• Addition reactions occur when two reactants combine
to form a single new product with no atoms left over.
Addition Reaction
• In an addition reaction, new groups X and Y are added to the
starting material. A  bond is broken and two  bonds are formed.
Addition reactions are characteristic of a reaction of π bond. Ions and
radicals may add across a multiple bond. Accordingly
Addition
Ionic addition
Radical addition
Electrophilic, Nucleophilic
Radical addition
Electrophilic addition to carbon-carbon double bond
Electrophiles
Proton , lewis acids such as BF3, AlX3, Br2, Metal ions that
contain vacant d orbitals Ag+, Hg++
,
• Conversion of  Bond to 2  Bonds is typically energy favored
• Two  bonds higher energy than one  + one 
• Overall process is thus typically exothermic
•  Electrons are exposed (ABOVE and BELOW sp2 plane)
•  bonds are good at capturing electrophiles (H+, Lewis Acids, X2)
• Metal Ions with vacant orbitals are also good electrophiles
Why do alkenes/alkynes undergo addition reaction ??
C C
E
+
C C
E
C C
E
step 2
step 1
Intermediate
C C
E
slow
δ+
δ+
+
TS 1
Nu-
C C
E
+ Fast
C C
E
Nu
δ+
δ-
TS2
Fast C C
E
Nu
C C
E
+
Mechanism
The reagent E-Nu can be thought of divisible into electrophile E+ and
nucleophile Nu-
Energy Profile
product
DH
intermediate
TS2
TS1
two step reaction
E
N
E
R
G
Y
step 1 step 2
C C
E
+
X
-
+
C C
C C
E
X
E
Stereochemistry of addition reaction
Addendum joins from same side of the double bond -syn addition, Stereospecific
Ex: Syn addition
If the electrophile forms a cyclic cation as an intermediate , the nucleophile as no other
option but to attack the intermediates from the opposite side.
E
Anti-addition
Br2
C CC C C C
E
Nu
Nu
+
-
 If the intermediate is a classical carbocation it may undergo
rotation about carbon-carbon sigma bond and the reaction
will not be stereospecific.
 In some cases when the reagent is a dipole after the addition
of the electrophilic part the nucleophile may form
intermediate ion-pair with the carbocation and in this case
the addition will be syn.
C C
E--Nu
C C
E Nu
+
--
C C
E Nu
 Reagents which form four membered cyclic intermediate
(TS) also give syn addition reaction. Examples: (1) addition
of BH3, (2)addition of H2 in presence of a catalyst.
Stereochemistry in Addition Reaction
H Br
H
CH3
Br
Br
CH3
H
Br
+
CH3
H
Br
Top Capture
Bottom Capture
• Just as We Saw in SN1: C+ Has TWO FACES
• Top and Bottom Attack Give Two Stereochemical Products
• R and S Enantiomers Formed as a Racemic Mixture (50:50)
Addition of Cl2/Br2 across C = C
Typical Examples of Electrophilic Addition Reaction
H3CHC CHCH3
Cl2
-9 o
C
H3CHC CHCH3
Cl Cl
H3CH2CHC CH2
Cl2
-9 o
C
H3CH2CHC CH2
ClCl
Br2
-5 o
C
Br
H
Br
H
+ Enantiomer
• Obtain vicinal dihalides as reaction products
• Want to use a non-nucleophilic solvent (Due to intermediate)
 Important to run reactions in dark (Avoid radicals)
C C
Br
Br
-Br-
Br
Br
Br
Br
B r B r:
d+ d-
alkene polarizes bromine
Mechanism
Formation of cyclic bromonium ion
• Can open symmetric bromonium ions at either carbon
• Reaction products are enantiomers
• Racemic mixtures (50:50) in symmetric bromonium ions
• Will get excess of one enantiomer in asymmetric cases
• Stereospecific reactions: One stereoiomeric Form of the
Starting Material Reacts in Such a Way to Form a Specific
Stereoisomeric Form of the Product
•Intermediate is a BROMONIUM ION (in Br2 Case)
• Nucleophilic solvents can Capture (Open) bromonium Ion
 Bromonium Ion Opening is SN2  Anti Addition of Br2
Stereospecific Reaction: Bromin Addition
“open“ carbocation
would give both
cis and trans
H
H
B r
B r
H
H
B r
H
B r
H
B r
H
H
B r
B r
B r
cis compound trans compound
NOT OBSERVED ACTUAL PRODUCT
anti
syn
antisyn
+
-
H
H
R
R
OO
H
Cl
O
O
O
Ar
OH
R
Electrophilic addition of peroxyacids
C
RO
O
H O
Nu
Electrophilic
oxygen
Nu-OH C
RO
O
OO
H
Cl
O
Cl
O
O
HO
Mechanism
H
H
Because both the new C-O bonds are formed on the same side of the alkenes π bond
so the geometry of the alkene is reflected in the stereochemistry of the epoxide.
m-CPBA
O
cis- stilbene cis-stilbene oxide
m-CPBA
O
trans-stilbene
trans-stilbene oxide
H H
H H
H3C H3C CH3
H3C
H3C
H3C
H3C CH3
H3C CH3
H3C CH3
1 24 500 500
6500 >6500
More substituted alkenes are more nucleophilic, hence epoxidize faster
O
mCPBA
1 equiv.
O2 liver enzyme
O
OH
OH
toxic arene highly reactive toxic
epoxide can damage DNA
liver aims to make arene more water
soluble by hydroxylating it
What happens in liver ???
Unfortunately some of the intermediates in the reaction process are reactive
epoxide that damage DNA. Thus aromatic hydrocarbons cause cancer
Why benzene is carcinogenic and toluene is not carcinogenic ??
CH3 COOH
O2 liver enzyme
O2
O
reactive epoxide
H20
Water soluble
Addition of Hydrogen Halides: Markovnikov’s rule
H3C
C
CH2
CH3
H3C
C
C
CH3
H3C
C
C
CH3
H
Br
H
H
major
product
minor
product
H
H
H
Br
H-Br
Theoretical explanation of Markovnikov rule
C C
CH3
CH3
H
H
H π-complex
Progress of formation of carbocation
E
C CH3
CH3
CH3
+
CH CH2
CH3
CH3
+
Formation of tertiary carbocation occurs more readily than primary carbocation
Ex: Why ethylene reacts with HCl faster than vinyl chloride?
H2C CH2
H+
H3C CH2
+
H2C CHCl
H+
H3C
H+
C
Cl or H2C CH2Cl
Less stable
Slower formation
Ph
Me
Ph
H
Me
OR
Ph
Me
H
Br- Br-
Ph
H
Br
Me
HBr
Me
Br
Ph
H
H
Me
Br
Ph Br
Ph
Me
H
Ph
Me
?
HBr
Observed pdt
More stable
CH2
+ HCl
CH2 Cl
When adding HX to a double bond the
hydrogen of HX goes to the carbon which
already has the less number of hydrogens
..... conversely, the anion X adds to the least
highly substituted carbon ( the carbon with
most alkyl groups attached).
Addition of Hydrogen Halides:
Anti-Markovnikov’s rule
Free Radical Addition of HBr to Alkenes (anti-Markovnikov!)
R CH CH2
R CH CH2
Br
H
+ HBr
ROOR
R O O R R O O R
R O R O HH Br
CH2
CH R Br CH2
CH R
Br CH2
CH R H Br Br CH2
CH R
H
1)
2)
3)
4)
light or
heat
+
..
.. ..
..
. .
..
..
. +
..
..
+ Br:
..
..
.
Br:
..
..
. +
.
.
+ + Br: .
..
.
hydrogen abstraction
hydrogen abstraction
slow
..
.
Mechanism
Halohydrin Formation
-A halohydrin (halo alcohol) is produced when the halogenation of an alkene is carried out
in an aqueous solution as opposed to a nonnucleophilic solvent
MeMe
OH
Me
OH
??
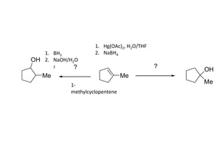
1. Hg(OAc)2, H2O/THF
2. NaBH41. BH3
2. NaOH/H2O
2
1-
methylcyclopentene
Electrophilic addition involving metal cations
Oxymercuration-demercuration
Oxymercuration is stereospecific
HgOAC
OH
CH3
OH
CH3
H
D
Hg (OAC)2
NaBD4
25
Hydroboration
• Borane, BH3, adds a hydrogen to the most
substituted carbon in the double bond.
• The alkylborane is then oxidized to the alcohol
which is the anti-Mark product.
C C
(1) BH3
C
H
C
BH2
(2) H2O2, OH
-
C
H
C
OH
Borane Reagent
• Borane exists as a dimer, B2H6, in equilibrium with its monomer.
• Borane is a toxic, flammable, explosive gas.
• Safe when complexed with tetrahydrofuran.
THF THF . BH3
O B2H6 O
+
B
-
H
H
H
+2 2
26
Mechanism
• The electron-deficient borane adds to
the least-substituted carbon.
• The other carbon acquires a positive charge.
• H adds to adjacent C on same side (syn).
Actually, Trialkyl
C C
H3C
H3C
H
H
+ BH3
B
CC H
CH3
H3C
H
H
C
CH
H
H
CH3
CH3
C
C
H
H
H3C
CH3
H
3
Borane prefers least-substituted carbon due to steric hindrance as
well as charge distribution.
27
Oxidation to Alcohol
• Oxidation of the alkyl borane with basic hydrogen
peroxide produces the alcohol.
• Orientation is anti-Markovnikov.
CH3 C
CH3
H
C
H
H
B
H2O2, NaOH
H2O
CH3 C
CH3
H
C
H
H
OH
H2O2
OH-
HOO-
H3C
H3C
H
H
H
B
O
OH
H3C
H3C
H
H
H
O
B
OH
H2O
H3C
H3C
H
H
H
B
H3C
H3C
H
H
H
OH
H2O2, NaOH
H2O
Nucleophilic addition reaction
 Alkenes itself behaves as nucleophiles and can not react with nucleophiles
 Addition of nucleophiles to C=C would result the formation of an unstabilized anion,
the conjugate base of an alkane. Alkanes are extraordinarily weak acids.
 However any favourable structural changes on carbon-carbon double bond will
make it undergo nucleophilic addition reaction.
 If a electron withdrawing substituent is present on multiple bonded carbon it will
decrease the electron density on carbon hence nucleophilic addition will be
facilitated.
C CNu Nu C C C C HNu
pKa 70
Michael addition
Example-1
Example-2
Addition to C=O bond
RMgX
H2O
HCN
NH2NH2
Addition of Grignard reagent
Mannich Reaction
C
O
H H HN
R
R
O H2
C N
R
R
O
Eschenmoser salt
(Electrophile in character)
O
H+
OH
H
OH
OH
2HC N
R1
R2
H2
C N
R
R
OH
-H+
H2
C N
R
R
O
Mannich Base
Knoevenagel Condensation
Nucleophile
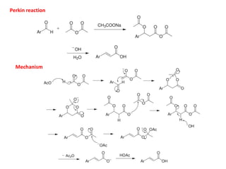
Perkin reaction
Mechanism
mCPBA
1equiv.O
O2 liver enzyme
O
OH
OH
toxic arene highly reactive toxic
epoxide can damage DNA
liver aims to make arene more water
soluble by hydroxylating it
What happens in liver ???
Unfortunately some of the intermediates in the reaction process are reactive
epoxide that damage DNA. Thus aromatic hydrocarbons cause cancer
Why benzene is carcinogenic and toluene is not carcinogenic ??
CH3 COOH
O2 liver enzyme
O2
O
reactive epoxide
Tutorial-II
1.
C H 3
C H 2
H B r
B r
C H 3
C H 3
C H 3
B r
C H 3
CH3
CH3
CH3
CH3
1,2 CH3 shift
Br Br
CH3
Br
CH3
CH3
CH3
Br
2.
OH
H
OH2
1, 2 methyl shift
intramolecular
electrophilic addition -H
R SH
OO
CH2
OO
S
R
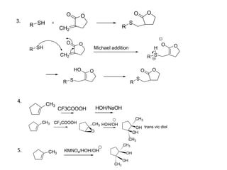
3.
OO
CH2
R SH Michael addition OO
S
H
R
OHO
SR
OO
S
R
CH3
CF3COOOH HOH/NaOH
4.
CH3 CF3COOOH
O
CH3
OH
OH
CH3
CH3
trans vic diol
HOH/OH
5. CH3
KMNO4/HOH/OH
CH3
OH
CH3
OH

Addition reaction sm

  • 1.
    • Addition reactionsoccur when two reactants combine to form a single new product with no atoms left over. Addition Reaction • In an addition reaction, new groups X and Y are added to the starting material. A  bond is broken and two  bonds are formed.
  • 2.
    Addition reactions arecharacteristic of a reaction of π bond. Ions and radicals may add across a multiple bond. Accordingly Addition Ionic addition Radical addition Electrophilic, Nucleophilic Radical addition
  • 3.
    Electrophilic addition tocarbon-carbon double bond Electrophiles Proton , lewis acids such as BF3, AlX3, Br2, Metal ions that contain vacant d orbitals Ag+, Hg++ , • Conversion of  Bond to 2  Bonds is typically energy favored • Two  bonds higher energy than one  + one  • Overall process is thus typically exothermic •  Electrons are exposed (ABOVE and BELOW sp2 plane) •  bonds are good at capturing electrophiles (H+, Lewis Acids, X2) • Metal Ions with vacant orbitals are also good electrophiles Why do alkenes/alkynes undergo addition reaction ??
  • 4.
    C C E + C C E CC E step 2 step 1 Intermediate C C E slow δ+ δ+ + TS 1 Nu- C C E + Fast C C E Nu δ+ δ- TS2 Fast C C E Nu C C E + Mechanism The reagent E-Nu can be thought of divisible into electrophile E+ and nucleophile Nu-
  • 5.
    Energy Profile product DH intermediate TS2 TS1 two stepreaction E N E R G Y step 1 step 2 C C E + X - + C C C C E X E
  • 6.
    Stereochemistry of additionreaction Addendum joins from same side of the double bond -syn addition, Stereospecific Ex: Syn addition
  • 7.
    If the electrophileforms a cyclic cation as an intermediate , the nucleophile as no other option but to attack the intermediates from the opposite side. E Anti-addition Br2 C CC C C C E Nu Nu + -
  • 8.
     If theintermediate is a classical carbocation it may undergo rotation about carbon-carbon sigma bond and the reaction will not be stereospecific.  In some cases when the reagent is a dipole after the addition of the electrophilic part the nucleophile may form intermediate ion-pair with the carbocation and in this case the addition will be syn. C C E--Nu C C E Nu + -- C C E Nu  Reagents which form four membered cyclic intermediate (TS) also give syn addition reaction. Examples: (1) addition of BH3, (2)addition of H2 in presence of a catalyst.
  • 9.
    Stereochemistry in AdditionReaction H Br H CH3 Br Br CH3 H Br + CH3 H Br Top Capture Bottom Capture • Just as We Saw in SN1: C+ Has TWO FACES • Top and Bottom Attack Give Two Stereochemical Products • R and S Enantiomers Formed as a Racemic Mixture (50:50)
  • 10.
    Addition of Cl2/Br2across C = C Typical Examples of Electrophilic Addition Reaction H3CHC CHCH3 Cl2 -9 o C H3CHC CHCH3 Cl Cl H3CH2CHC CH2 Cl2 -9 o C H3CH2CHC CH2 ClCl Br2 -5 o C Br H Br H + Enantiomer • Obtain vicinal dihalides as reaction products • Want to use a non-nucleophilic solvent (Due to intermediate)  Important to run reactions in dark (Avoid radicals)
  • 11.
    C C Br Br -Br- Br Br Br Br B rB r: d+ d- alkene polarizes bromine Mechanism Formation of cyclic bromonium ion
  • 12.
    • Can opensymmetric bromonium ions at either carbon • Reaction products are enantiomers • Racemic mixtures (50:50) in symmetric bromonium ions • Will get excess of one enantiomer in asymmetric cases • Stereospecific reactions: One stereoiomeric Form of the Starting Material Reacts in Such a Way to Form a Specific Stereoisomeric Form of the Product •Intermediate is a BROMONIUM ION (in Br2 Case) • Nucleophilic solvents can Capture (Open) bromonium Ion  Bromonium Ion Opening is SN2  Anti Addition of Br2
  • 13.
    Stereospecific Reaction: BrominAddition “open“ carbocation would give both cis and trans H H B r B r H H B r H B r H B r H H B r B r B r cis compound trans compound NOT OBSERVED ACTUAL PRODUCT anti syn antisyn + -
  • 14.
    H H R R OO H Cl O O O Ar OH R Electrophilic addition ofperoxyacids C RO O H O Nu Electrophilic oxygen Nu-OH C RO O OO H Cl O Cl O O HO Mechanism H H Because both the new C-O bonds are formed on the same side of the alkenes π bond so the geometry of the alkene is reflected in the stereochemistry of the epoxide.
  • 15.
    m-CPBA O cis- stilbene cis-stilbeneoxide m-CPBA O trans-stilbene trans-stilbene oxide H H H H H3C H3C CH3 H3C H3C H3C H3C CH3 H3C CH3 H3C CH3 1 24 500 500 6500 >6500 More substituted alkenes are more nucleophilic, hence epoxidize faster O mCPBA 1 equiv.
  • 16.
    O2 liver enzyme O OH OH toxicarene highly reactive toxic epoxide can damage DNA liver aims to make arene more water soluble by hydroxylating it What happens in liver ??? Unfortunately some of the intermediates in the reaction process are reactive epoxide that damage DNA. Thus aromatic hydrocarbons cause cancer Why benzene is carcinogenic and toluene is not carcinogenic ?? CH3 COOH O2 liver enzyme O2 O reactive epoxide H20 Water soluble
  • 17.
    Addition of HydrogenHalides: Markovnikov’s rule H3C C CH2 CH3 H3C C C CH3 H3C C C CH3 H Br H H major product minor product H H H Br H-Br
  • 18.
    Theoretical explanation ofMarkovnikov rule C C CH3 CH3 H H H π-complex Progress of formation of carbocation E C CH3 CH3 CH3 + CH CH2 CH3 CH3 + Formation of tertiary carbocation occurs more readily than primary carbocation
  • 19.
    Ex: Why ethylenereacts with HCl faster than vinyl chloride? H2C CH2 H+ H3C CH2 + H2C CHCl H+ H3C H+ C Cl or H2C CH2Cl Less stable Slower formation Ph Me Ph H Me OR Ph Me H Br- Br- Ph H Br Me HBr Me Br Ph H H Me Br Ph Br Ph Me H Ph Me ? HBr Observed pdt More stable
  • 20.
    CH2 + HCl CH2 Cl Whenadding HX to a double bond the hydrogen of HX goes to the carbon which already has the less number of hydrogens ..... conversely, the anion X adds to the least highly substituted carbon ( the carbon with most alkyl groups attached). Addition of Hydrogen Halides: Anti-Markovnikov’s rule
  • 21.
    Free Radical Additionof HBr to Alkenes (anti-Markovnikov!) R CH CH2 R CH CH2 Br H + HBr ROOR R O O R R O O R R O R O HH Br CH2 CH R Br CH2 CH R Br CH2 CH R H Br Br CH2 CH R H 1) 2) 3) 4) light or heat + .. .. .. .. . . .. .. . + .. .. + Br: .. .. . Br: .. .. . + . . + + Br: . .. . hydrogen abstraction hydrogen abstraction slow .. . Mechanism
  • 22.
    Halohydrin Formation -A halohydrin(halo alcohol) is produced when the halogenation of an alkene is carried out in an aqueous solution as opposed to a nonnucleophilic solvent
  • 23.
    MeMe OH Me OH ?? 1. Hg(OAc)2, H2O/THF 2.NaBH41. BH3 2. NaOH/H2O 2 1- methylcyclopentene
  • 24.
    Electrophilic addition involvingmetal cations Oxymercuration-demercuration Oxymercuration is stereospecific HgOAC OH CH3 OH CH3 H D Hg (OAC)2 NaBD4
  • 25.
    25 Hydroboration • Borane, BH3,adds a hydrogen to the most substituted carbon in the double bond. • The alkylborane is then oxidized to the alcohol which is the anti-Mark product. C C (1) BH3 C H C BH2 (2) H2O2, OH - C H C OH Borane Reagent • Borane exists as a dimer, B2H6, in equilibrium with its monomer. • Borane is a toxic, flammable, explosive gas. • Safe when complexed with tetrahydrofuran. THF THF . BH3 O B2H6 O + B - H H H +2 2
  • 26.
    26 Mechanism • The electron-deficientborane adds to the least-substituted carbon. • The other carbon acquires a positive charge. • H adds to adjacent C on same side (syn). Actually, Trialkyl C C H3C H3C H H + BH3 B CC H CH3 H3C H H C CH H H CH3 CH3 C C H H H3C CH3 H 3 Borane prefers least-substituted carbon due to steric hindrance as well as charge distribution.
  • 27.
    27 Oxidation to Alcohol •Oxidation of the alkyl borane with basic hydrogen peroxide produces the alcohol. • Orientation is anti-Markovnikov. CH3 C CH3 H C H H B H2O2, NaOH H2O CH3 C CH3 H C H H OH H2O2 OH- HOO- H3C H3C H H H B O OH H3C H3C H H H O B OH H2O H3C H3C H H H B H3C H3C H H H OH H2O2, NaOH H2O
  • 28.
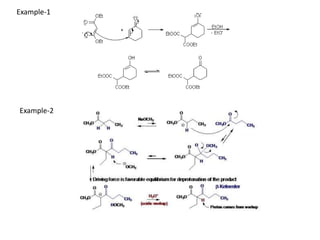
    Nucleophilic addition reaction Alkenes itself behaves as nucleophiles and can not react with nucleophiles  Addition of nucleophiles to C=C would result the formation of an unstabilized anion, the conjugate base of an alkane. Alkanes are extraordinarily weak acids.  However any favourable structural changes on carbon-carbon double bond will make it undergo nucleophilic addition reaction.  If a electron withdrawing substituent is present on multiple bonded carbon it will decrease the electron density on carbon hence nucleophilic addition will be facilitated. C CNu Nu C C C C HNu pKa 70 Michael addition
  • 29.
  • 30.
    Addition to C=Obond RMgX H2O HCN NH2NH2 Addition of Grignard reagent
  • 31.
    Mannich Reaction C O H HHN R R O H2 C N R R O Eschenmoser salt (Electrophile in character) O H+ OH H OH OH 2HC N R1 R2 H2 C N R R OH -H+ H2 C N R R O Mannich Base
  • 32.
  • 33.
  • 34.
    mCPBA 1equiv.O O2 liver enzyme O OH OH toxicarene highly reactive toxic epoxide can damage DNA liver aims to make arene more water soluble by hydroxylating it What happens in liver ??? Unfortunately some of the intermediates in the reaction process are reactive epoxide that damage DNA. Thus aromatic hydrocarbons cause cancer Why benzene is carcinogenic and toluene is not carcinogenic ?? CH3 COOH O2 liver enzyme O2 O reactive epoxide
  • 35.
    Tutorial-II 1. C H 3 CH 2 H B r B r C H 3 C H 3 C H 3 B r C H 3 CH3 CH3 CH3 CH3 1,2 CH3 shift Br Br CH3 Br CH3 CH3 CH3 Br 2. OH H OH2 1, 2 methyl shift intramolecular electrophilic addition -H
  • 36.
    R SH OO CH2 OO S R 3. OO CH2 R SHMichael addition OO S H R OHO SR OO S R CH3 CF3COOOH HOH/NaOH 4. CH3 CF3COOOH O CH3 OH OH CH3 CH3 trans vic diol HOH/OH 5. CH3 KMNO4/HOH/OH CH3 OH CH3 OH