3.1 Derivative of a Function
What you’ll learn
•Definition of a derivative
•Notation
•Relationships between the graphs of f and f’
•Graphing the derivative from data
•One-sided derivatives
Why? The derivative gives the value of the slope of the tangent
line to a curve at a point – rate of change!
( ) ( )
0
lim
h
f a h f a
h→
+ −
is called the derivative of at .f a
We write: ( )
( ) ( )
0
lim
h
f x h f x
f x
h→
+ −
′ =
“The derivative of f with respect to x is …”
There are many ways to write the derivative of ( )y f x=
→
What is a Derivative?
In chapter 2 we defined the slope of the curve y=f(x) at the point where
x = a to be
When it exists, this limit is called “the derivative of f at a.” Now we will
look at the derivative as a function derived from f by considering the
limit (slope) at each point of the domain of f.
The derivative of the function f with respect to the variable x is the
function f’ whose value at x is
Provided the limit exists.
h
afhaf
h
)()(
0
lim −+
→
h
xfhxf
h
xf
)()(
0
lim
)('
−+
→
=
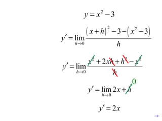
2
3y x= −
( ) ( )2 2
0
3 3
lim
h
x h x
y
h→
+ − − −
′ =
2 2 2
0
2
lim
h
x xh h x
y
h→
+ + −
′ =
2y x′ =
0
lim2
h
y x h
→
′ = +
0
→
A function is differentiable if it has a
derivative everywhere in its domain. It
must be continuous and smooth.
Functions on closed intervals must have
one-sided derivatives defined at the end
points.
π
Use the definition of derivative to find the
derivative of f(x) = x2
.
h
xfhxf
h
xf
)()(
0
lim
)('
−+
→
=
Derivative at a Point
The derivative of the function f at the point
x = a is the limit
Provided the limit exists.
ax
afxf
ax
xf
−
−
→
=
)()(lim
)('
Differentiate f(x) = x
ax
afxf
ax
xf
−
−
→
=
)()(lim
)('
Notation
There are lots of ways to denote the derivative of a function y = f(x).
f’(x) the derivative of f
the derivative of f with
y’ y prime respect to x.
the derivative of y the derivative of f at x
with respect to x.dx
dy
dx
df
)(xf
dx
d
dx does not mean d times x !
dy does not mean d times y !
→
dy
dx does not mean !dy dx÷
(except when it is convenient to think of it as division.)
df
dx
does not mean !df dx÷
(except when it is convenient to think of it as division.)
→
(except when it is convenient to treat it that way.)
( )
d
f x
dx
does not mean times !
d
dx
( )f x
→
Relationship between the graphs of f and f’
When we have a formula for f(x), we can derive a formula for f’(x) using
methods like examples 1 & 2. Because we think of the derivative at
a point in graphical terms as slope, we can get a good idea of what
the graph of the function f’ looks like by estimating the slopes at
various points along the graph of f.
How?
Draw the axis, marking the horizontal axis as x-units and the vertical
axis as slope units.
Estimate the slope of the graph of f(x) at various points, plotting the
slope values using the new axis.
Connect the plotted points with a smooth curve.
( )y f x=
( )y f x′=
The derivative
is the slope of
the original
function.
The derivative is defined at the end points
of a function on a closed interval.
→
Comparison: f and f’
Graph of f
• Increasing
• Decreasing
• Maximum or minimum
value
(when slope = 0)
Graph of f’
• Positive
(above x axis)
• Negative
(below x axis)
• Zero
You try: Graphing f from f’
Sketch the graph of a function f that has the following properties:
i) f(0) = 0
ii) The graph of f’, the derivative of f, is shown in F 3.4
iii) F is continuous for all x.
If f ’ is constant, f will be linear with that slope.
If f ’ is discontinuous, f is not differentiable at that point.
Anywhere f ’ is positive, f is increasing.
Anywhere f ’ is negative, f is decreasing.
Anywhere f ’=0, f has a maximum or minimum value.
Homework
p105 1-19(odds), 14, 16
Opener
p108 Exercises 36-41
No Calculator!
Graphing the Derivative from Data
You are given a table of data.
Create a second table, finding the slopes
between each data points.
Plot f’(x) by plotting your points
(midpoint between 2 data points, slope at midpoint)
])/[],([ 21 xyxx ∆∆−
Practice
Data Table
0 0
5 0.027
10 0.117
15 0.253
20 0.411
25 0.569
30 0.706
Estimates of slopes at
midpoints
One-Sided Derivatives
A function y = f(x) is differentiable on a closed interval [a,b]
if it has a derivative at every interior point of the interval
and if the right hand derivative at a and the left hand
derivative at b exist.
As with limits, if the functions right-hand and left-hand
derivatives exist and are equal at a point, then the
function is differentiable at that point.
One-Sided Derivatives can Differ at a Point.
Show that the following function is not
differentiable at x = 0.
0,2
0,
{
2
>
≤
=
xx
xx
y
Homework
page 105
Exercises 21-31 (odds)
Graph derivatives from functions
worksheet

3.1 derivative of a function

  • 1.
    3.1 Derivative ofa Function What you’ll learn •Definition of a derivative •Notation •Relationships between the graphs of f and f’ •Graphing the derivative from data •One-sided derivatives Why? The derivative gives the value of the slope of the tangent line to a curve at a point – rate of change!
  • 2.
    ( ) () 0 lim h f a h f a h→ + − is called the derivative of at .f a We write: ( ) ( ) ( ) 0 lim h f x h f x f x h→ + − ′ = “The derivative of f with respect to x is …” There are many ways to write the derivative of ( )y f x= →
  • 3.
    What is aDerivative? In chapter 2 we defined the slope of the curve y=f(x) at the point where x = a to be When it exists, this limit is called “the derivative of f at a.” Now we will look at the derivative as a function derived from f by considering the limit (slope) at each point of the domain of f. The derivative of the function f with respect to the variable x is the function f’ whose value at x is Provided the limit exists. h afhaf h )()( 0 lim −+ → h xfhxf h xf )()( 0 lim )(' −+ → =
  • 4.
    2 3y x= − () ( )2 2 0 3 3 lim h x h x y h→ + − − − ′ = 2 2 2 0 2 lim h x xh h x y h→ + + − ′ = 2y x′ = 0 lim2 h y x h → ′ = + 0 →
  • 5.
    A function isdifferentiable if it has a derivative everywhere in its domain. It must be continuous and smooth. Functions on closed intervals must have one-sided derivatives defined at the end points. π
  • 6.
    Use the definitionof derivative to find the derivative of f(x) = x2 . h xfhxf h xf )()( 0 lim )(' −+ → =
  • 7.
    Derivative at aPoint The derivative of the function f at the point x = a is the limit Provided the limit exists. ax afxf ax xf − − → = )()(lim )('
  • 8.
    Differentiate f(x) =x ax afxf ax xf − − → = )()(lim )('
  • 9.
    Notation There are lotsof ways to denote the derivative of a function y = f(x). f’(x) the derivative of f the derivative of f with y’ y prime respect to x. the derivative of y the derivative of f at x with respect to x.dx dy dx df )(xf dx d
  • 10.
    dx does notmean d times x ! dy does not mean d times y ! →
  • 11.
    dy dx does notmean !dy dx÷ (except when it is convenient to think of it as division.) df dx does not mean !df dx÷ (except when it is convenient to think of it as division.) →
  • 12.
    (except when itis convenient to treat it that way.) ( ) d f x dx does not mean times ! d dx ( )f x →
  • 13.
    Relationship between thegraphs of f and f’ When we have a formula for f(x), we can derive a formula for f’(x) using methods like examples 1 & 2. Because we think of the derivative at a point in graphical terms as slope, we can get a good idea of what the graph of the function f’ looks like by estimating the slopes at various points along the graph of f. How? Draw the axis, marking the horizontal axis as x-units and the vertical axis as slope units. Estimate the slope of the graph of f(x) at various points, plotting the slope values using the new axis. Connect the plotted points with a smooth curve.
  • 14.
    ( )y fx= ( )y f x′= The derivative is the slope of the original function. The derivative is defined at the end points of a function on a closed interval. →
  • 15.
    Comparison: f andf’ Graph of f • Increasing • Decreasing • Maximum or minimum value (when slope = 0) Graph of f’ • Positive (above x axis) • Negative (below x axis) • Zero
  • 16.
    You try: Graphingf from f’ Sketch the graph of a function f that has the following properties: i) f(0) = 0 ii) The graph of f’, the derivative of f, is shown in F 3.4 iii) F is continuous for all x. If f ’ is constant, f will be linear with that slope. If f ’ is discontinuous, f is not differentiable at that point. Anywhere f ’ is positive, f is increasing. Anywhere f ’ is negative, f is decreasing. Anywhere f ’=0, f has a maximum or minimum value.
  • 17.
  • 18.
  • 19.
    Graphing the Derivativefrom Data You are given a table of data. Create a second table, finding the slopes between each data points. Plot f’(x) by plotting your points (midpoint between 2 data points, slope at midpoint) ])/[],([ 21 xyxx ∆∆−
  • 20.
    Practice Data Table 0 0 50.027 10 0.117 15 0.253 20 0.411 25 0.569 30 0.706 Estimates of slopes at midpoints
  • 21.
    One-Sided Derivatives A functiony = f(x) is differentiable on a closed interval [a,b] if it has a derivative at every interior point of the interval and if the right hand derivative at a and the left hand derivative at b exist. As with limits, if the functions right-hand and left-hand derivatives exist and are equal at a point, then the function is differentiable at that point.
  • 22.
    One-Sided Derivatives canDiffer at a Point. Show that the following function is not differentiable at x = 0. 0,2 0, { 2 > ≤ = xx xx y
  • 23.
    Homework page 105 Exercises 21-31(odds) Graph derivatives from functions worksheet