Ethionamide
• A 2nd line anti TB agent, analogue of
  isonicotinamide but it is di-substituted
  and contains S in place of O
• It contains ethyl group at position 2
• In vitro it is less active but in vivo more active
  because of increased lipocity due to C2H5
• Mechanism of action is similar to INH
• Its active metabolite is ethionamide sulfoxide
Mechanism of action
• Ethionamide upon oxidation with catalase-
  peroxidase is converted to an active acylating
  agent, ethionamide sulfoxide, which inturn
  inactivate inhA enoyal reductase. It acylates
  cystine No. 243 in inhA protein
Mechanism of action


              Ethionamide sulfoxide



Ethionamide
Metabolism
• Less than 1% of the drug is excreted unchanged
  in urine. Rest of the drug is excreted as one of the
  following metabolites, which are given as follows:
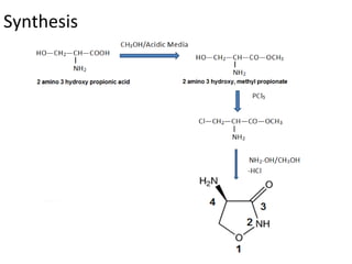
Cycloserine
• Analogue of amino acid serine
  and it exists in cyclic form- a five
  member ring containing O and N at
  an adjacent positions,
• Also called Isoxazolidine or oxazolidine
• Obtained naturally as d-isomer
• Contains Keto group at position 3 and NH2 at
  position 4, which is in front
• d-isomer is more active
• It is 2nd line anti TB drug first isolated from
  Streptomyces orchidaceus, but now being
  synthesized in laboratory
• It causes CNS toxicity
• Bacteria become resistant after sometime
• It acts on cell wall of bacteria and is not
  selective against MT because all bacteria
  contain peptidoglycan
• It acts on normal peptidoglycan portion of cell
  wall rather than acting on outer layer of
  mycolic acid
• It inhibits alanine resemase and alanine ligase
• Alanine resemase converts L-isomer of alanine
  to d-isomer. Because only d-form can be
  incorporated into cell wall. Alanine is present
  in levo form, hence need to be converted to d-
  form
• Lygase is necessary for attachment of two
  alanine units
Synthesis
• Readily absorbed after oral administration and
  is widely distributed including CNS
• It binds to neuronal N-methyl, D-aspaartate
  receptor and effects the synthesis and
  metabolism of aminobutyric acid leading to
  serious CNS effects
Ethionamide

Ethionamide

  • 1.
    Ethionamide • A 2ndline anti TB agent, analogue of isonicotinamide but it is di-substituted and contains S in place of O • It contains ethyl group at position 2
  • 2.
    • In vitroit is less active but in vivo more active because of increased lipocity due to C2H5 • Mechanism of action is similar to INH • Its active metabolite is ethionamide sulfoxide
  • 3.
    Mechanism of action •Ethionamide upon oxidation with catalase- peroxidase is converted to an active acylating agent, ethionamide sulfoxide, which inturn inactivate inhA enoyal reductase. It acylates cystine No. 243 in inhA protein
  • 4.
    Mechanism of action Ethionamide sulfoxide Ethionamide
  • 5.
    Metabolism • Less than1% of the drug is excreted unchanged in urine. Rest of the drug is excreted as one of the following metabolites, which are given as follows:
  • 6.
    Cycloserine • Analogue ofamino acid serine and it exists in cyclic form- a five member ring containing O and N at an adjacent positions, • Also called Isoxazolidine or oxazolidine • Obtained naturally as d-isomer • Contains Keto group at position 3 and NH2 at position 4, which is in front • d-isomer is more active
  • 7.
    • It is2nd line anti TB drug first isolated from Streptomyces orchidaceus, but now being synthesized in laboratory • It causes CNS toxicity • Bacteria become resistant after sometime • It acts on cell wall of bacteria and is not selective against MT because all bacteria contain peptidoglycan
  • 8.
    • It actson normal peptidoglycan portion of cell wall rather than acting on outer layer of mycolic acid • It inhibits alanine resemase and alanine ligase • Alanine resemase converts L-isomer of alanine to d-isomer. Because only d-form can be incorporated into cell wall. Alanine is present in levo form, hence need to be converted to d- form • Lygase is necessary for attachment of two alanine units
  • 10.
  • 11.
    • Readily absorbedafter oral administration and is widely distributed including CNS • It binds to neuronal N-methyl, D-aspaartate receptor and effects the synthesis and metabolism of aminobutyric acid leading to serious CNS effects