Reduction
• On reduction with sodium amalgam glucose is
  converted into polyhydric alcohol-sorbitol
• Fructose into 2 isomeric products sorbitol and
  mannitol


                                        Sorbitol




                                        Mannitol
Reaction of glucose with weak alkali
 In the presence of weak alkali glucose in
   converted into fructose and vice versa
Reaction of carbonyl group
Glucose and fructose condense with hydroxyl amine and
  phenyl hydrazine to produce oximes and osazones
Reaction with non-reducing agents
• Pentoses on heating with HCl/H2SO4 produce
furfural-aldehyde of furan, whereas hexoses
produce hydroxy methyl furfural
• This provides the basis of tests such as
Molisch’s test, Anthrone test, Salivonoff test etc.
Cont’d
Reaction with calcium hydroxide
On reacting with calcium hydroxide, glucose produces calcium
glucosate

                           + Ca (OH)2
Fermentation
Both glucose and fructose are attacked by
 enzymes of yeast to produce ethyl alcohol and
 carbon dioxide

  C6H12O6     → 2C2H5OH + 2CO2
Reaction with acetone

      2 acetone


      -2 H2O
Methylation
On methylation glucose produces glucosides or
glycosides
Configuration of monosaccharides
• Due to presence of asymmetric carbon
  monosaccharides rotate the plane polarized light
  either toward right or left
• Those rotating towards right are dextrorotatory
  (d or +) and those towards left are levorotatory
  (l, -)
• (d and l) isomers are mirror image of each other
  when substituents are arranged in space
• D and L are used in place of + and – with
  reference to glyceraldehyde- the farthest
  asymmetric or penultimate carbon
• Aldoses with at least three carbons and ketoses
  with at least four carbons contain chiral centres
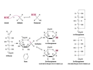
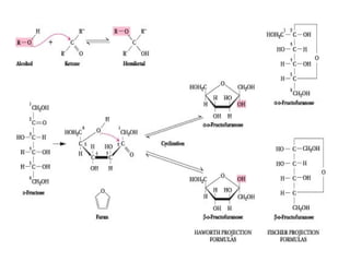
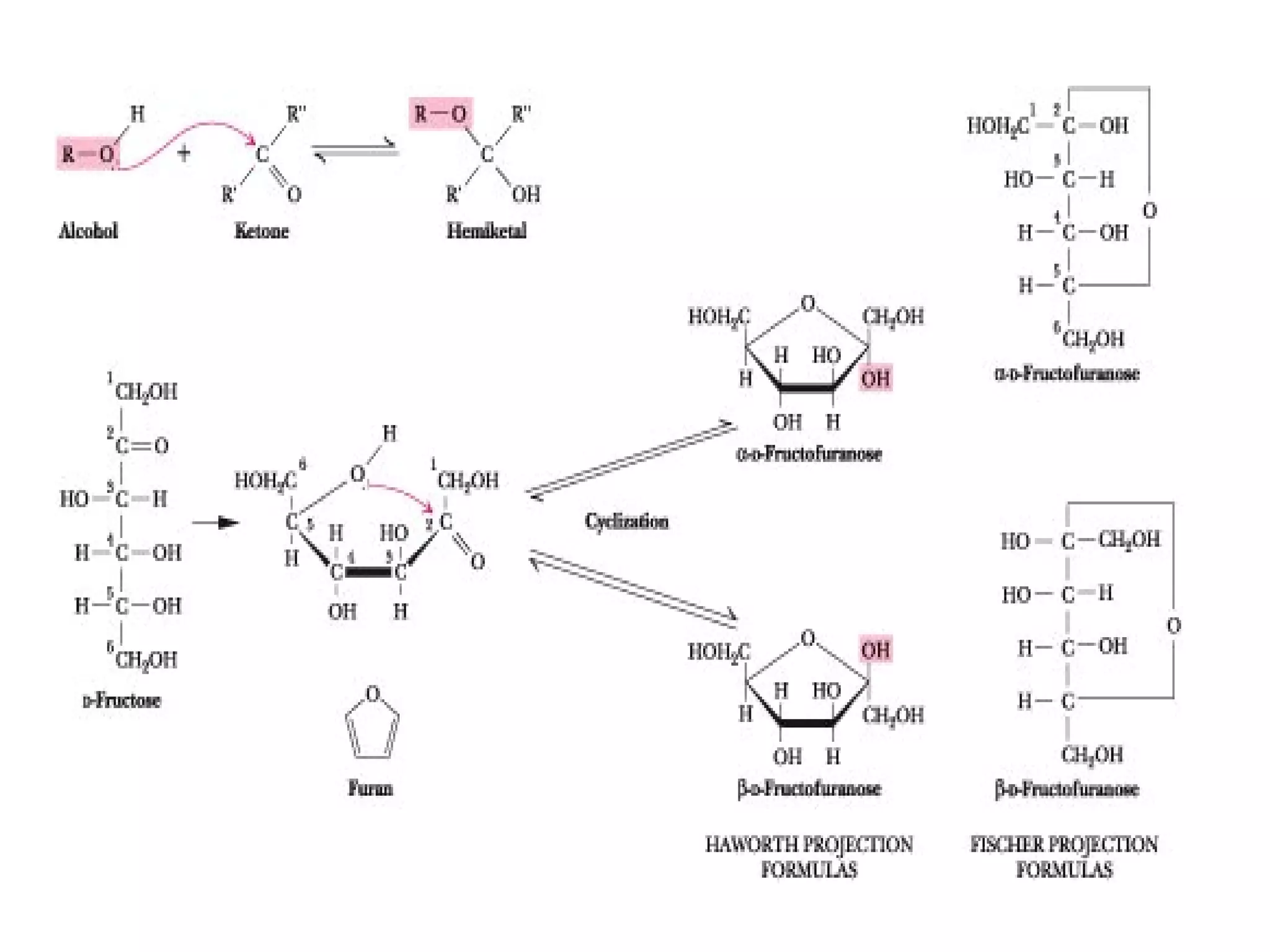
Cyclic Structures and Anomeric Forms
• Although Fischer projections are useful for
  presenting the structures of particular
  monosaccharides and their stereoisomers ,
  they ignore one of the most interesting facts
  of sugar structure
  —the ability to form cyclic structures with
  formation of an additional asymmetric
  centre
• Alcohols react readily with aldehydes to form
  hemiacetals
  – A British Chemist Sir Norman Haworth showed that
    the linear form of glucose and other aldohexoses
    could undergo a similar intramolecular reaction to
    form a cyclic hemiacetal
  – The resulting six- membered, oxygen-containing ring
    is similar to pyran and is designated as pyranose-
    glucopyranose. The reaction is catalysed by acid or
    base and is readily reversible

                        Pyran
• An analogous intramolecular reaction of a ketose
  sugar such as fructose yields a cyclic hemiketal
• The five-membered ring thus formed is
  reminiscent of furan and is referred to as a
  furanose
• The cyclic pyranose and furanose forms are the
  preferred structures for monosaccharides in
  aqueous solution
• At equilibrium, the linear aldehyde or ketone
  structure is only a minor component of the
  mixture (generally much less than 1%)
• When hemiacetals and hemiketals are formed,
  the carbon atom that carried the carbonyl
  function becomes an asymmetric carbon atom
  – Isomers of monosaccharides that differ only in their
    configuration about that carbon atom are called
    anomers, designated as α or β
• When the hydroxyl group at the anomeric carbon
  is on the same side of a Fischer projection as the
  oxygen atom at the highest numbered carbon,
  the configuration at the anomeric carbon is α, as
  in α-D-glucopyranose
• When the anomeric hydroxyl is on the
  opposite side of oxygen in the Fischer
  projection, the configuration is β, as in β-D-
  glucopyranose
Muta rotation
• The addition of this asymmetric centre upon
  hemiacetal and hemiketal formation alters
  the optical rotation properties of
  monosaccharides
  Early carbohydrate chemists frequently
  observed that the optical rotation of
  glucose (and other sugar) solutions could
  change with the time, a process called muta
  rotation. This indicated that a structural
  change was occurring
Muta rotation
• A freshly prepared D-glucose solution shows
  specific rotation of +111.5o which changes to
  +52.5o and becomes constant
• It was eventually found that α-D-glucose has a
  specific optical rotation, +111.5°, and that β
  -D-glucose has a specific optical rotation of
  +19.2°. When both of these are mixed in 38:
  62, specific rotation of +52.5 is obtained
Muta rotation
• Hence, naturally occurring glucose contains
  38% α and 62% β isomer
• Therefore,
  Muta rotation involves inter-conversion of
     α into β forms of the monosaccharide
     with intermediate formation of the linear
     aldehyde or ketone
Derivatives of Monosaccharides
• Sugar Acids
  Sugars with free anomeric carbon atoms are
  reasonably good reducing agents and reduce
  hydrogen peroxide, ferricyanide , certain
  metals (Cu2+ and Ag+), and other oxidizing
  agents. Such reactions convert the sugar to a
  sugar acid
• Sugar Alcohols
   – Prepared by the mild reduction of the
     carbonyl groups of aldoses and ketoses.
     Sugar alcohols are linear molecules that
     cannot cyclize in the manner of aldoses
   – Alditols are characteristically sweet
     tasting, and are widely used as
     sweetening agents
   – Sorbitol build-up in the eyes of diabetics
     is implicated in cataract formation
Deoxy Sugars



Phosphate esters
Amino Sugars
• D-glucosamine and D-galactosamine contain
  an amino group (instead of a hydroxyl group)
  at the C-2 position. They are found in many
  oligo- and polysaccharides, including chitin, a
  polysaccharide in the exoskeletons of insects
Storage Polysaccharides
• Storage polysaccharides are important
  carbohydrate forms in plants and animals
• It seems likely that organisms store carbohydrates
  in the form of polysaccharides rather than as
  monosaccharaides to lower the osmotic pressure
  of the sugar reserves
• Because, osmotic pressure depends only on
  numbers of molecules
  – Hence, the osmotic pressure is greatly reduced by
    formation of a few polysaccharide molecules out of
    thousands (or even millions) of monosaccharide units
Starch
• The most common storage polysaccharide in plants is
  starch, which has two components:
   – α-amylose
   – amylopectin
• Most forms of the starch in nature contain 10-30% α-
  amylose and 70-90% amylopectin
• α -Amylose is composed of linear chains of D-glucose in
  α(1-4) linkages. The chains are of varying lengths,
  having molecular weights from several thousand to half
  a million
• The chain has a reducing end and a non-
  reducing end
• Although poorly soluble in water, α -amylose
  forms micelles in which the polysaccharide
  chain adopts a helical conformation. Iodine
  reacts with α-amylose to give a characteristic
  blue colour, which arises from the insertion of
  iodine into the middle of the hydrophobic
  amylose helix
CH2OH                         6CH OH                    CH2OH                    CH2OH                     CH2OH
                                      2
             O                     5      O      H                   O            H           O    H       H            O    H
H                     H       H                          H                H
     H                             H                         H                        H                        H
     OH      H    1               4 OH     H 1               OH      H                OH      H                OH       H
                          O                          O                        O                        O                     OH
OH                                         2
                                       3
     H       OH                    H       OH                H       OH               H       OH                H       OH
                                                             amylose




Non-Reducing end
                                                                                                               Reducing end
• In contrast to α-amylose, amylopectin, the other
  component of typical starches, is a highly branched
  chain of glucose units
• Branches occur in these chains every 12 to 30
  residues
• The average branch length is between 24 and 30
  residues, and molecular weights of amylopectin
  molecules can range up to 100 million
• The linear linkages in amylopectin are α(1-4),
  whereas the branch linkages are α(1-6)
• As is the case for α-amylose , amylopectin forms
  micellar suspensions in water. Iodine reacts with
  such suspensions to produce a red-violet colour
Starch




     CH2OH                      6CH OH                    CH2OH                    CH2OH                    CH2OH
                                   2
             O                  5      O      H                   O            H           O    H       H           O    H
H                  H       H                          H                H
     H                          H                         H                        H                        H
     OH      H 1               4 OH     H 1               OH      H                OH      H                OH      H
                       O                          O                        O                        O                    OH
OH                                      2
                                    3
     H       OH                 H       OH                H       OH               H       OH               H       OH
                                                          amylose
Glycogen
• The major form of storage polysaccharide in
  animals is glycogen
• Glycogen is found mainly in the liver (where it
  may amount to as much as 10% of the liver mass)
  and skeletal muscle (where it accounts form
  1-2% of the muscle mass)
• Liver glycogen consists of granules containing
  highly branched molecules, with α(1-4) linkage in
  linear structure and α(1-6) linkage at branching,
  which occurrs every 8-12 glucose units
• Like amylopectin, glycogen yields a red-violet
  colour with iodine
• Glycogen can be hydrolyzed by α-amylase,
  yielding glucose
• It can also be hydrolyzed by glycogen
  phosphorylase, an enzyme present in liver and
  muscle tissue, to release glucose-1-phosphate
Structural polysaccharides
•   Cellulose
•   Chitin
•   Alginates
•   Agarose
•   Glycosaminoglycans
Cellulose
• The most abundant natural polymer found in the
  world
• Found in the cell walls of nearly all plants
• One of the principal components providing physical
  structural and strength
• Cotton is almost pure cellulose
• Cellulose is a linear homopolymer of D-glucose units,
  just as in α-amylose.
  • The structural difference, which completely alters the
    properties of the polymer, is that in cellulose the glucose
    units are linked by β(1-4)-glycosidic bonds, whereas in α -
    amylose the linkage is α(1-4)
CH2OH                         6CH OH                  CH2OH                    CH2OH                    CH2OH
                                       2
              O                     5      O                        O            H           O            H           O    OH
H                              H                        H
     H                              H                       H                        H                        H
     OH       H    1       O       4 OH   H 1       O       OH      H        O       OH      H        O       OH      H
OH                                                                       H                        H                        H
                       H                   2    H
                                     3
      H       OH                    H     OH                H       OH               H       OH               H       OH
                                                            cellulose

    β-linkages promote intra-chain
    and inter-chain H-bonds and van
    der Waals interactions, that
    cause cellulose chains to be
    straight & rigid, and pack with a                                    Schematic arrangement of
    crystalline arrangement in thick                                     cellulose chains in a microfibril.
    bundles - microfibrils
Glycosaminoglycans
• Previously called mucopolysaccharides
•Linear polymers of repeating disaccharides
  –The constituent monosaccharides tend to be modified,
  with acidic groups, amino groups, sulfated hydroxyl
  and amino groups, etc.
•Such compounds tend to be negatively
charged, because of the prevalence of acidic
groups
Hyaluronate (Hyaluronic acid)
•Hyaluronate is a glycosaminoglycan with a
repeating disaccharide consisting of 2 glucose
derivatives, D-glucuronic acid & N-acetyl-D-
glucosamine
•These monosaccharides are linked
through β(1→3) linkages
•Disaccharides are linked through β(1→4).
CH2OH
    D-glucuronate                6
              −            H         5    O
       6COO                       H
                           4                   1 O
                  O                       H
 H       5
        H                  OH                 H
4                 H    1             3    2
        OH
                       H          H       NHCOCH3
         3        2        O
        H         OH           N-acetyl-D-glucosamine
hyaluronate
Proteoglycans
• These are also glycosaminoglycans that are covalently
linked to serine residues of specific core proteins
•The glycosaminoglycan chain is synthesized by
sequential addition of sugar residues to the core
protein
Heparan sulfate is initially synthesized on a membrane-
embedded core protein as a polymer of alternating N-
acetylglucosamine and glucuronate residues.
Later, in segments of the polymer, glucuronate
residues may be converted to the sulfated sugar
iduronate 2-sulfate, while N-acetylglucosamine
residues may be sulfated- N-sulfo-glucosamine-6-
sulfate

           iduronate-2-sulfate       N-sulfo-glucosamine-6-sulfate
               H                             CH2OSO3−

       H                O                H           O     H
                   −
               COO                           H
               OH       H            O       OH      H
                                 H                             O

               H        OSO3−                H       NHSO3−
       heparin or heparan sulfate - examples of residues
Heparin, a soluble glycosaminoglycan found in granules
of mast cells, has a structure similar to that of heparan
sulfates, but is more highly sulfated
When released into the blood, it inhibits clot formation
by interacting with the protein antithrombin.
Heparin has an extended helical conformation


Charge repulsion by the many negatively charged
groups may contribute to this conformation
Some proteoglycans of the extracellular matrix bind
non-covalently to hyaluronate via protein domains called
link modules. E.g.
  • Multiple copies of the aggrecan proteoglycan
    associate with hyaluronate in cartilage to form large
    complexes
  • Versican, another proteoglycan, binds hyaluronate in
    the extracellular matrix of loose connective tissues.

                                           CH2OH
             D-glucuronate                6
                       −            H         5    O
                6COO                       H
                                    4                   1 O
                           O                       H
          H       5
                 H                  OH                 H
         4                 H    1             3    2
                 OH
                                H          H       NHCOCH3
                  3        2        O
                 H         OH           N-acetyl-D-glucosamine
        hyaluronate
Chitin
• A polysaccharide that is similar to cellulose, both
  in its biological function and its primary,
  secondary, and tertiary structure
• The structure of chitin is identical to cellulose,
  except that the -OH group on each C-2 is
  replaced by -NHCOCH3, so that the repeating
  units are N-acetyl-D-glucosamines in β-(1-4)
  linkage
• An other, significant difference between
  cellulose and chitin is that the chains are
  arranged in parallel (all the reducing ends
  together at one end of a packed bundle and
  all the non-reducing ends together at the
  other end) or antiparallel (each sheet of
  chains having the chains arranged oppositely
  from the sheets above and below)
• Natural cellulose seems to occur only in parallel
  arrangements. Chitin, however, can occur in
  three forms, sometimes all in the same
  organism
  – alpha-Chitin is an all-parallel arrangement of the
    chains
  – β-chitin is an antiparallel arrangement
  – d-chitin, the structure is thought to involve pairs of
    parallel sheets separated by single antiparallel
    sheets.
Carbohydrate 2
Carbohydrate 2

Carbohydrate 2

  • 1.
    Reduction • On reductionwith sodium amalgam glucose is converted into polyhydric alcohol-sorbitol • Fructose into 2 isomeric products sorbitol and mannitol Sorbitol Mannitol
  • 2.
    Reaction of glucosewith weak alkali In the presence of weak alkali glucose in converted into fructose and vice versa
  • 3.
    Reaction of carbonylgroup Glucose and fructose condense with hydroxyl amine and phenyl hydrazine to produce oximes and osazones
  • 5.
    Reaction with non-reducingagents • Pentoses on heating with HCl/H2SO4 produce furfural-aldehyde of furan, whereas hexoses produce hydroxy methyl furfural • This provides the basis of tests such as Molisch’s test, Anthrone test, Salivonoff test etc.
  • 6.
  • 7.
    Reaction with calciumhydroxide On reacting with calcium hydroxide, glucose produces calcium glucosate + Ca (OH)2
  • 8.
    Fermentation Both glucose andfructose are attacked by enzymes of yeast to produce ethyl alcohol and carbon dioxide C6H12O6 → 2C2H5OH + 2CO2
  • 9.
    Reaction with acetone 2 acetone -2 H2O
  • 10.
    Methylation On methylation glucoseproduces glucosides or glycosides
  • 11.
    Configuration of monosaccharides •Due to presence of asymmetric carbon monosaccharides rotate the plane polarized light either toward right or left • Those rotating towards right are dextrorotatory (d or +) and those towards left are levorotatory (l, -) • (d and l) isomers are mirror image of each other when substituents are arranged in space
  • 12.
    • D andL are used in place of + and – with reference to glyceraldehyde- the farthest asymmetric or penultimate carbon • Aldoses with at least three carbons and ketoses with at least four carbons contain chiral centres
  • 13.
    Cyclic Structures andAnomeric Forms • Although Fischer projections are useful for presenting the structures of particular monosaccharides and their stereoisomers , they ignore one of the most interesting facts of sugar structure —the ability to form cyclic structures with formation of an additional asymmetric centre
  • 14.
    • Alcohols reactreadily with aldehydes to form hemiacetals – A British Chemist Sir Norman Haworth showed that the linear form of glucose and other aldohexoses could undergo a similar intramolecular reaction to form a cyclic hemiacetal – The resulting six- membered, oxygen-containing ring is similar to pyran and is designated as pyranose- glucopyranose. The reaction is catalysed by acid or base and is readily reversible Pyran
  • 16.
    • An analogousintramolecular reaction of a ketose sugar such as fructose yields a cyclic hemiketal • The five-membered ring thus formed is reminiscent of furan and is referred to as a furanose • The cyclic pyranose and furanose forms are the preferred structures for monosaccharides in aqueous solution • At equilibrium, the linear aldehyde or ketone structure is only a minor component of the mixture (generally much less than 1%)
  • 18.
    • When hemiacetalsand hemiketals are formed, the carbon atom that carried the carbonyl function becomes an asymmetric carbon atom – Isomers of monosaccharides that differ only in their configuration about that carbon atom are called anomers, designated as α or β • When the hydroxyl group at the anomeric carbon is on the same side of a Fischer projection as the oxygen atom at the highest numbered carbon, the configuration at the anomeric carbon is α, as in α-D-glucopyranose
  • 19.
    • When theanomeric hydroxyl is on the opposite side of oxygen in the Fischer projection, the configuration is β, as in β-D- glucopyranose
  • 20.
    Muta rotation • Theaddition of this asymmetric centre upon hemiacetal and hemiketal formation alters the optical rotation properties of monosaccharides Early carbohydrate chemists frequently observed that the optical rotation of glucose (and other sugar) solutions could change with the time, a process called muta rotation. This indicated that a structural change was occurring
  • 21.
    Muta rotation • Afreshly prepared D-glucose solution shows specific rotation of +111.5o which changes to +52.5o and becomes constant • It was eventually found that α-D-glucose has a specific optical rotation, +111.5°, and that β -D-glucose has a specific optical rotation of +19.2°. When both of these are mixed in 38: 62, specific rotation of +52.5 is obtained
  • 22.
    Muta rotation • Hence,naturally occurring glucose contains 38% α and 62% β isomer • Therefore, Muta rotation involves inter-conversion of α into β forms of the monosaccharide with intermediate formation of the linear aldehyde or ketone
  • 23.
    Derivatives of Monosaccharides •Sugar Acids Sugars with free anomeric carbon atoms are reasonably good reducing agents and reduce hydrogen peroxide, ferricyanide , certain metals (Cu2+ and Ag+), and other oxidizing agents. Such reactions convert the sugar to a sugar acid
  • 24.
    • Sugar Alcohols – Prepared by the mild reduction of the carbonyl groups of aldoses and ketoses. Sugar alcohols are linear molecules that cannot cyclize in the manner of aldoses – Alditols are characteristically sweet tasting, and are widely used as sweetening agents – Sorbitol build-up in the eyes of diabetics is implicated in cataract formation
  • 25.
  • 26.
    Amino Sugars • D-glucosamineand D-galactosamine contain an amino group (instead of a hydroxyl group) at the C-2 position. They are found in many oligo- and polysaccharides, including chitin, a polysaccharide in the exoskeletons of insects
  • 27.
    Storage Polysaccharides • Storagepolysaccharides are important carbohydrate forms in plants and animals • It seems likely that organisms store carbohydrates in the form of polysaccharides rather than as monosaccharaides to lower the osmotic pressure of the sugar reserves • Because, osmotic pressure depends only on numbers of molecules – Hence, the osmotic pressure is greatly reduced by formation of a few polysaccharide molecules out of thousands (or even millions) of monosaccharide units
  • 28.
    Starch • The mostcommon storage polysaccharide in plants is starch, which has two components: – α-amylose – amylopectin • Most forms of the starch in nature contain 10-30% α- amylose and 70-90% amylopectin • α -Amylose is composed of linear chains of D-glucose in α(1-4) linkages. The chains are of varying lengths, having molecular weights from several thousand to half a million
  • 29.
    • The chainhas a reducing end and a non- reducing end • Although poorly soluble in water, α -amylose forms micelles in which the polysaccharide chain adopts a helical conformation. Iodine reacts with α-amylose to give a characteristic blue colour, which arises from the insertion of iodine into the middle of the hydrophobic amylose helix
  • 30.
    CH2OH 6CH OH CH2OH CH2OH CH2OH 2 O 5 O H O H O H H O H H H H H H H H H H H OH H 1 4 OH H 1 OH H OH H OH H O O O O OH OH 2 3 H OH H OH H OH H OH H OH amylose Non-Reducing end Reducing end
  • 31.
    • In contrastto α-amylose, amylopectin, the other component of typical starches, is a highly branched chain of glucose units • Branches occur in these chains every 12 to 30 residues • The average branch length is between 24 and 30 residues, and molecular weights of amylopectin molecules can range up to 100 million • The linear linkages in amylopectin are α(1-4), whereas the branch linkages are α(1-6) • As is the case for α-amylose , amylopectin forms micellar suspensions in water. Iodine reacts with such suspensions to produce a red-violet colour
  • 32.
    Starch CH2OH 6CH OH CH2OH CH2OH CH2OH 2 O 5 O H O H O H H O H H H H H H H H H H H OH H 1 4 OH H 1 OH H OH H OH H O O O O OH OH 2 3 H OH H OH H OH H OH H OH amylose
  • 33.
    Glycogen • The majorform of storage polysaccharide in animals is glycogen • Glycogen is found mainly in the liver (where it may amount to as much as 10% of the liver mass) and skeletal muscle (where it accounts form 1-2% of the muscle mass) • Liver glycogen consists of granules containing highly branched molecules, with α(1-4) linkage in linear structure and α(1-6) linkage at branching, which occurrs every 8-12 glucose units
  • 34.
    • Like amylopectin,glycogen yields a red-violet colour with iodine • Glycogen can be hydrolyzed by α-amylase, yielding glucose • It can also be hydrolyzed by glycogen phosphorylase, an enzyme present in liver and muscle tissue, to release glucose-1-phosphate
  • 36.
    Structural polysaccharides • Cellulose • Chitin • Alginates • Agarose • Glycosaminoglycans
  • 37.
    Cellulose • The mostabundant natural polymer found in the world • Found in the cell walls of nearly all plants • One of the principal components providing physical structural and strength • Cotton is almost pure cellulose • Cellulose is a linear homopolymer of D-glucose units, just as in α-amylose. • The structural difference, which completely alters the properties of the polymer, is that in cellulose the glucose units are linked by β(1-4)-glycosidic bonds, whereas in α - amylose the linkage is α(1-4)
  • 38.
    CH2OH 6CH OH CH2OH CH2OH CH2OH 2 O 5 O O H O H O OH H H H H H H H H OH H 1 O 4 OH H 1 O OH H O OH H O OH H OH H H H H 2 H 3 H OH H OH H OH H OH H OH cellulose β-linkages promote intra-chain and inter-chain H-bonds and van der Waals interactions, that cause cellulose chains to be straight & rigid, and pack with a Schematic arrangement of crystalline arrangement in thick cellulose chains in a microfibril. bundles - microfibrils
  • 39.
    Glycosaminoglycans • Previously calledmucopolysaccharides •Linear polymers of repeating disaccharides –The constituent monosaccharides tend to be modified, with acidic groups, amino groups, sulfated hydroxyl and amino groups, etc. •Such compounds tend to be negatively charged, because of the prevalence of acidic groups
  • 40.
    Hyaluronate (Hyaluronic acid) •Hyaluronateis a glycosaminoglycan with a repeating disaccharide consisting of 2 glucose derivatives, D-glucuronic acid & N-acetyl-D- glucosamine •These monosaccharides are linked through β(1→3) linkages •Disaccharides are linked through β(1→4).
  • 41.
    CH2OH D-glucuronate 6 − H 5 O 6COO H 4 1 O O H H 5 H OH H 4 H 1 3 2 OH H H NHCOCH3 3 2 O H OH N-acetyl-D-glucosamine hyaluronate
  • 42.
    Proteoglycans • These arealso glycosaminoglycans that are covalently linked to serine residues of specific core proteins •The glycosaminoglycan chain is synthesized by sequential addition of sugar residues to the core protein
  • 43.
    Heparan sulfate isinitially synthesized on a membrane- embedded core protein as a polymer of alternating N- acetylglucosamine and glucuronate residues. Later, in segments of the polymer, glucuronate residues may be converted to the sulfated sugar iduronate 2-sulfate, while N-acetylglucosamine residues may be sulfated- N-sulfo-glucosamine-6- sulfate iduronate-2-sulfate N-sulfo-glucosamine-6-sulfate H CH2OSO3− H O H O H − COO H OH H O OH H H O H OSO3− H NHSO3− heparin or heparan sulfate - examples of residues
  • 44.
    Heparin, a solubleglycosaminoglycan found in granules of mast cells, has a structure similar to that of heparan sulfates, but is more highly sulfated When released into the blood, it inhibits clot formation by interacting with the protein antithrombin. Heparin has an extended helical conformation Charge repulsion by the many negatively charged groups may contribute to this conformation
  • 45.
    Some proteoglycans ofthe extracellular matrix bind non-covalently to hyaluronate via protein domains called link modules. E.g. • Multiple copies of the aggrecan proteoglycan associate with hyaluronate in cartilage to form large complexes • Versican, another proteoglycan, binds hyaluronate in the extracellular matrix of loose connective tissues. CH2OH D-glucuronate 6 − H 5 O 6COO H 4 1 O O H H 5 H OH H 4 H 1 3 2 OH H H NHCOCH3 3 2 O H OH N-acetyl-D-glucosamine hyaluronate
  • 46.
    Chitin • A polysaccharidethat is similar to cellulose, both in its biological function and its primary, secondary, and tertiary structure • The structure of chitin is identical to cellulose, except that the -OH group on each C-2 is replaced by -NHCOCH3, so that the repeating units are N-acetyl-D-glucosamines in β-(1-4) linkage
  • 47.
    • An other,significant difference between cellulose and chitin is that the chains are arranged in parallel (all the reducing ends together at one end of a packed bundle and all the non-reducing ends together at the other end) or antiparallel (each sheet of chains having the chains arranged oppositely from the sheets above and below)
  • 48.
    • Natural celluloseseems to occur only in parallel arrangements. Chitin, however, can occur in three forms, sometimes all in the same organism – alpha-Chitin is an all-parallel arrangement of the chains – β-chitin is an antiparallel arrangement – d-chitin, the structure is thought to involve pairs of parallel sheets separated by single antiparallel sheets.