Locus and Complex Numbers
Locus and Complex Numbers
  f  z  , find the locus of  or z
given some condition for  or z
Locus and Complex Numbers
  f  z  , find the locus of  or z
given some condition for  or z
(Make the condition the subject)
Locus and Complex Numbers
  f  z  , find the locus of  or z
given some condition for  or z
(Make the condition the subject)
 is purely real  Im   0, arg   0 or 
Locus and Complex Numbers
  f  z  , find the locus of  or z
given some condition for  or z
(Make the condition the subject)
 is purely real  Im   0, arg   0 or 

 is purely imaginary  Re   0, arg   


2
Locus and Complex Numbers
  f  z  , find the locus of  or z
given some condition for  or z
(Make the condition the subject)
 is purely real  Im   0, arg   0 or 

 is purely imaginary  Re   0, arg   


2

 linear function 
arg 
    locus is an arc of a circle
 linear function 
Locus and Complex Numbers
  f  z  , find the locus of  or z
given some condition for  or z
(Make the condition the subject)
 is purely real  Im   0, arg   0 or 

 is purely imaginary  Re   0, arg   


2

 linear function 
arg 
    locus is an arc of a circle
 linear function 



* minor arc if  
* major arc if  

2



* semicircle if  

2


2
z2
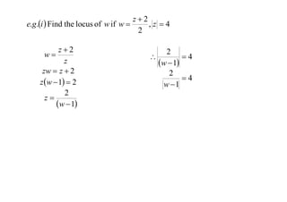
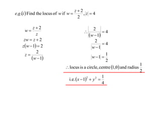
e.g .i  Find the locus of w if w 
,z 4
2
z2
e.g .i  Find the locus of w if w 
,z 4
2
z2
w
z
zw  z  2
z2
e.g .i  Find the locus of w if w 
,z 4
2
z2
w
z
zw  z  2
z w  1  2
z2
e.g .i  Find the locus of w if w 
,z 4
2
z2
w
z
zw  z  2
z w  1  2
2
z
w  1
z2
e.g .i  Find the locus of w if w 
,z 4
2
z2
w
z
zw  z  2
z w  1  2
2
z
w  1

2

4
w  1
z2
e.g .i  Find the locus of w if w 
,z 4
2
z2
w
z
zw  z  2
z w  1  2
2
z
w  1

2

4
w  1
2
4
w 1
z2
e.g .i  Find the locus of w if w 
,z 4
2
z2
w
z
zw  z  2
z w  1  2
2
z
w  1

2

4
w  1
2
4
w 1
w 1 

1
2
z2
e.g .i  Find the locus of w if w 
,z 4
2
z2
w
z
zw  z  2
z w  1  2
2
z
w  1

2

4
w  1
2
4
w 1
w 1 

1
2

1
 locus is a circle, centre 1,0  and radius
2
1
2
2
i.e.  x  1  y 
4
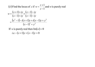
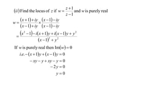
z 1
ii  Find the locus of z if w 
and w is purely real
z 1
z 1
ii  Find the locus of z if w 
and w is purely real
z 1
 x  1  iy  x  1  iy
w

 x  1  iy  x  1  iy
z 1
ii  Find the locus of z if w 
and w is purely real
z 1
 x  1  iy  x  1  iy
w

 x  1  iy  x  1  iy

x


2

 1  i x  1 y  i x  1 y  y 2
 x  12  y 2
z 1
ii  Find the locus of z if w 
and w is purely real
z 1
 x  1  iy  x  1  iy
w

 x  1  iy  x  1  iy

x


2

 1  i x  1 y  i x  1 y  y 2
 x  12  y 2

If w is purely real then Imw  0
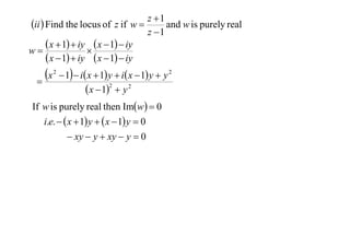
z 1
ii  Find the locus of z if w 
and w is purely real
z 1
 x  1  iy  x  1  iy
w

 x  1  iy  x  1  iy

x


2

 1  i x  1 y  i x  1 y  y 2
 x  12  y 2

If w is purely real then Imw  0
i.e.   x  1 y   x  1 y  0
z 1
ii  Find the locus of z if w 
and w is purely real
z 1
 x  1  iy  x  1  iy
w

 x  1  iy  x  1  iy

x


2

 1  i x  1 y  i x  1 y  y 2
 x  12  y 2

If w is purely real then Imw  0
i.e.   x  1 y   x  1 y  0
 xy  y  xy  y  0
z 1
ii  Find the locus of z if w 
and w is purely real
z 1
 x  1  iy  x  1  iy
w

 x  1  iy  x  1  iy

x


2

 1  i x  1 y  i x  1 y  y 2
 x  12  y 2

If w is purely real then Imw  0
i.e.   x  1 y   x  1 y  0
 xy  y  xy  y  0
 2y  0
y0
z 1
ii  Find the locus of z if w 
and w is purely real
z 1
 x  1  iy  x  1  iy
w

 x  1  iy  x  1  iy

x


2

 1  i x  1 y  i x  1 y  y 2
 x  12  y 2

If w is purely real then Imw  0
i.e.   x  1 y   x  1 y  0
 xy  y  xy  y  0
 2y  0
y0
 locus is y  0, excluding 1,0 

 z  1  0, bottom of fraction  0 
z 1
ii  Find the locus of z if w 
and w is purely real
z 1
 x  1  iy  x  1  iy OR If w is purely real then arg w  0 or 
w

 x  1  iy  x  1  iy

x


2

 1  i x  1 y  i x  1 y  y 2
 x  12  y 2

If w is purely real then Imw  0
i.e.   x  1 y   x  1 y  0
 xy  y  xy  y  0
 2y  0
y0
 locus is y  0, excluding 1,0 

 z  1  0, bottom of fraction  0 
z 1
ii  Find the locus of z if w 
and w is purely real
z 1
 x  1  iy  x  1  iy OR If w is purely real then arg w  0 or 
w

 x  1  iy  x  1  iy
 z  1   0 or 
x 2  1  i x  1 y  i x  1 y  y 2
i.e. arg


2
 z 1
 x  1  y 2
If w is purely real then Imw  0
i.e.   x  1 y   x  1 y  0
 xy  y  xy  y  0
 2y  0
y0
 locus is y  0, excluding 1,0 

 z  1  0, bottom of fraction  0 
z 1
ii  Find the locus of z if w 
and w is purely real
z 1
 x  1  iy  x  1  iy OR If w is purely real then arg w  0 or 
w

 x  1  iy  x  1  iy
 z  1   0 or 
x 2  1  i x  1 y  i x  1 y  y 2
i.e. arg


2
 z 1
 x  1  y 2
If w is purely real then Imw  0
i.e.   x  1 y   x  1 y  0
 xy  y  xy  y  0
 2y  0
y0
 locus is y  0, excluding 1,0 

 z  1  0, bottom of fraction  0 

arg z  1  arg z  1  0 or 
y

x
z 1
ii  Find the locus of z if w 
and w is purely real
z 1
 x  1  iy  x  1  iy OR If w is purely real then arg w  0 or 
w

 x  1  iy  x  1  iy
 z  1   0 or 
x 2  1  i x  1 y  i x  1 y  y 2
i.e. arg


2
 z 1
 x  1  y 2
If w is purely real then Imw  0
i.e.   x  1 y   x  1 y  0
 xy  y  xy  y  0
 2y  0
y0
 locus is y  0, excluding 1,0 

 z  1  0, bottom of fraction  0 

arg z  1  arg z  1  0 or 
y

-1

1

x
z 1
ii  Find the locus of z if w 
and w is purely real
z 1
 x  1  iy  x  1  iy OR If w is purely real then arg w  0 or 
w

 x  1  iy  x  1  iy
 z  1   0 or 
x 2  1  i x  1 y  i x  1 y  y 2
i.e. arg


2
 z 1
 x  1  y 2
If w is purely real then Imw  0
i.e.   x  1 y   x  1 y  0
 xy  y  xy  y  0
 2y  0
y0
 locus is y  0, excluding 1,0 

 z  1  0, bottom of fraction  0 

arg z  1  arg z  1  0 or 
y

-1

1

x
z 1
ii  Find the locus of z if w 
and w is purely real
z 1
 x  1  iy  x  1  iy OR If w is purely real then arg w  0 or 
w

 x  1  iy  x  1  iy
 z  1   0 or 
x 2  1  i x  1 y  i x  1 y  y 2
i.e. arg


2
 z 1
 x  1  y 2
If w is purely real then Imw  0
i.e.   x  1 y   x  1 y  0
 xy  y  xy  y  0
 2y  0
y0
 locus is y  0, excluding 1,0 

 z  1  0, bottom of fraction  0 

arg z  1  arg z  1  0 or 
y

-1

1

x
z 1
ii  Find the locus of z if w 
and w is purely real
z 1
 x  1  iy  x  1  iy OR If w is purely real then arg w  0 or 
w

 x  1  iy  x  1  iy
 z  1   0 or 
x 2  1  i x  1 y  i x  1 y  y 2
i.e. arg


2
 z 1
 x  1  y 2
If w is purely real then Imw  0
i.e.   x  1 y   x  1 y  0
 xy  y  xy  y  0
 2y  0
y0
 locus is y  0, excluding 1,0 

 z  1  0, bottom of fraction  0 

arg z  1  arg z  1  0 or 
y

-1

1

x

locus is y  0, excluding  1,0 
z 1
ii  Find the locus of z if w 
and w is purely real
z 1
 x  1  iy  x  1  iy OR If w is purely real then arg w  0 or 
w

 x  1  iy  x  1  iy
 z  1   0 or 
x 2  1  i x  1 y  i x  1 y  y 2
i.e. arg


2
 z 1
 x  1  y 2
If w is purely real then Imw  0
i.e.   x  1 y   x  1 y  0
 xy  y  xy  y  0
 2y  0
y0
 locus is y  0, excluding 1,0 

 z  1  0, bottom of fraction  0 

arg z  1  arg z  1  0 or 
y

-1

1

x

locus is y  0, excluding  1,0 
Note : locus is y  0, excluding 1,0  only

i.e. answer the original question
 z 
iii  Find the locus of z if arg

 z  4 6
 z 
iii  Find the locus of z if arg

 z  4 6
 z 
arg

 z  4 6
 z 
iii  Find the locus of z if arg

 z  4 6
 z 
arg

 z  4 6
 z 
iii  Find the locus of z if arg

 z  4 6
 z 
arg

 z  4 6

arg z  arg z  4  
6
y

x
 z 
iii  Find the locus of z if arg

 z  4 6
 z 
arg

 z  4 6

arg z  arg z  4  
6
y

4x


6
 z 
iii  Find the locus of z if arg

 z  4 6
 z 
arg

 z  4 6

arg z  arg z  4  
6
y

4x


6
NOTE: arg z  arg z-4 
 below axis
 z 
iii  Find the locus of z if arg

 z  4 6
 z 
arg

 z  4 6

arg z  arg z  4  
6
y

2
4x


6
NOTE: arg z  arg z-4 
 below axis
 z 
iii  Find the locus of z if arg

 z  4 6
 z 
arg

 z  4 6

arg z  arg z  4  
6
y

2
r 4x
(2,y)


6
NOTE: arg z  arg z-4 
 below axis
 z 
iii  Find the locus of z if arg

 z  4 6
 z 
arg

 z  4 6

arg z  arg z  4  
6
y

2
r 4x
(2,y)


6
NOTE: arg z  arg z-4 
 below axis

30
 z 
iii  Find the locus of z if arg

 z  4 6
y
 z 
 tan 60
arg

2
 z  4 6

arg z  arg z  4  
y



6

2
r 4x
(2,y)


6
NOTE: arg z  arg z-4 
 below axis

30
 z 
iii  Find the locus of z if arg

 z  4 6
y
 z 
 tan 60
arg

2
 z  4 6

y  2 tan 60
arg z  arg z  4  
6
2 3
y

2
r 4x
(2,y)


6
NOTE: arg z  arg z-4 
 below axis

30
 z 
iii  Find the locus of z if arg

 z  4 6
y
 z 
 tan 60
arg

2
 z  4 6

y  2 tan 60
arg z  arg z  4  
6
2 3
y

 centre is 2,2 3 

2
r 4x
(2,y)


6
NOTE: arg z  arg z-4 
 below axis

30
 z 
iii  Find the locus of z if arg

 z  4 6
y
 z 
 tan 60
arg

2
 z  4 6

y  2 tan 60
arg z  arg z  4  
6
2 3
y

 centre is 2,2 3 

2
r 4x
(2,y)


6
NOTE: arg z  arg z-4 
 below axis

30

r 2  2 2  2 3 

2
 z 
iii  Find the locus of z if arg

 z  4 6
y
 z 
 tan 60
arg

2
 z  4 6

y  2 tan 60
arg z  arg z  4  
6
2 3
y

 centre is 2,2 3 

2
r 4x
(2,y)


6
NOTE: arg z  arg z-4 
 below axis

30

r 2  2 2  2 3 

2

r 2  16
r4
 z 
iii  Find the locus of z if arg

 z  4 6
y
 z 
 tan 60
arg

2
 z  4 6

y  2 tan 60
arg z  arg z  4  
6
2 3
y

r 2  2 2  2 3 

2

r 2  16
r4

 centre is 2,2 3 
 locus is the major arc of the circle

2
r 4x
(2,y)


6
NOTE: arg z  arg z-4 
 below axis

 x  2   y  2 3   16 formed by the
chord joining 0,0  and 4,0  but not
2

2

30 including these points.
 z 
iii  Find the locus of z if arg

 z  4 6
y
 z 
 tan 60
arg

2
 z  4 6

y  2 tan 60
arg z  arg z  4  
6
2 3
y

r 2  2 2  2 3 

2

r 2  16
r4

 centre is 2,2 3 
 locus is the major arc of the circle

2
r 4x
(2,y)


6
NOTE: arg z  arg z-4 
 below axis

 x  2   y  2 3   16 formed by the
chord joining 0,0  and 4,0  but not
2

2

30 including these points.
Patel: Exercise 4N; 5, 6
Cambridge: Exercise 1F; 10 to 20
HSC Geometrical Complex Numbers Questions

X2 t01 08 locus & complex nos 2 (2013)

  • 1.
  • 2.
    Locus and ComplexNumbers   f  z  , find the locus of  or z given some condition for  or z
  • 3.
    Locus and ComplexNumbers   f  z  , find the locus of  or z given some condition for  or z (Make the condition the subject)
  • 4.
    Locus and ComplexNumbers   f  z  , find the locus of  or z given some condition for  or z (Make the condition the subject)  is purely real  Im   0, arg   0 or 
  • 5.
    Locus and ComplexNumbers   f  z  , find the locus of  or z given some condition for  or z (Make the condition the subject)  is purely real  Im   0, arg   0 or   is purely imaginary  Re   0, arg     2
  • 6.
    Locus and ComplexNumbers   f  z  , find the locus of  or z given some condition for  or z (Make the condition the subject)  is purely real  Im   0, arg   0 or   is purely imaginary  Re   0, arg     2  linear function  arg      locus is an arc of a circle  linear function 
  • 7.
    Locus and ComplexNumbers   f  z  , find the locus of  or z given some condition for  or z (Make the condition the subject)  is purely real  Im   0, arg   0 or   is purely imaginary  Re   0, arg     2  linear function  arg      locus is an arc of a circle  linear function   * minor arc if   * major arc if   2  * semicircle if   2  2
  • 8.
    z2 e.g .i Find the locus of w if w  ,z 4 2
  • 9.
    z2 e.g .i Find the locus of w if w  ,z 4 2 z2 w z zw  z  2
  • 10.
    z2 e.g .i Find the locus of w if w  ,z 4 2 z2 w z zw  z  2 z w  1  2
  • 11.
    z2 e.g .i Find the locus of w if w  ,z 4 2 z2 w z zw  z  2 z w  1  2 2 z w  1
  • 12.
    z2 e.g .i Find the locus of w if w  ,z 4 2 z2 w z zw  z  2 z w  1  2 2 z w  1 2  4 w  1
  • 13.
    z2 e.g .i Find the locus of w if w  ,z 4 2 z2 w z zw  z  2 z w  1  2 2 z w  1 2  4 w  1 2 4 w 1
  • 14.
    z2 e.g .i Find the locus of w if w  ,z 4 2 z2 w z zw  z  2 z w  1  2 2 z w  1 2  4 w  1 2 4 w 1 w 1  1 2
  • 15.
    z2 e.g .i Find the locus of w if w  ,z 4 2 z2 w z zw  z  2 z w  1  2 2 z w  1 2  4 w  1 2 4 w 1 w 1  1 2 1  locus is a circle, centre 1,0  and radius 2 1 2 2 i.e.  x  1  y  4
  • 16.
    z 1 ii Find the locus of z if w  and w is purely real z 1
  • 17.
    z 1 ii Find the locus of z if w  and w is purely real z 1  x  1  iy  x  1  iy w   x  1  iy  x  1  iy
  • 18.
    z 1 ii Find the locus of z if w  and w is purely real z 1  x  1  iy  x  1  iy w   x  1  iy  x  1  iy x  2  1  i x  1 y  i x  1 y  y 2  x  12  y 2
  • 19.
    z 1 ii Find the locus of z if w  and w is purely real z 1  x  1  iy  x  1  iy w   x  1  iy  x  1  iy x  2  1  i x  1 y  i x  1 y  y 2  x  12  y 2 If w is purely real then Imw  0
  • 20.
    z 1 ii Find the locus of z if w  and w is purely real z 1  x  1  iy  x  1  iy w   x  1  iy  x  1  iy x  2  1  i x  1 y  i x  1 y  y 2  x  12  y 2 If w is purely real then Imw  0 i.e.   x  1 y   x  1 y  0
  • 21.
    z 1 ii Find the locus of z if w  and w is purely real z 1  x  1  iy  x  1  iy w   x  1  iy  x  1  iy x  2  1  i x  1 y  i x  1 y  y 2  x  12  y 2 If w is purely real then Imw  0 i.e.   x  1 y   x  1 y  0  xy  y  xy  y  0
  • 22.
    z 1 ii Find the locus of z if w  and w is purely real z 1  x  1  iy  x  1  iy w   x  1  iy  x  1  iy x  2  1  i x  1 y  i x  1 y  y 2  x  12  y 2 If w is purely real then Imw  0 i.e.   x  1 y   x  1 y  0  xy  y  xy  y  0  2y  0 y0
  • 23.
    z 1 ii Find the locus of z if w  and w is purely real z 1  x  1  iy  x  1  iy w   x  1  iy  x  1  iy x  2  1  i x  1 y  i x  1 y  y 2  x  12  y 2 If w is purely real then Imw  0 i.e.   x  1 y   x  1 y  0  xy  y  xy  y  0  2y  0 y0  locus is y  0, excluding 1,0   z  1  0, bottom of fraction  0 
  • 24.
    z 1 ii Find the locus of z if w  and w is purely real z 1  x  1  iy  x  1  iy OR If w is purely real then arg w  0 or  w   x  1  iy  x  1  iy x  2  1  i x  1 y  i x  1 y  y 2  x  12  y 2 If w is purely real then Imw  0 i.e.   x  1 y   x  1 y  0  xy  y  xy  y  0  2y  0 y0  locus is y  0, excluding 1,0   z  1  0, bottom of fraction  0 
  • 25.
    z 1 ii Find the locus of z if w  and w is purely real z 1  x  1  iy  x  1  iy OR If w is purely real then arg w  0 or  w   x  1  iy  x  1  iy  z  1   0 or  x 2  1  i x  1 y  i x  1 y  y 2 i.e. arg   2  z 1  x  1  y 2 If w is purely real then Imw  0 i.e.   x  1 y   x  1 y  0  xy  y  xy  y  0  2y  0 y0  locus is y  0, excluding 1,0   z  1  0, bottom of fraction  0 
  • 26.
    z 1 ii Find the locus of z if w  and w is purely real z 1  x  1  iy  x  1  iy OR If w is purely real then arg w  0 or  w   x  1  iy  x  1  iy  z  1   0 or  x 2  1  i x  1 y  i x  1 y  y 2 i.e. arg   2  z 1  x  1  y 2 If w is purely real then Imw  0 i.e.   x  1 y   x  1 y  0  xy  y  xy  y  0  2y  0 y0  locus is y  0, excluding 1,0   z  1  0, bottom of fraction  0  arg z  1  arg z  1  0 or  y x
  • 27.
    z 1 ii Find the locus of z if w  and w is purely real z 1  x  1  iy  x  1  iy OR If w is purely real then arg w  0 or  w   x  1  iy  x  1  iy  z  1   0 or  x 2  1  i x  1 y  i x  1 y  y 2 i.e. arg   2  z 1  x  1  y 2 If w is purely real then Imw  0 i.e.   x  1 y   x  1 y  0  xy  y  xy  y  0  2y  0 y0  locus is y  0, excluding 1,0   z  1  0, bottom of fraction  0  arg z  1  arg z  1  0 or  y -1 1 x
  • 28.
    z 1 ii Find the locus of z if w  and w is purely real z 1  x  1  iy  x  1  iy OR If w is purely real then arg w  0 or  w   x  1  iy  x  1  iy  z  1   0 or  x 2  1  i x  1 y  i x  1 y  y 2 i.e. arg   2  z 1  x  1  y 2 If w is purely real then Imw  0 i.e.   x  1 y   x  1 y  0  xy  y  xy  y  0  2y  0 y0  locus is y  0, excluding 1,0   z  1  0, bottom of fraction  0  arg z  1  arg z  1  0 or  y -1 1 x
  • 29.
    z 1 ii Find the locus of z if w  and w is purely real z 1  x  1  iy  x  1  iy OR If w is purely real then arg w  0 or  w   x  1  iy  x  1  iy  z  1   0 or  x 2  1  i x  1 y  i x  1 y  y 2 i.e. arg   2  z 1  x  1  y 2 If w is purely real then Imw  0 i.e.   x  1 y   x  1 y  0  xy  y  xy  y  0  2y  0 y0  locus is y  0, excluding 1,0   z  1  0, bottom of fraction  0  arg z  1  arg z  1  0 or  y -1 1 x
  • 30.
    z 1 ii Find the locus of z if w  and w is purely real z 1  x  1  iy  x  1  iy OR If w is purely real then arg w  0 or  w   x  1  iy  x  1  iy  z  1   0 or  x 2  1  i x  1 y  i x  1 y  y 2 i.e. arg   2  z 1  x  1  y 2 If w is purely real then Imw  0 i.e.   x  1 y   x  1 y  0  xy  y  xy  y  0  2y  0 y0  locus is y  0, excluding 1,0   z  1  0, bottom of fraction  0  arg z  1  arg z  1  0 or  y -1 1 x locus is y  0, excluding  1,0 
  • 31.
    z 1 ii Find the locus of z if w  and w is purely real z 1  x  1  iy  x  1  iy OR If w is purely real then arg w  0 or  w   x  1  iy  x  1  iy  z  1   0 or  x 2  1  i x  1 y  i x  1 y  y 2 i.e. arg   2  z 1  x  1  y 2 If w is purely real then Imw  0 i.e.   x  1 y   x  1 y  0  xy  y  xy  y  0  2y  0 y0  locus is y  0, excluding 1,0   z  1  0, bottom of fraction  0  arg z  1  arg z  1  0 or  y -1 1 x locus is y  0, excluding  1,0  Note : locus is y  0, excluding 1,0  only i.e. answer the original question
  • 32.
     z  iii Find the locus of z if arg   z  4 6
  • 33.
     z  iii Find the locus of z if arg   z  4 6  z  arg   z  4 6
  • 34.
     z  iii Find the locus of z if arg   z  4 6  z  arg   z  4 6
  • 35.
     z  iii Find the locus of z if arg   z  4 6  z  arg   z  4 6  arg z  arg z  4   6 y x
  • 36.
     z  iii Find the locus of z if arg   z  4 6  z  arg   z  4 6  arg z  arg z  4   6 y 4x  6
  • 37.
     z  iii Find the locus of z if arg   z  4 6  z  arg   z  4 6  arg z  arg z  4   6 y 4x  6 NOTE: arg z  arg z-4   below axis
  • 38.
     z  iii Find the locus of z if arg   z  4 6  z  arg   z  4 6  arg z  arg z  4   6 y 2 4x  6 NOTE: arg z  arg z-4   below axis
  • 39.
     z  iii Find the locus of z if arg   z  4 6  z  arg   z  4 6  arg z  arg z  4   6 y 2 r 4x (2,y)  6 NOTE: arg z  arg z-4   below axis
  • 40.
     z  iii Find the locus of z if arg   z  4 6  z  arg   z  4 6  arg z  arg z  4   6 y 2 r 4x (2,y)  6 NOTE: arg z  arg z-4   below axis 30
  • 41.
     z  iii Find the locus of z if arg   z  4 6 y  z   tan 60 arg  2  z  4 6 arg z  arg z  4   y  6 2 r 4x (2,y)  6 NOTE: arg z  arg z-4   below axis 30
  • 42.
     z  iii Find the locus of z if arg   z  4 6 y  z   tan 60 arg  2  z  4 6  y  2 tan 60 arg z  arg z  4   6 2 3 y 2 r 4x (2,y)  6 NOTE: arg z  arg z-4   below axis 30
  • 43.
     z  iii Find the locus of z if arg   z  4 6 y  z   tan 60 arg  2  z  4 6  y  2 tan 60 arg z  arg z  4   6 2 3 y  centre is 2,2 3  2 r 4x (2,y)  6 NOTE: arg z  arg z-4   below axis 30
  • 44.
     z  iii Find the locus of z if arg   z  4 6 y  z   tan 60 arg  2  z  4 6  y  2 tan 60 arg z  arg z  4   6 2 3 y  centre is 2,2 3  2 r 4x (2,y)  6 NOTE: arg z  arg z-4   below axis 30 r 2  2 2  2 3  2
  • 45.
     z  iii Find the locus of z if arg   z  4 6 y  z   tan 60 arg  2  z  4 6  y  2 tan 60 arg z  arg z  4   6 2 3 y  centre is 2,2 3  2 r 4x (2,y)  6 NOTE: arg z  arg z-4   below axis 30 r 2  2 2  2 3  2 r 2  16 r4
  • 46.
     z  iii Find the locus of z if arg   z  4 6 y  z   tan 60 arg  2  z  4 6  y  2 tan 60 arg z  arg z  4   6 2 3 y r 2  2 2  2 3  2 r 2  16 r4  centre is 2,2 3   locus is the major arc of the circle 2 r 4x (2,y)  6 NOTE: arg z  arg z-4   below axis  x  2   y  2 3   16 formed by the chord joining 0,0  and 4,0  but not 2 2 30 including these points.
  • 47.
     z  iii Find the locus of z if arg   z  4 6 y  z   tan 60 arg  2  z  4 6  y  2 tan 60 arg z  arg z  4   6 2 3 y r 2  2 2  2 3  2 r 2  16 r4  centre is 2,2 3   locus is the major arc of the circle 2 r 4x (2,y)  6 NOTE: arg z  arg z-4   below axis  x  2   y  2 3   16 formed by the chord joining 0,0  and 4,0  but not 2 2 30 including these points. Patel: Exercise 4N; 5, 6 Cambridge: Exercise 1F; 10 to 20 HSC Geometrical Complex Numbers Questions