Embed presentation
Downloaded 15 times









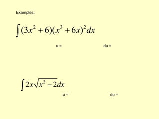
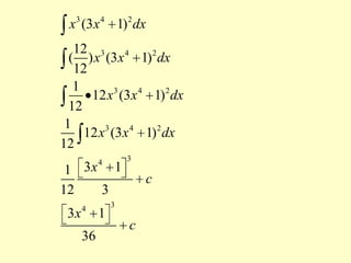
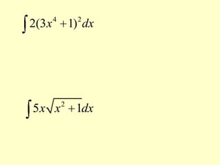
The general power rule allows one to integrate functions where the function is raised to a power by treating it as the product of that function and its derivative, raised to the same power minus one, divided by that new power. For example, to integrate x^3 one would write the integral as x^2 * dx / 2. However, the general power rule does not always work, so an alternative is to use u-substitution to substitute the function for a variable u and the derivative of the function for du before integrating.








