f(g(x)) f◦ g(x g ) Our goal for the day is to understand how the derivative of the composition of two functions depends on the derivatives of the individual functions.
  • 8.
    Outline Heuristics Analogy The Linear Case Thechain rule Examples Related rates of change
  • 9.
    Analogy Think about ridinga bike. To go faster you can either: Image credit: SpringSun
  • 10.
    Analogy Think about ridinga bike. To go faster you can either: ) pedal faster Image credit: SpringSun
  • 11.
    Analogy Think about ridinga bike. To go faster you can either: ) pedal faster ) change gears Image credit: SpringSun
  • 12.
    Analogy Think about ridinga bike. To go faster you can either: ) pedal faster ) change gears The angular position (φ) of the back wheel depends on the position of the front sprocket (θ): And so the angular speed of the back wheel depends on the derivative of this function and the speed of the front wheel. Image credit: SpringSun φ(θ) = Rθ r
  • 13.
    The Linear Case Question Letf(x) = mx + b and g(x) = m′x + b′ . What can you say about the composition?
  • 14.
    The Linear Case Question Letf(x) = mx + b and g(x) = m′x + b′ . What can you say about the composition? Answer ) f(g(x)) = m(m′x + b′ ) + b = (mm′)x + (mb′ + b)
  • 15.
    The Linear Case Question Letf(x) = mx + b and g(x) = m′x + b′ . What can you say about the composition? Answer ) f(g(x)) = m(m′x + b′ ) + b = (mm′)x + (mb′ + b) ) The composition is also linear
  • 16.
    The Linear Case Question Letf(x) = mx + b and g(x) = m′x + b′ . What can you say about the composition? Answer ) f(g(x)) = m(m′x + b′ ) + b = (mm′)x + (mb′ + b) ) The composition is also linear ) The slope of the composition is the product of the slopes of the two functions.
  • 17.
    The Linear Case Question Letf(x) = mx + b and g(x) = m′x + b′ . What can you say about the composition? Answer ) f(g(x)) = m(m′x + b′ ) + b = (mm′)x + (mb′ + b) ) The composition is also linear ) The slope of the composition is the product of the slopes of the two functions. The derivative is supposed to be a local linearization of a function. So there should be an analog of this property in derivatives.
  • 18.
    The Nonlinear Case Seethe Mathematica applet Let u = g(x) and y = f(u). Suppose x is changed by a small amount ∆x. Then ∆y ≈ f′ (y)∆u and ∆u ≈ g′(u)∆x. So ∆y ≈ f′ (y)g′(u)∆x =⇒ ∆y ∆x ≈ f′ (y)g′(u)
  • 19.
    Outline Heuristics Analogy The Linear Case Thechain rule Examples Related rates of change
  • 20.
    Theorem of theday: The chain rule Theorem Let f and g be functions, with g differentiable at x and f differentiable at g(x). Then f◦ g is differentiable at x and (f ◦ g)′(x) = f′ (g(x))g′(x) In Leibnizian notation, let y = f(u) and u = g(x). Then dy dy du dx = du dx
  • 21.
    Observations ) Succinctly, thederivative of a composition is the product of the derivatives Image credit:
  • 22.
    Theorem of theday: The chain rule Theorem Let f and g be functions, with g differentiable at x and f differentiable at g(x). Then f◦ g is differentiable at x and (f ◦ g)′(x) = f′ (g(x))g′(x) In Leibnizian notation, let y = f(u) and u = g(x). Then dy dy du dx = du dx
  • 23.
    Observations ) Succinctly, thederivative of a composition is the product of the derivatives ) The only complication is where these derivatives are evaluated: at the same point the functions are Image credit:
  • 24.
    Compositions See Section 1.2for review Definition If f and g are functions, the composition (f◦ g)(x) = f(g(x)) means “do g first, then f.” g f x f(g(x)) f◦ g(x g )
  • 25.
    Observations ) Succinctly, thederivative of a composition is the product of the derivatives ) The only complication is where these derivatives are evaluated: at the same point the functions are ) In Leibniz notation, the Chain Rule looks like cancellation of (fake) fractions Image credit:
  • 26.
    Theorem of theday: The chain rule Theorem Let f and g be functions, with g differentiable at x and f differentiable at g(x). Then f◦ g is differentiable at x and (f ◦ g)′(x) = f′ (g(x))g′(x) In Leibnizian notation, let y = f(u) and u = g(x). Then dy dy du dx = du dx
  • 27.
    Theorem of theday: The chain rule dy dy du dx = du dx Theorem Let f and g be functions, with g differentiable at x and f differentiable at g(x). Then f◦ g is differentiable at x and (f ◦ g)′(x) = f′ (g(x))g′(x) In Leibnizian notation, let y = f(u) and u = dy g( / d x / u ). Then / d / u dx
  • 28.
    Outline Heuristics Analogy The Linear Case Thechain rule Examples Related rates of change
  • 29.
  • 30.
    Example Example let h(x) = √ 3x2+1. Find h′ (x). Solution First, write h as f◦ g.
  • 31.
    Example Example let h(x) = √ 3x2+1. Find h′ (x). Solution √ 2 First, write h as f◦ g. Let f(u) = u and g(x) = 3x + 1.
  • 32.
    Example Example let h(x) = √ 3x2+1. Find h′ (x). Solution √ 2 First, write h as f◦ g. Let f(u) = u and g(x) = 3x +1. Then 2 f′ (u) = 1u−1/2, and g′(x) = 6x. So 2 h′ (x) = 1 u−1/2(6x)
  • 33.
    Example Example let h(x) = √ 3x2+1. Find h′ (x). Solution √ 2 First, write h as f◦ g. Let f(u) = u and g(x) = 3x +1. Then 2 f′ (u) = 1u−1/2, and g′(x) = 6x. So (x) = h′ u− 1 1/2 2 2 (6x) = ( 1 2 −1/2 3x 3x +1) (6x) = √ 3x2 + 1
  • 34.
    Corollary Corollary (The PowerRule Combined with the Chain Rule) If n is any real number and u = g(x) is differentiable, then d du dx (un) = nun−1 dx .
  • 35.
    Does order matter? Example Find d (sin4x) and compare it to d (4 sin x). dx dx
  • 36.
    Does order matter? Example Find d (sin4x) and compare it to d (4 sin x). dx dx Solution ) For the first, let u = 4x and y = sin(u). Then dy dy du dx = du · dx = cos(u)· 4 = 4 cos 4x.
  • 37.
    Does order matter? Example Find d (sin4x) and compare it to d (4 sin x). dx dx Solution ) For the first, let u = 4x and y = sin(u). Then dy dy du dx = du · dx = cos(u)· 4 = 4 cos 4x. ) For the second, let u = sin x and y = 4u. Then dy dy du dx = du · dx = 4 · cos x
  • 38.
    Order matters! Example Find d (sin 4x)and compare it to d (4 sin x). dx dx Solution ) For the first, let u = 4x and y = sin(u). Then dy dy du dx = du · dx = cos(u)· 4 = 4 cos 4x. ) For the second, let u = sin x and y = 4u. Then dy dy du dx = du · dx = 4 · cos x
  • 39.
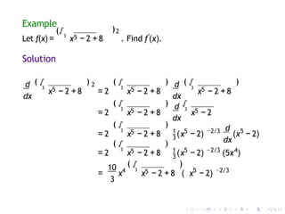
    Example )2 Let f(x) = (√3 x5− 2 +8 . Find f′ (x).
  • 40.
    Example )2 Let f(x) = (√3 x5− 2 +8 . Find f′ (x). Solution d dx 3 √ ( ) 2 ( 3 √ 5 5 x − 2 +8 = 2 x − 2 +8 d dx ) ( 3 √ 5 x − 2 +8 )
  • 41.
    Example )2 Let f(x) = (√3 x5− 2 +8 . Find f′ (x). Solution d dx 3 √ ( ) 2 ( 3 √ 5 5 x − 2 +8 = 2 x − 2 +8 3 √ 5 x − 2 +8 ) ( 3 √ 5 = 2 x − 2 +8 ) ( ) d dx d dx 3 √ 5 x − 2
  • 42.
    Example )2 Let f(x) = (√3 x5− 2 +8 . Find f′ (x). Solution d dx 3 √ ( ) 2 ( 3 √ 5 5 x − 2 +8 = 2 x − 2 +8 3 √ 5 x − 2 +8 ) ( 3 √ 5 = 2 x − 2 +8 ) ( ) d dx d dx 3 √ 5 x − 2 3 √ 5 ( ) 3 = 2 x − 2 +8 (x − 2) d dx 1 5 −2/3 5 (x − 2)
  • 43.
    Example )2 Let f(x) = (√3 x5− 2 +8 . Find f′ (x). Solution d dx 3 √ ( ) 2 ( 3 √ 5 5 x − 2 +8 = 2 x − 2 +8 3 √ 5 x − 2 +8 ) ( 3 √ 5 = 2 x − 2 +8 ) ( ) d dx d dx 3 √ 5 x − 2 3 √ 5 ( ) 3 = 2 x − 2 +8 ( 1 5 x − 2) d dx −2/3 5 (x − 2) 3 √ 5 ( ) 3 = 2 x − 2 +8 ( 1 5 −2/ 3 4 x − 2) (5x )
  • 44.
    Example )2 Let f(x) = (√3 x5− 2 +8 . Find f′ (x). Solution d dx 3 √ ( ) 2 ( 3 √ 5 5 x − 2 +8 = 2 x − 2 +8 3 √ 5 x − 2 +8 ) ( 3 √ 5 = 2 x − 2 +8 ) ( ) d dx d dx 3 √ 5 x − 2 3 √ 5 ( ) 3 = 2 x − 2 +8 ( 1 5 x − 2) d dx −2/3 5 (x − 2) 3 √ 5 ( ) 3 = 2 x − 2 +8 ( 1 5 −2/3 4 x − 2) (5x ) 10 3 4 3 √ 5 ( ) = x x − 2 + 8 ( x − 2) 5 −2/3
  • 45.
    A metaphor 5 `˛¸x 5 f(x) =x − ` √ 3 ˛ ¸ x 2 +8 Think about peeling an onion: (√3 ) 2 ` x ˛ + ¸ 8 ` ˛¸ 2 ( √ x Image credit: p ) 3 f′ (x) = 2 3 x5 − 2 +8 ( 1 5 −2/3 4 x − 2) (5x )
  • 46.
    Combining techniques Example d dx ( Find (3 10 2 x +1) sin(4x − 7) )
  • 47.
    Combining techniques Example d dx ( Find (3 10 2 x +1) sin(4x − 7) ) Solution The “last” part of the function is the product, so we apply the product rule. Each factor’s derivative requires the chain rule:
  • 48.
    Combining techniques Example d dx ( Find (3 10 2 x +1) sin(4x − 7) ) Solution The “last” part of the function is the product, so we apply the product rule. Each factor’s derivative requires the chain rule: d dx 3 10 (x +1) · sin( 2 4x − 7) ( ) ( d dx = ( 3 10 ) x +1) ·sin( 2 3 10 4x −7)+(x +1) · ( d dx sin( 2 4x − 7) )
  • 49.
    Combining techniques Example d dx ( Find (3 10 2 x +1) sin(4x − 7) ) Solution The “last” part of the function is the product, so we apply the product rule. Each factor’s derivative requires the chain rule: d dx 3 10 (x +1) · sin( 2 4x − 7) ( ) ( d dx = ( ) 3 10 2 3 10 x +1) ·sin(4x −7)+(x +1) · ( d dx 2 sin(4x − 7) ) = 10(x3 +1)9(3x2)sin(4x2 − 7)+(x3 +1)10 · cos(4x2 − 7)(8x)
  • 50.
    Your Turn Find derivativesof these functions: 1. y = (1 − x2)10 2. y = √ sin x 3. y = sin √ x 4. y = (2x − 5)4(8x2 − 5)−3 5. F(z) = √ z − 1 z + 1 6. y = tan(cosx) 7. y = csc2(sin θ) 8. y = sin(sin(sin(sin(sin(sin(x))))))
  • 51.
    Solution to #1 Example Findthe derivative of y = (1 − x2)10. Solution y′ = 10(1 − x2)9(−2x) = −20x(1 − x2)9
  • 52.
    Solution to #2 Example Findthe derivative of y = √ sin x. Solution √ 1/2 Writing sin x as (sinx) , we have ′ 1 −1/2 cos x y = 2 (sin x) (cosx) = 2 √ sin x
  • 53.
    Solution to #3 Example Findthe derivative of y = sin √ x. Solution ′ d 1/2 1/2 1 −1/2 y = dx sin(x ) = cos(x )2 x = cos (√ x ) 2 √ x
  • 54.
    Solution to #4 Example Findthe derivative of y = (2x − 5)4(8x2 − 5)−3 Solution We need to use the product rule and the chain rule: y′ = 4(2x − 5)3(2)(8x2 − 5)−3 + (2x − 5)4(−3)(8x2 − 5)−4(16x) The rest is a bit of algebra, useful if you wanted to solve the equation y′ = 0: y′ = 8(2x − 5)3(8x2 − 5)−4 [ (8x2 − 5) − 6x(2x − 5) ] = 8(2x − 5)3(8x2 − 5)−4 ( −4x2 + 30x − 5 ) = −8(2x − 5)3(8x2 − 5)−4 ( 4x2 − 30x + 5 )
  • 55.
    Solution to #5 Example √ Findthe derivative of F(z) = z + 1 z − 1 . Solution y′ = 2 ( 1 z − 1 z + 1 )−1/2 ( (z + 1)(1) − (z − 1)(1) (z + 1)2 ) = 2 ( 1 z + 1 z − 1 )1/2 ( (z + 1)2 = (z + 1)3/2(z − 1)1/2 ) 2 1
  • 56.
    Solution to #6 Example Findthe derivative of y = tan(cosx). Solution y′ = sec2(cos x)· (− sin x) = − sec2(cos x)sin x
  • 57.
    Solution to #7 Example Findthe derivative of y = csc2(sin θ). Solution Remember the notation: y = csc2(sin θ) = [csc(sin θ)]2 So y′ = 2 csc(sin θ)· [− csc(sin θ)cot(sin θ)]· cos(θ) = −2 csc2(sin θ)cot(sin θ)cos θ
  • 58.
    Solution to #8 Example Findthe derivative of y = sin(sin(sin(sin(sin(sin(x)))))). Solution Relax! It’s just a bunch of chain rules. All of these lines are multiplied together. y′ = cos(sin(sin(sin(sin(sin(x)))))) · cos(sin(sin(sin(sin(x))))) · cos(sin(sin(sin(x)))) · cos(sin(sin(x))) · cos(sin(x)) · cos(x))
  • 59.
    Outline Heuristics Analogy The Linear Case Thechain rule Examples Related rates of change
  • 60.
    Related rates ofchange Question The area of a circle, A = πr2, changes as its radius changes. If the radius changes with respect to time, the change in area with respect to time is dr A. dA = 2πr dA dr B. dt = 2πr + dt C. dA = 2πr dr dt dt D. not enough information Image
  • 61.
    Related rates ofchange Question The area of a circle, A = πr2, changes as its radius changes. If the radius changes with respect to time, the change in area with respect to time is dr A. dA = 2πr dA dr B. dt = 2πr + dt C. dA = 2πr dr dt dt D. not enough information Image
  • 62.
    What have welearned today? ) The derivative of a composition is the product of derivatives ) In symbols: (f ◦ g)′(x) = f′ (g(x))g′(x) ) Calculus is like an onion, and not because it makes you cry!